PROYECTO DE RESOLUCIÓN 702 016 DE 2025
(junio 7)
<Publicado en la página web de la CREG: 26 de junio de 2025>
La Comisión de Regulación de Energía y Gas, en adelante “CREG” o “La Comisión”, en su sesión 1389 del 7 de junio de 2025 aprobó someter a consulta pública, por un término de (15) días hábiles contados a partir del día siguiente a su publicación en el Portal Web de la CREG el Proyecto de Resolución “Por la cual se establecen las Fórmulas Tarifarias Generales que deberán aplicar los comercializadores que atienden usuarios regulados para establecer los costos de prestación del servicio público domiciliario de gas natural por redes de tubería”.
Se invita a los agentes, usuarios, autoridades y demás interesados a presentar sus observaciones y sugerencias sobre la propuesta dentro del plazo establecido, mediante comunicaciones electrónicas dirigidas al Director Ejecutivo de la CREG, al correo electrónico creg@creg.gov.co, en el formato Excel adjunto a esta Resolución, identificando el mensaje con el siguiente asunto: “Comentarios al Proyecto de Resolución 702 016 de 2025”.
Al vencimiento de la consulta pública, la CREG determinará si el proyecto debe ser informado a la Superintendencia de Industria y Comercio, para el ejercicio de la Abogacía de la Competencia, con fundamento en las disposiciones del Decreto 1074 de 2015, artículo 2.2.2.30.5.
PROYECTO DE RESOLUCIÓN
Por la cual se establecen las Fórmulas Tarifarias Generales que deberán aplicar los comercializadores que atienden usuarios regulados para establecer los costos de prestación del servicio público domiciliario de gas natural por redes de tubería
LA COMISIÓN DE REGULACIÓN DE ENERGÍA Y GAS
En ejercicio de sus atribuciones constitucionales y legales, en especial las conferidas por las leyes 142 y 143 de 1994, y en desarrollo de los decretos 1524 y 2253 de 1994.
CONSIDERANDO QUE:
El artículo 2.4 de la Ley 142 de 1994 establece que el Estado intervendrá en los servicios públicos para, entre otros, el logro de la prestación continua del servicio, sin excepción alguna, salvo cuando existan razones de fuerza mayor o caso fortuito, o de orden técnico o económico que así lo exijan.
El numeral 73.11 del artículo 73 de la Ley 142 de 1994 atribuye a la Comisión de Regulación de Energía y Gas, CREG, la facultad de establecer las fórmulas para la fijación de las tarifas del servicio público domiciliario de gas combustible.
El artículo 74 de la Ley 142 de 1994 dispone que corresponde a la CREG regular el ejercicio de las actividades del sector de gas combustible para asegurar una oferta energética eficiente, propiciar la competencia en el sector de minas y energía y proponer la adopción de las medidas necesarias para impedir abuso de posición dominante y buscar la liberación gradual de los mercados hacia la libre competencia.
El artículo 87 de la Ley 142 de 1994 establece que el régimen tarifario estará orientado por los criterios de eficiencia económica, neutralidad, solidaridad, redistribución, suficiencia financiera, simplicidad y transparencia.
En virtud del principio de eficiencia económica, definido en el artículo 87 de la Ley 142 de 1994, el régimen de tarifas procurará que éstas se aproximen a lo que serían los precios de un mercado competitivo, que las fórmulas tarifarias no pueden trasladar a los usuarios los costos de una gestión ineficiente, ni permitir que las empresas se apropien de las utilidades provenientes de prácticas restrictivas de la competencia.
De conformidad con el artículo 87.8 de la Ley 142 de 1994 toda tarifa tendrá un carácter integral en el sentido que supondrá una calidad y grado de cobertura del servicio, cuyas características definirán las comisiones reguladoras.
De conformidad con lo establecido en el numeral 90.2 del artículo 90 de la Ley 142 de 1994, podrá incluirse dentro de las fórmulas tarifarias un cargo fijo que refleje los costos económicos involucrados en garantizar la disponibilidad permanente del servicio para el usuario, independientemente del nivel de uso.
El artículo 91 de la Ley 142 de 1994 dispone que, para establecer las fórmulas tarifarias, se calculará por separado, cuando sea posible, una fórmula para cada una de las diversas etapas del servicio.
De conformidad con lo establecido en el artículo 126 de la Ley 142 de 1994, modificado por el artículo 52 de la Ley 2099 de 2021, una vez vencido el período de vigencia de las fórmulas tarifarias, éstas continuarán rigiendo mientras la Comisión no fije las nuevas.
Mediante la Resolución CREG 137 de 2013 se establecen las Fórmulas Tarifarias Generales para la prestación del servicio público domiciliario de gas combustible por redes de tubería a usuarios regulados.
El Decreto 2100 de 2011[1], compilado en el Decreto 1073 de 2015 modificado por el Decreto 2345 de 2015[2] y, recientemente, por el Decreto 1467 de 2024[3], establece que los agentes que atienden demanda esencial están obligados a contratar el suministro y el transporte de gas natural para la atención de dicha demanda, según corresponda, con Agentes que cuenten con Respaldo Físico.
El Decreto 1467 de 2024, por el cual se modifica el Decreto 1073 de 2015, en el artículo 1o. define Respaldo Físico como:
“Garantía de que, al momento de ofrecer suministro para un período dado, un productor cuenta con Reservas de Gas Natural, o que un comercializador cuenta con contratos de suministro firme de gas natural, o que un transportador cuenta físicamente con la capacidad de transporte para asumir y cumplir compromisos contractuales Firmes o que garantizan firmeza, hasta el cese de las entregas.
Se entenderá que un comercializador de gas natural importado cuenta con Respaldo Físico, cuando al momento de ofrecer suministro para un período dado tiene un contrato que garantiza el acceso y derecho de uso a: (i) la capacidad de las interconexiones internacionales y/o (ii) la capacidad de las infraestructuras de regasificación”.
En el mismo Decreto 2100 de 2011 se determina que la Demanda Esencial:
“Corresponde a: i) la demanda de gas natural para la operación de las estaciones de compresión del SNT, ii) la demanda de gas natural de usuarios residenciales y pequeños usuarios comerciales inmersos en la red de distribución, iii) la demanda de GNCV, y iv) la demanda de gas natural de las refinerías, excluyendo aquella con destino a autogeneración de energía eléctrica que pueda ser reemplazada con energía del Sistema Interconectado Nacional”.
Mediante Resolución CREG 071 de 2019, se sometieron a consideración de las entidades prestadoras del servicio de gas natural, los usuarios y demás interesados, las bases sobre las cuales se realizarían los estudios para establecer la fórmula tarifaria para el siguiente período tarifario que permita determinar el costo unitario de prestación del servicio y las tarifas aplicables a los usuarios regulados del servicio de gas combustible por redes de tubería.
Durante el año 2020 la Comisión contrató dos consultorías con la firma Econometría Consultores: una, con el objeto de realizar un estudio que sirviera como insumo para establecer la fórmula tarifaria del costo unitario de prestación del servicio público domiciliario de gas combustible por redes de tubería a usuarios regulados para el siguiente período tarifario y; la otra, con el objeto de analizar y evaluar las disposiciones regulatorias del servicio público domiciliario de gas natural que aplican a los usuarios no regulados, con el objetivo de introducir reformas regulatorias respecto de los criterios y procedimientos para su clasificación.
Mediante Resolución CREG 185 de 2020 modificada por las Resoluciones CREG 126 y 175 de 2021, 102 011 de 2022 y 102 010 de 2024, la Comisión estableció disposiciones sobre la comercialización de capacidad de transporte en el mercado mayorista de gas natural.
El 28 de enero de 2022, a través de la Resolución CREG 227 de 2021, se sometió a consulta un proyecto de resolución “Por la cual se establecen las Fórmulas Tarifarias Generales que deberán aplicar los comercializadores que atienden usuarios regulados para establecer los costos de prestación del servicio público domiciliario de gas natural por redes de tubería”. El detalle de la propuesta fue soportado mediante el Documento CREG 187 de 2021.
A través de las circulares CREG 027, 029, 035 y 042 de 2022 se invitó a los gobernadores, alcaldes, personeros, comités de vocales de control, usuarios de gas natural, agentes, gremios, entidades y demás interesados a participar en la socialización de la Resolución CREG 227 de 2021. En consecuencia, se realizaron dos audiencias: una en la ciudad de Bogotá, D.C. el 22 de abril de 2022 y, la otra en la ciudad de Medellín el 20 de mayo de 2022, con el fin de dar a conocer y facilitar el entendimiento de la propuesta y abrir mayores espacios para comentarios.
Respecto de la propuesta regulatoria consultada mediante al Resolución CREG 227 de 2021 se recibieron comentarios de agentes, gremios, usuarios y demás interesados mediante las siguientes comunicaciones radicadas en la Comisión bajo el número que en cada caso se indica:
| EMPRESA | RADICADO | |
| 1 | VANTI S.A. E.S.P. | E-2022-003842 E-2022-004267 |
| 2 | ASOCIACIÓN NACIONAL DE EMPRESAS DE SERVICIOS PÚBLICOS DOMICILIARIOS Y COMUNICACIONES -ANDESCO | E-2022-003971 E-2022-006140 |
| 3 | ENERGY TRANSITIONS S.A.S. E.S.P. | E-2022-004301 |
| 4 | BOLSA MERCANTIL DE COLOMBIA S.A. - BMC | E-2022-004573 E-2022-006532 |
| 5 | GRUPO ENERGÉTICO DE LAS AMÉRICAS S.A.S. E.S.P. | E-2022-004582 |
| 6 | EMPRESA COLOMBIANA DE PETRÓLEOS -ECOPETROL | E-2022-005342 |
| 7 | TERMOBARRANQUILLA S.A. - EMPRESA DE SERVICIOS PÚBLICOS -TEBSA S.A. E.S.P.- | E-2022-005688 |
| 8 | MC2 S.A.S. E.S.P. | E-2022-005936 |
| 9 | GRUPO ENERGÍA BOGOTÁ S.A. E.S.P. - TGI | E-2022-005939 |
| 10 | SURENERGY S.A.S. E.S.P. | E-2022-006044 |
| 11 | GASES DEL ORIENTE S.A. E.S.P.- | E-2022-006065 |
| 12 | EFIGAS S.A. E.S.P. | E-2022-006075 |
| 13 | GASES DEL CARIBE S.A. E.S.P. - GASCARIBE S.A. E.S.P. | E-2022-006083 |
| 14 | GASES DE LA GUAJIRA S.A. E.S.P. - GASGUAJIRA S.A. E.S.P.- | E-2022-006087 |
| 15 | EMPRESAS PÚBLICAS DE MEDELLÍN E.S.P. - EEPP DE MEDELLIN | E-2022-006089 E-2022-006564 |
| 16 | GASES DE OCCIDENTE S.A. E.S.P. | E-2022-006097 |
| 17 | GASES DEL LLANO S.A. E.S.P. - LLANOGAS S.A. E.S.P. | E-2022-006101 |
| 18 | GASES DEL CUSIANA S.A. E.S.P. - CUSIANAGAS S.A. E.S.P. | E-2022-006103 |
| 19 | METROGAS DE COLOMBIA S.A. E.S.P. - METROGAS | E-2022-006115 |
| 20 | ALCANOS DE COLOMBIA S.A. E.S.P. | E-2022-006116 |
| 21 | ENEL COLOMBIA S.A. E.S.P. | E-2022-006123 |
| 22 | GRUPO VANTI Y OTROS | E-2022-006127 |
| 23 | SURTIDORA DE GAS DEL CARIBE S.A. E.S.P. -SURTIGAS S.A. E.S.P. | E-2022-006130 |
| 24 | SUPERINTENDENCIA DE SERVICIOS PÚBLICOS DOMICILIARIOS - SSPD | E-2022-006134 |
| 25 | SURCOLOMBIANA DE GAS S.A. E.S.P. - SURGAS S.A. E.S.P.- | E-2022-006147 |
| 26 | ASOCIACIÓN NACIONAL DE INDUSTRIALES - ANDI | E-2022-006149 |
| 27 | PROMIGAS S.A. E.S.P. | E-2022-006152 E-2022-006565 |
| 28 | HOCOL S.A. | E-2022-006156 |
| 29 | ASOCIACIÓN COLOMBIANA DE GAS NATURAL -NATURGAS- | E-2022-006161 E-2022-006480 E-2022-006566 |
| 30 | ALCANOS DE COLOMBIA S.A. E.S.P. | E-2022-006567 |
| 31 | ANGEL CASTAÑEDA MANRIQUE | E-2022-006570 |
Así mismo, durante las audiencias realizadas se recibieron comentarios por parte de las siguientes entidades:
| EMPRESA | RADICADO(S) | |
| 1 | VANTI S.A. E.S.P. | E-2022-004442 E-2022-004443 E-2022-004444 E-2022-004445 E-2022-004446 E-2022-004447 |
| 2 | INVERCOLSA S.A. | E-2022-004449 |
| 3 | GASES DEL CARIBE S.A. E.S.P. | E-2024-004450 E-2022-006636 |
| 4 | GECELCA S.A. E.S.P. | E-2022-006618 |
| 5 | GASES DEL CARIBE S.A. E.S.P. | E-2022-006627 |
| 6 | ASOCIACIÓN COLOMBIANA DE GAS NATURAL -NATURGAS | E-2022-006635 |
La respuesta a los comentarios recibidos sobre la propuesta consultada se encuentra en el Documento CREG 902 138 de 2025 que soporta esta resolución.
