RESOLUCIÓN 192 DE 2019
(diciembre 29)
Diario Oficial No. 51.183 de 31 de diciembre 2019
COMISIÓN DE REGULACIÓN DE ENERGÍA Y GAS
Por la cual se ordena hacer público el proyecto de resolución “por la cual se establece una opción tarifaria para definir los costos máximos de prestación del servicio que podrán ser trasladados a los usuarios regulados del servicio público de energía eléctrica en el Sistema Interconectado Nacional”.
LA COMISIÓN DE REGULACIÓN DE ENERGÍA Y GAS,
en ejercicio de sus atribuciones constitucionales y legales, en especial las conferidas por las Leyes 142 y 143 de 1994, y en desarrollo de los Decretos 1524, 2253 de 1994 y 1260 de 2013,
CONSIDERANDO QUE:
Conforme a lo dispuesto por el artículo 8o del Código de Procedimiento Administrativo y de lo Contencioso Administrativo y el artículo 32 de la Resolución CREG 039 de 2017, la Comisión debe hacer públicos en su página web todos los proyectos de resolución de carácter general que pretenda adoptar.
La Comisión de Regulación de Energía y Gas, en su sesión 969 del 20 de diciembre de 2019, acordó hacer público el proyecto de resolución “Por la cual se establece una opción tarifaria para definir los costos máximos de prestación del servicio que podrán ser trasladados a los usuarios regulados del servicio público de energía eléctrica en el Sistema Interconectado Nacional”,
RESUELVE:
ARTÍCULO 1o. OBJETO. Hágase público el proyecto de resolución “por la cual se establece una opción tarifaria para definir los costos máximos de prestación del servicio que podrán ser trasladados a los usuarios regulados del servicio público de energía eléctrica en el Sistema Interconectado Nacional”.
ARTÍCULO 2o. PRESENTACIÓN DE COMENTARIOS, OBSERVACIONES Y SUGERENCIAS. Se invita a los usuarios, a los agentes, a las autoridades locales, municipales y departamentales, a las entidades y a los demás interesados para que, dentro de los cinco (5) días hábiles siguientes a la publicación de la presente resolución, remitan sus observaciones o sugerencias sobre las propuestas contenidas en el proyecto de resolución adjunto.
Las observaciones y sugerencias sobre el proyecto deberán dirigirse al director ejecutivo de la Comisión, a la dirección: calle 116 número 7-15, interior 2, oficina 901, en Bogotá, D. C., o al correo electrónico creg@creg.gov.co.
ARTÍCULO 3o. VIGENCIA. La presente resolución rige a partir de su publicación en el Diario Oficial y no deroga ni modifica disposiciones vigentes por tratarse de un acto de trámite.
Publíquese y cúmplase.
Dado en Bogotá, D. C., a 20 de diciembre de 2019.
El Presidente,
Diego Mesa Puyo,
Viceministro de Energía Delegado de la Ministra de Minas y Energía.
El Director Ejecutivo,
Christian Jaramillo Herrera.
PROYECTO DE RESOLUCIÓN
por la cual se establece una opción tarifaria para definir los costos máximos de prestación del servicio que podrán ser trasladados a los usuarios regulados del servicio público de energía eléctrica en el Sistema Interconectado Nacional.
La Comisión de Regulación de Energía y Gas, en ejercicio de sus atribuciones constitucionales y legales, en especial las conferidas por las Leyes 142 y 143 de 1994, y en desarrollo de los Decretos 1524, 2253 de 1994, 2696 de 2004 y 1260 de 2013.
CONSIDERANDO QUE:
El artículo 73.11 de la Ley 142 de 1994 atribuyó a la Comisión de Regulación de Energía y Gas, la competencia para establecer las fórmulas para la fijación de las tarifas del servicio público domiciliario de energía eléctrica.
La Ley 143 de 1994, artículo 23, asignó a la Comisión la función de aprobar las fórmulas tarifarias y las metodologías para el cálculo de las tarifas aplicables a los usuarios regulados del servicio de energía eléctrica.
Según lo dispuesto en los artículos 87 de la Ley 142 de 1994 y 44 de la Ley 143 del mismo año, el régimen tarifario estará orientado por los criterios de eficiencia económica, suficiencia financiera, neutralidad, solidaridad y redistribución del ingreso, simplicidad y transparencia.
Según lo dispuesto por el artículo 88.1 de la Ley 142 de 1994, la Comisión Reguladora podrá establecer topes máximos y mínimos tarifarios, de obligatorio cumplimiento por parte de las empresas.
