RESOLUCIÓN 240 B DE 2015
(diciembre 22)
Diario Oficial No. 49.783 de 11 de febrero de 2016
COMISIÓN DE REGULACIÓN DE ENERGÍA Y GAS,
Por la cual se ordena hacer público un proyecto de resolución de carácter general, “por la cual se aprueba la fórmula tarifaria general que permite a los Comercializadores Minoristas de electricidad establecer los costos de prestación del servicio a usuarios regulados en el Sistema Interconectado Nacional”.
LA COMISIÓN DE REGULACIÓN DE ENERGÍA Y GAS,
en ejercicio de sus atribuciones constitucionales y legales, en especial las conferidas por las Leyes 142 y 143 de 1994, y en desarrollo de los Decretos 1524, 2253 de 1994 y 1260 de 2013,
CONSIDERANDO QUE:
El Decreto 1078 de 2015 en su artículo 2.2.13.3.4, dispone que tres meses antes de la entrada en vigencia de las fórmulas tarifarias deberán hacerse públicos en la página web de la Comisión, el proyecto de resolución.
La Comisión de Regulación de Energía y Gas, en su Sesión 695 del 22 de diciembre de 2015, acordó hacer público el proyecto de resolución “por la cual se aprueba la fórmula tarifaria general que permite a los Comercializadores Minoristas de electricidad establecer los costos de prestación del servicio a usuarios regulados en el Sistema Interconectado Nacional”.
RESUELVE:
ARTÍCULO 1o. Hágase público el proyecto de resolución “por la cual se aprueba la fórmula tarifaria general que permite a los Comercializadores Minoristas de electricidad establecer los costos de prestación del servicio a usuarios regulados en el Sistema Interconectado Nacional”.
ARTÍCULO 2o. <Ver prórrogas en Notas de Vigencia> Se invita a los agentes, a los usuarios, a las autoridades locales municipales y departamentales competentes y a la Superintendencia de Servicios Públicos Domiciliarios, para que remitan sus observaciones o sugerencias sobre la propuesta, dentro de los tres (3) meses siguientes a la publicación de la presente resolución en la página web de la Comisión de Regulación de Energía y Gas.
ARTÍCULO 3o. Las observaciones y sugerencias sobre el proyecto deberán dirigirse al Director Ejecutivo de la Comisión, a la siguiente dirección: avenida calle 116 No 7-15, Edificio Torre Cusezar, Interior 2, oficina 901 Bogotá, D. C., o al correo electrónico creg@creg.gov.co
ARTÍCULO 4o. La presente resolución no deroga ni modifica disposiciones vigentes por tratarse de un acto de trámite.
Publíquese y cúmplase.
Dada en Bogotá, D. C., a 22 de diciembre de 2015.
El Presidente,
TOMÁS GONZÁLEZ ESTRADA,
Ministro de Minas y Energía.
El Director Ejecutivo,
JORGE PINTO NOLLA.
por la cual se aprueba la fórmula tarifaria general que permite a los Comercializadores Minoristas de electricidad establecer los costos de prestación del servicio a usuarios regulados en el Sistema Interconectado Nacional.
La Comisión de Regulación de Energía y Gas,
en ejercicio de las atribuciones legales, en especial las conferidas por las Leyes 142 y 143 de 1994, y los Decretos 1524, 2253 de 1994 y 1260 de 2013.
CONSIDERANDO QUE:
El artículo 73.11 de la Ley 142 de 1994 atribuyó a la Comisión de Regulación de Energía y Gas la facultad de establecer las fórmulas para la fijación de las tarifas del servicio público domiciliario de energía eléctrica.
La Ley 143 de 1994, en particular el artículo 23, asignó a la Comisión la función de aprobar las fórmulas tarifarias y las metodologías para el cálculo de las tarifas aplicables a los usuarios regulados.
Según lo dispuesto en los artículos 87 de la Ley 142 de 1994 y 44 de la Ley 143 del mismo año, el régimen tarifario estará orientado por los criterios de eficiencia económica, suficiencia financiera, neutralidad, solidaridad y redistribución del ingreso, simplicidad y transparencia.
En virtud del principio de eficiencia económica, definido en el artículo 87 de la Ley 142 de 1994, el régimen de tarifas procurará que estas se aproximen a lo que serían los precios de un mercado competitivo, que las fórmulas tarifarias no pueden trasladar a los usuarios los costos de una gestión ineficiente, ni permitir que las empresas se apropien de las utilidades provenientes de prácticas restrictivas de la competencia.
Según lo dispone el artículo 90.2 de la Ley 142 de 1994, podrá incluirse dentro de las fórmulas tarifarias un cargo fijo que refleje los costos económicos involucrados en garantizar la disponibilidad permanente del servicio para el usuario, independientemente del nivel de uso.
El artículo 91 de la Ley 142 de 1994 dispuso que para establecer las fórmulas tarifarias se calculará por separado, cuando sea posible, una fórmula para cada una de las diversas etapas del servicio.
De conformidad con lo establecido en el artículo 35 de la Ley 142 de 1994, las Comisiones de Regulación podrán exigir, por vía general, que las empresas adquieran el bien o servicio que distribuyan, a través de licitaciones públicas o cualquier otro procedimiento que estimule la concurrencia de oferentes.
El artículo 125 de la Ley 142 de 1994 establece los criterios para la actualización de las tarifas.
El artículo 126 de la Ley 142 de 1994, estableció que vencido el período de vigencia de las fórmulas tarifarias, estas continuarán rigiendo mientras la Comisión no fije las nuevas.
Según el artículo 42 de la Ley 143 de 1994 “las ventas de electricidad a usuarios finales regulados serán retribuidas, sin excepción, por medio de tarifas sujetas a regulación”.
Mediante la Resolución CREG 031 de 1997 se aprobaron las fórmulas generales que permitieron a los comercializadores de electricidad establecer los costos de prestación del servicio a usuarios regulados en el Sistema Interconectado Nacional.
La Resolución CREG 005 de 2000 precisó las fuentes de información para calcular el Costo Unitario de Prestación del Servicio (CU) definido en la Resolución CREG 031 de 1997.
Mediante la Resolución CREG 112 de 2001 se identificaron los Índices de Precios contenidos en las Fórmulas Tarifarias para los servicios públicos domiciliarios de energía eléctrica y gas combustible, para efectos de lo dispuesto en el artículo 125 de la Ley 142 de 1994.
Mediante el Decreto 387 de 2007, el Gobierno Nacional estableció que las fórmulas tarifarias deben reconocer el costo de la energía adquirida por los Comercializadores Minoristas que atienden Usuarios Regulados, y que dicha energía deberá ser adquirida a través de los mecanismos de mercado establecidos por la CREG.
Mediante el Decreto 387 de 2007, el Gobierno Nacional estableció que la fórmula tarifaria incluirá un Costo Base de Comercialización que remunerará los costos fijos de los Comercializadores Minoristas y un margen de Comercialización que refleja los costos variables de la actividad.
