RESOLUCIÓN 176 DE 2019
(diciembre 5)
Diario Oficial No. 51.171 de 18 de diciembre 2019
COMISIÓN DE REGULACIÓN DE ENERGÍA Y GAS
Por la cual se ordena hacer público el proyecto de resolución “por la cual se resuelve una actuación administrativa iniciada en virtud de una solicitud particular en interés general con base en lo establecido en el artículo 126 de la Ley 142 de 1994.
LA COMISIÓN DE REGULACIÓN DE ENERGÍA Y GAS,
en ejercicio de las atribuciones legales, en especial, las conferidas por la Ley 142 de 1994 y en desarrollo de los Decretos 2253 de 1994 y 1260 de 2013; y,
CONSIDERANDO QUE:
Conforme a lo dispuesto en el artículo 8o del Código de Procedimiento Administrativo y de lo Contencioso Administrativo (CPACA) y en el artículo 33 de la Resolución CREG 039 de 2017, la Comisión debe hacer público en su página web todos los proyectos de resolución de carácter general que pretenda adoptar.
La Comisión de Regulación de Energía y Gas, en su sesión 962 del 5 de diciembre de 2019, acordó hacer público el proyecto de resolución Por la cual se ordena hacer público el proyecto de resolución “por la cual se corrige un error grave de cálculo en la Metodología contenida en las Resoluciones número CREG 202 de 2013, CREG 138 de 2014, CREG 090 de 2018 y CREG 132 de 2018 para la remuneración de la actividad de distribución de gas combustible por redes de tubería”,
RESUELVE:
ARTÍCULO 1o. OBJETO. Hágase público el proyecto de resolución “por la cual se resuelve una actuación administrativa iniciada en virtud de una solicitud particular en interés general con base en lo establecido en el artículo 126 de la Ley 142 de 1994”.
ARTÍCULO 2o. PRESENTACIÓN DE COMENTARIOS, OBSERVACIONES Y SUGERENCIAS. Se invita a los usuarios, a los agentes, a las autoridades locales, municipales y departamentales, a las entidades y a los demás interesados para que, dentro de los diez (10) días hábiles siguientes a la publicación de la presente resolución en la página web de la Comisión, remitan sus observaciones o sugerencias sobre el contenido del proyecto de resolución adjunto.
Las observaciones y sugerencias sobre el proyecto deberán dirigirse al Director Ejecutivo de la Comisión, a la dirección: Calle 116 número 7-15, Interior 2, Oficina 901 en Bogotá, D. C. o al correo electrónico creg@creg.gov.co.
ARTÍCULO 3o. VIGENCIA. La presente resolución rige a partir de su publicación en el Diario Oficial y no deroga ni modifica disposiciones vigentes por tratarse de un acto de trámite.
Publíquese y cúmplase.
Dada en Bogotá, D. C., a 5 de diciembre de 2019.
El Presidente,
Diego Mesa Puyo.
Viceministro de Energía delegado de la Ministra de Minas y Energía.
El Director Ejecutivo,
Christian Jaramillo Herrera.
PROYECTO DE RESOLUCIÓN
por la cual, en aplicación del artículo 126 de la Ley 142 de 1994, se corrige un error grave de cálculo en la metodología para remunerar la actividad de distribución de gas combustible por redes de tubería.
La Comisión de Regulación de Energía y Gas, en ejercicio de sus atribuciones legales, en especial la conferida en el artículo 126 de la Ley 142 de 1994 y, de acuerdo con los Decretos 2253 de 1994, 1260 de 2013, y
CONSIDERANDO QUE:
El numeral 73.11 del artículo 73 de la Ley 142 de 1994 atribuyó a la Comisión de Regulación de Energía y Gas (CREG) la competencia para establecer las fórmulas para la fijación de las tarifas del servicio público domiciliario de gas combustible.
El artículo 87 de la Ley 142 de 1994 estableció que el régimen tarifario estará orientado por los criterios de eficiencia económica, neutralidad, solidaridad, redistribución, suficiencia financiera, simplicidad y transparencia.
En virtud del principio de eficiencia económica, definido en el numeral 87.1 del artículo 87 de la Ley 142 de 1994, el régimen de tarifas procurará que estas se aproximen a lo que serían los precios de un mercado competitivo, esto es, que las fórmulas tarifarias no pueden trasladar a los usuarios los costos de una gestión ineficiente, ni permitir que las empresas se apropien de las utilidades provenientes de prácticas restrictivas de la competencia.
En virtud del principio de suficiencia financiera, definido en el numeral 87.4 del artículo 87 de la Ley 142 de 1994, se debe garantizar a las empresas eficientes la recuperación de sus costos de inversión y sus gastos de Administración, Operación y Mantenimiento (AOM) y, permitir la remuneración del patrimonio de los accionistas en la misma forma en la que lo habría remunerado una empresa eficiente en un sector de riesgo comparable.
Mediante la Resolución CREG 202 de 2013 se establecieron los criterios generales para remunerar la actividad de distribución de gas combustible por redes de tubería y se dictaron otras disposiciones.
