RESOLUCIÓN 63 DE 2016
(mayo 16)
Diario Oficial No. 49.884 de 25 de mayo de 2016
COMISIÓN DE REGULACIÓN DE ENERGÍA Y GAS
Por la cual se establecen parámetros de conducta y la participación de los agentes dentro de las actividades de comercialización mayorista y distribución de GLP.
LA COMISIÓN DE REGULACIÓN DE ENERGÍA Y GAS,
en ejercicio de las atribuciones constitucionales y legales, en especial las conferidas por las Leyes 142 de 1994 y 1151 de 2007 y, en desarrollo de los Decretos 1523 y 2253 de 1994 y 1260 de 2013, y
CONSIDERANDO QUE:
El artículo 14.28 de la Ley 142 de 1994 definió el servicio público domiciliario de gas combustible como el conjunto de actividades ordenadas a la distribución de gas combustible y estableció la actividad de comercialización como actividad complementaria del servicio público domiciliario de gas combustible.
De acuerdo con lo estipulado en el artículo 74.1 de la Ley 142 de 1994, es función de la CREG, “regular el ejercicio de las actividades de los sectores de energía y gas combustible para asegurar la disponibilidad de una oferta energética eficiente, propiciar la competencia en el sector de minas y energía y proponer la adopción de las medidas necesarias para impedir abusos de posición dominante y buscar la liberación gradual de los mercados hacia la libre competencia”.
Según lo previsto en los artículos 1o, 2o y 4o de la Ley 142 de 1994, la distribución de gas combustible y sus actividades complementarias constituyen servicios públicos domiciliarios esenciales y el Estado intervendrá en los mismos a fin de, entre otros, garantizar la calidad del bien y su disposición final para asegurar el mejoramiento de la calidad de vida de los usuarios, así como su prestación continua, ininterrumpida y eficiente.
De acuerdo con lo dispuesto en el artículo 62 de la Ley 1151 de 2007[1], dentro del término de dieciocho (18) meses siguientes a su expedición, la CREG debía adoptar los cambios necesarios en la regulación para que la remuneración asociada a la reposición y el mantenimiento de los cilindros de GLP y de los tanques estacionarios utilizados para el servicio público domiciliario sea incorporado en la tarifa, introduciendo además un esquema de responsabilidad de marca en cilindros de propiedad de los distribuidores haciendo posible identificar el prestador del servicio público de GLP que debe responder por la calidad y seguridad del combustible distribuido.
En desarrollo del mandato del artículo 62 de la Ley 1151 de 2007 la Comisión expidió, entre otras, las resoluciones CREG 045 de 2008, 147 de 2010, 178 de 2011 y 098 de 2012, a través de las cuales se implementaron los períodos y mecanismos regulatorios que permitieron llevar a cabo el reemplazo del parque universal de cilindros por un parque de cilindros marcado propiedad de los distribuidores. En ejecución de estas medidas y de los trabajos desarrollados se recogieron de los usuarios, y posteriormente se destruyeron[2] o adecuaron, cerca de 6.2 millones de cilindros universales remanentes[3], los cuales fueron reemplazados con más de 8 millones de cilindros marcados, los cuales son propiedad de los distribuidores.
Una vez finalizada la transición de un parque universal de cilindros a un parque de cilindros marcados propiedad de los distribuidores, la Comisión de Regulación de Energía y Gas estableció en el artículo 5o de la Resolución CREG 177 de 2011 la prohibición de circulación de cilindros universales con o sin gas en el territorio nacional a partir del 1o de julio de 2012. De esta manera, solo pueden circular cilindros marcados y sólo se puede prestar el servicio público domiciliario de GLP en cilindros marcados. Dicha prohibición fue reiterada y precisada mediante el artículo 4o de la Resolución CREG 164 de 2014.
Esta prohibición corresponde a una medida regulatoria en ejercicio de lo previsto en el artículo 62 de la Ley 1151 de 2007 y, en concordancia, con las atribuciones en materia regulatoria previstas en los artículos 73 y 74 de la Ley 142 de 1994, así como de los fines constitucionales y legales que persigue la prestación del servicio público de gas combustible, entendiendo que mientras permanezcan en el mercado o en circulación cilindros universales, estos serán susceptibles de ser utilizados por terceros poniendo en riesgo la garantía de alcanzar un cambio efectivo de esquema universal a marcado.
Esto, toda vez que la prestación del servicio público domiciliario de GLP en cilindros y la forma en que se lleva a cabo tiene un elemento relacionado con la seguridad y la no perturbación del orden público, así como de otros bienes jurídicos relevantes relacionados con el interés general, los cuales se pueden ver afectados mediante la realización de conductas ilegales y en algunos casos ilícitas, asociadas con la distribución y comercialización ilegal de GLP, mediante elementos restringidos o que no se encuentran aptos para desarrollar de manera segura estas actividades como es el caso de cilindros universales, dado que este es un combustible que requiere un manejo especializado.
Posteriormente la CREG expidió la Resolución CREG 164 de 2014[4] con el objeto de establecer medidas regulatorias dentro de la prestación del servicio público domiciliario de GLP, para reforzar las disposiciones tendientes a garantizar la operatividad del esquema de responsabilidad de marca en cilindros propiedad de los distribuidores, ordenado por la Ley 1151 de 2007, y para apoyar que las actividades de distribución y/o comercialización minorista sólo se realicen a través de cilindros marcados, terminando de eliminar los cilindros universales remanentes en poder de los usuarios o de las empresas prestadoras del servicio público domiciliario de GLP, pues de acuerdo con lo previsto en la regulación, dichos elementos no se encuentran aptos para la prestación del servicio.
La aplicación de los mecanismos previstos en la Resolución CREG 164 de 2014 ha permitido hasta ahora la destrucción de aproximadamente 51.137 cilindros universales en poder de los usuarios y de los distribuidores.
En concordancia con lo anterior, con fundamento en lo dispuesto en el artículo 62 de la Ley 1151 de 2007, así como del ejercicio de las facultades previstas en los artículos 73 y 74 de la Ley 142 de 1994, la Comisión de Regulación de Energía y Gas expidió la Resolución CREG 023 de 2008 “por la cual se establece el reglamento de distribución y comercialización minorista de gas licuado de petróleo”.
En dicha normativa regulatoria se establecieron los parámetros a través de los cuales se debían desarrollar estas actividades como parte de la prestación del servicio público domiciliario de GLP en cilindros, teniendo en cuenta un modelo formalizado, con parámetros de conductas para los agentes distribuidores que implicaran responsabilidades y obligaciones claras por parte de las empresas, los derechos con los que cuentan los usuarios, así como la prestación del servicio a través de un parque de cilindros marcados propiedad de los distribuidores, a fin de garantizar la calidad del servicio y la seguridad de la ciudadanía en general.
Así mismo, dentro de las medidas adoptadas en esta regulación en las actividades de distribución y/o comercialización minorista de acuerdo con las reglas previstas en la Resolución CREG 023 de 2008, a fin de preservar el esquema de marca, la formalización para la prestación del servicio, así como la protección de los activos destinados a la prestación del servicio, se encuentra que los distribuidores: i) solo pueden comprar producto a comercializadores mayoristas que cumplen requisitos en los términos previstos en la Ley 142 de 1994 y la Resolución CREG 053 de 2011; ii) únicamente pueden envasar cilindros de su propia marca; iii) les está prohibido recibir, tener o transportar, utilizar, alterar o modificar cilindros de propiedad de otra empresa; iv) los comercializadores minoristas solo pueden comercializar cilindros de una sola marca.
En ese mismo sentido, con el esquema de marca y con la definición de las responsabilidades de los distribuidores establecidas en el reglamento de distribución y comercialización minorista, el distribuidor es responsable de realizar las inversiones en los cilindros mediante los cuales realiza la prestación del servicio, y derivado de esto, también es responsable por el mantenimiento que se debe hacer a los mismos.
De acuerdo con esto, la implementación del esquema regulatorio al que se ha hecho referencia busca como objetivo que se eviten situaciones o conductas por parte de agentes o terceros de forma irregular, ilegal e ilícita, que lleven a la afectación de la prestación del servicio público de GLP, en particular, en lo relacionado con las actividades de distribución y/o comercialización minorista, así como del interés general[5].
Se ha evidenciado por parte de los agentes, así como por parte de las entidades regulatorias y de vigilancia que en la actividad de distribución se han desarrollado en algunos casos de manera informal, eludiendo responsabilidades mediante prácticas indebidas y en sitios que no cumplen con las condiciones de seguridad previstas en los reglamentos técnicos y demás normas correspondientes. Adicionalmente, el uso de elementos no aptos para la prestación del servicio y la utilización de cilindros por parte de otros distribuidores son conductas asociadas principalmente al incumplimiento de disposiciones regulatorias.
