PROYECTO DE RESOLUCIÓN 705 002 DE 2022
(mayo 2)
<Fuente: Archivo interno entidad emisora>
COMISIÓN DE REGULACIÓN DE ENERGÍA Y GAS - CREG
La Comisión de Regulación de Energía y Gas, en su sesión No.1166 del 2 de mayo de 2022, aprobó someter a consulta pública el presente proyecto de resolución por el término de sesenta (60) días calendario contados a partir del día siguiente a su publicación en el portal web de la CREG.
Se invita a los usuarios, a los agentes, a las autoridades locales, municipales y departamentales, a las entidades y a los demás interesados, para que remitan sus observaciones o sugerencias sobre la propuesta, dentro del plazo establecido.
Los interesados podrán dirigir sus comentarios al Director Ejecutivo de la Comisión de Regulación de Energía y Gas, al correo electrónico creg@creg.gov.co, identificando el mensaje con el siguiente asunto “Comentarios a la metodología tarifaria para la remuneración de la actividad de transporte de combustibles líquidos y gas licuado del petróleo –GLP- por ductos y a los lineamientos de valoración y remuneración de la infraestructura de almacenamiento estratégico” en el formato adjunto “comentarios_T_CL.xlsx”.
Al vencimiento de la consulta pública, la CREG determinará si el proyecto debe ser informado a la Superintendencia de Industria y Comercio, para el ejercicio de la Abogacía de la Competencia, con fundamento en las disposiciones del Decreto 1074 de 2015, artículo 2.2.2.30.5.
Por la cual se establece la metodología tarifaria para la remuneración de la actividad de transporte de combustibles líquidos y gas licuado del petróleo –GLP- por ductos y, los lineamientos de valoración y remuneración de la infraestructura de almacenamiento.
LA COMISIÓN DE REGULACIÓN DE ENERGÍA Y GAS
En ejercicio de sus atribuciones constitucionales y legales, en especial las conferidas por la Ley 142 de 1994 y en desarrollo de los Decretos 2253 de 1994, 4130 de 2011, 1260 de 2013 y 1073 de 2015 y la Resolución 40193 de 2020 y,
CONSIDERANDO QUE:
El artículo 334 de la Constitución Política de Colombia, estableció la facultad del estado para intervenir en la explotación de los recursos naturales como el petróleo, en la producción y distribución de bienes como son los combustibles líquidos derivados del petróleo, y en los servicios públicos y privados.
El artículo 365 de la Constitución Política de Colombia establece como finalidad social del Estado la prestación de los servicios públicos, y el deber de asegurar por parte de este la prestación eficiente a todos los habitantes del territorio nacional.
En virtud del artículo 212 del Decreto 1056 de 1953, Código de Petróleos, el transporte y la distribución del petróleo y sus derivados constituyen un servicio público, y las personas o entidades dedicadas a esa actividad deben ejercerla de conformidad con los reglamentos que dicte el Gobierno en guarda de los intereses generales.
La Ley 39 de 1987, en su artículo 1o, señala que la distribución de combustibles líquidos derivados del petróleo es un servicio público que se prestará de acuerdo con la Ley.
Así mismo, el artículo 2 de la Ley 39 de 1987, modificada por el artículo 61 de la Ley 812 de 2003, definió al transportador como uno de los agentes de la cadena de distribución de combustibles líquidos derivados del petróleo, junto con el refinador, importador, almacenador, el distribuidor mayorista, el distribuidor minorista y el gran consumidor.
Según lo previsto en el artículo 1o de la Ley 26 de 1989, el Gobierno podrá determinar horario, precios, márgenes de comercialización, calidad, calibraciones, condiciones de seguridad, relaciones contractuales y demás condiciones que influyan en la mejor prestación de este servicio público.
Adicionalmente, en virtud de lo establecido en el numeral 1 del artículo 74 de la Ley 142 de 1994, es función de la Comisión de Regulación de Energía y Gas regular el ejercicio de las actividades de los sectores de energía y gas combustible para asegurar la disponibilidad de una oferta energética eficiente, propiciar la competencia en el sector de minas y energía, y proponer la adopción de las medidas necesarias para impedir abusos de posición dominante, buscando la liberación gradual de los mercados hacia la libre competencia.
La Ley 142 de 1994, definió el servicio público domiciliario de gas combustible, como el conjunto de actividades ordenadas a la distribución de gas combustible, por tubería u otro medio, desde un sitio de acopio de grandes volúmenes, o desde un poliducto central hasta la instalación de un consumidor final, incluyendo su conexión y medición. Así mismo, cobija las actividades complementarias de comercialización desde la producción y transporte de gas por un poliducto principal, o por otros medios, desde el sitio de generación hasta aquel en donde se conecte a una red secundaria.
La misma norma atribuyó a la Comisión de Regulación de Energía y Gas, CREG, como el ente encargado de establecer las fórmulas para la fijación de las tarifas del servicio público domiciliario de gas combustible estableciendo, además, los criterios y lineamientos que debía cumplir para llevar a cabo esta función.
En los artículos 87 y 91 de la mencionada Ley, se establecieron los criterios bajo los cuales se debe definir el régimen tarifario de las empresas de servicios públicos.
Adicionalmente, se incluyó como condición calcular por separado, cuando fuera posible, una fórmula para cada una de las etapas del servicio con el fin de establecer las fórmulas tarifarias.
De conformidad con lo establecido en el artículo 126 de la Ley 142 de 1994, vencido el período de vigencia de las fórmulas tarifarias, éstas continuarán rigiendo mientras la Comisión no fije las nuevas.
Mediante la Resolución CREG 057 de 1996(1) la Comisión definió el gas licuado de petróleo, GLP, como gas combustible, y describió su condición líquida.
En el año 2008, mediante la Resolución 122, la Comisión diseñó la metodología de remuneración del servicio de transporte de GLP por ductos.
Mediante la Resolución CREG 092 de 2009, modificada por la Resolución CREG 153 de 2014, se adoptaron disposiciones “sobre las obligaciones de los transportadores de Gas Licuado del Petróleo -GLP- a través de ductos en el continente y en forma marítima entre el continente y el archipiélago de San Andrés, Providencia y Santa Catalina y se dictan otras disposiciones sobre libre acceso a los sistemas de transporte”.
El artículo 13 de la Ley 681 de 2001 declaró el acceso abierto a terceros al sistema de transporte por poliductos, con base en el principio de no discriminación, y ordenó al Gobierno reglamentar en este sentido.
A través de la Resolución 180088 de 2003 y sus modificaciones, el Ministerio de Minas y Energía ha reglamentado las tarifas máximas en pesos por kilómetro-galón para el sistema de poliductos.
El artículo 2.2.1.1.2.2.1.4 del Decreto 1073 de 2015, por medio del cual se expide el Decreto Único Reglamentario del Sector Administrativo de Minas y Energía, definió al Transportador como: “Toda persona natural o jurídica que ejerce la actividad de transporte de combustibles líquidos derivados del petróleo y alcohol carburante, en los términos del artículo 2.2.1.1.2.2.3.85 y siguientes del presente decreto.”
Los parágrafos 1 y 2 del artículo 2.2.1.1.2.2.1.1 del mencionado Decreto 1073 de 2005<sic, es 2015>, establecieron que el transporte, la refinación, almacenamiento y manejo, son considerados servicios públicos conforme a la ley y presente decreto y demás disposiciones que reglamenten la materia. Así mismo, determinó que los agentes de la cadena de distribución de combustibles deben prestar el servicio en forma regular, adecuada y eficiente conforme las características propias de los servicios públicos.
Adicionalmente, el artículo 2.2.1.1.2.2.1.3 (2) señaló a la CREG como la autoridad de regulación para las actividades de refinación, importación, almacenamiento, distribución y transporte de los combustibles líquidos derivados del petróleo.
En el Decreto 4130 de 2011, el Presidente de la República de Colombia, en ejercicio de las facultades extraordinarias y las que le confiere el literal d. del artículo 18 de la Ley 1444 de 2011, reasignó algunas funciones del Ministerio de Minas y Energía en varias entidades, entre las cuales se encuentra la Comisión de Regulación de Energía y Gas, CREG.
Las funciones que fueron reasignadas por este decreto fueron las siguientes:
a. Fijar los precios de los productos derivados del petróleo a lo largo de toda la cadena de producción y distribución, salvo para gasolina motor corriente, ACPM y biocombustibles;
b. Determinar los parámetros y la metodología para calcular el precio de los combustibles, teniendo en cuenta el margen de comercialización, el porcentaje de evaporación, pérdida o cualquier otro concepto que afecte el volumen de los mismos;
c. Realizar los estudios que se requieran para la determinación y fijación de los precios de los combustibles líquidos destinado para uso como combustible automotor y demás usos inherentes a la comercialización del mismo;
d. Reglamentar las tarifas en pesos por kilómetro/galón por concepto de transporte a través del sistema de poliductos;
e. Regular las actividades de refinación, importación, almacenamiento, distribución y transporte de los combustibles líquidos derivados del petróleo.
El artículo 2.2.1.1.2.2.3.85. del Decreto 1073 de 2015 señala como medios para realizar el transporte de combustibles líquidos derivados del petróleo los siguientes: (i) terrestre, (ii) por poliductos, (iii) por vía marítima, (iv) por vía fluvial, (v) por vía férrea y (vi) por vía aérea;
El Decreto 1260 de 2013(3) por el cual se modifica la estructura de la Comisión de Regulación de Energía y Gas, CREG, estableció dentro de su objeto, la expedición de la regulación económica referente a las actividades de refinación, importación, almacenamiento, distribución, y transporte de combustibles líquidos derivados de hidrocarburos.
Además, asignó a la CREG las funciones de definir los criterios y condiciones a los que deben sujetarse los agentes de la cadena de distribución de combustibles en sus relaciones contractuales y niveles de integración empresarial, y definir metodología y establecer fórmulas para fijar los precios y las tarifas de transporte de combustibles por poliducto.
A partir de lo expuesto, como la actividad de transporte de combustibles líquidos y de GLP por ductos, era regulada por Comisión de Regulación de Energía y Gas, CREG, y técnicamente estos combustibles se transportan por la red de poliductos, resultó conveniente unificar su reglamentación.
Por ello, mediante la Resolución CREG 222 del 4 de diciembre de 2015, la Comisión de Regulación de Energía y Gas sometió a consideración de los agentes, usuarios y terceros interesados, las bases sobre las cuales se efectuarían los estudios para determinar la metodología de remuneración del servicio de transporte de combustibles líquidos y GLP por ductos.
Adicionalmente, la Comisión adelantó los estudios con Greg Lamberson “Consultoría para la determinación de las variables y multiplicadores para la valoración de activos de transporte de combustibles líquidos”, con Divisa Ingenieros Asociados Ltda., “Realizar el inventario de activos y la valoración de infraestructura de transporte para productos refinados del petróleo y GLP” y con Ernst & Young “Prestación de servicios para analizar: i) la viabilidad regulatoria de sustituir el abastecimiento por carro-tanque de combustibles líquidos en Cauca y Nariño por transporte vía poliducto…”.
Los dos primeros fueron presentados a los interesados los días 17 y 18 de diciembre de 2015 en las instalaciones de la CREG, conforme las citaciones realizadas mediante las Circulares 139, 148 y 150 de 2015.
Mediante la Ley 1955 de 2019 “Por la cual se expide el Plan Nacional de Desarrollo 2018-2022”, en la subsección 2, Legalidad para la transparencia de las entidades públicas, artículo 35, se dispuso: “Artículo 35. Precio de los combustibles líquidos a estabilizar. El Ministerio de Hacienda y Crédito Público y el Ministerio de Minas y Energía, o la entidad delegada, establecerá la metodología de cálculo del valor del ingreso al productor de los combustibles líquidos y biocombustibles, así como las tarifas y márgenes asociados a la remuneración de toda la cadena de transporte, logística, comercialización y distribución de dichos combustibles que hacen parte del mercado regulado. (…)”
El cambio en las funciones que introdujo la Ley del Plan Nacional de Desarrollo al asignar al Ministerio de Minas y Energía y el Ministerio de Hacienda y Crédito público “(…) las tarifas y márgenes asociados a la remuneración de toda la cadena de transporte, logística, comercialización y distribución de dichos combustibles que hacen parte del mercado regulado, interrumpió el proceso de análisis que estaba desarrollando la Comisión de Regulación de Energía y Gas en este tema.
En el articulo 2.2.1.1.2.2.1.7 del Decreto 1281 de 2020 se establecieron los tipos de almacenamiento y combustibles líquidos derivados del petróleo, de los biocombustibles y sus mezclas.
En el año 2021 el Ministerio de Minas y Energía, a través de la Resolución 40112 del 21 de abril señaló “Que, con base en la información suministrada por CENIT, desaparecieron los fundamentos de hecho que dieron origen al rubro denominado margen de continuidad, conforme la Resolución 90155 de 2014, pues: (i) la remuneración de la inversión requerida para la expansión del Sistema Pozos Colorados - Galán a 60.000 bpd se completó en febrero de 2021 y (ii) que actualmente el margen de continuidad no remunera otras inversiones en el plan de continuidad para el abastecimiento del país.”
A través de la Resolución 40193 del 21 de junio de 2021, del Ministerio de Hacienda y Crédito Público y del Ministerio de Minas y Energía, delegaron funciones de regulación del sector de combustibles líquidos en la Comisión de Regulación de Energía y Gas.
Señaló como función delegada, en el numeral 1 del artículo 1 la de “Establecer las metodologías para la determinación de las tarifas y márgenes asociados a la remuneración de toda la cadena, esto es, transporte, logística, comercialización y distribución de los combustibles líquidos derivados del petróleo y de los biocombustibles destinados a la mezcla con dichos combustibles. (…)”. “Respecto a los productos señalados, las actividades y tarifas objeto de regulación son: i. Transporte de combustibles líquidos a través de poliductos. (…) iv) Almacenamiento e inventarios de tipo estratégicos, operativos y comerciales” ) (…) xi) Remuneración asociada a la infraestructura definida en el plan de abastecimiento, plan de expansión de poliductos o plan de continuidad, que se ha adoptado por el Ministerio de Minas y Energía.(…)”
A partir de las funciones delegadas en la mencionada Resolución 40193 de 2021, la Comisión retomó el proceso de estudio.
La Comisión adelantó el estudio con Lloreda y Asociados sobre la “Construcción de un modelo que permita llevar a cabo la valoración de infraestructura de almacenamiento y estaciones de bombeo asociada al sector de combustibles líquidos”, en donde se estructuraron modelos de valoración de dichos activos.
El resultado de este estudio fue presentado a los interesados el 27 de abril de 2022 en las instalaciones de la CREG, y a través de las redes sociales Youtube y Twitter, conforme la citación realizada mediante la Circular 030 del 21 del mismo mes y año.
Mediante la comunicación cuyo radicado CREG correspondió al E-2022-004062, el Ministerio de Minas y Energía señaló sobre los beneficiarios de los proyectos que “La UPME será responsable de la aplicación e implementación de los mecanismos abiertos y competitivos de selección a los que se refiere este artículo. Así como de la identificación de los beneficiarios de cada proyecto”.
Los análisis internos de la CREG que soportan la presente resolución están contenidos en el Documento CREG-705-002 de 2022.
RESUELVE:
GENERALIDADES.
ARTÍCULO 1. OBJETO. La presente resolución tiene por objeto establecer los criterios generales para determinar la remuneración de la actividad de transporte de los productos transportados incluyendo combustibles líquidos y GLP, a través de los Subsistemas de transporte, y criterios para la expansión de las redes. Así mismo, regular los criterios generales para la valoración y remuneración del almacenamiento de combustibles líquidos.
ARTÍCULO 2. ÁMBITO DE APLICACIÓN. Están sujetos a las disposiciones de esta metodología los agentes y empresas que sean propietarios y/u operen sistemas de transporte para prestar el servicio público de transporte de combustibles líquidos derivados del petróleo, biocombustibles y sus mezclas, así como de Gas Licuado del Petróleo, GLP, a los usuarios del SNTP; así como a las empresas que sean propietarios y/u operen sistemas de infraestructura de almacenamiento.
ARTÍCULO 3. DEFINICIONES. Para la interpretación y aplicación de esta Resolución se tendrán en cuenta, además de las definiciones establecidas en los Decretos 1073 de 2015 (el cual compiló los Decretos MME 4299 de 2005 y 1717 de 2008), el Decreto 1281 de 2020 y en las resoluciones vigentes de la CREG, así como el Reglamento de Transporte por Poliductos – RTP y aquellas que los modifiquen, adicionen o sustituyan. Así como las siguientes:
Almacenamiento operativo: Es la capacidad de almacenamiento y volumen mínimo de combustibles líquidos derivados del petróleo, biocombustibles y sus mezclas; requerido para equilibrar u optimizar el flujo o tránsito continuo de dichos productos, con el fin de mantener una operación segura, eficiente y adecuada de los sistemas de transporte por poliductos, medios de transporte alternativos y de los sistemas de refinación y/o puertos de importación o plantas de abastecimiento, conforme lo establecido en el literal c) del artículo 1 del Decreto 1281 de 2020, que adicionó el artículo 2.2.1.1.2.2.1.7 del Decreto 1073 de 2015 o aquella que la modifique, adicione o sustituya.
Año: Es el período de 365 ó 366 días, según el calendario común.
Año Base: Año más reciente para el cual se puede contar con información completa en términos de AOM y demanda. Año inmediatamente anterior al año de análisis tarifario.
Boletín de Transporte por Poliducto – BTP-: Información con acceso visible desde la Página web del Transportador en la que se pone a disposición de los Remitentes, Terceros y autoridades competentes, la información comercial y operacional establecida en el Reglamento de Transporte por Poliductos, así como también de otras regulaciones que así lo determinen, y que cuenta con la plataforma necesaria para efectuar las nominaciones y confirmar el programa de transporte de los productos a transportar de acuerdo con lo definido por la resolución CREG 208 de 2021 o aquella que la modifique o sustituya.
Capacidad Máxima de Mediano Plazo, CMMP: Capacidad efectiva de volumen transportable en un día, para cada año del horizonte de proyección por el transportador con modelos de dinámica de flujo, utilizando los parámetros técnicos específicos del fluido y del ducto, así como los procedimientos y las presiones de entrada y salida. Esta definición es aplicable exclusivamente para efectos del cálculo de cargos regulados de transporte de que trata la presente resolución, y su metodología de cálculo está incluida en el Anexo 5.
Cargo de transporte, CT: Es el valor máximo de remuneración al transportador por ductos, de acuerdo con la metodología establecida en la presente resolución. Esta remuneración se calculará para cada Subsistema de transporte por poliducto o Subsistema, en pesos por galón de la Fecha Base.
Condición de Contraflujo, CCF: Es la condición en la cual hay transacciones comerciales en direcciones opuestas entre sí en un poliducto del SNTP. La Condición de Contraflujo debe garantizar que el flujo físico de los productos que el Transportador acepta que se transporte por cada Subsistema es posible en una dirección o en la otra del respectivo Subsistema de transporte de poliducto, sin requerir ampliación de la infraestructura existente. La Condición de Contraflujo no debe afectar las especificaciones de calidad del servicio de aquellos remitentes que pactaron y perfeccionaron contratos con anterioridad a la solicitud de transporte que ocasiona el contraflujo.
Combustibles líquidos derivados de petróleo: De conformidad con lo establecido en el Decreto 1073 de 2015 o aquel que lo modifique o sustituya, son todos los productos clasificados dentro de las categorías de las gasolinas, gasóleos, querosenes y fuelóleos, entre los cuales se cuentan: Combustibles para aviación (avgas), gasolina motor (gasolina extra, gasolina corriente, gasolina corriente oxigenada, gasolina extraoxigenada), combustibles de aviación para motores tipo turbina, queroseno, diésel extra o de bajo azufre, diésel corriente (ACPM), diésel marino (se conoce también con los siguientes nombres: diésel fluvial, marine diésel, gas oil, intersol, diésel número 2), y combustible para quemadores industriales (combustóleos fuel oil). De acuerdo con lo definido por la resolución CREG 208 de 2021 o aquella que la modifique o sustituya.
Demanda Esperada, DE: Es la cantidad anual que el Transportador espera se transporte para los proyectos IAC, proyectado y soportado por el transportador para el horizonte de proyección para las Inversiones en aumento de capacidad IAC, expresado en miles de barriles por año (kbd-año).
Demanda histórica, DH: Es el volumen transportado del 1 de enero hasta el 31 de diciembre del año anterior de productos que el Transportador acepta que se transporte por cada Subsistema en miles de barriles por año (kbd-año).
Factor de Utilización, FU: Es un indicador de utilización de cada Subsistema de transporte, con relación a su utilización potencial máxima. El factor de utilización se calculará de conformidad con lo dispuesto en el Artículo 30 de la presente Resolución.
Factor de Utilización Normativo, FUN: Es el mínimo factor de utilización adoptado por la CREG como criterio de eficiencia para efectos tarifarios de un Subsistema.
Fecha Base, FB: Es la fecha de referencia para realizar los cálculos tarifarios y determinar el flujo de ingresos con base en la información que el transportador presenta a la CREG en cada período tarifario, o cuando realice proyectos del plan de abastecimiento de combustibles líquidos en su sistema de transporte, y corresponde al 31 de diciembre del año anterior al año de la solicitud de ajuste de cargos, o de la solicitud para ejecutar un proyecto del plan de abastecimiento. Los valores de los cargos y los flujos de ingresos serán expresados en cifras de la Fecha Base.
Fecha de puesta en operación comercial. Corresponde a la fecha en la que el activo inicia la prestación del servicio de transporte por ductos. Esta actividad debe registrarse ante el Ministerio de Minas y Energía acorde a las disposiciones que establezca dicha entidad.
Horizonte de Proyección, HPr: Es el período de 5 años utilizado para simular el comportamiento de las variables de demanda para los proyectos IAC.
Índice de Precios al Productor, IPP: Es el índice de precios al productor, consumo interno, reportado por el DANE.
Índice de Precios al Consumidor, IPC: Es el índice de precios al consumidor, reportado por el DANE.
Interfase: Es la mezcla física que ocurre cuando se están transportando dos (2) o más productos, uno a continuación de otro, cuyo valor de densidad corresponde al intermedio.
Inventario Operativo, IO: Son las cantidades de producto, medido en barriles, que incluyen tanto el lleno de línea como el contenido de los fondos de tanques ubicados en los diferentes terminales, expresado en kb.
Inversiones del Margen Plan de Continuidad, IMPC: Son los valores de los proyectos incluidos en el margen plan de continuidad de combustibles líquidos adoptado por el Ministerio de Minas y Energía que contribuyan a garantizar la seguridad de abastecimiento y la confiabilidad del servicio público de transporte de combustibles líquidos y GLP por ductos.
Inversión Existente, IE: Es el valor eficiente de los activos necesarios para la prestación del servicio de transporte de productos. De estos valores se excluye el correspondiente a los activos que no se encuentran en operación al momento de la solicitud tarifaria, activos de
y a activos de
.
Inversiones en Aumento de Capacidad, IAC: Son los valores eficientes de los proyectos que un transportador prevé desarrollar en cada año del período tarifario, con el propósito exclusivo de incrementar la capacidad de su sistema de transporte. Para efectos regulatorios, estos proyectos corresponderán únicamente a ductos, loops, equipos de bombeo y almacenamiento operativo que se construirán en el sistema de transporte existente, y deberán estar orientados a atender nueva demanda prevista durante el horizonte de proyección.
Lleno de línea: Cantidad de producto que es necesario mantener permanentemente dentro del sistema y Subsistemas de transporte para la operación continua.
Loop: Es una línea de poliducto que se deriva de un poliducto, y se vuelve a conectar al mismo en otro punto, con el objeto de aumentar la capacidad de transporte del respectivo poliducto.
Margen Plan de Continuidad, MPC: Margen dirigido a remunerar a Ecopetrol S. A. las inversiones en el plan de continuidad para el abastecimiento del país, y específicamente la expansión del sistema Pozos Colorados-Galán a 60 mil barriles por día de capacidad, conforme lo establecido en la Resolución 182370 del 29 de diciembre de 2010 del Ministerio de Minas y Energía, y las normas que la sustituyan o modifiquen.
Mes: Es el período de 28, 29, 30 ó 31 días, según el calendario común.
Pérdidas: Disminución del inventario de productos, incluidos combustibles líquidos y GLP, durante el transporte por la red de poliductos.
Período estándar de pagos al transportador,
: Tiempo durante el cual un transportador incumbente espera recibir el ingreso anual esperado, IAE, para remunerar un proyecto de IPAT, definido en 20 años. Durante este período el transportador se obliga a operar y mantener el proyecto de IPAT, incluyendo el abandono, y a cumplir las demás obligaciones adquiridas con la ejecución del proyecto.
Período tarifario, t:, Período tarifario regulado por la presente resolución Corresponde a cinco años. Este período inicia a partir de la entrada en vigencia de la presente resolución, con una duración de cinco años. Vencido este período, la metodología continuará rigiendo hasta que se expida una nueva. Los cargos aprobados en el periodo y los cuales mantienen su vigencia hasta tanto se expida una nueva metodología tarifaria y se le aprueben nuevos cargos
Período de vida útil: Es el período de tiempo definido técnicamente, en el cual un activo de transporte es operable cumpliendo con los estándares y normas vigentes de acuerdo con el tipo de activo descritos en el Anexo 8. Por razones de buen mantenimiento, es posible que algunos activos superen su período de vida útil y puedan tener períodos de vida útil remanente.
Poliducto: Ducto empleado para transportar combustibles líquidos o GLP, según lo definido en el artículo 2.2.1.1.2.2.3.88 del Decreto 1073 de 2015, o las normas que lo modifiquen, deroguen o sustituyan.
Poliducto dedicado: Es el conjunto de tuberías y accesorios de propiedad de una persona natural o jurídica que permite la conducción de combustibles líquidos de manera exclusiva para un único consumidor desde un Sistema de transporte por Poliducto o sistema de transporte, una fuente de producción de combustibles líquidos, CL, o un sistema de almacenamiento.
Propanoducto: Ducto empleado únicamente para transportar GLP.
Producto o Productos: se entenderán como tal todos los combustibles líquidos derivados del petróleo, biocombustibles y sus mezclas, y el gas licuado de petróleo (GLP), que se transportan por el sistema o subsistema de transporte. De acuerdo con lo definido por la resolución CREG 208 de 2021 o aquella que la modifique o sustituya.
Programa de Nuevas Inversiones, PNI: Son los valores eficientes de los proyectos que un transportador prevé poner en operación en cada año del período tarifario para mantener la integridad y seguridad de la infraestructura existente. El programa de nuevas inversiones no incluirá las inversiones en proyectos que hagan parte del margen plan de continuidad de combustibles líquidos adoptado por el Ministerio de Minas y Energía, ni por del plan de abastecimiento de combustibles líquidos adoptado por el Ministerio de Minas y Energía, así como tampoco inversiones en activos tipo IAC.
Red de transporte. La red tipo de transporte corresponderá a aquellos poliductos incluidos en el Anexo 7 de la presente resolución. La Comisión podrá incorporar, mediante resolución, nuevos poliductos.
Remitente: Agente de la cadena de distribución de combustibles líquidos previamente autorizado por el Ministerio de Minas y Energía que contrata el servicio público de transporte por poliducto para sus productos con un Transportador. Podrán ser Remitentes: Importador, Refinador, Comercializador mayorista de GLP, Almacenador, Distribuidor mayorista, Distribuidor minorista, Distribuidor de GLP y Gran consumidor, de acuerdo con lo definido por la resolución CREG 208 de 2021 o aquella que la modifique o sustituya.
Sistema de transporte por Poliducto o sistema de transporte: Conjunto de activos de transporte que son de propiedad de un transportador y que son utilizados para ejercer la actividad de transporte de productos. Comprende todas las instalaciones físicas necesarias para el transporte de productos, entre estos, la tubería, las unidades de bombeo, las estaciones de medición, los sistemas de control, los sistemas auxiliares y las instalaciones de almacenamiento operativo de transporte, de acuerdo con lo definido por la resolución CREG 208 de 2021 o aquella que la modifique o sustituya.
Subsistema de transporte por poliducto o subsistema: Agrupación de poliductos del sistema de transporte, comprendida entre uno o varios puntos de entrada y uno o varios puntos de salida, cuya operación puede ser individualizada por el Transportador para asumir obligaciones de transporte por poliducto, definir un programa de transporte y determinar los balances de cantidad de producto, de acuerdo con lo definido por la resolución CREG 208 de 2021 o aquella que la modifique o sustituya.
Tasa Promedio de Costo de Capital Remunerado, Td: Es la tasa que se utilizará para el cálculo de los cargos de transporte que permiten remunerar los costos de inversión reconocidos por la CREG.
Transmix: Porción de la interfase o producto de los tanques de relevo que no puede ser mezclado con alguno de los productos transportados por el sistema, sin generar una desviación de las especificaciones de calidad reguladas, o pactadas contractualmente en el caso de productos cuya calidad no es regulada. Este refinado resulta de la operación normal del sistema de transporte, y no tiene origen en alguna situación operacional o falla en el sistema, de acuerdo con lo definido por la resolución CREG 208 de 2021 o aquella que la modifique o sustituya.
Transportador por poliducto: corresponde al agente que realiza la actividad de transporte de productos por poliducto, y asume su custodia desde el momento en que los recibe en los puntos de entrada, y transfiere su custodia al remitente en los puntos de salida.
Transporte de productos: Actividad que consiste en movilizar combustibles líquidos o GLP y demás productos a través del Sistema de Transporte. Para el caso del GLP, se tendrá en cuenta la definición de Transporte de GLP que se contempla en la Resolución CREG 053 de 2008 o aquella que la modifique, adicione o sustituya.
Valor de reposición optimizado: Corresponde al valor del Activo Equivalente Moderno -AEM (“Modern Equivalent Asset”), que ha sido optimizado desde el punto de vista de la ingeniería. Expresado en pesos de la fecha base.
Valor de reposición optimizado y depreciado: Corresponde al valor de reposición optimizado ajustado por el método de depreciación lineal hasta alcanzar el período de vida útil de acuerdo con su antigüedad, con un valor residual. Expresado en pesos de la fecha base.
Valor residual: Corresponde a un porcentaje del Valor de reposición optimizado, reconocido regulatoriamente para los activos que hayan superado el período de vida útil. Expresado en pesos de la fecha base. Se determina conforme lo definido en el Anexo 8 de la presente resolución.
ARTÍCULO 4. SIGLAS. A continuación, se presenta un listado de siglas que van a ser utilizados en la presente resolución:
| CREG | Comisión de Regulación de Energía y Gas |
| MME | Ministerio de Minas y Energía |
| SIC | Superintendencia de Industria y Comercio |
| RTP | Reglamento de Transporte por Poliductos |
| kb | kilo barriles |
| kbd | kilo barriles día |
| kba | kilo barriles año |
| gal | Galones |
| IPACL | Inversión en plan de continuidad o el plan de expansión de la red de poliductos aprobados por el Ministerio de Minas y Energía. |
| PIACL | Proyectos del plan de continuidad o el plan de expansión de la red de poliductos aprobados por el Ministerio de Minas y Energía. |
| ONAC | Organismo Nacional de Acreditación de Colombia |
ARTÍCULO 5. LINEAMIENTOS GENERALES DE LA METODOLOGÍA. la metodología incluye los siguientes lineamientos generales:
a. Tipo: es una metodología de corte transversal incluyendo depreciación en la inversión
i. AOM: cálculo de cargos considerando el año anterior
ii. Demanda cálculo de cargos considerando el año anterior
iii. Inversión: a los activos se les aplicará depreciación considerando el año de puesta en operación comercial.
iv. Una vez aprobados los cargos se realizará anualmente una actualización de las variables de los literales i, ii, iii, y se actualizarán los cargos considerando la información del año inmediatamente anterior a 31 de diciembre.
b. Cargo: los cargos calculados en la aplicación de la metodología son valores máximos regulados para cada Subsistema expresados en COP/gal, sin distinguir los productos que se transporten por la infraestructura.
c. Tasa de descuento: Los cargos se calcularán considerando una tasa de descuento en aplicación de la Resolución CREG 004 de 2021, o aquella que la modifique, adicione o sustituya.
d. La Actualización de los cargos considerará:
i. IPP para inversión
ii. IPC para AOM
e. Aplicación de los cargos se hará por distancia para cada Subsistema de cargo, salvo lo indicado en el Artículo 32.
REMUNERACIÓN INVERSIONES.
ARTÍCULO 6. LINEAMIENTOS GENERALES PARA LA REMUNERACIÓN DE LA BASE DE ACTIVOS. Para la valoración de los activos de Inversión se tendrá en cuenta:
a. La Remuneración se considerará a partir de la entrada en operación de los activos, y será depreciada de manera lineal hasta cumplir el período de vida útil.
b. Cuando un activo cumpla el período de vida útil se ajustará en la base de activos al valor residual, siempre y cuando el transportador demuestre que se cumplen los siguientes aspectos:
i. La calidad en la prestación del servicio,
ii. Continuidad en el servicio
iii. Seguridad en la operación.
c. En caso de no cumplir con i ó ii ó iii del literal b., el transportador deberá identificar los proyectos a incluir en la variable PNI para mantener el activo o remplazarlo presentando un análisis técnico, e incluirlo en la solicitud de cargos.
d. La Comisión podrá iniciar, de oficio, las actuaciones administrativas tendientes a valorar los activos que cumplieron su vida útil y a ajustar los respectivos cargos regulados.
e. Esta valoración de los activos que sean reemplazados se hará al costo de reposición optimizado del activo se hará considerando los mecanismos de valoración del Anexo 1.
f. Los inventarios operativos de combustibles propiedad de la empresa transportadora serán remunerados como un costo de oportunidad dentro del gasto de AOM.
PARÁGRAFO 1: El valor a reconocer si se repone un activo es el costo de reposición optimizado del activo, expresado en pesos de la fecha base, calculado a partir de las disposiciones señaladas en el Anexo 1.
PARÁGRAFO 2: En ningún caso se efectuarán modificaciones al monto de las inversiones existentes ocasionadas por reemplazos de activos propios de la operación antes de concluir su período de vida útil.
PARÁGRAFO 3: En la contabilidad se deberán diferenciar claramente: i) los AOM, de ii) las inversiones en reposición de activos.
PARÁGRAFO 4. Se excluirán de la inversión existente los terrenos e inmuebles relacionados con sedes administrativas, bodegas y talleres, así como las servidumbres. Dichos terrenos e inmuebles se remunerarán como un gasto de AOM.
PARÁGRAFO 5. Los terrenos sobre los que se desarrollen los proyectos IAC o PNI las facilidades utilizadas en la operación de los sistemas de transporte se excluirán de la inversión a reconocer. Dichos terrenos e inmuebles se remunerarán como un gasto de AOM.
PARÁGRAFO 6. La vigencia de la remuneración de los activos considerando la depreciación lineal, se detalla en el Artículo 58 de la presente resolución.
ARTÍCULO 7. CONSTRUCCIÓN DE LA BASE TARIFARIA. Las inversiones a reconocer incluyen los ductos, estaciones de bombeo, almacenamiento operativo, conexiones entre sistemas de transporte. El reconocimiento de inversiones se hará exclusivamente sobre aquellos activos que:
a. Hayan sido declarados por el agente que se encuentran en operación al momento de la solicitud tarifaria, en los formatos acorde a lo dispuesto en el Artículo 51.
b. Estén debidamente soportados ante la CREG, de acuerdo con lo establecido en la presente Resolución.
c. Para la valoración de los activos que se incluyan en la base tarifaria la CREG podrá utilizar estudios previos, modelos de valoración, información reportada por los agentes y demás información y actividades que considere pertinente.
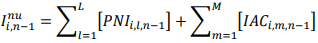
ARTÍCULO 8. INVERSIÓN EXISTENTE,
. Para la determinación de la inversión existente se utilizará la siguiente ecuación:
![]()
Donde:
| Valor del activo k existente para el Subsistema i, expresado en pesos colombianos de la fecha base. | |
| Valor de la inversión existente en poliducto p para el Subsistema i, expresado en pesos colombianos de la fecha base. | |
| Valor de la inversión existente en la estación de bombeo para el Subsistema i, expresado en pesos colombianos de la fecha base. | |
| Valor de la inversión existente para el tanque de almacenamiento operativo t para el Subsistema i, expresado en pesos colombianos de la fecha base. | |
| Fecha Base para los cargos. |
PARÁGRAFO 1. Se excluirán de la inversión existente los terrenos e inmuebles relacionados con sedes administrativas, bodegas y talleres. Dichos terrenos e inmuebles se remunerarán como un gasto de AOM.
PARÁGRAFO 2. Los terrenos sobre los que están construidas estaciones de bombeo, así como terminales y demás facilidades dentro de la operación de los sistemas de transporte, se excluirán de la inversión a reconocer. Dichos terrenos e inmuebles se remunerarán como un gasto de AOM.
ARTÍCULO 9. PROGRAMA DE NUEVAS INVERSIONES -
.
Para la estimación de esta variable se aplicará el siguiente procedimiento:
a) El transportador declarará a la CREG el programa de nuevas inversiones distintas a poliductos, tanques de almacenamiento y estaciones de bombeo que proyecta realizar durante el período tarifario t, expresado en pesos de la fecha base. Así mismo, deberá declarar la fecha de entrada en operación de estos activos. Para tal efecto, el transportador deberá declarar la información en los formatos acorde a lo dispuesto en el Artículo 51.
b) La CREG establecerá el valor eficiente de estos activos a partir de costos eficientes de otros activos comparables, u otros criterios de que disponga, y con base en lo establecido en el Anexo 1 y la información reportada según el Artículo 51.
c) Cuando el activo incluido en el programa de nuevas inversiones,
, entre en operación, el transportador deberá declararlo a la Comisión con los respectivos soportes, según el Artículo 51.
d) El transportador, en su solicitud de cargos, deberá informar el cronograma para proyectos del programa de nuevas inversiones considerando los siguientes aspectos.
i. En el plazo definido en el Artículo 35, junto con la solicitud de cargos, el transportador deberá entregar un cronograma con el diagrama Gantt en formato Microsoft Project mpp, donde se incluya la ruta crítica para cada proyecto del PNI.
ii. Para propanoductos y activos dedicados al transporte de GLP, este cronograma deberá ser reportado a la SSPD para lo relativo a su competencia.
iii. Para activos asociados a combustibles líquidos distintos a GLP, el cronograma deberá ser reportado al Ministerio de Minas y Energía.
iv. En caso de modificaciones a las fechas de puesta en operación comercial establecidas en el cronograma de cada proyecto del PNI, el transportador deberá comunicar formalmente los cambios y la justificación de los mismos a la CREG en el formato A02F4 referido en el Artículo 51, con copia a la SSPD o al Ministerio de Minas y Energía, siguiendo los lineamientos de ii. y iii.
v. Las inversiones PNI no podrán corresponder a poliductos que busquen reemplazar infraestructura existente antes de terminar su período de vida útil.
vi. Las inversiones de PNI se incluirán en los cargos adoptados con base en la metodología de la presente resolución en el momento de su entrada en operación comercial, para lo cual se restará de la base tarifaria el valor del activo que se reemplace cuando haya lugar.
PARÁGRAFO 1. Se excluirán del programa de nuevas inversiones los terrenos e inmuebles relacionados con sedes administrativas, bodegas y talleres. Los terrenos e inmuebles que se requieran exclusivamente para la prestación del servicio de transporte por ductos se remunerarán como un gasto de AOM.
PARÁGRAFO 2. Los terrenos sobre los que se desarrollen las facilidades utilizadas en la operación de los sistemas de transporte se excluirán de la inversión a reconocer. Dichos terrenos e inmuebles se remunerarán como un gasto de AOM.
PARÁGRAFO 3. La vida útil normativa de los activos PNI se empezará a contar a partir del mes siguiente de la fecha de entrada en operación comercial.
PARÁGRAFO 4. Si se trata de obras de geotecnia, la Comisión analizará la razonabilidad de incluir dichos valores en la base tarifaria, teniendo en cuenta los siguientes criterios: (i) que estén debidamente justificados; ii) que, al momento de realizar la obra, el poliducto sobre el cual se realizó tenga más de cinco años de haber entrado en operación comercial; (iii)) no se incluirán valores que puedan estar cubiertos con pólizas de seguros.
ARTÍCULO 10. INVERSIONES EN AUMENTO DE CAPACIDAD -
.
Para la estimación de esta variable se aplicará el siguiente procedimiento:
a. Se consideran como inversiones de ampliación de capacidad IAC poliductos, estaciones de bombeo y tanques de almacenamiento operativo.
b. El transportador declarará a la CREG las inversiones en aumento de capacidad que proyecta realizar durante el período tarifario t, expresado en pesos de la fecha base. Así mismo, deberá declarar la fecha de entrada en operación de estos activos. Cuando se trate de poliductos, estaciones de bombeo y cuando se trate de tanques de almacenamiento, en los formatos acorde a lo definido en el Artículo 51.
c. La CREG establecerá el valor eficiente de estos activos a partir del valor de referencia obtenido con base en lo establecido en el Anexo 1, y la información reportada según lo definido en el Artículo 51 de la presente Resolución. Estos valores corresponderán a las inversiones en aumento de capacidad - IAC.
d. Cuando un poliducto, una estación de bombeo o un tanque de almacenamiento operativo propuestos por el agente transportador en la solicitud tarifaria y aprobados por la CREG para ser incluidos en las inversiones en aumento de capacidad, IAC, entre en operación, el transportador deberá declarar a la Comisión el valor final del respectivo activo. Estos valores se deberán declarar en los formatos del Anexo 3 de la presente Resolución y deberán estar expresados en pesos de la fecha base.
e. El transportador, en su solicitud de cargos, deberá informar el cronograma para proyectos IAC considerando los siguientes aspectos.
i. En el plazo definido en el Artículo 35, el transportador deberá entregar un cronograma con el diagrama Gantt en formato Microsoft Project mpp, donde se incluya la ruta crítica para cada proyecto IAC.
ii. Para propanoductos y activos dedicados al transporte de GLP, este cronograma deberá ser reportado a la SSPD para lo relativo a su competencia.
iii. Para activos asociados a combustibles líquidos distintos a GLP deberá ser reportado al Ministerio de Minas y Energía.
iv. En caso de modificaciones a las fechas de puesta en operación comercial establecidas en el cronograma de cada proyecto del IAC, el transportador deberá comunicar formalmente los cambios y la justificación de los mismos a la CREG en el formato A02F4 referido en el Artículo 51, con copia a la SSPD y al Ministerio de Minas y Energía siguiendo los lineamientos de ii. y iii.
v. Las inversiones de IAC se incluirán en los cargos adoptados con base en la metodología de la presente resolución en el momento de su entrada en operación comercial.
f. Si el valor final es distinto del valor de referencia reconocido en inversiones en aumento de capacidad, IAC, para cada poliducto, estación de bombeo o tanque de almacenamiento operativo, la Comisión determinará un valor ajustado IAC así:

Donde:
| Valor ajustado de inversión en aumento de capacidad correspondiente a un poliducto, o a una estación de bombeo o a un almacenamiento operativo. Este valor estará expresado en pesos colombianos de la fecha base. | |
| Valor aprobado para el poliducto, o a una estación de bombeo o un almacenamiento operativo determinado con base en lo establecido en el Anexo 1 y en la información a declarar en el formato del que apliquen acorde la matriz señalada en el Artículo 51 de la presente resolución, y aprobado en inversiones en aumento de capacidad, IAC. Este valor estará expresado en pesos colombianos de la fecha base. | |
| Valor final del poliducto, o a una estación de bombeo o a un almacenamiento operativo determinado con base en la información reportada por el transportador en el formato del Anexo 3 de la presente resolución. Este valor estará expresado en pesos colombianos de la fecha base. | |
| Valor final del poliducto, o a una estación de bombeo o a un almacenamiento operativo determinado con base en la información reportada por el transportador en el formato del Anexo 3 de la presente resolución. Este valor estará expresado en pesos colombianos de la fecha de puesta en operación comercial. | |
| Índice de Precios al Productor Oferta Interna, reportado por el DANE para la fecha base. | |
| Índice de Precios al Productor Oferta Interna, reportado por el DANE para el mes de diciembre del año en que entró en operación comercial el activo. |
PARÁGRAFO 1. Se excluirán de las inversiones en aumento de capacidad los terrenos e inmuebles relacionados con sedes administrativas, bodegas y talleres. Dichos terrenos e inmuebles se remunerarán como un gasto de AOM.
PARÁGRAFO 2. Los terrenos sobre los que se construyan los proyectos IAC se excluirán de la inversión a reconocer. Dichos terrenos e inmuebles se remunerarán como un gasto de AOM.
PARÁGRAFO 2. La vida útil normativa para activos IAC se empezará a contar a partir del mes siguiente de la fecha de entrada en operación comercial.
PARÁGRAFO 3. La Comisión y el Ministerio de Minas y Energía podrá auditar la información declarada en el Anexo 3 de la presente resolución, y solicitar información adicional, si así lo considera.
ARTÍCULO 11. INVERSIONES DEL MARGEN PLAN DE CONTINUIDAD,
. Para cada uno de los Subsistemas que tengan obras remuneradas a través del margen plan de continuidad, el valor de las inversiones remuneradas mediante dicho margen se restará del valor total considerado en inversión a remunerar para ser calculados los cargos.
ARTÍCULO 12. INVERSIONES EN ESTACIONES ENTRE TRANSPORTADORES
. Las inversiones en estaciones de transferencia entre transportadores que sean realizadas a partir de la entrada en vigencia de la presente resolución, harán parte de la base de activos a reconocer en el Subsistema de poliductos del transportador que requiera la estación.
ARTÍCULO 13. INVERSIONES QUE SE EXCLUYEN DE LOS CARGOS DE TRANSPORTE. Las inversiones correspondientes a activos de conexión, puntos de entrada, puntos de salida, estaciones de entrada, estaciones de salida, estaciones para transferencia de custodia, sistemas de almacenamiento, estaciones de bombeo diferentes a las requeridas para el transporte de combustibles líquidos y GLP, y demás productos, no serán consideradas para los cálculos de los cargos de transporte. Los costos de estos activos serán cubiertos por los agentes o usuarios que se beneficien de los mismos.
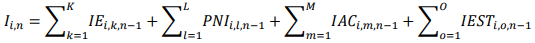
ARTÍCULO 14. INVERSIÓN,
. Para la determinación de la inversión se utilizará la siguiente ecuación:
![]()
Donde
| Valor eficiente de la inversión a remunerar mediante los cargos calculados en el período año n, expresado en pesos de la fecha base. | |
| Valor de la inversión existente del activo k para el año | |
| Valor eficiente del activo | |
| Valor eficiente de la inversión m en aumento de capacidad declaradas por la empresa para el año | |
| Valor eficiente de la Inversión o para el año | |
| Número total de activos asociados a inversión existente | |
| Número total de activos asociados al plan de nuevas inversiones | |
| Número total de activos asociados a inversión de ampliación de capacidad | |
| Número total de activos asociados a inversión IEST para el Subsistema i. |
Para la estimación de las inversiones se aplicará el siguiente procedimiento:
a. El agente transportador reportará a la CREG las inversiones existentes al inicio del período tarifario t, expresado en pesos de la fecha base, considerando lo señalado Artículo 7.
b. Así mismo, deberá declarar la fecha de entrada en operación de estos activos.
c. Para tal efecto, el transportador deberá declarar la información de que trata el Artículo 51 de la presente Resolución.
d. Para la estimación de las variables de esta ecuación se tendrán en cuenta los siguientes elementos:
i. Para expresar estas variables en pesos de la fecha base, se utilizará el Índice de Precios al Productor certificado por el DANE para los últimos doce meses (IPP).
ii. Para el caso de nuevos activos tales como poliductos, estaciones de bombeo y tanques de almacenamiento operativo, la CREG determinará el valor eficiente de estas inversiones a partir de lo establecido en el Anexo 1, y de la información reportada según el Artículo 51 de la presente Resolución. Este valor estará expresado en pesos de la fecha base.
iii. Cuando se trate de activos distintos a poliductos, estaciones de bombeo y tanques de almacenamiento operativo, la CREG determinará el valor eficiente de estas inversiones a partir de costos eficientes de otros activos comparables u otros criterios de que disponga, a partir de lo establecido en el Anexo 1.
iv. En ninguna circunstancia se incluirá, en el monto de las Inversiones Existentes, aquellos activos propios de la operación retirados del servicio. En todo caso, en la solicitud tarifaria, dichos retiros deberán ser declarados, sin perjuicio de que la CREG pueda considerarlos retirados con base en información que tenga disponible. Estos retiros podrán ocasionar ajustes a los cargos vigentes durante el período tarifario respectivo, si la CREG lo considera necesario.
v. La Comisión podrá realizar auditorías para verificar el inventario de los activos que se encuentren en operación y que sean declarados por el transportador en su solicitud tarifaria.
PARÁGRAFO 1. Durante la vigencia de esta metodología, la Comisión podrá actualizar los parámetros tales como IVA, agenciamiento aduanero, gastos en puerto, bodegaje en puerto, gravamen arancelario, flete interno, flete internacional, y flete en el exterior, entre otros, que determinan los coeficientes que utilizan los modelos de valoración con la nueva información que identifique en el mercado. El Director Ejecutivo de la CREG comunicará la actualización de los parámetros mediante circular. Los resultados del modelo así actualizado sólo aplican para las nuevas inversiones a valorar a futuro.
ARTÍCULO 15. GESTIÓN DE ACTIVOS. El transportador debe implementar un sistema de gestión de activos acorde con la norma ISO 55001 “Sistema de Gestión de Activos”, para lo cual dispondrá de dos (2) años contados a partir de la entrada en vigencia de la presente resolución, y certificarlo por un organismo de certificación de sistemas de gestión acreditado por ONAC bajo la norma ISO/IEC 17021-1 en un plazo de tres (3) años contados a partir de la entrada en vigencia de la presente resolución. El transportador deberá:
a. Entregar el plan de implementación en la solicitud de cargos en el plazo señalado en el Artículo 35. El plan debe incluir un documento explicativo del proyecto y un archivo en formato Microsoft Project mpp.
b. En la implementación del sistema de gestión de activos, el Transportador debe, durante el primer año, realizar un diagnóstico de las brechas frente al cumplimiento de la norma, y el plan de trabajo para los próximos 2 años para obtener la certificación.
c. Cada año deberá reportar el avance del proyecto mediante el envío del archivo en formato Microsoft Project mpp o el medio que disponga la Comisión.
d. Una vez obtenida la certificación, deberá remitirla a la CREG y al Ministerio de Minas y Energía.
ARTÍCULO 16. SEGUIMIENTO DE INTERRUPCIONES EN EL SERVICIO. El transportador deberá diligenciar la información de seguimiento de interrupciones y reportarlo anualmente acorde al formato dispuesto en el Artículo 51. La CREG, en resolución independiente, podrá incorporar incentivos para asegurar la continuidad del suministro de los productos transportados.
ARTÍCULO 17. INVERSIONES EN NUEVAS INICIATIVAS DE SUBSISTEMAS DE POLIDUCTOS,
. Para la determinación de la inversión de iniciativas para la construcción de nuevos Subsistemas, la CREG establecerá el valor eficiente de estos activos a partir de costos eficientes de otros activos comparables u otros criterios de que disponga. También se podrá utilizar el procedimiento establecido en el Artículo 10, y la valoración se podrá estimar a partir de lo incluido en el Anexo 1 y la información reportada según el Artículo 51 de la presente Resolución.
GASTOS AOM.
ARTÍCULO 18. AOM PARA INVERSIÓN EXISTENTE
. Gastos de administración, operación y mantenimiento, para inversión existente,
. Para la estimación de esta variable se aplicará el siguiente procedimiento:
a. El transportador declarará a la Comisión los gastos de AOM registrados en su contabilidad en los últimos 5 años según el Artículo 51 de la presente resolución.
Estos gastos se deberán desagregar por Subsistema, y deberán estar expresados en pesos colombianos de la fecha base. En la solicitud de cargos el transportador deberá justificar los criterios para calcular el
por Subsistema.
b. Para el cálculo de los cargos se considerará el valor de AOM para cada Subsistema del año de la fecha base. Sin embargo, dado que el agente reporta los últimos 5 años, la CREG podrá hacer análisis horizontales y verticales, entre otros, de la información para determinar el valor eficiente a reconocer.
c. En caso de que el transportador tenga un valor del año de la fecha base superior a 1,1 veces del valor promedio, la Comisión podrá decretar una prueba con el objetivo de comprobar que efectivamente la empresa tiene un valor de AOM eficiente superior. Cuando esto ocurra, la CREG podrá incorporar en los cargos una señal diferente a la establecida en esta sección del artículo.
d. Los gastos de los agentes reductores de fricción DRA deben incluirse en el formato A04F1 según el Artículo 51 de la presente resolución, el agente deberá entregar un análisis técnico para soportar los costos en el plazo señalado Artículo 35.
ARTÍCULO 19. GASTOS DE ADMINISTRACIÓN, OPERACIÓN Y MANTENIMIENTO, ASOCIADOS AL PROGRAMA DE NUEVAS INVERSIONES -
. Para la estimación de esta variable se tendrá en cuenta el siguiente procedimiento:
a. El agente transportador deberá declarar la información acorde a lo dispuesto en el Artículo 51. Estos gastos deberán estar expresados en pesos colombianos de la fecha base.
b. La CREG evaluará la eficiencia de los gastos indicados en el literal anterior, utilizando la mejor información disponible. Los valores resultantes de esta evaluación corresponderán a la variable
.
c. En caso de que el transportador tenga un valor de AOM en el Subsistema considerando las nuevas inversiones del año de la fecha base superior a 1,1 veces del valor de AOM sin incluir las inversiones – PNIt, la Comisión podrá decretar una prueba con el objetivo de comprobar que efectivamente la empresa tiene un valor de AOM eficiente superior. Cuando esto ocurra, la CREG podrá incorporar en los cargos una señal diferente a la establecida en esta sección del artículo.
PARÁGRAFO 1: La Comisión realizará el ajuste tarifario a que haya lugar, con el fin de incluir en los cargos regulados el valor eficiente de los gastos de AOM asociados a inversiones de PNI que entren en operación. En los cálculos de los cargos no se incluirán gastos de AOM asociados proyectos de PNI que no hayan entrado en operación.
ARTÍCULO 20. GASTOS DE ADMINISTRACIÓN, OPERACIÓN Y MANTENIMIENTO ASOCIADOS A LAS INVERSIONES DE AUMENTO DE CAPACIDAD -
,
. Para la estimación de esta variable se tendrá en cuenta el siguiente procedimiento:
a. El transportador declarará a la Comisión los gastos de AOM asociados a cada proyecto de las inversiones en aumento de capacidad, acorde a lo dispuesto en el Artículo 51. Estos gastos deberán estar expresados en pesos colombianos de la fecha base.
b. La CREG evaluará la eficiencia de los gastos indicados en el literal anterior, utilizando la mejor información disponible. Los valores resultantes de esta evaluación corresponderán a la variable
.
PARÁGRAFO 1: La Comisión realizará el ajuste tarifario a que haya lugar con el fin de incluir en los cargos regulados el valor eficiente de los gastos de AOM asociados a inversiones de IAC que entren en operación. En los cálculos de los cargos no se incluirán gastos de AOM asociados a proyectos de IAC que no hayan entrado en operación.
PARÁGRAFO 2: Los AOM reportados para IAC deberán ser como máximo el 4,07% del valor de la inversión respectiva para el primer año que declararon la operación comercial. De allí en adelante, la CREG podrá decretar una prueba con el objetivo de comprobar que efectivamente la empresa tiene un valor de AOM superior que se catalogue como eficiente.
ARTÍCULO 21. GASTOS ASOCIADOS AL INVENTARIO OPERATIVO DE PROPIEDAD DEL TRANSPORTADOR -
. Corresponde a los gastos financieros por el capital de trabajo para contar con la disponibilidad de los productos que transporta el agente incluyendo los combustibles líquidos y GLP, incluidos en el inventario operativo, de propiedad del transportador. Para la estimación de esta variable se aplicará el siguiente procedimiento:
a. Cada transportador reportará para su sistema de transporte a la CREG, el volumen de productos incluyendo el GLP y combustibles líquidos de su propiedad, para cada producto k para cada Subsistema i,
, expresado en kb, y acorde a lo dispuesto en el Artículo 51 como parte de la solicitud tarifaria, con corte a 31 de diciembre del año anterior de la solicitud.
b. Se utilizarán las condiciones físicas promedio de operación de los sesenta meses anteriores a la solicitud tarifaria.
c. Para los proyectos de las IAC deberá realizar los cálculos teniendo en cuenta las condiciones físicas promedio de operación esperadas en el respectivo proyecto para los primeros doce (12) meses de operación. La CREG podrá verificar o solicitar ampliación a la información reportada por el transportador.
d. La CREG estimará el precio de los productos que transporta, incluyendo el GLP y combustibles líquidos, Vit, multiplicado por el volumen la
. Esta variable incluye los volúmenes asociados al lleno de línea de los ductos y a los fondos de tanques.
e. La CREG determinará el costo de oportunidad del capital invertido en el inventario operativo de los productos que transporta en el sistema incluidos GLP y combustibles líquidos de propiedad del transportador, para cada año del horizonte de proyección, con base en la siguiente expresión:

Dónde:

| Gastos asociados al inventario operativo de GLP y combustibles líquidos de propiedad del transportador para el Subsistema i. | |
| Valor eficiente de los productos considerados en el inventario operativo en pesos de la fecha base por gal | |
| Costo de deuda, real antes de impuestos, calculada considerando la Tasa de descuento descrita en el Artículo 31. | |
| Volumen expresado en galones para el Subsistema i del producto k. | |
| Volumen expresado en galones para los ductos del Subsistema i del producto k en el mes m declarados por el agente y validados por la CREG acorde a lo dispuesto en el Artículo 51 en el formato A06F5. | |
| Volumen expresado en barriles para las existencias de tanques del Subsistema del producto k en el mes m declarados por el agente y validados por la CREG acorde a lo dispuesto en el Artículo 51 en el formato A06F6. |
PARÁGRAFO 1. Los costos o gastos asociados al inventario operativo registrados dentro de la contabilidad deberán ser discriminados en la solicitud tarifaria.
PARÁGRAFO 2. Estos valores se podrán revisar cada año y se podrán ajustar acorde a las variaciones en las cantidades y precios de los productos transportados, se conservará el valor base aprobado en los cargos y se podrán incluir las variaciones para reconocer los valores eficientes.
PARÁGRAFO 3. El valor de la variable Vit será el correspondiente al valor de ingreso al productor. En todo caso no podrá incluir costos de transporte.
PARÁGRAFO 4. La transición para que el transportador reembolse los valores del inventario operativo de propiedad de los remitentes será máximo de 8 meses desde la publicación de la presente resolución, cuyas condiciones generales serán de mutuo acuerdo entre el transportador y los Remitentes. Para definir el precio de los productos que entregó el remitente al transportador, se considerará el promedio de los últimos 3 meses.
ARTÍCULO 22. GASTOS EN CORRIDAS CON RASPADOR INTELIGENTE -
. Para la estimación de esta variable se aplicará el siguiente procedimiento:
a. El transportador reportará a la CREG la estimación de los gastos en corridas con raspador inteligente acorde a lo dispuesto en el Artículo 51 en el formato A04F4. Así mismo, deberán anexar los soportes técnicos.
b. Anualmente deberá reportar los gastos de AOM, incluidos las corridas de raspadores inteligentes, acorde a lo dispuesto en el Artículo 51 en el formato A04F1.
c. Se reconocerá máximo una corrida con raspador inteligente cada cinco años. Estos gastos deberán ser expresados en pesos de la fecha base.
d. La Comisión evaluará la eficiencia de los gastos indicados en el literal anterior, utilizando la mejor información disponible. Los valores resultantes de esta evaluación corresponderán a la variable.
e. Los gastos en corridas con raspador inteligente se reconocerán únicamente para ductos de diámetros iguales o superiores a 4 pulgadas.
ARTÍCULO 23. GASTOS EN TERRENOS E INMUEBLES -
. Para la estimación de esta variable se aplicará el siguiente procedimiento:
a. El transportador declarará a la Comisión el valor catastral de los terrenos, inmuebles y las escrituras de las servidumbres asociados a la prestación del servicio de transporte por poliductos, por Subsistema, expresado en pesos colombianos de la fecha base. Los cuales se deben declarar acorde a lo dispuesto en el Artículo 51.
b. La Comisión determinará el valor anual a incorporar en los gastos de AOM, durante el horizonte de proyección, por Subsistema, calculado como el costo de deuda real, según definición en la metodología de tasa de descuento vigente, multiplicado por el valor catastral vigente reportado por el transportador. Este valor corresponderá a la variable
.
ARTÍCULO 24. GASTOS EN DISPOSICIÓN DE TRANSMIX -
. Para la estimación de esta variable se aplicará el siguiente procedimiento:
a. El transportador incluirá un soporte técnico incluyendo la topología del sistema de transporte, y presentará los puntos donde se produce Transmix en el sistema que no es factible neutralizar, los cuales se deben declarar acorde a lo dispuesto en el Artículo 51. La CREG podrá decretar una prueba con el objetivo de comprobar, verificar y revisar con personal especializado la validez del soporte.
b. El transportador declarará a la Comisión las cantidades de Transmix que no es posible neutralizar y que se deben llevar por medio de transporte terrestre al punto de disposición, incluyendo los precios de los respectivos fletes, rutas y frecuencias, los cuales se deben declarar acorde a lo dispuesto en el Artículo 51.
c. El cálculo del reconocimiento de la disposición del Transmix se incluirá así:

| Gastos en disposición de Transmix para el Subsistema i para año | |
| Cantidades de Transmix que no es posible neutralizar expresadas en barriles para la ruta | |
| Valor del flete por gal para disponer Transmix del sistema i para la ruta |
ARTÍCULO 25. REMUNERACIÓN DE INVERSIONES MENORES EN EL
,
. En la solicitud tarifaria el agente transportador deberá declarar los valores eficientes de las inversiones menores no incluidas en ninguna de las variables descritas en el CAPÍTULO II REMUNERACIÓN INVERSIONES. Estas inversiones menores deberán estar asociadas exclusivamente al servicio de transporte, para lo cual se deberá tener en cuenta lo siguiente:
a. El transportador deberá declarar los activos de inversiones menores por Subsistema para cada uno de los años del período tarifario t acorde a la clasificación definida en el formato A02F4 relacionado en el Artículo 51.
b. Los períodos de vida útil serán los definidos en el Artículo 8.
c. Se deberá presentar la información acorde a lo estipulado en el Artículo 9.
d. Debido a que algunas inversiones menores son transversales a los Subsistemas, el agente transportador deberá, con criterios de eficiencia, desagregarlos por Subsistema.
ARTÍCULO 26. GASTOS CALIDAD. Los gastos para mantener la calidad de los combustibles en la cadena de valor abordados comúnmente como delta calidad se analizarán, considerando los siguientes lineamientos
a. Se aplicarán las disposiciones del RTP en cuanto a las obligaciones del transportador con relación a la calidad del producto del articulo 20 o aquella que la modifique adicione o sustituya.
b. La CREG, en resolución independiente, analizará en la cadena de valor la pertinencia de incluir una remuneración para considerar los efectos en la calidad entregada por el refinador al transportar, y este al distribuidor mayorista. En caso de considerarlo pertinente, se incluirá una componente en AOM del Subsistema respectivo o en la estructura de precios acorde al análisis que realice la CREG.
ARTÍCULO 27. Gastos de administración, operación y mantenimiento totales,
, serán los siguientes:
![]()
Donde:
| Gastos de administración, operación y mantenimiento totales para el Subsistema i. Este valor estará expresado en pesos colombianos de la fecha base. | |
| Gastos de administración, operación y mantenimiento de inversión existente para el Subsistema i. Este valor estará expresado en pesos colombianos de la fecha base. | |
| Gastos de administración, operación y mantenimiento para proyectos PNI para el Subsistema i. Este valor estará expresado en pesos colombianos de la fecha base. | |
| Gastos de administración, operación y mantenimiento para IAC para el Subsistema i. Este valor estará expresado en pesos colombianos de la fecha base. | |
| Gastos en corridas con raspador inteligente para el Subsistema i. Este valor estará expresado en pesos colombianos de la fecha base. | |
| Gastos de administración, operación y mantenimiento asociados al inventario operativo de propiedad del transportador para el Subsistema i. Este valor estará expresado en pesos colombianos de la fecha base. | |
| Gastos de administración, operación y mantenimiento asociados a gastos en terrenos e inmuebles para el Subsistema i. Este valor estará expresado en pesos colombianos de la fecha base. | |
| Gastos asociados a inversiones menores para el Subsistema i. Este valor estará expresado en pesos colombianos de la fecha base. |
ARTÍCULO 28. ELEMENTOS EXCLUIDOS GASTOS DE ADMINISTRACIÓN, OPERACIÓN Y MANTENIMIENTO
. Para el cálculo de los gastos de AOM se excluirán los siguientes conceptos.
a. Asociados a puntos de entrada y salida.
b. Asociados a oleoductos.
c. Asociados a puertos, llenaderos, cargaderos y descargaderos.
d. Asociados con servicios prestados a terceros - servicios industriales.
e. Asociados al almacenamiento comercial.
f. Asociados al plan margen de continuidad.
g. Asociados a activos de conexión de otro agente o activos de conexión de usuarios.
h. Asociados con la reposición de activos.
i. Asociados con los costos de la inversión en infraestructura.
j. Asociados a otras actividades que a partir de los análisis la CREG considere que deben ser excluidos.
k. Demás incluidos en el Anexo 4.
DEMANDAS Y FACTOR DE UTILIZACIÓN.
ARTÍCULO 29. DEMANDAS TRANSPORTADAS POR LOS SUBSISTEMAS. La demanda considerada en los cargos, se determinará de conformidad con lo dispuesto a continuación:
a) El transportador reportará las demandas de los últimos 5 años por Subsistema de los productos transportados, incluyendo combustibles líquidos y GLP, discriminando las demandas de los proyectos que forman parte de las IAC. El reporte debe realizarse acorde a la clasificación definida en el Artículo 51.
b) Para el cálculo de los cargos se considerará el valor de demanda para cada Subsistema del año de la fecha base. Sin embargo, dado que el agente reporta los últimos 5 años, la CREG podrá hacer análisis de la información para determinar el valor a reconocer en la primera aprobación de cargos.
c) Cuando se trate de un Subsistema con condición de contraflujo, las demandas esperadas a reportar por el transportador corresponderán a los volúmenes agregados esperados en ambas direcciones. Además, el transportador deberá reportar dichas demandas para cada dirección contractual. El reporte debe realizarse acorde a la clasificación definida en el Artículo 51.
d) Adicionalmente, el transportador deberá declarar la capacidad total contratada por Subsistema, desagregada por tipo de remitente. El reporte debe realizarse en el acorde a la clasificación definida en el Artículo 51.
e) Para proyectos PNI no se modificarán las demandas consideradas en los cargos.
f) Para proyectos IAC, el agente deberá presentar, acorde a la clasificación definida en el Artículo 51, la proyección de demandas, para lo cual se seguirá el siguiente procedimiento:
i. Una vez se inicie el trámite administrativo tendiente a resolver la solicitud tarifaria, el Director Ejecutivo de la CREG publicará, mediante circular, las demandas reportadas por el transportador.
ii. Durante los quince (15) días hábiles siguientes a la publicación de la circular de la CREG, los terceros interesados podrán enviar preguntas y comentarios a la CREG en relación con los de demanda del transportador. De estas preguntas y comentarios se dará traslado al transportador para que, en un término máximo de quince (15) días hábiles siguientes al recibo, responda las preguntas y se pronuncie sobre los comentarios, en documento que deberá presentar a la CREG dentro de este último plazo.
iii. La CREG analizará la información, la confrontará con la disponible en la Comisión y podrá solicitar explicaciones al transportador, de acuerdo con los elementos de juicio que tenga a su disposición.
iv. En todo caso, no se admitirán demandas proyectadas por Subsistema, para el período de vida útil normativa, inferiores a aquellas que resulten de aplicar el factor de utilización normativo.
g) Así mismo, la CREG podrá decretar pruebas dentro del proceso tarifario para evaluar los históricos de demanda reportadas por el transportador.
h) Las ecuaciones para determinar las demandas a incluir en los cargos son:
![]()
Donde:
| Demanda transportada en el Subsistema i para el año | |
| Demanda de transporte de productos, incluidos combustibles líquidos y GLP, en el Subsistema i para el año | |
| Demanda de transporte de productos, incluidos combustibles líquidos y GLP, en el Subsistema i para el año |
PARÁGRAFO 1. Las pérdidas que podrá considerar el transportador al incluir los valores netos de demanda en la solicitud serán hasta 0.5% en volumen.
PARÁGRAFO 2. La demanda transportada para las variables,
,
,
, será el mayor valor entre la capacidad contratada y la demanda efectivamente transportada.
ARTÍCULO 30. CÁLCULO DEL FACTOR DE UTILIZACIÓN. Para la determinación del factor de utilización se utilizará la siguiente ecuación:
![]()
Donde:
| Factor de utilización para el Subsistema i correspondiente al año n. | |
| Demanda de transporte de productos, incluyendo combustibles líquidos y GLP, correspondiente al año | |
| Capacidad efectiva, la cual será determinada a partir del cálculo de la capacidad máxima de mediano plazo (CMMP) de transporte del Subsistema i de productos transportables, incluyendo combustibles líquidos o GLP, en gal, calculada por el transportador con modelos de dinámica de flujo de productos, utilizando los parámetros técnicos específicos del fluido y del ducto, así como los procedimientos y las presiones de entrada y salida que declara acorde a la clasificación definida en el Artículo 51, y cuyo procedimiento está definido en el Anexo 5. Esta variable se mantendrá constante, salvo que el transportador explícitamente señale que se cambia la CMMP. |
En caso de que el transportador no reporte esta información, la Comisión tendrá en cuenta la mejor información disponible.
a. Caso 1: El factor de utilización
: es mayor al FUN
Si el factor de utilización de un Subsistema es mayor al factor de utilización normativo, entonces los volúmenes para el cálculo del Cargo serán los reportados por los agentes.
b. Caso 2: El factor de utilización
: es menor al FUN
Si el factor de utilización de un Subsistema es menor al factor de utilización normativo (FUN), entonces los volúmenes para el cálculo del Cargo serán aquellos consistentes con el factor de utilización normativo, así:
![]()
Donde:
| Demanda del Subsistema i para el año | |
| Factor de utilización normativo, que corresponde al 0.7 para todos los Subsistemas. | |
| Capacidad efectiva, la cual será determinada a partir del cálculo de capacidad máxima de mediano plazo (CMMP) de transporte del Subsistema i de productos transportables, incluyendo combustibles líquidos o GLP, en gal, calculado por el transportador con modelos de dinámica de flujo de productos, utilizando los parámetros técnicos específicos del fluido y del ducto, así como los procedimientos y las presiones de entrada y salida que declara acorde a la clasificación definida en el Artículo 51, y cuyo procedimiento está definido en el Anexo 5. Esta variable se mantendrá constante, salvo que el transportador explícitamente señale que se cambia la CMMP. |
PARÁGRAFO 1. Para el cálculo de la capacidad máxima de mediano plazo (CMMP) el transportador deberá aplicar el procedimiento establecido en Anexo 5 de la presente Resolución. Esta capacidad deberá estar desagregada para el sistema, sin inversiones de IAC y con inversiones IAC para cada uno de los proyectos, declarada acorde a la clasificación definida en el Artículo 51.
PARÁGRAFO 2. Para la conversión de barriles a galones se utilizará como valor 42 gal/barril.
PARÁGRAFO 3. Densidad GLP considerada de 2,08 kg/gal, para los casos cuando no se tenga la información de la medición real en términos del código de medida de GLP, Resolución CREG 237 de 2020 o aquella que la sustituya adicione o modifique.
TASA DE DESCUENTO.
ARTÍCULO 31. TASA DE DESCUENTO
. Para la determinación de los cargos máximos regulados de transporte de combustibles líquidos y GLP por ductos, y de la infraestructura de almacenamiento, la CREG utilizará la metodología contenida en la Resolución CREG 004 de 2021 o aquella que la sustituya adicione o modifique. Cuando alguna de las variables distintas a la tasa de descuento
involucre un ajuste de cargos, se utilizará la tasa actualizada TD definida en la Resolución CREG 004 de 2021 o aquella que la sustituya adicione o modifique.
METODOLOGÍA PARA CALCULAR LOS CARGOS REGULADOS POR SERVICIO DE TRANSPORTE.
ARTÍCULO 32. CARGO REGULADO POR SERVICIO DE TRANSPORTE. La CREG establecerá el cargo regulado para remunerar los costos de inversión y gastos de AOM, aplicable al servicio de transporte para cada Subsistema, mediante el siguiente procedimiento:
a. Por distancia: Calcular el cargo para cada Subsistema de transporte, de acuerdo con la siguiente expresión:

Donde:
![]()
![]()
![]()
Donde:
| Cargo calculado para cubrir los costos de inversión y AOM para el año n del Subsistema i, incluyendo las obras del PACL, expresado en pesos de la fecha base por galón | |
| Valor total de la inversión depreciada de la inversión existente al año | |
| Valor total de las inversiones PNI e IAC del Subsistema i, de transporte para el año | |
| Valor total de las inversiones a retirar de la base de activos del Subsistema i de transporte para el año | |
| Tasa de descuento señalada en el Artículo 31. | |
| Valor inicial de la inversión para el activo k del Subsistema i, expresado en pesos de la fecha base. | |
| Período de vida útil para el activo k del Subsistema i, expresado en años, acorde al Anexo 8. | |
| Valor de los gastos de administración, operación y mantenimiento, AOM, para el año | |
| Anualidad para remunerar las obras de los planes de abastecimiento y confiabilidad, determinada conforme lo establecido por la CREG para la ejecución de las obras de dichos planes. Esta variable se calcula acorde a lo definido en el Artículo 43 para el año | |
| Demanda transportada por el Subsistema i para el año | |
| Valor de la inversión existente para el año | |
| Valor eficiente del activo | |
| Valor eficiente de la inversión m en aumento de capacidad declaradas por la empresa para el año | |
| Valor eficiente de la Inversión 0 para el año | |
| Valor inicial de la inversión en la estación entre transportadores o del Subsistema i, expresado en pesos de la fecha base. | |
| Período de vida útil para el activo k del Subsistema i, expresado en años, acorde al Anexo 8. | |
| Número total de activos asociados a inversión existente | |
| Número total de activos asociados al plan de nuevas inversiones | |
| Número total de activos asociados a inversión de ampliación de capacidad | |
| Número total de activos asociados a inversión | |
| Número total de activos a retirar |
b. Por distancia incluyendo estampillas entre Subsistemas: La Comisión podrá, dentro de los análisis de cargos, incluir estampillas entre los diferentes Subsistemas, considerando la siguiente expresión:

Donde:

![]()
![]()
Donde:
| Cargo calculado para cubrir los costos de inversión y AOM para el año n del Subsistema i, incluyendo las obras del PACL expresado en pesos de la fecha base por galón. | |
| Valor total de la inversión depreciada de la inversión existente al año | |
| Valor total de las inversiones PNI e IAC del Subsistema i de transporte para el año | |
| Valor total de las inversiones a retirar de la base de activos del Subsistema i de transporte para el año | |
| Tasa de descuento señalada en el Artículo 31. | |
| Valor inicial de la inversión para el activo k del Subsistema i, expresado en pesos de la fecha base. | |
| Período de vida útil para el activo k del Subsistema i, expresado en años, acorde al Anexo 8. | |
| Valor de los gastos de administración, operación y mantenimiento, AOM, para el año | |
| Anualidad para remunerar las obras de los planes de abastecimiento y confiabilidad, determinada conforme lo establecido por la CREG para la ejecución de las obras de dichos planes. Esta variable se calcula acorde a lo definido en el Artículo 43 para el año | |
| Demanda del Subsistema i para el año | |
| Valor de la inversión existente para el año | |
| Valor eficiente del activo | |
| Valor eficiente de la inversión m en aumento de capacidad declaradas por la empresa para el año | |
| Valor eficiente de la Inversión o para el año | |
| Valor inicial de la inversión en la estación entre transportadores o del Subsistema i expresado en pesos de la fecha base. | |
| Período de vida útil para el activo k del Subsistema i, expresado en años, acorde al Anexo 8. | |
| Número total de activos asociados a inversión existente | |
| Número total de activos asociados al plan de nuevas inversiones | |
| Número total de activos asociados a inversión de ampliación de capacidad | |
| Número total de activos asociados a inversión | |
| Número total de activos a retirar | |
| Subsistema i | |
| Subsistema ii | |
![]() | Sumatoria del Subsistema i hasta el Subsistema iii que se estampillan |
ARTÍCULO 33. ACTUALIZACIÓN DE CARGOS REGULADOS. Los cargos regulados se actualizarán considerando las etapas descritas en el literal a y b:
a. Al inicio del año n, el agente transportador actualizará los cargos regulados calculados de conformidad con el Artículo 32 de la presente Resolución, de acuerdo con la variación anual del IPP y del IPC mediante la siguiente fórmula:
![]()
Donde:


Dónde:
| Cargo regulado aplicable para el Subsistema i, expresado en pesos del año n por galón. | |
| Cargo calculado para cubrir los costos de inversión y AOM para el año n del Subsistema i, expresado en pesos de la fecha base por galón. | |
| Factor de ponderación de inversión para el Subsistema i para el año | |
| Factor de ponderación de AOM para el Subsistema i para el año | |
| Es el índice de precios al productor de la serie oferta interna publicado mensualmente por el DANE para diciembre del año | |
| Es el índice de precios al productor de la serie oferta interna publicado mensualmente por el DANE para la fecha base. | |
| Es el índice de precios al consumidor, total nacional, reportado por el DANE, para diciembre del año | |
| Es el índice de precios al consumidor, total nacional, reportado por el DANE, para la fecha base. | |
| Año para el cual se actualiza la Cargo regulado. | |
| Valor inicial de las inversiones para el activo q del Subsistema | |
| Período de vida útil para el activo q del Subsistema i, expresado en años, acorde al Anexo 8. | |
| Número total de activos en la base tarifaria para el Subsistema i. |
b. Anualmente el transportador deberá reportar las variables
-
hasta el último día hábil del mes de abril del año
considerando lo señalado en el Artículo 51 de la presente resolución. La Comisión procederá a actualizar los cargos incluyendo y retirando los activos, actualizando la información de AOM y ajustando las demandas. Las actualizaciones para los activos a incluir en la base de activos únicamente corresponderán a los activos aprobados a partir de la solicitud de cargos, tanto para PNI como para IAC.
PARÁGRAFO 1. Para el caso de aplicar a la actualización a Subsistemas que se estampillen, se aplicará la misma ecuación considerando la adición Subsistemas incluida en el Artículo 32.
ARTÍCULO 34. METODOLOGÍA GENERAL PARA LA APLICACIÓN DE CARGOS POR EL SERVICIO DE TRANSPORTE. La remuneración del servicio de transporte para los productos que transporte se basará en un esquema de cargos de paso, consistente en la suma de los cargos correspondientes a cada Subsistema comprendidos entre el punto de entrada y el punto de salida del sistema de transporte que contrata cada remitente.
ARTÍCULO 35. SOLICITUD DE APROBACIÓN DE CARGOS PARA SISTEMAS DE TRANSPORTE. A partir de la entrada en vigencia de la presente resolución, los agentes deberán solicitar la aprobación de cargos como se establece en los siguientes literales:
a. Para el caso de los sistemas de transporte cuyos cargos hayan sido definidos con base en la metodología de la Resolución del Ministerio de Minas y Energía 180088 de 2003 y sus modificaciones, los agentes deberán presentar a la CREG una solicitud de aprobación de cargos que contenga la información exigida en la presente resolución, considerando las obligaciones de reporte incluidas en el Artículo 51.
b. Con el fin de definir los cargos que aplicarán en el período tarifario, los agentes deberán remitir dicha información dentro de los tres (3) meses siguientes a la fecha de entrada en vigencia de la presente Resolución.
c. En caso de no recibir la información requerida dentro del plazo aquí previsto, la CREG iniciará de oficio las actuaciones administrativas tendientes a la aprobación de los cargos, para lo cual hará uso de la mejor información disponible.
ARTÍCULO 36. REQUISITOS PARA LA SOLICITUD DE NUEVA INFRAESTRUCTURA. Las empresas que decidan solicitar a la CREG la aprobación de cargos de transporte para nueva infraestructura, deberán incluir en su solicitud:
a. Como requisito esencial, la aprobación o autorización proferida por el Ministerio de Minas y Energía, en los términos descritos en los artículos 54, 189 y 190 del Código de Petróleos o aquellos que los modifiquen, adicionen o sustituyan, y demás normas concordantes aplicables. Esta aprobación o autorización no puede tener más de treinta (30) días contados a partir de su expedición.
b. Información definida considerando las obligaciones de reporte incluidas en el Artículo 51.
ARTÍCULO 37. ACTUACIÓN PARA LA APROBACIÓN DE CARGOS DE TRANSPORTE DE COMBUSTIBLES LÍQUIDOS Y GLP. Las empresas solicitarán a la CREG la aprobación de cargos de transporte de acuerdo con el siguiente trámite:
a. La empresa remitirá a la CREG la información de acuerdo con lo previsto en el Código de Procedimiento Administrativo y de lo Contencioso Administrativo, y la demás información requerida según la presente resolución.
b. Después de recibida la solicitud con el cumplimiento de todos los requerimientos de información solicitados por la Comisión, se aplicará la metodología respectiva, se definirá la propuesta de cargos por uso, y se someterá a consideración de la CREG la resolución definitiva.
PARÁGRAFO 1. En la aprobación de cargos aplicarán las disposiciones del Código de Procedimiento Administrativo y de lo Contencioso Administrativo.
PARÁGRAFO 2. Contra la decisión mediante la cual la Comisión apruebe los cargos, procede el recurso de reposición, el cual podrá interponerse ante la Dirección Ejecutiva de la Comisión dentro de los cinco (5) días hábiles siguientes a la fecha en que sea notificada a las partes, según el caso.
ARTÍCULO 38. NEGOCIACIÓN DE CARGOS. Los cargos aprobados en la metodología son valores máximos, los remitentes podrán negociarlos por mutuo acuerdo con el transportador, los cuales deberán quedar incluidos en los respectivos contratos.
REMUNERACION PROYECTOS DEL PLAN DE CONTINUIDAD O EL PLAN DE EXPANSIÓN DE LA RED DE POLIDUCTOS.
![]()
ARTÍCULO 39. INVERSIÓN EN PROYECTOS DEL
APROBADOS POR EL MINISTERIO DE MINAS Y ENERGÍA, QUE EJECUTA EL TRANSPORTADOR INCUMBENTE. Durante el período tarifario, el transportador incumbente podrá ejecutar inversiones del plan de continuidad o el plan de expansión de la red de poliductos aprobado por el Ministerio de Minas y Energía, que se encuentren embebidos dentro de alguno de sus Subsistemas de transporte,
, y los beneficiarios definidos por la UPME se encuentren dentro de los Subsistemas del transportador incumbente.
Cuando se trate de poliductos, tanques de almacenamiento operativo y estaciones de bombeo, el transportador deberá declarar a la Comisión la información establecida en los formatos del Anexo 2 que apliquen acorde la matriz señalada en el Artículo 51 de la presente resolución asociada al respectivo proyecto
. Con base en esta información, y aplicando los mecanismos de valoración establecidos en el Anexo 1 de la presente resolución, la CREG determinará el valor a reconocer por los activos correspondientes a poliductos, almacenamientos y estaciones de bombeo u otros activos, expresado en pesos colombianos a la fecha base.
Para el caso de activos distintos a poliductos, almacenamientos operativos y estaciones de bombeo, la Comisión establecerá el valor a reconocer de estos activos a partir de costos eficientes de otros activos comparables, u otros criterios de que disponga, siguiendo los lineamientos del Anexo 1. Este valor estará expresado en pesos colombianos a la fecha base.
Los anteriores valores corresponderán a las inversiones del plan de abastecimiento asociados a cada proyecto
en el respectivo Subsistema. En dichas inversiones se considerarán los proyectos prioritarios cuyos beneficiarios estén incluidos en el Subsistema
, los cuales están compuestos por proyectos de abastecimiento y de confiabilidad, así:
![]()
Donde:
| Inversión del proyecto k asociada a continuidad y abastecimiento en pesos de la fecha base para el Subsistema i. Para el año | |
| Inversión del proyecto c asociada a continuidad en pesos de la fecha base. Para el año | |
| Porcentaje de ponderación de la inversión del proyecto c asociada a continuidad para el Subsistema i. Este porcentaje representa el valor asignado a los beneficiarios del Subsistema i para remunerar el proyecto n por la entidad competente. Para el año | |
| Inversión del proyecto a asociada a abastecimiento en pesos de la fecha base. Para el año | |
| Porcentaje de ponderación de la inversión del proyecto a asociada a abastecimiento para el Subsistema i. Este porcentaje representa el valor asignado a los beneficiarios del Subsistema i para remunerar el proyecto n por la entidad competente. Para el año |
Cada vez que un proyecto
para proyectos de poliductos, almacenamientos operativos y estaciones de bombeo entre en operación comercial, y dentro de los tres meses siguientes, el transportador deberá declarar a la CREG el valor final del respectivo activo. Estos valores se deberán declarar en el formato del que apliquen acorde la matriz señalada en el Artículo 51 de la presente resolución, y deberán estar expresados en pesos colombianos de la fecha base.
Si el valor final del activo es distinto del valor aprobado mediante resolución para cada proyecto
, la Comisión determinará un valor ajustado
, así:

Donde:
| Valor ajustado de | |
| Valor reconocido del proyecto | |
| Valor final del proyecto |
La Comisión realizará el ajuste a que haya lugar, con el fin de incluir en el flujo de ingresos el valor ajustado de las inversiones del proyecto
mediante la variable
en el Subsistema i.
PARÁGRAFO1. La Comisión podrá verificar la información reportada en los formatos de los respectivos anexos de la presente resolución mediante los mecanismos que considere pertinentes.
PARÁGRAFO 2. Los valores eficientes que se determinen aplicando lo dispuesto en este artículo incluyen costos ambientales, sociales, de abandono y contingencias estándar.
ARTÍCULO 40. GASTOS DE ADMINISTRACIÓN, OPERACIÓN Y MANTENIMIENTO DE PROYECTOS DE
QUE EJECUTA EL TRANSPORTADOR INCUMBENTE. Para determinar los gastos de administración, operación y mantenimiento asociados a cada proyecto
se aplicará el siguiente procedimiento:
El transportador declarará a la CREG los gastos de administración, operación y mantenimiento, AOM, asociados a cada proyecto
, tal como se dispone en al Anexo 4, y a partir de dicha información la Comisión aprobará los gastos de AOM aplicando el mismo procedimiento del Artículo 20.
ARTÍCULO 41. FLUJO DE INGRESOS PARA REMUNERAR INVERSIÓN. Para cada proyecto
, la CREG calculará anualidades para remunerar la inversión durante el período estándar de pagos al transportador incumbente, así:
![]()
Donde:
| Ingreso anual esperado para remunerar la inversión del proyecto de | |
| Valor eficiente de la inversión del proyecto | |
| Valor eficiente de otras inversiones en el proyecto | |
| Tasa promedio de costo de capital, real antes de impuestos, remunerado por servicios de transporte a través de ingreso regulado expresado en pesos colombianos, para los proyectos de los planes de abastecimiento de combustibles líquidos. | |
| 20 años |
PARÁGRAFO 1. Los costos de la fiducia que contratará el auditor y los de constituir el patrimonio autónomo, deberán reflejar precios de mercado.
PARÁGRAFO 2. Los valores que remuneran la inversión se calcularán dividiendo en 12 el
del año correspondiente, y se actualizarán acorde a lo definido en el Artículo 33.
ARTÍCULO 42. FLUJO DE INGRESOS PARA REMUNERAR LOS GASTOS DE AOM. En la misma resolución que se apruebe el flujo de ingresos anuales para remunerar la inversión del proyecto
, la Comisión aprobará los valores eficientes de los gastos de AOM para el proyecto
para cada año del período estándar de pagos al transportador,
, determinados de conformidad con lo establecido en el Artículo 40 de la presente resolución. Estos valores de AOM estarán expresados en pesos colombianos de la fecha base.
PARÁGRAFO 1. Los valores que remuneran el AOM se calcularán dividiendo en 12 el
del año correspondiente, y se actualizarán acorde a lo definido en el Artículo 33.
ARTÍCULO 43. FLUJO PARA REMUNERAR INVERSIÓN Y AOM PARA PROYECTOS
. Mediante la siguiente expresión se calculará el flujo total de ingresos de inversión y AOM para proyectos
.
![]()
Donde
| Anualidad para remunerar las obras del plan de continuidad o el plan de expansión de la red de poliductos La remuneración de este activo se hará desde el momento en que este entre en operación. | |
| Ingreso anual esperado para remunerar la inversión del proyecto de | |
| Valores eficientes de los gastos de AOM para el proyecto |
ARTÍCULO 44. OFICIALIZACIÓN DE INGRESOS PARA EL TRANSPORTADOR INCUMBENTE. Mediante resolución, la Comisión aprobará los valores del flujo de ingresos anuales para remunerar la inversión y los gastos de AOM del proyecto
.
PARÁGRAFO 1. La Comisión ajustará la resolución mediante la cual se apruebe el flujo de ingresos anuales para remunerar la inversión del proyecto
, cuando sea necesario incluir el valor ajustado de inversiones,
, de acuerdo con lo establecido en el Artículo 39 de la presente resolución.
ARTÍCULO 45. REMUNERACIÓN DE SUBSISTEMAS DONDE HAYA PROYECTOS DE
. La remuneración de Subsistemas en los que haya proyectos
ejecutados por el transportador incumbente, o por terceros mediante los procesos de selección de que trata la resolución aparte citada en el Artículo 46, o aquellas que la modifiquen o sustituyan, estará sujeta a las siguientes reglas:
a) El servicio de transporte en el Subsistema, i, incluido el servicio de transporte a contraflujo, estará sujeto a los cargos máximos regulados calculados como se establece en el Artículo 32 de la presente resolución.
b) El ingreso total generado por la prestación del servicio del mes
lo facturará el transportador en el mes
, así:
![]()
Donde:
| Ingreso total para el Subsistema i, del mes m expresado en pesos de la fecha base. | |
| Cargo calculado para cubrir los costos de inversión y AOM para el año n del Subsistema i, expresado en pesos de la fecha base por galón. | |
| Capacidad contratada a través del contrato j para el mes m, en el Subsistema i, expresada en galones. Incluye la capacidad contratada a contraflujo. | |
| Número de días de prestación del servicio de transporte durante el mes m. | |
| Número de días totales del mes m. |
c) El transportador liquidará en el mes
el ingreso máximo por la prestación del servicio en el mes m, así:
![]()
Donde:
| Ingreso máximo para el Subsistema i, del mes m, expresado en pesos de la fecha base | |
| Cargo calculado para cubrir los costos de inversión y AOM para el año n del Subsistema i, expresado en pesos de la fecha base por galón. | |
| Número de días de prestación del servicio de transporte durante el mes m. | |
| Número de días totales del mes m. | |
| Capacidad máxima de mediano plazo para el año x utilizada para el cálculo de los cargos del del Subsistema i, como se establece en el Artículo 30 de la presente resolución, expresada en kbd. En los valores de la CMMP no se considerarán los valores de los proyectos |
d) A partir de la información de los literales b) y c) anteriores, el transportador determinará la diferencia de ingreso,
, así:
![]()
e) Si
es menor o igual a cero, el transportador tomará el ingreso
.
Si
es mayor que cero, el transportador disminuirá este valor del costo de prestación del servicio de transporte a los remitentes beneficiarios de los proyectos
construidos en el Subsistema i, en concordancia con las disposiciones definidas mediante las reglas de que trata el Artículo 46, o aquellas que la modifiquen o sustituyan.
PARÁGRAFO. Los Remitentes beneficiarios serán definidos por la entidad competente definida por el Ministerio de Minas y Energía
ARTÍCULO 46. REGLAS DE ASIGNACIÓN Y COMPLEMENTARIAS DE PROYECTOS IPATCL: la CREG expedirá en resolución aparte:
a. Las reglas para asignación de los proyectos del plan de continuidad o el plan de expansión de la red de poliductos.
b. Los períodos de remuneración,
c. Los procesos de facturación,
d. La metodología para reconocer al agente que hace el recaudo cuando sea una obra desarrollada por un transportador diferente al incumbente,
e. Las garantías de seriedad y cumplimiento para participar y ejecutar los proyectos.
f. El proceso de pago de los transportadores a los adjudicatarios
g. Las compensaciones por indisponibilidad
h. El recaudo para remunerar los proyectos del plan de abastecimiento de combustibles líquidos.
i. Recaudo para los casos en los cuales los beneficiarios son atendidos por medios adicionales o distintos a la red de transporte por ductos.
j. Demas reglas que considere la CREG.
ARTÍCULO 47. AJUSTE DE DISPOSICIONES APLICABLES A PROYECTOS DE QUE EJECUTA EL TRANSPORTADOR INCUMBENTE. Las disposiciones establecidas en los artículos 39 a 46 de la presente resolución, se podrán ajustar cuando sea necesario para dar cumplimiento a las disposiciones adoptadas mediante el Decreto 1281 de 2020, o aquellos que los modifiquen o sustituyan, en relación con Plan Indicativo de Abastecimiento de Combustibles.
ALMACENAMIENTO ESTRATÉGICO.
ARTÍCULO 48. LINEAMIENTOS PARA VALORACIÓN DE ALMACENAMIENTO ESTRATÉGICO. Para efecto de la valoración se deberán considerar los siguientes aspectos:
a. Cualquier agente de la cadena de valor de combustibles líquidos habilitado por la CREG puede desarrollar infraestructura de almacenamiento estratégico identificada por la UPME y aprobada por el Ministerio de Minas y Energía.
b. El proceso para seleccionar, por parte de la UPME, los inversionistas que desarrollarán las obras de almacenamiento estratégico, se definirá en resolución independiente.
g. Una vez le sea asignado el desarrollo de la infraestructura de almacenamiento estratégico a un agente:
i. el agente deberá informar el cronograma de ejecución de proyectos de almacenamiento estratégico considerando los siguientes aspectos.
(i) El agente deberá entregar un cronograma con el diagrama Gantt en formato Microsoft Project mpp, donde se incluya la ruta crítica para cada proyecto.
(ii) Deberá ser reportado al Ministerio de Minas y Energía y a la UPME.
(iii) En caso de modificaciones a las fechas de puesta en operación comercial establecidas en el cronograma de cada proyecto, el agente deberá comunicar formalmente los cambios y la justificación de los mismos a la CREG en el en el formato A02F4 referido en el Artículo 51, con copia al Ministerio de Minas y Energía y a la UPME.
ii. El agente declarará a la CREG las inversiones que proyecta realizar, expresado en pesos de la fecha base. Así mismo, deberá declarar la fecha de entrada en operación de estos activos, en los formatos acorde a lo definido en el Artículo 51.
PARÁGRAFO 1. Se excluirán de las inversiones en almacenamiento estratégico los terrenos e inmuebles relacionados con sedes administrativas, bodegas y talleres. Dichos terrenos e inmuebles se remunerarán como un gasto de AOM.
PARÁGRAFO 2. Los terrenos sobre los que se construyan los proyectos de almacenamiento estratégico se excluirán de la inversión a reconocer. Dichos terrenos e inmuebles se remunerarán como un gasto de AOM.
PARÁGRAFO 2. La vida útil normativa para activos de almacenamiento estratégico se empezará a contar a partir del mes siguiente de la fecha de entrada en operación comercial.
PARÁGRAFO 4. La CREG utilizará el mecanismo de valoración de tanques para el almacenamiento incluido en el Anexo 1 para valorar infraestructura de almacenamiento estratégico y demás tipos de almacenamiento que regule la CREG.
ARTÍCULO 49. REMUNERACIÓN DE LAS INVERSIONES EN ALMACENAMIENTO ESTRATÉGICO. La remuneración de las inversiones y AOM, así como los demás costos para remunerar la infraestructura de almacenamiento estratégico, se hará considerando los siguientes lineamientos:
a. Su remuneración se hará mediante una componente en la estructura de precios de los productos comercializados en la geografía nacional.
b. La distribución del costo en los mercados se hará con base en los beneficiarios de la obra que identifique la UPME.
c. El ajuste en la estructura de precios se realizará en Resolución independiente.
ARTÍCULO 50. COMPONENTE DE REMUNERACIÓN DE LAS INVERSIONES EN ALMACENAMIENTO ESTRATÉGICO. La fórmula para calcular la componente en la estructura de precios para remunerar las obras de almacenamiento estratégico es:

Donde
| Valor de la componente para remunerar el proyecto de almacenamiento estratégico j aprobado por el Ministerio de Minas y Energía. La remuneración de este activo se hará conforme lo que determine la CREG en resolución aparte. Expresado en pesos colombianos por galón, del 31 de diciembre del año anterior a la declaración de información, o de la fecha establecida por la UPME en el proceso de selección respectivo. | |
| Ingreso anual esperado para remunerar la inversión del proyecto de almacenamiento estratégico j, resultante del proceso de selección realizado por la UPME. Expresado en pesos colombianos del 31 de diciembre del año anterior a la declaración de información, o de la fecha establecida por la UPME en el proceso de selección respectivo. | |
| Valor eficiente de otras inversiones en el proyecto de abastecimiento estratégico j, que corresponderá a la suma de los costos de (i) la fiducia que contratará al auditor, (ii) los servicios que prestará el auditor; y (iii) de constituir el patrimonio autónomo de acuerdo con lo establecido en resolución independiente. Expresado en pesos colombianos del 31 de diciembre del año anterior a la declaración de información, o de la fecha establecida por la UPME en el proceso de selección respectivo. | |
| Valores eficientes de los gastos de AOM para el proyecto de abastecimiento estratégico j aprobado por la UPME. Expresado en pesos colombianos del 31 de diciembre del año anterior a la declaración de información, o de la fecha establecida por la UPME en el proceso de selección respectivo. | |
| Demanda de los beneficiarios b del proyecto de almacenamiento estratégico j, identificada y declarada por la UPME, en galones por año. |
PARÁGRAFO 1. Esta componente
se aplicará en las zonas donde la UPME haya identificado los beneficiarios b para el proyecto j.
PARÁGRAFO 2. Para calcular las variables de descuento
,
cuando lo desarrolle un agente incumbente, utilizará la tasa de descuento del Artículo 31.
OTROS.
ARTÍCULO 51. OBLIGACIONES DE REPORTE DE INFORMACIÓN. Para efecto de reporte de información requerida en los artículos precedentes de ésta Resolución, cada transportador deberá reportar a la CREG los siguientes conceptos.
a. Inversión existente para cada uno de los Subsistemas.
b. Programa de nuevas inversiones.
c. Inversiones en aumento de capacidad.
d. Otros gastos de AOM asociados a: la inversión existente, el programa de nuevas inversiones y las inversiones en aumento de capacidad
e. Demandas transporta por cada Subsistema de transporte.
f. Información asociada al Inventario operativo
g. Adicionalmente, para lo concerniente a lo establecido en el Anexo 5, cada transportador deberá enviar a la CREG las memorias del cálculo de las capacidades máximas de mediano plazo para cada poliducto. Estas memorias deben incluir todos los parámetros técnicos utilizados en el cálculo, así como las capacidades, presiones y extracciones en cada Subsistema y en cada punto de salida a lo largo del poliducto.
h. Incluir un archivo georreferenciado en formato kmz o kml que incluya cada uno de los Subsistemas y cada estación de bombeo y tanques de almacenamiento operativo. Para cada uno de los Subsistemas discriminar los activos en: i) existentes, ii) del programa de nuevas inversiones, iii) inversiones en aumento de capacidad.
i. Como guía para adelantar las solicitudes, en la siguiente tabla se incluye la información a reportar acorde a la solicitud realizada:
Tabla 0–1 Información a reportar acorde a tipo de solicitud
| D formato | Anexo | Formato | titulo formato | Tipo solicitud | tipo de variable |
| A02F1 | 2 | 1. | Información para valorar poliductos | incluir en la base de activos inversión existente y nueva inversión. Proyectos del del plan de continuidad o el plan de expansión de la red de poliductos | IE, IAC |
| A02F2 | 2 | 2. | Información para valorar estaciones de bombeo | incluir en la base de activos inversión existente y nueva inversión. Proyectos del del plan de continuidad o el plan de expansión de la red de poliductos | IE, IAC |
| A02F3 | 2 | 3. | Información para valorar tanque de almacenamiento | incluir en la base de activos inversión existente y nueva. Proyectos del plan de continuidad o el plan de expansión de la red de poliductos | IE, IAC |
| A02F4 | 2 | 4. | Información para caracterizar proyectos IAC e PNI | incluir en la base de activos inversión existente y nueva, así como inversiones menores | PNI, IAC, inversiones menores |
| A02F5 | 2 | 5. | Información para valorar otros proyectos | incluir en la base de activos inversión existente y nueva para proyectos distintos a poliductos, propanoductos, estaciones de bombeo o tanques de almacenamiento, | PNI |
| A02F6 | 2 | 6 | información inversiones existentes IE | Incluir la relación de activos que están operando actualmente | IE |
| A03F1 | 3. | 1. | 1. Información con costos reales de poliductos | Aplicar la banda de ajustes a proyectos de poliductos previamente valorados y construidos | IAC |
| A03F2 | 3. | 2. | Información con costos reales de estaciones de bombeo | Aplicar la banda de ajustes a proyectos de estaciones de bombeo previamente valorados y construidos | IAC |
| A03F3 | 3. | 3. | Información con costos reales de tanque de almacenamiento | Aplicar la banda de ajustes a proyectos de tanques previamente valorados y construidos | IAC |
| A04F1 | 4. | 1. | Gastos de administración operación y mantenimiento, AOM, por Subsistema | solicitudes para reconocimiento de inversión existente, IAC y PNI | AOM:IE, IAC, PNI, IPATCL |
| A04F2 | 4. | 2. | Reporte de Predios | solicitudes para reconocimiento de inversión existente, IAC y PNI | AOM:IE, IAC, PNI, IPATCL |
| A04F3 | 4. | 3. | Reporte de servidumbres | solicitudes para reconocimiento de inversión existente, IAC y PNI | AOM:IE, IAC, PNI, IPATCL |
| A04F4 | 4. | 4. | Reporte proyección corrida de raspadores por Subsistema. | Solicitud de cargos | AOM: rapadores inteligentes |
| A05F1 | 5. | 1. | Información utilizada para el cálculo de la CMMP | solicitudes para reconocimiento de poliductos | IE, IAC, IPATCL |
| A05F2 | 5. | 2. | Especificaciones de los productos transportados | solicitudes para reconocimiento de poliductos ó estaciones de bombeo ó tanques ó Proyectos de abastecimiento estratégico | IE, IAC, IPATCL |
| A05F3 | 5. | 3. | Perfil de demanda horario | solicitudes para reconocimiento de poliductos ó estaciones de bombeo ó tanques | IE, IAC, IPATCL |
| A06F1 | 6. | 1. | Información histórica de demanda por sistema | solicitudes para reconocimiento de poliductos para un Subsistema, reporte anual | IE, , |
| A06F2 | 6. | 2. | Información histórica de demanda por punto de entrega | solicitudes para reconocimiento de poliductos para un Subsistema, reporte anual | IE |
| A06F3 | 6. | 3. | información de demanda proyectada de los proyectos IAC | solicitudes para reconocimiento de poliductos para un Subsistema, reporte anual.Proyectos de abastecimiento estratégico | IAC, |
| A06F4 | 6. | 4. | Información capacidad | solicitudes para reconocimiento de poliductos para un Subsistema | IE, IAC, IPATCL |
| A06F5 | 6. | 5. | Información lleno de línea poliductos | solicitudes para reconocimiento de poliductos para un Subsistema | IE, IAC, IPATCL |
| A06F6 | 6. | 6 | Información existencias tanques | solicitudes para reconocimiento de tanques para un Subsistema | IE, IAC, IPATCL |
| A06F7 | 6. | 7 | información de disposición Transmix | solicitudes para reconocimiento de costos de transporte para la disposición de Transmix | IE |
| A06F8 | 6 | 8 | Información de interrupciones del servicio para cada Subsistema | Reporte anual de interrupciones en los diferentes poliductos por parte del transportador | IE |
PARÁGRAFO 1. Para propanoductos aplicarán los mismos requisitos de información que se incluyen en la presente resolución para poliductos.
PARÁGRAFO 2. Para toda solicitud se deberá llenar el formato Datos Empresa incluido en el archivo Excel adjunto a la presente resolución que incluye los formatos de la resolución y observar los términos y condiciones.
PARÁGRAFO 3. En caso de considerarlo pertinente, la CREG publicará posteriormente un archivo para validar los formatos a reportar.
PARÁGRAFO 4. Los archivos deben enviarse a la CREG en formato pdf firmados y en archivo Excel.
ARTÍCULO 52. ACTUALIZACIÓN DE LOS FORMATOS. Mediante circular de la Dirección Ejecutiva de la CREG, la Comisión podrá ajustar los formatos de los anexos que se incluyen en la resolución o integrar nuevos cuando sea necesario, así como la forma de reportar. Así mismo, podrá decretar pruebas o solicitar información complementaria.
ARTÍCULO 53. MECANISMO DE REPORTE DE INFORMACIÓN A LA CREG. Cada agente deberá reportar a la CREG, los archivos con la información solicitada en los anexos de esta resolución. La CREG definirá mediante Circular el procedimiento de reporte de información.
ARTÍCULO 54. DIVULGACIÓN DE INFORMACIÓN. Además de la información requerida en el RTP, el agente deberá mantener actualizada la siguiente información en su Boletín de Transporte por Poliducto – BTP por cada Subsistema:
a. Cargos regulados para la prestación del servicio de transporte
b. Capacidad contratada para cada año de los siguientes veinte años.
c. Capacidad efectiva de cada Subsistema, en cada dirección, cuando se presente condición de contraflujo.
d. Duración promedio de los contratos, ponderada por capacidad contratada.
e. El transportador no podrá aplicar cargos establecidos que no haya publicado previamente.
f. El transportador deberá incluir un formato para que le sean declaradas las solicitudes de capacidad de transporte de los interesados esta información la deberá presentar en el Formato 3 del Anexo 6.
ARTÍCULO 55. POLIDUCTO DE CONEXIÓN. El productor, importador o mayorista pueden construir un poliducto de conexión desde la fuente de producción o el punto de importación, hasta el sistema de transporte o hasta el sitio de demanda. Sobre este poliducto de conexión aplicará el libre acceso, conforme a las siguientes reglas.
a. En ningún caso se considerará como poliducto de conexión aquella infraestructura dirigida a hacer bypass al Sistema de transporte o a algún Subsistema.
b. En cualquier caso, el productor o importador deberán entregar los combustibles líquidos bajo especificaciones técnicas vigentes.
c. El productor o importador deberá facilitar el acceso e interconexión de otras empresas o entidades que prestan servicios públicos, o de usuarios no regulados, cuando sea técnicamente viable y el propietario del poliducto de conexión proyecte contar con capacidad disponible tras cubrir su demanda proyectada para el largo plazo.
d. En caso de que el productor o importador tenga solicitudes de contratar capacidad para transportar a terceros, la infraestructura debera ser operada por un Transportador por poliducto, y deberán solicitar cargos a la CREG, para lo cual tendrá un plazo máximo de 6 meses.
ARTÍCULO 56. POLIDUCTOS DEDICADOS. Los usuarios no regulados en GLP, los grandes consumidores y almacenadores en combustibles líquidos, entre otros, podrán construir un poliducto dedicado considerando los siguientes lineamientos:
a. Mientras sea de uso exclusivo, no requiere solicitar cargos a la CREG.
b. Este poliducto debe tener libre acceso a terceros, si técnicamente es posible, considerando la demanda actual y proyectada del propietario del poliducto dedicado.
c. Si hay una solicitud de conexión de cualquier agente de la cadena de valor de combustibles líquidos o GLP, y esta es técnicamente factible, el servicio deberá ser prestado por un transportador, quien deberá solicitar cargos a la CREG. En este caso, el poliducto ya no será dedicado, y pasará a ser de uso y le serán aplicables todas las disposiciones contenidas en esta resolución.
ARTÍCULO 57. PROPIEDAD DE LOS ACTIVOS DE TRANSPORTE. Con excepción de los casos previstos en los Artículo 55 y 56 de la presente Resolución, cuando un agente que no sea un transportador, sea propietario de activos de transporte, tendrá las siguientes opciones:
a. Convertirse en un transportador.
b. Conservar su propiedad y ser remunerado por quien los utilice, en los términos que establece el Código de Petróleos.
c. Venderlos a un transportador.
Cuando un transportador utiliza activos de terceros, debe remunerar a los propietarios de dichos activos. El propietario de estos activos será el responsable por su administración, operación y mantenimiento.
PARÁGRAFO: En caso de que el agente tenga integración vertical dentro de la cadena de valor de combustibles líquidos deberá informar y solicitar concepto a al Ministerio de Minas y Energía si desea convertirse en transportador.
ARTÍCULO 58. VIGENCIA DEPRECIACIÓN LINEAL DE LOS ACTIVOS. La aplicación de la remuneración de los activos considerando la depreciación lineal, estará vigente hasta el vencimiento de la presente metodología. Lo anterior implica que estas condiciones se podrán ajustar cuando entre en vigencia una nueva metodología conforme a los análisis que adelante la CREG.
ARTÍCULO 59. VIGENCIA DE LOS NUEVOS CARGOS. Los cargos aprobados con base en la presente Resolución estarán vigentes desde la fecha en que quede en firme la resolución que los apruebe y hasta cuando se cumplan cinco (5) años desde la entrada en vigencia de la presente Resolución, sin perjuicio de las actualizaciones a que haya lugar. Vencido el período de vigencia de los cargos, éstos continuarán rigiendo hasta que la Comisión apruebe los nuevos.
ARTÍCULO 60. DEROGATORIAS. La Resolución 180088 de 2003 y sus modificatorias, resolución 181701 de 2003 (adicionada por la Resolución 180989 de 2011 y derogada por la 91877 de 2012) 180230 de 2006, 181300 de 2007 y 41276 de 2016 y, la Resolución 124302 de 2011, Resolución CREG 122 de 2008, Resolución CREG 141 de 2008, se entenderán derogadas cuando se aprueben los correspondientes cargos con la presente metodología.
ARTÍCULO 61. VIGENCIA. La presente resolución rige a partir de su publicación en el Diario Oficial.
PUBLÍQUESE Y CÚMPLASE
ANEXO 1. MECANISMOS DE VALORACIÓN.
Para establecer el valor a reconocer por inversiones en poliductos, propanoductos, estaciones de bombeo y tanques de almacenamiento y otros activos se utilizará el siguiente procedimiento:
a. La Comisión realizará la revisión de la información para verificar que permita realizar la estimación del valor de referencia correspondiente. Como parte de esta revisión, se verificará si las características de los activos a valorar se encuentran dentro del rango de aplicación de los modelos de valoración de la Comisión.
b. Se determinará un valor de referencia con base en el modelo de valoración descrito en el numeral 1 del presente anexo para poliductos, y en el numeral 2 para estaciones de bombeo y el numeral 3 para tanques de almacenamiento.
En el caso de activos distintos a poliductos, propanoductos, estaciones de bombeo y tanques de almacenamiento la comisión podrá contratar un Auditor para llevar a cabo la valoración de los activos, cuyo insumo podrá ser utilizado dentro de la estimación del valor de referencia y en las demás actividades que considere la Comisión.
La Comisión podrá aplicar costos eficientes de otros activos comparables u otros criterios de que disponga para determinar el valor a reconocer, si a partir de otra información disponible, la Comisión, identifica que el valor de referencia determinado según lo dispuesto en el inciso anterior puede trasladar costos ineficientes al usuario en los cargos de transporte, o dejar de reconocer costos eficientes al transportador.
c. En caso de que los activos a valorar se encuentren por fuera de los rangos de aplicación de los modelos de valoración de poliductos, propanoductos, estaciones de bombeo y tanques de almacenamiento con que cuenta la Comisión se recurrirá a otras fuentes de información, con el objetivo de contar con la mejor estimación posible de la valoración de estos activos.
d. Si el valor solicitado por el agente en el Anexo 2 de la presente resolución es menor o igual al valor determinado por la Comisión, el valor de referencia será el valor solicitado por el agente.
e. Los proyectos que presente el Transportador deberán incluir un visto bueno de la UPME ya sean para PNI e IAC y en todo caso la CREG podrá solicitar conceptos del valor eficiente y de la pertinencia del proyecto a un auditor independiente.
f. Una vez construido el poliducto o el propanoductos o la estación de bombeo o el tanque de almacenamiento se realizará la comparación entre el valor de referencia determinado en el literal b., con el valor final declarado por el agente en el Anexo 3 de la presente resolución. La determinación del valor a reconocer en cargos se realizará mediante la comparación del valor final y del valor de referencia, aplicando la banda de ajuste descrita mediante la siguiente ecuación:

Donde:
| Valor ajustado de la inversión que será incluido dentro de los cargos de transporte. Este valor estará expresado en pesos colombianos. | |
| Valor estimado mediante los modelos de valoración para poliducto y estaciones de bombeo de la Comisión o mediante la mejor información disponible, considerando lo establecido en el literal ii) del numeral 1 del presente anexo. Este valor estará expresado en pesos colombianos. | |
| Valor final del activo determinado con base en la información reportada por el transportador en Anexo 3 de la presente resolución. Este valor estará expresado en pesos colombianos. | |
| Valor final del poliducto, o a una estación de bombeo o a un almacenamiento operativo determinado con base en la información reportada por el transportador en el formato del Anexo 3 de la presente resolución. Este valor estará expresado en pesos colombianos de la fecha base. | |
| Valor final del poliducto, o a una estación de bombeo o a un almacenamiento operativo determinado con base en la información reportada por el transportador en el formato del Anexo 3 de la presente resolución. Este valor estará expresado en pesos colombianos de la fecha de puesta en operación comercial. |
El proceso se puede resumir en la siguiente figura:
Figura 1. Mecanismo de valoración

En este numeral se presenta el modelo de valoración que recoge las principales variables que determinan el costo de un poliducto o un propanoducto.
El modelo parte de valores estándar de poliductos que tienen las condiciones constructivas más sencillas. Luego, a partir de multiplicadores, estas condiciones constructivas se ajustan a las condiciones a las que estarían expuestos. Por otro lado, en los cruces especiales, dada su complejidad específica en su desarrollo y valoración, se han calculado valores unitarios para los diferentes tipos de cruces.
Para el entendimiento del modelo de valoración, se debe tener en cuenta que se utiliza como separador de miles el punto (.) y la coma (,) para los decimales.
El modelo de valoración se alimenta en su estructuración de análisis tomados de los resultados de los estudios:
a. Expert Report: Pipeline System Useful Life and Valuations; Contract 2015-190.
b. Inventario de activos y la valoración de la infraestructura de transporte para productos refinados del petróleo y GLP (Divisa, 2015).
c. Factores multiplicadores para trazado de ductos por media ladera(TIPIEL, 2017b).
d. Costos de construcción para cruces subfluviales, aéreos y sísmicos(TIPIEL, 2017a).
e. Estudios de valoración activos (TIPIEL 2019)
f. Valoración de infraestructura de almacenamiento y estaciones de bombeo asociada al sector de combustibles líquidos (Lloreda, 2022).
Los valores base están definidos a diciembre de 2021.
1.2 PROCESO PARA VALORAR LOS POLIDUCTOS.
El Proceso para determinación la valoración de poliductos se puede resumir en la siguiente figura:
Figura 1–1 Proceso para valorar los poliductos

Fuente: CREG.
El valor base se obtuvo de varias fuentes de información descritas en el numeral 1.1. A partir de dicha información, se hicieron las regresiones respectivas y se determinaron las ecuaciones que permiten caracterizar el valor base.
Para determinar el valor base se debe consultar la Tabla 1–1. El valor base se calcula así
![]()
Donde:
| Valor base [USD/pulgada/m] diciembre de 2021 | |
| Coeficiente ver en matriz de valores base. Tabla 1–1. USD/m] | |
| Coeficiente ver en matriz de valores base. Ver Tabla 1–1. [adimensional] | |
| Longitud del poliducto a valorar [km].(4) | |
| Diámetro. [pulgadas]. |
En la Tabla 1–1se presentan los coeficientes para calcular el valor base:
Tabla 1–1 Coeficientes valor base
| diámetro | : | : | min (km) | Max(km) |
| 2 | 1.744,67 | -0,3409 | 0,1 | 20 |
| 3 | 864,3659 | -0,2631 | 0,1 | 20 |
| 4 | 643,927 | -0,2405 | 0,1 | 200 |
| 6 | 590,0314 | -0,2483 | 0,1 | 200 |
| 8 | 485,8427 | -0,2419 | 0,1 | 200 |
| 10 | 408,1979 | -0,2348 | 0,1 | 200 |
| 12 | 344,97 | -0,2231 | 0,1 | 200 |
| 14 | 285,5537 | -0,1986 | 0,1 | 200 |
| 16 | 232,2303 | -0,1775 | 0,1 | 200 |
| 18 | 188,2474 | -0,1565 | 0,1 | 200 |
| 20 | 170,3719 | -0,1393 | 0,1 | 200 |
| 22 | 155,5822 | -0,1309 | 0,1 | 200 |
| 24 | 141,4183 | -0,1221 | 0,1 | 200 |
| 26 | 135,1845 | -0,1189 | 0,1 | 200 |
| 28 | 129,0187 | -0,1157 | 0,1 | 200 |
| 30 | 122,9226 | -0,1122 | 0,1 | 200 |
| 32 | 117,4597 | -0,1084 | 0,1 | 200 |
| 34 | 112,0883 | -0,1045 | 0,1 | 200 |
| 36 | 106,8097 | -0,1004 | 0,1 | 200 |
| 42 | 94,6113 | -0,087 | 0,1 | 200 |
| 48 | 86,6765 | -0,0752 | 0,1 | |
Fuente: numeral 1.1.Análisis Propios CREG.
1.4 INCLUSIÓN DE COSTOS AMBIENTALES SOCIALES, DE CONTINGENCIA Y DE ABANDONO -
.
Ahora es necesario incluir los costos ambientales, sociales y de contingencia, los cuales se incluyen mediante la siguiente expresión:
![]()
Donde:
| Valor base incluyendo componente social ambiental, abandono y contingencia [USD/pulgada/m] diciembre de 2021. | |
| Porcentaje costos asociados con la parte social y ambiental. Ver Tabla 1–2. | |
| Porcentaje costos de abandono. Ver Tabla 1–2. | |
| Porcentaje contingencia. Ver Tabla 1–2. |
Tabla 1–2 Costos sociales, ambientales de contingencia y abandono
| Porcentaje Costos asociados con la parte social y ambiental -Csa | 2,267% |
| Porcentaje Costos de abandono - Caba | 3,310% |
| Porcentaje Contingencia - Ccon | 6,610% |
| Porcentaje total social ambiental, abandono y contingencia | 12,188% |
Fuente: numeral 1.1.Análisis Propios CREG.
1.4.1 COSTOS ADICIONALES O AHORROS POR VARIACIÓN EN EL PRECIO DE COMBUSTIBLE
.
El valor de la obra civil de los poliductos depende, entre otras cosas, del costo del combustible que utilizan las maquinarias en la construcción. En esta parte se incluye la variación del precio del combustible utilizado teniendo en cuenta el valor de referencia del ACPM (cb1). Para ello, se utilizan las siguientes ecuaciones que permiten determinar el valor base afectado por el precio del combustible:

Donde:
| Valor base incluyendo componente social ambiental, abandono y contingencia, así como el efecto de la variación del combustible [USD/pulgada/m] diciembre de 2021. | |
| Valor base incluyendo componente social ambiental, abandono y contingencia [USD/pulgada/m] diciembre de 2021. | |
| Valor del ACPM en Colombia al usuario final en USD por galón estimado para la fecha de puesta en operación del proyecto en USD/galón diciembre de 2021. | |
| Valor del ACPM considerando en el modelo 4,5 USD/galón. | |
| Coeficiente. Ver Tabla 1–3. | |
| Coeficiente. Ver Tabla 1–3. | |
| Coeficiente. Ver Tabla 1–3. | |
| Coeficiente. Ver Tabla 1–3. |
En la Tabla 1–3 se presentan los coeficientes de las ecuaciones, así como el diámetro al cual se le puede aplicar la ecuación en términos de diámetros
Tabla 1–3 Costos o ahorros por variación en el precio de combustible
| Multiplicador | Rango aplicación | Variable | Valor |
| cc_p | 4,5000 | ||
| cd_p | 0,0001 | ||
| Variación precio Combustible | ce_p | -0,0014 | |
| cf_p | 0,0423 | ||
| cc_p | 4,5000 | ||
Fuente: numeral 1.1.Análisis Propios CREG.
1.5 VARIABLES DE MODELAMIENTO DE COMPLEJIDADES EN EL TRAZADO
.
En la siguiente matriz se presentan las variables incluidas en el modelamiento.
| Variable | Alternativas en el modelamiento de complejidad | |||||||
| Localidad Clase | Localidad Clase 1 | Localidad Clase 2 | Localidad Clase 3 | Localidad Clase 4 | ||||
| Suelo | Arcilloso | Arenoso | Rocoso | |||||
| Terreno inclinado | 0%-5% | 5%-10% | 10%-15% | 15%-20% | 20%-25% | más de 25% | ||
| Vegetación | Tundra | Bosque Templado | Selva Subtropical | Desierto Árido | Estepa Seca | Sabana | Selva Tropical | Tundra Alpina |
| Cruces cuerpos de agua | Perforación Horizontal Dirigida | Cruce Aéreo | Zanja | |||||
| Nivel freático | Sumideros y Zanjas | Sistema de Aspiración | Ataguías | |||||
| Cruces sísmicos | ||||||||
| Otras Variables | Doble junta | |||||||
| Terreno cultivado | ||||||||
| Media ladera | 15% | 25% | 35% | |||||
| Costos efecto combustible | Ajustes en el valor de combustible (4,5 USD por galón) | |||||||
| Costos de conexiones | Diámetros 2” - 48” | |||||||
Fuente: numeral 1.1.Análisis Propios CREG.
1.5.1 INCLUIR EL EFECTO DE LOS MULTIPLICADORES EN EL VALOR POLIDUCTO
.
Para determinar los multiplicadores a aplicar al valor base incluyendo componente social ambiental, abandono y contingencia, así como el efecto de la variación del combustible –
se aplica la siguiente expresión:

Donde:
| Valor base incluyendo los componentes de | |
| Valor base incluyendo componente social ambiental, abandono y contingencia, así como el efecto de la variación del combustible [USD/pulgada/m] diciembre de 2021. | |
| Multiplicador Suelo Arcilloso. | |
| Longitud Suelo Arcilloso [m]. | |
| Multiplicador Suelo Arenoso. | |
| Longitud Suelo Arenoso [m]. | |
| Multiplicador Suelo Rocoso. | |
| Longitud Suelo Rocoso [m]. | |
| Multiplicador vegetación Tundra. | |
| Longitud vegetación Tundra [m]. | |
| Multiplicador vegetación Bosque Templado. | |
| Longitud vegetación Bosque Templado [m]. | |
| Multiplicador vegetación Selva Subtropical. | |
| Longitud vegetación Selva Subtropical [m]. | |
| Multiplicador vegetación Desierto Árido. | |
| Longitud vegetación Desierto Árido [m]. | |
| Multiplicador vegetación Estepa Seca. | |
| Longitud vegetación Estepa Seca [m]. | |
| Multiplicador vegetación Sabana. | |
| Longitud vegetación Sabana [m]. | |
| Multiplicador vegetación Selva Tropical. | |
| Longitud vegetación Selva Tropical [m]. | |
| Multiplicador vegetación Tundra Alpina. | |
| Longitud vegetación Tundra Alpina [m]. | |
| Multiplicador Localidad Clase 1. | |
| Longitud Localidad Clase 1 [m]. | |
| Multiplicador Localidad Clase 2. | |
| Longitud Localidad Clase 2 [m]. | |
| Multiplicador Localidad Clase 3. | |
| Longitud Localidad Clase 3 [m]. | |
| Multiplicador Localidad Clase 4. | |
| Longitud Localidad Clase 4 [m]. | |
| Multiplicador Terreno cultivado. | |
| Longitud Terreno cultivado [m]. | |
| Multiplicador Terreno inclinado entre 0%-5%. | |
| Longitud Terreno inclinado entre 0%-5% [m]. | |
| Multiplicador Terreno inclinado entre 5%-10%. | |
| Longitud Terreno inclinado entre 5%-10% [m]. | |
| Multiplicador Terreno inclinado entre 10%-15%. | |
| Longitud Terreno inclinado entre 10%-15% [m]. | |
| Multiplicador Terreno inclinado entre 15%-20%. | |
| Longitud Terreno inclinado entre 15%-20% [m]. | |
| Multiplicador Terreno inclinado entre 20%-25%. | |
| Longitud Terreno inclinado entre 20%-25% [m]. | |
| Multiplicador Terreno inclinado más de 25%. | |
| Longitud Terreno inclinado más de 25% [m]. | |
| Multiplicador Doble junta. | |
| Longitud Doble junta [m]. | |
| Multiplicador Área congestionada. | |
| Longitud Área congestionada [m]. | |
| Multiplicador media ladera con pendiente media del 15%. | |
| Longitud media ladera con pendiente media del 15% [m]. | |
| Multiplicador media ladera con pendiente media del 25%. | |
| Longitud media ladera con pendiente media del 25% [m]. | |
| Multiplicador media ladera con pendiente media del 35%. | |
| Longitud media ladera con pendiente media del 35% [m]. |
En la Tabla 1–4 se incluyen los coeficientes y las ecuaciones para calcular los diferentes multiplicadores incluyendo el rango de aplicación de las fórmulas para los diferentes diámetros - diam.
Tabla 1–4 Multiplicadores


Fuente: numeral 1.1.Análisis Propios CREG.
En el desarrollo del estudio de (TIPIEL, 2017b) se incluyeron factores multiplicadores para media ladera adimensionales, los cuales, además de ser función del diámetro, son dependientes de la longitud que se construye en media ladera y son aplicables para longitudes entre 30 y 15.000 metros, los cuales son aplicables para inclinaciones de 15%, 25% y 35%. En la Tabla 1–5 incluyen las ecuaciones para calcular dichos multiplicadores:
Tabla 1–5 Multiplicadores Media Ladera



Fuente: numeral 1.1.Análisis Propios CREG.
1.5.2 COSTOS DE COMPLEJIDADES Y SU ADICIÓN AL VALOR DEL POLIDUCTO
.
Existen variables en el modelamiento que representan obras y equipos específicos en la intervención del trazado en lo referente a cruces especiales para los cuales se desarrolló un análisis puntual en el estudio de (TIPIEL, 2017a), cuyos tipos de cruces se listan a continuación:
a) Sumideros y Zanjas (Tabla 1–6)
b) Sistema de Aspiración (Tabla 1–6)
c) Ataguías ( )
d) Cruces húmedos ( )
e) Perforación Horizontal Dirigida (Tabla 1–8)
f) Cruces aéreos (Tabla 1–8)
g) Cruces sísmicos (Tabla 1–9)
En dichos casos el resultado del consultor incluyó tablas donde se identifican valores totales de los cruces desde 2” hasta 48” y desde 30 metros hasta 15 km, los cuales para ser incluidos en el modelo Tabla 1–6 a la Tabla 1–9. Se aclara que para las variables de estos cruces especiales relacionados previamente se aplicarán los porcentajes de la Tabla 1–2(5) –.
Para calcular el valor a adicionar al valor base
el costo de las complejidades se aplica las siguientes ecuaciones
![]()
Donde:
| Valor base incluyendo componentes de | |
| Valor base incluyendo los componentes de | |
| Diámetro [pulgadas]. | |
| Longitud total del poliducto a valorar descontando la longitud de los cruces especiales[m]. | |
| CSZ: | Costo de Sumideros y Zanjas [USD] diciembre de 2021. |
| CSA: | Costo de Sistema de Aspiración [USD] diciembre de 2021. |
| CAT: | Costo de Ataguías [USD] diciembre de 2021. |
| CCH: | Costo de Cruces húmedos [USD] diciembre de 2021. |
| CCS: | Costo de Cruce sísmico [USD] diciembre de 2021. |
| Cphd: | Costo de Perforación Horizontal Dirigida [USD] diciembre de 2021. |
| Cac: | Costo de cruce aéreo [USD] diciembre de 2021. |
Los costos de complejidades que al modelarlos se caracterizan por ecuaciones que dependen del diámetro y de la longitud tales como se presentan en las siguientes tablas: Los costos de complejidades que al modelarlos se caracterizan por ecuaciones que dependen del diámetro y de la longitud tales como se presentan en las siguientes tablas:
Tabla 1–6 Ecuaciones valorar complejidades 1



Tabla 1–7 Ecuaciones valorar complejidades 2




Tabla 1–8 Ecuaciones valorar complejidades 3 notas al final 6 y 7




Tabla 1–9 Cruce sísmico Ccs



Fuente: numeral 1.1.Análisis Propios CREG.
1.5.3 COSTOS DE LAS CONEXIONES Y SU ADICIÓN AL VALOR DEL POLIDUCTO
.
Las conexiones pueden ser del tipo corte en frío (cold cut), corte en caliente (hot tap), conexión con tapón doble más hot tap y conexión con tapón doble más hot tap y bypass.
Estas conexiones se reconocen al transportador como parte de la inversión en transporte cuando se requieren para conectar un poliducto loop o para conectar una extensión del poliducto. Los costos de conexiones que benefician a un remitente en particular deben ser asumidos por dicho remitente.
A partir de la información disponible se puede establecer el costo de cada tipo de conexión como se muestra en la Tabla 1–10. Las ecuaciones para determinar el valor del poliducto incluyendo el costo de las conexiones
![]()
Donde:
| Valor base incluyendo componentes de | |
| Valor base incluyendo componentes de | |
| Costo total conexión tapón doble más hot tap y bypass [USD] diciembre de 2021. | |
| Costo total conexión tapón doble más hot tap [USD] diciembre de 2021. | |
| Costo total conexión corte en caliente, hot tap [USD] diciembre de 2021. | |
| Costo total conexión corte en frio, cold tap [USD] diciembre de 2021. |
Tabla 1–10 Costo de conexiones (USD 2021).

Fuente: numeral 1.1.Análisis Propios CREG.
Es importante señalar que las ecuaciones presentadas en la tabla permiten el calcular el valor de una conexión. Si existen varias conexiones, se deben calcular cada una con la ecuación correspondiente.
Este resultado corresponde a una estimación de costos clase 3 según la clasificación de costos generalmente aceptada en ingeniería(8)El rango de exactitud esperado de esta estimación tiene una variación en el rango bajo de -10% a -20% y de +10% a +30% en el rango alto.
Los valores determinados hasta el numeral 1.5 están definidos en dólares americanos de diciembre de 2021. Sin embargo, para determinar los valores a otras fechas, es necesarios aplicarle indexadores. En el presente numeral se incluye el procedimiento para actualizar los valores. En el diagrama se presenta el proceso de actualización.
1.6.1 DEFINICIÓN DE FECHAS PARA CALCULAR LA ACTUALIZACIÓN.
Para llevar a cabo la actualización es necesario incluir en el modelo de las siguientes fechas cuyas definiciones se incluyen a continuación:
a) fecha de valor base del modelo
: Corresponde a diciembre de 2021.
b) fecha base valoración
: corresponde a la fecha base definida en la metodología
c) fecha de evaluación del poliducto
: Corresponde a la fecha con la mejor información disponible(9)para valorar los poliductos que se pretenden construir.
1.6.2 VALORAR UN POLIDUCTO QUE SE PRETENDE CONSTRUIR.
La valoración de un poliducto que se pretende construir se hará con la mejor información disponible al momento de la actualización. Mediante la siguiente expresión se actualiza a la fecha base:
![]()
Donde:
| Valor actualizado incluyendo componentes de | |
| Valor base incluyendo componentes de | |
| Indexador actualización acero. | |
| Indexador actualización mano obra. | |
| Indexador actualización otros costos. |
Las fórmulas para determinar los indexadores se incluyen en la Tabla 1–11.
Tabla 1–11 Ecuaciones actualización poliducto que se pretende construir

Las variables utilizadas en las fórmulas de la Tabla 1–11 se incluyen a continuación:
| Coeficiente indexador equivalente a 0,35. | |
| Es el índice para actualización de precios del acero, PPI Industry Data Series Id: PCU331210331210 fuente U.S. BUREAU OF LABOR STATISTICS, correspondiente al valor del mes para la fecha de evaluación del poliducto | |
| Es el índice para actualización de precios del acero, PPI Industry Data Series Id: PCU331210331210 fuente U.S. BUREAU OF LABOR STATISTICS correspondiente al valor del mes para la fecha de valor base del modelo | |
| Es el índice de precios al productor de los Estados Unidos de América, serie WPSFD41312 para la fecha base valoración | |
| Es el índice de precios al productor de los Estados Unidos de América, serie WPSFD41312 para la fecha de valor base del modelo | |
| Es el índice de precios al productor de los Estados Unidos de América, serie WPSFD41312 para la fecha de evaluación del poliducto | |
| Coeficiente indexador equivalente a 0,4. | |
| Es el promedio simple de la tasa representativa del mercado durante el año correspondiente a la fecha de valor base del modelo | |
| Es el promedio simple de la tasa representativa del mercado durante el año correspondiente a la fecha base valoración | |
| Corresponde al salario mínimo mensual legal vigente durante el año correspondiente a la fecha base valoración | |
| Corresponde al salario mínimo mensual legal vigente durante el año correspondiente a la fecha de valor base del modelo | |
| Coeficiente indexador equivalente a 0,25. |
Para la conversión del valor a pesos colombianos, se utiliza la siguiente expresión:
![]()
Donde:
| Valor actualizado incluyendo componentes de | |
| Valor actualizado incluyendo componentes de | |
| Tasa representativa del mercado de la fecha base. |
1.7 REGLAS DE APLICACIÓN DE MODELO.
Para aplicar el modelo de valoración de poliducto integrado en este numeral 2, se deben observar las siguientes reglas:
a) La longitud del valor base corresponde a la longitud total del poliducto sin tener en cuenta la longitud de los cruces especiales.
b) Se deben observar las restricciones en la aplicación de las variables de multiplicadores y de complejidad en longitud y en diámetro, para situaciones en los cuales el poliducto a modelar no se encuentre en dichos rangos, el agente deberá llenar la información de caracterización y señalar expresamente que no está dentro del rango de aplicación del modelo.
c) Para construcciones que se desarrollan en media ladera se podrán interpolar en caso de ángulos intermedios es decir entre 15º, 25º y 35º, si hay casos superiores a 35º se utilizara los multiplicadores de media ladera de 35º.
1.8 RESTRICCIONES DE APLICACIÓN DEL MODELO E INFORMACIÓN.
Tal como se ha incluido a lo largo del presente numeral 2, en las diferentes tablas se han integrado rangos de aplicación para las diferentes fórmulas, en algunos casos para diámetros y en otro para longitudes. Complementario a ello, en la siguiente tabla se resumen las restricciones de aplicación del modelo.
Tabla 1–12 Restricciones en la aplicación del modelo
| Variable | Diámetros (inch) | Longitudes (m) |
| Valor base (Vb) | 2, 3, 4, 6, 8, 10,12,14,16, 18, 20, 22, 24, 26, 28, 30, 32, 34, 36,42,48. | 1.000m- 200.000 m |
| Multiplicador de media ladera (15%, 25%, 35% de inclinación) | 2, 3, 4, 6, 8, 10,12,14,16, 18, 20, 22, 24, 26, 28, 30, 32, 34, 36,42,48. | 30m- 15.000 m |
| CU Perforación Horizontal Dirigida, CU Cruce Aéreo | 2, 3, 4, 6, 8, 10,12,14,16, 18, 20, 22, 24, 26, 28, 30, 32, 34, 36,42,48. | 30m-5.000m ver adicionalmente la Tabla 1–13 |
| CU. Sumideros y zanjas, sistema de aspiración, ataguías, cruces húmedos, cruces sísmicos | 2, 3, 4, 6, 8, 10,12,14,16, 18, 20, 22, 24, 26, 28, 30, 32, 34, 36,42,48. | 30m – Tipiel 50,000m |
Tabla 1–13 Restricciones en la aplicación del modelo en Perforación Horizontal dirigida
| Longitud (m) | 11 | 13 | 14 | 16 | 18 | 20 | 22 | 24 | 26 | 28 | 30 | 32 | 34 | 36 | 42 | 48 |
| 30 | X | X | X | X | X | X | 0 | X | X | X | X | 0 | 0 | X | X | X |
| 45 | X | X | X | 0 | X | X | X | X | 0 | 0 | X | X | X | |||
| 60 | X | X | X | 0 | 0 | X | X | X | ||||||||
| 75 | X | |||||||||||||||
X: en dichos casos no es factible aplicar la valoración con el modelo.
2. MODELO DE VALORACIÓN ESTACIONES DE BOMBEO.
El modelo de valoración se alimenta en su estructuración de análisis tomados de los resultados del estudio Valoración de infraestructura de almacenamiento y estaciones de bombeo asociada al sector de combustibles líquidos (Lloreda, 2022).
El presente numeral muestra la formulación del modelo para proyectar el costo de una estación de bombeo dada su potencia en caballos de fuerza -HP, la capacidad en kilo-barriles al día y el tipo de estación a estimar. con un rango de exactitud de costos clase 3.
El modelo fue construido al tomar como base la ingeniería de detalle de una estación de bombeo inicial con tanques de 5.400 HP de potencia y con una capacidad de 240 kilo-barriles al día, la cual fue nombrada como estación base, y a partir de este se modelaron las variaciones de sus principales estructuras y sus materiales que permiten, estimar los costos para diferentes capacidades y tipos de techos. La citada estación base se costeó a precios en dólares estadounidenses de febrero de 2022. Cuyo rango de simulación es desde 1.000 HP hasta 15.000 HP, excepto para el CASO 1 de repotenciación que será desde 1.000 HP hasta 5.000 HP
Respecto a la descripción de las fórmulas:
a. La primera, es la fórmula general de costo total de la estación de bombeo proyectada a un mes especifico. Desde ahí, profundiza en la formulación de cálculo de cada componente hasta llegar a las fórmulas que involucran el factor pipeline
, que según la estructura o Subsistema del tipo de estación a proyectar tipo 't' escala el tamaño de la estación base con respecto a la estación de bombeo proyectada y por lo tanto las cantidades de materiales, sus costos totales y las actividades de montaje y mantenimiento requeridas. El factor
es calculado con base en la capacidad de kilo-barriles en las cuales la estación debe operar, que esta correlacionado con el diámetro de las tuberías necesarias para tolerar esa capacidad.
b. La segunda fórmula corresponde a la proyección de mantenimiento anual de la estación de bombeo estimada.
A continuación, se presentan las ecuaciones con el fin de incluir la descripción del modelo.
2.1 CE - COSTO DE LA ESTACIÓN DE BOMBEO.
El costo total de la estación de bombeo 't' para el mes 'm' de proyección se compone de la suma del costo de ingeniería, los costos de licenciamiento, el costo de los materiales, el costo de construcción y montaje de los mismos, los costos de interventoría del proyecto y el comisionado y entrega del proyecto.
![]()
Donde:
| Tipo de estación de bombeo a estimar. | |
| Mes m de estimación de costos. | |
| Tipo de estación de bombeo tipo t para el mes m en que se estima. | |
| Costo total de la estación de bombeo t en USD$ del mes m. | |
| Costo de ingeniería del proyecto en USD$ del mes m. | |
| Costo de gestión y licenciamiento para la estación de bombeo de tipo t en USD$ del mes m. | |
| Costo de materiales y equipos para la estación de bombeo de tipo t en USD$ del mes m. | |
| Costo de construcción y montaje para la estación de bombeo de tipo t en USD$ del mes m. | |
| Costo de interventoría para la estación de bombeo de tipo t en USD$ del mes m. | |
| Costo de gerencia de proyecto para la estación de bombeo de tipo t en USD$ del mes m. | |
| Costo de comisionado y entrega para la estación de bombeo de tipo t en USD$ del mes m. |
2.1.1 CI – COSTO DE INGENIERÍA DEL PROYECTO.
El costo de ingeniería del proyecto típicamente se considera como el 7% del costo del material y el costo de construcción y montaje. Este porcentaje se divide en 1% para la ingeniería conceptual, 2% para la ingeniería básica y 4% para la ingeniería de detalle.
![]()
Con:
![]()
![]()
![]()
Donde:
| Tipo de estación de bombeo a estimar | |
| Mes m de estimación de costos. | |
| Tipo de estación de bombeo t para el mes m en que se estima | |
| Costo de ingeniería del proyecto para la estación de bombeo de tipo t en USD$ del mes m. | |
| Costo de ingeniería conceptual para la estación de bombeo de tipo t en USD$ del mes m.. | |
| Costo de ingeniería básica para la estación de bombeo de tipo t en USD$ del mes m.. | |
| Costo de ingeniería de detalle para la estación de bombeo de tipo t en USD$ del mes m. | |
| Costo de materiales y equipos para la estación de bombeo de tipo t en USD$ del mes m. | |
| Costo de construcción y montaje para la estación de bombeo de tipo t en USD$ del mes m. | |
| Factor para determinar el costo de ingeniería conceptual. | |
| Factor para determinar el costo de ingeniería básica. | |
| Factor para determinar el costo de ingeniería de detalle. |
2.1.2 CGIAS - COSTO DE GESTIÓN Y LICENCIAMIENTO.
El costo de gestión y licenciamiento típicamente se considera como el 5% del costo del material, el costo de comisionado de entrega y el costo de construcción y montaje. Este porcentaje se divide en 2.14% para la gestión inmobiliaria, 1.43% para el licenciamiento ambiental y 1.43% para el costo de la gestión social.
![]()
Con:
![]()
![]()
![]()
Donde:
| Tipo de estación de bombeo a estimar. | |
| Mes m de estimación de costos. | |
| Tipo de estación de bombeo t para el mes m en que se estima | |
| Costo de gestión y licenciamiento Inmobiliario, ambiental, construcción y social de tipo t en USD$ del mes m. | |
| Costo de gestión inmobiliaria para la estación de tipo t en USD$ del mes m. | |
| Costo de licenciamiento ambiental para la estación de tipo t en USD$ del mes m. | |
| Costo de gestión social para la estación de tipo t en USD$ del mes m. | |
| Costo de comisionado y entrega para la estación de tipo t en USD$ del mes m. | |
| Costo de materiales y equipos para la estación de tipo t en USD$ del mes m. | |
| Costo de construcción y montaje para la estación de tipo t en USD$ del mes m. |
2.1.3 CME - COSTO DE MATERIALES Y EQUIPOS.
El costo de los materiales se considera como la suma del costo de materiales y equipos nacionales, el costo de los materiales y equipos importados, el transporte de los mismos hasta la zona del proyecto. A este costo se debe adicionar el IVA.
![]()
Donde:
| Tipo de estación de bombeo a estimar. | |
| Mes m de estimación de costos. | |
| Tipo de estación de bombeo t para el mes m en que se estima | |
| Costo de materiales y equipos para la estación de tipo t en USD$ del mes m. | |
| Costo de materiales importados para la estación de tipo t en USD$ del mes m. | |
| Costo de materiales nacionales para la estación de tipo t en USD$ del mes m. | |
| Costo de equipos importados para la estación de tipo t en USD$ del mes m. | |
| Costo de equipos nacionales para la estación de tipo t en USD$ del mes m. | |
| Costo de transporte a la región r de los materiales y equipos para la estación de tipo t en USD$ del mes m. | |
| Impuesto al valor agregado en %. |
2.1.3.1 CMI - COSTO DE MATERIALES IMPORTADOS.
Para determinar el costo de materiales importados, se suman todos los costos de los materiales para construir la estación seleccionada t y este costo es indexado con el índice del precio del acero. Cada importado
se calcula como la cantidad necesaria de material
para construir la estación t por el respectivo costo unitario del material
.
El factor de tubería
corresponde a un factor de escala calculado con la capacidad de operación de la estación de bombeo, que está correlacionada con diámetro de tubería necesaria para soportar esta capacidad.

