RESOLUCIÓN 174 DE 2021
(octubre 7)
Diario Oficial No. 51.867 de 23 de noviembre de 2021
COMISIÓN DE REGULACIÓN DE ENERGÍA Y GAS - CREG
Por la cual se regulan las actividades de autogeneración a pequeña escala y de generación distribuida en el Sistema Interconectado Nacional
LA COMISIÓN DE REGULACIÓN DE ENERGÍA Y GAS
En ejercicio de sus atribuciones constitucionales y legales, en especial las conferidas por las Leyes 142 y 143 de 1994, y en desarrollo de los Decretos 1524, 2253 de 1994, 2696 de 2004, compilado en el Decreto 1078 de 2015 y 1260 de 2013.
CONSIDERANDO QUE:
El artículo 365 de la Constitución Política establece que los servicios públicos son inherentes a la finalidad social del Estado, y es deber de este asegurar su prestación eficiente a todos los habitantes del territorio nacional.
El artículo 370 de la Constitución Política asigna al Presidente de la República la función de señalar, con sujeción a la ley, las políticas generales de administración y control de eficiencia de los servicios públicos domiciliarios. Los servicios públicos hacen parte de la cláusula del Estado Social de Derecho.
Según la Ley 142 de 1994, artículo 74, son funciones y facultades especiales de la CREG, entre otras, las de regular el ejercicio de las actividades de los sectores de energía y gas combustible para asegurar la disponibilidad de una oferta energética eficiente; propiciar la competencia en el sector de minas y energía, y proponer la adopción de las medidas necesarias para impedir abusos de posición dominante y buscar la liberación gradual de los mercados hacia la libre competencia; y establecer criterios para la fijación de compromisos de ventas garantizadas de energía y potencia entre las empresas eléctricas, y entre éstas y los grandes usuarios.
El literal b) del artículo mencionado atribuye a la CREG la facultad de expedir regulaciones específicas para la autogeneración y cogeneración de electricidad, uso eficiente de energía, y de establecer criterios para la fijación de compromisos de ventas garantizadas de energía y potencia entre las empresas eléctricas, y entre éstas y los grandes usuarios.
Por principio de eficiencia económica, según la Ley 142 de 1994, se entiende así: “Por eficiencia económica se entiende que el régimen de tarifas procurará que éstas se aproximen a lo que serían los precios de un mercado competitivo; que las fórmulas tarifarias deben tener en cuenta no solo los costos sino los aumentos de productividad esperados, y que éstos deben distribuirse entre la empresa y los usuarios, tal como ocurriría en un mercado competitivo; y que las fórmulas tarifarias no pueden trasladar a los usuarios los costos de una gestión ineficiente, ni permitir que las empresas se apropien de las utilidades provenientes de prácticas restrictivas de la competencia. En el caso de servicios públicos sujetos a fórmulas tarifarias, las tarifas deben reflejar siempre tanto el nivel y la estructura de los costos económicos de prestar el servicio, como la demanda por éste”.
El artículo 23 de la Ley 143 de 1994 señala que corresponde a la CREG “Crear las condiciones para asegurar la disponibilidad de una oferta energética eficiente, capaz de abastecer la demanda bajo criterios sociales, económicos, ambientales y de viabilidad financiera, promover y preservar la competencia”.
El artículo 11 de la Ley 143 de 1994 define el concepto de autogenerador como aquel generador que produce energía eléctrica exclusivamente para atender sus propias necesidades.
La Ley 1715 de 2014 tiene por objeto promover el desarrollo y la utilización de las fuentes no convencionales de energía, principalmente aquellas de carácter renovable, en el sistema energético nacional. Así mismo, autoriza la entrega de excedentes de energía a la red por parte de los autogeneradores, y le otorga a la CREG la facultad de establecer los procedimientos para la conexión, operación, respaldo y comercialización de energía de la autogeneración y de la generación distribuida.
En particular, para la autogeneración a pequeña escala, la Ley 1715 de 2014 determinó que los elementos para promover esta actividad deben tener en cuenta la definición de mecanismos simplificados de conexión y la entrega de excedentes, así como la aceptación de medidores bidireccionales de bajo costo para esta actividad.
La Ley 1715 de 2014 le confirió a la CREG la facultad de definir las normas para la remuneración de los excedentes que generen autogeneradores de pequeña escala, que utilicen Fuentes No Convencionales de Energía Renovable, FNCER, los cuales se reconocerán mediante un esquema bidireccional como créditos de energía.
El límite de potencia máximo para que un autogenerador sea considerado como de pequeña escala, definido en la Resolución UPME 281 de 2015, es igual a 1 MW, y corresponderá a la capacidad instalada del sistema de generación del autogenerador.
La Ley 2099 de 2021 dispuso que los autogeneradores de propiedad de productores de petróleo y/o gas natural pueden vender sus excedentes al mercado mayorista a través de empresas facultadas para ello.
Mediante la Resoluciones 084 de 1996 y 024 de 2015, la CREG reguló las actividades del autogenerador conectado al Sistema Interconectado Nacional, SIN.
El Ministerio de Minas y Energía, mediante el Decreto 348 de 2017, estableció los lineamientos de política frente a las condiciones simplificadas para la autogeneración, en términos de la medición, la conexión, el contrato de respaldo, y la entrega de excedentes y su respectiva liquidación. Igualmente, la Ley 1715 de 2014 ordena establecer un proceso de conexión simplificado para los autogeneradores a gran escala con excedentes de energía menores a 5 MW.
El Decreto 348 de 2017 dispone que para la autogeneración a pequeña escala que utilice FNCER, los excedentes que entreguen a la red de distribución se reconocerán mediante un esquema de medición bidireccional, como créditos de energía.
Para la regulación de la autogeneración a pequeña escala, la CREG debe aplicar los criterios definidos en la Ley 1715 de 2014 y Ley 2099 de 2021, así como los establecidos en las leyes 142 y 143 de 1994.
Mediante la Resolución CREG 121 de 2017 se publicó el proyecto de resolución “Por la cual se regulan las actividades de autogeneración a pequeña escala y de generación distribuida en el Sistema Interconectado Nacional”, aprobada en sesión CREG 798 del 28 de agosto de 2017.
Posteriormente, se publicó la Resolución CREG 030 de 2018, “Por la cual se regulan las actividades de autogeneración a pequeña escala y de generación distribuida en el Sistema Interconectado Nacional”, aprobada en sesión CREG No. 842 del 26 de febrero de 2018.
Desde la expedición de la Resolución CREG 030 de 2018, la Comisión ha recibido múltiples solicitudes de concepto para aclarar temas de procedimientos de conexión, requisitos técnicos y de aplicación de reglas comerciales.
La Comisión realizó la contratación de dos estudios de consultoría: el primero en el año 2019 bajo el título “Estudio para el Diseño de Indicadores de Seguimiento y Evaluación de la Integración de la Autogeneración y la Generación Distribuida en el Sistema Interconectado Nacional”, con el cual se realizó la evaluación de trayectorias e indicadores de seguimiento para la incorporación de la autogeneración y generación; y el segundo en el año 2020, “Revisión de los requisitos técnicos y el procedimiento de conexión para autogeneradores, cogeneradores y generadores hasta 5 MW”, en el que se hizo la evaluación de los procedimientos de conexión de generadores y autogeneradores en el SIN, y la propuesta de ajustes respectivos.
La Comisión expidió la Resolución CREG 130 de 2019, “Por la cual se definen los principios, comportamientos y procedimientos que deben cumplir los comercializadores en la celebración de contratos de energía destinados al mercado regulado”.
Con fundamento en los lineamientos de política pública establecidos por el Ministerio de Minas y Energía mediante la Resolución 40311 de 2020, la CREG debe definir las condiciones regulatorias para la asignación de capacidad de transporte a generadores en el Sistema Interconectado Nacional, para lo cual la Comisión señaló los criterios y procedimientos a tener en cuenta por parte de los involucrados en esta actividad. Adicionalmente, la citada resolución estableció la destinación de una ventanilla única en la cual se tramitarán todas las solicitudes de conexión de generación y de los usuarios de las redes del SIN.
En cumplimiento de lo anterior, la Comisión expidió la Resolución CREG 075 de 2021 “Por la cual se definen las disposiciones y procedimientos para la asignación de capacidad de transporte en el Sistema Interconectado Nacional”.
Mediante Resolución CREG 002 de 2021, la Comisión sometió a consulta del mercado y público en general el texto de este acto administrativo, cuyos comentarios y análisis se encuentran en el documento CREG D-142 de 2021 soporte de la presente resolución.
Del análisis de los comentarios recibidos se realizaron ajustes a la propuesta consultada que se contemplan en esta resolución.
La Comisión recibió concepto de la Dirección de Impuesto y Aduanas Nacionales -DIAN- en mayo de 2021 en el que se establece lo siguiente:
“(…) en el caso de la comercialización y la venta de excedentes de energía, por parte de los autogeneradores, se indica de acuerdo con las normas previamente citadas, que en la medida en que la operación de venta sea efectuada por parte de sujetos obligados a facturar, los mismos deberán expedir las respectivas facturas de venta de conformidad con las normas vigentes.
Sin embargo, si el autogenerador es un sujeto no responsable de IVA, este se encuentra catalogado por el artículo 616-2 del Estatuto Tributario como no obligado a facturar y en consecuencia, no deberá cumplir con esta obligación formal. (…)”
La Comisión de Regulación de Energía y Gas, en sesión No. 1109 del 30 de julio de 2021, decidió aprobar la presente resolución y enviar a la Superintendencia de Industria y Comercio (SIC) para emisión de concepto de abogacía de la competencia.
Recibido el concepto de la SIC con radicado 21-64533-15-0 del 13 de septiembre de 2021, la Superintendencia Delegada para la Protección de la Competencia de la SIC recomendó:
1. Ajustar la metodología de remuneración de las actividades de generación distribuida, de manera que se reconozca la totalidad de los beneficios por reducción de pérdidas técnicas percibidas por los OR, con independencia de la calidad de integrado o no del comercializador.
2. Analizar la incidencia que puede tener el establecimiento de una garantía líquida en los términos del Proyecto sobre la concurrencia de los agentes al mercado de generación de energía eléctrica bajo la modalidad de GD y AGPE, a efectos de evitar que esta situación pueda convertirse en una barrera de entrada infranqueable para algunos agentes de mercado.
3. Establecer una disposición tendiente a que se pueda materializar efectivamente la posibilidad de que los AGPE y los GD puedan ejercer el derecho a la libre elección del representante de la frontera, de suerte que no se generen condicionamientos desproporcionados u otros que disuadan a los AGPE y/o a los GD para el ejercicio de dicho derecho.
4. Incluir en el Proyecto una disposición que señale que los operadores de red no pueden generar condiciones discriminatorias para con los usuarios solicitantes interesados en concurrir en el sector de autogeneración y autogeneración distribuida.
De conformidad con el concepto 11001030600020130000500 del 4 de julio de 2013 de la Sala de Consulta y Servicio Civil del Consejo de Estado, con ponencia del Consejero Dr. Wiliam Zambrano Cetina, existe un carácter no vinculante del concepto emitido por la SIC con relación a la autonomía normativa de las autoridades de regulación. En este sentido, la Comisión se aparta de las recomendaciones 1 y 2 por los siguientes motivos:
1. El agente designado por el Decreto 387 de 2007, “por medio del cual se establecen las políticas generales del servicio de energía eléctrica y se dictan otras disposiciones”, para la administración, operación y mantenimiento de las pérdidas en un mercado de comercialización, es el Operador de Red quien, justamente, es el que está integrado con el comercializador incumbente, y es este último a través del cual se realizan las liquidaciones en un sistema.
La liquidación de un mercado se efectúa restando las medidas de los comercializadores entrantes de la(s) frontera(s) del incumbente, quien responde por todas las diferencias entre las pérdidas reconocidas y las reales, es decir, el comercializador incumbente es el agente que se afecta o beneficia por las diferencias entre las pérdidas reales y las pérdidas reconocidas. Dado que este es el único agente encargado de gestionar las pérdidas y el único beneficiario por una disminución de las mismas, es el agente con el que se debe efectuar la transacción.
No se puede realizar la transacción recomendada con los comercializadores entrantes porque ellos no son los responsables de la gestión de pérdidas. Así mismo, las pérdidas que le son cobradas son las mismas que ellos reciben de los usuarios, sin que tengan ningún margen de diferencia al respecto. Asignarles alguna responsabilidad de reconocimiento de pérdidas a los GD por parte de un comercializador entrante causaría un desequilibrio respecto del reconocimiento de sus costos.
2. Se aclara que no existe garantía para extender la vigencia de la aprobación de la conexión de los GD y AGPE; al contrario, se permitió que se extendiera sin costo.
La garantía de que trata la presente resolución aplica para los autogeneradores a gran escala (AGGE) con potencia máxima declarada entre 1 y 5 MW.
Con respecto a los otros comentarios, se aceptan y se realiza el ajuste correspondiente.
La Comisión de Regulación de Energía y Gas, en sesión No.1127 del 07 de octubre de 2021, decidió aprobar la presente resolución. En consecuencia,
RESUELVE:
DISPOSICIONES GENERALES.
ARTÍCULO 1. OBJETO. Regular aspectos operativos y comerciales para permitir la integración de la autogeneración a pequeña escala y de la generación distribuida al Sistema Interconectado Nacional (SIN). También se regulan aspectos de procedimiento de conexión de los autogeneradores a gran escala con potencia máxima declarada menor a 5 MW.
ARTÍCULO 2. ÁMBITO DE APLICACIÓN. Esta resolución aplica a los autogeneradores a pequeña escala conectados al SIN, a los agentes comercializadores o generadores que los atienden, les compren energía o los representan, a los generadores distribuidos, a los operadores de red y transmisores nacionales. También aplica a las conexiones de los autogeneradores a gran escala con potencia máxima declarada menor a 5 MW, en lo concerniente a las condiciones de conexión que se establecen en el Capítulo III de esta resolución. Esta resolución no aplica para sistemas de suministro de energía de emergencia.
ARTÍCULO 3. DEFINICIONES. Para efectos de esta resolución se tendrán en cuenta las siguientes definiciones:
Autogeneración. Actividad realizada por usuarios, sean estos personas naturales o jurídicas, que producen energía eléctrica, principalmente para atender sus propias necesidades. Cuando se atienda la propia demanda o necesidad se realizará sin utilizar activos de uso de distribución y/o transmisión. Se podrán utilizar activos de uso de distribución y/o transmisión para entregar los excedentes de energía y para el uso de respaldo de red.
Autogenerador. Usuario que realiza la actividad de autogeneración. El usuario puede ser o no ser propietario de los activos de generación para realizar la actividad de autogeneración.
Autogenerador a gran escala (AGGE). Autogenerador con capacidad instalada o nominal superior al límite definido en el artículo primero de la Resolución UPME 281 de 2015, o aquella que la modifique o sustituya.
Autogenerador a pequeña escala (AGPE). Autogenerador con capacidad instalada o nominal igual o inferior al límite definido en el artículo primero de la Resolución UPME 281 de 2015 o aquella que la modifique o sustituya.
Capacidad instalada o nominal de un autogenerador y un generador distribuido. Es la capacidad continua a plena carga del sistema de generación del autogenerador o el generador que se conecta al SIN, bajo las condiciones especificadas según el diseño del fabricante.
Cuando la conexión al SIN sea a través de inversores, esta capacidad corresponde a la suma de las capacidades nominales de los inversores en el lado de corriente alterna o con conexión al SIN. La capacidad nominal de un inversor corresponde al valor nominal de salida de potencia activa indicado por el fabricante.
Si el valor de placa se encuentra en unidades de kVA o MVA, se deberá asumir un factor de potencia unitario.
CND. Centro Nacional de Despacho.
CNO. Consejo Nacional de Operación.
Crédito de energía. Cantidad de excedentes de energía entregados a la red por un AGPE con FNCER, que se permuta contra la importación de energía que éste realice durante un período de facturación.
Excedentes de energía. Toda entrega de energía eléctrica a la red realizada por un autogenerador, expresada en kWh.
Fuentes No Convencionales de Energía Renovable (FNCER). Son las fuentes de energía, tales como la biomasa, los pequeños aprovechamientos hidroeléctricos, la eólica, la geotérmica, la solar, los mares, hidrógeno verde y azul, de acuerdo con la definición establecida en las Leyes 1715 de 2014, Ley 2099 de 2021, o aquellas que la modifiquen o sustituyan.
Generación distribuida: Es la actividad de generar energía eléctrica con una planta con capacidad instalada o nominal de generación menor a 1MW, y que se encuentra instalada cerca de los centros de consumo, conectada al Sistema de Distribución Local (SDL).
Generador distribuido (GD). Empresa de Servicios Públicos (ESP) que realiza la actividad de generación distribuida. Para todos los efectos, es un agente generador sujeto a la regulación vigente para esta actividad, con excepción de los procedimientos de conexión y comercialización aquí definidos.
Importación de energía. Cantidad de energía eléctrica consumida desde las redes del SIN por un autogenerador, expresada en kWh.
Operador de Red de STR y SDL, OR. Persona encargada de la planeación de la expansión, las inversiones, la operación y el mantenimiento de todo o parte de un Sistema de Transmisión Regional, STR, o de un Sistema de Distribución Local, SDL, incluidas sus conexiones al Sistema de Transmisión Nacional, STN. Los activos pueden ser de su propiedad o de terceros. Para todos los propósitos, son las empresas que tienen Cargos por Uso de los STR o SDL aprobados por la CREG. El OR siempre debe ser una Empresa de Servicios Públicos Domiciliarios, ESP. La unidad mínima de un SDL para que un OR solicite Cargos de Uso corresponde a un Municipio.
Potencia máxima declarada para AGPE y AGGE. Corresponde a la potencia que es declarada por el AGPE o AGGE ante el OR, en el momento del registro de la frontera comercial para entrega de excedentes de energía, cuando aplica, y declarada durante el procedimiento de conexión.
Para el GD se entiende que es la capacidad efectiva neta aplicable a los agentes generadores de acuerdo con la regulación vigente, declarada ante el OR en el procedimiento de conexión y en el momento de registro de la frontera comercial.
La potencia máxima declarada será igual a la potencia establecida en el contrato de conexión, en caso de que este aplique. Así mismo, esta deberá ser menor o igual a la capacidad instalada o nominal, y será la máxima capacidad que se puede entregar a la red en la frontera comercial.
Servicio del Sistema. Conjunto de actividades necesarias que permiten la aplicación del crédito de energía.