Mediante el Decreto 387 de 2007, el Gobierno Nacional estableció que la CREG le reconocerá al Operador de Red el costo eficiente del Plan de Reducción de Pérdidas No Técnicas, el cual será trasladado a todos los Usuarios Regulados y No Regulados conectados al respectivo OR.
Con la Resolución CREG 119 de 2007 la Comisión aprobó la fórmula tarifaria general que permite a los comercializadores minoristas de electricidad establecer los costos de prestación del servicio a usuarios regulados en el sistema interconectado nacional.
El artículo 11 de la Resolución CREG 119 de 2007 definió las variables Cvm,i,j y el Cfm,j como el margen y el costo base a reconocer a los comercializadores que atienden usuarios regulados, respectivamente.
La Resolución CREG 119 de 2007 fue modificada por las Resoluciones CREG, 017 de 2008, 018 de 2008, 156 de 2009, 173 de 2011 y 191 de 2014.
La Resolución CREG 156 de 2011 estableció la figura del prestador de última instancia a efectos de garantizar la continuidad del servicio de los usuarios atendidos por el comercializador respecto del cual se produzca el retiro del mercado.
De conformidad con lo dispuesto en el artículo 36 de la Resolución CREG 156 de 2011, el comercializador debe constituir los mecanismos de cubrimiento para el pago de los cargos por uso del STR y del SDL. Entre los mecanismos señalados se encuentran las garantías financieras.
Es necesario incluir en las variables del margen de comercialización una que remunere el costo de la actividad de comercialización realizada por el prestador de última instancia y otra variable que remunere el costo de las garantías financieras para cubrir el pago que el comercializador debe realizar de los cargos por uso del STR y/o SDL.
Con la expedición de la Resolución CREG 158 de 2011 se modifican algunas disposiciones en materia de garantías y pagos anticipados de los agentes participantes en el Mercado de Energía Mayorista.
En el Documento CREG 123 de 2011 se señaló que las consecuencias de la modificación del ciclo de efectivo de la actividad de comercialización de energía eléctrica se analizarían en el marco de la metodología para la remuneración de la actividad de comercialización.
De conformidad con el artículo 1o del Decreto 3414 de 2009, “la Comisión de Regulación de Energía y Gas, al adoptar la metodología de remuneración de la actividad de comercialización solo aplicará lo dispuesto por el literal g) del artículo 3o del Decreto 387 de 2007, si al momento de aprobar dicha metodología, el Ministerio de Minas y Energía establece que a la luz de lo previsto en el Marco de Gasto de Mediano Plazo, dispondrá de los recursos necesarios para sufragar los gastos adicionales por concepto de subsidios a la demanda.”.
De conformidad con el artículo 2o del Decreto 3414 de 2009, para efectos de la aplicación de lo dispuesto en el artículo 1o del mismo Decreto, la Comisión de Regulación de Energía y Gas, realizará los ajustes necesarios a la Resolución CREG 119 de 2007.
En el Decreto 1937 de 2013 “por el cual se modifica el Decreto 387 de 2007”, se derogó el literal g) del artículo 3o del Decreto 387 de 2007, que disponía: “Los usuarios regulados pertenecientes a un mismo mercado de comercialización sufragarán el servicio prestado por los comercializadores minoristas que actúen en dicho mercado, a través del cobro de: i) Un monto uniforme único que refleje el costo base de comercialización, y ii) Un margen de comercialización”.
La Resolución CREG 097 de 2008 aprobó los principios generales y la metodología para el establecimiento de los cargos por uso de los Sistemas de Transmisión Regional y Distribución Local.
La Resolución CREG 011 de 2009 estableció la metodología y fórmulas tarifarias para la remuneración de la actividad de transmisión de energía eléctrica en el Sistema de Transmisión Nacional.
Mediante Resolución CREG 135 de 2014 se presentó a los agentes, usuarios y terceros interesados las bases sobre las cuales se realizarán los estudios para establecer la fórmula tarifaria para el siguiente período tarifario, que permita a las empresas comercializadoras de energía eléctrica calcular los costos unitarios de prestación del servicio y las tarifas aplicables a los usuarios regulados en el SIN.
El artículo 2.2.13.3.4 del Decreto 1078 de 2015 contiene reglas especiales para la adopción de fórmulas tarifarias, que regirán durante cinco (5) años de acuerdo con lo establecido en los artículos 126 y 127 de la Ley 142 de 1994.
La CREG estableció los criterios generales para determinar la remuneración de la actividad de comercialización de energía eléctrica a usuarios regulados en el Sistema Interconectado Nacional, con la promulgación de la Resolución CREG 180 de 2014.
RESUELVE:
ARTÍCULO 1o. OBJETO. La presente resolución tiene como objeto establecer la fórmula tarifaria general que deberán aplicar los Comercializadores Minoristas en el Sistema Interconectado Nacional, para calcular los Costos Máximos de Prestación del Servicio de Energía Eléctrica y las tarifas aplicables a los usuarios finales regulados.
ARTÍCULO 2o. RÉGIMEN DE LIBERTAD REGULADA. Las empresas Comercializadoras Minoristas al fijar sus tarifas a los usuarios finales regulados quedan sometidas al régimen de libertad regulada previsto en los artículos 14.10 y 88.1 de la Ley 142 de 1994.
Toda empresa que realice la actividad de Comercialización Minorista determinará con la fórmula tarifaria general y con la metodología establecida en esta resolución, las tarifas que aplicará a los usuarios finales regulados.
DEFINICIONES.
ARTÍCULO 3o. DEFINICIONES. Para la interpretación y aplicación de esta resolución se tendrán en cuenta, además de las definiciones establecidas en las Leyes 142 y 143 de 1994, otras leyes aplicables, decretos reglamentarios y resoluciones vigentes de la CREG, las siguientes
Actividad de comercialización minorista: Actividad que consiste en la intermediación comercial entre los agentes que prestan los servicios de generación, transmisión y distribución de energía eléctrica y los usuarios finales de dichos servicios, bien sea que esa actividad se desarrolle o no en forma combinada con otras actividades del sector eléctrico, según lo dispuesto por la regulación y la ley.
Comercializador minorista: Generador-Comercializador, Distribuidor-Comercializador Minorista o Comercializador Minorista que desarrolla la Actividad de Comercialización Minorista.
Costo base de comercialización: Componente de la Fórmula Tarifaria que remunera los costos fijos de las actividades desarrolladas por los Comercializadores Minoristas de energía eléctrica que actúan en el Mercado Regulado y que se causan por usuario atendido en un Mercado de Comercialización.