Como resultado del análisis de los comentarios recibidos y de la actualización de los análisis realizados para efectos de la publicación de la consulta regulatoria contenida en la Resolución CREG 227 de 2021, se han encontrado las mismas situaciones identificadas en su momento. Así mismo, se ha evidenciado que en los últimos meses se han producido importantes variaciones tarifarias como consecuencia del resultado de la estrechez de la oferta, contratación poco eficiente y de la necesidad de utilizar mayor capacidad de transporte para atender la demanda. Con base en ello, se hace necesario mantener los ajustes propuestos en la mencionada resolución, buscando garantizar al usuario regulado el traslado de unos costos más eficientes dentro de la formulación tarifaria.
El artículo 13 de la Resolución CREG 080 de 2019[4] establece que los comercializadores que atienden demanda regulada están obligados a acudir al Mercado Mayorista de Gas Natural y deben hacer la debida gestión para comprar el gas que requieren para satisfacer la demanda que representan. Así lo indica la norma:
“ARTÍCULO 13. PROCURA DE LOS INTERESES DE LOS USUARIOS. Los agentes que realicen la actividad de comercialización de energía eléctrica, comercialización de gas combustible o comercialización de capacidad de transporte de gas combustible, deben realizar la gestión de sus compras destinadas a atender a los usuarios a quienes prestan el servicio, garantizando que sus actuaciones no tengan la capacidad, el propósito o el efecto de ir en detrimento de los intereses de estos últimos.”
Para esto, los comercializadores deben:
“13.1. Emplear la debida diligencia en la gestión que realizan para la compra de energía eléctrica, de gas combustible o de capacidad de transporte de gas combustible, destinada a atender a los usuarios. (...)”
Lo anterior es relevante porque puede ocurrir que un comercializador, teniendo la oportunidad, no participe en los procesos de comercialización y, posteriormente, se vea abocado a adquirir el gas natural en condiciones menos favorables, a las que hubiera accedido cuando tenía la oportunidad, con posibles desventajas para sus usuarios. En un mercado estrecho como el que ahora se presenta, al menos hasta cuando los desarrollos costa afuera declaren comercialidad (lo cual puede ocurrir en aproximadamente 5 años), la observancia de estas reglas de conducta, cobra particular relevancia.
Mediante la Resolución CREG 102 015 de 2025 se reglamentan los aspectos comerciales del suministro del mercado mayorista de gas natural. En esta resolución se ha definido un mecanismo de priorización para la demanda esencial cuando en algún trimestre se presenta déficit comercial; esto es, cuando el interés en las compras de gas supera la oferta de los productores comercializadores y los comercializadores de gas natural importado.
En este sentido la propuesta consignada en la Resolución CREG 227 de 2021 es consistente con esta norma y debe ser armonizada con las nuevas reglas del mercado mayorista de gas contenidas en la Resolución CREG 102 015 de 2025 que, recientemente, entraron en vigencia.
De otra parte, se pone de presente que la regulación económica, como es el caso de la presente propuesta, está incluida dentro de la categoría de normas de orden público que tienen como objetivo la protección del bienestar social y garantizar la eficiencia de los mercados. Es de la esencia de las normas de orden público, su aplicación inmediata y su prevalencia sobre los intereses individuales o contractuales de partes involucradas. Son normas imperativas y no son susceptibles de ser modificadas o ignoradas por acuerdos inter partes.
En ese orden de ideas, son objeto de las mismas los asuntos de competencia, precios, tarifas, regulación de mercados, protección de los consumidores, entre otros; y es de su esencia que puedan tener efectos sobre contratos preexistentes que, por supuesto, deben ser considerados y analizados para identificar y determinar su alcance y propender, en la medida de lo posible, por la identificación de medidas que permitan una adaptación a una nueva regulación siempre en salvaguarda de los intereses superiores de la sociedad que son su razón de ser.
Se ha reconocido jurisprudencialmente que, en materia de servicios públicos domiciliarios la libertad contractual está sujeta a especiales restricciones, incluidas las medidas expedidas por parte de las comisiones de regulación, razón por la cual la autonomía de la voluntad y la libertad contractual de los agentes, debe perseguir no sólo el interés particular sino también el interés público o bienestar común, el cual está directamente ligado a la medida regulatoria que se incorpora y los fines sociales económicos que ésta persigue.[5]
El anterior análisis lo realizó la Comisión en el Documento CREG 050 A de 2016 que soporta la Resolución CREG 090 de 2016, el cual también contiene el entendimiento de las normas de orden público, el cual se considera aplicable en el presente caso.
Efectuadas estas precisiones, la presente propuesta regulatoria incorpora al respecto una medida de transición, entendiendo dicha transición con un enfoque hacia el usuario, con el único fin de que éste no se vea afectado en la continuidad de la prestación del servicio pero que, así mismo, se busque evitar el traslado en el costo unitario de prestación del servicio de gestiones ineficientes por parte del prestador del servicio. Sin perjuicio de lo anterior la Comisión seguirá haciendo seguimiento a esta medida de transición para su expedición en la propuesta definitiva.
Con base en los análisis efectuados hasta la fecha por la Comisión se presenta la propuesta regulatoria para establecer las Fórmulas Tarifarias Generales con las cuales los comercializadores que atienden usuarios regulados establezcan los costos de prestación del servicio público domiciliario de gas natural por redes de tubería.
Una vez agotada la consulta, la resolución definitiva a adoptar se someterá al trámite previsto en el artículo 2.2.2.30.5. del Decreto 1074 de 2015 en relación con la Abogacía de la Competencia.
RESUELVE:
ASPECTOS GENERALES.
ARTÍCULO 1. OBJETO. La presente Resolución tiene por objeto establecer las fórmulas tarifarias generales que deberán aplicar los comercializadores minoristas para determinar el costo de prestación del servicio público domiciliario de gas natural por redes de tubería a usuarios regulados en los Mercados Relevantes de Comercialización en que prestan el servicio.
ARTÍCULO 2. ÁMBITO DE APLICACIÓN. Lo dispuesto en la presente Resolución deberá ser aplicado por todos los Comercializadores que, estando organizados en alguna de las formas dispuestas por el Título I de la Ley 142 de 1994, desarrollan la actividad de comercialización minorista de gas natural a usuarios regulados.
ARTÍCULO 3. RÉGIMEN DE LIBERTAD REGULADA. Las empresas Comercializadoras Minoristas de gas natural por redes de tubería que atienden usuarios finales regulados de demanda esencial y no esencial, para efectos de la fijación de sus tarifas, quedan sometidas al régimen de Libertad Regulada previsto en el numeral 14.10 del artículo 14, y en el numeral 88.1 del artículo 88 de la Ley 142 de 1994.
Toda empresa que realice la actividad de Comercialización Minorista de gas natural por redes de tubería a usuarios finales regulados, pertenecientes tanto a la demanda esencial o como a la demanda no esencial, deberá aplicar la fórmula tarifaria general y la metodología establecida en esta Resolución para determinar las tarifas que aplicará a estos usuarios.
ARTÍCULO 4. DEFINICIONES. Para la interpretación y aplicación de esta Resolución se tendrán en cuenta, además de las definiciones contenidas en la Ley 142 de 1994 y en las resoluciones vigentes de la CREG, las siguientes:
Costo Unitario de Prestación del Servicio de Gas Natural por Redes de Tubería: Es el costo económico eficiente de prestación del servicio al usuario final regulado, expresado en pesos por metro cúbico ($/m3) y en pesos por factura ($/factura), que resulta de aplicar las fórmulas tarifarias generales establecidas en la presente Resolución, y que corresponde a la suma de los costos eficientes de cada una de las actividades de la cadena de prestación del servicio del gas natural por redes de tubería.
Demanda Esencial: Conforme a la definición establecida en el artículo 2.2.2.1.4 del Decreto 1073 de 2015, modificado por el artículo 2 del Decreto 2345 de 2015, Corresponde a: i) la demanda de gas natural para la operación de las estaciones de compresión del SNT, ii) la demanda de gas natural de usuarios residenciales y pequeños usuarios comerciales inmersos en la red de distribución, iii) la demanda de GNCV, y iv) la demanda de gas natural de las refinerías, excluyendo aquella con destino a autogeneración de energía eléctrica que pueda ser reemplazada con energía del Sistema Interconectado Nacional.
Fórmula Tarifaria Específica: Conjunto de criterios y de métodos de carácter particular, sujetos a las Fórmulas Tarifarias Generales, recogidos en una fórmula, en virtud de los cuales cada comercializador que atiende usuarios finales puede modificar periódicamente las tarifas que cobra a sus usuarios regulados. Cuando se haga referencia a fórmula tarifaria de una empresa, debe entenderse la Fórmula Tarifaria Específica.
Fórmulas Tarifarias Generales: Conjunto de criterios y de métodos de tipo general en virtud de los cuales se determina, a los comercializadores de gas natural y que atienden a usuarios regulados, la tarifa promedio por unidad de gas natural.
Gas Natural (GN): Es una mezcla de hidrocarburos livianos, principalmente constituida por metano, que se encuentra en los yacimientos en forma libre o en forma asociada al petróleo. El Gas Natural, cuando lo requiera, debe ser acondicionado o tratado para que satisfaga las condiciones de calidad de gas establecidas por la CREG en la Resolución 071 de 1999 o aquellas que la aclaren, modifiquen o sustituyan.
Gas Natural Comprimido (GNC): Gas Natural cuya presión se aumenta a través de un proceso de compresión y se almacena en recipientes de alta resistencia.
Mercado Relevante de Comercialización: Corresponde al municipio o al grupo de municipios para el cual se ha aprobado el cargo de comercialización respectivo.
Pérdidas de Gas en Distribución: Es la diferencia entre el gas combustible medido, corregido a condiciones estándar, en puntos de inyección a un sistema de distribución, y la sumatoria del gas combustible medido, corregido a condiciones estándar, en las conexiones de los usuarios. Se calcula conforme lo establece la Resolución CREG 067 de 1995, “Por la cual se establece el Código de Distribución de Gas Combustible por Redes”, o aquellas que la aclaren, modifiquen o sustituyan.
Pérdidas de Gas en el Sistema Nacional de Transporte: Corresponde a las pérdidas de gas desde los puntos de entrada hasta los puntos de salida del Sistema Nacional de Transporte, calculadas conforme se establece en la Resolución CREG 071 de 1999 “Por la cual se establece el Reglamento único de Transporte de Gas Natural”, RUT, o aquellas que la aclaren, modifiquen o sustituyan.
Período Tarifario: Término durante el cual la Fórmula Tarifaria General tiene vigencia, de acuerdo con lo establecido en el artículo 126 de la Ley 142 de 1994, modificado por el artículo 52 de la Ley 2099 de 2021.
Respaldo Físico: Conforme a la definición establecida en el artículo 2.2.2.1.4. del Decreto 1073 de 2015, modificado por el Decreto 1467 de 2024 es la garantía de que, al momento de ofrecer suministro para un periodo dado, un productor cuenta con Reservas de Gas Natural, o que un comercializador cuenta con contratos de suministro firme de gas natural, o que un transportador cuenta físicamente con la capacidad de transporte para asumir y cumplir compromisos contractuales Firmes o que garantizan firmeza, hasta el cese de las entregas.
Tarifa: Es el valor resultante de aplicar al Costo Unitario de Prestación del Servicio el factor de subsidio o contribución autorizado legalmente. En el caso de los usuarios de estrato 3 y 4 y/o usuarios no residenciales que no son beneficiarios de subsidio, ni están sujetos al pago de contribución, la tarifa corresponde al Costo Unitario de Prestación del Servicio. De acuerdo con el numeral 87.9 del artículo de la Ley 142 de 1994, modificado por el artículo 99 de la Ley 1450 de 2011, el valor de los aportes de las entidades públicas a las empresas de servicios públicos domiciliarios no se incluye en el cálculo de las tarifas que se cobran a los usuarios finales.
Usuario Regulado: Es un consumidor que consume hasta 100.000 pcd o su equivalente en metros cúbicos (m3), medidos de conformidad con lo establecido en el artículo 77 de la Resolución CREG 057 de 1996 y aquellas que la modifiquen o sustituyan. Para todos los efectos, un pequeño consumidor es un usuario regulado.
Usuario Regulado de Demanda Esencial: Corresponde a un usuario clasificado como regulado y cuya demanda es esencial según el artículo 2.2.2.1.4 del Decreto 1073 de 2015, modificado por el artículo 2 del Decreto 2345 de 2015, y aquellos que lo modifiquen o sustituyan.
Usuario Regulado de Demanda No Esencial: Corresponde a un usuario clasificado como regulado cuya demanda no está incluida esencial.
Trimestre Estándar: Corresponde a los trimestres de diciembre a febrero, marzo a mayo, junio a agosto y septiembre a noviembre.
OBLIGACIONES DE LOS COMERCIALIZADORES PARA PODER EFECTUAR EL TRASLADO DE COSTOS DENTRO DE LAS TARIFAS DE SUS USUARIOS REGULADOS.