Con:
![]()
![]()
![]()
![]()
![]()
![]()
![]()
Donde:
| Costo de materiales importados para la estación de tipo t en USD$ del mes m. | |
| Cantidad total de materiales importados. | |
| Tipo de estación de bombeo a estimar. | |
| Mes m de estimación de costos. | |
| Tipo de estación de bombeo t para el mes m en que se estima. | |
| Material i para la construcción de la estación de bombeo t. | |
| Sumatoria de cada costo de material importado cmi del listado de materiales i a n. en USD$ de febrero de 2022. | |
| Factor de ajuste de costo por concepto de logística y transporte de importación. | |
| Cantidad de material i para la construcción de la estación t en unidades. | |
| Arancel a pagar por importaciones en %. | |
| Factor de escala de tubería para estimar la estación de bombeo seleccionada. | |
| Capacidad total operativa de la estación en kilobarriles. | |
| Cantidad de material i para la construcción de la estación base en unidades. | |
| Índice de precios del acero para el mes de estimación. HRC-FOB-China https://www.lme.com/en/Metals/Ferrous/LME-Steel-HRC-FOB-China-Argus#Trading+day+summary | |
| Índice de precios del acero para febrero de 2022. HRC-FOB-China https://www.lme.com/en/Metals/Ferrous/LME-Steel-HRC-FOB-China-Argus#Trading+day+summary | |
| Costo unitario del material i. | |
| Material i. |
2.1.3.2 CEI - COSTO DE EQUIPOS IMPORTADOS.
Para calcular el costo de equipos importados se suma el costo de los equipos rotativos importados, los filtros, los generadores de potencia, los transformadores de potencia, los equipos de medición y los tableros de control. A este resultado se ajusta por el factor de ajuste de logística de importación FALI y se adiciona el arancel ARAN.
![]()
| Costo de equipos importados para la estación de tipo t en USD$ del mes m. | |
| Tipo de estación de bombeo a estimar. | |
| Mes m de estimación de costos. | |
| Tipo de estación de bombeo t para el mes m en que se estima. | |
| Costo de equipos rotativos para la estación de tipo t en USD$ del mes m. | |
| Costo de filtros para la estación de tipo t en USD$ del mes m. | |
| Costo de generadores de potencia para la estación de tipo t en USD$ del mes m. | |
| Costo de transformadores de potencia para la estación de tipo t en USD$ del mes m. | |
| Costo de equipos de control para la estación de tipo t en USD$ del mes m. | |
| Costo de equipos de medición para la estación de tipo t en USD$ del mes m. | |
| Costo de equipos de tableros e instrumentación para la estación de tipo t en USD$ del mes m. | |
| Factor de ajuste de logística de importación para equipos importados. | |
| % de Arancel a aplicar a equipos importados. |
2.1.3.2.1 CERI - COSTO DE EQUIPOS ROTATIVOS IMPORTADOS.
El costo de los equipos rotativos es igual a la suma del costo de las bombas principales
y el costo de las bombas booster
. Cuando se trata de una estación inicial o de rebombeo este valor aumenta 3 veces (2 bombas Booster, 2 bombas principales y una unidad redundante para mantenimientos programados y no programados). En el caso de una repotenciación solo se considera una unidad principal y otra booster. Las estaciones de bombeo terminales no requieren de equipos rotativos.
El costo de una unidad de bombeo (booster o principal) es calculada con una ecuación lineal que relaciona la potencia en caballos de fuerza
con su costo en USD$ a febrero de 2022.
![]()
![]()
![]()
Con:
![]()
![]()
Donde:
| Costo de equipos rotativos importados para la estación de tipo t en USD$ del mes m. | |
| Tipo de estación de bombeo a estimar | |
| Mes m de estimación de costos. . | |
| Tipo de estación de bombeo t para el mes m en que se estima. | |
| Potencia operativa total de la estación de bombeo en HP caballos de fuerza. | |
| Costo de los equipos rotativos principales en USD$ del mes de febrero de 2022. | |
| Costo de los equipos rotativos Booster en USD$ del mes de febrero de 2022. | |
| Índice de precios al productor en Estados Unidos de bombas industriales para el mes de estimación (U.S. BUREAU OF LABOR STATISTICS, https://www.bls.gov/ppi/detailed-report, group 11, code 4102). | |
| Índice de precios al productor en Estados Unidos de bombas industriales para febrero de 2022 (U.S. BUREAU OF LABOR STATISTICS, https://www.bls.gov/ppi/detailed-report, group 11, code 4102). |
2.1.3.2.2 CFILT - COSTO DE FILTROS.
Para calcular el costo de los filtros se suma el costo de cada uno de ellos para la construcción de la estación tipo t y se indexa al mes de estimación usando el índice de precios al productor de filtros en Estados Unidos.

Donde:
| Costo de filtros para la estación de tipo t en USD$ del mes m. | |
| Tipo de estación de bombeo a estimar. | |
| Mes m de estimación de costos. | |
| Filtro i. | |
| Material i para la construcción del tipo de estación de bombeo t. | |
| Tipo de estación t en el mes m. | |
| Índice de precios al productor en Estados Unidos de filtros industriales para el mes de estimación (U.S. BUREAU OF LABOR STATISTICS, https://www.bls.gov/ppi/detailed-report, group 11, code 4908). | |
| Índice de precios al productor en Estados Unidos de filtros industriales para febrero de 2022 (U.S. BUREAU OF LABOR STATISTICS, https://www.bls.gov/ppi/detailed-report, group 11, code 4908). | |
![]() | Sumatoria del costo de cada filtro cfilt del listado de equipo i a n en USD$ a febrero de 2022. |
| Cantidad total de filtros para la estación de bombeo tipo t. |
2.1.3.2.3 CGENPOT - COSTO DE GENERADORES DE POTENCIA.
Para calcular el costo de los generadores de potencia se suma el costo de cada uno de ellos para la construcción de la estación tipo t y se indexa al mes de estimación usando el índice de precios al productor de generadores de potencia en Estados Unidos.
![]()
Donde:
| Costo de los generadores de potencia para la estación de tipo t en USD$ del mes m. | |
| Tipo de estación de bombeo a estimar. | |
| Mes m de estimación de costos. | |
| Material i para la construcción del tipo de estación de bombeo t. | |
| Índice de precios al productor en Estados Unidos de generadores de potencia para el mes de estimación (U.S. BUREAU OF LABOR STATISTICS, https://www.bls.gov/ppi/detailed-report, group 11, code 7304). | |
| Índice de precios al productor en Estados Unidos de generadores de potencia para febrero de 2022 (U.S. BUREAU OF LABOR STATISTICS, https://www.bls.gov/ppi/detailed-report, group 11, code 7304). | |
![]() | Sumatoria del costo de cada generador de potencia cgenpot del listado de equipos i a n para la construcción de la estación t en USD$ a febrero de 2022. |
| Cantidad total de generadores de potencia para la estación de bombeo tipo t. |
2.1.3.2.4 CTRANSF - COSTO DE TRANSFORMADORES DE POTENCIA.
Para calcular el costo de los transformadores de potencia se suma el costo de cada uno de ellos para la construcción de la estación tipo
y se indexa al mes de estimación usando el índice de precios al productor de transformadores en Estados Unidos.
![]()
Donde:
| Costo de transformadores de potencia para la estación de tipo t en USD$ del mes m. | |
| Tipo de estación de bombeo a estimar. | |
| Mes m de estimación de costos. | |
| Material i para la construcción del tipo de estación de bombeo t. | |
| Índice de precios al productor en Estados Unidos de transformadores de distribución y potencia para el mes de estimación (U.S. BUREAU OF LABOR STATISTICS, https://www.bls.gov/ppi/detailed-report, group 11, code 7409). | |
| Índice de precios al productor en Estados Unidos de transformadores de distribución y potencia para febrero de 2022 (U.S. BUREAU OF LABOR STATISTICS, https://www.bls.gov/ppi/detailed-report, group 11, code 7409). | |
| Sumatoria del costo de cada generador de potencia ctransf del listado de equipos i a n para la construcción de la estación t en USD$ a febrero de 2022. | |
| Cantidad de transformadores de potencia para la estación tipo t. |
2.1.3.2.5 CECTRL - COSTO DE EQUIPOS DE CONTROL.
Para calcular el costo de los equipos de control se suma el costo de cada uno de ellos para la construcción de la estación tipo t y se indexa al mes de estimación usando el índice de precios al productor de equipos de control en Estados Unidos.
![]()
Donde:
| Costo de equipos de control para la estación de tipo t en USD$ del mes m. | |
| Tipo de estación de bombeo a estimar. | |
| Mes m de estimación de costos. | |
| Material i para la construcción del tipo de estación de bombeo t. | |
| Índice de precios al productor en Estados Unidos de Instrumentos de control en procesos industriales para el mes de estimación (U.S. BUREAU OF LABOR STATISTICS, https://www.bls.gov/ppi/detailed-report, group 11, code 82). | |
| Índice de precios al productor en Estados Unidos de Instrumentos de control en procesos industriales para febrero de 2022 (U.S. BUREAU OF LABOR STATISTICS, https://www.bls.gov/ppi/detailed-report, group 11, code 82). | |
![]() | Sumatoria del costo de cada equipo de control cectrl del listado de equipos i a n para la construcción de la estación t en USD$ a febrero de 2022. |
| Total de equipos de control para construcción de la estación t. |
2.1.3.2.6 CEMEDI - COSTO DE EQUIPOS DE MEDICIÓN.
Para calcular el costo de los equipos de medición se suma el costo de cada uno de ellos para la construcción de la estación tipo
y se indexa al mes de estimación usando el índice de precios al productor de equipos de medición en Estados Unidos.
![]()
Donde:
| Costo de equipos de medición para la estación de tipo t en USD$ del mes m. | |
| Tipo de estación de bombeo a estimar. | |
| Mes m de estimación de costos. | |
| Material i para la construcción del tipo de estación de bombeo t. | |
| Equipo de medición i. | |
| Tipo de estación t en el mes m. | |
| Índice de precios al productor en Estados Unidos de medidores para gases y líquidos del mes de estimación (U.S. BUREAU OF LABOR STATISTICS, https://www.bls.gov/ppi/detailed-report, group 11, code 84102). | |
| Índice de precios al productor en Estados Unidos de medidores para gases y líquidos de febrero de 2022 (U.S. BUREAU OF LABOR STATISTICS, https://www.bls.gov/ppi/detailed-report, group 11, code 84102). | |
![]() | Sumatoria del costo de cada equipo de medición cemedi del listado de equipos i a n para la construcción de la estación t en USD$ a febrero de 2022. |
| Total, equipos de medición para la construcción de la estación t. |
2.1.3.2.7 CTABLERO - COSTO DE TABLEROS E INSTRUMENTACIÓN.
Para calcular el costo de los tableros e instrumentación se suma el costo de cada uno de ellos para la construcción de la estación tipo t y se indexa al mes de estimación usando el índice de precios al productor de tableros en Estados Unidos.
![]()
Donde:
| Costo de tableros e instrumentación para la estación de tipo | |
| Tipo de estación de bombeo a estimar. | |
| Mes m de estimación de costos. | |
| Material i para la construcción del tipo de estación de bombeo t. | |
| Tablero y/o instrumentación i. | |
| Tipo de estación t en el mes m. | |
| Índice de precios al productor en Estados Unidos de tableros y equipos de control para el mes de estimación (U.S. BUREAU OF LABOR STATISTICS, https://www.bls.gov/ppi/detailed-report, group 11, code 75). | |
| Índice de precios al productor en Estados Unidos de tableros de control y equipos de control para febrero de 2022 (U.S. BUREAU OF LABOR STATISTICS, https://www.bls.gov/ppi/detailed-report, group 11, code 75). | |
![]() | Sumatoria del costo de cada tableros y equipo de instrumentación ctablero del listado de equipos i a n para la construcción de la estación t en USD$ a febrero de 2022. |
| Total de tableros e instrumentación para la construcción de la estación t. |
2.1.3.2.8 CMN - COSTO DE MATERIALES NACIONALES.
Para determinar el costo de materiales nacionales, se suman todos los costos de los materiales para construir la estación seleccionada
y este costo es indexado con el índice del precio del acero y la
. Cada importado
se calcula como la cantidad necesaria de material
para construir la estación t por el respectivo costo unitario del material
.
El factor de tubería
corresponde a un factor de escala calculado con la capacidad de operación de la estación de bombeo, que está correlacionada con diámetro de tubería necesaria para soportar esta capacidad.

Con:
![]()
![]()
![]()
![]()
![]()
![]()
![]()
Donde:
| Costo de materiales nacionales para la estación de tipo t en USD$ del mes m. | |
| Tipo de estación de bombeo a estimar. | |
| Mes m de estimación de costos. | |
| Material i para la construcción del tipo de estación de bombeo t. | |
| Material nacional i. | |
| Tipo de estación t en el mes m. | |
| Sumatoria de cada costo de material nacional cmn del listado de materiales i a n para la construcción de la estación t en USD$ de febrero de 2022. | |
| Costo del material i para construir la estación de bombeo t en USD$ de febrero de 2022. | |
| Costo de un kilogramo del material i para construir la estación de bombeo t en USD$ de febrero de 2022. | |
| Capacidad total operativa de la estación t en kilo-barriles. | |
| Factor de ajuste de tubería de acuerdo con la capacidad operativa total de la estación a estimar. | |
| Indicador del precio del acero en $USD/TON. del mes de estimación. HRC-FOB-China https://www.lme.com/en/Metals/Ferrous/LME-Steel-HRC-FOB-China-Argus#Trading+day+summary | |
| Indicador del precio del acero en $USD/TON. para febrero de 2022. HRC-FOB-China- (https://www.lme.com/en/Metals/Ferrous/LME-Steel-HRC-FOB-China-Argus#Trading+day+summary) | |
| Tasa representativa del mercado para el mes m. página (https://www.banrep.gov.co/es/estadisticas/trm ) | |
| Tasa representativa del mercado para el mes de febrero de 2022. (https://www.banrep.gov.co/es/estadisticas/trm ) | |
| Total de materiales nacionales para la construcción de la estación t. | |
| Índice de precios al consumidor para el mes m de estimación, IPC reportado por el Banco de la República en la página (https://www.banrep.gov.co/es/estadisticas/indice-precios-consumidor-ipc). | |
| Índice de precios al consumidor para el mes de febrero de 2022, IPC reportado por el Banco de la República en la página (https://www.banrep.gov.co/es/estadisticas/indice-precios-consumidor-ipc). | |
| Cantidad necesaria de material i para construir la estación de bombeo base tipo t. |
2.1.3.2.9 CEN - COSTO DE EQUIPOS NACIONALES.
Para determinar el costo de equipos nacionales, se suman todos los costos de los equipos nacionales para construir la estación seleccionada t y este costo es indexado con el índice de precios al consumidor ipc y la tasa representativa del mercado trm. Cada equipo nacional
se calcula como la cantidad necesaria de equipos en kilogramos
para construir la estación t por el respectivo costo unitario del material
.
El factor de tubería
corresponde a un factor de escala calculado con la capacidad de operación de la estación de bombeo, que está correlacionada con diámetro de tubería necesaria para soportar esta capacidad.

Con:
![]()
![]()
![]()
![]()
![]()
![]()
![]()
Donde:
| Costo de equipos nacionales para la estación de tipo t en USD$ del mes m. | |
| Cantidad total de materiales nacionales para la construcción de la estación t. | |
| Tipo de estación de bombeo a estimar. | |
| Mes m de estimación de costos. | |
| Material i para la construcción del tipo de estación de bombeo t. | |
| Tipo de estación t en el mes m. | |
| Costo del equipo nacional i para la construcción de la estación tipo t en USD$ a febrero de 2022 | |
![]() | Sumatoria de cada equipo nacional cen del listado de materiales i a n para la construcción de la estación t en USD$ a febrero de 2022. |
| Kilogramos del equipo nacional i para construir la estación de bombeo t. | |
| Costo de un kilogramo del equipo i para construir la estación de bombeo t en USD$ a febrero de 2022. | |
| Factor de ajuste de tubería de acuerdo con la capacidad operativa total de la estación a estimar. | |
| Índice de precios al consumidor para el mes m de estimación, IPC reportado por el Banco de la República en la página (https://www.banrep.gov.co/es/estadisticas/indice-precios-consumidor-ipc). | |
| Índice de precios al consumidor para el mes de febrero de 2022, IPC reportado por el Banco de la República en la página (https://www.banrep.gov.co/es/estadisticas/indice-precios-consumidor-ipc). | |
| Tasa representativa del mercado para el mes. página (https://www.banrep.gov.co/es/estadisticas/trm ) | |
| Tasa representativa del mercado para el mes de febrero de 2022. (https://www.banrep.gov.co/es/estadisticas/trm ) | |
| Capacidad operativa total de la estación en kilo-barriles / día. | |
| Indicador del precio del acero en $USD/TON. del mes m-1 de estimación. HRC-FOB-China- (https://www.lme.com/en/Metals/Ferrous/LME-Steel-HRC-FOB-China-Argus#Trading+day+summary). | |
| Indicador del precio del acero en $USD/TON. para febrero de 2022. HRC-FOB-China- (https://www.lme.com/en/Metals/Ferrous/LME-Steel-HRC-FOB-China-Argus#Trading+day+summary) |
2.1.4 CCM - COSTO DE CONSTRUCCIÓN Y MONTAJE.


Con:
![]()
![]()
![]()
![]()
![]()
![]()
![]()
![]()
![]()
Donde:
| Mes m de estimación de costos. | |
| Costo de construcción y montaje para la estación de tipo t en USD$ del mes m. | |
| Región donde se realizará el proyecto. | |
| Suma de los costos de montaje del material o equipo i hasta n en USD$ de febrero de 2022. | |
| Suma de los costos de montaje del sistema a hasta el m en USD$ de febrero de 2022. | |
| Factor de ajuste de acuerdo a las condiciones específicas para la construcción y montaje de la región r. | |
| Utilidad del proyecto en porcentaje. | |
| Impuesto al valor agregado en porcentaje. | |
| Factor de ajuste de tubería de acuerdo con la capacidad operativa total de la estación a estimar. | |
| Sistema final n para la estación de tipo t. | |
| Índice de precios al consumidor para el mes m de estimación, IPC reportado por el Banco de la República en la página (https://www.banrep.gov.co/es/estadisticas/indice-precios-consumidor-ipc). | |
| Índice de precios al consumidor para el mes de febrero de 2022, IPC reportado por el Banco de la República en la página (https://www.banrep.gov.co/es/estadisticas/indice-precios-consumidor-ipc). | |
| Tasa representativa del mercado para el mes m. página (https://www.banrep.gov.co/es/estadisticas/trm ) | |
| Tasa representativa del mercado para el mes de febrero de 2022. (https://www.banrep.gov.co/es/estadisticas/trm ) | |
| Capacidad total operativa de la estación t en kilo-barriles. | |
| Tipo de estación de bombeo a estimar. | |
| Sistema inicial i para la estación de tipo t. | |
| Factor de ajuste de salarios a pagar por mano de obra. | |
| Tipo de estación t en el mes m. | |
| Material i para la construcción de la estación t. |
2.1.5 CINT - COSTO DE INTERVENTORÍA.
El costo de interventoría típicamente se calcula como un factor del costo de construcción y montaje sumado a el costo de comisionado y entrega. A este resultado debe agregarse el Impuesto al Valor Agregado IVA.
![]()
Donde:
| Mes m de estimación de costos. | |
| Costo de interventoría en USD$ del mes m para el tipo de estación t. | |
| Costo de construcción y montaje en USD$ del mes m para el tipo de estación t. | |
| Costo de comisionado y entrega en USD$ del mes m para el tipo de estación t. | |
| Impuesto al valor agregado en %. | |
| Tipo de estación de bombeo a estimar. | |
| Factor para el cálculo del costo de interventoría. |
2.1.6 CGP - COSTO DE GERENCIA DE PROYECTO.
El costo de gerencia del proyecto típicamente se calcula como un factor del costo de construcción y montaje sumado a el costo de comisionado y entrega. A este resultado debe agregarse el Impuesto al Valor Agregado IVA.
![]()
Donde:
| Mes m de estimación de costos. | |
| Costo de gerencia de proyecto en USD$ del mes m para el tipo de estación t. | |
| Costo de construcción y montaje en USD$ del mes m para el tipo de estación t. | |
| Costo de comisionado y entrega en USD$ del mes m para el tipo de estación t. | |
| Impuesto al valor agregado en %. | |
| Tipo de estación de bombeo a estimar. | |
| Factor para el cálculo del costo de gerencia del proyecto. |
2.1.7 CCE - COSTO DE COMISIONADO Y ENTREGA.
El costo de gerencia del proyecto típicamente se calcula como el 5% del costo de ingeniería, el costo de construcción y montaje sumado a el costo de comisionado y entrega. A este resultado debe agregarse el Impuesto al Valor Agregado IVA.
![]()
Donde:
| Mes m de estimación de costos. | |
| Costo de ingeniería del proyecto en USD$ del mes m para el tipo de estación t. | |
| Costo de construcción y montaje en USD$ del mes m para el tipo de estación t. | |
| Costo de comisionado y entrega en USD$ del mes m para el tipo de estación t. | |
| Impuesto al valor agregado en %. | |
| Tipo de estación de bombeo a estimar. |
2.2 CME - COSTO DE MANTENIMIENTO DE LA ESTACIÓN.
Para calcular el costo de mantenimiento de la estación estimada, se escala el tamaño de la estación, desde el concepto de mantenimiento. Para el caso de las estaciones iniciales o de rebombeo, el escalamiento se aplica sobre el costo unitario de mantenimiento por caballo de fuerza de la potencia operativa total. En el caso de la repotenciación, el escalamiento se realiza sobre el costo promedio de mantenimiento al año de la estación de bombeo base.
![]()
![]()
![]()
![]()
![]()
![]()
![]()
Donde:
| Costo de mantenimiento de la estación t en USD$/año del mes m. | |
| Factor ponderador de tamaño de la estación. | |
| Costo unitario del mantenimiento de la estación en $USD/HP del mes m. | |
| Potencia instalada de la operación en HP. | |
| Costo promedio de mantenimiento de una estación en USD/$año del mes m. |
Se incluye en Excel adjunto a la resolución el modelo de valoración de estaciones de bombeo
3. MODELO DE VALORACIÓN DE TANQUES DE ALMACENAMIENTO ATMOSFÉRICOS.
El modelo de valoración se alimenta en su estructuración de análisis tomados de los resultados del estudio Valoración de infraestructura de almacenamiento y estaciones de bombeo asociada al sector de combustibles líquidos (Lloreda, 2022).
El presente numeral muestra la formulación del modelo con un rango de exactitud de costos clase 3 para estimar el costo de un tanque de almacenamiento atmosférico teniendo como variables de entrada su capacidad en barriles y el tipo de techo que puede ser Cónico, flotante o geodésico.
El modelo fue construido al tomar como base la ingeniería de detalle de un tanque de techo flotante con una capacidad de 200,000 barriles, el cual fue nombrado como tanque base, y a partir de este se modelaron las variaciones de sus principales estructuras y sus materiales que permiten, con un buen grado de aproximación, estimar los costos para diferentes capacidades y tipos de techos. El citado tanque base se costeó a precios en dólares estadounidenses de febrero de 2022. El modelo tiene un rango de operación desde 1.000 hasta 350.000 barriles
Respecto a la descripción de las fórmulas:
a. La primera, es la fórmula general de costo total de tanque de almacenamiento proyectado a un mes especifico. Desde ahí, profundiza en la formulación de cálculo de cada componente hasta llegar a las fórmulas que involucran el factor determinante –
, que según la estructura o Subsistema del tanque a proyectar tipo 't' puede ser el diámetro, altura, área, volumen, superficie, etc. que escala el tamaño del tanque base con respecto al tanque proyectado y por lo tanto las cantidades de materiales, sus costos totales y las actividades de montaje y mantenimiento requeridas. Las dimensiones del tanque proyectado son calculadas con base en la capacidad en barriles ingresado como parámetro inicial del modelo.
b. La segunda fórmula corresponde a la proyección de mantenimiento quinquenal del tanque estimado.
A continuación, se presentan las ecuaciones con el fin de incluir la descripción del modelo.
3.1. CT - COSTO DEL TANQUE DE ALMACENAMIENTO.
![]()
Donde:
| Costo del tipo de tanque t para el mes de estimación m en USD$ del mes m. | |
| Tipo de tanque a estimar. | |
| Mes m de estimación de costos. | |
| Tipo de tanque t para el mes m de estimación. | |
| Costo de ingeniería del proyecto del tanque t en USD$ del mes m. | |
| Costo de gestión y licenciamiento del tanque t en USD$ del mes m. | |
| Costo de materiales y equipos del tanque t en USD$ del mes m | |
| Costo de construcción y montaje del tanque t en USD$ del mes m | |
| Costo de interventoría del tanque t en USD$ del mes m. | |
| Costo de gerencia de proyecto del tanque t en USD$ del mes m. | |
| Costo de comisionado y entrega del tanque t en USD$ del mes m. |
El costo total del tanque de almacenamiento
para el mes
de estimación se compone de la suma del costo de ingeniería, los costos de licenciamiento, el costo de los materiales, el costo de construcción y montaje de los mismos, los costos de interventoría del proyecto y el comisionado y entrega del proyecto.
3.1.1 CI – COSTO DE INGENIERÍA DEL PROYECTO.
El costo de ingeniería del proyecto típicamente se considera como un factor del costo del material y el costo de construcción y montaje.
![]()
Con:
![]()
![]()
![]()
Donde:
| Tipo de tanque a estimar | |
| Mes m de estimación de costos. | |
| Tipo de tanque t para el mes m en que se estima. | |
| Costo de ingeniería del proyecto para el tanque de tipo t en USD$ del mes m. | |
| Costo de ingeniería conceptual para el tanque de tipo t en USD$ del mes m. | |
| Costo de ingeniería básica para el tanque de tipo t en USD$ del mes m. | |
| Costo de ingeniería de detalle para el tanque de tipo t en USD$ del mes m. | |
| Costo de materiales y equipos para el tanque de tipo t en USD$ del mes m. | |
| Costo de construcción y montaje para el tanque de tipo t en USD$ del mes m. | |
| Factor para determinar el costo de ingeniería conceptual. | |
| Factor para determinar el costo de ingeniería básica. | |
| Factor para determinar el costo de ingeniería de detalle. |
3.1.2 CGIAS - COSTO DE GESTIÓN Y LICENCIAMIENTO.
El costo de gestión y licenciamiento típicamente se considera como el 5% del costo del material, el costo de comisionado de entrega y el costo de construcción / montaje. Este porcentaje se divide en 2.14% para la gestión inmobiliaria, 1.43% para el licenciamiento ambiental y 1.43% para el costo de la gestión social.
![]()
Con:
![]()
![]()
![]()
Donde:
| Tipo de tanque a estimar. | |
| Mes m de estimación de costos. | |
| Tipo de tanque t para el mes m en que se estima | |
| Costo de gestión y licenciamiento Inmobiliario, ambiental, construcción y social para el tanque de tipo t en USD$ del mes m. | |
| Costo de gestión inmobiliaria para el tanque de tipo t en USD$ del mes m. | |
| Costo de licenciamiento ambiental para el tanque de tipo t en USD$ del mes m. | |
| Costo de gestión social para el tanque de t en USD$ del mes m. | |
| Costo de comisionado y entrega para el tanque de tipo t en USD$ del mes m. | |
| Costo de materiales y equipos para el tanque de tipo t en USD$ del mes m. | |
| Costo de construcción y montaje para el tanque de tipo t en USD$ del mes m. |
3.1.3 CME - COSTO DE MATERIALES.
El costo de los materiales se considera como la suma del costo de materiales nacionales, el costo de los materiales importados, el transporte de los mismos hasta la zona del proyecto. A este costo se debe adicionar el IVA.
Para determinar el costo de materiales nacionales e importados, se suman todos los costos de los materiales para construir el tanque seleccionado t y este costo es actualizado con el índice del precio del acero. Cada costo de material nacional
o importado
se calcula como la cantidad necesaria de material
para construir el tanque t por el respectivo costo unitario del material
.
La cantidad de material
se calcula ponderando la cantidad de ese material que se requiere para el tanque base: Se toman las unidades requeridas para construir el tanque base
por el factor determinante del material del tanque base
y escalando este valor con el valor del factor determinante del tanque proyectado
.
El factor determinante
es una de las dimensiones del tanque, calculadas con la capacidad de almacenamiento, que está correlacionada con el material. Por ejemplo, si el material es laminado, está correlacionada con la superficie del tanque a construir y el valor del factor determinante será los metros cuadrados de la superficie.
En el caso de la estimación de un tanque geodésico, el material del techo domo en aluminio, es de fabricación nacional y por lo tanto su costo debe actualizarse con el índice del aluminio (
) donde
corresponde al valor del mes de estimación y
que corresponde al mes de febrero de 2021
![]()
Donde:
| Tipo de tanque a estimar. | |
| Mes m de estimación de costos. | |
| Tipo de tanque t para el mes m en que se estima | |
| Costo de materiales y equipos para el tanque de tipo t en USD$ del mes m. | |
| Costo de materiales importados para el tanque de tipo t en USD$ del mes m. | |
| Costo de transporte de materiales nacionales para el tanque de tipo t en USD$ del mes m a la región r. | |
| Impuesto al valor agregado en %. | |
| Costo de materiales nacionales para el tanque de tipo t en USD$ del mes m. |
3.1.3.1 CMN COSTO DE MATERIALES NACIONALES.

