PROYECTO DE RESOLUCIÓN 701 103 DE 2025
(septiembre 13)
<Publicado en la página web de la CREG: 19 de septiembre de 2025>
COMISIÓN DE REGULACIÓN DE ENERGÍA Y GAS - CREG
La Comisión de Regulación de Energía y Gas, en su sesión 1402 del 13 de septiembre de 2025, aprobó someter a consulta pública el presente proyecto de resolución por el término de treinta (30) días calendario contados a partir del día siguiente a su publicación en el portal web de la CREG, en aplicación a lo dispuesto el numeral 73.17 del artículo 73 de la Ley 142 de 1994 y el Decreto 05 de 2025
Se invita a los agentes, a los usuarios, a las autoridades locales municipales y departamentales competentes, a la Superintendencia de Servicios Públicos Domiciliarios y demás interesados, para que remitan sus observaciones o sugerencias sobre la propuesta, dentro del plazo establecido.
De acuerdo con lo previsto en el literal i) del artículo 23 de la Ley 143 de 1994, se le solicita al Consejo Nacional de Operación su concepto sobre el presente proyecto dentro del plazo de consulta establecido.
Los comentarios y sugerencias deben ser electrónicas y dirigidas al Director Ejecutivo de la CREG, a la cuenta creg@creg.gov.co, con asunto: “Comentarios sistemas de almacenamiento en el SIN”, utilizando el formato anexo.
En el Documento CREG 901 225 de 2025 se exponen los análisis y la justificación de la propuesta regulatoria que se somete al proceso de consulta pública.
PROYECTO DE RESOLUCIÓN
“Por la cual se definen los mecanismos para incorporar sistemas de almacenamiento de energía eléctrica con baterías en el Sistema Interconectado Nacional”
LA COMISIÓN DE REGULACIÓN DE ENERGÍA Y GAS
En ejercicio de las atribuciones legales, en especial las conferidas por las Leyes 142 y 143 de 1994, y los decretos 1524, 2253 de 1994, 1260 de 2013 y 2236 de 2023
CONSIDERANDO QUE:
El artículo 365 de la Constitución Política establece que los servicios públicos son inherentes a la finalidad social del Estado, y es deber de este asegurar su prestación eficiente a todos los habitantes del territorio nacional.
De conformidad con el artículo 2 de la Ley 142 de 1994, la intervención del Estado en la prestación de los servicios públicos domiciliarios debe perseguir entre otros fines, la prestación eficiente, continua e ininterrumpida, la libre competencia y la no utilización abusiva de la posición dominante.
En el artículo 73 de la Ley 142 de 1994 se señala que las Comisiones de Regulación tienen la función de promover la competencia entre quienes presten servicios públicos, para que las operaciones de los monopolistas o de los competidores sean económicamente eficientes, no impliquen abuso de la posición dominante y produzcan servicios de calidad.
El numeral 22 del artículo 73 de la 142 de 1994 determinó que es competencia de las comisiones de regulación el establecer los requisitos generales a los que deben someterse las empresas de servicios públicos para utilizar las redes existentes y acceder a las redes públicas de interconexión.
En el artículo 74 de la Ley 142 de 1994, se señala que son funciones y facultades especiales de la Comisión de Regulación de Energía y Gas (CREG) entre otras, las de regular el ejercicio de las actividades de los sectores de energía y gas combustible para asegurar la disponibilidad de una oferta energética eficiente, propiciar la competencia en el sector de minas y energía y proponer la adopción de las medidas necesarias para impedir abusos de posición dominante, buscar la liberación gradual de los mercados hacia la libre competencia, y establecer criterios para la fijación de compromisos de ventas garantizadas de energía y potencia entre las empresas eléctricas y entre estas y los grandes usuarios.
El literal c) numeral 1 del artículo 74 de la Ley 142 de 1994, le asignó a la CREG la función de expedir el Reglamento de Operación para realizar el planeamiento y la coordinación de la operación del Sistema Interconectado Nacional (SIN) y para regular el funcionamiento del Mercado Mayorista de Energía (MEM).
El artículo 2 de la Ley 143 de 1994 establece que corresponde al Estado, en relación con el servicio de energía, garantizar la prestación continua e ininterrumpida del servicio.
Según el artículo 4 de la misma Ley, el Estado, en relación con el servicio de electricidad, tendrá como objetivos en el cumplimiento de sus funciones, los de abastecer la demanda de electricidad de la comunidad bajo criterios económicos y de viabilidad financiera, asegurando su cubrimiento en un marco de uso racional y eficiente de los diferentes recursos energéticos del país; asegurar una operación eficiente, segura y confiable en las actividades del sector; y mantener los niveles de calidad y seguridad establecidos.
El artículo 6 de la Ley 143 de 1994 señala que las actividades relacionadas con el servicio de electricidad se regirían, entre otros principios, por los de adaptabilidad, calidad y eficiencia. El de adaptabilidad conduce a la incorporación de los avances de la ciencia y de la tecnología, con el fin de que aporten mayor calidad y eficiencia en la prestación del servicio al menor costo económico. En virtud del principio de calidad, el servicio prestado debe cumplir los requisitos técnicos que se establezcan para él. El principio de eficiencia obliga a la correcta asignación y utilización de los recursos de tal forma que se garantice la prestación del servicio al menor costo económico.
El artículo 16 de la Ley 143 de 1994 le asigna a la Unidad de Planeación Minero-Energética (UPME) la función de elaborar y actualizar el Plan Energético Nacional y el Plan de Expansión del sector eléctrico en concordancia con el Proyecto del Plan Nacional de Desarrollo.
El artículo 18 de la Ley 143 de 1994 ordena que la CREG debe desarrollar el marco regulatorio que incentive la inversión en expansión de la capacidad de generación y transmisión del SIN, por parte de inversionistas estratégicos, y establecer esquemas que promuevan la entrada de nueva capacidad de generación y transmisión.
El artículo 20 de la Ley 143 de 1994 definió como objetivo fundamental de la regulación en el sector eléctrico, asegurar una adecuada prestación del servicio mediante el aprovechamiento eficiente de los diferentes recursos energéticos, en beneficio del usuario en términos de calidad, oportunidad y costo del servicio. Para esto se debe promover la competencia y, además, crear y preservar las condiciones que la hagan posible.
El literal a) del artículo 23 de la Ley 143 de 1994, atribuyó a la CREG la función de crear las condiciones para asegurar la disponibilidad de una oferta energética eficiente capaz de abastecer la demanda bajo criterios sociales, económicos, ambientales y de viabilidad financiera, promover y preservar la competencia.
El literal c) del artículo 23 de la Ley 143 de 1994, asignó a la CREG la función de establecer la metodología de cálculo y aprobar las tarifas por el acceso y uso de las redes eléctricas.
El artículo 41 de la Ley 143 de 1994 estableció que la CREG sería la responsable de definir la metodología del cálculo y aprobar las tarifas por el acceso y uso de las redes del sistema interconectado nacional y el procedimiento para hacer efectivo su pago.
El artículo 85 de la Ley 143 de 1994, establece que "las decisiones de inversión en generación, interconexión, transmisión y distribución de energía eléctrica constituyen responsabilidad de aquellos que las acometan, quienes asumen en su integridad los riesgos inherentes a la ejecución y explotación de los proyectos”.
Mediante Resolución CREG 024 de 1995 se reglamentaron los aspectos comerciales del mercado mayorista de energía en el SIN, que hacen parte del Reglamento de Operación.
Mediante Resolución CREG 025 de 1995 se estableció el Código de Redes, como parte del Reglamento de Operación del SIN que contiene los reglamentos de Código de Planeamiento, Código de Conexión, Código de Medida y Código de Operación. Actualmente el Código de Medida está regulado en la Resolución CREG 038 de 2014.
El servicio de AGC se encuentra regulado y definido en las Resoluciones CREG 025 de 1995, 064 de 2000 y 27 de 2016, donde se establecen los lineamientos técnicos, operativos, comerciales y de funcionamiento.
Mediante la Resolución CREG 011 de 2009 se definieron la metodología y las fórmulas tarifarias para la remuneración de la actividad de transmisión de energía eléctrica en el STN.
En la Resolución CREG 011 de 2009 se encuentra la definición de Sistema de Transmisión Nacional (STN) y Transmisor Nacional (TN).
Mediante la Resolución CREG 015 de 2018 se expidió la metodología para la remuneración de la actividad de distribución de energía eléctrica en el SIN, la cual fue aclarada, modificada y complementada por las Resoluciones CREG 085 de 2018, 036 y 199 de 2019, 167 y 195 de 2020, 222 de 2021, 101 009, 101 012, 101-022, 101-027 y 101-032 de 2022, 101 019 de 2023 y 101 050 de 2024.
En la Resolución CREG 015 de 2018 se encuentran las definiciones de Operador de Red (OR), Sistema de Transmisión Regional (STR) y Sistema de Distribución Local (SDL).
En el artículo 3 de la Resolución CREG 024 de 2013, en concordancia con lo establecido en las resoluciones CREG 070 de 1998 y CREG 015 de 2018, se establece que el OR es el responsable de elaborar los planes de expansión del sistema que opera.
El Plan de Expansión de Referencia Generación – Transmisión 2015-2029 analizó, técnica y económicamente, la necesidad de instalación de sistemas de almacenamiento con el fin de mitigar los problemas existentes por la falta o insuficiencia de redes de transporte de energía eléctrica y recomendó definir las disposiciones regulatorias para la utilización de este tipo de elementos en el sistema, sobre temas relacionados con remuneración, operatividad y responsabilidades.
La Resolución CREG 098 de 2019 definió los mecanismos para incorporar los Sistemas de Almacenamiento de Energía Eléctrica con Baterías (SAEB) con el propósito de mitigar inconvenientes presentados por la falta o insuficiencia de redes de transporte de energía en el SIN.
En el artículo 37 de la Resolución CREG 098 de 2019 se limitó la vigencia de aplicación de las disposiciones contenidas en esa resolución, hasta el 31 de diciembre de 2022, considerando que la insuficiencia de redes y subestaciones en el SIN debería ser solucionada a través de la ejecución de los proyectos requeridos en el sistema.
La Ley 2099 de 2021 modificó el objeto de la Ley 1715 de 2014, con la finalidad promover el desarrollo y la utilización sistemas de almacenamiento de FNCE en la prestación de servidos públicos domiciliarios, y en tal caso, reconociendo el almacenamiento de FNCE como una actividad de utilidad pública e interés social.
La Resolución CREG 101 023 de 2022 definió las exigencias de calidad del servicio para los SAEB aprobados en la Resolución CREG 098 de 2019.
La Resolución 40283 de 2022 del Ministerio de Minas y Energía, tiene por objeto establecer la política pública para incentivar y aumentar la incorporación de los Recursos Energéticos Distribuidos (DERs), incluyendo los Sistemas de Almacenamiento de Energía Eléctrica como una de sus alternativas, y además, faculta a la CREG para establecer las reglas que regirán el arbitraje de energía por parte de los SAE, entre otros aspectos.
Mediante la Circular CREG 122 de 2022, la CREG publicó los informes finales del estudio contratado sobre servicios complementarios en el SIN. Este estudio hizo la revisión, análisis y evaluación de los criterios técnicos y requisitos operativos para la prestación de los servicios complementarios que son necesarios en el SIN. Entre los posibles dispositivos para prestar servicios complementarios se identificaron los SAEB, identificando que es posible que estos aporten a servicios de tensión y frecuencia, como por ejemplo, inercia, Regulación Primaria de Frecuencia y Regulación Secundaria de Frecuencia (AGC), siendo este último un servicio que conforme a la regulación actual es remunerado y ayuda a acompañar las variaciones de carga a través de la generación de energía, controlar la frecuencia dentro de un rango de operación y los intercambios programados.
El artículo 4 de la Resolución 40042 de 2024 del Ministerio de Minas y Energía, modificó la Resolución 40156 del 2022, adicionándola con la finalidad de incorporar el almacenamiento de energía eléctrica o adquisición de sistemas de almacenamiento en las medidas y acciones del PAI-PROURE 2022-2030. Para el efecto, se identificaron funciones como: reducir la necesidad de generación térmica fuera de mérito; regulación primaria y secundaria de frecuencia; reserva rodante, soporte de voltaje y energía reactiva; reducción de los picos de demanda; arbitraje; gestión de carga; almacenar el exceso de generación; y, energía de respaldo, aplazamiento de transmisión y distribución y generador reafirmante
El artículo 5 de la Resolución 40042 de 2024 del Ministerio de Minas y Energía estableció que la CREG debía evaluar “la posibilidad de reducir las compensaciones por incumplimiento de metas del esquema de calidad para los proyectos de almacenamiento de energía eléctrica con baterías, considerando los efectos de los ciclos de carga y descarga, parámetros técnicos de los elementos de almacenamiento, compensaciones por indisponibilidades operativas, y demás condiciones técnicas asociadas a la operación de este tipo de tecnologías”.
La UPME, en el documento titulado “Plan maestro de modernización y expansión de la infraestructura de transmisión, Tomo I”, publicado en diciembre de 2024, analizó la instalación de SAEB en el SIN e identificó algunos proyectos que atenderían situaciones críticas específicas dentro del sistema.
La Resolución UPME No. 135 de 2025 “Por la cual se establecen los requisitos, el procedimiento y las tarifas a cobrar para evaluar las solicitudes y emitir los certificados que permitan acceder a los incentivos tributarios de la Ley 1715 de 2014” incluye el uso o implementación de SAEB de manera complementaria a un proyecto de generación a partir FNCE, como susceptibles de acceder a dichos incentivos.
Dado los adelantos tecnológicos evidenciados en los SAEB, los potenciales beneficios de su integración en el SIN participando como activos de red en el STN, STR y SDL, aumentando la flexibilidad del sistema, como parte del sistema de generación con fuentes de energías renovables no convencionales o de manera independiente ofreciendo servicios comercializables en el MEM, la Comisión considera necesario definir las reglas aplicables a la integración en el SIN de sistemas de almacenamiento de energía eléctrica con baterías.
Dicha integración tiene potenciales beneficios para la operación eficiente del sistema que se traduce en una posible mayor competencia en el mercado lo que se traduce en un impacto positivo en el mediano y largo plazo en las tarifas de los usuarios del servicio de energía.
En consecuencia,
RESUELVE:
ARTÍCULO 1. OBJETO. Definir las reglas aplicables para la instalación, operación y los aspectos comerciales de los Sistemas de Almacenamiento de Energía Eléctrica con Baterías (SAEB) en el Sistema Interconectado Nacional (SIN).
ARTÍCULO 2. ÁMBITO DE APLICACIÓN. Esta resolución aplica a los agentes interesados en implementar un SAEB que se conecte al SIN, así como a los agentes y entidades del sector que interactúen con estos sistemas.
ARTÍCULO 3. DEFINICIONES. Para la aplicación de lo dispuesto en la presente resolución se deberán tener en cuenta las siguientes definiciones, además de las establecidas en la regulación vigente.
Eficiencia mínima de un SAEB: se refiere a la eficiencia de ciclo completo de un SAEB, considerando la cantidad de energía que puede devolver al sistema eléctrico comparada con la cantidad de energía que toma de este; ambas energías medidas en el punto de conexión del SAEB al SIN.
Plan de expansión del SIN: es el Plan de Expansión de Referencia Generación - Transmisión que elabora la UPME donde se identifican los proyectos requeridos en el SIN para la atención de la demanda y confiablidad del sistema, en cumplimiento de lo establecido en la Ley 143 de 1994 y los criterios señalados en la Resolución MME 181313 de 2002.
Proceso de Selección. Proceso mediante el cual se hace una invitación abierta del orden nacional o internacional para que, en condiciones de libre concurrencia y con base en lo establecido en la regulación y en los documentos de selección, personas jurídicas presenten ofertas para la ejecución y operación del proyecto requerido y se seleccione al adjudicatario encargado de su construcción. Con esta definición también se hace referencia a las convocatorias públicas o mecanismos de libre concurrencia mencionados en el Decreto número 388 de 2007 y sus modificaciones, las Resoluciones números 181313 de 2002 y 180924 de 2003 del MME, y la Resolución CREG 015 de 2018.
Proponente. Persona jurídica, una unión de ellas o un consorcio que presenta una oferta en un Proceso de Selección.
Recurso de generación hibrido: Se refiere a una planta y/o unidad de generación que en sus instalaciones contiene un SAEB y su conjunto (planta y/o unidad de generación - SAEB) tiene asociado una única frontera de generación.
Sistema de almacenamiento de energía eléctrica con baterías, SAEB: es la instalación de grupos de baterías, con sus correspondientes equipos de conexión, corte, control y protección, que se utiliza para el almacenamiento temporal de energía eléctrica y su posterior entrega al sistema. También hacen parte la interfaz electrónica y el (los) sistema(s) de medición requerido(s).
SAEB independiente: SAEB instalado en el SIN que no comparte activos de conexión con alguna planta y/o unidad de generación y tiene frontera de generación exclusiva asociada al SAEB.
Servicio de laminado de picos, PKSG: Es un servicio prestado por agentes generadores con SAEB independientes que consiste en cargar los sistemas de almacenamiento en periodos que el agente seleccione durante el día y sean descargados en periodos de punta que el mismo agente declare.
Situación de control: se entiende como situación de control la posibilidad de influenciar directa o indirectamente la política empresarial; la iniciación, modificación o terminación de la actividad de la empresa; o la disposición de los bienes o derechos esenciales para el desarrollo de la misma. Esto incluye las relaciones entre matrices y subordinadas (tanto filiales como subsidiarias) en los términos señalados en los artículos 260 y 261 del Código de Comercio, así como entre empresas que conformen grupo empresarial en los términos señalados en el artículo 28 de la Ley 222 de 1995.