Mediante Resolución CREG 138 de 2014 por la cual se modificó y adicionó la Resolución CREG 202 de 2013 en aspectos relacionados, entre otros, con los criterios de conformación de mercados relevantes de distribución para el siguiente período tarifario, mercados relevantes de distribución especial, solicitudes tarifarias de períodos concluidos, solicitudes de cargos de distribución en mercados relevantes de distribución que posteriormente a la aprobación de cargos tarifarios con la Resolución CREG 011 de 2003 le fueron asignados recursos públicos a alguno(s) de sus municipios o centros poblados, inversión base y reposición de activos para el siguiente período tarifario.
En la Resolución CREG 095 de 2015 se aprobó la metodología para el cálculo de la tasa de descuento que se aplica en las actividades de transporte de gas natural, distribución de gas combustible por redes, transporte de GLP por ductos, transmisión y distribución de energía eléctrica en el sistema interconectado nacional y, generación y distribución de energía eléctrica en zonas no interconectadas.
En desarrollo de la evaluación de las solicitudes tarifarias y debido a circunstancias evidenciadas en los análisis tarifarios realizados, la Comisión emitió la Resolución CREG 093 del 11 de julio de 2016 mediante la cual se adoptó la medida de revocatoria parcial de la Resolución CREG 202 de 2013, en aspectos relacionados, entre otros, con la determinación de los niveles eficientes de gastos de Administración, Operación y Mantenimiento (AOM) y de Otros Activos; recursos públicos con destinación a inversión en redes de distribución y demanda; y se ordenó el archivo de unas actuaciones tarifarias.
Mediante la Resolución CREG 095 de 2016 se ordenó hacer público el proyecto de resolución “por la cual se complementa la Resolución CREG 202 de 2013 y se definen otras disposiciones” con el propósito de establecer nuevamente los aspectos revocados para la aplicación de la metodología de remuneración de la actividad de distribución de gas combustible por redes de tubería consignada en la Resolución CREG 202 de 2013 y sus modificatorias y de complementarla mediante nuevas disposiciones.
Mediante Resolución CREG 090 de 2018 se establecieron los aspectos revocados mediante la Resolución CREG 093 de 2016 en materia de: i) Gastos de Administración, Operación y Mantenimiento, ii) Otros Activos, iii) Mercados Relevantes de Distribución y, iv) Demandas de Volumen. Así mismo, se incorporaron disposiciones en relación con la aplicabilidad de dichas normas y se precisó la vigencia de los cargos que se aprueben con base en estas disposiciones.
A través de las Resoluciones CREG 202 de 2013 y CREG 090 de 2018 se establecen los criterios generales para remunerar la actividad de distribución de gas combustible por redes de tubería. Esto permite contar con los elementos necesarios para aprobar de manera definitiva los cargos de distribución de gas combustible.
Una vez publicada la Resolución CREG 090 de 2018 y durante la definición del cronograma y requerimientos necesarios para llevar a cabo las solicitudes de aprobación de cargos, la Comisión identificó que la clasificación de los municipios por Grupo G de la Tabla 1 del Anexo 20 del artículo 11 de la mencionada resolución no era consistente con la publicada en la Resolución CREG 066 de 2017. Lo anterior, generó una revisión detallada del contenido de la Resolución CREG 090 de 2018.
Mediante Circular CREG 060 de 2018 esta Comisión publicó para conocimiento de las empresas distribuidoras de gas combustible, de la Superintendencia de Servicios Públicos Domiciliarios y de terceros interesados en general, la existencia de errores en la Resolución CREG 090 de 2018.
Así mismo, informó que la Comisión adelantaría una actuación administrativa de manera oficiosa con fundamento en el artículo 126 de la Ley 142 de 1994, a efectos de determinar la existencia de graves errores de cálculo que lesionen injustamente los intereses de los usuarios o de las empresas en relación con lo descrito en la mencionada Circular, siendo necesario resolver dicha actuación, para que las empresas distribuidoras de gas combustible puedan llevar a cabo las solicitudes de aprobación de cargos para Mercados Relevantes de Distribución para el Siguiente Periodo Tarifario y expedir el cronograma, así como los requerimientos necesarios a que hace referencia el artículo 14 de la Resolución CREG 090 de 2018 por parte de la Dirección Ejecutiva.
La Comisión mediante Resolución CREG 132 de 2018 resolvió la actuación administrativa iniciada de oficio en virtud de lo establecido en el artículo 126 de la Ley 142 de 1994 y procedió a corregir los errores de cálculo identificados.
Mediante comunicaciones con radicados CREG E-2019-003794 de fecha 29 de marzo de 2019, CREG E-2019-004000 del 4 de abril de 2019 y CREG E-2019-004126 del 8 de abril de 2019, la empresa GAS NATURAL S. A. ESP, en virtud de lo establecido en el artículo 126 de la Ley 142 de 1994, solicitó a la Comisión de Regulación de Energía y Gas, CREG que:
“…modifique parcialmente la Resolución CREG 202 (1), modificada entre otras por las Resoluciones 090 (2) y 132 de 2018(3), ya que en la misma se cometió un grave error de cálculo que lesiona injustamente los intereses de GAS NATURAL S. A. ESP, en la medida en que el municipio de Bogotá (Sic) no fue considerado un “outlier” en la formación de grupos de municipios, ni la comisión realizó un análisis estadístico para identificar “outliers”.