Sistema de Distribución Local, SDL. Sistema de transporte de energía eléctrica compuesto por el conjunto de líneas y subestaciones, con sus equipos asociados, que operan a los niveles de tensión 3, 2 y 1 dedicados a la prestación del servicio en un Mercado de Comercialización.
Sistemas de suministro de energía de emergencia. Son aquellas plantas, unidades de generación o sistemas de almacenamiento de energía que utilizan los usuarios para atender parcial o totalmente su consumo en casos de interrupción del servicio público de energía eléctrica, y tienen un sistema de transferencia manual o automático de energía, o algún sistema que garantiza la no inyección de energía eléctrica a la red.
Sistema de Transmisión Regional, STR. Sistema de transporte de energía eléctrica compuesto por los Activos de Conexión del OR al STN y el conjunto de líneas, equipos y subestaciones, con sus equipos asociados, que operan en el nivel de tensión 4. Los STR pueden estar conformados por los activos de uno o más OR.
Sistema de Transmisión Nacional, STN. Es el sistema interconectado de transmisión de energía eléctrica compuesto por el conjunto de líneas, equipos de compensación y subestaciones que operan a tensiones iguales o superiores a 220 kV, los transformadores con este nivel de tensión en el lado de baja, y los correspondientes módulos de conexión.
Transmisor Nacional, TN. Persona jurídica que realiza la actividad de Transmisión de Energía Eléctrica en el STN, o que ha constituido una empresa cuyo objeto es el desarrollo de dichas actividades. Para todos los propósitos, son las empresas que tienen aprobado por la CREG un inventario de activos del STN o un Ingreso Esperado. El TN siempre debe ser una Empresa de Servicios Públicos Domiciliarios, ESP.
INTEGRACIÓN A LA RED DE LA AUTOGENERACIÓN Y LA GENERACIÓN DISTRIBUIDA.
ARTÍCULO 4. INDICADORES DE INTEGRACIÓN DE LA AGPE AL SIN. Cuando la cantidad de energía anual utilizada para crédito de energía en un mercado de comercialización supere el 4% de la demanda comercial regulada anual de ese mercado, la CREG podrá revisar y modificar las condiciones de remuneración que se establecen en esta resolución.
El Administrador del Sistema de Intercambios Comerciales (ASIC) deberá suministrar a la Comisión, semestralmente, en los meses de enero y julio de cada año, el reporte de la energía inyectada a la red por AGPE y GD, durante el semestre anterior, con detalle diferenciado para AGPE y GD, de tal forma que se pueda identificar como mínimo la siguiente información de los AGPE:
a) La cantidad total de AGPE para los cuales es el reporte,
b) Conocer, de forma agregada, los excedentes discretizados por tipo (excedentes usados o no para el crédito de energía conforme el artículo 26 de la presente resolución), año, mes, día y hora.
c) La información debe estar discriminada por mercado de comercialización y agente comercializador o agente generador que adquiere la energía.
d) El tipo de mercado, regulado o no regulado, según aplique, al cual es destinada la energía excedente.
Adicionalmente, para aquellas fronteras AGPE con reporte al ASIC, el ASIC deberá solicitar la información que corresponda, al representante de la correspondiente frontera, con el fin de completar la información de los literales a) al d) del presente artículo. El mecanismo para solicitar la información adicional que se necesite puede ser el mismo adoptado para fronteras sin reporte al ASIC de los AGPE u otro que adopte el ASIC.
ARTÍCULO 5. CONDICIÓN PARA CONECTARSE COMO AGPE, AGGE O GD. Cualquier usuario que esté interesado en convertirse en AGPE o AGGE, o aquel prestador que esté interesado en convertirse en GD, lo podrá hacer una vez cumpla con los requisitos establecidos en la presente resolución.
En el caso de un usuario cuyo consumo de energía se encuentre registrado en una de las fronteras comerciales para agentes y usuarios de que trata el parágrafo del artículo 14 de la Resolución CREG 156 de 2011 o aquella que la modifique, adicione o sustituya, y requiera convertirse en AGPE que entrega excedentes, deberá realizar las adecuaciones en sus instalaciones para que sus consumos y entregas de excedentes no sean incluidos en la frontera que lo agregaba. No obstante, en el caso de que el usuario requiera convertirse en AGPE sin entrega de excedentes a la red, lo podrá realizar sin necesidad de modificar sus instalaciones para independizar sus consumos, pero de igual forma debe seguir el procedimiento establecido en esta resolución.
PARÁGRAFO 1. Todos los AGPE, AGGE y GD existentes al momento de expedición de esta resolución tienen la obligación de entregar la información que corresponda al OR al que estén conectados, declarando su capacidad instalada o nominal y la potencia máxima declarada. Esta obligación deberá cumplirse dentro de los tres (3) meses siguientes a la actualización del formato definido por el OR. El OR debe actualizar y publicar el formato en su página web durante los quince (15) días hábiles siguientes a la entrada en vigencia de la presente resolución, dando aviso de esta publicación. Además, los OR deben informar, mediante el correo electrónico registrado, de la necesidad y obligación de esta actualización a cada uno de los AGPE, AGGE y GD existentes conectados en sus redes.
PARÁGRAFO 2. Para todos los efectos de esta resolución, el valor de capacidad instalada o nominal y la potencia máxima declarada de un autogenerador o generador distribuido se dará en unidades de kW, con una precisión de tres (3) cifras decimales, y se deberá declarar en el procedimiento de conexión.
PARÁGRAFO 3. Una vez el AGPE, AGGE o GD haya realizado el proceso de conexión y esté en operación, el OR debe mantener la infraestructura disponible para recibir los excedentes del autogenerador o la energía del GD.
ARTÍCULO 6. ESTÁNDARES TÉCNICOS DE DISPONIBILIDAD DEL SISTEMA EN EL NIVEL DE TENSIÓN 1. Con anterioridad a efectuar una solicitud de conexión de un GD o un AGPE a un SDL en el nivel de tensión 1, el solicitante deberá verificar en la página web del OR que la red a la cual desea conectarse tenga disponibilidad para ello y cumpla con los siguientes parámetros:
a) La sumatoria de la potencia máxima declarada de todos los GD y AGPE que entregan energía a la red, en un mismo circuito de nivel de tensión 1, debe ser igual o menor al 50% de la capacidad nominal del circuito, transformador o subestación donde se solicita el punto de conexión. La capacidad nominal de una red está determinada por la capacidad del transformador que la alimenta. Cuando la capacidad nominal esté en unidades de kVA o MVA, se asume un factor de potencia igual a 1.
b) La cantidad total de energía en una hora que pueden entregar todos los GD y AGPE a la red, conectados al mismo circuito o transformador del nivel de tensión 1, cuyo sistema de producción de energía sea distinto al compuesto por un sistema fotovoltaico sin capacidad de almacenamiento, no debe superar el 50% del promedio anual de las horas de mínima demanda diaria de energía registradas para el año anterior al de solicitud de conexión.
La cantidad de energía que un GD o un AGPE puede entregar a la red en una hora se asume como el valor de la potencia máxima declarada durante el período de una hora.
c) La cantidad total de energía en una hora que pueden entregar todos los GD y AGPE a la red, conectados al mismo circuito o transformador del nivel de tensión 1, cuyo sistema de producción de energía sea el compuesto por un sistema fotovoltaico sin capacidad de almacenamiento, no debe superar el 50% del promedio anual de las horas de mínima demanda diaria de energía registradas para el año anterior al de solicitud de conexión en la franja horaria comprendida entre 6 a.m. y 6 p.m.
La cantidad de energía que un GD o un AGPE puede entregar a la red en una hora se asume como el valor de la potencia máxima declarada durante el período de una hora.
En caso de que en el punto de conexión deseado no se cumpla alguno de los parámetros anteriores, se deberá seguir el proceso de conexión descrito en el artículo 17 de esta resolución.
PARÁGRAFO 1. Los AGPE que no entregan excedentes de energía a la red no serán sujetos de la aplicación de los límites de que trata este artículo.
PARÁGRAFO 2. Para el cumplimiento de lo dispuesto en los literales b) y c) del presente artículo se debe utilizar la información real más actualizada posible. En caso de no contar con información, el OR deberá aceptar las conexiones que se le soliciten, y no podrá trasladar ninguna responsabilidad ante contingencias presentadas por este hecho.
ARTÍCULO 7. SISTEMA DE INFORMACIÓN DE DISPONIBILIDAD DE RED. Los OR deben disponer de información suficiente para que un potencial AGPE o GD pueda conocer el estado de la red según las características requeridas en el artículo 6 de la presente resolución.
Cada OR deberá disponer en su página web un enlace denominado: “Usuarios Autogeneradores y Generadores Distribuidos - Resolución CREG 174 de 2021” en la portada principal de la página web del OR, en un lugar visible y de fácil acceso. Este enlace deberá direccionar a un sitio web que deberá contar con un sistema de información georreferenciado de fácil acceso, que permita a un potencial AGPE o GD observar el estado de la red y las características técnicas básicas del punto de conexión deseado, sin generar ningún tipo de cobro para los interesados, y sin que el usuario o interesado requiera de software específico que le genere algún cobro por su utilización o licenciamiento.
En el caso en el que un OR ofrezca servicios de instalación de equipos de generación para ejercer la actividad de autogeneración, debe quedar claro y visible en el sitio web que dicho servicio también puede ser ofrecido por un tercero diferente al OR o agente comercializador.
Para el acceso a dicho sistema en el sitio web y para la consulta de la información (mapa de la red e información de todos los puntos de conexión), el OR solo podrá solicitar al usuario interesado una autenticación que corresponda a un correo electrónico y contraseña. El OR no deberá solicitar información como el número de cliente, código de circuito o transformador al que pertenece el usuario, para acceder a la consulta de la información o acceso al sistema. La consulta de información no implica el inicio del trámite de la solicitud de conexión.
El sistema de información georreferenciado deberá proporcionar una opción para que el usuario realice la búsqueda de una ubicación específica de forma ágil, para lo cual debe contar con una herramienta de búsqueda con base en la identificación de la cuenta, código de circuito o transformador al que pertenece el usuario. El sistema deberá contener la información de todos los transformadores instalados en la red del OR respectivo.
El sistema de información del OR debe mantener una velocidad de acceso a la información suficiente que garantice una consulta oportuna y completa para los usuarios interesados.
Dicho sistema en el sitio web deberá tener, como mínimo, la siguiente información:
a) Cartillas de fácil entendimiento, con los principales aspectos regulatorios aplicables a la autogeneración y generación distribuida, el detalle de los procedimientos de conexión para que los potenciales AGPE y GD puedan consultar de manera rápida las condiciones de acceso a la red.
b) Formato de actualización de información definido por el OR para aquellos AGPE o GD existentes, conforme a lo establecido en el artículo 5 de la presente resolución.
c) Línea de atención al cliente y correo electrónico de contacto.
d) Ubicación georreferenciada de los transformadores, de las subestaciones y de las redes de baja tensión, según lo descrito en la Resolución de la Superintendencia de Servicios Públicos Domiciliarios 20102400008055 de 2010 o aquella que la modifique o sustituya.
e) Voltaje nominal de la subestación, transformador o red de baja tensión del punto de conexión del usuario.
f) Capacidad nominal de la subestación, transformador o red de baja tensión al que pertenezca el punto de conexión del usuario, expresada en kW. Cuando la capacidad nominal esté en unidades de kVA o MVA, se asume un factor de potencia igual a 1.
g) Valor de la sumatoria de la potencia máxima declarada de los GD y AGPE instalados en el mismo circuito o transformador, así como la clasificación en colores en función de la capacidad nominal del circuito o transformador respecto de la citada sumatoria, así:
- Color verde, cuando la relación sea inferior o igual al 30%, indicando su respectivo valor en kW.
- Color amarillo, cuando la relación se encuentre en el rango entre 30% y 40% incluido, indicando sus respectivos valores en kW.
- Color naranja, cuando la relación se encuentre en el rango entre 40% y 50% incluido, indicando sus respectivos valores en kW.
- Color rojo cuando la relación sea superior a 50%, indicando su respectivo valor en kW.
De igual forma, se deberá poder observar el valor de capacidad disponible para el AGPE o el GD que realice la búsqueda en el sistema, expresada en kW y con precisión de tres (3) cifras decimales.
h) Valor de la sumatoria de la cantidad de energía que pueden entregar los AGPE y GD conectados al mismo circuito o transformador, así como la clasificación en colores en función de la cantidad mínima de energía horaria, acorde con lo establecido en los literales b) y c) del artículo 6 de esta resolución, así:
- Color verde, cuando la relación sea inferior o igual al 30% indicando su respectivo valor en kWh.
- Color amarillo, cuando la relación se encuentre en el rango entre 30% y 40% incluido, indicando sus respectivos valores en kWh.
- Color naranja, cuando la relación se encuentre en el rango entre 40% y 50% incluido, indicando sus respectivos valores en kWh.
- Color rojo, cuando la relación sea superior a 50%, indicando su respectivo valor en kWh.
De igual forma, el potencial AGPE o el GD que realice la búsqueda, deberá poder observar el 50% del promedio anual de las horas de mínima demanda diaria de energía registradas para el año anterior al de solicitud de conexión o búsqueda en el sistema, en kWh, de acuerdo con lo establecido en los en los literales b) y c) del artículo 6 de esta resolución, y con una precisión de tres (3) cifras decimales.
El sistema de información, incluyendo todas las características descritas en esta resolución, debe estar disponible para el público en un tiempo de noventa (90) días hábiles, contados a partir de la entrada en vigencia de la presente resolución. El sistema de información debe ser actualizado entre el día uno (1) y el día cinco (5) de cada mes, con la información recibida hasta el último día del mes anterior al de actualización. La fecha de esta actualización debe estar visible en el sitio web del sistema de información.
Durante el tiempo que dure la actualización mensual del sistema de información, de ser necesario, el OR dispondrá la información en formato de hoja de cálculo de uso común en su página web, que permita una búsqueda fácil para consulta de la ciudadanía. El OR debe publicar dicho formato en los quince (15) días hábiles siguientes a la publicación de la presente resolución.
Este sistema de información deberá permanecer activo y funcionando aún después de la entrada en funcionamiento de la ventanilla única de que trata el artículo 9 de la presente resolución.
ARTÍCULO 8. SISTEMA DE INFORMACIÓN PARA EL TRÁMITE EN LÍNEA. Cada OR debe disponer de un sistema de información computacional para que un potencial AGPE, AGGE o GD, pueda adelantar todo el trámite de conexión, pueda recibir notificaciones y requerimientos por medios electrónicos, y pueda conocer el estado de su trámite en todo momento.
El sistema de información para el trámite en línea debe contener, al menos, los pasos y procedimientos descritos en la presente resolución para la conexión de un potencial AGPE, AGGE o GD. Así mismo, el sistema para el trámite en línea debe disponer, para cada solicitud de conexión, un botón que permita visualizar toda la información cargada por el solicitante y cargada por el OR durante el proceso de la solicitud. También, se debe poder visualizar el paso en el que se encuentra el proceso, y las fechas de inicio y finalización de cada uno.
Este sistema de información deberá estar disponible en el sitio web del que trata el artículo 7 de la presente resolución, junto con el sistema de información de disponibilidad de la red georreferenciado, de tal forma que se pueda acceder a este de forma fácil y ágil.
Este sistema de información para el trámite en línea deberá tener las siguientes características:
1. Este sistema también deberá proporcionar acceso al sistema de información georreferenciada o de disponibilidad de red, acorde con lo establecido en el artículo 7 de la presente resolución, de tal forma que el usuario pueda hacer las verificaciones respectivas para solicitar su punto de conexión en el marco del trámite, sin que el usuario o interesado requiera de software específico que le genere algún cobro por su utilización o licenciamiento.
2. En el caso en el que un OR o agente comercializador ofrezca servicios de instalación de equipos de generación para ejercer la actividad de autogeneración, en el sistema de información se debe informar que dicho servicio también puede ser ofrecido por un tercero diferente al OR o agente comercializador.
3. Antes de iniciar el trámite en línea, cualquier persona deberá poder ver, sin ninguna restricción, la siguiente información:
a) Botón de trámite de conexión y estado del trámite.
b) Formato de conexión simplificado.
c) Lineamientos de los estudios de conexión simplificados.
d) Acuerdos vigentes de pruebas y de protecciones, diseñados por el CNO.
e) Contrato de conexión proforma de acuerdo con lo definido en el artículo 16 de esta resolución.
f) Botón de peticiones, quejas y reclamos de los solicitantes, donde se pueda evidenciar la solicitud del usuario y la respuesta.
g) Cartillas de fácil entendimiento, de que trata el literal a) del artículo 7 de la presente resolución.
h) Valor del costo de conexión conforme lo establecido en el anexo 5 de esta resolución.
i) Valor a cobrar por realizar el estudio de conexión simplificado, en caso de ofrecer el servicio. En todo caso, se debe aclarar que lo puede prestar un tercero, siempre y cuando cumpla con los requisitos establecidos en el estudio de conexión simplificado.
j) Línea de atención al cliente y correo electrónico de contacto.
4. Cuando el usuario interesado inicie con el trámite ante el OR, el sistema solicitará la autenticación en el mismo por medio de un usuario y contraseña. Esta autenticación permitirá al usuario tener acceso a la información del estado del trámite y avance de su solicitud.
Una vez entre en funcionamiento la ventanilla única de que trata el artículo 9 de la presente Resolución, los literales b) al j) del numeral 3 anterior, deberán ser visualizados en el sitio web de que trata el artículo 7 de la presente Resolución. El acceso a lo anterior también deberá estar disponible en la ventanilla única.
Este sistema de información, con sus respectivos ajustes, debe estar disponible para el público en un tiempo de sesenta (60) días hábiles contados a partir de la entrada en vigencia de la presente resolución.
PARÁGRAFO. Una vez el AGPE, AGGE o el GD haya finalizado el procedimiento de conexión a través del sistema trámite en línea, el sistema de trámite en línea debe permitir que se almacene información de seguimiento de la operación, como por ejemplo de desconexión, reconexión o retiro del sistema por voluntad propia, o demás información que la CREG determine mediante circular.
ARTÍCULO 9. VENTANILLA ÚNICA. <Artículo modificado por el artículo 25 de la Resolución 101 072 de 2025. El nuevo texto es el siguiente:> Los potenciales AGPE, AGGE y los GD deben gestionar su solicitud de conexión a través de la ventanilla única de que trata la Resolución CREG 075 de 2021 que implementará y gestionará la entidad que defina el Ministerio de Minas y Energía conforme a sus lineamientos.
