RESOLUCION 220 DE 2020
(diciembre 10)
Diario Oficial No. 51.571 de 28 de enero de 2021
COMISIÓN DE REGULACIÓN DE ENERGÍA Y GAS - CREG
Por la cual se ordena hacer público un proyecto de resolución “Por la cual se establecen los criterios generales para remunerar la actividad de comercialización minorista de gas combustible por redes de tubería a usuarios regulados”.
LA COMISIÓN DE REGULACIÓN DE ENERGÍA Y GAS
En ejercicio de sus atribuciones constitucionales y legales, en especial las conferidas en la Ley 142 de 1994 y en desarrollo de los Decretos 2253 de 1994 y 1260 de 2013; y,
CONSIDERANDO QUE:
Conforme a lo dispuesto en el Artículo 8 del Código de Procedimiento Administrativo y de lo Contencioso Administrativo, en el Artículo 33 de la Resolución CREG 039 de 2017, la Comisión debe hacer público en su página web todos los proyectos de resolución de carácter general que pretenda adoptar.
La Comisión de Regulación de Energía y Gas, en su sesión 1064 del 10 de diciembre de 2020, aprobó hacer público el proyecto de resolución “Por la cual se establecen los criterios generales para remunerar la actividad de comercialización de gas combustible por redes de tubería a usuarios regulados”.
RESUELVE:
ARTÍCULO 1. OBJETO. Hágase público en el Portal Web de la Comisión de Regulación de Energía y Gas, CREG, el proyecto de resolución “Por la cual se establecen los criterios generales para remunerar la actividad de comercialización minorista de gas combustible por redes de tubería a usuarios regulados”.
ARTÍCULO 2. PRESENTACIÓN DE COMENTARIOS, OBSERVACIONES Y SUGERENCIAS. Se invita a los agentes y sus agremiaciones, a los usuarios y sus agremiaciones, a las autoridades locales, municipales y departamentales, a la Superintendencia de Servicios Públicos Domiciliarios y a la Superintendencia de Industria de Comercio, y a los demás interesados, para que, dentro de los noventa (90) días calendario siguientes a la publicación de la presente resolución, remitan sus observaciones o sugerencias sobre las propuestas contenidas en el proyecto de resolución adjunto.
ARTÍCULO 3. Los interesados podrán dirigir al Director Ejecutivo de la Comisión de Regulación de Energía y Gas sus observaciones y sugerencias sobre el proyecto al correo electrónico creg@creg.gov.co, en el formato: Excel COM_CM_GC.xlsm, adjunto a esta Resolución.
ARTÍCULO 3. VIGENCIA. La presente Resolución rige a partir de su publicación en el Diario Oficial y no deroga ni modifica disposiciones vigentes por tratarse de un acto de trámite.
PUBLÍQUESE Y CÚMPLASE
Dada en Bogo, D.C., el 1tá0 DIC. 2020
MIGUEL LOTERO ROBLEDO
Viceministro de Energía, Delegado del
Ministro de Minas y Energía
Presidente
JORGE ALBERTO VALENCIA MARÍN
Director Ejecutivo
PROYECTO DE RESOLUCIÓN
Por la cual se establecen los criterios generales para remunerar la actividad de comercialización minorista de gas combustible por redes de tubería a usuarios regulados.
LA COMISIÓN DE REGULACIÓN DE ENERGÍA Y GAS
En ejercicio de sus atribuciones constitucionales y legales, en especial las conferidas en la Ley 142 de 1994 y, en desarrollo de los Decretos 2253 de 1994 y 1260 de 2013; y,
CONSIDERANDO QUE:
El Artículo 365 de la Constitución Política establece que los servicios públicos son inherentes a la finalidad social del Estado, y que es deber de éste asegurar su prestación eficiente a todos los habitantes del territorio nacional.
El servicio público domiciliario de gas combustible ha sido definido por la Ley 142 de 1994 como “el conjunto de actividades ordenadas a la distribución de gas combustible, por tubería u otro medio, desde un sitio de acopio de grandes volúmenes o desde un gasoducto central hasta la instalación de un consumidor final, incluyendo su conexión y medición. También se aplicará esta Ley a las actividades complementarias de comercialización desde la producción y transporte de gas por un gasoducto principal, o por otros medios, desde el sitio de generación hasta aquel en donde se conecte a una red secundaria”.
El Numeral 73.11 del Artículo 73 de la Ley 142 de 1994 atribuyó a las Comisiones de Regulación la facultad de establecer las fórmulas para la fijación de las tarifas de los servicios públicos, cuando ello corresponda según lo previsto en el Artículo 88; y señalar cuándo hay suficiente competencia como para que la fijación de las tarifas sea libre.
El Artículo 87 de la Ley 142 de 1994 estableció que el régimen tarifario estará orientado por los criterios de eficiencia económica, neutralidad, solidaridad, redistribución, suficiencia financiera, simplicidad y transparencia.
De acuerdo con el principio de eficiencia económica, definido en el Numeral 87.1 del Artículo 87 de la Ley 142 de 1994, “(…) las fórmulas tarifarias deben tener en cuenta no solo los costos sino los aumentos de productividad esperados, y que éstos deben distribuirse entre la empresa y los usuarios, tal como ocurriría en un mercado competitivo”.
En virtud del mismo principio, “las fórmulas tarifarias no pueden trasladar a los usuarios los costos de una gestión ineficiente, ni permitir que las empresas se apropien de las utilidades provenientes de prácticas restrictivas de la competencia. En el caso de servicios públicos sujetos a fórmulas tarifarias, las tarifas deben reflejar tanto el nivel y la estructura de los costos económicos de prestar el servicio, como la demanda de éste”.
De conformidad con el principio de suficiencia financiera, definido en Numeral 87.4 del Artículo 87 de la Ley 142 de 1994, “las fórmulas de tarifas garantizarán la recuperación de los costos y gastos propios de operación, incluyendo la expansión, la reposición y el mantenimiento; permitirán remunerar el patrimonio de los accionistas en la misma forma en la que lo habría remunerado una empresa eficiente en un sector de riesgo comparable (…)”.
El Numeral 87.7 del Artículo 87 de la Ley 142 de 1994 dispone que “(…) si llegare a existir contradicción entre el criterio de eficiencia y el de suficiencia financiera, deberá tomarse en cuenta que, para una empresa eficiente, las tarifas económicamente eficientes se definirán tomando en cuenta la suficiencia financiera”.
De acuerdo con lo estipulado en el Numeral 87.8 del Artículo 87 de la Ley 142 de 1994 “Toda tarifa tendrá un carácter integral en el sentido que supondrá una calidad y grado de cobertura del servicio, cuyas características definirán las comisiones reguladoras (…)”.
Según lo dispuesto por el Numeral 88.1 del Artículo 88 de la Ley 142 de 1994, “De acuerdo con los estudios de costos, la comisión reguladora podrá establecer topes máximos y mínimos tarifarios, de obligatorio cumplimiento por parte de las empresas (…)”.
El Artículo 90 de la Ley 142 de 1994 establece que, sin perjuicio de otras alternativas que puedan definir las comisiones de regulación, podrán incluirse un cargo por unidad de consumo, un cargo fijo, un cargo por aportes de conexión; así mismo, determina que “(…) Las comisiones de regulación siempre podrán diseñar y hacer públicas diversas opciones tarifarias que tomen en cuenta diseños óptimos de tarifas”.
En relación con el cargo fijo, el Numeral 90.2 del mencionado Artículo 90 dispone que dentro de las fórmulas tarifarias podrá incluirse un cargo fijo “(…) que refleje los costos económicos involucrados en garantizar la disponibilidad permanente del servicio para el usuario, independientemente del nivel de uso”.
El Artículo 91 de la Ley 142 de 1994 dispone que para “(…) establecer las fórmulas tarifarias se calculará por separado, cuando sea posible, una fórmula para cada una de las diversas etapas del servicio”.
El Artículo 98 de la misma Ley prohíbe a quienes presten servicios públicos ofrecer tarifas inferiores a sus costos operacionales promedio con el ánimo de desplazar competidores, prevenir la entrada de nuevos oferentes o ganar posición dominante ante el mercado o ante clientes potenciales.
Según lo dispone el Numeral 34.2 del Artículo 34 de la Ley 142 de 1994, entre otras, se consideran restricciones indebidas a la competencia “la prestación gratuita o a precios o tarifas inferiores al costo, de servicios adicionales a los que contempla la tarifa;”
El Artículo 125 de la Ley 142 de 1994 establece disposiciones relacionadas con la actualización de las tarifas que se cobran a los usuarios y, de conformidad con lo establecido en el Artículo 126 ibídem, “Vencido el período de vigencia de las fórmulas tarifarias, continuarán rigiendo mientras la Comisión no fije las nuevas.”
Por su parte, el Artículo 127 ibidem prevé que “Antes de doce meses de la fecha prevista para que termine la vigencia de las fórmulas tarifarias, la comisión deberá poner en conocimiento de las empresas de servicios públicos las bases sobre las cuales efectuará el estudio para determinar las fórmulas del período siguiente.”
El Artículo 136 de la Ley 142 de 1994, dispone que la prestación continua de un servicio de buena calidad es la obligación principal de las empresas de servicios públicos domiciliarios.
La jurisprudencia de la Corte Constitucional (Sentencias C-585 de 1995, C-035 de 2003 y C-075 de 2006) ha señalado que los servicios públicos domiciliarios “son aquellos que se prestan a través del sistema de redes físicas o humanas con puntos terminales en las viviendas o sitios de trabajo de los usuarios y cumplen con la finalidad específica de satisfacer necesidades esenciales de la persona (…)”.
Tal y como señala la Jurisprudencia de la H. Corte Constitucional en Sentencia C-150-03, la función de regulación puede materializarse tanto mediante actos administrativos de carácter general, como por medio de actos administrativos de carácter particular.
La Comisión mediante la Resolución CREG 011 de 2003 aprobó los criterios generales para remunerar las actividades de distribución y comercialización de gas combustible y las fórmulas generales para la prestación del servicio público domiciliario de distribución de gas combustible por redes de tubería.
Bajo la modalidad de Libertad Regulada, con base en los mencionados criterios y fórmulas, y en virtud de las solicitudes presentadas para el efecto, se aprobaron el Cargo Promedio de Distribución (Dt) y el Cargo Máximo Base de Comercialización (Co) a cada uno de los mercados relevantes atendidos por las empresas prestadoras del servicio público de gas combustible, previendo expresamente que, conforme a lo establecido en el Artículo 126 de la Ley 142 de 1994, éstos tendrían una vigencia de cinco (5) años, contados a partir de la fecha en que quedó en firme cada uno de los actos administrativos de carácter particular o hasta tanto la Comisión fije nuevos cargos para estos mercados.
Con sujeción a lo previsto en el Artículo 127 de la Ley 142 de 1994, mediante la Resolución CREG 136 de 2008, se sometieron a consideración de los agentes, usuarios y terceros interesados, las bases sobre las cuales se efectuarían los estudios para determinar la metodología de remuneración de las actividades de distribución y comercialización de gas combustible por redes y la fórmula tarifaria, en el siguiente período tarifario.
Acorde con lo anterior, se recibieron comentarios de Gas Natural S.A. E.S.P. y de la Asociación Colombiana de Gas Natural - NATURGAS, mediante las comunicaciones con radicado CREG E-2009-007888 y E-2009-008208, respectivamente.
Bajo Resolución CREG 103 de 2010 se ordenó “publicar un proyecto de resolución con el que se establecen los criterios generales para remunerar la actividad de comercialización de gas combustible por redes de tuberías a usuarios regulados.”
En el proceso de consulta del mencionado proyecto se recibieron comentarios de: Gases del Caribe S.A. E.S.P. (Radicado CREG E-2011-000685), Surtidora de Gas del Caribe S.A. E.S.P. (Radicado CREG E-2011-000669), Gases de Occidente S.A. E.S.P. (Radicado CREG E-2011-000702), Naturgas (Radicado CREG E-2011-000767), Madigas Ingenieros S.A. E.S.P. (Radicado CREG E-2011-006745), Gas Natural S.A. E.S.P. (Radicado CREG E-2011-007317), Empresas Públicas de Medellín E.S.P. (Radicados CREG E-2011-007959 y E-2011-001103).
Conforme a lo previsto en el Decreto 2696 de 2004, en relación con el proyecto de Resolución CREG 103 de 2010 se realizaron audiencias públicas en las ciudades de Bogotá, Medellín y Barranquilla los días 22 de noviembre, 1 y 3 de diciembre de 2010, respectivamente.
El 15 de junio de 2011 se expidió el Decreto 2100 “Por el cual se establecen mecanismos para promover el aseguramiento del abastecimiento nacional de gas natural y se dictan otras disposiciones”, en cuyo Artículo 2 se define como Demanda Esencial aquella correspondiente a: “(i) la demanda de gas natural de usuarios residenciales y pequeños usuarios comerciales inmersos en la red de distribución; (ii) la demanda de GNCV; (iii) la demanda de gas natural para la operación de las estaciones de compresión del SNT; y, (iv) la demanda de gas natural de las refinerías”.
El mencionado decreto establece en su Artículo 5 que los agentes que atiendan Demanda Esencial “(…) tienen la obligación de contratar el suministro y el transporte de gas natural para la atención de dicha demanda, según corresponda, con agentes que cuenten con Respaldo Físico”. Este a su vez es definido en el mismo decreto como la “Garantía de que un productor cuenta con Reservas de Gas Natural, o que un comercializador cuenta físicamente con el gas natural, o que un transportador cuenta físicamente con la capacidad de transporte para asumir y cumplir compromisos contractuales Firmes o que Garantizan Firmeza desde el momento en que se inicien las entregas hasta el cese de las mismas”.
Teniendo en cuenta la expedición del Decreto en mención, a través de la Resolución CREG 157 de 2012, se publicó un nuevo proyecto de resolución “Por la cual se establecen los criterios generales para remunerar la actividad de comercialización de gas combustible por redes de tubería a usuarios regulados en áreas de servicio exclusivo”.
Para divulgar la propuesta contenida en la Resolución CREG 157 de 2012 se realizaron audiencias públicas en las ciudades de Ibagué y Pereira los días 25 y 30 de abril de 2013, respectivamente.
Respecto de dicho proyecto se recibieron comentarios de Inversiones de Gases de Colombia Invercolsa (Radicado CREG E-2013-003087), Efigas S.A. E.S.P. y Gases de Occidente S.A. E.S.P. (Radicado CREG E-2013-003090), Emgesa S.A. E.S.P. (Radicados CREG E-2013-003334 y E-2013-003747), Superintendencia de Servicios Públicos Domiciliarios (E-2013-003882) e Itansuca (E-2013-004772).
En el año 2013 se expidieron la Resolución CREG 088 de 2013, mediante la cual se liberó el precio del gas natural puesto en Punto de Entrada al Sistema Nacional de Transporte; la Resolución CREG 089 de 2013 por la que, se regularon los aspectos comerciales del mercado mayorista de gas natural, que hacen parte del Reglamento de operación de gas natural; y, la Resolución CREG 123 de 2013 mediante la cual se estableció el reglamento de comercialización del servicio público de gas natural, como parte del reglamento de operación de gas natural.
En consecuencia, mediante la Resolución CREG 132 de 2013, se ordenó publicar un proyecto de resolución por medio del cual se modifica el Artículo 5 y se adicionan dos artículos al proyecto de Resolución sometido a consulta mediante la Resolución CREG 103 de 2010 en orden a establecer los criterios generales para remunerar la actividad de comercialización de gas combustible por redes de tuberías a usuarios regulados.
Así mismo, a través de la Resolución CREG 131 de 2013, se publicó un proyecto por medio del cual se modifica el Artículo 5 y se adicionan dos artículos al proyecto de Resolución sometido a consulta mediante la Resolución CREG 157 de 2012, por el cual “se establecen los criterios generales para remunerar la actividad de comercialización de gas combustible por redes de tuberías a usuarios regulados en áreas de servicio exclusivo”.
Sobre las resoluciones sometidas a consulta se recibieron comentarios de Naturgas (Radicado CREG E-2013-009463), Gas Natural S.A. E.S.P. (Radicado CREG E-2013-009468), Invercolsa (Radicado CREG E-2013-009471), Surtigas S.A. E.S.P. (Radicado CREG E-2013-009483), Gases de Occidente S.A. E.S.P. (Radicado CREG E-2013-009485), Empresas Públicas de Medellín E.S.P. (Radicado CREG E-2013-009488), Gases del Caribe S.A. E.S.P. (Radicado CREG E-2013-009494) y Efigas S.A. E.S.P. (Radicado CREG E-2013-009515).
La Comisión analizó todos los comentarios recibidos respecto de las resoluciones de consulta antes señaladas y, como resultado de dichos análisis mediante la Resolución CREG 004 de 2017 ordenó hacer público un nuevo proyecto de resolución “Por la cual se establecen los criterios generales para remunerar la actividad de comercialización de gas combustible por redes de tubería a usuarios regulados”, en cuyo documento soporte CREG 002 de 2017 se recogen las respuestas a los comentarios recibidos en desarrollo de los procesos de consulta surtidos hasta ese momento.
Mediante la Resolución CREG 137 de 2013 se establecen las Fórmulas Tarifarias Generales para la prestación del servicio público domiciliario de gas combustible por redes de tubería a usuarios regulados.
Las componentes variable y fija del costo unitario de prestación de servicio público domiciliario de gas combustible por redes de tubería de las fórmulas tarifarias están definidas por Mercado Relevante de Comercialización, el cual se define en la mencionada Resolución como el “Conjunto de usuarios conectados directamente a un mismo Sistema de Distribución, para el cual la Comisión de Regulación de Energía y Gas ha aprobado el cargo respectivo.”