Por lo tanto, de manera respetuosa se solicita a la CREG que modifique la Resolución CREG 202 de 2013 de la misma forma como lo hizo en la Resolución CREG 132 de diciembre de 2018, e incluya en el numeral 5 del Anexo 10, un parágrafo en el que se indique que: para aquellos municipios en que el agente demuestre que la población p corresponde a un “outlier” de la metodología no se utilizará la Razón (AOM/BRA) señalada en la tabla 2 del Anexo 10 para dicho municipio. En este caso al municipio se le asignará la menor razón de AOM/BRA entre lo reportado por la empresa en el 2016 y la semisuma entre lo reportado en el 2016 y lo establecido por la CREG en cuanto a los Gastos de AOM y las Inversiones del Mercado Relevante de Distribución para el Siguiente Periodo Tarifario k, conformado por mercados existentes aprobados bajo la metodología establecida mediante la Resolución CREG 011 de 2003.

Como pasa a señalarse en detalle, la solicitud es procedente y se sustenta en:
(i) Lo dispuesto en el artículo 126 de la Ley 142 de 1994;
(ii) La doctrina de la Comisión en relación con la aplicación del citado artículo reseñada en el Documento CREG 100 de 2018 soporte de la Resolución CREG 132 de 2018;
(iii) En el Anexo 1, se presenta el análisis estadístico mediante el cual el estudio realizado por el Dr. Hernando Mutis demuestra que Bogotá es un municipio no agrupable en el proceso de determinación de eficiencia de gastos de AOM, es decir es un “Outlier”. En el mismo estudio se demuestra que haciendo el tratamiento correcto de las variables con la información usada por la CREG se demuestra que Bogotá es, igualmente, un “Outlier”.
(iv) En el Anexo 2 se presenta un soporte de los casos en los cuales la CREG, en este mismo contexto de determinar la eficiencia de las empresas reguladas, ha usado el concepto de “Outlier”, tal como lo está solicitando la empresa en este documento, algunos de ellos también bajo los criterios del artículo 126.
(v) En el Anexo 3 se exponen las características especiales que tiene Bogotá tanto en los gastos como en las inversiones que ha ejecutado y que la comparación del Indicador AOM/BRA como insumo en la eficiencia no refleja la realidad operativa de la ciudad.
Todo lo anterior demuestra la necesidad y justifica el tratamiento de “outlier” que debe tener el municipio de Bogotá donde opera la empresa GAS NATURAL dentro de la metodología para la remuneración de la actividad de distribución de gas combustible por red de tubería.”.
En los anteriores términos, la solicitud presentada por GAS NATURAL S. A. ESP es una solicitud particular, en interés general, toda vez que persigue la modificación de una metodología de carácter general en virtud de la cual se establecieron los criterios para remunerar la actividad de distribución de gas combustible por redes de tubería; vale decir, aplicable a todos los agentes que desarrollen dicha actividad.
Mediante Auto de fecha 24 de julio de 2019 el Director Ejecutivo de la Comisión, resolvió iniciar Actuación Administrativa con el objeto de decidir sobre la procedencia de la aplicación del artículo 126 de la Ley 142 de 1994, respecto de la solicitud de modificación presentada.
Conforme a lo ordenado en el Ordinal Tercero del Auto en mención, para los efectos previstos en el artículo 37 del Código de Procedimiento Administrativo y de lo Contencioso Administrativo (CPACA), se dio a conocer el inicio de la Actuación Administrativa en mención, mediante Aviso número 037 publicado en el Diario Oficial número 51.026 del 26 de julio de 2019.
El artículo 126 de la Ley 142 de 1994, establece lo siguiente sobre la vigencia de las fórmulas tarifarias:
“Artículo 126. Vigencia de las fórmulas de tarifas. Las fórmulas tarifarias tendrán una vigencia de cinco años, salvo que antes haya acuerdo entre la empresa de servicios públicos y la comisión para modificarlas o prorrogarlas por un período igual. Excepcionalmente podrán modificarse, de oficio o a petición de parte, antes del plazo indicado cuando sea evidente que se cometieron graves errores en su cálculo, que lesionan injustamente los intereses de los usuarios o de la empresa; o que ha habido razones de caso fortuito o fuerza mayor que comprometen en forma grave la capacidad financiera de la empresa para continuar prestando el servicio en las condiciones tarifarias previstas.
Vencido el período de vigencia de las fórmulas tarifarias, continuarán rigiendo mientras la comisión no fije las nuevas.” (Resaltado fuera de texto)
1. SUSTENTO DE LA SOLICITUD DE MODIFICACIÓN DE LA METODOLOGÍA POR ERROR GRAVE
En la solicitud de modificación de la metodología, la empresa GAS NATURAL S. A. ESP señala de manera expresa que:
“Como pasa a señalarse en detalle, la solicitud es procedente y se sustenta en:
(i) Lo dispuesto en el artículo 126 de la Ley 142 de 1994;
(ii) La doctrina de la Comisión en relación con la aplicación del citado artículo reseñada en el Documento CREG 100 de 2018 soporte de la Resolución CREG 132 de 2018;
(iii) En el anexo 1, se presenta el análisis estadístico mediante el cual el estudio realizado por el Dr. Hernando Mutis demuestra que Bogotá es un municipio no agrupable en el proceso de determinación de eficiencia de gastos de AOM, es decir es un “Outlier”. En el mismo estudio se demuestra que haciendo el tratamiento correcto de las variables con la información usada por la CREG se demuestra que Bogotá es, igualmente, un “Outlier”.