Transportador: persona jurídica prestadora de las actividades de transmisión o distribución de energía eléctrica.
SAEB COMO ACTIVOS DE RED.
MARCO GENERAL.
ARTÍCULO 4. PROPÓSITOS DEL SAEB. Para que los SAEB sean clasificados como activos de red, su necesidad debe haber sido identificada para cumplir en el SIN uno o varios de los siguientes propósitos:
a) Postergar o evitar inversiones en infraestructura.
b) Mejorar la calidad del servicio.
c) Controlar voltaje.
d) Soportar contingencias.
e) Gestionar congestiones en los elementos del SIN.
f) Sostener frecuencia en islas o zonas aisladas ante eventos.
ARTÍCULO 5. IDENTIFICACIÓN DEL SAEB. Para determinar la necesidad de instalar un SAEB como activo de red en el SIN, se deberá cumplir lo siguiente:
a) En el STN. Los SAEB como activos de red del STN deberán ser identificados por la UPME e incluidos en el plan de expansión del sector eléctrico, indicando el propósito que cumplirá el proyecto, la fecha de puesta en operación, la subestación y el nivel de tensión donde es requerida su conexión. Las características detalladas del SAEB requerido se especificará en los documentos de selección de inversionista.
b) En los STR y SDL. La necesidad de instalación de los SAEB como activos de red en los STR o SDL podrá ser identificada por el OR del respectivo mercado de comercialización y, en este caso, el proyecto debe ser incluido en el plan de expansión de su sistema identificando el propósito que cumplirá, el nivel de tensión, la subestación en que estará ubicado, la capacidad máxima de entrega, la energía a entregar, la duración mínima de la entrega en horas, la eficiencia, los estándares de operación y fecha requerida de puesta en operación. La UPME podrá solicitar información adicional, en caso de que lo considere necesario.
En el nivel de tensión 4 la necesidad de instalar un SAEB también podrá ser identificada por la UPME y, en este caso, deberá ser incluida en el plan de expansión del sector eléctrico, identificando la información antes mencionada.
PARÁGRAFO 1. En cumplimiento del artículo 3 de la Resolución CREG 024 de 2013, o la que la modifique o sustituya, cuando la necesidad de un SAEB del STR sea identificada por el OR, este le deberá informar a la UPME el detalle del proyecto, como parte del plan de expansión que debe reportarle.
PARÁGRAFO 2. Con carácter informativo, el OR deberá incluir en la información de planeamiento que debe reportar anualmente a la UPME el detalle de los SAEB que planea conectar al SDL.
ARTÍCULO 6. EFICIENCIA MÍNIMA. Para los SAEB del STN y del STR ejecutados por convocatoria pública, la UPME definirá la eficiencia mínima exigida.
La eficiencia mínima exigida para los SAEB en el STR identificados por los OR será de 85%.
En el caso del SDL, el OR debe justificar técnica y operativamente la eficiencia mínima del SAEB a instalar.
ARTÍCULO 7. EJECUCIÓN DEL SAEB. La ejecución de un SAEB como activo de red del SIN se realizará con base en las siguientes reglas:
a) En el STN. Será ejecutado por el inversionista que resulte seleccionado mediante convocatoria pública, con base en las reglas que para tal fin se establecen en el Capítulo 2 del presente Título.
b) En los STR o SDL. Cuando el SAEB sea identificado por el OR del mercado de comercialización respectivo, será ejecutado por este.
Cuando la UPME identifique la necesidad de instalar un SAEB en el STR y el OR del respectivo mercado de comercialización no manifieste interés en su ejecución, podrá adjudicar el proyecto al inversionista que resulte seleccionado mediante convocatoria pública, con base en las reglas que para tal fin se establecen en el Capítulo 2 del presente Título.
PARÁGRAFO. A los SAEB del STN y STR les serán aplicables las disposiciones establecidas en la Resolución CREG 093 de 2014, cuando se cumplan las condiciones para declararlos proyectos urgentes, según la normatividad vigente.
ARTÍCULO 8. FECHA DE PUESTA EN OPERACIÓN COMERCIAL, FPO. La fecha de puesta en operación comercial de un SAEB es la fecha en la que se ha cumplido con los requisitos para la conexión y operación, el SAEB está disponible para hacer parte de la operación del SIN y, además, es declarada como la fecha de inicio de la operación comercial por el transportador responsable de la ejecución del SAEB en cumplimiento de lo señalado en el Código de Redes.
Para los proyectos ejecutados a través de convocatorias públicas esta fecha debe coincidir inicialmente con la establecida por la UPME.
Para modificar la FPO de un SAEB identificado por el OR deberá solicitarse aprobación por parte de la UPME. Para modificar la FPO de los SAEB ejecutados a través de convocatoria pública deberá aplicarse lo establecido en el artículo 27 de la presente resolución.
ARTÍCULO 9. REMUNERACIÓN DEL SAEB. La remuneración de los SAEB como activos de red se realizará con base en las siguientes reglas:
a) En el STN. Los SAEB ejecutados en el STN serán remunerados considerando las reglas establecidas para activos construidos a través de procesos de selección, según lo dispuesto en el Capítulo 2 del presente Título.
b) En los STR y SDL. Cuando los SAEB sean ejecutados como parte del plan de expansión del OR se remunerarán como activos del STR o SDL, según corresponda, aplicando las reglas establecidas en la metodología de remuneración de distribución vigente. Para solicitar la remuneración de un SAEB en el STR se requerirá la aprobación del proyecto por parte de la UPME y para esta aprobación se considerarán los mismos criterios utilizados para los demás proyectos del nivel de tensión 4.
Cuando los SAEB del STR sean ejecutados a través de procesos de selección, serán remunerados con base en las reglas definidas para tal fin en el Capítulo 2 del presente Título.
ARTÍCULO 10. INTERVENTORÍA. Los proyectos de instalación de SAEB como activos de red deberán contar con una interventoría en los términos y condiciones establecidos en esta resolución.
No podrá existir situación de control entre el interventor seleccionado y el agente responsable del SAEB.
La firma interventora deberá ser contratada por el agente responsable del SAEB y el contrato deberá tener una vigencia, por lo menos, hasta dos meses después de la FPO real del proyecto.
El alcance de la interventoría exigida corresponde a las obligaciones asignadas en el artículo 12, su incumplimiento dará lugar a la terminación del contrato y a que la firma interventora sea excluida de la lista que elabora el CNO, cuando haya sido seleccionada con base en esta lista, en aplicación de lo dispuesto en el Capítulo 2 del presente Título.
ARTÍCULO 11. SELECCIÓN DE LA INTERVENTORÍA. Si el SAEB se va a construir por convocatoria pública, para su selección debe cumplirse lo dispuesto en el Capítulo 2 del presente Título.
En caso de que el SAEB se vaya a construir por parte de un OR, dentro de su mercado de comercialización, este podrá seleccionar el interventor y lo informará a la UPME. En este caso no se exigirá que el interventor haga parte de la lista publicada por el CNO.
ARTÍCULO 12. OBLIGACIONES DEL INTERVENTOR. El interventor seleccionado para el proyecto de instalación del SAEB deberá remitir a la SSPD, a la UPME (cuando el SAEB se conecte al STN o al STR) y al agente encargado del proyecto, como mínimo la siguiente información:
a) Informes cada 90 días calendario donde se verifique el cumplimiento del cronograma del proyecto, de los requisitos técnicos y de las normas aplicables, así como una estimación de la FPO real. Cuando falten cuatro meses o menos para alcanzar la FPO prevista, los informes deben ser entregados cada 30 días calendario.
b) Dentro de los 20 días calendario siguientes a la FPO, un informe de recibo de obra. En el caso de que proyecto haya sido ejecutado por convocatoria pública el informe deberá estar conforme con lo establecido en los documentos de selección.
c) Concepto sobre el cumplimiento de las pruebas que defina el CNO para la entrada en operación comercial de estos activos, de acuerdo con lo señalado en el artículo 58.
d) Informe de la existencia de un incumplimiento grave e insalvable, en este caso deberá adicionar un inventario de las obras ejecutadas.
e) Verificación del cumplimiento de las obligaciones relacionadas con las prórrogas de las garantías, en los términos establecidos en el anexo, cuando el proyecto se ejecute a través de procesos de selección.
f) Los demás informes que sobre temas específicos requieran el MME, la SSPD, la UPME o la CREG.
La UPME o la SSPD, cuando se considere necesario, podrán verificar que se esté dando cumplimiento al cronograma y a lo establecido en esta resolución.
ARTÍCULO 13. CALIDAD DEL SERVICIO DEL SAEB. El SAEB instalado como activo de red, sin importar el nivel de tensión en el que se conecte, deberá cumplir con las exigencias de reporte de eventos y calidad del servicio previstas para los activos de uso del SIN, considerando las siguientes reglas:
a) En el STN: Para el cálculo de la “Remuneración y Compensaciones en casos de indisponibilidad de un activo por catástrofes naturales o actos de terrorismo”, se tendrá en cuenta lo previsto en el numeral 4.8.2 del anexo general de la Resolución CREG 011 de 2009, o aquella que la modifique, adicione o sustituya.
Para el cálculo de la compensación por indisponibilidad del SAEB se tendrá en cuenta lo previsto en el capítulo 4 del anexo general de la Resolución CREG 011 de 2009, o aquella que la modifique, adicione o sustituya, y los parámetros que se establecen en el artículo 14 de la presente resolución. Para la variable IMRm,k se tomará el valor del ingreso mensual actualizado que le corresponda al SAEB, durante el mes m.
b) En los STR: El SAEB que se construya e instale como activo de red en el STR deberá cumplir con las exigencias de reporte de eventos y calidad del servicio previstas para los activos de uso de los STR.
Para el cálculo de la “Remuneración en algunos casos de indisponibilidad” se tendrá en cuenta lo previsto en el numeral 5.1.13 del anexo general de la Resolución CREG 015 de 2018, o aquella que la modifique, adicione o sustituya.
Para el cálculo de la compensación por indisponibilidad del SAEB se tendrá en cuenta lo previsto en el numeral 5.1 del anexo general de la Resolución CREG 015 de 2018, o aquella que la modifique, adicione o sustituya, y los parámetros que se establecen en el artículo 14 de la presente resolución. Cuando el SAEB del STR se construya a través de convocatoria pública para la variable VHRCm,u,j se tomará el valor del ingreso mensual actualizado que le corresponda al SAEB, durante el mes m, dividido entre 720.
c) En el SDL: Al SAEB que se construya e instale como activo de red en el SDL aplicarán las mismas exigencias de calidad definidas para los SAEB en los STR, mencionadas en el literal b) anterior, y las compensaciones resultantes se descontarán del ingreso mensual del nivel de tensión en el que se encuentre conectado.
Un SAEB como activo de red se considerará disponible cuando los activos requeridos para su plena operación tengan una disponibilidad del 100% y i) se encuentre en proceso de carga o de descarga o ii) se encuentre listo para iniciar alguno de estos dos procesos o para cumplir alguna de las funciones que tiene disponibles según los requisitos técnicos exigidos, cuando esto sea requerido por el CND o cuando se activen de forma automática. De lo contrario se considerará que está indisponible.
ARTÍCULO 14. COMPENSACIÓN POR EVENTOS PROGRAMADOS. El cálculo de las compensaciones por eventos programados del SAEB instalado como activo de red se hará de acuerdo con las normas citadas en el artículo 13 y con lo previsto en este artículo.
Para las “Máximas horas anuales de indisponibilidad” del grupo de activos del SAEB se fija el valor de cien (100) horas, y dentro de este valor anual solo se contabilizará la duración de los eventos programados.
El grupo está conformado por el SAEB junto con los activos requeridos para su conexión al barraje como punto de conexión al SIN.
Las horas de carga y descarga del SAEB son requeridas para la operación del activo, por lo que no se consideran como indisponibilidades.
Las máximas horas anuales de indisponibilidad definidas en este artículo se ajustarán con base en lo previsto en el numeral 4.4 del anexo general de la Resolución CREG 011 de 2009, o aquella que la modifique o sustituya, o del numeral 5.1.6 del anexo general de la Resolución CREG 015 de 2018, o aquella que la modifique, adicione o sustituya, según corresponda.
Para determinar las horas de indisponibilidad se tendrán en cuenta las exclusiones previstas en las metodologías de calidad del servicio del STN y del STR, según corresponda.
En lo relacionado con los mantenimientos mayores, aplicará lo previsto en las metodologías de calidad del servicio para el STN y el STR, dependiendo si el SAEB remunera como activo de transmisión o de distribución. Cuando en la regulación haya más de una posibilidad de ejecutar un mantenimiento mayor, al momento de entrar en operación el SAEB, el responsable de este sistema deberá informar por escrito al CND cuál procedimiento utilizará.
ARTÍCULO 15. COMPENSACIÓN POR EVENTOS NO PROGRAMADOS. Por indisponibilidad del SAEB instalado como activo de red debida a eventos no programados se calculará una compensación que se sumará a la del incumplimiento de máximas horas anuales indisponibilidad por eventos programados, definida en el artículo 14.
Para los eventos no programados se establece un valor máximo permitido de tres (3) horas por cada año calendario. Cuando el acumulado de la duración de estos eventos supere el valor máximo permitido, tanto para el evento que ocasionó el sobrepaso del valor, como para los que surjan posteriormente, se calculará una compensación de la siguiente forma:
a) Con base en la información de los mercados de comercialización afectados por el evento se determinará la cantidad de demanda no atendida, DNA.
b) Con base en los valores de DNA reportados, la duración del evento no programado y la demás información disponible, el CND determinará la DNA asociada al evento del SAEB y la hará pública para que, dentro de los dos días siguientes, un agente interesado manifieste y justifique cualquier inconformidad frente al valor publicado.
c) La DNA determinada de acuerdo con el literal b) se multiplica por el costo incremental operativo de racionamiento de energía definido y calculado por la UPME, correspondiente al primer escalón, que rija para el mes en el que el CND publique el valor de DNA.
d) Si la DNA determinada de acuerdo con el literal b) es igual a cero, el valor de la compensación se calculará multiplicando la duración del evento en horas, por el valor del ingreso mensual actualizado que le corresponda al SAEB, durante el mes m, dividido entre 720.
PARÁGRAFO 1. Dentro del mes siguiente a la entrada en vigencia de esta resolución, de ser necesario, el CNO actualizará los acuerdos relacionados con los informes sobre eventos no programados que se presenten en los SAEB.
PARÁGRAFO 2. Cuando, de acuerdo con lo previsto en el literal b), se presenten inconformidades frente al valor de DNA publicado por el CND, este deberá cargar los reportes de DNA y los informes del evento, junto con la justificación sobre la inconformidad recibida del agente interesado, al sistema de información dispuesto por el LAC con este propósito, con acceso únicamente para la SSPD, para que esta Superintendencia se pronuncie sobre el valor de la DNA que se debe utilizar y lo informe al LAC.
El LAC calculará el valor de la compensación utilizando la DNA informada por la SSPD, con el costo de racionamiento del primer escalón vigente en el mes en que la SSPD le informe el valor de la DNA a utilizar.
Si la SSPD ratifica el valor de DNA publicado por el CND, el valor positivo que resulte de tomar el cálculo hecho con base en lo señalado en el párrafo anterior, y restarle el cálculo que se hubiere efectuado de acuerdo con el literal c), es decir, con el costo de racionamiento del mes en que el CND publicó la DNA, será facturado por el LAC al agente que manifestó la inconformidad, cuando este agente sea diferente al representante del SAEB. El valor de esta factura se utilizará para disminuir la compensación que se descuenta al representante del SAEB.
ARTÍCULO 16. LÍMITE DE LOS VALORES A COMPENSAR. El valor total a descontar en el mes m al responsable del SAEB, por concepto de las compensaciones previstas en los artículos 14 y 15, no superará el 60% del ingreso mensual actualizado. Si el valor a descontar fuere mayor a dicho porcentaje, el saldo pendiente se deducirá durante los siguientes meses, verificando que no se supere el límite del 60%.
El valor máximo a descontar durante un año calendario, por las compensaciones de que trata esta resolución, no podrá superar el 30% del valor actualizado de la anualidad que se esté aplicando en el mes en el que se originó la compensación que superaría ese límite.
Los límites definidos en este artículo aplican de forma particular para los SAEB, esto es, no se revisará en forma conjunta con las demás actividades remuneradas que pueda estar desarrollando el representante del SAEB, ni se tendrán en cuenta los límites establecidos en otras resoluciones de la CREG para esas actividades.
ARTÍCULO 17. FRONTERAS COMERCIALES. Como requisito previo para conectarse al SIN, el agente es responsable de instalar los sistemas de medición de acuerdo con el Código de Medida y registrar las siguientes dos fronteras comerciales, de las cuales será responsable:
a) Una para medir el consumo de la energía utilizada para cargar las baterías, la cual deberá cumplir con los requisitos exigidos para una frontera de comercialización entre agentes y usuarios en el Código de Medida.
b) Una para medir la energía entregada al sistema, la cual deberá cumplir con los requisitos exigidos para una frontera de generación, sin que sea obligatorio que su representante sea un agente generador. Esta energía entregada al sistema no deberá agregarse a las demás fronteras de generación del agente.
Estas dos fronteras serán exclusivas para la medición de la energía tomada y de la entregada en la prestación de los servicios que se describen en esta resolución.
ARTÍCULO 18. TRATAMIENTO DE LAS MEDIDAS DE ENERGÍA. Se tendrán en cuenta las siguientes reglas:
a) Energía para SAEB instalados en el STN o STR
Para los SAEB como activos de red instalados en el STN o el STR, el ASIC hará la liquidación horaria de la energía tomada y de la energía entregada al sistema, con base en el precio de bolsa nacional horario y el valor neto mensual resultante se adicionará al valor que debe ser recaudado mensualmente por concepto de cargos por uso del nivel de tensión en donde se remunera el SAEB. Esto aplicará también para los SAEB instalados en el STR, independientemente de que hayan sido ejecutados por el OR del mercado de comercialización o a través de procesos de convocatoria pública.
