RESOLUCIÓN 502 057 DE 2024
(mayo 11)
<Fuente: Archivo interno entidad emisora>
Diario Oficial No. 52.960 de 4 de diciembre de 2024
COMISIÓN DE REGULACIÓN DE ENERGÍA Y GAS - CREG
Por la cual se aprueba el Cargo de Distribución por uso del Sistema de Distribución de Gas Licuado de Petróleo (GLP) por redes de tubería para el mercado relevante conformado por los municipios de Curillo y El Doncello, departamento del Caquetá.
LA COMISIÓN DE REGULACIÓN DE ENERGÍA Y GAS
En ejercicio de sus atribuciones constitucionales y legales, en especial las conferidas por la Ley 142 de 1994 y, en desarrollo de los Decretos 2253 de 1994 y 1260 de 2013, y
CONSIDERANDO QUE:
El numeral 14.28 del Artículo 14 de la Ley 142 de 1994 definió el servicio público domiciliario de gas combustible como “… el conjunto de actividades ordenadas a la distribución de gas combustible, por tubería u otro medio, desde un sitio de acopio de grandes volúmenes o desde un gasoducto central hasta la instalación de un consumidor final, incluyendo su conexión y medición”.
Según lo dispuesto por el Artículo 28 de la Ley 142 de 1994, la construcción y operación de redes para la distribución de gas, así como el señalamiento de las tarifas por uso, se regirán exclusivamente por esa Ley.
El Numeral 73.11 del Artículo 73 de la Ley 142 de 1994 atribuyó a la Comisión de Regulación de Energía y Gas (en adelante “CREG” o “Comisión”) la competencia para establecer las fórmulas para la fijación de las tarifas del servicio público domiciliario de gas combustible.
Según lo dispuesto por el Numeral 88.1 del Artículo 88 de la Ley 142 de 1994, la Comisión podrá establecer topes máximos y mínimos tarifarios, de obligatorio cumplimiento por parte de las empresas.
El Artículo 126 de la Ley 142 de 1994, modificado por el artículo 52 de la Ley 2099 de 2021, establece que las fórmulas tarifarias tendrán una vigencia de cinco años y que, vencido el periodo de vigencia de las mismas, éstas continuarán rigiendo mientras la Comisión no fije las nuevas.
Mediante la Resolución CREG 137 de 2013 se establecieron las fórmulas tarifarias generales para la prestación del servicio público domiciliario de gas combustible por redes de tubería a usuarios regulados.
En el artículo 4 de la mencionada resolución, se fijaron las Fórmulas Tarifarias Generales aplicables a los usuarios regulados del servicio público domiciliario de gas combustible por redes de tubería y, en el artículo 12, corregido por el artículo 1 de la Resolución CREG 008 de 2014, se dispuso que el costo por uso de los Sistemas de Distribución corresponderá al cargo de distribución que ha sido aprobado para el Mercado Relevante de Distribución de acuerdo con el tipo de usuario y la Resolución CREG 011 de 2003 o aquellas que la aclaren, modifiquen o sustituyan es decir, la Resolución CREG 202 de 2013, en concordancia con las Resoluciones CREG 138 de 2014, 090 y 132 de 2018, y 011 de 2020, en conjunto, la Metodología de Distribución.
Mediante la Resolución CREG 093 de 2016, se revocó parcialmente la Resolución CREG 202 de 2013, modificada por las Resoluciones CREG 138 de 2014 y 125 de 2015.
En consecuencia, conforme a los preceptos constitucionales superiores y a las competencias definidas en la Ley 142 de 1994, y con la finalidad última de garantizar la prestación del servicio en los mercados relevantes correspondientes a las solicitudes tarifarias de nuevos mercados de distribución de gas combustible por redes de tubería que no contaban con cargos aprobados con la anterior metodología tarifaria, la Comisión aprobó cargos de distribución transitorios aplicando criterios con este mismo carácter transitorio, para suplir las disposiciones revocadas mediante la Resolución CREG 093 de 2016.