(iv) En el anexo 2 se presenta un soporte de los casos en los cuales la CREG, en este mismo contexto de determinar la eficiencia de las empresas reguladas, ha usado el concepto de “ Outlier”, tal como lo está solicitando la empresa en este documento, algunos de ellos también bajo los criterios del artículo 126.
(v) En el anexo 3 se exponen las características especiales que tiene Bogotá tanto en los gastos como en las inversiones que ha ejecutado y que la comparación del Indicador AOM/BRA como insumo en la eficiencia no refleja la realidad operativa de la ciudad.
Todo lo anterior demuestra la necesidad y justifica el tratamiento de “outlier” que debe tener el municipio de Bogotá donde opera la empresa GAS NATURAL dentro de la metodología para la remuneración de la actividad de distribución de gas combustible por red de tubería”.
2. ANÁLISIS DE LA COMISIÓN DE REGULACIÓN DE ENERGÍA Y GAS, (CREG)
Como resultado de los análisis desarrollados por la Comisión a partir de los argumentos expuestos por GAS NATURAL S. A. ESP en su solicitud, se evidenció que para la ejecución del Algoritmo K-means se utilizaron equivocadamente las variables TEMPER y RELIEVE, con lo cual se obtuvo un aspecto tarifario diferente al que debió ser para la clasificación de los municipios por grupo y antigüedad de prestación de servicio contenida en el Anexo 20 de la Resolución CREG 132 de 2018, lo cual afecta el cálculo de los parámetros de: i) Gasto de AOM máximo a reconocer, ii) Porcentaje de Otros Activos máximo a reconocer y, iii) Factor de Uso Eficiente (FUE).
Con base en la bibliografía consultada, relacionada en el documento soporte de la presente Resolución, para el cálculo de las variables TEMPER y RELIEVE se debieron usar los valores absolutos de temperatura y relieve de cada municipio, con el fin de contar con variables cuantitativas continuas para proceder, a continuación, con su estandarización y finalmente, introducirlas para obtener el número de grupos y la ejecución del Algoritmo K-means.
La descripción detallada de los análisis adelantados por la Comisión se encuentra contenida en el Documento CREG 113 de 2019 que hace parte integral de la presente Resolución.
Con base en lo expuesto anteriormente, se concluye que, en este aspecto, le asiste razón a GAS NATURAL S. A. ESP en la medida en que no se hizo un tratamiento correcto de la variables TEMPER y RELIEVE y, en consecuencia, se configura un error grave de cálculo a la luz del artículo 126 de la Ley 142 de 1994, toda vez que concurren los elementos que la CREG ha señalado para el efecto en el Documento CREG 100 de 2018, que se recogen en el Documento CREG 113 de 2019 que hace parte integral de la presente Resolución.
Es importante señalar que las actuaciones administrativas de revisión tarifaria adelantadas en ejercicio y aplicación del artículo 126 de la Ley 142 de 1994, incluidas aquellas que se fundamenten en la existencia de un grave error de cálculo, no están dirigidas a cuestionar la validez o la legalidad de los actos administrativos en los cuales se sustenta la definición de las metodologías tarifarias y/o de los cargos o las tarifas.
Lo anterior, toda vez que la aplicación del artículo 126 de la Ley 142 de 1994 consagra una facultad excepcional en cabeza del regulador cuando, una vez definidos los aspectos o fórmulas de carácter tarifario dentro de una metodología de remuneración de alguna de las actividades que hacen parte de la prestación de los servicios públicos de energía eléctrica y gas combustible, así como definido un cargo o tarifa, estos podrán ser revisados atendiendo la procedencia de alguna de las causales allí previstas, con el fin de llevar a cabo una correcta y debida aplicación de los criterios tarifarios, entre otros, de eficiencia económica y suficiencia financiera.
La expedición de la presente Resolución se limita a realizar la corrección del error grave de cálculo identificado, en aplicación de lo definido en el artículo 126 de la Ley 142 de 1994, toda vez que la metodología de remuneración de la actividad de distribución de gas combustible por redes ya fue definida y se encuentra vigente.
En este sentido, la corrección del error grave de cálculo no modifica aspectos metodológicos establecidos en la Metodología vigente en relación con:
(i) La forma en que se determina el porcentaje de los gastos eficientes de AOM respecto de la Base Regulatoria de Activos, el cual se obtiene a partir del mínimo entre los tres factores allí dispuestos (la semisuma entre la razón AOM y BRA reportada a 2016 y la razón de los AOM y la BRA aprobada bajo la metodología de la Resolución CREG 011 de 2003, el Gasto de AOM máximo a reconocer, y la razón AOM y BRA reportada a 2016).