Con:
![]()
![]()
![]()
![]()
![]()
Donde:
| Tipo de tanque a estimar. | |
| Mes m de estimación de costos. | |
| Material i para la construcción del tipo de tanque t. | |
| Material nacional i. | |
| Tipo de tanque t en el mes m. | |
| Costo de materiales nacionales para el tanque de tipo t en USD$ del mes m. | |
| Total de materiales nacionales para la construcción del tanque t. | |
| Sumatoria de cada costo de material nacional cmn del listado de materiales i a n para el tanque de tipo t en USD$ del mes de febrero de 2022. | |
| Indicador del precio del acero en $USD/TON. del mes de estimación. HRC-FOB-China https://www.lme.com/en/Metals/Ferrous/LME-Steel-HRC-FOB-China-Argus#Trading+day+summary | |
| Indicador del precio del acero en $USD/TON. para febrero de 2022.HRC-FOB-China- (https://www.lme.com/en/Metals/Ferrous/LME-Steel-HRC-FOB-China-Argus#Trading+day+summary) | |
| Costo de material i nacional para la construcción del tanque t en USD$/unidad para febrero de 2022. | |
| Costo unitario del material i en USD$/unidad para febrero de 2022. | |
| Cantidad de material i para la construcción del tanque t. | |
| Porcentaje de material nacional. | |
| Tasa representativa del mercado para el mes m. página (https://www.banrep.gov.co/es/estadisticas/trm ) | |
| Tasa representativa del mercado para el mes de febrero de 2022. (https://www.banrep.gov.co/es/estadisticas/trm ) | |
| Factor de ajuste de cantidad de material i en referencia a la capacidad del tanque t a estimar. | |
| Factor de ajuste de cantidad de material i en referencia a la capacidad del tanque base. | |
| Índice de precios al consumidor del mes de estimación, IPC reportado por el Banco de la República en la página (https://www.banrep.gov.co/es/estadisticas/indice-precios-consumidor-ipc). | |
| Índice de precios al consumidor del mes de febrero de 2022, IPC reportado por el Banco de la República en la página (https://www.banrep.gov.co/es/estadisticas/indice-precios-consumidor-ipc). | |
| Factor de ajuste del costo cuando el suelo requiere pilotes para soportar el peso de la construcción. | |
| Costo de material nacional en la obra civil asociado a la construcción con pilotes para el tanque tipo t en USD$ para febrero de 2022. |
3.1.3.2 CMI COSTO DE MATERIALES IMPORTADOS.

Con:
![]()
![]()
![]()
![]()
![]()
Donde:
| Tipo de tanque a estimar. | |
| Mes m de estimación de costos. | |
| Material i para la construcción del tipo de tanque t. | |
| Costo de materiales importados en USD$ para el mes m. | |
![]() | Sumatoria de cada costo de material importado cmi del listado de materiales i a n para la construcción del tanque i en USD$ para febrero de 2022. |
| Indicador del precio del acero en $USD/TON. del mes de estimación. HRC-FOB-China- https://www.lme.com/en/Metals/Ferrous/LME-Steel-HRC-FOB-China-Argus#Trading+day+summary | |
| Indicador del precio del acero en $USD/TON. para febrero de 2022. HRC-FOB-China- (https://www.lme.com/en/Metals/Ferrous/LME-Steel-HRC-FOB-China-Argus#Trading+day+summary) | |
| Costo de material i importado para la construcción del tanque t en USD$ para febrero de 2022. | |
| Costo unitario del material i en USD$/unidad para febrero de 2022. | |
| Cantidad de material i para la construcción del tanque t. | |
| Porcentaje de material importado. | |
| Factor de ajuste de cantidad de material i en referencia a la capacidad del tanque t a estimar. | |
| Factor de ajuste de cantidad de material i en referencia a la capacidad del tanque base. | |
| Factor de ajuste de costo por logística de importación. | |
| Arancel de importación en %. | |
| Total de materiales importados para la construcción del tanque t. | |
| Factor de ajuste del costo cuando el suelo requiere pilotes para soportar el peso de la construcción. | |
| Costo de material importado en la obra civil para el tanque tipo t asociado a la construcción con pilotes en USD$ para febrero de 2022. | |
| Material importado i. | |
| Tipo de tanque t en el mes m. |
3.1.4 CCM - COSTO DE CONSTRUCCIÓN Y MONTAJE.
El costo de construcción y montaje se compone en un 60% del costo de mano de obra y un 40% de los equipos para la construcción. La mano de obra se compone del costo de montaje y escala con el factor de ajuste de mano de obra
que refleja un cambio en los salarios de los operarios encargados del montaje. En cuanto al costo de equipos para la construcción
estos se actualizan con el índice de precios al consumidor ipc. El factor de ajuste de costo de montaje regionalizado
se utiliza para ajustar el costo a la región donde se realizará el proyecto reflejando condiciones propias del entorno como por ejemplo las condiciones de orden público. Por último, se adiciona la utilidad del 5% y el impuesto del IVA a pagar.
En cuanto al costo de mano de obra
, este corresponde a la suma del costo de instalar cada pieza del tanque t, calculado como el costo unitario de instalación de la pieza i
por la cantidad a instalar de esta pieza
. La cantidad de cada pieza se calcula de la misma manera que en el numeral anterior.
De manera análoga, el costo de equipos de construcción
, se calcula como la suma del costo de equipo requerido para la construcción del tanque t, calculado como el costo unitario de cada equipo i
por la cantidad necesaria de este equipo
. La cantidad de cada equipo se calcula de la misma manera como se indicó en el numeral anterior.

Con:
![]()



![]()
![]()
![]()
Donde:
| Tipo de estación de bombeo a estimar. | |
| Mes m de estimación de costos. | |
| Material i para la construcción del tipo de estación de bombeo t. | |
| Costo de construcción y montaje del tanque t en USD$ del mes de estimación. | |
| Región donde se realizará el proyecto. | |
| Total costo de montaje del material para el tanque t en USD$ | |
| Total, costo de equipos de construcción del tanque t en USD$. | |
| Costo unitario de montaje del material i para el tanque t en USD$ por unidad. | |
| Costo unitario del equipo de construcción i para el tanque t en USD$ unidad. | |
| Cantidad del equipo de construcción i para el tanque t en unidades de material. | |
| Factor de construcción y montaje de la región r. | |
| Porcentaje de Utilidad e imprevistos del proyecto (8%). | |
| Impuesto al valor agregado en %. | |
| Factor de ajuste de cantidad de material i en referencia a la capacidad del tanque t ya estimar. | |
| Factor de ajuste de cantidad de material i en referencia a la capacidad del tanque base. | |
| Factor de ajuste de salarios a pagar por mano de obra. | |
| Sumatoria de todos los costos unitarios de montaje del material i para la construcción del tanque t, del listado de materiales i a n. | |
| Sumatoria de todos los costos unitarios de los equipos para la equipos para la construcción del tanque t, del listado de equipos i a n. | |
| Total de materiales para la construcción del tanque t. | |
| Cantidad de material i para la construcción del tanque t. | |
| Cantidad del equipo de construcción i para el tanque base en unidades de material. | |
| Índice de precios al consumidor del mes de estimación, IPC reportado por el Banco de la República en la página (https://www.banrep.gov.co/es/estadisticas/indice-precios-consumidor-ipc). | |
| Índice de precios al consumidor del mes de febrero de 2022, IPC reportado por el Banco de la República en la página (https://www.banrep.gov.co/es/estadisticas/indice-precios-consumidor-ipc). | |
| Tasa representativa del mercado para el mes m de estimación (https://www.banrep.gov.co/es/estadisticas/trm). | |
| Tasa representativa del mercado para el mes de febrero de 2022 (https://www.banrep.gov.co/es/estadisticas/trm). | |
| Factor de ajuste del costo cuando el suelo requiere pilotes para soportar el peso de la construcción. | |
| Costo de mano de obra en la obra civil asociado a la construcción con pilotes para el tanque tipo t en USD$ para febrero de 2022. | |
| Costo de mano de obra en los equipos de construcción asociado a la construcción con pilotes para el tanque tipo t en USD$ para febrero de 2022. | |
| Costo total de mano de obra para el tanque tipo t en USD$ para el mes m de estimación. | |
| Costo total de equipos de construcción para el tanque tipo t en USD$ para el mes m de estimación. | |
| Material i. | |
| Tipo de tanque t en el mes m. |
3.1.5 CINT - COSTO DE INTERVENTORÍA.
El costo de interventoría típicamente se calcula como un factor del costo de construcción y montaje sumado al costo de comisionado y entrega. A este resultado debe agregarse el Impuesto al Valor Agregado IVA.
![]()
Donde:
| Mes m de estimación de costos. | |
| Costo de interventoría en USD$ del mes m para el tipo de tanque t. | |
| Costo de construcción y montaje en USD$ del mes m para el tipo de tanque t. | |
| Costo de comisionado y entrega en USD$ del mes m para el tipo de tanque t. | |
| Impuesto al valor agregado en %. | |
| Tipo de tanque a estimar. | |
| Factor para el cálculo del costo de interventoría. |
3.1.6 CGP - COSTO DE GERENCIA DE PROYECTO.
El costo de gerencia del proyecto típicamente se calcula como un factor del costo de construcción y montaje sumado a el costo de comisionado y entrega. A este resultado debe agregarse el Impuesto al Valor Agregado IVA.
![]()
Donde:
| Mes m de estimación de costos. | |
| Costo de gerencia de proyecto en USD$ del mes m para el tipo de tanque t. | |
| Costo de construcción y montaje en USD$ del mes m para el tipo de tanque t. | |
| Costo de comisionado y entrega en USD$ del mes m para el tipo de tanque t. | |
| Impuesto al valor agregado en %. | |
| Tipo de tanque a estimar. | |
| Factor para el cálculo del costo de gerencia del proyecto. |
3.1.7 CCE - COSTO DE COMISIONADO Y ENTREGA.
El costo de gerencia del proyecto típicamente se calcula como el 5% del costo de ingeniería, el costo de construcción y montaje sumado al costo de comisionado y entrega. A este resultado debe agregarse el Impuesto al Valor Agregado IVA.
![]()
Donde:
| Mes m de estimación de costos. | |
| Costo de comisionado y entrega en USD$ del mes m para el tipo de tanque t.. | |
| Costo de ingeniería del proyecto en USD$ del mes m para el tipo de tanque t. | |
| Costo de construcción y montaje en USD$ del mes m para el tipo de tanque t. | |
| Costo de materiales y equipos en USD$ del mes m para el tipo de tanque t. | |
| Impuesto al valor agregado en %. | |
| Tipo de tanque a estimar. |
3.2 . CM - COSTO DE MANTENIMIENTO.
El costo de mantenimiento se calcula como la suma del costo unitario de mantenimiento de cada pieza
, por la cantidad de esa pieza presente en el tanque. A este costo se le adiciona un 25% y el impuesto al valor agregado IVA.

![]()
Donde:
| Costo de mantenimiento del tanque t en USD$ del mes m. | |
| Costo unitario de la actividad i para el tanque t en USD$ del mes m. | |
| Cantidad de actividades i para el tanque t en unidades. | |
| Cantidad de actividades i para el tanque base en unidades. | |
| Diámetro, área, altura o volumen del tanque t como factor determinante de la actividad i a realizar. | |
| Impuesto al valor agregado en %. | |
| 25% del costo directo de mantenimiento. | |
| Tipo de tanque t en el mes m. | |
| Quinquenal | |
| Material i para la construcción de tanque. |
3.3 TANQUES ALMACENAMIENTO ETANOL.
Para determinar el valor de inversión de un tanque de almacenamiento de etanol Se deberá aplicar:
a. Se debera modelar con el mismo procedimiento descrito en los numerales previos 3.1.1 a 3.1.7 considerando las características del tanque de etanol.
b. En caso de ser un tanque de acero al carbón la valoración será igual a la determinada en el literal a
c. En caso de ser un tanque de acero inoxidable una vez determinado el valor total del literal a. se deberá multiplicar por 1.6 veces el valor de un tanque atmosférico para determinar el valor de inversión. En este caso se deberá sustentar técnicamente la elección de acero inoxidable como material del tanque.
d. En cualquier caso, el valor de AOM será el mismo que se obtiene para un tanque de almacenamiento atmosférico siguiendo las ecuaciones del numeral 3.2
Se incluye en Excel adjunto a la resolución el modelo de valoración de tanques atmosféricos
4. MODELO DE VALORACIÓN DE TANQUES DE ALMACENAMIENTO A PRESIÓN.
El modelo de valoración se alimenta en su estructuración de análisis tomados de los resultados del estudio Valoración de infraestructura de almacenamiento y estaciones de bombeo asociada al sector de combustibles líquidos (Lloreda, 2022).
El presente numeral muestra la formulación del modelo con un rango de exactitud de costos clase 3 para estimar el costo de un tanque a presión de almacenamiento de GLP, dada su capacidad en barriles. El modelo fue construido al tomar como base la ingeniería conceptual y con algunos alcances de básica de una bala con una capacidad de 1, 288 barriles con un diámetro de 3,2 metros (10.5 pies) y una longitud de 24.8 metros (814 pies), el cual fue nombrado como tanque base y a partir de esta se modelaron las variaciones de la longitud que permite, con un buen grado de aproximación, estimar los costos para diferentes capacidades desde 400 barriles hasta 3,000 barriles. La longitud del diámetro se mantiene fijo en 3.2 metros ya que por facilidad de transporte es el tamaño adecuado. El citado tanque base se costeó a precios en dólares estadounidenses de febrero de 2022.
Respecto a la descripción de las fórmulas:
a. La primera, es la fórmula general de costo total de tanque de almacenamiento proyectado a un mes especifico. Desde ahí, profundiza en la formulación de cálculo de cada componente hasta llegar a las fórmulas que involucran el factor determinante –
, que para este modelo es la longitud del tanque que escala el tamaño del tanque base con respecto al tanque proyectado y por lo tanto las cantidades de materiales, sus costos totales y las actividades de montaje y mantenimiento requeridas. Las dimensiones del tanque proyectado son calculadas con base en la capacidad en barriles ingresado como parámetro inicial del modelo.
b. La segunda fórmula corresponde a la proyección de mantenimiento anual del tanque estimado.
A continuación, se presentan las ecuaciones con el fin de incluir la descripción del modelo.
4.1. CTG - COSTO DEL TANQUE DE GLP.
El costo total del tanque de almacenamiento a presión de GLP para el mes m de estimación se compone de la suma del costo de ingeniería, los costos de licenciamiento, el costo de los materiales, el costo de construcción y montaje de los mismos, los costos de interventoría del proyecto y el comisionado y entrega del proyecto.
![]()
Donde:
| Mes m de estimación de costos. | |
| Costo tanque de GLP para el mes de estimación en USD$ para el mes m. | |
| Costo de ingeniería del proyecto en USD$ para el mes m. | |
| Costo de gestión y licenciamiento Inmobiliario, ambiental, construcción y social en USD$ para el mes m. | |
| Costo de materiales y equipos en USD$ para el mes m. | |
| Costo de construcción y montaje en USD$ para el mes m. | |
| Costo de interventoría en USD$ para el mes m. | |
| Costo de gerencia de proyecto en USD$ para el mes m. | |
| Costo de comisionado y entrega en USD$ para el mes m. |
4.1.1 CI – COSTO DE INGENIERÍA DEL PROYECTO.
El costo de ingeniería del proyecto típicamente se considera como el 7% del costo del material y el costo de construcción y montaje. Este porcentaje se divide en 1% para la ingeniería conceptual, 2% para la ingeniería básica y 4% para la ingeniería de detalle.
![]()
Con:
![]()
![]()
![]()
Donde:
| Mes m de estimación de costos. | |
| Costo de ingeniería del proyecto en USD$ para el mes m. | |
| Costo de ingeniería conceptual en USD$ para el mes m. | |
| Costo de ingeniería básica en USD$ para el mes m. | |
| Costo de ingeniería de detalle en USD$ para el mes m. | |
| Costo de materiales y equipos en USD$ para el mes m. | |
| Costo de construcción y montaje en USD$ para el mes m. |
4.1.2 CGIAS - COSTO DE GESTIÓN Y LICENCIAMIENTO.
El costo de gestión y licenciamiento típicamente se considera como el 5% del costo del material, el costo de comisionado de entrega y el costo de construcción / montaje. Este porcentaje se divide en 2.14% para la gestión inmobiliaria, 1.43% para el licenciamiento ambiental y 1.43% para el costo de la gestión social.
![]()
Con:
![]()
![]()
![]()
Donde:
| Mes m de estimación de costos. | |
| Costo de gestión y licenciamiento Inmobiliario, ambiental, construcción y social en USD$ para el mes m. | |
| Costo de gestión inmobiliaria en USD$ para el mes m. | |
| Costo de licenciamiento ambiental en USD$ para el mes m. | |
| Costo de gestión social en USD$ para el mes m. | |
| Costo de comisionado y entrega en USD$ para el mes m. | |
| Costo de materiales y equipos en USD$ para el mes m. | |
| Costo de construcción y montaje en USD$ para el mes m. |
4.1.3 CME - COSTO DE MATERIALES.
El costo de los materiales se considera como la suma del costo de materiales nacionales, el costo de los materiales importados, el transporte de los mismos hasta la zona del proyecto. A este resultado se debe adicionar el IVA.
Para determinar el costo de materiales nacionales e importados, se suman todos los costos de los materiales para construir el tanque proyectado y este costo es indexado con el índice del precio del acero. Cada costo de material nacional
o importado
se calcula como la cantidad necesaria de material
para construir el tanque por el respectivo costo unitario del material
.
La cantidad de material
se calcula ponderando la cantidad de ese material que se requiere para el tanque base: Se toman las unidades requeridas para construir el tanque base
por el factor determinante del material del tanque base
y escalando este valor con el valor del factor determinante del tanque proyectado
.
El factor determinante
corresponde al largo del tanque, calculado con base en la capacidad de almacenamiento requerida en barriles, que está correlacionada con el material. Por ejemplo, si el material es lamina, la cantidad de unidades del material está correlacionado con la superficie del tanque a construir que depende del largo del tanque, ya que su diámetro es fijo (3,2 metros) como se ya se había indicado.
![]()
Donde:
| Mes m de estimación de costos. | |
| Costo de materiales y equipos para el mes de estimación m USD$ para el mes m. | |
| Costo de materiales y equipos importados en USD$ para el mes m. | |
| Costo de materiales y equipos nacionales en USD$ para el mes m. | |
| Costo de transporte hasta la región r. | |
| Impuesto al valor agregado en %. |
4.1.3.1 COSTO DE MATERIALES IMPORTADOS.

Con:
![]()
![]()
![]()
Donde:
| Costo de materiales importados para el tanque de GLP en USD$ del mes m. | |
| Cantidad total de materiales importados. | |
| Mes m de estimación de costos. | |
| Tanque tipo t | |
| Costo de material importado i del listado de materiales i a n en USD$ de febrero de 2022. | |
| Sumatoria de cada costo de material importado cmi del listado de materiales i a n. en USD$ de febrero de 2022. | |
| Factor de ajuste de costo por concepto de logística y transporte de importación. | |
| Arancel a pagar por importaciones en %. | |
| Factor determinante para escalar la cantidad de material al tanque de GLP estimado en metros. | |
| Factor determinante del tanque GLP base para escalar la cantidad de material al tanque estimado en metros. | |
| Indicador del precio del acero en $USD/TON. del mes de estimación. HRC-FOB-China- https://www.lme.com/en/Metals/Ferrous/LME-Steel-HRC-FOB-China-Argus#Trading+day+summary | |
| Indicador del precio del acero en $USD/TON. para febrero de 2022. HRC-FOB-China- (https://www.lme.com/en/Metals/Ferrous/LME-Steel-HRC-FOB-China-Argus#Trading+day+summary) | |
| Costo de materiales importados en la obra civil asociado a la construcción con pilotes para el tanque tipo t en USD$ para febrero de 2022. | |
| Factor de ajuste del costo cuando el suelo requiere pilotes para soportar el peso de la construcción. | |
| Material importado i para la construcción de tanque de GLP. |
4.1.3.2 COSTO DE MATERIALES NACIONALES.

Con:
![]()
![]()
![]()
Donde:
| Costo de materiales nacionales para el tanque de GLP en USD$ del mes m. | |
| Mes m de estimación de costos. | |
| Material i para la construcción del tanque de GLP a estimar. | |
![]() | Sumatoria de cada costo de material nacional cmn del listado de materiales i a n para la construcción del tanque de GLP en USD$ de febrero de 2022. |
| Costo del material i para construir el tanque de GLP en USD$ de febrero de 2022. | |
| Costo de un kilogramo del material i para construir el tanque de GLP en USD$ de febrero de 2022. | |
| Indicador del precio del acero en $USD/TON. del mes de estimación. HRC-FOB-China https://www.lme.com/en/Metals/Ferrous/LME-Steel-HRC-FOB-China-Argus#Trading+day+summary | |
| Indicador del precio del acero en $USD/TON. para febrero de 2022. HRC-FOB-China- (https://www.lme.com/en/Metals/Ferrous/LME-Steel-HRC-FOB-China-Argus#Trading+day+summary) | |
| Tasa representativa del mercado para el mes m. página (https://www.banrep.gov.co/es/estadisticas/trm ) | |
| Tasa representativa del mercado para el mes de febrero de 2022. (https://www.banrep.gov.co/es/estadisticas/trm ) | |
| Total de materiales nacionales para la construcción del tanque de GLP. | |
| Factor determinante para escalar la cantidad de material al tanque de GLP estimado en metros. | |
| Factor determinante del tanque GLP base para escalar la cantidad de material al tanque estimado en metros. | |
| Índice de precios al consumidor para el mes m de estimación, IPC reportado por el Banco de la República en la página (https://www.banrep.gov.co/es/estadisticas/indice-precios-consumidor-ipc). | |
| Índice de precios al consumidor para el mes de febrero de 2022, IPC reportado por el Banco de la República en la página (https://www.banrep.gov.co/es/estadisticas/indice-precios-consumidor-ipc). | |
| Costo de materiales nacionales en la obra civil asociado a la construcción con pilotes para el tanque tipo t en USD$ para febrero de 2022. | |
| Factor de ajuste del costo cuando el suelo requiere pilotes para soportar el peso de la construcción. | |
| Material i para la construcción de tanque de GLP. |
4.1.4 CCM - COSTO DE CONSTRUCCIÓN Y MONTAJE.
El costo de construcción y montaje se compone en un 60% del costo de mano de obra y un 40% de los equipos para la construcción. La mano de obra se compone del costo de montaje y escala con el factor de ajuste de mano de obra
que reflejará un cambio en los salarios de los operarios encargados del montaje. En cuanto al costo de equipos para la construcción
estos se actualizan con el índice de precios al consumidor ipc. El factor de ajuste de costo de montaje regionalizado
se utiliza para ajustar el costo a la región donde se realizará el proyecto reflejando condiciones propias del entorno como por ejemplo las condiciones de orden público. Por último, se adiciona la utilidad del 5% y el impuesto del IVA a pagar.
En cuanto al costo de mano de obra
, este corresponde a la suma del costo de instalar cada pieza del tanque, calculado como el costo unitario de instalación de la pieza i
por la cantidad a instalar de esta pieza
. La cantidad de cada pieza se calcula de la misma manera que en numeral anterior.
De manera análoga, el costo de equipos de construcción
, se calcula como la suma del costo de equipo requerido para la construcción del tanque, calculado como el costo unitario de cada equipo i
por la cantidad necesaria de este equipo
. La cantidad de cada equipo se calcula de la misma manera que en el numeral anterior.