En el proceso de consulta de la Resolución CREG 004 de 2017 se recibieron comentarios de: Naturgas (Radicado CREG E-2017-002872 y E-2017-004350), Madigas Ingenieros S.A. E.S.P. (Radicado CREG E-2017-002948), Empresas Públicas de Medellín E.S.P. -EPM (Radicado CREG E-2017-003104 y E-2017-004336), Proviservicios S.A. E.S.P. (Radicado CREG E-2017-003556), Gas Natural Fenosa (Radicado CREG E-2017-004348), Metrogas de Colombia S.A. E.S.P. (Radicado CREG E-2017-004353), Inversiones de Gases de Colombia S.A. -Invercolsa S.A. (Radicado CREG E-2017-004365), Gases del Llano S.A. (Radicado CREG E-2017-004369), Gases del Caribe S.A. E.S.P. (Radicados CREG E-2017-004373 y CREG E-2017-004462), Surcolombiana de Gas S.A. E.S.P. (Radicado CREG E-2017-004374), Juan Eloy Rodríguez Jiménez (Radicado CREG E-2017-004378) y Surtidora de Gas del Caribe S.A. E.S.P. (Radicado CREG E-2017-004394).
Con base en los análisis efectuados hasta la fecha por la Comisión se formula la presente propuesta regulatoria para establecer los criterios generales para remunerar la actividad de comercialización de gas combustible por redes de tubería a usuarios regulados. En el documento soporte de esta Resolución se detallan y contestan las observaciones y comentarios formulados respecto de la Resolución CREG 004 de 2017.
RESUELVE:
ARTÍCULO 1. OBJETO. La presente Resolución tiene como objeto establecer los criterios generales para remunerar la actividad de comercialización minorista de gas combustible por redes de tubería a usuarios regulados.
ARTÍCULO 2. ÁMBITO DE APLICACIÓN. Lo dispuesto en la presente Resolución aplica a todas las personas que, estando organizadas en alguna de las formas dispuestas por el Título I de la Ley 142 de 1994, desarrollan la actividad de comercialización minorista de gas combustible a usuarios regulados a través de redes de tubería o gasoducto virtual, en cualquier municipio o centro poblado del país.
DEFINICIONES Y ASPECTOS GENERALES.
ARTÍCULO 3. DEFINICIONES. Para la interpretación y aplicación de esta Resolución se tendrán en cuenta, además de las definiciones contenidas en la Ley 142 de 1994 y en las resoluciones vigentes de la CREG, las siguientes:
COMERCIALIZACIÓN: Actividad de compraventa o suministro de gas combustible a título oneroso.
COMERCIALIZACIÓN MINORISTA: Actividad que consiste en la intermediación comercial de la compra, transporte y distribución de gas combustible por redes de tubería y su venta a usuarios. Incluye la celebración de los contratos de servicios públicos y la atención comercial de los usuarios.
COMERCIALIZADOR: Persona cuya actividad es la Comercialización de gas combustible para la atención de usuarios del servicio público domiciliario.
COMERCIALIZADOR MINORISTA: Empresa de servicios públicos que ejerce la actividad de comercialización minorista.
FECHA BASE: Es la fecha de referencia que se tiene en cuenta para realizar los cálculos de los cargos que el Comercializador Minorista solicita a la CREG en cada Período Tarifario y, que corresponde al 31 de diciembre del año anterior al año de la solicitud tarifaria.
FECHA DE CORTE: Es la fecha hasta la cual se tomará la información para la determinación del Componente Fijo y la Variable de Riesgo de Cartera del Componente Variable del Costo de Comercialización de gas combustible por redes de tubería aplicable a Usuarios Regulados y corresponde al 31 de diciembre del año anterior al año de la solicitud tarifaria.
Para la determinación de los gastos de AOM por factura eficientes la fecha de corte corresponderá al 31 de diciembre de 2016.
MERCADO EXISTENTE DE COMERCIALIZACIÓN: Corresponde al municipio o al grupo de municipios para el que se estableció un cargo máximo base de comercialización con base en la metodología de la Resolución CREG 011 de 2003. En esta Resolución se hará referencia indistintamente a Mercado Relevante Existente de Comercialización o a Mercado Existente de Comercialización.
MERCADO NUEVO DE COMERCIALIZACIÓN: Corresponde al municipio o al grupo de municipios que no cuenta con cargos de comercialización aprobados para la prestación del servicio público domiciliario de gas por redes de tubería mediante una resolución particular. También son Mercados Nuevos de Comercialización aquellos que, de acuerdo con lo indicado en la metodología contenida en las Resoluciones CREG 202 de 2013, 138 de 2014, 090 y 132 de 2018 y 011 de 2020 o aquéllas que las modifiquen, adicionen o sustituyan, cumplen con las condiciones para ser tratados como mercados nuevos de distribución.
MERCADO RELEVANTE DE COMERCIALIZACIÓN PARA EL SIGUIENTE PERÍODO TARIFARIO: Corresponde al municipio o al grupo de municipios para el cual se ha aprobado el cargo de comercialización respectivo, el cual debe corresponde al mismo Mercado Relevante de Distribución para el Siguiente Período Tarifario que ha sido aprobado de acuerdo con lo dispuesto en la metodología contenida en las Resoluciones CREG 202 de 2013, 138 de 2014, 090 y 132 de 2018 y 011 de 2020 o aquéllas que las modifiquen, adicionen o sustituyan.
REGLAMENTO DE COMERCIALIZACIÓN: Conjunto de disposiciones expedidas por la Comisión, a las cuales deben someterse las Empresas de Servicios Públicos Domiciliarios de Gas, los usuarios y demás agentes que desarrollen la actividad de comercialización de gas combustible por redes en un Mercado Relevante de Comercialización, las cuales se encuentran consignadas en la Resolución CREG 123 de 2013 o aquéllas que la modifiquen, complementen, adicionen o sustituyan.
USUARIO: persona natural o jurídica que se beneficia de la prestación de un servicio público, bien como propietario del inmueble en donde este se presta, o como receptor directo del servicio. A este último usuario se le denomina también consumidor.
USUARIO REGULADO: Es un consumidor de hasta 100.000 pcd o su equivalente en m3, de gas combustible, según lo dispuesto en el artículo 3 de la Resolución CREG 137 de 2013 o aquellas que la modifiquen o sustituyan. Para todos los efectos un pequeño consumidor es un usuario regulado.
PRESTACIÓN DE LA ACTIVIDAD DE COMERCIALIZACIÓN MINORISTA DE GAS COMBUSTIBLE POR REDES DE TUBERÍA A USUARIOS REGULADOS.
ARTÍCULO 4. PRESTADORES DEL SERVICIO DE COMERCIALIZACIÓN MINORISTA. De conformidad con el objeto de esta Resolución, sólo podrán prestar el servicio de Comercialización Minorista de gas combustible por redes de tubería las personas de que trata el Título I de la Ley 142 de 1994.
ARTÍCULO 5. MERCADO RELEVANTE DE COMERCIALIZACIÓN PARA EL SIGUIENTE PERÍODO TARIFARIO. El Mercado Relevante de Comercialización para el Siguiente Período Tarifario, estará constituido como mínimo por un municipio y deberá corresponder en su conformación al mismo Mercado Relevante de Distribución que se apruebe para el Siguiente Período Tarifario de acuerdo con lo establecido en el Artículo 5 de la metodología contenida en las Resoluciones CREG 202 de 2013, 138 de 2014, 090 y 132 de 2018 y 011 de 2020 o aquéllas que las modifiquen, adicionen o sustituyan.
PARÁGRAFO. En los casos que se conformen y aprueben Mercados Relevantes de Distribución Especiales según lo establecido en el Numeral 5.3 de la metodología contenida en las Resoluciones CREG 202 de 2013, 138 de 2014, 090 y 132 de 2018 y 011 de 2020 o aquéllas que las modifiquen, adicionen o sustituyan, su Mercado Relevante de Comercialización corresponderá al mismo mercado relevante de distribución y se establecerá el respectivo Cargo de Comercialización.
SOLICITUD DE CARGOS DE COMERCIALIZACIÓN.
ARTÍCULO 6. REGLAS PARA LA SOLICITUD Y APROBACIÓN DE CARGOS. A partir de la entrada en vigencia de la presente resolución, se tendrán en cuenta las siguientes reglas para la solicitud y aprobación de los Cargos de Comercialización.
6.1. ACTUACIÓN PARA LA DEFINICIÓN DEL CARGO DE COMERCIALIZACIÓN.
La empresa interesada solicitará a la Comisión la aprobación del Componente Fijo del Costo de Comercialización de gas combustible por redes de tubería aplicable a Usuarios regulados y de la variable de Riesgo de Cartera del Componente Variable del Costo de Comercialización del Mercado Relevante de Comercialización para el Siguiente Período Tarifario, con fundamento en la presente metodología y de acuerdo con las siguientes reglas:
a) La empresa, a través de su representante legal, remitirá la solicitud en los términos establecidos en el Artículo 16 de la Ley 1437 de 2011 o aquélla que la aclare, modifique o sustituya, adjuntando la demás información requerida en esta Resolución o en comunicaciones emitidas por la Dirección Ejecutiva de esta Comisión.
b) La CREG solicitará a la empresa el reporte de su información, en forma física y/o través del aplicativo en formato web que diseñe para tal fin. Para ello, la Dirección Ejecutiva expedirá y publicará, en el portal web de la Comisión, una circular que contenga el procedimiento con el instructivo para el cargue de esa información, así como los formatos diseñados para tal fin. En caso de utilizar un aplicativo, las empresas estarán obligadas a presentar la información de sus solicitudes por ese medio.
c) En caso de que una empresa considere que, conforme a la Constitución y la Ley, alguna de la información incluida en la solicitud tarifaria tiene carácter reservado o confidencial, deberá manifestarlo junto con la justificación correspondiente y la indicación precisa de las disposiciones legales en que se fundamenta, con el fin de que se proceda, cuando así corresponda, a la formación del cuaderno separado en el expediente. En caso de que la empresa no haga manifestación alguna, se considerará que toda la información recibida es pública.
d) Cuando habiéndose radicado la solicitud, se constate que la misma está incompleta, el Director Ejecutivo de la CREG requerirá a la empresa para que complete la información en los términos establecidos en el Artículo 17 de la Ley 1437 de 2011 o aquélla que la modifique, aclare o sustituya.
e) Una vez recibida la solicitud y verificada la completitud de la misma, se dará inicio a la correspondiente actuación administrativa y se aplicará la metodología respectiva para definir los Cargos de Comercialización para cada Mercado Relevante para el Siguiente Período Tarifario, los cuales se aprobarán mediante resolución particular. En el caso en que se requiera practicar pruebas dentro de la actuación, el término de cinco (5) meses para poner fin a la actuación, establecido en el Artículo 111 de la Ley 142 de 1994, se suspenderá durante el trámite de las mismas.
6.2 INFORMACIÓN QUE DEBE CONTENER LA SOLICITUD.
Los estudios de cargos que se presenten a la Comisión para efectos de la aprobación de cargos deben contener la información especificada en esta Resolución y los respectivos archivos en medio magnético junto con la información incluida en la solicitud y que sea factible de ser suministrada por este medio. Sin embargo, la Comisión podrá solicitar toda la información adicional que considere relevante para el desempeño de sus funciones.
Con el propósito de comunicar la actuación administrativa a terceros, en los términos establecidos en la Ley 1437 de 2011, o aquella que la modifique, aclare o sustituya, se deberá incluir un resumen de la solicitud tarifaria presentada, que incluya, como mínimo, la información establecida en el ANEXO 1 de esta Resolución.
6.3 SOLICITUD TARIFARIA DE PERÍODOS TARIFARIOS CONCLUIDOS.
Sólo los Comercializadores Minoristas que atienden usuarios regulados en Mercados Existentes de Comercialización que, a la fecha de entrada en vigencia de la presente Resolución, hayan concluido el Período Tarifario deberán someter a aprobación de la Comisión el estudio de los Cargos de Comercialización aplicables para el Siguiente Período Tarifario, con sujeción a los criterios establecidos en esta Resolución, dentro del plazo que para el efecto establezca el Director Ejecutivo de la Comisión mediante circular CREG
Si transcurrido el plazo de que trata el presente Artículo, los Comercializadores Minoristas no han remitido solicitud tarifaria para alguno de los mercados que atienden, la Comisión procederá de oficio a determinar los Cargos Fijos de Comercialización aplicables al Mercado Relevante de Comercialización para el Siguiente Período Tarifario, los cuales corresponderán al ochenta por ciento (80%) del Cargo Fijo de Comercialización que había sido aprobado con base en la metodología contenida en la Resolución CREG 011 de 2003. Así mismo, se establecerá como variable de Riesgo de Cartera un valor de cero (0%).
En caso de que el mercado relevante de comercialización corresponda a una agregación de mercados existentes o a una agregación de mercados existentes con municipios nuevos, el Cargo Fijo de Comercialización será el ochenta por ciento (80%) del Cargo más bajo que había sido aprobado con base en la metodología contenida en la Resolución CREG 011 de 2003 para los mercados existentes que se agregan. Así mismo, se establecerá como variable de Riesgo de Cartera un valor de cero (0%).
PARÁGRAFO. En caso de existir más de un Comercializador Minorista que esté prestando el servicio en un mismo mercado relevante de distribución cada uno deberá presentar su respectiva solicitud tarifaria de cargo de comercialización en los términos de este Numeral. Si alguno de los comercializadores minoristas no presenta la solicitud, la Comisión procederá a realizar el estudio tarifario con la(s) solicitud(es) que se allegaron y procederá a calcular el cargo con la mejor información disponible e informará a la Superintendencia de Servicios Públicos Domiciliarios del incumplimiento de dicho Comercializador Minorista para lo de su competencia.
6.4 CARGOS BASE DE COMERCIALIZACIÓN QUE NO HAYAN ESTADO VIGENTES DURANTE CINCO (5) AÑOS.
Los Comercializadores Minoristas que se encuentren prestando el servicio a usuarios regulados en un Mercado Relevante Existente de Comercialización con un Cargo de Comercialización que no haya estado vigente por cinco (5) años a la fecha que, mediante Circular, establezca el Director Ejecutivo de la Comisión para la presentación de la solicitud, tendrán las siguientes opciones:
1. Presentar a la CREG una solicitud de aprobación de Cargos de Comercialización una vez entre en vigencia esta Resolución. En este caso, dentro del cronograma y plazo que establezca el Director Ejecutivo de la Comisión mediante circular, el Comercializador Minorista que está prestando el servicio en el Mercado Existente de Comercialización deberá presentar una solicitud de Cargos de Comercialización en los términos de la presente Resolución, manifestando expresamente que desea acogerse a la opción establecida en el este Numeral. Los nuevos Cargos de Comercialización aprobados como consecuencia del ejercicio de esta opción se calcularán con la metodología de Mercado Nuevo y tendrán la vigencia establecida en el Artículo 7 del presente acto administrativo.
En caso de existir más de un Comercializador Minorista atendiendo un mismo Mercado Relevante, todos los Comercializadores Minoristas deberán manifestar expresamente que desean acogerse a la opción establecida en el este Numeral y presentar, cada uno, la respectiva solicitud tarifaria en los términos de este Numeral; de lo contrario, ninguno de ellos podrá acogerse a la opción aquí establecida.
2. Mantener la vigencia de los cargos aprobados para el Mercado Relevante correspondiente, según la metodología de la Resolución CREG 011 de 2003. En este caso, y durante la vigencia del Cargo de Comercialización, no podrá modificarse la conformación del Mercado Relevante Existente. Una vez el Cargo de Comercialización aprobado con base en la metodología establecida en la Resolución CREG 011 de 2003 cumpla su período de vigencia, el Comercializador Minorista deberá presentar la correspondiente solicitud de aprobación de cargos para el mercado relevante de comercialización para el siguiente período tarifario; de lo contrario, la Comisión proceda de oficio a determinar el Cargo de Comercialización aplicable al Mercado Relevante para el Siguiente Período Tarifario el cual corresponderá al ochenta por ciento (80%) del Cargo Fijo de Comercialización que había sido aprobado con base en la metodología de la Resolución CREG 011 de 2003. Así mismo, se establecerá como variable de Riesgo de Cartera un valor de cero (0%).
En caso de que el mercado relevante de comercialización corresponda a una agregación de mercados existentes o a una agregación de mercados existentes con municipios nuevos, el Cargo Fijo de Comercialización corresponderá al 80% del cargo más bajo que había sido aprobado con base en la metodología de la Resolución CREG 011 de 2003 para los mercados existentes que se agregan. Así mismo, se establecerá como variable de Riesgo de Cartera un valor de cero (0%).
PARÁGRAFO. En cualquier caso, el Mercado Relevante de Comercialización para el Siguiente Período Tarifario debe corresponder con el Mercado Relevante de Distribución para el Siguiente Período Tarifario.
6.5 SOLICITUDES DE CARGOS TRAMITADOS PARALELAMENTE PARA MERCADOS RELEVANTES DE COMERCIALIZACIÓN EXISTENTES O NUEVOS
Cuando más de un Comercializador Minorista presente solicitud de aprobación de Cargos de Comercialización para un mismo Mercado Relevante de Comercialización para el Siguiente Período Tarifario que esté conformado por los mismos municipios o cuando se trate de Mercados Relevantes diferentes, pero en los que coincida(n) algún (o algunos) municipio(s), la Comisión procederá de la siguiente forma:
a) Mercados Nuevos:
1. Una vez iniciadas las actuaciones administrativas se enviará a cada Comercializador Minorista solicitante un resumen de la otra(s) solicitud(es) a efectos de que, dentro de los diez (10) días hábiles siguientes al envío de la comunicación, éstos formulen sus comentarios sobre la(s) misma(s).
2. Surtido lo anterior y, en caso de Municipios Nuevos para el Mercado Relevante de Comercialización para el Siguiente Período Tarifario, la CREG evaluará las dos o más solicitudes tarifarias y se aprobará el Cargo Fijo de Comercialización y el componente de Riesgo de Cartera con base en la información de aquella solicitud que cumpla con los mejores indicadores en relación con los costos totales de prestación de servicio al usuario y cobertura, teniendo en cuenta también la información asociada a la solicitud tarifaria para la aprobación del cargo de distribución.
b) Mercados Existentes:
1. Para este tipo de mercados, la CREG definirá el Mercado Relevante de Comercialización conforme al Mercado Relevante que haya quedado aprobado para la actividad de distribución.