(ii) La forma en que se determina el porcentaje de Otros Activos eficientes, el cual se obtiene a partir del mínimo entre los tres factores allí dispuestos (el Promedio entre el porcentaje de Otros Activos remunerado y el reportado a 2016, el Porcentaje de Otros Activos máximo a reconocer, y el Porcentaje de Otros Activos reportados a 2016).
(iii) La forma en que se ajusta la demanda de uso residencial a través de un Delta de Demanda el cual resulta de la diferencia entre la demanda residencial ajustada (i.e. por efecto por del Factor de Uso Eficiente (FUE) y la demanda residencial que se presente en una solicitud tarifaria.
Por lo anterior, el regulador se encuentra facultado en el marco de la Ley 142 de 1994 para llevar a cabo, de manera directa, la corrección de un error grave de cálculo cuando se lesionen injustamente a los usuarios o a las empresas frente a los cuales se establezca su procedencia, ya sea de oficio o a petición de parte. Esto implica que la decisión mediante la cual se corrija el error dentro de una fórmula o un aspecto tarifario que haga parte de una metodología, en el marco de dicha norma, no se encuentra sometida al trámite de consulta previsto en el artículo 8o de la Ley 1437 de 2011 y en el artículo 2.2.13.3.2 del Decreto 1078 de 2015.
Con base en los anteriores considerandos, le corresponde a esta Comisión en el marco del artículo 126 de la Ley 142 de 1994 corregir el error de cálculo identificado, con el fin de que se lleve a cabo una debida aplicación de la metodología de remuneración de la actividad de distribución de gas combustible por redes de tubería, así como de los criterios tarifarios de Eficiencia Económica y Suficiencia Financiera a que hace relación el artículo 87 de la Ley 142 de 1994.
Conforme al Decreto 2897 de 2010(4) y a la Resolución SIC 44649 de 2010, la Comisión de Regulación de Energía y Gas dio respuesta al cuestionario adoptado por la Superintendencia de Industria y Comercio (SIC) para la evaluación de la incidencia sobre la libre competencia del presente acto administrativo, el cual se encuentra en el Documento CREG 113 de 2019.
Teniendo en cuenta lo anterior y, dado que la presente Resolución corresponde a una medida a ser adoptada por la CREG a efectos de corregir un error grave de cálculo en los términos establecidos en el artículo 126 de la Ley 142 de 1994, identificado en virtud de una solicitud particular en interés general, el presente acto administrativo no requiere ser remitido a la SIC para los efectos establecidos en el artículo 7o de la Ley 1340 de 2009, reglamentado por el Decreto 2897 de 2010, por no tener incidencia sobre la libre competencia.
Dado que el procedimiento de aprobación tarifaria iniciado por la Dirección Ejecutiva mediante la Circulares CREG 030, CREG 031 y CREG 036 de 2019 se puede ver afectado con ocasión de la expedición de la presente Resolución, se hace necesario fijar la fecha de corte definida en el artículo 2o de la Resolución CREG 202 de 2013 y sus modificaciones.
Una vez realizados los análisis correspondientes en relación con la aplicación del artículo 126 de la Ley 142 de 1994, la Comisión de Regulación de Energía y Gas (CREG) en Sesión número 962 del 5 de diciembre de 2019, aprobó la siguiente decisión mediante la cual se resuelve la actuación administrativa iniciada y se procede a corregir el error identificado.
RESUELVE:
ARTÍCULO 1o. Reconocer la existencia de un error grave de cálculo a la luz del artículo 126 de la Ley 142 de 1994, consistente en la utilización equivocada de las variables Índice de Temperatura - TEMPER e Índice de Relieve - RELIEVE para la clasificación de los municipios por grupo y antigüedad de prestación de servicio, lo cual afecta el cálculo de los parámetros de: i) Gasto de AOM máximo a reconocer, ii) Porcentaje de Otros Activos máximo a reconocer y, iii) Factor de Uso Eficiente (FUE).
ARTÍCULO 2o. Corregir el artículo 8o de la Resolución CREG 090 de 2018, el cual quedará así:
“Artículo 8o. Establézcase el Anexo 9 citado en el literal b) del numeral 9.4. de la Resolución CREG 202 de 2013 correspondiente a Otros Activos, modificado por las Resoluciones CREG 138 de 2014, CREG 125 de 2015, revocado por la Resolución CREG 093 de 2016 y modificado en virtud de la Resolución CREG 132 de 2108, así:
ANEXO 9
OTROS ACTIVOS
El porcentaje eficiente de Otros Activos que resulte de la aplicación de lo contenido en este Anexo se aplicará a cada Mercado Relevante de Distribución para el Siguiente Período Tarifario, conforme a lo establecido en el literal b) del numeral 9.4 del artículo 9o de la presente Resolución.
El porcentaje de Otros Activos eficiente que se reconocerá durante el próximo período tarifario, se estimará de acuerdo al procedimiento que a continuación se describe:
9.1. Porcentaje de Otros Activos para Mercados Relevantes de Distribución para el Siguiente Período Tarifario conformados a partir de Mercados Existentes o Agregación de Mercados Existentes de Distribución.