Mensualmente el ASIC, con base en la energía tomada del sistema y la energía almacenada al principio y al final del mes hará un balance con el propósito de estimar la energía que debió ser entregada al sistema para cumplir la eficiencia mínima exigida. Si se encuentra un faltante de energía para cumplir con esta eficiencia, la energía faltante se facturará al agente responsable del activo, con el promedio aritmético del precio de bolsa nacional del mes en revisión, y el valor de esta facturación deberá ser restado del ingreso del agente que es utilizado para el cálculo del cargo por uso del nivel de tensión en donde se remunera el SAEB. Para las horas del mes donde el precio de bolsa nacional supere el precio de escasez superior, se tomará este último.
El CND y el LAC deberán manejar en forma separada el efecto que estas medidas causen en la determinación de los índices de pérdidas. Los efectos de la instalación de los SAEB se excluirán del cálculo de los índices de pérdidas utilizados para verificar el cumplimiento de compromisos relacionados con este índice.
El ASIC realizará el balance mensual antes indicado, excluyendo los efectos de los SAEB en los índices de pérdidas, utilizando el procedimiento que haya publicado y definido para tal fin, dentro del mes siguiente a la entrada en vigor de la presente resolución.
b) Energía para SAEB instalados en el SDL.
Para los SAEB como activos de red instalados en el SDL, el ASIC hará la liquidación horaria de la energía tomada y de la energía entregada al sistema, con base en el precio de bolsa nacional horario, y el valor neto mensual resultante se facturará al OR por el comercializador respectivo.
El CND y el LAC deberán manejar en forma separada el efecto que estas medidas causen en la determinación de los índices de pérdidas. Los efectos de la instalación de los SAEB se excluirán del cálculo de los índices de pérdidas utilizados para verificar el cumplimiento de compromisos relacionados con este índice.
El ASIC realizará el balance mensual antes indicado, excluyendo los efectos de los SAEB en los índices de pérdidas, utilizando el procedimiento que haya publicado y definido para tal fin, dentro del mes siguiente a la entrada en vigor de la presente resolución.
PROCESOS DE SELECCIÓN.
ARTÍCULO 19. AGENTE ADJUDICATARIO. La UPME, mediante el proceso de selección, escogerá al agente adjudicatario para ejecutar y mantener el proyecto de instalación del SAEB, durante el periodo de pagos. Para la operación del SAEB se deberá tener en cuenta lo señalado en la presente resolución.
ARTÍCULO 20. CONTRATO DE CONEXIÓN. El agente adjudicatario deberá suscribir un contrato de conexión con el transportador responsable del sistema donde se va a conectar el SAEB, de acuerdo con lo previsto en el Código de Redes, establecido en la Resolución CREG 025 de 1995, o aquella que la modifique o sustituya.
En el contrato de conexión se deberán identificar los riesgos de incumplimiento de cada una de las partes, la forma en que serán subsanados los posibles costos originados por los incumplimientos y, si se considera necesario, se suscribirán las garantías que cubran estos riesgos.
Este contrato no será requerido si el agente adjudicatario es el mismo transportador responsable del punto de conexión del SAEB.
ARTÍCULO 21. PROCESO DE SELECCIÓN. Para el desarrollo del proceso de selección o convocatoria pública, la UPME hará una invitación abierta del orden nacional o internacional para que, en condiciones de libre concurrencia y con base en lo establecido en la regulación y en los documentos de selección, las personas jurídicas interesadas presenten ofertas para encargarse de la instalación y mantenimiento del SAEB. De este proceso, una vez agotadas las etapas previstas en la regulación y en los documentos de selección, saldrá el adjudicatario que se encargará de construir el proyecto.
ARTÍCULO 22. PARTICIPACIÓN EN LOS PROCESOS DE SELECCIÓN. En los procesos de selección de los SAEB podrán participar los siguientes interesados:
a) En el STN: TN existentes y terceros interesados nacionales o extranjeros.
b) En los STR: OR existentes, los TR existentes y los terceros interesados nacionales o extranjeros.
Todos ellos en los términos que defina la UPME, siempre y cuando cumplan con las siguientes condiciones:
- No tener una situación de control con ninguno de los demás proponentes que participen en el mismo proceso de selección.
- No haber sido objeto de declaración de un incumplimiento grave e insalvable, como adjudicatario de un proceso de selección regulado por la CREG, durante los 24 meses anteriores a la fecha límite de presentación de propuestas establecida en los documentos de selección.
Al participar en los procesos de selección de que trata esta resolución, se entiende que los proponentes se acogen a lo que se establezca en los documentos de selección y a las consecuencias de la ejecución de la garantía de cumplimiento establecidas en este capítulo, conforme a lo establecido en el artículo 85 de la Ley 143 de 1994.
ARTÍCULO 23. DOCUMENTOS DE SELECCIÓN. Los documentos que se elaboren para escoger al adjudicatario de la ejecución de un SAEB mediante un proceso de selección contendrán, como mínimo, lo siguiente:
a) Información básica requerida para identificar las necesidades mínimas que debe satisfacer el SAEB a instalar, tales como, pero sin limitarse a ellas, capacidad máxima de entrega, energía a entregar, movilidad, duración mínima de la entrega en horas, eficiencia mínima, estándares de operación, fecha requerida de puesta en operación y demás elementos que se consideren necesarios.
b) Estándares de operación que defina la UPME y los estándares de conexión y operación definidos en esta resolución.
c) Exigencia de instalación de equipos nuevos.
d) Identificación de la subestación donde se conectará el proyecto, nivel de tensión y las condiciones de conexión al SIN.
e) Información del proceso de selección, fechas, términos, condiciones de participación; la duración del periodo de pagos; los criterios de evaluación y selección de las propuestas; y las demás condiciones establecidas en la presente resolución.
f) Información de la firma interventora asignada al proyecto, el alcance de la misma y sus costos.
g) Las condiciones de una garantía de seriedad de la oferta que permita avalar el cumplimiento de lo exigido en los documentos de selección y en esta resolución.
h) El valor de cobertura de la garantía definida en el artículo 33.
i) Los requisitos adicionales que se consideren necesarios, de acuerdo con el SAEB objeto del proceso de selección.
PARÁGRAFO 1. Los transportadores, cuyos activos tengan relación con las subestaciones donde se conectará el SAEB, deben entregar la información solicitada por la UPME, con el fin de aclarar las condiciones técnicas y de costos para la conexión al SIN, y dejar explícita la autorización de los puntos de conexión. La información suministrada deberá mantenerse al momento de la conexión por parte del proponente seleccionado. Los costos asociados a la conexión del proyecto, diferentes a arriendos o construcción de activos, se considerarán incluidos dentro de la remuneración de las actividades de transmisión o distribución de los agentes existentes y, por lo tanto, no deberán ser costos adicionales para el proyecto.
PARÁGRAFO 2. La CREG podrá pronunciarse sobre los documentos de selección cuando considere que impiden o restringen la libre competencia o no se cumple con los criterios de eficiencia económica en la escogencia de los proyectos. En este caso, sus observaciones serán incluidas en tales documentos.
ARTÍCULO 24. CRITERIOS PARA LA SELECCIÓN DEL ADJUDICATARIO. La selección del adjudicatario se realizará teniendo en cuenta los siguientes criterios:
a) Las propuestas presentadas deberán contener una oferta técnica y una oferta económica: la económica corresponderá al IAE ofertado conforme a lo establecido en los artículos 27 y 29; la técnica deberá corresponder al proyecto objeto del proceso de selección, cumplir con los criterios de calidad y confiabilidad del SIN, y contener un cronograma detallado de cada una de las etapas de construcción del proyecto, acorde con la FPO.
b) Las propuestas presentadas deberán adjuntar la garantía de seriedad de la oferta establecida en los documentos de selección y la demás documentación exigida a los proponentes.
c) Cuando se presente más de una oferta válida, la UPME adjudica el proyecto al proponente que haya presentado la propuesta con menor valor de la oferta.
d) Cuando haya una única oferta válida la UPME, a través de los mismos medios de comunicación utilizados para el inicio y desarrollo del proceso de selección, hace público el valor de la oferta y define un plazo dentro del cual otros interesados podrán presentar contraofertas con valores menores al publicado.
La contraoferta de menor valor que cumpla con los requisitos exigidos será informada al proponente quien deberá manifestar a la UPME si acepta ejecutar el proyecto por el valor presentado en la contraoferta y en este caso se le adjudicará el proyecto; si el proponente no acepta, el proyecto será adjudicado al interesado que presentó la contraoferta.
Si no se presentan contraofertas válidas, el proyecto será adjudicado al proponente de la única oferta válida. Los plazos para llevar a cabo este procedimiento serán los que defina la UPME. Para presentar contraofertas es necesario presentar evidencia de la adquisición de los documentos de selección y entregar la documentación que exija la UPME.
El proceso de selección podrá declararse desierto o sin adjudicación en los eventos establecidos en los documentos de selección o cuando no se presente proponente alguno, ninguno de los proponentes cumpla con los criterios de selección establecidos, o por razones de inconveniencia determinadas por la UPME. En cualquier caso, la UPME podrá iniciar un nuevo proceso de selección.
ARTÍCULO 25. OBLIGACIONES POSTERIORES A LA ADJUDICACIÓN. El proponente escogido deberá entregar a la UPME la documentación requerida en los documentos de selección.
El proponente seleccionado que no esté constituido como Empresa de Servicios Públicos, E.S.P., deberá constituirse como tal y tener dentro de su objeto social las actividades de distribución o transmisión de energía eléctrica, según corresponda, y considerar lo establecido en el artículo 74 de la Ley 143 de 1994. En este caso, el RUPS deberá ser entregado cuando la Superintendencia de Servicios Públicos Domiciliarios acredite su inscripción.
En los estatutos de constitución debe estar estipulado que la empresa adjudicataria tendrá una vigencia de hasta por lo menos tres años después de la fecha de finalización del periodo de pagos.
El no cumplimiento de lo establecido en el presente artículo o de lo exigido en los respectivos documentos de selección, en los plazos que se determinen en esta resolución o en tales documentos, dará lugar a la ejecución de la garantía de seriedad de la oferta, establecida en los documentos de selección, y se procederá a adjudicar el respectivo proceso al proponente que haya presentado una oferta válida con el segundo menor valor de la oferta, o a iniciar un nuevo proceso de libre concurrencia si no existiere un segundo proponente.
ARTÍCULO 26. MODIFICACIÓN DE LA FPO. La FPO de un SAEB construido a través de un proceso de selección podrá ser modificada en los siguientes casos:
a) Previa aprobación del MME o la entidad que este delegue, cuando ocurran atrasos por fuerza mayor debidamente acreditada por la autoridad competente que conduzca a la paralización temporal en la ejecución del proyecto y que afecte de manera grave la FPO, o por demoras en la expedición de la licencia ambiental originadas en hechos fuera del control del agente encargado del proyecto y de su debida diligencia.
b) Cuando el agente encargado del proyecto dé cumplimiento a lo previsto en el numeral 8 del anexo.
ARTÍCULO 27. INGRESO ANUAL ESPERADO DEL AGENTE ADJUDICATARIO, IAE. La remuneración del adjudicatario del proceso de selección se hará con base en la oferta económica del proponente, que se denominará Ingreso Anual Esperado, IAE, el cual, para cada uno de los años del periodo de pagos, deberá estar expresado en pesos constantes del 31 de diciembre del año anterior a la fecha de presentación de la propuesta.
El IAE deberá reflejar los costos asociados con la preconstrucción (incluyendo gestión predial, diseños, estudios, licencias ambientales y demás permisos o coordinaciones interinstitucionales) y construcción (incluyendo la interventoría y las acciones que se requieran para la viabilidad ambiental del proyecto), el costo de oportunidad del capital invertido y los gastos de administración, operación y mantenimiento correspondientes. Adicionalmente, el IAE presentado por el proponente, cubrirá toda la estructura de costos y de gastos en que incurra el proponente seleccionado, en desarrollo de su actividad y en el contexto de las leyes y la reglamentación vigente.
El proponente, con la presentación de su oferta, acepta que el IAE remunera la totalidad de las inversiones correspondientes al respectivo proyecto y su operación y mantenimiento durante el periodo de pagos, por tal razón asumirá la responsabilidad y el riesgo inherentes a la ejecución y explotación del proyecto, de conformidad con lo establecido en el artículo 85 de la Ley 143 de 1994.
PARÁGRAFO. Dado que el AOM hace parte del IAE, el agente adjudicatario deberá registrar en forma separada en su contabilidad los costos y gastos asociados a los proyectos de SAEB, diferenciándolos de los costos y gastos remunerados a través de otras metodologías vigentes para las actividades del sector y de otros proyectos adjudicados mediante procesos de selección.
ARTÍCULO 28. TASA DE DESCUENTO. La tasa de descuento para traer a valor presente el flujo de IAE, que haya ofertado cada uno de los proponentes, será la tasa de retorno aprobada por la CREG y que esté vigente al inicio del respectivo proceso de selección.
La tasa a utilizar depende de la necesidad identificada por la UPME: si se trata de una necesidad en el STN se usa la tasa de retorno de la actividad de transmisión y si se trata de una necesidad en el STR se usa la tasa de retorno de la actividad de distribución.
ARTÍCULO 29. PERFIL DE PAGOS. En las propuestas que se presenten a los procesos de selección de que trata esta resolución, la diferencia entre los porcentajes que representan cada uno de los valores anuales del IAE con respecto al valor presente de todos los valores anuales, no podrá ser mayor a cinco puntos porcentuales (5 p.p.) entre cualquier par de años.
En ningún caso, el ingreso para cualquier año podrá ser superior al del año anterior.
ARTÍCULO 30. PERIODO DE PAGOS. Los proyectos ejecutados mediante procesos de selección tendrán el periodo de pagos, expresado en número de años, que defina la UPME en los documentos de selección. Este periodo corresponde a los años del flujo de ingresos contados a partir del primer día calendario del mes siguiente a la fecha de puesta en operación del proyecto.
Durante el periodo de pagos, el adjudicatario es el responsable de la administración y mantenimiento del proyecto, con el fin de que este activo se mantenga operativo.
ARTÍCULO 31. OFICIALIZACIÓN DEL INGRESO ANUAL ESPERADO. Una vez se haya escogido al proponente y se haya adjudicado el proceso de selección, la UPME deberá remitir la siguiente información a la CREG:
a) Identificación del plan de expansión del SIN donde se recomendó el proyecto.
b) Fecha prevista de puesta en operación del proyecto.
c) Concepto sobre el cumplimiento de los requisitos exigidos en los documentos de selección.
d) Cronograma de desarrollo de la etapa de construcción del proyecto.
e) Copia de la aprobación de la garantía exigida, de conformidad con lo establecido en este capítulo y en el anexo.
f) Copia de la propuesta económica con el IAE de la oferta seleccionada.
g) Información de la firma interventora, asignada de conformidad con lo establecido en el artículo 11.
La CREG, con base en esta información, expedirá una resolución donde se hará oficial la remuneración del proyecto objeto del proceso de selección. En la resolución que se apruebe se identificarán, entre otros, el proyecto y el agente adjudicatario, y se incluirá el ingreso que recibirá dicho agente en cada uno de los años del periodo de pagos, el cual será igual al IAE propuesto.
ARTÍCULO 32. SELECCIÓN DE INTERVENTOR DEL SAEB CONSTRUIDO POR CONVOCATORIA PÚBLICA. La firma interventora deberá ser seleccionada a partir de la lista de firmas interventoras elaborada por el CNO.
El CNO deberá mantener publicada la lista de firmas interventoras de acuerdo con los parámetros y consideraciones que señale la UPME para tal fin. La lista será revisada por lo menos una vez al año y tendrá en cuenta los comentarios que la UPME y la SSPD emitan sobre el desempeño, calidad y experiencia de los interventores.
La UPME, mediante un proceso simplificado que elabore, escogerá la firma interventora para cada proyecto, de la lista de firmas interventoras publicada por el CNO, y determinará su costo.
La UPME dará a conocer el costo de la interventoría y su forma de pago con el objeto de que el proponente incluya dicho costo dentro de su oferta.
La minuta del contrato deberá acogerse a lo que para tales fines establezca la UPME y deberá contener las obligaciones del interventor establecidas en el artículo 12 y en los documentos de selección.
El proponente deberá suscribir un contrato de fiducia, con una entidad debidamente autorizada por la Superintendencia Financiera, donde se definirá, entre otros, la forma de realizar los pagos al interventor.
ARTÍCULO 33. GARANTÍA DE CUMPLIMIENTO. El ejecutor del proyecto debe asegurar, mediante la constitución de una garantía, que la instalación del SAEB se realizará en las condiciones y fechas establecidas en los documentos de selección. El valor de la cobertura de esta garantía se entenderá como una estimación anticipada de los perjuicios por la no ejecución del proyecto.
La garantía deberá cumplir con lo establecido en el anexo. El ejecutor del proyecto deberá constituir y entregar al ASIC la garantía para su aprobación, teniendo en cuenta los plazos previstos en los documentos de selección o en esta resolución, según sea el caso.
Cuando ocurra alguno de los eventos de incumplimiento definidos en el numeral 7 del anexo, sin perjuicio de las sanciones administrativas a que haya lugar, el ASIC informará de esta situación al garante y al agente incumplido, y hará efectiva la garantía. En todos los casos, el emisor o garante girará el valor total garantizado al beneficiario.