2. La CREG aprobará un Cargo Fijo para todo el mercado y, un Riesgo de Cartera para cada Comercializador Minorista.
6.6 SOLICITUDES DE CARGOS DE COMERCIALIZACIÓN PARA EL SIGUIENTE PERÍODO TARIFARIO EN MERCADOS EXISTENTES DE COMERCIALIZACIÓN QUE CUENTEN CON CARGOS APROBADOS EN LOS QUE NO SE ESTÉ PRESTANDO EL SERVICIO.
Aquellos Mercados Existentes de Comercialización que cuenten con cargos aprobados en los cuales no se esté prestando el servicio y cuyos cargos hayan estado vigentes por cinco (5) años o más, los mencionados cargos perderán su vigencia y podrán ser objeto de solicitud de cargos para el Siguiente Período Tarifario por parte de cualquier Comercializador Minorista.
Cuando los cargos de distribución en un mercado existente de distribución pierdan su vigencia, en los mismos términos de los que trata el presente numeral, los respectivos cargos de comercialización también perderán su vigencia y podrán ser objeto de solicitud de cargos para el Siguiente Período Tarifario por parte de cualquier Comercializador Minorista.
ARTÍCULO 7. VIGENCIA DE LOS NUEVOS CARGOS DE COMERCIALIZACIÓN. El Componente Fijo y la variable Riesgo de Cartera correspondiente al Componente Variable de los Costos de Comercialización que sean aprobados con base en la presente metodología estarán vigentes por cinco (5) años desde la fecha en que quede en firme la resolución que los apruebe. En los términos del Artículo 126 de la Ley 142 de 1994, vencido el período de vigencia de estos cargos regulados, continuarán rigiendo hasta que la Comisión apruebe unos nuevos.
PARÁGRAFO. Si el cargo de distribución aprobado para el mercado relevante pierde su vigencia por las razones establecidas en la Metodología contenida en las Resoluciones CREG 202 de 2013, 138 de 2014, 090 de 2018, 132 de 2018 y 011 de 2020, la resolución mediante la cual se aprobó el cargo de comercialización particular también perderá vigencia.
METODOLOGÍA PARA LA REMUNERACIÓN DE LA ACTIVIDAD DE COMERCIALIZACIÓN MINORISTA DE GAS COMBUSTIBLE POR REDES DE TUBERÍA A USUARIOS REGULADOS.
ARTÍCULO 8. METODOLOGÍA PARA EL CÁLCULO DE LOS CARGOS DE COMERCIALIZACIÓN. El costo máximo de comercialización está conformado por un componente fijo (Cf) y un componente variable (Cv), los cuales se determinarán de acuerdo con lo señalado en esta Resolución.
ARTÍCULO 9. COMPONENTE FIJO DEL COSTO DE COMERCIALIZACIÓN (CF). El componente fijo de comercialización será calculado para el Mercado Relevante de Comercialización para el Siguiente Período Tarifario a partir de la siguiente fórmula:
![]()
Donde,
| Cfi: | Componente fijo del costo de comercialización aplicable para el mercado relevante de comercialización i, expresado en $/factura de la Fecha Base. |
| Gastos anuales eficientes de Administración, Operación y Mantenimiento (AOM) relacionados con la actividad de Comercialización de gas combustible por redes de tubería a usuarios regulados para el Mercado Relevante de Comercialización para el Siguiente Período Tarifario i, resultantes de aplicar la metodología establecida en el Artículo 10 y en el ANEXO 2 de la presente Resolución. | |
| Costo anual equivalente de las inversiones atribuibles a la actividad de Comercialización de gas combustible por redes de tubería a usuarios regulados para el Mercado Relevante de Comercialización para el Siguiente Período Tarifario i. Este valor se determina conforme lo establecido en el Artículo 11 de la presente Resolución. | |
| Número de facturas a usuarios regulados correspondiente a la Fecha de Corte, relacionadas exclusivamente con la actividad de comercialización de gas combustible por redes de tubería para el Mercado Relevante de Comercialización para el Siguiente Período Tarifario i. | |
| i: | Mercado Relevante de Comercialización para el Siguiente Período Tarifario. |
ARTÍCULO 10. DETERMINACIÓN DE LOS GASTOS DE AOM EFICIENTES EN LA ACTIVIDAD DE COMERCIALIZACIÓN. Los gastos anuales eficientes de administración, operación y mantenimiento, AOM, de la actividad de Comercialización para el Mercado Relevante de Comercialización para el Siguiente Período Tarifario serán los que resulten de aplicar la metodología que se describe en el Anexo 2 de esta Resolución.
Se remunerarán únicamente los gastos de AOM asociados con la actividad de Comercialización de gas a Usuarios Regulados. No se incluirán los gastos de:
a) Distribución de gas combustible por redes.
b) Corte, suspensión, reconexión y reinstalación del servicio.
c) Calibración de medidores propiedad de los usuarios y demás servicios del laboratorio de metrología.
d) Construcción de acometidas, venta e instalación de medidores.
e) Mantenimiento de acometidas.
f) Compresión, transporte y almacenamiento de Gas Natural Comprimido, GNC.
g) Servicios de Gas Natural Vehicular, GNV, combustibles líquidos, entre otros, prestados en estaciones de servicio propias o arrendadas.
h) Transporte a granel y por cilindros de Gas Licuado de Petróleo, GLP.
i) Revisiones previas y revisiones de instalaciones internas.
j) Construcción o instalación de redes internas.
k) Atención de usuarios no regulados.
l) Financiación no bancaria de productos o servicios.
m) Mantenimiento de redes internas u otros equipos que son propiedad del usuario o de un tercero.
n) Costos y gastos asociados a ingeniería, diseño, construcción o traslado de redes.
o) Distribución, comercialización, instalación, subsidios o almacenamiento de los KIT de conversión vehicular.
p) Producción, comercialización o distribución de condensados.
q) Otros negocios no relacionados que esta Comisión no considere parte de la actividad de Comercialización de gas combustible por redes de tubería a usuarios regulados.
PARÁGRAFO. Los valores de gastos de AOM serán ajustados a pesos de la Fecha Base con el Índice de Precios al Consumidor, IPC, publicado por el Departamento Administrativo Nacional de Estadísticas, DANE, o la entidad competente.
ARTÍCULO 11. INVERSIONES. Los activos de comercialización que se remunerarán en el componente fijo del costo de comercialización de gas combustible por redes de tubería se determinarán de la siguiente manera:
Se utilizará la información de Otros Activos reportada a la CREG por cada una de las empresas comercializadoras para la vigencia 2016, conforme a la Circular CREG 027 de 2018. La información asociada a los activos de comercialización fue reportada conforme a las cuentas establecidas a continuación:
Tabla 1
Cuentas de inversión de la actividad de Comercialización Minorista
| Cuenta | Descripción |
| 1655 | Maquinaria y Equipo |
| 1665 | Muebles, Enseres y Equipos de Oficina |
| 1670 | Equipos de Comunicación y Computación |
| 1675 | Equipo de Transporte, Tracción y Elevación |
| 197007 | Licencias |
| 197008 | Software |
Las inversiones de la actividad de comercialización se calculan por empresa, como el costo anual equivalente de la suma de los activos de comercialización reportados por la empresa para la vigencia 2016, conforme a la siguiente fórmula:

Dónde:
| Costo anual equivalente de las inversiones atribuibles a la actividad de Comercialización Minorista de gas combustible por redes de tubería a usuarios regulados para la empresa e. | |
| NR: | Número total de cuentas indicadas en la Tabla 1 del presente Artículo reportado por cada empresa comercializadora. |
| Valor anual en pesos de las cuentas asociadas a los activos de comercialización indicadas en la Tabla 1 de este Artículo. | |
| r: | Promedio de la variación anual del IPC del mes de diciembre para el período 2015 – 2019, el cual corresponde a 4,7%. |
| u: | Período reconocido para los activos de distribución igual a 10 años. |
A partir del costo anual equivalente de los activos por empresa, las inversiones se asignan en forma proporcional al número de usuarios por mercado reportado a diciembre de 2016, para cada uno de los mercados relevantes de comercialización atendidos por la empresa. Este valor se actualizará a pesos de la Fecha Base, utilizando el IPP.
ARTÍCULO 12. FACTURAS DE USUARIOS REGULADOS EXPEDIDAS POR EL COMERCIALIZADOR MINORISTA. El número de facturas expedidas por el Comercializador Minorista que atiende al Mercado Relevante de Comercialización i, será determinado a partir de la información anual reportada al Sistema Único de Información, SUI, para la Fecha de Corte. No se incluirán facturas asociadas a errores de facturación.
PARÁGRAFO. Para Mercados Nuevos de Comercialización el número de facturas corresponderá al número de usuarios proyectados para el quinto (5) año multiplicado por doce (12).
ARTÍCULO 13. INTEGRACIÓN DE MERCADOS RELEVANTES DE COMERCIALIZACIÓN. El componente fijo del costo de comercialización resultante de la integración de dos (2) o más mercados, corresponderá al promedio ponderado por el número de facturas del componente fijo del costo de comercialización (Cf) de cada uno de los mercados participantes de la integración, ya sean existentes o nuevos mercados.
El número de facturas de los Mercados Existentes corresponderá a las expedidas anualmente para los dos (2) o más mercados en la Fecha de Corte y, para los nuevos, el número de usuarios proyectados para el quinto (5) año multiplicado por doce (12).
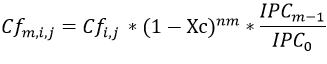
ARTÍCULO 14. FÓRMULA DE ACTUALIZACIÓN DEL COMPONENTE FIJO DE COMERCIALIZACIÓN (CF). El Componente Fijo del cargo máximo base de comercialización se actualizará mensualmente utilizando la siguiente fórmula:

Donde,
| Componente Fijo del Costo de Comercialización, expresado en pesos por factura, correspondiente al mes m de prestación del servicio en el mercado relevante de comercialización i, atendido por el comercializador j. | |
| Componente fijo del costo de comercialización aprobado por la CREG para cada Mercado Relevante de Comercialización i, atendido por el comercializador j, expresado en pesos por factura, a precios de la Fecha Base. | |
| Factor de productividad de la actividad de Comercialización de conformidad con el valor definido por la CREG en resolución independiente. Mientras este factor es definido, será cero (0). | |
| Número de meses transcurrido desde la entrada en vigencia de la Resolución que establece el Cargo de Comercialización para cada mercado, hasta el mes m. | |
| Índice de Precios al Consumidor reportado por el DANE para el mes (m-1). | |
| Índice de Precios al Consumidor reportado por el DANE para la Fecha Base del componente fijo del costo de comercialización ( |
ARTÍCULO 15. COMPONENTE VARIABLE DEL COSTO DE COMERCIALIZACIÓN (CV). El Componente Variable de Comercialización se calculará a partir de la siguiente fórmula:
![]()
Donde,
| Componente Variable del Costo de Comercialización expresado en $/m3, aplicable en el mes m en el mercado Relevante de Comercialización para el Siguiente Período Tarifario i, que es atendido por el comercializador j. | |
| Costo promedio unitario en $/m3 de las compras de gas combustible destinado a Usuarios Regulados del Mercado Relevante de Comercialización para el Siguiente Período Tarifario i, atendido por el comercializador j, para el mes m de cálculo, determinado como está contenido en la resolución que determina las fórmulas tarifarias generales del servicio. | |
| Costo promedio unitario en $/m3 del transporte de gas combustible destinado a Usuarios Regulados del Mercado Relevante de Comercialización para el Siguiente Período Tarifario i, atendido por el comercializador j, para el mes m de cálculo, determinado como está contenido en la resolución que determina las fórmulas tarifarias generales del servicio. | |
| Costo promedio unitario en $/m3 del cargo de distribución de gas combustible destinado a Usuarios Regulados del Mercado Relevante de Distribución para el Siguiente Período Tarifario i, atendido por el comercializador j, para el mes m de cálculo, determinado como está contenido en la resolución que determina las fórmulas tarifarias generales del servicio. | |
| Margen operacional para el Mercado Relevante de Comercialización para el Siguiente Período Tarifario i que es atendido por el comercializador j y conforme a lo establecido en el Artículo 16 de la presente Resolución. | |
| Riesgo de Cartera aplicable para el mes m en el Mercado Relevante de Comercialización para el Siguiente Período Tarifario i, que es atendido por el comercializador j, de acuerdo con lo establecido en el Artículo 17 de la presente Resolución. | |
| Factor asociado a los costos financieros del ciclo de efectivo de la actividad de comercialización y al reconocimiento del tiempo requerido para el giro de los subsidios por parte del Gobierno Nacional, cuando el comercializador minorista es deficitario. Este factor es aplicable para el mes m en el Mercado Relevante de comercialización para el Siguiente Período Tarifario i, que es atendido por el comercializador j. Este valor se calcula conforme a lo establecido en el Artículo 18 de esta Resolución. | |
| Costo en $/m3 de la Contribución Adicional para el fortalecimiento del Fondo Empresarial de la Superintendencia de Servicios Públicos Domiciliarios (SSPD) establecida en el Artículo 314 de la Ley 1955 de 2019, para el Mercado Relevante de Comercialización para el Siguiente Período Tarifario i, recaudado por el comercializador j, para el mes m de cálculo. |
ARTÍCULO 16. MARGEN OPERACIONAL PARA REMUNERAR LA ACTIVIDAD DE COMERCIALIZACIÓN MINORISTA A USUARIOS REGULADOS (MO). El margen operacional que se reconocerá a los Comercializadores Minoristas de gas combustible por redes de tuberías que atienden usuarios regulados, será 2.51%.
ARTÍCULO 17. RIESGO DE CARTERA A INCORPORAR EN LA REMUNERACIÓN DE LA COMERCIALIZACIÓN MINORISTA A USUARIOS REGULADOS (RC). El riesgo de cartera que se reconocerá a los Comercializadores Minoristas por atender usuarios regulados se establece conforme a la siguiente fórmula:

Donde:
| Riesgo de Cartera no gestionable en el Mercado Relevante de Comercialización para el Siguiente Período Tarifario i que es atendido por el comercializador j, el cual será como máximo el 0.16%. | |
| Número de usuarios a los que se les cortó el servicio por no pago y no se les reestableció el servicio en el estrato o sector de consumo e, en el Mercado Relevante de Comercialización para el Siguiente Período Tarifario i, atendido por el comercializador j, para los cinco años anteriores a la Fecha Base. | |
| Número de estratos y sectores de consumo. | |
| Consumo facturado medio para el estrato o sector de consumo e, en el Mercado Relevante de Comercialización para el Siguiente Período Tarifario i y atendido por el comercializador j. Calculado como las ventas totales en metros cúbicos (m3) divididas entre el total de facturas, para el año t-1. | |
| Relación entre los subsidios y el total facturado en el estrato o sector de consumo e, del Mercado Relevante de Comercialización para el Siguiente Período Tarifario i, atendido por el comercializador j, para el año t–1. | |
| Ventas totales a usuarios regulados en el Mercado Relevante de Comercialización para el Siguiente Período Tarifario i, atendido por el comercializador j, para el año t-1, expresado en metros cúbicos (m3). | |
| Corresponde al año anterior a la Fecha Base. |
PARÁGRAFO 1. En la solicitud de que trata el Artículo 6 de esta Resolución, los Comercializadores Minoristas deberán suministrar la información requerida para realizar el cálculo de la variable
de acuerdo con lo establecido en este Artículo. Para esto se deberá indicar: (i) el número de identificación del usuario (NIU), (ii) el municipio y/o centro poblado identificado con su código DANE, (iii) el estrato, (iv) los meses de no pago, (v) la fecha de desconexión, (vi) el consumo no pagado en m3, (vii) el valor del consumo no pagado, (viii) relación entre los subsidios y el total facturado en el estrato o sector de consumo del mercado de comercialización al cual pertenece el usuario.
La Comisión tomará la información reportada por el comercializador minorista y la validará teniendo en cuenta: (i) el último mes de no pago debe encontrarse dentro de los cinco (5) años reportados, (ii) cada NIU de usuario incumplido debe reportarse una sola vez, (iii) la información de estrato y municipio debe coincidir con lo reportado en el SUI, (iv) la fecha de desconexión debe ser posterior al mes de no pago, (v) para el mes de no pago debe existir algún consumo en el maestro de facturación del SUI, (vi) una vez cortado el servicio, no debe aparecer en el maestro de facturación del SUI información de consumos posteriores. No se considerará para el cálculo de riesgo de cartera, RCi,j, la información reportada por el comercializador sobre el número usuarios a los que se les cortó y no se les reestableció el servicio, Ne,i,j, y que no coincida con la información del SUI.
PARÁGRAFO 2. Para Mercados Relevantes de Comercialización que no han cumplido el período tarifario, el denominador de la componente
será el número de años que el mercado lleve operando a la Fecha de Corte.
PARÁGRAFO 3. En el caso de los Mercados Existentes de Comercialización para los que el Comercializador Minorista no reporte la información, la variable
tendrá un valor de cero (0%).
PARÁGRAFO 4. Para Mercados Nuevos de Comercialización, la variable
tendrá un valor de cero (0%).
PARÁGRAFO 5. En caso de que un Comercializador Minorista entre a prestar el servicio en un Mercado Relevante de Comercialización para el siguiente período tarifario con posterioridad a la aprobación del Componente Fijo y la variable de Riesgo de Cartera del Componente Variable del Costo de Comercialización de gas combustible por redes de tubería aplicable a Usuarios regulados, la variable
tendrá un valor de cero (0%).