1. Se toma la información reportada por las empresas distribuidoras a la CREG para la vigencia 2016. Esta información corresponde a las cuentas de Otros Activos y arrendamientos reportada por las empresas prestadoras del servicio según la Circular CREG 027 de 2018.
OTROS ACTIVOS
| CUENTAS | NOMBRE |
| 1610 | SEMOVIENTES |
| 1630 | EQUIPOS Y MATERIALES EN DEPÓSITO |
| 1635 | BIENES MUEBLES EN BODEGA |
| 1636 | PROPIEDADES, PLANTA Y EQUIPO EN MANTENIMIENTO |
| 1643 | VÍAS DE COMUNICACIÓN Y ACCESO INTERNAS |
| 1655 | MAQUINARIA Y EQUIPO |
| 1660 | EQUIPO MÉDICO Y CIENTÍFICO |
| 1665 | MUEBLES, ENSERES Y EQUIPOS DE OFICINA |
| 1670 | EQUIPOS DE COMUNICACIÓN Y COMPUTACIÓN |
| 1675 | EQUIPO DE TRANSPORTE, TRACCIÓN Y ELEVACIÓN |
| 1680 | EQUIPOS DE COMEDOR, COCINA, DESPENSA Y HOTELERÍA |
| 191008 | Estudios y proyectos |
| 194103 | Maquinaria |
| 194104 | Equipo |
| 194105 | Muebles y enseres |
| 194190 | Otros activos - Vehículos |
| 197007 | Licencias |
| 197008 | “Software” |
| 199953 | Semovientes |
| 199958 | Equipos y materiales en depósito |
| 199959 | Bienes Muebles en bodega |
| 199960 | Propiedades, planta y equipo en mantenimiento |
| 199963 | Vías de comunicación y acceso internas |
| 199966 | Maquinaria y equipo |
| 199967 | Equipo médico y científico |
| 199968 | Muebles, enseres y equipo de oficina |
| 199969 | Equipo de comunicaciones y computación |
| 199970 | Equipo de transporte, tracción y elevación |
| 199971 | Equipo de comedor, cocina, despensa y hotelería |
ARRENDAMIENTOS
| CUENTAS | NOMBRE |
| 751703 | Maquinaria y Equipo |
| 751704 | Equipo de Oficina |
| 751705 | Equipo de Computación y Comunicación |
| 751707 | Flota y Equipo de Transporte |
| 751706 | Equipo Científico |
| 751790 | Otros |
| 511118 | Arrendamiento |
La Comisión podrá adelantar durante los procesos de aprobación de cargos de Distribución para el siguiente periodo tarifario, revisiones y depuraciones a la información de las cuentas arriba indicadas y presentadas por las empresas con el fin de no transferir costos y gastos ineficientes en la tarifa final.
Cuando las empresas estén prestando el servicio en sus respectivos mercados relevantes para los cuales haya concluido su período tarifario y no hayan reportado la información de Otros Activos según lo dispuesto en la precitada circular, se les reconocerá el noventa por ciento (90%) del porcentaje mínimo reconocido de Otros Activos de acuerdo con los resultados obtenidos.
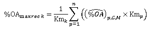
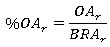
2. Se determina el porcentaje de los Otros Activos reportada (%OAr) como la razón entre el valor de los mismos (OAr) y la Base Regulatoria de Activos (BRA) por empresa así:
![]()
Donde
| Valor de los Otros Activos reportado a diciembre de 2016 por la empresa. Se calcula como la suma de las cuentas de Otros Activos más la suma del equivalente de las cuentas de arrendamientos. El equivalente de las cuentas de arrendamientos se fija como el valor presente neto de un flujo anual del valor de la cuenta a cinco (5) años y descontado a una tasa del 12,7%. | |
| Valor total de la Base Regulatoria de Activos reportado a diciembre 2016 por la empresa para todos sus mercados. |
3. Se imputa a cada Mercado Relevante de Distribución para el Siguiente Período Tarifario k de la empresa el porcentaje de Otros Activos reportado
determinado en el numeral anterior.