ARTÍCULO 34. MANEJO DE LOS RECURSOS PROVENIENTES DE LAS GARANTÍAS. El ASIC tendrá una cuenta particular para el manejo de los recursos provenientes de la ejecución de las garantías otorgadas en cumplimiento de lo previsto en este capítulo.
Estos recursos junto con los rendimientos que generen, una vez descontados los costos financieros e impuestos, se emplearán para que el LAC disminuya el valor que debe ser recaudado mensualmente por concepto de cargos por uso o del nivel de tensión al que se conecta el SAEB.
PARÁGRAFO. El LAC deberá prever que en todo momento haya recursos suficientes para cubrir los costos en que se incurra por el manejo de la cuenta donde se depositan los recursos de las garantías ejecutadas.
ARTÍCULO 35. CONSECUENCIA DE LA EJECUCIÓN DE LA GARANTÍA. Cuando ocurra alguno de los eventos de incumplimiento definidos en el numeral 7 del anexo, sin perjuicio de las sanciones administrativas a que haya lugar, el agente adjudicatario perderá el derecho a recibir la remuneración por el proyecto y deberá tomar las acciones necesarias para retirarse de su ejecución y no obstaculizar la culminación del mismo por parte del adjudicatario que resulte de un nuevo proceso de selección que se debe iniciar cuando se declare un incumplimiento.
El nuevo adjudicatario podrá realizar cualquier transacción comercial con el agente que se retira del proyecto sobre los activos, servidumbres o materiales que este último haya adquirido o negociado. De no llegarse a un acuerdo, el agente que se retira tendrá un plazo máximo de tres meses contados a partir de la oficialización del ingreso del nuevo adjudicatario para retirar los activos o materiales que obstaculizan la construcción del proyecto. Trascurrido el plazo y a solicitud del interesado, la CREG podrá hacer uso de sus facultades legales para imponer las servidumbres a que hubiere lugar.
ARTÍCULO 36. INCUMPLIMIENTO GRAVE E INSALVABLE. El interventor en su informe indicará la existencia de un incumplimiento grave e insalvable del respectivo proyecto cuando se estén presentando una o varias de las siguientes condiciones:
a) La fecha de puesta en operación del proyecto calculada por el interventor supera en más de tres meses la FPO sin que el ejecutor la haya modificado de acuerdo con el literal b) del artículo 26.
b) La fecha de puesta en operación del proyecto calculada por el interventor supera la FPO modificada por el agente de acuerdo con el literal b) del artículo 26.
c) Cuando el agente existente o el adjudicatario del proceso de selección abandone la ejecución del proyecto.
d) De acuerdo con su verificación, las características técnicas de alguno de los activos que conforman el proyecto son menores a las definidas por la UPME.
En este caso el interventor deberá enviar copia del informe de interventoría al MME, a la UPME y a la CREG, y la UPME se encargará de comunicar al ASIC que el informe del interventor indica la existencia de un incumplimiento grave e insalvable.
ARTÍCULO 37. PAGOS. El LAC será el responsable de actualizar y pagar el valor mensual al agente adjudicatario, teniendo en cuenta lo siguiente:
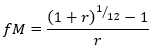
a) El ingreso mensual a pagar se obtiene multiplicando la anualidad respectiva, por el factor fM calculado con la siguiente fórmula:

Donde:
| fM: | Factor para calcular valores mensuales. |
| r: | Tasa de descuento. |
El resultado de esta multiplicación se actualiza con la variación del IPP del mes anterior al que se va a facturar, respecto del IPP del mes de diciembre que sirvió de referencia para ofertar los valores del IAE.
b) El IAE empezará a pagarse al agente adjudicatario a partir del primer día calendario del mes siguiente a la fecha efectiva de puesta en operación comercial del proyecto, certificada por el CND.
c) Para la facturación, liquidación y pago del primer mes de ingresos, se tomará en cuenta el primer mes completo, en consecuencia, no se reconocerá facturación por fracción de mes.
d) En cada uno de los pagos mensuales se descontarán las compensaciones de que hayan sido objeto los activos que hacen parte del proyecto, aplicando lo establecido en la regulación vigente.
El LAC se encargará de la facturación y el recaudo, y el pago estará sujeto a lo previsto en la regulación para el recaudo y la distribución de los ingresos en las actividades de remuneración de redes de transporte de energía eléctrica.
ARTÍCULO 38. FUENTE DE RECAUDO DE INGRESOS PARA EL IAE. El ingreso mensual para remunerar los SAEB se calcula de acuerdo con lo previsto en el artículo 37.
Este ingreso mensual del SAEB se adicionará al ingreso mensual del transportador utilizado para calcular el cargo por uso de la actividad respectiva en el nivel de tensión correspondiente.
ARTÍCULO 39. PAGOS POSTERIORES AL PERIODO DE PAGOS. Una vez finalizado el período de pagos se podrá continuar con la remuneración del proyecto una vez se cumpla con lo señalado en este artículo.
Antes de que finalice el tiempo de utilización de los activos y con la anticipación que considere necesaria para tomar las medidas respectivas, la UPME determinará en el plan de expansión del SIN la necesidad de mantener en operación el proyecto y con base en sus análisis indicará si el proyecto se requiere indefinidamente o fijará el número de años adicionales que se necesita.
Si se encuentra que el proyecto sigue requiriéndose, el agente adjudicatario, mediante comunicación escrita, manifestará a la UPME su interés en continuar operando el activo, y adjuntará un concepto técnico sobre el estado de los activos que componen el proyecto, emitido por una firma de ingeniería. La comunicación escrita deberá ser remitida a la UPME dentro de los cuatro (4) meses siguientes a la fecha de adopción del plan de expansión del SIN.
Si el concepto técnico determina que los activos no se encuentran en condiciones óptimas para continuar operando, o si el agente adjudicatario no presenta dentro del plazo la documentación mencionada en el párrafo anterior, la UPME deberá iniciar un proceso de selección para reponer el proyecto.
Si el concepto técnico determina que los activos se encuentran en condiciones óptimas para continuar operando, el transportador deberá solicitar a la CREG su inclusión dentro de su base de activos, teniendo en cuenta la metodología que se encuentre vigente para la remuneración de activos de uso de la respectiva actividad. El agente adjudicatario deberá enviar a la CREG copia de la comunicación enviada a la UPME y del concepto técnico de la firma de ingeniería.
La firma de ingeniería que elaborará los conceptos técnicos mencionados en este artículo deberá ser seleccionada por el CNO, a partir de los criterios que este Comité establezca para tal fin y dentro de los que deberá incluir la razonabilidad del precio ofertado para esa labor.
Si la UPME encuentra que el proyecto ya no es necesario en el sistema, después de finalizado el periodo de pagos, no habrá lugar a la remuneración de los activos que lo componen y el agente adjudicatario deberá disponer de ellos.
ARTÍCULO 40. POSIBILIDAD DE RETIRO. Durante el periodo de pagos, el agente adjudicatario podrá retirar de operación el SAEB. Para ello requiere la aceptación del retiro por parte de la UPME, informar la fecha a partir de la cual se producirá, comunicar al LAC y a la CREG su intención y cumplir lo establecido en la regulación vigente en cuanto a la cancelación de las fronteras en las que se tomaba y entregaba energía con el SAEB.
A partir de la fecha de retiro el LAC dejará de pagar el IAE.
SAEB PARA SERVICIOS COMERCIALIZABLES.
ARTÍCULO 41. SERVICIOS COMERCIALIZABLES. Los siguientes son los servicios comercializables que los SAEB independientes podrán comercializar en el MEM:
a) Participar en la bolsa de energía (PB-SAEB) con oferta y/o ofertar para el laminado de picos o arbitraje (PKSG).
Estos servicios están asociados a la participación en la bolsa de energía, mejorar el costo de operación del sistema y/o flexibilizar la operación del sistema en horas de punta.
b) Generación de seguridad.
c) Ofertar para el servicio de Regulación Secundaria de Frecuencia (AGC) para el balance carga – generación en tiempo real.
Para las ofertas se tendrá en cuenta dispuesto en el artículo 6 de la Resolución CREG 055 de 1994.
La actividad de prestación de servicios comercializables a través de SAEB hará parte de la actividad de generación de energía eléctrica y para participar deberán tener una capacidad instalada nominal del SAEB mayor o igual a 5 MW.
ARTÍCULO 42. CONEXIÓN Y OPERACIÓN DE UN SAEB INDEPENDIENTE CON SERVICIOS COMERCIALIZABLES. De forma general para la conexión y operación de un SAEB se deberá cumplir con las exigencias establecidas en el artículo 58 de esta resolución. Adicionalmente, a continuación, se especifican las condiciones técnicas y operativas que se definirán mediante Acuerdo del CNO y se tendrán cuando un SAEB independiente participa en el mercado de energía mayorista:
a) Requerimientos técnicos y operativos para prestar el servicio de AGC.
Esto incluye la definición de las características del sistema de control, supervisión y telecomando desde el CND.
b) Requisitos de operación de reserva caliente de emergencia o para generación de seguridad.
Estos casos abarcan cuando no salen en el despacho económico, cuando no salen en el despacho de AGC o cuando están programados para el despacho y por debajo de su capacidad máxima o cuando están en línea entregando energía bajo cualquier modalidad y tienen capacidad remanente.
c) El CNO deberá determinar el procedimiento de pruebas de los requisitos técnicos y operativos establecidos en este artículo.
PARÁGRAFO. Se aplicará el procedimiento del parágrafo del artículo 58 para la expedición del acuerdo del CNO de que trata el presente artículo.
ARTÍCULO 43. REPRESENTACIÓN SAEB INDEPENDIENTES EN EL MEM. Los SAEB independientes que se conecten al SIN para comercializar los servicios del artículo 41 deberán ser representados por agentes generadores.
Cuando se participe en los servicios habilitados en el mercado de energía mayorista con un SAEB independiente, dichos activos eléctricos asociados al SAEB independiente no podrán participar para remuneración en SAEB como activos de red.
Los inversionistas que pretendan conectar SAEB independientes deberán atender lo dispuesto en el artículo 74 de la Ley 143 de 1994.
ARTÍCULO 44. PARTICIPACIÓN EN EL MERCADO DE ENERGÍA MAYORISTA. Para que un SAEB independiente participe en los servicios del artículo 41, este deberá ser propiedad del agente generador o representada por un agente generador en el mercado mayorista. En este último caso, el propietario del SAEB y el agente generador acuerdan libremente las condiciones de la representación.
Al SAEB independiente le aplicarán las reglas de las plantas despachadas centralmente con los requisitos especificados en esta resolución.
ARTÍCULO 45. TRATAMIENTO DE LA ENERGÍA ENTREGADA AL SISTEMA POR UN SAEB INDEPENDIENTE EN EL MERCADO DE ENERGÍA MAYORISTA. De forma general, a los SAEB independientes se le tratará su energía entregada al SIN como un recurso adicional de generación a favor de los agentes generadores, aplicando a tal energía todas las reglas de la Resolución CREG 024 de 1995, o aquellas que la modifiquen adicionen o sustituyan, como plantas y/o unidades de generación despachadas centralmente.
A la energía de un SAEB independiente le aplicará la Resolución CREG 023 de 2001, el porcentaje de regulación equivalente al 3% de su generación horaria programada, y las características técnicas de estatismo configurable, banda muerta configurable y tiempos de respuesta inicial máximo y tiempo de establecimiento máximo, u otros parámetros y requisitos establecidos mediante el Acuerdo de CNO de que trata el artículo 58.
A la energía de un SAEB independiente participando en AGC le aplicarán las mismas reglas de las Resoluciones CREG 025 de 1995, 064 de 2000 y 027 de 2016 para su remuneración, reconciliación, entre otras, de igual forma que una planta y/o unidad de generación despachada centralmente.
A la energía de un SAEB independiente participando en PB-SAEB o PKSG será considera como generación a favor del agente generador representante para su tratamiento en la bolsa de energía. La liquidación se realizará igual que una planta y/o unidad de generación despachada centralmente.
ARTÍCULO 46. TRATAMIENTO DE DESVIACIONES DE GENERACIÓN DE UN SAEB INDEPENDIENTE. Se considera que un SAEB participando con precio de oferta en la bolsa de energía no podrá desviarse de su programa de generación, a excepción de que sea por orden, consigna o telecomando del CND. En caso de tenerse una desviación en cualquier valor de su programa de generación, le aplicarán las mismas reglas del pago por concepto de desviaciones que a una planta o unidad de generación hidráulica o térmica conforme a la Resolución CREG 024 de 1995.
En caso de que el SAEB participe en AGC, en aplicación de los literales I y II del artículo 4 de la Resolución CREG 064 de 2000, el %DA será de cero.
ARTÍCULO 47. GENERACIÓN DE SEGURIDAD DE GENERACIÓN DE UN SAEB INDEPENDIENTE. Se considera que un SAEB que sea despachado por seguridad tendrá el mismo tratamiento que corresponda con generación de seguridad de una planta de generación variable conforme las resoluciones CREG 025 de 1995, 034 de 2001, 060 de 2019, 063 de 2000 y 062 de 2000.
ARTÍCULO 48. FRONTERAS COMERCIALES DE UN SAEB INDEPENDIENTE EN EL MERCADO DE ENERGÍA MAYORISTA. El generador representante del SAEB independiente deberá cumplir con:
a) Para la entrega de energía se debe tener una frontera de generación que cumpla con el registro conforme a la Resolución CREG 157 de 2011 y el Código de Medida, Resolución CREG 038 de 2014.
b) Siempre que se cargue el SAEB usando el SIN, se deberá tener una frontera de comercialización entre agentes y usuarios conforme a la Resolución CREG 157 de 2011 y el Código de Medida Resolución CREG 038 de 2014, siendo representada por un agente comercializador. Dicha frontera comercial y su consumo será tratado con las condiciones de usuario no regulado conforme la Resolución CREG 131 de 1998.
ARTÍCULO 49. OFERTA DE PRECIOS Y DECLARACIÓN DE DISPONIBILIDAD PARA PARTICIPACIÓN EN EL MERCADO DE ENERGÍA MAYORISTA. Los SAEB independientes que participen en los servicios indicados en el artículo 41 les aplicará la oferta de precio y declaración de disponibilidad como se indica en los subtítulos “Oferta de Precios” y “Declaración de Disponibilidad” del numeral 3.1, “Información Básica”, del Anexo Código de Operación de la Resolución CREG 025 de 1995. La oferta de precio y declaración de disponibilidad se usará para la programación del SAEB independiente en el despacho económico horario, redespachos y en el Despacho económico de Operación en Tiempo real (DEOTR) que se encuentre vigente.
ARTÍCULO 50. CAUSALES DE REDESPACHO. El CND y CNO deberán proponer a la CREG en un tiempo de dos meses de expedida esta resolución cuales de las causales de redespacho actuales les aplican a los SAEB independientes o cuales causales de redespacho adicionales deberán implementarse. Estas causales de redespacho propuestas se analizarán y se usarán para el ajuste de la regulación.
ARTÍCULO 51. TRATAMIENTO DE INFLEXIBILIDAD DE UN SAEB. A un SAEB no le aplicará el tratamiento de plantas inflexibles de que trata la Resolución CREG 024 de 1995.
ARTÍCULO 52. TRATAMIENTO DE LA ENERGÍA EN LA FUNCIÓN DE DEMANDA AGREGADA Y PÉRDIDAS. Se deberá considerar que la energía que se tome o entregue al SIN por parte de un SAEB en la Función de Demanda Agregada y Pérdidas de que trata el Anexo A-1 de Resolución CREG 024 de 1995, tendrá el siguiente tratamiento: i) la energía asociada a la carga del SAEB independiente será tratada como demanda de energía de los agentes comercializadores que representen las fronteras comerciales de los SAEB, y ii) la energía entregada por el SAEB independiente será tratada como “generaciones de los generadores” y “generación embebida”, según aplique.
ARTÍCULO 53. CÁLCULO FUNCIÓN RECONCILIACIÓN ANEXO A-5 RESOLUCIÓN CREG 024 DE 1995. A un SAEB le aplicará el cálculo de la Función Reconciliación de que trata el Anexo A-5 de la Resolución CREG 024 de 1995 en las mismas condiciones que un generador y en el aparte “Calculo de la Desviación” se tendrá en cuenta la regla de desviaciones del programa de generación de esta resolución.
SAEB PARA RECURSOS DE GENERACIÓN HÍBRIDOS.
ARTÍCULO 54. CONEXIÓN, OPERACIÓN Y DESPACHO DE UN RECURSO DE GENERACIÓN HIBRIDO EN EL SIN. Los SAEB podrán ser instalados de forma hibrida con cualquier planta y/o unidad de generación para cumplir con la regulación primaria de frecuencia, u otros requisitos de la regulación actual por tecnología, o para el complemento de la propia planta y/o unidad de generación para su participación en la bolsa de energía; es decir, deberán estar asociados en la misma frontera de generación. En estos casos de recursos de generación híbridos les aplicará la reglamentación vigente igual que a cualquier planta y/o unidad de generación y se tendrán en cuenta los requisitos técnicos adicionales establecidos para el SAEB en el artículo 58 de esta resolución. El CNO en cumplimiento de lo dispuesto en el artículo 58 deberá incluir los requisitos técnicos, operativos, supervisión, pruebas u otros que deberán cumplir los recursos de generación híbridos.
ARTÍCULO 55. TRATAMIENTO DE LA ENERGÍA EN EL MERCADO MAYORISTA DE ENERGÍA POR UN RECURSO DE GENERACIÓN HIBRIDO. Los recursos de generación híbridos serán tratados como un recurso adicional de generación de los agentes generadores, aplicando a la energía entregada todas las reglas de las Resoluciones CREG 024 de 1995, 025 de 1995, 060 de 2019, 148 de 2021, 101 011 de 2022, 034 de 2001, 023 de 2001, 064 de 2000, 063 de 2000, y en general de todas aquellas que las modifiquen adicionen o sustituyan o que sean para operación de plantas y/o unidades de generación en el SIN y según su capacidad efectiva neta y tipo de despacho.