ARTÍCULO 5. CONDICIONES PARA EL TRASLADO DE COSTOS DENTRO DE LA FÓRMULA TARIFARIA A USUARIOS REGULADOS. El comercializador de gas natural que atiende usuarios finales de demanda regulada deberá cumplir con las siguientes condiciones para poder efectuar el traslado de sus costos dentro de las fórmulas tarifarias que son aplicables a sus Mercados Relevantes de Comercialización.
1. Adquirir el suministro de gas y la capacidad de transporte de gas natural en el Mercado Mayorista de Gas, conforme a las reglas definidas en las Resoluciones CREG 102 015 de 2025 y 185 de 2020, respectivamente, o aquellas que las adicionen, modifiquen o sustituyan.
2. Los comercializadores minoristas que atienden demanda regulada deben tener vigente y actualizado su registro ante la Superintendencia de Servicios Públicos Domiciliarios - SSPD, la Comisión de Regulación de Energía y Gas - CREG y ante en el Gestor del Mercado de gas natural.
3. Los costos del suministro y transporte que se trasladen en la Fórmula Tarifaria a los Usuarios Regulados de Demanda Esencial deben estar respaldados en contratos con Respaldo Físico. El comercializador minorista deberá presentar toda la información que se requiera para acreditar su cumplimiento.
4. Cada mercado relevante de comercialización deberá contar con sus propios contratos de suministro de gas natural y capacidad de transporte exclusivamente conforme a las modalidades contractuales previstas en las Resoluciones CREG 102 015 de 2025 y 185 de 2020, respectivamente, o aquellas que las modifiquen, adicionen o sustituyan. En dichos contratos deberá discriminarse la cantidad destinada a la atención de Usuarios Regulados de Demanda Esencial y de Demanda No Esencial, así como los precios correspondientes a cada uno de ellos. No se aceptarán figuras contractuales para la adquisición de suministro de gas o de capacidad de transporte diferentes a las establecidas en la regulación del Mercado Mayorista.
5. Los costos de compras de gas o de capacidad de transporte derivados de contratos que no estén registrados ante el Gestor del Mercado no podrán ser trasladados a los usuarios dentro de la Fórmula Tarifaria.
6. A efectos de garantizar la trazabilidad de los costos trasladados a los usuarios, se deberá presentar la información detallada en el Artículo 35 de esta Resolución, a la Superintendencia de Servicios Públicos Domiciliarios y al Gestor del Mercado de Gas.
7. Se deberá presentar la información con la cual se establecen las bandas de acotación de suministro y capacidad de transporte según lo dispuesto en el Artículo 12 y en el Artículo 25 de esta Resolución.
8. Los Mercados Relevantes de Comercialización en que se presta el servicio deben tener aprobados cargos de distribución y comercialización conforme a las metodologías establecidas por la Comisión.
FÓRMULA TARIFARIA.
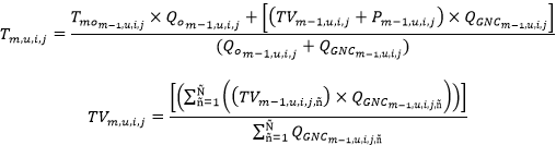
ARTÍCULO 6. FÓRMULA TARIFARIA GENERAL PARA LA DEFINICIÓN DEL COSTO UNITARIO DE PRESTACIÓN DEL SERVICIO APLICABLE A LOS USUARIOS REGULADOS DEL SERVICIO PÚBLICO DE GAS NATURAL POR REDES DE TUBERÍA. La Fórmula Tarifaria General para la definición del Costo Unitario de Prestación del Servicio aplicable a los Usuarios Regulados del servicio público domiciliario de gas natural por redes de tubería consta de un componente variable de acuerdo con el consumo, expresado en pesos por metro cúbico ($/m3), y de un componente fijo, expresado en pesos por factura ($/factura), y será la siguiente:
Componente variable:
![]()
Componente fijo:
![]()
Donde:
| Componente variable del Costo Unitario de Prestación del Servicio Público de Gas Natural por redes de tubería expresado en pesos por metro cúbico ($/m3), aplicable en el mes m a los Usuarios Regulados u del Mercado Relevante de Comercialización i atendidos por el comercializador j. | |
| Componente fijo del Costo Unitario de Prestación del Servicio Público de Gas Natural por Redes de Tubería expresado en pesos por factura ($/factura), aplicable en el mes m al Mercado Relevante de Comercialización i, atendidos por el comercializador j. | |
| Costo de suministro del gas natural aplicable en el mes m, destinado a Usuarios Regulados u, en el Mercado Relevante de Comercialización i y atendido por el comercializador j, expresado en pesos por metro cúbico ($/m3). Este costo se determina conforme establece el Artículo 11 de la presente Resolución. | |
| Costo de transporte de gas natural aplicable en el mes m, destinado a Usuarios Regulados u, en el Mercado Relevante de Comercialización i y atendido por el comercializador j, expresado en pesos por metro cúbico ($/m3). Este costo se determina conforme establece el Artículo 24 de esta Resolución. Para Mercados Relevantes de Comercialización que son atendidos mediante transporte por gasoductos y transporte de GNC, este componente incluye los dos tipos de transportes y la compresión conforme a lo definido en el Artículo 29. | |
| Costo de transporte terrestre y compresión de Gas Natural Comprimido (GNC) aplicable en el mes m, destinado a Usuarios Regulados u, para el Mercado Relevante de Comercialización i que es atendido con GNC por el comercializador j y que únicamente utiliza este medio de transporte terrestre. Expresado en pesos por metro cúbico ($/m3). | |
| Costo por uso del Sistema de Distribución de gas natural destinado a Usuarios Regulados de tipo r, aplicable en el mes m en el Mercado Relevante de Comercialización i atendido por el comercializador j, Expresado en pesos por metro cúbico ($/m3). No incluye la conexión al usuario final. Éste se determina conforme a lo establecido en el Artículo 31 de esta Resolución | |
| Factor multiplicador de poder calorífico aplicable al componente del costo de distribución en el mes m, en el Mercado Relevante de Comercialización i, atendido por el comercializador j. Este se determina como se establece en el Artículo 32 de esta resolución. | |
| Componente variable del costo de comercialización del gas natural destinado a Usuarios Regulados, aplicable en el mes m en el Mercado Relevante de Comercialización i, atendido por el comercializador j, expresado en pesos por metro cúbico ($/m3). Éste se determina conforme a lo establecido en el Artículo 34 de esta Resolución | |
| Componente fijo del costo de comercialización del gas natural destinado a Usuarios Regulados aplicable en el mes m en el Mercado Relevante de Comercialización i atendido por el comercializador j, expresado en pesos por factura ($/factura). Este se determina conforme a lo establecido en el Artículo 34 de esta Resolución | |
| Pérdidas reconocidas. Este valor se determinará conforme a lo definido en el Artículo 36 de esta Resolución | |
| Variación de la Tasa Representativa del Mercado Cambiario (TRM) cobrada a los Usuarios Regulados y pagada por el comercializador al vendedor del gas en el mes m por el gas adquirido para la atención del Mercado Relevante de Comercialización i atendido por el comercializador j. Se determinará conforme a lo previsto en el Artículo 18 de esta resolución. | |
| Mes de prestación del servicio. | |
| Mercado Relevante de Comercialización. | |
| Comercializador que atiende el Mercado Relevante de Comercialización i. | |
| Usuario Regulado de Demanda Esencial o Usuario Regulado de Demanda o Esencial. | |
| Usuario de uso residencial o usuario de uso diferente al residencial cuyo cargo de distribución puede corresponder al cargo para usuario residencial o al cargo para uso diferente al residencial según canasta de tarifas definida en la Resolución CREG 202 de 2013 y sus modificaciones. |
PARÁGRAFO. El costo de prestación del servicio en un período dado corresponderá a la suma de: i) el producto entre el consumo en metros cúbicos (m3) en dicho período y la componente variable del costo unitario (CUvm,i,j); y, ii) el valor del componente fijo del costo unitario (CUfm,i,j).
DETERMINACIÓN DEL COSTO DEL SUMINISTRO DE GAS NATURAL.
ARTÍCULO 7. COSTO DE SUMINISTRO DE GAS NATURAL PARA LA ATENCIÓN DE USUARIOS REGULADOS. Para la determinación del costo de gas natural que se traslada al usuario en la fórmula descrita en el Artículo 6 de esta Resolución, se deben tener en cuenta los siguientes aspectos:
7.1. Diferenciación de la Demanda. Para establecer el costo de suministro de gas natural se diferenciará el Usuario Regulado de Demanda Esencial y el Usuario Regulado de Demanda No Esencial del Mercado Relevante de Comercialización.
7.2. Cantidades a Reconocer. Las cantidades de suministro de gas natural que se reconocerán dentro de la variable
de la fórmula tarifaria para el Usuario Regulado de Demanda Esencial corresponderán a la totalidad de las cantidades de gas natural contratadas y facturadas por el comercializador que son necesarias para asegurar la atención de la demanda regulada esencial, para lo cual se deberá tener en cuenta la acotación de compras de gas prevista en el Artículo 12 de esta Resolución.
Las cantidades a reconocer dentro del
para los Usuarios Regulados de Demanda No Esencial corresponderán a las cantidades efectivamente entregadas y utilizadas por estos usuarios.
7.3. Demanda que paga las Compras de Gas Natural para los Usuarios Regulados u de Demanda Esencial. Las cantidades de suministro de gas natural compradas y que sean reconocidas al comercializador para la atención de los Usuarios Regulados u de Demanda Esencial, conforme a la composición de compras establecida el Artículo 8 y la banda de acotación definida en el Artículo 12 y a lo previsto en el Artículo 13 de esta Resolución, serán pagadas por la demanda real de los Usuarios Regulados de Demanda Esencial.
7.4. Modalidades Contractuales de Suministro de Gas que se reconocen para los Usuarios Regulados u de Demanda Esencial. Los comercializadores que atienden Usuarios Regulados u de Demanda Esencial sólo podrán incluir dentro de la variable
de la fórmula tarifaria el gas que sea adquirido mediante contratos Firmes y con Respaldo Físico negociados en el Mercado Primario y en el Mercado Secundario, conforme a modalidades descritas y las disposiciones establecidas en las Resolución CREG 185 de 2020 y 102 015 de 2025 y/o aquellas que las modifiquen, adicionen o sustituyan y, cumpliendo con lo establecido en el Artículo 8 de esta Resolución.
7.5. Modalidades contractuales de Suministro de Gas que se reconocen para los Usuarios Regulados de Demanda No Esencial. Los comercializadores que atienden Usuarios Regulados de Demanda No Esencial podrán incluir dentro de la variable
el gas adquirido mediante contratos celebrados bajo cualquiera de las modalidades previstas en la Resolución CREG 102 015 de 2025 o aquellas que la modifiquen, adicionen o sustituyan, garantizando siempre la atención de estos usuarios y la continuidad de la prestación del servicio.
PARÁGRAFO. El Comercializador para los contratos de suministro y transporte adquiridos para la atención de la demanda regulada deberá determinar, para cada mercado relevante de comercialización, la proporción de cantidades del contrato que serán destinadas para la atención de los Usuarios de Demanda Esencial y para los Usuarios de Demanda No Esencial.
ARTÍCULO 8. COMPOSICIÓN DE CANTIDADES DE GAS NATURAL ADQUIRIDAS EN EL MERCADO SECUNDARIO QUE SE PUEDEN TRASLADAR AL USUARIO REGULADO DE DEMANDA ESENCIAL. Todos los Mercados Relevantes de Comercialización deben tener una composición de compras en el mercado primario y mercado secundario, de tal manera que las cantidades de compras en el mercado secundario a trasladar en la fórmula tarifaria del mes de análisis cumplan con la condición de
de acuerdo con lo siguiente:
![]()
Donde el valor de
se determina así:
![]()
En caso de que
, sólo se podrá trasladar el 20% del
como cantidad de gas adquirida en el mercado secundario. Las cantidades de compras en el mercado primario que se trasladarán corresponderán a
.
Donde:
| Cantidad total de compras de gas natural del mercado primario y del mercado secundario de fuentes nacionales y/o importada, adquirida por el Comercializador j disponible para la atención, en el mes m, de los Usuarios Regulados de Demanda Esencial del Mercado Relevante de Comercialización i; expresada en unidades de energía (MBTUD, MBTU) y su equivalente en volumen (m3) | |
| Compras totales reconocidas en el Mercado Primario del Mercado Mayorista de Gas Natural de las cantidades de suministro de gas natural expresadas en unidades de energía (MBTUD, MBTU) y su equivalente en volumen en metros cúbicos (m3), que son reconocidas para la atención de los Usuarios Regulados u, aplicables en el mes m para el Mercado Relevante de Comercialización i que es atendido por el comercializador j. Para los Usuarios Regulados u de Demanda No Esencial corresponderán a las compras de suministro de gas natural que realmente utilizó dicha demanda. | |
| Compras adicionales de suministro de gas natural adquiridas en el Mercado Secundario del Mercado Mayorista de Gas Natural para asegurar la atención de los Usuarios Regulados u de Demanda Esencial, aplicables en el mes m para el Mercado Relevante de Comercialización i que es atendido por el comercializador j; expresadas en unidades de energía (MBTUD, MBTU) y su equivalente en volumen (m3). Para los Usuarios Regulados u de Demanda No Esencial corresponderá a las compras de suministro de gas natural que realmente utilizó dicha demanda. | |
| Porcentaje de las compras totales de suministro de gas natural nacional y/o importado que deben ser adquiridas en el mercado primario para la atención de los Usuarios Regulados u de Demanda Esencial. |
PARÁGRAFO: Si al momento de inicio de aplicación de esta resolución, en algún mercado relevante de comercialización no se cumple con la condición de un
, se trasladarán en la componente
de la fórmula tarifaria las cantidades correspondientes al mercado secundario conforme a lo siguiente:
| Actual | Para los 12 meses siguientes al inicio de la aplicación de esta resolución |
| El | |
A partir del mes trece (13) de aplicación de esta resolución todos los Mercados Relevantes de Comercialización deben cumplir con la condición de un
.
