PROYECTO DE RESOLUCIÓN 705 009 DE 2025
(agosto 21)
<Publicado en la página web de la CREG: 8 de septiembre de 2025>
COMISIÓN DE REGULACIÓN DE ENERGÍA Y GAS - CREG
La Comisión de Regulación de Energía y Gas, en su sesión No. 1398 del 21 de agosto de 2025, aprobó someter a consulta pública el presente proyecto de resolución por el término de quince (15) días hábiles contados a partir del día de su publicación en el portal web de la CREG.
Se invita a los agentes, a los usuarios, a las autoridades locales municipales y departamentales competentes y demás interesados, para que remitan sus observaciones o sugerencias sobre la propuesta, dentro del plazo establecido.
Los interesados podrán dirigir sus comentarios la Dirección Ejecutiva de la Comisión de Regulación de Energía y Gas, al correo electrónico creg@creg.gov.co, identificando el mensaje con el siguiente asunto: "Comentarios Proyecto de Resolución 705-009 de 2025" en el formato adjunto “comentarios_T_CL2.xlsx”.
PROYECTO DE RESOLUCIÓN
“Por la cual se establece la metodología tarifaria para la remuneración de la actividad de transporte de combustibles líquidos y gas licuado del petróleo –GLP- por ductos”
LA COMISIÓN DE REGULACIÓN DE ENERGÍA Y GAS
En ejercicio de sus atribuciones constitucionales y legales, en especial las conferidas por la Ley 142 de 1994 y en desarrollo de los Decretos 2253 de 1994, 4130 de 2011, 1260 de 2013 y 1073 de 2015 y la Resolución 40193 de 2020 y,
CONSIDERANDO QUE:
El artículo 334 de la Constitución Política de Colombia, estableció la facultad del estado para intervenir en la explotación de los recursos naturales como el petróleo, en la producción y distribución de bienes como son los combustibles líquidos derivados del petróleo, y en los servicios públicos y privados.
El artículo 365 de la Constitución Política de Colombia establece como finalidad social del Estado la prestación de los servicios públicos, y el deber de asegurar por parte de este la prestación eficiente a todos los habitantes del territorio nacional.
En virtud del artículo 212 del Decreto 1056 de 1953, Código de Petróleos, el transporte y la distribución del petróleo y sus derivados constituyen un servicio público, y las personas o entidades dedicadas a esa actividad deben ejercerla de conformidad con los reglamentos que dicte el Gobierno en guarda de los intereses generales.
La Ley 39 de 1987, en su artículo 1o, señala que la distribución de combustibles líquidos derivados del petróleo es un servicio público que se prestará de acuerdo con la Ley.
Así mismo, el artículo 2 de la Ley 39 de 1987, modificado por el artículo 61 de la Ley 812 de 2003, definió al transportador como uno de los agentes de la cadena de distribución de combustibles líquidos derivados del petróleo, junto con el refinador, importador, almacenador, el distribuidor mayorista, el distribuidor minorista y el gran consumidor.
Según lo previsto en el artículo 1o de la Ley 26 de 1989, el Gobierno podrá determinar horario, precios, márgenes de comercialización, calidad, calibraciones, condiciones de seguridad, relaciones contractuales y demás condiciones que influyan en la mejor prestación de este servicio público.
La Ley 142 de 1994, en el numeral 14.28 del artículo 14, definió el servicio público domiciliario de gas combustible, como el conjunto de actividades ordenadas a la distribución de gas combustible, por tubería u otro medio, desde un sitio de acopio de grandes volúmenes, o desde un poliducto central hasta la instalación de un consumidor final, incluyendo su conexión y medición. Así mismo, cobija las actividades complementarias de comercialización desde la producción y transporte de gas por un poliducto principal, o por otros medios, desde el sitio de generación hasta aquel en donde se conecte a una red secundaria.
Adicionalmente, en virtud de lo establecido en el numeral 1 del artículo 74 de la Ley 142 de 1994, es función de la Comisión de Regulación de Energía y Gas, CREG, regular el ejercicio de las actividades de los sectores de energía y gas combustible para asegurar la disponibilidad de una oferta energética eficiente, propiciar la competencia en el sector de minas y energía, y proponer la adopción de las medidas necesarias para impedir abusos de posición dominante, buscando la liberación gradual de los mercados hacia la libre competencia.
Además, en el literal d) del citado numeral se atribuyó a la CREG, como el ente encargado de establecer las fórmulas para la fijación de las tarifas del servicio público domiciliario de gas combustible.
En los artículos 87 y 91 de la mencionada Ley, se establecieron los criterios bajo los cuales se debe definir el régimen tarifario de las empresas de servicios públicos.
Adicionalmente, se incluyó como condición calcular por separado, cuando fuera posible, una fórmula para cada una de las etapas del servicio con el fin de establecer las fórmulas tarifarias.
De conformidad con lo establecido en el artículo 126 de la Ley 142 de 1994 modificado por el artículo 52 de la Ley 2099 de 2021, vencido el período de vigencia de las fórmulas tarifarias, éstas continuarán rigiendo mientras la Comisión no fije las nuevas.
Mediante la Resolución CREG 057 de 1996[1] “Por la cual se establece el marco regulatorio para el servicio público de gas combustible por red y para sus actividades complementarias”, la Comisión definió el gas licuado de petróleo, GLP, como una mezcla de hidrocarburos extraídos del procesamiento del gas natural o del petróleo, gaseosos en condiciones atmosféricas, que se licúan fácilmente por enfriamiento o compresión. Principalmente constituido por propano y butano.
En el año 2008, mediante la Resolución 122, la Comisión diseñó la metodología de remuneración del servicio de transporte de GLP por ductos. Adicionalmente, a través de la Resolución 141 de 2008 se prorrogó el plazo, para la presentación de las solicitudes de aprobación de cargos, establecido en el parágrafo 1 del artículo 15 de la referida resolución 122 de 2008.
Mediante la Resolución CREG 092 de 2009, modificada por la Resolución CREG 153 de 2014, se adoptaron disposiciones “sobre las obligaciones de los transportadores de Gas Licuado del Petróleo -GLP- a través de ductos en el continente y en forma marítima entre el continente y el archipiélago de San Andrés, Providencia y Santa Catalina y se dictan otras disposiciones sobre libre acceso a los sistemas de transporte”.
El artículo 13 de la Ley 681 de 2001 declaró el acceso abierto a terceros al sistema de transporte por poliductos, con base en el principio de no discriminación, y ordenó al Gobierno reglamentar en este sentido.
A través de la Resolución 180088 de 2003 y sus modificaciones, el Ministerio de Minas y Energía reglamentó las tarifas máximas en pesos por kilómetro-galón para el sistema de poliductos.
Los parágrafos 1 y 2 del artículo 2.2.1.1.2.2.1.1 del Decreto 1073 de 2005<sic, es 2015>, establecieron que el transporte, la refinación, almacenamiento y manejo, son considerados servicios públicos conforme a la ley, el presente decreto y demás disposiciones que reglamenten la materia. Así mismo, determinó que los agentes de la cadena de distribución de combustibles deben prestar el servicio en forma regular, adecuada y eficiente conforme las características propias de los servicios públicos.
El artículo 2.2.1.1.2.2.1.4 del mencionado Decreto 1073 de 2015, por medio del cual se expide el Decreto Único Reglamentario del Sector Administrativo de Minas y Energía, definió al Transportador como: “Toda persona natural o jurídica que ejerce la actividad de transporte de combustibles líquidos derivados del petróleo y alcohol carburante, en los términos del artículo 2.2.1.1.2.2.3.85 y siguientes del presente decreto.”
Adicionalmente, el artículo 2.2.1.1.2.2.1.3 [2] señaló a la CREG como la autoridad de regulación para las actividades de refinación, importación, almacenamiento, distribución y transporte de los combustibles líquidos derivados del petróleo.
El artículo 2.2.1.1.2.2.3.85. del Decreto 1073 de 2015 señala como medios para realizar el transporte de combustibles líquidos derivados del petróleo los siguientes: (i) terrestre, (ii) por poliductos, (iii) por vía marítima, (iv) por vía fluvial, (v) por vía férrea y (vi) por vía aérea.
En el Decreto 4130 de 2011, el Presidente de la República de Colombia, en ejercicio de las facultades extraordinarias y las que le confiere el literal d. del artículo 18 de la Ley 1444 de 2011, reasignó algunas funciones del Ministerio de Minas y Energía en varias entidades, entre las cuales se encuentra la CREG.
Las funciones que fueron reasignadas por este decreto fueron las siguientes:
a. Fijar los precios de los productos derivados del petróleo a lo largo de toda la cadena de producción y distribución, salvo para gasolina motor corriente, ACPM y biocombustibles;
b. Determinar los parámetros y la metodología para calcular el precio de los combustibles, teniendo en cuenta el margen de comercialización, el porcentaje de evaporación, pérdida o cualquier otro concepto que afecte el volumen de los mismos;
c. Realizar los estudios que se requieran para la determinación y fijación de los precios de los combustibles líquidos destinado para uso como combustible automotor y demás usos inherentes a la comercialización del mismo;
d. Reglamentar las tarifas en pesos por kilómetro/galón por concepto de transporte a través del sistema de poliductos;
e. Regular las actividades de refinación, importación, almacenamiento, distribución y transporte de los combustibles líquidos derivados del petróleo.
El Decreto 1260 de 2013[3] por el cual se modifica la estructura de la CREG, estableció dentro de su objeto, la expedición de la regulación económica referente a las actividades de refinación, importación, almacenamiento, distribución, y transporte de combustibles líquidos derivados de hidrocarburos.
Además, asignó a la CREG las funciones de definir los criterios y condiciones a los que deben sujetarse los agentes de la cadena de distribución de combustibles en sus relaciones contractuales y niveles de integración empresarial, y definir metodología y establecer fórmulas para fijar los precios y las tarifas de transporte de combustibles por poliducto.
En tal contexto, como la actividad de transporte de combustibles líquidos y de GLP por ductos, era regulada por la CREG, y técnicamente estos combustibles se transportan por la red de poliductos, resultó conveniente unificar su reglamentación.
Por ello, mediante la Resolución CREG 222 del 4 de diciembre de 2015, la CREG sometió a consideración de los agentes, usuarios y terceros interesados, las bases sobre las cuales se efectuarían los estudios para determinar la metodología de remuneración del servicio de transporte de combustibles líquidos y GLP por ductos.
Adicionalmente, la Comisión adelantó los estudios con Greg Lamberson “Consultoría para la determinación de las variables y multiplicadores para la valoración de activos de transporte de combustibles líquidos”, con Divisa Ingenieros Asociados Ltda., “Realizar el inventario de activos y la valoración de infraestructura de transporte para productos refinados del petróleo y GLP” y con Ernst & Young “Prestación de servicios para analizar: i) la viabilidad regulatoria de sustituir el abastecimiento por carro-tanque de combustibles líquidos en Cauca y Nariño por transporte vía poliducto…”.
Los dos primeros fueron presentados a los interesados los días 17 y 18 de diciembre de 2015 en las instalaciones de la CREG, conforme las citaciones realizadas mediante las Circulares 139, 148 y 150 de 2015.
Mediante la Ley 1955 de 2019 “Por la cual se expide el Plan Nacional de Desarrollo 2018-2022”, en la subsección 2, Legalidad para la transparencia de las entidades públicas, artículo 35 [4] se dispuso: “Artículo 35. Precio de los combustibles líquidos a estabilizar. El Ministerio de Hacienda y Crédito Público y el Ministerio de Minas y Energía, o la entidad delegada, establecerá la metodología de cálculo del valor del ingreso al productor de los combustibles líquidos y biocombustibles, así como las tarifas y márgenes asociados a la remuneración de toda la cadena de transporte, logística, comercialización y distribución de dichos combustibles que hacen parte del mercado regulado. (…)”
El cambio en las funciones que introdujo la Ley del Plan Nacional de Desarrollo al asignar al Ministerio de Minas y Energía y el Ministerio de Hacienda y Crédito público “(…) las tarifas y márgenes asociados a la remuneración de toda la cadena de transporte, logística, comercialización y distribución de dichos combustibles que hacen parte del mercado regulado (…)”, interrumpió el proceso de análisis que estaba desarrollando la CREG en este tema.
En el artículo 2.2.1.1.2.2.1.7 del Decreto 1073 de 2015 el cual fue adicionado por el artículo 1 del Decreto 1281 de 2020 se establecieron los tipos de almacenamiento y combustibles líquidos derivados del petróleo de los biocombustibles y sus mezclas.
En el año 2021 el Ministerio de Minas y Energía, a través de la Resolución 40112 del 21 de abril señaló “Que, con base en la información suministrada por CENIT, desaparecieron los fundamentos de hecho que dieron origen al rubro denominado margen de continuidad, conforme la Resolución 90155 de 2014, pues: (i) la remuneración de la inversión requerida para la expansión del Sistema Pozos Colorados - Galán a 60.000 bpd se completó en febrero de 2021 y (ii) que actualmente el margen de continuidad no remunera otras inversiones en el plan de continuidad para el abastecimiento del país.”
A través de la Resolución 40193 del 21 de junio de 2021, del Ministerio de Hacienda y Crédito Público y del Ministerio de Minas y Energía, delegaron funciones de regulación del sector de combustibles líquidos en la CREG.
Señaló como función delegada, en el numeral 1 del artículo 1 la de “Establecer las metodologías para la determinación de las tarifas y márgenes asociados a la remuneración de toda la cadena, esto es, transporte, logística, comercialización y distribución de los combustibles líquidos derivados del petróleo y de los biocombustibles destinados a la mezcla con dichos combustibles. (…)”. “Respecto a los productos señalados, las actividades y tarifas objeto de regulación son: i. Transporte de combustibles líquidos a través de poliductos. (…) iv) Almacenamiento e inventarios de tipo estratégicos, operativos y comerciales” (…)”.
A partir de las funciones delegadas en la mencionada Resolución 40193 de 2021, la Comisión retomó el proceso de análisis. Desarrolló el estudio con Lloreda y Asociados sobre la “Construcción de un modelo que permita llevar a cabo la valoración de infraestructura de almacenamiento y estaciones de bombeo asociada al sector de combustibles líquidos”, en donde se estructuraron modelos de valoración de dichos activos.
El resultado de este estudio fue presentado a los interesados el 27 de abril de 2022 en las instalaciones de la CREG, y a través de las redes sociales YouTube y Twitter, conforme la citación realizada mediante la Circular 030 del 21 del mismo mes y año.
Mediante la Resolución CREG 705 002 del 2 de mayo de 2022, la CREG publicó para comentarios, por el término de sesenta (60) días calendario, el proyecto de resolución a través del cual “(...) se establece la metodología tarifaria para la remuneración de la actividad de transporte de combustibles líquidos y gas licuado del petróleo –GLP- por ductos y, los lineamientos de valoración y remuneración de la infraestructura de almacenamiento.”
A través de la Circular No 066 de 2022, la CREG informó que el plazo para comentarios de la Resolución CREG 705 002 de 2022 se ampliaba hasta el 31 de agosto de 2022.
En relación con la propuesta contenida en la Resolución CREG CREG 705 002 del 2 de mayo de 2022, se realizaron audiencias públicas en las ciudades de Bogotá y Cali los días 22 y 24 de junio de 2022, respectivamente.
En el plazo establecido para la consulta, que correspondió, desde su publicación hasta el 31 de agosto de 2022, se recibieron comentarios de: RAPIDGAS S.A.S. E.S.P. E2022007449; ONAC E2022007951; ECOPETROL E2022007989; Superintendencia de Servicios Públicos Domiciliarios E2022009596; TRAFIGURA PETROLEUM COLOMBIA S.A.S E2022009599; GASNOVA E2022009617 y CENIT TRANSPORTE Y LOGÍSTICA DE HIDROCARBUROS S.A.S E2022009736.
Adicionalmente, se realizaron solicitudes de información, pronunciamientos que dieron alcance a los comentarios inicialmente presentados en el periodo de consulta y reuniones con el transportador CENIT TRANSPORTE Y LOGÍSTICA DE HIDROCARBUROS S.A.S en adelante CENIT, cuyo objetivo fue el de precisar y recibir retroalimentación sobre los temas propuestos.
Analizados los comentarios recibidos, se consideró pertinente realizar algunos ajustes y precisiones respecto de la versión inicialmente propuesta. La respuesta a dichos comentarios, así como el análisis de las situaciones que dieron origen a los mencionados ajustes y precisiones se encuentra en el documento soporte que acompaña la presente resolución.
RESUELVE:
GENERALIDADES.
ARTÍCULO 1. OBJETO. La presente resolución tiene por objeto establecer los criterios generales para determinar la remuneración de la actividad de transporte de los productos transportados incluyendo combustibles líquidos y GLP a través de los subsistemas de transporte.
ARTÍCULO 2. ÁMBITO DE APLICACIÓN. Están sujetos a las disposiciones de esta metodología los agentes que sean propietarios y/u operen sistemas de transporte para prestar el servicio público de transporte de combustibles líquidos derivados del petróleo, biocombustibles y sus mezclas, así como de Gas Licuado del Petróleo, GLP, a los usuarios del Sistema Nacional de Transporte por Poliducto, SNTP.
ARTÍCULO 3. DEFINICIONES. Para la interpretación y aplicación de esta resolución se tendrán en cuenta, además de las definiciones establecidas en el Decreto 1073 de 2015 y en las resoluciones vigentes de la CREG y aquellas que las modifiquen, adicionen o sustituyan, las que a continuación se destacan e incluyen:
Almacenamiento operativo: Es la capacidad de almacenamiento y volumen mínimo de combustibles líquidos derivados del petróleo, biocombustibles y sus mezclas, requerido para equilibrar u optimizar el flujo o tránsito continuo de dichos productos, con el fin de mantener una operación segura, eficiente y adecuada de los sistemas de transporte por poliductos, medios de transporte alternativos y de los sistemas de refinación y/o puertos de importación o plantas de abastecimiento, conforme lo establecido en el literal c) del artículo 1 del Decreto 1281 de 2020, que adicionó el artículo 2.2.1.1.2.2.1.7 del Decreto 1073 de 2015 o aquella que la modifique, adicione o sustituya.
Año: Es el período de 365 ó 366 días, según el calendario común.
Año Base: Año más reciente para el cual se puede contar con información completa en términos de AOM y demanda. Año inmediatamente anterior al año de análisis tarifario.
Boletín de Transporte por Poliducto – BTP-: Información con acceso visible desde la página web del transportador en la que se pone a disposición de los remitentes, terceros y autoridades competentes, la información comercial y operacional establecida en el Reglamento de Transporte por Poliductos, así como también de otras regulaciones que así lo determinen, y que cuenta con la plataforma necesaria para efectuar las nominaciones y confirmar el programa de transporte de los productos a transportar de acuerdo con lo definido por la resolución CREG 208 de 2021 o aquella que la modifique o sustituya.
Capacidad Máxima de Mediano Plazo, CMMP: Capacidad efectiva de volumen transportable en un día, para cada año del horizonte de proyección por el transportador con modelos de dinámica de flujo, utilizando los parámetros técnicos específicos del fluido y del ducto, así como los procedimientos y las presiones de entrada y salida. Esta definición es aplicable exclusivamente para efectos del cálculo de cargos regulados de transporte de que trata la presente resolución y su metodología de cálculo está incluida en el Anexo 5.
Cargo de transporte, CT: Valor máximo de remuneración al transportador por ductos, de acuerdo con la metodología establecida en la presente resolución. Esta remuneración se calculará para cada subsistema de transporte por poliducto, en pesos por galón de la fecha base.
Condición de Contraflujo, CCF: Circunstancia en la cual hay transacciones comerciales en direcciones opuestas entre sí en un poliducto del Sistema Nacional de Transporte por Poliducto, SNTP. La Condición de Contraflujo debe garantizar que el flujo físico de los productos que el transportador acepta que se transporte por cada subsistema es posible en una dirección o en la otra del respectivo subsistema de transporte de poliducto, sin requerir ampliación de la infraestructura existente. La Condición de Contraflujo no debe afectar las especificaciones de calidad del servicio de aquellos remitentes que pactaron y perfeccionaron contratos con anterioridad a la solicitud de transporte que ocasiona el contraflujo.
Combustibles líquidos derivados de petróleo: De acuerdo con lo establecido en el 2.2.1.1.2.2.1.4. del Decreto 1073 de 2015 o aquel que lo modifique, adicione o sustituya, son todos los productos clasificados dentro de las categorías de las gasolinas, gasóleos, querosenes y fuelóleos, entre los cuales se cuentan: Combustibles para aviación (avgas), gasolina motor (gasolina extra, gasolina corriente, gasolina corriente oxigenada, gasolina extraoxigenada), combustibles de aviación para motores tipo turbina, queroseno, diésel extra o de bajo azufre, diésel corriente (ACPM), diésel marino (se conoce también con los siguientes nombres: diésel fluvial, marine diésel, gas oil, intersol, diésel número 2), y combustible para quemadores industriales (combustóleos fuel oil).
Cuña: De acuerdo con lo definido en la Resolución CREG 208 de 2021 o aquella que la modifique, adicione o sustituya, es el Producto que puede ser empleado en la operación para el transporte de productos de diferentes especificaciones de calidad.
Demanda Esperada, DE: Cantidad anual que el transportador espera se transporte para los proyectos de inversiones en aumento de capacidad,
, proyectado y soportado por el transportador para el horizonte de proyección para las Inversiones en aumento de capacidad,
expresado en miles de barriles por año (kbd-año).
Demanda histórica, DH: Volumen transportado del 1 de enero hasta el 31 de diciembre del año anterior de productos que el transportador acepta que se transporte por cada Subsistema en miles de barriles por año (kbd-año).
Factor de Utilización, FU: Indicador de utilización de cada subsistema de transporte, con relación a su utilización potencial máxima. Este factor se calculará de conformidad con lo dispuesto en el Artículo 33 de la presente Resolución.
Factor de Utilización Normativo, FUN: Es el mínimo factor de utilización adoptado por la CREG como criterio de eficiencia para efectos tarifarios de un Subsistema.
Fecha Base, FB: Es la fecha de referencia para realizar los cálculos tarifarios y determinar el flujo de ingresos con base en la información que el transportador presenta a la CREG en cada período tarifario, o cuando realice proyectos del plan de abastecimiento de combustibles líquidos en su sistema de transporte, y corresponde al 31 de diciembre del año anterior al año de la solicitud de ajuste de cargos, o de la solicitud para ejecutar un proyecto del plan de abastecimiento. Los valores de los cargos y los flujos de ingresos serán expresados en cifras de la Fecha Base.
Fecha de puesta en operación comercial, FPO. Corresponde a la fecha en la que el activo inicia la prestación del servicio de transporte por ductos debidamente documentada y soportada. Esta actividad debe registrarse ante el Ministerio de Minas y Energía acorde a las disposiciones que establezca dicha entidad.
Horizonte de Proyección, HPr: Es el período de 5 años utilizado para simular el comportamiento de las variables de demanda para los proyectos
.
Inversiones no incluidas en el plan de inversiones aprobado para el periodo tarifario IFPNI Son los valores eficientes de las inversiones ejecutadas en el periodo tarifario que inicie con la aplicación de la presente metodología y que no fueron incluidas en el Programa de nuevas inversiones -
, ni como parte de las Inversiones en aumento de capacidad -
ni en los planes de abastecimiento de combustibles líquidos.
Índice de Precios al Productor, IPP: Es el índice de precios al productor de la serie oferta interna publicado mensualmente por el DANE.
Índice de Precios al Consumidor, IPC: Es el índice de precios al consumidor, total nacional, reportado por el DANE.
Interfase: Es la mezcla física que ocurre cuando se están transportando dos (2) o más productos, uno a continuación de otro, cuyo valor de densidad corresponde al intermedio.
Inventario Operativo, IO: Son las cantidades de producto, medido en barriles, que incluyen tanto el lleno de línea como el contenido de los fondos de tanques ubicados en los diferentes terminales, expresado en kb.
Inversiones del Margen Plan de Continuidad, IMPC: Son los valores de los proyectos incluidos en el margen plan de continuidad de combustibles líquidos adoptado por el Ministerio de Minas y Energía que contribuyan a garantizar la seguridad de abastecimiento y la confiabilidad del servicio público de transporte de combustibles líquidos y GLP por ductos.
Inversión Existente, IE: Es el valor eficiente de los activos necesarios para la prestación del servicio de transporte de productos. De estos valores se excluye el correspondiente a los activos que no se encuentran en operación al momento de la solicitud tarifaria, activos de
y a activos de
.
Inversiones en Aumento de Capacidad, IAC: Son los valores eficientes de los proyectos que un transportador prevé desarrollar en cada año del período tarifario, con el propósito exclusivo de incrementar la capacidad de su sistema de transporte. Para efectos regulatorios, estos proyectos corresponderán únicamente a ductos, loops, equipos de bombeo y almacenamiento operativo que se construirán en el sistema de transporte existente, y deberán estar orientados a atender nueva demanda prevista durante el horizonte de proyección.
Lleno de línea: Cantidad de producto que es necesario mantener de forma permanente dentro del sistema y subsistemas de transporte para la operación continua.
Loop: Es una línea de poliducto que se deriva de un poliducto, y se vuelve a conectar al mismo en otro punto, con el objeto de aumentar la capacidad de transporte del respectivo poliducto.
Margen Plan de Continuidad, MPC: Margen dirigido a remunerar a Ecopetrol S. A. las inversiones en el plan de continuidad para el abastecimiento del país, y específicamente la expansión del sistema Pozos Colorados-Galán a 60 mil barriles por día de capacidad, conforme lo establecido en la Resolución 182370 del 29 de diciembre de 2010 del Ministerio de Minas y Energía, y las normas que la sustituyan o modifiquen.
Mes: Es el período de 28, 29, 30 ó 31 días, según el calendario común.
Pérdidas: Disminución del inventario de productos, incluidos combustibles líquidos y GLP, durante el transporte por la red de poliductos.
Período estándar de pagos al transportador,
: Tiempo durante el cual un transportador incumbente espera recibir el ingreso anual esperado,
, para remunerar un proyecto de
, definido en 20 años. Durante este período el transportador se obliga a operar y mantener el proyecto de
, incluyendo el abandono y, a cumplir las demás obligaciones adquiridas con la ejecución del proyecto.
Período tarifario, t: Plazo tarifario regulado por la presente resolución, el cual ccorresponde a cinco (5) años. Este tiempo inicia a partir de la entrada en vigencia de la presente resolución. Vencido este período, la metodología continuará rigiendo hasta que se expida una nueva.
Período de vida útil: Es el tiempo definido técnicamente, en el cual un activo de transporte es operable cumpliendo con los estándares y normas vigentes de acuerdo con el tipo de activo descritos en el Anexo 8. Por razones de buen mantenimiento, es posible que algunos activos superen su período de vida útil y puedan tener períodos de vida útil remanente.
Poliducto: Ducto empleado para transportar combustibles líquidos o GLP, según lo definido en el artículo 2.2.1.1.2.2.3.88 del Decreto 1073 de 2015, o las normas que lo modifiquen, deroguen o sustituyan.
Poliducto dedicado: Es el conjunto de tuberías y accesorios de propiedad de una persona natural o jurídica que permite la conducción de combustibles líquidos de manera exclusiva para un único consumidor desde un sistema de transporte por poliducto o sistema de transporte, una fuente de producción de combustibles líquidos, CL, o un sistema de almacenamiento.
Propanoducto: Ducto empleado únicamente para transportar GLP.
Producto o Productos: Todos los combustibles líquidos derivados del petróleo, biocombustibles y sus mezclas, y el gas licuado de petróleo (GLP), que se transportan por el sistema o subsistema de transporte, conforme lo establecido en el artículo 3 de la resolución CREG 208 de 2021 o aquella que la modifique, adicione o sustituya.
Programa de Nuevas Inversiones, PNI: Son los valores eficientes de los proyectos que un transportador prevé poner en operación en cada año del período tarifario para mantener la integridad y seguridad de la infraestructura existente. El programa de nuevas inversiones no incluirá las inversiones del plan de abastecimiento de combustibles líquidos adoptado por el Ministerio de Minas y Energía, así como tampoco inversiones en activos tipo
.
Red de transporte. La red tipo de transporte corresponderá a aquellos poliductos incluidos en el Anexo 7 de la presente resolución. La Comisión podrá incorporar, mediante resolución, nuevos poliductos. En el proceso de aprobación de cargos se podrá seccionar o unir subsistemas.
Remitente: Agente de la cadena de distribución de combustibles líquidos previamente autorizado por el Ministerio de Minas y Energía que contrata el servicio público de transporte por poliducto para sus productos con un Transportador. Podrán ser Remitentes: Importador, Refinador, Comercializador mayorista de GLP, Almacenador, Distribuidor mayorista, Distribuidor minorista, Distribuidor de GLP y Gran consumidor, de acuerdo con lo establecido en el artículo 3 de la resolución CREG 208 de 2021 o aquella que la modifique, adicione o sustituya.
Sistema de transporte por Poliducto o sistema de transporte: Conjunto de activos de transporte que son de propiedad de un transportador y que son utilizados para ejercer la actividad de transporte de productos. Comprende todas las instalaciones físicas necesarias para el transporte de productos, entre estos, la tubería, las unidades de bombeo, las estaciones de medición, los sistemas de control, los sistemas auxiliares y las instalaciones de almacenamiento operativo de transporte, de acuerdo con lo establecido en el artículo 3 de la resolución CREG 208 de 2021 o aquella que la modifique, adicione o sustituya.
Subsistema de transporte por poliducto o subsistema: Agrupación de poliductos del sistema de transporte, comprendida entre uno o varios puntos de entrada y uno o varios puntos de salida, cuya operación puede ser individualizada por el transportador para asumir obligaciones de transporte por poliducto, definir un programa de transporte y determinar los balances de cantidad de producto, de acuerdo con lo establecido en el artículo 3 de la resolución CREG 208 de 2021 o aquella que la modifique, adicione o sustituya.
Subsistemas con aportes asociados al Margen Plan de Continuidad. Subsistemas o parte de estos sobre los cuales el Ministerio de Minas y Energía aprobó obras.
Tasa Promedio de Costo de Capital Remunerado, Td: Es la tasa que se utilizará para el cálculo de los cargos de transporte que permiten remunerar los costos de inversión reconocidos por la CREG.
Transportador por poliducto: Agente que realiza la actividad de transporte de productos por poliducto, y asume su custodia desde el momento en que los recibe en los puntos de entrada, y transfiere su custodia al remitente en los puntos de salida.
Transporte de productos: Actividad que consiste en movilizar combustibles líquidos o GLP y demás productos a través del Sistema de Transporte. Para el caso del GLP, se tendrá en cuenta la definición de Transporte de GLP que se contempla en la Resolución CREG 053 de 2008 o aquella que la modifique, adicione o sustituya.
Valor de reposición optimizado: Valor del Activo Equivalente Moderno -AEM (“Modern Equivalent Asset”), que ha sido optimizado desde el punto de vista de la ingeniería. Expresado en pesos de la fecha base.
Valor de reposición optimizado y depreciado: Valor de reposición optimizado ajustado por el método de depreciación lineal hasta alcanzar el período de vida útil de acuerdo con su antigüedad, con un valor residual. Expresado en pesos de la fecha base.
Valor residual. Porcentaje del valor de reposición optimizado, reconocido regulatoriamente para los activos que hayan superado el período de vida útil. Expresado en pesos de la fecha base. Se determina conforme lo definido en el Anexo 8 de la presente resolución.
ARTÍCULO 4. SIGLAS. A continuación, se presenta un listado de siglas que van a ser utilizados en la presente resolución:
| Sigla | Definición |
| CREG | Comisión de Regulación de Energía y Gas |
| MME | Ministerio de Minas y Energía |
| SIC | Superintendencia de Industria y Comercio |
| RTP | Reglamento de Transporte por Poliductos |
| kb | kilo barriles |
| kbd | kilo barriles día |
| kba | kilo barriles año |
| Gal | Galones |
| ONAC | Organismo Nacional de Acreditación de Colombia |
ARTÍCULO 5. LINEAMIENTOS GENERALES DE LA METODOLOGÍA. La metodología incluye los siguientes lineamientos generales:
a. Tipo. Corresponde a una metodología de corte transversal incluyendo depreciación en la inversión. En la aplicación de la metodología se deberá tener en cuenta lo siguiente para el cálculo de los cargos:
i. Para los gastos de AOM se considerará la información del año anterior.
ii. Para el análisis de la demanda se considerará la información del año anterior.
iii. En el caso de la inversión, se aplicará depreciación a los diferentes activos, considerando el año de entrada en operación comercial.
iv. Una vez aprobados los cargos, se realizará anualmente una actualización de las variables de los literales i, ii, iii, y se actualizarán los cargos considerando la información del año inmediatamente anterior con corte a 31 de diciembre.
b. Cargos. Los cargos calculados en la aplicación de la metodología son valores máximos regulados para cada Subsistema, expresados en pesos por galón (COP/gal), sin distinguir los productos que se transporten a través de la infraestructura.