ARTÍCULO 18. COSTOS FINANCIEROS. El factor
remunera los costos financieros asociados al ciclo de efectivo y al tiempo reconocido para el giro de los subsidios por parte del Gobierno Nacional cuando el Comercializador Minorista es deficitario. Estos costos financieros se calcularán de acuerdo con la siguiente fórmula:
![]()
Donde:
| Corresponde al porcentaje que remunera los costos asociados al ciclo efectivo de la actividad de comercialización y en los cuales incurre el comercializador j que atiende en el Mercado Relevante de Comercialización para el Siguiente Período Tarifario i. Para todos los mercados existentes y nuevos, este porcentaje corresponde a 0,108% para cada mes m. | |
| Corresponde al porcentaje que remunera los costos financieros por el tiempo requerido para el giro de los subsidios cuando el comercializador es deficitario. La variable |

Donde:
| Costo financiero asociado al giro de los subsidios del comercializador deficitario j, aplicable el mercado relevante de comercialización i en el mes m. Este factor será igual a cero (0) cuando, en la última validación trimestral realizada por el Ministerio de Minas y Energía, el comercializador j en el mercado de comercialización i, sea superavitario. | |
| Últimos cuatro trimestres validados por el Ministerio de Minas y Energía en todos los mercados relevantes de comercialización atendidos por el comercializador j, | |
| Promedio del número de meses transcurridos desde la finalización de los trimestres T hasta el giro de los subsidios en todos los mercados relevantes de comercialización atendidos por el comercializador deficitario j. En el caso de que para un trimestre T se presente más de un giro, se deberá calcular el promedio ponderado del tiempo transcurrido desde la finalización del trimestre hasta los giros empleando el valor de los giros realizados. En el caso de que un comercializador sea superavitario y se vuelva deficitario el valor de N deberá ser igual a 1,5. | |
| Costo de oportunidad mes vencido, calculado como el promedio semanal de las tasas de interés preferencial o corporativo, de los créditos comerciales, vigentes a partir del segundo mes del último trimestre de T y hasta el mes anterior al mes de giro de subsidios por parte del Ministerio de Minas y Energía. La fuente de información será la publicada por el Banco de la República de acuerdo con el Formato 088 de la Circular Externa 100 de 1995 de la Superintendencia Financiera de Colombia. La tasa efectiva anual publicada deberá mensualizarse para su aplicación utilizando la siguiente expresión: |
![]()
Con:
| Tasa efectiva mensual | |
| Tasa efectiva anual | |
| Valor absoluto del promedio del déficit de subsidios causados y no pagados una vez finalizado cada trimestre, de acuerdo con las validaciones realizadas por el Ministerio de Minas y Energía, de conformidad con el Artículo 5 del Decreto 847 de 2001, modificado por el Artículo 2 del Decreto 201 de 2004, o aquel que lo modifique, complemente o sustituya, en todos los mercados relevantes de comercialización atendidos por el comercializador deficitario j, para los trimestres T. | |
| Promedio del número de meses de pago anticipado respecto de la finalización de los trimestres T en todos los mercados relevantes de comercialización atendidos por el comercializador deficitario j. En el caso que para un trimestre T se presente más de un pago anticipado se deberá calcular el promedio ponderado del tiempo transcurrido desde el pago anticipado hasta finalización del trimestre, empleando los valores de los pagos realizados. | |
| Costo de oportunidad mes vencido, calculado como el promedio semanal de las tasas de los Certificados de Depósito de Ahorro a Término, vigentes a partir del segundo mes del último trimestre de T y hasta el mes anterior al mes de giro de subsidios por parte del Ministerio de Minas y Energía. La fuente de información será la publicada por el Banco de la República de acuerdo con el Formato 088 de la Circular Externa 100 de 1995 de la Superintendencia Financiera de Colombia. La tasa efectiva anual publicada en la columna “Total establecimientos” deberá mensualizarse para su aplicación utilizando la siguiente expresión. |
![]()
Con:
| Tasa efectiva mensual | |
| Tasa efectiva anual | |
| Valor promedio del déficit de subsidios pagados antes de finalizar cada trimestre, de acuerdo con las validaciones realizadas por el Ministerio de Minas y Energía, de conformidad con el Artículo 5 del Decreto 847 de 2001, modificado por el Artículo 2 del Decreto 201 de 2004, o aquel que lo modifique o sustituya, en todos los mercados relevantes de comercialización atendidos por el comercializador deficitario j, para los trimestres T. | |
| Corresponde al promedio de facturación por concepto de ventas de gas combustible por redes de tubería en todos los mercados relevantes de comercialización atendidos por el comercializador j, en los trimestres T. Esta facturación debe coincidir con lo reportado al Sistema Único de Información, SUI, para usuarios regulados. |
PARÁGRAFO. La variable CFSm,i,j reconocerá el Costo financiero asociado al retraso del giro de los subsidios del comercializador deficitario j desde la finalización de los trimestres T hasta el mínimo entre noventa (90) días y el giro de los subsidios en todos los mercados relevantes de comercialización atendidos por este.
ARTÍCULO 19. CONTRIBUCIÓN ADICIONAL A FAVOR DEL FONDO EMPRESARIAL DE LA SUPERINTENDENCIA DE SERVICIOS PÚBLICOS DOMICILIARIOS -SSPD-. El costo mensual de la Contribución Adicional de que trata el Artículo 314 de la Ley 1955 de 2019, liquidado por el Comercializador Minorista aplicable a sus usuarios regulados, se calculará de acuerdo con la siguiente fórmula:
![]()
Donde:
| Costo en $/m3 de la Contribución Adicional a favor del Fondo Empresarial de la Superintendencia de Servicios Públicos Domiciliarios establecida en el Artículo 314 de la Ley 1955 de 2019, para el Mercado Relevante de Comercialización para el Siguiente Período Tarifario i, recaudado por el comercializador j, para el mes m de cálculo. | |
| Costo en el mes m de la Contribución Adicional a recaudar por el comercializador j, para el Mercado Relevante de Comercialización para el Siguiente Período Tarifario i. El costo mensual de las contribuciones corresponderá a una doceava | |
| Ventas totales a usuarios regulados y no regulados en el Mercado Relevante de Comercialización para el Siguiente Período Tarifario i, atendido por el comercializador j, para el mes m-1, expresado en metros cúbicos (m3). |
ARTÍCULO 20. PUBLICIDAD. Mensualmente, cada comercializador hará pública en forma simple y comprensible, por medio de un periódico de amplia circulación en los municipios donde preste el servicio, o en uno de circulación nacional, antes de su aplicación, la información correspondiente al componente fijo
y componente variable
del Costo de Comercialización, incluido el Margen de Operación
, el Riesgo de Cartera
, Costos Financieros
discriminado en Ciclo Efectivo
y reconocimiento por la demora en el giro de subsidios
.
ARTÍCULO 21. DEROGATORIA. Una vez en firme la presente Resolución, se deroga la metodología para la remuneración de la actividad de comercialización de gas combustible contenida en la Resolución CREG 011 de 2003.
ARTÍCULO 22. VIGENCIA. La presente Resolución rige a partir de la fecha de su publicación en el Diario Oficial.
PUBLÍQUESE Y CÚMPLASE
Firmas del proyecto,
MIGUEL LOTERO ROBLEDO
Viceministro de Energía, Delegado del
Ministro de Minas y Energía
Presidente
JORGE ALBERTO VALENCIA MARÍN
Director Ejecutivo
RESUMEN DE LA SOLICITUD TARIFARIA.
Para efectos de la aplicación de las disposiciones contenidas en esta Resolución, y de lo dispuesto en las Leyes 1437 de 2011 y 142 de 1994 o aquéllas que las modifiquen, aclaren o sustituyan y, con el fin de realizar las comunicaciones a terceros, las empresas que presenten su solicitud tarifaria para la fijación de cargos de comercialización deberán remitir un resumen de la misma, que contenga la siguiente información:
1. Identificación de cada uno de los municipios y/o centros poblados que conformarán el Mercado Relevante de Comercialización para el Siguiente Período Tarifario, el cual debe coincidir con el Mercado Relevante de Distribución propuesto y/o aprobado, y para el cual la empresa está interesada en obtener Cargos de Comercialización.
| SOLICITUD DE MERCADO RELEVANTE DE COMERCIALIZACIÓN PARA EL SIGUIENTE PERÍODO TARIFARIO | |||
| Código DANE del municipio o centro poblado | Municipios o centros poblados del mercado de Comercialización existente | Municipios que conforman el otro mercado existente de Comercialización que se va a agregar | Municipios o centros poblados nuevos que se anexan a mercados existentes de Comercialización |
2. Número de usuarios a la Fecha Base para cada uno de los municipios existentes y que van a conformar el Mercado Relevante de Comercialización para el Siguiente Período Tarifario.
3. Número de facturas para cada uno de los municipios del Mercado Existente y que van a conformar el Mercado Relevante de Comercialización para el Siguiente Período Tarifario, expedidas por el comercializador a usuarios regulados para la Fecha Base, consistentes con la información reportada al Sistema Único de Información, SUI. No se incluirán las facturas asociadas a errores de facturación.
4. Número de usuarios proyectados para los Municipios Nuevos que van a conformar el Mercado Relevante de Comercialización para el Siguiente Período Tarifario.
5. Gastos de AOM en pesos de la Fecha de Corte, conforme a lo dispuesto en el ANEXO 2 de esta Resolución, reportados para los años solicitados.
6. Para los mercados nuevos, la proyección de gastos de AOM de comercialización durante un horizonte de veinte (20) años y que sean concordantes con los costos que se remuneran dentro de la actividad de comercialización para los Mercados Existentes.
7. Componente Fijo del costo de Comercialización y variable Riesgo de Cartera del Componente Variable que se propone a la Comisión dentro del trámite administrativo de aprobación y de acuerdo con lo dispuesto en esta resolución.
Información requerida para realizar el cálculo de la variable
de acuerdo con lo establecido en el Artículo 17. Para esto, se deberá reportar: (i) El (o los) municipio (s) y/o centro (s) poblado (s) identificados con su correspondiente código DANE, (ii) el número de usuarios desconectados por no pago por estrato o sector de consumo dentro de los cinco (5) años anteriores a la Fecha de Corte, (iii) el consumo facturado medio por estrato para los usuarios residenciales o por sector de consumo para los usuarios no residenciales regulados (iv) las ventas totales a usuarios regulados del año t-1. (v) la relación entre los subsidios y el total facturado en el estrato o sector de consumo del Mercado de Comercialización.
MIGUEL LOTERO ROBLEDO
Viceministro de Energía, Delegado del
Ministro de Minas y Energía
Presidente
JORGE ALBERTO VALENCIA MARÍN
Director Ejecutivo
GASTOS DE ADMINISTRACIÓN, OPERACIÓN Y MANTENIMIENTO (AOM) DE LA ACTIVIDAD DE COMERCIALIZACIÓN DE GAS COMBUSTIBLE.
Los gastos eficientes de Administración, Operación y Mantenimiento, AOM, que se remunerarán en el componente fijo del costo de comercialización de gas combustible por redes de tubería, se determinarán de la siguiente manera:
I. Mercados Relevantes de Comercialización conformados a partir de Mercados Existentes o Agregación de Mercados Existentes de distribución.
1. Se utiliza la información de AOM reportada a la CREG por cada una de las empresas comercializadoras para la vigencia 2016, según lo dispuesto en las Circulares CREG 004 y 065 de 2017. La información correspondiente a los costos y gastos de AOM de las actividades reguladas de distribución, comercialización y de sus Otros Negocios de todos los Mercados Existentes en donde prestan servicio que fue reportada conforme a las cuentas establecidas a continuación:
| CUENTAS | NOMBRE | SE CONSIDERA (+) O NO SE CONSIDERA (-) |
| 5 | GASTOS | |
| 51 | DE ADMINISTRACIÓN | |
| 5101 | SUELDOS Y SALARIOS | |
| 510101 | Sueldos | (+) |
| 510102 | Jornales | (+) |
| 510103 | Horas extras y festivos | (+) |
| 510108 | Sueldo por comisiones al exterior | (+) |
| 510119 | Bonificaciones | (+) |
| 510123 | Auxilio de transporte | (+) |
| 510145 | Salario integral | (+) |
| 510159 | Subsidio de vivienda | (+) |
| 510160 | Subsidio de alimentación | (+) |
| 5107 | PRESTACIONES SOCIALES | |
| 510701 | Vacaciones | (+) |
| 510702 | Cesantías | (+) |
| 510703 | Intereses a las cesantías | (+) |
| 510704 | Prima de vacaciones | (+) |
| 510705 | Prima de navidad | (+) |
| 510706 | Prima de servicios | (+) |
| 510790 | Otras primas | (+) |
| 510795 | Otras prestaciones sociales | (+) |
| 5108 | GASTOS DE PERSONAL DIVERSOS | |
| 510801 | Remuneración por servicios técnicos | (+) |
| 510802 | Honorarios | (+) |
| 510803 | Capacitación, bienestar social y estímulos | (+) |
| 510804 | Dotación y suministro a trabajadores | (+) |
| 510805 | Gastos deportivos y de recreación | (+) |
| 510806 | Contratos de personal temporal | (+) |
| 510807 | Gastos de viaje | (+) |
| 510808 | Remuneración electoral | (+) |
| 510809 | Gastos de representación | (+) |
| 510810 | Viáticos | (+) |
| 510811 | Ajuste beneficios post-empleo | (-) |
| 510812 | Ajuste beneficios a los empleados a largo plazo | (-) |
| 510890 | Otros gastos de personal diversos | (+) |
| 5102 | CONTRIBUCIONES IMPUTADAS | |
| 510201 | Incapacidades | (+) |
| 510202 | Subsidio familiar | (+) |
| 510203 | Indemnizaciones | (+) |
| 510204 | Gastos médicos y drogas | (+) |
| 510205 | Auxilio y servicios funerarios | (+) |
| 510206 | Pensiones de jubilación patronales | (-) |
| 510207 | Cuotas partes de pensiones | (-) |
| 510208 | Indemnizaciones sustitutivas | (-) |
| 510209 | Amortización cálculo actuarial pensiones actuales | (-) |
| 510210 | Amortización cálculo actuarial de futuras pensiones | (-) |
| 510211 | Amortización cálculo actuarial de futuras cuotas partes de pensiones | (-) |
| 510212 | Amortización Liquidación provisional de cuotas partes de bonos pensionales | (-) |
| 510213 | Cuotas partes de bonos pensionales emitidos | (-) |
| 510215 | Subsidio por dependiente | (+) |
| 510290 | Otras contribuciones imputadas | (+) |
| 5103 | CONTRIBUCIONES EFECTIVAS | |
| 510301 | Seguros de vida | (+) |
| 510302 | Aportes a cajas de compensación familiar | (+) |
| 510303 | Cotizaciones a seguridad social en salud | (+) |
| 510304 | Aportes sindicales | (+) |
| 510305 | Cotizaciones a riesgos laborales | (+) |
| 510306 | Cotizaciones a entidades administradoras del régimen de prima media | (+) |
| 510307 | Cotizaciones a entidades administradoras del régimen de ahorro individual | (+) |
| 510308 | Medicina Prepagada | (+) |
| 510390 | Otras contribuciones efectivas | (+) |
| 5104 | APORTES SOBRE LA NOMINA | (+) |
| 5111 | GENERALES | |
| 511101 | Moldes y Troqueles | (+) |
| 511102 | Material Quirúrgico | (+) |
| 511103 | Elementos de lencería y ropería | (+) |
| 511104 | Loza y cristalería | (+) |
| 511105 | Gastos de organización y puesta en marcha | (+) |
| 511106 | Estudios y proyectos | (+) |
| 511107 | Gastos de exploración | (+) |
| 511109 | Gastos de desarrollo | (+) |
| 511110 | Gastos de asociación | (+) |
| 511111 | Comisiones, honorarios y servicios | (+) |
| 511112 | Obras y mejoras en propiedad ajena | (+) |
| 511113 | Vigilancia y seguridad | (+) |
| 511114 | Materiales y suministros | (+) |
| 511115 | Mantenimiento | (+) |
| 511116 | Reparaciones | (+) |
| 511117 | Servicios públicos | (+) |
| 511118 | Arrendamiento operativo | (-) |
| 511119 | Viáticos y gastos de viaje | (+) |
| 511120 | Publicidad y propaganda | (+) |
| 511121 | Impresos, publicaciones, suscripciones y afiliaciones | (+) |
| 511122 | Fotocopias | (+) |
| 511123 | Comunicaciones y transporte | (+) |
| 511125 | Seguros generales | (+) |
| 511126 | Imprevistos | (+) |
| 511127 | Promoción y divulgación | (+) |
| 511132 | Diseños y Estudios | (+) |
| 511133 | Seguridad industrial | (+) |
| 511136 | Implementos deportivos | (+) |
| 511137 | Eventos culturales | (+) |
| 511139 | Participaciones y compensaciones | (+) |
| 511140 | Contratos de administración | (+) |
| 511141 | Sostenimiento de semovientes | (+) |
| 511142 | Gastos de operación aduanera | (+) |
| 511146 | Combustibles y lubricantes | (+) |
| 511147 | Servicios portuarios y aeroportuarios | (+) |