Para el caso de los interesados a los que les aplica lo establecido en la presente resolución, la ventanilla única tiene como objetivo ser una plataforma para que el interesado gestione su trámite de conexión ante el OR, de tal forma que sea posible facilitar el intercambio de información con los agentes y hacer transparentes y más eficientes los pasos y los tiempos del trámite de solicitud de conexión. Además, la ventanilla única tiene por objetivo brindar información y acceso a las entidades de regulación, planeación, vigilancia y control del sector. En esa medida, en la ventanilla única reposará toda la información que permitirá observar y analizar la evolución de la integración de la autogeneración y GD en el país. Por tanto, la ventanilla única deberá recopilar, como mínimo, la información solicitada mediante el formato de reporte de que trata el artículo 28 de la presente resolución.
El diseño de esta ventanilla única deberá contemplar todo lo establecido en la presente resolución, además de los otros requerimientos que determinen la CREG, la SSPD y la UPME por medio de mesas de trabajo para el diseño de detalle de esta ventanilla.
Los OR seguirán siendo los agentes responsables de atender y resolver las solicitudes de conexión que se presenten en la ventanilla única para los proyectos de los que trata esta resolución. Estos agentes deberán gestionar, con la entidad que defina el Ministerio de Minas y Energía para el manejo de la ventanilla única, la articulación entre los servicios de sus sistemas de información de disponibilidad de red y trámite en línea, y dicha ventanilla, así como el suministro de información que se requiera para el desarrollo del diseño de detalle de la ventanilla.
Todas las actividades que se establezcan en la presente resolución para ser ejecutadas en el sistema para el trámite en línea deberán poder gestionarse en la ventanilla única, una vez esta esté disponible.
PARÁGRAFO 1o. En la ventanilla única se debe registrar la información de la totalidad de solicitudes de conexión que se hayan llevado a cabo por parte de los AGPE, AGGE y GD para lo cual, el OR deberá gestionar, con la entidad que defina el Ministerio de Minas y Energía para el manejo de la ventanilla única, la migración de la información histórica que corresponda.
PARÁGRAFO 2o. El OR es el agente responsable de atender y resolver las solicitudes de conexión que se presenten en la ventanilla única para trámite en línea de los proyectos de la que trata la presente resolución. Por su parte, el usuario es el responsable de allegar la información solicitada, conforme a lo señalado en el procedimiento de conexión correspondiente y a lo establecido en la presente resolución.
PARÁGRAFO 3o. La Comisión, podrá establecer parámetros mínimos adicionales a los que se determinen para el desarrollo de la ventanilla única.
ARTÍCULO 10. TRANSICIÓN DEL SISTEMA PARA EL TRÁMITE EN LÍNEA Y DE LOS PROCEDIMIENTOS DE CONEXIÓN. Una vez la ventanilla única esté disponible, las nuevas solicitudes de conexión se deberán tramitar a través de esta. El sistema para el trámite en línea deberá continuar funcionando conforme a lo establecido en el artículo 8 de la presente resolución hasta tanto se complete el trámite de las solicitudes de conexión que se iniciaron a través del mismo antes de la entrada en funcionamiento de la ventanilla.
Las solicitudes que estén en curso actualmente mediante el procedimiento de conexión establecido en la Resolución CREG 030 de 2018, continuarán con dicho procedimiento de conexión hasta su finalización.
Los procedimientos de conexión de la presente resolución se aplicarán a partir del momento en que el OR los haya implementado en el sistema para el trámite en línea actualizado conforme al plazo mencionado en el artículo 8 de esta resolución.
PARÁGRAFO. Una vez entre en funcionamiento la ventanilla única y culmine el período de transición de que trata el presente artículo, el micrositio o sitio web del sistema de trámite en línea deberá ser retirado del sitio web del OR. A cambio, para aquellos usuarios interesados en el trámite de conexión y que accedan a la página web del OR, deberán ser redireccionados a la ventanilla única.
ARTÍCULO 11. AUDITORIA DE SISTEMAS DE INFORMACIÓN Y SISTEMA DE TRÁMITE EN LÍNEA. El OR deberá contar con las auditorías del funcionamiento de los sistemas de información y de la aplicación de los procedimientos de conexión, conforme a lo que determine la Superintendencia de Servicios Públicos Domiciliarios.
CONDICIONES DE CONEXIÓN.
ARTÍCULO 12. REQUISITOS PARA LA CONEXIÓN Y OPERACIÓN. Los requisitos para la conexión y operación serán los siguientes:
a. Para que los AGPE, AGGE o los GD realicen la solicitud de conexión, se deberá diligenciar un formato de conexión simplificado que será diseñado por el CNO y publicado mediante Circular CREG. Cuando este formato deba ser actualizado, el CNO deberá enviar a la Comisión la propuesta de actualización, con el documento que soporte la propuesta, para su análisis y publicación.
b. Para que los AGPE y los GD con capacidad instalada o nominal mayor a 100 kW realicen la solicitud de conexión, o los AGGE con potencia máxima declarada menor a 5 MW, se deberá realizar un estudio de conexión simplificado.
El estudio de conexión simplificado no aplica para: i) los AGPE o AGGE sin entrega de excedentes, ii) los AGPE con entrega de excedentes de capacidad instalada menor o igual a 100 kW, iii) los GD con capacidad instalada menor o igual a 100 kW.
El contenido del estudio de conexión simplificado será diseñado por el CNO y publicado mediante Circular CREG. En el diseño del estudio se deben incluir las causales de rechazo debidamente enumeradas. Cuando este documento de estudio de conexión simplificado deba ser actualizado, el CNO deberá enviar a la Comisión la propuesta de actualización, junto con el documento que soporte la propuesta, para una nueva publicación.
Las pruebas y verificaciones en sitio en la etapa de entrada en operación se definirán conforme a la capacidad nominal o instalada, la potencia máxima declarada, y los acuerdos de pruebas y protecciones del CNO, así:
i. Para los AGPE o los GD con capacidades nominales o instaladas menores a 10 kW:
El OR sólo realizará: 1) inspección visual o de verificación de los parámetros declarados, 2) inspección visual o de verificación de la configuración del sistema de inversores (si los tiene), y 3) inspección visual o de verificación del esquema de protecciones.
ii. Para los AGPE o los GD con capacidades nominales o instaladas iguales o superiores a 10 kW y menores o iguales a 100 kW:
El OR realizará una inspección visual o de verificación de los parámetros declarados, y la inspección visual o de verificación de la configuración del sistema de inversores (si los tiene).
Para el esquema de protecciones y para la verificación del tiempo de reconexión, se realizarán las pruebas definidas en el Acuerdo CNO.
iii. Para los AGPE o los GD con capacidades nominales o instaladas mayores a 100 kW e inferiores o iguales a 1 MW, y para los AGGE con potencia máxima declarada inferior a 5 MW o AGGE sin entrega de excedentes:
Deben cumplir con todas las pruebas que sean establecidas en el Acuerdo CNO.
c. En todo caso, los AGPE, AGGE o los GD deberán cumplir con el Acuerdo de Protecciones. El cumplimiento del Acuerdo se verifica en un primer momento, para la aprobación de la conexión, con la documentación entregada en el procedimiento de conexión; luego, a partir de las inspecciones visuales en sitio al momento de energización y/o las pruebas a realizar en caso de que apliquen conforme el literal b anterior.
d. Los AGGE y los GD deben declarar su programa de generación de acuerdo con lo establecido en la Resolución CREG 025 de 1995 o aquella que la modifique o sustituya. El AGPE no es sujeto de dicha declaración.
En el caso del GD, este deberá informar al CND la fecha de entrada en operación y su capacidad máxima declarada, mediante los medios que actualmente disponga el CND para tal fin.
e. Los AGGE y los GD podrán contar con supervisión desde el centro de control del OR en los términos de la regulación vigente. El AGPE no será sujeto de supervisión.
PARÁGRAFO 1. <Ver prórroga en Notas de Vigencia> En un tiempo de treinta (30) días hábiles siguientes a la entrada en vigencia de la presente resolución, el CNO deberá actualizar o desarrollar el Acuerdo de protecciones, el documento con los lineamientos del estudio de conexión simplificado y el Acuerdo de pruebas, acorde con lo establecido en la presente resolución.
El Acuerdo del CNO de protecciones no podrá limitar de ninguna forma los porcentajes de penetración definidos en el artículo 6 de la presente resolución.
PARÁGRAFO 2. <Ver prórroga en Notas de Vigencia> El CNO determinará, mediante Acuerdo, los requisitos y pruebas a realizar a los sistemas de supervisión de los AGGE y los GD. El CNO tendrá un plazo de treinta (30) días hábiles siguientes a la entrada en vigencia de la presente resolución para la elaboración de dicho Acuerdo.
PARÁGRAFO 3. Los Acuerdos de protecciones, pruebas y supervisión, o sus modificaciones, deben ser consultados con todos los interesados, GD y usuarios autogeneradores antes de su publicación final. En todo caso, de conformidad con el Artículo 36 de la Ley 143 de 1994, los Acuerdos del CNO podrán ser recurridos ante la CREG.
Cuando los Acuerdos se actualicen, y posterior a su publicación como Acuerdo en la página web del CNO, se deberá informar a la Comisión de los cambios realizados.
ARTÍCULO 13. ORDEN DE ASIGNACIÓN PARA LAS SOLICITUDES DE CONEXIÓN. Los OR deben garantizar que el orden en que se llenan las redes producto de la asignación de capacidad de acuerdo con la aplicación de los procedimientos del anexo 5 de la presente resolución, es en el de llegada o registro de los proyectos.
ARTÍCULO 14. PROCEDIMIENTOS DE CONEXIÓN SIMPLIFICADOS. Los procedimientos de conexión se presentan en el anexo 5 de la presente resolución, sujetos a los requisitos de documentación que se establecen a continuación:
Tabla 1. Requisitos de documentación de los procedimientos de conexión.
| Condición (1) | Tipo | Capacidad Instalada o nominal | Documentación tipo (SÍ: es necesario, NO: no es necesario) | ||||||
| A | B | C | D | E | F (3) | G | |||
| Entregan energía a la red | AGPE | = 100 kW | NO | SÍ | SÍ | SÍ | SÍ | SÍ | SÍ |
| GD | = 100 kW | NO | SÍ | SÍ | NO | SÍ | SÍ | SÍ | |
| AGPE | > 100 kW | SÍ | SÍ | SÍ | SÍ | NO | SÍ | SÍ | |
| GD | > 100 kW | SÍ | SÍ | SÍ | NO | NO | SÍ | SÍ | |
| AGGE | < 5 MW (2) | SÍ | SÍ | SÍ | SÍ | NO | SÍ | SÍ | |
| No entregan energía a la red | AGPE | = 1 MW | NO | SÍ | SÍ | SÍ | NO | SÍ | SÍ |
| AGGE | Cualquier capacidad | NO | SÍ | SÍ | SÍ | NO | SÍ | SÍ | |
Notas:(1) La condición de entrega o no de energía a la red aplica para autogeneradores. El GD siempre entrega energía a la red conforme a su actividad económica. (2) Corresponde a la potencia máxima declarada para el AGGE.(3) Solo en el caso de usar inversores para conexión a red. De lo contrario, NO aplica.
Tabla 2. Descripción documentación tipo de la Tabla 1.
| Tipo | Descripción del documento tipo |
| A | Estudio de conexión simplificado de que trata el artículo 12 de la presente Resolución. |
| B | Formulario de conexión simplificado de que trata el artículo 12 de la presente Resolución. |
| C | Certificado de capacitación o experiencia en la instalación tipo.La empresa encargada de la instalación, o el instalador, deben certificar al menos 1 año de experiencia específica acorde con el tipo de tecnología a instalar, o adjuntar un certificado de capacitación del personal en la instalación tipo que se llevará a cabo.Mientras el Ministerio de Minas y Energía regla lo anterior, la certificación deberá ser clara sobre la experiencia a acreditar y el tiempo requerido, o el certificado de capacitación. Transitoriamente se entiende que son certificaciones de capacitación que pueden ser expedidas por una institución educativa acreditada o que son de índole de educación no formal ofrecida por alguna empresa o que son certificaciones de experiencia certificada por alguna empresa donde se demuestre la experiencia en las instalaciones tipo que se lleven a cabo. La certificación debe contener la información suficiente para que los aspectos anteriormente mencionados puedan ser verificados en caso de aclaraciones. |
| D | Manual del (de los) dispositivo(s) que controla(n) la no inyección a red o la inyección a red en algún nivel fijo de potencia o energía. Si el inversor cuenta con dicha función, se debe entregar el manual del inversor. Si se tiene entrega de energía a la red y no se tiene un control de inyección en algún nivel fijo de potencia o energía, el documento no es necesario. Si no se tiene entrega de energía a la red, el documento si es necesario. Para un GD no aplica, pues la potencia máxima declarada corresponde a la capacidad efectiva neta. |
| E | Archivo de la consulta de la disponibilidad de red en el punto de conexión en la página web del OR, esto para los casos de AGPE que inyectan energía a la red y los GD y que se conectan a nivel de tensión 1. El sistema de información de disponibilidad de red debe generar el archivo con el resultado de la búsqueda en formato PDF, JPG u otros, para que el usuario lo pueda descargar. |
| F | Documento donde se demuestre el cumplimiento de normas para inversores, definidas en el formulario de conexión simplificado. La demostración del cumplimiento de las normas técnicas debe ser mediante certificado de producto emitido por un organismo de certificación acreditado, que haga parte de acuerdos de reconocimiento internacional. En todo caso, si el RETIE ya establece la demostración anterior, se realizará conforme este o su actualización lo determine. |
| G | Otra documentación: i) los diagramas unifilares (usar una norma nacional o internacional), ii) documento con la identificación esquemática de la conexión del sistema de puesta a tierra con su conductor correspondiente y que contenga el esquema de protecciones con sus características, iii) documento con las distancias de seguridad respecto a las redes existentes y el cuadro de cargas de la demanda total.Se deberá aplicar lo que el RETIE especifique para la documentación anterior. |
Respecto de los requisitos del Reglamento Técnico de Instalaciones Eléctricas (RETIE) se deberán entregar y cumplir conforme a lo que en él se establezca.
En el sistema de trámite en línea deberá existir un campo único donde se cargue toda la documentación que exija el RETIE.
En cualquier caso, en los procedimientos de conexión, la información que dispongan las reglas del RETIE deberá estar cargada en el momento que el solicitante la tenga lista, sin superar el momento en que se realiza la solicitud de entrada en operación en el sistema de trámite en línea.
ARTÍCULO 15. REGLAS DE VIGENCIA DE APROBACIÓN DE LA CONEXIÓN. La vigencia de la aprobación de la conexión tiene las siguientes reglas:
1. La fecha de notificación de la aprobación de la conexión conforme los procedimientos del anexo 5 de la presente resolución será considerada como la fecha de inicio de la vigencia de la aprobación.
2. Aunque el solicitante haya diligenciado una fecha de entrada en operación en el formulario de conexión simplificado, se entiende que esta es tentativa. No obstante, la fecha diligenciada, la solicitud de entrada en operación o la entrada en operación, en ningún caso puede superar el período de vigencia de la aprobación o la vigencia de aprobación prorrogada.
3. Si es un AGPE o un GD, la vigencia de la aprobación es de seis (6) meses. En todo caso, el AGPE o GD podrá solicitar, sin costo, un plazo adicional de tres (3) meses de vigencia para realizar la conexión, contados a partir de la finalización de la vigencia de seis (6) meses inicialmente aprobada. Esto se deberá solicitar en el sistema de trámite en línea al menos un (1) mes antes de la finalización de la vigencia de seis (6) meses inicialmente aprobada, y se entenderá aprobada una vez cargada en el sistema.
4. Si es un AGGE, la vigencia de la aprobación será así:
i. Para tecnología de generación hidráulica, la vigencia de la aprobación es de veinticuatro (24) meses.
ii. Para otras tecnologías diferentes a la del literal i anterior, la vigencia de la aprobación es de doce (12) meses.
iii. Los tiempos de los literales i y ii anteriores podrán ser prorrogables en los términos del numeral 7 de este artículo.
5. Si el AGPE, el AGGE o el GD desiste ante el OR de la ejecución de su proyecto de conexión, o el proyecto no entra en operación en la vigencia de conexión aprobada o prorrogada con por lo menos el 90% de la capacidad asignada, el OR liberará la capacidad de transporte no empleada.
6. Transcurrido el período de vigencia aprobado o prorrogado sin que el AGPE, el AGGE o el GD se haya conectado, se deberá iniciar un nuevo trámite y el OR liberará la capacidad asignada.
7. Para aquellos AGGE con potencia máxima declarada mayor a 1 MW y menor a 5 MW, la vigencia de la aprobación solo podrá prorrogarse una única vez y por las siguientes razones:
i. Cuando por razones de orden público, acreditadas por una autoridad competente, el desarrollo del proyecto presente atrasos en su programa.
ii. Por atrasos en la obtención de permisos, licencias o trámites, por causas ajenas a la debida diligencia del AGGE interesado.
iii. Cuando las obras de expansión del SIN presenten atrasos que no permitan la entrada en operación del proyecto.
Para lo anterior:
a. La vigencia de la aprobación se prorrogará en el mismo plazo y reglas establecidas en el numeral 4 de este artículo. Para este fin, se deberá actualizar la fecha de entrada en operación, que igualmente será tentativa.
b. En el sistema de trámite en línea debe quedar registrada la solicitud de prórroga de la vigencia de aprobación de capacidad y se debe visualizar la capacidad de transporte asignada, la cual corresponde a la potencia máxima declarada y aprobada durante el procedimiento de conexión.
El sistema de trámite en línea debe dar aviso de forma automática e inmediata del recibo de la solicitud de prórroga al OR, y debe enviar copia al ASIC de la solicitud, mediante correo electrónico, informando el valor de la capacidad de transporte asignada y la nueva fecha máxima de la vigencia de la aprobación. En todo caso, el ASIC deberá tener acceso a dicha información en el sistema de trámite en línea y a la información de que trata el anexo 3 de esta resolución.
c. Con el propósito de garantizar la utilización de la capacidad de transporte asignada, el AGGE interesado debe suscribir una garantía que cumpla con las condiciones establecidas en el anexo 3 de la presente Resolución y entregarla al ASIC. La entrega de la garantía deberá ser en físico, mientras el ASIC diseña un sistema de garantías que no requiera que sea entregada por ese medio. El AGGE debe prever que la garantía debe quedar aprobada por el ASIC antes de la finalización de la vigencia de la aprobación de la conexión obtenida durante el procedimiento de conexión.