c. Tasa de descuento: Los cargos se calcularán considerando una tasa de descuento en aplicación de la Resolución CREG 004 de 2021, o aquella que la modifique, adicione o sustituya.
d. La actualización de los cargos considerará:
i. Índice de precios al Productor IPP para las variables de inversión.
ii. Índice de precios al consumidor IPC para variables asociadas al AOM.
e. Aplicación de los cargos. Se realizará por distancia para cada Subsistema de cargo, salvo lo indicado en el Artículo 36.
REMUNERACIÓN INVERSIONES.
ARTÍCULO 6. LINEAMIENTOS GENERALES PARA LA REMUNERACIÓN DE LA BASE DE ACTIVOS. Para la valoración de los activos de Inversión se tendrá en cuenta:
a. La remuneración de cada uno de los activos se considerará a partir de la entrada en operación de los activos, y será depreciada de manera lineal hasta cumplir el período de vida útil, incluido en el Anexo 8.
b. Cuando un activo cumpla el período de vida útil se ajustará en la base de activos al valor residual incluido en el Anexo 8, siempre y cuando el transportador demuestre que se cumplen los siguientes aspectos:
i. La calidad en la prestación del servicio.
ii. Continuidad en el servicio.
iii. Seguridad en la operación.
c. En caso de no cumplir con i ó ii ó iii del literal b., el transportador deberá identificar los proyectos a incluir en la variable
para mantener el activo o remplazarlo presentando un análisis técnico, e incluirlo en la solicitud de cargos. La Comisión analizará la información y definirá si se remunera el valor residual o un nuevo activo.
d. La Comisión podrá iniciar, de oficio, las actuaciones administrativas tendientes a valorar los activos que cumplieron su vida útil y a ajustar los respectivos cargos regulados una vez se cumplan los plazos definidos en el Artículo 39.
e. La valoración de los activos que sean reemplazados se hará al costo de reposición optimizado del activo se hará considerando los mecanismos de valoración del Anexo 1.
f. Los inventarios operativos de combustibles propiedad de la empresa transportadora serán remunerados como un costo de oportunidad dentro del gasto de AOM.
PARÁGRAFO 1: El valor a reconocer si se repone un activo corresponde al costo de reposición optimizado del activo, expresado en pesos de la fecha base, calculado a partir de las disposiciones señaladas en el Anexo 1.
PARÁGRAFO 2: En ningún caso se efectuarán modificaciones al monto de las inversiones existentes ocasionadas por reemplazos de activos propios de la operación antes de concluir su período de vida útil, salvo lo señalado en el Artículo 16.
PARÁGRAFO 3: En la contabilidad se deberán diferenciar claramente: i) los gastos de AOM, de ii) las inversiones en reposición de activos.
PARÁGRAFO 4. Se excluirán de la inversión existente los terrenos e inmuebles relacionados con sedes administrativas, bodegas y talleres, así como las servidumbres. Dichos terrenos e inmuebles se remunerarán como un gasto de AOM.
PARÁGRAFO 5. Los terrenos sobre los que se desarrollen los proyectos
o
asociadas a las facilidades utilizadas en la operación de los sistemas de transporte, se excluirán de la inversión a reconocer. Dichos terrenos e inmuebles se remunerarán como un gasto de AOM.
PARÁGRAFO 6. La vigencia de la remuneración de los activos considerando la depreciación lineal, se detalla en el Artículo 50 de la presente resolución.
ARTÍCULO 7. CONSTRUCCIÓN DE LA BASE TARIFARIA. Para transportadores por poliductos que se encuentren operando al momento de ser expedida la presente resolución, se construirá la base de activos incluyendo los ductos, estaciones de bombeo, almacenamiento operativo, conexiones entre sistemas de transporte. El reconocimiento de inversiones se hará exclusivamente sobre aquellos activos que:
a. Hayan sido declarados por el agente que se encuentran en operación al momento de la solicitud tarifaria, en los formatos respectivos de acuerdo con lo dispuesto en el Artículo 43.
b. Estén debidamente soportados ante la CREG, de acuerdo con lo establecido en la presente Resolución.
c. Para la valoración de los activos que se incluyan en la base tarifaria la CREG podrá utilizar estudios previos, modelos de valoración, información reportada por los agentes, peritajes y demás información y actividades que considere pertinente.
ARTÍCULO 8. PROCESO CONSTRUCCIÓN BASE DE ACTIVOS. Para construcción de la base de activos se deberá considerar:
8.1. La comisión directamente, cuando lo considere pertinente, podrá utilizar la figura de auditoría o cualquiera que determine adecuada para realizar el levantamiento, actualización o verificación de la base de activos.
8.2. Como parte integral de la solicitud tarifaria, el transportador, podrá adjuntar un informe auditado sobre el levantamiento y actualización de la base de activos elaborado por un auditor independiente (persona jurídica), siempre y cuando cumpla con los siguientes requisitos:
8.2.1. Aspectos jurídicos
i. La persona jurídica, así como los profesionales que apoyen la valoración, deben contar con experiencia mínima de diez (10) años demostrada en la valoración de infraestructura de redes de transporte de hidrocarburos, preferiblemente en poliductos, oleoductos o gasoductos, y en aplicación de metodologías de valoración aceptadas en el sector energético y regulatorio. Así mismo debe demostrar conocimiento en evaluación de activos bajo normativas contables y técnicas relevantes, como NIIF, NIF o metodologías de regulación económica.
ii. La persona jurídica, así como los profesionales que apoyen la valoración, deben contar con certificaciones que acrediten su capacidad técnica, como registros en entidades nacionales de tasación, asociaciones internacionales de evaluación o certificaciones específicas en valoración de activos de infraestructura. Esta experiencia debe demostrarse en trabajos para entidades regulatorias o empresas del sector energético con altos estándares de evaluación.
iii. El auditor debe demostrar independencia respecto al transportador y demás agentes del mercado, sin conflictos de interés[5]. Además, no debe haber vínculos comerciales o contractuales durante los dos (2) últimos años previos al inicio de la contratación que puedan afectar la imparcialidad del avalúo.
iv. El auditor debe presentar un enfoque metodológico alineado con estándares internacionales, particularmente se busca la valoración de la infraestructura a partir de las metodologías de Valor de Reposición a Nuevo (VRN) y Costo de Reposición Optimizado y Depreciado (CROD).
v. El auditor debe documentar detalladamente el proceso de valoración, permitiendo su verificación posterior. Así mismo debe demostrar el uso de información trazable, basada en fuentes objetivas y verificables, así como socializar la metodología y resultados con el regulador. Como parte del reporte que el transportador realizará a la Comisión se deberán entregar todas las memorias y hojas de cálculo en donde se incluyan la totalidad de las formulaciones para cada una de las metodologías de valoración, de tal manera que, la Comisión pueda realizar seguimiento completo a los análisis realizados.
vi. La persona jurídica debe operar bajo normativas éticas y de cumplimiento establecidas para la valoración de activos en Colombia, y no debe estar involucrada en investigaciones o sanciones por prácticas desleales o fraudulentas.
vii. El reporte de la información y los soportes que deberá entregar el auditor deberá ser declarado acorde con los formatos definidos en la metodología de remuneración de transporte por poliductos y GLP.
8.2.2. Aspectos técnicos.
i. El desarrollador del estudio deberá identificar la base de activos, la cual se deberá incluir la información reportada en los formatos dispuestos por la presente metodología en el Artículo 43.
ii. A partir de la información identificada del estado de los activos, estudios de integridad y demás análisis técnicos deberá identificar la vida útil, la vida útil remanente y el valor residual de los activos con el nivel de detalle definido en los formatos dispuestos por la presente resolución, en todo caso podrá integrar mayores niveles de detalle en los formatos dispuestos aplicando las instrucciones incluidas en los respectivos formatos.
iii. Se deberá incluir los soportes técnicos asociados al numeral ii.
iv. Dentro la información a incluir en la base de activos:
a. Valor de reposición a nuevo.
b. Valor depreciado aplicando la depreciación lineal.
c. Fecha de puesta en operación.
d. La confirmación por parte del consultor de que la infraestructura propuesta en los formatos es necesaria para la prestación de un servicio seguro y confiable. Aportar los soportes tales como corridas Smart pig y análisis de integridad entre otros.
PARÁGRAFO 1. La posibilidad de adjuntar, como parte integral de la solicitud tarifaria, un informe auditado sobre el levantamiento y actualización de la base de activos no implica la aceptación integral de contenido, toda vez que cuando lo Comisión lo considere puede hacer uso de lo establecido en el numeral 8.1 de este artículo y demás análisis que considere pertinente.
PARÁGRAFO 2. La infraestructura a partir de la cual se construye la base de activos a remunerar al transportador por poliducto deberá ser de utilización exclusiva del servicio de transporte de productos definido en la presente resolución. Infraestructura enfocada al transporte de crudos, generación de electricidad u otras actividades que no estén relacionadas con la prestación del servicio, no será considerada en la base de activos referida en este numeral.
PARÁGRAFO 3. Una vez se haya realizado la valoración de infraestructura, se descontarán los aportes asociados al margen plan de continuidad para los activos que corresponda y se construirá la base de activos a remunerar al transportador por Poliducto.
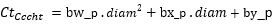
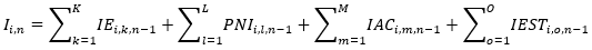
ARTÍCULO 9. INVERSIÓN EXISTENTE,
. Para la determinación de la inversión existente se utilizará la siguiente ecuación:
![]()
Donde:
| Valor del activo | |
| Valor de la inversión existente en poliducto | |
| Valor de la inversión existente en la estación de bombeo para el Subsistema | |
| Valor de la inversión existente para el tanque de almacenamiento operativo | |
| Fecha Base para los cargos. |
PARÁGRAFO 1. Se excluirán de la inversión existente los terrenos e inmuebles relacionados con sedes administrativas, bodegas y talleres. Dichos terrenos e inmuebles se remunerarán como un gasto de
.
PARÁGRAFO 2. Los terrenos sobre los que están construidas estaciones de bombeo, así como terminales y demás facilidades dentro de la operación de los sistemas de transporte, se excluirán de la inversión a reconocer. Dichos terrenos e inmuebles se remunerarán como un gasto de
.
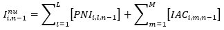
ARTÍCULO 10. PROGRAMA DE NUEVAS INVERSIONES -
.
Para la estimación de esta variable se aplicará el siguiente procedimiento:
a) El transportador declarará a la CREG el programa de nuevas inversiones distintas a poliductos, tanques de almacenamiento y estaciones de bombeo que proyecta realizar durante el período tarifario
, expresado en pesos de la fecha base. Así mismo, deberá declarar la fecha de entrada en operación de estos activos. Para tal efecto, el transportador deberá declarar la información en los formatos acorde a lo dispuesto en el Artículo 43.
b) La CREG establecerá el valor eficiente de estos activos a partir de costos eficientes de otros activos comparables, u otros criterios de que disponga, y con base en lo establecido en el Anexo 1 y la información reportada según el Artículo 43.
c) Cuando el activo incluido en el programa de nuevas inversiones,
, entre en operación, el transportador deberá declararlo a la Comisión con los respectivos soportes, según el Artículo 43.
d) El transportador, en su solicitud de cargos, deberá informar el cronograma para proyectos del programa de nuevas inversiones considerando los siguientes aspectos.
i. En el plazo definido en el Artículo 39, junto con la solicitud de cargos, el transportador deberá entregar un cronograma con el diagrama Gantt en concordancia con el Artículo 43, donde se incluya la ruta crítica para cada proyecto del PNI.
ii. Para propanoductos y activos dedicados al transporte de GLP, este cronograma deberá ser reportado a la SSPD para lo relativo a su competencia.
iii. Para activos asociados a combustibles líquidos distintos a GLP, el cronograma deberá ser reportado al Ministerio de Minas y Energía.
iv. En caso de modificaciones a las fechas de puesta en operación comercial establecidas en el cronograma de cada proyecto del PNI, el transportador deberá comunicar formalmente los cambios y la justificación de los mismos a la CREG en los formatos referidos en el Artículo 43 con copia a la SSPD o al Ministerio de Minas y Energía, siguiendo los lineamientos de los literales ii. y iii.
v. Las inversiones
no podrán corresponder a poliductos que busquen reemplazar infraestructura existente antes de terminar su período de vida útil.
vi. Las inversiones de
se incluirán en los cargos adoptados con base en la metodología de la presente resolución en el momento de su entrada en operación comercial, para lo cual se restará de la base tarifaria el valor del activo que se reemplace cuando haya lugar.
PARÁGRAFO 1. Se excluirán del programa de nuevas inversiones los terrenos e inmuebles relacionados con sedes administrativas, bodegas y talleres. Los terrenos e inmuebles que se requieran exclusivamente para la prestación del servicio de transporte por ductos se remunerarán como un gasto de
.
PARÁGRAFO 2. Los terrenos sobre los que se desarrollen las facilidades utilizadas en la operación de los sistemas de transporte se excluirán de la inversión a reconocer. Dichos terrenos e inmuebles se remunerarán como un gasto de
.
PARÁGRAFO 3. La vida útil normativa de los activos
se empezará a contar a partir del mes siguiente de la fecha de entrada en operación comercial.
PARÁGRAFO 4. Si se trata de obras de geotecnia, la Comisión analizará la razonabilidad de incluir dichos valores en la base tarifaria, teniendo en cuenta los siguientes criterios: (i) que estén debidamente justificados; (ii) que, al momento de realizar la obra, el poliducto sobre el cual se realizó tenga más de cinco años de haber entrado en operación comercial; (iii) no se incluirán valores que puedan estar cubiertos con pólizas de seguros.
PARÁGRAFO 5. Considerando lo señalado en el Artículo 8, respecto a la posibilidad de que el transportador por poliducto pueda adjuntar, como parte integral de la solicitud tarifaria, un informe auditado sobre el levantamiento y actualización de la base de activos, en caso de adjuntarlo deberá integrar un capituló donde se sustenten las inversiones propuestas en el programa de nuevas inversiones -
.
ARTÍCULO 11. INVERSIONES EN AUMENTO DE CAPACIDAD -
.
Para la estimación de esta variable se aplicará el siguiente procedimiento:
a. Se consideran como inversiones de ampliación de capacidad
poliductos, estaciones de bombeo y tanques de almacenamiento operativo.
b. El transportador declarará a la CREG las inversiones en aumento de capacidad que proyecta realizar durante el período tarifario
, expresado en pesos de la fecha base. Así mismo, deberá declarar la fecha de entrada en operación de estos activos. Cuando se trate de poliductos, estaciones de bombeo y cuando se trate de tanques de almacenamiento, en los formatos acorde a lo definido en el Artículo 43.
c. La CREG establecerá el valor eficiente de estos activos a partir del valor de referencia obtenido con base en lo establecido en el Anexo 1, y la información reportada según lo definido en el Artículo 43 de la presente Resolución. Estos valores corresponderán a las inversiones en aumento de capacidad -
.
d. Cuando un poliducto, una estación de bombeo o un tanque de almacenamiento operativo propuestos por el agente transportador en la solicitud tarifaria y aprobado por la CREG para ser incluido en las inversiones en aumento de capacidad,
, entre en operación, el transportador deberá declarar a la Comisión el valor final del respectivo activo. Estos valores se deberán declarar en los formatos del Anexo 3 de la presente Resolución y deberán estar expresados en pesos de la fecha base.
e. El transportador, en su solicitud de cargos, deberá informar el cronograma para proyectos
considerando los siguientes aspectos:
i. En el plazo definido en el Artículo 39, el transportador deberá entregar un cronograma con el diagrama Gantt en concordancia con el Artículo 43, donde se incluya la ruta crítica para cada proyecto
.
ii. Para propanoductos y activos dedicados al transporte de GLP, este cronograma deberá ser reportado a la SSPD para lo relativo a su competencia.
iii. Para activos asociados a combustibles líquidos distintos a GLP deberá ser reportado al Ministerio de Minas y Energía.
iv. En caso de modificaciones a las fechas de puesta en operación comercial establecidas en el cronograma de cada proyecto del
, el transportador deberá comunicar formalmente los cambios y la justificación de los mismos a la CREG en los formatos en el Artículo 43, con copia a la SSPD y al Ministerio de Minas y Energía siguiendo los lineamientos de ii. y iii en el plazo definido en el Artículo 39.
v. Las inversiones de
se incluirán en los cargos adoptados con base en la metodología de la presente resolución en el momento de su entrada en operación comercial.
f. Si el valor final es distinto del valor de referencia reconocido en inversiones en aumento de capacidad,
, para cada poliducto, estación de bombeo o tanque de almacenamiento operativo, la Comisión determinará un valor ajustado
así:
Donde:
| Valor ajustado de inversión en aumento de capacidad correspondiente a un poliducto, o a una estación de bombeo o a un almacenamiento operativo. Este valor estará expresado en pesos colombianos de la fecha base. | |
| Valor aprobado para el poliducto, o estación de bombeo o almacenamiento operativo determinado con base en lo establecido en el Anexo 1 y en la información a declarar en el formato del que apliquen acorde la matriz señalada en el Artículo 43 de la presente resolución, y aprobado en inversiones en aumento de capacidad, | |
| Valor final del poliducto, o a una estación de bombeo o a un almacenamiento operativo determinado con base en la información reportada por el transportador en el formato del Anexo 3 de la presente resolución. Este valor estará expresado en pesos colombianos de la fecha base. | |
| Valor final del poliducto, o a una estación de bombeo o a un almacenamiento operativo determinado con base en la información reportada por el transportador en el formato del Anexo 3 de la presente resolución. Este valor estará expresado en pesos colombianos de la fecha de puesta en operación comercial. | |
| Índice de Precios al Productor Oferta Interna, reportado por el DANE para la fecha base. | |
| Índice de Precios al Productor Oferta Interna, reportado por el DANE para el mes de diciembre del año en que entró en operación comercial el activo. |
PARÁGRAFO 1. Se excluirán de las inversiones en aumento de capacidad los terrenos e inmuebles relacionados con sedes administrativas, bodegas y talleres. Dichos terrenos e inmuebles se remunerarán como un gasto de
.
PARÁGRAFO 2. Los terrenos sobre los que se construyan los proyectos
se excluirán de la inversión a reconocer. Dichos terrenos e inmuebles se remunerarán como un gasto de
.
PARÁGRAFO 3. La vida útil normativa para activos
se empezará a contar a partir del mes siguiente de la fecha de entrada en operación comercial.
PARÁGRAFO 4. La Comisión de Regulación de Energía y Gas y el Ministerio de Minas y Energía podrán auditar la información declarada en el Anexo 3 de la presente resolución y solicitar información adicional, si así lo consideran.
PARÁGRAFO 5. Considerando lo señalado en el Artículo 8, respecto a la posibilidad de que el transportador por poliducto pueda adjuntar, como parte integral de la solicitud tarifaria, un informe auditado sobre el levantamiento y actualización de la base de activos, en caso de adjuntarlo deberá integrar un capituló donde se sustenten las inversiones en aumento de capacidad -
.
ARTÍCULO 12. INVERSIONES DEL MARGEN PLAN DE CONTINUIDAD, IMPC. Para cada uno de los Subsistemas que tengan obras remuneradas a través del margen plan de continuidad, en el valor de las inversiones remuneradas mediante dicho margen se descontarán los aportes asociados a dicho margen y se construirá la base de activos a remunerar al transportador por Poliducto
ARTÍCULO 13. INVERSIONES EN ESTACIONES ENTRE TRANSPORTADORES
. Las inversiones en estaciones de transferencia entre transportadores que sean realizadas a partir de la entrada en vigencia de la presente resolución, harán parte de la base de activos a reconocer en el Subsistema de poliductos del transportador que requiera la estación.
ARTÍCULO 14. EVALUACIÓN BASE INVERSIONES NO INCLUIDAS EN EL PLAN DE INVERSIONES APROBADO PARA EL PERIODO TARIFARIO IFPNI. Se evaluarán considerando la metodología tarifaria que se apruebe para el siguiente periodo tarifario, teniendo en cuenta como mínimo que continúe en operación comercial, que esté debidamente justificada, y que, en criterio de la Comisión, se considere necesaria en el respectivo subsistema.
ARTÍCULO 15. INVERSIONES QUE SE EXCLUYEN DE LOS CARGOS DE TRANSPORTE. Las inversiones correspondientes a activos de conexión, puntos de entrada, puntos de salida, estaciones de entrada, estaciones de salida, estaciones para transferencia de custodia, sistemas de almacenamiento, estaciones de bombeo diferentes a las requeridas para el transporte de combustibles líquidos y GLP, y demás productos, no serán consideradas para los cálculos de los cargos de transporte. Los costos de estos activos serán cubiertos por los agentes o usuarios que se beneficien de los mismos.
ARTÍCULO 16. REEMPLAZOS DE ACTIVOS ANTES DE CONCLUIR LA VIDA ÚTIL. Ante la solicitud de reemplazos previos a cumplir la vida útil de los activos de infraestructura se consideran los siguientes criterios:
a. En caso de reemplazo por temas de índole técnico. En este caso, en la solicitud de cargos se relacionarán los activos que, por aspectos técnicos debidamente sustentados y soportados deben ser reemplazados antes de concluir su vida útil. Sobre estos activos, la CREG analizará la viabilidad de aceptar la solicitud para incluirlos en los planes de inversión. En el caso que se identifiquen después de la solicitud de cargos, se podrán incluir en la variable IFPNI para el siguiente periodo tarifario, teniendo en cuenta las consideraciones que tiene dicha variable.
b. En caso de que sean reemplazos derivados de actividades ilícitas se les aplicará en el literal a. En caso de ser un evento que, a juicio de la CREG afecta la continuidad del servicio, podrá ser considerado para ser incluido en la base de activos.
ARTÍCULO 17. INVERSIÓN,
. Para la determinación de la inversión se utilizará la siguiente ecuación:
![]()
Donde:
| Valor eficiente de la inversión a remunerar mediante los cargos calculados para el subsistema i en el año | |
| Valor de la inversión existente del activo | |
| Valor eficiente del activo | |
| Valor eficiente de la inversión | |
| Valor eficiente de la Inversión o para el año | |
| Número total de activos asociados a inversión existente | |
| Número total de activos asociados al plan de nuevas inversiones | |
| Número total de activos asociados a inversión de ampliación de capacidad | |
| Número total de activos asociados a inversión |
Para la estimación de las inversiones se aplicará el siguiente procedimiento:
a. El agente transportador reportará a la CREG las inversiones existentes al inicio del período tarifario
, expresado en pesos de la fecha base, considerando lo señalado Artículo 7.
b. Así mismo, deberá declarar la fecha de entrada en operación de estos activos.
c. Para tal efecto, el transportador deberá declarar la información de que trata el Artículo 43 de la presente Resolución.
d. Para la estimación de las variables de esta ecuación se tendrán en cuenta los siguientes elementos:
i. Para expresar estas variables en pesos de la fecha base, se utilizará el Índice de Precios al Productor certificado por el DANE para los últimos doce meses (IPP).
ii. Para el caso de nuevos activos tales como poliductos, estaciones de bombeo y tanques de almacenamiento operativo, la CREG determinará el valor eficiente de estas inversiones a partir de lo establecido en el Anexo 1, y de la información reportada según el Artículo 43 de la presente Resolución. Este valor estará expresado en pesos de la fecha base.
iii. Cuando se trate de activos distintos a poliductos, estaciones de bombeo y tanques de almacenamiento operativo, la CREG determinará el valor eficiente de estas inversiones a partir de costos eficientes de otros activos comparables u otros criterios de que disponga, a partir de lo establecido en el Anexo 1.
iv. En ninguna circunstancia se incluirán, en el monto de las Inversiones Existentes, aquellos activos propios de la operación retirados del servicio. En todo caso, en la solicitud tarifaria, dichos retiros deberán ser declarados, sin perjuicio de que la CREG pueda considerarlos retirados con base en información que tenga disponible
v. Estos retiros podrán ocasionar ajustes a los cargos vigentes durante el período tarifario respectivo, si la CREG lo considera necesario.
vi. La Comisión podrá realizar auditorías para verificar el inventario de los activos que se encuentren en operación y que sean declarados por el transportador en su solicitud tarifaria.
PARÁGRAFO 1. Durante la vigencia de esta metodología, la Comisión podrá actualizar parámetros tales como IVA, agenciamiento aduanero, gastos en puerto, bodegaje en puerto, gravamen arancelario, flete interno, flete internacional, y flete en el exterior, entre otros, que determinan los coeficientes que utilizan los modelos de valoración con la nueva información que se identifique en el mercado. El Director Ejecutivo de la CREG comunicará la actualización de los parámetros mediante circular. Los resultados del modelo actualizado sólo aplican para las nuevas inversiones a valorar a futuro.
ARTÍCULO 18. GESTIÓN DE ACTIVOS. En concordancia con el Decreto 1074 de 2015, Único Reglamentario del Sector Comercio, Industria y Turismo, modificado por el Decreto 1595 de 2015, del Ministerio de Comercio, Industria y Turismo, donde se establece la estructura del Subsistema Nacional de Calidad, y las funciones del Organismo Nacional de Acreditación de Colombia, ONAC, y los evaluadores de la conformidad, el transportador debe implementar un sistema de gestión de activos acorde con la norma ISO 55001 “Sistema de Gestión de Activos”, para lo cual dispondrá de dos (2) años contados a partir de la entrada en vigencia de resolución particular donde se aprueben los cargos, y certificarlo por un organismo de certificación de sistemas de gestión acreditado por ONAC bajo la norma ISO/IEC 17021-1 en un plazo de tres (3) años contados a partir de la entrada en vigencia de resolución particular donde se aprueben los cargos. El transportador deberá:
a. Entregar el plan de implementación en la solicitud de cargos en el plazo señalado en el Artículo 39 de la presente resolución. El plan debe incluir un documento explicativo del proyecto y un cronograma con el diagrama Gantt en concordancia con el Artículo 43.
b. En la implementación del sistema de gestión de activos, el Transportador debe, durante el primer año, realizar un diagnóstico de las brechas frente al cumplimiento de la norma, y el plan de trabajo para los próximos 2 años para obtener la certificación.
c. Cada año deberá reportar el avance del proyecto mediante el envío de un cronograma con el diagrama Gantt en concordancia con el Artículo 43.
d. Una vez obtenida la certificación, deberá remitirla a la CREG y al Ministerio de Minas y Energía.
ARTÍCULO 19. SEGUIMIENTO DE INTERRUPCIONES EN EL SERVICIO. El transportador deberá diligenciar la información de seguimiento de interrupciones y reportarlo anualmente acorde al formato dispuesto en el Artículo 43. La CREG, en resolución independiente, podrá incorporar incentivos para asegurar la continuidad del suministro de los productos transportados.
ARTÍCULO 20. REMUNERACIÓN DE INVERSIONES FUERA DE LOS PLANES DE INVERSIÓN IFPNI. Valor eficiente de la inversión que fue ejecutada en el período tarifario y que no estaba incluida en el programa de nuevas inversiones ni como parte de las inversiones en aumento de capacidad ni en el plan de abastecimiento de combustibles líquidos, que esté y continúe en operación comercial en el período tarifario siempre y cuando esté justificada, y en criterio de la Comisión, se considere necesaria para la prestación del servicio.
ARTÍCULO 21. INVERSIONES EN NUEVAS INICIATIVAS DE SUBSISTEMAS DE POLIDUCTOS,
. Para la determinación de la inversión de iniciativas para la construcción de nuevos Subsistemas, la CREG establecerá el valor eficiente de estos activos a partir de costos eficientes de otros activos comparables u otros criterios de que disponga. También se podrá utilizar el procedimiento establecido en el Artículo 11 y la valoración se podrá estimar a partir de lo incluido en el Anexo 1 y la información reportada según el Artículo 43 de la presente resolución.
GASTOS AOM.
ARTÍCULO 22. AOM PARA INVERSIÓN EXISTENTE
. Gastos de administración, operación y mantenimiento, para inversión existente,
. Para la estimación de esta variable se aplicará el siguiente procedimiento:
a. El transportador declarará a la Comisión los gastos de AOM registrados en su contabilidad en los últimos 5 años según el Artículo 43 de la presente resolución. Estos gastos se deberán desagregar por Subsistema y deberán estar expresados en pesos colombianos de la fecha base. En la solicitud de cargos el transportador deberá justificar los criterios para calcular el
por Subsistema.
b. Para el cálculo de los cargos se considerará el valor de AOM para cada Subsistema del año de la fecha base. Sin embargo, dado que el agente reporta los últimos 5 años, la CREG podrá hacer análisis de la información horizontales y verticales, entre otros, para determinar el valor eficiente a reconocer.
c. En caso de que el transportador tenga un valor del año de la fecha base superior a 1,1 veces del valor promedio, la CREG podrá incorporar en los cargos una señal diferente a la establecida en esta sección, con el objetivo de comprobar que efectivamente la empresa tiene un valor de AOM eficiente superior al promedio.
d. Los gastos de los agentes reductores de fricción DRA deben incluirse en el formato A04F1 según el Artículo 43 de la presente resolución. El agente deberá entregar un análisis técnico para soportar los costos en el plazo señalado en el Artículo 39.
ARTÍCULO 23. GASTOS DE ADMINISTRACIÓN, OPERACIÓN Y MANTENIMIENTO, ASOCIADOS AL PROGRAMA DE NUEVAS INVERSIONES -
. Para la estimación de esta variable se tendrá en cuenta el siguiente procedimiento:
a. El agente transportador deberá declarar la información de acuerdo con lo dispuesto en el Artículo 43 de la presente resolución. Estos gastos deberán estar expresados en pesos colombianos de la fecha base.
b. La CREG evaluará la eficiencia de los gastos indicados en el literal anterior, utilizando la mejor información disponible. Los valores resultantes de esta evaluación corresponderán a la variable
.
PARÁGRAFO 1: La Comisión realizará el ajuste tarifario a que haya lugar, con el fin de incluir en los cargos regulados el valor eficiente de los gastos de AOM asociados a inversiones de
que entren en operación. En los cálculos de los cargos no se incluirán gastos de AOM asociados proyectos de
que no hayan entrado en operación.
ARTÍCULO 24. GASTOS DE ADMINISTRACIÓN, OPERACIÓN Y MANTENIMIENTO ASOCIADOS A LAS INVERSIONES DE AUMENTO DE CAPACIDAD - IAC,
. Para la estimación de esta variable se tendrá en cuenta el siguiente procedimiento:
a. El transportador declarará a la Comisión los gastos de AOM asociados a cada proyecto de las inversiones en aumento de capacidad, de acuerdo con lo dispuesto en el Artículo 43. Estos gastos deberán estar expresados en pesos colombianos de la fecha base.
b. La CREG evaluará la eficiencia de los gastos indicados en el literal anterior, utilizando la mejor información disponible. Los valores resultantes de esta evaluación corresponderán a la variable
.
PARÁGRAFO 1: La Comisión realizará el ajuste tarifario a que haya lugar con el fin de incluir en los cargos regulados el valor eficiente de los gastos de AOM asociados a inversiones de
que entren en operación. En los cálculos de los cargos no se incluirán gastos de
asociados a proyectos de
que no hayan entrado en operación.
PARÁGRAFO 2: Los gastos de
declarados para
deberán ser como máximo el 4,07% del valor de la inversión respectiva para el primer año que declararon la operación comercial.
ARTÍCULO 25. GASTOS ASOCIADOS AL INVENTARIO OPERATIVO DE PROPIEDAD DEL TRANSPORTADOR -
. Corresponde a los gastos financieros por el capital de trabajo para contar con la disponibilidad de los productos que transporta el agente incluyendo los combustibles líquidos y GLP, incluidos en el inventario operativo de propiedad del transportador. Para la estimación de esta variable se aplicará el siguiente procedimiento:
a. Cada transportador reportará a la Comisión para su sistema de transporte, el volumen de productos incluyendo el GLP y combustibles líquidos de su propiedad, para cada producto
para cada Subsistema,
, (expresado en kb) y de acuerdo con lo dispuesto en el Artículo 43 como parte de la solicitud tarifaria, con corte a 31 de diciembre del año anterior de la solicitud.
b. En el cálculo, se utilizarán las condiciones físicas promedio de operación de los sesenta meses anteriores a la solicitud tarifaria.
c. Para los proyectos de
deberá realizar los cálculos teniendo en cuenta las condiciones físicas promedio de operación esperadas en el respectivo proyecto para los primeros doce (12) meses de operación. La CREG podrá verificar o solicitar ampliación de la información reportada por el transportador.
d. La CREG estimará el precio de los productos que transporta, incluyendo el GLP y combustibles líquidos,
, multiplicado por el volumen la
. Esta variable incluye los volúmenes asociados al lleno de línea de los ductos y a los fondos de tanques.
e. La CREG determinará el costo de oportunidad del capital invertido en el inventario operativo de los productos que transporta en el sistema incluidos GLP y combustibles líquidos de propiedad del transportador, para cada año del horizonte de proyección, con base en la siguiente expresión:

Dónde:

| Gastos asociados al inventario operativo de GLP y combustibles líquidos de propiedad del transportador para el Subsistema i. | |
| Valor eficiente de los productos considerados en el inventario operativo en pesos de la fecha base por gal. | |
| Costo de deuda, real antes de impuestos, calculada considerando la Tasa de descuento descrita en el Artículo 34. | |
| Volumen expresado en galones para el Subsistema | |
| Volumen expresado en galones para los ductos del Subsistema | |
| Volumen expresado en barriles para las existencias de tanques del Subsistema | |
| Por defecto será 0.29. En todo caso se podrá revisar en presencia de información complementaria aportada por el agente al momento de las actuaciones de actualización de cargos. Dicha información deberá ser debidamente soportada técnicamente para los casos específicos en los que se reciba la solicitud. |
PARÁGRAFO 1. Los costos o gastos asociados al inventario operativo registrados dentro de la contabilidad deberán ser discriminados en la solicitud tarifaria.
PARÁGRAFO 2. Estos valores se podrán revisar cada año y se podrán ajustar de acuerdo con las variaciones en las cantidades y precios de los productos transportados. En tal caso, se conservará el valor base aprobado en los cargos y se podrán incluir las variaciones para reconocer los valores eficientes.
PARÁGRAFO 3. El valor de la variable
será el correspondiente al valor eficiente que determine la CREG considerando los soportes que incluya el transportador. En todo caso, no podrá incluir costos de transporte.
PARÁGRAFO 4. La transición para que el transportador reembolse los valores del inventario operativo de propiedad de los remitentes será máximo de seis (6) meses desde la aprobación de los cargos particulares al Transportador por poliductos, en cumplimiento de lo establecido en la presente resolución. Las condiciones generales para realizar los reembolsos serán de mutuo acuerdo entre el transportador y los remitentes. Para definir el precio de los productos que entregó el remitente al transportador, se considerará el promedio de los últimos 3 meses. En caso de no llegar a un mutuo acuerdo en desarrollo del presente procedimiento, las partes podrán acudir a las instancias legales que estimen pertinentes.
PARÁGRAFO 5. Dentro del inventario operativo se incluirán los productos utilizados como cuñas.
ARTÍCULO 26. GASTOS EN CORRIDAS CON RASPADOR INTELIGENTE -
. Para la estimación de esta variable se aplicará el siguiente procedimiento:
a. El transportador reportará a la CREG la estimación de los gastos en corridas con raspador inteligente acorde a lo dispuesto en el Artículo 43. Así mismo, deberán anexar los soportes técnicos.
b. Anualmente deberá reportar los gastos de AOM, incluidos las corridas de raspadores inteligentes, acorde a lo dispuesto en el Artículo 43 en el formato A04F1.
c. Se reconocerá máximo una corrida con raspador inteligente cada cinco años. Estos gastos deberán ser expresados en pesos de la fecha base.
d. La Comisión evaluará la eficiencia de los gastos indicados en el literal anterior, utilizando la mejor información disponible. Los valores resultantes de esta evaluación corresponderán a la variable.
e. Los gastos en corridas con raspador inteligente se reconocerán únicamente para ductos de diámetros iguales o superiores a 4 pulgadas.
ARTÍCULO 27. GASTOS EN TERRENOS E INMUEBLES INVERSIÓN EXISTENTE -
. Para la estimación de esta variable se aplicará el siguiente procedimiento:
a. El transportador declarará a la Comisión el valor catastral de los terrenos, inmuebles y las escrituras de las servidumbres asociados a la prestación del servicio de transporte por poliductos por Subsistema, expresado en pesos colombianos de la fecha base. Estos valores se deben declarar de acuerdo con lo dispuesto en el Artículo 43.
b. La Comisión determinará el valor anual a incorporar en los gastos de AOM durante el horizonte de proyección, por Subsistema, calculado como el costo de deuda real, según definición en la metodología de tasa de descuento vigente, multiplicado por el valor catastral vigente reportado por el transportador. Este valor corresponderá a la variable
.
![]()
Donde:
| Gastos de administración, operación y mantenimiento asociados a gastos en terrenos e inmuebles para la inversión existente en el Subsistema i. Este valor estará expresado en pesos colombianos de la fecha base. | |
| Gastos asociados a predios para la inversión existente en el Subsistema i, expresado en pesos de la fecha base. | |
| Gastos asociados a servidumbres para la inversión existente en el Subsistema i, expresado en pesos de la fecha base. | |
| Costo de deuda real, según definición en la metodología de tasa de descuento vigente, |
ARTÍCULO 28. GASTOS EN TERRENOS E INMUEBLES INVERSIONES DE AMPLIACIÓN DE CAPACIDAD
. Para la estimación de esta variable se aplicará el siguiente procedimiento:
c. El transportador declarará a la Comisión el valor catastral de los terrenos, inmuebles y las escrituras de las servidumbres asociados a la prestación del servicio de transporte por poliductos por Subsistema, expresado en pesos colombianos de la fecha base. Estos valores se deben declarar de acuerdo con lo dispuesto en el Artículo 43.
d. La Comisión determinará el valor anual a incorporar en los gastos de AOM, durante el horizonte de proyección, por Subsistema, calculado como el costo de deuda real, según definición en la metodología de tasa de descuento vigente, multiplicado por el valor catastral vigente reportado por el transportador. Este valor corresponderá a la variable
.
![]()
Donde:
| Gastos de administración, operación y mantenimiento asociados a gastos en terrenos e inmuebles para la inversión en ampliación de capacidad en el Subsistema i. Este valor estará expresado en pesos colombianos de la fecha base. | |
| Gastos asociados a predios para la inversión existente en el Subsistema i, expresado en pesos de la fecha base. | |
| Gastos asociados a servidumbres para la inversión existente en el Subsistema i, expresado en pesos de la fecha base. | |
| Costo de deuda real, según definición en la metodología de tasa de descuento vigente, |
ARTÍCULO 29. REMUNERACIÓN DE INVERSIONES MENORES EN EL
,
. En la solicitud tarifaria el agente transportador deberá declarar los valores eficientes de las inversiones menores no incluidas en ninguna de las variables descritas en el CAPÍTULO II REMUNERACIÓN INVERSIONES. Estas inversiones menores deberán estar asociadas exclusivamente al servicio de transporte, para lo cual se deberá tener en cuenta lo siguiente:
a. El transportador deberá declarar los activos de inversiones menores por Subsistema para cada uno de los años del período tarifario
acorde a la clasificación definida en el Artículo 43.
b. Los períodos de vida útil serán los definidos en el Artículo 8.
c. Se deberá presentar la información acorde a lo estipulado en el Artículo 10.
d. Debido a que algunas inversiones menores son transversales a los Subsistemas, el agente transportador deberá, con criterios de eficiencia, desagregarlos por Subsistema.
ARTÍCULO 30. GASTOS DE ADMINISTRACIÓN, OPERACIÓN Y MANTENIMIENTO TOTALES. Los gastos AOM totales,
, serán los siguientes:
![]()
Donde:
| Gastos de administración, operación y mantenimiento totales para el año | |
| Gastos de administración, operación y mantenimiento de inversión existente para el año | |
| Gastos de administración, operación y mantenimiento para proyectos PNI para el año | |
| Gastos de administración, operación y mantenimiento para | |
| Gastos en corridas con raspador inteligente para el año | |
| Gastos de administración, operación y mantenimiento asociados al inventario operativo de propiedad del transportador para el año en el Subsistema | |
| Gastos de administración, operación y mantenimiento asociados a gastos en terrenos e inmuebles para la inversión existente para el año | |
| Gastos de administración, operación y mantenimiento asociados a gastos en terrenos e inmuebles para la inversión en ampliación de capacidad para el año | |
| Gastos asociados a inversiones menores para el año |
ARTÍCULO 31. ELEMENTOS EXCLUIDOS GASTOS DE ADMINISTRACIÓN, OPERACIÓN Y MANTENIMIENTO
. Para el cálculo de los gastos de AOM se excluirán los siguientes conceptos.
a. Asociados a puntos de entrada y salida.
b. Asociados a oleoductos.
c. Asociados a puertos, llenaderos, cargaderos y descargaderos.
d. Asociados con servicios prestados a terceros - servicios industriales.
e. Asociados al almacenamiento comercial.
f. Asociados al plan margen de continuidad.
g. Asociados a activos de conexión de otro agente o activos de conexión de usuarios.
h. Asociados con la reposición de activos.
i. Asociados con los costos de la inversión en infraestructura.
j. Asociados a otras actividades que a partir de los análisis la CREG considere que deben ser excluidos.
k. Demás incluidos en el Anexo 4.
DEMANDAS Y FACTOR DE UTILIZACIÓN.
ARTÍCULO 32. DEMANDAS TRANSPORTADAS POR LOS SUBSISTEMAS. La demanda que va a ser considerada en los cargos, se determinará de conformidad con lo dispuesto a continuación:
a) El transportador reportará las demandas por subsistema de los últimos 5 años de los productos transportados, incluyendo combustibles líquidos y GLP, discriminando las demandas de los proyectos que forman parte de las IAC. El reporte debe realizarse de acuerdo con la clasificación definida en el Artículo 43.
b) Para el cálculo de los cargos se considerará el valor de demanda para cada Subsistema del año de la fecha base. Sin embargo, dado que el agente reporta los últimos 5 años, la CREG podrá hacer análisis de la información para determinar el valor a reconocer en la primera aprobación de cargos.
c) Cuando se trate de un Subsistema con condición de contraflujo, las demandas esperadas a reportar por el transportador corresponderán a los volúmenes agregados esperados en ambas direcciones. Además, el transportador deberá reportar dichas demandas para cada dirección contractual. El reporte debe realizarse de acuerdo con la clasificación definida en el Artículo 43.
d) Adicionalmente, el transportador deberá declarar la capacidad total contratada por Subsistema, desagregada por tipo de remitente. El reporte debe realizarse de acuerdo con la clasificación definida en el Artículo 43.
e) Para proyectos
no se modificarán las demandas consideradas en los cargos.
f) Para proyectos IAC, el agente deberá presentar, de acuerdo con la clasificación definida en el Artículo 43, la proyección de demandas, para lo cual se seguirá el siguiente procedimiento:
i. Una vez se inicie el trámite administrativo tendiente a resolver la solicitud tarifaria, el Director Ejecutivo de la CREG publicará, mediante circular, las demandas reportadas por el transportador.
ii. Durante los quince (15) días hábiles siguientes a la publicación de la circular de la CREG, los terceros interesados podrán enviar preguntas y comentarios a la CREG en relación con los valores de demanda del transportador. De estas preguntas y comentarios se dará traslado al transportador para que, en un término máximo de quince (15) días hábiles siguientes al recibo, responda las preguntas y se pronuncie sobre los comentarios, en documento que deberá presentar a la CREG dentro de este último plazo.
iii. La CREG analizará la información, la confrontará con la disponible en la Comisión y podrá solicitar explicaciones al transportador, de acuerdo con los elementos de juicio que tenga a su disposición.
iv. En todo caso, no se admitirán demandas proyectadas por Subsistema, para el período de vida útil normativa, inferiores a aquellas que resulten de aplicar el factor de utilización normativo.
g) Las ecuaciones para determinar las demandas que van a ser incluidas en los cargos son:
![]()
Donde:
| Demanda transportada en el Subsistema | |
| Demanda de transporte de productos, incluidos combustibles líquidos y GLP, en el Subsistema | |
| Demanda de transporte de productos, incluidos combustibles líquidos y GLP, en el Subsistema |
PARÁGRAFO 1. Las pérdidas que podrá considerar el transportador al incluir los valores netos de demanda en la solicitud tarifaria serán hasta 0.5% en volumen.
PARÁGRAFO 2. La demanda transportada para las variables,
,
,
será el mayor valor entre la capacidad contratada y la demanda efectivamente transportada.
ARTÍCULO 33. CÁLCULO DEL FACTOR DE UTILIZACIÓN. Para la determinación del factor de utilización se utilizará la siguiente ecuación:
![]()
Donde:
| Factor de utilización para el Subsistema | |
| Demanda de transporte de productos, incluyendo combustibles líquidos y GLP, correspondiente al año | |
| Capacidad efectiva, la cual será determinada a partir del cálculo de la capacidad máxima de mediano plazo (CMMP) de transporte del Subsistema i de productos transportables, incluyendo combustibles líquidos o GLP, en gal, calculada por el transportador con modelos de dinámica de flujo de productos, utilizando los parámetros técnicos específicos del fluido y del ducto, así como los procedimientos y las presiones de entrada y salida que declara acorde a la clasificación definida en el Artículo 43, y cuyo procedimiento está definido en el Anexo 5. Esta variable se mantendrá constante, salvo que el transportador explícitamente señale que se cambia la CMMP. |
En caso de que el transportador no reporte esta información, la Comisión tendrá en cuenta la mejor información disponible, de acuerdo con los siguientes casos:
a. Caso 1: El factor de utilización: es mayor al FUN.
Si el factor de utilización
de un Subsistema es mayor al factor de utilización normativo, entonces los volúmenes para el cálculo del Cargo serán los reportados por los agentes.
b. Caso 2: El factor de utilización
: es menor al FUN.
Si el factor de utilización de un Subsistema es menor al factor de utilización normativo (FUN), entonces los volúmenes para el cálculo del Cargo serán aquellos consistentes con el factor de utilización normativo, así:
![]()
Donde:
| Demanda del Subsistema | |
| Factor de utilización normativo, que corresponde al 0.7 para todos los Subsistemas. | |
| Capacidad efectiva, la cual será determinada a partir del cálculo de capacidad máxima de mediano plazo (CMMP) de transporte del Subsistema |
PARÁGRAFO 1. Para el cálculo de la capacidad máxima de mediano plazo (CMMP) el transportador deberá aplicar el procedimiento establecido en Anexo 5 de la presente resolución. Esta capacidad deberá estar desagregada para el sistema, sin inversiones de IAC y con inversiones IAC para cada uno de los proyectos, declarada de acuerdo con la clasificación definida en el Artículo 43.
PARÁGRAFO 2. Para la conversión de barriles a galones se utilizará como valor 42 gal/barril.
PARÁGRAFO 3. Densidad GLP considerada de 2,08 kg/gal, para los casos cuando no se tenga la información de la medición real en términos del código de medida de GLP, Resolución CREG 237 de 2020 o aquella que la sustituya adicione o modifique.
PARÁGRAFO 4. En los subsistemas donde el transportador identifique que estructuralmente no pueda adelantar la gestión para cumplir con un factor de utilización del 70% deberá en la solicitud de cargos declararlo y documentar las acciones que ha llevado a cabo para buscar cumplir el FU normativo y las respectivas justificaciones que soporten la situación. La CREG evaluará el FU eficiente.
PARÁGRAFO 5. La capacidad de cada uno de los subsistemas a considerar en los cálculos siempre será la capacidad efectiva de los ductos.
TASA DE DESCUENTO.
ARTÍCULO 34. TASA DE DESCUENTO,
. Para la determinación de los cargos máximos regulados de transporte de combustibles líquidos y GLP por ductos, y de la infraestructura de almacenamiento, la CREG utilizará la metodología contenida en la Resolución CREG 004 de 2021 o aquella que la modifique, adicione o sustituya.
ARTÍCULO 35. ACTUALIZACIÓN DE LA TASA DE DESCUENTO
. Cuando alguna de las variables distintas a la tasa de descuento
involucre un ajuste de cargos, se utilizará la tasa actualizada
, calculada aplicando la Resolución CREG 004 de 2021 o aquella que la modifique, adicione o sustituya en las actualizaciones de los cargos.
METODOLOGÍA PARA CALCULAR LOS CARGOS REGULADOS POR SERVICIO DE TRANSPORTE.
ARTÍCULO 36. CARGO REGULADO POR SERVICIO DE TRANSPORTE. La CREG establecerá el cargo regulado para remunerar los costos de inversión y gastos de AOM, aplicable al servicio de transporte para cada Subsistema, correspondiendo a cargos por distancia, incluyendo las alternativas de agregar o seccionar subsistemas, mediante el siguiente procedimiento:
a. Por distancia: Calcular el cargo para cada Subsistema de transporte, de acuerdo con la siguiente expresión:

Donde:

![]()
![]()
Donde:
| Cargo calculado para cubrir los costos de inversión y AOM para el año | |
| Valor total de la inversión existente depreciada al año | |
| Valor total de las inversiones | |
| Valor total de las inversiones a retirar de la base de activos del Subsistema | |
| Tasa de descuento señalada en el Artículo 34. | |
| Valor inicial de la inversión para el activo | |
| Período de vida útil para el activo | |
| Valor de los gastos de administración, operación y mantenimiento, AOM, para el año | |
| Demanda transportada por el Subsistema | |
| Valor de la inversión existente para el año | |
| Valor eficiente del activo | |
| Valor eficiente de la inversión | |
| Valor eficiente de la Inversión | |
| Valor inicial de la inversión en la estación entre transportadores o del Subsistema | |
| Período de vida útil para el activo | |
| Número total de activos asociados a inversión existente | |
| Número total de activos asociados al plan de nuevas inversiones | |
| Número total de activos asociados a inversión de ampliación de capacidad | |
| Número total de activos asociados a inversión | |
| Número total de activos a retirar |
b. Por distancia incluyendo agregación entre Subsistemas: La Comisión podrá, dentro de los análisis de cargos, agregar Subsistemas, a partir de la solicitud expresa del transportador o por análisis propios, considerando la siguiente expresión:

Donde:

![]()
![]()
Donde:
| Cargo calculado para cubrir los costos de inversión y AOM para el año | |
| Valor total de la inversión depreciada de la inversión existente al año | |
| Valor total de las inversiones | |
| Valor total de las inversiones a retirar de la base de activos del Subsistema | |
| Tasa de descuento señalada en el Artículo 34. | |
| Valor inicial de la inversión para el activo | |
| Período de vida útil para el activo | |
| Valor de los gastos de administración, operación y mantenimiento, AOM, para el año | |
| Demanda de entrada a los Subsistemas | |
| Valor de la inversión existente para el año | |
| Valor eficiente del activo | |
| Valor eficiente de la inversión | |
| Valor eficiente de la Inversión | |
| Valor inicial de la inversión en la estación entre transportadores o del Subsistema | |
| Período de vida útil para el activo | |
| Número total de activos asociados a inversión existente | |
| Número total de activos asociados al plan de nuevas inversiones | |
| Número total de activos asociados a inversión de ampliación de capacidad | |
| Número total de activos asociados a inversión | |
| Número total de activos a retirar | |
| Subsistema i. | |
| Subsistema ii. | |
![]() | Sumatoria del Subsistema 1 hasta el Subsistema ii que se agregan. |
PARÁGRAFO 1. De manera general se calcularán los cargos considerando los subsistemas señalados en el Anexo 7 aplicando el literal a.
PARÁGRAFO 2. En el caso de solicitar seccionar subsistemas se aplicarán las ecuaciones del literal a., considerando la infraestructura, la demanda asociada y los gastos de AOM de los subsistemas seccionados, de acuerdo con la mejor información disponible.
PARÁGRAFO 3. Las actuaciones particulares que se deriven en la aplicación de la Resolución 104 001 de 2025 que modifica la Resolución CREG 180088 de 2003 en lo referente a los ajustes en el cargo Entregas locales y en muelles mantendrán la vigencia asociada al acto particular. Una vez fenecido este plazo se aplicarán las disposiciones establecidas en la presente resolución.
ARTÍCULO 37. ACTUALIZACIÓN DE CARGOS REGULADOS. Los cargos regulados se actualizarán considerando las etapas descritas en el literal a y b:
a. Al inicio del año n, el agente transportador actualizará los cargos regulados calculados de conformidad con el Artículo 36 de la presente Resolución, de acuerdo con la variación anual del IPP y del IPC mediante la siguiente fórmula:
![]()
Donde:


Dónde:
| Cargo regulado aplicable para el Subsistema i, expresado en pesos del año | |
| Cargo calculado para cubrir los costos de inversión y AOM para el año | |
| Factor de ponderación de inversión para el Subsistema | |
| Factor de ponderación de AOM para el Subsistema | |
| Es el índice de precios al productor de la serie oferta interna publicado mensualmente por el DANE para diciembre del año | |
| Es el índice de precios al productor de la serie oferta interna publicado mensualmente por el DANE para la fecha base. | |
| Es el índice de precios al consumidor, total nacional, reportado por el DANE, para diciembre del año | |
| Es el índice de precios al consumidor, total nacional, reportado por el DANE, para la fecha base. | |
| Año para el cual se actualiza la Cargo regulado. | |
| Valor inicial de las inversiones para el activo | |
| Período de vida útil para el activo | |
| Número total de activos en la base tarifaria para el Subsistema i. |
a. Anualmente el transportador deberá reportar las variables
,
,
,
,
hasta el último día hábil del mes de abril del año, considerando lo señalado en el Artículo 43 de la presente resolución. La Comisión procederá a actualizar los cargos incluyendo y retirando los activos, actualizando la información de AOM y ajustando las demandas. Las actualizaciones para los activos a incluir en la base de activos únicamente corresponderán a los activos aprobados en los planes de inversión PNI e IAC a partir de la solicitud de cargos, tanto para
como para
.
PARÁGRAFO 1. Para el caso de aplicar a la actualización a Subsistemas que se estampillen, se aplicará la misma ecuación considerando la adición Subsistemas incluida en el Artículo 36.
PARÁGRAFO 2.. La actualización de los cargos que se señala la sección b deberá aplicar lo definido en el Artículo 15.
ARTÍCULO 38. METODOLOGÍA GENERAL PARA LA APLICACIÓN DE CARGOS POR EL SERVICIO DE TRANSPORTE. La remuneración del servicio de transporte para los productos que sean transportados se basará en un esquema de cargos de paso, consistente en la suma de los cargos correspondientes a cada Subsistema comprendidos entre el punto de entrada y el punto de salida del sistema de transporte que contrata cada remitente.
ARTÍCULO 39. SOLICITUD DE APROBACIÓN DE CARGOS PARA SISTEMAS DE TRANSPORTE. A partir de la entrada en vigencia de la presente resolución, los agentes deberán solicitar la aprobación de cargos como se establece en los siguientes literales:
a. Para el caso de los sistemas de transporte cuyos cargos hayan sido definidos con base en la Resolución 180088 de 2003 del Ministerio de Minas y Energía y sus modificaciones, los agentes deberán presentar a la CREG una solicitud de aprobación de cargos que contenga la información exigida en la presente resolución, considerando las obligaciones de reporte incluidas en el Artículo 43.
b. Con el fin de definir los cargos que aplicarán en el período tarifario, los agentes deberán remitir dicha información dentro de los tres (3) meses siguientes a la fecha de entrada en vigencia de la presente resolución.
c. En caso de no recibir la información requerida dentro del plazo aquí previsto, la CREG iniciará de oficio las actuaciones administrativas tendientes a la aprobación de los cargos, para lo cual hará uso de la mejor información disponible.
ARTÍCULO 40. REQUISITOS PARA LA SOLICITUD DE NUEVA INFRAESTRUCTURA. Las empresas que decidan solicitar a la CREG la aprobación de cargos de transporte para nueva infraestructura deberán incluir en su solicitud:
a. Como requisito esencial, la aprobación o autorización proferida por el Ministerio de Minas y Energía, en los términos descritos en los artículos 54, 189 y 190 del Código de Petróleos o aquellos que los modifiquen, adicionen o sustituyan, y demás normas concordantes aplicables. Esta aprobación o autorización no puede tener más de treinta (30) días contados a partir de su expedición.
b. Información definida considerando las obligaciones de reporte incluidas en el Artículo 43.
ARTÍCULO 41. ACTUACIÓN PARA LA APROBACIÓN DE CARGOS DE TRANSPORTE DE COMBUSTIBLES LÍQUIDOS Y GLP. Las empresas solicitarán a la CREG la aprobación de cargos de transporte de acuerdo con el siguiente trámite:
a. La empresa remitirá a la CREG la información de acuerdo con lo previsto en el Código de Procedimiento Administrativo y de lo Contencioso Administrativo, y la demás información requerida según la presente resolución.
b. Después de recibida la solicitud con el cumplimiento de todos los requerimientos de información solicitados por la Comisión, se aplicará la metodología prevista para tales efectos, se definirá la propuesta de cargos por uso y se someterá a consideración de la CREG la resolución definitiva.
PARÁGRAFO 1. En la aprobación de cargos aplicarán las disposiciones del Código de Procedimiento Administrativo y de lo Contencioso Administrativo.
PARÁGRAFO 2. Contra la decisión mediante la cual la Comisión apruebe los cargos, procede el recurso de reposición, el cual podrá interponerse ante la Dirección Ejecutiva de la Comisión dentro de los cinco (5) días hábiles siguientes a la fecha en que sea notificada a las partes, según el caso.
ARTÍCULO 42. NEGOCIACIÓN DE CARGOS. Los cargos aprobados en la metodología son valores máximos. Los remitentes podrán negociar los cargos de mutuo acuerdo con el transportador y los valores deberán quedar incluidos en los respectivos contratos de transporte.
OTROS.
ARTÍCULO 43. OBLIGACIONES DE REPORTE DE INFORMACIÓN. Para efecto de reporte de información requerida en los artículos precedentes de esta Resolución, cada transportador deberá reportar a la CREG los siguientes conceptos.
a. Inversión existente para cada uno de los Subsistemas.
b. Programa de nuevas inversiones.
c. Inversiones en aumento de capacidad.
d. Otros gastos de AOM asociados a: la inversión existente, el programa de nuevas inversiones y las inversiones en aumento de capacidad
e. Demandas transporta por cada Subsistema de transporte.
f. Información asociada al Inventario operativo
g. Adicionalmente, para lo concerniente a lo establecido en el Anexo 5, cada transportador deberá enviar a la CREG las memorias del cálculo de las capacidades máximas de mediano plazo para cada poliducto. Estas memorias deben incluir todos los parámetros técnicos utilizados en el cálculo, así como las capacidades, presiones y extracciones en cada Subsistema y en cada punto de salida a lo largo del poliducto.
h. Incluir archivos georreferenciados de acuerdo con las instrucciones que se incluyen en los formatos para cada uno de los Subsistemas y cada estación de bombeo y tanque de almacenamiento operativo. Para cada uno de los Subsistemas se deberán discriminar los activos en: i) existentes, ii) del programa de nuevas inversiones, iii) inversiones en aumento de capacidad.
i. Como guía para adelantar las solicitudes, en la siguiente tabla se incluye la información a reportar acorde a la solicitud realizada:
Tabla 0-1 Información a reportar acorde a tipo de solicitud
| ID formato | Anexo | Formato | Título formato | Tipo de variable | Tipo de solicitud |
| A02F01_D | Anexo 2 | Formato 1 | Información para valorar poliductos | IE, IAC, Ini | incluir en la base de activos inversión existente y nueva inversión. |
| A02F01_S | Anexo 2 | Formato 1 | Información para valorar poliductos | IE, IAC, Ini | Incluir en la base de activos inversión existente y nueva inversión. |
| A02F02_D | Anexo 2 | Formato 2 | Información para valorar estaciones de bombeo | IE, IAC, Ini | Incluir Inversiones asociadas a estaciones de bombeo |
| A02F03_D | Anexo 2 | Formato 3 | Información para valorar tanque de almacenamiento | IE, IAC | incluir inversiones asociados al tanque de almacenamiento |
| A02F04_D | Anexo 2 | Formato 4 | Información para caracterizar proyectos PNI | PNI | Incluir Inversiones asocias al plan de inversiones |
| A02F05_D | Anexo 2 | Formato 5 | Información retiro de infraestructura | Ire | Declarar infraestructura a retirar |
| A02F06_D | Anexo 2 | Formato 6 | información inversiones existentes IE | IE | Declarar Inversiones asocias a inversiones existentes |
| A02F07_D | Anexo 2 | Formato 7 | Valor contable poliductos | IE | Declarar Inversiones asocias a inversiones poliductos |
| A02F08_D | Anexo 2 | Formato 8 | Valor contable oleoductos + otros | IE | Declarar Inversiones asocias a inversiones oleoductos |
| A02F09_D | Anexo 2 | Formato 9 | Información para caracterizar proyectos IAC | IAC | Incluir Inversiones ampliación de capacidad |
| A02F10_D | Anexo 2 | Formato 10 | Información para caracterizar proyectos de Inversiones Menores | inversiones menores | Incluir inversiones menores |
| A02F11_D | Anexo 2 | Formato 11 | Información para relacionar inversiones asociadas al margen del plan de continuidad | Margen Plan de continuidad | Declarar información Margen Plan de continuidad |
| A02F12_D | Anexo 2 | Formato 12 | Información para relacionar inversiones adicionales a los planes de inversiones PNI | Inversiones adicionales a PNI | Declarar información de la variable IFPNI |
| A03F1_D | Anexo 3. | Formato 1 | Información con costos reales de poliductos | IAC | Aplicar la banda de ajustes a proyectos de poliductos previamente valorados y construidos |
| A03F2_D | Anexo 3. | Formato 2 | Información con costos reales de estaciones de bombeo | IAC | Aplicar la banda de ajustes a proyectos de estaciones de bombeo previamente valorados y construidos |
| A03F3_D | Anexo 3. | Formato 3 | Información con costos reales de tanque de almacenamiento | IAC | Aplicar la banda de ajustes a proyectos de tanques previamente valorados y construidos |
| A04F01_D | Anexo 4 | Formato 1 | Gastos de administración operación y mantenimiento, AOM, por Subsistema | AOM:IE, IAC, PNI, | Declarar información AOM |
| A04F02_D | Anexo 4 | Formato 2 | Certificación Gastos de administración operación y mantenimiento, AOM | AOM:IE, IAC, PNI, | Declarar certificación AOM |
| A04F03_D | Anexo 4 | Formato 3 | Reporte de servidumbres | AOM:IE, IAC, PNI, | Declarar servidumbres |
| A04F03_P | Anexo 4 | Formato 3 | Reporte de servidumbres_proyectos | AOM:IE, IAC, PNI, | Declarar servidumebres |
| A04F04_D | Anexo 4 | Formato 4 | Reporte de Predios | AOM:IE, IAC, PNI, | Declarar Predios |
| A04F04_P | Anexo 4 | Formato 4 | Reporte de Predios_proyectos | AOM:IE, IAC, PNI, | Declarar informacion Predios IAC |
| A04F05_D | Anexo 4 | Formato 5 | Reporte proyección corrida de raspadores por Subsistema. | AOM: rapadores inteligentes | Declarar información corridas raspadores |
| A05F01_D | Anexo 5 | Formato 1 | Información utilizada para el cálculo de la CMMP | IE, IAC, IPATCL | Declarar información Capacidad máxima de mediano plazo |
| A05F02_D | Anexo 5 | Formato 2 | Especificaciones de los productos transportados | IE, IAC, IPATCL | Declarar información especificaciones productos |
| A05F03_D | Anexo 5 | Formato 3 | Perfil de demanda horario | IE, IAC, IPATCL | Declarar perfil de demanda |
| A06F01_D | Anexo 6 | Formato 1 | Información histórica de demanda por sistema | D | Declarar demanda histórica subsistema |
| A06F02_D | Anexo 6 | Formato 2 | Información histórica de demanda por punto de entrada | D | Declarar demanda histórica punto d entrada |
| A06F03_D | Anexo 6 | Formato 3 | información de demanda proyectada de los proyectos IAC | D IAC | Demanda proyectada IAC |
| A06F04_D | Anexo 6 | Formato 4 | Información capacidad | IE, IAC | Declarar capacidad efectiva |
| A06F05_D | Anexo 6 | Formato 5 | Información llena de línea poliductos | IE, IAC | Declarar lleno de línea |
| A06F06_D | Anexo 6 | Formato 6 | Información existencias tanques | IE, IAC | Declarar existencias de tanques |
| A06F11_D | Anexo 6 | Formato 11 | Información de interrupciones del servicio para cada Subsistema | IE | Declarar interrupciones |
| A06F12_D | Anexo 6 | Formato 12 | información de compras combustibles para el balance de lleno de línea | AOM | Declarar lleno de línea |
PARÁGRAFO 1. Para propanoductos aplicarán los mismos requisitos de información que se incluyen en la presente resolución para poliductos.
PARÁGRAFO 2. Para toda solicitud se deberá llenar el formato Datos Empresa incluido en el archivo Excel adjunto a la presente resolución que incluye los formatos de la resolución, teniendo y cuenta los términos y condiciones.
PARÁGRAFO 3. En caso de considerarlo pertinente, la CREG publicará posteriormente un archivo para validar los formatos a reportar.
PARÁGRAFO 4. Los archivos deben enviarse a la CREG en formato pdf firmados y en archivo Excel.
ARTÍCULO 44. ACTUALIZACIÓN DE LOS FORMATOS. Mediante circular de la Dirección Ejecutiva de la CREG, la Comisión podrá ajustar los formatos de los anexos que se incluyen en la resolución o integrar nuevos cuando sea necesario, así como la forma de reportar.
ARTÍCULO 45. MECANISMO DE REPORTE DE INFORMACIÓN A LA CREG. Cada agente deberá reportar a la CREG, los archivos con la información solicitada en los anexos de esta resolución. La CREG definirá mediante Circular el procedimiento de reporte de información.
ARTÍCULO 46. DIVULGACIÓN DE INFORMACIÓN. Además de la información requerida en el RTP, el agente deberá mantener actualizada la siguiente información en su Boletín de Transporte por Poliducto – BTP por cada Subsistema:
a. Cargos regulados para la prestación del servicio de transporte
b. Capacidad contratada para cada año de los siguientes veinte años.
c. Capacidad efectiva de cada Subsistema, en cada dirección, cuando se presente condición de contraflujo.
d. Duración promedio de los contratos, ponderada por capacidad contratada.
e. El transportador no podrá aplicar cargos establecidos que no haya publicado previamente.
f. El transportador deberá incluir un formato para que le sean declaradas las solicitudes de capacidad de transporte de los interesados esta información la deberá presentar acorde al Artículo 43.
ARTÍCULO 47. POLIDUCTO DE CONEXIÓN. El productor, importador o distribuidor mayorista puede construir un poliducto de conexión desde la fuente de producción o el punto de importación, hasta el sistema de transporte o hasta el sitio de demanda. Sobre este poliducto de conexión aplicará el libre acceso, conforme a las siguientes reglas.
a. En ningún caso se considerará como poliducto de conexión aquella infraestructura dirigida a hacer bypass al Sistema de transporte o a algún Subsistema.
b. En cualquier caso, el productor o importador deberán entregar los combustibles líquidos bajo especificaciones técnicas vigentes.
c. El productor o importador deberá facilitar el acceso e interconexión de otras empresas o entidades que prestan servicios públicos, o de usuarios no regulados, cuando sea técnicamente viable y el propietario del poliducto de conexión proyecte contar con capacidad disponible tras cubrir su demanda proyectada para el largo plazo.
d. En caso de que el productor o importador tenga solicitudes de contratar capacidad para transportar a terceros, la infraestructura deberá ser operada por un Transportador por poliducto, y deberán solicitar cargos a la CREG, para lo cual tendrá un plazo máximo de 6 meses.
ARTÍCULO 48. POLIDUCTOS DEDICADOS. Los usuarios no regulados en GLP, los grandes consumidores y almacenadores en combustibles líquidos, entre otros, podrán construir un poliducto dedicado considerando los siguientes lineamientos:
a. Mientras sea de uso exclusivo, no requiere solicitar cargos a la CREG.
b. Este poliducto debe tener libre acceso a terceros, si técnicamente es posible, considerando la demanda actual y proyectada del propietario del poliducto dedicado.
c. Si hay una solicitud de conexión de cualquier agente de la cadena de valor de combustibles líquidos o GLP, y esta es técnicamente factible, el servicio deberá ser prestado por un transportador, quien deberá solicitar cargos a la CREG. En este caso, el poliducto ya no será dedicado, y pasará a ser de uso y le serán aplicables todas las disposiciones contenidas en esta resolución.
ARTÍCULO 49. PROPIEDAD DE LOS ACTIVOS DE TRANSPORTE. Con excepción de los casos previstos en los Artículo 47 y 48 de la presente resolución, cuando un agente que no sea un transportador, sea propietario de activos de transporte, tendrá las siguientes opciones:
a. Convertirse en un transportador.
b. Conservar su propiedad y ser remunerado por quien los utilice, en los términos que establece el Código de Petróleos.
c. Venderlos a un transportador.
Cuando un transportador utiliza activos de terceros, debe remunerar a los propietarios de dichos activos. El propietario de estos activos será el responsable por su administración, operación y mantenimiento.
PARÁGRAFO: En caso de que el agente tenga integración vertical dentro de la cadena de valor de combustibles líquidos deberá informar y solicitar concepto a al Ministerio de Minas y Energía si desea convertirse en transportador.
ARTÍCULO 50. VIGENCIA DEPRECIACIÓN LINEAL DE LOS ACTIVOS. La aplicación de la remuneración de los activos considerando la depreciación lineal, estará vigente hasta el vencimiento de la presente metodología. Lo anterior implica que estas condiciones se podrán ajustar cuando entre en vigencia una nueva metodología conforme a los análisis que adelante la CREG.
ARTÍCULO 51. VIGENCIA DE LOS NUEVOS CARGOS. Los cargos aprobados con base en la presente resolución estarán vigentes desde la fecha en que quede en firme la resolución particular que los apruebe, sin perjuicio de las actualizaciones a que haya lugar y continuarán rigiendo hasta que la Comisión requiera de su revisión conforme el marco legal que le aplique.
ARTÍCULO 52. DEROGATORIAS. La presente resolución deroga integralmente la Resolución MME 124302 de 2011, la Resolución CREG 122 de 2008, la Resolución CREG 141 de 2008. Esta derogatoria tendrá efectos, a partir de la ejecutoria, de las decisiones que contengan la aprobación de los cargos particulares, referidos en estas disposiciones, con la presente metodología.
Adicionalmente, la presente resolución deroga integralmente la Resolución MME 180088 de 2003 y sus modificatorias, Resolución 181701 de 2003 (adicionada por la Resolución 180989 de 2011 y derogada por la 91877 de 2012) 180230 de 2006, 181300 de 2007, 41276 de 2016 y CREG 104-001 de 2025. Esta derogatoria tendrá efectos, a partir de la ejecutoria, de las decisiones que contengan la aprobación de los cargos particulares, referidos en estas disposiciones, con la presente metodología.
Las resoluciones de carácter particular que se hayan tramitado a partir de la aplicación de lo dispuesto en la modificación contenida en la CREG 104-001 de 2025 o solicitado su aplicación, previo a la aprobación de esta metodología, continuaran rigiendo por la vigencia que se indique en su parte resolutiva. De manera que, los efectos de la Resolución MME 180088 de 2003 y sus modificatorias, en este caso, continuaran rigiendo hasta el tiempo de vigencia que se señalen en estas decisiones.
ARTÍCULO 53. VIGENCIA. La presente resolución rige a partir de su publicación en el Diario Oficial.
PUBLÍQUESE Y CÚMPLASE
ANEXO 1. MECANISMOS DE VALORACIÓN.
Para establecer el valor a reconocer por inversiones en poliductos, propanoductos, estaciones de bombeo y tanques de almacenamiento y otros activos se utilizará el siguiente procedimiento:
a. La Comisión realizará la revisión de la información para verificar que permita realizar la estimación del valor de referencia correspondiente. Como parte de esta revisión, se verificará si las características de los activos a valorar se encuentran dentro del rango de aplicación de los modelos de valoración de la Comisión.
b. Se determinará un valor de referencia con base en el modelo de valoración descrito en el numeral 1 del presente anexo para poliductos, y en el numeral 2 para estaciones de bombeo y el numeral 3 para tanques de almacenamiento.
En el caso de activos distintos a poliductos, propanoductos, estaciones de bombeo y tanques de almacenamiento la comisión podrá contratar un Auditor para llevar a cabo la valoración de los activos, cuyo insumo podrá ser utilizado dentro de la estimación del valor de referencia y en las demás actividades que considere la Comisión.
La Comisión podrá aplicar costos eficientes de otros activos comparables u otros criterios de que disponga para determinar el valor a reconocer, si a partir de otra información disponible, la Comisión, identifica que el valor de referencia determinado según lo dispuesto en el inciso anterior puede trasladar costos ineficientes al usuario en los cargos de transporte, o dejar de reconocer costos eficientes al transportador.
c. En caso de que los activos a valorar se encuentren por fuera de los rangos de aplicación de los modelos de valoración de poliductos, propanoductos, estaciones de bombeo y tanques de almacenamiento con que cuenta la Comisión se recurrirá a otras fuentes de información, con el objetivo de contar con la mejor estimación posible de la valoración de estos activos.
d. Si el valor solicitado por el agente en el Anexo 2 de la presente resolución es menor o igual al valor determinado por la Comisión, el valor de referencia será el valor solicitado por el agente.
e. Los proyectos que presente el Transportador deberán incluir un visto bueno de la UPME ya sean para PNI e IAC y en todo caso la CREG podrá solicitar conceptos del valor eficiente y de la pertinencia del proyecto a un auditor independiente.
f. Una vez construido el poliducto o el propanoductos o la estación de bombeo o el tanque de almacenamiento se realizará la comparación entre el valor de referencia determinado en el literal b., con el valor final declarado por el agente en el Anexo 3 de la presente resolución. La determinación del valor a reconocer en cargos se realizará mediante la comparación del valor final y del valor de referencia, aplicando la banda de ajuste descrita mediante la siguiente ecuación:

Donde:
| Valor ajustado de la inversión que será incluido dentro de los cargos de transporte. Este valor estará expresado en pesos colombianos. | |
| Valor estimado mediante los modelos de valoración para poliducto y estaciones de bombeo de la Comisión o mediante la mejor información disponible, considerando lo establecido en el literal ii) del numeral 1 del presente anexo. Este valor estará expresado en pesos colombianos. | |
| Valor final del activo determinado con base en la información reportada por el transportador en Anexo 3 de la presente resolución. Este valor estará expresado en pesos colombianos. | |
| Valor final del poliducto, o a una estación de bombeo o a un almacenamiento operativo determinado con base en la información reportada por el transportador en el formato del Anexo 3 de la presente resolución. Este valor estará expresado en pesos colombianos de la fecha base. | |
| Valor final del poliducto, o a una estación de bombeo o a un almacenamiento operativo determinado con base en la información reportada por el transportador en el formato del Anexo 3 de la presente resolución. Este valor estará expresado en pesos colombianos de la fecha de puesta en operación comercial. |
El proceso se puede resumir en la siguiente figura:
Figura 1. Mecanismo de valoración

Fuente CREG
En este numeral se presenta el modelo de valoración que recoge las principales variables que determinan el costo de un poliducto o un propanoducto.
El modelo parte de valores estándar de poliductos que tienen las condiciones constructivas más sencillas. Luego, a partir de multiplicadores, estas condiciones constructivas se ajustan a las condiciones a las que estarían expuestos. Por otro lado, en los cruces especiales, dada su complejidad específica en su desarrollo y valoración, se han calculado valores unitarios para los diferentes tipos de cruces.
Para el entendimiento del modelo de valoración, se debe tener en cuenta que se utiliza como separador de miles el punto (.) y la coma (,) para los decimales.
El modelo de valoración se alimenta en su estructuración de análisis tomados de los resultados de los estudios:
a. Expert Report: Pipeline Variable Assessments; Contract 150 2014 CREG -ICC-001.
b. Expert Report: Pipeline System Useful Life and Valuations; Contract 2015-190.
c. Inventario de activos y la valoración de la infraestructura de transporte para productos refinados del petróleo y GLP (Divisa, 2015).
d. Factores multiplicadores para trazado de ductos por media ladera(TIPIEL, 2017b).
e. Costos de construcción para cruces subfluviales, aéreos y sísmicos(TIPIEL, 2017a).
f. Estudios de valoración activos (TIPIEL 2019)
g. Valoración de infraestructura de almacenamiento y estaciones de bombeo asociada al sector de combustibles líquidos (Lloreda, 2022).
Los valores base están definidos a diciembre de 2021.
1.2 PROCESO PARA VALORAR LOS POLIDUCTOS.
El Proceso para determinación la valoración de poliductos parte de los diámetros normalizados de la tubería (NPS)en pulgadas y la longitud de tramos con la característica particular en metros, que se puede resumir en la siguiente figura:
Figura 1–1 Proceso para valorar los poliductos

Fuente: CREG.
El valor base se obtuvo de varias fuentes de información descritas en el numeral 1.1. A partir de dicha información, se hicieron las regresiones respectivas y se determinaron las ecuaciones que permiten caracterizar el valor base a partir de tamaños de diámetros normalizados (NPS).
Para determinar el valor base se debe consultar la Tabla 1–1. El valor base se calcula así,
![]()
Donde:
| Valor base [USD/pulgada/m] Dic 2024 | |
| Coeficiente ver en matriz de valores base. Tabla 1–1 USD/m] | |
| Coeficiente ver en matriz de valores base. Ver Tabla 1–1 [adimensional] | |
| Longitud del poliducto a valorar [m].[6] | |
| Diámetro NPS (Normalized pipe size). [pulgadas]. |
En la Tabla 1-1 se presentan los coeficientes para calcular el valor base:
Tabla 1–1 Coeficientes valor base
| - | - | Rango 1 | Rango 2 | Rango 3 | |||
| Diámetro (Pulgadas) | 100m<=l<1000 m | 1000m<=l<50000 m[7] | 50000m<=l<=300000 m | ||||
| NPS | OD | Coef1 | Exp1 | Coef2 | Exp2 | Coef3 | Exp3 |
| 2'' | 2,375'' | 481,79 | -0,11 | 5094,81 | -0,45 | NA | NA |
| 4'' | 4,500'' | 176,43 | -0,01 | 1049,51 | -0,28 | 22352,96 | -0,55 |
| 6'' | 6,625'' | 133,91 | 0,00 | 932,59 | -0,28 | 25984,61 | -0,58 |
| 8'' | 8,625'' | 122,95 | -0,02 | 561,26 | -0,24 | 22338,17 | -0,58 |
| 10'' | 10,750'' | 141,91 | -0,06 | 382,57 | -0,21 | 27685,25 | -0,61 |
| 12'' | 12,750'' | 150,03 | -0,11 | 233,41 | -0,17 | 21585,66 | -0,59 |
| 14'' | 14,000'' | 198,97 | -0,17 | 154,54 | -0,13 | 13622,90 | -0,54 |
| 16'' | 16,000'' | 181,30 | -0,17 | 111,99 | -0,10 | 11156,05 | -0,52 |
| 18'' | 18,000'' | 214,64 | -0,21 | 91,23 | -0,08 | 8427,92 | -0,49 |
| 20'' | 20,000'' | 157,56 | -0,16 | 86,77 | -0,06 | 6468,85 | -0,46 |
| 24'' | 24,000'' | 137,42 | -0,15 | 67,00 | -0,04 | 7122,51 | -0,47 |
| 30'' | 30,000'' | 138,83 | -0,17 | 52,37 | -0,02 | 5864,43 | -0,45 |
| 36'' | 36,000'' | 123,57 | -0,16 | 44,10 | 0,00 | 5845,18 | -0,45 |
| 42'' | 42,000'' | 113,23 | -0,15 | 38,18 | 0,02 | 6784,90 | -0,46 |
| 48'' | 48,000'' | 105,56 | -0,14 | 33,68 | 0,03 | 7064,19 | -0,46 |
Fuente: numeral 1.1.Análisis Propios CREG.
1.4 INCLUSIÓN DE COSTOS AMBIENTALES SOCIALES, DE CONTINGENCIA Y DE ABANDONO
.
Ahora es necesario incluir los costos ambientales de seguridad, sociales y de estudios, gestorías y contingencia, los cuales se incluyen mediante la siguiente expresión:
![]()
Donde:
| Valor base incluyendo componente social ambiental, abandono y contingencia [USD/pulgada/m] dic de 2024. | |
| Porcentaje costos asociados con la parte seguridad, social y ambiental. Ver Tabla 1–2. | |
| Porcentaje costos, de abandono. Ver Tabla 1–2. | |
| Porcentaje Estudios, gestoría o interventoría y contingencia. Ver Tabla 1–2. |
Tabla 1–2 Costos sociales, ambientales de contingencia y abandono
| Porcentaje Costos asociados con la parte seguridad, social y ambiental -Csa | 6,77% |
| Porcentaje Costos de abandono - Caba | 3,31% |
| Porcentaje interventoría, Contingencia Otros - Ccon | 12,17% |
| Porcentaje total social ambiental, abandono y contingencia | 22,25% |
Fuente: numeral 1.1.Análisis Propios CREG.
1.4.1 COSTOS ADICIONALES O AHORROS POR VARIACIÓN EN EL PRECIO DE COMBUSTIBLE
.
El valor de la obra civil de los poliductos depende, entre otras cosas, del costo del combustible que utilizan las maquinarias en la construcción. En esta parte se incluye la variación del precio del combustible utilizado teniendo en cuenta el valor de referencia del ACPM (
). Para ello, se utilizan las siguientes ecuaciones que permiten determinar el valor base afectado por el precio del combustible:

Donde:
| Valor base incluyendo componente social ambiental, abandono y contingencia, así como el efecto de la variación del combustible [USD/pulgada/m] diciembre de 2024. | |
| Valor base incluyendo componente social ambiental, abandono y contingencia [USD/pulgada/m] diciembre de 2024. | |
| Valor del ACPM en Colombia al usuario final en USD por galón estimado para la fecha de puesta en operación del proyecto en USD/galón diciembre de 2024. | |
| Valor del ACPM de base considerando en el modelo 4,5 USD/galón. | |
| Coeficiente. Ver Tabla 1–3. | |
| Coeficiente. Ver Tabla 1–3. | |
| Coeficiente. Ver Tabla 1–3. |
En la Tabla 1–3 se presentan los coeficientes de las ecuaciones, así como el diámetro al cual se le puede aplicar la ecuación en términos de diámetros.
Tabla 1–3 Costos o ahorros por variación en el precio de combustible
| Multiplicador | Rango aplicación | Variable | Valor |
| Costo base combustible | Cb1 | 4,5000 | |
| Variación precio | - | cd_p | 0,00010 |
| Combustible: | 2<=diam<=48 | ce_p | -0,00138 |
| - | - | cf_p | 0,04231 |
Fuente: numeral 1.1.Análisis Propios CREG.
1.5 VARIABLES DE MODELAMIENTO DE COMPLEJIDADES EN EL TRAZADO.
En la siguiente matriz se presentan las variables incluidas en el modelamiento.
| Variable | Alternativas en el modelamiento de complejidad | |||||||
| Localidad Clase | Localidad Clase 1 | Localidad Clase 2 | Localidad Clase 3 | Localidad Clase 4 | - | - | - | - |
| Suelo | Arcilloso | Arenoso | Rocoso | - | - | - | - | - |
| Terreno inclinado | 0%-5% | 5%-10% | 10%-15% | 15%-20% | 20%-25% | más de 25% | - | - |
| Vegetación | Tundra | Bosque Templado | Selva Subtropical | Desierto Árido | Estepa Seca | Sabana | Selva Tropical | Tundra Alpina |
| Cruces cuerpos de agua | Perforación Horizontal Dirigida | Cruce Aéreo | Zanja | - | - | - | - | - |
| Nivel freático | Sumideros y Zanjas | Sistema de Aspiración | Ataguías | - | - | - | - | - |
| Otras Variables | Cruces sísmicos | - | - | - | - | - | - | - |
| - | Doble junta | - | - | - | - | - | - | - |
| - | Terreno cultivado | - | - | - | - | - | - | - |
| Media ladera | 15% | 25% | 35% | - | - | - | - | - |
| Costos efecto combustible | Ajustes en el valor de combustible (4,5 USD por galón) | - | - | - | - | - | - | - |
| Costos de conexiones | Diámetros 2” - 48” | - | - | - | - | - | - | - |
Fuente: numeral 1.1. Análisis Propios CREG.
1.5.1 INCLUIR EL EFECTO DE LOS MULTIPLICADORES EN EL VALOR POLIDUCTO
.
Para determinar los multiplicadores a aplicar al valor base incluyendo componente social ambiental, abandono y contingencia, así como el efecto de la variación del combustible –
se aplica la siguiente expresión:

Donde:
| Valor base incluyendo los componentes de | |
| Valor base incluyendo componente social ambiental, abandono y contingencia, así como el efecto de la variación del combustible [USD/pulgada/m] diciembre de 2024. | |
| Multiplicador Suelo Arcilloso. | |
| Longitud Suelo Arcilloso [m]. | |
| Multiplicador Suelo Arenoso. | |
| Longitud Suelo Arenoso [m]. | |
| Multiplicador Suelo Rocoso. | |
| Longitud Suelo Rocoso [m]. | |
| Multiplicador vegetación Tundra. | |
| Longitud vegetación Tundra [m]. | |
| Multiplicador vegetación Bosque Templado. | |
| Longitud vegetación Bosque Templado [m]. | |
| Multiplicador vegetación Selva Subtropical. | |
| Longitud vegetación Selva Subtropical [m]. | |
| Multiplicador vegetación Desierto Árido. | |
| Longitud vegetación Desierto Árido [m]. | |
| Multiplicador vegetación Estepa Seca. | |
| Longitud vegetación Estepa Seca [m]. | |
| Multiplicador vegetación Sabana. | |
| Longitud vegetación Sabana [m]. | |
| Multiplicador vegetación Selva Tropical. | |
| Longitud vegetación Selva Tropical [m]. | |
| Multiplicador vegetación Tundra Alpina. | |
| Longitud vegetación Tundra Alpina [m]. | |
| Multiplicador Localidad Clase 1. | |
| Longitud Localidad Clase 1 [m]. | |
| Multiplicador Localidad Clase 2. | |
| Longitud Localidad Clase 2 [m]. | |
| Multiplicador Localidad Clase 3. | |
| Longitud Localidad Clase 3 [m]. | |
| Multiplicador Localidad Clase 4. | |
| Longitud Localidad Clase 4 [m]. | |
| Multiplicador Terreno cultivado. | |
| Longitud Terreno cultivado [m]. | |
| Multiplicador Terreno inclinado entre 0%-5%. | |
| Longitud Terreno inclinado entre 0%-5% [m]. | |
| Multiplicador Terreno inclinado entre 5%-10%. | |
| Longitud Terreno inclinado entre 5%-10% [m]. | |
| Multiplicador Terreno inclinado entre 10%-15%. | |
| Longitud Terreno inclinado entre 10%-15% [m]. | |
| Multiplicador Terreno inclinado entre 15%-20%. | |
| Longitud Terreno inclinado entre 15%-20% [m]. | |
| Multiplicador Terreno inclinado entre 20%-25%. | |
| Longitud Terreno inclinado entre 20%-25% [m]. | |
| Multiplicador Terreno inclinado más de 25%. | |
| Longitud Terreno inclinado más de 25% [m]. | |
| Multiplicador Doble junta. | |
| Longitud Doble junta [m]. | |
| Multiplicador Área congestionada. | |
| Longitud Área congestionada [m]. | |
| Multiplicador media ladera con pendiente media del 15%. | |
| Longitud media ladera con pendiente media del 15% [m]. | |
| Multiplicador media ladera con pendiente media del 25%. | |
| Longitud media ladera con pendiente media del 25% [m]. | |
| Multiplicador media ladera con pendiente media del 35%. | |
| Longitud media ladera con pendiente media del 35% [m]. |
En la Tabla 1–4 se incluyen los coeficientes y las ecuaciones para calcular los diferentes multiplicadores incluyendo el rango de aplicación de las fórmulas para los diferentes diámetros - diam.
| Nombre | Rango aplicación | Variable | Valor | Ecuación |
| Suelo Arcilloso | 2<=diam<=48 | c_p | 1,00 | |
| d_p | 0,00005 | |||
| Suelo Arenoso | 2<=diam<=48 | e_p | 0,00208 | |
| f_p | 1,25275 | |||
| g_p | 0,00008 | |||
| Suelo Rocoso | 2<=diam<=48 | h_p | 0,00075 | |
| i_p | 1,67818 | |||
| j_p | -0,00004 | |||
| Tundra | 2<=diam<=48 | k_p | 0,00372 | |
| l_p | 2,02582 | |||
| <4 | m_p | 1,240 | ||
| 4<=diam<16 | n_p | 1,250 | ||
| Bosque Templado | 16<=diam<26 | o_p | 1,260 | ![]() |
| 26<=diam<38 | p_p | 1,270 | ||
| 38<=diam<=48 | q_p | 1,290 | ||
| 2<=diam<=14 | r_p | 1,710 | ||
| Selva Subtropical | 14<diam<=30 | s_p | 1,720 | ![]() |
| 30<diam<=42 | t_p | 1,730 | ||
| 42<diam<=48 | u_p | 1,740 | ||
| Desierto Árido | 2<=diam<=48 | v_p | 1,0000 | |
| Estepa Seca | 2<=diam<=36 | w_p | 1,0000 | |
| 2<=diam<=18 | x_p | 1,0500 | ||
| Sabana | 18<diam<=24 | y_p | 1,0600 | ![]() |
| 24<diam<=36 | z_p | 1,0700 | ||
| 36<diam<=48 | aa_p | 1,0800 | ||
| 2<=diam<=48 | ab_p | 0,00004 | ||
| Selva Tropical | ac_p | -0,00029 | ||
| ad_p | 2,16957 | |||
| 2<=diam<=48 | ae_p | 0,00002 | ||
| Tundra Alpina | af_p | 0,00020 | ||
| ag_p | 1,41036 | |||
| Localidad Clase 1 | 2<=diam<=48 | ah_p | 1,0000 | |
| ai_p | 0,00004 | |||
| Localidad Clase 2 | 2<=diam<=48 | aj_p | 0,00141 | |
| ak_p | 1,00174 | |||
| al_p | 0,00009 | |||
| Localidad Clase 3 | 2<=diam<=48 | am_p | 0,00112 | |
| an_p | 1,10111 | |||
| 2<=diam<=48 | ao_p | 0,00001 | ||
| Localidad Clase 4 | ap_p | 0,00773 | ||
| aq_p | 1,07725 | |||
| 2<=diam<=48 | ar_p | 0,000075 | ||
| Terreno cultivado | as_p | -0,000002 | ||
| at_p | 1,151069 | |||
| Terreno inclinado entre 0%-5% | 2<=diam<=36 | au_p | 1,0000 | |
| 2<=diam<=48 | av_p | 0,00003 | ||
| Terreno inclinado entre 5%-10% | aw_p | 0,00960 | ||
| ax_p | 1,71346 | |||
| 2<=diam<=48 | ay_p | -0,00012 | ||
| Terreno inclinado entre 10%-15% | az_p | 0,01926 | ||
| ba_p | 2,18718 | |||
| 2<=diam<=48 | bb_p | -0,00012 | ||
| Terreno inclinado entre 15%-20% | bc_p | 0,01926 | ||
| bd_p | 2,78718 | |||
| 2<=diam<=48 | be_p | 0,00001 | ||
| Terreno inclinado entre 20%-25% | bf_p | 0,01386 | ||
| bg_p | 3,68594 | |||
| 2<=diam<=48 | bh_p | 0,00001 | ||
| Terreno inclinado más de 25% | bi_p | 0,01386 | ||
| bj_p | 3,93594 | |||
| 2<=diam<=48 | bk_p | 0,00004 | ||
| Doble junta | bl_p | -0,00495 | ||
| bm_p | 1,02592 | |||
| 2<=diam<=48 | bn_p | -0,00028 | ||
| Área congestionada | bo_p | 0,08631 | ||
| bp_p | 1,25187 | |||
Fuente: numeral 1.1.Análisis Propios CREG.
En el desarrollo del estudio de (TIPIEL, 2017b) se incluyeron factores multiplicadores para media ladera adimensionales, los cuales, además de ser función del diámetro, son dependientes de la longitud que se construye en media ladera y son aplicables para longitudes entre 30 y 15.000 metros, los cuales son aplicables para inclinaciones de 15%, 25% y 35%. En la Tabla 1–5 incluyen las ecuaciones para calcular dichos multiplicadores:
Tabla 1–5 Multiplicadores Media Ladera
| Rangos | Media ladera 15% | Media ladera 25% | Media ladera 35% | |||||||||
| Eq_ml_15p | =dd_p*diam^2+de_p*diam+df_p | Eq_ml_25p | =dg_p*diam^2+dh_p*diam+di_p | Eq_ml_35p | =dj_p*diam^2+dk_p*diam+dl_p | |||||||
| dd_p | de_p | df_p | Rango diam | dg_p | dh_p | di_p | Rango diam | dj_p | dk_p | dl_p | Rango diam | |
| Rango 1 | 0,0075 | -0,1973 | 2,41 | 2<=Diam <12 | 0,01 | -0,25 | 2,76 | 2<=Diam <12 | 0,01 | -0,30 | 3,20 | 2<=Diam <12 |
| Rango 2 | -0,0005 | 0,0386 | 0,61 | 12<=Diam <=48 | -0,0005 | 0,0364 | 0,67 | 12<=Diam <=48 | -0,0004 | 0,0339 | 0,77 | 12<=Diam <=48 |
Fuente: numeral 1.1.Análisis Propios CREG.
Para ajuste por presión de trabajo, se presenta un factor de complejidad constructiva que toma en cuenta presiones operativa de Clase ANSI 900, al que se denominó ANSI 900, lo que implica que si la construcción es para ANSI 600 se tendrá un factor de complejidad con valor de 1.
Tabla 1–6. Factor de Ajuste por ANSI
![]()
| Nombre | Rango aplicación | Unidades | Mínimo | Máximo | Variable | valor |
| ANSI 900 | 2<=diam<=48 | adm | 100 | 300.000 | cg_p | 0,00000813 |
| ch_p | 0,00773488 | |||||
| ci_p | 1,07725167 | |||||
Fuente: Análisis Propios CREG.
Se aplica la ecuación previa de la siguiente forma:
![]()
Donde:
| Multiplicador de presión ANSI según sea ANSI 900 o 600 en la sección j que aplique | |
| Longitud de tramo con ANSI 900 o 600 que aplique en la sección j respectiva | |
| Valor base incluyendo los componentes de | |
| Valor base incluyendo los componentes de |
1.5.2 COSTOS DE COMPLEJIDADES Y SU ADICIÓN AL VALOR DEL POLIDUCTO
.
Existen variables en el modelamiento que representan obras y equipos específicos en la intervención del trazado en lo referente a cruces especiales para los cuales se desarrolló un análisis puntual en el estudio de (TIPIEL, 2017a), cuyos tipos de cruces se listan a continuación:
a) Sumideros y Zanjas (Tabla 1–7)
b) Sistema de Aspiración (Tabla 1–7)
c) Ataguías (Tabla 1–8).
d) Cruces húmedos (Tabla 1–8).
e) Perforación Horizontal Dirigida (componente fijo y variable) (Tabla 1–9).
f) Cruces sísmicos (Tabla 1–10).
g) Cruces aéreos (Tabla 1–11).
En dichos casos el resultado del consultor incluyó tablas donde se identifican valores totales de los cruces desde 2” hasta 48” y desde 30 metros hasta 15 km, los cuales para ser incluidos en el modelo. Se aclara que para las variables de estos cruces especiales relacionados previamente se aplicarán los porcentajes de la Tabla 1–2[8].
Para calcular el valor a adicionar al valor base
el costo de los cruces especiales se aplica las siguientes ecuaciones:
![]()
Donde:
| Valor base incluyendo componentes de | |
| Valor base incluyendo los componentes de | |
| Diámetro [pulgadas]. | |
| Longitud total del poliducto a valorar descontando la longitud de los cruces especiales[m]. | |
| Costo de Sumideros y Zanjas [USD] diciembre de 2016. | |
| Costo de Sistema de Aspiración [USD] diciembre de 2016. | |
| Costo de Ataguías [USD] diciembre de 2016. | |
| Costo de Cruces húmedos [USD] diciembre de 2016. | |
| Costo de Perforación Horizontal Dirigida [USD] diciembre de 2016. | |
| Costo de Cruce sísmico [USD] diciembre de 2016. | |
| Costo de cruce aéreo [USD] diciembre de 2016. | |
| Corresponde a 12,19% por concepto ambiental-social (2,27%), contingencia(6.610%) y abandono de cruces(3.310%) | |
| Si ANSI 600= 1 si no correspondiente a Tabla 1–6. Factor de Ajuste por ANSI |
Los costos de complejidades que al modelarlos se caracterizan por ecuaciones que dependen del diámetro NPS en pulgadas y de la longitud del tipo de cruce en metros, tales como se presentan en las siguientes tablas:
Tabla 1–7 Ecuaciones valorar complejidades 1
| Rangos | Sumideros y Zanjas CSZ: | Sistema de Aspiración CSA: | ||||
| Eq_SZp | =(cj_p.diam+ck_p) *Csz_long | Eq_Sap | =(cl_p*diam+cm_p)*CSA_long | |||
| cj_p | ck_p | Rango diam | cl_p | cm_p | Rango diam | |
| Rango 1 | 32.4085 | 170.4492 | 2<=Diam <12 | 28.7197 | 226.8441 | 2<=Diam <12 |
| Rango 2 | 71.0058 | -320.8500 | 12<=Diam <=48 | 62.3392 | -198.7858 | 12<=Diam <=48 |
Tabla 1–8 Ecuaciones valorar complejidades 2
| Rangos | Ataguías CAt | Cruces húmedos CCH | ||||
| Eq_Atp | =(co_p*diam+cp_p )*CAt_long | Eq_CHp | =(cr_p*diam+cs_p )*CCH_long | |||
| co_p | cp_p | Rango diam | cr_p | cs_p | Rango diam | |
| Rango 1 | 28.8751 | 229.4344 | 2<=Diam <12 | 27.4423 | 543.9636 | 2<=Diam <12 |
| Rango 2 | 62.3092 | -1,9642.E+02 | 12<=Diam <=48 | 81.8811 | -1.9761.E+02 | 12<=Diam <=48 |
En el caso de perforación horizontal dirigida se obtiene el costo a partir de sus dos componentes, el fijo y el variable este último depende de la longitud
![]()
Donde:
| Costo de Perforación Horizontal Dirigida [USD] diciembre de 2016. | |
| Costo de Perforación Horizontal Dirigida variable [USD/m] diciembre de 2016. | |
| Costo de Perforación Horizontal Dirigida fijo [USD] diciembre de 2016. | |
| Longitud de Perforación Horizontal Dirigida [m]. |
Tabla 1–9 Perforación Horizontal Dirigida
| Rangos | Perforación Horizontal Dirigida (variable) Cphd_v | Perforación Horizontal Dirigida (fijo) Cphd_f | ||||
| Eq_Phdp_v | =cu_p.diam+cv_p | Eq_Phdp_f | =cu_p.diam+cv_p | |||
| cu_p | cv_p | Rango diam | cu_p | cv_p | Rango diam | |
| Rango 1 | 139,693 | 1125,811 | 2<=Diam <12 | 268,1657 | 4292,48 | 2<=Diam <12 |
| Rango 2 | 105,016 | 1600,137 | 12<=Diam <=48 | 4,8301 | 9091,37 | 12<=Diam <24 |
| Rango 3 | 8,5832 | 13686,15 | 24<=Diam <=4 | |||
Fuente: numeral 1.1.Análisis Propios CREG.
Tabla 1–10 Cruce sísmico
| Rango | Eq_CSp | =(cz_p*diam+da_p)*CCS_long | |
| cz_p | da_p | Rango diam | |
| Rango 1 | 31,5119 | 337,3108 | 2<=Diam <12 |
| Rango 2 | 56,6731 | -3,9968 | 12<=Diam <=48 |
Fuente: numeral 1.1.Análisis Propios CREG.
Tabla 1–11 Cruce aéreo Cac
| Diam NPS | cx_p | cy_p | cy_cons_p | Ecuación |
| 2'' | 0,1126 | -44,1935 | 6042,9526 | |
| 4'' | 0,0806 | -34,1638 | 5811,5842 | |
| 6'' | 0,0834 | -32,6174 | 5942,9960 | |
| 8'' | 0,0596 | -25,8203 | 5902,6107 | |
| 10'' | 0,0721 | -29,8592 | 6277,6150 | |
| 12'' | 0,1529 | -63,1267 | 10656,8021 | |
| 14'' | 0,1437 | -59,1561 | 10830,4832 | |
| 16'' | 0,1527 | -62,5560 | 11483,7898 | |
| 18'' | 0,1523 | -62,5269 | 11804,4351 | |
| 20'' | 0,1453 | -59,7097 | 12341,0242 | |
| 24'' | 0,2930 | -121,6637 | 20644,3749 | |
| 30'' | 0,2945 | -121,6285 | 22158,3270 | |
| 36'' | 0,2896 | -113,4128 | 23077,0040 | |
| 42'' | 0,2873 | -112,6718 | 24609,8597 | |
| 48'' | 0,2873 | -112,4220 | 26075,7586 | |
Si la longitud del cruce es mayor a 300 metros el costo por metro se mantiene igual que para longitud de cruce de 300 metros
1.5.3 COSTOS DE LAS CONEXIONES Y SU ADICIÓN AL VALOR DEL POLIDUCTO
.
Las conexiones pueden ser del tipo corte en frío (cold cut), corte en caliente (hot tap), conexión con tapón doble más hot tap y conexión con tapón doble más hot tap y bypass.
Estas conexiones se reconocen al transportador como parte de la inversión en transporte cuando se requieren para conectar un poliducto loop o para conectar una extensión del poliducto. Los costos de conexiones que benefician a un remitente en particular deben ser asumidos por dicho remitente.
A partir de la información disponible se puede establecer el costo de cada tipo de conexión como se muestra en la Tabla 1–12. Las ecuaciones para determinar el valor del poliducto incluyendo el costo de las conexiones
![]()
Donde:
| Valor base incluyendo componentes de | |
| Valor base incluyendo componentes de | |
| Costo total conexión tapón doble más hot tap y bypass [USD] diciembre de 2024. | |
| Costo total conexión tapón doble más hot tap [USD] diciembre de 2024. | |
| Costo total conexión corte en caliente, hot tap [USD] diciembre de 2024. | |
| Costo total conexión corte en frio, cold tap [USD] diciembre de 2024 | |
| Si ANSI 600= 1 si no correspondiente a Tabla 1–6. Factor de Ajuste por ANSI |
Tabla 1–12 Costo de conexiones (USD 2016).
| Nombre | Variable | Valor | Ecuación |
| conexiones tapón doble | bq_p | 4302.3209 | |
| más hot tap y bypass | br_p | -19454.8892 | |
| bs_p | 264953.1187 | ||
| conexiones tapón doble | bt_p | 3768.7316 | |
| más hot tap | bu_p | -43077.3568 | |
| bv_p | 343544.3924 | ||
| conexiones corte en | bw_p | 1342.8687 | |
| caliente, hot tap | bx_p | 3127.8562 | |
| by_p | 66566.0439 | ||
| conexiones corte en | bz_p | 407.6617 | |
| frio, cold tap | ca_p | -7261.6622 | |
| cb_p | 41662.3162 | ||
Fuente: numeral 1.1. Análisis Propios CREG.
Es importante señalar que las ecuaciones presentadas en la tabla permiten el calcular el valor de una conexión. Si existen varias conexiones, se debe calcular cada una con la ecuación correspondiente.
Este resultado corresponde a una estimación de costos clase 3 según la clasificación de costos generalmente aceptada en ingeniería[9]. El rango de exactitud esperado de esta estimación tiene una variación en el rango bajo de -10% a -20% y de +10% a +30% en el rango alto.
Los valores determinados hasta el numeral 1.5 están definidos en dólares americanos de diciembre de 2024. Sin embargo, para determinar los valores a otras fechas, es necesarios aplicarle indexadores. En el presente numeral se incluye el procedimiento para actualizar los valores. En el diagrama se presenta el proceso de actualización.
1.6.1 DEFINICIÓN DE FECHAS PARA CALCULAR LA ACTUALIZACIÓN.
Para llevar a cabo la actualización es necesario incluir en el modelo de las siguientes fechas cuyas definiciones se incluyen a continuación:
a) fecha de valor base del modelo
: Corresponde a diciembre de 2024.
b) fecha base valoración
: corresponde a la fecha base definida en la metodología
c) fecha de evaluación del poliducto
: Corresponde a la fecha con la mejor información disponible[10] para valorar los poliductos que se pretenden construir.
1.6.2 VALORAR UN POLIDUCTO QUE SE PRETENDE CONSTRUIR.
La valoración de un poliducto que se pretende construir se hará con la mejor información disponible al momento de la actualización. Mediante la siguiente expresión se actualiza a la fecha base:
![]()
Donde:
| Valor actualizado incluyendo componentes de | |
| Valor base incluyendo componentes de | |
| Indexador actualización acero. | |
| Indexador actualización mano obra. | |
| Indexador actualización otros costos. |
Las fórmulas para determinar los indexadores se incluyen en la Tabla 1–13.
Tabla 1–13 Ecuaciones actualización poliducto que se pretende construir
| Constante | Poliducto se pretende construir |
| Actualización acero | |
| Actualización mano obra | |
| Actualización Otros costos |
Donde:
| Ponderador indexador equivalente para acero, a partir de ecuación en función del diámetro | |
| Es el índice para actualización de precios del acero, PPI Industry Data Series Id: PCU331210331210 fuente U.S. BUREAU OF LABOR STATISTICS, correspondiente al valor del mes para la fecha de evaluación del poliducto | |
| Es el índice para actualización de precios del acero, PPI Industry Data Series Id: PCU331210331210 fuente U.S. BUREAU OF LABOR STATISTICS correspondiente al valor del mes para la fecha de valor base del modelo | |
| Es el índice de precios al productor de los Estados Unidos de América, serie WPUFD41312 para la fecha base valoración del modelo | |
| Es el índice de precios al productor de los Estados Unidos de América, serie WPUFD41312 para la fecha de valoración | |
| Ponderador indexador equivalente para mano de obra, a partir de ecuación en función del diámetro. | |
| Es el promedio simple de la tasa representativa del mercado durante el mes correspondiente a la fecha de evaluación del modelo | |
| Es el promedio simple de la tasa representativa del mercado durante el mes correspondiente a la fecha base valoración | |
| Corresponde al salario mínimo mensual legal vigente durante el año correspondiente a la fecha base valoración | |
| Corresponde al salario mínimo mensual legal vigente durante el año correspondiente a la fecha del modelo | |
| Ponderador indexador equivalente para Misceláneos, a partir de ecuación en función del diámetro |
Donde a su vez los ponderadores de indexadores Ca y Cmo se obtienen de la aplicación de las siguientes ecuaciones:
![]()
![]()
Donde, los valores respectivos de la Constante y de los Coeficientes se muestra en la siguiente tabla:
Tabla 1–14. Ponderadores Ca y Cmo
| Nombre factor | Materiales (acero) | Nombre del factor | Mano de obra |
| Ca | Cmo | ||
| Ca0 | 0.3127 | Cmo0 | 0.39472 |
| Ca1 | -0.01262 | Cmo1 | 0.01698 |
| Ca2 | 0.00069 | Cmo2 | -0.00083 |
| Ca3 | -7.96822E-06 | Cmo3 | 1.01841E-05 |
Fuente: CREG, a partir de análisis de información Lamberson 2015.
Y el ponderador Coc se obtiene a partir de los otros dos tal que se complete 100%, así:
![]()
Para la conversión del valor a pesos colombianos, se utiliza la siguiente expresión:
Donde:
| Valor actualizado incluyendo componentes de | |
| Valor actualizado incluyendo componentes de | |
| Tasa representativa del mercado de la fecha valoración. |
1.7 REGLAS DE APLICACIÓN DE MODELO.
Para aplicar el modelo de valoración de poliducto integrado en este numeral 2, se deben observar las siguientes reglas:
a) La longitud del valor base corresponde a la longitud total del poliducto sin tener en cuenta la longitud de los cruces especiales.
b) Se deben observar las restricciones en la aplicación de las variables de multiplicadores y de complejidad en longitud y en diámetro, para situaciones en los cuales el poliducto a modelar no se encuentre en dichos rangos, el agente deberá llenar la información de caracterización y señalar expresamente que no está dentro del rango de aplicación del modelo.
c) Para construcciones que se desarrollan en media ladera se podrán interpolar en caso de ángulos intermedios es decir entre 15º, 25º y 35º, si hay casos superiores a 35º se utilizara los multiplicadores de media ladera de 35º.
1.8 RESTRICCIONES DE APLICACIÓN DEL MODELO E INFORMACIÓN.
Tal como se ha incluido a lo largo del presente numeral 2, en las diferentes tablas se han integrado rangos de aplicación para las diferentes fórmulas, en algunos casos para diámetros y en otro para longitudes. Complementario a ello, en la siguiente tabla se resumen las restricciones de aplicación del modelo.
Tabla 1–15 Restricciones en la aplicación del modelo
| Variable | Diámetros (pulgadas) | Longitudes (m) |
| Valor base (Vb) | 2, 3, 4, 6, 8, 10,12,14,16, 18, 20, 22, 24, 26, 28, 30, 32, 34, 36,42,48. | 1.000m- 300.000 m |
| Multiplicador de media ladera (15%, 25%, 35% de inclinación) | 2, 3, 4, 6, 8, 10,12,14,16, 18, 20, 22, 24, 26, 28, 30, 32, 34, 36,42,48. | 30m- 15.000 m |
| CU Perforación Horizontal Dirigida, CU Cruce Aéreo | 2, 3, 4, 6, 8, 10,12,14,16, 18, 20, 22, 24, 26, 28, 30, 32, 34, 36,42,48. | 30m-5.000m ver adicionalmente la Tabla 1–11 |
| CU. Sumideros y zanjas, sistema de aspiración, ataguías, cruces húmedos, cruces sísmicos | 2, 3, 4, 6, 8, 10,12,14,16, 18, 20, 22, 24, 26, 28, 30, 32, 34, 36,42,48. | 30m –50.000m |
Tabla 1–16 Restricciones en la aplicación del modelo en Perforación Horizontal dirigida
| longitud (m) | 11 | 13 | 14 | 16 | 18 | 20 | 22 | 24 | 26 | 28 | 30 | 32 | 34 | 36 | 42 | 48 |
| 30 | X | X | X | X | X | X | 0 | X | X | X | X | 0 | 0 | X | X | X |
| 45 | X | X | X | 0 | X | X | X | X | 0 | 0 | X | X | X | |||
| 60 | X | X | X | 0 | 0 | X | X | X | ||||||||
| 75 | X | |||||||||||||||
X: en dichos casos no es factible aplicar la valoración con el modelo.
2. MODELO DE VALORACIÓN ESTACIONES DE BOMBEO.
El modelo de valoración se alimenta en su estructuración de análisis tomados de los resultados del estudio Valoración de infraestructura de almacenamiento y estaciones de bombeo asociada al sector de combustibles líquidos (Lloreda, 2022) y los costos base se reflejan en precios de diciembre de 2024.
El presente numeral muestra la formulación del modelo para proyectar el costo de una estación de bombeo dada su potencia en caballos de fuerza -HP, la capacidad en kilo-barriles al día y el tipo de estación a estimar. con un rango de exactitud de costos clase 3.
El modelo fue construido al tomar como base la ingeniería de detalle de una estación de bombeo inicial con tanques de 5.400 HP de potencia y con una capacidad de 240 kilo-barriles al día, la cual fue nombrada como estación base, y a partir de este se modelaron las variaciones de sus principales estructuras y sus materiales que permiten, estimar los costos para diferentes capacidades y tipos de techos. La citada estación base se costeó a precios en dólares estadounidenses de febrero de 2022 y se indexo para dejarla en costos base de diciembre de 2024. Cuyo rango de simulación es desde 1.000 HP hasta 15.000 HP, excepto para el CASO 1 de repotenciación que será desde 1.000 HP hasta 5.000 HP.
Respecto a la descripción de las fórmulas:
a. La primera, es la fórmula general de costo total de la estación de bombeo proyectada a un mes especifico. Desde ahí, profundiza en la formulación de cálculo de cada componente hasta llegar a las fórmulas que involucran el factor pipeline
, que según la estructura o Subsistema del tipo de estación a proyectar tipo 't' escala el tamaño de la estación base con respecto a la estación de bombeo proyectada y por lo tanto las cantidades de materiales, sus costos totales y las actividades de montaje y mantenimiento requeridas. El factor
es calculado con base en la capacidad de kilo-barriles en las cuales la estación debe operar, que esta correlacionado con el diámetro de las tuberías necesarias para tolerar esa capacidad.
b. La segunda fórmula corresponde a la proyección de mantenimiento anual de la estación de bombeo estimada.
A continuación, se presentan las ecuaciones con el fin de incluir la descripción del modelo.
2.1 CE - COSTO DE LA ESTACIÓN DE BOMBEO.
El costo total de la estación de bombeo 't' para el mes 'm' de proyección se compone de la suma del costo de ingeniería, los costos de licenciamiento, el costo de los materiales, el costo de construcción y montaje de estos, los costos de interventoría del proyecto y el comisionado y entrega del proyecto.
![]()
Donde:
| Tipo de estación de bombeo a estimar. | |
| Mes m de estimación de costos. | |
| Tipo de estación de bombeo tipo t para el mes m en que se estima. | |
| Costo total de la estación de bombeo t en USD$ del mes m. | |
| Costo de ingeniería del proyecto en USD$ del mes m. | |
| Costo de gestión y licenciamiento para la estación de bombeo de tipo t en USD$ del mes m. | |
| Costo de materiales y equipos para la estación de bombeo de tipo t en USD$ del mes m. | |
| Costo de construcción y montaje para la estación de bombeo de tipo t en USD$ del mes m. | |
| Costo de interventoría para la estación de bombeo de tipo t en USD$ del mes m. | |
| Costo de gerencia de proyecto para la estación de bombeo de tipo t en USD$ del mes m. | |
| Costo de comisionado y entrega para la estación de bombeo de tipo t en USD$ del mes m. |
2.1.1 CI COSTO DE INGENIERÍA DEL PROYECTO.
El costo de ingeniería del proyecto típicamente se considera como el 7% del costo del material y el costo de construcción y montaje. Este porcentaje se divide en 1% para la ingeniería conceptual, 2% para la ingeniería básica y 4% para la ingeniería de detalle.
![]()
Con:
![]()
![]()
![]()
Donde:
| Tipo de estación de bombeo a estimar | |
| Mes m de estimación de costos. | |
| Tipo de estación de bombeo t para el mes m en que se estima | |
| Costo de ingeniería del proyecto para la estación de bombeo de tipo t en USD$ del mes m. | |
| Costo de ingeniería conceptual para la estación de bombeo de tipo t en USD$ del mes m. | |
| Costo de ingeniería básica para la estación de bombeo de tipo t en USD$ del mes m. | |
| Costo de ingeniería de detalle para la estación de bombeo de tipo t en USD$ del mes m. | |
| Costo de materiales y equipos para la estación de bombeo de tipo t en USD$ del mes m. | |
| Costo de construcción y montaje para la estación de bombeo de tipo t en USD$ del mes m. | |
| Factor para determinar el costo de ingeniería conceptual. | |
| Factor para determinar el costo de ingeniería básica. | |
| Factor para determinar el costo de ingeniería de detalle. |
2.1.2 CGIAS - COSTO DE GESTIÓN Y LICENCIAMIENTO.
El costo de gestión y licenciamiento típicamente se considera como el 5% del costo del material, el costo de comisionado de entrega y el costo de construcción y montaje. Este porcentaje se divide en 2.14% para la gestión inmobiliaria, 1.43% para el licenciamiento ambiental y 1.43% para el costo de la gestión social.
![]()
Con:
![]()
![]()
![]()
Donde:
| Tipo de estación de bombeo a estimar. | |
| Mes m de estimación de costos. | |
| Tipo de estación de bombeo t para el mes m en que se estima | |
| Costo de gestión y licenciamiento Inmobiliario, ambiental, construcción y social de tipo t en USD$ del mes m. | |
| Costo de gestión inmobiliaria para la estación de tipo t en USD$ del mes m. | |
| Costo de licenciamiento ambiental para la estación de tipo t en USD$ del mes m. | |
| Costo de gestión social para la estación de tipo t en USD$ del mes m. | |
| Costo de comisionado y entrega para la estación de tipo t en USD$ del mes m. | |
| Costo de materiales y equipos para la estación de tipo t en USD$ del mes m. | |
| Costo de construcción y montaje para la estación de tipo t en USD$ del mes m. |
2.1.3 CME - COSTO DE MATERIALES Y EQUIPOS.
El costo de los materiales se considera como la suma del costo de materiales y equipos nacionales, el costo de los materiales y equipos importados, el transporte de los mismos hasta la zona del proyecto. A este costo se debe adicionar el IVA.
![]()
Donde:
| Tipo de estación de bombeo a estimar. | |
| Mes m de estimación de costos. | |
| Tipo de estación de bombeo t para el mes m en que se estima | |
| Costo de materiales y equipos para la estación de tipo t en USD$ del mes m. | |
| Costo de materiales importados para la estación de tipo t en USD$ del mes m. | |
| Costo de materiales nacionales para la estación de tipo t en USD$ del mes m. | |
| Costo de equipos importados para la estación de tipo t en USD$ del mes m. | |
| Costo de equipos nacionales para la estación de tipo t en USD$ del mes m. | |
| Costo de transporte a la región r de los materiales y equipos para la estación de tipo t en USD$ del mes m. | |
| Impuesto al valor agregado en %. |
El costo de transporte inicialmente en pesos es actualizado por índice de precios desde la fecha base a la fecha de cálculo y convertido a dólares con la tasa promedio del mes de calculo.
2.1.3.1 CMI - COSTO DE MATERIALES IMPORTADOS.
Para determinar el costo de materiales importados, se suman todos los costos de los materiales para construir la estación seleccionada
y este costo es indexado con el índice del precio del acero cuando este es fabricado con este material. Cada importado
se calcula como la cantidad necesaria de material
para construir la estación por el respectivo costo unitario del material
.
El factor de tubería
corresponde a un factor de escala calculado con la capacidad de operación de la estación de bombeo, que está correlacionada con diámetro de tubería necesaria para soportar esta capacidad.