Con:
![]()
![]()


![]()
Donde:
| Costo de construcción y montaje del tanque en el mes de proyección m en USD$. | |
| Mes de estimación de costo. | |
| Región donde se realizará el proyecto. | |
| Total costo de montaje del material en USD$ para febrero de 2022. | |
| Total costo de equipos de construcción en USD$ para febrero de 2022. | |
| Costo unitario de montaje del material i en USD$/unidad para febrero de 2022. | |
| Costo unitario del equipo de construcción i en USD$/unidad para febrero de 2022. | |
| Cantidad del equipo de construcción i en unidades de material para el tanque de GLP. | |
| Cantidad del equipo de construcción i en unidades de material para el tanque de GLP base. | |
| Factor de ajuste de cantidad de material en referencia a la capacidad del tanque en metros. | |
| Factor de ajuste de cantidad de material en referencia a la capacidad del tanque base en metros. | |
| Índice de precios al consumidor para el mes de m, IPC reportado por el Banco de la República en la página (https://www.banrep.gov.co/es/estadisticas/indice-precios-consumidor-ipc). | |
| Índice de precios al consumidor para el mes de febrero de 2022, IPC reportado por el Banco de la República en la página (https://www.banrep.gov.co/es/estadisticas/indice-precios-consumidor-ipc). | |
| Tasa representativa del mercado para el mes m. página (https://www.banrep.gov.co/es/estadisticas/trm ) | |
| Tasa representativa del mercado para el mes de febrero de 2022. (https://www.banrep.gov.co/es/estadisticas/trm ) | |
| Suma de Costos unitarios de montaje de cada material i requeridos para construir el tanque en USD$/unidad para febrero de 2022. | |
| Factor de ajuste de salarios a pagar por mano de obra. | |
| Factor de ajuste de acuerdo a las condiciones específicas para la construcción y montaje de la región r. | |
| Utilidad del proyecto en porcentaje. | |
| Impuesto al valor agregado en porcentaje. | |
| Costo de mano de obra en la obra civil para el tanque en USD$ para febrero de 2022. | |
| Costo de mano de obra en los equipos de construcción para el tanque en USD$ para febrero de 2022. | |
| Costo total de mano de obra para la construcción del tanque en USD$ para febrero de 2022. | |
| Costo total de equipos de construcción para el tanque en USD$ para febrero de 2022. | |
| Factor de ajuste del costo cuando el suelo requiere pilotes para soportar el peso de la construcción. | |
| Material i para la construcción de tanque de GLP. |
4.1.5 CINT - COSTO DE INTERVENTORÍA.
El costo de interventoría típicamente se calcula como el 7% del costo de construcción y montaje sumado a el costo de comisionado y entrega. A este resultado debe agregarse el Impuesto al Valor Agregado IVA.
![]()
Donde:
| Mes m de estimación de costos. | |
| Costo de interventoría en USD$ del mes m para el tanque de GLP. | |
| Costo de construcción y montaje en USD$ del mes m para el tanque de GLP. | |
| Costo de comisionado y entrega en USD$ del mes m para el tanque de GLP. | |
| Impuesto al valor agregado en %. |
4.1.6 CGP - COSTO DE GERENCIA DE PROYECTO.
El costo de gerencia del proyecto típicamente se calcula como el 20% del costo de construcción y montaje sumado al costo de comisionado y entrega. A este resultado debe agregarse el Impuesto al Valor Agregado IVA.
![]()
Donde:
| Mes m de estimación de costos. | |
| Costo de gerencia de proyecto en USD$ del mes m para el tanque de GLP. | |
| Costo de construcción y montaje en USD$ del mes m para el tanque de GLP. | |
| Costo de comisionado y entrega en USD$ del mes m para el tanque de GLP. | |
| Impuesto al valor agregado en % |
4.1.7 CCE - COSTO DE COMISIONADO Y ENTREGA.
El costo de gerencia del proyecto típicamente se calcula como el 5% del costo de ingeniería, el costo de construcción y montaje sumado a el costo de comisionado y entrega. A este resultado debe agregarse el Impuesto al Valor Agregado IVA.
![]()
Donde:
| Mes m de estimación de costos. | |
| Costo de comisionado y entrega en USD$ del mes m para el tanque de GLP. | |
| Costo de ingeniería del proyecto en USD$ del mes m para el tanque de GLP. | |
| Costo de construcción y montaje en USD$ del mes m para el tanque de GLP. | |
| Costo de materiales y equipos en USD$ del mes m para el tanque de GLP. | |
| Impuesto al valor agregado en %. |
4.2 CM - COSTO DE MANTENIMIENTO.
el costo de mantenimiento anual de un tanque de almacenamiento para GLP se estima en un 10% del valor de construcción del tanque.
![]()
Donde:
| Mes m de estimación de costos. | |
| Costo anual del mantenimiento del tanque para el almacenamiento de GLP en USD$ del mes m. | |
| Costo del tanque para el mes m de estimación en USD$ del mes m. |
Se incluye en Excel adjunto a la resolución el modelo de valoración de tanques a presión.
ANEXO 2. INFORMACIÓN DE INVERSIÓN.
Este anexo incluye los s para que los agentes declaren la información para valorar poliducto, estaciones de bombeo, inventario de activos.
5. Variables del formato A02F1 - Poliductos.
5.1 Descripción de tipos de suelo
5.1.1 Suelo arcilloso
Se refiere al tipo de suelo cohesivo con una resistencia compresiva igual o superior a 1,5 toneladas por pie cuadrado (144kPa).
5.1.2 Suelo arenoso
Tipo de suelo que además de ser cohesivo, con una resistencia compresiva inferior a 1,5 toneladas por pie cuadrado (144kPa), en la construcción de los poliducto se presentan paredes de las zanjas más inestables, lo cual generalmente conduce a una secuenciación en la construcción un poco diferente a través de las áreas impactadas. Normalmente en áreas arenosas el tubo es colocado en primer lugar, y la excavación y hundimiento se realiza después en estrecha proximidad a fin de no tener hundimientos en la excavación de la zanja.
5.1.3 Suelo rocoso
Tipo de suelo que presenta roca en camas sólidas o masas, en su formación original, encontrada en la excavación de zanjas para la tubería. Requiere extracción por medio de la utilización de cubos para roca, o perforación y voladura para su extracción. Una definición común es “aquello que no puede ser extraído con un D-8 equipado con un extractor, o excavado con una excavadora 330 equipada con un cubo para roca”. Normalmente en la excavación en roca la profundidad de la zanja es menor y a menudo proporciona un mínimo de 60 cm para cubrir la superficie del tubo.
5.2 Descripción de tipos de vegetación
5.2.1 Tundra
Es un bioma que se caracteriza por su subsuelo helado, falta de vegetación arbórea, o en todo caso de árboles naturales, lo que es debido a la poca heliofanía y al estrés del frío glacial. Los suelos que están cubiertos de musgos y líquenes son pantanosos con turberas en muchos sitios.
5.2.2 Bosque Templado
Es un bioma de clima templado y lluvioso, con estación seca. Se trata de bosques dominados por angiospermas (bosques de hojas anchas), e incluye también los bosques mixtos, donde se mezclan angiospermas y gimnospermas, se caracteriza principalmente por poseer una vegetación con hojas caducas.
5.2.3 Selva Subtropical
El concepto de selva, jungla o bosque lluvioso, se aplica a los bosques tropicales y subtropicales, es decir, a las florestas densas con gran diversidad de especies arbóreas y, por lo general, dosel cerrado, denso sotobosque y diversos "pisos", "estratos" o "niveles" de vegetación: desde árboles que pueden superar los 20 metros en los pisos altos hasta los musgos y mohos al ras del suelo, al cual difícilmente llega la luz solar (por este motivo también abundan los hongos).
5.2.4 Desierto Árido
En geografía se define como desierto a la zona terrestre en la cual las precipitaciones casi nunca superan los 250 milímetros al año y el terreno es árido. El desierto puede ser considerado un ecosistema o un bioma.
5.2.5 Estepa Seca
La Estepa Seca es una expresión comúnmente utilizada para designar el clima de una región del planeta donde las lluvias anuales están entre los 200 y los 400 mm. Una cantidad de lluvia inferior a los 200 mm anuales caracteriza a los desiertos. La vegetación está normalmente compuesta de arbustos que pierden las hojas en los meses más secos, así como de pastajes que también se secan en los períodos de estiaje.
5.2.6 Sabana
La sabana es una llanura ubicada en climas tropicales en la cual la vegetación se encuentra formando un estrato herbáceo continuo por gramíneas perennes, salpicada por algún árbol, arbusto o matorral individual o en pequeños grupos de talla inferior a 10 m. Normalmente, las sabanas son zonas de transición entre bosques y estepas. Se extiende en zonas de clima cálido a templado. Combina características del bosque y del pastizal. En los suelos cubiertos por pastos altos crecen árboles en grupos aislados.
5.2.7 Selva Tropical
El bosque tropical lluvioso es propio de las zonas tropicales en las que no existe una verdadera estación seca, hay uno o más meses relativamente secos (con menos de 100 mm de lluvia) y solamente algunas áreas son húmedas durante todo el año.
5.2.8 Tundra alpina
La tundra alpina está situada en las montañas a través del mundo en alta altitud donde los árboles no pueden crecer. La estación de crecimiento y desarrollo dura aproximadamente 180 días. La temperatura de la noche es generalmente por debajo de bajo 0 oC. Se diferencia de la tundra andina, por sus suelos bien drenados. Las comunidades de plantas son similares a las árticas.
5.3 Técnicas de manejo de nivel freático
5.3.1 Métodos de Sumideros y Zanjas
Un procedimiento de desagüe elemental consiste en la instalación de las cunetas, desagües franceses, y sumideros dentro de una excavación, de las que el agua que entra en la excavación puede ser bombeada. A menudo, una bomba de zanja de 6" o una serie de bombas de zanja se utilizan para bombear agua temporalmente de una excavación o zanja de la tubería para permitir el empate que se realiza por debajo del suelo.
Este método de extracción de agua generalmente no debe ser considerado cuando el nivel del agua subterránea debe ser reducido a más de unos pocos pies, ya que la filtración en la excavación podría perjudicar la estabilidad de las pendientes de excavación y tener un efecto perjudicial sobre la integridad la cimentación de los suelos. Mantas de filtro o drenajes pueden ser incluidos en los sistemas de zanja y sumideros para superar desmoronamiento de menor importancia y facilitar la recolección de la filtración. Las desventajas de un sistema colector de desagüe son la lentitud en el drenaje de las pendientes, las condiciones potenciales de humedad durante la excavación y relleno, que pueden obstaculizar la construcción y afectan negativamente el suelo subrasante; el espacio requerido en el fondo de la excavación de los desagües, zanjas, colectores y bombas; y la frecuente falta de trabajadores expertos en la construcción u operación adecuada de sumideros.
5.3.2 Métodos de Sistemas de Aspiración
Los sistemas de aspiración Wellpoint son un método comúnmente utilizado de desagüe, ya que son aplicables a una amplia gama de excavaciones y a condiciones de aguas subterráneas.
Un sistema de aspiración convencional consta de una o varias series de puntas filtrantes (wellpoints) con tuberías verticales de 3,8 cm o 5 cm de diámetro, instaladas en una línea o anillo en espaciamientos entre aproximadamente 0,9 y 3 metros, con las verticales conectadas a un colector común y bombeado con una o más bombas de aspiración wellpoint. Los wellpoints son pequeñas cortinas hechas de latón o de malla de acero inoxidable, latón ranurado o tubería de plástico, o alambre envuelto en barras de forma trapezoidal para formar una cortina.
Por lo general oscilan en tamaño de 5 a 10 cm de diámetro y 0,6 a 1,5 metros de longitud y están construidas, ya sea con extremos cerrados o puntas de auto-inyección. Pueden o no estar rodeadas de un filtro según el tipo de suelo drenado. Las cortinas de aspiración y tuberías verticales pueden ser tan grandes como 15,25 cm y tan largas como 7,6 metros en ciertas situaciones.
Una bomba de aspiración utiliza un vacío combinado y una bomba centrífuga conectada a la cabecera para producir un vacío en el sistema y para bombear el agua que drena a los wellpoints. Una o más bombas de vacío complementarias se pueden añadir a las bombas principales donde una capacidad adicional de tratamiento de aire se requiere o es deseable. Generalmente, una etapa de aspiración (wellpoints conectados a una cabecera en una elevación común) es capaz de bajar el nivel freático alrededor de 4,5 metros; bajar el agua subterránea más de 4,5 metros por lo general requiere una instalación de wellpoints en múltiples etapas.
Un sistema de aspiración es generalmente el método más práctico para el desagüe donde el sitio es accesible y donde la excavación y las capas acuíferas a ser drenadas no son demasiado profundas. Para las excavaciones de gran tamaño o profundidad, donde la profundidad de la excavación es más de 9 o 12 metros, o donde la presión artesiana en un acuífero profundo debe ser reducida, puede ser más práctico utilizar wellpoints del tipo eductor o pozos profundos (discutido más adelante) con turbina o bombas sumergibles, utilizando puntas filtrantes (wellpoints) como un método complementario de desagüe, si es necesario. Los wellpoints son más adecuados que los pozos profundos, donde la inmersión disponible para las cortinas es pequeña y se requiere espacio cerrado para interceptar las filtraciones.
5.3.3 Métodos de Ataguías
Un método común de la excavación por debajo del nivel freático en áreas confinadas es impulsar la madera o tablestacas de acero por debajo de la elevación subrasante, instalar refuerzos, excavar la tierra, y bombear las posibles filtraciones que entran en el área de las ataguías.
El desagüe de una excavación entoldada con sumideros y zanjas está sujeta a las mismas limitaciones y graves desventajas que las que se dan en excavaciones abiertas. Sin embargo, el peligro de empuje hidráulico en el fondo de una excavación en la arena podría ser reducido si la lámina puede ser conducida en un estrato impermeable subyacente, reduciendo así la filtración al fondo de la excavación.
Las excavaciones por debajo de la capa freática a veces pueden ser realizadas con éxito utilizando laminado y bombeo de sumidero. Sin embargo, el uso de lámina y arriostramiento deben ser diseñados para presiones hidrostáticas y soporte reducido de pie por las fuerzas de filtración hacia arriba. Cubrir el fondo de la excavación con una manta filtro de arena y gravilla invertida facilitará la construcción y el bombeo de las aguas de filtración.
5.4 Cruces Subfluviales
En ocasiones, en el trazado de un ducto es necesario atravesar diversas fuentes de agua como ríos y quebradas, o tierras pantanosas, que implican la utilización de técnicas de construcción especiales para realizar cruces subfluviales, los cuales abarcan cruces húmedos con zanjas, perforaciones horizontales dirigidas y cruces aéreos.
5.4.1 Cruce húmedo con zanja
Esta técnica se usa en humedales y pantanos, en los cuales las zanjas deben ser excavadas usando excavadoras de orugas que trabajan fuera de la orilla del pantano, utilizando caminos o revestimientos de madera o dispositivos similares. Los despojos excavados se almacenan en el lado no funcional del derecho de vía.
Los humedales inundados normalmente necesitan ser excavados mediante la utilización de excavadoras de oruga o dragas trabajando sobre barcazas o dispositivos similares, o utilizando excavadoras con equipo de pantano. Los despojos se apilan generalmente adyacentes a la zanja de la tubería y son mediante los mismos equipos depositados como material de relleno posteriormente.
5.4.2 Perforación Horizontal Dirigida
La instalación de una tubería a través de la perforación horizontal direccionada (HDD) es un proceso de dos etapas. La primera etapa consiste en perforar un orificio piloto de diámetro pequeño junto con una ruta de dirección diseñada. La segunda etapa implica la ampliación de este agujero piloto para obtener un diámetro que se acomode al de la tubería para luego meterla en un agujero agrandado. Los siguientes diagramas explican el proceso en general:
Perforación del paso del piloto a lo largo de la trayectoria planeada

Ampliación del paso del piloto a un diámetro mayor al de la tubería

Instalación de la tubería

Cruces aéreos
Está técnica corresponde a la construcción de puentes o utilización de soportes sobre los cuáles se atraviesa la fuente hídrica.
Formato 1. Información para valorar poliductos
El formato incluye los campos declarar la información para valorar poliductos y propano ductos, este formato estará en el Excel adjunto a la resolución
Formato 2. Información para valorar estaciones de bombeo
El formato incluye los campos declarar la información para valorar estaciones de bombeo, este formato estará en el Excel adjunto a la resolución
Formato 3. Información para valorar tanque de almacenamiento
El formato incluye los campos declarar la información para valorar tanques de almacenamiento, este formato estará en el Excel adjunto a la resolución
Formato 4. Información para caracterizar proyectos IAC e PNI
El formato incluye los campos declarar la proyección de proyectos IAC y PNI que se realizarán en el período tarifario, este formato estará en el Excel adjunto a la resolución
Formato 5. Información para valorar otros proyectos
El formato incluye los campos declarar la información para valorar proyectos diferentes a poliductos, propanoductos, estaciones de bombeo y tanques, este formato estará en el Excel adjunto a la resolución
Formato 6. Información para recopilar información de la base de activos
El formato incluye los campos declarar la información para incluir la base de datos de activos existentes operativos a la fecha de solicitud de cargos, el formato estará en el Excel adjunto a la resolución.
ANEXO 3. COSTOS FINALES DE POLIDUCTOS Y ESTACIONES DE BOMBEO Y TANQUES.
Los formatos incluidos en este anexo están concebidos para incluir los valores finales una vez construidos los proyectos de poliductos, propanoductos, estaciones de bombeo y tanques planteados por el agente transportador y aprobados por la CREG.
Formato 1. Información con costos reales de poliductos
El formato incluye los campos declarar la información de los costos finales de poliductos y propanoductos, este formato estará en el Excel adjunto a la resolución
Formato 2. Información con costos reales de estaciones de bombeo
El formato incluye los campos declarar la información de los costos finales de estaciones de bombeo, este formato estará en el Excel adjunto a la resolución
Formato 3. Información con costos reales de tanques de almacenamiento
El formato incluye los campos declarar la información de los costos finales de tanques de almacenamiento, este formato estará en el Excel adjunto a la resolución.
ANEXO 4. GASTOS DE ADMINISTRACIÓN, OPERACIÓN Y MANTENIMIENTO,
PARA INVERSIÓN EXISTENTE.
La información utilizada para obtener el valor de AOM gastado, será tomada por el transportador de las erogaciones a considerar para establecer el AOM gastado, asimismo se incluye el reporte de predios y servidumbres.
Formato 1. Gastos de administración operación y mantenimiento, AOM, por Subsistema
El formato incluye los campos declarar la información de las erogaciones a considerar para establecer el AOM gastado para cada Subsistema, este formato estará en el Excel adjunto a la resolución
Formato 2. Reporte de Predios
El formato incluye los campos declarar la información de los predios para cada Subsistema, este formato estará en el Excel adjunto a la resolución
Formato 3. Reporte de servidumbres
El formato incluye los campos declarar la información de las servidumbres para cada Subsistema, este formato estará en el Excel adjunto a la resolución
Formato 4. información para reporte de corridas de raspadores
El formato incluye los campos declarar la información de reporte proyección corrida de raspadores por para cada Subsistema, este formato estará en el Excel adjunto a la resolución
ANEXO 5. METODOLOGÍA PARA LA ESTIMACIÓN DE LA CAPACIDAD MÁXIMA DE MEDIANO PLAZO.
Para el cálculo de las capacidades máximas de mediano plazo de un ducto dentro de un Subsistema se aplicarán las siguientes reglas:
a. Parámetros técnicos del fluido y del ducto. Los parámetros del fluido y del ducto utilizados para el cálculo de las capacidades máximas de mediano plazo deben corresponder a los parámetros validados mediante simulaciones operacionales del transportador, teniendo en cuenta información histórica.
b. Presiones en puntos de entrada al sistema de transporte. Se utilizará como presión en puntos de entrada de refinerías y de puntos de importación la máxima presión de operación permisible MPOP.
c. Máxima presión de operación permisible. Las presiones que se simulen no deberán exceder las máximas presiones de operación permisibles.
d. Procedimiento de cálculo de las capacidades máximas de mediano plazo en un ducto dentro de un Subsistema. Para el cálculo de las capacidades máximas de mediano plazo, se simulará la red integrada por la totalidad de los poliductos del sistema de transporte, empleando modelos de simulación en estado transitorio y siguiendo el procedimiento que se describe a continuación:
i. Para cada punto de salida se utilizará el perfil horario del volumen correspondiente al día en que se presente la demanda esperada de capacidad para cada año del horizonte de proyección.
ii. Para encontrar el volumen máximo transportable en cada año del horizonte de proyección, se adelantará un proceso iterativo mediante incrementos a prorrata de todos los volúmenes de los puntos de salida, hasta encontrar un perfil de volumen diario por encima del cual, en algún punto de salida la presión sea inferior a la mínima pactada contractualmente, o no se cumpla con los volúmenes máximos inyectables en los puntos de entrada. En los puntos de salida se debe conservar el perfil horario de la demanda. Este volumen máximo se debe calcular considerando los diferentes combustibles transportados y el valor final deberá considerar el valor máximo transportable.
iii. Para aquellos Subsistemas que se deriven de un sistema de transporte de otro transportador, se utilizarán las presiones mínimas obtenidas por el transportador que entrega en el punto de transferencia correspondiente.
iv. Para aquellos ductos que cuenten con infraestructura de estaciones de bombeo, se considerarán las presiones de descarga de cada estación de bombeo.
e. Envío de Información. El transportador deberá enviar a la CREG las memorias del cálculo de las capacidades máximas de mediano plazo para cada poliducto o grupo de poliductos. Estas memorias deben incluir todos los parámetros técnicos utilizados en el cálculo, así como las capacidades, presiones y extracciones en cada Subsistema y en cada punto de salida a lo largo del poliducto. En el caso de que se disponga del archivo de simulación en el software Pipeline Studio se debe adjuntar a la información.
Los cálculos anteriores deberán realizarse para cada dirección del flujo de refinados o GLP, en el caso de que exista la posibilidad de contraflujo.
Como parte de las memorias de cálculo el transportador deberá reportar los formatos que recopilan la información de la capacidad efectiva de cada Subsistema que se citan a continuación.
Formato 1. Información utilizada para el cálculo de la CMMP
El formato incluye los campos declarar la información de cálculo de la CMMP para cada Subsistema, este formato estará en el Excel adjunto a la resolución, se deben adjuntar los archivos de la memoria técnica en pdf y TLNT de Pipeline Studio y relacionarlos en el formato.
Formato 2. Especificaciones de los productos transportados
El formato incluye los campos declarar la información de los productos transportados para cada Subsistema, este formato estará en el Excel adjunto a la resolución
Formato 3. Perfil de demanda horario
El formato incluye los campos declarar la información de la demanda horaria para cada Subsistema, este formato estará en el Excel adjunto a la resolución.
ANEXO 6. INFORMACIÓN ASOCIADA A LA DEMANDA, CAPACIDAD, INVENTARIO OPERATIVO Y TRANSMIX.
Formato 1. Información histórica de demanda por sistema
El formato incluye los campos declarar la demanda histórica por Subsistema para cada Subsistema, este formato estará en el Excel adjunto a la resolución
Formato 2. Información histórica de demanda por punto de entrega
El formato incluye los campos declarar la demanda histórica por punto de entrega para cada Subsistema, este formato estará en el Excel adjunto a la resolución
Formato 3. Información de demanda proyectada de los proyectos IAC
El formato incluye los campos declarar la demanda proyectada para proyectos IAC para cada Subsistema, este formato estará en el Excel adjunto a la resolución.
Formato 4. Información capacidad
El formato incluye los campos declarar la información de capacidad para cada ducto dentro del Subsistema, este formato estará en el Excel adjunto a la resolución.
Formato 5. Información lleno de línea poliductos
El formato incluye los campos declarar la información de lleno de línea para cada ducto dentro del Subsistema, este formato estará en el Excel adjunto a la resolución.
Formato 6. Información existencias tanques
El formato incluye los campos declarar la información de existencias para cada tanque dentro del Subsistema, este formato estará en el Excel adjunto a la resolución.
Formato 7. información de disposición Transmix.
El formato incluye los campos declarar la información de traslado para disponer el Transmix dentro del Subsistema, este formato estará en el Excel adjunto a la resolución.
Formato 8. información de interrupciones.
El formato incluye los campos declarar la información de interrupciones del servicio para cada Subsistema, este formato estará en el Excel adjunto a la resolución.
ANEXO 7. SISTEMA DE TRANSPORTE POR POLIDUCTO.
A continuación, se incluyen los Subsistemas de transporte por poliductos.
| Por Subsistema | Subsistema | longitud(kms) | Diámetro promedio |
| 1 | CARTAGENA - GALAPA - BARANOA | 103,7 | 12 |
| 2 | POZOS COLORADOS - AYACUCHO | 322,2 | 14 |
| 3 | AYACUCHO - GALAN | 189 | 14 |
| 4 | GALAN - LIZAMA | 40,2 | 7 |
| 5 | LIZAMA - RIO SOGAMOSO | 13 | 7 |
| 6 | RIO SOGAMOSO - BUCARAMANGA | 44,6 | 7 |
| 7 | GALAN - SEBASTOPOL | 114,35 | 12 |
| 8 | SEBASTOPOL - VASCONIA | 66 | 12 |
| 9 | VASCONIA - SALGAR | 68,76 | 12 |
| 10 | SALGAR - MANSILLA | 109,4 | 10 |
| 11 | MANSILLA - PUENTE ARANDA | 43,3 | 10 |
| 12 | PUENTE ARANDA - EL DORADO | 9,5 | 6 |
| 13 | SEBASTOPOL - SUTAMARCHAN | 174,4 | 18 |
| 14 | SUTAMARCHAN - TOCANCIPA | 100,2 | 16 |
| 15 | SUTAMARCHAN - MONTERREY | 138,463 | 12 |
| 16 | MONTERREY - APIAY | 117,237 | 16 |
| 17 | SALGAR - GUALANDAY | 169,8 | 12 |
| 18 | GUALANDAY - NEIVA | 162,5 | 7 |
| 19 | SEBASTOPOL - GIRARDOTA | 140 | 13 |
| 20 | GIRARDOTA - MEDELLIN | 23,7 | 13 |
| 21 | MEDELLIN - LA PINTADA | 93,8 | 10 |
| 22 | LA PINTADA - CARTAGO | 142,16 | 10 |
| 23 | SALGAR - MARIQUITA | 55,96 | 7 |
| 24 | MARIQUITA - MANIZALES | 71,29 | 7 |
| 25 | MANIZALES - PEREIRA | 29,05 | 7 |
| 26 | PEREIRA - CARTAGO | 55,94 | 7 |
| 27 | CARTAGO - BUGA | 102,6 | 10 |
| 28 | BUGA - MULALO | 50,8 | 10 |
| 29 | MULALO - YUMBO | 4,3 | 10 |
| 30 | YUMBO - BUENAVENTURA | 102,7 | 9 |
| 31 | SALGAR - LA DORADA | 3,8 | 6 |
ANEXO 8. PERÍODO VIDA ÚTIL ACTIVOS.
A continuación, se incluyen los períodos de vida útil y remanentes en la siguiente tabla

En el caso de tipos de activos no incluidos en la tabla anterior se considerarán los mismos valores que para ductos.








