RESOLUCIÓN 502 099 DE 2024
(octubre 10)
Diario Oficial No. 53.055 de 11 de marzo de 2025
Diario Oficial disponible en la web de la Imprenta Nacional de Colombia el 12 de marzo de 2025
COMISIÓN DE REGULACIÓN DE ENERGÍA Y GAS
Por la cual se aprueba el Cargo de Distribución por uso del Sistema de Distribución y del Componente Fijo del Costo de Comercialización de Gas Licuado de Petróleo (GLP) por redes de tubería para el Mercado Relevante de Distribución conformado por los municipios de Arboleda, La Florida, Leiva y San Pedro de Cartago en el departamento de Nariño, según solicitud tarifaria presentada por la empresa SUPERGAS DE NARIÑO S. A. S. E.S.P.
LA COMISIÓN DE REGULACIÓN DE ENERGÍA Y GAS,
en ejercicio de sus atribuciones constitucionales y legales, en especial las conferidas por las Leyes 142 de 1994, y en desarrollo de los Decretos números 2253 de 1994 y 1260 de 2013; y,
CONSIDERANDO QUE:
El numeral 14.28 del artículo 14 de la Ley 142 de 1994 definió el servicio público domiciliario de gas combustible como “… el conjunto de actividades ordenadas a la distribución de gas combustible, por tubería u otro medio, desde un sitio de acopio de grandes volúmenes o desde un gasoducto central hasta la instalación de un consumidor final, incluyendo su conexión y medición”.
Según lo dispuesto por el artículo 28 de la Ley 142 de 1994, la construcción y operación de redes para la distribución de gas, así como el señalamiento de las tarifas por uso, se regirán exclusivamente por esa ley.
El numeral 73.11 del artículo 73 de la Ley 142 de 1994 atribuyó a la Comisión de Regulación de Energía y Gas, CREG, la competencia para establecer las fórmulas para la fijación de las tarifas del servicio público domiciliario de gas combustible.
Según lo dispuesto por el numeral 88.1 del artículo 88 de la Ley 142 de 1994, la CREG podrá establecer topes máximos y mínimos tarifarios, de obligatorio cumplimiento por parte de las empresas.
El artículo 126 de la Ley 142 de 1994, modificado por el artículo 52 de la Ley 2099 de 2021, establece que, vencido el período de vigencia de las fórmulas tarifarias, estas continuarán rigiendo mientras la Comisión no fije las nuevas.
Mediante la Resolución CREG 137 de 2013 se establecieron las fórmulas tarifarias generales para la prestación del servicio público domiciliario de gas combustible por redes de tubería a usuarios regulados.
En el artículo 4o, de la mencionada resolución, se fijaron las Fórmulas Tarifarias Generales aplicables a los usuarios regulados del servicio público domiciliario de gas combustible por redes de tubería y, en el artículo 12, corregido por el artículo 1o de la Resolución CREG 008 de 2014, se dispuso que el costo por uso de los Sistemas de Distribución corresponderá al cargo de distribución que ha sido aprobado para el Mercado Relevante de Distribución de acuerdo con el tipo de usuario y la Resolución CREG 011 de 2003 o aquellas que la aclaren, modifiquen o sustituyan es decir, la Resolución CREG 202 de 2013(1), en concordancia con las Resoluciones números 138 de 2014, 090 y 132 de 2018, y 011 de 2020, en conjunto, la Metodología de Distribución.
En el artículo 14 de la Resolución CREG 137 de 2013, se dispuso que el Costo de Comercialización corresponderá a los cargos de comercialización fijo y variable que hayan sido aprobados para el Mercado Relevante de Comercialización de acuerdo con la Metodología establecida en la Resolución CREG 011 de 2003 o aquellas que la aclaren, modifiquen o sustituyan, es decir la Resolución CREG 102 003 de 2022, la Metodología de Comercialización.
Mediante Circular CREG 030 de 2019 se divulgó el procedimiento que se debe tener en cuenta para el trámite de solicitudes tarifarias para la aprobación de cargos de distribución de gas combustible por redes de tubería.
El día 19 de agosto de 2020, la Dirección Ejecutiva de la Comisión expidió la Circular CREG 77 de 2020, en donde se suministró las listas de chequeo indicativas actualizadas que ha utilizado la Comisión para la verificación de la completitud de las solicitudes de aprobación de cargos de distribución para el siguiente periodo tarifario, dirigida a las empresas distribuidoras de gas combustible por redes de tuberías que deben presentar solicitudes de aprobación de cargos para mercados relevantes de distribución para el siguiente periodo tarifario.
En la Resolución CREG 102 002 de 2022 se establecen los valores de la Tasa de Descuento para la actividad de distribución de gas combustible.
El artículo 5o de la Resolución CREG 102 003 de 2022 establece que: El costo máximo de comercialización está conformado por un componente fijo (Cf), que será aprobado por la Comisión, y un componente variable (Cv), que dependerá del consumo de los Usuarios Regulados del Mercado Relevante de Comercialización, y se calculará por el Comercializador Minorista con estricta sujeción a lo establecido en la presente resolución. Los costos eficientes del servicio se remunerarán con base en los dos componentes.
De acuerdo con la fórmula prevista en el artículo 6o de la Resolución CREG 102 003 de 2022, esta Comisión únicamente aprobará el Componente Fijo del Costo de Comercialización (Cf).
De conformidad con lo establecido en el numeral 5.2 del artículo 5o de la Resolución CREG 202 de 2013, en concordancia con las Resoluciones CREG 138 de 2014, 090 y 132 de 2018 y 011 de 2020, la empresa SUPERGAS DE NARIÑO S. A. S. E.S.P. (en adelante, SUPERGAS DE NARIÑO), a través de la comunicación radicada en la CREG bajo el número E2022016241 del 30 de diciembre de 2022, presentó solicitud tarifaria para la aprobación de Cargos de Distribución y del Componente Fijo del Costo de Comercialización de GLP, por redes en el Mercado Relevante de distribución conformado por los siguientes municipios:
Cuadro 1. Mercado Relevante de Distribución Propuesto