ARTÍCULO 56. FRONTERAS COMERCIALES DE UN RECURSO DE GENERACIÓN HIBRIDO EN EL MERCADO DE ENERGÍA MAYORISTA. El generador representante del recurso de generación hibrido deberá cumplir con:
a) Para la entrega de energía se debe tener una frontera de generación que cumpla con el registro conforme a la Resolución CREG 157 de 2011 y el Código de Medida Resolución, CREG 038 de 2014.
b) Siempre que se cargue el SAEB usando el SIN se deberá tener una frontera de comercialización entre agentes y usuarios conforme a la Resolución CREG 157 de 2011 y el Código de Medida Resolución CREG 038 de 2014, siendo representada por un agente comercializador. Dicha frontera comercial y su consumo será tratado con las condiciones de usuario no regulado conforme la Resolución CREG 131 de 1998.
DISPOSICIONES TRANSVERSALES.
ARTÍCULO 57. ASIGNACIÓN DE CAPACIDAD DE TRANSPORTE. Para la conexión de los SAEB como activos de red identificados por el OR y de los SAEB independientes requeridos para la comercialización de servicios se deberá solicitar asignación de capacidad de transporte aplicando las reglas definidas para los proyectos clase 1 de que trata la Resolución CREG 075 de 2021, o la que la modifique o sustituya. La capacidad de transporte que se solicite deberá corresponder a la necesaria para la toma y entrega de energía en el sistema. No obstante, para la asignación de la capacidad se deberá seguir las reglas aplicables a proyectos de generación.
En el caso de los SAEB como activos de red identificados por la UPME, la capacidad de transporte requerida para su funcionamiento se entenderá que ya ha sido asignada cuando la ejecución del SAEB haya sido recomendada por la UPME, quien para esto deberá coordinar lo respectivo con el transportador responsable del punto de conexión.
Cuando se requiera la instalación de un SAEB para convertir en híbrido un recurso de generación en operación o con capacidad de transporte asignada, solo se deberá solicitar un concepto de no objeción si no se requiere aumentar la capacidad de transporte existente o asignada. En caso de requerir mayor capacidad de transporte esta deberá ser solicitada aplicando las reglas definidas para los proyectos clase 1 de que trata la Resolución CREG 075 de 2021, o la que la modifique o sustituya.
Cuando para un proyecto de generación que no tenga asignación de capacidad de transporte se prevea incluir un SAEB, se deberá llevar a cabo la solicitud de asignación de capacidad de transporte con base en la dispuesto en la Resolución CREG 075 de 2021, o la que la modifique o sustituya, identificando la información del respectivo SAEB.
PARÁGRAFO. En caso de lo considere necesario, la UPME remitirá a la CREG una propuesta de ajuste de las características y contenido que deben tener los estudios de conexión y de disponibilidad de espacio físico en el caso de los SAEB.
ARTÍCULO 58. CONEXIÓN Y OPERACIÓN DE UN SAEB AL SIN. De forma general para la conexión y operación de un SAEB se deberá cumplir con las exigencias establecidas en la regulación para su conexión al SIN, las señaladas en el Código de Redes y las establecidas en este artículo para su entrada en operación comercial.
El CNO deberá actualizar los acuerdos existentes que estén relacionados con las condiciones de conexión y pruebas de los SAEB, teniendo en cuenta lo regulado en esta resolución e incluyendo la definición de los siguientes requisitos técnicos, operativos, de supervisión, comando remoto (cuando se indique), entre otros, los cuales servirán para operar en operación normal y ante contingencia en la red.
Los requisitos técnicos y de operación que debe cumplir un SAEB que esté instalado en el SIN y en función de su capacidad nominal, y que serán considerados en la actualización de los acuerdos sobre SAEB establecidos por el CNO, son los siguientes:
a) Características de regulación de frecuencia mediante un control de potencia activa/frecuencia. Deben estar en capacidad de entregar el 3% de su generación programada horaria.
b) Rangos de operación en frecuencia y ajustes de los relés conforme una tasa de cambio de frecuencia (ROCOF).
c) Rampas operativas de entrada y salida.
d) Respuesta rápida en frecuencia (siempre que estén despachados en un valor menor al máximo posible).
e) Aporte de inercia emulada o sintética.
f) Aporte de cortocircuito emulado o sintético.
g) Tener soportabilidad ante cambios en el ángulo de fase.
h) Requisitos del control de tensión y potencia reactiva en modos factor de potencia, tensión y potencia reactiva y de forma remota.
Debe incluirse en el Acuerdo para este literal:
i. Características de respuesta en operación normal y ante eventos;
ii. El comportamiento de inyección rápida de corriente reactiva, así como la respuesta ante eventos con inyección rápida de corriente activa, y la priorización ante eventos simultáneos de tensión y frecuencia.
Lo anterior se debe complementar con la caracterización del aporte rápido de corriente reactiva tanto para secuencia positiva como negativa, maximizando el aporte durante fallas.
iii. Curvas de capacidad de potencia activa – potencia reactiva o PQ, y potencia reactiva – tensión o QV, las cuales se cumplirán en el punto de conexión.
iv. No se permite la cesación momentánea de potencia.
v. Curvas HVRT y LVRT y de curvas de soportabilidad de tensión transitoria.
i) Tiempo de respuesta inicial y de establecimiento de los controles asociados.
j) Requisitos del equipo de Estabilización del sistema de potencia mediante equipos Power Oscillation Damping (POD) y requisitos para la operación.
k) Cuando operan como activo de red, deben tener capacidad de recibir consignas remotas desde el CND y tener sistema de supervisión, control y comunicaciones.
Cuando son activos de red de conexión al SDL, se debe coordinar la operación con el CND sin que sea obligatorio el envío de consignas remotas.
Cuando no operan como activo de red, el agente generador podrá acogerse a consignas remotas de potencia activa o realizar los cambios en generación por su cuenta por medio de consignas locales.
Para cualquier SAEB instalado en el SIN se definirá en el Acuerdo CNO la forma de envío de consignas y el esquema de supervisión y comunicación. La supervisión podrá ser sincrofasorial incluyendo al menos las siguientes variables:
i. Valor de potencia activa y reactiva.
ii. Tensión línea - línea y corriente por fase.
iii. Estado de la función de control de frecuencia.
iv. Estado modo del control de tensión.
v. Valor consigna de control de tensión.
vi. Valor consigna factor de potencia.
vii. Valor consigna potencia reactiva.
viii. Valor consigna potencia activa.
ix. Indicación de control Local/remoto para el control de potencia activa.
x. Nivel de carga actual [MW].
xi. Nivel de descarga actual [MW].
xii. Energía máxima disponible [MWh].
l) Modelos de estabilidad y electromagnéticos para (RMS y EMT) representar el SAEB o el recurso hibrido.
m) Requisitos técnicos y operativos para la función de arranque autónomo.
n) Características del sistema de protecciones.
o) Para la aplicación del Código de Redes, Resolución CREG 025 de 1995, se debe listar toda la información a suministrarse por parte de los representantes de los SAEB para poder aplicar lo establecido en esta resolución y diferenciando para qué etapa del anterior código es necesaria. Esta información se debe incluir en el documento de parámetros técnicos del SIN de que trata el Código de Operación.
p) El CNO deberá determinar el procedimiento de pruebas de los requisitos técnicos y operativos establecidos en este artículo y cuales se pueden certificar con el fabricante sin necesidad de realizar pruebas de campo.
Las funcionalidades de que trata este artículo son de obligatorio cumplimiento para que un SAEB opere y de respuesta en estado de operación normal o ante contingencia y se exija entregar según la necesidad operativa en tiempo real.
PARÁGRAFO. Dentro de los dos meses siguientes a la entrada en vigencia de esta resolución, el CND elaborará una propuesta y estudio de actualización de las condiciones técnicas a exigir para la conexión de los SAEB al SIN y las pruebas que deben cumplir estos equipos antes de su entrada en operación comercial. Esta propuesta debe ser enviada al CNO para que, con base en ella y durante el mes siguiente a su recibo, defina y publique el acuerdo donde se determinen las condiciones de conexión, operación y las pruebas a cumplir por parte de los SAEB.
ARTÍCULO 59. SERVICIO DE ARRANQUE AUTÓNOMO. Este es un servicio obligatorio para cualquier SAEB en el sistema, el cual, en caso de ser utilizado por un SAEB independiente o un recurso de generación híbrido, la energía entregada será remunerada y liquidada al agente generador correspondiente al valor del contrato que tiene con el agente comercializador para la carga del SAEB. Para esto, el ASIC deberá tener en cuenta únicamente la energía horaria usada y que iguala a la descarga necesaria para dicho uso.
A la generación usada para el fin anterior, los costos horarios serán asignados entre todos los comercializadores del SIN, a prorrata de su demanda comercial, trasladando dichos costos a través del componente de restricciones.
En el caso de los SAEB como activos de red la energía entregada será remunerada a precio de bolsa usado para la carga del SAEB, al agente comercializador que representa la frontera comercial.
ARTÍCULO 60. RESPONSABILIDADES DEL AGENTE QUE INSTALA UN SAEB. El agente representante del SAEB es responsable por la administración, el mantenimiento y la disponibilidad del SAEB, para que opere en las condiciones técnicas y operativas definidas en esta resolución.
Adicionalmente es obligación del agente representante mantener disponibles y en correcta operación los sistemas de medición, supervisión y los sistemas de comunicación.
Para el caso de los SAEB como activos de red, adicionalmente, el agente responsable del activo deberá cumplir con las exigencias de calidad del servicio establecidas en esta resolución.
El agente que representa un SAEB como activo de red del STN o STR no será responsable de los efectos que produzca la liquidación comercial, siempre y cuando se cumpla con la eficiencia mínima requerida para estos sistemas.
ARTÍCULO 61. PROGRAMACIÓN DE MANTENIMIENTOS. Para el mantenimiento de los SAEB se deberá hacer entrega de los respectivos programas de mantenimiento al CND con la periodicidad establecida en la regulación. El CND, dentro del proceso de coordinación de los mantenimientos del SIN, será el encargado de definir las horas permitidas para hacer el mantenimiento de los SAEB.
Los agentes responsables ingresarán el programa de mantenimientos y/o desconexiones mediante un sistema de información desarrollado por el CND, de acuerdo con los criterios, tiempos y parámetros técnicos definidos en los acuerdos del CNO.
Es obligatorio para todas las agentes responsables de los activos antes mencionados, la consignación de su programa de mantenimiento y/o desconexiones en este sistema de información.
ARTÍCULO 62. PROCESO DE APLICACIÓN DE LOS SERVICIOS REGULADOS. El CND y ASIC incluirán y desarrollarán las modificaciones necesarias en los modelos de optimización de AGC, despacho económico, redespacho y despacho ideal, según lo definido en esta resolución; siempre teniendo en cuenta el objetivo de minimizar el costo de operación del sistema y, cuando aplique, teniendo en cuenta las condiciones para la entrega o toma de energía establecidas en los servicios comercializables o documentos de selección de la UPME, cando este sea el caso.
Adicionalmente, el CND y el ASIC deberán considerar si deben realizar ajustes al modelo de Despacho Económico de Operación en Tiempo real (DEOTR) a partir del momento en que se encuentre vigente.
Para los ajustes propuestos en esta resolución, el CND y ASIC en el despacho y liquidación deberán tener implementados y probados en un periodo de seis (6) meses contados a partir de la entrada en vigor de la presente resolución. Cumplido el tiempo anterior, se iniciará la aplicación de las funcionalidades definidas para los SAEB.
El CND debe tener en cuenta que para la operación en tiempo real puede suspender la prestación de cualquier funcionalidad de los SAEB, si la seguridad del sistema así lo requiere.
El CND elaborará y publicará para discusión de los interesados los ajustes en los modelos de optimización, para lo cual deberá llevar a cabo talleres explicativos con los agentes y demás interesados.
ARTÍCULO 63. INFORME DE OPERACIÓN DE LOS SAEB Y NUEVOS SERVICIOS COMERCIALIZABLES. Anualmente, durante el mes de junio, el CND deberá realizar una evaluación periódica de los resultados de la asignación de los servicios comercializables, del uso de las reservas y el cumplimiento de los compromisos de servicios y requisitos técnicos que prestan los generadores, los recursos de generación híbridos y los SAEB y entregar un informe anual de servicios complementarios a la Comisión.
En dicho informe de servicios complementarios se debe incluir al menos lo siguiente:
a) Uso de las reservas y definición de indicadores de desempeño.
b) Análisis de precios de los servicios que prestan los generadores, recursos de generación híbridos y los SAEB independientes.
c) Evaluación de las metodologías y cantidades de reserva definidas.
d) Evaluación de los requisitos técnicos actuales e identificación sobre cuáles de estos se precisa de mayor capacidad.
e) Propuestas de ajuste justificadas y nuevos servicios a regular con sus requerimientos de cantidad, técnicos, oferta de precios y cantidad, u otros.
Para el anterior fin, el CND deberá analizar y determinar los requerimientos del SIN para su operación segura, confiable, económica y de calidad, de conformidad con las normas técnicas, identificando modificaciones a los servicios que prestan los generadores, recursos de generación híbridos y los SAEB actualmente o servicios complementarios que deben ser regulados, necesarios para cumplir con dichos requerimientos.
Se deberán determinar los recursos físicos que están disponibles en el sistema eléctrico para la prestación de los distintos servicios. En caso de que los recursos sean insuficientes para satisfacer los requerimientos antes señalados, el CND deberá identificar los nuevos recursos que deberán ser incorporados en el sistema e informar a la Comisión para la correspondiente actualización de la regulación.
Las propuestas serán evaluadas y estudiadas por la CREG.
ARTÍCULO 64. COMPROMISO CON EL MEDIO AMBIENTE. La evaluación de todas y cada una de las condiciones ambientales necesarias para la ejecución del proyecto estará a cargo de los agentes interesados en ejecutarlo. El agente ejecutor será responsable de las gestiones para la consecución de la licencia ambiental o de permisos que, en general, se requieran para la ejecución del proyecto.
Como parte importante de los compromisos ambientales debe tenerse en cuenta el relacionado con la disposición final de las baterías y los demás equipos utilizados.
DISPOSICIONES COMPLEMENTARIAS.
ARTÍCULO 65. MODIFICACIÓN DE LA DEFINICIÓN DE PROYECTO CLASE 1. La definición de “Proyecto clase 1”, de que trata el artículo 3 de la Resolución CREG 075 de 2021, quedará así:
Proyecto clase 1: proyectos de conexión de usuarios finales al STN o STR, proyectos de conexión de sistemas de almacenamiento de energía eléctrica con baterías, proyectos de conexión de generación, cogeneración o autogeneración al SIN diferentes a los proyectos que se encuentren bajo el alcance de la Resolución CREG 174 de 2021, o aquella que la modifique, adicione o sustituya. También se considerarán como proyectos clase 1 las modificaciones que se soliciten a las capacidades ya asignadas.
ARTÍCULO 66. MODIFÍQUESE EL NUMERAL 3 DEL ANEXO CÓDIGO DE PLANEAMIENTO DE LA RESOLUCIÓN CREG 025 DE 1995. El numeral 3 del Anexo Código de Planeamiento de la Resolución CREG 025 de 1995 quedará así:
3. Aplicación
Este Código se aplica a los Transportadores, la UPME y los siguientes Usuarios:
Generadores conectados directa o indirectamente al STN.
Sistemas de Almacenamiento de Energía con Baterías (SAEB) conectados directa o indirectamente STN.
Distribuidores conectados directa o indirectamente al STN.
Grandes Consumidores conectados directamente al STN.
Cualquier otro Usuario o entidad con un sistema conectado directamente al STN.
Para tener derecho de acceso a la red, todos los Usuarios deben firmar Contratos de Conexión con los Transportadores, en los cuales se especifiquen los aspectos contractuales de conexión y uso de la red, así como otros aspectos de orden administrativo, técnico y económico, incluidos la operación y mantenimiento de la conexión.
Para los refuerzos del STN se aplicará lo establecido en la Resolución CREG 001 de 1994.
ARTÍCULO 67. MODIFÍQUESE EL NUMERAL 3 DEL ANEXO CÓDIGO DE CONEXIÓN DE LA RESOLUCIÓN CREG 025 DE 1995. El numeral 3 del Anexo Código de Conexión de la Resolución CREG 025 de 1995 quedará así:
3. Aplicación
El CC se aplica a cualquier Usuario conectado al STN y a cualquier conexión entre diferentes Transportadores, ya sean conexiones tanto preexistentes en operación o construcción como postuladas en el futuro.
Los usuarios comprenden:
Generadores conectados directa o indirectamente al STN
Sistemas de Almacenamiento de Energía con Baterías (SAEB) conectados directa o indirectamente al STN.
Distribuidores locales conectados directa o indirectamente al STN.
Transportadores de sistemas de transmisión regionales conectados directamente al STN.
Grandes Consumidores conectados directa o indirectamente al STN.
Transportadores del STN y sus conexiones entre sí.
ARTÍCULO 68. ADICIÓNESE EL NUMERAL 13.4 AL ANEXO CÓDIGO DE CONEXIÓN DE LA RESOLUCIÓN CREG 025 DE 1995. El numeral 13.4 del Anexo Código de Conexión de la Resolución CREG 025 de 1995 quedará así:
13.4 SERVICIOS QUE DEBEN PROVEER LOS SAEB CONECTADOS AL SIN
- Control de tensión y potencia reactiva.
- Regulación de frecuencia mediante un control de potencia activa/frecuencia.
- Estabilización del sistema de potencia.