Costo unitario de prestación del servicio de energía eléctrica: Es el costo económico eficiente de prestación del servicio al usuario final regulado, expresado en pesos por kilovatio hora ($/kWh) y en pesos por factura que resulta de aplicar la fórmula tarifaria general establecida en la presente resolución, y que corresponde a la suma de los costos eficientes de cada una de las actividades de la cadena eléctrica.
Demanda comercial del comercializador minorista por mercado de comercialización: Corresponde al valor de la demanda de energía eléctrica del conjunto de Usuarios Regulados y No Regulados que son atendidos por un Comercializador Minorista afectada con las pérdidas técnicas reconocidas para el respectivo OR donde se encuentren conectadas sus fronteras comerciales, las pérdidas no técnicas asignadas a cada Comercializador Minorista conforme lo establezca la Comisión en resolución independiente y las pérdidas en el Sistema de Transmisión Nacional (STN).
Demanda comercial del mercado regulado: Corresponde al valor de la demanda de energía eléctrica del conjunto de Usuarios Regulados de un Mercado de Comercialización que son atendidos por un Comercializador Minorista afectada con las pérdidas técnicas reconocidas para el respectivo OR donde se encuentren conectadas sus fronteras comerciales, las pérdidas no técnicas asignadas a cada Comercializador Minorista conforme lo establezca la Comisión en resolución independiente y las pérdidas en el Sistema de Transmisión Nacional (STN).
Índice de precios: Es el índice que permite medir las variaciones en los precios de las componentes de las fórmulas tarifarias.
Margen de comercialización: Margen a reconocer a los Comercializadores Minoristas que atienden Usuarios Regulados, que refleja los costos variables de la actividad.
Mercado de comercialización: Conjunto de Usuarios Regulados y No Regulados conectados a un mismo Sistema de Transmisión Regional y/o Distribución Local, servido por un mismo Operador de Red (OR), y los conectados al STN del área de influencia del respectivo OR.
Mercado Organizado Regulado (MOR): Conjunto de transacciones de energía eléctrica que se efectúan para suplir la demanda de los usuarios finales regulados y que son realizadas de forma centralizada y estandarizada.
Pérdidas no técnicas de energía: Energía que se pierde en un Mercado de Comercialización por motivos diferentes al transporte y transformación de la energía eléctrica y cuya metodología de cálculo definirá la Comisión en resolución aparte.
Pérdidas técnicas de energía: Energía que se pierde en los Sistemas de Transmisión Regional y/o Distribución Local durante el transporte y la transformación de la energía eléctrica y cuya metodología de cálculo definirá la Comisión en resolución aparte.
Período tarifario: Período de vigencia de la Fórmula Tarifaria General conforme a lo establecido en el artículo 126 de la Ley 142 de 1994.
Programa de reducción de pérdidas no técnicas: Conjunto de actividades que debe ejecutar un Operador de Red para alcanzar un nivel de pérdidas eficientes en un período determinado y que debe contener como mínimo las etapas de planeación, implementación, seguimiento, control y mantenimiento.
Senda de reducción de pérdidas: Trayectoria de niveles de pérdidas, que un Operador de Red deberá seguir en un período determinado para lograr el nivel de pérdidas eficientes. Su punto de inicio son las pérdidas actuales en el Mercado de Comercialización. La senda será expresada en índices decrecientes en el tiempo, y será establecida por la Comisión en resolución independiente.
Tarifa: Es el valor resultante de aplicar al Costo Unitario de Prestación del Servicio el factor de subsidio o contribución autorizado legalmente. En el caso de los usuarios de estrato 4 y/o usuarios no residenciales que no son beneficiarios de subsidio, ni están sujetos al pago de contribución, la tarifa corresponde al Costo Unitario de Prestación del Servicio.
FÓRMULA TARIFARIA GENERAL.
ARTÍCULO 4o. COSTO UNITARIO DE PRESTACIÓN DEL SERVICIO DE ENERGÍA ELÉCTRICA. El Costo Unitario de Prestación del Servicio consta de un componente variable de acuerdo con el nivel de consumo, expresado en $/kWh, y un componente fijo, expresado en $/factura, según se indica a continuación:
La fórmula propuesta para determinar el CU incluye dos escenarios de aplicación, por un lado la clásica formulación con resolución mensual que se presenta a continuación:
![]()
![]()
Donde:
| n: | Nivel de tensión de conexión del usuario. |
| m: | Es el mes para el cual se calcula el Costo Unitario de Prestación del Servicio. |
| i: | Comercializador Minorista. |
| j: | Es el Mercado de Comercialización. |
| CUvn,m,i,j: | Componente variable del Costo Unitario de Prestación del Servicio ($/kWh) para los usuarios conectados al nivel de tensión n, en el mes m, del Comercializador Minorista i, en el Mercado de Comercialización j. |
| Gm,i,j: | Costo de compra de energía ($/kWh) del Comercializador Minorista i, en el mes m, en el Mercado de Comercialización j, determinados conforme se establece en el Capítulo III de la presente resolución. |
| Tm: | Costo por uso del Sistema Nacional de Transmisión ($/kWh) en el mes m determinado conforme al Capítulo IV de la presente resolución. |
| Dn,j,p,m: | Cargo por uso del STR y el SDL aplicables en el municipio p, trasladados al Comercializador minorista correspondiente al mes m, para el nivel de tensión n, al que se encuentre conectado el usuario regulado, de acuerdo con los cargos por uso de STR y SDL del Operador de Red j o del ADD respectiva, que se encuentren vigentes, en el mes m, determinados conforme al Capítulo IV de la presente resolución. |
| Cvm,i,j: | Margen de Comercialización correspondiente al mes m, del Comercializador Minorista i, en el Mercado de Comercialización j que incluye los costos variables de la actividad de comercialización, expresado en ($/kWh) y determinado conforme al Capítulo V de la presente resolución. |
| Rm,i: | Costo de Restricciones y de Servicios asociados con generación en $/kWh asignados al Comercializador Minorista i en el mes m, conforme al Capítulo VI de la presente resolución. |
| PRn,m,i,j: | Costo de compra, transporte y reducción de pérdidas de energía ($/kWh) acumuladas hasta el nivel de tensión n, para el mes m, del Comercializador Minorista i, en el Mercado de Comercialización j, determinado conforme se establece en el Capítulo VII de la presente resolución. |
| AJm: | Factor de mitigación de variaciones extraordinarias del CU ($/kWh), determinado conforme se establece en el capítulo III. |
| CUfm,j: | Componente fija del Costo Unitario de Prestación del Servicio ($/factura) correspondiente al mes m para el Mercado de Comercialización j. |
| Porción del costo base de comercialización Cfm,j, que se remunera a través de la componente fija del costo unitario de prestación del servicio, CUfm,j. | |
| Cfm,j: | Costo Base de Comercialización ($/factura) correspondiente al mes m, para el Mercado de Comercialización j y determinado conforme al Capítulo V de la presente resolución. |