Donde:
![]()
![]()
![]()
![]()
![]()
![]()
![]()
Donde:
| Costo de materiales importados para la estación de tipo | |
| Cantidad total de materiales importados. | |
| Tipo de estación de bombeo a estimar. | |
| Mes m de estimación de costos. | |
| Tipo de estación de bombeo | |
| Material | |
| Sumatoria de cada costo de material importado | |
| Factor de ajuste de costo por concepto de logística y transporte de importación de la fecha de valoración. | |
| Cantidad de material | |
| Arancel a pagar por importaciones en %. | |
| Factor de escala de tubería para estimar la estación de bombeo seleccionada. | |
| Capacidad total operativa de la estación en kilobarriles. | |
| Cantidad de material | |
| Indicador de precio acero para mes y año de valoración, PPI USA - BARRAS PLATINAS ESTRUCTURAS DE ACERO, pcu3311103311107, Hot rolled steel bars, plates, and structural shapes, https://data.bls.gov/cgi-bin/srgate | |
| Índice de precios del acero para diciembre de 2024, PPI USA - BARRAS PLATINAS ESTRUCTURAS DE ACERO, pcu3311103311107, Hot rolled steel bars, plates, and structural shapes, https://data.bls.gov/cgi-bin/srgate | |
| Costo unitario del material | |
| Material |
2.1.3.2 CEI - COSTO DE EQUIPOS IMPORTADOS.
Para calcular el costo de equipos importados se suma el costo de los equipos rotativos importados, los filtros, los generadores de potencia, los transformadores de potencia, los equipos de medición y los tableros de control. A este resultado se ajusta por el factor de ajuste de logística de importación
y se adiciona el arancel
.
![]()
Donde:
| Costo de equipos importados para la estación de tipo t en USD$ del mes m. | |
| Tipo de estación de bombeo a estimar. | |
| Mes m de estimación de costos. | |
| Tipo de estación de bombeo t para el mes m en que se estima. | |
| Costo de equipos rotativos para la estación de tipo t en USD$ del mes m. | |
| Costo de filtros para la estación de tipo t en USD$ del mes m. | |
| Costo de generadores de potencia para la estación de tipo t en USD$ del mes m. | |
| Costo de transformadores de potencia para la estación de tipo t en USD$ del mes m. | |
| Costo de equipos de medición para la estación de tipo t en USD$ del mes m. | |
| Costo de equipos de tableros e instrumentación para la estación de tipo t en USD$ del mes m. | |
| Factor de ajuste de logística de importación para equipos importados, (fletes internacionales, terceros cadena logística y operación aduanera). | |
| % de Arancel a aplicar a equipos importados. |
2.1.3.2.1 CERI - COSTO DE EQUIPOS ROTATIVOS IMPORTADOS.
El costo de los equipos rotativos es igual a la suma del costo de las bombas principales
y el costo de las bombas booster
. Cuando se trata de una estación inicial o de rebombeo este valor aumenta 3 veces (2 bombas Booster, 2 bombas principales y una unidad redundante para mantenimientos programados y no programados). En el caso de una repotenciación solo se considera una unidad principal y otra booster. Las estaciones de bombeo terminales no requieren de equipos rotativos.
El costo de una unidad de bombeo (booster o principal) es calculada con una ecuación potencial que relaciona la potencia en caballos de fuerza
con su costo de referencia en USD$ a febrero de 2022, si bien dentro del modelo luego se indexa para verlo reflejado en precios de diciembre de 2024.

![]()
![]()
Con:

Donde:
| Costo de equipos rotativos importados para la estación de tipo t en USD$ del mes m. | |
| Tipo de estación de bombeo a estimar. | |
| Mes m de estimación de costos. | |
| Tipo de estación de bombeopara el mes en que se estima. | |
| Potencia operativa total de la estación de bombeo en HP caballos de fuerza. | |
| Costo de los equipos rotativos principales en USD$ base diciembre 2024 | |
| Costo de los equipos rotativos Booster en USD$ base diciembre 2024 | |
| Índice de precios al productor en Estados Unidos de bombas industriales para el mes de estimación (U.S. BUREAU OF LABOR STATISTICS, pcu333914333914114, Industrial pumps, excluding hydraulic fluid power pumps, automatic circulating pumps, etc., https://data.bls.gov/cgi-bin/srgate). | |
| Índice de precios al productor en Estados Unidos de bombas industriales para diciembre de 2024 (U.S. BUREAU OF LABOR STATISTICS, pcu333914333914114, Industrial pumps, excluding hydraulic fluid power pumps, automatic circulating pumps, etc., https://data.bls.gov/cgi-bin/srgate). |
2.1.3.2.2 CFILT - COSTO DE FILTROS.
Para calcular el costo de los filtros se suma el costo de cada uno de ellos para la construcción de la estación tipo
y se indexa al mes de estimación usando el índice de precios al productor de filtros en Estados Unidos.

Donde:
| Costo de filtros para la estación de tipo en USD$ del mes. | |
| Tipo de estación de bombeo a estimar. | |
| Mes m de estimación de costos. | |
| Filtro | |
| Material | |
| Tipo de estación | |
| Índice de precios al productor en Estados Unidos de filtros industriales para el mes de estimación (U.S. BUREAU OF LABOR STATISTICS, pcu333998333998911, Industrial filters and strainers and reusable media, except fluid power, https://data.bls.gov/cgi-bin/srgate). | |
| Índice de precios al productor en Estados Unidos de filtros industriales para diciembre de 2024 (U.S. BUREAU OF LABOR STATISTICS, pcu333998333998911, Industrial filters and strainers and reusable media, except fluid power, https://data.bls.gov/cgi-bin/srgate). | |
![]() | Sumatoria del costo de cada filtro cfilt del listado de equipo i a n en USD$ a diciembre de 2024. |
| Cantidad total de filtros para la estación de bombeo tipo |
2.1.3.2.3 CGENPOT - COSTO DE GENERADORES DE POTENCIA.
Para calcular el costo de los generadores de potencia se suma el costo de cada uno de ellos para la construcción de la estación tipo
y se indexa al mes de estimación usando el índice de precios al productor de generadores de potencia en Estados Unidos.
![]()
Donde:
| Costo de los generadores de potencia para la estación de tipo t en USD$ del mes m. | |
| Tipo de estación de bombeo a estimar. | |
| Mes m de estimación de costos. | |
| Material i para la construcción del tipo de estación de bombeo t. | |
| Índice de precios al productor en Estados Unidos de generadores de potencia para el mes de estimación (U.S. BUREAU OF LABOR STATISTICS, pcu3353123353123, Integral horsepower motors & generators other than for land transport equipment (exc hermetics), https://data.bls.gov/cgi-bin/srgate) | |
| Índice de precios al productor en Estados Unidos de generadores de potencia para diciembre de 2024 (U.S. BUREAU OF LABOR STATISTICS, pcu3353123353123, Integral horsepower motors & generators other than for land transport equipment (exc hermetics), https://data.bls.gov/cgi-bin/srgate) | |
![]() | Sumatoria del costo de cada generador de potencia cgenpot del listado de equipos i a n para la construcción de la estación t en USD$ a diciembre de 2024. |
| Cantidad total de generadores de potencia para la estación de bombeo tipo t. |
2.1.3.2.4 CTRANSF - COSTO DE TRANSFORMADORES DE POTENCIA.
Para calcular el costo de los transformadores de potencia se suma el costo de cada uno de ellos para la construcción de la estación tipo
y se indexa al mes de estimación usando el índice de precios al productor de transformadores en Estados Unidos.
![]()
Donde:
| Costo de transformadores de potencia para la estación de tipo t en USD$ del mes m. | |
| Tipo de estación de bombeo a estimar. | |
| Mes m de estimación de costos. | |
| Material i para la construcción del tipo de estación de bombeo t. | |
| Índice de precios al productor en Estados Unidos de transformadores de distribución y potencia para el mes de estimación (U.S. BUREAU OF LABOR STATISTICS, pcu335311335311, Electric power and specialty transformer mfg, https://data.bls.gov/cgi-bin/srgate). | |
| Índice de precios al productor en Estados Unidos de transformadores de distribución y potencia para diciembre de 2024 (U.S. BUREAU OF LABOR STATISTICS, pcu335311335311, Electric power and specialty transformer mfg, https://data.bls.gov/cgi-bin/srgate). | |
![]() | Sumatoria del costo de cada generador de potencia ctransf del listado de equipos i a n para la construcción de la estación t en USD$ a diciembre de 2024. |
| Cantidad de transformadores de potencia para la estación tipo t. |
2.1.3.2.5 CEMEDI - COSTO DE EQUIPOS DE MEDICIÓN.
Para calcular el costo de los equipos de medición se suma el costo de cada uno de ellos para la construcción de la estación tipo
y se indexa al mes de estimación usando el índice de precios al productor de equipos de medición en Estados Unidos.
![]()
Donde:
| Costo de equipos de medición para la estación de tipo t en USD$ del mes m. | |
| Tipo de estación de bombeo a estimar. | |
| Mes m de estimación de costos. | |
| Material i para la construcción del tipo de estación de bombeo t. | |
| Equipo de medición. | |
| Tipo de estación en el mes | |
| Índice de precios al productor en Estados Unidos de medidores para gases y líquidos del mes de estimación (U.S. BUREAU OF LABOR STATISTICS, pcu3345133345130, Process control instruments, https://data.bls.gov/cgi-bin/srgate). | |
| Índice de precios al productor en Estados Unidos de medidores para gases y líquidos de diciembre de 2024 (U.S. BUREAU OF LABOR STATISTICS, pcu3345133345130, Process control instruments, https://data.bls.gov/cgi-bin/srgate). | |
![]() | Sumatoria del costo de cada equipo de medición cemedi del listado de equipos |
| Total, equipos de medición para la construcción de la estación |
2.1.3.2.6 CTABLERO - COSTO DE TABLEROS E INSTRUMENTACIÓN.
Para calcular el costo de los tableros e instrumentación se suma el costo de cada uno de ellos para la construcción de la estación tipo
y se indexa al mes de estimación usando el índice de precios al productor de tableros en Estados Unidos.
![]()
Donde:
| Costo de tableros e instrumentación para la estación de tipo | |
| Tipo de estación de bombeo a estimar. | |
| Mes | |
| Material | |
| Tablero y/o instrumentación. | |
| Tipo de estación | |
| Índice de precios al productor en Estados Unidos de tableros y equipos de control para el mes de estimación (U.S. BUREAU OF LABOR STATISTICS, pcu335314335314, Relay and industrial control mfg, https://data.bls.gov/cgi-bin/srgate). | |
| Índice de precios al productor en Estados Unidos de tableros de control y equipos de control para diciembre de 2024 (U.S. BUREAU OF LABOR STATISTICS, pcu335314335314, Relay and industrial control mfg, https://data.bls.gov/cgi-bin/srgate). | |
![]() | Sumatoria del costo de cada tableros y equipo de instrumentación ctablero del listado de equipos |
| Total de tableros e instrumentación para la construcción de la estación |
2.1.3.2.7 COTROS - COSTO DE OTROS EQUIPOS.
Para calcular el costo de los otros equipos, como sistema de apagado de incendios, se suma el costo de cada uno de ellos para la construcción de la estación tipo
en dólares y se indexa al mes de estimación usando un índice mixto de IPC y costo de mano de obra.
![]()
Con:
![]()
Donde:
| Costo de otros para la estación | |
| Tipo de estación de bombeo a estimar. | |
| Mes | |
| Material | |
| equipo | |
| Tipo de estación en el mes | |
| Factor de ajuste de salarios a pagar por mano de obra | |
| Índice de precios al consumidor para el mes m de estimación, IPC reportado por el Banco de la República en la página (https://www.banrep.gov.co/es/estadisticas/indice-precios-consumidor-ipc). | |
| Índice de precios al consumidor para el mes de diciembre de 2024, IPC reportado por el Banco de la República en la página (https://www.banrep.gov.co/es/estadisticas/indice-precios-consumidor-ipc). | |
| Salario mínimo en pesos de Colombia del año m de estimación, reportado por el Banco de la República en la página (http://www.banrep.gov.co/es/indice-salarios ). | |
| Salario mínimo en pesos de Colombia de 2024, reportado por el Banco de la República en la página (http://www.banrep.gov.co/es/indice-salarios ). | |
| Tasa representativa del mercado para el mes m. página (https://www.banrep.gov.co/es/estadisticas/trm ) | |
| Tasa representativa del mercado para el mes de diciembre de 2024. (https://www.banrep.gov.co/es/estadisticas/trm ) | |
| Sumatoria del costo de otros equipo del listado de equipos i a n para la construcción de la estación t en USD$ a diciembre de 2024. | |
| Total de equipos para la construcción de la estación |
2.1.3.2.8 CMN - COSTO DE MATERIALES NACIONALES.
Para determinar el costo de materiales nacionales, se suman todos los costos de los materiales para construir la estación seleccionada
cada costo es indexado con el índice del acero y se obtiene
que además se calcula como la cantidad necesaria de material
para construir la estación
por el respectivo costo unitario del material
.
El factor de tubería
corresponde a un factor de escala calculado con la capacidad de operación de la estación de bombeo, que está correlacionada con diámetro de tubería necesaria para soportar esta capacidad.

Con:
![]()
![]()
![]()
![]()
![]()
![]()
![]()
Donde:
| Costo de materiales nacionales para la estación de tipo | |
| Tipo de estación de bombeo a estimar. | |
| Mes m de estimación de costos. | |
| Material | |
| Material nacional | |
| Tipo de estación | |
| Sumatoria de cada costo de material nacional | |
| Costo del material | |
| Costo de un kilogramo del material para construir la estación de bombeo en USD$ de diciembre de 2024. | |
| Capacidad total operativa de la estación en kilo-barriles. | |
| Factor de ajuste de tubería de acuerdo con la capacidad operativa total de la estación a estimar. | |
| Indicador del precio del acero del mes a indexar, PPI USA - BARRAS PLATINAS ESTRUCTURAS DE ACERO, pcu3311103311107, Hot rolled steel bars, plates, and structural shapes, https://data.bls.gov/cgi-bin/srgate | |
| Indicador del precio del acero, para diciembre de 2024, PPI USA - BARRAS PLATINAS ESTRUCTURAS DE ACERO, pcu3311103311107, Hot rolled steel bars, plates, and structural shapes, https://data.bls.gov/cgi-bin/srgate | |
| Total de materiales nacionales para la construcción de la estación. | |
| Cantidad necesaria de material para construir la estación de bombeo base tipo |
2.1.3.2.9 CEN - COSTO DE EQUIPOS NACIONALES.
Para determinar el costo de equipos nacionales, se suman todos los costos de los equipos nacionales para construir la estación seleccionada
y este costo se actualiza según el índice de cada equipo. Cada equipo nacional se calcula como la cantidad necesaria de equipos en kilogramos
para construir la estación
por el respectivo costo unitario del material
.
El factor de tubería
corresponde a un factor de escala calculado con la capacidad de operación de la estación de bombeo, que está correlacionada con diámetro de tubería necesaria para soportar esta capacidad.

Con:
![]()
![]()
![]()
![]()
![]()
![]()
![]()
Donde:
El indexador depende de las características del material al que se le desea actualiza el costo
| Material equipo | Indexadort,i |
| Acero | |
| Bombas | |
| Medidores | |
| Instrumentos control | |
| Filtros | |
| Tableros y equipos | |
| Otros | |
| Costo de equipos nacionales para la estación de tipo t en USD$ del mes m. | |
| Cantidad total de materiales nacionales para la construcción de la estación | |
| Tipo de estación de bombeo a estimar. | |
| Mes m de estimación de costos. | |
| Material | |
| Tipo de estación | |
| Costo del equipo nacional | |
![]() | Sumatoria de cada equipo nacional |
| Kilogramos del equipo nacional | |
| Costo de un kilogramo del equipo | |
| Factor de ajuste de tubería de acuerdo con la capacidad operativa total de la estación a estimar. | |
| Tasa representativa del mercado para el mes. página (https://www.banrep.gov.co/es/estadisticas/trm ) | |
| Tasa representativa del mercado para el mes de diciembre de 2024. (https://www.banrep.gov.co/es/estadisticas/trm ) | |
| Índice de precios al consumidor para el mes m de estimación, IPC reportado por el Banco de la República en la página (https://www.banrep.gov.co/es/estadisticas/indice-precios-consumidor-ipc). | |
| Índice de precios al consumidor para el mes de diciembre de 2024, IPC reportado por el Banco de la República en la página (https://www.banrep.gov.co/es/estadisticas/indice-precios-consumidor-ipc). | |
| Capacidad operativa total de la estación en kilo-barriles / día. | |
| Indicador del precio del acero en el mes m, PPI USA - BARRAS PLATINAS ESTRUCTURAS DE ACERO, pcu3311103311107, Hot rolled steel bars, plates, and structural shapes, https://data.bls.gov/cgi-bin/srgate | |
| Indicador del precio del acero para diciembre de 2024, PPI USA - BARRAS PLATINAS ESTRUCTURAS DE ACERO, pcu3311103311107, Hot rolled steel bars, plates, and structural shapes, https://data.bls.gov/cgi-bin/srgate | |
| Indicador del precio de Bombas industriales del mes m a indexar, PPI USA – BOMBAS INDUSTRIALES, pcu333914333914114, Industrial pumps, excluding hydraulic fluid power pumps, automatic circulating pumps, etc., https://data.bls.gov/cgi-bin/srgate | |
| Indicador del precio de Bombas industriales para diciembre de 2024, PPI USA – BOMBAS INDUSTRIALES, pcu333914333914114, Industrial pumps, excluding hydraulic fluid power pumps, automatic circulating pumps, etc., https://data.bls.gov/cgi-bin/srgate | |
| Indicador del precio de medidores industriales del mes m a indexar, PPI USA – MEDIDORES, GASES Y LIQUIDOS, pcu334514334514, Totalizing fluid meters and counting devices mfg., https://data.bls.gov/cgi-bin/srgate | |
| Indicador del precio de medidores industriales de diciembre de 2024, PPI USA – MEDIDORES, GASES Y LIQUIDOS, pcu334514334514, Totalizing fluid meters and counting devices mfg., https://data.bls.gov/cgi-bin/srgate. | |
| Indicador del precio de instrumentos industriales del mes m a indexar, PPI USA – INSTR. DE CONTROL PROC. INDUSTR., pcu3345133345130, Process control instruments, https://data.bls.gov/cgi-bin/srgate | |
| Indicador del precio de instrumentos industriales para diciembre de 2024, PPI USA – INSTR. DE CONTROL PROC. INDUSTR., pcu3345133345130, Process control instruments, https://data.bls.gov/cgi-bin/srgate | |
| Indicador del precio de instrumentos industriales del mes a indexar, PPI USA – FILTROS, pcu333998333998911, Industrial filters and strainers and reusable media, except fluid power, https://data.bls.gov/cgi-bin/srgate | |
| Indicador del precio de instrumentos industriales para diciembre de 2024 PPI USA – FILTROS, pcu333998333998911, Industrial filters and strainers and reusable media, except fluid power, https://data.bls.gov/cgi-bin/srgate | |
| Índice de precios al productor en Estados Unidos de tableros y equipos de control para el mes de estimación (U.S. BUREAU OF LABOR STATISTICS, pcu335314335314, Relay and industrial control mfg, https://data.bls.gov/cgi-bin/srgate). | |
| Índice de precios al productor en Estados Unidos de tableros de control y equipos de control para diciembre de 2024 (U.S. BUREAU OF LABOR STATISTICS, pcu335314335314, Relay and industrial control mfg, https://data.bls.gov/cgi-bin/srgate). |
2.1.3.2.10 CCM - COSTO DE CONSTRUCCIÓN Y MONTAJE.
A partir de la expresión:
![]()
Se calcula:

Donde:
![]()
![]()
![]()
![]()
![]()
![]()
![]()
![]()
![]()
Donde:
| Mes | |
| Costo de construcción y montaje para la estación de tipo t en USD$ del mes | |
| Región donde se realizará el proyecto. | |
| | Suma de los costos de montaje del material o equipo |
| Suma de los costos de montaje del sistema a hasta el m en USD$ de diciembre de 2024. | |
| Factor de ajuste de acuerdo a las condiciones específicas para la construcción y montaje de la región | |
| Utilidad del proyecto en porcentaje. | |
| Impuesto al valor agregado en porcentaje. | |
| Factor de ajuste de tubería de acuerdo con la capacidad operativa total de la estación a estimar. | |
| Sistema final | |
| Índice de precios al consumidor para el mes m de estimación, IPC reportado por el Banco de la República en la página (https://www.banrep.gov.co/es/estadisticas/indice-precios-consumidor-ipc). | |
| Índice de precios al consumidor para el mes de diciembre de 2024, IPC reportado por el Banco de la República en la página (https://www.banrep.gov.co/es/estadisticas/indice-precios-consumidor-ipc). | |
| Tasa representativa del mercado promedio para el mes | |
| Tasa representativa del mercado promedio para el mes de diciembre de 2024. (https://www.banrep.gov.co/es/estadisticas/trm) | |
| Capacidad total operativa de la estación t en kilo-barriles. | |
| Tipo de estación de bombeo a estimar. | |
| Sistema inicial para la estación de tipo | |
| Factor de ajuste de salarios a pagar llevado a dólares por mano de obra | |
| Salario mínimo en pesos de Colombia del año m de estimación, reportado por el Banco de la República en la página (http://www.banrep.gov.co/es/indice-salarios ). | |
| Salario mínimo en pesos de Colombia del año base de estimación, reportado por el Banco de la República en la página (http://www.banrep.gov.co/es/indice-salarios ). | |
| Tipo de estación | |
| Material para la construcción de la estación. |
2.1.4 CINT - COSTO DE INTERVENTORÍA.
Para estimar estos costos se toma en cuenta el rango de costo del Total entre Comisionamiento y entrega adicionando el total construcción y Montaje.
Tabla 2–1.
PORCENTAJES GERENCIA E INTERVENTORIA PARA ESTACIONES
| COSTO POR RANGO(USD) | % INTERVENTORIA | % GERENCIA | % TOTAL | |
| >= MÍNIMO | < MÁXIMO | |||
| $0 | $30.000.000 | 8,20% | 23,90% | 32,10% |
| $30.000.000 | $50.000.000 | 7,00% | 20,00% | 27,00% |
| $50.000.000 | $100.000.000 | 6,70% | 18,50% | 25,20% |
| $100.000.000 | 5,80% | 15,70% | 21,50% | |
2.1.4.1.1 CINT - COSTO DE INTERVENTORÍA-FORMULACIÓN.
El costo de interventoría típicamente se calcula como un factor del costo de construcción y montaje sumado a el costo de comisionado y entrega. A este resultado debe agregarse el Impuesto al Valor Agregado IVA.
![]()
Donde:
| Mes m de estimación de costos. | |
| Costo de interventoría en USD$ del mes m para el tipo de estación t. | |
| Costo de construcción y montaje en USD$ del mes m para el tipo de estación t. | |
| Costo de comisionado y entrega en USD$ del mes m para el tipo de estación t. | |
| Impuesto al valor agregado en %. | |
| Tipo de estación de bombeo a estimar. | |
| Factor para el cálculo del costo de interventoría. |
2.1.5 CGP - COSTO DE GERENCIA DE PROYECTO.
El costo de gerencia del proyecto típicamente se calcula como un factor del costo de construcción y montaje sumado a el costo de comisionado y entrega. A este resultado debe agregarse el Impuesto al Valor Agregado IVA.
![]()
Donde:
| Mes m de estimación de costos. | |
| Costo de gerencia de proyecto en USD$ del mes m para el tipo de estación t. | |
| Costo de construcción y montaje en USD$ del mes m para el tipo de estación t. | |
| Costo de comisionado y entrega en USD$ del mes m para el tipo de estación t. | |
| Impuesto al valor agregado en %. | |
| Tipo de estación de bombeo a estimar. | |
| Factor para el cálculo del costo de gerencia del proyecto. |
2.1.6 CCE - COSTO DE COMISIONADO Y ENTREGA.
El costo de gerencia del proyecto típicamente se calcula como el 5% del costo de ingeniería, el costo de construcción y montaje sumado a el costo de comisionado y entrega. A este resultado debe agregarse el Impuesto al Valor Agregado IVA.
![]()
Donde:
| Mes m de estimación de costos. | |
| Costo de ingeniería del proyecto en USD$ del mes m para el tipo de estación t. | |
| Costo de construcción y montaje en USD$ del mes m para el tipo de estación t. | |
| Costo de comisionado y entrega en USD$ del mes m para el tipo de estación t. | |
| Impuesto al valor agregado en %. | |
| Tipo de estación de bombeo a estimar. |
2.2 CME - COSTO DE MANTENIMIENTO DE LA ESTACIÓN.
Para calcular el costo de mantenimiento de la estación estimada, se escala el tamaño de la estación, desde el concepto de mantenimiento. Para el caso de las estaciones iniciales o de rebombeo, el escalamiento se aplica sobre el costo unitario de mantenimiento por caballo de fuerza de la potencia operativa total. En el caso de la repotenciación, el escalamiento se realiza sobre el costo promedio de mantenimiento al año de la estación de bombeo base.
![]()
![]()
Con:
![]()
![]()
![]()
![]()
![]()
Donde:
| Costo de mantenimiento de la estación t en USD$/año del mes m. | |
| Factor ponderador de tamaño de la estación. | |
| Costo unitario del mantenimiento de la estación en $USD/HP del mes m. | |
| Potencia instalada de la operación en HP. | |
| Costo promedio de mantenimiento de una estación en USD/$año del mes m. |
Se incluye en Excel adjunto a la resolución el modelo de valoración de estaciones de bombeo, en el cual se pueden seleccionar los componentes incluidos dentro una estación particular: para ejemplo en la figura la estación no incluye sistema booster de bombeo.
Figura 2 Componentes estación