| 511149 | Servicios de aseo, cafetería, restaurante y lavandería | (+) |
| 511150 | Procesamiento de información | (+) |
| 511151 | Gastos por control de calidad | (+) |
| 511154 | Organización de eventos | (+) |
| 511155 | Elementos de aseo, lavandería y cafetería | (+) |
| 511156 | Bodegaje | (+) |
| 511157 | Concursos y licitaciones | (+) |
| 511158 | Videos | (+) |
| 511159 | Licencias y salvoconductos | (+) |
| 511161 | Relaciones publicas | (+) |
| 511162 | Equipo de seguridad industrial | (+) |
| 511163 | Contratos de aprendizaje | (+) |
| 511190 | Otros gastos generales | (+) |
| 5120 | IMPUESTOS, CONTRIBUCIONES Y TASAS | |
| 512001 | Impuesto predial unificado | (+) |
| 512002 | Cuota de fiscalización y auditaje | (+) |
| 512006 | Valorización | (+) |
| 512007 | Multas | (-) |
| 512008 | Sanciones | (-) |
| 512009 | Impuesto de industria y comercio | (+) |
| 512010 | Tasas | (+) |
| 512011 | Impuesto sobre vehículos automotores | (+) |
| 512012 | Impuesto de registro | (+) |
| 512013 | Regalías y compensaciones monetarias | (+) |
| 512017 | Intereses de Mora | (-) |
| 512018 | Impuesto a las ventas, IVA no descontable | (+) |
| 512019 | Registro y salvoconducto | (+) |
| 512021 | Impuesto para preservar la seguridad democrática | (+) |
| 512022 | Peajes | (+) |
| 512023 | Impuesto al patrimonio | (+) |
| 512024 | Gravamen a los movimientos financieros | (+) |
| 512025 | Impuesto de timbre | (+) |
| 512026 | Contribuciones | (+) |
| 512027 | Licencias | (+) |
| 512028 | Impuestos sobre aduana y recargos | (+) |
| 512029 | Impuestos, contribuciones y tasas en el exterior | (+) |
| 512032 | Impuesto a la riqueza | (+) |
| 512033 | Impuesto complementario de normalización tributaria al impuesto a la riqueza | (+) |
| 512034 | Notariales | (+) |
| 512090 | Otros impuestos | (+) |
| 53 | DETERIORO, DEPRECIACIONES, AGOTAMIENTO, AMORTIZACIONES Y PROVISIONES | (-) |
| 5366 | AMORTIZACIÓN DE ACTIVOS INTANGIBLES | |
| 536605 | Licencias | (-) |
| 536606 | Software | (-) |
| 58 | OTROS GASTOS | |
| 5821 | IMPUESTO A LAS GANANCIAS CORRIENTE | (-) |
| 5822 | IMPUESTO A LAS GANANCIAS DIFERIDO | (-) |
| 7 | COSTOS | |
| 75 | SERVICIOS PUBLICOS | |
| 7505 | SERVICIOS PERSONALES | |
| 750501 | Sueldos de Personal | (+) |
| 750502 | Jornales | (+) |
| 750503 | Horas Extras y Festivos | (+) |
| 750504 | Incapacidades | (+) |
| 750505 | Costos de Representación | (+) |
| 750506 | Remuneración Servicios Técnicos | (+) |
| 750507 | Personal Supernumerario | (+) |
| 750508 | Sueldos por Comisiones al Exterior | (+) |
| 750510 | Primas Técnicas | (+) |
| 750511 | Prima de Dirección | (+) |
| 750512 | Prima Especial de Servicios | (+) |
| 750513 | Prima de Vacaciones | (+) |
| 750514 | Prima de Navidad | (+) |
| 750515 | Primas Extras Legales | (+) |
| 750516 | Primas Extraordinarias | (+) |
| 750517 | Otras Primas | (+) |
| 750518 | Vacaciones | (+) |
| 750519 | Bonificación Especial de Recreación | (+) |
| 750520 | Bonificaciones | (+) |
| 750521 | Subsidio Familiar | (+) |
| 750522 | Subsidio de Alimentación | (+) |
| 750523 | Auxilio de Transporte | (+) |
| 750524 | Cesantías | (+) |
| 750525 | Intereses a las cesantías | (+) |
| 750529 | Indemnizaciones | (+) |
| 750530 | Capacitación, Bienestar Social y Estímulos | (+) |
| 750531 | Dotación y Suministro a Trabajadores | (+) |
| 750533 | Costos Deportivos y de Recreación | (+) |
| 750535 | Aportes a Cajas de Compensación Familiar | (+) |
| 750536 | Aportes al ICBF | (+) |
| 750537 | Aportes a Seguridad Social | (+) |
| 750538 | Aportes al SENA | (+) |
| 750539 | Aportes Sindicales | (+) |
| 750540 | Otros Aportes | (+) |
| 750541 | Costos Médicos y Drogas | (+) |
| 750543 | Otros Auxilios | (+) |
| 750544 | Riesgos Profesionales | (+) |
| 750545 | Salario Integral | (+) |
| 750546 | Contratos Personal Temporal | (+) |
| 750547 | Viáticos | (+) |
| 750548 | Gastos de Viaje | (+) |
| 750549 | Comisiones | (+) |
| 750552 | Prima de Servicios | (+) |
| 750562 | Amortización del cálculo actuarial de futuras pensiones | (-) |
| 750567 | Cotizaciones a Entidades Administradoras del Régimen de Prima Media | (+) |
| 750568 | Cotización a Sociedades Administradoras del Régimen de Ahorro Individual | (+) |
| 750569 | Indemnizaciones sustitutivas | (-) |
| 750570 | Auxilios y Servicios Funerarios | (+) |
| 750571 | Prima de costos de vida | (+) |
| 750572 | Bonificación por servicios prestados | (+) |
| 750573 | Estímulo a la eficiencia | (+) |
| 750574 | Prima de actividad | (+) |
| 750575 | Prima de coordinación | (+) |
| 750576 | Subsidio de vivienda | (+) |
| 750577 | Prima especial de quinquenio | (+) |
| 750578 | Subsidio de carestía | (+) |
| 750579 | Aporte fondos mutuos de inversión | (+) |
| 750580 | Medicina prepagada | (+) |
| 750581 | Aportes a la ESAP | (+) |
| 750582 | Aportes a escuelas industriales e institutos técnicos | (+) |
| 750590 | Otros Servicios Personales | (+) |
| 7510 | GENERALES | |
| 751001 | Moldes y troqueles | (+) |
| 751003 | Material quirúrgico | (+) |
| 751004 | Loza y cristalería | (+) |
| 751006 | Estudios y Proyectos | (+) |
| 751013 | Suscripciones y Afiliaciones | (+) |
| 751015 | Obras y mejoras en propiedad ajena | (+) |
| 751019 | Viáticos y gastos de viaje | (+) |
| 751023 | Publicidad y Propaganda | (+) |
| 751024 | Impresos y Publicaciones | (+) |
| 751025 | Fotocopias, Útiles de escritorio y papelería | (+) |
| 751026 | Comunicaciones | (+) |
| 751027 | Promoción y divulgación | (+) |
| 751036 | Seguridad Industrial | (+) |
| 751037 | Transporte, Fletes y Acarreos | (+) |
| 751038 | Imprevistos | (+) |
| 751039 | Implementos deportivos | (+) |
| 751040 | Eventos culturales | (+) |
| 751041 | Contratos de administración | (+) |
| 751042 | Sostenimiento de semovientes | (+) |
| 751043 | Gastos de operación aduanera | (+) |
| 751044 | Servicios portuarios y aeroportuarios | (+) |
| 751045 | Costos por control de calidad | (+) |
| 751046 | Elementos de aseo, lavandería, y cafetería | (+) |
| 751047 | Videos | (+) |
| 751048 | Licencias y salvoconductos | (+) |
| 751049 | Relaciones públicas | (+) |
| 751050 | Contratos de aprendizaje | (+) |
| 751090 | Otros Costos Generales | (+) |
| 7515 | DEPRECIACIONES | (-) |
| 7517 | ARRENDAMIENTOS | |
| 751701 | Otros Terrenos | (-) |
| 751702 | Construcciones y edificaciones | (-) |
| 751703 | Maquinaria y equipo | (-) |
| 751704 | Equipo de oficina | (-) |
| 751705 | Equipo de computación y comunicación | (-) |
| 751706 | Equipo científico | (-) |
| 751707 | Flota y equipo de transporte | (-) |
| 751790 | Otros | (-) |
| 7520 | AMORTIZACIONES | |
| 752006 | Amortización Intangibles | (-) |
| 752090 | Otras Amortizaciones | (-) |
| 7525 | AGOTAMIENTO | (-) |
| 7530 | COSTO DE BIENES Y SERVICIOS PÚBLICOS PARA LA VENTA | (-) |
| 753004 | Costo por Conexión | (-) |
| 7535 | LICENCIAS, CONTRIBUCIONES Y REGALÍAS | |
| 753504 | Departamento Administrativo del Medio Ambiente -DAMA | (+) |
| 753505 | Ley 56 de 1981 | (+) |
| 753506 | Medio Ambiente, ley 99 de 1993 | (+) |
| 753507 | Regalías | (+) |
| 753508 | Licencia de operación del servicio | (+) |
| 753509 | FAZNI | (+) |
| 753510 | FAER | (+) |
| 753511 | Cuota de omento de gas | (-) |
| 753512 | Ministerio de Comunicaciones y/o Fondo de Comunicaciones | (+) |
| 753513 | Comité de estratificación, ley 505 de 1999 | (+) |
| 753590 | Otras Contribuciones | (+) |
| 7537 | CONSUMO DE INSUMOS DIRECTOS | |
| 753701 | Productos Químicos | (+) |
| 753702 | Gas combustible | (+) |
| 753703 | Carbón mineral | (+) |
| 753704 | Energía | (+) |
| 753705 | ACPM, Fuel Oil | (+) |
| 753790 | Otros Elementos de Consumo de Insumos Directos | (+) |
| 7540 | ÓRDENES Y CONTRATOS DE MANTENIMIENTO Y REPARACIONES | |
| 754001 | Mantenimiento de Construcciones y Edificaciones | (+) |
| 754002 | Mantenimiento Maquinaria y Equipo | (+) |
| 754003 | Mantenimiento de Equipo de Oficina | (+) |
| 754004 | Mantenimiento de Equipo Computación y Comunicación | (+) |
| 754005 | Mantenimiento Equipo de Transporte, Tracción y Elevación | (+) |
| 754006 | Mantenimiento Terrenos | (+) |
| 754007 | Mantenimiento Líneas, Redes y Ductos | (+) |
| 754008 | Mantenimiento de Plantas | (+) |
| 754009 | Reparaciones de construcciones y edificaciones | (+) |
| 754010 | Reparaciones de maquinaria y equipo | (+) |
| 754011 | Reparaciones de equipo de oficina | (+) |
| 754012 | Reparaciones de equipo de computación y comunicación | (+) |
| 754013 | Reparaciones de equipo de transporte, tracción y elevación | (+) |
| 754014 | Reparación de líneas, redes, y ductos | (+) |
| 754015 | Reparación de Plantas | (+) |
| 754090 | Otros Contratos de Mantenimiento y Reparaciones | (+) |
| 7542 | HONORARIOS | |
| 754204 | Avalúos | (+) |
| 754207 | Asesoría Técnica | (+) |
| 754208 | Diseños y estudios | (+) |
| 754290 | Otros | (+) |
| 7545 | SERVICIOS PÚBLICOS | (+) |
| 7550 | MATERIALES Y OTROS COSTOS DE OPERACIÓN | |
| 755001 | Repuestos para vehículos | (+) |
| 755002 | Llantas y Neumáticos | (+) |
| 755003 | Rodamientos | (+) |
| 755004 | Combustibles y Lubricantes | (+) |
| 755005 | Materiales para Construcción | (+) |
| 755006 | Materiales para Laboratorio | (+) |
| 755007 | Materiales Eléctricos | (+) |
| 755008 | Elementos y accesorios de gas combustible | (+) |
| 755009 | Elementos y accesorios de telecomunicaciones | (+) |
| 755010 | Elementos y accesorios de acueducto | (+) |
| 755011 | Elementos y accesorios de alcantarillado | (+) |
| 755012 | Elementos y accesorios de aseo | (+) |
| 755013 | Otros elementos y materiales | (+) |
| 755014 | Otros repuestos | (+) |
| 755015 | Costos de gestión ambiental | (+) |
| 755090 | Otros Costos | (+) |
| 7560 | SEGUROS | |
| 756001 | De Manejo | (+) |
| 756002 | De Cumplimiento | (+) |
| 756003 | De Corriente Débil | (+) |
| 756004 | De Vida Colectiva | (+) |
| 756005 | De Incendio | (+) |
| 756006 | De Terremoto | (+) |
| 756007 | De Sustracción y Hurto | (+) |
| 756008 | De Flota y Equipo de Transporte | (+) |
| 756009 | De Responsabilidad Civil y Extracontractual | (+) |
| 756010 | De Rotura de Maquinaria | (+) |
| 756011 | De Equipo Fluvial y Marítimo | (+) |
| 756012 | De terrorismo | (+) |
| 756090 | Otros Seguros | (+) |
| 7565 | IMPUESTOS Y TASAS | |
| 756502 | De Timbre | (+) |
| 756503 | Predial | (+) |
| 756504 | De Valorización | (+) |
| 756505 | De Vehículos | (+) |
| 756506 | Registro | (+) |
| 756507 | Tasa por utilización de recursos naturales | (+) |
| 756508 | Tasa por contaminación de recursos naturales | (+) |
| 756510 | Peajes de carreteras | (+) |
| 756590 | Otros Impuestos | (+) |
| 7570 | ÓRDENES Y CONTRATOS POR OTROS SERVICIOS | |
| 757001 | Aseo | (+) |
| 757002 | Vigilancia | (+) |
| 757003 | Casino y cafetería | (+) |
| 757004 | Toma de lectura | (+) |
| 757005 | Entrega de facturas | (+) |
| 757006 | Venta de derechos por comisión | (+) |
| 757007 | Administración de infraestructura informática | (+) |
| 757008 | Suministro y servicios informáticos | (+) |
| 757009 | Servicio de instalación y desinstalación | (+) |
| 757090 | Otros contratos | (+) |
Nota: El signo (+) significa que la cuenta se considera para el análisis y el signo (-) que esa cuenta no se considera.
2. El gasto total de AOM de la actividad de comercialización se calcula como la suma de los costos y gastos reportados por la empresa para la vigencia 2016 para esta actividad.
3. Los gastos de AOM correspondientes a la actividad de comercialización se asignan a cada uno de los mercados relevantes de comercialización atendidos por la empresa en forma proporcional al número de usuarios reportados a diciembre de 2016.
4. Una vez definido lo anterior, se establecerá para el mercado relevante de comercialización, la razón eficiente entre gastos de AOM y el número de facturas, la cual se define así:

Donde:
| Gastos de AOM anuales reportados a diciembre de 2016 por las empresas, asignados para el mercado relevante de comercialización, expresados en pesos de diciembre de 2016. | |
| Gastos de AOM anuales remunerados para la vigencia 2016. Éstos se calculan conforme a la siguiente fórmula: |

Donde:
| Cargo máximo base de comercialización aprobado para el mercado existente de comercialización y que había sido aprobado mediante resolución particular conforme a la Resolución CREG 011 de 2003. Expresado en pesos de la Fecha Base de la solicitud tarifaria conforme a la Resolución CREG 011 de 2003 por factura. | |
| Número de facturas que fueron reportadas por la empresa para la determinación del | |
| Valor de la depreciación que fue utilizada para la determinación del cálculo del | |
| Ingreso total del comercializador correspondiente, que fue utilizado para la determinación del | |
| Numero de mercados de comercialización existentes que conforman el mercado relevante de comercialización para el siguiente período tarifario. | |
| Mercado Relevante de Comercialización existente i. | |
| Corresponde al factor de actualización para llevar los AOM remunerados conforme a los cargos que habían sido aprobados por la Resolución CREG 011 de 2003 a pesos de 31 de diciembre de 2016: |
| Número total de facturas reportadas por la empresa en el SUI para los municipios que conforman el mercado relevante de comercialización para el año 2016. | |
| Gasto de AOM máximo a reconocer por Mercado Relevante de Comercialización para el Siguiente Período Tarifario, expresado como un cociente del número de facturas, que se calcula conforme a la siguiente fórmula: |

Donde:
| Número de municipios que contiene el Mercado Relevante de Comercialización para el Siguiente Período Tarifario. | |
| Número de facturas del Mercado Relevante de Comercialización para el Siguiente Período Tarifario, reportadas para la vigencia 2016. | |
| Número de facturas del municipio p que pertenece al Mercado Relevante de Comercialización para el Siguiente Período Tarifario, reportadas para la vigencia 2016. | |
![]() | Razón (AOM/facturas) asignada al municipio p según la clasificación dada al mismo municipio por grupo G de la Tabla 1 del Anexo 3 y según a la siguiente tabla: |
| Grupo G | |
| 1 | 2.949 |
| 2 | 2.578 |
| Con ese resultado se determinará la razón AOM/factura máxima a reconocer. Para aquellos municipios de mercados existentes donde se esté prestando el servicio por empresa y que no están clasificados por Grupo G conforme a la Tabla 1 del Anexo 3, la empresa deberá solicitar a la CREG que determine el grupo al que pertenece el municipio. La CREG hará esta determinación con base en la metodología de agrupación utilizada para la construcción de la Tabla 2 del Anexo 3. | |
5. El monto eficiente de gastos de AOM que se considera en los cálculos de los cargos de comercialización se determina con la razón eficiente establecida en el numeral anterior para cada Mercado Relevante de Comercialización para el Siguiente Período Tarifario, y multiplicado por el número de facturas reportado a la Fecha de Corte, expresado en pesos de la Fecha Base.
Cuando las empresas no hayan reportado la información de gastos de AOM para cada actividad de acuerdo a los requerimientos establecidos en las distintas comunicaciones mencionadas en el Numeral 1 de esta sección, la Comisión aprobará, para efectos tarifarios, el noventa por ciento (90%) de los gastos de AOM eficientes vigentes a la Fecha Base de una empresa que sea comparable en términos de escala y densidad de mercado (número de usuarios atendidos y número de kilómetros de la red del sistema de distribución).
En los casos de Mercados Relevantes de comercialización para el siguiente período tarifario en que se preste el servicio por más de un comercializador minorista, se tomará el AOM por factura eficiente de cada empresa resultante para el mercado relevante de comercialización.
II. Definición de AOM Eficiente para Mercados Relevantes de comercialización conformados por Municipios Nuevos.
1. Para los Mercados Relevantes de comercialización para el Siguiente Período Tarifario conformados por municipios y/o centros poblados nuevos, la empresa deberá presentar la proyección de gastos de AOM para un horizonte de veinte (20) años, que sea concordante con los costos que se remuneran dentro de la actividad de comercialización. Así mismo, la proyección de usuarios durante el mismo horizonte de proyección. En la proyección de gastos de AOM el incremento anual de AOM en cada uno de los años, desde el año dos (2) hasta el año veinte (20), deberá ser menor o igual al incremento en el número de usuarios.