Por otro lado y ante el desarrollo de tecnologías de medición horaria y autogeneración a pequeña escala se plantea la formulación a nivel horario para la aplicación de la fórmula como se presenta a continuación
![]()
![]()
Donde:
| n: | Nivel de tensión de conexión del usuario. |
| h: | Es la hora del mes m para el cual se calcula el Costo Unitario de Prestación del Servicio. |
| i: | Comercializador Minorista. |
| j: | Es el Mercado de Comercialización. |
| CUvn.m,i,j: | Componente variable del Costo Unitario de Prestación del Servicio ($/kWh) para los usuarios conectados al nivel de tensión n, en la hora h, correspondiente al mes m, del Comercializador Minorista i, en el Mercado de Comercialización j. |
| Gh,i,j: | Costo de compra de energía ($/kWh) del Comercializador Minorista i, en la hora h, correspondiente al mes m, en el Mercado de Comercialización j, determinados conforme se establece en el Capítulo III de la presente resolución. |
| Th: | Costo por uso del Sistema Nacional de Transmisión ($/kWh) para la hora h del mes m determinado conforme al Capítulo IV de la presente resolución. |
| Dn,j,p,h: | Cargo por uso del STR y el SDL aplicables en el municipio p, trasladados al Comercializador minorista correspondiente al mes m, para el nivel de tensión n, al que se encuentre conectado el usuario regulado, de acuerdo con los cargos por uso de STR y SDL del Operador de Red j o del ADD respectiva, que se encuentren vigentes, en la hora h, determinados conforme al Capítulo IV de la presente resolución. |
| Cvm,i,j: | Margen de Comercialización correspondiente al mes m, del Comercializador Minorista i, en el Mercado de Comercialización j que incluye los costos variables de la actividad de comercialización, expresado en ($/kWh) y determinado conforme al Capítulo V de la presente resolución. |
| Rm,i: | Costo de Restricciones y de Servicios asociados con generación en $/kWh asignados al Comercializador Minorista i en el mes m, conforme al Capítulo VI de la presente resolución. |
| PRn,h,i,j: | Costo de compra, transporte y reducción de pérdidas de energía ($/kWh) acumuladas hasta el nivel de tensión n, para la hora h del mes m, del Comercializador Minorista i, en el Mercado de Comercialización j, determinado conforme se establece en el Capítulo VII de la presente resolución. |
| AJm: | Factor de mitigación de variaciones extraordinarias del CU ($/kWh), determinado conforme se establece en el Capítulo III. |
| CUfm,j: | Componente fija del Costo Unitario de Prestación del Servicio ($/factura) correspondiente al mes m para el Mercado de Comercialización j. |
| Porción del costo base de comercialización Cfm,j que se remunera a través de la componente fija del costo unitario de prestación del servicio, CUfm,j. | |
| Cfm,j: | Costo Base de Comercialización ($/factura) correspondiente al mes m, para el Mercado de Comercialización j y determinado conforme al Capítulo V de la presente resolución. |
PARÁGRAFO 1o. El costo máximo del servicio en un período dado corresponderá a la suma de:
i) El producto entre el consumo en kWh en dicho período y el componente variable del costo unitario CUvn,m,i,j; y
ii) El valor del componente fijo del costo unitario CUfm,j.
PARÁGRAFO 2o. El valor del término corresponderá a cero.
COSTOS DE COMPRA DE ENERGÍA (G).
ARTÍCULO 5o. ESQUEMA DE TRANSICIÓN PARA EL TRASLADO DE COSTOS DE COMPRA DE ENERGÍA. El reconocimiento de los costos máximos de compra de energía al usuario final mediante mecanismos de mercado se implementará gradualmente conforme se establece en este capítulo.
ARTÍCULO 6o. COSTO MÁXIMO DE TRASLADO DE COMPRAS DE ENERGÍA. El costo máximo de traslado de compras de energía está formulado tanto para resolución mensual como resolución temporal horaria como se presenta en los siguientes apartes.
Costo máximo de traslado de compras de energía con resolución mensual, (Gm,i,j): El costo máximo de compra a trasladar al usuario final regulado se determinará de conformidad con la siguiente expresión.
![]()
Costo máximo de traslado de compras de energía con resolución horaria, (Gh,i,j): El costo máximo de compra a trasladar al usuario final regulado se determinará de conformidad con la siguiente expresión.
![]()
Para el cálculo de dicho costo tanto horario como mensual se consideran las siguientes ecuaciones y definiciones
Donde:
![]()
Donde Pc es:
![]()
![]()
Donde:
| Gm,i,j: | Costo de compra de energía ($/kWh) del Comercializador Minorista i, en el mes m, en el Mercado de Comercialización j, en el mes m. |
| Pcm-1,i: | Precio contratos bilaterales de las compras propias del Comercializador Minorista i en el mes m-1. |
| Mcm-1: | Precio promedio de contratos bilaterales y contratos futuros para el mercado regulado en el mes m-1. |
| Pcb,m-1: | Precio de energía comprada en contratos propios bilaterales en el mes m-1. |
| Pcf,m-1: | Precio de energía comprada en contratos propios futuros con duración anual ejecutados en el mes m-1. |
Donde:
![]()
![]()
| W1,m-1: | Porcentaje de la energía comprada en contratos bilaterales del total de energía comprada en contratos propios bilaterales más contratos propios futuros en el mes m1, ambos para el mercado regulado. |
| W2,m-1: | Porcentaje de la energía comprada en contratos futuros del total de energía comprada en contratos bilaterales más contratos futuros en el mes m-1, ambos para el mercado regulado. |
![]() | |
| m: | Mes para el cual se calcula el Costo Unitario de Prestación del Servicio. |
| i: | Comercializador Minorista i. |
| j: | Mercado de Comercialización j. |
| DCRm-1,i: | Demanda Comercial Regulada del Comercializador Minorista i en el mes m-1. |
| Qcm,i: | Fracción de la Demanda Comercial del Comercializador Minorista i atendida mediante contratos bilaterales con destino al mercado regulado y la Demanda Comercial Regulada del Comercializador Minorista, en el mes m-1. |
| Ccm-1,i: | Energía comprada mediante contratos bilaterales por el Comercializador Minorista i con destino al mercado regulado en el mes m-1. |
| CMORm-1,i: | Energía comprada en el MOR por el Comercializador Minorista i con destino al mercado regulado en el mes m-1. |
| 0,6 | |
| Qbm-1,i: | Fracción de la Demanda Comercial del Comercializador Minorista i atendida mediante compras en Bolsa para abastecer el mercado regulado en el mes m-1, cuando las cantidades adquiridas en las subastas del MOR y en contratos bilaterales no cubran la totalidad de la Demanda Comercial Regulada. |
| Pbm-1,i: | Precios promedio de la energía comprada en Bolsa por el Comercializador Minorista i, en el mes m-1, expresado en $/kWh, cuando las cantidades adquiridas en las subastas del MOR y en contratos bilaterales no cubran la totalidad de la demanda regulada. |