Según el artículo 42 de la Ley 143 de 1994 “las ventas de electricidad a usuarios finales regulados serán retribuidas, sin excepción, por medio de tarifas sujetas a regulación”.
Según lo dispone la Ley 142 de 1994, artículo 90, las Comisiones de Regulación al definir sus tarifas pueden establecer varias alternativas y siempre podrán diseñar y hacer públicas diversas opciones tarifarias que tomen en cuenta diseños óptimos de tarifas.
El artículo 46 de la Ley 143 de 1994 establece que la Comisión de Regulación de Energía y Gas podrá diseñar y hacer públicas diversas opciones tarifarias.
Mediante la Resolución CREG 119 de 2007 se aprobó la fórmula general que permite a los comercializadores de electricidad establecer los costos de prestación del servicio a usuarios regulados en el Sistema Interconectado Nacional.
La Resolución CREG 168 de 2008 estableció una opción tarifaria, la cual permitía moderar incrementos abruptos en la tarifa mediante la acumulación de saldos que son pagados por el usuario con posterioridad, a lo largo de un mayor período de tiempo.
Mediante la Resolución CREG 057 de 2014 se definió un nuevo plazo para la aplicación de la opción tarifaria definida en la Resolución CREG 168 de 2008, el cual terminaba en mayo de 2016.
En la Resolución CREG 158 de 2015, se amplió el plazo definido en la Resolución CREG 057 de 2014 en doce meses los cuales finalizan en mayo de 2017.
Mediante la Resolución CREG 044 de 2017, se amplió el plazo de aplicación de la opción tarifaria definida en la Resolución CREG 168 de 2008, período que finalizó el 14 de mayo de 2019.
Dada la modificación de los cargos de distribución como consecuencia de la aprobación de la nueva metodología de remuneración de la actividad de distribución, Resolución CREG 015 de 2018, se prevé que podrían darse aumentos relevantes en la tarifa al usuario final, por lo que se considera pertinente autorizar a las empresas a adoptar una opción tarifaria que permita reducir el impacto para los usuarios de esos posibles incrementos.
RESUELVE:
ARTÍCULO 1o. OBJETO. Esta resolución tiene por objeto ofrecer una opción tarifaria que podrán aplicar los Comercializadores Minoristas en el Sistema Interconectado Nacional para calcular la tarifa del servicio público de electricidad a los usuarios finales regulados.
ARTÍCULO 2o. OPCIÓN TARIFARIA Y REQUISITOS PARA ACOGERSE A LA MISMA. Las empresas prestadoras del servicio público domiciliario de energía eléctrica podrán continuar calculando la tarifa aplicable a los Usuarios Regulados según la fórmula tarifaria general establecida mediante la Resolución CREG 119 de 2007 o aquella que la modifique o sustituya, u optar por calcular dicha tarifa de conformidad con las reglas que se definen en esta resolución.
Para acogerse a la opción tarifaria, las empresas deberán cumplir los siguientes requisitos:
1. La empresa deberá informar a la Comisión de Regulación de Energía y Gas, CREG, y a la Superintendencia de Servicios Públicos Domiciliarios, SSPD, mediante comunicación suscrita por el Representante Legal, la decisión de acogerse a la opción tarifaria en los términos previstos en esta resolución.
2. La opción tarifaria de que trata esta resolución solamente podrá ser aplicada por la respectiva empresa, una vez se dé cumplimiento a lo dispuesto en el artículo 125 de la Ley 142 de 1994 en relación con la actualización del Costo Unitario de Prestación del Servicio, CU, y la obligación de publicar la tarifa que resulte de aplicar la opción tarifaria. Esta publicación deberá ser remitida a la SSPD y a la CREG.
3. El Comercializador Minorista que haya escogido la opción tarifaria definida en la presente resolución podrá definir su tarifa nuevamente a partir del CU. La aplicación de la tarifa será inmediata, una vez se dé cumplimiento a lo dispuesto en el artículo 125 de la Ley 142 de 1994 y se haya informado a la CREG, con copia a la SSPD.
4. En este último caso, los saldos acumulados que existieren no podrán ser trasladados en la tarifa al usuario final.
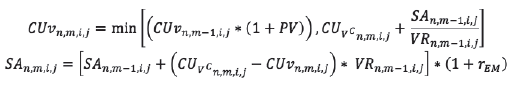
5. Para calcular el CU resultante de la opción tarifaria, el Comercializador i del Mercado de Comercialización j utilizará las siguientes expresiones:

Donde:
m: Mes para el cual se calcula el CU.