En caso de que el incremento anual de gastos de AOM en un año de la proyección sea mayor al incremento de los usuarios en ese año, el gasto de AOM se ajustará al menor de los crecimientos entre el AOM y el número de usuarios.
2. Se determinará la razón eficiente AOM/factura de acuerdo con la siguiente fórmula:

Donde:
| Razón AOM/factura máxima a reconocer por Mercado Relevante de Comercialización para el Siguiente Período Tarifario, que se calcula conforme a la siguiente fórmula: |

Donde:
| Número de municipios que contiene el Mercado Relevante de Comercialización para el Siguiente Período Tarifario. | |
| Número total de facturas proyectadas del Mercado Relevante de Comercialización para el Siguiente Período Tarifario. Se calcula como el número de usuarios proyectados al quinto año para el mercado relevante de comercialización, multiplicado por doce (12). | |
| Número total de facturas proyectadas del municipio p que pertenece al Mercado Relevante de Comercialización para el Siguiente Período Tarifario. Se calcula como la proyección de usuarios a cinco años del municipio p multiplicado por doce (12). | |
| Razón asignada al municipio p según la clasificación dada por grupo G conforme a la siguiente tabla: | |
| Grupo G | |
| 1 | 2.949 |
| 2 | 2.578 |
| Con ese resultado, se determinará la razón AOM/factura máxima a reconocer. En caso de que alguno de los municipios que conforma el Mercado Relevante de Comercialización nuevo para el Siguiente Período Tarifario no se encuentre en la Tabla 1 del Anexo 3, la empresa deberá solicitar a la CREG que determine el grupo al que pertenece el municipio. La CREG hará esta determinación con base en la metodología de agrupación utilizada para la construcción de la Tabla 2 consignada en el Anexo 3. | |
| Promedio de los gastos de AOM de los cinco (5) años reportados por las empresas en el horizonte de proyección y ajustados conforme al numeral anterior. Estos valores deberán ser expresados en pesos de la fecha base. | |
| Corresponde al número de usuarios proyectados para el quinto (5) año, multiplicado por doce (12). | |
3. Cuando la razón eficiente de gastos de AOM por factura corresponda a la razón
, se utilizará la proyección de los gastos de AOM reportada por la empresa.
En los casos en que el porcentaje eficiente de gastos de AOM corresponda al
, se multiplicará el gasto de AOM proyectado para cada uno de los años, reportado por la empresa por el siguiente factor de ajuste (%FA):

III. Definición de AOM eficiente para mercados relevantes de comercialización conformados a partir de anexar a mercados existentes de comercialización municipios nuevos.
Para la determinación de los gastos de AOM, se tendrán en cuenta los gastos de AOM anuales eficientes de los Mercados Existentes resultantes del procedimiento descrito en el numeral I y el AOM para los municipios nuevos obtenidos conforme el numeral II, a través de un promedio ponderado por número de facturas.
MIGUEL LOTERO ROBLEDO
Viceministro de Energía, Delegado del
Ministro de Minas y Energía
Presidente
JORGE ALBERTO VALENCIA MARÍN
Director Ejecutivo
METODOLOGÍA PARA LA CLASIFICACIÓN DE MUNICIPIOS POR GRUPO.
Para establecer la razón entre gastos de AOM y el número de facturas (AOM/facturas) máximo a reconocer como se define en el ANEXO 2 de la presente Resolución, se conformarán grupos de municipios de acuerdo con sus características, utilizando el siguiente procedimiento:
1. Para cada uno de los municipios que conforman los Mercados Relevantes de Comercialización de gas combustible por redes de tuberías solicitados por las empresas se consideran las siguientes variables:
i. Variable Razón Predios por Área -PREDxAREA. Corresponde a la razón entre: (i) el número de predios y (ii) el área de la cabecera municipal y de los Centros Poblados de cada municipio, medida en hectáreas.
ii. Variable Razón Hogares por Predio –HOGxPRED. Corresponde al cociente entre el número de hogares y el número de predios del municipio.
2. Se determina el promedio y la desviación estándar de las variables descritas en el numeral 1 de esta sección. Cada una de esas variables se transforman utilizando la siguiente fórmula:
![]()
3. Con base en las variables transformadas de cada municipio, se aplica la metodología de conglomerados K-means para clasificar los municipios en dos (2) grupos.
De acuerdo con el procedimiento antes descrito, la clasificación de los municipios es la siguiente:
TABLA 1
CLASIFICACIÓN DE LOS MUNICIPIOS POR CARACTERÍSTICAS FÍSICAS
| CÓDIGO DANE | MUNICIPIO | DEPARTAMENTO | GRUPO |
| 5002 | ABEJORRAL | ANTIOQUIA | 1 |
| 5030 | AMAGÁ | ANTIOQUIA | 1 |
| 5031 | AMALFI | ANTIOQUIA | 1 |
| 5034 | ANDES | ANTIOQUIA | 1 |
| 5036 | ANGELÓPOLIS | ANTIOQUIA | 1 |
| 5045 | APARTADÓ | ANTIOQUIA | 1 |
| 5051 | ARBOLETES | ANTIOQUIA | 1 |
| 5079 | BARBOSA | ANTIOQUIA | 1 |
| 5088 | BELLO | ANTIOQUIA | 2 |
| 5091 | BETANIA | ANTIOQUIA | 1 |
| 5093 | BETULIA | ANTIOQUIA | 1 |
| 5120 | CÁCERES | ANTIOQUIA | 1 |
| 5129 | CALDAS | ANTIOQUIA | 1 |
| 5138 | CAÑASGORDAS | ANTIOQUIA | 1 |
| 5145 | CARAMANTA | ANTIOQUIA | 1 |
| 5147 | CAREPA | ANTIOQUIA | 1 |
| 5150 | CAROLINA | ANTIOQUIA | 1 |
| 5154 | CAUCASIA | ANTIOQUIA | 1 |
| 5172 | CHIGORODÓ | ANTIOQUIA | 1 |
| 5190 | CISNEROS | ANTIOQUIA | 1 |
| 5101 | CIUDAD BOLÍVAR | ANTIOQUIA | 1 |
| 5197 | COCORNÁ | ANTIOQUIA | 2 |
| 5209 | CONCORDIA | ANTIOQUIA | 1 |
| 5212 | COPACABANA | ANTIOQUIA | 1 |
| 5237 | DONMATÍAS | ANTIOQUIA | 2 |
| 5250 | EL BAGRE | ANTIOQUIA | 1 |
| 5148 | EL CARMEN DE VIBORAL | ANTIOQUIA | 1 |
| 5697 | EL SANTUARIO | ANTIOQUIA | 2 |
| 5264 | ENTRERRÍOS | ANTIOQUIA | 1 |
| 5266 | ENVIGADO | ANTIOQUIA | 2 |
| 5282 | FREDONIA | ANTIOQUIA | 1 |
| 5284 | FRONTINO | ANTIOQUIA | 1 |
| 5308 | GIRARDOTA | ANTIOQUIA | 1 |
| 5310 | GÓMEZ PLATA | ANTIOQUIA | 1 |
| 5313 | GRANADA | ANTIOQUIA | 2 |
| 5315 | GUADALUPE | ANTIOQUIA | 1 |
| 5318 | GUARNE | ANTIOQUIA | 1 |
| 5321 | GUATAPÉ | ANTIOQUIA | 1 |
| 5353 | HISPANIA | ANTIOQUIA | 1 |
| 5360 | ITAGÜÍ | ANTIOQUIA | 2 |
| 5361 | ITUANGO | ANTIOQUIA | 1 |
| 5364 | JARDÍN | ANTIOQUIA | 1 |
| 5368 | JERICÓ | ANTIOQUIA | 1 |
| 5376 | LA CEJA | ANTIOQUIA | 2 |
| 5380 | LA ESTRELLA | ANTIOQUIA | 1 |
| 5400 | LA UNIÓN | ANTIOQUIA | 2 |
| 5411 | LIBORINA | ANTIOQUIA | 1 |
| 5425 | MACEO | ANTIOQUIA | 1 |
| 5440 | MARINILLA | ANTIOQUIA | 1 |
| 5001 | MEDELLÍN | ANTIOQUIA | 1 |
| 5467 | MONTEBELLO | ANTIOQUIA | 1 |
| 5480 | MUTATÁ | ANTIOQUIA | 1 |
| 5490 | NECOCLÍ | ANTIOQUIA | 1 |
| 5501 | OLAYA | ANTIOQUIA | 1 |
| 5541 | PEÑOL | ANTIOQUIA | 2 |
| 5576 | PUEBLORRICO | ANTIOQUIA | 1 |
| 5579 | PUERTO BERRÍO | ANTIOQUIA | 1 |
| 5585 | PUERTO NARE | ANTIOQUIA | 1 |
| 5591 | PUERTO TRIUNFO | ANTIOQUIA | 1 |
| 5607 | RETIRO | ANTIOQUIA | 1 |
| 5615 | RIONEGRO | ANTIOQUIA | 1 |
| 5628 | SABANALARGA | ANTIOQUIA | 1 |
| 5631 | SABANETA | ANTIOQUIA | 2 |
| 5642 | SALGAR | ANTIOQUIA | 1 |
| 5647 | SAN ANDRÉS DE CUERQUÍA | ANTIOQUIA | 1 |
| 5649 | SAN CARLOS | ANTIOQUIA | 1 |
| 5656 | SAN JERÓNIMO | ANTIOQUIA | 1 |
| 5659 | SAN JUAN DE URABÁ | ANTIOQUIA | 1 |
| 5660 | SAN LUIS | ANTIOQUIA | 1 |
| 5664 | SAN PEDRO DE LOS MILAGROS | ANTIOQUIA | 1 |
| 5665 | SAN PEDRO DE URABÁ | ANTIOQUIA | 1 |
| 5667 | SAN RAFAEL | ANTIOQUIA | 1 |
| 5670 | SAN ROQUE | ANTIOQUIA | 1 |
| 5679 | SANTA BÁRBARA | ANTIOQUIA | 1 |
| 5042 | SANTA FÉ DE ANTIOQUIA | ANTIOQUIA | 1 |
| 5686 | SANTA ROSA DE OSOS | ANTIOQUIA | 1 |
| 5690 | SANTO DOMINGO | ANTIOQUIA | 1 |
| 5736 | SEGOVIA | ANTIOQUIA | 1 |
| 5756 | SONSÓN | ANTIOQUIA | 1 |
| 5761 | SOPETRÁN | ANTIOQUIA | 1 |
| 5789 | TÁMESIS | ANTIOQUIA | 1 |
| 5790 | TARAZÁ | ANTIOQUIA | 2 |
| 5792 | TARSO | ANTIOQUIA | 1 |
| 5809 | TITIRIBÍ | ANTIOQUIA | 1 |
| 5837 | TURBO | ANTIOQUIA | 1 |
| 5847 | URRAO | ANTIOQUIA | 1 |
| 5854 | VALDIVIA | ANTIOQUIA | 1 |
| 5856 | VALPARAÍSO | ANTIOQUIA | 1 |
| 5861 | VENECIA | ANTIOQUIA | 1 |
| 5887 | YARUMAL | ANTIOQUIA | 2 |
| 5890 | YOLOMBÓ | ANTIOQUIA | 1 |
| 5893 | YONDÓ | ANTIOQUIA | 1 |
| 5895 | ZARAGOZA | ANTIOQUIA | 1 |
| 8078 | BARANOA | ATLÁNTICO | 1 |
| 8001 | BARRANQUILLA | ATLÁNTICO | 2 |
| 8137 | CAMPO DE LA CRUZ | ATLÁNTICO | 1 |
| 8141 | CANDELARIA | ATLÁNTICO | 1 |
| 8296 | GALAPA | ATLÁNTICO | 1 |
| 8372 | JUAN DE ACOSTA | ATLÁNTICO | 1 |
| 8421 | LURUACO | ATLÁNTICO | 1 |
| 8433 | MALAMBO | ATLÁNTICO | 1 |
| 8436 | MANATÍ | ATLÁNTICO | 1 |
| 8520 | PALMAR DE VARELA | ATLÁNTICO | 1 |
| 8549 | PIOJÓ | ATLÁNTICO | 1 |
| 8558 | POLONUEVO | ATLÁNTICO | 1 |
| 8560 | PONEDERA | ATLÁNTICO | 1 |
| 8573 | PUERTO COLOMBIA | ATLÁNTICO | 1 |
| 8606 | REPELÓN | ATLÁNTICO | 1 |
| 8634 | SABANAGRANDE | ATLÁNTICO | 1 |
| 8638 | SABANALARGA | ATLÁNTICO | 1 |
| 8675 | SANTA LUCÍA | ATLÁNTICO | 1 |
| 8685 | SANTO TOMÁS | ATLÁNTICO | 1 |
| 8758 | SOLEDAD | ATLÁNTICO | 1 |
| 8770 | SUAN | ATLÁNTICO | 1 |
| 8832 | TUBARÁ | ATLÁNTICO | 1 |
| 8849 | USIACURÍ | ATLÁNTICO | 1 |
| 11001 | BOGOTÁ, D.C. | BOGOTÁ, D.C. | 2 |
| 13042 | ARENAL | BOLÍVAR | 1 |
| 13052 | ARJONA | BOLÍVAR | 1 |
| 13062 | ARROYOHONDO | BOLÍVAR | 1 |
| 13140 | CALAMAR | BOLÍVAR | 1 |
| 13160 | CANTAGALLO | BOLÍVAR | 1 |
| 13001 | CARTAGENA DE INDIAS | BOLÍVAR | 1 |
| 13188 | CICUCO | BOLÍVAR | 1 |
| 13222 | CLEMENCIA | BOLÍVAR | 1 |
| 13212 | CÓRDOBA | BOLÍVAR | 1 |
| 13244 | EL CARMEN DE BOLÍVAR | BOLÍVAR | 1 |
| 13248 | EL GUAMO | BOLÍVAR | 1 |
| 13430 | MAGANGUÉ | BOLÍVAR | 1 |
| 13433 | MAHATES | BOLÍVAR | 1 |
| 13442 | MARÍA LA BAJA | BOLÍVAR | 1 |
| 13620 | SAN CRISTÓBAL | BOLÍVAR | 1 |
| 13647 | SAN ESTANISLAO | BOLÍVAR | 1 |
| 13654 | SAN JACINTO | BOLÍVAR | 1 |
| 13657 | SAN JUAN NEPOMUCENO | BOLÍVAR | 1 |
| 13670 | SAN PABLO | BOLÍVAR | 1 |
| 13673 | SANTA CATALINA | BOLÍVAR | 1 |
| 13468 | SANTA CRUZ DE MOMPOX | BOLÍVAR | 1 |
| 13683 | SANTA ROSA | BOLÍVAR | 1 |
| 13760 | SOPLAVIENTO | BOLÍVAR | 1 |
| 13780 | TALAIGUA NUEVO | BOLÍVAR | 1 |
| 13836 | TURBACO | BOLÍVAR | 1 |
| 13838 | TURBANÁ | BOLÍVAR | 1 |
| 13873 | VILLANUEVA | BOLÍVAR | 1 |
| 13894 | ZAMBRANO | BOLÍVAR | 1 |
| 15051 | ARCABUCO | BOYACÁ | 2 |
| 15087 | BELÉN | BOYACÁ | 2 |
| 15090 | BERBEO | BOYACÁ | 2 |
| 15104 | BOYACÁ | BOYACÁ | 2 |
| 15106 | BRICEÑO | BOYACÁ | 1 |
| 15131 | CALDAS | BOYACÁ | 2 |
| 15135 | CAMPOHERMOSO | BOYACÁ | 2 |
| 15162 | CERINZA | BOYACÁ | 2 |
| 15176 | CHIQUINQUIRÁ | BOYACÁ | 1 |
| 15185 | CHITARAQUE | BOYACÁ | 2 |
| 15187 | CHIVATÁ | BOYACÁ | 2 |
| 15189 | CIÉNEGA | BOYACÁ | 2 |
| 15204 | CÓMBITA | BOYACÁ | 2 |
| 15218 | COVARACHÍA | BOYACÁ | 2 |
| 15224 | CUCAITA | BOYACÁ | 2 |
| 15238 | DUITAMA | BOYACÁ | 1 |
| 15272 | FIRAVITOBA | BOYACÁ | 2 |
| 15276 | FLORESTA | BOYACÁ | 2 |
| 15299 | GARAGOA | BOYACÁ | 1 |