ARTÍCULO 9. PRECIO DE MÁXIMO DE GAS NATURAL QUE SE PODRÁ TRASLADAR POR CONCEPTO DE SUMINISTRO MEDIANTE CONTRATOS SUSCRITOS EN EL MERCADO PRIMARIO. El precio máximo a trasladar al Usuario Regulado u por concepto de suministro de gas adquirido mediante contratos suscritos en el Mercado Primario se determinará considerando el noventa por ciento (90%) del precio promedio del gas según la fuente donde se adquiere el gas contratado por el comercializador que atiende la demanda regulada en el Mercado Relevante de Comercialización; el otro 10%, considerando el precio promedio obtenido por otros agentes para las mismas modalidades contractuales, en la misma fuente y para la atención de demanda regulada, conforme a las siguientes expresiones:
![]()
Donde:
| Precio máximo que se trasladará, en el mes m, al Usuario Regulado u del Mercado Relevante de Comercialización i por las compras de suministro de gas natural nacional o importado de la fuente f realizadas por el comercializador j en el Mercado Primario; expresado en dólares de los Estados Unidos de América por millón de BTU día (USD/MBTUD). | |
| Cantidad de suministro de gas natural nacional o importado de la fuente f adquirida en el Mercado Primario mediante el contrato hm para la atención, en el mes m-1, de los Usuarios Regulados u del Mercado Relevante de Comercialización i que es atendido por el comercializador j; Expresada en unidades de energía (MBTUD, MBTU) y su equivalente en volumen (m3) | |
| Precio del contrato hm para la cantidad de suministro de gas natural nacional o importado de la fuente f, adquirida en el Mercado Primario para la atención, en el mes m-1, de los Usuarios Regulados u del Mercado Relevante de Comercialización i que es atendido por el comercializador j; expresado en dólares de los Estados Unidos de América por millón de BTU día (USD/MBTUD). | |
| hm | Contrato de suministro de gas natural nacional o importado de la fuente f, vigente en el mes m-1 y suscrito en el Mercado Primario por el comercializador j para la atención de los Usuarios Regulados u del Mercado Relevante de Comercialización i. |
| HM | Número total de contratos de suministro de gas natural nacional o importado de la fuente f, vigentes en el mes m-1 y suscritos en el Mercado Primario por el comercializador j para la atención de los Usuarios Regulados u del Mercado Relevante de Comercialización i. |
| Cantidad de suministro de gas natural nacional o importado de la fuente f adquirida en el Mercado Primario mediante el contrato hn para la atención, en el mes m-1, de los Usuarios Regulados u de todos los mercados relevantes de comercialización; expresada en unidades de energía (MBTUD, MBTU) y su equivalente en volumen (m3). | |
| Precio del contrato hn para la cantidad de suministro de gas natural nacional o importado de la fuente f adquirida en el Mercado Primario para la atención, en el mes m-1, de los Usuarios Regulados u; expresado en dólares de los Estados Unidos de América por millón de BTU día (USD/MBTUD). | |
| hn | Contrato de suministro de gas natural nacional o importado de la fuente f, vigente en el mes m-1 y suscrito en el Mercado Primario por los comercializadores para la atención de los Usuarios Regulados u. |
| HN | Número total de contratos de suministro de gas natural nacional o importado de la fuente f, vigentes en el mes m-1 y suscritos en el Mercado Primario por los comercializadores para la atención de los Usuarios Regulados u. |
PARÁGRAFO. El Gestor del Mercado de Gas Natural tendrá disponible en su página web los precios promedio vigentes para cada fuente, por modalidad contractual y para cada mes que fueron obtenidos por los comercializadores, para la atención de los Usuarios Regulados u.
ARTÍCULO 10. PRECIO MÁXIMO DE GAS NATURAL A TRASLADAR POR CONCEPTO DE CONTRATOS DE SUMINISTRO DE GAS NATURAL OBTENIDOS EN EL MERCADO SECUNDARIO. El precio máximo que podrá ser trasladado a los Usuarios Regulados u por concepto de suministro de gas natural adquirido mediante contratos suscritos en el Mercado Secundario corresponderá al menor entre: i) el precio obtenido por el comercializador en el Mercado Secundario y, ii) el precio obtenido en el Mercado Primario para el contrato del cual se deriva la cantidad de suministro adquirida en el Mercado Secundario, conforme a la siguiente expresión:
![]()
El precio de los contratos del mercado secundario hs se ponderan con la siguiente fórmula:
![]()
| Precio a reconocer por el contrato hs para la cantidad de suministro de gas natural nacional o importado de la fuente f adquirida en el Mercado Secundario para la atención, en el mes m-1, de los Usuarios Regulados u del Mercado de Comercialización i que es atendido por el comercializador j; expresado en dólares de los Estados Unidos de América por millón de BTU día (USD/MBTUD). | |
| Precio del contrato hs para la cantidad de suministro de gas natural nacional o importado que proviene de la fuente f, adquirida en el Mercado Secundario para la atención, en el mes m-1, de los Usuarios Regulados u del Mercado Relevante de Comercialización i que es atendido por el comercializador j; expresado en dólares de los Estados Unidos de América por millón de BTU día (USD/MBTUD). | |
| Cantidad de gas del contrato sp del mercado primario del cual proviene el contrato hs del mercado secundario de la fuente f, vigente en el mes m-1, obtenido por el comercializador j para la atención del Usuarios Regulados u del mercado de comercialización i; expresado en unidades de energía millón de BTU día (MBTUD, MBTU). | |
| Precio del contrato sp del mercado primario de la fuente f del cual se origina el contrato hs del mercado secundario, s vigente en el mes m-1, para la atención de la demanda del Usuarios Regulados u del mercado de comercialización i y adquirida por el comercializador j; expresado en dólares de los Estados Unidos de América por millón de BTU día (USD/MBTUD). | |
| Precio máximo del gas natural que se trasladará en el mes m al Usuario Regulado u del Mercado Relevante de Comercialización i, por las compras realizadas por el comercializador j en el Mercado Secundario para la fuente f; expresado en dólares de los Estados Unidos de América por millón de BTU día (USD/MBTUD). | |
| Cantidad de gas del contrato del mercado secundario hs de la fuente f vigente en el mes m-1 obtenido por el comercializador j para la atención del Usuario Regulado u del mercado de comercialización i; expresado en unidades de energía BTU día (MBTUD, MBTU). | |
| sp | Contrato sp del mercado primario del cual se origina el gas del contrato del mercado de secundario hs. |
| SP | Número de contratos del mercado primario de los que se origina el contrato del mercado secundario hs. |
| hs | Contratos del mercado secundario que provienen de la fuente f, vigente en el mes m-1, para la atención de la demanda del Usuario Regulado u del mercado de comercialización i adquirida por el comercializador j. |
| HS | Número de contratos del mercado secundario que provienen de la fuente f, vigentes en el mes m-1, para la atención de la demanda del Usuario Regulado u del mercado de comercialización i y adquirida por el comercializador j. |
PARÁGRAFO 1. El Gestor del Mercado de Gas Natural identificará, para cada contrato del mercado secundario, el contrato del mercado primario del cual se origina con el fin de identificar su precio.
PARÁGRAFO 2. En los Mercados Relevantes de Comercialización cuyos contratos del Mercado Secundario vigentes no tengan identificado el precio del Mercado primario del cual se originaron dichos contratos, para la determinación del
se utilizará como precio del mercado secundario el precio promedio ponderado vigente a diciembre del año 2024 de los contratos del mercado primario con los que cuenta para su mercado de comercialización.
En el caso en que el Mercado Relevante de Comercialización sólo tenga gas contratado en el mercado secundario y no tenga contratos en el mercado primario, se tomará como precio para el secundario un promedio ponderado de los precios de los contratos del primario de los otros mercados de comercialización que atienda el mismo comercializador.
En los casos en que el mercado relevante de comercialización no cuente con contratos del mercado primario, se tomará el precio de un promedio ponderado nacional para la fuente de los contratos vigentes para todo el país en dicho mercado en diciembre de 2024.
Todos estos precios se deberán considerar conforme a la certificación del Gestor del Mercado de Gas Natural.
ARTÍCULO 11. DETERMINACIÓN DEL COSTO DE SUMINISTRO DE GAS NATURAL
. Para la determinación del costo de suministro de Gas Natural se aplicará la siguiente expresión:

Donde:
| Costo del suministro de Gas Natural con respaldo físico para los Usuarios Regulados de Demanda Esencial y con respaldo físico y/u otro tipo de contratos para los Usuarios Regulados de Demanda No Esencial, expresado en pesos ($), reconocido por la atención de los Usuarios Regulados u, en el mes m-1, para el Mercado Relevante de Comercialización i, atendido por el Comercializador j. No incluye pérdidas de gas, costos de transporte, penalizaciones, compensaciones, intereses de mora u otros. Para los Usuarios Regulados de Demanda Esencial el costo se refiere a las cantidades reconocidas conforme al Artículo 8, al Artículo 12 y al Artículo 13 de esta resolución y el precio resultante del Artículo 9 y del Artículo 10 de la presente resolución Para el Usuarios Regulados u de Demanda No Esencial el costo se refiere a las cantidades de gas natural efectivamente inyectadas en la estación reguladora de puerta de ciudad y/o en los puntos de inyección al sistema de distribución z y los precios resultantes del Artículo 9 y del Artículo 10 de la presente resolución | |
| Volumen de gas natural medido en el mes m-1 en la estación reguladora de puerta de ciudad y/o puntos de inyección al sistema de distribución z con destino a la atención de Usuarios Regulados u, en el Mercado Relevante de Comercialización i, atendido por el Comercializador j, expresado en metros cúbicos (m3) y corregido por presión, temperatura y compresibilidad, acorde con lo que se define en el Numeral 5.39 de la Resolución CREG 067 de 1995, adicionado por la Resolución CREG 127 de 2013 y modificado por la Resolución CREG 033 de 2015 o aquellas que la aclaren, modifiquen o sustituyan. | |
| z | Puntos de inyección al sistema de distribución. |
| Z | Número total de puntos de inyección del sistema de distribución. |
| Compras totales reconocidas del Mercado Primario del Mercado Mayorista de Gas Natural de las cantidades de suministro de gas natural expresadas en unidades de energía (MBTUD y MBTU) y su equivalente en volumen en metros cúbicos (m3), que son reconocidas para la atención de los Usuarios Regulados u, aplicables en el mes m para el Mercado Relevante de Comercialización i que es atendido por el comercializador j; Para el Usuarios Regulados u de Demanda Esencial deberán corresponder, como mínimo, a beta por ciento ( Para los Usuarios Regulados u de Demanda No Esencial corresponderá a las compras de suministro de gas natural que realmente utilizó dicha demanda. | |
| Precio ponderado por cantidades compradas de los precios máximos reconocidos por las compras en el mercado primario que se trasladará en el mes m-1 al Usuario Regulado u del Mercado Relevante de Comercialización i, por las compras realizadas por el comercializador j en el Mercado Primario expresado en pesos colombianos. | |
| Compras totales reconocidas en el Mercado Secundario del Mercado Mayorista de Gas Natural de las cantidades de suministro de gas natural, expresadas en unidades de energía (MBTUD, MBTU) y su equivalente en volumen en metros cúbicos (m3), que son reconocidas para la atención de los Usuarios Regulados u, aplicables en el mes m-1 para el Mercado Relevante de Comercialización i que es atendido por el comercializador j. Para los Usuarios Regulados u de Demanda Esencial las compras deberán corresponder, como máximo, a uno menos beta por ciento Para los Usuarios Regulados u de Demanda No Esencial corresponderá a las compras de suministro de gas natural que realmente utilizó dicha demanda. | |
| Precio ponderado por cantidades compradas de los precios máximos reconocidos por las compras en el mercado secundario que se trasladará en el mes m-1 al Usuario Regulado u del Mercado Relevante de Comercialización i, por las compras realizadas por el comercializador j en el Mercado Primario expresado en pesos colombianos. | |
| Compras en el Mercado Primario del Mercado Mayorista de Gas Natural en fuente nacional o importado f, expresadas en unidades de energía (MBTUD, MBTU) y su equivalente en volumen en metros cúbicos (m3), que son reconocidas para la atención de los Usuarios Regulados u, aplicables en el mes m-1 para el Mercado Relevante de Comercialización i que es atendido por el comercializador j. Cantidad de suministro de gas natural de fuente nacional o importada f, comprada en el Mercado Primario mediante el contrato hm, expresada en unidades de energía (MBTUD, MBTU) y su equivalente en volumen en metros cúbicos (m3), para la atención de los Usuarios Regulados u, aplicable en el mes m-1 para el Mercado Relevante de Comercialización i que es atendido por el comercializador j. | |
| Precio máximo del gas natural que se trasladará en el mes m-1 al Usuario Regulado u del Mercado Relevante de Comercialización i, por las compras realizadas por el comercializador j en el Mercado Primario para la fuente f; expresado en dólares de los Estados Unidos de América por millón de BTU día (USD/MBTUD). | |
| Compras en el Mercado Secundario del Mercado Mayorista de Gas Natural procedente de fuente nacional o importada f, expresadas en unidades de energía (MBTUD, MBTU) y su equivalente en volumen en metros cúbicos (m3), que son reconocidas para la atención de los Usuarios Regulados u, aplicables en el mes m-1 para el Mercado Relevante de Comercialización i que es atendido por el comercializador. | |
| Precio ponderado de los precios a reconocer | |
| Tasa de cambio representativa del mercado aplicable en el mes m-1, correspondiente a la que resulte menor entre la del promedio del mes m-1 y la pactada para ese mismo mes m-1 en los contratos de suministro de gas de fuentes nacionales y de Gas Natural Importado f suscritos en el Mercado Primario y en el Mercado Secundario. | |
| u | Usuario Regulado de Demanda Esencial o Usuario de Regulado Demanda No Esencial. |
| n | Número de fuentes |
ARTÍCULO 12. BANDA DE ACOTACIÓN DE COMPRAS DE GAS NATURAL PARA LA ATENCIÓN DE LOS USUARIOS REGULADOS U DE DEMANDA ESENCIAL. Para establecer las cantidades máximas a ser remuneradas dentro de la variable
correspondientes a las compras de suministro de gas con Respaldo Físico para atender los Usuarios Regulados de Demanda Esencial se tendrá en cuenta una banda de acotación de compras de gas natural, la cual se definirá para cada trimestre estándar conforme a lo siguiente:
1. Los comercializadores deberán tener discriminados los datos históricos de consumo diario, expresado en metros cúbicos (m3), de los Usuarios Regulados u de Demanda Esencial del Mercado Relevante de Comercialización i, que es atendido por el comercializador j, para los cuatro trimestres anteriores al trimestre estándar en que se realice el cálculo.