De acuerdo con lo anterior, mediante Resolución CREG 085 de 2017 se aprobó el cargo de distribución transitorio por uso del sistema de distribución de gas combustible por redes de tubería para el mercado relevante conformado por los municipios de Curillo y El Doncello, departamento del Caquetá, según solicitud tarifaria presentada por la empresa COLOMBIANA DE SERVICIOS PÚBLICOS SOSTENIBLES S.A. E.S.P. (en adelante “CSP SOSTENIBLES S.A. E.S.P.”).
El artículo 7 de la resolución en mención, respecto de la vigencia de los Cargos de Distribución aplicables a los usuarios de Uso Residencial y a usuarios diferentes a los de Uso Residencial, estableció que “Los Cargos de Distribución aplicables a los usuarios de uso residencial y a los usuarios diferentes a los de uso residencial, estarán vigentes desde la fecha en que quede en firme la presente resolución y hasta tanto se definan los cargos definitivos para un periodo de cinco años, calculados con los parámetros de AOM y Otros Activos que definirá la Comisión mediante resolución de carácter general. (…)”.
De conformidad con lo establecido en el artículo 14 de la Resolución CREG 090 de 2018, los mercados que contaban con cargos transitorios aprobados con posterioridad a la revocatoria de la Resolución CREG 093 de 2016 deberían ser presentados nuevamente para su aprobación por parte de la CREG.
Mediante Circular CREG 030 de 2019 se divulgó el procedimiento a tener en cuenta en el trámite de solicitudes tarifarias para la aprobación de cargos de distribución de gas combustible por redes de tubería.
Mediante Circular CREG 041 de 2020 se indicó que las empresas que cuenten con cargos transitorios aprobados para mercados nuevos con posterioridad a la revocatoria de la Resolución CREG 093 de 2016, deberían presentar su solicitud tarifaria con las mismas proyecciones que presentaron para la aprobación del cargo transitorio.
Mediante Circular CREG 062 de 2020, modificada por la Circular CREG 068 de 2020 y adicionada por las Circulares 082 y 084 de 2020, el Director Ejecutivo de la CREG definió el cronograma para que las empresas distribuidoras de gas combustible por redes hicieran el reporte de información a través del aplicativo Apligas y presentaran, por medios electrónicos, las solicitudes de aprobación de cargos de distribución para el siguiente periodo tarifario.
Revisado el Sistema Único de Información (SUI) administrado por la Superintendencia de Servicios Públicos Domiciliarios (SSPD) se identificó que la empresa CSP SOSTENIBLES S.A. E.S.P. presta el servicio de distribución de GLP por redes únicamente en el municipio de Curillo, en el departamento de Caquetá. Por su parte, la EMPRESA PRIVADA DE SERVICIÓS PÚBLICOS DE LA AMAZONÍA ZOMAC S.A.S. E.S.P. (en adelante “ZOMAC S.A.S. E.S.P”) es el prestador del servicio en el municipio de El Doncello, en el departamento de Caquetá.
De conformidad con lo anterior y con lo establecido en el numeral 5.2 del artículo 5 de la Resolución CREG 202 de 2013, en concordancia con las Resoluciones CREG 138 de 2014, 090 y 132 de 2018, y 011 de 2020, la empresa CSP SOSTENIBLES S.A. E.S.P., a través de comunicación radicada en la CREG bajo el número E-2020-011155 del 14 de septiembre de 2020, presentó solicitud tarifaria para la aprobación de cargos de distribución de Gas Licuado de Petróleo (GLP) por redes para el Mercado Relevante de Distribución conformado por el siguiente municipio:
Cuadro. 1 Mercado Relevante de Distribución Propuesto por CSP SOSTENIBLES S.A. E.S.P.
| CÓDIGO DANE | MUNICIPIO | DEPARTAMENTO |
| 18205 | Curillo | Caquetá |
De otro lado, también de conformidad con lo establecido en el numeral 5.2 del artículo 5 de la Resolución CREG 202 de 2013, en concordancia con las Resoluciones CREG 138 de 2014, 090 y 132 de 2018, y 011 de 2020, la empresa ZOMAC S.A.S. E.S.P., mediante comunicación radicada en la CREG bajo número E-2020-013770 del 10 de noviembre de 2020, solicitó la aprobación de cargos de distribución de GLP por redes para el Mercado Relevante de Distribución conformado por el siguiente municipio:
Cuadro. 2 Mercado Relevante de Distribución Propuesto por ZOMAC S.A.S. E.S.P.
| CÓDIGO DANE | MUNICIPIO | DEPARTAMENTO |
| 18247 | El Doncello | Caquetá |
Esto teniendo en cuenta la condición de prestadores del servicio de cada una de las empresas en los municipios anteriormente relacionados.