| 15322 | GUATEQUE | BOYACÁ | 1 |
| 15367 | JENESANO | BOYACÁ | 2 |
| 15380 | LA CAPILLA | BOYACÁ | 2 |
| 15455 | MIRAFLORES | BOYACÁ | 2 |
| 15469 | MONIQUIRÁ | BOYACÁ | 2 |
| 15476 | MOTAVITA | BOYACÁ | 2 |
| 15491 | NOBSA | BOYACÁ | 1 |
| 15494 | NUEVO COLÓN | BOYACÁ | 2 |
| 15500 | OICATÁ | BOYACÁ | 2 |
| 15514 | PÁEZ | BOYACÁ | 1 |
| 15516 | PAIPA | BOYACÁ | 2 |
| 15542 | PESCA | BOYACÁ | 2 |
| 15572 | PUERTO BOYACÁ | BOYACÁ | 1 |
| 15599 | RAMIRIQUÍ | BOYACÁ | 2 |
| 15600 | RÁQUIRA | BOYACÁ | 2 |
| 15638 | SÁCHICA | BOYACÁ | 1 |
| 15646 | SAMACÁ | BOYACÁ | 2 |
| 15660 | SAN EDUARDO | BOYACÁ | 2 |
| 15664 | SAN JOSÉ DE PARE | BOYACÁ | 2 |
| 15693 | SANTA ROSA DE VITERBO | BOYACÁ | 1 |
| 15696 | SANTA SOFÍA | BOYACÁ | 2 |
| 15686 | SANTANA | BOYACÁ | 2 |
| 15740 | SIACHOQUE | BOYACÁ | 2 |
| 15759 | SOGAMOSO | BOYACÁ | 1 |
| 15762 | SORA | BOYACÁ | 2 |
| 15764 | SORACÁ | BOYACÁ | 2 |
| 15763 | SOTAQUIRÁ | BOYACÁ | 2 |
| 15776 | SUTAMARCHÁN | BOYACÁ | 2 |
| 15778 | SUTATENZA | BOYACÁ | 2 |
| 15798 | TENZA | BOYACÁ | 2 |
| 15804 | TIBANÁ | BOYACÁ | 2 |
| 15806 | TIBASOSA | BOYACÁ | 2 |
| 15808 | TINJACÁ | BOYACÁ | 2 |
| 15810 | TIPACOQUE | BOYACÁ | 2 |
| 15814 | TOCA | BOYACÁ | 2 |
| 15816 | TOGÜÍ | BOYACÁ | 2 |
| 15001 | TUNJA | BOYACÁ | 2 |
| 15832 | TUNUNGUÁ | BOYACÁ | 2 |
| 15835 | TURMEQUÉ | BOYACÁ | 2 |
| 15837 | TUTA | BOYACÁ | 2 |
| 15861 | VENTAQUEMADA | BOYACÁ | 2 |
| 15407 | VILLA DE LEYVA | BOYACÁ | 1 |
| 15879 | VIRACACHÁ | BOYACÁ | 2 |
| 15897 | ZETAQUIRA | BOYACÁ | 2 |
| 17042 | ANSERMA | CALDAS | 2 |
| 17050 | ARANZAZU | CALDAS | 2 |
| 17088 | BELALCÁZAR | CALDAS | 2 |
| 17174 | CHINCHINÁ | CALDAS | 1 |
| 17272 | FILADELFIA | CALDAS | 2 |
| 17380 | LA DORADA | CALDAS | 1 |
| 17388 | LA MERCED | CALDAS | 1 |
| 17001 | MANIZALES | CALDAS | 1 |
| 17433 | MANZANARES | CALDAS | 2 |
| 17444 | MARQUETALIA | CALDAS | 2 |
| 17486 | NEIRA | CALDAS | 2 |
| 17495 | NORCASIA | CALDAS | 1 |
| 17524 | PALESTINA | CALDAS | 1 |
| 17541 | PENSILVANIA | CALDAS | 2 |
| 17614 | RIOSUCIO | CALDAS | 1 |
| 17616 | RISARALDA | CALDAS | 2 |
| 17665 | SAN JOSÉ | CALDAS | 2 |
| 17777 | SUPÍA | CALDAS | 1 |
| 17867 | VICTORIA | CALDAS | 2 |
| 17873 | VILLAMARÍA | CALDAS | 1 |
| 17877 | VITERBO | CALDAS | 1 |
| 18001 | FLORENCIA | CAQUETÁ | 1 |
| 85010 | AGUAZUL | CASANARE | 1 |
| 85125 | HATO COROZAL | CASANARE | 1 |
| 85139 | MANÍ | CASANARE | 1 |
| 85162 | MONTERREY | CASANARE | 1 |
| 85225 | NUNCHÍA | CASANARE | 2 |
| 85250 | PAZ DE ARIPORO | CASANARE | 1 |
| 85263 | PORE | CASANARE | 1 |
| 85300 | SABANALARGA | CASANARE | 1 |
| 85325 | SAN LUIS DE PALENQUE | CASANARE | 1 |
| 85400 | TÁMARA | CASANARE | 2 |
| 85410 | TAURAMENA | CASANARE | 1 |
| 85430 | TRINIDAD | CASANARE | 1 |
| 85440 | VILLANUEVA | CASANARE | 1 |
| 85001 | YOPAL | CASANARE | 1 |
| 19130 | CAJIBÍO | CAUCA | 2 |
| 19142 | CALOTO | CAUCA | 1 |
| 19212 | CORINTO | CAUCA | 2 |
| 19256 | EL TAMBO | CAUCA | 2 |
| 19300 | GUACHENÉ | CAUCA | 1 |
| 19355 | INZÁ | CAUCA | 2 |
| 19455 | MIRANDA | CAUCA | 1 |
| 19473 | MORALES | CAUCA | 2 |
| 19513 | PADILLA | CAUCA | 1 |
| 19517 | PÁEZ | CAUCA | 1 |
| 19532 | PATÍA | CAUCA | 1 |
| 19548 | PIENDAMÓ - TUNÍA | CAUCA | 1 |
| 19001 | POPAYÁN | CAUCA | 1 |
| 19573 | PUERTO TEJADA | CAUCA | 1 |
| 19622 | ROSAS | CAUCA | 2 |
| 19698 | SANTANDER DE QUILICHAO | CAUCA | 1 |
| 19743 | SILVIA | CAUCA | 1 |
| 19807 | TIMBÍO | CAUCA | 2 |
| 19824 | TOTORÓ | CAUCA | 2 |
| 19845 | VILLA RICA | CAUCA | 1 |
| 20011 | AGUACHICA | CESAR | 1 |
| 20013 | AGUSTÍN CODAZZI | CESAR | 1 |
| 20045 | BECERRIL | CESAR | 1 |
| 20060 | BOSCONIA | CESAR | 1 |
| 20175 | CHIMICHAGUA | CESAR | 1 |
| 20178 | CHIRIGUANÁ | CESAR | 1 |
| 20228 | CURUMANÍ | CESAR | 1 |
| 20238 | EL COPEY | CESAR | 1 |
| 20250 | EL PASO | CESAR | 1 |
| 20295 | GAMARRA | CESAR | 1 |
| 20383 | LA GLORIA | CESAR | 1 |
| 20400 | LA JAGUA DE IBIRICO | CESAR | 1 |
| 20621 | LA PAZ | CESAR | 1 |
| 20443 | MANAURE BALCÓN DEL CESAR | CESAR | 1 |
| 20517 | PAILITAS | CESAR | 1 |
| 20550 | PELAYA | CESAR | 1 |
| 20614 | RÍO DE ORO | CESAR | 1 |
| 20710 | SAN ALBERTO | CESAR | 1 |
| 20750 | SAN DIEGO | CESAR | 1 |
| 20770 | SAN MARTÍN | CESAR | 1 |
| 20787 | TAMALAMEQUE | CESAR | 1 |
| 20001 | VALLEDUPAR | CESAR | 1 |
| 27245 | EL CARMEN DE ATRATO | CHOCÓ | 1 |
| 23068 | AYAPEL | CÓRDOBA | 1 |
| 23079 | BUENAVISTA | CÓRDOBA | 1 |
| 23090 | CANALETE | CÓRDOBA | 1 |
| 23162 | CERETÉ | CÓRDOBA | 1 |
| 23168 | CHIMÁ | CÓRDOBA | 1 |
| 23182 | CHINÚ | CÓRDOBA | 1 |
| 23189 | CIÉNAGA DE ORO | CÓRDOBA | 1 |
| 23300 | COTORRA | CÓRDOBA | 1 |
| 23350 | LA APARTADA | CÓRDOBA | 1 |
| 23417 | LORICA | CÓRDOBA | 1 |
| 23419 | LOS CÓRDOBAS | CÓRDOBA | 1 |
| 23464 | MOMIL | CÓRDOBA | 1 |
| 23466 | MONTELÍBANO | CÓRDOBA | 1 |
| 23001 | MONTERÍA | CÓRDOBA | 1 |
| 23500 | MOÑITOS | CÓRDOBA | 1 |
| 23555 | PLANETA RICA | CÓRDOBA | 1 |
| 23570 | PUEBLO NUEVO | CÓRDOBA | 1 |
| 23574 | PUERTO ESCONDIDO | CÓRDOBA | 1 |
| 23580 | PUERTO LIBERTADOR | CÓRDOBA | 1 |
| 23586 | PURÍSIMA DE LA CONCEPCIÓN | CÓRDOBA | 1 |
| 23660 | SAHAGÚN | CÓRDOBA | 1 |
| 23670 | SAN ANDRÉS DE SOTAVENTO | CÓRDOBA | 1 |
| 23672 | SAN ANTERO | CÓRDOBA | 1 |
| 23675 | SAN BERNARDO DEL VIENTO | CÓRDOBA | 1 |
| 23678 | SAN CARLOS | CÓRDOBA | 1 |
| 23682 | SAN JOSÉ DE URÉ | CÓRDOBA | 1 |
| 23686 | SAN PELAYO | CÓRDOBA | 1 |
| 23807 | TIERRALTA | CÓRDOBA | 1 |
| 23815 | TUCHÍN | CÓRDOBA | 1 |
| 23855 | VALENCIA | CÓRDOBA | 1 |
| 25001 | AGUA DE DIOS | CUNDINAMARCA | 1 |
| 25019 | ALBÁN | CUNDINAMARCA | 1 |
| 25035 | ANAPOIMA | CUNDINAMARCA | 2 |
| 25599 | APULO | CUNDINAMARCA | 2 |
| 25053 | ARBELÁEZ | CUNDINAMARCA | 2 |
| 25086 | BELTRÁN | CUNDINAMARCA | 1 |
| 25095 | BITUIMA | CUNDINAMARCA | 2 |
| 25099 | BOJACÁ | CUNDINAMARCA | 1 |
| 25120 | CABRERA | CUNDINAMARCA | 2 |
| 25126 | CAJICÁ | CUNDINAMARCA | 1 |
| 25151 | CÁQUEZA | CUNDINAMARCA | 2 |
| 25168 | CHAGUANÍ | CUNDINAMARCA | 2 |
| 25175 | CHÍA | CUNDINAMARCA | 1 |
| 25178 | CHIPAQUE | CUNDINAMARCA | 2 |
| 25200 | COGUA | CUNDINAMARCA | 1 |
| 25214 | COTA | CUNDINAMARCA | 2 |
| 25224 | CUCUNUBÁ | CUNDINAMARCA | 2 |
| 25245 | EL COLEGIO | CUNDINAMARCA | 2 |
| 25260 | EL ROSAL | CUNDINAMARCA | 1 |
| 25269 | FACATATIVÁ | CUNDINAMARCA | 1 |
| 25281 | FOSCA | CUNDINAMARCA | 2 |
| 25286 | FUNZA | CUNDINAMARCA | 1 |
| 25288 | FÚQUENE | CUNDINAMARCA | 2 |
| 25290 | FUSAGASUGÁ | CUNDINAMARCA | 1 |
| 25295 | GACHANCIPÁ | CUNDINAMARCA | 1 |
| 25307 | GIRARDOT | CUNDINAMARCA | 1 |
| 25317 | GUACHETÁ | CUNDINAMARCA | 2 |
| 25320 | GUADUAS | CUNDINAMARCA | 1 |
| 25324 | GUATAQUÍ | CUNDINAMARCA | 1 |
| 25328 | GUAYABAL DE SÍQUIMA | CUNDINAMARCA | 2 |
| 25335 | GUAYABETAL | CUNDINAMARCA | 1 |
| 25368 | JERUSALÉN | CUNDINAMARCA | 2 |
| 25377 | LA CALERA | CUNDINAMARCA | 2 |
| 25386 | LA MESA | CUNDINAMARCA | 2 |
| 25398 | LA PEÑA | CUNDINAMARCA | 2 |
| 25402 | LA VEGA | CUNDINAMARCA | 2 |
| 25407 | LENGUAZAQUE | CUNDINAMARCA | 2 |
| 25430 | MADRID | CUNDINAMARCA | 1 |
| 25438 | MEDINA | CUNDINAMARCA | 1 |
| 25473 | MOSQUERA | CUNDINAMARCA | 1 |
| 25483 | NARIÑO | CUNDINAMARCA | 1 |
| 25486 | NEMOCÓN | CUNDINAMARCA | 1 |
| 25488 | NILO | CUNDINAMARCA | 1 |
| 25489 | NIMAIMA | CUNDINAMARCA | 2 |
| 25491 | NOCAIMA | CUNDINAMARCA | 2 |
| 25524 | PANDI | CUNDINAMARCA | 2 |
| 25530 | PARATEBUENO | CUNDINAMARCA | 1 |
| 25535 | PASCA | CUNDINAMARCA | 2 |
| 25572 | PUERTO SALGAR | CUNDINAMARCA | 1 |
| 25580 | PULÍ | CUNDINAMARCA | 2 |
| 25592 | QUEBRADANEGRA | CUNDINAMARCA | 2 |
| 25594 | QUETAME | CUNDINAMARCA | 2 |
| 25596 | QUIPILE | CUNDINAMARCA | 2 |
| 25612 | RICAURTE | CUNDINAMARCA | 2 |
| 25649 | SAN BERNARDO | CUNDINAMARCA | 2 |
| 25658 | SAN FRANCISCO | CUNDINAMARCA | 2 |
| 25662 | SAN JUAN DE RIOSECO | CUNDINAMARCA | 2 |
| 25718 | SASAIMA | CUNDINAMARCA | 2 |
| 25740 | SIBATÉ | CUNDINAMARCA | 1 |
| 25743 | SILVANIA | CUNDINAMARCA | 1 |
| 25745 | SIMIJACA | CUNDINAMARCA | 1 |
| 25754 | SOACHA | CUNDINAMARCA | 2 |
| 25758 | SOPÓ | CUNDINAMARCA | 1 |
| 25769 | SUBACHOQUE | CUNDINAMARCA | 2 |
| 25777 | SUPATÁ | CUNDINAMARCA | 2 |
| 25779 | SUSA | CUNDINAMARCA | 2 |
| 25781 | SUTATAUSA | CUNDINAMARCA | 2 |
| 25785 | TABIO | CUNDINAMARCA | 2 |
| 25793 | TAUSA | CUNDINAMARCA | 2 |
| 25799 | TENJO | CUNDINAMARCA | 1 |
| 25805 | TIBACUY | CUNDINAMARCA | 2 |
| 25815 | TOCAIMA | CUNDINAMARCA | 1 |
| 25817 | TOCANCIPÁ | CUNDINAMARCA | 1 |
| 25845 | UNE | CUNDINAMARCA | 2 |
| 25851 | ÚTICA | CUNDINAMARCA | 1 |
| 25506 | VENECIA | CUNDINAMARCA | 2 |
| 25862 | VERGARA | CUNDINAMARCA | 2 |
| 25867 | VIANÍ | CUNDINAMARCA | 2 |
| 25843 | VILLA DE SAN DIEGO DE UBATÉ | CUNDINAMARCA | 1 |
| 25875 | VILLETA | CUNDINAMARCA | 1 |
| 25898 | ZIPACÓN | CUNDINAMARCA | 2 |
| 25899 | ZIPAQUIRÁ | CUNDINAMARCA | 1 |
| 95001 | SAN JOSÉ DEL GUAVIARE | GUAVIARE | 1 |
| 41006 | ACEVEDO | HUILA | 1 |
| 41013 | AGRADO | HUILA | 1 |
| 41016 | AIPE | HUILA | 1 |
| 41020 | ALGECIRAS | HUILA | 1 |
| 41026 | ALTAMIRA | HUILA | 1 |
| 41078 | BARAYA | HUILA | 2 |
| 41132 | CAMPOALEGRE | HUILA | 1 |
| 41206 | COLOMBIA | HUILA | 1 |
| 41244 | ELÍAS | HUILA | 1 |
| 41298 | GARZÓN | HUILA | 1 |
| 41306 | GIGANTE | HUILA | 1 |
| 41319 | GUADALUPE | HUILA | 1 |
| 41349 | HOBO | HUILA | 1 |
| 41357 | ÍQUIRA | HUILA | 2 |
| 41359 | ISNOS | HUILA | 2 |
| 41378 | LA ARGENTINA | HUILA | 2 |
| 41396 | LA PLATA | HUILA | 2 |
| 41483 | NÁTAGA | HUILA | 1 |
| 41001 | NEIVA | HUILA | 1 |
| 41503 | OPORAPA | HUILA | 1 |
| 41518 | PAICOL | HUILA | 1 |
| 41524 | PALERMO | HUILA | 2 |
| 41530 | PALESTINA | HUILA | 2 |
| 41548 | PITAL | HUILA | 2 |
| 41551 | PITALITO | HUILA | 1 |
| 41615 | RIVERA | HUILA | 1 |
| 41660 | SALADOBLANCO | HUILA | 2 |
| 41668 | SAN AGUSTÍN | HUILA | 1 |
| 41676 | SANTA MARÍA | HUILA | 2 |
| 41770 | SUAZA | HUILA | 1 |
| 41791 | TARQUI | HUILA | 2 |
| 41799 | TELLO | HUILA | 1 |
| 41801 | TERUEL | HUILA | 2 |
| 41797 | TESALIA | HUILA | 1 |
| 41807 | TIMANÁ | HUILA | 2 |
| 41872 | VILLAVIEJA | HUILA | 1 |
| 41885 | YAGUARÁ | HUILA | 2 |
| 44035 | ALBANIA | LA GUAJIRA | 1 |
| 44078 | BARRANCAS | LA GUAJIRA | 1 |
| 44090 | DIBULLA | LA GUAJIRA | 1 |
| 44098 | DISTRACCIÓN | LA GUAJIRA | 1 |
| 44110 | EL MOLINO | LA GUAJIRA | 1 |
| 44279 | FONSECA | LA GUAJIRA | 1 |
| 44378 | HATONUEVO | LA GUAJIRA | 1 |
| 44420 | LA JAGUA DEL PILAR | LA GUAJIRA | 1 |
| 44430 | MAICAO | LA GUAJIRA | 1 |
| 44560 | MANAURE | LA GUAJIRA | 1 |
| 44001 | RIOHACHA | LA GUAJIRA | 1 |
| 44650 | SAN JUAN DEL CESAR | LA GUAJIRA | 1 |
| 44847 | URIBIA | LA GUAJIRA | 1 |
| 44855 | URUMITA | LA GUAJIRA | 1 |
| 44874 | VILLANUEVA | LA GUAJIRA | 1 |
| 47030 | ALGARROBO | MAGDALENA | 1 |
| 47053 | ARACATACA | MAGDALENA | 1 |
| 47058 | ARIGUANÍ | MAGDALENA | 1 |