Estas prácticas ponen en peligro a la comunidad y en algunos casos genera la perturbación y afectación del orden público.
Finalmente se debe considerar que en las actividades de distribución y/o comercialización minorista los agentes pueden determinar libremente las tarifas de venta a los usuarios[6] de acuerdo con lo establecido en la Resolución CREG 001 de 2009.
A fin de dar cumplimiento a los objetivos establecidos por la Ley 142 de 1994, así como el artículo 62 de la Ley 1151 de 2007, además las decisiones adoptadas para la distribución y comercialización minorista de GLP a las que se ha hecho referencia, la CREG expidió la regulación para la comercialización mayorista, las cuales tienen relación con los lineamientos tarifarios en cuanto a la remuneración del producto, los mecanismos de acceso a dicho producto y los parámetros de conducta que deben cumplir los agentes que desarrollan dicha actividad.
Desde el punto de vista tarifario, mediante Resolución CREG 066 de 2007, modificada por las resoluciones CREG 059 de 2008, 002 de 2009, 123 de 2010, 095 de 2011 y 079 de 2015, la Comisión estableció “la regulación de precios de suministro de GLP de comercializadores mayoristas a distribuidores”. Las resoluciones en mención señalan la metodología para calcular el precio máximo regulado de suministro de GLP producido en las fuentes reguladas[7]. Adicionalmente, se estableció que las demás fuentes de producción de GLP pueden fijar libremente su tarifa[8].
Con respecto a las medidas regulatorias relacionadas con los mecanismos para la asignación del producto y los parámetros de conducta de los agentes y su posición en el mercado en esta actividad, la CREG expidió la Resolución CREG 053 de 2011, reglamento de comercialización mayorista de GLP, mediante el cual se definieron, entre otros: i) los requisitos de los comercializadores mayoristas y de las obligaciones de vendedores y compradores;
ii) obligaciones generales, así como en relación con la entrega, manejo, oferta, venta, continuidad y manejo por parte de los comercializadores mayoristas y las obligaciones por parte de los compradores de GLP; iii) contratos de suministro en firme de GLP y sus eventos de compensación, y iv) los mecanismos para la compra y venta del producto al por mayor y el acceso al producto por parte de los diferentes agentes de la cadena. En el mencionado reglamento se estableció que el acceso al producto que se encuentra con precio regulado se realizaría mediante Ofertas Públicas de Cantidades (OPC), llevadas a cabo por el respectivo comercializador mayorista. Las OPC iniciaron su aplicación a partir de octubre de 2011.
En relación con lo anterior, como parte de las medidas regulatorias adoptadas por la CREG, en el marco de la comercialización mayorista del producto, los resultados de la aplicación de la OPC, como mecanismo para la compra y venta del producto al por mayor, y el acceso al producto por parte de los diferentes agentes de la cadena, de acuerdo con lo previsto en el reglamento de comercialización mayorista de GLP, Resolución CREG 053 de 2011[9], permiten evidenciar y conocer de manera adecuada, así como en un mayor grado de realidad, el resultado del balance entre oferta y demanda. Esto, toda vez que mediante dicha regulación se busca dar igual oportunidad a todos los agentes interesados en adquirir el producto nacional regulado para atender su demanda, sea esta residencial, comercial o industrial, de acuerdo con la aplicación que de este mecanismo se viene realizando a partir del 1o de octubre de 2011.
Dentro de los fines y objetivos perseguidos por la regulación en materia de comercialización mayorista a través de dicho reglamento, se encuentran los previstos en el artículo 3o de la Resolución CREG 053 de 2011, cuando establece que el acceso al producto no se debe convertir en una barrera para la competencia en la distribución y comercialización minorista de GLP, o en una ventaja para aumentar la posición dominante de algún agente.
Se busca una asignación del producto: i) justa, en igualdad de oportunidades de compra para todos los interesados; ii) transparente, para hacer claros los resultados de la asignación; iii) eficiente, reflejando la disponibilidad a pagar por parte de la demanda.
Con el fin de asegurar la confiabilidad en el suministro del GLP para atender la demanda se establece, que la comercialización mayorista de GLP se realice solamente por empresas debidamente establecidas y constituidas bajo alguna de las formas previstas en el artículo 15 de la Ley 142 de 1994, y debidamente registradas ante la Superintendencia de Servicios Públicos Domiciliarios.
Para dar cumplimiento a los principios y objetivos legales previstos en la Ley 142 de 1994, el artículo 62 de la Ley 1151 de 2007, en materia de prestación eficiente del servicio, el marco regulatorio expedido por la CREG para las actividades de comercialización mayorista y distribución y comercialización minorista se ha desarrollado de forma integrada y coherente, tanto desde el punto de vista tarifario como desde el punto de vista de los parámetros de conducta, obligaciones y responsabilidades de los agentes que allí participan.
Este ha conllevado a adoptar medidas que: i) brindan señales de precio eficiente que permitan contar con una oferta adecuada de producto para atender la demanda nacional, asegurando el suministro de GLP para el servicio público domiciliario; ii) permiten una asignación del producto en igualdad de condiciones; iii) permiten la debida remuneración de las inversiones realizadas por los agentes; iv) incorporan responsabilidades y obligaciones para que estas actividades se llevaran a cabo de manera organizada por parte de los agentes;
v) garantizan la calidad y seguridad en la prestación del servicio, y vi) que fortalecen y preservan el esquema de marca, de la que hacen parte las inversiones de los agentes.
Estas medidas adoptadas evitan la existencia de conductas por parte de agentes o terceros de forma irregular, ilegal e ilícita, que lleven a la afectación de la prestación del servicio público, así como del interés general[10].
Atendiendo este grado de coherencia, se debe tener en cuenta que la regulación expedida en el marco de la comercialización mayorista, la distribución y la comercialización minorista de GLP busca que entre los mismos agentes haya una responsabilidad compartida y un control mutuo, siendo este último una pieza relevante para la estabilidad de la regulación, el afianzamiento del esquema de marca, en la consolidación del sector y en la seguridad para los usuarios de este servicio público domiciliario. La falta a estos principios permitirá que la informalidad sea cada vez mayor, poniendo en riesgo a los usuarios, las inversiones de los agentes en los cilindros marcados y la posibilidad de que el sector pueda consolidarse con la participación de nueva demanda como la del autogas[11].
Dentro de estos mecanismos de control que permiten mantener el esquema regulatorio de GLP se encuentran que: i) todo GLP comercializado para el servicio público domiciliario debe negociarse mediante contrato por los mayoristas y distribuidores que cumplen requisitos establecidos por la regulación; ii) los distribuidores solo deben envasar cilindros de su propia marca y firman contrato de exclusividad con minoristas que cumplen requisitos; iii) los minoristas solo pueden comercializar cilindros de una sola marca; iv) los usuarios deben solicitar el servicio a empresas formales, recibir únicamente GLP en cilindros marcados y sólo pueden entregar el cilindro marcado a la empresa propietaria. En la medida en que cada agente es responsable de cumplir con sus obligaciones no deben presentarse situaciones que permitan la prestación del servicio en una forma informal o por fuera de la regulación.
Ahora bien, se ha evidenciado por parte de la CREG que de acuerdo con la información reportada al Sistema Único de Información (SUI), de la Superintendencia de Servicios Públicos Domiciliarios la existencia de una situación anómala relacionada con el nivel de coherencia entre las ventas que se realizan a usuarios finales y las inversiones en activos (cilindros y tanques estacionarios), con las que se deberían contar para llevar a cabo dichas ventas. Esta situación ha afectado el esquema de prestación del servicio público domiciliario de GLP, al mercado de dicho servicio, así como a los agentes que en debida forma dan cumplimiento a la regulación.
Dicha situación no se limita solamente a un problema de reporte de información, sino que puede ser ocasionada por conductas que afectan la competencia, como son las ventas por fuera de los parámetros regulatorios (e.g., uso de cilindros marcados que no son de su propiedad). Estas conductas adicionalmente se producen por el desconocimiento y/o incumplimiento de las obligaciones y responsabilidades previstas en la regulación (e. g., Resolución CREG 023 de 2008), generando posibles consecuencias penales y policivas[12].
Lo anterior, más aun cuando el esquema regulatorio en la actividad de distribución se sustenta en la responsabilidad de marca y la necesidad de contar con estas inversiones por parte de los agentes. Es así que en los reglamentos de distribución y comercialización minorista de GLP se establecen dentro de las obligaciones de los distribuidores, vendedores y compradores de GLP: i) ser propietario de los cilindros que envasa, los cuales deberán estar certificados y marcados de acuerdo con lo establecido en el artículo 10 de la Resolución CREG 023 de 2008; ii) abastecer de manera confiable y segura su mercado a través de medios confiables; iii) garantizar para sí mismo el uso exclusivo de los cilindros de su propiedad y su trazabilidad, para lo cual, entre otras cosas, establecerá los mecanismos de seguimiento y control que sean necesarios con el fin de conocer en todo momento la localización del parque de su propiedad; iv) llevar un registro consecutivo de todos los cilindros que envasa;
v) reportar en el SUI la información relacionada con sus activos.