A través del aplicativo Apligas, dispuesto por le CREG para el correspondiente reporte de información de solicitudes tarifarias, la empresa SUPERGAS DE NARIÑO confirmó su solicitud bajo el número 2912.
El artículo 4o de la Metodología de Comercialización contenida en la Resolución número 102 003 de 2022 establece que, el Mercado Relevante de Comercialización para el siguiente periodo tarifario deberá corresponder en su conformación al mismo Mercado Relevante de Distribución que se apruebe para el Siguiente Período Tarifario.
En la solicitud presentada se allegaron las proyecciones de demanda, las proyecciones de gastos de administración operación y mantenimiento, AOM, y el programa de nuevas inversiones, clasificadas según el listado de unidades constructivas establecido en el Anexo número 8 de la Resolución CREG 202 de 2013, en concordancia con las resoluciones CREG 138 de 2014, 090 y 132 de 2018 y 011 de 2020. Así mismo, mediante radicados CREG E2023001238 y E2023001317 del 30 de enero de 2023, la empresa SUPERGAS DE NARIÑO, presentó la proyección de las inversiones y de gastos AOM, y la propuesta de cargo de comercialización, en concordancia con las disposiciones de la Metodología de Comercialización fijadas en la Resolución CREG 102 003 de 2022, conforme a lo solicitado.
La empresa SUPERGAS DE NARIÑO manifestó en su solicitud que el proyecto no cuenta con recursos públicos para financiar la construcción de redes de distribución.
La Comisión verificó el cumplimiento de los requisitos establecidos en la Resolución CREG 202 de 2013, en concordancia con las resoluciones CREG 138 de 2014, 090 y 132 de 2018, y 011 de 2020, y en la Resolución CREG 102 003 de 2022 evidenciando que la información remitida con la solicitud presentada por la empresa SUPERGAS DE NARIÑO, no era suficiente para iniciar la actuación administrativa. En consecuencia, mediante comunicación con radicado CREG S2023003009 del 23 de junio de 2023, se le solicitó a SUPERGAS DE NARIÑO remitir la información faltante.
Mediante radicado E2023013388 del 14 de julio de 2023, la empresa SUPERGAS DE NARIÑO, atendió al requerimiento remitiendo la información solicitada por esta Comisión.
La Comisión verificó el cumplimiento de los requisitos establecidos en la Resolución CREG 202 de 2013, en concordancia con las Resoluciones CREG 138 de 2014, 090 y 132 de 2018, y 011 de 2020, y en la Resolución CREG 102 003 de 2022, evidenciando que la información remitida con la solicitud y presentada por la empresa SUPERGAS DE NARIÑO era suficiente para iniciar la actuación administrativa.
Mediante Auto número 0000099 de 2022 proferido el 4 de agosto de 2023, y comunicado a la empresa SUPERGAS DE NARIÑO S. A. S E.S.P., mediante radicado CREG S2023003597 del 4 de agosto de 2023, la Dirección Ejecutiva de la Comisión dispuso iniciar la respectiva actuación administrativa de aprobación del Mercado Relevante conformado por los municipios de Arboleda, La Florida, Leiva y San Pedro de Cartago en el departamento de Nariño, y de los Cargos de Distribución y del Componente Fijo del Costo de Comercialización de GLP por redes de tubería del mismo.
De acuerdo con lo establecido en Auto de Inicio número 0000099 de la actuación administrativa y, según lo dispuesto en el artículo 37 del Código de Procedimiento Administrativo y de lo Contencioso Administrativo, C.P.A.C.A., con el fin de que los terceros interesados pudieran hacerse parte en la respectiva actuación, se publicó en el Diario Oficial número 52419 del 4 de agosto de 2023, el Aviso número 0000196 del 4 de agosto de la misma vigencia, con el resumen de la solicitud tarifaria presentada por SUPERGAS DE NARIÑO para la aprobación de Cargos de Distribución y Comercialización de GLP por redes de tubería.