CSP SOSTENIBLES S.A. E.S.P.
A continuación, se relaciona la información asociada a la solicitud de la empresa CSP SOSTENIBLES S.A. E.S.P.
A través del aplicativo Apligas, dispuesto por la CREG para el correspondiente reporte de información de solicitudes tarifarias, la empresa CSP SOSTENIBLES S.A. E.S.P. confirmó su solicitud bajo el número 2379.
En la solicitud presentada se allegaron las proyecciones de demanda, las proyecciones de gastos de administración operación y mantenimiento (AOM), y el programa de nuevas inversiones, clasificadas según el listado de unidades constructivas establecido en el Anexo No. 8 de la Resolución CREG 202 de 2013, en concordancia con las resoluciones CREG 138 de 2014, 090 y 132 de 2018, y 011 de 2020.
La empresa CSP SOSTENIBLES S.A. E.S.P. manifestó en su solicitud que el proyecto no cuenta con aportes de recursos públicos para la construcción de infraestructura de distribución de gas por redes.
La Comisión verificó el cumplimiento de los requisitos establecidos en la Resolución CREG 202 de 2013, en concordancia con las resoluciones CREG 138 de 2014, 090 y 132 de 2018, y 011 de 2020, evidenciando que la información remitida con la solicitud presentada por la empresa CSP SOSTENIBLES S.A. E.S.P. no era suficiente para iniciar la actuación administrativa. En consecuencia, mediante comunicación con radicado CREG S-2020-005642 del 30 de septiembre de 2020, se solicitó a la empresa completar la solicitud tarifaria.
Mediante radicado CREG E-2020-012618 del 16 de octubre de 2020, la empresa CSP SOSTENIBLES S.A. E.S.P. atendió el requerimiento de completitud solicitado.
La Comisión verificó el cumplimiento de los requisitos establecidos en la Resolución CREG 202 de 2013, en concordancia con las resoluciones CREG 138 de 2014, 090 y 132 de 2018, y 011 de 2020, evidenciando que la información remitida con la solicitud presentada por la empresa CSP SOSTENIBLES S.A. E.S.P., era suficiente para iniciar la actuación administrativa.
Mediante Auto I-2020-004122 proferido el día 13 de noviembre de 2020, comunicado a la empresa CSP SOSTENIBLES S.A. E.S.P. mediante radicado CREG S-2020-006276 de la misma fecha, la Dirección Ejecutiva de la Comisión dispuso iniciar la respectiva actuación administrativa de aprobación del Mercado Relevante de Distribución conformado por el municipio de Curillo en el departamento de Caquetá, y de los Cargos de Distribución de GLP por redes de tubería del mismo.
De acuerdo con lo establecido en el Auto de Inicio de la actuación administrativa y, conforme a lo dispuesto en el Artículo 37 del Código de Procedimiento Administrativo y de lo Contencioso Administrativo (CPACA), con el fin de que los terceros interesados pudieran hacerse parte en la respectiva actuación, se publicó en el Diario Oficial No. 51.503 del 19 de noviembre de 2020 el Aviso No. 090 de 2020 que contiene el resumen de la solicitud tarifaria presentada por CSP SOSTENIBLES S.A. E.S.P. para la aprobación de cargos de distribución de GLP por redes de tubería.
Dentro del trámite de la actuación administrativa, y con el fin de contar con los elementos de juicio suficientes para decidir de fondo la misma, con fundamento en lo dispuesto, tanto en el Artículo 40 del CPACA, como en el Artículo 108 de la Ley 142 de 1994, mediante Autos No. I-2021-000676 del 10 de marzo de 2021 e I-2021-001938 del 13 de julio de 2021, se decretó la práctica de pruebas de oficio.
Los autos proferidos dentro de la actuación administrativa fueron atendidos por CSP SOSTENIBLES S.A. E.S.P. mediante radicados CREG E-2021-003637 del 26 de marzo de 2021, E-2021-009443 del 18 de agosto de 2021 y E-2021-009838 del 26 de agosto de 2021.