El marco regulatorio para la prestación del servicio domiciliario de GLP busca: i) incentivar conductas responsables y eficientes por parte de los agentes en las actividades que componen la cadena de prestación del servicio, de lo cual hace parte, el uso del parque necesario por parte de los distribuidores, más aun cuando dicha actividad se desarrolla en un ámbito de competencia; y, ii) la remuneración de las inversiones deben ser aquellas que sean necesarias para la prestación del servicio.
Es por esto que la CREG ha expedido en el marco de las actividades de distribución y comercialización minorista las medidas que se han requerido, a fin de evitar que se desplieguen conductas que puedan atentar en contra de la regulación, así como de la indebida prestación del servicio. Sin embargo, ante la situación que se evidencia, se establece por parte de la CREG la necesidad de adoptar nuevas medidas regulatorias que tengan un mayor grado de efectividad. Estas se encuentran relacionadas no solo con la actividad de distribución como hasta ahora se ha realizado, sino en este caso, con los parámetros de conducta y la participación de los agentes dentro de la comercialización mayorista de GLP.
La Ley 142 de 1994, en el numeral 18 del artículo 14, establece que la regulación es la facultad de dictar normas de carácter general o particular en los términos de la Constitución y de esta ley, para someter la conducta de las personas que prestan los servicios públicos domiciliarios a las reglas, normas, principios y deberes establecidos por la ley y los reglamentos. En este sentido, la jurisprudencia constitucional ha precisado que la regulación es una actividad continua que comprende el seguimiento de la evolución del sector correspondiente y que implica la adopción de diversos tipos de decisiones y actos adecuados tanto para orientar la dinámica del sector hacia los fines que la justifican en cada caso, como para permitir el flujo de actividad socioeconómica respectivo. De esto hace parte igualmente el seguimiento del comportamiento de los agentes, a fin de orientar sus actividades dentro de los fines perseguidos en materia de servicios públicos, de acuerdo con lo previsto en la Ley 142 de 1994[13].
Con respecto a la definición de los parámetros de conducta como mecanismo que hace parte de la facultad regulatoria, por parte de las comisiones de regulación de servicios públicos, la honorable Corte Constitucional ha considerado que:
“7.5. A juicio de la Corte, una lectura integral y sistemática de las normas anteriormente referidas permite concluir que la facultad otorgada a las Comisiones de Regulación para adoptar tratamientos diferenciales a empresas de servicios públicos, de acuerdo con su posición en el mercado, no desconoce la cláusula de reserva de ley.
De un lado, varias normas de la Ley 142 de 1994 delimitan y condicionan el margen de intervención de las Comisiones al ejercer sus competencias –incluida la ahora demandada-, como las que señalan los fines de la intervención Estatal (artículo 2o), los instrumentos de intervención (artículo 3o), las obligaciones especiales de las empresas prestadoras de servicios (artículo 11), y las funciones generales (artículo 73), todas ellas definidas directamente por el Legislador.
De otro lado, en el mismo literal a) de los artículos 74.1 y 74.2 de la precitada ley se indican cuáles son los objetivos específicos que sustentan la adopción de tratamientos diferenciales a las empresas de servicios públicos.
Los fines y parámetros a los que aluden estas normas, antes que genéricos e indeterminados, comprenden una enunciación detallada y concreta dirigida al cumplimiento de las metas de la regulación en servicios públicos. Metas que, según ha reconocido la jurisprudencia constitucional, no son exclusivamente económicas sino que también buscan asegurar 'la compatibilidad de un mercado eficiente con los principios del Estado Social de Derecho, dentro de una democracia participativa en la cual los derechos de todos los usuarios sean efectivamente protegidos y garantizados'.
(…)
(i). En primer lugar, las normas referidas identifican los fines que han de guiar a las Comisiones de Regulación y que, contrario a lo propuesto por los accionantes, no están circunscritos únicamente a la corrección de fallas en el mercado, sino que comprenden también una adecuada y eficiente prestación de los servicios a todos los habitantes del territorio nacional, propósito inherente a la función social del Estado (artículos 2o, 74.1 y 74.2 de la Ley 142 de 1994).
(…) La intervención de las Comisiones de Regulación mediante tratamientos diferenciales no puede ser concebida entonces como una censura al éxito empresarial de una compañía; es, más bien, un mecanismo de racionalidad instrumental diseñado para adoptar con celeridad los ajustes técnicos requeridos en un mercado donde la libre competencia y la iniciativa privada se encuentran constitucionalmente protegidas, pero cuyo fin último es la prestación eficiente y adecuada de servicios públicos”[14].
(Resaltado fuera de texto).
Expuesto lo anterior, de acuerdo con lo previsto en los artículo 73 y 74 de la Ley 142 de 1994, en el artículo 62 de la Ley 1151 de 2007, de acuerdo con las competencias asignadas a la CREG y a fin de dar cumplimiento a principios y objetivos perseguidos en dichas normas, especialmente atendiendo las particularidades de este servicio público, le corresponde a esta Comisión expedir medidas regulatorias en relación con los parámetros de conducta y la participación de los agentes dentro de las actividades de comercialización mayorista y distribución de GLP, a efectos de evitar que se presenten conductas que afecten la regulación y la prestación de este servicio público.
Estas medidas establecen criterios que deben ser considerados para la compra y venta de GLP dentro de la comercialización mayorista, sea con precio regulado o con precio libre.
Para esto la adquisición del producto por parte de los distribuidores se dará en relación con el nivel de activos (plantas de envasado, cilindros y tanques estacionarios) y su capacidad de envase; así como medidas con respecto al reporte de información en el Sistema Único de Información (SUI).
Mediante la Resolución CREG 221 de 2015 se sometió a consulta un proyecto de resolución, “por la cual se establecen parámetros de conducta y la participación de los agentes dentro de las actividades de comercialización mayorista y distribución de GLP”. Dentro del período otorgado para el efecto se recibieron los comentarios de las siguientes personas: Montagas S.A. Empresa de Servicios Públicos, Corporación Soluciones Energéticas Integrales S.A. (Cosenit), Fedegas S.A.S E.S.P., Dora Mariño Flórez, Compañía de Servicios Públicos S.A. E.S.P. – Codegas, Empresa Colombiana de Petróleos, (Ecopetrol), Asociación Gremial Colombiana de Comercializadores de GAS (Agremgas), Unión de Empresas Colombianas de GLP (Gasnova), Surcolombiana de GAS S.A. E.S.P y Unión de Empresas Colombianas de GLP (Gasnova), Velogas, Roscogas y Codegas.
Según lo previsto en el artículo 8o del Código de Procedimiento Administrativo y de lo Contencioso Administrativo, la regulación que mediante la presente resolución se adopta ha surtido el proceso de publicidad previo correspond iente.
Con base en lo establecido en el artículo 4o del Decreto 2897 de 2010, reglamentario de la Ley 1340 de 2009[15], se respondió el cuestionario establecido por la Superintendencia de Industria y Comercio para efectos de evaluar la incidencia sobre la libre competencia de los mercados. En el Documento CREG 030 de 2016 se transcribe el cuestionario al que se refiere el artículo 5o del Decreto 2897 de 2010 y se da respuesta a los comentarios recibidos como parte del proceso de consulta.
Mediante comunicación con radicado CREG S-2016-001715, radicado SIC 16- 088496, se informó de la propuesta regulatoria, así como los demás documentos que de esta hace parte, a la Superintendencia de Industria y Comercio en cumplimiento del requisito previsto en el numeral 2.2.2.30.3 del Decreto 1078 de 2015.
Mediante comunicación con radicado CREG E-2016-004751 de 22 de abril de 2016 la Superintendencia de Industria y Comercio emitió el concepto en relación con la abogacía de la competencia, en el cual formuló tres (3) recomendaciones en relación con el contenido del proyecto:
“i) Con el fin de mitigar el riesgo de 'free riding' y evitar que se desincentive el crecimiento de las inversiones de los distribuidores en el mercado, se podría condicionar la entrega efectiva de GLP, en vez de la compra, a la existencia de capacidad disponible.
Así, el distribuidor podría resultar asignatario de cantidades de GLP superiores a su capacidad disponible.