Dado que el sistema de distribución presentado por la empresa SUPERGAS DE NARIÑO para el mercado relevante solicitado cuenta con red primaria y secundaria y todos sus usuarios están conectados a la red secundaria, se determinará para este mercado relevante un solo cargo de distribución que será aplicable a los usuarios de uso residencial y usuarios diferentes al uso residencial. Lo anterior, de conformidad con el numeral 9.3 del artículo 9o de la Resolución CREG 202 de 2013, en concordancia con las Resoluciones CREG 138 de 2014, 090 y 132 de 2018 y 011 de 2020, establece lo siguiente:
“9.3. CARGOS DE DISTRIBUCIÓN EN SISTEMAS DE DISTRIBUCIÓN QUE NO TIENEN CONECTADOS USUARIOS A LA RED PRIMARIA.
Cuando un Sistema de Distribución tenga red primaria y secundaria, pero todos los usuarios estén conectados a la red secundaria se podrá determinar en ese Mercado Relevante un solo cargo de distribución que será aplicable a usuarios residenciales y a usuarios diferentes al de uso residencial. La canasta de tarifas de estos mercados debe excluir a los usuarios residenciales”.
Dentro del trámite de la actuación administrativa, y con el fin de contar con los elementos de juicio suficientes para decidir de fondo la misma, con fundamento en lo dispuesto, tanto en el artículo 40 del C.P.A.C.A, como en el artículo 108 de la Ley 142 de 1994, mediante Auto número 00000111 del 4 de septiembre de 2023 se decretó la práctica de pruebas de oficio.
El auto proferido dentro de la actuación administrativa fue atendido por SUPERGAS DE NARIÑO mediante radicado CREG E2023017310 del 28 de septiembre de 2023.
Como resultado del análisis de la información presentada a la Comisión por la empresa SUPERGAS DE NARIÑO, en desarrollo de la correspondiente actuación administrativa, se realizaron los ajustes correspondientes para realizar el cálculo del Cargo de Distribución de que trata la Resolución CREG 202 de 2013, en concordancia con las Resoluciones CREG 138 de 2014, 090 y 132 de 2018 y 011 de 2020, así como también, los ajustes correspondientes para realizar el cálculo del Componente Fijo del Costo de Comercialización de que trata el artículo 6o de la Resolución CREG 102 003 de 2022.
El análisis de la solicitud tarifaria y los cálculos correspondientes efectuados por parte de la Comisión, así como las consideraciones que soportan la presente resolución están contenidos en el documento CREG 902 074 de 2024, el cual hace parte integral de la presente resolución.
Una vez diligenciado el cuestionario de que trata el artículo 2.2.2.30.5 del Decreto número 1074 de 2015, se concluyó que el acto administrativo propuesto no tiene incidencia sobre la libre competencia y, por ende, no fue remitido a la Superintendencia de Industria y Comercio (SIC), para efectos de lo establecido en el artículo 7o de la Ley 1340 de 2009. La respuesta al cuestionario se encuentra en el Documento CREG 902 074 de 2024, que hace parte integral de la presente resolución.
Con base en lo anterior, la Comisión de Regulación de Energía y Gas, en su sesión número 1346 del 10 de octubre de 2024, aprobó expedir la presente resolución y, en consecuencia,
RESUELVE:
CARGO DE DISTRIBUCIÓN.
ARTÍCULO 1o. MERCADO RELEVANTE DE DISTRIBUCIÓN PARA EL SIGUIENTE PERÍODO TARIFARIO. Conforme a lo definido en el numeral 5.2 del artículo 5o de la Metodología contenida en la Resolución CREG 202 de 2013, en concordancia con las Resoluciones número 138 de 2014, 090 y 132 de 2018, y 011 de 2020, se aprueba el Mercado Relevante de Distribución para el siguiente período tarifario correspondiente a un Nuevo Mercado Relevante de Distribución conformado por los siguientes municipios:
Cuadro 2. Mercado Relevante Aprobado