ZOMAC S.A.S. E.S.P.
A continuación, se relacionan los documentos asociados a la solicitud de la empresa ZOMAC S.A.S. E.S.P.
A través del aplicativo Apligas, dispuesto por la CREG para el correspondiente reporte de información de solicitudes tarifarias, la empresa ZOMAC S.A.S. E.S.P. confirmó su solicitud bajo el número 2380.
En la solicitud presentada se allegaron las proyecciones de demanda, las proyecciones de gastos de AOM, y el programa de nuevas inversiones, clasificadas según el listado de unidades constructivas establecido en el Anexo No. 8 de la Resolución CREG 202 de 2013, en concordancia con las resoluciones CREG 138 de 2014, 090 y 132 de 2018, y 011 de 2020.
La empresa ZOMAC S.A.S. E.S.P. manifestó en su solicitud que el Mercado Relevante propuesto no cuenta con aportes de recursos públicos para la cofinanciaron de infraestructura de distribución de gas por redes.
La Comisión verificó el cumplimiento de los requisitos establecidos en la Resolución CREG 202 de 2013, en concordancia con las resoluciones CREG 138 de 2014, 090 y 132 de 2018, y 011 de 2020, evidenciando que la información remitida con la solicitud presentada por la empresa ZOMAC S.A.S. E.S.P. no era suficiente para iniciar la actuación administrativa. En consecuencia, mediante comunicación con radicado S-2020-006612 del 2 de diciembre de 2020, se solicitó a la empresa completar la solicitud tarifaria.
Mediante radicado CREG E-2020-15114 del 9 de diciembre de 2020, la empresa ZOMAC S.A.S. E.S.P. atendió el requerimiento de completitud solicitado.
La Comisión verificó el cumplimiento de los requisitos establecidos en la Resolución CREG 202 de 2013, en concordancia con las resoluciones CREG 138 de 2014, 090 y 132 de 2018, y 011 de 2020, evidenciando que la información remitida con la solicitud presentada por la empresa ZOMAC S.A.S. E.S.P. era suficiente para iniciar la actuación administrativa.
Mediante Auto No. I-2020-004929 proferido el día 18 de enero de 2021, comunicado mediante radicado S-2021-000224 de la misma fecha, la Dirección Ejecutiva de la Comisión dispuso iniciar la respectiva actuación administrativa de aprobación del Mercado relevante conformado por el municipio de El Doncello en el departamento del Caquetá, y de los Cargos de Distribución de GLP por redes de tubería del mismo.
De acuerdo con lo establecido en Auto de Inicio No. I-2020-004929 de la actuación administrativa y, conforme a lo dispuesto en el Artículo 37 del CPACA, con el fin de que los terceros interesados pudieran hacerse parte en la respectiva actuación, se publicó en el Diario Oficial No. 51.563 del 20 de enero de 2021 el Aviso No. 020 de 2021 que contiene el resumen de la solicitud tarifaria presentada por ZOMAC S.A.S. E.S.P. para la aprobación de cargos de distribución de GLP por redes de tubería.
Dentro del trámite de la actuación administrativa, y con el fin de contar con los elementos de juicio suficientes para decidir de fondo la misma, con fundamento en lo dispuesto, tanto en el Artículo 40 del CPACA, como en el Artículo 108 de la Ley 142 de 1994, mediante Autos No. I-2021-000685 del 10 de marzo de 2021 e I-2021-001937 del 13 de julio de 2021, se decretó la práctica de pruebas de oficio.
Los autos proferidos dentro de la actuación administrativa fueron atendidos por ZOMAC S.A.S. E.S.P. mediante radicados CREG E-2021-003635 del 26 de marzo de 2021, E-2021-008753 y E-2021-008761 del 02 de agosto de 2021.