- Regulación secundaria de frecuencia con AGC si es un SAEB independiente de capacidad nominal mayor o igual a 5 MW. Si es un recurso de generación hibrido es según si la planta está en el despacho central.
- Aporte de inercia emulada o sintética.
- Aporte de cortocircuito emulado o sintético.
- Generación de Seguridad y reserva caliente de emergencia.
- Respuesta rápida de corriente reactiva, seleccionando entre positiva y negativa.
- Respuesta rápida en frecuencia.
- Arranque autónomo (Capacidad de arranque en condiciones de colapso del SIN).
ARTÍCULO 69. MODIFICACIÓN DEL ARTÍCULO 6 DE LA RESOLUCIÓN CREG 055 DE 1994. El artículo 6 de la Resolución CREG 055 de 1994 quedará así:
ARTÍCULO 6. Ofertas de precio en la bolsa de energía. Los precios a los cuales las empresas generadoras ofrezcan diariamente al Centro Nacional de Despacho (CND) energía de sus unidades de generación o SAEB independientes o recursos de generación híbridos, por unidad de energía generada cada hora en el día siguiente, deben reflejar los costos variables de generación en los que esperan incurrir, teniendo en cuenta:
1.1 Para plantas termoeléctricas (con o sin SAEB): el costo incremental del combustible, el costo incremental de administración, operación y mantenimiento y la eficiencia térmica de la planta.
1.2. Para las plantas hidroeléctricas (con o sin SAEB): los costos de oportunidad (valor de agua) de generar en el momento de la oferta, teniendo en cuenta la operación económica a mediano y largo plazo del Sistema Interconectado Nacional.
1.3. Para las plantas de generación variable (con o sin SAEB): los costos de oportunidad de generar en el momento de la oferta, teniendo en cuenta la operación económica para el día de operación del sistema interconectado nacional.
1.4. SAEB independientes: los costos de oportunidad de entregar la energía almacenada en el momento de la oferta, teniendo en cuenta la operación económica para el día de operación del sistema interconectado nacional.
ARTÍCULO 70. ADICIÓN DE ALGUNAS DEFINICIONES AL ARTÍCULO 1 DE LA RESOLUCIÓN CREG 024 DE 1995 Y AL NUMERAL 1.3 DEL CÓDIGO DE OPERACIÓN ANEXO DE LA RESOLUCIÓN CREG 025 DE 1995. Adiciónese las definiciones “Recurso de generación hibrido”, “Sistema de almacenamiento de energía eléctrica con baterías, SAEB”, “SAEB independiente” y “Servicio de laminado de picos, PKSG” de que trata el artículo 3 de esta resolución al artículo 1 de la Resolución CREG 024 de 1995 y al numeral 1.3 del Anexo Código de Operación de la Resolución CREG 025 de 1995.
ARTÍCULO 71. MODIFICACIÓN DE ALGUNAS DEFINICIONES CONTENIDAS EN LA RESOLUCIÓN CREG 024 DE 1995. Las definiciones de “Despacho ideal”, “Disponibilidad Comercial”, “Programa de generación”, “Reserva rodante” y “Servicios asociados de generación de energía” del artículo 1 de la Resolución CREG 024 de 1995 quedarán así:
Despacho ideal. Es la programación de generación que se realiza a posteriori por el Sistema de Intercambios Comerciales (SIC), en la cual se atiende la demanda real con la disponibilidad real de las plantas de generación y los SAEB independientes. Este despacho se realiza considerando las ofertas de precios en la Bolsa de Energía, las ofertas de Precios de Arranque-Parada, las ofertas de los enlaces internacionales y las características técnicas de las plantas o unidades o SAEB para obtener la combinación de generación que resulte en mínimo costo para atender de demanda total del día, sin considerar la red de transporte.
Disponibilidad Comercial. Es la disponibilidad calculada por el SIC, la cual considera la declaración de disponibilidad de los generadores y los SAEB independientes, modificada cuando se presenten cambios en las unidades de generación o del SAEB en la operación real del sistema.
Programa de generación. Es la asignación de generación de las unidades o plantas despachadas centralmente y a los SAEB independientes.
Reserva rodante. Es la parte de la reserva operativa ubicada en plantas y los SAEB independientes que están operando y puedan responder a cambios de generación en períodos de hasta 30 segundos.
Servicios asociados de generación de energía. Son servicios asociados con la actividad de generación los que prestan las empresas generadoras con sus unidades conectadas al Sistema Interconectado Nacional para asegurar el cumplimiento de las normas sobre calidad, confiabilidad y seguridad en la prestación del servicio. Incluye entre otros, la generación de potencia reactiva, la Reserva Primaria y de AGC, de acuerdo con las normas respectivas establecidas en el Reglamento de Operación
Los anteriores servicios también los prestan los agentes generadores con sus SAEB independientes o sus SAEB instalados en plantas y/o unidades de generación que funcionan como recursos de generación híbridos.
Cualquier SAEB de capacidad nominal mayor o igual a 5MW se considerará como una unidad de generación despechada centralmente.
ARTÍCULO 72. MODIFICACIÓN DEL LITERAL E) DEL ARTÍCULO 6 DE LA RESOLUCIÓN CREG 024 DE 1995. El literal e) del artículo 6 de la Resolución CREG 024 de 1995 quedará así:
e) Los generadores deben operar las plantas de generación (con SAEB si tienen) y los SAEB sometidas al despacho central según las reglas de despacho definidas en el Código de Redes.
ARTÍCULO 73. MODIFICACIÓN DEL SUBTITULO “DETERMINACIÓN DE LA DISPONIBILIDAD COMERCIAL” DEL NUMERAL 1.1 DEL ANEXO A DE LA RESOLUCIÓN CREG 024 DE 1995. El subtitulo DETERMINACIÓN DE LA DISPONIBILIDAD COMERCIAL del numeral 1.1 del Anexo A de la Resolución CREG 024 de 1995 quedará así:
DETERMINACIÓN DE LA DISPONIBILIDAD COMERCIAL.
En este proceso para cada unidad o planta de generación o SAEB independiente se determina su disponibilidad comercial con base en las disponibilidades reales y las características técnicas de los equipos.
ARTÍCULO 74. MODIFICACIÓN DEL SUBTITULO “CÁLCULO DE LOS PRECIOS DE BOLSA” DEL NUMERAL 1.1 DEL ANEXO A DE LA RESOLUCIÓN CREG 024 DE 1995. El subtítulo CÁLCULO DE LOS PRECIOS DE BOLSA del numeral 1.1 del Anexo A de la Resolución CREG 024 de 1995 quedará así:
CÁLCULO DE LOS PRECIOS DE BOLSA
En este proceso se determinan los precios para las diferentes transacciones que se realizan en la Bolsa de Energía. Los precios horarios de Bolsa son iguales al precio de oferta en Bolsa de la Planta o SAEB independiente con Máximo Precio de Oferta, en la hora respectiva, más el Valor Adicional (ÄI) previsto en el Anexo A-4 de la Resolución CREG-024 de 1995, modificado por el artículo 8o de la Resolución CREG 051 de 2009 y aquellas que la modifiquen, complementen o sustituyan, correspondiente a los recursos de generación requeridos para cubrir en el despacho ideal: i) la demanda total doméstica; ii) la de exportaciones a Panamá; iii) la demanda internacional de despacho económico coordinado, y iv) la demanda no doméstica.
Dentro de este proceso las importaciones provenientes de las TIE y provenientes de Panamá, serán consideradas como un recurso con precio de oferta igual al Precio de Oferta del país exportador, en su Nodo Frontera para exportación, al cual se le deben adicionar los cargos asignados al transporte desde el Nodo frontera hasta el STN, si son del caso, el Costo Equivalente Real de Energía del Cargo por Confiabilidad, si aplica y los cargos propios de los generadores en el mercado Colombiano, asignándole además una disponibilidad comercial equivalente a la importación real
ARTÍCULO 75. MODIFICACIÓN DEL NUMERAL 1.1.1.1 DEL ANEXO A DE LA RESOLUCIÓN CREG 024 DE 1995. El numeral 1.1.1.1 del Anexo A de la Resolución CREG 024 de 1995 quedará así:
1.1.1.1. DETERMINACIÓN DEL DESPACHO IDEAL
El Despacho Ideal considerará las ofertas de precio en la Bolsa de Energía y de precio de arranque-parada de los generadores térmicos, considerando en el caso de plantas térmicas de ciclo combinado las configuraciones, las ofertas de precio en la Bolsa de Energía de los diferentes generadores y SAEB independientes, y los Precios de oferta en el Nodo Frontera para exportación del país exportador. A estos últimos se les debe adicionar los cargos asignados al transporte desde el Nodo frontera hasta el STN, si son del caso; el Costo Equivalente Real de Energía del Cargo por Confiabilidad; y los cargos propios de los generadores en el mercado colombiano, necesarios para atender la demanda total para cada una de las horas del día en proceso. Para el caso de una importación, la disponibilidad comercial será considerada con un valor igual al de la importación real. Los precios considerados deberán tener en cuenta el resultado de la aplicación de la regla de desempate aplicada para el Despacho Programado.
El Despacho Ideal será uno para el día, comprenderá los 24 períodos horarios y se determinará por medio del programa de Despacho Económico, el cual se ejecutará todos los días, con posterioridad a la operación real del sistema. Para cumplir con las características técnicas de las plantas o unidades térmicas o SAEB independientes, las condiciones iniciales del Despacho Ideal para el día t tendrán en cuenta las condiciones con las que finalizó el Despacho Real del día t-1; no tendrá en cuenta las restricciones en el Sistema Interconectado Nacional para atender la demanda total del sistema; y se efectuará con la disponibilidad comercial calculada en el SIC. El programa de despacho resultante, denominado Despacho Ideal, determinará los recursos disponibles de menor precio requeridos para atender la demanda total, sin considerar las restricciones del Sistema de Transmisión Nacional (STN), de los Sistemas de Transmisión Regional (STR) y la de los Sistemas de Distribución Local (SDL), existentes en la operación, y considerando las características técnicas de las unidades utilizadas en el despacho económico ejecutado para la operación real del sistema.
El Despacho Ideal será tal que:

Dentro de las configuraciones disponibles de cada planta térmica de ciclo combinado se debe seleccionar aquella que permita minimizar los costos del despacho.
Sujeto a estas restricciones:
![]()
Características Técnicas
Donde:
i: indexa a los generadores y las SAEB independientes
t: indexa las horas del día
Q: Generación
Pof: Oferta de Precio en la Bolsa de Energía
Par: Oferta de Precio de arranque-parada de plantas térmicas que arrancan según el Despacho Ideal. El precio de arranque-parada de una planta que tenga varias unidades, es la suma de los precios de arranque-parada de las unidades que la componen de acuerdo con el estado.
D: Demanda
En adelante, para la aplicación de la Resolución CREG 024 de 1995, o aquellas que la modifiquen adicionen o sustituyan, o toda reglamentación comercial del mercado de energía mayorista, la generación a nivel horario de las SAEB independientes asociada a sus agentes generadores representantes será tratada en las mismas condiciones que una planta y/o unidad de generación despachada centralmente cuando la capacidad nominal del SAEB sea mayor o igual a 5 MW (…)
ARTÍCULO 76. MODIFICACIÓN DEL NUMERAL 1.1.3 DEL ANEXO A DE LA RESOLUCIÓN CREG 024 DE 1995. El numeral 1.1.3 del Anexo A de la Resolución CREG 024 de 1995 quedará así:
1.1.3. PROCESO DE DETERMINACIÓN DE LA DISPONIBILIDAD COMERCIAL (VER DESCRIPCIÓN DETALLADA DEL PROCESO EN EL ANEXO A-2)
El proceso para la determinación de la disponibilidad a ser utilizada en el SIC, parte de la disponibilidad horaria declarada utilizada en el proceso de redespacho realizado en el CND y definido en el Código de Redes. Esta disponibilidad se actualiza cuando se presentan cambios en las unidades de generación o en las SAEB independientes durante la operación real del sistema, con el valor de la disponibilidad media de la hora en que se efectúa el cambio.
Para el cálculo de la disponibilidad comercial se consideran los siguientes parámetros técnicos de las unidades de generación: velocidad de toma de carga, rata de descarga, tiempo mínimo de operación, carga sincronizante y tiempo de calentamiento.
Para el cálculo de la disponibilidad comercial de un SAEB independiente o un recurso de generación hibrido, el CND deberá determinar los parámetros técnicos a usarse, los cuales deben ser aprobados en Acuerdo del CNO y servirán de insumo para aplicar la Resolución CREG 024 de 1995, la Resolución CREG 025 de 1995, u otras reglas asociadas. Los parámetros técnicos deberán ser declarados antes de la entrada en operación comercial del SAEB independiente o el recurso de generación hibrido ante el CND, en los términos que este defina, para su incorporación en el Documento de parámetros técnicos del SIN de que trata la Resolución CREG 025 de 1995.
ARTÍCULO 77. MODIFICACIÓN DE LOS LITERALES B Y C DEL APARTE DETERMINACIÓN DEL PRECIO EN LA BOLSA DE ENERGÍA, DEL ANEXO A-4 “FUNCIÓN PRECIO EN LA BOLSA DE ENERGÍA” DE LA RESOLUCIÓN CREG 024 DE 1995. Los literales b y c del aparte Determinación del Precio en la Bolsa de Energía, del Anexo A-4 “Función Precio en la Bolsa de Energía” de la Resolución CREG 024 de 1995 quedarán así:
b. Con los resultados del literal a., para cada hora se ordenarán las plantas y SAEB independientes despachadas de acuerdo con las ofertas de precios a la Bolsa de Energía de menor a mayor.
c. El Máximo Precio Ofertado horario, MPO, para el mercado internacional (Demanda Internacional de Despacho Económico Coordinado más Demanda No Doméstica) y el mercado nacional (Demanda Total Doméstica) se determinará de la siguiente forma
- Para el mercado que atiende Demanda Total Doméstica más Demanda Internacional de Despacho Económico Coordinado más Demanda No Doméstica el MPOK corresponderá al precio ofertado a la Bolsa de Energía de la última planta o SAEB independiente requerida para atender la Demanda Total Doméstica más Demanda Internacional de Despacho Económico Coordinado más Demanda No Doméstica, que no sea inflexible, resultante del ordenamiento planteado en el literal b.
- Para el mercado que atiende Demanda Total Doméstica más Demanda Internacional de Despacho Económico Coordinado MPOI corresponderá al precio ofertado a la Bolsa de Energía de la última planta o SAEB independiente requerida para atender la Demanda Total Doméstica más Demanda Internacional de Despacho Económico Coordinado, que no sea inflexible, resultante del ordenamiento planteado en el literal b.
- Para el mercado que atiende Demanda Total Doméstica el MPON se determina con el ordenamiento de las plantas y SAEB independientes del literal b y se tomará el precio ofertado por la última planta o SAEB requerida para atender la Demanda Total Doméstica, que no sea inflexible.
ARTÍCULO 78. MODIFICACIÓN DE ALGUNAS DEFINICIONES DEL NUMERAL 1.3 DEL CÓDIGO DE OPERACIÓN ANEXO DE LA RESOLUCIÓN CREG 025 DE 1995. Se modifican las siguientes definiciones del numeral 1.3 establecidas en el Anexo Código de Operación de la Resolución CREG 025 de 1995:
Capacidad remanente:
Es el resultado de descontar de la Disponibilidad Declarada de cada unidad generadora o SAEB independiente: la reserva rodante y el valor máximo entre las generaciones mínimas técnicas, por seguridad y por AGC.
Disponibilidad declarada para el despacho económico y redespacho:
Es la máxima cantidad de potencia neta (expresada en valor entero en MW) que un generador o un SAEB independiente puede suministrar al sistema durante el intervalo de tiempo determinado para el Despacho Económico o Redespacho o DEOTR (caso generadores variables), reportada por la empresa propietaria del generador o por parte del generador representante del SAEB.
Cuando un generador sea un recurso de generación hibrido, podrá tener en cuenta en su declaración de disponibilidad la energía asociada al SAEB en sus activos de conexión.
Modo jerárquico de AGC:
Es el modo de regulación de frecuencia en el cual más de un agente generador (Planta y/o Unidad) y los SAEB independientes comparten la regulación secundaria de la frecuencia, con factores de participación resultantes de la aplicación del procedimiento establecido en el Anexo CO-4.
Programa despacho económico horario:
Es el programa de generación de las unidades SIN o las SAEB independientes en cada una de las horas del día, producido por el Despacho Económico.
Regulación secundaria:
Es el ajuste automático o manual de la potencia del generador o de un SAEB independiente para restablecer el equilibrio carga-generación.
Reserva de regulación secundaria:
Es aquella Reserva Rodante en las plantas o de un SAEB independiente que responden a la variación de generación y que debe estar disponible a los 30 segundos a partir del momento en que ocurra el evento. Debe poder sostenerse al menos durante los siguientes 30 minutos de tal forma que tome la variación de las generaciones de las plantas que participaron en la regulación primaria.
Si un recurso de generación hibrido o un SAEB independiente tiene tiempos de respuesta más rápidos y los declara, el CND podrá determinar con cuanto tiempo de antelación podría prestarse el servicio de AGC en estos casos.
Reserva operativa:
Es la diferencia entre: i) la suma de las capacidades disponibles de las unidades generadoras y los SAEB independientes; y ii) la suma de la generación programada de las mismas en la hora considerada
Reserva rodante:
Es la parte de la reserva operativa ubicada en plantas y las SAEB independientes que están operando y puedan responder a cambios de generación en períodos de hasta 30 segundos.