Donde:
| Ph,m-1: | Precio de Bolsa en la hora h ($/kWh) del mes m-1 |
| Di,h,m-1: | Compras en Bolsa del Comercializador Minorista i (kWh) en la hora h, del mes m1. |
| QMORm-1,i:: | Fracción de la Demanda Comercial del Comercializador Minorista i atendida con compras en el MOR, para abastecer el mercado regulado, en el mes m-1. |
| PMORm-1,i: | Precio promedio ponderado resultante de los precios obtenidos en las diferentes subastas de MOR por la energía adquirida por el Comercializador Minorista en el Mercado Organizado Regulado ($/kWh), para cubrir su demanda regulada en el mes m-1. |
k

Donde:
| PMs,m-1: | Precio de cierre en el MOR en la subasta s ($/kWh). |
| Ds,m-1: | Cantidad de energía comprada en el MOR por el Agente en la subasta s (kWh), para el mes m-1. |
| K: | Número de subastas realizadas en el MOR para el mercado regulado para el mes m-1. |
PARÁGRAFO 1o. Hasta tanto la Comisión no expida la resolución que establezca las pérdidas no técnicas que se asignarán a cada Comercializador Minorista, la Demanda Comercial Regulada para cada Comercializador Minorista se seguirá estableciendo conforme los procedimientos actuales.
PARÁGRAFO 2o. En el caso de que para el mes de cálculo la demanda contratada mediante contratos bilaterales por un Comercializador Minorista para atender al Mercado Regulado sea mayor que la Demanda Comercial Regulada, el valor de Pcm-1,i se determinará como el promedio ponderado del precio de cada uno de los contratos bilaterales por la cantidad contratada, multiplicado por un factor equivalente al cociente entre la Demanda Comercial Regulada y la demanda contratada mediante contratos bilaterales.
PARÁGRAFO 3o. En el caso en que el comercializador i no haya atendido usuarios regulados en el mes m-1, el valor del componente G que deberá aplicar será igual a la variable Mcm-1.
ARTÍCULO 7o. MITIGACIÓN VARIACIONES DE CU, COMPONENTE AJ. Para mitigar variaciones extraordinarias en el CU, se aplicará la siguiente expresión:
![]()
![]()
![]()
![]()
![]()
Donde:
| RAJm: | Variación CU para el mes m |
| AJm: | Factor de mitigación de variaciones extraordinarias del Cum-1 ($/kWh) |
| FAJm: | Financiación CU la cual debe ser menor al 0,1% del Cum-1. |
| t: | Periodo definido por el agente en meses que permita una variación menor al 8% en el Cum. |
| i: | Tasa de interés mensual que se le reconoce al Comercializador Minorista por los saldos acumulados en la variable. Este valor equivaldrá al promedio de la tasa de créditos de tesorería reportada por los establecimientos bancarios a la Superintendencia Financiera para el último mes disponible. |
COSTOS DE TRANSMISIÓN (T) Y DISTRIBUCIÓN (D).
ARTÍCULO 8o. COSTOS POR USO DEL SISTEMA DE TRANSMISIÓN NACIONAL ($/KWH), (T). El costo por uso del Sistema de Transmisión Nacional será equivalente a los cargos regulados por uso del STN, de acuerdo a las siguientes expresiones:
| Tm: | Costo por uso del Sistema Nacional de Transmisión ($/kWh) para el mes m determinado conforme a lo establecido en la Resolución CREG 011 de 2009 o la que la modifique o sustituya. |
| Th: | Costo por uso del Sistema Nacional de Transmisión ($/kWh) para la hora h en el mes m determinado conforme a lo establecido en la Resolución CREG 011 de 2009 o la que la modifique o sustituya. |
La variable Th será definida con base en la curva de carga nacional. Mientras no sea definida para su cálculo de forma horaria, la variable Th será igual a la variable Tm de que trata la Resolución CREG 011 de 2009.
ARTÍCULO 9o. COSTOS POR USO DE SISTEMAS DE DISTRIBUCIÓN ($/KWH), (D). El costo por uso de los Sistemas de Distribución corresponderá al acumulado de los cargos regulados por uso del STR y/o SDL hasta el nivel de tensión al cual se encuentre conectado el usuario, según las siguientes expresiones:
| Dn,j,p,m: | Cargo por uso del STR y el SDL aplicables en el municipio p, trasladados al Comercializador minorista correspondiente al mes m, para el nivel de tensión n, al que se encuentre conectado el usuario regulado, de acuerdo con los cargos por uso de STR y SDL del Operador de Red j o del ADD respectiva, que se encuentren vigentes. |
| Dn,j,p,h: | Cargo por uso del STR y el SDL aplicables en el municipio p, trasladados al Comercializador minorista correspondiente al mes m, para el nivel de tensión n, al que se encuentre conectado el usuario regulado, de acuerdo con los cargos por uso de STR y SDL del Operador de Red j o del ADD respectiva, que se encuentren vigentes, en la hora h. |
Los cargos horarios serán los resultantes de las curvas de carga en cada nivel de tensión para cada OR a definir en la metodología de remuneración de la actividad de distribución de energía eléctrica. En el caso de que un OR pertenezca a un ADD la curva de carga tendrá en cuenta las curvas de carga de los OR que la conforman, condicionado a la entrada en vigencia de los cargos con base en la nueva metodología.
Mientras es definida esta variable con base en los cargos horarios, la variable Dn,j,p,h será igual a la variable Dn,m de que trata la resolución CREG 097 de 2011.
COSTOS DE COMERCIALIZACIÓN
I>Y
.
ARTÍCULO 10. COSTOS DE COMERCIALIZACIÓN
Y
. Los costos de comercialización del servicio de electricidad se determinarán conforme a la siguiente expresión:
![]()
![]()
![]()
Donde:
| m: | Es el mes para el cual se calcula el costo unitario de prestación del servicio. |
| Cfm,j: | Costo base de comercialización para el mercado de comercialización j, expresado en pesos por factura ($/factura), correspondiente al mes m de prestación del servicio. Esta variable se calculará conforme se establece en el artículo 11 de la Resolución CREG 180 de 2014. |
| Cvm,i,j: | Margen de comercialización para el comercializador minorista i, del mercado de comercialización j, correspondiente al mes , expresado en pesos por kilovatio hora ($/kWh). |
| C*i,j,m: | Costo variable de la actividad de comercialización para el comercializador minorista , del mercado de comercialización j, en el mes . Esta variable se calculará conforme se establece en el artículo 12 de la Resolución CREG 180 de 2014. |
| CERi,m: | Costo mensual de las contribuciones a las entidades de regulación (CREG) y control (SSPD), liquidado al comercializador minorista i conforme a la regulación vigente. El costo mensual de las contribuciones corresponderá a una doceava parte del pago anual que se efectúa a la CREG y a la SSPD. |
| CCDi,m-1: | Costos de los servicios del Centro Nacional de Despacho y del Administrador del Sistema de Intercambio Comerciales (ASIC), expresados en pesos ($) asignados al comercializador minorista i, correspondientes al mes m-1, de acuerdo con la regulación vigente. |
| CGi,m-1: | Costos de garantías en el Mercado Mayorista expresados en pesos ($), para el comercializador minorista i, correspondientes al mes m-1, conforme con la regulación vigente. Esta variable se calculará de acuerdo con lo establecido en el artículo 19 de la Resolución CREG 180 de 2014. |
| Vi,m-1: | Ventas totales a usuarios del comercializador minorista i, regulados y no regulados, en el mes m - 1, expresadas en kilovatios hora (kWh). |
| CvRi,j,m: | Componente variable que remunera costos asociados a la atención de usuarios regulados por parte del comercializador minorista i, del mercado de comercialización j, en el mes m. |
| Porción del costo base de comercialización, Cfm,j, que se remunera a través de la componente fija del costo unitario de prestación del servicio, CUfm,j. | |
| URi,j,m-2: | Número de usuarios regulados atendidos por el comercializador minorista i, del mercado de comercialización j, en el mes m - 2. Corresponderá al número total usuarios regulados reportados en los formatos 2 y 3 de la Resolución SSPD 20102400008055 o aquella que la modifique o sustituya. |
| CGCUi,j,m-1: | Costos de garantías para cubrir el pago de los cargos por uso del STR y/o del SDL, de usuarios regulados, expresados en Pesos ($), para el comercializador minorista i, del mercado de comercialización j, correspondientes al mes m - 1, conforme con la regulación vigente. Esta variable se calculará de acuerdo con lo establecido en el artículo 20 de la Resolución CREG 180 de 2014. |
| PUIj,m: | Costo que remunera la actividad de prestador de última instancia a usuarios regulados en el mercado de comercialización j, en el mes m. Hasta que se adopte e implemente la resolución que remunera este costo, el valor de esta variable será igual a cero. |
| VRi,j,m-2: | Ventas totales a usuarios regulados del comercializador minorista i, del mercado de comercialización j, expresadas en kilovatios hora (kWh), en el mes m - 2. |
PARÁGRAFO 1o. El valor del término corresponderá a cero.
PARÁGRAFO 2o. Los comercializadores minoristas que vayan a prestar el servicio público domiciliario de energía eléctrica a usuarios finales regulados en un nuevo mercado de comercialización, deberán:
a) Utilizar como valor de la variable Cvm,i,j para el primer mes de operación, el promedio de los valores de la variable Cvm-1,i,j aplicados por los comercializadores minoristas integrados a los operadores de red en sus respectivos mercados de comercialización.
b) Utilizar cero como valor de la variable CERi,m durante el primer año de operación.
PARÁGRAFO 3o. En el caso de que el comercializador minorista no haya atendido usuarios regulados en el mes m - 1 en el mercado de comercialización j, el valor del componente Cvm,i,j que deberá aplicar será igual al último valor del componente Cv publicado por el comercializador minorista integrado al operador de red del mercado de comercialización j.
COSTO DE LAS RESTRICCIONES (
).
ARTÍCULO 11. COSTOS POR RESTRICCIONES Y SERVICIOS ASOCIADOS CON GENERACIÓN (Rm.i). Los Costos por Restricciones y de Servicios asociados con generación se determinarán según la siguiente expresión