La Comisión analizó las solicitudes presentadas por las empresas CSP SOSTENIBLES S.A. E.S.P. y ZOMAC S.A.S. E.S.P. y determinó que las solicitudes debían resolverse conservando la misma estructura de mercado relevante que fue aprobado en el cargo transitorio, independientemente que cada una de las empresas se encuentre como prestador del servicio en cada uno de los municipios, pues se trata de un único mercado. Lo anterior con fundamento en lo dispuesto en la respuesta al Numeral 1.1 de la Circular CREG 041 de 2020 la cual indica lo siguiente:
“Las empresas que cuenten con cargos transitorios aprobados para mercados nuevos con posterioridad a la revocatoria de la Resolución CREG 093 de 2016, deberán presentar su solicitud tarifaria con las mismas proyecciones que presentaron para la aprobación del cargo transitorio. Lo anterior, sin perjuicio de que la Comisión, en ejercicio de sus facultades legales, solicite información actual del mercado, y decrete las pruebas que considere pertinentes dentro de la actuación administrativa que se inicie para la aprobación del cargo para el siguiente período tarifario.”
Por lo tanto, mediante Auto I-2021-002798 del 29 de septiembre de 2021 comunicado a la empresa CSP SOSTENIBLES S.A. E.S.P. bajo radicado CREG S-2021-004167 y a la empresa ZOMAC S.A.S. E.S.P. bajo radicado CREG S-2021-004168, se acumularon las actuaciones administrativas en un único expediente.
Las proyecciones de demanda tenidas en cuenta por parte de la Comisión fueron las proyecciones de demanda aprobadas por la Unidad de Planeación Minero-Energética (UPME), según radicado CREG E-2017-003388. Así mismo, las proyecciones de gastos de AOM y el programa de nuevas inversiones, clasificadas según el listado de unidades constructivas establecido en el Anexo No. 8 de la Metodología ajustadas a fecha base.
Dado que el sistema de distribución presentado por las empresas CSP SOSTENIBLES S.A. E.S.P. y ZOMAC S.A.S. E.S.P. para el mercado relevante conformado por los municipios de Curillo y El Doncello en el departamento de Caquetá cuenta con red primaria y secundaria, pero todos sus usuarios están conectados a la red secundaria, se determinará para este mercado relevante un único cargo de distribución que será aplicable a los usuarios de uso residencial y usuarios diferentes al uso residencial. Lo anterior, conforme a lo establecido en el Numeral 9.3 del Artículo 9 de la Resolución CREG 202 de 2013 y en concordancia con las resoluciones CREG 138 de 2014, 090 y 132 de 2018, y 011 de 2020:
“9.3. CARGOS DE DISTRIBUCIÓN EN SISTEMAS DE DISTRIBUCIÓN QUE NO TIENEN CONECTADOS USUARIOS A LA RED PRIMARIA.
Cuando un Sistema de Distribución tenga red primaria y secundaria, pero todos los usuarios estén conectados a la red secundaria se podrá determinar en ese Mercado Relevante un solo cargo de distribución que será aplicable a usuarios residenciales y a usuarios diferentes al de uso residencial. La canasta de tarifas de estos mercados debe excluir a los usuarios residenciales”.
De esta manera, como resultado del análisis de la información presentada a la Comisión por las empresas CSP SOSTENIBLES S.A. E.S.P. y ZOMAC S.A.S. E.S.P., en desarrollo de la correspondiente actuación administrativa, se realizaron los ajustes correspondientes para realizar el cálculo del Cargo de Distribución de que trata la Resolución CREG 202 de 2013, en concordancia con las Resoluciones CREG 138 de 2014, 090 y 132 de 2018, y 011 de 2020.
El análisis de la solicitud tarifaria y los cálculos correspondientes efectuados por parte de la Comisión, así como las consideraciones que soportan la presente Resolución están contenidos en el documento CREG 902 032 de 2024, el cual hace parte integral de la presente Resolución.
En la Resolución CREG 102 002 de 2022 se establecieron los valores de la Tasa de Descuento para la actividad de distribución de gas combustible.
Una vez diligenciado el cuestionario de que trata el artículo 2.2.2.30.5 del Decreto 1074 de 2015, se concluyó que el acto administrativo propuesto no tiene incidencia sobre la libre competencia y, por ende, no fue remitido a la Superintendencia de Industria y Comercio (SIC) para efectos de lo establecido en el artículo 7 de la Ley 1340 de 2009. La respuesta al cuestionario establecido por la Superintendencia de Industria y Comercio se encuentra en el Documento CREG 902 032 de 2024, que hace parte integral de la presente resolución.