Servicios asociados de generación de energía:
Son servicios asociados con la actividad de generación los que prestan las empresas generadoras con sus unidades conectadas al Sistema Interconectado Nacional para asegurar el cumplimiento de las normas sobre calidad, confiabilidad y seguridad en la prestación del servicio. Incluye entre otros, la generación de potencia reactiva, la Reserva Primaria y de AGC, de acuerdo con las normas respectivas establecidas en el Reglamento de Operación.
Los anteriores servicios también los prestan los agentes generadores con sus SAEB independientes o sus SAEB instalados en plantas y/o unidades de generación que funcionan como recursos de generación híbridos y en el caso del AGC siempre y cuando la planta y/o unidad sea despachada centralmente.
Cualquier SAEB independiente de capacidad nominal mayor o igual a 5MW se considerará como una unidad de generación despechada centralmente.
Unidades elegibles para el AGC:
Son aquellas unidades y SAEB independientes que cumplan con la definición de AGC y con los requerimientos del Anexo C0-4.
ARTÍCULO 79. MODIFICACIÓN DE LOS APARTES “OFERTA DE PRECIOS” Y “DECLARACIÓN DE DISPONIBILIDAD” DEL NUMERAL 3.1 DEL ANEXO CÓDIGO DE OPERACIÓN RESOLUCIÓN CREG 025 DE 1995. Los apartes “Oferta de Precios” y “Declaración de disponibilidad” del numeral 3.1 del anexo denominado Código de Operación de la Resolución CREG 025 de 1995 quedarán así:
Oferta de Precios
Para el Despacho Económico Horario, las empresas generadoras deben informar diariamente al CND antes de las 08:00 horas, una única oferta de precio a la Bolsa de Energía para las veinticuatro (24) horas (expresada en valores enteros de $/MWh) por cada recurso de generación, exceptuando las cadenas hidráulicas: Paraíso y Guaca; Troneras, Guadalupe 3 y Guadalupe 4; Alto Anchicayá y Bajo Anchicayá; que harán ofertas de precio en forma integral por cadena. También se exceptúan los enlaces Internacionales que participen en el Mercado de Energía Mayorista, los cuales podrán hacer ofertas horarias de precio.
Se considerarán como recurso de generación de las empresas generadoras sus recursos de generación híbridos o aquellas SAEB independientes que representen. En estos casos, aplica la misma oferta de precios del inciso anterior por recurso de generación hibrido o por SAEB independiente, exceptuando las citadas cadenas hidráulicas que podrán tener SAEB en sus activos de conexión, pero harán ofertas de precio en forma integral por cadena.
En el caso de las plantas térmicas de ciclo combinado, éstas ofertarán un precio para las 24 horas (expresada en valores enteros de COP$/MWh) por cada configuración que esté disponible para la operación. En este caso también podrán tener instalado un SAEB en los activos de conexión y la oferta será tratada en la misma forma: por cada configuración que esté disponible para la operación.
Si a las 08:00 horas el CND no ha recibido ofertas de precio a la Bolsa de Energía de uno o más generadores o SAEB independientes, o ha recibido información incompleta o inconsistente, asumirá las ofertas de precios a la Bolsa de Energía que se presentaron para cada unidad, planta de generación o planta térmica de ciclo combinado según las configuraciones disponibles o SAEB independientes, el día anterior, o la última oferta de precios a la Bolsa de Energía válida, aplicando los criterios establecidos en el presente numeral. En caso de no contar con una oferta válida, se asume como cero el precio de oferta.
Cuando dos o más recursos o configuraciones disponibles de plantas térmicas con ciclo combinado tengan precio de oferta igual, el CND aplicará un desempate a las ofertas de precio mediante un proceso aleatorio equiprobable. Esta regla aplica también para el Servicio de AGC
Declaración de Disponibilidad
Para el Despacho Económico Horario, las empresas generadoras deben declarar diariamente al CND antes de las 08:00 horas, la mejor estimación de la Disponibilidad esperada (expresada en valores enteros en MW) a nivel horario para cada unidad generadora o de sus SAEB independientes. Las plantas térmicas de ciclo combinado deberán declarar la disponibilidad a nivel horario de cada configuración y la disponibilidad a nivel horario de las unidades que la componen.
Para lo anterior, el SAEB independiente podrá seleccionar las horas del día en que desea participar para entregar la energía, de tal forma que pueda entregarla únicamente en un rango de horas de mayor demanda participando en PKSG o en cualquier otra hora.
Para cualquier configuración de las plantas térmicas de ciclo combinado, la declaración de disponibilidad de la configuración no puede ser mayor a la suma de las disponibilidades individuales de cada unidad que conforman la respectiva configuración.
La declaración de disponibilidad por unidad de las plantas de generación térmicas debe ser consistente, en términos de las unidades disponibles, con la declaración de las configuraciones diarias que se realiza conforme a lo definido en el aparte “Precio de Arranque-Parada” del Numeral 3.1. del Código de Operación. La validación de la consistencia la realizará el CND de manera automática, al momento de la declaración de disponibilidad por parte del agente.
Cuando se participa en mercado de energía mayorista, el agente generador representante del SAEB independiente, o aquel agente generador que tenga recursos de generación híbridos que carguen el SAEB del SIN, decidirá los periodos del día en que se carga el SAEB para poder cumplir con su disponibilidad declarada. En aplicación del aparte “Demanda” del numeral 3.1 del Código de Operación, el comercializador representante de la frontera comercial para carga del SAEB, de forma adicional, deberá declarar ante el CND, en los términos que este defina, los periodos horarios de carga en que se decide cargar el SAEB remitiendo tal información antes de las 8:00 horas del día anterior a la operación, cuyos valores deberán ser actualizados tres veces: i) hasta las 11 pm del día antes de la operación, que aplicará en el día de la operación para la franja horaria comprendida entre las 12 am y el restante número de periodos de operación del día; ii) hasta las 7 am del día de la operación, que aplicará en el día de la operación para la franja horaria comprendida entre las 8 am y el restante número de periodos de operación del día; y iii) hasta las 3 pm del día de la operación, que aplicará en el día de la operación para la franja horaria comprendida entre las 4 pm y el restante número de periodos de operación del día.
Para el envío de la declaración de disponibilidad de generación al CND, se usará la transmisión electrónica de datos que haya establecido el CND, como medio principal. Esta información será de conocimiento público a más tardar a las 9:00 horas del mismo día.
Como medio alterno, ante fallas o indisponibilidades en los sistemas de comunicaciones o de información, se empleará el envío de información de disponibilidad por el sistema que defina el CND, que sea verificable y seguro, y de fácil acceso para los agentes del mercado.
Si a las 08:00 horas el CND no ha recibido la declaración de disponibilidad de uno o más generadores o SAEB independientes, o ha recibido información incompleta o inconsistente, asumirá las declaraciones que se presentaron para cada unidad de generación, cada SAEB independiente, cada configuración o planta el día anterior a la misma hora, o la última declaración válida.
PARÁGRAFO 1. La determinación de la disponibilidad comercial de que trata la Resolución CREG 024 de 1995, para las plantas térmicas de ciclo combinado, se tomará con base en la disponibilidad declarada de la configuración con mayor capacidad.
La determinación de la disponibilidad comercial de un SAEB independiente se determinará en la misma forma en que aplica a plantas de generación conforme la Resolución CREG 024 de 1995.
PARÁGRAFO 2. La CREG definirá en resolución independiente el esquema de auditoría de las configuraciones de las plantas térmicas de ciclo combinado para verificar: los costos de arranque-parada y las características técnicas declaradas, diferentes a aquellas características técnicas que son objeto de auditoría según lo dispuesto en la Resolución CREG 071 de 2006 y aquellas que la adicionen, modifiquen o sustituyan.
PARÁGRAFO 3. Cuando el CND identifique que un agente que representa una planta de ciclo combinado no declaró todas las configuraciones disponibles, conforme a la disponibilidad de las unidades de la planta, deberá reportarlo a la Superintendencia de Servicios Públicos Domiciliarios (SSPD).
ARTÍCULO 80. MODIFICACIÓN DEL NUMERAL 3.3 DEL CÓDIGO DE OPERACIÓN DE LA RESOLUCIÓN CREG 025 DE 1995. El numeral 3.3 del Código de Operación de la Resolución CREG 025 de 1995 quedará así:
3.3 CALCULO DEL DESPACHO ECONÓMICO.
Para cada una de las horas del día el CND establece el programa horario de generación y de las SAEB independientes de tal forma que se cubra la demanda total esperada con los recursos de generación disponibles más económicos ofertados por las empresas, cumpliendo las restricciones técnicas y eléctricas de las unidades generadoras, de las SAEB independientes, de las áreas operativas y del SIN, y la asignación de la reserva de generación.
Debe tenerse en cuenta que cuando se programa un SAEB independiente en el despacho económico y al mismo tiempo queda asignado en AGC, el SAEB entregará energía en las horas del día conforme a su valor programado en el despacho económico, y que en las horas correspondientes a la asignación de AGC debe tener capacidad disponible para subir o disminuir generación respecto del programa de generación del despacho económico y conforme a la holgura asignada en el AGC.
Respecto de los periodos de carga de un SAEB independiente o un recurso de generación hibrido, cuando este último se cargue del SIN, el agente generador representante decidirá los periodos del día en que se carga el SAEB para poder cumplir con su programa de generación. La carga de los SAEB se considerará en la declaración de la proyección de demanda que realiza el comercializador conforme a lo dispuesto en el numeral 3.1 del Código de Operación.
Cuando dos o más recursos tengan precio de oferta igual al Costo Marginal, la generación se asigna en forma proporcional a la disponibilidad remanente de cada planta o SAEB independiente, teniendo en cuenta las restricciones técnicas y eléctricas (…)
ARTÍCULO 81. MODIFICACIÓN DEL ANEXO CO.4 DEL CÓDIGO DE OPERACIÓN RESOLUCIÓN CREG 025 DE 1995. El Anexo CO.4 Del Código de Operación Resolución CREG 025 de 1995 quedará así:
ANEXO CO.4.
CRITERIOS PARA PARTICIPAR EN LA RESERVA DE REGULACIÓN
1. CRITERIOS PARA PARTICIPAR EN LA REGULACION SECUNDARIA DE FRECUENCIA.
Cualquier planta y/o unidad, o SAEB independiente, para participar en la Regulación Secundaria de Frecuencia, debe cumplir con los siguientes requisitos:
a) Ser telecomandada desde el Centro Nacional de Despacho CND
b) Realizar pruebas de integración a la función AGC propia de su planta o del SAEB independiente.
La planta y/o unidad podrá tener SAEB instaladas en sus activos de conexión (modalidad recurso de generación hibrido), esto para su complemento en la prestación del servicio de AGC.
c) Realizar pruebas de estatismo y velocidad sostenida de toma de carga, cumpliendo con los parámetros calculados desde el CND, para ajustarse a los valores aprobados en Acuerdo del CNO
d) Realizar pruebas de integración al control jerárquico del CND de acuerdo con los Acuerdos del CNO.
Las plantas y/o unidades o SAEB independientes que cumplan con estos requisitos y pasen las pruebas establecidas para este propósito, quedan habilitadas para prestar el Servicio y se denominarán Elegibles.
Para recursos existentes, si como resultado de las pruebas para elegibilidad para AGC, se debe realizar algún cambio de los parámetros, el agente deberá enviar por escrito al CND la solicitud de cambio en la que se indique claramente el parámetro a modificar, el valor actual y el nuevo valor.
2. CRITERIOS DE SEGURIDAD Y CALIDAD DEL CONTROL INTEGRADO SECUNDARIO DE FRECUENCIA
Se tendrán en cuenta los siguientes criterios de seguridad y calidad del control integrado secundario de frecuencia:
a) Velocidad de Toma de Carga: Las unidades que presten el Servicio de Regulación Secundaria de Frecuencia, deben tener una velocidad de toma de carga mayor a la máxima velocidad de variación de demanda y cambio de generación esperado en el sistema para condiciones normales.
Se establecen como condiciones normales para este servicio las variaciones que se presentan en el rango de ± 500 mHz.
En el caso de SAEB independientes, el CND establecerá las características al atributo de Velocidad de Toma de Carga a cumplir.
b) Número de Unidades: Con el fin de garantizar los parámetros de calidad del SIN, se requiere un número mínimo y máximo de unidades participando en el AGC.
En el caso de las SAEB independientes, se consideran como una Unidad cada SAEB por punto de conexión. Para participar deberán tener una capacidad nominal del SAEB mayor o igual a 5 MW. El CND deberá determinar a partir de dicha capacidad nominal cuanto deben ser las holguras máximas y mínimas para aportar en el servicio de AGC en un SAEB independiente y que podrán ser diferentes al de las plantas y/o unidades de generación.
El CNO determinará mediante acuerdo las pruebas a la capacidad nominal y a la CEN del SAEB sea independiente.
c) Reserva para Regulación Secundaria de Frecuencia: El CND establecerá la cantidad de potencia a nivel horario, requerida para garantizar el Servicio de Regulación Secundaria de Frecuencia.
d) El CND podrá determinar otros parámetros necesarios que se identifiquen para la seguridad del sistema y deberán ser evaluados en el CNO.
Los valores de los parámetros a que se refiere el presente Numeral, para las diferentes condiciones de operación del sistema y períodos horarios, serán determinados al menos una vez al año por el CND o, cuando las condiciones del sistema así lo requieran, más veces al año, los cuales deberán ser sujetos a aprobación por parte del CNO mediante Acuerdo.
El procedimiento de cálculo y el valor de los parámetros de AGC que son revaluados por el CND deben estar contenidos en el documento "Parámetros requeridos para la regulación secundaria de frecuencia", el cual debe publicar el CND en su página de internet y socializar en el CNO.
En condiciones de aislamiento o eventos extraordinarios, el CND podrá definir la holgura horaria para el área o áreas afectadas y las plantas elegibles para efectuar la regulación secundaria de frecuencia.
3. OFERTAS DE DISPONIBILIDAD PARA LA PRESTACION DEL SERVICIO DE REGULACION SECUNDARIA DE FRECUENCIA.
Las plantas y/o unidades de generación o SAEB Elegibles, podrán libremente Ofertar para cada día y período horario su Disponibilidad para prestar el Servicio. La Oferta de Disponibilidad para la prestación del Servicio de Regulación Secundaria de Frecuencia, se hará bajo las condiciones del esquema actual de Ofertas en la Bolsa de Energía y deberá cumplir las siguientes condiciones:
a) La preoferta (día inmediatamente anterior a la entrada en vigencia de la presente reglamentación) de disponibilidad para Regulación Secundaria de Frecuencia de las plantas y/o unidades que nunca hayan ofertado disponibilidad en el servicio de AGC, será la resultante de restar de la capacidad nominal de generación, el mayor valor entre la inflexibilidad técnica y la generación mínima por seguridad eléctrica.
Este valor se constituye en la última oferta conocida para esa planta y/o unidad y será modificado por el agente de allí en adelante.
Para plantas y/o unidades que entren a ofrecer el Servicio en fecha posterior a la entrada en vigor de la presente reglamentación, se aplicará el mismo procedimiento. Esto es, el día anterior a su entrada en operación como regulador de frecuencia, se le calcula la preoferta de disponibilidad.
Para un SAEB independiente la preoferta será la resultante de restar de la capacidad nominal de generación y la generación mínima por seguridad eléctrica, valor que será modificado por el agente de allí en adelante.
b) La Oferta de Disponibilidad para Regulación Secundaria de Frecuencia, se hará por planta y/o unidad, con o sin SAEB incorporado en sus activos de conexión, o por SAEB independiente en el siguiente formato:
| Identificador | Tipo | Disponibilidad AGC Hora 01 | Disponibilidad AGC Hora 02 | Disponibilidad AGC Hora … | Disponibilidad AGC Hora 24 |
| Nombre Unidad 1 | A | Valor 01 | Valor 02 | Valor … | Valor 24 |
| Nombre Unidad 2 | A | ||||
| . . . | . . . | . . . | . . . | . . . | . . . |
| Nombre Unidad n | A | ||||
| Nombre planta | AP | ||||
| Nombre SAEB | AS | ||||
Donde:
| Identificador | Nombre de la planta / unidad / SAEB. Se debe utilizar el mismo nombre de la Oferta de Precios |
| Tipo | Identificador del Tipo de Oferta. Se utiliza una AP para identificar la oferta de AGC de la planta y A para identificar la oferta de las unidades y AS para identificar la oferta de SAEB |
| Disponibilidad | Números enteros que representan la disponibilidad en MW para Regulación Secundaria de Frecuencia |
Se deberá incluir en la oferta para AGC, además de la información de oferta de disponibilidad para AGC por unidad, el valor total ofertado para la planta. El CND definirá el formato para tal declaración.
c) Si no se efectúa Oferta de Disponibilidad para Regulación Secundaria de Frecuencia, se entiende que este agente no desea participar en la prestación del Servicio. Es decir, equivale a Ofertar una disponibilidad de cero (0) y se aplicará lo establecido en casos de Ofertas insuficientes.
d) En caso de Ofertas insuficientes, se procederá a recuperar la última oferta mayor que cero (0) que haya efectuado cada una de las unidades. Se asumirá que la oferta de la planta corresponde a la suma aritmética de las ofertas recuperadas de sus unidades.
e) Son causales de invalidez de Oferta de Disponibilidad para el Servicio de regulación Secundaria de Frecuencia las siguientes:
i. Errores de sintaxis en la oferta (p.e. Identificador, Tipo), se hace extensible a la oferta de la planta o del SAEB independiente.
ii. Oferta incompleta. Debe contener 24 valores incluyendo el cero (0), se hace extensible a la oferta de la planta o el SAEB independiente. Por tanto, toda oferta de disponibilidad para Regulación Secundaria de Frecuencia de las unidades, debe tener asociada la oferta de Regulación Secundaria de Frecuencia de la planta respectiva.
iii. Oferta de disponibilidad por unidad mayor que la diferencia entre la disponibilidad total declarada y el mínimo para AGC de la unidad. Para el caso de las SAEB, oferta de disponibilidad mayor que la diferencia entre la disponibilidad total declarada y el mínimo para AGC del SAEB.
iv. Cuando la oferta de disponibilidad para AGC que se efectúe por planta o la suma de ofertas de disponibilidad que se efectúen por unidad, resulte inferior al valor mínimo por planta para participar en el AGC.