Fuente: CREG
3. MODELO DE VALORACIÓN DE TANQUES DE ALMACENAMIENTO ATMOSFÉRICOS.
El modelo de valoración se alimenta en su estructuración de análisis tomados de los resultados del estudio Valoración de infraestructura de almacenamiento y estaciones de bombeo asociada al sector de combustibles líquidos (Lloreda, 2022).
El presente numeral muestra la formulación del modelo con un rango de exactitud de costos clase 3 para estimar el costo de un tanque de almacenamiento atmosférico teniendo como variables de entrada su capacidad en barriles y el tipo de techo que puede ser Cónico, flotante o geodésico.
El modelo fue construido al tomar como base la ingeniería de detalle de un tanque de techo flotante con una capacidad de 200,000 barriles, el cual fue nombrado como tanque base, y a partir de este se modelaron las variaciones de sus principales estructuras y sus materiales que permiten, con un buen grado de aproximación, estimar los costos para diferentes capacidades y tipos de techos. El citado tanque base se costeó a precios en dólares estadounidenses de febrero de 2022 e indexó a diciembre de 2024 para dejar esta fecha como base. El modelo tiene un rango de operación desde 1.000 hasta 350.000 barriles
Respecto a la descripción de las fórmulas:
a. La primera, es la fórmula general de costo total de tanque de almacenamiento proyectado a un mes especifico. Desde ahí, profundiza en la formulación de cálculo de cada componente hasta llegar a las fórmulas que involucran el factor determinante –, que según la estructura o Subsistema del tanque a proyectar tipo 't' puede ser el diámetro, altura, área, volumen, superficie, etc. que escala el tamaño del tanque base con respecto al tanque proyectado y por lo tanto las cantidades de materiales, sus costos totales y las actividades de montaje y mantenimiento requeridas. Las dimensiones del tanque proyectado son calculadas con base en la capacidad en barriles ingresado como parámetro inicial del modelo.
b. La segunda fórmula corresponde a la proyección de mantenimiento quinquenal del tanque estimado.
A continuación, se presentan las ecuaciones con el fin de incluir la descripción del modelo.
3.1. CT - COSTO DEL TANQUE DE ALMACENAMIENTO.
![]()
Donde:
| Costo del tipo de tanque t para el mes de estimación m en USD$ del mes m. | |
| Tipo de tanque a estimar. | |
| Mes m de estimación de costos. | |
| Tipo de tanque t para el mes m de estimación. | |
| Costo de ingeniería del proyecto del tanque t en USD$ del mes m. | |
| Costo de gestión y licenciamiento del tanque t en USD$ del mes m. | |
| Costo de materiales y equipos del tanque t en USD$ del mes m | |
| Costo de construcción y montaje del tanque t en USD$ del mes m | |
| Costo de interventoría del tanque t en USD$ del mes m. | |
| Costo de gerencia de proyecto del tanque t en USD$ del mes m. | |
| Costo de comisionado y entrega del tanque t en USD$ del mes m. |
El costo total del tanque de almacenamiento para el mes de estimación se compone de la suma del costo de ingeniería, los costos de licenciamiento, el costo de los materiales, el costo de construcción y montaje de los mismos, los costos de interventoría del proyecto y el comisionado y entrega del proyecto.
3.1.1 CI - COSTO DE INGENIERÍA DEL PROYECTO.
El costo de ingeniería del proyecto típicamente se considera como un factor del costo del material y el costo de construcción y montaje.
![]()
Con:
![]()
![]()
![]()
Donde:
| Tipo de tanque a estimar | |
| Mes m de estimación de costos. | |
| Tipo de tanque t para el mes m en que se estima. | |
| Costo de ingeniería del proyecto para el tanque de tipo t en USD$ del mes m. | |
| Costo de ingeniería conceptual para el tanque de tipo t en USD$ del mes m.. | |
| Costo de ingeniería básica para el tanque de tipo t en USD$ del mes m. | |
| Costo de ingeniería de detalle para el tanque de tipo t en USD$ del mes m. | |
| Costo de materiales y equipos para el tanque de tipo t en USD$ del mes m. | |
| Costo de construcción y montaje para el tanque de tipo t en USD$ del mes m. | |
| Factor para determinar el costo de ingeniería conceptual. | |
| Factor para determinar el costo de ingeniería básica. | |
| Factor para determinar el costo de ingeniería de detalle. |
3.1.2 CGIAS - COSTO DE GESTIÓN Y LICENCIAMIENTO.
El costo de gestión y licenciamiento típicamente se considera como el 5% del costo del material, el costo de comisionado de entrega y el costo de construcción / montaje. Este porcentaje se divide en 2,1% para la gestión inmobiliaria, 1,43% para el licenciamiento ambiental y 1,43% para el costo de la gestión social.
![]()
Con:
![]()
![]()
![]()
Donde:
| Tipo de tanque a estimar. | |
| Mes m de estimación de costos. | |
| Tipo de tanque t para el mes m en que se estima | |
| Costo de gestión y licenciamiento Inmobiliario, ambiental, construcción y social para el tanque de tipo t en USD$ del mes m. | |
| Costo de gestión inmobiliaria para el tanque de tipo t en USD$ del mes m. | |
| Costo de licenciamiento ambiental para el tanque de tipo t en USD$ del mes m. | |
| Costo de gestión social para el tanque de t en USD$ del mes m. | |
| Costo de comisionado y entrega para el tanque de tipo t en USD$ del mes m. | |
| Costo de materiales y equipos para el tanque de tipo t en USD$ del mes m. | |
| Costo de construcción y montaje para el tanque de tipo t en USD$ del mes m. |
3.1.3 CME - COSTO DE MATERIALES.
El costo de los materiales se considera como la suma del costo de materiales nacionales, el costo de los materiales importados, el transporte de los mismos hasta la zona del proyecto. A este costo se debe adicionar el IVA.
Para determinar el costo de materiales nacionales e importados, se suman todos los costos de los materiales para construir el tanque seleccionado
y este costo es actualizado con el índice del precio del acero. Cada costo de material nacional
o importado
se calcula como la cantidad necesaria de material
para construir el tanque t por el respectivo costo unitario del material
.
La cantidad de material
se calcula ponderando la cantidad de ese material que se requiere para el tanque base: Se toman las unidades requeridas para construir el tanque base
por el factor determinante del material del tanque base
y escalando este valor con el valor del factor determinante del tanque proyectado
.
El factor determinante
es una de las dimensiones del tanque, calculadas con la capacidad de almacenamiento, que está correlacionada con el material. Por ejemplo, si el material es laminado, está correlacionada con la superficie del tanque a construir y el valor del factor determinante será los metros cuadrados de la superficie.
En el caso de la estimación de un tanque geodésico, el material del techo domo en aluminio, es en parte de fabricación nacional y por lo tanto su costo debe actualizarse con
Factor actualización del Aluminio= (
)
Donde:
corresponde al valor del mes de estimación y que corresponde al mes de diciembre de 2024,
![]()
Donde:
| Tipo de tanque a estimar. | |
| Mes m de estimación de costos. | |
| Tipo de tanque t para el mes m en que se estima | |
| Costo de materiales y equipos para el tanque de tipo t en USD$ del mes m. | |
| Costo de materiales importados para el tanque de tipo t en USD$ del mes m. | |
| Costo de transporte de materiales nacionales para el tanque de tipo t en USD$ del mes m a la región r. | |
| Impuesto al valor agregado en %. | |
| Costo de materiales nacionales para el tanque de tipo t en USD$ del mes m. |
El costo de transporte inicialmente en pesos es actualizado por índice de precios desde la fecha base a la fecha de cálculo y convertido a dólares con la tasa promedio del mes de calculo
3.1.3.1 CMN COSTO DE MATERIALES NACIONALES.

Con:
![]()
![]()
![]()
![]()
![]()
Para indexadores se emplean según el material utilizado
| Material | Indexadort,i |
| Material en acero | |
| Material en aluminio | |
| Instrumentación de control | |
| Obra civil (concretos, etc) | |
| Otros |
Donde:
| Tipo de tanque a estimar. | |
| Mes | |
| Material | |
| Material nacional | |
| Tipo de tanque | |
| Costo de materiales nacionales para el tanque de tipo t en USD$ del mes m. | |
| Total de materiales nacionales para la construcción del tanque | |
| Sumatoria de cada costo de material nacional del listado de materiales | |
| Indicador del precio del acero del mes m de estimación, PPI USA - BARRAS PLATINAS ESTRUCTURAS DE ACERO, pcu3311103311107, Hot rolled steel bars, plates, and structural shapes, https://data.bls.gov/cgi-bin/srgate | |
| Indicador del precio del acero, para diciembre de 2024, PPI USA - BARRAS PLATINAS ESTRUCTURAS DE ACERO, pcu3311103311107, Hot rolled steel bars, plates, and structural shapes, https://data.bls.gov/cgi-bin/srgate | |
| Indicador del precio del aluminio del mes de estimación, PPI USA - ALUMINIO, pcu331318331318, Other aluminum rolling, drawing, and extruding, https://data.bls.gov/cgi-bin/srgate | |
| Indicador del precio del aluminio, para diciembre de 2024, PPI USA - AUMINIO, pcu331318331318, Other aluminum rolling, drawing, and extruding, https://data.bls.gov/cgi-bin/srgate | |
| Indicador del precio en el mes m del instrumentación de control, PPI USA - INSTR. DE CONTROL PROC. INDUSTR., pcu3345133345130, Process control instruments, https://data.bls.gov/cgi-bin/srgate | |
| Indicador del precio del aluminio, para diciembre de 2024, PPI USA - PPI USA - INSTR. DE CONTROL PROC. INDUSTR., pcu3345133345130, Process control instruments, https://data.bls.gov/cgi-bin/srgate | |
| Costo de material nacional para la construcción del tanque | |
| Costo unitario del material | |
| Cantidad de material | |
| Porcentaje de material nacional. | |
| Tasa representativa del mercado para el mes. página (https://www.banrep.gov.co/es/estadisticas/trm ) | |
| Tasa representativa del mercado para el mes de diciembre de 2024. (https://www.banrep.gov.co/es/estadisticas/trm ) | |
| Factor de ajuste de cantidad de material en referencia a la capacidad del tanque | |
| Factor de ajuste de cantidad de material en referencia a la capacidad del tanque base. | |
| Índice de precios al consumidor del mes m de estimación, IPC reportado por el Banco de la República en la página (https://www.banrep.gov.co/es/estadisticas/indice-precios-consumidor-ipc). | |
| Índice de precios al consumidor de mes de diciembre de 2024, IPC reportado por el Banco de la República en la página (https://www.banrep.gov.co/es/estadisticas/indice-precios-consumidor-ipc). | |
| ICOCIV, (índice de costos de obras civiles DANE, del mes m página https://www.dane.gov.co/index.php/estadisticas-por-tema/precios-y-costos/indice-de-costos-de-la-construccion-de-obras-civiles-icociv ). | |
| ICOCIV, (índice de costos de obras civiles DANE, de diciembre 2024, página https://www.dane.gov.co/index.php/estadisticas-por-tema/precios-y-costos/indice-de-costos-de-la-construccion-de-obras-civiles-icociv ). | |
| Factor de ajuste del costo cuando el suelo requiere pilotes para soportar el peso de la construcción. |
3.1.3.2 CMI COSTO DE MATERIALES IMPORTADOS.

Con:
![]()
![]()
![]()
![]()
![]()
Para indexadores se emplean según el material utilizado
| Material | Indexadort,i |
| Material en acero | |
| Material en aluminio | |
| Instrumentación de control |
Donde:
| Tipo de tanque a estimar. | |
| Mes | |
| Material | |
| Costo de materiales importados en USD$ para el mes | |
![]() | Sumatoria de cada costo de material importado del listado de materiales |
| Indicador del precio del acero del mes m de estimación, PPI USA - BARRAS PLATINAS ESTRUCTURAS DE ACERO, pcu3311103311107, Hot rolled steel bars, plates, and structural shapes, https://data.bls.gov/cgi-bin/srgate | |
| Indicador del precio del acero para diciembre de 2024, PPI USA - BARRAS PLATINAS ESTRUCTURAS DE ACERO, pcu3311103311107, Hot rolled steel bars, plates, and structural shapes, https://data.bls.gov/cgi-bin/srgate | |
| Indicador del precio del aluminio del mes m de estimación, PPI USA - ALUMINIO, pcu331318331318, Other aluminum rolling, drawing, and extruding, https://data.bls.gov/cgi-bin/srgate | |
| Indicador del precio del aluminio, para diciembre de 2024, PPI USA - AUMINIO, pcu331318331318, Other aluminum rolling, drawing, and extruding, https://data.bls.gov/cgi-bin/srgate | |
| Indicador del precio en el mes m del instrumentación de control, PPI USA - INSTR. DE CONTROL PROC. INDUSTR., pcu3345133345130, Process control instruments, https://data.bls.gov/cgi-bin/srgate | |
| Indicador del precio del aluminio, para diciembre de 2024, PPI USA - PPI USA - INSTR. DE CONTROL PROC. INDUSTR., pcu3345133345130, Process control instruments, https://data.bls.gov/cgi-bin/srgate | |
| Costo de material | |
| Costo unitario del material en USD$/unidad para diciembre de 2024. | |
| Cantidad de material para la construcción del tanque | |
| Porcentaje de material importado. | |
| Factor de ajuste de cantidad de material en referencia a la capacidad del tanque | |
| Factor de ajuste de cantidad de material | |
| Factor de ajuste de costo por logística de importación (fletes internacionales, terceros cadena logística y operación aduanera ) del mes de valoración. | |
| Arancel de importación en %. | |
| Total de materiales importados para la construcción del tanque | |
| Factor de ajuste del costo cuando el suelo requiere pilotes para soportar el peso de la construcción. | |
| Costo de material importado en la obra civil para el tanque tipo | |
| Material importado | |
| Tipo de tanque |
3.1.4 CCM - COSTO DE CONSTRUCCIÓN Y MONTAJE.
El costo de construcción y montaje se compone en un 60% del costo de mano de obra y un 40% de los equipos para la construcción. La mano de obra se compone del costo de montaje y escala con el factor de ajuste de mano de obra
que refleja un cambio en los salarios de los operarios encargados del montaje. En cuanto al costo de equipos para la construcción
estos se actualizan con el índice de precios al consumidor ipc. El factor de ajuste de costo de montaje regionalizado
se utiliza para ajustar el costo a la región donde se realizará el proyecto reflejando condiciones propias del entorno como por ejemplo las condiciones de orden público. Por último, se adiciona la utilidad del 5% y el impuesto del IVA a pagar.
En cuanto al costo de mano de obra
, este corresponde a la suma del costo de instalar cada pieza del tanque, calculado como el costo unitario de instalación de la pieza
por la cantidad a instalar de esta pieza
. La cantidad de cada pieza se calcula de la misma manera que en el numeral anterior.
De manera análoga, el costo de equipos de construcción
, se calcula como la suma del costo de equipo requerido para la construcción del tanque
, calculado como el costo unitario de cada equipo
por la cantidad necesaria de este equipo
. La cantidad de cada equipo se calcula de la misma manera como se indicó en el numeral anterior.
![]()
Con:
![]()
![]()
![]()


![]()
![]()
![]()
Donde:
| Tipo de estación de bombeo a estimar. | |
| Mes m de estimación de costos. | |
| Material | |
| Costo de construcción y montaje del tanque | |
| Región donde se realizará el proyecto. | |
| otal costo de montaje del material para el tanque | |
| Total, costo de equipos de construcción del tanque | |
| Costo unitario de montaje del material para el tanque t en USD$ por unidad. | |
| Costo unitario del equipo de construcción | |
| Cantidad del equipo de construcción | |
| Factor de construcción y montaje de la región r | |
| Porcentaje de Utilidad e imprevistos del proyecto (8%). | |
| Impuesto al valor agregado en % | |
| Factor de ajuste de cantidad de material i en referencia a la capacidad del tanque | |
| Factor de ajuste de cantidad de material i en referencia a la capacidad del tanque base. | |
| Factor de ajuste de salarios a pagar por mano de obra. | |
| Sumatoria de todos los costos unitarios de montaje del material para la construcción del tanque | |
| Sumatoria de todos los costos unitarios de los equipos para la equipos para la construcción del tanque, del listado de equipos | |
| Total de materiales para la construcción del tanque | |
| Cantidad de material para la construcción del tanque | |
| Cantidad del equipo de construcción | |
| Índice de costo de obras civiles del mes a valorar, DANE (https://www.dane.gov.co/index.php/estadisticas-por-tema/precios-y-costos/indice-de-costos-de-la-construccion-de-obras-civiles-icociv) | |
| Índice de costo de obras civiles mes de diciembre de 2024, DANE (https://www.dane.gov.co/index.php/estadisticas-por-tema/precios-y-costos/indice-de-costos-de-la-construccion-de-obras-civiles-icociv) | |
| Tasa representativa del mercado para el mes m de estimación (https://www.banrep.gov.co/es/estadisticas/trm). | |
| Tasa representativa del mercado para el mes de diciembre de 2024 (https://www.banrep.gov.co/es/estadisticas/trm). | |
| Salario mínimo en pesos de Colombia del año m de estimación, reportado por el Banco de la República en la página (http://www.banrep.gov.co/es/indice-salarios ). | |
| Salario mínimo en pesos de Colombia del año base de estimación, reportado por el Banco de la República en la página (http://www.banrep.gov.co/es/indice-salarios ). | |
| Factor de ajuste del costo cuando el suelo requiere pilotes para soportar el peso de la construcción. | |
| Costo de mano de obra en la obra civil asociado a la construcción con pilotes para el tanque tipo t en USD$ para diciembre de 2024. | |
| Costo de mano de obra en los equipos de construcción asociado a la construcción con pilotes para el tanque tipo t en USD$ para diciembre de 2024. | |
| Costo total de mano de obra para el tanque tipo t en USD$ para el mes m de estimación. | |
| Costo total de equipos de construcción para el tanque tipo t en USD$ para el mes m de estimación. | |
| Material | |
| Tipo de tanque |
3.1.5 CINT - COSTO DE INTERVENTORÍA Y GERENCIA.
Para estimar estos costos se toma en cuenta el rango de costo del Total entre Comisionamiento y entrega adicionando el total construcción y Montaje
Tabla 3–1Factor de interventoría y gerencia
| >= MÍNIMO | < MÁXIMO | % INTERVENTORIA | % GERENCIA | % TOTAL |
| $0 | $5.000.000 | 8,50% | 23,80% | 32,30% |
| $5.000.000 | $10.000.000 | 7,00% | 20,00% | 27,00% |
| $10.000.000 | $15.000.000 | 6,40% | 18,50% | 24,90% |
| $15.000.000 | $20.000.000 | 5,80% | 15,70% | 21,50% |
3.1.5.1 CINT - COSTO DE INTERVENTORÍA FORMULACIÓN.
El costo de interventoría típicamente se calcula como un factor del costo de construcción y montaje sumado al costo de comisionado y entrega. A este resultado debe agregarse el Impuesto al Valor Agregado IVA.
![]()
Donde:
| Mes m de estimación de costos. | |
| Costo de interventoría en USD$ del mes m para el tipo de tanque t. | |
| Costo de construcción y montaje en USD$ del mes m para el tipo de tanque t. | |
| Costo de comisionado y entrega en USD$ del mes m para el tipo de tanque t. | |
| Impuesto al valor agregado en %. | |
| Tipo de tanque a estimar. | |
| Factor para el cálculo del costo de interventoría. |
3.1.5.2 CGP - COSTO DE GERENCIA DE PROYECTO.
El costo de gerencia del proyecto típicamente se calcula como un factor del costo de construcción y montaje sumado a el costo de comisionado y entrega. A este resultado debe agregarse el Impuesto al Valor Agregado IVA.
![]()
Donde:
| Mes m de estimación de costos. | |
| Costo de gerencia de proyecto en USD$ del mes m para el tipo de tanque t. | |
| Costo de construcción y montaje en USD$ del mes m para el tipo de tanque t. | |
| Costo de comisionado y entrega en USD$ del mes m para el tipo de tanque t. | |
| Impuesto al valor agregado en %. | |
| Tipo de tanque a estimar. | |
| Factor para el cálculo del costo de gerencia del proyecto. |
3.1.6 CCE - COSTO DE COMISIONADO Y ENTREGA.
El costo de gerencia del proyecto típicamente se calcula como el 5% del costo de ingeniería, el costo de construcción y montaje sumado al costo de comisionado y entrega. A este resultado debe agregarse el Impuesto al Valor Agregado IVA.
![]()
Donde:
| Mes m de estimación de costos. | |
| Costo de comisionado y entrega en USD$ del mes m para el tipo de tanque t.. | |
| Costo de ingeniería del proyecto en USD$ del mes m para el tipo de tanque t. | |
| Costo de construcción y montaje en USD$ del mes m para el tipo de tanque t. | |
| Costo de materiales y equipos en USD$ del mes m para el tipo de tanque t. | |
| Impuesto al valor agregado en %. | |
| Tipo de tanque a estimar. |
3.2 CM - COSTO DE MANTENIMIENTO.
El costo de mantenimiento se calcula como la suma del costo unitario de mantenimiento de cada pieza, por la cantidad de esa pieza presente en el tanque. A este costo se le adiciona un 25% y el impuesto al valor agregado IVA.

![]()
Donde:
| Costo de mantenimiento del tanque | |
| Costo unitario de la actividad | |
| Cantidad de actividades | |
| Cantidad de actividades | |
| Diámetro, área, altura o volumen del tanque como factor determinante de la actividad | |
| Impuesto al valor agregado en %. | |
| 25% del costo directo de mantenimiento. | |
| Tipo de tanque | |
| Quinquenal | |
| Material |
3.3 TANQUES ALMACENAMIENTO DE ETANOL.
Para determinar el valor de inversión de un tanque de almacenamiento de Etanol, se deberá aplicar:
a. Se deberá modelar con el mismo procedimiento descrito en los numerales previos 3.1.1 a 3.1.6 considerando las características del tanque de Etanol.
b. En caso de ser un tanque de acero al carbón la valoración será igual a la determinada en el literal a
c. En caso de ser un tanque de acero inoxidable una vez determinado el valor total del literal a. se deberá multiplicar por 1.6 veces el valor de un tanque atmosférico para determinar el valor de inversión. En este caso se deberá sustentar técnicamente la elección de acero inoxidable como material del tanque.
d. En cualquier caso, el valor de AOM será el mismo que se obtiene para un tanque de almacenamiento atmosférico siguiendo las ecuaciones del numeral 3.2.
Se incluye en Excel adjunto a la resolución el modelo de valoración de tanques atmosféricos
4. MODELO DE VALORACIÓN DE TANQUES DE ALMACENAMIENTO A PRESIÓN.
El modelo de valoración se alimenta en su estructuración de análisis tomados de los resultados del estudio Valoración de infraestructura de almacenamiento y estaciones de bombeo asociada al sector de combustibles líquidos (Lloreda, 2022).
El presente numeral muestra la formulación del modelo con un rango de exactitud de costos clase 3 para estimar el costo de un tanque a presión de almacenamiento de GLP, dada su capacidad en barriles. El modelo fue construido al tomar como base la ingeniería conceptual y con algunos alcances de básica de una bala con una capacidad de 1.288 barriles con un diámetro de 3,2 metros (10,5 pies) y una longitud de 24,8 metros (814 pies), el cual fue nombrado como tanque base y a partir de esta se modelaron las variaciones de la longitud que permite, con un buen grado de aproximación, estimar los costos para diferentes capacidades desde 400 barriles hasta 3.000 barriles. La longitud del diámetro se mantiene fijo en 3,2 metros ya que por facilidad de transporte es el tamaño adecuado. El citado tanque base se costeó a precios en dólares estadounidenses de febrero de 2022 y se indexó para dejarlo en fecha base de diciembre de 2024.
Respecto a la descripción de las fórmulas:
a. La primera, es la fórmula general de costo total de tanque de almacenamiento proyectado a un mes especifico. Desde ahí, profundiza en la formulación de cálculo de cada componente hasta llegar a las fórmulas que involucran el factor determinante –, que para este modelo es la longitud del tanque que escala el tamaño del tanque base con respecto al tanque proyectado y por lo tanto las cantidades de materiales, sus costos totales y las actividades de montaje y mantenimiento requeridas. Las dimensiones del tanque proyectado son calculadas con base en la capacidad en barriles ingresado como parámetro inicial del modelo.
b. La segunda fórmula corresponde a la proyección de mantenimiento anual del tanque estimado.
A continuación, se presentan las ecuaciones con el fin de incluir la descripción del modelo.
4.1. CTG - COSTO DEL TANQUE DE GLP.
El costo total del tanque de almacenamiento a presión de GLP para el mes m de estimación se compone de la suma del costo de ingeniería, los costos de licenciamiento, el costo de los materiales, el costo de construcción y montaje de los mismos, los costos de interventoría del proyecto y el comisionado y entrega del proyecto.
![]()
Donde:
| Mes m de estimación de costos. | |
| Costo tanque de GLP para el mes de estimación en USD$ para el mes m. | |
| Costo de ingeniería del proyecto en USD$ para el mes m. | |
| Costo de gestión y licenciamiento Inmobiliario, ambiental, construcción y social en USD$ para el mes m. | |
| Costo de materiales y equipos en USD$ para el mes m. | |
| Costo de construcción y montaje en USD$ para el mes m. | |
| Costo de interventoría en USD$ para el mes m. | |
| Costo de gerencia de proyecto en USD$ para el mes m. | |
| Costo de comisionado y entrega en USD$ para el mes m. |
4.1.1 CI - COSTO DE INGENIERÍA DEL PROYECTO.
El costo de ingeniería del proyecto típicamente se considera como el 7% del costo del material y el costo de construcción y montaje. Este porcentaje se divide en 1% para la ingeniería conceptual, 2% para la ingeniería básica y 4% para la ingeniería de detalle.
![]()
Con:
![]()
![]()
![]()
Donde:
| Mes m de estimación de costos. | |
| Costo de ingeniería del proyecto en USD$ para el mes m. | |
| Costo de ingeniería conceptual en USD$ para el mes m. | |
| Costo de ingeniería básica en USD$ para el mes m. | |
| Costo de ingeniería de detalle en USD$ para el mes m. | |
| Costo de materiales y equipos en USD$ para el mes m. | |
| Costo de construcción y montaje en USD$ para el mes m. |
4.1.2 CGIAS - COSTO DE GESTIÓN Y LICENCIAMIENTO.
El costo de gestión y licenciamiento típicamente se considera como el 5% del costo del material, el costo de comisionado de entrega y el costo de construcción / montaje. Este porcentaje se divide en 2,14% para la gestión inmobiliaria, 1,43% para el licenciamiento ambiental y 1,43% para el costo de la gestión social.
![]()
Con:
![]()
![]()
![]()
Donde:
| Mes m de estimación de costos. | |
| Costo de gestión y licenciamiento Inmobiliario, ambiental, construcción y social en USD$ para el mes m. | |
| Costo de gestión inmobiliaria en USD$ para el mes m. | |
| Costo de licenciamiento ambiental en USD$ para el mes m. | |
| Costo de gestión social en USD$ para el mes m. | |
| Costo de comisionado y entrega en USD$ para el mes m. | |
| Costo de materiales y equipos en USD$ para el mes m. | |
| Costo de construcción y montaje en USD$ para el mes m. |
CME - Costo de materiales
El costo de los materiales se considera como la suma del costo de materiales nacionales, el costo de los materiales importados, el transporte de los mismos hasta la zona del proyecto. A este resultado se debe adicionar el IVA.
Para determinar el costo de materiales nacionales e importados, se suman todos los costos de los materiales para construir el tanque proyectado y este costo es indexado con el índice del precio del acero. Cada costo de material nacional
o importado
se calcula como la cantidad necesaria de material
para construir el tanque por el respectivo costo unitario del material
.
La cantidad de material
se calcula ponderando la cantidad de ese material que se requiere para el tanque base: Se toman las unidades requeridas para construir el tanque base
por el factor determinante del material del tanque base
y escalando este valor con el valor del factor determinante del tanque proyectado
.
El factor determinante
corresponde al largo del tanque, calculado con base en la capacidad de almacenamiento requerida en barriles, que está correlacionada con el material. Por ejemplo, si el material es lamina, la cantidad de unidades del material está correlacionado con la superficie del tanque a construir que depende del largo del tanque, ya que su diámetro es fijo (3,2 metros) como se ya se había indicado.
El costo de transporte inicialmente en pesos es actualizado por índice de precios desde la fecha base a la fecha de cálculo y convertido a dólares con la tasa promedio del mes de calculo
![]()
Donde:
| Mes m de estimación de costos. | |
| Costo de materiales y equipos para el mes de estimación m USD$ para el mes m. | |
| Costo de materiales y equipos importados en USD$ para el mes m. | |
| Costo de materiales y equipos nacionales en USD$ para el mes m. | |
| Costo de transporte hasta la región r. en USD para el mes m | |
| Impuesto al valor agregado en %. |
4.1.3.1 COSTO DE MATERIALES IMPORTADOS.
El costo de materiales se determina a partir de la siguiente expresión:

Con:
![]()
![]()
![]()
Donde:
| Costo de materiales importados para el tanque de GLP en USD$ del mes m. | |
| Cantidad total de materiales importados. | |
| Mes m de estimación de costos. | |
| Tanque tipo | |
| Costo de material importado i del listado de materiales i a n en USD$ de diciembre de 2024. | |
![]() | Sumatoria de cada costo de material importado del listado de materiales i a n. en USD$ de diciembre de 2024. |
| Factor de ajuste de costo por concepto de logística y transporte de importación a la fecha de valoración. | |
| Arancel a pagar por importaciones en %. | |
| Factor determinante para escalar la cantidad de material al tanque de GLP estimado en metros. | |
| Factor determinante del tanque GLP base para escalar la cantidad de material al tanque estimado en metros. | |
| Indicador del precio del acero del mes de estimación, PPI USA - BARRAS PLATINAS ESTRUCTURAS DE ACERO, pcu3311103311107, Hot rolled steel bars, plates, and structural shapes, https://data.bls.gov/cgi-bin/srgate | |
| Indicador del precio del acero para diciembre de 2024, PPI USA - BARRAS PLATINAS ESTRUCTURAS DE ACERO, pcu3311103311107, Hot rolled steel bars, plates, and structural shapes, https://data.bls.gov/cgi-bin/srgate | |
| Costo de materiales importados en la obra civil asociado a la construcción con pilotes para el tanque tipo t en USD$ para diciembre de 2024. | |
| Factor de ajuste del costo cuando el suelo requiere pilotes para soportar el peso de la construcción. | |
| Material importado i para la construcción de tanque de GLP. |
4.1.3.2 COSTO DE MATERIALES NACIONALES.
El costo de materiales se determina a partir de la siguiente expresión:

Con:
![]()
![]()
![]()
![]()
![]()
Para indexadores se emplean según el material utilizado:
| Material | Indexadort,i |
| Material en acero | |
| Obra civil (concretos, etc) | |
| Otros |
Donde:
| Costo de materiales nacionales para el tanque de GLP en USD$ del mes m. | |
| Mes m de estimación de costos. | |
| Material i para la construcción del tanque de GLP a estimar. | |
| Sumatoria de cada costo de material nacional cmn del listado de materiales i a n para la construcción del tanque de GLP en USD$ de diciembre de 2024. | |
| Costo del material i para construir el tanque de GLP en USD$ de diciembre de 2024. | |
| Costo de un kilogramo del material i para construir el tanque de GLP en USD$ de diciembre de 2024. | |
| Indicador del precio del acero del mes m de estimación, PPI USA - BARRAS PLATINAS ESTRUCTURAS DE ACERO, pcu3311103311107, Hot rolled steel bars, plates, and structural shapes, https://data.bls.gov/cgi-bin/srgate | |
| Indicador del precio del acero para diciembre de 2024, PPI USA - BARRAS PLATINAS ESTRUCTURAS DE ACERO, pcu3311103311107, Hot rolled steel bars, plates, and structural shapes, https://data.bls.gov/cgi-bin/srgate | |
| Tasa representativa del mercado para el mes m. página (https://www.banrep.gov.co/es/estadisticas/trm ) | |
| Tasa representativa del mercado para el mes de diciembre de 2024. (https://www.banrep.gov.co/es/estadisticas/trm ) | |
| Total de materiales nacionales para la construcción del tanque de GLP. | |
| Factor determinante para escalar la cantidad de material al tanque de GLP estimado en metros. | |
| Factor determinante del tanque GLP base para escalar la cantidad de material al tanque estimado en metros. | |
| Índice de precios al consumidor para el mes m de estimación, IPC reportado por el Banco de la República en la página (https://www.banrep.gov.co/es/estadisticas/indice-precios-consumidor-ipc). | |
| Índice de precios al consumidor para el mes de diciembre de 2024, IPC reportado por el Banco de la República en la página (https://www.banrep.gov.co/es/estadisticas/indice-precios-consumidor-ipc). | |
| Costo de materiales nacionales en la obra civil asociado a la construcción con pilotes para el tanque tipo t en USD$ para diciembre de 2024. | |
| Factor de ajuste del costo cuando el suelo requiere pilotes para soportar el peso de la construcción. | |
| Material i para la construcción de tanque de GLP. |
4.1.4 CCM - COSTO DE CONSTRUCCIÓN Y MONTAJE.
El costo de construcción y montaje se compone en un 60% del costo de mano de obra y un 40% de los equipos para la construcción. La mano de obra se compone del costo de montaje y escala con el factor de ajuste de mano de obra
que reflejará un cambio en los salarios de los operarios encargados del montaje. En cuanto al costo de equipos para la construcción estos se actualizan con el índice de precios al consumidor ipc. El factor de ajuste de costo de montaje regionalizado
se utiliza para ajustar el costo a la región donde se realizará el proyecto reflejando condiciones propias del entorno como por ejemplo las condiciones de orden público. Por último, se adiciona la utilidad del 5% y el impuesto del IVA a pagar.
En cuanto al costo de mano de obra, este corresponde a la suma del costo de instalar cada pieza del tanque, calculado como el costo unitario de instalación de la pieza i
por la cantidad a instalar de esta pieza
. La cantidad de cada pieza se calcula de la misma manera que en numeral anterior.
De manera análoga, el costo de equipos de construcción
, se calcula como la suma del costo de equipo requerido para la construcción del tanque, calculado como el costo unitario de cada equipo i
por la cantidad necesaria de este equipo. La cantidad de cada equipo
se calcula de la misma manera que en el numeral anterior.
![]()
Con:
![]()
![]()


![]()
![]()
![]()
Donde:
| Costo de construcción y montaje del tanque en el mes de proyección m en USD$. | |
| Mes de estimación de costo. | |
| Región donde se realizará el proyecto. | |
| Total costo de montaje del material en USD$ para diciembre de 2024. | |
| Total costo de equipos de construcción en USD$ para diciembre de 2024. | |
| Costo unitario de montaje del material i en USD$/unidad para diciembre de 2024. | |
| Costo unitario del equipo de construcción i en USD$/unidad para diciembre de 2024. | |
| Cantidad del equipo de construcción i en unidades de material para el tanque de GLP. | |
| Cantidad del equipo de construcción i en unidades de material para el tanque de GLP base. | |
| Factor de ajuste de cantidad de material en referencia a la capacidad del tanque en metros. | |
| Factor de ajuste de cantidad de material en referencia a la capacidad del tanque base en metros. | |
| Índice de costo de obras civiles del mes a valorar, DANE (https://www.dane.gov.co/index.php/estadisticas-por-tema/precios-y-costos/indice-de-costos-de-la-construccion-de-obras-civiles-icociv) | |
| Índice de costo de obras civiles mes de diciembre de 2024, DANE (https://www.dane.gov.co/index.php/estadisticas-por-tema/precios-y-costos/indice-de-costos-de-la-construccion-de-obras-civiles-icociv) | |
| Tasa representativa del mercado para el mes m. página (https://www.banrep.gov.co/es/estadisticas/trm ) | |
| Tasa representativa del mercado para el mes de diciembre de 2024. (https://www.banrep.gov.co/es/estadisticas/trm ) | |
| Salario mínimo en pesos de Colombia del año m de estimación, reportado por el Banco de la República en la página (http://www.banrep.gov.co/es/indice-salarios ). | |
| Salario mínimo en pesos de Colombia del año base de estimación, reportado por el Banco de la República en la página (http://www.banrep.gov.co/es/indice-salarios ). | |
![]() | Suma de Costos unitarios de montaje de cada material i requeridos para construir el tanque en USD$/unidad para diciembre de 2024. |
| Factor de ajuste de salarios a pagar por mano de obra. | |
| Factor de ajuste de acuerdo a las condiciones específicas para la construcción y montaje de la región r. | |
| Utilidad del proyecto en porcentaje. | |
| Impuesto al valor agregado en porcentaje. | |
| Costo de mano de obra en la obra civil para el tanque en USD$ para diciembre de 2024. | |
| Costo de mano de obra en los equipos de construcción para el tanque en USD$ para diciembre de 2024. | |
| Costo total de mano de obra para la construcción del tanque en USD$ para diciembre de 2024. | |
| Costo total de equipos de construcción para el tanque en USD$ para diciembre de 2024. | |
| Factor de ajuste del costo cuando el suelo requiere pilotes para soportar el peso de la construcción. | |
| Material i para la construcción de tanque de GLP. |
4.1.5 CINT - COSTO DE INTERVENTORÍA Y GERENCIA.
Para estimar estos costos se toma en cuenta el rango de costo del Total entre Comisionamiento y entrega + Total construcción Montaje
4.1.5.1 CINT - COSTO DE INTERVENTORÍA.
El costo de interventoría típicamente se calcula como
=7% del costo de construcción y montaje sumado a el costo de comisionado y entrega. A este resultado debe agregarse el Impuesto al Valor Agregado IVA.
![]()
Donde:
| Mes m de estimación de costos. | |
| Costo de interventoría en USD$ del mes m para el tanque de GLP. | |
| Costo de construcción y montaje en USD$ del mes m para el tanque de GLP. | |
| Costo de comisionado y entrega en USD$ del mes m para el tanque de GLP. | |
| Impuesto al valor agregado en %. |
4.1.5.2 CGP - COSTO DE GERENCIA DE PROYECTO.
El costo de gerencia del proyecto, típicamente se calcula como 20% del costo de construcción y montaje sumado al costo de comisionado y entrega. A este resultado debe agregarse el Impuesto al Valor Agregado IVA.
![]()
Donde:
| Mes m de estimación de costos. | |
| Costo de gerencia de proyecto en USD$ del mes m para el tanque de GLP. | |
| Costo de construcción y montaje en USD$ del mes m para el tanque de GLP. | |
| Costo de comisionado y entrega en USD$ del mes m para el tanque de GLP. | |
| Factor para el cálculo del costo de gerencia del proyecto. | |
| Impuesto al valor agregado en %. |
4.1.6 CCE - COSTO DE COMISIONADO Y ENTREGA.
El costo de gerencia del proyecto típicamente se calcula como el 5% del costo de ingeniería, el costo de construcción y montaje sumado a el costo de comisionado y entrega. A este resultado debe agregarse el Impuesto al Valor Agregado IVA.
![]()
Donde:
| Mes m de estimación de costos. | |
| Costo de comisionado y entrega en USD$ del mes m para el tanque de GLP. | |
| Costo de ingeniería del proyecto en USD$ del mes m para el tanque de GLP. | |
| Costo de construcción y montaje en USD$ del mes m para el tanque de GLP. | |
| Costo de materiales y equipos en USD$ del mes m para el tanque de GLP. | |
| Impuesto al valor agregado en %. |
4.2 CM - COSTO DE MANTENIMIENTO.
el costo de mantenimiento anual de un tanque de almacenamiento para GLP se estima en un 10% del valor de construcción del tanque.
![]()
Donde:
| Mes m de estimación de costos. | |
| Costo anual del mantenimiento del tanque para el almacenamiento de GLP en USD$ del mes m. | |
| Costo del tanque para el mes m de estimación en USD$ del mes m. |
Se incluye en Excel adjunto a la resolución el modelo de valoración de tanques a presión.
ANEXO 2. INFORMACIÓN DE INVERSIÓN.
Este anexo incluye los s para que los agentes declaren la información para valorar poliducto, estaciones de bombeo, inventario de activos.
5. VARIABLES DEL FORMATO A02F1 - POLIDUCTOS.
5.1 DESCRIPCIÓN DE TIPOS DE SUELO.
Se refiere al tipo de suelo cohesivo con una resistencia compresiva igual o superior a 1,5 toneladas por pie cuadrado (144kPa).
Tipo de suelo que además de ser cohesivo, con una resistencia compresiva inferior a 1,5 toneladas por pie cuadrado (144kPa), en la construcción de los poliducto se presentan paredes de las zanjas más inestables, lo cual generalmente conduce a una secuenciación en la construcción un poco diferente a través de las áreas impactadas. Normalmente en áreas arenosas el tubo es colocado en primer lugar, y la excavación y hundimiento se realiza después en estrecha proximidad a fin de no tener hundimientos en la excavación de la zanja.
Tipo de suelo que presenta roca en camas sólidas o masas, en su formación original, encontrada en la excavación de zanjas para la tubería. Requiere extracción por medio de la utilización de cubos para roca, o perforación y voladura para su extracción. Una definición común es “aquello que no puede ser extraído con un D-8 equipado con un extractor, o excavado con una excavadora 330 equipada con un cubo para roca”. Normalmente en la excavación en roca la profundidad de la zanja es menor y a menudo proporciona un mínimo de 60 cm para cubrir la superficie del tubo.
5.2 DESCRIPCIÓN DE TIPOS DE VEGETACIÓN.
Es un bioma que se caracteriza por su subsuelo helado, falta de vegetación arbórea, o en todo caso de árboles naturales, lo que es debido a la poca heliofanía y al estrés del frío glacial. Los suelos que están cubiertos de musgos y líquenes son pantanosos con turberas en muchos sitios.
Es un bioma de clima templado y lluvioso, con estación seca. Se trata de bosques dominados por angiospermas (bosques de hojas anchas), e incluye también los bosques mixtos, donde se mezclan angiospermas y gimnospermas, se caracteriza principalmente por poseer una vegetación con hojas caducas.
El concepto de selva, jungla o bosque lluvioso, se aplica a los bosques tropicales y subtropicales, es decir, a las florestas densas con gran diversidad de especies arbóreas y, por lo general, dosel cerrado, denso sotobosque y diversos "pisos", "estratos" o "niveles" de vegetación: desde árboles que pueden superar los 20 metros en los pisos altos hasta los musgos y mohos al ras del suelo, al cual difícilmente llega la luz solar (por este motivo también abundan los hongos).
En geografía se define como desierto a la zona terrestre en la cual las precipitaciones casi nunca superan los 250 milímetros al año y el terreno es árido. El desierto puede ser considerado un ecosistema o un bioma.
La Estepa Seca es una expresión comúnmente utilizada para designar el clima de una región del planeta donde las lluvias anuales están entre los 200 y los 400 mm. Una cantidad de lluvia inferior a los 200 mm anuales caracteriza a los desiertos. La vegetación está normalmente compuesta de arbustos que pierden las hojas en los meses más secos, así como de pastajes que también se secan en los períodos de estiaje.
La sabana es una llanura ubicada en climas tropicales en la cual la vegetación se encuentra formando un estrato herbáceo continuo por gramíneas perennes, salpicada por algún árbol, arbusto o matorral individual o en pequeños grupos de talla inferior a 10 m. Normalmente, las sabanas son zonas de transición entre bosques y estepas. Se extiende en zonas de clima cálido a templado. Combina características del bosque y del pastizal. En los suelos cubiertos por pastos altos crecen árboles en grupos aislados.
El bosque tropical lluvioso es propio de las zonas tropicales en las que no existe una verdadera estación seca, hay uno o más meses relativamente secos (con menos de 100 mm de lluvia) y solamente algunas áreas son húmedas durante todo el año.
La tundra alpina está situada en las montañas a través del mundo en alta altitud donde los árboles no pueden crecer. La estación de crecimiento y desarrollo dura aproximadamente 180 días. La temperatura de la noche es generalmente por debajo de bajo 0 °C. Se diferencia de la tundra andina, por sus suelos bien drenados. Las comunidades de plantas son similares a las árticas.
5.3 TÉCNICAS DE MANEJO DE NIVEL FREÁTICO.
5.3.1 MÉTODOS DE SUMIDEROS Y ZANJAS.
Un procedimiento de desagüe elemental consiste en la instalación de las cunetas, desagües franceses, y sumideros dentro de una excavación, de las que el agua que entra en la excavación puede ser bombeada. A menudo, una bomba de zanja de 6" o una serie de bombas de zanja se utilizan para bombear agua temporalmente de una excavación o zanja de la tubería para permitir el empate que se realiza por debajo del suelo.
Este método de extracción de agua generalmente no debe ser considerado cuando el nivel del agua subterránea debe ser reducido a más de unos pocos pies, ya que la filtración en la excavación podría perjudicar la estabilidad de las pendientes de excavación y tener un efecto perjudicial sobre la integridad la cimentación de los suelos. Mantas de filtro o drenajes pueden ser incluidos en los sistemas de zanja y sumideros para superar desmoronamiento de menor importancia y facilitar la recolección de la filtración. Las desventajas de un sistema colector de desagüe son la lentitud en el drenaje de las pendientes, las condiciones potenciales de humedad durante la excavación y relleno, que pueden obstaculizar la construcción y afectan negativamente el suelo subrasante; el espacio requerido en el fondo de la excavación de los desagües, zanjas, colectores y bombas; y la frecuente falta de trabajadores expertos en la construcción u operación adecuada de sumideros.
5.3.2 MÉTODOS DE SISTEMAS DE ASPIRACIÓN.
Los sistemas de aspiración Wellpoint son un método comúnmente utilizado de desagüe, ya que son aplicables a una amplia gama de excavaciones y a condiciones de aguas subterráneas.
Un sistema de aspiración convencional consta de una o varias series de puntas filtrantes (wellpoints) con tuberías verticales de 3,8 cm o 5 cm de diámetro, instaladas en una línea o anillo en espaciamientos entre aproximadamente 0,9 y 3 metros, con las verticales conectadas a un colector común y bombeado con una o más bombas de aspiración wellpoint. Los wellpoints son pequeñas cortinas hechas de latón o de malla de acero inoxidable, latón ranurado o tubería de plástico, o alambre envuelto en barras de forma trapezoidal para formar una cortina.
Por lo general oscilan en tamaño de 5 a 10 cm de diámetro y 0,6 a 1,5 metros de longitud y están construidas, ya sea con extremos cerrados o puntas de auto-inyección. Pueden o no estar rodeadas de un filtro según el tipo de suelo drenado. Las cortinas de aspiración y tuberías verticales pueden ser tan grandes como 15,25 cm y tan largas como 7,6 metros en ciertas situaciones.
Una bomba de aspiración utiliza un vacío combinado y una bomba centrífuga conectada a la cabecera para producir un vacío en el sistema y para bombear el agua que drena a los wellpoints. Una o más bombas de vacío complementarias se pueden añadir a las bombas principales donde una capacidad adicional de tratamiento de aire se requiere o es deseable. Generalmente, una etapa de aspiración (wellpoints conectados a una cabecera en una elevación común) es capaz de bajar el nivel freático alrededor de 4,5 metros; bajar el agua subterránea más de 4,5 metros por lo general requiere una instalación de wellpoints en múltiples etapas.
Un sistema de aspiración es generalmente el método más práctico para el desagüe donde el sitio es accesible y donde la excavación y las capas acuíferas a ser drenadas no son demasiado profundas. Para las excavaciones de gran tamaño o profundidad, donde la profundidad de la excavación es más de 9 o 12 metros, o donde la presión artesiana en un acuífero profundo debe ser reducida, puede ser más práctico utilizar wellpoints del tipo eductor o pozos profundos (discutido más adelante) con turbina o bombas sumergibles, utilizando puntas filtrantes (wellpoints) como un método complementario de desagüe, si es necesario. Los wellpoints son más adecuados que los pozos profundos, donde la inmersión disponible para las cortinas es pequeña y se requiere espacio cerrado para interceptar las filtraciones.
Un método común de la excavación por debajo del nivel freático en áreas confinadas es impulsar la madera o tablestacas de acero por debajo de la elevación subrasante, instalar refuerzos, excavar la tierra, y bombear las posibles filtraciones que entran en el área de las ataguías.
El desagüe de una excavación entoldada con sumideros y zanjas está sujeta a las mismas limitaciones y graves desventajas que las que se dan en excavaciones abiertas. Sin embargo, el peligro de empuje hidráulico en el fondo de una excavación en la arena podría ser reducido si la lámina puede ser conducida en un estrato impermeable subyacente, reduciendo así la filtración al fondo de la excavación.
Las excavaciones por debajo de la capa freática a veces pueden ser realizadas con éxito utilizando laminado y bombeo de sumidero. Sin embargo, el uso de lámina y arriostramiento deben ser diseñados para presiones hidrostáticas y soporte reducido de pie por las fuerzas de filtración hacia arriba. Cubrir el fondo de la excavación con una manta filtro de arena y gravilla invertida facilitará la construcción y el bombeo de las aguas de filtración.
En ocasiones, en el trazado de un ducto es necesario atravesar diversas fuentes de agua como ríos y quebradas, o tierras pantanosas, que implican la utilización de técnicas de construcción especiales para realizar cruces subfluviales, los cuales abarcan cruces húmedos con zanjas, perforaciones horizontales dirigidas y cruces aéreos.
Esta técnica se usa en humedales y pantanos, en los cuales las zanjas deben ser excavadas usando excavadoras de orugas que trabajan fuera de la orilla del pantano, utilizando caminos o revestimientos de madera o dispositivos similares. Los despojos excavados se almacenan en el lado no funcional del derecho de vía.
Los humedales inundados normalmente necesitan ser excavados mediante la utilización de excavadoras de oruga o dragas trabajando sobre barcazas o dispositivos similares, o utilizando excavadoras con equipo de pantano. Los despojos se apilan generalmente adyacentes a la zanja de la tubería y son mediante los mismos equipos depositados como material de relleno posteriormente.
5.4.2 PERFORACIÓN HORIZONTAL DIRIGIDA.
La instalación de una tubería a través de la perforación horizontal direccionada (HDD) es un proceso de dos etapas. La primera etapa consiste en perforar un orificio piloto de diámetro pequeño junto con una ruta de dirección diseñada. La segunda etapa implica la ampliación de este agujero piloto para obtener un diámetro que se acomode al de la tubería para luego meterla en un agujero agrandado. Los siguientes diagramas explican el proceso en general:
Perforación del paso del piloto a lo largo de la trayectoria planeada

Ampliación del paso del piloto a un diámetro mayor al de la tubería

Instalación de la tubería

Cruces aéreos
Está técnica corresponde a la construcción de puentes o utilización de soportes sobre los cuáles se atraviesa la fuente hídrica.
Se incluye libro de Excel anexo con formatos e instrucciones para su diligenciamiento.
ANEXO 3. COSTOS FINALES DE POLIDUCTOS Y ESTACIONES DE BOMBEO Y TANQUES.
Los formatos incluidos en este anexo están concebidos para incluir los valores finales una vez construidos los proyectos de poliductos, propanoductos, estaciones de bombeo y tanques planteados por el agente transportador y aprobados por la CREG.
Se incluye libro de Excel anexo con formatos e instrucciones para su diligenciamiento.
ANEXO 4. GASTOS DE ADMINISTRACIÓN, OPERACIÓN Y MANTENIMIENTO, PARA INVERSIÓN EXISTENTE.
La información utilizada para obtener el valor de AOM gastado, será tomada por el transportador de las erogaciones a considerar para establecer el AOM gastado, asimismo se incluye el reporte de predios y servidumbres.
Se incluye libro de Excel anexo con formatos e instrucciones para su diligenciamiento.
ANEXO 5. METODOLOGÍA PARA LA ESTIMACIÓN DE LA CAPACIDAD MÁXIMA DE MEDIANO PLAZO.
Para el cálculo de las capacidades máximas de mediano plazo de un ducto dentro de un Subsistema se aplicarán las siguientes reglas:
a. Parámetros técnicos del fluido y del ducto. Los parámetros del fluido y del ducto utilizados para el cálculo de las capacidades máximas de mediano plazo deben corresponder a los parámetros validados mediante simulaciones operacionales del transportador, teniendo en cuenta información histórica.
b. Presiones en puntos de entrada al sistema de transporte. Se utilizará como presión en puntos de entrada de refinerías y de puntos de importación la máxima presión de operación permisible MPOP.
c. Máxima presión de operación permisible. Las presiones que se simulen no deberán exceder las máximas presiones de operación permisibles.
d. Procedimiento de cálculo de las capacidades máximas de mediano plazo en un ducto dentro de un Subsistema. Para el cálculo de las capacidades máximas de mediano plazo, se simulará la red integrada por la totalidad de los poliductos del sistema de transporte, empleando modelos de simulación en estado transitorio y siguiendo el procedimiento que se describe a continuación:
i. Para cada punto de salida se utilizará el perfil horario del volumen correspondiente al día en que se presente la demanda esperada de capacidad para cada año del horizonte de proyección.
ii. Para encontrar el volumen máximo transportable en cada año del horizonte de proyección, se adelantará un proceso iterativo mediante incrementos a prorrata de todos los volúmenes de los puntos de salida, hasta encontrar un perfil de volumen diario por encima del cual, en algún punto de salida la presión sea inferior a la mínima pactada contractualmente, o no se cumpla con los volúmenes máximos inyectables en los puntos de entrada. En los puntos de salida se debe conservar el perfil horario de la demanda. Este volumen máximo se debe calcular considerando los diferentes combustibles transportados y el valor final deberá considerar el valor máximo transportable.
iii. Para aquellos Subsistemas que se deriven de un sistema de transporte de otro transportador, se utilizarán las presiones mínimas obtenidas por el transportador que entrega en el punto de transferencia correspondiente.
iv. Para aquellos ductos que cuenten con infraestructura de estaciones de bombeo, se considerarán las presiones de descarga de cada estación de bombeo.
e. Envío de Información. El transportador deberá enviar a la CREG las memorias del cálculo de las capacidades máximas de mediano plazo para cada poliducto o grupo de poliductos. Estas memorias deben incluir todos los parámetros técnicos utilizados en el cálculo, así como las capacidades, presiones y extracciones en cada Subsistema y en cada punto de salida a lo largo del poliducto. En el caso de que se disponga del archivo de simulación en el software Pipeline Studio se debe adjuntar a la información.
Los cálculos anteriores deberán realizarse para cada dirección del flujo de refinados o GLP, en el caso de que exista la posibilidad de contraflujo.
Como parte de las memorias de cálculo el transportador deberá reportar los formatos que recopilan la información de la capacidad efectiva de cada Subsistema que se citan a continuación.
Se incluye libro de Excel anexo con formatos e instrucciones para su diligenciamiento.
ANEXO 6. INFORMACIÓN ASOCIADA A LA DEMANDA, CAPACIDAD, INVENTARIO OPERATIVO.
Formato 1. Información histórica de demanda por sistema
El formato incluye los campos declarar la demanda histórica por Subsistema para cada Subsistema, este formato estará en el Excel adjunto a la resolución
Se incluye libro de Excel anexo con formatos e instrucciones para su diligenciamiento.
ANEXO 7. SISTEMA DE TRANSPORTE POR POLIDUCTO.
A continuación, se incluyen los Subsistemas de transporte por poliductos.
| Por Subsistema | Subsistema | longitud(kms) | Diámetro promedio |
| 1 | CARTAGENA - GALAPA - BARANOA | 103,7 | 12 |
| 2 | POZOS COLORADOS - AYACUCHO | 322,2 | 14 |
| 3 | AYACUCHO - GALAN | 189 | 14 |
| 4 | GALAN - LIZAMA | 40,2 | 7 |
| 5 | LIZAMA - RIO SOGAMOSO | 13 | 7 |
| 6 | RIO SOGAMOSO - BUCARAMANGA | 44,6 | 7 |
| 7 | GALAN - SEBASTOPOL | 114,35 | 12 |
| 8 | SEBASTOPOL - VASCONIA | 66 | 12 |
| 9 | VASCONIA - SALGAR | 68,76 | 12 |
| 10 | SALGAR - MANSILLA | 109,4 | 10 |
| 11 | MANSILLA - PUENTE ARANDA | 43,3 | 10 |
| 12 | PUENTE ARANDA - EL DORADO | 9,5 | 6 |
| 13 | SEBASTOPOL - SUTAMARCHAN | 174,4 | 18 |
| 14 | SUTAMARCHAN - TOCANCIPA | 100,2 | 16 |
| 15 | SUTAMARCHAN - MONTERREY | 138,463 | 12 |
| 16 | MONTERREY - APIAY | 117,237 | 16 |
| 17 | SALGAR - GUALANDAY | 169,8 | 12 |
| 18 | GUALANDAY - NEIVA | 162,5 | 7 |
| 19 | SEBASTOPOL - GIRARDOTA | 140 | 13 |
| 20 | GIRARDOTA - MEDELLIN | 23,7 | 13 |
| 21 | MEDELLIN - LA PINTADA | 93,8 | 10 |
| 22 | LA PINTADA - CARTAGO | 142,16 | 10 |
| 23 | SALGAR - MARIQUITA | 55,96 | 7 |
| 24 | MARIQUITA - MANIZALES | 71,29 | 7 |
| 25 | MANIZALES - PEREIRA | 29,05 | 7 |
| 26 | PEREIRA - CARTAGO | 55,94 | 7 |
| 27 | CARTAGO - BUGA | 102,6 | 10 |
| 28 | BUGA - MULALO | 50,8 | 10 |
| 29 | MULALO - YUMBO | 4,3 | 10 |
| 30 | YUMBO - BUENAVENTURA | 102,7 | 9 |
| 31 | SALGAR - LA DORADA | 3,8 | 6 |
ANEXO 8. PERÍODO VIDA ÚTIL ACTIVOS. [11]
A continuación, se incluyen los períodos de vida útil y remanentes en la siguiente tabla:
| Grupo | Valor residual | Vida útil | Vida útil remanente cuando supera (Recuperable con mantenimiento adecuado) |
| Ductos | 5% | 25 | 15 |
| Almacenamientos | 3% | 25 | 15 |
| Cruces especiales | 0% | 20 | 10 |
| Múltiples | 3% | 10 | 5 |
| Trampas para raspadores | 3% | 15 | 10 |
| Sistema de contra incendio | 2% | 20 | 8 |
| Sistema eléctrico | 2% | 15 | 10 |
| Unidades de bombeo | 10% | 20 | 10 |
| Válvulas de seccionamiento | 3% | 15 | 8 |
| Teas | 10% | 30 | 15 |
| Instrumentación | 1% | 10 | 5 |
| Probadores | 3% | 10 | 8 |
| Boosters | 3% | 10 | 5 |
| Compresores | 10% | 20 | 12 |
| Intercambiadores de calor | 10% | 20 | 10 |
En el caso de tipos de activos no incluidos en la tabla anterior se considerarán los mismos valores que para ductos.
<NOTAS DE PIE DE PÁGINA>
1. Derogada parcialmente por la Resolución CREG 114 de 2017 y modificada por las Resoluciones CREG 89 y 123 de 2013.
2. Modificado por el numeral 5 del artículo 3 del Decreto Ley 4130 de 2011
3. Artículo 1.2.1.1.3.1.1 del Decreto 1073 de 2015.
4. Modificado por el artículo 244 de la Ley 2294 de 2023
5. Ni la persona jurídica ni los profesionales que apoyen el desarrollo de la valoración de activos podrán estar incursos en las inhabilidades, incompatibilidades, prohibiciones, impedimentos o conflictos de interés previstos en la Ley, entre otras.
6. La longitud considerada en la ecuación no debe contener la longitud de los cruces especiales.
7. Para 2” solo se aplica hasta 20000m longitud máxima recomendada.
8. Dado que como lo señala los informes de Tipiel ya se tiene incluido un 1% de gestión social se incluirán los porcentajes de la Tabla 1–2 restando en el rubro social el 1% por ya estar incluido.
9. Para mayor información la página www.aacei.org 18R-97: Cost Estimate Classification System
10. En este caso diciembre de 2019, para la cual se tiene información de PPI e índices del acero.
11. A partir del estudio de la base de activos señalada en el Artículo 9 se podrán revisar estos valores para los activos que se encuentren en operación dentro del proceso de construcción de la base de activos.