Se establecerán como cantidad histórica máxima y como cantidad de consumo mínimo, expresadas en metros cúbicos (m3), las que correspondan, respectivamente, al percentil 75 (Q3) y al percentil 25 (Q1) de los datos históricos de consumo diario.
2. Dentro de los primeros cinco (5) días calendario del último mes de cada trimestre estándar, el comercializador hará el cálculo del rango que se tendrá en cuenta para el segundo trimestre siguiente al del cálculo. Para esto, los comercializadores deberán determinar el valor de los percentiles 75 (Q3) y 25 (Q1) con la información de los datos históricos de los consumos diarios, expresados en metros cúbicos (m3), ocurridos durante los cuatro (4) trimestres de gas anteriores al trimestre de cálculo t, de los Usuarios Regulados u de Demanda Esencial del Mercado Relevante de Comercialización i, que es atendido por el comercializador j, así:
![]()
Donde:
| Percentil k de los datos históricos de consumo diario de los cuatro (4) trimestres de gas anteriores al trimestre de cálculo t de los Usuarios Regulados de Demanda Esencial del Mercado Relevante de Comercialización i, que es atendido por el comercializador j. | |
| Percentil a calcular. Corresponde a 25 para el cálculo de Q1 y a 75 para el cálculo de Q3. | |
| N | Número de datos históricos de consumo diario, expresado en metros cúbicos (m3), de los cuatro (4) trimestres de gas anteriores al trimestre estándar de cálculo t de los Usuarios Regulados u de Demanda Esencial del Mercado Relevante de Comercialización i, que es atendido por el comercializador j. |
| Dato histórico del consumo diario expresado en metros cúbicos (m3) en la posición, redondeada a cero decimales al entero más cercano, |
3. Posteriormente, se determinará la variable
que corresponde a la diferencia porcentual que hay entre los percentiles 75 (Q3) y 25 (Q1) calculados anteriormente, así:
![]()
Donde:
| Diferencia porcentual entre los percentiles 75 (Q3) y 25 (Q1) de los datos históricos de consumo diario de los cuatro (4) trimestres de gas anteriores al trimestre t de los Usuarios Regulados u de Demanda Esencial del Mercado Relevante de Comercialización i, que es atendido por el comercializador j. Este valor será el que se utilizará para la definición de la banda de acotación del trimestre t. |
La diferencia porcentual definirá la separación entre el límite superior e inferior de las compras de gas que se tendrá en cuenta para cada uno de los meses del trimestre de aplicación.
4. Una vez definida la diferencia porcentual conforme al numeral anterior, el comercializador establecerá su banda de acotación de compras de gas, así:
4.1. El límite superior de la banda de acotación
será determinado libremente cada trimestre estándar t por el comercializador j con la cantidad de suministro de gas natural mensual que adquirirá en el Mercado Primario y deberá tener disponible para atender a los Usuarios Regulados de Demanda Esencial del Mercado Relevante de Comercialización i. Este límite aplicará para cada uno de los meses del trimestre estándar t para el cual fue determinado. Estas compras deberán estar expresadas en energía (MBTUD y MBTU), y su equivalencia en volumen (m3) por mes, conforme a lo definido en el Artículo 15 de esta Resolución.

Donde:
| Compras totales de suministro en el Mercado Primario que el comercializador j adquirirá para la atención de los Usuarios Regulados de Demanda Esencial del Mercado Relevante de Comercialización i, para cada mes m del trimestre estándar t, expresadas en unidades de energía (MBTUD, MBTU) y su equivalente en volumen en metros cúbicos (m3). | |
| Compras de suministro en el Mercado Primario, en la fuente de gas nacional o importado f que el comercializador j adquirirá para la atención de los Usuarios Regulados de Demanda Esencial del Mercado Relevante de Comercialización i, para cada mes m del trimestre estándar t, expresadas en unidades de energía (MBTUD, MBTU) y su equivalente en volumen (m3). |
4.2. El límite inferior de la banda de acotación de compras de gas natural
aplicable en el trimestre estándar t se fijará como el producto entre la cantidad definida por el comercializador y el porcentaje de diferencia establecida en el numeral 3 del presente artículo.
![]()
ARTÍCULO 13. CANTIDADES DE GAS NATURAL QUE SE PUEDEN TRASLADAR AL USUARIO REGULADO DE DEMANDA ESENCIAL
. Estas cantidades se determinarán conforme al rango de cantidades de compras de gas natural establecido en el Artículo 12 de esta resolución0, según las siguientes reglas:
| i) | Se traslada en la fórmula tarifaria a los usuarios regulados de la Demanda Esencial la cantidad Adicionalmente, se trasladarán las compras en el mercado secundario que fueron necesarias para atender la demanda real |
![]() | Se trasladan en la fórmula tarifaria a los Usuarios Regulados de Demanda Esencial las cantidades de gas real utilizadas y que fueron adquiridas en el mercado primario, más el cincuenta por ciento (50%) de la cantidad excedentaria conforme a lo establecido en el Artículo 14 de esta Resolución. ![]() |
| Se trasladan en la fórmula tarifaria a los usuarios regulados u de Demanda Esencial u, únicamente las cantidades de gas realmente utilizadas por estos usuarios que son atendidos por el comercializador j. |
Donde:
| Cantidad mensual de gas natural realmente demandada por los Usuarios Regulados de Demanda Esencial del Mercado Relevante de Comercialización i que es atendido por el comercializador j durante el mes anterior al de cálculo, expresada en unidades de energía (MBTU, MBTUD) y su equivalente en unidades de volumen (m3). |
PARÁGRAFO 1. Lo dispuesto en este artículo aplicará para todos los Mercados Relevantes de Comercialización.
PARÁGRAFO 2. Para los Mercados Relevantes de Comercialización Nuevos que no cuenten con información de consumos diarios aplicará lo establecido en este artículo una vez cumplan un (1) año de operación, es decir, cuando cuenten con información de demanda real diaria de, por lo menos, cuatro (4) trimestres anteriores al trimestre de cálculo; mientras no se cuente con dicha información, se trasladarán las compras realizadas por el comercializador.
PARÁGRAFO 2. A los usuarios Regulados de Demanda No Esencial trasladarán en la variable
, únicamente, las cantidades de suministro que fueron utilizadas por dicha demanda, independientemente de las compras realizadas para la atención de la misma.
ARTÍCULO 14. EXCEDENTES DE COMPRAS DE SUMINISTRO DE GAS NATURAL. Los comercializadores deberán poner a disposición del Mercado Secundario o del mecanismo de Úselo o Véndalo de Corto Plazo las cantidades sobrantes de gas que resulten de la diferencia entre la cantidad
y la cantidad
. Los valores resultantes de estas diferencias deberán ser asumidos, por partes iguales, entre el comercializador y los usuarios de la Demanda Regulada Esencial del Mercado Relevante de Comercialización, conforme a lo siguiente:
![]()
Donde:
| Excedentes de gas para el mes m, para el mercado de comercialización i, que es atendido por el comercializador j. | |
| Ventas en el mes m en el Mercado Secundario o en el mecanismo de Úselo o Véndalo de Corto Plazo de las cantidades de gas sobrantes de las compras de gas que corresponden al límite superior del Mercado Relevante de Comercialización i, que es atendido por el comercializador j. |
ARTÍCULO 15. IDENTIFICACIÓN DE LAS CANTIDADES DE GAS NATURAL CON DESTINO A LOS USUARIOS DE DEMANDA REGULADA ESENCIAL EN LOS CONTRATOS DE SUMINISTRO DE GAS NATURAL VIGENTES. Para los contratos de suministro de gas natural vigentes se establecerán como cantidades para la atención de Usuarios Regulados u de Demanda Esencial, la relación histórica del consumo del año anterior a la aplicación de esta resolución, de estos usuarios y el consumo total histórico de los Usuarios Regulados, valores obtenidos según las cantidades facturadas a los usuarios del mercado relevante de comercialización.
ARTÍCULO 16. TRAZABILIDAD DE LA CONVERSIÓN DE UNIDADES DE LA COMPONENTE DE SUMINISTRO DE GAS. La variable correspondiente al suministro de gas deberá expresarse en unidades de energía (MBTUD, MBTU) y su equivalente en unidades de volumen en metros cúbicos (m3). Para dichas conversiones se utilizarán las siguientes fórmulas:
a) De MBTUD a MBTU por mes
![]()
b) De MBTUD a metros cúbicos (m3) por mes:

c) De MBTU a metros cúbicos (m3) por mes:

Donde:
| Cantidad de suministro de gas natural expresado en metros cúbicos (m3). | |
| Cantidad diaria de suministro en MBTUD que se quiere expresar en metros cúbicos (m3) por mes. | |
| Cantidad de suministro en el período que se quiere expresar en metros cúbicos (m3). | |
| PC | Poder calorífico promedio del mes m-1 para el gas que se quiere expresar en metros cúbicos (m3) según la fuente de suministro, expresado en MBTU/KPC. Este valor debe coincidir con el publicado en el Sistema Único de Información – SUI administrado por la Superintendencia de Servicios Públicos Domiciliarios y facturado en el mercado mayorista. |
| n | Corresponde al número de días del mes de aplicación. |
ARTÍCULO 17. DETERMINACIÓN DEL COSTO DEL GAS CUANDO LA PRESTACIÓN DEL SERVICIO SE HACE CON DIFERENTES GASES COMBUSTIBLES. Cuando se suministre Gas Natural (GN) y Aire Propanado (AP) en un mismo Mercado Relevante de Comercialización, el Gm,i,j resultante será un promedio ponderado entre: i) los volúmenes de cada uno de los gases inyectados al sistema de distribución y, ii) los costos unitarios de compra (Gm,i,j) de cada combustible, calculado con la siguiente fórmula:

Donde:
| Costo de suministro del gas natural aplicable en el mes m, destinado a Usuarios Regulados u, en el Mercado Relevante de Comercialización i atendido por el comercializador j, expresado en pesos por metro cúbico ($/m3). Este costo se determina conforme establece el Artículo 11 de la presente Resolución. | |
| Costo Promedio del gas e, expresado en pesos por metro cúbico ($/m3), inyectado al sistema de distribución en el mes m-1 en el Mercado Relevante de Comercialización i atendido por el comercializador j. Las cantidades de compras de gas natural deberán cumplir lo dispuesto en esta resolución y las compras del producto de GLP deberán cumplir lo dispuesto en la Resolución CREG 137 de 2013 o aquellas que la modifiquen, adicionen o sustituyan. | |
| Volumen del gas e, expresado en metros cúbicos (m3), inyectado al sistema de distribución en el mes m-1 en el Mercado Relevante de Comercialización i atendido por el comercializador j. Este volumen será corregido por presión, temperatura y compresibilidad, acorde con lo que se define en el numeral 5.39 de la Resolución CREG 67 de 1995 o aquellas que la modifiquen adicionen o sustituyan. | |
| Volumen total corregido de los n gases Ge inyectados al sistema de distribución, expresado en metros cúbicos (m3), en el mes m-1 el Mercado Relevante de Comercialización i atendido por el comercializador j. |
COSTO DE DESVIACIONES POR TRM.