El valor de la cobertura de la garantía para reserva de capacidad se calcula en pesos colombianos, multiplicando diez (10) dólares de los Estados Unidos de América por el número de kW de la capacidad de transporte asignada y establecida durante el procedimiento de conexión, y por la tasa de cambio representativa del mercado (TRM) vigente el lunes de la semana anterior a la fecha de emisión de la garantía.
La garantía se ejecuta si el AGGE no entra en operación en la fecha final de la vigencia de conexión prorrogada con por lo menos el 90% de la capacidad asignada. El OR tiene la obligación de informar al ASIC de dicha situación el día hábil siguiente al vencimiento de la vigencia de la aprobación prorrogada. Lo anterior se informa mediante email y se registra en el sistema de trámite en línea. El AGGE debe recibir copia de dicha notificación.
El proceso de ejecución de la garantía se inicia a partir de que el OR informa al ASIC que el AGGE no entró en operación en la fecha de la vigencia aprobada y prorrogada con por lo menos el 90% de la capacidad asignada.
d. El ASIC tendrá una cuenta particular para el manejo de los recursos provenientes de la ejecución de las garantías otorgadas en cumplimiento de lo previsto en este numeral.
Estos recursos, junto con los rendimientos que generen, una vez descontados los costos financieros e impuestos, se utilizarán para que el LAC disminuya el valor del ingreso utilizado para calcular los cargos por uso de distribución asociados al mercado de comercialización donde se iba a conectar el AGGE. La disminución de este valor del ingreso se realizará en el nivel de tensión en donde se iba a conectar el AGGE. Si los recursos generados por la ejecución de las garantías para reserva de capacidad superan el 30% del ingreso mensual del mercado de comercialización donde se iba a conectar el AGGE, solo se aplicará la cantidad equivalente a este porcentaje, y el saldo se usará en los siguientes meses, considerando el tope del 30% en cada caso.
El LAC deberá prever que en todo momento haya recursos suficientes para cubrir los costos en que se incurra por el manejo de la cuenta donde se depositan los recursos de las garantías ejecutadas.
e. La solicitud de prórroga de vigencia de la aprobación debe quedar consignada en el sistema de trámite en línea. El AGGE deberá realizar este paso antes de enviar al ASIC la garantía para aprobación.
f. Cuando el ASIC apruebe la garantía, debe informarlo al OR con copia al AGGE, a través del sistema de trámite en línea y correo electrónico.
Se entiende que la aprobación de la nueva vigencia de conexión fue exitosa una vez se reciba el concepto del ASIC. No se necesita nueva interacción con el OR.
El sistema de trámite en línea debe tener la posibilidad de cargar la copia de la garantía y el concepto sobre la misma; lo cual es realizado por el ASIC en el mismo momento en que envía el concepto sobre la garantía.
g. Mientras el ASIC no tenga acceso al sistema de trámite en línea o a la ventanilla única, el OR será el encargado de cargar la información que corresponde al ASIC en dicho sistema.
En el caso de que la garantía no se apruebe, el ASIC, en su concepto, debe informar qué requisitos se deben cumplir. El AGGE, si así lo considera, enviará de nuevo al ASIC la garantía para aprobación del mismo, y se procederá como se mencionó en los literales anteriores de este numeral.
De igual forma este paso debe quedar registrado en el sistema de trámite en línea.
ARTÍCULO 16. CONTRATO DE CONEXIÓN. Los contratos de conexión entre el AGPE, el AGGE o el GD y el OR serán necesarios sólo en los siguientes casos:
a) En caso de que por solicitud del AGPE, del AGGE o del GD, los activos de conexión los suministre o instale el OR. El costo de estos activos se establecerá de mutuo acuerdo entre las partes.
b) En caso de que se tenga que aumentar la capacidad de la red por aplicación del artículo 17 de esta resolución.
El plazo para la firma del contrato entre las partes es de quince (15) días hábiles, contados a partir de la fecha de inicio de vigencia de aprobación de la conexión conforme el artículo 15 de la presente resolución.
PARÁGRAFO 1. Durante los dos (2) meses siguientes a la entrada en vigencia de la presente resolución, los OR entregarán al CNO y al Comité Asesor de Comercialización (CAC) la minuta correspondiente a proyectos de los que trata esta resolución que se utilizarían para suscribir contratos de conexión con los interesados en conectarse a los sistemas de los cuales son responsables.
Para lo anterior solo se deberán tener en cuenta las causales mencionadas en este artículo y debe dividirse en contratos tipo por capacidad nominal o instalada (CI), así: CI menor a 10 kW; CI mayor o igual a 10 kW y menor o igual a 100 kW; CI mayor a 100 kW y menor o igual a 1 MW; o para AGGE con potencia máxima declarada menor a 5 MW.
Dentro de los tres (3) meses posteriores al anterior plazo, el CNO y el CAC elaborarán y propondrán a la CREG una minuta o, si se considera conveniente, varias minutas que permitan uniformizar los requisitos exigidos en los contratos de conexión, las cuales serán adoptadas por el Comité de Expertos de la CREG y publicadas mediante circular. Los OR deberán cargar dicha minuta en el sistema de trámite en línea para que los AGPE, los AGGE o los GD las usen en caso de que aplique.
Mientras ocurre lo anterior, el contrato de conexión preliminar a usar debe ser cargado por el OR en el sistema de trámite en línea en un tiempo de treinta (30) días hábiles luego de expedida esta resolución. Este contrato de conexón preliminar estará sujeto de ajustes entre las partes.
PARÁGRAFO 2. En caso de aplicarse este artículo y de no poderse firmar el contrato, el OR deberá cargar en el sistema de trámite en línea las razones y justificaciones de la no firma del contrato en un plazo de cinco (5) días hábiles contados a partir del momento en que se vence el plazo de la firma del contrato.
ARTÍCULO 17. CONEXIÓN AL SDL DE LOS AGPE Y LOS GD EN CASO DE INCUMPLIMIENTO DE LOS ESTÁNDARES TÉCNICOS DE DISPONIBILIDAD DEL SISTEMA. En los casos en que se haya identificado que el circuito o transformador no cumple con los estándares establecidos en el artículo 6 de esta resolución, se deberá seguir el procedimiento en el cual se aplica estudio de conexión simplificado conforme el anexo 5 de la presente resolución para lograr la aprobación.
En cualquier caso, los costos y gastos en que se incurra para aumentar la capacidad de la red para poder atender la conexión del potencial AGPE, AGGE o del GD serán cubiertos por el solicitante y podrán ser incluidos en el contrato de conexión. Para lo anterior, el OR deberá recomendar con precisión los requisitos que deben ser cumplidos y detallar las obras requeridas para hacer posible la conexión. Esto debe quedar en el sistema de trámite en línea.
ARTÍCULO 18. CAUSALES PARA DESCONEXIÓN DE LOS AGPE, AGGE O LOS GD. En caso de incurrir en algunas de las causales de que trata este artículo, y cuando la red se encuentre en riesgo por modificación de las características técnicas al momento de la conexión, el OR podrá suspender al AGPE, AGGE o desconectar al GD de la red de manera inmediata, y no podrá ser reconectado a la red hasta tanto no se subsane la causal de suspensión o desconexión. La suspensión para el AGPE o AGGE implica el corte de suministro de energía para su demanda, teniendo en cuenta lo establecido en el acuerdo especial anexo al contrato de prestación del servicio público domiciliario de energía eléctrica señalado en la Resolución CREG 135 de 2021 o aquella que la modifique o sustituya.
Las siguientes son las causales bajo las cuales se procederá con la suspensión o desconexión, según corresponda:
1. En caso de no seguir el procedimiento establecido en la presente resolución para la conexión de AGPE, AGGE o GD.
2. Cuando se demuestra que una planta de GD fue fraccionada, para efectos de reportarla como planta independiente ante el sistema. Igualmente, cuando se demuestra que el sistema de generación de un autogenerador se ha fraccionado para efectos de reportarlos como varios AGPE o AGGE independientes ante el sistema.
3. Cuando un OR detecte que un AGPE, AGGE o GD está conectado a la red sin atender a lo establecido en la presente resolución.
4. Cuando, con posterioridad a la puesta en servicio de la conexión, el OR encuentre que no se cumple alguna de las características contenidas en la solicitud de conexión.
El procedimiento a seguir para efectuar una suspensión o una desconexión se detalla en el anexo 2 de la presente resolución. Conforme a este procedimiento, el OR establecerá que un hallazgo es grave siempre y cuando se ponga en riesgo la seguridad, calidad y confiabilidad de la red.
Una vez se subsane la condición que dio origen a la suspensión o desconexión, el OR deberá reconectar al GD o reconectar el servicio al AGPE o AGGE, según sea el caso, en los plazos establecidos en el procedimiento. Si una vez subsanada la condición, el AGPE, AGGE o el GD permanece desconectado o suspendido, podrá hacer uso de los recursos de que trata el Artículo 154 de la Ley 142 de 1994.
PARÁGRAFO 1. El OR podrá verificar las condiciones de conexión de un proyecto en cualquier momento con posterioridad a la fecha de su entrada en operación. En caso de requerir realizar una visita, el OR deberá seguir el procedimiento establecido en el anexo 2 de la presente resolución.
PARÁGRAFO 2. El OR deberá dar aviso a los agentes representantes de la frontera de consumo y de entrega de excedentes sobre el procedimiento de suspensión o desconexión que va a realizar, así como de la respectiva reconexión, si es el caso. Esto se debe realizar por los medios dispuestos de comunicación vigentes entre operadores de red y agentes comercializadores, y a través del sistema de trámite en línea. El OR deberá extender dichos medios de comunicación con agentes generadores.
PARÁGRAFO 3. El OR deberá disponer de un informe con el detalle técnico de la desconexión o suspensión, el cual deberá poner a disposición del AGPE, AGGE o del GD y de la SSPD mediante el sistema para el trámite en línea.
PARÁGRAFO 4. Cuando, luego de la entrada en operación, el OR encuentre que se incumpla la regulación de calidad de la potencia expedida por la Comisión, deberá aplicarse lo establecido en el Anexo 1 de la Resolución CREG 024 de 2005, que modifica el Numeral 6.2.2. del Anexo general de la Resolución 070 de 1998, o aquella que la modifique o sustituya.
CONDICIONES DE MEDICIÓN.
ARTÍCULO 19. SISTEMA DE MEDICIÓN PARA LOS AGPE Y LOS GD. Los requisitos de medición que deberán cumplir los AGPE y los GD son los siguientes:
a) El AGPE que no entrega excedentes no tiene la obligación de modificar sus condiciones de medición existentes hasta tanto el usuario sea incluido en el plan de despliegue de la Infraestructura de Medición Avanzada.
b) El AGPE que entrega excedentes debe cumplir con los requisitos establecidos para las fronteras de generación en el Código de Medida, a excepción de las siguientes obligaciones:
i) Contar con el medidor de respaldo de que trata el artículo 13 de la Resolución CREG 038 de 2014.
ii) La verificación inicial por parte de la firma de verificación de que trata el artículo 23 de la Resolución CREG 038 de 2014.
iii) El reporte de las lecturas de la frontera comercial al ASIC cuando se vende la energía al comercializador integrado con el OR al cual se conecta.
En el caso de los consumos de energía, el sistema de medición debe cumplir los requisitos mínimos definidos en la Resolución CREG 038 de 2014 o aquella que la modifique o sustituya, de acuerdo con su condición de usuario regulado o no regulado.
Para los AGPE que vendan su energía al comercializador integrado con el OR o para aquellas fronteras sin obligación de registro en el ASIC, el comercializador que adquiere los excedentes, o el comercializador que representa la frontera, tienen la obligación de reportar al ASIC los excedentes totales de energía de los AGPE, dentro de las 48 horas del mes siguiente al de la entrega de energía, en el formato que el ASIC establezca para tal fin.
Los usuarios no regulados AGPE deberán reportar las medidas horarias de excedentes al ASIC en las mismas condiciones en que se reporta actualmente la medida de su consumo. El representante de la frontera de entrega de excedentes de los usuarios no regulados AGPE existentes dispondrá de un plazo de dos (2) meses contados a partir de la expedición de la presente resolución para realizar el reporte al ASIC.
En los casos en que no sea obligatorio el reporte horario telemedido de las lecturas de la frontera comercial al ASIC, de igual forma no puede ser exigible telemedición entre el AGPE y el comercializador. En todo caso, el usuario podrá, si así lo considera, acordar con el comercializador la interrogación remota de su medidor. Las condiciones en que se realiza la interrogación remota, y los respectivos costos, corresponden a un acuerdo entre las partes. Esta última disposición aplicará hasta tanto el medidor del usuario sea reemplazado de acuerdo con el plan de despliegue de la Infraestructura de Medición Avanzada.
c) Los GD deben cumplir con todos los requisitos establecidos para las fronteras de generación en el Código de Medida, Resolución CREG 038 de 2014 o aquella que la modifique o sustituya.
ARTÍCULO 20. FRONTERAS COMERCIALES. El comercializador que represente al AGPE deberá cumplir con lo establecido en la Resolución CREG 157 de 2011 y demás normas que la modifiquen o sustituyan para registrar su frontera de comercialización y/o su frontera de generación en las condiciones del artículo 4 de la mencionada resolución. En caso de que sea un agente generador el que represente al AGPE para entrega de excedentes, también se deberá cumplir lo anterior para la frontera de generación.
PARÁGRAFO 1. Los agentes comercializadores que representen fronteras de comercialización para entrega de excedentes de energía de AGPE, no tienen la obligación de constituirse como agentes generadores.
PARÁGRAFO 2. Los activos de generación que sean utilizados para atender un consumo propio podrán entregar energía únicamente en la frontera comercial asociada al autogenerador, que deberá corresponder al punto de conexión donde demanda energía.
ARTÍCULO 21. CAMBIO DE AGENTE QUE REPRESENTA LA FRONTERA COMERCIAL PARA ENTREGA DE EXCEDENTES DE UN AGPE. Para el cambio de agente que representa la frontera comercial para entrega de excedentes, se deberá proceder conforme a lo siguiente:
a) Los agentes comercializadores y generadores que representen una frontera de entrega de excedentes de AGPE deberán incluir en su página web un enlace en el que únicamente se publique información actualizada sobre el proceso de cambio de agente para la representación de la frontera que entrega excedentes de autogeneración. En el caso de un agente comercializador, deberá actualizar el enlace de que trata el artículo 53 de la Resolución CREG 156 de 2011 con dicha información.
La información publicada deberá ser detallada sobre los requisitos y el proceso para el cambio.
En la publicación se deberá tener un enunciado claro y conciso que informe sobre el derecho que le asiste al usuario a elegir libremente su agente para la frontera de entrega de excedentes.
Los agentes deberán realizar los ajustes necesarios para dar cumplimiento a los requisitos de este literal dentro de los treinta (30) días hábiles siguientes a la expedición de la presente resolución.
b) El usuario interesado contactará al agente que haya elegido como nuevo representante de la frontera comercial de entrega de excedentes y lo habilitará expresamente para gestionar el cambio de agente.
El comercializador que le presta el servicio al usuario para el consumo no podrá hacer exigible la participación del mismo en el proceso de cambio de agente.
c) Se debe aplicar lo establecido en los artículos 19 y 20 de esta resolución para los sistemas de medida y el registro de la frontera comercial.
El nuevo agente que representará la frontera de excedentes procederá a realizar, en caso de ser necesario, el cambio o la adecuación del Sistema de Medida de la respectiva Frontera Comercial, en los términos establecidos en la Resolución CREG 38 de 2014, Código de Medida, o aquellas que modifiquen o sustituyan, y conforme lo establecido en el artículo 19 presente resolución.
d) Si queda un saldo a favor del usuario que este asociado a pago de excedentes de autogeneración, el saldo a favor lo deberá pagar el agente que inicialmente representaba la frontera comercial de entrega de excedentes al usuario en los términos del artículo 26 de esta resolución y la Resolución CREG 135 de 2021 sobre derechos de los usuarios autogeneradores.
e) Cuando se solicite cambio de representante para la frontera que entrega excedentes, el agente no podrá exigir requisitos distintos a los contemplados en la normatividad vigente para el cambio de representante en la frontera comercial para el consumo. Así mismo, el agente en ningún momento desplegará alguna acción u omisión que pueda tener por objeto, o como efecto, la limitación del derecho al cambio del representante en la frontera comercial; y/o cualquier interpretación extensiva de los requisitos establecidos en el marco normativo aplicable. Así mismo no se podrá solicitar permanencia mínima para la frontera que entrega excedentes.
COMERCIALIZACIÓN DE ENERGÍA.
ARTÍCULO 22. ALTERNATIVAS DE COMERCIALIZACIÓN DE LA GENERACIÓN DISTRIBUIDA. Los GD podrán comercializar su energía de acuerdo con las siguientes alternativas:
a) Puede vender con las Reglas del numeral 1 del artículo 3 de la Resolución CREG 086 de 1996, modificadas por el artículo 1 de la Resolución CREG 096 de 2019, con excepción de la opción de venta de qué trata el numeral 1.1 del mismo artículo, que queda derogada.
b) <Literal modificado por el artículo 26 de la Resolución 101 072 de 2025. El nuevo texto es el siguiente:> Puede vender directamente al comercializador integrado con el operador de red. En este caso, el comercializador está obligado a comprarle la energía al generador distribuido y el precio de venta de la energía entregada a la red se calculará aplicando la siguiente expresión:
![]()
Donde,
| Precio de venta de la generación distribuida en la hora h del mes m en el nivel de tensión n al comercilizador i en el mercado de comercialización j, en $/kWh. | |
| Variable de que trata el artículo 6o de la Resolución CREG 119 de 2007, para el mes m, expresado en COP/MWh. El ASIC publicará este valor de acuerdo con el Artículo 19 de la Resolución CREG 119 de 2007. Cuando la variable MCm supere el precio de escasez de activación definido en la Resolución CREG 071 de 2006, dicho precio, según aplique: i) no podrá superar el precio de escazes ponderado, o, ii) no podrá superar el precio de las transacciones en bolsa que le aplique según el precio de escazes activado. | |
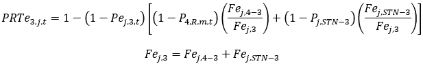
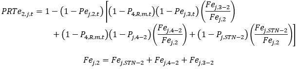
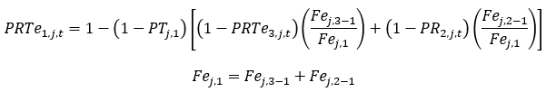
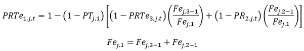
Es igual al valor de las pérdidas técnicas en el sistema del OR j acumuladas hasta el nivel de tensión n:![]() Donde PRTen.j.t se calcula como se indica en el anexo 4 de la presente resolución. | |
| Costo de compra de energía ($/kWh) para el mes m, del Comercializador Minorista i, en el Mercado de Comercialización j, determinador conforme se establece en el Capítulo III de la Resolución CREG 119 de 2007. | |
| Beneficios: | Monto reconocido por los beneficios a los que contribuye la generación distribuida en la red de distribución SDl al cual esté conectada, debido a su ubicación cercana a los centros de consumo. |
El ASIC deberá incluir la energía generada del GD en su balance de venta y compra de energía en bolsa y en el balance de energía de compra y venta en bolsa del comercializador correspondiente.