ARTÍCULO 2o. DEMANDAS DE VOLUMEN. Para el cálculo tarifario se utilizo la Demanda de Volumen para el horizonte de proyección presentada en el Anexo 2 de esta Resolución.
ARTÍCULO 3o. INVERSIÓN BASE. La Inversión Base para determinar los cargos de distribución para el Mercado Relevante de Distribución definido en el artículo 2o de esta resolución se compone como se indica a continuación:
3.1. Programa de Nuevas Inversiones para Municipios Nuevos (IPNI). El Programa de Nuevas Inversiones corresponde a un valor de $3.556.900.001 (pesos colombianos de 31 de diciembre de 2022) y su descripción se presenta en el Anexo 1 de la presente resolución.
En aplicación de la Resolución CREG 202 de 2013, en concordancia con las Resoluciones CREG 138 de 2014, 090 y 132 de 2018 y 011 de 2020, se calcularon las siguientes variables principales para la componente que remunera la inversión base aplicable a usuarios de uso residencial y a usuarios diferentes a los de uso residencial:
Cuadro 3. Valor de Inversiones y Demanda para el Mercado Relevante Aprobado Según Tipo de Red

ARTÍCULO 4o. GASTOS DE ADMINISTRACIÓN, OPERACIÓN Y MANTENIMIENTO (AOM). Una vez ajustada la proyección de gastos de AOM reportada por la empresa con el menor de los crecimientos anuales entre el del gasto de AOM y el de la demanda, se determina un porcentaje de gastos de AOM eficiente a reconocer para el mercado relevante de distribución para el siguiente período tarifario de 7.50% y un factor de ajuste
de 84.42%. En el Anexo 3 de esta Resolución se presenta los gastos de AOM ajustados para cada año del horizonte de proyección:
Cuadro 4. Valor de Gastos AOM para Mercado Relevante Aprobado.

En aplicación de la Resolución CREG 202 de 2013, en concordancia con las Resoluciones CREG 138 de 2014, 090 y 132 de 2018 y 011 de 2020, se calcularon las siguientes variables principales para la componente que remunera los gastos de AOM, aplicable a usuarios de uso residencial y a usuarios diferentes a los de uso residencial:
Cuadro 5. Valor de Gastos AOM y Demanda para Mercado Relevante Aprobado según Tipo de Red

ARTÍCULO 5o. CARGO DE DISTRIBUCIÓN APLICABLE A LOS USUARIOS DE USO RESIDENCIAL Y USUARIOS DIFERENTES A LOS DE USO RESIDENCIAL. A partir de la vigencia de la presente resolución, el Cargo de Distribución aplicable a los usuarios de uso residencial y a usuarios diferentes a los de uso residencial en el Mercado Relevante definido en el artículo 1o para recuperar los costos de inversión y los gastos de AOM para la distribución domiciliarios de gas combustible por redes de tuberia se fija de la siguiente manera:
Cuadro 6. Cargos de Distribución a Usuarios de Uso Residencial