Ahora bien, de acoger esta recomendación, sería necesario que el regulador considere la posibilidad de permitirle a los comercializadores mayoristas vender aquellas cantidades comprometidas pero no que pudieron ser entregadas por ausencia de capacidad disponible del distribuidor.
ii) A futuro, en caso de que el regulador implemente las subastas como mecanismo de determinación de precios y cantidades vendidas de GLP, evitar la publicación de la capacidad máxima de compra y de la capacidad disponible de compra de cada distribuidor.
iii) Diseñar un mecanismo de trazabilidad que permite identificar posibles declaraciones sobreestimadas de la capacidad de envasado”.
Las anteriores recomendaciones se fundamentan en el siguiente a nálisis:
3. Análisis del proyecto de regulación desde la perspectiva del derecho de la libre competencia La Superintendencia de Industria y Comercio estudió los documentos remitidos por la Comisión de Regulación de Energía y Gas. De dicho análisis, surgieron tres (3) puntos sobre los cuales considera oportuno pronunciarse: i) condicionar la capacidad de compra de los distribuidores podría obstaculizar y desincentivar su crecimiento; ii) posibles riesgos de comportamiento estratégico derivados de la publicación de la capacidad disponible de compra y la capacidad máxima de compra de cada distribuidor, y iii) posible surgimiento de incentivos para que los distribuidores sobreestimen las cifras de capacidad de envasado con el fin de aumentar sus compr as.
3.1. Posible limitación de la dinámica de crecimiento de los agentes en el mercado.
(…) En estos casos, entiende esta Superintendencia que el distribuidor no podrá presentar en la OPC ofertas que sean superiores a su capacidad disponible de compra, toda vez que el comercializador mayorista de perfeccionar el contrato de compraventa, o incluso de permitirle participar en la OPC, incurriría en una violación de su obligación de no ofrecer ni vender GLP a un distribuidor en toda aquella cantidad que exceda la capacidad disponible de compra.
Todo esto introduce al mercado una rigidez adicional, debido a que el demandante tendría una sola oportunidad al año de estimar la capacidad de envasado que necesita para atender sus clientes y realizar las inversiones correspondientes, asumiendo el riesgo de quedar con capacidad ociosa de envasado de resultar e rrada su predicción.
Tal situación podría ocasionar un obstáculo al flujo normal del producto y de las inversiones, lo cual desincentivaría el crecimiento de los agentes en el mercado y, en consecuencia, podría privar eventualmente a los usuarios de los beneficios de la competencia.
En efecto, esta Superintendencia entiende que la obligación de suministrar GLP en cilindros propios está en cabeza del distribuidor desde el 2008, y que la regulación aquí proyectada desea hacer verificable el cumplimiento de tal obligación. Sin embargo, el mismo objetivo regulatorio podría lograrse si la restricción recayera sobre la cantidad de GLP que el comercializador mayorista efectivamente entrega al distribuidor, sin introducir una rigidez al mercado al momento de la compra.
3.2 Riegos derivados de la publicación de la capacidad de compra de cada distribuidor.
(…) Anteriormente se señaló que el artículo 9o del proyecto de resolución establece que el regulador publicará la capacidad máxima de compra de cada distribuidor junto con su capacidad disponible de compra. Si bien es cierto que tal regla se fundamenta en la transparencia del mercado y la necesidad de que los comercializadores mayoristas conozcan previamente cuánto GLP pueden negociar con los distribuidores, la publicidad de tal información también ocasionaría que al momento de concurrir al mercado para adquirir GLP, cada distribuidor sabrá la capacidad de compra de su rival, y esa información podría facilitar la colusión o el seguimiento de un acuerdo colusorio previo.
No obstante, en las OPC concurren de manera directa o indirecta alrededor de 47 distribuidores, lo cual mitiga el riesgo de colusión en este mercado. En efecto, la teoría económica resalta que en la medida que se reduce la cantidad de agentes, mayor será el riesgo de colusión, lo cual, análogamente, implica que un elevado número de distribuidores se encuentra asociado a una baja probabilidad de conductas colusorias.
Por otro lado, la Comisión de Regulación de Energía y Gas ha manifestado su intención de pasar del sistema de OPC para adquirir GLP, a precio regulado, a un sistema de subastas en las que se asignen el precio y las cantidades. En caso de darse dicha transición y, teniendo en cuenta, la alta concentración en la oferta de GLP, existiría el riesgo de que el comercializador mayorista utilice esa información de capacidad de compra para realizar comportamientos estratégicos tendientes a incrementar los precios de las subastas.
3.3. Posibles incentivos para que los distribuidores sobreestimen las cifras de capacidad de envasado.
El artículo 8o de la propuesta normativa establece que la capacidad máxima de compra de los distribuidores estará en función de la capacidad de envasado. Esto implica que un distribuidor que realice inversiones en cilindros, incrementa su capacidad máxima de compra de GLP. Esta situación podría incentivar conductas estratégicas de los distribuidores consistentes en reportar al SUI más cilindros de los que realmente tienen, para poder así acceder a mayores cantidades de GLP, lo que haría perder eficacia a la norma propuesta.
Esta situación afectaría la competencia porque se genera un desplazamiento artificial de competidores en casos donde las asignaciones de la OPC se hagan a prorrata.
En síntesis, las preocupaciones de esta Superintendencia en relación con el proyecto de resolución son tres (3): i) condicionar la capacidad de compra de GLP podría desincentivar el crecimiento de los distribuidores en el mercado; ii) la publicación de información sobre capacidad de compra puede facilitar, en un futuro esquema de subastas, que el comercializador mayorista acuda a comportamientos estratégicos para incrementar artificialmente el precio, y iii) la norma propuesta podría generar el incentivo de sobreestimar la capacidad de envasado en cilindros”.
En respuesta a estas recomendaciones por parte de esta Comisión se debe expresar lo siguiente:
Frente a la alternativa de enfocar la medida regulatoria propuesta en relación con la entrega efectiva de GLP a la existencia de capacidad disponible, en vez de la compra, se debe tener en cuenta que esta alternativa fue analizada por la Comisión, sin embargo, la misma no fue implementada toda vez que esto no permitiría dar cumplimiento a los principios y objetivos que persigue la regulación dentro de la comercialización mayorista de GLP en el marco de la Ley 142 de 1994, los cuales tienen relación con: i) garantizar la asignación de producto con precio regulado en condiciones transparentes y no discriminatorias; ii) contar permanentemente con una adecuada estimación del balance entre oferta y demanda; iii) contar con una imagen integrada de toda la oferta disponible.
Los mecanismos regulatorios definidos, tanto a nivel de precio regulado, así como respecto a las obligaciones, responsabilidades de los agentes, incluido el mecanismo de asignación del producto dentro del reglamento de comercialización mayorista, están dirigidos a incentivar la oferta de GLP dentro de la prestación del servicio público domiciliario de manera eficiente, que lleve al comercializador mayorista con precio regulado a que incorpore dentro de la oferta de la OPC inicial la totalidad del GLP disponible y previsible dentro del período de la OPC, siendo excepcional la aplicación de la OPC adicional para el producto que no tiene dichas características, es decir, disuadiéndolo de ofrecer producto en una OPC adicional cuando no sea procedente.
Para ello, le corresponde al comercializador mayorista ofrecer el producto de manera independiente para cada fuente de producción nacional y de manera simultánea para todas ellas, estableciendo las cantidades disponibles en cada punto de producción, de considerarlo necesario, informando el detalle para cada mes que refleje las condiciones reales y previsibles de disponibilidad. Además el comercializador mayorista, deberá incorporar las variaciones en la producción o importación previsibles, generadas por cualquier causa, en la oferta de venta de GLP disponible y, manteniendo los criterios definidos en la regulación aplicables al precio del producto que se ofrece en una OPC adicional.
En este sentido, en el caso de que la propuesta regulatoria se sustentara en la capacidad disponible y no en la capacidad de compra: i) no permitiría tener un panorama claro de la oferta de producto y del balance oferta demanda lo más cercano posible a la realidad, considerando aquellas posibles variaciones que pueden llegar a darse en la producción o importación de producto; ii) en relación con el anterior literal, esto afectaría la participación de los agentes dentro del mercado, tanto en el incentivo que existe al comercializador mayorista con precio regulado a ofrecer todo el GLP para el servicio público domiciliario, así como en cuanto al GLP que le podría ser asignado a un comercializador mayorista y el criterio de neutralidad como parte de la aplicación del mecanismo de asignación de la OPC;
iii) este panorama es necesario regulatoriamente a efecto de adoptar medidas como parte del balance oferta demanda de GLP; iv) se llevarían a cabo compras de GLP por fuera de la OPC inicial, es decir, se estaría llevando a cabo OPC adicionales para el GLP que no se pueda entregar como aplicación de la presente propuesta regulatoria, toda vez que regulatoriamente la OPC inicial es el escenario que se tiene previsto para realizar la totalidad de las transacciones de GLP en el mercado mayorista, siendo excepcional dicha aplicación para el GLP que no sea disponible y previsible, mas no para aquel que no sea entregado.