Así mismo, cuando se use esta alternativa de venta de energía, el agente generador representante del GD debe declarar ante el ASIC que se está haciendo uso de la misma para que surtan los efectos para el tratamiento del balance en bolsa anterior. Para ello, el representante del GD tendrá la responsabilidad de notificar y actualizar oportunamente a través de los medios que determine el ASIC el periodo de tiempo en el cual estará comercializando la energía.
PARÁGRAFO<al artículo 26 de la Resolución 101 072 de 2025>. En cumplimiento de este artículo, a los contratos de los GD que estén suscritos antes de la entrada en vigencia de la presente resolución y que no estén en función de lo regulado en este artículo, se les modificará el precio de acuerdo a lo establecido en lo aquí dispuesto desde el séptimo mes siguiente contado a partir de la entrada en vigencia de esta resolución. El agente comercializador deberá enviar el contrato actualizado.
Mientras se cumple el periodo de tiempo anterior, se dará cumplimiento a lo establecido en el Anexo 1 de esta resolución. Así mismo, la metodología del traslado del costo de compras de energía al valor determinado en este artículo en función del MCm será publicado en resolución aparte.
Lo especificado en este parágrafo no aplica a los contratos que estén registrados aplicando el literal a) del artículo 22 de la Resolución CREG 174 de 2021.
PARÁGRAFO 1. El precio ponderado de escasez deberá ser publicado mensualmente por el ASIC en su página web.
PARÁGRAFO 2. Todo generador existente o futuro con capacidad instalada o nominal menor a 1 MW que se conecte o esté conectado al SDL será considerado un GD.
Los generadores existentes que queden dentro de la categoría de GD en el momento de expedición de la presente resolución y que sean de capacidad instalada o nominal mayor a 100 kW y menor a 1 MW, no les será aplicable el reconocimiento de pérdidas.
En general, el reconocimiento de pérdidas será aplicable para aquellos GD que realicen su conexión al sistema de forma posterior a la fecha de expedición de la presente resolución, o que hayan sido aprobados o estén en trámite de aprobación con las Reglas de la Resolución CREG 030 de 2018.
PARÁGRAFO 3. <Parágrafo derogado por el artículo 47 de la Resolución 101 072 de 2025>
ARTÍCULO 23. ALTERNATIVAS DE ENTREGA DE LOS EXCEDENTES DE AGPE. <Artículo modificado por el artículo 27 de la Resolución 101 072 de 2025. El nuevo texto es el siguiente:> Los AGPE podrán vender o entregar sus excedentes de acuerdo con las siguientes alternativas:
1) Si es un AGPE que no utiliza FNCER,
a) A generadores o comercializadores que destinen dicha energía a la atención exclusiva de usuarios no regulados. En este caso, el precio de venta es pactado libremente.
b) Al comercializador que atiende el consumo del usuario, quien podrá estar o no estar integrado con el OR. En este caso: i) el comercializador está obligado a recibir los excedentes ofrecidos, ii) el precio de venta horario es el MCm iii) la energía es destinada a la atención exclusiva de usuarios regulados.
Donde:
| MCm | Variable de que trata el artículo 6o de la Resolución CREG 119 de 2007, para el mes, m expresado en COP/MWh. El ASIC publicará este valor de acuerdo con el artículo 19 de la Resolución número 119 de 2007. |
2) Si es un AGPE que utiliza FNCER,
a) A generadores o comercializadores que destinen dicha energía a la atención exclusiva de usuarios no regulados. En este caso, el precio de venta es pactado libremente.
b) Al comercializador que atiende el consumo del usuario, quien podrá estar o no estar integrado con el OR. En este caso: i) el comercializador está obligado a recibir los excedentes ofrecidos, ii) el crédito de energía y la valoración horaria de la energía que exceda el crédito se define en el artículo 25 de esta resolución, y iii) la energía es destinada a la atención exclusiva de usuarios regulados.
PARÁGRAFO 1o. Cuando la variable MCm supere el precio de escasez de activación definido en la Resolución CREG 071 de 2006, dicho precio, según aplique: i) no podrá superar el precio de escasez ponderado, o, ii) no podrá superar el precio de las transacciones en bolsa que le aplique según el precio de escasez activado.
PARÁGRAFO 2o. El comercializador que le presta el servicio de energía eléctrica es responsable de adecuar los contratos de servicios públicos o de condiciones uniformes de sus usuarios a quienes compra excedentes, para reflejar sus obligaciones con el usuario respecto de los excedentes recibidos. Esto se debe formalizar con un acuerdo especial conforme lo establece la Resolución CREG 135 de 2021 sobre derechos de los usuarios autogeneradores.
PARÁGRAFO <al artículo 27 de la Resolución 101 072 de 2025>. Para el cumplimiento de este artículo, los AGPE existentes y operando al momento de expedición de esta resolución que tengan contratos de venta de excedentes con algún comercializador y que no esté en función de lo establecido en este artículo, continuarán con dicha situación durante los seis meses siguientes contados a partir de la entrada en vigencia de esta resolución. A partir del séptimo mes, deberán acogerse a lo dispuesto en este artículo. El agente comercializador representante deberá enviar el contrato actualizado.
Mientras finaliza el periodo de tiempo anterior, se dará cumplimiento a lo establecido en el Anexo 2 de esta resolución. Así mismo, la metodología del traslado del costo de compras de energía al valor determinado en este artículo en función del MCm será publicado en resolución aparte.
Lo especificado en este parágrafo no aplica a los contratos que estén aplicando: i) el literal a), numeral 1) del artículo 23 de la Resolución CREG 174 de 2021, y ii) el literal a) numeral 2) del artículo 23 de la Resolución CREG 174 de 2021.
ARTÍCULO 24. TRATAMIENTO DE EXCEDENTES DE LOS AGPE EN EL ASIC Y EL LAC. A continuación, se describe el tratamiento de excedentes de los AGPE en el ASIC y el LAC:
1. Cuando los AGPE venden o entregan sus excedentes de energía al comercializador integrado con el OR, para dicho comercializador el ASIC o el LAC aplicarán las siguientes reglas:
a) En el cálculo de la demanda real del comercializador no se tendrá en cuenta la energía de los excedentes horarios de estos AGPE. La demanda comercial se calculará a partir de esta demanda real.
b) El ASIC calculará y publicará la siguiente información: i) A la demanda comercial no regulada se sumará la energía excedente de los AGPE destinada al mercado no regulado, ii) A la demanda comercial regulada se sumará la energía excedente destinada al mercado regulado.
c) Para el cálculo de los cargos de transmisión y distribución de energía eléctrica el LAC tendrá en cuenta los excedentes horarios de estos AGPE.
2. Cuando los AGPE venden o entregan sus excedentes a un comercializador diferente al integrado con el OR, se aplicarán las siguientes disposiciones:
2.1. El ASIC aplicará las siguientes reglas para el comercializador integrado con el OR:
La energía de los excedentes horarios de los AGPE incrementará su demanda real. La demanda comercial se calculará a partir de esta demanda real.
2.2. El ASIC o el LAC aplicarán las siguientes reglas para el comercializador no integrado con el OR:
a) En el cálculo de la demanda real del comercializador, el ASIC restará los excedentes de estos AGPE. La demanda comercial se calculará a partir de esta demanda real. Además, no se considerará dentro de la generación los excedentes entregados por estos AGPE.
b) El ASIC calculará y publicará la siguiente información: i) A la demanda comercial no regulada se sumará la energía excedente de los AGPE destinada al mercado no regulado, ii) A la demanda comercial regulada se sumará la energía excedente destinada al mercado regulado.
c) Para el cálculo de los cargos de transmisión y distribución de energía eléctrica el LAC tendrá en cuenta los excedentes horarios de estos AGPE.
PARÁGRAFO 1. En el caso del comercializador integrado con el OR, este debe informar al ASIC, en el mismo formato de que trata el artículo 19 de esta resolución, los excedentes de energía recibidos de los AGPE, para que el LAC los tenga en cuenta para los efectos mencionados en este artículo.
PARÁGRAFO 2. Los agentes comercializadores deben informar al ASIC el tipo de mercado, regulado o no regulado, al cual es destinada la energía excedente de los usuarios con AGPE. Para las fronteras con reporte al ASIC, el ASIC deberá informar la manera cómo se envía dicha información, y para las fronteras sin reporte el ASIC, el comercializador deberá suministrar esta información en los formatos destinados para el reporte del total excedentes de los que trata la presente resolución.
PARÁGRAFO 3. En el presente artículo, la energía excedente en la red se refiere a toda la energía entregada a la red por parte de los AGPE al comercializador que corresponda, de acuerdo con los numerales 1 y 2 de este artículo.
ARTÍCULO 25. RECONOCIMIENTO DE EXCEDENTES DE AGPE QUE UTILIZA FNCER. <Artículo modificado por el artículo 28 de la Resolución 101 072 de 2025. El nuevo texto es el siguiente:> Al cierre de cada período de facturación, los excedentes de un AGPE se categorizarán en dos tipos de excedentes en los términos del artículo 26 de esta resolución: i) los excedentes acumulados que igualan la importación y que se reconocerán como créditos de energía al AGPE que utiliza FNCER y ii) los excedentes que superan la importación, que se valorarán a la variable MCm.
Lo anterior, de acuerdo con las siguientes reglas:
1) Para el AGPE con capacidad instalada o nominal menor o igual a 100 kW (0,1 MW):
a) Crédito de Energía
Los excedentes acumulados de energía que sean menores o iguales a su importación de energía de la red serán permutados, en la misma cantidad, por su importación de energía eléctrica de la red en el período de facturación.
Por los excedentes de energía acumulados que sean permutados, el comercializador cobrará al AGPE por cada kWh el costo de comercialización que corresponde al componente Cvm,i,j de la Resolución CREG 119 de 2007. Si es un usuario no regulado, el costo de comercialización Cvm,i,j corresponde al costo pactado.
b) Valoración horaria
Para las cantidades de excedentes de energía que sobrepasen su importación de energía eléctrica de la red en el período de facturación se liquidarán al valor del MCm
MCm corresponde a la variable de que trata el artículo 6o de la Resolución CREG 119 de 2007, para el mes, expresado en COP/MWh.
El ASIC publicará este valor de acuerdo con el artículo 19 de la Resolución número 119 de 2007.
2) Para AGPE con capacidad instalada o nominal mayor a 100 kW (0,1 MW) y menor o igual a 1.000 kW (1 MW):
a) Crédito de Energía
Los excedentes acumulados de energía que sean menores o iguales a su importación de energía de la red serán permutados, en la misma cantidad, por su importación de energía eléctrica de la red en el período de facturación.
Por los excedentes de energía acumulados que sean permutados, el comercializador cobrará al AGPE por cada kWh el costo de agregado de las variables Tm, Dn,m, Cvm,i,j PRn,m,i,j y Rm,i; según lo definido en la Resolución CREG 119 de 2007. En el caso de usuarios no regulados, estas variables corresponden a las pactadas entre las partes.
b) Valoración horaria.
Para las cantidades de excedentes de energía que sobrepasen su importación de energía eléctrica de la red en el período de facturación, se liquidarán al valor de MCm que corresponde a la misma variable de que trata el numeral 1) de este artículo.
PARÁGRAFO. Cuando la variable supere el precio de escasez de activación definido en la Resolución CREG 071 de 2006, dicho precio, según aplique: i) no podrá superar el precio de escasez ponderado o ii) no podrá superar el precio de las transacciones en bolsa que le aplique según el precio de escasez activado.
PARÁGRAFO <al artículo 28 de la Resolución 101 072 de 2025>. Para el cumplimiento de este artículo, los AGPE existentes y operando al momento de expedición de esta resolución que tengan contratos de venta de excedentes con algún comercializador usando el crédito de energía y una valoración horaria que no esté en función de lo establecido en este artículo, continuarán con dicha situación durante los seis meses siguientes contados a partir de la entrada en vigencia de esta resolución. A partir del séptimo mes, deberán acogerse a este artículo. El agente comercializador representante deberá enviar el contrato actualizado.
Mientras se cumple el periodo de tiempo anterior, se dará cumplimiento a lo establecido en el Anexo 3 de esta resolución. Así mismo, la metodología del traslado del costo de compras de energía al valor determinado en este artículo en función del MCm será publicado en resolución aparte.
ARTÍCULO 26. INFORMACIÓN AL AGPE POR LA ENTREGA DE EXCEDENTES. <Artículo modificado por el artículo 29 de la Resolución 101 072 de 2025. El nuevo texto es el siguiente:> El comercializador que recibe energía de un AGPE es el responsable de la liquidación, incorporando en cada factura información detallada de importaciones y excedentes de energía, cobros, valor a pagar al usuario por parte del comercializador, entre otros, según corresponda, de acuerdo con los lineamientos de este artículo.
El comercializador tiene la obligación de informar en cada factura, de manera individual, los valores según el segmento a que corresponda y de acuerdo con las distintas valoraciones de los excedentes de energía, tales como las cantidades asociadas a créditos de energía y las cantidades restantes, que se indican a continuación:
a) Para el AGPE que utiliza FNCER con capacidad instalada o nominal menor o igual a 100 kW (0.1 MW) y que aplica crédito de energía:
![]()
b) Para el AGPE que utiliza FNCER con capacidad instalada o nominal mayor a 100 kW (0.1 MW) y menor o igual a 1.000 kW (1 MW) y que aplica crédito de energía:
![]()
c) Para el AGPE que utiliza o no utiliza FNCER y que el precio de venta es el pactado y que no aplica crédito de energia:
![]()
d) Para el AGPE que no utiliza FNCER y que el precio de venta es el MCm:
![]()
Donde:
i: Comercializador i
j: Mercado de comercialización j
n: Nivel de tensión n
h: Hora h
H: Número total de horas del mes-1
m: Mes m para el cual se calcula la valoración del excedente.
u: Usuario u
Valoración del excedente del AGPE u (en $), en el mes m, que se encuentra en el nivel de tensión n, en el mercado de comercialización j y que es atendido por el comercializador i. Es ingreso para el usuario cuando esta variable sea mayor a cero.
Excedente de energía horaria acumulada en el mes m con fines de uso para el crédito de energía para el usuario u, que se encuentra en el mercado de comercialización j y que es atendido por el comercializador i, en kWh. Se calcula como la suma de energía entregada a la red en todas las horas del mes m, iniciando a partir de la primera hora de dicho mes y que como máximo podría llegar al valor de
. Por lo anterior, el valor resultante de energía puede tomar valores entre cero (0) e ![]()
Importación de energía acumulada en el mes m del usuario u, que se encuentra en el mercado de comercialización j y que se atendido por el comercializador i, en kWh. Se calcula como la suma de energia importada o consumida de la red en todas las horas del mes m.
Componente variable del Costo Unitario de Prestación del Servicio en $/kWh, en el mes m, según lo establecido en la Resolución CREG 119 de 2007. En el caso de usuarios no regulados es el costo del servicio pactado.
Margen de comercialización en $/kWh, en el mes m, según lo establecido en la Resolución CREG 119 de 2007. En el caso de usuarios no regulados es el costo pactado.
Excedente de energía horaria acumulada que supera el valor de la variable importación de energía acumulada,
en el mes m del usuario u, que se encuentra en el mercado de comercialización j y que es atendido por el comercializador i, en kWh.
Variable de que trata el artículo 6o de la Resolución CREG 119 de 2007, para el mes m, expresado en $/hWh.
Costo por uso del STN en $/kWh, en el mes m, según lo establecido en la Resolución CREG 119 de 2007.
Costo por uso del sistema de distribución en $/kWh, en el mes m, según lo establecido en la Resolución CREG 119 de 2007.
Costo de compra, transporte y reducción de pérdidas de energía en $/kWh, en el mes m, según lo establecido en la Resolución CREG 119 de 2007.
Costo de restricciones y servicios asociados con generación en $/kWh, en el mes m, según lo establecido en la Resolución CREG 119 de 2007.
Excedentes de energía del AGPE u en la hora h en mes m, kWh.
Precio de energía pactado para AGPE con o sin FNCER que no aplican crédito de energia.
PARÁGRAFO 1o. Será responsabilidad del comercializador y del usuario AGPE informarse y tomar las acciones respectivas según las obligaciones tributarias a su cargo para efecto de la facturación que deban emitir.
Cuando el AGPE no esté obligado a facturar conforme al estatuto tributario, el comercializador deberá establecer un documento en el que conste la venta de energía teniendo en cuenta lo dispuesto en el Artículo 1.6.1.4.12 del Decreto 358 de 2020 o aquellos que lo modifiquen, adicionen o sustituyan.
PARÁGRAFO 2o. El comercializador que compre o adquiera excedentes de autogeneración debe reportar a la SSPD las cantidades que son usadas para el crédito de energía y las que no son usadas para el crédito de energía, conforme las variables de que trata este artículo. El reporte se realizará en los términos en que la SSPD lo defina.
PARÁGRAFO 3o. El AGPE que termine una relación de compra de excedentes con un agente comercializador o agente generador, deberá suspender la entrega de excedentes a la red hasta tanto haya conseguido otro agente que lo represente, en los términos establecidos en esta resolución. En caso de entrega de excedentes a la red sin que se tenga un agente comercializador o agente generador que represente dicha venta, los excedentes no serán remunerados.
PARÁGRAFO <al artículo 29 de la Resolución 101 072 de 2025>. Mientras se cumple el periodo de tiempo de transición establecido en los parágrafos de los artículos 27 y 28 de esta resolución, se dará aplicación al Anexo 4 de esta resolución.