PARÁGRAFO. El Cargo de Distribución establecido en el presente artículo se actualizará de conformidad con lo establecido en el artículo 12 de la Metodología contenida en la Resolución CREG 202 de 2013, en concordancia con las Resoluciones CREG 138 de 2014, 090 y 132 de 2018 y 011 de 2020.
ARTÍCULO 6o. VIGENCIA DE LOS CARGOS DE DISTRIBUCIÓN APLICABLES A LOS USUARIOS DE USO RESIDENCIAL Y A USUARIOS DIFERENTES A LOS DE USO RESIDENCIAL. Los Cargos de Distribución aplicables a los Usuarios de Uso Residencial y a los Usuarios Diferentes a los de Uso Residencial estarán vigentes por un término de cinco (5) años contados desde la fecha en que quede en firme la presente Resolución. Vencido el período de vigencia de los cargos regulados, estos continuarán rigiendo hasta que la Comisión apruebe los nuevos, tal como está previsto en el artículo 126 de la Ley 142 de 1994, modificado por el artículo 52 de la Ley 2099 de 2021.
PARÁGRAFO. Conforme a lo dispuesto en el parágrafo del artículo 7o de la Resolución CREG 202 de 2013, si transcurrido un (1) año desde que haya quedado en firme la aprobación de los cargos, el Distribuidor no ha iniciado la prestación del servicio, la presente Resolución particular de aprobación de cargos perderá su vigencia y otro Distribuidor podrá solicitar un nuevo cargo para este Mercado Relevante.
Se entenderá que el Distribuidor no ha iniciado la construcción del respectivo Sistema de Distribución si, doce (12) meses después de que hayan quedado en firme los cargos aprobados en la presente Resolución, no ha ejecutado al menos un cincuenta por ciento (50%) de las inversiones propuestas para el primer año de inversión.
Para estos efectos, dentro de los quince (15) días hábiles siguientes a la fecha en que quede en firme la presente Resolución, el Distribuidor deberá remitir a la Superintendencia de Servicios Públicos Domiciliarios, SSPD, con copia a la CREG, un cronograma en donde se especifique la fecha de inicio de la construcción del Sistema de Distribución, hasta la fecha de su entrada en operación, a efectos de que la SSPD pueda llevar a cabo sus funciones de inspección, vigilancia y control dispuestas en el artículo 79 de la Ley 142 de 1994. Así mismo, este cronograma deberá contener el programa de inicio, avance y ejecución de las inversiones propuestas y reconocidas para el primer año de acuerdo con lo previsto en el Anexo 1 de la presente resolución.
De acuerdo con lo dispuesto en el inciso anterior, la fecha de inicio del cronograma corresponderá a la firmeza de la resolución de los cargos aprobados.
Igualmente, el Distribuidor deberá enviar un informe semestral que contenga el porcentaje de avance de ejecución de la obra con las inversiones realmente ejecutadas en comparación con el programa de inversión aprobado.
CARGO DE COMERCIALIZACIÓN.
ARTÍCULO 7o. MERCADO RELEVANTE DE COMERCIALIZACIÓN PARA EL SIGUIENTE PERÍODO TARIFARIO. Conforme a lo definido en el artículo 4o de la Resolución CREG 102 003 de 2022, el Mercado Relevante de Comercialización para el Siguiente Período Tarifario que se aprueba corresponde en su conformación al mismo Mercado Relevante de Distribución para el Siguiente Período Tarifario aprobado en el artículo 1o de la presente resolución.
ARTÍCULO 8o. COMPONENTE FIJO DEL COSTO DE COMERCIALIZACIÓN APLICABLE AL MERCADO RELEVANTE CONFORMADO POR LOS MUNICIPIOS DE ARBOLEDA, LA FLORIDA, LEIVA Y SAN PEDRO DE CARTAGO EN EL DEPARTAMENTO DE NARIÑO. A partir de la vigencia de la presente resolución, el Componente Fijo del Costo de Comercialización aplicable para el mercado relevante de Comercialización para el siguiente período tarifario, para recuperar los costos de inversión y los gastos de AOM para la comercialización minorista de gas por redes de tubería, se fija de la siguiente manera:
Cuadro 7. Componente Fijo del Costo de Comercialización