Esto crearía un mercado secundario que no está concebido claramente por la regulación lo que puede llevar a la desnaturalización de la OPC inicial.
Igualmente, la propuesta regulatoria no genera un desincentivo al crecimiento de los distribuidores en el mercado de GLP, toda vez que las medidas propuestas están orientadas y dirigidas dentro de los fines que persigue la prestación de los servicios públicos domiciliarios consagrados en la Ley 142 de 1994, así como a los fines a los cuales se sujeta la regulación (sociales y económicos), cuando dentro del objeto de la propuesta se establece que las medidas propuestas se han de expedir, “a fin de evitar que se presenten eventos que afecten el marco regulatorio y la forma como se debe realizar la prestación del servicio público domiciliario de GLP”. Sumado a esto la capacidad de compra total del mercado supera las ventas, dejando una brecha para el crecimiento del mercado formal.
Es por esto que la propuesta regulatoria hace referencia a que las medidas adoptadas corresponden a establecer “parámetros de conducta y la participación de los agentes”, dentro de las actividades de comercialización mayorista y distribución de GLP, por lo que las disposiciones que allí se incorporan están relacionadas con la forma en que los agentes deben conducirse o comportarse a efectos de llevar a cabo la compra y venta de GLP, a nivel mayorista, teniendo en cuenta la relación que esto tiene con la actividad de distribución, atendiendo la forma en que esta se debe llevar a cabo. Lo anterior, principalmente a nivel de la gestión y el incentivo a contar con las inversiones razonables y necesarias para llevar a cabo dicha actividad; razón por la cual, la aplicación de dichas medidas están directamente relacionadas con los reglamentos de comercialización mayorista y minorista de GLP.
En este sentido, el articulado propuesto y las medidas que allí se incluyen establecen criterios que deben ser considerados para la compra y venta de GLP dentro de la comercialización mayorista, sea con precio regulado o con precio libre. Para esto la adquisición del producto por parte de los distribuidores se dará en relación con el nivel de activos (cilindros y tanques estacionarios), y su capacidad de envase, las cuales tienen relación con la actividad de distribución de GLP, así como medidas con respecto al reporte de información en el Sistema Único de Información (SUI), sin que por esto se limite la participación de los agentes en el mercado, toda vez que en el caso de dar cumplimiento a dichas medidas estos podrán mantener su participación en el mercado, más aun teniendo en cuenta que dicha actividad se rige por un esquema regulatorio de libertad vigilada.
Por lo anterior, se establece que esta alternativa basada en la capacidad de entrega genera impactos negativos a nivel regulatorio dentro de los fines y objetivos perseguidos por la comercialización mayorista de GLP, dentro de los cuales se encuentran evitar que el acceso al producto se convierta en una barrera para la competencia en la distribución y comercialización minorista de GLP, o en una ventaja para aumentar la posición dominante de algún agente, así como no se ajusta a los incentivos y los mecanismos diseñados por la regulación para el correcto funcionamiento del mecanismo de asignación de producto y la conducta de los agentes, en materia de oferta de producto al mercado nacional, así como la señal de precio existente.
Ahora bien, para el caso de la aplicación de la propuesta regulatoria dentro de un esquema de subasta que reemplace el esquema actual de comercialización mayorista previsto, entre otras, en las resoluciones CREG 053 de 2011 y 066 de 2007, esta Comisión analizará su compatibilidad y aplicación dentro de dicho esquema, incluyendo los impactos que esto tenga en materia de libre competencia de acuerdo con el análisis que se haga en materia de abogacía de la competencia, donde en caso de ser propuesto, dicha medida regulatoria será enviada a la Superintendencia de Industria y Comercio, en caso de que proceda. En este sentido, la presente propuesta regulatoria se limita al mecanismo de comercialización previsto actual dentro del reglamento de comercialización mayorista dentro de la Resolución CREG 053 de 2011.
Finalmente, en cuanto al posible incentivo de sobreestimar la capacidad de envasado en cilindros ante posibles conductas estratégicas de los distribuidores consistentes en reportar al SUI más cilindros de los que realmente tienen y diseñar un mecanismo de trazabilidad que permite identificar posibles declaraciones sobreestimadas de la capacidad de envasado, se debe tener en cuenta que la información en relación con el nivel de inversiones y, en particular, de los cilindros marcados se encuentra en cabeza de la Superintendencia de Servicios Públicos Domiciliarios.
Sin embargo, y con respecto a esta preocupación, esta Comisión dentro del período de la consulta, como parte de la implementación de la propuesta definitiva, así como atendiendo los comentarios de los agentes en relación con la información del Sicma y el SUI, entre otros, ha venido adelantando un trabajo coordinado con la Dirección Técnica de Gas Combustible de dicha superintendencia a efectos de establecer el estado y el grado de información del Sistema de Información de Cilindros Marcados (Sicma), a partir de la información entregada por la interventoría AIC proyectos, hasta el año 2012, y la reportada por los distribuidores de GLP ante la Superintendencia, desde el año 2012 hasta la fecha, mediante la Resolución SSPD número 20141300040755.
Así mismo, se le ha manifestado a esta superintendencia la necesidad de que dicha herramienta, además de ser pública en cuanto a la información que contiene, permita un control y verificación en eventos como los expresados por la Superintendencia de Industria y Comercio. Sin perjuicio de lo anterior, esta circunstancia será informada directamente a dicha Entidad, como dentro de la discusión de la presente propuesta regulatoria como Entidad participante de la Comisión.
De acuerdo con lo expuesto, una vez analizadas, evaluadas y respondidas las recomendaciones hechas por la Superintendencia de Industria y Comercio, se considera procedente proseguir con la presente propuesta regulatoria para su aprobación por parte de la Comisión atendido los fines y objetivos perseguidos y las motivaciones de orden jurídico, técnico y económico que la sustentan. El detalle de este análisis se encuentra consignado en el documento CREG 030 de 2016.
La Comisión de Regulación de Energía y Gas aprobó el presente acto administrativo en la sesión No. 717 del 16 de mayo de 2016,
RESUELVE:
ARTÍCULO 1o. OBJETO. Establecer medidas regulatorias dentro de las actividades de comercialización mayorista y distribución de GLP, en relación con los parámetros de conducta y participación de los agentes de estas actividades, a fin de evitar que se presenten eventos que afecten el marco regulatorio y la forma como se debe realizar la prestación del servicio público domiciliario de GLP, reforzando la operatividad del esquema de responsabilidad de marca en cilindros, propiedad de los distribuidores, ordenado por la Ley 1151 de 2007.
ARTÍCULO 2o. ÁMBITO DE APLICACIÓN. Esta resolución aplica a distribuidores que, directamente o representados por un comercializador mayorista, compran GLP, así como a comercializadores mayoristas que venden GLP a distribuidores. Asimismo, aquellos agentes que realizan la actividad de distribución de GLP en los términos de la Resolución CREG 023 de 2008, o aquella que la modifique, adicione o sustituya.
ARTÍCULO 3o. DEFINICIONES. Adicionar las siguientes definiciones al artículo 1o de la Resolución CREG 053 de 2011.
Capacidad disponible de compra: Corresponde a la cantidad total de GLP, medida en kilogramos, que puede comprar un distribuidor en el mercado mayorista, durante lo que resta del periodo de compra. Esta capacidad será considerada, calculada y publicada para cada distribuidor, de acuerdo con lo establecido en la regulación.
Oferta de compra ajustada: corresponde a la solicitud de compra, en términos de la Resolución 053 de 2011, de cada distribuidor ajustada de acuerdo con lo establecido en el artículo 13 de la presente resolución.
Periodo de compra: periodo de 6 meses que inicia un primero (1o) de julio de cada año y terminará el treinta y uno (31) de diciembre del mismo año o aquel que inicia del primero (1o) de enero de cada año y termina el treinta (30) de junio del mismo año.
ARTÍCULO 4o. Adicionar el siguiente literal al artículo 6o de la Resolución CREG 053 de 2011 el cual quedará así:
g) Abstenerse de ofrecer y vender GLP a un distribuidor cuando, de manera directa o a través de la representación de otro comercializador mayorista, dicha oferta o venta lleve al distribuidor a exceder su capacidad de compra, de acuerdo con lo previsto en la regulación.
ARTÍCULO 5o. Modificar el numeral 1 del artículo 7o de la Resolución CREG 023 de 2008, el cual quedará así:
“1. Comprar el GLP, a granel y al por mayor, únicamente a comercializadores mayoristas legalmente establecidos, a través de contratos de suministro con estos con sujeción al reglamento de comercialización mayorista que establezca la CREG. Para estos efectos, el distribuidor debe abstenerse de realizar compras de GLP que excedan su capacidad de compra, de acuerdo con lo definido por la regulación”.