Con base en lo anterior, la Comisión de Regulación de Energía y Gas, en su sesión No. 1315 del 11 de mayo de 2024, aprobó expedir la presente Resolución y, en consecuencia,
RESUELVE:
CARGO DE DISTRIBUCIÓN.
ARTÍCULO 1. MERCADO RELEVANTE DE DISTRIBUCIÓN PARA EL SIGUIENTE PERIODO TARIFARIO. Conforme a lo definido en el Numeral 5.2 de la Metodología contenida en la Resolución CREG 202 de 2013, en concordancia con las resoluciones CREG 138 de 2014, 090 y 132 de 2018, y 011 de 2020, se aprueba el Mercado Relevante de Distribución para el siguiente periodo tarifario correspondiente a un Nuevo Mercado Relevante de Distribución conformado por los siguientes municipios:
Cuadro. 3 Mercado Relevante Aprobado
| CÓDIGO DANE | MUNICIPIO | DEPARTAMENTO |
| 18205 | Curillo | Caquetá |
| 18247 | El Doncello | Caquetá |
ARTÍCULO 2. DEMANDAS DE VOLUMEN. Para el cálculo tarifario se utilizó la Demanda de Volumen para el horizonte de proyección presentada en el Anexo 2 de esta Resolución.
ARTÍCULO 3. INVERSIÓN BASE. La Inversión Base para determinar los cargos de distribución para el Mercado Relevante de Distribución definido en el Artículo 1 de esta Resolución se compone como se indica a continuación:
3.1. Programa de Nuevas Inversiones para Municipios Nuevos (IPNI). El Programa de Nuevas Inversiones corresponde a un valor de $ 9,152,396,013 (pesos colombianos del 31 de diciembre de 2019) y su descripción se presenta en el Anexo 1 de la presente resolución.
En aplicación de la Resolución CREG 202 de 2013, en concordancia con las Resoluciones CREG 138 de 2014, 090 y 132 de 2018, y 011 de 2020, se calcularon las siguientes variables principales para la componente que remunera la inversión base aplicable a usuarios de uso residencial y a usuarios diferentes a los de uso residencial:
Cuadro. 4 Valor de Inversiones y Demanda para el Mercado Relevante
Aprobado según el Tipo de Red.
Usuarios de Uso Residencial y Usuarios Diferentes a los de
Uso Residencial
| Variable | Año 2022 en adelante |
| 2,190,417,099 | |
| 5,982,373,140 | |
| 3,090,604 | |
| 3,090,604 |
Cifras en pesos colombianos del 31 de diciembre de 2019.
ARTÍCULO 4. GASTOS DE ADMINISTRACIÓN, OPERACIÓN Y MANTENIMIENTO - AOM. Una vez revisada la proyección de gastos de AOM reportada por la empresa con el menor de los crecimientos anuales entre el del gasto de AOM y el de la demanda, se determina un porcentaje de gastos de AOM eficiente a reconocer para el mercado relevante de distribución para el siguiente periodo tarifario de 2.24%. En este sentido no fue necesario aplicar un factor de ajuste
, teniendo en cuenta que se reconoce el 100% de la información presentada por la empresa. En el Anexo 3 de esta Resolución se presentan los gastos de AOM para cada año del Horizonte de Proyección:
Cuadro. 5 Valor de Gastos de AOM para el Mercado Relevante Aprobado
| Componente | Año 2022 en adelante |
| Valor Presente AOM, con nivel de eficiencia | 1,502,708,763 |
Cifras en pesos colombianos del 31 de diciembre de 2019.
En aplicación de la Resolución CREG 202 de 2013, en concordancia con las Resoluciones CREG 138 de 2014, 090 y 132 de 2018, y 011 de 2020, se calcularon las siguientes variables principales para la componente que remunera los gastos de AOM, aplicable a usuarios de uso residencial y a usuarios diferentes a los de uso residencial:
Cuadro. 6 Valor de Gastos AOM y Demanda para el Mercado Relevante Aprobado según Tipo de Red
Usuarios de Uso Residencial y Usuarios Diferentes a los de
Uso Residencial
| Variable | Año 2022 en adelante |
| 273,360,763 | |
| 1,229,348,000 | |
| 3,090,604 | |
| 3,090,604 |
Cifras en pesos colombianos del 31 de diciembre de 2019.