ARTÍCULO 18. DESVIACIONES POR LA TASA REPRESENTATIVA DEL MERCADO - TRM. Las variaciones en la componente de compras de gas por efectos de la Tasa Representativa del Mercado Cambiario (TRM) se determinará conforme a la siguiente fórmula.
![]()
Donde:
| Costo promedio unitario expresado en pesos por metro cúbico ($/m3), correspondiente a las compras de gas destinado a Usuarios Regulados u, aplicable en el mes m-1 en el Mercado Relevante de Comercialización para el Siguiente Período Tarifario i, atendidos por el comercializador j. | |
| Tasa de cambio Representativa del Mercado del último día del mes m-1, expresada en pesos por dólares de los Estados Unidos de América. | |
| Tasa de cambio representativa del mercado del último día del mes m-2, expresada en pesos por dólares de los Estados Unidos de América. |
PARÁGRAFO. Para Mercados Nuevos de Comercialización se reconocerá el valor por las variaciones en la Tasa Representativa del Mercado dos (2) meses después de que se inició la prestación del servicio.
DETERMINACIÓN DEL COSTO DE TRANSPORTE DE GAS NATURAL.
ARTÍCULO 19. VARIABLE DEL COSTO DE CAPACIDAD DE TRANSPORTE DE GAS NATURAL (
) POR GASODUCTO. Para la determinación de la variable del costo de transporte de gas natural que se traslada al usuario en la fórmula descrita en el Artículo 6 de esta Resolución, se deben tener en cuenta los siguientes aspectos:
19.1. Diferenciación de la demanda. Para establecer el costo de transporte de gas natural se diferenciarán los Usuarios Regulados u de Demanda Esencial y los Usuarios Regulados u de Demanda No Esencial del Mercado Relevante de Comercialización.
19.2. Cantidades a reconocer. Las cantidades de capacidad de transporte de gas natural que se reconocerán dentro de la variable
de la fórmula tarifaria para la atención de los Usuarios Regulados u de Demanda Esencial corresponderán a la totalidad de la capacidad de transporte de gas natural adquirida por el comercializador que es necesaria para asegurar la atención de dicha demanda. Para ello se deberá tener en cuenta la acotación de compras de capacidad de transporte prevista en el Artículo 25 de esta Resolución.
Las cantidades de capacidad a reconocer dentro del
para los Usuarios Regulados de Demanda No Esencial corresponderán a las efectivamente utilizadas por los usuarios de esta demanda.
19.3. Demanda que paga las compras de capacidad de transporte de Gas Natural por Gasoducto para la Demanda Regulada Esencial. La Demanda real pagará las compras realizadas para la atención de la demanda de los Usuarios Regulados u de Demanda Esencial del Mercado Relevante de Comercialización, esta pagará las compras de capacidad de transporte de gas natural que haya realizado el comercializador y que fue necesaria para asegurar su atención, conforme al rango de acotación y a lo previsto en el Artículo 25 y en el Artículo 26 de esta Resolución.
19.4. Modalidades para la contratación de capacidad de transporte que se reconocen para la Demanda Regulada Esencial. Los comercializadores que atienden Usuarios Regulados u de Demanda Esencial sólo podrán incluir dentro de la variable
de la fórmula tarifaria la capacidad de transporte adquirida en virtud de contratos definidos como firmes y con Respaldo Físico adquiridos en el Mercado Primario y en el Mercado Secundario, conforme a las disposiciones de la Resolución CREG 185 de 2020 y aquellas que la modifiquen, adicionen o sustituyan.
19.5. Modalidades para la contratación de capacidad de transporte a reconocer dentro de la Fórmula Tarifaria para la Demanda Regulada No Esencial. Para los Usuarios Regulados u de Demanda No Esencial, los comercializadores de gas podrán incluir la capacidad de transporte adquirida en virtud de contratos de cualquier modalidad prevista en la Resolución CREG 185 de 2020 o aquellas que la modifiquen, adicionen o sustituyan.
ARTÍCULO 20. PRECIO MÁXIMO DE ADQUISICIÓN DE CAPACIDAD DE TRANSPORTE DE GAS A TRASLADAR EN VIRTUD DE CONTRATOS SUSCRITOS EN EL MERCADO PRIMARIO. El precio por compras de capacidad de transporte de gas natural a trasladar al Usuario Regulado en virtud de contratos suscritos en el Mercado Primario corresponderá como máximo a los cargos regulados establecidos conforme a lo ordenado en la Resolución CREG 175 de 2021 o aquellas que la modifiquen, adicionen o sustituyan.
ARTÍCULO 21. PRECIO MÁXIMO A TRASLADAR POR LAS COMPRAS DE CAPACIDAD DE TRANSPORTE DE GAS NATURAL EN EL MERCADO SECUNDARIO. El precio de compras de capacidad de transporte de gas natural en virtud de contratos suscritos en el Mercado Secundario que podrá ser trasladado a los Usuarios Regulados u De corresponderá al menor entre el precio obtenido en el Mercado Secundario y los cargos regulados conforme a lo ordenado en la Resolución CREG 175 de 2021 o aquellas que la modifiquen, adicionen o sustituyan.
ARTÍCULO 22. TRANSPORTE DE GAS NATURAL POR OTRO MEDIO, DIFERENTE A GASODUCTO. Los costos de los contratos suscritos para el transporte de gas natural por medio diferente al gasoducto, que aseguren la continuidad del servicio y que sea prestado por un agente de la cadena de prestación del servicio, podrán ser incluidos dentro del costo de transporte, siempre y cuando, estén claramente discriminados.
ARTÍCULO 23. COMPOSICIÓN DE LAS COMPRAS DE CAPACIDAD DE TRANSPORTE DE GAS NATURAL. Los comercializadores que atienden Usuarios Regulados u De Demanda Esencial deberán adquirir la capacidad de transporte de gas natural en el Mercado primario y secundario del mercado Mayorista de Gas, conforme a las siguientes expresiones:

Donde:
| Cantidad total de compras de capacidad de transporte de gas natural adquirida en el mercado primario y secundario para la atención de los usuarios de Demanda Regulada u del mercado relevante de comercialización i que es atendido por el comercializador j. | |
| Compras de capacidad de transporte de gas natural en el Mercado Primario del Mercado Mayorista de Gas Natural expresadas en unidades de volumen (KPCD, KPC) y su equivalencia en metros cúbicos (m3), para la atención de los Usuarios Regulados u, aplicables en el mes m para el Mercado Relevante de Comercialización i que es atendido por el comercializador j | |
| Compras de capacidad de transporte de gas natural adquiridas en el Mercado secundario de Gas Natural expresadas en unidades de volumen (KPCD, KPC) y su equivalencia en metros cúbicos (m3), que son necesarias para la atención de Usuarios Regulados u, aplicables en el mes m para el Mercado Relevante de Comercialización i que es atendido por el comercializador j |
ARTÍCULO 24. DETERMINACIÓN DEL COSTO DE TRANSPORTE DE GAS NATURAL PARA MERCADOS ATENDIDOS CON GASODUCTOS DE TRANSPORTE (
). El costo de transporte por el Sistema Nacional de Transporte se calculará como sigue:

| Costo Promedio Unitario en pesos por metro cúbico ($/m3) correspondiente a la capacidad de transporte de gas natural por gasoductos que hacen parte del Sistema Nacional de Transporte, destinado a Usuarios Regulados u, aplicable en el mes m en el Mercado Relevante de Comercialización i, atendido por el comercializador j. | |
| Costo promedio de la capacidad de transporte de gas natural adquirida en el mes m-1, a través de contratos firmes en el mercado primario y mercado secundario conforme a la Resolución CREG 185 de 2020 y aquellas que la modifiquen, adicionen o sustituyan, con destino a la atención de Usuarios Regulados u, que puede ser trasladada al usuario conforme a lo dispuesto en el Artículo 25 de esta Resolución, para el Mercado Relevante de Comercialización i, atendido por el comercializador j; expresado en pesos. | |
| Costo total de las pérdidas del sistema de transporte declaradas por el transportador para el mes m-1, para el Mercado Relevante de Comercialización i, para el Usuario Regulado u, atendido por el comercializador j. Se deberá facturar el valor calculado y, como máximo, hasta un 1%. En caso de que el componente de pérdidas supere el 1%, el transportador asumirá el excedente. | |
| Volumen de gas combustible destinado a Usuarios Regulados u, medido en el mes m-1 en las estaciones de puerta de ciudad, según sea el caso, medido en KPC y su equivalente a metros cúbicos (m3), para el Mercado Relevante de Comercialización i, para el Usuario Regulado u, atendido por el comercializador j, Este volumen será corregido por presión, temperatura y compresibilidad, acorde con lo que se define en el numeral 5.39 de la Resolución CREG 067 de 1995 o aquellas que la modifiquen, adicionen o sustituyan. | |
| Compras de capacidad de transporte adquirida en el Mercado Primario para el tramo k, en virtud de contratos suscritos conforme a lo previsto en la Resolución CREG 185 de 2020 o aquellas que la modifiquen, adicionen o sustituyan, expresada en KPCD, KPC y su equivalencia en m3 con destino a la atención de los Usuarios Regulados u, en el mes m-1, para el Mercado Relevante de Comercialización i, atendido por el comercializador j. | |
| Compras de capacidad de transporte adquirida en el Mercado Primario para el tramo k, en virtud de contratos suscritos conforme a lo previsto en la Resolución CREG 185 de 2020 o aquellas que la modifiquen, adicionen o sustituyan, expresada en KPCD, KPC y su equivalencia en m3 con destino a la atención de los Usuarios Regulados u, en el mes m-1, para el Mercado Relevante de Comercialización i, atendido por el comercializador j. | |
| Compras de capacidad de transporte adquirida en el Mercado Secundario para el tramo k, en virtud de contratos suscritos conforme a lo previsto en la Resolución CREG 185 de 2020 aquellas que la modifiquen, adicionen o sustituyan, expresada en KPCD, KPC y su equivalencia en m3 con destino a la atención de los Usuarios Regulados u en el mes m-1, para el Mercado Relevante de Comercialización i, atendido por el comercializador j. | |
| Corresponde al Cargo Fijo de la pareja de cargos regulados de transporte para el tramo k, actualizado y aplicable en el año del mes de cálculo m-1, expresado en pesos por KPCD-AÑO. | |
| Corresponde al Cargo Fijo de AOM de la pareja de cargos de transporte para el tramo k, actualizado y aplicable en el año del mes de cálculo m-1, expresado en pesos por KPCD-AÑO. | |
| Número de días del mes m-1 en el que se prestó el servicio de transporte de gas natural. | |
| Número de días del año de mes de cálculo. | |
| Capacidad de transporte expresada en KPC del tramo k, utilizada durante el mes m-1 para la atención de los Usuarios Regulados u, en el mes m-1, para el mercado Relevante de Comercialización i, atendido por el comercializador j. | |
| u | Usuario Regulado de Demanda Esencial o Usuario Regulado de Demanda No Esencial. |
| Corresponde al Cargo Variable de la pareja de cargos de transporte del tramo k, actualizado y aplicable en el año de cálculo del mes m-1 expresado en pesos por KPC. | |
| Gastos en combustible o energía requerido por las estaciones de compresión, como se define en el artículo 18 de la Resolución CREG 175 de 2021 o aquellas que la modifiquen, adicionen o sustituyan. Este valor estará expresado en pesos colombianos, aplicable al tramo k por los KPC del mes. | |
| Si en el tramo k hubiere remitentes que se benefician de proyectos del Plan de Abastecimiento de Gas Natural - PAG, conforme a las disposiciones del artículo 43.2 de la Resolución CREG 175 de 2021 o aquellas que la modifiquen, adicionen o sustituyan, este valor corresponde al valor a facturar al Usuario Regulado u, en el mes m-1. Este valor estará expresado en pesos colombianos, aplicable al tramo k por los KPC del mes. Si en el tramo k no hubiere remitentes que se benefician de proyectos del PAG, el valor de esta componente será cero (0). |
PARÁGRAFO. Si en el Mercado Secundario hubieren sido negociados cargos inferiores a los cargos regulados del Mercado Primario, el menor valor entre éstos será el que se podrá trasladar a los Usuarios Regulados.
ARTÍCULO 25. BANDA DE ACOTACIÓN DE COMPRAS DE CAPACIDAD DE CAPACIDAD DE TRANSPORTE PARA LA ATENCIÓN DE LA DEMANDA REGULADA ESENCIAL. Para establecer las cantidades de capacidad de transporte que deben ser remuneradas por los Usuarios Regulados de Demanda Esencial dentro de la variable
, se deberá tener en cuenta la banda de acotación de compras de capacidad de transporte. Ésta se definirá considerando la diferencia porcentual
establecida conforme a los numerales 1, 2, 3 y 4 del aArtículo 12, y conforme al siguiente procedimiento:
1. El límite superior de la banda de acotación (
) será determinado libremente cada trimestre estándar t por el comercializador con el valor de la cantidad de capacidad de transporte de gas mensual que adquirirá en el Mercado Primario y deberá tener disponible para atender a los Usuarios Regulados de Demanda Esencial del Mercado Relevante de Comercialización i. Este límite aplicará para cada uno de los meses del trimestre estándar t para el cual fue determinado. Estas compras deberán estar expresadas en KPCD y luego deberán ser convertidas en metros cúbicos (m3) por mes, conforme a lo definido en el Artículo 28 de esta resolución.