4. Se establece para el Mercado Relevante de Distribución para el Siguiente Periodo Tarifario el porcentaje de Otros Activos eficiente a reconocer, el cual se determina de acuerdo con la siguiente fórmula, en caso de que los municipios que lo conforman les fueron remunerados los porcentajes de Otros Activos a través de Cargos de Distribución determinados mediante la metodología dispuesta en la Resolución CREG 011 de 2003,
![]()
y en el caso de que los municipios que pertenecieron a un Área de Servicio Exclusivo, el porcentaje de Otros Activos eficiente a reconocer se define de acuerdo con la siguiente fórmula,
![]()
donde
| Porcentaje de Otros Activos eficiente que se reconocerá en los Cargos de Distribución del Mercado Relevante de Distribución para el Siguiente Periodo Tarifario k. Este porcentaje se aplica conforme a lo establecido en el literal b) del numeral 9.4 del artículo 9o de la presente resolución. | |
| Porcentaje de Otros Activos reportado por la empresa a diciembre de 2016, imputado al Mercado Relevante de Distribución para el Siguiente Periodo Tarifario k. | |
| Porcentaje de Otros Activos remunerados a diciembre de 2016 en el cargo promedio de distribución aprobado mediante resolución particular conforme a la Resolución CREG 011 de 2003 para el Mercado Relevante de Distribución para el Siguiente Periodo Tarifario k. | |
| Porcentaje de Otros Activos máximo a reconocer para el Mercado Relevante de Distribución para el Siguiente Periodo Tarifario k, el cual se calcula conforme a la siguiente fórmula: |

Donde:
| Número de municipios que contiene el Mercado Relevante de Distribución para el Siguiente Periodo Tarifario k. | |
| Total de kilómetros de red del Mercado Relevante de Distribución para el Siguiente Periodo Tarifario k, reportado a la Fecha de Corte. | |
| Total de kilómetros de red del municipio p que pertenece al Mercado Relevante de Distribución para el Siguiente Periodo Tarifario k, reportado a la Fecha de Corte. | |
| Grupo de municipios conformados de acuerdo con sus características físicas y económicas según el procedimiento descrito en el ANEXO 20 de esta resolución. | |
| Grupo de municipios conformados según la antigüedad en la prestación del servicio y a la metodología tarifaria con la cual se le estableció el cargo de distribución vigente conforme a lo descrito en el Anexo 20 de esta resolución- | |
Porcentaje estimado de Otros Activos asignado para el municipio p según la clasificación dada por grupo G y metodología M, definida en la Tabla 1 del Anexo 20 y conforme a la siguiente tabla: ![]() Para aquellos municipios donde se esté prestando el servicio y que no se encuentren clasificados por Grupo G y Metodología M conforme a la Tabla 1 del Anexo 20, se clasificarán conforme a lo establecido en dicho anexo. |
5. El valor eficiente de Otros Activos a remunerar del Mercado Relevante de Distribución para el Siguiente Periodo Tarifario k se determina conforme al porcentaje de Otros Activos eficiente obtenido de la metodología descrita en los numerales anteriores, multiplicando por el valor de la Base Regulatoria de Activos del mercado en cuestión, calculado a la Fecha de Corte, y considerando lo indicado en el literal b) del numeral 9.4 del artículo 9o de la presente resolución.
9.2. Porcentaje de Otros Activos a Reconocer en Mercados Relevantes de Distribución para el Siguiente Período Tarifario conformados a partir de anexar Municipios Nuevos a Mercados Existentes.
El porcentaje de otros activos eficientes será: i) para los mercados existentes, el resultante del procedimiento del numeral 9.1 del presente anexo y ii) para los municipios nuevos, el resultante del procedimiento del numeral 9.3 del presente anexo.
9.3. Porcentaje de Otros Activos a Reconocer en Mercados Relevantes de Distribución para el Siguiente Período Tarifario conformados por Municipios Nuevos.
1. Teniendo en cuenta el valor de Otros Activos y el valor de la Base Regulatoria de Activos (BRAGN) presentados en la solicitud tarifaria por la empresa para los Mercados Relevantes de Distribución conformados por Municipios Nuevos se establecerá el porcentaje de Otros Activos del mercado así:
![]()
Donde:
| Valor de los Otros Activos presentado por la empresa en su solicitud tarifaria. Se calcula como la suma de las cuentas de Otros Activos más la suma del equivalente de las cuentas de arrendamientos. El equivalente de las cuentas de arrendamientos se fija como el valor presente neto de un flujo anual del valor de la cuenta a 5 años y descontado a una tasa del 12,7%. | |
| Base Regulatoria de Activos calculada como la sumatoria de las inversiones reportadas en el programa de inversiones para los cinco (5) años del siguiente periodo tarifario. Esta incluye los activos inherentes a la operación y control de calidad del servicio y activos especiales, expresada en pesos de la Fecha Base. |
2. El porcentaje de Otros Activos eficiente para el Mercado Relevante de Distribución para el Siguiente Periodo Tarifario k se determinará así:
![]()
Donde:
| Porcentaje de Otros Activos eficiente que se reconocerá en los Cargos de Distribución de los mercados relevantes de distribución para el Siguiente Periodo Tarifario k. Este porcentaje se aplicará conforme a lo establecido en el literal b) del numeral 9.4 del artículo 9 de la presente resolución. | |