ARTÍCULO 6o. Adicionar el siguiente literal al numeral 8 del artículo 6o de la Resolución CREG 023 de 2008, modificado por el artículo 4o de la Resolución CREG 165 de 2008:
d) El Sicma se mantendrá disponible y actualizado por parte de los distribuidores en relación con los cilindros marcados que sean utilizados para efectos de la prestación del servicio público domiciliario de GLP. Para estos efectos, se deberá cumplir lo establecido en la Resolución SSPD 20141200040755, o aquella que la modifique, complemente o sustituya.
ARTÍCULO 7o. Modificar el numeral 7 del artículo 9o de la Resolución CREG 023 de 2008, el cual quedará así:
“7. Llevar un registro consecutivo de todos los cilindros que envasa que permita la trazabilidad de los mismos y para tal fin debe dotarlos de un mecanismo apropiado. En ambos casos deberá ajustarse a las exigencias técnicas que para el efecto establezca el Ministerio de Minas y Energía. En el caso en el cual no le sea posible al distribuidor, por cualquier circunstancia, recuperar cilindros marcados, este deberá informar de la situación a la SSPD, para que en el caso de que sea procedente, se lleve a cabo la modificación del reporte de información que se encuentra en el SUI, con respecto al inventario de cilindros”.
ARTÍCULO 8o. CAPACIDAD DE COMPRAS. <Artículo modificado por el artículo 1 de la Resolución 180 de 2017. El nuevo texto es el siguiente:> La capacidad disponible de compra de los distribuidores que adquieran GLP en el mercado mayorista se determinará así:
![]()
| CDi,t,m: | Capacidad disponible de compra del distribuidor i, para el periodo de compra t, calculada para el mes m, medida en kilogramos. |
| CCi,t: | Capacidad de compra del distribuidor i, para el periodo de compra t, medida en kilogramos. |
| Qi,t,m: | Cantidad de producto que recibe el distribuidor i, medida en kilogramos, durante el periodo de compra t, calculada en el mes m, a partir de los contratos de suministro, reportados al SUI, que tengan alguna entrega durante el periodo t. |
| QTi,t-1: | Cantidad total de producto que recibe el distribuidor i, medida en kilogramos, durante el periodo de compra t-1, calculada a partir de los contratos de suministro, reportados al SUI, que tengan alguna entrega durante el periodo t-1. Para el primer periodo de compra de entrada en vigencia la presente resolución, el valor de |
| m: | Mes de cálculo de la capacidad disponible de compra. |
| t: | Corresponde al periodo de compra siguiente a la fecha de cálculo del |
PARÁGRAFO 1o. <Parágrafo modificado por el artículo 1 de la Resolución 103 001 de 2026. El nuevo texto es el siguiente:> La capacidad de compra de cada distribuidor se calculará de acuerdo con la siguiente fórmula.
![]()
Donde,
Capacidad de compra del distribuidor i, para el periodo de compra t, medida en kilogramos, calculada por lo menos 1 mes antes del inicio del periodo de compra t.
Factor de equivalencia de envasado en cilindros y tanques estacionarios, corresponde a: 0,345.
Capacidad total de envase en cilindros de propiedad del distribuidor i, en el periodo t, medida en kilogramos, de acuerdo con la información reportada al SUI.
0,85: Factor de seguridad de los tanques estacionarios.
Capacidad total de tanques estacionarios atendidos por el distribuidor i, en el periodo t, medida en kilogramos, de acuerdo con la información reportada al SUI.
Factor de activos que tomará el valor de uno (1) si la capacidad total de envase en cilindros
es distinta de cero (0), o si el distribuidor cumple lo dispuesto en el parágrafo 1 del artículo 4o de la Resolución CREG 023 de 2008; y tomará el valor de cero (0) en caso contrario.
Capacidad total del sistema de redes de tubería atendidas por el distribuidor i, en el periodo t, entendida como la cantidad de GLP, medida en kilogramos, vendidos al usuario final por medio de un sistema de distribución reconocido y remunerado mediante la Resolución CREG 202 de 2013 y sus modificaciones, y a los cuales le aplique la fórmula tarifaria establecida en la Resolución CREG 137 de 2013.
PARÁGRAFO 2o. La capacidad total de envase en cilindros, de propiedad del distribuidor i, en el periodo t, se calculara de la siguiente forma:
![]()
Donde:
| Cap. cili,t: | Capacidad total de envase en cilindros de propiedad del distribuidor i, en el periodo t, medida en kilogramos, registrado en el SUI. |
| Cap. 1i,t: | Capacidad de envase en cilindros, de acuerdo con la información registrada desde el 2008 hasta octubre de 2012, por AIC proyectos, para cada marca de propiedad del distribuidor i, en el periodo t, medida en kilogramos, definido de la siguiente forma: |

Donde:
| CPLb; | Cada uno de los diferentes códigos de presentación de envasado en cilindros, medidos en libras, de acuerdo con la información registrada desde el 2008 hasta octubre de 2012, por AIC proyectos y publicada en el SUI. |
| NCCP_LB: | Número de cilindros de propiedad de distribuidor i, con una capacidad de envasado CPLb, de acuerdo con información reportada en el SUI. |
| 0,454: | Cantidad de kilogramos por libras americanas, de acuerdo con la NTC 3853. |
| 6: | Número de meses del periodo de compra. |
| Cap. 2i,t: | Capacidad de envase en cilindros, de acuerdo con la información registrada al SUI desde noviembre de 2012 hasta la fecha, para cada marca de propiedad del distribuidor i en el periodo t, medida en kilogramos, definida de la siguiente forma: |

Donde:
| CPKg: | Cada uno de los diferentes códigos de presentación de envasado en cilindros, medidos en kilogramos, de acuerdo con la información registrada al SUI desde noviembre de 2012 hasta la fecha. |
| NCCP,Kg: | Número de cilindros de propiedad de distribuidor i, con una capacidad de envasado CPKg, de acuerdo con información reportada en el SUI. |
| 6: | Número de meses del periodo de compra. |
PARÁGRAFO 3o. La capacidad total de tanques estacionarios atendidos por el distribuidor i, en el periodo t, se calculara de la siguiente forma:

Donde:
| Cap. T Ei,t: | Capacidad total de tanques estacionarios atendidos por el distribuidor i, en el periodo t, medida en kilogramos, de acuerdo con la información reportada al SUI. |
| CV: | Capacidad de cada uno de los tanques estacionarios atendidos por el distribuidor i, galones, de acuerdo con la información publicada en el SUI. |
| NTECV: | Número de tanques estacionarios atendidos por el distribuidor i, con una capacidad CV, de acuerdo con la información reportada al SUI. |
| 2,10: | Factor de conversión kilogramos por galón. |
| 6: | Número de meses del periodo de compra. |
PARÁGRAFO 4 <Parágrafo modificado por el artículo 1 de la Resolución 103 001 de 2026. El nuevo texto es el siguiente:> La capacidad total de redes de tubería atendidas por el distribuidor i, en el periodo t, medida en kilogramos, se calculará así:
![]()
Capacidad total del sistema de redes de tubería atendidas por el distribuidor i, en el periodo t, entendida como la cantidad de GLP, medida en kilogramos, vendidos al usuario final por medio de un sistema de distribución reconocido y remunerado mediante la Resolución CREG 202 de 2013 y sus modificaciones, y a los cuales le aplique la fórmula tarifaria establecida en la Resolución CREG 137 de 2013.
Capacidad del sistema de redes de tubería de GLP, medida en kilogramos, de los mercados para los cuales el distribuidor i no cuente con reporte en el SUI de número de suscriptores entre el mes 4 de t-3 y el mes 3 de t-2 mayores a cero (0), pero que cuenten con su primer reporte de número de suscriptores en el SUI entre el mes 4 de t-2 y el mes 3 de t-1 mayores a cero (0).
Capacidad del sistema de redes de tubería de GLP, medida en kilogramos, de los mercados para los cuales el distribuidor i cuente con reporte en el SUI de número de suscriptores entre el mes 4 de t-3 y el mes 3 de t-2 mayores a cero (0), así como número de suscriptores entre el mes 4 de t-2 y el mes 3 de t-1 mayores a cero (0).
i: Corresponde al distribuidor i.
t: Corresponde al periodo de compra siguiente a la fecha de cálculo del CC_(i,t), del que trata el parágrafo 1 del presente artículo, entendido como intervalo de seis (6) meses.