![]()
Donde:
| Compras totales de capacidad transporte para todos los tramos en el Mercado Primario que el comercializador j adquirirá para la atención de los Usuarios Regulados de Demanda Esencial del Mercado Relevante de Comercialización i., aplicables en el mes m, expresadas en KPCD, KPC y su equivalente en metros cúbicos (m3). |
2. El límite inferior
de la banda de acotación de compras de capacidad de transporte de gas aplicable en el trimestre estándar t, se fijará como el producto entre la cantidad definida por el comercializador y el porcentaje de diferencia establecida en el numeral 3 del Artículo 12 de esta resolución.
![]()
Donde:
| Este valor será igual al definido en el Artículo 12 de la presente resolución. | |
| Cantidad máxima mensual de capacidad de transporte de gas natural expresada en KPCD adquirida en el mercado primario para la atención de la Usuarios Regulados u de Demanda Esencial en el trimestre t en el Mercado Relevante de Comercialización i, en el mes m, que es atendida por el comercializador j. | |
| Cantidad mínima mensual del intervalo de compras en el mercado primario de capacidad de transporte de gas natural, expresada en KPCD, para la atención de la Usuarios Regulados u de Demanda Esencial del Mercado Relevante de Comercialización i para el trimestre, que es atendida por el comercializador j. | |
| Corresponde al trimestre de uso de las compras de gas para el cual se define el rango. |
ARTÍCULO 26. CANTIDADES DE CAPACIDAD DE TRANSPORTE QUE SE PUEDEN TRASLADAR AL USUARIO REGULADO DE DEMANDA ESENCIAL. Estas cantidades se determinarán conforme al rango de Cantidades de Capacidad de Transporte de Gas Natural establecido en el Artículo 25, se podrán trasladar al Usuario Regulado de Demanda Esencial las cantidades adquiridas cumpliendo las siguientes reglas:
| Se traslada en la fórmula tarifaria a los Usuarios Regulados de Demanda Esencial, la cantidad Adicionalmente, se trasladarán las compras en el mercado secundario que fueron necesarias para atender la demanda real | |
![]() | Se traslada en la fórmula tarifaria a los Usuarios Regulados de Demanda Esencial, la capacidad de transporte real utilizada por dichos usuarios más el cincuenta por ciento (50%) de la capacidad excedentaria conforme a lo establecido en el aArtículo 27 de esta Resolución. ![]() |
| Se traslada en la fórmula tarifaria al Usuarios Regulados u de Demanda Esencial únicamente, la capacidad de transporte de gas real, utilizada por estos usuarios que son atendidos por el comercializador j. |
Donde:
| Capacidad de transporte de gas natural mensual, expresada en KPCD, que fue realmente utilizada para la atención de los Usuarios Regulados u de Demanda Esencial del Mercado Relevante de Comercialización i, para el trimestre t, que es atendida por el comercializador j. |
PARÁGRAFO 1. Lo dispuesto en este artículo aplicará para todos los Mercados Relevantes de Comercialización. Para los Mercados Relevantes de Comercialización Nuevos aplicará una vez cumplan un año de operación, es decir, una vez cuenten con información de demanda real diaria de, por lo menos, cuatro (4) trimestres anteriores al trimestre de cálculo; mientras no se cuente con dicha información se trasladarán las compras realizadas por el comercializador.
PARÁGRAFO 2. A los Usuarios Regulados u de la Demanda No Esencial se les trasladará en la variable
, únicamente la capacidad de transporte que fue utilizada por dicha demanda, independientemente de las compras realizadas para la atención de la misma.
ARTÍCULO 27. EXCEDENTES DE COMPRAS DE CAPACIDAD DE TRANSPORTE DE GAS. Los comercializadores deberán poner a disposición del Mercado Secundario o del mecanismo de Úselo o Véndalo de Corto Plazo las cantidades sobrantes de capacidad de transporte, correspondientes a la diferencia entre la cantidad
y la
. Los valores resultantes de estas diferencias deberán ser asumidos, en partes iguales, por el comercializador y los usuarios Regulados u de la Demanda Esencial del Mercado Relevante de Comercialización.
![]()
Donde:
| Excedentes de capacidad de transporte de gas para el mes m, para el mercado de comercialización i, que es atendido por el comercializador j. | |
| Ventas en el mes m en el mercado Secundario o en el mecanismo de Úselo o Véndalo de Corto Plazo de la capacidad de transporte de gas sobrante de las compras que corresponden al límite superior del Mercado Relevante de Comercialización i, que es atendido por el comercializador j. | |
| Cantidades de capacidad de transporte de gas que pueden ser trasladadas en el mes m al Usuario Regulado u de Demanda Esencial, del mercado de comercialización i, que es atendido por el comercializador j. |
ARTÍCULO 28. CONVERSIÓN DE UNIDADES DE LA COMPONENTE DE TRANSPORTE DE GAS EN LA BANDA DE ACOTACIÓN. Las unidades correspondientes al transporte de gas expresadas en kilo pies cúbicos (KPC) o kilo pies cúbicos día (KPCD) deberán expresarse en metros cúbicos (m3); para dicha conversión se utilizarán las siguientes fórmulas:
a) De KPCD a metros cúbicos (m3):
![]()
b) De KPC a metros cúbicos (m3):
![]()
Donde:
| Capacidad de transporte expresada en metros cúbicos (m3). | |
| Valor de la Capacidad de transporte diaria que se quiere expresar en metros cúbicos (m3). | |
| Valor de la Capacidad de transporte en el período que se quiere expresar en metros cúbicos (m3) | |
| Corresponde al número de días que tiene el mes de aplicación. |
ARTÍCULO 29. COSTO DE TRANSPORTE DE GAS NATURAL PARA MERCADOS RELEVANTES DE COMERCIALIZACIÓN ATENDIDOS CON TRANSPORTE POR GASODUCTOS Y TRANSPORTE DE GNC. Para aquellos Mercados Relevantes de Comercialización aprobados por la CREG y conformados por municipios atendidos con Sistemas de Transporte de gas natural por gasoducto y transporte de Gas Natural Comprimido, GNC, el total del transporte se determinará con la siguiente fórmula:

Donde:
| Costo promedio máximo unitario del transporte de gas en pesos por metro cúbico ($/m3), aplicable en el mes m a los Usuarios Regulados u del Mercado Relevante de Comercialización i, que utiliza a su vez gasoductos de transporte y transporte de Gas Natural Comprimido a través de camiones, que son atendidos por el comercializador j | |
| Costo promedio máximo unitario del transporte de gas natural por gasoducto en cada Sistema de Transporte, expresado en pesos por metro cúbico ($/m3), aplicable en el mes m-1 para el Mercado Relevante de Comercialización i, que utiliza a su vez gasoductos de transporte y transporte de Gas Natural Comprimido a través de camiones, atendido por el comercializador j. | |
| Volumen de gas, expresado en metros cúbicos (m3), transportado en gasoducto por cada Sistema de Transporte en el mes m. Esta cantidad incluye el | |
| Costo máximo unitario en pesos por metro cúbico ($/m3) para el transporte de Gas Natural Comprimido en vehículos de carga u otro medio de transporte para la atención de los Usuarios Regulados u del Mercado Relevante de Comercialización i, que utiliza a su vez gasoductos de transporte y transporte de Gas Natural Comprimido por otro medio atendidos por el comercializador j. Para transporte por camiones este valor corresponde al establecido en la Resolución CREG 008 de 2005 o aquella que la modifique, aclare o sustituya | |
| Costo de compresión del gas natural comprimido, expresado en pesos por metro cúbico ($/m3), aplicable en el mes m-1, para los Usuarios Regulados u del Mercado Relevante de Comercialización i, que utiliza a su vez gasoductos de transporte y transporte de Gas Natural Comprimido en camiones, y que son atendidos por el comercializador j conforme a lo establecido en la Resolución CREG 008 de 2005 o aquella que la modifique, aclare o sustituya. | |
| Volumen de GNC transportado en vehículos de carga para los Usuarios Regulados u, en el mes m-1, para el Mercado Relevante de Comercialización i que utiliza a su vez gasoductos de transporte y transporte de gas natural comprimido en camiones, atendidos por el comercializador j. |
PARÁGRAFO. Una vez se de aplicación a lo dispuesto en este artículo, en la fórmula tarifaria la componente TGNCm,u,i,j, definida en el Artículo 6 de esta Resolución, correspondiente a remuneración de transporte terrestre de gas natural comprimido - GNC debe ser igual a cero (0).
ARTÍCULO 30. COSTO DE TRANSPORTE DE GAS NATURAL COMPRIMIDO PARA MERCADOS QUE SÓLO UTILIZAN TRANSPORTE TERRESTRE DE GAS NATURAL COMPRIMIDO. Para aquellos Mercados Relevantes aprobados por la CREG que utilizan únicamente transporte de Gas Natural Comprimido – GNC en camiones, el costo total del transporte
se determinará con la siguiente fórmula:

Donde:
| Costo unitario en pesos por metro cúbico ($/m3) correspondiente al transporte terrestre de Gas Natural Comprimido (GNC) y al costo de compresión destinado a Usuarios Regulados u, aplicable en el mes m, para el Mercado Relevante de Comercialización i que, únicamente, es atendido con Gas Natural Comprimido por el comercializador j. | |
| Costo máximo unitario del transporte de Gas Natural Comprimido en vehículos de carga, expresado en pesos por metro cúbico ($/m3), aplicable en el mes m-1 a los Usuarios Regulados u del Mercado Relevante de Comercialización i, que es atendido por el comercializador j, conforme a la metodología definida en la Resolución CREG 008 de 2005 o aquellas que la modifiquen, adicionen o sustituyan. | |
| Costo de compresión del gas natural, expresado en pesos por metro cúbico ($/m3), aplicable en el mes m-1 a los Usuarios Regulados u del Mercado Relevante de Comercialización i, que es atendido por el comercializador j, conforme a la metodología definida en la Resolución CREG 008 de 2005 o aquellas que la modifiquen, adicionen o sustituyan | |
| Volumen de GNC en metros cúbicos (m3) transportado en vehículos de carga en el mes m-1 para la atención de los Usuarios Regulados u del Mercado Relevante de Comercialización i, que es atendido por el comercializador j. |
PARÁGRAFO. Una vez se de aplicación a lo dispuesto en este artículo, en la fórmula tarifaria la componente TGNCm,u,i,j, definida en el Artículo 6 de esta Resolución, correspondiente a remuneración de transporte terrestre de gas natural comprimido – GNC, debe ser igual a cero (0).
COSTO DE DISTRIBUCIÓN.
ARTÍCULO 31. COSTO DE DISTRIBUCIÓN DE GAS COMBUSTIBLE. El costo por uso de los Sistemas de Distribución de gas combustible corresponderá al cargo de distribución que haya sido aprobado para el Mercado Relevante de Distribución de acuerdo con el tipo de usuario y la metodología vigente para la remuneración de la actividad de distribución.
ARTÍCULO 32. FACTOR DE PODER CALORÍFICO. El cargo de distribución será afectado por el fpc que se determina así:
![]()
Donde:
| Factor multiplicador de poder calorífico aplicable en el mes m, para el mercado relevante de comercialización i, atendido por el comercializador j. | |
| Promedio mensual del Poder calorífico ponderado de los diferentes gases que abastecen el Mercado Relevante de Comercialización i, atendido por el comercializador j, expresado en BTU/PC. |
Este factor se aplicará sólo a los cargos de distribución que se encuentren aprobados bajo la metodología establecida en la Resolución CREG 011 de 2003. Una vez éstos se actualicen con la metodología contenida en las Resoluciones CREG 202 de 2013, 138 de 2014, 090 y 132 de 2018, y 011 de 2020, este valor será igual a uno (1).
ARTÍCULO 33. MEZCLAS DE GASES DE DIFERENTES CALIDADES. En aquellos casos particulares en que un sistema de distribución cuente con más de un punto de inyección y el gas inyectado en, por lo menos, dos de estos puntos tenga poderes caloríficos diferentes y esa diferencia sea mayor del 10%, el consumo en metros cúbicos (m3) a facturar se determinará aplicando la siguiente expresión:
![]()
Donde:
| Consumo en m3 corregido en el mes m, para el usuario del Mercado Relevante de Comercialización i, atendido por el comercializador j. | |
| Volumen corregido por compresibilidad, presión y temperatura estándar para el Mercado Relevante de Comercialización i atendido por el comercializador j. | |
| Poder calorífico medido en la zona “l” de la red de distribución donde se presentan “n” zonas que distribuyen gas con diferentes poderes caloríficos. Es responsabilidad del distribuidor establecer las “n” zonas e implementar en éstas la respectiva medición del poder calorífico. | |
| Poder calorífico ponderado en el mes m para el Mercado Relevante de Comercialización i que es atendido por el comercializador j. Este se determina con base en la siguiente expresión: | |
Donde: ![]() | |
COSTO DE COMERCIALIZACIÓN.