ARTÍCULO 27. DISPOSICIÓN TRANSITORIA DE TRASLADO DEL COSTO DE COMPRAS DE LOS AGPE Y LOS GD. En el anexo 1 se definen las componentes de traslado que tienen relación con compras de los AGPE y los GD para la aplicación de las Resoluciones CREG 119 de 2007, 129 de 2019 y 142 de 2019, o aquellas que las modifiquen o sustituyan.
DISPOSICIONES FINALES.
ARTÍCULO 28. INFORMACIÓN DE AGPE, AGGE Y GD EN EL SISTEMA. Los TN y los OR deben enviar a la UPME y a la CREG, durante los primeros 30 días de cada semestre, un informe de los proyectos de autogeneración y generación distribuida conectados a sus respectivos sistemas, con las principales características de cada uno de ellos, capacidad nominal o instalada y potencia máxima declarada, tipo de tecnología utilizada, tipo de usuario (regulado o no regulado), identificación de usuario (si es comercial, industrial o residencial), estrato, ubicación geográfica y nivel de tensión, la energía mensual de excedentes entregada a la red, cantidad de solicitudes de conexión simplificadas recibidas, cantidad de solicitudes rechazadas, sistema de medición utilizado, tiempo de ejecución de estudio y de conexión, entre otros. El formato de reporte de la información será establecido conjuntamente por la UPME y la Comisión.
Cualquiera de las dos entidades podrá actualizar este formato de reporte. En el caso de presentarse una actualización del mismo por parte de la CREG, esta será consultada y concertada con la UPME.
PARÁGRAFO. El diligenciamiento de este formato y su envío a las entidades mencionadas será obligatorio hasta el momento en el que entre en funcionamiento y operación la ventanilla única que establecerá y gestionará la UPME incluyendo el módulo que recopile esta información.
ARTÍCULO 29. FRACCIONAMIENTO DE LA CAPACIDAD DE AGPE, AGGE Y GD. La capacidad instalada o nominal de un AGPE, AGGE o GD no puede ser fraccionada para efectos de reportarlas como plantas o sistemas de generación independientes y aplicar lo establecido en esta resolución.
Cuando se identifique esta situación, el OR procederá conforme las reglas del artículo 18 de esta resolución, sin perjuicio de las acciones que la Superintendencia de Servicios Públicos Domiciliarios y la Superintendencia de Industria y Comercio adelanten al respecto.
ARTÍCULO 30. PRINCIPIOS RECTORES EN LA INTERPRETACIÓN Y APLICACIÓN DE LAS OBLIGACIONES POR PARTE DEL OR. De conformidad con los principios de libertad de acceso, eficiencia, adaptabilidad y neutralidad contenidos en los artículos 3.9, 11.6 y 170 de la Ley 142 de 1994, así como en el artículo 6 de la Ley 143 de 1994, cada OR deberá cumplir con las siguientes obligaciones:
a) Abstenerse de solicitar requisitos distintos a los expresamente previstos en esta resolución.
b) Cumplir diligentemente con los plazos.
c) Suministrar información veraz, oportuna, confiable y de calidad. En consecuencia, no podrá negar o dilatar el acceso a la información. También deberá abstenerse de entregar información que no coincida con la realidad, incompleta, que induzca a error, o no cumpla la finalidad para la cual le fue exigido suministrarla.
d) Otorgar el mismo tratamiento a todos los interesados y no generar condiciones discriminatorias. En consecuencia, no podrá favorecer a ningún interesado, y deberá respetar la prelación y orden de llegada en los trámites previstos en esta resolución.
e) Abstenerse de cobrar valores no previstos en la regulación, ni valores superiores a los costos en los trámites.
ARTÍCULO 31. VIGENCIA. La presente resolución rige a partir de la fecha de su publicación en el Diario Oficial, modifica el numeral 4.5 del anexo general de la Resolución CREG 070 de 1998 en lo que corresponda a los AGPE y los GD, deroga el numeral 1.1 del numeral 1 del artículo 3 de la Resolución CREG 086 de 1996, modificado por la Resolución CREG 096 de 2019, y deroga la Resolución CREG 030 de 2018 y las demás normas que le sean contrarias.
PUBLÍQUESE Y CÚMPLASE
Dado en Bogotá D.C., 07 OCT. 2021
MIGUEL LOTERO ROBLEDO
Viceministro de Energía, delegado del
Ministro de Minas y Energía
Presidente
JORGE ALBERTO VALENCIA MARIN
Director Ejecutivo
COMPONENTES DE TRASLADO DE COMPRAS DE ENERGÍA DE AGPE Y GD.
Transitoriamente, para efectos de traslados de precios de compras de energía de AGPE y los GD que sean con destino al mercado regulado y de acuerdo con las definiciones aquí establecidas, las variables de entrada que se tendrán en cuenta en el componente
del
de la formula tarifaria establecida en las Resoluciones CREG 119 de 2007, 129 de 2019 y 142 de 2019, o aquellas que las modifiquen o sustituyan, serán las que se presentan a continuación:
| Costo de compra de energía a AGPE y los GD por parte del comercializador i para el mes m, para el mercado de comercialización j, expresado en pesos por kilovatio hora (COP/kWh) | |
| Cantidad por unidad de energía total comprada por el comercializador i en el mes m-1 con destino al mercado regulado mediante: i) las compras de energía a los GD que aplican el literal b) del artículo 22 de esta resolución; y ii) excedentes de AGPE que aplican los literales b) de los numerales 1) y 2) del artículo 23 de esta Resolución. | |
| Precio de la energía comprada en Bolsa por el comercializador i, en el mes m-1, expresado en pesos por kilovatio hora (COP/kWh), cuando las cantidades adquiridas en contratos no cubran la totalidad de la demanda regulada. |
Donde:

Además, para cada variable anterior se tiene:
| Mes para el cual se calcula el Costo Unitario de Prestación del Servicio. | |
| Comercializador minorista i. | |
| Mercado de comercialización j. | |
| Demanda comercial regulada del comercializador minorista i en el mes m-1. | |
| Precio en Bolsa en la hora h ($/kWh), del mes m-1. | |
| Compras en Bolsa del Comercializador Minorista i (kWh) en la hora h, del mes m-1. | |
| hora h del mes m-1 (H es el total de horas en el mes m-1). | |
| Relación entre: i) |
Se calcula de la siguiente forma (valor adimensional):

Donde:
| Precio promedio ponderado actualizado para el mes m-1, de los AGPE, con capacidad instalada o nominal menor o igual a 0,1 MW, para la energía que se les aplica crédito de energía de acuerdo con el literal a) del numeral 1) del artículo 25 de esta resolución, para el Comercializador Minorista i, liquidados en el mes m-1, con destino al mercado regulado. Es expresado en pesos por kilovatio hora (COP/kWh) y se calcula así: | |

Donde:
| Relación entre: i) | |
Se calcula de la siguiente forma (valor adimensional):

Donde:
| Precio promedio ponderado actualizado para el mes m-1, de los AGPE, con capacidad instalada o nominal mayor a 0,1 MW y menor o igual a 1 MW, para la energía que le aplica crédito de energía de acuerdo con el literal a) numeral 2) del artículo 25 de esta resolución, para el Comercializador Minorista i, liquidados en el mes m-1, con destino al mercado regulado. Es expresado en pesos por kilovatio hora (COP/kWh) y se calcula así: | |

Donde:
| Relación entre: i) | |

Donde:
hx: corresponde a la variable definida en el artículo 26 de esta resolución. | |
| Precio promedio ponderado actualizado para el mes m-1, de los AGPE, con capacidad instalada o nominal menor o igual a 1 MW, para la energía que le aplica lo establecido en los literales b) de los numerales 1) y 2) del artículo 25 de esta resolución, para el Comercializador Minorista i, liquidados en el mes m-1, con destino al mercado regulado. Es expresado en pesos por kilovatio hora (COP/kWh) y se calcula así: | |

Donde:
hx: corresponde a la variable definida en el artículo 26 de esta resolución. | |
| Relación entre: i) | |
Se calcula de la siguiente forma (valor adimensional):

Donde:
| Precio promedio ponderado actualizado para el mes m-1, de los AGPE, con capacidad instalada o nominal menor o igual a 1 MW, para la energía que le aplica lo establecido en el literal b) numeral 1) del artículo 23 de esta resolución, para el Comercializador Minorista i, liquidados en el mes m-1, con destino al mercado regulado. Es expresado en pesos por kilovatio hora (COP/kWh) y se calcula así: | |

Donde:
| Relación entre: i) Se calcula de la siguiente forma (valor adimensional): | |

Donde:
Precio promedio ponderado actualizado para el mes m-1, de los generadores distribuidos, con capacidad instalada o nominal menor a 1 MW, para la energía que le aplica lo establecido en el literal b) del artículo 22 de esta resolución, para el Comercializador Minorista i en los mercados de comercialización mj donde este se encuentre integrado con el OR, liquidados en el mes m-1, con destino al mercado regulado. Es expresado en pesos por kilovatio hora (COP/kWh) y se calcula así:![]() Donde: | |
PARÁGRAFO. Para efectos de esta resolución, la demanda comercial regulada para los agentes comercializadores que corresponda tiene en cuenta los excedentes de autogeneración como se calcula en:
a. El numeral 1, literal b), literal ii del artículo 24 de esta resolución.
b. El numeral 2.2, literal b), literal ii del artículo 24 de esta resolución.
MIGUEL LOTERO ROBLEDO
Viceministro de Energía, delegado del
Ministro de Minas y Energía
Presidente
JORGE ALBERTO VALENCIA MARIN
Director Ejecutivo
PROCEDIMIENTO DE DESCONEXIÓN DE GENERADORES DISTRIBUIDOS Y DE SUSPENSIÓN Y RECONEXIÓN DEL SERVICIO A USUARIOS AUTOGENERADORES.
Para la suspensión o reconexión del servicio se deberá observar, además de lo dispuesto en los artículos 138, 140, y 142 de la Ley 142 de 1994, las siguientes disposiciones:
1. El OR podrá verificar las condiciones de conexión de un proyecto en cualquier momento con posterioridad a la fecha de su entrada en operación. En caso de requerir realizar una visita, el OR avisará al agente o al usuario, según sea el caso, sobre la intención de realizar la visita, con cuarenta y ocho (48) horas de antelación, por medio del sistema de trámite en línea y por correo electrónico. El OR asumirá el costo de esta visita siempre y cuando las características pactadas en el formulario de solicitud de conexión aprobado o el contrato de conexión (en los casos en que aplique) y las reales sean iguales; en caso contrario, el usuario o agente, según sea el caso, asumirá el costo de la visita, correspondiente al costo eficiente de las visitas adicionales publicado en el sistema de información en el sitio web del OR. Si el OR no tiene publicado el valor, este asumirá el costo de la visita.
2. En caso de que al momento de la visita no se cumpla con alguna de las características contenidas en la solicitud de conexión o que se incurra en alguna de las causales establecidas en el artículo 18 de la presente resolución, el OR deberá determinar la gravedad del hallazgo, conforme a lo establecido en el mencionado artículo, y comunicará al agente o al usuario, según sea el caso, el inconveniente encontrado, y si este es categorizado como grave o no, por medio del sistema de trámite en línea y por correo electrónico, y en un plazo no mayor a dos (2) días calendario.
En caso de que el OR determine que el hallazgo encontrado no es grave, el agente o el usuario, según sea el caso, tendrá un plazo de treinta (30) días calendario, contados a partir del momento en que el OR le comunique sobre el inconveniente, para realizar la subsanación, so pena de perder la conexión. Una vez realizada la subsanación, el agente o el usuario, según sea el caso, deberá informar al OR por medio del sistema de trámite en línea y por correo electrónico. En caso de que el usuario o agente, según sea el caso, no subsane y pierda la conexión, el OR tendrá un plazo de dos (2) días hábiles contados desde el momento en que realizó la desconexión para registrar las razones que justifican la pérdida de la conexión.
3. En el caso de que el hallazgo sea clasificado como grave, los pasos a seguir dependerán de si es un usuario autogenerador o un generador distribuido:
Generador Distribuido:
i. En el caso de un generador distribuido, el OR deberá desconectar la generación del agente e informar en el sistema de trámite en línea las razones técnicas que justifican la desconexión, en un plazo máximo de dos (2) días hábiles contados a partir del momento de la desconexión. El agente tendrá un plazo de treinta (30) días hábiles contados a partir del momento en que es avisado por el OR del hallazgo para realizar la subsanación correspondiente, y deberá informarle al OR una vez la haya realizado. El OR determinará la necesidad o no de realizar una visita de verificación y asumirá el costo de la misma. En todo caso, el OR deberá reconectarlo en un plazo no mayor a veinticuatro (24) horas después de recibir el informe de la subsanación. En caso de que el agente no subsane y no informe al OR dentro del plazo estipulado, perderá la conexión y el ASIC procederá a cancelar el registro de la frontera comercial para entrega de excedentes; para esto el OR deberá informar al ASIC a través del sistema de trámite en línea de los hechos.
Autogenerador:
i. En el caso de un usuario autogenerador, el OR deberá solicitarle al usuario la desconexión voluntaria de la generación, para lo cual el usuario tendrá un plazo de un día (1) hábil después del aviso del OR. El OR deberá informar en el sistema de trámite en línea, en un plazo de dos (2) días hábiles contados a partir del día de la vista, las razones técnicas que justifican la solicitud de desconexión.
ii. Si el usuario atiende la solicitud del OR y desconecta la generación, deberá dar aviso al OR por medio del sistema de trámite en línea y por correo electrónico.
iii. Una vez realizada la desconexión, el usuario tendrá un plazo de dos (2) meses contados a partir del momento en que desconecta la generación para realizar la subsanación correspondiente, y deberá informarle al OR una vez la haya realizado, para así proceder a conectar de nuevo la unidad de generación y solicitar al OR la verificación de la energización de la misma. El OR determinará la necesidad o no de realizar una visita de verificación, y asumirá el costo de la misma en dado caso.
iv. En el caso en el que el usuario no atienda la solicitud de desconexión, el OR deberá programar y realizar las maniobras de suspensión del autogenerador en un plazo máximo de cuatro (4) días hábiles siguientes a la realización de la visita. Esta suspensión significa la desconexión de la generación y la suspensión del servicio de electricidad, conforme a lo establecido en el artículo 18 de la presente resolución. El OR deberá informar en el sistema de trámite en línea, en un plazo de dos (2) días hábiles contados a partir del día de la vista, las razones técnicas que justifican la desconexión.
v. El usuario tendrá un plazo de dos (2) meses contados a partir de la fecha de la suspensión para realizar la subsanación correspondiente y deberá informarle al OR una vez la haya realizado. El OR determinará la necesidad o no de realizar una visita de verificación, y asumirá el costo de la misma. En todo caso, el OR deberá reconectar al usuario en un plazo no mayor a veinticuatro (24) horas después de ser informado de la subsanación.
vi. El OR deberá dar aviso a los agentes que representan las fronteras de comercialización y de entrega de excedentes sobre la suspensión o reconexión del servicio al usuario autogenerador, a más tardar el día hábil siguiente a la realización de la suspensión o de la reconexión, según sea el caso.
vii. En caso de que el usuario no subsane el hallazgo grave, el OR podrá liberar la capacidad, el usuario perderá la conexión y deberá volver a gestionarla conforme a lo establecido en la presente resolución. En este caso, el ASIC procederá a cancelar el registro de la frontera comercial de entrega de excedentes; para esto el OR deberá informar al ASIC a través del sistema de trámite en línea de los hechos.
En cualquiera de los casos listados anteriormente, el usuario o el agente podrá comunicarse con el OR mediante los canales dispuestos para tal fin para controvertir la decisión de suspensión o desconexión, según corresponda. El OR deberá dar respuesta a esta comunicación en los plazos establecidos en los artículos 143 y siguientes de la Ley 142 de 1994.
Si transcurridos los plazos establecidos el OR no ha realizado la reconexión del servicio, se considerará como falla del servicio, de acuerdo con el artículo 142 de la Ley 142 de 1994, y el OR deberá pagar las respectivas compensaciones establecidas en la Resolución CREG 015 de 2018 o aquellas que la modifiquen o sustituyan.
El OR será responsable de los perjuicios que se lleguen a causar como resultado de la suspensión indebida o la demora en la reconexión del servicio.
Cuando el Usuario no permita el acceso del OR a sus instalaciones para realizar la suspensión, en al menos dos (2) ocasiones entre las cuales medie un término de al menos veinticuatro (24) horas, se entenderá que hay un incumplimiento del contrato de prestación del servicio en materia que afecta gravemente a terceros, caso en el cual el OR procederá a realizar el corte del servicio de forma inmediata.
MIGUEL LOTERO ROBLEDO
Viceministro de Energía, delegado del
Ministro de Minas y Energía
Presidente
JORGE ALBERTO VALENCIA MARIN
Director Ejecutivo
CONDICIONES DE LAS GARANTÍAS.
En este anexo se establecen los aspectos generales que deben considerarse para constituir la garantía de reserva de capacidad.
1. Principios y Otorgamiento de las Garantías.
Las garantías deberán cumplir con los siguientes criterios:
a) Cuando se trate de garantías otorgadas por una entidad financiera domiciliada en Colombia, se deberá acreditar una calificación de riesgo crediticio de la deuda de largo plazo de grado de inversión, por parte de una Agencia Calificadora de Riesgos vigilada por la Superintendencia Financiera de Colombia.
b) Cuando se trate de garantías otorgadas por una entidad financiera del exterior, esta deberá estar incluida en el listado de entidades financieras del exterior contenido en el Anexo No. 1 de la Circular Reglamentaria Externa DCIN-83 del Banco de la República, o en las normas que lo modifiquen, adicionen o sustituyan, y acreditar una calificación de deuda de largo plazo de Standard & Poor's Corporation o de Moody's Investor's Services Inc., de al menos grado de inversión.
c) La entidad financiera otorgante deberá pagar al primer requerimiento del beneficiario.
d) La entidad financiera otorgante deberá pagar dentro de los dos (2) días hábiles siguientes a la fecha en que se realice el primer requerimiento, siempre que se trate de una entidad financiera domiciliada en Colombia, o dentro de los quince (15) días calendario siguientes a la fecha en que se realice el primer requerimiento, siempre que se trate de una entidad financiera del exterior.
e) El valor pagado por la entidad financiera otorgante deberá ser igual al valor total de la cobertura conforme con lo indicado en la presente resolución. Por tanto, el valor pagado debe ser neto, libre de cualquier tipo de deducción, depósito, comisión, encaje, impuesto, tasa, contribución, afectación o retención por parte de la entidad financiera otorgante y/o de las autoridades cambiarias, tributarias o de cualquier otra índole que pueda afectar el valor del desembolso de la garantía.
f) Que la entidad financiera otorgante de la garantía renuncie a requerimientos judiciales, extrajudiciales o de cualquier otro tipo, para el pago de la obligación garantizada, tanto en Colombia como en el exterior.
g) Cuando se trate de garantías expedidas por entidades financieras domiciliadas en Colombia, el valor de la cobertura de la garantía constituida deberá estar calculado en moneda nacional y ser exigible de acuerdo con la Ley Colombiana.
h) Que el requerimiento de la garantía por parte del beneficiario pueda realizarse en la ciudad donde este se encuentre localizado.
i) Cuando se trate de garantías expedidas por entidades financieras del exterior, el valor de la garantía constituida deberá estar calculado en dólares de los Estados Unidos de América, y ser exigible de acuerdo con las Reglas y Usos Uniformes 600 de la Cámara de Comercio Internacional, CCI, (ICC Uniform Customs and Practice for Documentary Credits, UCP 600) o aquellas normas que las modifiquen, adicionan o sustituyan, y con las normas del estado de Nueva York de los Estados Unidos de América. Cualquier disputa que pueda surgir en relación con la garantía entre el beneficiario y el otorgante, será resuelta definitivamente bajo las reglas de Conciliación y Arbitraje de la CCI, por uno o más árbitros designados, de acuerdo con las mencionadas reglas. En todo caso, uno de los árbitros será de nacionalidad colombiana.