Donde:
| Rm,i: | Costo de Restricciones y de Servicios asociados con generación en $/kWh asignados al Comercializador Minorista i en el mes m. |
| Vm-1,i: | Corresponde al valor de las ventas del Comercializador Minorista i en el mes (m-1), expresado en kWh con destino a usuarios regulados y no regulados de los mercados de comercialización que atienda. |
| CRSm-1,i: | Costo total de restricciones expresado en pesos ($) asignados por el ASIC al Comercializador Minorista i en el mes m-1, conforme con la regulación vigente, incluyendo: |
Como menor valor, las restricciones provenientes de la asignación de las rentas de congestión por la aplicación de las TIE, de acuerdo con la Resolución CREG 014 de 2004 y el Decreto 160 de 2004, o aquellas que las modifiquen, complementen o sustituyan.
-- Como menor valor, el pago recibido por el Comercializador Minorista en caso de desviaciones de los generadores.
-- Como mayor valor, el costo por los servicios asociados con generación que asume el Comercializador Minorista, conforme con la regulación vigente o aquellas que la modifiquen, complementen o sustituyan.
-- Como mayor valor, los costos por concepto de remuneración del proyecto línea de 230 kV a doble circuito, de 13.2 km, entre la Subestación Guatapé y la línea San Carlos – Ancón Sur, asignado por el Liquidador y Administrador de Cuentas (LAC), a todos los comercializadores del Sistema Interconectado Nacional, a prorrata de su demanda real, de acuerdo con lo dispuesto en la Resolución CREG 147 de 2001, o aquellas que la modifiquen, complementen o sustituyan.
-- Todos los valores que aumentan o disminuyan el componente CRS que se traslada al usuario y que se estipulen en resoluciones independientes.
PARÁGRAFO 1o. En el caso en que el comercializador i no haya atendido usuarios en el mes m-1, el valor del componente Rm,i aplicado para el mercado de comercialización j será igual al último valor del componente R publicado por el comercializador incumbente del mercado j.
COSTO DE PÉRDIDAS (PRm,n,i,j).
ARTÍCULO 12. COSTOS DE PÉRDIDAS DE ENERGÍA, TRANSPORTE Y REDUCCIÓN DE LAS MISMAS (PRM,N,I,J). Los costos de la gestión de pérdidas de energía trasladables al usuario final, expresados en $/kWh, se determinarán de conformidad con la siguiente expresión, que incluye:
i) El costo de las pérdidas eficientes de energía;
ii) Los costos del transporte de las pérdidas eficientes de energía; y
iii) Los costos del Programa de Reducción de Pérdidas No Técnicas de energía, respectivamente.