PARÁGRAFO. El cargo asociado al Componente Fijo de los Costos de Comercialización del presente artículo se actualizará de conformidad con lo establecido en el artículo 10 de la Resolución CREG 102 003 de 2022.
ARTÍCULO 9o. INVERSIÓN. La inversión con base en la cual se determinó el Componente Fijo aprobado en el artículo 8 de la presente Resolución, para recuperar los costos de inversión de la comercialización minorista de GLP por redes de tubería para el mercado relevante, se presenta en el Anexo 4. El valor presente de las inversiones determinado con nivel de eficiencia es de $ 5,032,596.77 ($ de diciembre de 2022).
ARTÍCULO 10. GASTOS AOM. Los gastos de AOM ajustados con base en los cuales se determinó el Componente Fijo aprobado en el artículo 8o de la presente resolución se presentan en el Anexo 5. El valor presente de los gastos de AOM con nivel de eficiencia determinado es $ 101,200,495.33 ($ de diciembre de 2022).
ARTÍCULO 11. APLICACIÓN DEL CARGO. Las empresas prestadoras de servicios públicos domiciliarios debidamente constituidas y registradas en el SUI como comercializadoras de gas combustible, que decidan prestar el servicio público domiciliario de Gas Licuado de Petróleo (GLP), por redes, a usuarios regulados del Mercado Relevante conformado por los municipios de Arboleda, La Florida, Leiva y San Pedro de Cartago en el departamento de Nariño, deberán aplicar el Componente Fijo de Comercialización aprobado en el artículo 8o de este mismo acto administrativo.
ARTÍCULO 12. VIGENCIA DE LOS NUEVOS CARGOS DE COMERCIALIZACIÓN. Los cargos de comercialización determinados con base en la Resolución CREG 102 003 de 2022, integrados por el Componente Fijo y por el Componente Variable, estarán vigentes por un término de cinco (5) años contados desde la fecha en que quede en firme la presente resolución. Vencido el período de vigencia de los cargos regulados, estos continuarán rigiendo hasta que la Comisión apruebe los nuevos, tal como está previsto en el artículo 126 de la Ley 142 de 1994, modificado por el artículo 52 de la Ley 2099 de 2021.
En el evento en que la presente resolución de aprobación de cargos pierda su vigencia de acuerdo con lo dispuesto en su artículo 6o, en consecuencia, los cargos de comercialización perderán también su vigencia.
FÓRMULA TARIFARIA.
ARTÍCULO 13. FÓRMULA TARIFARIA. La Fórmula Tarifaria aplicable al mercado relevante definido en los artículos 1o y 6o de la presente resolución corresponderá a la establecida en el artículo 4o de la Resolución CREG 137 de 2013 o aquella que la modifique, adicione o sustituya.
ARTÍCULO 14. VIGENCIA DE LA FÓRMULA TARIFARIA. La fórmula tarifaria regirá a partir de la fecha en que la presente resolución quede en firme, y durante el término de vigencia de las fórmulas tarifarias definidas en la Resolución CREG 137 de 2013. Vencido este período, las fórmulas tarifarias continuarán rigiendo mientras la Comisión no fije las nuevas, tal como está previsto en el artículo 126 de la Ley 142 de 1994, modificado por el artículo 52 de la Ley 2099 de 2021.
OTRAS DISPOSICIONES.
ARTÍCULO 15. NOTIFICACIÓN Y RECURSOS. La presente resolución deberá notificarse al representante legal de la empresa SUPERGAS DE NARIÑO S. A. S. E.S.P., y una vez en firme, deberá publicarse en el Diario Oficial.
Contra las disposiciones contenidas en esta Resolución procede el recurso de reposición, el cual podrá interponerse ante la Dirección Ejecutiva de la CREG dentro de los cinco (5) días hábiles siguientes a la fecha de su notificación, conforme lo dispuesto en el artículo 113 de la Ley 142 de 1994.
Notifíquese, publíquese y cúmplase.
Dada en Bogotá, D. C., a 10 de octubre de 2024.
El Presidente,
Ómar Andrés Camacho Morales,
Ministro de Minas y Energía.
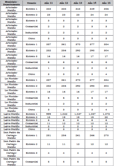
PROYECCIÓN DE LA DEMANDA.
NÚMERO DE CONEXIONES

![]()

![]()



Solicitud Apligas No. 2912
Todos los usuarios conectados en red secundaria
VOLUMEN (m3)




El Presidente,
Ómar Andrés Camacho Morales,
Ministro de Minas y Energía.
El Director Ejecutivo,
Antonio Jiménez Rivera
PROYECCIÓN DE GASTOS AOM PARA LA ACTIVIDAD DE DISTRIBUCIÓN (ADMINISTRACIÓN, OPERACIÓN Y MANTENIMIENTO).

El Presidente,
Ómar Andrés Camacho Morales,
Ministro de Minas y Energía.
El Director Ejecutivo,
Antonio Jiménez Rivera
PROGRAMA DE NUEVAS INVERSIONES PARA LA ACTIVIDAD DE COMERCIALIZACIÓN.

GASTOS DE ADMINISTRACIÓN, OPERACIÓN Y MANTENIMIENTO - AOM PARA LA ACTIVIDAD DE COMERCIALIZACIÓN.

El Presidente,
Ómar Andrés Camacho Morales,
Ministro de Minas y Energía.
El Director Ejecutivo,
Antonio Jiménez Rivera
NOTAS AL FINAL
1. Por la cual se establecen los criterios generales para remunerar la actividad de distribución de gas combustible por redes de tubería y se dictan otras disposiciones.
2. Se establecieron los criterios generales para remunerar la actividad de comercialización minorista de gas combustible a usuarios regulados y se establecieron las reglas para la solicitud y aprobación de los cargos tarifaros correspondientes.