ARTÍCULO 34. COSTO DE COMERCIALIZACIÓN. El costo de comercialización a Usuarios Regulados se trasladará en la fórmula tarifaria definida en el Artículo 6 de esta Resolución conforme a lo siguiente:
i. El componente fijo del costo de comercialización que se apruebe para el Mercado Relevante de Comercialización i para el Siguiente Período Tarifario, de acuerdo con la metodología que expida la CREG para el efecto, actualizado a la fecha de aplicación.
ii. El componente variable del costo de comercialización que se calcule por el comercializador j que atiende el Mercado Relevante de Comercialización i, de acuerdo con la metodología que expida la CREG para el efecto.
REPORTE DE INFORMACIÓN PARA LA TRAZABILIDAD DE LAS VARIABLES APLICADAS EN LAS FÓRMULAS TARIFARIAS.
ARTÍCULO 35. OBLIGACIÓN DE REPORTE DE INFORMACIÓN. El comercializador que atiende a Usuarios Regulados en un Mercado Relevante de Comercialización deberá reportar, mensualmente, a la Superintendencia de Servicios Públicos Domiciliarios, sin limitarse a ella, la información que se indica en este artículo, con el fin de que se pueda establecer la trazabilidad del gas natural que el agente comercializa desde las fuentes de suministro hasta la entrega al usuario final, así como la trazabilidad de los costos eficientes que se le trasladan al usuario en las fórmulas tarifarias para cada mercado de comercialización definidos en esta Resolución.
Así mismo, los comercializadores deberán entregar a la Superintendencia de Servicios Públicos y al Gestor del Mercado un diagrama de recorrido para cada Mercado Relevante de Comercialización que atienda con la información aquí prevista, en el que sea fácil visualizar el origen del gas, los puntos de entrega del gas, los puntos de entrada y salida, con las rutas de transporte contratadas y los sistemas de distribución que se usan para atender los Mercados Relevantes de Comercialización. Este diagrama deberá actualizarse cada vez que se presenten cambios sobre las fuentes, rutas y demás variables involucradas para la determinación del Costo de prestación del servicio.
El Gestor del mercado deberá mantener publicada esta información en su página web.
COMPONENTE G
| 1 | Fecha de aplicación en la fórmula tarifaria al usuario final. |
| 2 | Cada uno de los contratos del mercado primario adquiridos para la atención de la demanda regulada del Mercado Relevante de Comercialización en el mes de aplicación. |
| 3 | Tipo de contrato. |
| 4 | Fuente de donde proviene el gas. |
| 5 | Vendedor. |
| 6 | Poder Calorífico (MBTU/KPC). |
| 7 | Cantidad contratada comprada para la atención del Usuario Regulado de Demanda Esencial y para el Usuario Regulado de Demanda No Esencial del Mercado Relevante de Comercialización (MBTUD, m3). |
| 8 | Precio del contrato expresado en USD/MBTUD y en $/m3. |
| 9 | Precio de los comercializadores que compran en la misma fuente utilizado para la comparación. |
| 10 | Cantidades utilizadas por los Usuarios Regulados de Demanda Esencial y por los Usuarios Regulados de Demanda No Esencial en el mes de aplicación (MBTU, m3). |
| 11 | Punto de entrega del gas al comercializador. |
| 12 | Porcentaje de participación de las compras de gas en el mercado primario en relación con las compras totales de gas en el mercado mayorista para la atención de la demanda regulada. |
| 13 | Contrato del mercado secundario con el cual se atendió la demanda regulada del Mercado Relevante de Comercialización. |
| 14 | Modalidad contractual. |
| 15 | Identificación del contrato primario de donde proviene la venta del gas en el mercado secundario. |
| 16 | Precio del contrato expresado en USD/MBTUD y en $/m3. |
| 17 | Cantidades compradas (MBTUD, MBTU/mes, m3/mes) |
| 18 | Cantidades utilizadas (MBTU/mes, m3/mes). |
| 19 | Punto de entrega del gas al comercializador. |
| 20 | Porcentaje de participación de las compras de gas en el mercado secundario en relación con las compras totales de gas en el mercado mayorista para la atención de la demanda regulada. |
| 21 | Demandas diarias por usuario de Demanda Regulada Esencial y de Demanda Regulada No Esencial. |
| 22 | Demanda real del mes. |
| 23 | Valor del porcentaje de dt,i,j aplicable en el mes. |
| 24 | Límite superior de la banda de acotación para las compras de gas expresada en MBTU/mes y m3/mes. |
| 25 | Límite inferior de la banda de acotación para las compras de gas expresada en MBTU/mes y m3/mes. |
| 26 | Demanda real y su posición frente a la banda de acotación. |
| 27 | Excedentes de gas para el mes m. |
| 28 | Cantidades vendidas de los excedentes de gas en el mercado secundario o en el mecanismo de UoVCP. |
| 29 | Cantidad trasladada en la variable G, descontando las ventas y el 50% que debe asumir el comercializador. |
| 30 | Otros. |
COMPONENTE T
| 31 | Tramos de transporte que corresponden a la ruta utilizada desde el punto de entrega del gas hasta el punto de salida para la atención de la demanda regulada del Mercado Relevante de Comercialización. |
| 32 | Cada uno de los contratos del mercado primario adquiridos para la atención de la demanda regulada del Mercado Relevante de Comercialización en el mes de aplicación. |
| 33 | Modalidad de contrato. |
| 34 | Vendedor. |
| 35 | Capacidad de transporte contratada para la Demanda Regulada Esencial y Demanda Regulada No Esencial del Mercado Relevante de Comercialización, en cada uno de los contratos (KPCD, KPC y m3). |
| 36 | Parejas de cargos de transporte contratadas y aplicadas. |
| 37 | Cantidades de capacidad de transporte de cada tramo efectivamente utilizadas para la Demanda Regulada Esencial y Demanda Regulada No Esencial en el mes de aplicación. |
| 38 | Cada uno de los contratos por tramo o ruta del mercado secundario con el cual se atendió la demanda regulada del Mercado Relevante de Comercialización. |
| 39 | Identificación del contrato primario de donde proviene la venta de gas en el mercado secundario. |
| 40 | Precio del contrato expresado en $/KPCD, $/KPC y $/m3. |
| 41 | Cantidades de capacidad utilizadas en KPCD, KPC/mes y m3/mes. |
| 42 | Límite superior de la banda de acotación para las compras de capacidad de transporte expresada en KPCD, KPC/mes y m3/mes. |
| 43 | Límite inferior de la banda de acotación para las compras de capacidad de transporte expresada en KPCD, KPC/mes y m3/mes. |
| 44 | Demanda real y su posición frente a la banda de acotación. |
| 45 | Excedentes de capacidad de transporte para el mes m. |
| 46 | Cantidades vendidas de los excedentes de capacidad de transporte en el mercado secundario o en el mecanismo de UoVCP. |
| 47 | Cantidad trasladada en la variable T, descontando las ventas y el 50% que debe asumir el comercializador. |
| 48 | Puntos de compresión (EDS Madres y/o Campos aislados). |
| 49 | Transporte terrestre de GNC: |
| 50 | Sistemas de almacenamiento y Puntos de descompresión de GNC (EDS Hijas) y que conecta al sistema de distribución. |
| 51 | Puntos de licuefacción, transporte terrestre de GNL. |
| 52 | Sistemas de almacenamiento y puntos de regasificación que conectan al sistema de distribución. |
| 53 | Otros |
COMPONENTE D
| 54 | Punto de entrega del gas por parte del transportador al distribuidor o punto de entrada al sistema de distribución del Mercado Relevante de Comercialización. |
| 55 | Municipio donde se entrega en Gas por parte del transportador, cuando se entrega en varios municipios se deben incluir varias líneas. |
| 56 | Cargos de distribución actualizados y aplicados a cada usuario regulado, según si pertenece a usuarios residenciales o de uso diferente al residencial al rango de la canasta de tarifas. |
| 57 | Variables utilizadas de IPC, IPP y Poder calorífico para la actualización de los cargos de distribución en el mes de aplicación. |
| 58 | Información detallada para el cálculo de pérdidas en el mes de aplicación. |
| 59 | Otros. |
COMPONENTE C
| 60 | Componente fijo del costo de comercialización actualizado al mes de aplicación. |
| 61 | Componente variable del costo de comercialización según mes de aplicación. |
| 62 | Valor de riesgo de cartera utilizado en el mes de aplicación según metodología de comercialización. |
| 63 | Otros. |
OTRA INFORMACIÓN
| 64 | Valor total del Cuv y Cuf en el mes de aplicación. |
| 65 | Subsidios y/ocontribuciones aplicables a cada tipo de usuario. |
| 66 | Discriminación de las variables de las opciones tarifarias aplicadas y sus diferencias con lo que sería el Cuv real. |
| 67 | Otra. |
PARÁGRAFO. El reporte de la información de que trata este artículo se deberá efectuar conforme a los formatos y medios que para estos efectos establezca la Superintendencia de Servicios Públicos Domiciliarios.
COSTO DE PÉRDIDAS.
ARTÍCULO 36. COSTO DE PÉRDIDAS. Las pérdidas de Gas natural trasladables al usuario final se determinarán de conformidad con el procedimiento definido en la Resolución CREG 067 de 1995 (Código de Distribución de Gas Combustible por Redes), adicionada mediante la Resolución CREG 127 de 2013 y modificado por la Resolución CREG 033 de 2015 y aquellas que la aclaren, modifiquen o sustituyan.
OTRAS DISPOSICIONES.
ARTÍCULO 37. PUBLICIDAD. Mensualmente y, antes de su aplicación, el comercializador hará pública en forma simple y comprensible, a través de los medios de amplia circulación en los municipios donde preste el servicio, las tarifas que aplicará a sus usuarios.
Dicha publicación incluirá, entre otra información: Tipo de usuario regulado, costo de compras del gas natural
, costo de transporte de gas natural
, el valor de pérdidas (
); así como los valores calculados para el cargo de distribución
y la canasta de tarifas, los cargos de comercialización
, los cuales serán publicados en moneda nacional.
Los nuevos valores deberán ser reportados por el comercializador al Sistema Único de Información, SUI, administrado por la Superintendencia de Servicios Públicos Domiciliarios.
PARÁGRAFO. El comercializador deberá suministrar en la factura el precio por kilovatio hora equivalente del energético comercializado.
ARTÍCULO 38. AUTORIZACIÓN PARA FIJAR TARIFAS. Dentro del régimen de libertad regulada, previsto en la Ley 142 de 1994, las empresas comercializadoras de gas combustible a las que se refiere la presente resolución, podrán aplicar las Fórmulas Tarifarias Generales a partir del mes siguiente a la entrada en vigencia de la presente resolución.
ARTÍCULO 39. VIGENCIA. La Fórmula Tarifaria General establecida en esta resolución entrará en vigencia a partir de la fecha de la publicación de ésta en el Diario Oficial y regirá por un período de cinco (5) años; vencido dicho período, esta fórmula continuará rigiendo mientras la Comisión no fije una nueva.
ARTÍCULO 40. DEROGATORIAS. Con esta resolución se derogan todas las disposiciones que le sean contrarias.
PUBLÍQUESE Y CÚMPLASE
1. “Por el cual se establecen mecanismos para promover el aseguramiento del abastecimiento nacional de gas natural y se dictan otras disposiciones”.
2. “Por el cual se adiciona el decreto único reglamentario del sector administrativo de minas y energía, Decreto 1073 de 2015, con lineamientos orientados a aumentar la confiabilidad y seguridad de abastecimiento de gas natural”.
3. “Por el cual se modifica el Decreto número 1073 de 2015, con el fin de adoptar medidas de política pública orientadas a viabilizar las fuentes de gas natural costa afuera y la importación de gas natural, y se dictan otras disposiciones.”
4. “Por la cual se establecen reglas generales de comportamiento de mercado para los agentes que desarrollen las actividades de los servicios públicos domiciliarios de energía eléctrica y gas combustible.
5. La Corte Constitucional expresó:
Sentencia C-186 de 2011. “Los poderes de intervención del Estado en materia de servicios públicos en general llevan aparejados la facultad de restringir las libertades económicas de los particulares que concurren a su prestación. Esta facultad se desprende a su vez de la amplia libertad de configuración de legislador en materia económica y especialmente cuando se trata de la regulación de los servicios públicos, la cual ha sido puesta de relieve por la jurisprudencia constitucional.
(...)
La intervención del órgano regulador en ciertos casos supone una restricción de la autonomía privada y de las libertades económicas de los particulares que intervienen en la prestación de los servicios públicos. Sin embargo, tal limitación se justifica porque va dirigida a conseguir fines constitucionalmente legítimos y se realiza dentro del marco fijado por la ley.
La intervención estatal en el ámbito de la autonomía de la voluntad privada y de las libertades económicas no tiene que hacerse directamente por medio de la ley, pues precisamente el artículo 334 constitucional señala que el Estado intervendrá “por mandato de la ley (...) en los servicios públicos y privados”, en esa medida corresponde a la ley definir finalidades, los instrumentos y las facultades de intervención del órgano regulador.