Para calcular en términos horarios se considera la siguiente expresión

Donde:
| Gm,i,j, Gh,i,j: | Costos de compra de energía ($/kWh) del Comercializador Minorista i, en el Mercado de Comercialización j, para el mes m o la hora h, determinados conforme se establece en el Capítulo III de la presente resolución. |
| IPRSTNm-1: | Fracción que corresponde a las pérdidas de energía por uso del Sistema de Transmisión Nacional asignadas por el ASIC durante el mes m-1, conforme a la metodología vigente. |
| IPRn,m,j: | Fracción de las pérdidas de energía eficientes reconocidas por la CREG, para el Mercado de Comercialización j, en el mes m, acumulados hasta el nivel de tensión n del Sistema de Distribución respectivo. |
Es igual a la variable PRn,j de que trata el Capítulo 12 de la Resolución CREG 097 de 2008 (con n = 1,2,3,4). La variable PR1,j se calcula para cada mes m considerando el valor de Pj,1 resultante de la aplicación de la Resolución CREG 172 de 2011 o aquella que la modifique o sustituya.
Tm, Th: Cargos por uso del Sistema Nacional de Transmisión ($/kWh) para el mes m determinados conforme al artículo 8o de la presente resolución o la hora h en el caso de aplicación horaria.
| CPROGj,m: | Cargo en $/kWh por concepto del Plan de Pérdidas, del Mercado de Comercialización j, en el mes m. |
PARÁGRAFO 1o. El Programa de Reducción de Pérdidas No Técnicas y sus costos serán definidos por la Comisión en regulación independiente. Hasta tanto estos sean determinados, se aplicarán las siguientes reglas:
i) El término CPROGj,m será igual a cero; y
ii) El factor IPRn,m,j + IPRSTNm-1 corresponderá a los niveles de pérdidas vigentes a la aprobación de la presente resolución para cada nivel de tensión.
PARÁGRAFO 2o. Una vez inicie el Programa de Reducción de Pérdidas No Técnicas, el factor IPRn,m,j corresponderá al aprobado por la CREG para cada nivel de tensión en desarrollo de Programa de Reducción de Pérdidas No Técnicas de Energía que presente el Operador de Red del Mercado de Comercialización correspondiente.
PARÁGRAFO 3o. En el caso en que un comercializador no haya atendido usuarios regulados en el mes m-1, el valor de la variable IPRSTNm-1 que deberá aplicar será igual a la fracción de la demanda real del SIN correspondiente a las pérdidas en el STN en el mes m-1.
DISPOSICIONES FINALES.
ARTÍCULO 13. INCORPORACIÓN DE MODIFICACIONES EN COMPONENTES DE LA FÓRMULA. Las variaciones que se produzcan en la forma de cálculo de los valores de las componentes de generación, transmisión, distribución, comercialización, restricciones y pérdidas debido a modificaciones del marco regulatorio de las respectivas actividades, no implican cambios en la fórmula general a que se refiere la presente resolución.
ARTÍCULO 14. APLICACIÓN DE LAS NORMAS SOBRE SUBSIDIOS Y CONTRIBUCIONES. Una vez el Comercializador Minorista determine el costo máximo trasladable de prestación del servicio de electricidad con base en la fórmula de costos establecida en la presente resolución, aplicará las disposiciones sobre subsidios y contribuciones para efectos de determinar la tarifa.
ARTÍCULO 15. CAMBIO DE USUARIOS DEL MERCADO REGULADO AL NO REGULADO. En el evento en que usuarios no regulados pasen al comercializador incumbente se aplicará:
![]()
a) Fórmula de aplicación a los usuarios regulados y no regulados cuya demanda fue tenida en cuenta al momento en el que un comercializador efectuó la última compra de energía mediante un contrato de largo plazo.
![]()
b) Fórmula de aplicación a los usuarios no regulados cuya demanda de energía no fue tenida en cuenta al momento de efectuar la última compra de energía mediante un contrato de largo plazo.
Esta fórmula sería aplicable a partir del siguiente mes en el que se registren compras en el mercado regulado por parte del anterior usuario no regulado y hasta dos meses posteriores al mes en que el Comercializador efectúe un nuevo contrato de compra de energía en el mercado mayorista. Este período no podrá superar seis meses, tiempo estimado para que el comercializador efectúe la compra que considere conveniente.
Cuando un usuario que cuente con las características para pertenecer al mercado competitivo permanezca más de seis meses consecutivos sin constituir un contrato de suministro de energía en el mercado no regulado, este usuario pertenecerá al mercado regulado donde se encuentre conectado y deberá permanecer en este mercado un período mínimo de un año, contado a partir del séptimo mes de no tener contrato de suministro en el mercado no regulado.
En el caso de usuarios cuya facturación es horaria aplicará las fórmulas horarias consignadas en el Capítulo III.
ARTÍCULO 16. ACTUALIZACIÓN DE LOS COSTOS Y LAS TARIFAS. Durante el período de vigencia de las fórmulas, los comercializadores podrán actualizar los costos de prestación del servicio, aplicando las variaciones en los índices de precios del Anexo 1 de la presente resolución con sujeción a las normas sobre subsidios y contribuciones.
ARTÍCULO 17. PUBLICACIÓN. El Comercializador Minorista publicará en un periódico de amplia circulación, en los municipios donde preste el servicio, o en uno de amplia circulación nacional, en forma simple y comprensible las tarifas que aplicará a sus usuarios. Tal deber lo cumplirá antes de aplicar las tarifas o cada vez que reajuste las mismas. Los nuevos valores deberá comunicarlos a la Superintendencia de Servicios Públicos Domiciliarios y a la Comisión de Regulación de Energía y Gas. Dicha publicación incluirá los valores de cada uno de los componentes de la Fórmula Tarifaria General.
PARÁGRAFO. Los Comercializadores Minoristas y el ASIC deberán adecuar sus sistemas comerciales antes del primero (1o) de febrero de 2008 con el fin de dar cumplimiento a lo dispuesto en la presente resolución.
ARTÍCULO 18. FUENTES DE INFORMACIÓN. Los comercializadores utilizarán, para efectos de publicación y liquidación de tarifas, el valor que suministre el ASIC y el LAC, así:
Cálculo del Gm. El Administrador del Sistema de Intercambios Comerciales (ASIC) deberá suministrar la información del Mc, a más tardar el sexto día calendario del mes siguiente a la liquidación de los contratos correspondientes, con la información que tenga disponible. Una vez se empiecen a liquidar las transacciones celebradas en el MOR, el Administrador del Sistema de Intercambios Comerciales (ASIC), deberá suministrar la información del precio promedio ponderado por la energía adquirida por el Comercializador Minorista en el Mercado Organizado Regulado ($/kWh), en la misma fecha establecida en el inciso anterior.
Cálculo del CRSm-1,i. El Administrador del Sistema de Intercambios Comerciales (ASIC) deberá suministrar la información para el cálculo de este componente, a más tardar el sexto día calendario del mes siguiente a la liquidación correspondiente, con la información que tenga disponible.
Cálculo del CCDm-1,i. El Administrador del Sistema de Intercambios Comerciales (ASIC) deberá suministrar la información de los costos por Centro Nacional de Despacho, ASIC y LAC asignados al Comercializador Minorista (CCD), a más tardar el sexto día calendario del mes siguiente al que corresponden los respectivos costos, con la información que tenga disponible.
Cálculo del Th,m. El Liquidador y Administrador de Cuentas del STN (LAC) deberá suministrar el valor de los Cargos por Uso del STN aplicables a los Comercializadores, a más tardar el sexto día calendario del mes siguiente al que corresponden los respectivos Cargos, con la información que tenga disponible.
Cálculo del IPRSTNm. El Administrador del Sistema de Intercambios Comerciales (ASIC), deberá suministrar el valor de las pérdidas de energía por uso del Sistema de Transmisión Nacional, aplicables a los comercializadores, a más tardar el sexto día calendario del mes siguiente, con la información que tenga disponible.
PARÁGRAFO. Las diferencias producidas por las correcciones solicitadas y aceptadas por el ASIC o el LAC y que no entraron en el cálculo de la información publicada por el comercializador, se incluirán como un valor adicional en el cálculo del valor a publicar del mes siguiente.
ARTÍCULO 19. VIGENCIA DE LA FÓRMULA TARIFARIA. La Fórmula Tarifaria General regirá a partir del 1o de enero de 2016 por un periodo de cinco años. Vencido dicho período, esta fórmula continuará rigiendo mientras la Comisión no fije una nueva.
ARTÍCULO 20. VIGENCIA DE LA PRESENTE RESOLUCIÓN. La presente resolución rige a partir de la fecha de su publicación en el Diario Oficial, y deroga la Resolución CREG 119 de 2007.
Publíquese y cúmplase.
Firma del Proyecto,
El Presidente,
TOMÁS GONZÁLEZ ESTRADA,
Ministro de Minas y Energía.
El Director Ejecutivo,
JORGE PINTO NOLLA.
IDENTIFICACIÓN DE LOS ÍNDICES DE PRECIOS.
Variación Acumulada del Índice de Precios: Es el cambio porcentual entre dos períodos definidos, resultante de establecer la división entre el número índice del período más reciente sobre el número índice del período desde donde se desea medir la variación.
Por su parte, el Índice de Precios es una medida estadística que hace explícitos los cambios ocurridos en una variable o grupo de variables en el tiempo. Se presenta en forma de porcentaje, resultante de la división entre los valores absolutos de la variable o conjunto de variables y otro valor fijo, que se toma como base de comparación o referencia para determinar con respecto a él, el movimiento porcentual de la variable o grupo de variables.
Para efectos tarifarios el Costo Unitario de Prestación del Servicio (CU), definido en la presente resolución se actualizará cada vez que este acumule una variación de por lo menos el tres por ciento (3%) en alguno de los índices de precios que considera la fórmula, conforme a lo dispuesto en el artículo 125 de la Ley 142 de 1994.
1. Determinación de Índices de Precios
Con base en la Fórmula Tarifaria General definida en la presente resolución, los índices de precios asociados con ella, para todas las empresas donde las fórmulas tengan aplicación en el período mensual m, se determinarán de la siguiente forma:

Donde:
| Iwm: | Es el Índice de Precios definido del componente W, en el mes m, que acumula la variación en dicho componente. |
| Wm: | Es el precio (pesos por unidades de consumo o factura) del componente W, en el mes m. |
| W0: | Es el precio (pesos por unidades de consumo o factura) del componente W, en el mes base enero de 2008. |
2. Variación de los Índices de Precios
De conformidad con las definiciones y prácticas corrientes, la variación entre el período m-p y el período m del índice de precios del componente W, se define como:

Para efectos de determinar la variación del 3%, de que trata el artículo 125 de la Ley 142 de 1994, se definen los subíndices m-p y m de la siguiente forma:
| m: | Es el período para el cual se evalúa la aplicación de la variación del índice en un 3%. |
| m-p: | Es el período en el que se actualizó por última vez la fórmula tarifaria. |
Con base en la Fórmula Tarifaria, definida en la presente resolución, a continuación se identifican los índices asociados con cada uno de los componentes que incluye.
2.1. Cargo variable

Donde:
| ICUvm: | Es el Índice de Precios definido para la Componente variable del Costo Unitario de Prestación del Servicio de Energía Eléctrica en el mes m. |
| CUvn,m,i,j: | Es el componente variable del Costo Unitario de Prestación del Servicio de Energía Eléctrica expresado en $/kWh, en el nivel de tensión n, del Comercializador Minorista i, en el Mercado de Comercialización j, para el mes m. |
| CUvn,0,i,j: | Es el componente variable del Costo Unitario de Prestación del Servicio de Energía Eléctrica ($/kWh), en el nivel de tensión n, del Comercializador Minorista i, en el Mercado de Comercialización j, aplicado en el mes base. |
2.2. Cargo Fijo

Donde:
| Es el Índice de Precios definido para la componente fija del Costo Unitario de Prestación del Servicio, en el mes m. | |
| CUfm,j: | Es la Componente fija del Costo Unitario de Prestación del Servicio ($/factura) en el mes m, para el Mercado de Comercialización j. |
| CUf0,j: | Es el Cargo Fijo expresado en $/factura, para el Mercado de Comercialización j, calculado para el mes base. |
2.3. Costo de Compra de Energía

Donde:
| Es el Índice de Precios definido del componente Gm,i,j, en el mes m. | |
| Gm,i,j: | Es el costo de compra de energía ($/kWh) del Comercializador Minorista i, en el Mercado de Comercialización j, en el mes m. |
| G0,i,j: | Es el costo de compra de energía expresado en $/kWh, del Comercializador Minorista i, en el Mercado de Comercialización j, trasladado en el CUvn,m,i,j, calculado para el mes base. |
Costo de Restricciones

Donde:
| Es el Índice de Precios definido del componente Rm,i, en el mes m. | |
| Rm,i: | Es el Costo de Restricciones y de Servicios asociados con generación en $/kWh asignados al Comercializador Minorista i en el mes m. |
| R0,i: | Es el Costo de Restricciones y de Servicios asociados con generación en $/kWh asignados al Comercializador Minorista i, trasladado en el CUvn,m,i,j, calculado para el mes base. |
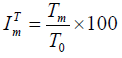
Costo por Uso del STN

Donde:
| Es el Índice de Precios definido del componente Tm en el mes m. | |
| Es el costo por uso del STN ($/kWh) correspondiente al mes m. | |
| Es el Costo por uso del STN ($/kWh), trasladado en el CUvn,m,i,j calculado para el mes base. | |
Costo por Uso de Sistemas de Distribución

Donde:
| Es el Índice de Precios definido del componente Dn,m, en el mes m. | |
| Dn,m: | Costo de Distribución del Comercializador Minorista i expresado en $/kWh, para el Nivel de Tensión n, en el mes m. |
| Dn,0: | Es el costo de distribución en $/kWh correspondiente al nivel de tensión n, de acuerdo con lo establecido en la regulación vigente calculado para el mes base y trasladado en el CUvn,m,i,j. |
Costo Variable de Comercialización

Donde:
| Es el Índice de Precios definido del componente Cvm,i,j en el mes m. | |
| Cvm,i,j: | Es el Margen de Comercialización para el Comercializador Minorista i, del Mercado de Comercialización j, expresado en $/kWh, en el mes m. |
| Cv0,i,j: | Es el Margen de Comercialización para el Comercializador Minorista i, del Mercado de Comercialización j, expresado en $/kWh, trasladado en el CUvn,m,i,j, calculado para el mes base. |
Costo de Compra, Transporte y Reducción de Pérdidas

Donde:
| Es el Índice de Precios definido del componente PRn,m,i,j en el mes m. | |
| PRn,m,i,j: | Es el Costo de compra, transporte y reducción de pérdidas de energía expresado en $/kWh, en el mes m. |
| PRn,0,i,j: | Es el Costo de Costo de compra, transporte y reducción de pérdidas de energía en $/kWh, trasladado en el CUvn,m,i,j calculado para el mes base. |
El Presidente,
TOMÁS GONZÁLEZ ESTRADA,
Ministro de Minas y Energía.
El Director Ejecutivo,
JORGE PINTO NOLLA.