PARÁGRAFO 4.1. <Parágrafo adicionado por el artículo 1 de la Resolución 103 001 de 2026. El nuevo texto es el siguiente:> Capacidad del sistema de redes de tubería de mercado inicial de GLP
. Para los mercados relevantes
para los cuales el distribuidor i no cuente con reporte en el SUI de número de suscriptores entre el mes 4 de t-3 y el mes 3 de t-2 mayores a cero (0), pero que cuenten con su primer reporte de número de suscriptores en el SUI entre el mes 4 de t-2 y el mes 3 de t-1 mayores a cero (0), la
se calculará de acuerdo con la siguiente fórmula:

Donde,
Capacidad del sistema de redes de tubería de GLP, medida en kilogramos, de los mercados para los cuales el distribuidor i no cuente con reporte en el SUI de número de suscriptores entre el mes 4 de t-3 y el mes 3 de t-2 mayores a cero (0), pero que cuenten con su primer reporte de número de suscriptores en el SUI entre el mes 4 de t-2 y el mes 3 de t-1 mayores a cero (0).
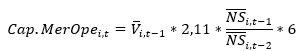
Llenado inicial de estación de GLP del mercado relevante
, del distribuidor i, expresado en galones (gal), de acuerdo con la resolución de aprobación de cargos de distribución del
.
0,85: Factor de seguridad de los tanques de las estaciones.
2,01: Factor de conversión de kilogramos por galón.
Llenado inicial de línea de redes de GLP del mercado relevante
, del distribuidor i, expresado en metros cúbicos
, calculado conforme a la cantidad en kilómetros y dimensión de la tubería, de acuerdo con la resolución de aprobación de cargos de distribución del
.
Proyección de la demanda del mercado relevante
, en volumen de GLP del distribuidor i para el año 1, expresada en metros cúbicos
, de acuerdo con la resolución de aprobación de cargos de distribución del
.
2,11: Factor de conversión de kilogramos por metro cúbico del GLP en estado gaseoso, a condiciones estándar.
t: Corresponde al periodo de compra siguiente a la fecha de cálculo del
, del que trata el parágrafo 1 del presente artículo, entendido como intervalo de seis (6) meses.
PARÁGRAFO 4.2. <Parágrafo adicionado por el artículo 1 de la Resolución 103 001 de 2026. El nuevo texto es el siguiente:> Capacidad del sistema de redes de tubería de mercado operando de GLP
. Para los mercados relevantes
para los cuales el distribuidor i cuente con reporte en el SUI de número de suscriptores entre el mes 4 de t-3 y el mes 3 de t-2 mayores a cero (0), así como número de suscriptores entre el mes 4 de t-2 y el mes 3 de t-1 mayores a cero (0), se calculará la
de acuerdo con la siguiente fórmula:

Donde,
Capacidad del sistema de redes de tubería de GLP, medida en kilogramos, de los mercados para los cuales el distribuidor i cuente con reporte en el SUI de número de suscriptores entre el mes 4 de t-3 y el mes 3 de t-2 mayores a cero (0), así como número de suscriptores entre el mes 4 de t-2 y el mes 3 de t-1 mayores a cero (0).
Promedio mensual de la cantidad de GLP vendido a través de redes de tubería, expresada en metros cúbicos (m³), durante los tres primeros meses del periodo de compra t-1, es decir:
![]()
2,11: Factor de conversión de kilogramos por metro cúbico del GLP en estado gaseoso, a condiciones estándar.
Promedio aritmético del número de suscriptores del distribuidor i reportados en los meses 1, 2 y 3 del periodo de compra t-1, de acuerdo con la información reportada al SUI, es decir:
![]()
Promedio aritmético del número de suscriptores del distribuidor i reportados en los meses 1, 2 y 3 del periodo de compra t-2, de acuerdo con la información reportada al SUI, es decir:

t: Corresponde al periodo de compra siguiente a la fecha de cálculo del
, del que trata el parágrafo 1 del presente artículo, entendido como intervalo de seis (6) meses.
6: Número de meses del periodo de compra.
PARÁGRAFO 5o. <Parágrafo modificado por el artículo 1 de la Resolución 103 001 de 2026. El nuevo texto es el siguiente:> En el caso de entrar nuevos distribuidores al mercado, la CREG definirá su capacidad de compra al inicio de cada periodo de compra a partir de la información reportada al SUI, y de la resolución de aprobación de cargos de distribución, según corresponda.
ARTÍCULO 9o. DETERMINACIÓN Y PUBLICACIÓN DE LA CAPACIDAD DE COMPRA. <Artículo modificado por el artículo 2 de la Resolución 180 de 2017. El nuevo texto es el siguiente:> Atendiendo lo dispuesto en el artículo anterior, la CREG determinará mediante acto administrativo particular y publicará mediante circular, con anterioridad al inicio de cada periodo de compra, la capacidad de compra de los distribuidores con información reportada al SUI, hasta el día 10 del mes correspondiente.
PARÁGRAFO. En el caso de celebrar contratos con periodos superiores a los dos siguientes publicados, se podrá solicitar a la CREG la estimación de una capacidad de compra con una vigencia superior.
PARÁGRAFO TRANSITORIO Para el tercer período de compra en que se lleve a cabo la aplicación de la presente resolución, el resultado de la capacidad de compra definida y determinada para los distribuidores de GLP en los actos administrativos particulares expedidos por la CREG, será objeto del siguiente factor de ajuste:
![]()
| CC.P3i,3: | Capacidad de compra definida y objeto de publicación para el tercer periodo de compra (t = 3). |
| CCi,t: | Capacidad de compra del distribuidor i, para el periodo de compra (t = 3), medida en kilogramos, definida en los actos administrativos particulares expedidos por la CREG. |
| FT: | Factor de ajuste, corresponde a: 15%. |
El CC.P3i,3 será objeto de la publicación a que hace referencia el inciso primero del presente artículo y corresponderá a la capacidad de compra definitiva que deberán tener en cuenta los comercializadores mayoristas a efectos de dar cumplimiento a las obligaciones previstas en el presente acto administrativo y demás normas aplicables.
ARTÍCULO 10. Modificar los literales g y h del artículo 13 de la Resolución CREG 053 de 2011, y adicionar el siguiente parágrafo a los listados en dicha disposición:
“g) Si para una fuente cuyo producto es objeto de la OPC, la cantidad total de GLP correspondiente a las ofertas de compra ajustadas es menor que la cantidad total ofrecida para la venta, el GLP debe asignarse según las ofertas de compra ajustadas.
“h) Si para una fuente cuyo producto es objeto de la OPC, la cantidad total de GLP correspondiente a las ofertas de compra ajustadas es mayor que la cantidad total ofrecida para la venta, debe aplicarse el siguiente proce dimiento:
1. Se debe asignar el GLP aplicando las reglas definidas en el artículo 14 de esta Resolución.
2. Una vez asignadas estas cantidades, el comercializador mayorista debe abrir una segunda ronda para ofrecer, de manera independiente y simultánea, el producto nacional que haya podido quedar disponible en otros puntos de producción, a los compradores que estén interesados. Esta segunda oferta estará sujeta a las mismas condiciones de la primera oferta.
3. De ser necesaria la importación de GLP para cubrir el faltante de producto, y si el comercializador mayorista dispone de instalaciones para la importación, este podrá completar el GLP para esta segunda ronda ofreciendo adicionalmente producto importado para que los interesados puedan presentar ofertas de compra o, de no hacerlo, deberá facilitar el acceso a dichas instalaciones a los interesados en importar el producto y definir una tarifa de acceso de conformidad con las normas que rigen esta materia. Los contratos resultantes para el GLP importado regulado tendrán las mismas características de firmeza en la entrega y de obligación de compra de las cantidades contratadas definidas para la OPC de producción nacional.
4. Si para esta segunda ronda persiste que la cantidad ofertada para la venta es menor que la cantidad ofertada para la compra, se deben aplicar las reglas de prorrateo en segunda vuelta establecidas en el numeral g del artículo 14 de esta resolución, sobre las cantidades ofertadas para la compra. Los interesados en presentar oferta en esta segunda ronda no podrán hacer solicitudes de producto superiores a sus cantidades pendientes de asignar después de efectuadas las dos vueltas de la primera ronda, como se describe en el artículo 14.”
PARÁGRAFO. Las ofertas de compra, que cada distribuidor remita al comercializador mayorista que lleva a cabo la OPC, deberán modificarse según el siguiente procedimiento, del que resultan las ofertas de compra ajustadas:
1. Cuando la suma de las ofertas de compra remitidas por un distribuidor, para todas las fuentes ofrecidas, sea menor o igual que su capacidad disponible de compra, las ofertas de compra ajustadas para este distribuidor serán iguales a las ofertas de compra remitidas.
2. Cuando la suma de las ofertas de compra remitidas por un distribuidor, para todas las fuentes ofrecidas, sea mayor que su capacidad disponible de compra, las ofertas de compra remitidas se ajustarán, fuente por fuente, de tal manera que la suma de las ofertas de compra ajustadas sea igual a la capacidad disponible de compra, manteniendo las proporciones, por fuente, de las ofertas de compra remitidas.