ARTÍCULO 5. CARGO DE DISTRIBUCIÓN APLICABLE A LOS USUARIOS DE USO RESIDENCIAL Y A LOS USUARIOS DIFERENTES A LOS DE USO RESIDENCIAL. A partir de la vigencia de la presente resolución, el cargo de distribución aplicable a los usuarios de uso residencial y a usuarios diferentes a los de uso residencial en el Mercado Relevante definido en el Artículo 1 para recuperar los costos de inversión y los gastos de AOM para la distribución domiciliaria de gas combustible por redes de tubería, se fija de la siguiente manera:
Cuadro. 7 Cargos de Distribución a Usuarios de Uso Residencial y Usuarios Diferentes a los de Uso Residencial
Usuarios de Uso Residencial y Usuarios Diferentes a los de
Uso Residencial
| Componente | 2022 en adelante | |
| Cargo de distribución Total | $/m3 | 3,130.62 |
| Componente de inversión pagada con recursos privados | $/m3 | 2,644.39 |
| Componente Gastos AOM. | $/m3 | 486.22 |
Cifras en pesos colombianos del 31 de diciembre de 2019.
PARÁGRAFO. El Cargo de Distribución establecido en el presente artículo se actualizará de conformidad con lo establecido en el artículo 12 de la Metodología contenida en la Resolución CREG 202 de 2013, en concordancia con las Resoluciones CREG 138 de 2014, 090 y 132 de 2018, y 011 de 2020.
ARTÍCULO 6. VIGENCIA DE LOS CARGOS DE DISTRIBUCIÓN APLICABLES A LOS USUARIOS DE USO RESIDENCIAL Y A USUARIOS DIFERENTES A LOS DE USO RESIDENCIAL. Los Cargos de Distribución aplicables a los Usuarios de Uso Residencial y a los Usuarios Diferentes a los de Uso Residencial estarán vigentes por un término de cinco (5) años contados desde la fecha en que quede en firme la presente Resolución. Vencido el período de vigencia de los cargos regulados, estos continuarán rigiendo hasta que la Comisión apruebe los nuevos, tal como está previsto en el artículo 126 de la Ley 142 de 1994, modificado por el artículo 52 de la Ley 2099 de 2021.
FÓRMULA TARIFARIA.
ARTÍCULO 7. FÓRMULA TARIFARIA. La Fórmula Tarifaria aplicable al mercado relevante definido en el Artículo 1 de la presente resolución corresponderá a la establecida en el Artículo 4 de la Resolución CREG 137 de 2013 o aquella que la modifique, adicione o sustituya.
ARTÍCULO 8. VIGENCIA DE LA FÓRMULA TARIFARIA. La fórmula tarifaria regirá a partir de la fecha en que la presente resolución quede en firme y durante el término de vigencia de las fórmulas tarifarias definidas en la Resolución CREG 137 de 2013 o aquella que la modifique, adicione o sustituya. Vencido este período, las fórmulas tarifarias continuarán rigiendo mientras la Comisión no fije las nuevas, tal como está previsto en el artículo 126 de la Ley 142 de 1994, modificado por el Artículo 52 de la Ley 2099 de 2021.
OTRAS DISPOSICIONES.
ARTÍCULO 9. NOTIFICACIÓN Y RECURSOS. La presente Resolución deberá notificarse al representante legal de la empresa CSP SOSTENIBLES S.A. E.S.P. y al de la EMPRESA PRIVADA DE SERVICIÓS PÚBLICOS DE LA AMAZONÍA – ZOMAC S.A.S. E.S.P. y, una vez en firme, deberá publicarse en el Diario Oficial.
Contra las disposiciones contenidas en esta Resolución procede el Recurso de Reposición, el cual podrá interponerse ante la Dirección Ejecutiva de la CREG dentro de los cinco (5) días hábiles siguientes a la fecha de su notificación, conforme lo dispuesto en el artículo 113 de la Ley 142 de 1994.