1.1. Acreditación de la entidad otorgante.
Para efectos de demostrar el cumplimiento de los criterios a) y b) del numeral 1, de este anexo, los interesados deberán cargar en el sistema de trámite en línea la información donde se acredite que la entidad financiera otorgante satisface los requerimientos indicados en estos criterios. Lo anterior deberá realizarse al momento de entrega de la garantía y cuando se vaya a hacer algún ajuste sobre la misma. Adicionalmente, el sistema de trámite en línea deberá enviarle un correo al ASIC que contenga esta información. En el sistema de trámite en línea o en la ventanilla única se deberá prever la forma de cargar esta información y de informar al ASIC sobre su actualización.
Para las garantías con vigencia superior a un (1) año, la calificación de riesgo deberá ser actualizada anualmente, a partir de su presentación, por los interesados.
El interesado deberá informar al Administrador del Sistema de Intercambios Comerciales, ASIC, cualquier modificación en la calificación de que tratan los literales a) y b) del numeral 1 de este anexo, así como también toda circunstancia que afecte o pueda llegar a afectar en cualquier forma la garantía o la efectividad de la misma. Dicha información deberá ser comunicada a más tardar quince (15) días hábiles después de ocurrido el hecho.
2. Garantías Admisibles.
El cumplimiento de las obligaciones señaladas en esta resolución se deberá garantizar mediante uno o varios de los siguientes instrumentos:
2.1. Instrumentos Admisibles para Garantías Nacionales:
a) Garantía Bancaria: Instrumento mediante el cual una institución financiera debidamente autorizada por la Superintendencia Financiera, garantiza de forma incondicional e irrevocable el pago de las obligaciones indicadas en la presente resolución. La garantía será pagadera a la vista y contra el primer requerimiento escrito en el cual XM S.A. E.S.P., en calidad de ASIC, informe que el interesado no ha dado cumplimiento a las obligaciones objeto de la garantía. La forma y perfeccionamiento de esta garantía se regirá por las normas del Código de Comercio que regulan la materia y por las demás disposiciones aplicables.
b) Aval Bancario: instrumento mediante el cual una institución financiera debidamente autorizada por la Superintendencia Financiera, interviene como avalista respecto de un título valor, para garantizar el pago de las obligaciones indicadas en la presente resolución. La forma y perfeccionamiento de esta garantía se regirá por las normas del Código de Comercio que regulan la materia y por las demás disposiciones aplicables.
c) Carta de Crédito Stand By: crédito documental e irrevocable mediante el cual una institución financiera, debidamente autorizada por la Superintendencia Financiera, se compromete directamente o por intermedio de un banco corresponsal, al pago de las obligaciones indicadas en la presente resolución, contra la previa presentación de la Carta de Crédito Stand By. La forma y perfeccionamiento de esta se regirán por las normas del Código de Comercio que regulan la materia y por las demás disposiciones aplicables.
2.2. Instrumentos Admisibles para Garantías Internacionales:
Carta de Crédito Stand By: crédito documental e irrevocable mediante el cual una institución financiera del exterior se compromete, directamente o por intermedio de un banco corresponsal, al pago de las obligaciones indicadas en la presente resolución, contra la previa presentación de la Carta de Crédito Stand By.
3. Aprobación de las garantías
El original de la garantía deberá entregarse al ASIC, el cual tendrá un plazo de tres días hábiles para su aprobación, contados desde la fecha de recibo de la garantía.
El valor de cobertura de la garantía será calculado por el ASIC con base en lo previsto en esta resolución y con la cantidad de kW de la capacidad de transporte asignada indicada en el sistema de trámite en línea y durante el procedimiento de conexión. La cantidad de kW asignados también es allegada al ASIC por medio de correo electrónico desde el sistema de trámite en línea.
4. Administración de la garantía
El ASIC será el encargado de la custodia y administración de la garantía exigida. Igualmente, el ASIC será el encargado de la ejecución de esta garantía ante la ocurrencia del evento señalado en esta resolución para proceder a ejecutar la garantía.
Se entenderá que se cumple con el requisito de entrega de la garantía cuando se adjunte copia de la aprobación de la garantía emitida por el ASIC, donde, además, conste que la garantía está en poder del ASIC.
5. Actualización del valor de cobertura
Además de los casos previstos en esta resolución para la actualización del valor de la cobertura de la garantía, en los casos de garantías internacionales, este valor se deberá actualizar cada vez que la tasa de cambio representativa del mercado tenga una variación de más del 10%, en valor absoluto, con respecto al valor de la tasa de cambio utilizada para calcular el valor de la cobertura de la garantía vigente, y se verificará que la cobertura de la garantía sea por lo menos del 105% del valor requerido en pesos colombianos.
Si el valor de la cobertura resulta inferior al 105% del valor requerido se deberá ajustar la garantía para alcanzar por lo menos este valor, en un plazo de 15 días hábiles contados a partir de la fecha en que el ASIC informe de tal requerimiento al interesado. Para lo anterior, el ASIC deberá informar mediante correo electrónico registrado por el solicitante en el sistema de trámite en línea, y también en el sistema de trámite en línea. En caso de que el ASIC no tenga acceso al sistema de trámite en línea, se realizará solo por correo electrónico.
Si dentro del plazo previsto para la actualización, por variaciones en la TRM, la cobertura vuelve a estar por encima del 105%, no es necesario hacer el ajuste de la garantía.
Si el valor de la cobertura resulta superior al 110% del valor requerido, quien constituyó la garantía podrá solicitar la actualización de su valor para que sea por lo menos el 105% del valor requerido en pesos colombianos.
6. Vigencia de la Garantía
La garantía se deberá mantener vigente desde la fecha de su presentación hasta la fecha de puesta en operación del respectivo proyecto y tres (3) meses más.
Se entenderá que se cumple con la obligación de mantener vigente la garantía, cuando esta se presente por la totalidad de la vigencia indicada en este numeral. También se entenderá que se cumple con esta obligación cuando se presente una garantía con una vigencia inicial de un año y se prorrogue conforme al requerimiento de vigencia establecido, por períodos mayores o iguales a un año, con al menos 15 días hábiles de anterioridad a la fecha de vencimiento de la garantía vigente.
Las actualizaciones las realizará directamente el usuario autogenerador con el ASIC.
MIGUEL LOTERO ROBLEDO
Viceministro de Energía, delegado del
Ministro de Minas y Energía
Presidente
JORGE ALBERTO VALENCIA MARIN
Director Ejecutivo
DETERMINACIÓN DE LOS FACTORES PARA REFERIR AL STN CONSIDERANDO SOLAMENTE PÉRDIDAS TÉCNICAS.
Los factores técnicos de cada nivel de tensión para referir las medidas de energía al STN, considerando las pérdidas de energía técnicas de los STR o SDL, se determinarán, para cada OR, siguiendo las siguientes expresiones:
Nivel de tensión 3 (PRTe3,j,t)

Donde,
| Factor para referir las medidas de energía del nivel de tensión 3 del OR j al STN en el año t considerando únicamente pérdidas técnicas. | |
| Índice de pérdidas reconocidas para el OR j en el nivel de tensión 3, en el año t según lo establecido en el numeral 7.1.1.2. de la Resolución CREG 015 de 2018. | |
| Factor de pérdidas ponderado del nivel de tensión 4, para los OR que hacen parte del STR R, en el mes m del año t, según lo establecido en el numeral 1.1.1. de la Resolución CREG 015 de 2018. | |
| Flujo de energía anual entre el nivel de tensión n, n es STN o 4, y el nivel de tensión 3 del OR j (MWh-año). | |
| Pérdidas de transformación para referir las medidas de energía del nivel de tensión 3 al STN e iguales a 0,23 %. | |
| Flujo de energía anual desde otros niveles de tensión al nivel de tensión 3 del OR j (MWh-año). En el caso que no existan flujos de energía a este nivel, la variable tomará el valor de 1. |
Nivel de tensión 2

Donde,
| Factor para referir las medidas de energía del nivel de tensión 2 del OR j al STN en el año t considerando únicamente pérdidas técnicas. | |
| Pérdidas a reconocer en el nivel de tensión 2 del OR j en el año t, según lo establecido en los numerales 7.1.2 y 7.1.3 de la Resolución CREG 015 de 2018. | |
| Factor de pérdidas ponderado del nivel de tensión 4, para los OR que hacen parte del STR R, en el mes m del año t, según lo establecido en el numeral 1.1.1. de la Resolución CREG 015 de 2018. | |
| Índice de pérdidas reconocidas para el OR j en el nivel de tensión 2, en el año t según lo establecido en el numeral 7.1.1.2. de la Resolución CREG 015 de 2018. | |
| Índice de pérdidas reconocidas para el OR j en el nivel de tensión 3, en el año t según lo establecido en el numeral 7.1.1.2. de la Resolución CREG 015 de 2018. | |
| Flujo de energía anual entre el nivel de tensión n, n es STN, 4 o 3, y el nivel de tensión 2 del OR j, MWh-año. | |
| Flujo de energía anual desde otros niveles de tensión al nivel de tensión 2 del OR j (MWh-año). | |
| Pérdidas de transformación para referir las medidas de energía del Nivel de Tensión 2 al STN o al nivel de tensión 4 (n es STN o 4) del mismo OR e iguales a 0,23 %. |
Nivel de tensión 1

Donde,
| Factor para referir las medidas de energía del nivel de tensión 1 del OR j al STN en el año t considerando únicamente pérdidas técnicas. | |
| Índice de pérdidas técnicas del OR j del nivel de tensión 1 según la tabla 6.2 del documento “Cálculo de pérdidas técnicas en el nivel de tensión 1” de la Circular CREG 052 de 2010 o las definidas en las resoluciones particulares con base en la metodología de la Resolución CREG 015 de 2018. | |
| Factor para referir las medidas de energía del nivel de tensión 3 del OR j al STN en el año t. | |
| Factor para referir las medidas de energía del nivel de tensión 2 del OR j al STN en el año t. | |
| Flujo de energía anual entre el nivel de tensión n, n es 3 o 2, y el nivel de tensión 1 del OR j (MWh-año). | |
| Flujo de energía anual desde otros niveles de tensión al nivel de tensión 1 del OR j (MWh-año). |
Pérdidas de transformadores de conexión al STN:
Las pérdidas de transformación para referir las medidas de usuarios que se consideran conectados directamente al STN, independientemente del nivel de tensión de baja tensión del transformador de conexión al STN donde se encuentre su medida, son iguales a 0,23 %.
MIGUEL LOTERO ROBLEDO
Viceministro de Energía, delegado del
Ministro de Minas y Energía
Presidente
JORGE ALBERTO VALENCIA MARIN
Director Ejecutivo
PROCEDIMIENTOS DE CONEXIÓN.
Los tiempos y etapas del procedimiento de conexión, dependiendo del tipo de solicitante (AGPE, AGGE o GD), son los siguientes:
i) Etapa de revisión de completitud de la documentación y tiempos.
Los siguientes son los tiempos de interacción que tienen el OR y el solicitante en esta etapa:
Tabla 3 Tiempos de revisión de la completitud de la información.
| Condición (1) | Tipo | Capacidad instalada o nominal(CI) | Tiempo de revisión del OR | Tiempo de subsanación del solicitante | Tiempo de revisión del OR luego de subsanación |
| Días hábiles | |||||
| Entregan energía a la red | AGPE | CI > 100 kW | 5 | 5 | 5 |
| GD | |||||
| AGGE | CI < 5 MW (2) | ||||
| AGPE | CI = 100 kW | 2 | 5 | 2 | |
| GD | |||||
| No entregan energía a la red | AGPE | CI = 1 MW | 2 | 5 | 2 |
| AGGE | Cualquier capacidad | ||||
Notas (1) La condición de entregan o no energía a la red aplica para autogeneradores. El GD siempre entrega energía a la red pues es su actividad económica.(2) Corresponde a la potencia máxima declarada para el AGGE
El proceso de verificación de la documentación es operativo, y solo se verifica que se encuentre completa la información, sin que esto implique una revisión detallada, ni que se revisen aspectos técnicos de la misma. En este sentido, no se emitirá ningún juicio sobre el contenido de los documentos presentados, con excepción del debido diligenciamiento del formulario de conexión simplificado.
En este paso, el OR deberá verificar únicamente la documentación que se cite en el procedimiento de conexión correspondiente.
ii) Etapa de verificación técnica de la documentación y tiempos.
A continuación, se muestran los tiempos de interacción que tienen el OR y el solicitante en esta etapa:
Tabla 4 Tiempos en verificación técnica de documentación
| Condición (1) | Tipo | Capacidad Instalada o nominal (CI) o por conexión en nivel de tensión NT 1, 2 o 3 | Tiempo de revisión del OR | Tiempo de subsanación del solicitante | Tiempo de revisión del OR luego de subsanación |
| Días hábiles | |||||
| Entregan energía a la red | AGPE | NT 2 o 3 | 10 | 10 | 5 |
| GD | |||||
| AGGE | |||||
| AGPE | NT 1 | 5 | 5 | 5 | |
| GD | |||||
| No entregan energía a la red | AGPE | 100 kW < CI = 1 MW | 10 | 10 | 5 |
| 10 kW = CI = 100 kW | 5 | 5 | 3 | ||
| CI < 10 kW | 3 | 5 | 2 | ||
| AGGE | Cualquier capacidad | 10 | 10 | 5 | |
Notas:
(1) La condición de entrega o no de energía a la red aplica para autogeneradores. El GD siempre entrega energía a la red pues es su actividad económica.
El OR deberá verificar lo siguiente, conforme se solicite en el procedimiento de conexión correspondiente:
a. Estudio de conexión simplificado, en caso de que aplique, conforme la Tabla 1 del artículo 14 de la presente resolución.
El resultado de la revisión del estudio es aprobado o no aprobado, y las causales de rechazo se encuentran en el mismo documento de estudio de conexión simplificado.
Cuando aplique la realización de este estudio, la etapa de verificación o revisión técnica del mismo por parte del OR tendrá un plazo de veinte (20) días hábiles contados a partir del momento en que se entregue. Los tiempos de subsanación del solicitante y revisión de la subsanación por parte del OR no cambian respecto de lo establecido en la Tabla 4 de este literal.
b. Cumplimiento de normas de inversores (solo aplica en el caso que la conexión a red sea con inversores). Esta situación se revisa con los documentos aportados en la documentación tipo F, conforme lo establecido en el artículo 14 de la presente resolución.
c. Certificados de capacitación o experiencia específica del personal o empresa. Esto se revisa con base en la información contenida en la documentación tipo C, conforme el artículo 14 de la presente resolución.
d. A partir de la documentación tipo B, D y E conforme el artículo 14 de la presente resolución:
1.d Revisar el caso donde se demuestra la condición de no inyección a red o la condición de control en algún nivel de potencia o energía fijo (en el caso de que aplique) y conforme los literales 2d, 3d y 4d a continuación.
En el formulario de conexión simplificado se deben indicar los elementos que ayudan a verificar las condiciones antes mencionadas: de protección, de control, de maniobra que limitan la inyección de energía a la red o si el inversor cuenta con dicha función u otros.
2.d En caso de que el AGPE o AGGE se declare sin entrega de energía a la red, únicamente se verifica la condición que controla la no inyección a red.
Si el inversor cuenta con función para limitar a cero la entrega de excedentes, no se requiere verificar equipos adicionales para dicha función.
3.d En caso de que el AGPE entregue energía a la red, se verifica la condición de que no se sobrepase el nivel de potencia máxima declarado y/o la revisión del límite de que trata el artículo 6 de la presente resolución, cuando sea una conexión en nivel de tensión 1 (en el caso de que aplique).
Cuando se entregue energía a la red y no se dispongan de elementos que limiten la entrega de energía en algún nivel de potencia o energía, la revisión del límite de que trata el artículo 6 de la presente resolución en conexiones en el nivel de tensión 1 se realiza con la capacidad nominal o instalada. En niveles de tensión superiores al 1 no se verifican los citados límites, pero si se declara tener capacidad de control en algún nivel de potencia o energía fijo, se deberá verificar dicha situación, de lo contrario se podrá omitir este paso.
Para el GD se verifica el límite de que trata el artículo 6 de la presente resolución con su potencia máxima declarada en caso de que la conexión sea en nivel de tensión 1.
Cuando se entregue energía a la red y no se dispongan de elementos que limiten la entrega de energía en algún nivel de potencia o energía, y aplique el estudio de conexión simplificado, este último debió considerar la capacidad nominal o instalada y las condiciones del diseño para conexión a red. Igualmente, si se aplica estudio de conexión simplificado y se disponen de elementos que limiten la entrega de energía en algún nivel de potencia o energía, el estudio de conexión debió considerar la capacidad nominal o instalada y los elementos que limitan entrega de energía a la red en algún nivel de potencia o energía fijo, y las condiciones del diseño para conexión a la red.
4.d En caso de que el AGGE entregue energía a la red, se verifica la condición de que no se sobrepase el nivel de potencia máxima declarado.
De no existir el sistema de control de inyección en algún nivel fijo de potencia o energía, se podrá omitir este documento y este paso. No obstante, el estudio de conexión simplificada debió considerar la capacidad nominal o instalada y las condiciones del diseño para conexión a red.