ARTÍCULO 11. Modificar los literales d y f del artículo 14 de la Resolución CREG 053 de 2011, los cuales quedarán así:
“d. Si la cantidad promedio histórica de un solicitante es mayor que la oferta de compra ajustada, se debe considerar esta última para efectos de hacer la asignación en primera vuelta definida en el literal c anterior.”
“f. Una vez asignado el producto de esta forma, para cada solicitante se debe calcular la cantidad de producto que, de acuerdo con la oferta de compra ajustada, le quedó pendiente por asignar.”
ARTÍCULO 12. VIGENCIA. Esta resolución rige a partir de su publicación en el Diario Oficial y deroga las normas que le sean contrarias.
Publíquese y cúmplase.
Dada en Bogotá, D.C., a 16 de mayo 2016.
El Presidente,
CARLOS FERNANDO ERASO CALERO.
Viceministro de Energía, Delegado del Ministro de Minas y Energía.
El Director Ejecutivo,
JORGE PINTO NOLLA.
* * *
| 1. | Dicho artículo se mantiene vigente toda vez que el artículo 267 de la Ley 1753 de 2015 establece en materia de vigencias y derogatorias que “con el fin de dar continuidad a los planes, programas y proyectos de mediano y largo plazo, los artículos de las Leyes 812 de 2003, 1151 de 2007 y 1450 de 2011 no derogados expresamente en el inciso anterior o por otras leyes, continuarán vigentes hasta que sean derogados o modificados por norma posterior.” |
| 2. | Cuando se analiza el estado de los cilindros universales que fueron recogidos durante el periodo de transición (2008-2012), se encuentra que de los 6,18 millones de cilindros universales recogidos, 4,91 millones fueron destruidos, lo que equivale a que solo el 21% fueron aptos para ser adecuados a cilindros de marca. La situación fue más favorable para el caso de los cilindros de 30 Lb, cuya destrucción fue del 60% de los cilindros universales recogidos; para los demás casos la destrucción fue por encima del 90%. |
| 3. | Adicionalmente, mediante las resoluciones CREG 021 de 2003, 057 de 2004, 002 de 2005, 009 de 2006, 048 de 2006, 015 de 2007, 067 de 2008 permitieron la destrucción de 4.138.595 cilindros universales. |
| 4. | Por la cual se adoptan medidas regulatorias dentro de las actividades de distribución y/o comercialización minorista de GLP enfocadas a reforzar la aplicación del esquema de responsabilidad de marcas en cilindros. |
| 5. | Con respecto a las conductas de terceros que afectan la prestación del servicio público domiciliario de GLP se puede consultar el numeral 3.2 “Acciones de terceros que afectan la prestación del servicio” del documento CREG D-093 de 2014. |
| 6. | La definición de dicho régimen se realizó considerando los siguientes elementos: |
| -- La prestación del servicio en cilindros y en tanques estacionarios iniciaba un cambio hacia un esquema de responsabilidad a través de la marca, contribuyendo no solo a mejoras en la prestación del servicio sino también a la competencia a través del posicionamiento de la marca en una relación calidad-precio. | |
| -- Históricamente el precio al usuario final estaba en gran parte regido bajo un esquema de libertad vigilada para algunos municipios, lo que no cambiaba la situación para un gran porcentaje de la demanda. La liberación de precios existía en los municipios donde el gas combustible por red estaba altamente desarrollado para permitir una libre competencia con ese sustituto, y también era libre para muchos usuarios porque al precio regulado en terminales de entrega se adicionaba libremente el valor del flete hasta el domicilio del usuario. | |
| -- Existía un número importante de empresas dispuestas a prestar el servicio en los municipios, propiciando que a través de la competencia el mercado mismo pudiese fijar el precio. | |
| 7. | En el caso de Ecopetrol, agente con posición dominante en el mercado, la CREG estableció un precio regulado para el producto proveniente de las principales fuentes de producción nacional (i.e., Barranca, Apiay y Cartagena), equivalente a la paridad de exportación. Considerando la eventual necesidad de hacer importaciones marginales, aquellas que sean realizadas por Ecopetrol también tienen un precio regulado equivalente al costo de importación más un 8% de margen de comercialización, siempre y cuando las mismas se hagan para atender incrementos de la demanda y no para cubrir desviaciones de producción previamente contratadas. |
| Así mismo, cuando se hizo el análisis por parte de la CREG para la expedición de la Resolución CREG 066 de 2007 se observó que el Campo de Cusiana era operado por un agente diferente al Comercializador Mayorista que en ese momento tenía posición dominante en el mercado y, por lo tanto, podría considerarse como un posible competidor. | |
| 8. | Desde el punto de vista tarifario, atendiendo las facultades regulatorias con las que cuenta la CREG en esta materia y como parte de la fijación de los precios y la remuneración que se debía dar al producto en la comercialización mayorista, la CREG consideró que a través de estas resoluciones: i) se debía proporcionar al mercado señales regulatorias de escasez y remunerar el verdadero costo económico del bien; ii) dichas señales debían estar en consonancia con el cumplimiento de los criterios que en esta materia se encuentran previstos en el artículo 87 de la Ley 142 de 1994; iii) las señales de precios debían orientar el interés privado, así como el beneficio para los usuarios en relación con las tarifas, en términos de eficiencia y una adecuada remuneración que permitiera contar con el producto para la prestación del servicio público domiciliario. En este mismo sentido, mediante la Resolución CREG 079 de 2015 se adoptaron medidas regulatorias como parte de la actualización del balance oferta demanda del gas licuado de petróleo para las fuentes con precio regulado, a fin de enviar una señal de precios eficiente y concorde con la regulación vigente, que incentivara al productor a ofertar el GLP en el mercado nacional para el servicio público domiciliario en lugar de utilizarlo como consumo en su refinería. |
| 9. | Esta Comisión ha precisado que el entendimiento de la regulación, en este caso para la comercialización mayorista de GLP, se debe hacer a partir de un ejercicio de hermenéutica regulatoria, entendido este como la interpretación en la aplicación y alcance de dicha normativa se debe hacer: i) De manera armónica e integral teniendo en cuenta la totalidad de las disposiciones previstas en la regulación y no de manera aislada. Lo anterior, debido a que la interpretación de la regulación debe hacerse en el marco de un principio de unidad regulatoria, como un sistema con sentido lógico, por tanto, que sus disposiciones no sean abordadas a partir de una visión puramente individualista de sus textos, evitando interpretaciones aisladas o contradictorias de las disposiciones que la integran; ii) considerando que las facultades regulatorias de la Comisión se sujetan a los principios constitucionales y legales a los que se somete la prestación del servicio público domiciliario de gas combustible. Lo anterior, bajo la consideración de que su ejercicio debe entenderse como un mecanismo de intervención del Estado en la economía, a fin de garantizar la prestación eficiente de los servicios públicos domiciliarios de energía eléctrica y gas combustible, así como el buen funcionamiento del mercado, entre otros; iii) considerando los propósitos y objetivos previstos por la regulación en su integridad, estableciendo su verdadero alcance y contenido, lo cual, es propio de una interpretación finalista y sistemática de la misma. |
| 10. | Estos eventos así han sido planteados por parte de las agremiaciones Agremgas y Gasnova, mediante comunicaciones E-2015-010818. |
| 11. | El parágrafo 1o del artículo 210 de la Ley 1153<sic, 1753> de 2015, establece lo siguiente “Autorícese el uso de Gas Licuado de Petróleo (GLP), como carburante en motores de combustión interna, como carburante en transporte automotor (autogas) y demás usos alternativos del GLP en todo el territorio nacional. |
| El Ministerio de Minas y Energía expedirá los reglamentos necesarios para tal fin, así como las condiciones de priorización en la utilización del GLP en situaciones de escasez y, en general, la política energética aplicable al GLP en todo el territorio nacional. | |
| Cuando la oferta de gas licuado de petróleo sea insuficiente para garantizar el abastecimiento de la demanda, el Gobierno nacional, de acuerdo con los ordenamientos y parámetros establecidos en la Ley 142 de 1994, fijará el orden de atención prioritaria en la región o regiones afectadas”. | |
| 12. | Con respecto a las conductas de terceros que afectan la prestación del servicio público domiciliario de GLP se puede consultar el numeral 3.2 “Acciones de terceros que afectan la prestación del servicio”, del documento CREG D-093 de 2014. |
| 13. | Corte Constitucional, Sentencia C-150 de 2003. |
| 14. | Corte Constitucional, Sentencia C-263 de 2013. |
| 15. | Se debe precisar que estas disposiciones se encuentran recogidas actualmente en los numerales 2.2.30.1 y siguientes del Decreto 1078 de 2015. |