| 47161 | CERRO DE SAN ANTONIO | MAGDALENA | 1 |
| 47170 | CHIVOLO | MAGDALENA | 1 |
| 47189 | CIÉNAGA | MAGDALENA | 1 |
| 47205 | CONCORDIA | MAGDALENA | 1 |
| 47245 | EL BANCO | MAGDALENA | 1 |
| 47258 | EL PIÑÓN | MAGDALENA | 1 |
| 47268 | EL RETÉN | MAGDALENA | 1 |
| 47288 | FUNDACIÓN | MAGDALENA | 1 |
| 47318 | GUAMAL | MAGDALENA | 1 |
| 47541 | PEDRAZA | MAGDALENA | 1 |
| 47545 | PIJIÑO DEL CARMEN | MAGDALENA | 1 |
| 47551 | PIVIJAY | MAGDALENA | 1 |
| 47555 | PLATO | MAGDALENA | 1 |
| 47570 | PUEBLOVIEJO | MAGDALENA | 1 |
| 47605 | REMOLINO | MAGDALENA | 1 |
| 47660 | SABANAS DE SAN ÁNGEL | MAGDALENA | 1 |
| 47675 | SALAMINA | MAGDALENA | 1 |
| 47692 | SAN SEBASTIÁN DE BUENAVISTA | MAGDALENA | 1 |
| 47703 | SAN ZENÓN | MAGDALENA | 1 |
| 47707 | SANTA ANA | MAGDALENA | 1 |
| 47720 | SANTA BÁRBARA DE PINTO | MAGDALENA | 1 |
| 47001 | SANTA MARTA | MAGDALENA | 1 |
| 47745 | SITIONUEVO | MAGDALENA | 1 |
| 47798 | TENERIFE | MAGDALENA | 1 |
| 47960 | ZAPAYÁN | MAGDALENA | 1 |
| 47980 | ZONA BANANERA | MAGDALENA | 1 |
| 50006 | ACACÍAS | META | 1 |
| 50110 | BARRANCA DE UPÍA | META | 1 |
| 50124 | CABUYARO | META | 1 |
| 50150 | CASTILLA LA NUEVA | META | 1 |
| 50223 | CUBARRAL | META | 1 |
| 50226 | CUMARAL | META | 1 |
| 50251 | EL CASTILLO | META | 1 |
| 50270 | EL DORADO | META | 2 |
| 50287 | FUENTE DE ORO | META | 1 |
| 50313 | GRANADA | META | 1 |
| 50318 | GUAMAL | META | 1 |
| 50450 | PUERTO CONCORDIA | META | 2 |
| 50568 | PUERTO GAITÁN | META | 1 |
| 50577 | PUERTO LLERAS | META | 1 |
| 50573 | PUERTO LÓPEZ | META | 1 |
| 50590 | PUERTO RICO | META | 2 |
| 50606 | RESTREPO | META | 2 |
| 50680 | SAN CARLOS DE GUAROA | META | 1 |
| 50683 | SAN JUAN DE ARAMA | META | 1 |
| 50689 | SAN MARTÍN | META | 1 |
| 50001 | VILLAVICENCIO | META | 1 |
| 52506 | OSPINA | NARIÑO | 1 |
| 52001 | PASTO | NARIÑO | 2 |
| 52720 | SAPUYES | NARIÑO | 2 |
| 52838 | TÚQUERRES | NARIÑO | 1 |
| 54003 | ÁBREGO | NORTE DE SANTANDER | 2 |
| 54174 | CHITAGÁ | NORTE DE SANTANDER | 2 |
| 54261 | EL ZULIA | NORTE DE SANTANDER | 1 |
| 54377 | LABATECA | NORTE DE SANTANDER | 2 |
| 54405 | LOS PATIOS | NORTE DE SANTANDER | 1 |
| 54498 | OCAÑA | NORTE DE SANTANDER | 1 |
| 54518 | PAMPLONA | NORTE DE SANTANDER | 1 |
| 54673 | SAN CAYETANO | NORTE DE SANTANDER | 1 |
| 54001 | SAN JOSÉ DE CÚCUTA | NORTE DE SANTANDER | 1 |
| 54720 | SARDINATA | NORTE DE SANTANDER | 2 |
| 54743 | SILOS | NORTE DE SANTANDER | 1 |
| 54810 | TIBÚ | NORTE DE SANTANDER | 1 |
| 54820 | TOLEDO | NORTE DE SANTANDER | 1 |
| 54874 | VILLA DEL ROSARIO | NORTE DE SANTANDER | 1 |
| 86001 | MOCOA | PUTUMAYO | 1 |
| 86568 | PUERTO ASÍS | PUTUMAYO | 1 |
| 86569 | PUERTO CAICEDO | PUTUMAYO | 1 |
| 86885 | VILLAGARZÓN | PUTUMAYO | 1 |
| 63001 | ARMENIA | QUINDÍO | 2 |
| 63130 | CALARCÁ | QUINDÍO | 1 |
| 63190 | CIRCASIA | QUINDÍO | 1 |
| 63272 | FILANDIA | QUINDÍO | 2 |
| 63401 | LA TEBAIDA | QUINDÍO | 1 |
| 63470 | MONTENEGRO | QUINDÍO | 1 |
| 63594 | QUIMBAYA | QUINDÍO | 1 |
| 63690 | SALENTO | QUINDÍO | 1 |
| 66045 | APÍA | RISARALDA | 2 |
| 66075 | BALBOA | RISARALDA | 2 |
| 66088 | BELÉN DE UMBRÍA | RISARALDA | 2 |
| 66170 | DOSQUEBRADAS | RISARALDA | 2 |
| 66318 | GUÁTICA | RISARALDA | 2 |
| 66383 | LA CELIA | RISARALDA | 2 |
| 66400 | LA VIRGINIA | RISARALDA | 1 |
| 66440 | MARSELLA | RISARALDA | 1 |
| 66001 | PEREIRA | RISARALDA | 2 |
| 66594 | QUINCHÍA | RISARALDA | 2 |
| 66682 | SANTA ROSA DE CABAL | RISARALDA | 1 |
| 66687 | SANTUARIO | RISARALDA | 2 |
| 68013 | AGUADA | SANTANDER | 2 |
| 68020 | ALBANIA | SANTANDER | 2 |
| 68051 | ARATOCA | SANTANDER | 2 |
| 68077 | BARBOSA | SANTANDER | 1 |
| 68079 | BARICHARA | SANTANDER | 2 |
| 68081 | BARRANCABERMEJA | SANTANDER | 1 |
| 68092 | BETULIA | SANTANDER | 1 |
| 68101 | BOLÍVAR | SANTANDER | 2 |
| 68001 | BUCARAMANGA | SANTANDER | 2 |
| 68147 | CAPITANEJO | SANTANDER | 1 |
| 68162 | CERRITO | SANTANDER | 1 |
| 68176 | CHIMA | SANTANDER | 2 |
| 68179 | CHIPATÁ | SANTANDER | 2 |
| 68190 | CIMITARRA | SANTANDER | 1 |
| 68207 | CONCEPCIÓN | SANTANDER | 2 |
| 68209 | CONFINES | SANTANDER | 2 |
| 68211 | CONTRATACIÓN | SANTANDER | 1 |
| 68217 | COROMORO | SANTANDER | 2 |
| 68229 | CURITÍ | SANTANDER | 2 |
| 68235 | EL CARMEN DE CHUCURÍ | SANTANDER | 2 |
| 68250 | EL PEÑÓN | SANTANDER | 2 |
| 68255 | EL PLAYÓN | SANTANDER | 2 |
| 68264 | ENCINO | SANTANDER | 2 |
| 68271 | FLORIÁN | SANTANDER | 2 |
| 68276 | FLORIDABLANCA | SANTANDER | 2 |
| 68296 | GALÁN | SANTANDER | 2 |
| 68307 | GIRÓN | SANTANDER | 2 |
| 68318 | GUACA | SANTANDER | 2 |
| 68320 | GUADALUPE | SANTANDER | 2 |
| 68324 | GUAVATÁ | SANTANDER | 2 |
| 68327 | GÜEPSA | SANTANDER | 1 |
| 68368 | JESÚS MARÍA | SANTANDER | 2 |
| 68377 | LA BELLEZA | SANTANDER | 2 |
| 68397 | LA PAZ | SANTANDER | 2 |
| 68385 | LANDÁZURI | SANTANDER | 2 |
| 68406 | LEBRIJA | SANTANDER | 1 |
| 68418 | LOS SANTOS | SANTANDER | 2 |
| 68432 | MÁLAGA | SANTANDER | 1 |
| 68444 | MATANZA | SANTANDER | 2 |
| 68464 | MOGOTES | SANTANDER | 2 |
| 68468 | MOLAGAVITA | SANTANDER | 2 |
| 68498 | OCAMONTE | SANTANDER | 2 |
| 68500 | OIBA | SANTANDER | 2 |
| 68502 | ONZAGA | SANTANDER | 2 |
| 68524 | PALMAS DEL SOCORRO | SANTANDER | 2 |
| 68533 | PÁRAMO | SANTANDER | 2 |
| 68547 | PIEDECUESTA | SANTANDER | 2 |
| 68549 | PINCHOTE | SANTANDER | 2 |
| 68572 | PUENTE NACIONAL | SANTANDER | 2 |
| 68575 | PUERTO WILCHES | SANTANDER | 1 |
| 68615 | RIONEGRO | SANTANDER | 2 |
| 68655 | SABANA DE TORRES | SANTANDER | 1 |
| 68669 | SAN ANDRÉS | SANTANDER | 2 |
| 68673 | SAN BENITO | SANTANDER | 2 |
| 68682 | SAN JOAQUÍN | SANTANDER | 2 |
| 68684 | SAN JOSÉ DE MIRANDA | SANTANDER | 2 |
| 68689 | SAN VICENTE DE CHUCURÍ | SANTANDER | 1 |
| 68705 | SANTA BÁRBARA | SANTANDER | 2 |
| 68745 | SIMACOTA | SANTANDER | 2 |
| 68770 | SUAITA | SANTANDER | 2 |
| 68773 | SUCRE | SANTANDER | 2 |
| 68820 | TONA | SANTANDER | 2 |
| 68855 | VALLE DE SAN JOSÉ | SANTANDER | 2 |
| 68872 | VILLANUEVA | SANTANDER | 1 |
| 68895 | ZAPATOCA | SANTANDER | 1 |
| 70110 | BUENAVISTA | SUCRE | 1 |
| 70124 | CAIMITO | SUCRE | 1 |
| 70230 | CHALÁN | SUCRE | 1 |
| 70204 | COLOSÓ | SUCRE | 1 |
| 70215 | COROZAL | SUCRE | 1 |
| 70221 | COVEÑAS | SUCRE | 1 |
| 70233 | EL ROBLE | SUCRE | 1 |
| 70235 | GALERAS | SUCRE | 1 |
| 70400 | LA UNIÓN | SUCRE | 1 |
| 70418 | LOS PALMITOS | SUCRE | 1 |
| 70473 | MORROA | SUCRE | 1 |
| 70508 | OVEJAS | SUCRE | 1 |
| 70523 | PALMITO | SUCRE | 1 |
| 70670 | SAMPUÉS | SUCRE | 1 |
| 70678 | SAN BENITO ABAD | SUCRE | 1 |
| 70823 | SAN JOSÉ DE TOLUVIEJO | SUCRE | 1 |
| 70702 | SAN JUAN DE BETULIA | SUCRE | 1 |
| 70742 | SAN LUIS DE SINCÉ | SUCRE | 1 |
| 70708 | SAN MARCOS | SUCRE | 1 |
| 70713 | SAN ONOFRE | SUCRE | 1 |
| 70717 | SAN PEDRO | SUCRE | 1 |
| 70820 | SANTIAGO DE TOLÚ | SUCRE | 1 |
| 70001 | SINCELEJO | SUCRE | 1 |
| 73026 | ALVARADO | TOLIMA | 2 |
| 73030 | AMBALEMA | TOLIMA | 1 |
| 73055 | ARMERO | TOLIMA | 1 |
| 73124 | CAJAMARCA | TOLIMA | 2 |
| 73148 | CARMEN DE APICALÁ | TOLIMA | 1 |
| 73168 | CHAPARRAL | TOLIMA | 1 |
| 73200 | COELLO | TOLIMA | 1 |
| 73226 | CUNDAY | TOLIMA | 2 |
| 73236 | DOLORES | TOLIMA | 2 |
| 73268 | ESPINAL | TOLIMA | 1 |
| 73275 | FLANDES | TOLIMA | 1 |
| 73283 | FRESNO | TOLIMA | 2 |
| 73319 | GUAMO | TOLIMA | 1 |
| 73347 | HERVEO | TOLIMA | 2 |
| 73349 | HONDA | TOLIMA | 1 |
| 73001 | IBAGUÉ | TOLIMA | 2 |
| 73352 | ICONONZO | TOLIMA | 2 |
| 73408 | LÉRIDA | TOLIMA | 1 |
| 73411 | LÍBANO | TOLIMA | 2 |
| 73449 | MELGAR | TOLIMA | 1 |
| 73461 | MURILLO | TOLIMA | 1 |
| 73483 | NATAGAIMA | TOLIMA | 2 |
| 73504 | ORTEGA | TOLIMA | 1 |
| 73547 | PIEDRAS | TOLIMA | 1 |
| 73585 | PURIFICACIÓN | TOLIMA | 1 |
| 73671 | SALDAÑA | TOLIMA | 1 |
| 73675 | SAN ANTONIO | TOLIMA | 2 |
| 73678 | SAN LUIS | TOLIMA | 2 |
| 73443 | SAN SEBASTIÁN DE MARIQUITA | TOLIMA | 1 |
| 73686 | SANTA ISABEL | TOLIMA | 2 |
| 73770 | SUÁREZ | TOLIMA | 1 |
| 73854 | VALLE DE SAN JUAN | TOLIMA | 2 |
| 73861 | VENADILLO | TOLIMA | 1 |
| 73873 | VILLARRICA | TOLIMA | 1 |
| 76020 | ALCALÁ | VALLE DEL CAUCA | 1 |
| 76036 | ANDALUCÍA | VALLE DEL CAUCA | 1 |
| 76041 | ANSERMANUEVO | VALLE DEL CAUCA | 1 |
| 76100 | BOLÍVAR | VALLE DEL CAUCA | 1 |
| 76109 | BUENAVENTURA | VALLE DEL CAUCA | 1 |
| 76113 | BUGALAGRANDE | VALLE DEL CAUCA | 1 |
| 76122 | CAICEDONIA | VALLE DEL CAUCA | 1 |
| 76001 | CALI | VALLE DEL CAUCA | 2 |
| 76126 | CALIMA | VALLE DEL CAUCA | 2 |
| 76130 | CANDELARIA | VALLE DEL CAUCA | 2 |
| 76147 | CARTAGO | VALLE DEL CAUCA | 1 |
| 76248 | EL CERRITO | VALLE DEL CAUCA | 1 |
| 76250 | EL DOVIO | VALLE DEL CAUCA | 1 |
| 76275 | FLORIDA | VALLE DEL CAUCA | 1 |
| 76306 | GINEBRA | VALLE DEL CAUCA | 1 |
| 76318 | GUACARÍ | VALLE DEL CAUCA | 1 |
| 76111 | GUADALAJARA DE BUGA | VALLE DEL CAUCA | 1 |
| 76364 | JAMUNDÍ | VALLE DEL CAUCA | 1 |
| 76400 | LA UNIÓN | VALLE DEL CAUCA | 1 |
| 76403 | LA VICTORIA | VALLE DEL CAUCA | 1 |
| 76497 | OBANDO | VALLE DEL CAUCA | 1 |
| 76520 | PALMIRA | VALLE DEL CAUCA | 1 |
| 76563 | PRADERA | VALLE DEL CAUCA | 1 |
| 76616 | RIOFRÍO | VALLE DEL CAUCA | 1 |
| 76622 | ROLDANILLO | VALLE DEL CAUCA | 1 |
| 76670 | SAN PEDRO | VALLE DEL CAUCA | 1 |
| 76736 | SEVILLA | VALLE DEL CAUCA | 1 |
| 76823 | TORO | VALLE DEL CAUCA | 1 |
| 76828 | TRUJILLO | VALLE DEL CAUCA | 1 |
| 76834 | TULUÁ | VALLE DEL CAUCA | 1 |
| 76845 | ULLOA | VALLE DEL CAUCA | 1 |
| 76863 | VERSALLES | VALLE DEL CAUCA | 2 |
| 76869 | VIJES | VALLE DEL CAUCA | 1 |
| 76890 | YOTOCO | VALLE DEL CAUCA | 1 |
| 76892 | YUMBO | VALLE DEL CAUCA | 1 |
| 76895 | ZARZAL | VALLE DEL CAUCA | 1 |
En el caso de que un municipio que pertenezca a uno de los mercados relevantes de comercialización solicitados por una empresa, no se encuentre en el listado de la Tabla 1 de este ANEXO, la CREG aplicará el siguiente procedimiento para determinar la agrupación:
i. Se determinará para cada municipio el valor de las variables número de hogares por predio y número de predios por área.
ii. Para estas variables, se determinan los promedios y las desviaciones estándar. Esas variables se transforman utilizando la siguiente ecuación:
![]()
iii. Se determina la diferencia entre los valores de cada una de las variables obtenidas en el numeral anterior y los valores consignados en la siguiente tabla:
TABLA 2
CENTROIDES DE CADA GRUPO
| Grupo | Predios por área | Hogares por predio |
| 1 | -0.522 | 0.517 |
| 2 | 1.023 | -1.014 |
iv. Se elevan al cuadrado las diferencias obtenidas en el numeral anterior y se suman, y se asigna cada cabecera municipal al grupo cuya diferencia total obtenida sea mínima.
MIGUEL LOTERO ROBLEDO
Viceministro de Energía, Delegado del
Ministro de Minas y Energía
Presidente
JORGE ALBERTO VALENCIA MARÍN
Director Ejecutivo