Si la actualización del RETIE regula alguno de los aspectos de este literal, se aplicará lo que este reglamento o sus actualizaciones especifiquen.
e. Que el diseño cumpla con los requisitos de protecciones definidos mediante el Acuerdo del CNO.
Cuando no se aplica estudio de conexión simplificado: este paso se verifica con la documentación tipo B y G de que trata el artículo 14 de la presente resolución.
Cuando se aplica estudio de conexión simplificado: este paso se verifica con la documentación Tipo A, B y G de que trata el artículo 14 de la presente resolución. En este caso, la etapa de verificación técnica del OR tendrá un plazo de veinte (20) días hábiles para la revisión de los criterios a partir de que se entregue el estudio y la documentación. Los tiempos de subsanación del solicitante y revisión de la subsanación por parte del OR no cambian respecto de la Tabla 4 de este literal.
iii) Solicitud de subsanación o aclaración en la etapa de revisión de completitud de la documentación del literal i de este anexo.
El OR no podrá solicitar documentación adicional a la especificada. La subsanación de todos los documentos por su ausencia solo se podrá solicitar por una única vez, en la misma solicitud, y dentro del plazo de la etapa de revisión de completitud de la documentación. El OR solo podrá solicitar aclaración sobre el formulario de conexión simplificado en caso de que no esté correctamente diligenciado.
Si el solicitante no aclara la totalidad de los requerimientos se entiende que desistió del proceso.
iv) Solicitud de subsanación o aclaración en la etapa de verificación técnica de la documentación del literal ii de este anexo.
Únicamente en el caso del no cumplimiento de lo especificado en la etapa de verificación técnica de la documentación, por una única vez y con el fin de aclarar aspectos de la solicitud de conexión, el OR deberá solicitar aclaración al solicitante a partir de la documentación entregada y dentro del plazo de verificación técnica de la documentación. Esto significa que el OR deberá solicitar la totalidad de las aclaraciones y no se podrán solicitar aclaraciones adicionales en ninguna de las otras etapas del proceso.
Si el solicitante no aclara la totalidad de los requerimientos, se entiende que desistió del proceso y obtendrá una negación de la conexión.
Para efectos de las aclaraciones, el OR deberá justificar técnicamente las causas que pueden llevar a la negación de la conexión, especificando el fundamento normativo o técnico que lo soporte, los requisitos incumplidos, y se deberá recomendar con precisión los requisitos que deben ser cumplidos para poder otorgar la aprobación. Para esto, el OR deberá usar la información que ha sido suministrada durante el procedimiento de conexión.
Cuando se aplica estudio de conexión simplificado y el OR se encuentra en la etapa de revisión del mismo, además de todo lo anterior, la solicitud de subsanación y aclaración por parte del OR debe ser dentro del plazo de revisión del estudio de conexión simplificado.
La aplicación de subsanación y aclaración de este literal debe quedar registrada en el sistema de trámite en línea y dar aviso de los hechos al solicitante mediante correo electrónico.
v) Etapa de visita para la conexión: costo, energización, inspección de la instalación y/o pruebas.
A continuación, se muestran los tiempos y reglas de interacción que tienen el OR y el solicitante en esta etapa:
Tabla 5 Costo y proceso de la visita para la conexión
| Condición del autogenerador o GD (1) (2) | Costo y proceso de la visita | |
| AGGE y AGPE:Caso sin entrega de energía a la red | En el momento de la conexión, el OR no cobrará la primera visita. En caso de que se requieran ajustes, el OR deberá detallar los requerimientos y programará una nueva visita sin costo dentro de los siete (7) días hábiles siguientes al de la primera visita.Si el resultado de la segunda visita no es satisfactorio, el OR detallará la razón por la cual no es posible efectuar la conexión y podrá programar visitas adicionales. Para lo anterior, el costo luego de la segunda visita del OR para la conexión es equivalente al costo de la revisión de la instalación de la conexión de que trata la Resolución CREG 225 de 1997 o aquella que la modifique o sustituya. Se podrá cobrar el costo equivalente al de una (1) conexión. Podrá ser un cargo en la factura de consumo. | La visita tendrá en cuenta las reglas del literal b, ordinales i, ii y iii del artículo 12 de la presente resolución y el literal c del mismo citado artículo.Cuando el solicitante esté listo para entrar a operar, se deberá realizar la solicitud de entrada en operación al OR mediante el sistema de trámite en línea. Luego de efectuada dicha solicitud, el OR tiene un plazo de cinco (5) días hábiles para presentarse en el sitio para la energización. El OR deberá informar la fecha de la visita con una antelación de dos (2) días hábiles, registrarlo en el sistema de trámite en línea y dar aviso al solicitante mediante correo electrónico.Este paso debe ser llevado a cabo dentro de la vigencia de la aprobación de la conexión.Aunque el solicitante haya diligenciado una fecha de entrada en operación en el formulario de conexión simplificado, se entiende que esta es tentativa. No obstante, la fecha diligenciada, la solicitud de entrada en operación o la entrada en operación, en ningún caso, pueden superar el período de vigencia de la aprobación o la vigencia de aprobación prorrogada (caso en el que aplique la prorroga).Las disposiciones aquí establecidas podrán ser efectivas siempre y cuando el evento programado de la conexión o energización no afecte a otros usuarios del SDL o STR, en cuyo caso el OR dispondrá del período adicional mencionado en el numeral 5.5.3.2 del Anexo General de la Resolución CREG 070 de 1998, o aquella que la modifique o sustituya, para tal efecto. Esto deberá quedar registrado en el sistema de trámite en línea y el tiempo adicional no contará dentro del tiempo de vigencia de la aprobación. |
| AGPE y GD:Caso con entrega de energía a la red y de capacidades nominales o instaladas menores o iguales a 100 kW | ||
| AGPE, AGGE y GD:Caso con entrega de energía a la red y de capacidad instalada mayor a 100 kW | En el momento de conexión, el OR no cobrará la primera visita.En caso de encontrar deficiencias en su operación, el OR no podrá autorizar la energización hasta tanto sea subsanada la falla. El OR detallará la razón por la cual no es posible efectuar la conexión. El OR deberá coordinar con el solicitante el plan de pruebas a realizar, e informar con por lo menos cuarenta y ocho (48) horas de antelación la fecha prevista para su realización. En caso de ser necesario se deberán programar visitas adicionales.Para lo anterior, el costo luego de la primera visita del OR para la conexión es equivalente al costo de la revisión de la instalación de la conexión de que trata la Resolución CREG 225 de 1997 o aquella que la modifique o sustituya. Se podrá cobrar el equivalente al costo de una (1) conexión. Podrá ser un cargo en la factura de consumo. | |
Notas:(1) La condición de entrega o no de energía a la red aplica para autogeneradores. El GD siempre entrega energía a la red pues es su actividad económica.(2) Cualquier AGGE de potencia máxima declarada menor a 5 MW con excedentes.
El OR publicará en su página web el valor de costo de conexión que este en línea con lo aquí establecido. Si no realiza la publicación del costo de conexión, no se podrá cobrar.
En caso de que se llegue a dos iteraciones de aplicación de visitas para la conexión, el OR deberá cargar un informe en el sistema de trámite línea justificando detalladamente las causas del por qué el AGPE, el AGGE o el GD no le ha sido posible conectarse.
vi) Procedimiento de conexión al SDL en caso de no aplicarse estudio de conexión simplificado.
Conforme la Tabla 1 del artículo 14 de la presente resolución, el procedimiento de conexión aquí establecido aplica para los siguientes casos: a) AGPE y AGGE que se declaren sin entrega de excedentes; b) AGPE que se declare con entrega de excedentes y de capacidad nominal o instalada menor o igual a 100 kW; y c) GD con capacidad nominal o instalada menor o igual a 100 kW.
Aplicando las etapas antes descritas en el presente anexo, el procedimiento de conexión es el siguiente:
1. Para el caso en que la conexión es en nivel de tensión 1 y para el AGPE o GD: revisión por parte del solicitante de que la red tiene disponibilidad mediante la aplicación de los límites de que trata el artículo 6 de la presente resolución.
Para el caso de AGPE, de no existir el sistema de control de inyección en algún nivel fijo de potencia o energía, esta verificación se realiza con la capacidad nominal o instalada declarada.
Si no se tiene entrega de energía a la red, no aplica este paso.
2. Realizar la solicitud de conexión al OR en el sistema de trámite en línea de que trata el artículo 8 de la presente resolución. Esta solicitud no tiene costo.
Al momento de radicación de la solicitud en el sistema de trámite en línea, cargar únicamente la documentación tipo B, C, D (si aplica), E (si aplica), F (si aplica) y G de que trata el artículo 14 de la presente resolución.
3. Aplicación por parte del OR de la Etapa de revisión de completitud de la documentación y tiempos sobre la información especificada en el paso 2 anterior. En caso de subsanación o aclaración, se deben aplicar las reglas de que trata el literal iii) de este anexo.
Una vez la información esté completa, el OR debe registrar en el sistema de trámite en línea que ya fue terminado este paso y dar aviso mediante correo electrónico al solicitante.
El proceso de revisión de completitud de la documentación no tiene costo.
4. Aplicación por parte del OR de la Etapa de verificación técnica de la documentación y tiempos usando la información especificada en el paso 2 anterior para verificar: cumplimento de normas de inversores (si aplica), certificados de capacitación o experiencia especifica del personal o empresa, sistema de control de no inyección a red o en algún nivel de potencia o energía fijo (si aplica), límites en el nivel de tensión 1 (si aplica) y el cumplimiento de las reglas de protecciones. En caso de subsanación o aclaración, se deben aplicar las reglas de que trata el literal iv) de este anexo.
Luego de la verificación, el OR deberá dar su aceptación y aprobación. Esto debe quedar registrado en el sistema de trámite en línea y dar aviso mediante correo electrónico al solicitante.
El solicitante que le sea negada la aprobación podrá iniciar otro nuevo trámite en cualquier momento del tiempo.
5. Una vez se obtenga la aprobación, el solicitante tendrá una vigencia de la aprobación en los términos del artículo 15 de la presente resolución.
La aprobación debe quedar registrada en el sistema de trámite en línea.
6. Cuando el solicitante esté listo para entrar a operar, se deberá realizar la solicitud de entrada en operación al OR mediante el sistema de trámite en línea aplicando la Etapa de visita para la conexión.
En el caso del AGPE con excedentes, el agente que represente la frontera comercial que es utilizada para la entrega de excedentes deberá revisar, dentro de la vigencia de la aprobación y antes de la solicitud de entrada en operación comercial, que los equipos de medición cumplan con lo establecido en el artículo 19 de la presente resolución.
vii) Procedimiento de conexión al SDL en caso de aplicar estudio de conexión simplificado.
Conforme la Tabla 1 del artículo 14 de la presente resolución, el procedimiento de conexión aquí establecido aplica para los siguientes casos: a) AGPE que se declaren con entrega de excedentes y de capacidad instalada o nominal mayor a 100 kW y menor o igual a 1 MW; b) AGGE que se declaren con entrega de excedentes y con potencia máxima declarada menor a 5 MW; y c) GD de capacidad instalada o nominal mayor a 100 kW y menor a 1 MW.
Aplicando las etapas antes descritas en el presente anexo, el procedimiento de conexión es el siguiente:
1. Realizar la solicitud de conexión al OR en el sistema de trámite en línea de que trata el artículo 8 de la presente resolución. Esta solicitud no tiene costo.
Al momento de radicación de la solicitud en el sistema de trámite en línea, cargar únicamente la documentación tipo B de que trata el artículo 14 de la presente resolución.
2. Aplicación por parte del OR de la Etapa de revisión de completitud de la documentación y tiempos sobre la información especificada en el paso 1 anterior. En caso de subsanación o aclaración, se deben aplicar las reglas de que trata el literal iii) de este anexo.
Una vez la información esté completa, el OR debe registrar en el sistema de trámite en línea que ya fue terminado este paso y dar aviso mediante correo electrónico al solicitante.
El proceso de revisión de completitud de la documentación no tiene costo.
3. A partir de la finalización del paso anterior, el OR tendrá un plazo de cinco (5) días hábiles para entregar la documentación necesaria, a través del sistema de trámite en línea, al AGPE, AGGE o GD para realizar el estudio de conexión simplificado de que trata el artículo 12 de la presente Resolución. El CNO en el diseño del estudio de conexión simplificado debe listar la información necesaria para realizar dicho estudio y, en todo caso, si el usuario lo requiere podrá solicitar información adicional.
La información debe entregarse en un formato estándar e interoperable, sin que esté sujeto al uso del algún software comercial, de tal forma que sea de fácil acceso y lectura. En todo caso, la información suministrada por los agentes a quienes les aplica la regulación dispuesta en la presente resolución debe ser completa, veraz, transparente, oportuna, verificable, comprensible, precisa e idónea. No se podrán solicitar acuerdos de confidencialidad de la información.
Una vez se entregue la información, el OR debe generar el registro en el sistema de trámite en línea, e informar al representante del AGPE, del AGGE o al GD vía correo electrónico.
4. El AGPE, el AGGE o el GD tendrá un plazo de cinco (5) meses para realizar el estudio de conexión simplificado. El estudio podrá ser elaborado por el interesado o por el OR a solicitud del interesado. En el estudio de conexión simplificado se deberá tener en cuenta la capacidad nominal de la planta y/o la potencia máxima declarada.
El AGPE, el AGGE o el GD podrá requerir al OR que subsane o le envíe más información que se considere falte para terminar el estudio de conexión simplificado. Esto se realizará a través del sistema de trámite en línea y el OR tendrá tres (3) días hábiles para subsanar a partir del momento en que el usuario lo solicite en el sistema de trámite en línea. El tiempo que dure el OR en subsanar no se contará dentro de los cinco (5) meses de plazo que tiene el AGPE, el AGGE o el GD para realizar el estudio.
Una vez tenga el resultado del estudio, el AGPE, el AGGE o el GD deberá cargarlo en el sistema de trámite en línea y con esto se entenderá como radicada la solicitud de revisión del estudio por parte del OR.
Junto con el estudio de conexión simplificado se debe adjuntar la documentación tipo D (si aplica) y G de que trata el artículo 14 de la presente resolución.
5. Aplicación por parte del OR de la Etapa de verificación técnica de la documentación y tiempos usando la información especificada en el paso 4 anterior para verificar: el cumplimiento del estudio de conexión simplificado, las reglas de protecciones y el control de inyección en algún nivel de potencia o energía fijo (si aplica).
La revisión del estudio y la entrega de la anterior documentación no tendrá ningún costo asociado.
En caso de que el resultado de evaluación del estudio sea no aprobado, se deben aplicar las reglas de subsanación o aclaración de que trata el literal iv) de este anexo.
Luego de la verificación, el OR deberá dar su aceptación y aprobación. Esto debe quedar registrado en el sistema de trámite en línea y dar aviso mediante correo electrónico al solicitante.
El solicitante que le sea negada la aprobación podrá iniciar otro nuevo trámite en cualquier momento del tiempo.
6. Una vez se obtenga la aprobación, el solicitante tendrá una vigencia de la aprobación en los términos del artículo 15 de la presente resolución.
La aprobación debe quedar registrada en el sistema de trámite en línea.
7. Luego del paso anterior, el AGPE, el AGGE o el GD debe cargar en el sistema de trámite en línea únicamente la documentación tipo C y F para su verificación en una nueva aplicación de la Etapa de verificación técnica de la documentación y tiempos sobre dichos documentos, donde se verifica: cumplimento de normas de inversores (si aplica) y certificados de capacitación o experiencia específica del personal o empresa.
En caso de subsanación o aclaración, se deben aplicar las reglas de que trata el literal iv) de este anexo.
Es responsabilidad del solicitante evaluar el momento en el que debe cargar la información aquí solicitada. Eso sí, debe hacerlo antes del inicio de la construcción, teniendo en cuenta los tiempos de aprobación de la vigencia de conexión y pasos para la puesta en servicio. No obstante, esta información puede ser cargada en el sistema de trámite en línea en el mismo paso 4 anterior, y junto con el estudio de conexión simplificado para su verificación técnica.
Una vez la información esté completa y verificada, el OR debe registrar en el sistema de trámite en línea que ya fue terminado este paso y dar aviso mediante correo electrónico al solicitante.
8. Cuando el solicitante esté listo para entrar a operar, se deberá realizar la solicitud de entrada en operación al OR mediante el sistema de trámite en línea aplicando la Etapa de visita para la conexión.
En el caso del AGPE con excedentes, el agente que represente la frontera comercial que es utilizada para la entrega de excedentes deberá revisar, dentro de la vigencia de la aprobación y antes de la solicitud de entrada en operación comercial, que los equipos de medición cumplan con lo establecido en el artículo 19 de la presente resolución.
viii) Reglas para modificaciones de instalaciones existentes
El AGPE, AGGE o GD existentes, y que requieran modificar sus condiciones actuales de conexión, deberán volver a realizar el procedimiento de conexión establecido en este anexo conforme a su condición especifica (dependiendo de si aplica o no aplica estudio de conexión simplificado). Se deberá adicionar a los documentos a entregar listados en la etapa de verificación de completitud de información y para la etapa de verificación técnica, un documento informando que ya es existente e informando los cambios a realizar en la instalación.
El documento con los cambios a realizar se deberá entregar junto con el formulario de conexión simplificado al momento de radicación de la solicitud.
Para la verificación de capacidad o de disponibilidad de la red, en caso de aplicar, se debe usar la potencia máxima declarada adicional a la aprobada inicialmente.
En caso de aplicar estudio de conexión simplificado, este debe realizarse con las nuevas condiciones de la instalación.
De no lograr la aprobación de los cambios solicitados, se pueden conservar las condiciones iniciales de aprobación.
ix) Información final para el solicitante
En los casos en que el OR no ejecute alguna de las acciones aquí indicadas en los plazos otorgados para tal fin, o que el informe de rechazo de conexión no contenga los elementos indicados, el potencial AGPE, AGGE o GD deberá informar dicha situación a la Superintendencia de Servicios Públicos Domiciliarios para lo de su competencia. Cualquier conducta llevada a cabo por un operador de red o comercializador que dificulte, excluya u obstruya la conexión del AGPE, el AGGE o el GD, podrá ser investigada y sancionada en el marco de las competencias de la Superintendencia de Industria y Comercio.
MIGUEL LOTERO ROBLEDO
Viceministro de Energía, delegado del
Ministro de Minas y Energía
Presidente
JORGE ALBERTO VALENCIA MARIN
Director Ejecutivo