ARTÍCULO 10. DEROGATORIA. La presente Resolución deroga en todas sus partes la Resolución CREG 085 de 2017.
NOTIFÍQUESE, PUBLÍQUESE Y CÚMPLASE
Dada en Bogotá, D.C. a los 11 días del mes de mayo de 2024.
OMAR ANDRÉS CAMACHO MORALES
Ministro de Minas y Energía
Presidente
OMAR PRIAS CAICEDO
Director Ejecutivo
PROGRAMA DE NUEVAS INVERSIONES.
(Valores expresados en de pesos a 31 de diciembre de 2019)

OMAR ANDRÉS CAMACHO MORALES
Ministro de Minas y Energía
Presidente
OMAR PRIAS CAICEDO
Director Ejecutivo
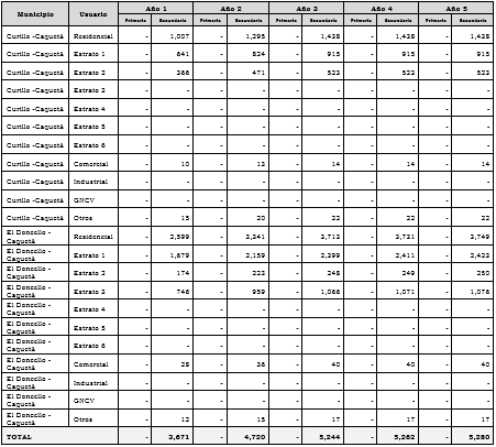
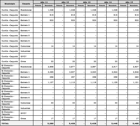
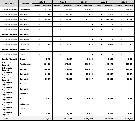
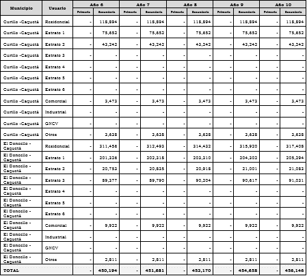
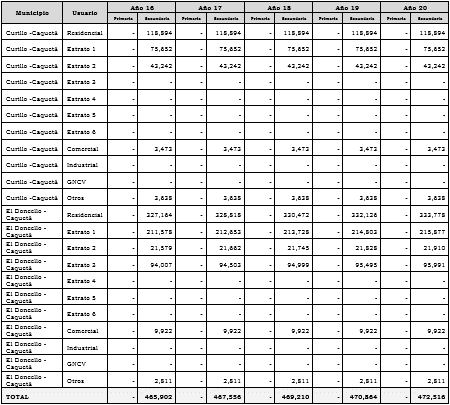
PROYECCIONES DE USUARIOS Y DEMANDA.
NÚMERO DE CONEXIONES






Todos los usuarios conectados en red secundaria.
VOLUMEN (m³)





Todos los usuarios conectados en red secundaria.
OMAR ANDRÉS CAMACHO MORALES
Ministro de Minas y Energía
Presidente
OMAR PRIAS CAICEDO
Director Ejecutivo
PROYECCIÓN DE GASTOS AOM.
(ADMINISTRACIÓN, OPERACIÓN Y MANTENIMIENTO)
| AÑO | GASTOS AOM (pesos dic 2019) |
| 1 | 184,230,490.74 |
| 2 | 199,951,335.74 |
| 3 | 212,440,013.07 |
| 4 | 212,868,678.86 |
| 5 | 213,297,343.54 |
| 6 | 213,726,009.34 |
| 7 | 214,154,675.13 |
| 8 | 214,583,339.81 |
| 9 | 215,012,005.61 |
| 10 | 215,440,670.29 |
| 11 | 215,893,150.66 |
| 12 | 216,345,631.04 |
| 13 | 216,821,924.88 |
| 14 | 217,298,219.84 |
| 15 | 217,774,514.80 |
| 16 | 218,250,809.75 |
| 17 | 218,727,104.71 |
| 18 | 219,203,398.55 |
| 19 | 219,679,693.51 |
| 20 | 220,155,988.46 |
| VPN (2022 en adelante) | 1,502,708,763 |
OMAR ANDRÉS CAMACHO MORALES
Ministro de Minas y Energía
Presidente
OMAR PRIAS CAICEDO
Director Ejecutivo