Para el SAEB independiente cuando la oferta de disponibilidad para AGC que se efectúe resulte inferior al valor mínimo para participar en el AGC.
v. Cuando la Oferta de Disponibilidad que se efectúe por planta y/o la suma de Ofertas de Disponibilidad que se efectúen por unidad y/o la oferta de disponibilidad que se efectúen por SAEB independiente, resulte inferior al porcentaje de la Reserva de Regulación Secundaria de Frecuencia requerida para el período horario.
4. ASIGNACION DE LA RESERVA DE REGULACION
El CND distribuirá los requerimientos de reserva entre las plantas y/o unidades Elegibles y/o SAEB independiente, previo al despacho económico, teniendo en cuenta los siguientes criterios:
a) El precio a considerar para asignar la regulación entre las plantas y/o unidades y/o SAEB Elegibles, es el mismo precio de oferta a la Bolsa de energía y los precios de arranque-parada que hayan efectuado los agentes para dichas plantas y/o unidades y/o SAEB en la Bolsa.
b) La distribución de los requerimientos de reserva de Regulación Secundaria de Frecuencia entre las unidades elegibles se efectuará con el siguiente proceso de optimización, teniendo en cuenta que la asignación total por planta y SAEB independiente no puede ser superior a su disponibilidad total ofertada para AGC.
La asignación de la reserva necesaria se hará por un proceso de optimización que minimice los precios para cubrir las necesidades del SIN en las 24 horas, tal que:
![]()
Sujeto a estas restricciones:

Restricciones operativas
Donde:
i: Indexa a los generadores y SAEB independientes
t: Indexa las Horas del día
Pof: oferta de precio en la bolsa de energía
Par: oferta de precio de arranque-parada de plantas térmicas que arrancan por asignación de holgura
DAGC: Holgura para regulación secundaria de frecuencia
RAGC: reserva de regulación requerida
c) En caso de oferta insuficiente para cubrir los requerimientos de reserva de regulación requerida, el CND acudiendo al esquema de “Coordinación de la Operación en Tiempo Real” (Numeral 5.2 del Código de Operación), designará a la o las plantas y/o SAEB y/o unidades Elegibles hasta llenar los requerimientos de reserva, teniendo en cuenta la minimización de costos.
En este caso se verifica la disponibilidad actual y la última oferta para regulación de frecuencia, con el fin de establecer la disponibilidad para regulación que se considerará.
d) Si la utilización de una planta y/o unidad y/o SAEB independiente no permite cumplir con las condiciones técnicas establecidas en el Numeral 2 del presente Anexo, en condiciones de oferta suficiente, se hará una optimización con los siguientes recursos y se le asignará el mínimo técnico de regulación (definido por el CNO), reasignándose los requerimientos de la reserva rodante restante, entre los primeros que minimizan los precios, ordenados de acuerdo con las ofertas de precio a la Bolsa de Energía. Este proceso se realizará en forma iterativa hasta cubrir los requerimientos técnicos y de reserva.
e) Si durante la operación el CND detecta, que uno o varios de los recursos de regulación, no cumplen los niveles de calidad establecidos, podrá retirar temporalmente el recurso en cuestión del esquema de regulación, mientras se realizan los correctivos necesarios. El CND informará al CNO sobre las causas que motivaron la decisión de retiro temporal.
En Acuerdo CNO se deberá implementar el procedimiento de retiro y reingreso de plantas y/o unidades y/o SAEB de la prestación del servicio de AGC.
f) De forma excepcional y bajo condiciones de emergencia del SIN que impliquen la imposibilidad de controlar desde el CND los recursos de generación que prestan el servicio AGC, será posible la prestación de este servicio de forma local, teniendo en cuenta las acciones e instrucciones que el CND establezca. En todo caso, el CND coordinará con los operadores de los países interconectados el mecanismo para regular los intercambios de potencia, de acuerdo con lo establecido en los acuerdos operativos para la operación de las interconexiones.
ARTÍCULO 82. MODIFÍQUESE EL NUMERAL 4.5 DEL ANEXO GENERAL DE LA RESOLUCIÓN CREG 070 DE 1998. El numeral 4.5 del Anexo General de la Resolución CREG 070 de 1998 quedará así:
4.5 PROCEDIMIENTO PARA LA CONEXIÓN DE GENERACIÓN.
En el caso de Generadores, Plantas Menores, Autogeneradores, Cogeneradores y Sistemas de Almacenamiento de Energía con Baterías (SAEB) que proyecten conectarse directamente a un STR y/o SDL, el procedimiento para la conexión y requisitos técnicos y operativos se rigen en lo que aplique a lo dispuesto en las Resoluciones CREG 025 de 1995 y CREG 030 de 1996 y demás normas que las modifiquen o sustituyan.
Para generadores solares o eólicos con capacidad efectiva neta o potencia máxima declarada igual o mayor a 1 MW conectados al SDL se aplicará lo dispuesto en requisitos técnicos y operativos de que trata el anexo 11 y 12 de la presente resolución.
ARTÍCULO 83. VIGENCIA. Esta resolución rige a partir de su publicación en el Diario Oficial y deroga las normas que le sean contrarias.
Cualquier adición, modificación o sustitución de las disposiciones legales y regulatorias a las que se hace referencia en el presente acto administrativo y que se realicen con posterioridad a su expedición, se entenderán incorporadas a este.
Dada en Bogotá D.C, a los trece (13) días del mes de septiembre del año 2025.
PUBLÍQUESE Y CÚMPLASE
CONDICIONES DE LAS GARANTÍAS.
En este anexo se establecen los aspectos generales que deben considerarse para la garantía exigida a los SAEB como activos de red ejecutados a través de procesos de selección, con el fin de cubrir el cumplimiento las obligaciones asociadas con su instalación.
1. PRINCIPIOS Y OTORGAMIENTO DE LAS GARANTÍAS.
Las garantías reguladas en la presente resolución deberán cumplir con los siguientes criterios:
a) Cuando se trate de garantías otorgadas por una entidad financiera domiciliada en Colombia, se deberá acreditar una calificación de riesgo crediticio de la deuda de largo plazo de grado de inversión, por parte de una Agencia Calificadora de Riesgos vigilada por la Superintendencia Financiera de Colombia.
b) Cuando se trate de garantías otorgadas por una entidad financiera del exterior, esta deberá estar incluida en el listado de entidades financieras del exterior contenido en el Anexo No. 1 de la Circular Reglamentaria Externa DCIN-83 del Banco de la República o en las normas que lo modifiquen, adicionen o sustituyan y acreditar una calificación de deuda de largo plazo de Standard & Poor's Corporation o de Moody's Investor's Services Inc., de al menos grado de inversión.
c) La entidad financiera otorgante deberá pagar al primer requerimiento del beneficiario.
d) La entidad financiera otorgante deberá pagar dentro de los dos (2) días hábiles siguientes a la fecha en que se realice el primer requerimiento siempre que se trate de una entidad financiera domiciliada en Colombia, o dentro de los quince (15) días calendario siguientes a la fecha en que se realice el primer requerimiento, siempre que se trate de una entidad financiera del exterior.
e) El valor pagado por la entidad financiera otorgante deberá ser igual al valor total de la cobertura conforme con lo indicado en la presente resolución. Por tanto, el valor pagado debe ser neto, libre de cualquier tipo de deducción, depósito, comisión, encaje, impuesto, tasa, contribución, afectación o retención por parte de la entidad financiera otorgante y/o de las autoridades cambiarias, tributarias o de cualquier otra índole que pueda afectar el valor del desembolso de la garantía.
f) Que la entidad financiera otorgante de la garantía renuncie a requerimientos judiciales, extrajudiciales o de cualquier otro tipo, para el pago de la obligación garantizada, tanto en Colombia como en el exterior.
g) Cuando se trate de garantías expedidas por entidades financieras domiciliadas en Colombia, el valor de la garantía constituida deberá estar calculado en moneda nacional o en dólares de los Estados Unidos de América y ser exigible de acuerdo con la Ley Colombiana.
h) Cuando se trate de garantías expedidas por entidades financieras del exterior, el valor de la garantía constituida deberá estar calculado en dólares de los Estados Unidos de América, y ser exigible de acuerdo con las Reglas y Usos Uniformes 600 de la Cámara de Comercio Internacional, CCI, (ICC Uniform Customs and Practice for Documentary Credits, UCP 600) o aquellas normas que las modifiquen, adicionan o sustituyan y con las normas del estado de Nueva York de los Estados Unidos de América. Cualquier disputa que pueda surgir en relación con la garantía entre el beneficiario y el otorgante, será resuelta definitivamente bajo las reglas de Conciliación y Arbitraje de la CCI, por uno o más árbitros designados, de acuerdo con las mencionadas reglas. En todo caso, uno de los árbitros será de nacionalidad colombiana.
1.1. ACREDITACIÓN DE LA ENTIDAD OTORGANTE.
Para efectos de demostrar el cumplimiento de los criterios a) y b) del numeral 1, los agentes deberán acreditar al Administrador del Sistema de Intercambios Comerciales, ASIC, al momento de presentación, ajuste o reposición de las garantías, que la entidad financiera otorgante satisface los requerimientos indicados en estos criterios.
Para las garantías con vigencia superior a un (1) año, la calificación de riesgo deberá ser actualizada anualmente, a partir de su presentación, por los agentes que estén obligados a presentar las respectivas garantías.
El agente deberá informar al Administrador del Sistema de Intercambios Comerciales, ASIC, cualquier modificación en la calificación de que tratan los literales a) y b) del numeral 1, así como también toda circunstancia que afecte o pueda llegar a afectar en cualquier forma la garantía o la efectividad de la misma. Dicha información deberá ser comunicada a más tardar quince (15) días hábiles después de ocurrido el hecho.
El cumplimiento de las obligaciones señaladas en esta resolución se deberá garantizar mediante uno o varios de los siguientes instrumentos:
2.1. INSTRUMENTOS ADMISIBLES PARA GARANTÍAS NACIONALES:
a) Garantía Bancaria: Instrumento mediante el cual una institución financiera debidamente autorizada por la Superintendencia Financiera, garantiza de forma incondicional e irrevocable el pago de las obligaciones indicadas en la presente resolución. La Garantía será pagadera a la vista y contra el primer requerimiento escrito en el cual XM S.A. E.S.P., en calidad de ASIC, informe que el agente no ha dado cumplimiento a las obligaciones objeto de la garantía. La forma y perfeccionamiento de esta garantía se regirá por las normas del Código de Comercio que regulan la materia y por las demás disposiciones aplicables.
b) Aval Bancario: instrumento mediante el cual una institución financiera debidamente autorizada por la Superintendencia Financiera, interviene como avalista respecto de un título valor, para garantizar el pago de las obligaciones indicadas en la presente resolución. La forma y perfeccionamiento de esta garantía se regirá por las normas del Código de Comercio que regulan la materia y por las demás disposiciones aplicables.
c) Carta de Crédito Stand By: crédito documental e irrevocable, mediante el cual una institución financiera debidamente autorizada por la Superintendencia Financiera, se compromete directamente o por intermedio de un banco corresponsal, al pago de las obligaciones indicadas en la presente resolución, contra la previa presentación de la Carta de Crédito Stand By. La forma y perfeccionamiento de esta se regirán por las normas del Código de Comercio que regulan la materia y por las demás disposiciones aplicables.
2.2. INSTRUMENTOS ADMISIBLES PARA GARANTÍAS INTERNACIONALES:
Carta de Crédito Stand By: crédito documental e irrevocable mediante el cual una institución financiera del exterior se compromete directamente o por intermedio de un banco corresponsal, al pago de las obligaciones indicadas en la presente resolución, contra la previa presentación de la Carta de Crédito Stand By.
3. APROBACIÓN DE LAS GARANTÍAS.
La garantía exigida deberá presentarse al ASIC para su aprobación, antes de ser entregada a la entidad correspondiente según lo previsto en la presente resolución.
El ASIC tendrá un plazo de dos días hábiles, contados desde la fecha de recibo de la garantía, para pronunciarse sobre su aprobación.
Para todos los proyectos, la UPME deberá informar al ASIC el valor de cobertura de la garantía al momento de publicar los documentos de selección.
4. ADMINISTRACIÓN DE LA GARANTÍA.
El ASIC será el encargado de la custodia y administración de la garantía exigida. Igualmente, el ASIC será el encargado de la ejecución de esta garantía ante la ocurrencia de cualquiera de los eventos de incumplimiento definidos en este anexo.
Para estos fines, al momento de solicitar a la CREG la oficialización del ingreso del adjudicatario, la UPME deberá informar que la garantías se encuentra en poder del ASIC y entregar copia de la respectiva aprobación emitida por este.
5. ACTUALIZACIÓN DEL VALOR DE COBERTURA.
El valor de cobertura de la garantía se deberá actualizar en los siguientes casos:
a) Además de los casos previstos en esta resolución para la actualización del valor de la cobertura de la garantía, en los casos de garantías internacionales, cada vez que la tasa de cambio representativa del mercado tenga una variación de más del 10%, en valor absoluto, con respecto al valor de la tasa de cambio utilizada para calcular el valor de la cobertura de la garantía vigente, se deberá verificar que la cobertura de la garantía sea por lo menos del 105% del valor requerido en pesos colombianos.
Si el valor de la cobertura resulta inferior al 105% del valor requerido se deberá ajustar la garantía para alcanzar por lo menos este valor, en un plazo de 15 días hábiles contados a partir de la fecha en que el ASIC informe de tal requerimiento.
Si el valor de la cobertura resulta superior al 110% del valor requerido, quien constituyó la garantía podrá solicitar la actualización de su valor para que sea por lo menos el 105% del valor requerido en pesos colombianos.
b) Cuando el ejecutor del proyecto opte por modificar la FPO, de acuerdo con lo previsto en el numeral 8 de este anexo.
En este caso, el valor de la cobertura se actualizará multiplicándolo por un factor que dependerá del tiempo de atraso. El factor multiplicador se determina con la siguiente fórmula:
![]()
Donde:
FM: Factor multiplicador del valor de la cobertura
MR: Número de meses de atraso para la puesta en operación del proyecto.
Mplazo: Número de meses de duración de la ejecución del proyecto, de acuerdo con el cronograma entregado
Los meses se calcularán como el número entero que resulte de dividir entre 30 la diferencia, en días calendario, existente entre dos fechas.
El valor máximo que puede tomar la cobertura será el 100% del valor del proyecto estimado por la UPME.
6. OBLIGACIONES A GARANTIZAR Y CUMPLIMIENTO DE LAS MISMAS.
El ejecutor del SAEB como activo de red deberá garantizar lo siguiente:
a) Permanecer como responsable del proyecto hasta la FPO y ponerlo en operación comercial en esa fecha.
Esta obligación se entenderá cumplida con el informe que emita el CND en el que dé cuenta de que el proyecto entró en operación comercial.
b) Construir el proyecto cumpliendo a cabalidad con los requisitos técnicos establecidos para el mismo.
Esta obligación se entenderá cumplida con el informe que emita el interventor en el que dé cuenta del cumplimiento de los requisitos técnicos establecidos para el proyecto.
c) Mantener vigente el contrato de interventoría con las condiciones previstas en esta resolución y realizar cumplidamente los pagos establecidos.
Esta obligación se entenderá cumplida con la aprobación que de tal situación reporte el interventor en sus informes periódicos.
d) No abandonar o no retirarse de la ejecución del proyecto.
Esta obligación se entenderá cumplida con el informe que emita el CND en el que dé cuenta de que el proyecto entró en operación comercial.
e) Actualizar la garantía, el valor de la cobertura o prorrogar su vigencia, en los términos establecidos en esta resolución.
Esta obligación se entenderá cumplida con la aprobación por parte del ASIC, de la garantía actualizada o prorrogada.
Constituyen eventos de incumplimiento cualquiera de los siguientes:
d) El vencimiento de la FPO sin que se haya producido la puesta en operación del proyecto, salvo que antes de esta fecha el agente adjudicatario haya modificado la FPO de acuerdo con lo previsto en el numeral 8 de este anexo.
Para lo previsto en este literal, la FPO se podrá prorrogar solamente por una vez. Vencida la nueva fecha sin que se haya producido la puesta en operación se ejecutará la garantía.
a) Se determine el incumplimiento grave e insalvable de acuerdo con lo previsto en el artículo 36.
b) No actualizar la garantía, el valor de la cobertura o no prorrogar su vigencia, en los términos establecidos en esta resolución.
8. MODIFICACIÓN DE LA FPO POR PARTE DEL EJECUTOR DEL PROYECTO.
La fecha de puesta en operación del proyecto se entenderá modificada por el agente adjudicatario cuando dé cumplimiento al siguiente procedimiento:
a) Se haya informado al ASIC una nueva fecha de puesta en operación del proyecto.
b) Se haya actualizado el valor de la cobertura de acuerdo con lo indicado en el numeral 5 de este anexo.
c) Se haya prorrogado la vigencia de la garantía.
d) Se haya prorrogado el contrato de interventoría.
e) Se haya comprometido incondicionalmente a pagar al ASIC, durante los meses de atraso, un valor equivalente al ingreso mensual que se tenía previsto para remunerar al ejecutor del proyecto.
9. VALOR DE COBERTURA DE LA GARANTÍA.
La garantía debe ser expedida por el monto calculado como el 20% del valor estimado del proyecto por parte de la UPME.