PV: Porcentaje de Variación Mensual que se aplicará por el Comercializador Minorista sobre el CU. Tendrá un valor mínimo de 0,6%. Este porcentaje deberá ser aumentado en valores discretos de 0,6%.
Saldo Acumulado, expresado en $, del Comercializador i para el mes m en el nivel de tensión n del mercado de comercialización j, por las diferencias entre el CU calculado CUvcn,m,i,j y el CU aplicado CUvn,m,i,j. A la fecha de entrada en vigencia de la presente resolución dicho valor será cero.
Ventas de energía a usuarios regulados en el nivel de tensión n, en el mes m-1 efectuadas por el Comercializador i, en el mercado de comercialización j, expresado en kWh, a quienes se les aplica la opción tarifaria.
Componente variable del CU, expresado en $/kWh, calculado para el mes m, conforme la resolución vigente, para los usuarios conectados en el nivel de tensión n del Comercializador Minorista i, en el Mercado de Comercialización j.
Componente variable del CU, expresado en $/kWh, aplicado en el mes m-1, para el nivel de tensión n del Comercializador Minorista i, en el Mercado de Comercialización j.
Tasa de interés que se le reconoce al Comercializador Minorista por los saldos acumulados en la variable SAn,m,i,j. Esta variable, igual para todos los usuarios, debe ser menor o igual al cálculo del promedio de las tasas de interés preferencial o corporativo, de los créditos comerciales vigentes de las últimas veintiséis semanas previas al del cálculo de la tarifa a aplicar, ponderado con base en el monto colocado.
La fuente de información será la publicada por el Banco de la República de acuerdo con el Formato 441, Circular 100 de 1995 de la Superintendencia Financiera de Colombia. La tasa efectiva anual publicada en la columna “Total establecimientos” deberá calcularse de manera mensual, para su aplicación, utilizando la siguiente expresión:
![]()
Con:
Tasa mensual a aplicar en el mes m.
Tasa efectiva anual para calcular la tasa mensual a aplicar en el mes m.
6. Al momento de acogerse a la opción tarifaria, el Comercializador Minorista deberá indicar el Porcentaje de Variación Mensual (PV) a aplicar y la tasa a aplicar. Cualquier modificación en la aplicación de la opción tarifaria deberá ser informada a la CREG y a la SSPD.
7. El Comercializador Minorista que se haya acogido a la opción tarifaria deberá mantener actualizada la información relativa a los Saldos Acumulados y el histórico de los valores que se trasladan a la tarifa del usuario final.
8. Además de lo establecido en la regulación vigente en relación con la información que debe contener la factura, el Comercializador Minorista deberá incluir el Costo de Prestación obtenido con la opción tarifaria y la tarifa que corresponda.
9. El Comercializador Minorista deberá permitir que los usuarios puedan escoger entre la aplicación del CUvn,m,i,j y CUvCn,m,i,j. Para tal fin, antes de iniciar con la primera aplicación de la opción tarifaria, el comercializador deberá:
a) Publicar en un periódico de circulación regional, en su página web y en volante anexo al recibo del servicio, información relacionada con la aplicación de la opción tarifaria con el fin de que el usuario pueda decidir si su facturación debe ser afectada por la opción tarifaria o no.
b) Disponer, en la página web del comercializador minorista, un espacio para que, durante el mes siguiente a la fecha del último aviso de los relacionados en el literal a), cada usuario pueda escoger entre la aplicación de la opción tarifaria, CUvn,m,i,j, o la aplicación de las tarifas calculadas con base en la variable CUvCn,m,i,j.
De manera general, el comercializador minorista considerará que la totalidad de los usuarios escogen la opción de aplicación de la opción tarifaria y excluirá aquellos que hayan escogido, en el término previsto para tal fin, la aplicación del Costo Unitario sin opción tarifaria.
10. Una vez el Comercializador Minorista determine el costo máximo trasladable de prestación del servicio de electricidad con base en la opción tarifaria escogida por el usuario, aplicará las disposiciones vigentes sobre subsidios y contribuciones para efectos de determinar la tarifa.
ARTÍCULO 3o. La presente resolución rige a partir de la fecha de su publicación en el Diario Oficial y deroga las normas que le sean contrarias.
Publíquese y cúmplase.
Firma del proyecto,
El Presidente,
Diego Mesa Puyo,
Viceministro de Energía Delegado de la Ministra de Minas y Energía.
El Director Ejecutivo,
Christian Jaramillo Herrera.