| Porcentaje de Otros Activos presentado por la empresa en su solicitud tarifaria, imputado al Mercado Relevante de Distribución para el Siguiente Periodo Tarifario k, respecto a la Base Regulatoria de Activos (BRAN). | |
| Porcentaje de Otros Activos máximo a reconocer para el Mercado Relevante de Distribución para el Siguiente Periodo Tarifario k, que se calcula conforme a la siguiente fórmula: |

Donde:
| Número de municipios nuevos que contiene el Mercado Relevante de Distribución para el Siguiente Periodo Tarifario k. | |
| Total de kilómetros de red del Mercado Relevante de Distribución para el Siguiente Periodo Tarifario k. | |
| Total de kilómetros de red del municipio p que pertenece al Mercado Relevante de Distribución para el Siguiente Periodo Tarifario k. | |
| Grupo de municipios conformados de acuerdo con sus características físicas según el procedimiento descrito en el Anexo 20 de esta resolución. | |
| Grupo de municipios por metodología los cuales han sido conformados según la antigüedad en la prestación del servicio y a la metodología tarifaria con la cual se le estableció el cargo de distribución vigente conforme a lo descrito en el Anexo 20. | |
Porcentaje estimado de Otros Activos asignado para el municipio p según la clasificación dada por grupo G, consignada en la Tabla 1 del Anexo 20 de esta resolución, y considerando la metodología M correspondiente a 3, según a la siguiente tabla: ![]() Para los centros poblados que pertenezcan a un municipio p que hace parte de un mercado existente con prestación del servicio en la cabecera municipal, se mantiene el grupo G definido en la Tabla 1 del Anexo 20 para este municipio y se les asigna la metodología M 3. Para aquellos los municipios que conforman el Mercado Relevante de Distribución Nuevo para el Siguiente Periodo Tarifario que no se encuentran en la Tabla 1 del Anexo 20, la empresa de distribución deberá solicitar a la CREG que determine el grupo al que pertenece el municipio. La CREG hará esta determinación con base en la metodología de agrupación utilizada para la construcción de la Tabla 2 consignada en el Anexo 20. Dado que estos municipios son nuevos, la metodología que les corresponderá será M 3. Con ese resultado, se determinará el %OAmax reck del Mercado Relevante de Distribución para el Siguiente Periodo Tarifario k. |
3. El valor eficiente a reconocer de Otros Activos se determinará como el producto del porcentaje de Otros Activos eficiente determinado en el numeral anterior y el valor presente neto de la proyección de inversiones, utilizando la tasa de descuento definida por la CREG para la actividad de distribución de gas combustible por redes de tubería y considerando lo indicado en el literal b) del numeral 9.4 del artículo 9 de la presente resolución.
ARTÍCULO 3o. Corregir el artículo 9o de la Resolución CREG 090 de 2018, el cual quedará así:
“Artículo 9o. Establézcase el Anexo 10 de la Resolución CREG 202 de 2013 correspondiente a gastos de administración, operación y mantenimiento (AOM), modificado por las Resoluciones CREG 138 de 2014, CREG 125 de 2015, revocado por la Resolución CREG 093 de 2016 y modificado por la Resolución CREG 132 de 2018, así:
ANEXO 10
GASTOS DE ADMINISTRACIÓN, OPERACIÓN Y MANTENIMIENTO (AOM) DE LA ACTIVIDAD DE DISTRIBUCIÓN DE GAS COMBUSTIBLE
Los gastos eficientes de Administración, Operación y Mantenimiento (AOM) que se remunerarán en los Cargos de Distribución de gas combustible se determinarán según la conformación de los Mercado(s) Relevante(s) de Distribución para el Siguiente Período Tarifario de la siguiente manera:
10.1. Determinación del gasto de AOM eficiente para Mercados Relevantes de Distribución para el Siguiente Período Tarifario conformados a partir de Mercados Existentes o Agregación de Mercados Existentes de Distribución de Períodos Tarifarios Concluidos.
1. Se utiliza la información reportada a la CREG por cada una de las empresas distribuidoras y comercializadoras para la vigencia 2016, según lo dispuesto en las circulares CREG 004 y 065 de 2017 y como respuesta a comunicaciones particulares emitidas por esta Comisión solicitando información al respecto. La información correspondiente a los costos y gastos de AOM de las actividades reguladas de distribución, comercialización y de sus Otros Negocios de todos los Mercados Existentes en donde prestan servicio que fue reportada conforme a las cuentas establecidas a continuación:
| CUENTAS | NOMBRE | SUMA (+) O RESTA (-) |
| 5 | GASTOS | - |
| 51 | DE ADMINISTRACIÓN | - |
| 5101 | SUELDOS Y SALARIOS | (+) |
| 510101 | Sueldos | (+) |
| 510102 | Jornales | (+) |
| 510103 | Horas extras y festivos | (+) |
| 510108 | Sueldo por comisiones al exterior | (+) |
| 510119 | Bonificaciones | (+) |
| 510123 | Auxilio de transporte | (+) |
| 510145 | Salario integral | (+) |
| 510159 | Subsidio de vivienda | (+) |
| 510160 | Subsidio de alimentación | (+) |
| 5107 | PRESTACIONES SOCIALES | - |
| 510701 | Vacaciones | (+) |
| 510702 | Cesantías | (+) |
| 510703 | Intereses a las cesantías | (+) |
| 510704 | Prima de vacaciones | (+) |
| 510705 | Prima de navidad | (+) |
| 510706 | Prima de servicios | (+) |
| 510790 | Otras primas | (+) |
| 510795 | Otras prestaciones sociales | (+) |
| 5108 | GASTOS DE PERSONAL DIVERSOS | - |
| 510801 | Remuneración por servicios técnicos | (+) |
| 510802 | Honorarios | (+) |
| 510803 | Capacitación, bienestar social y estímulos | (+) |
| 510804 | Dotación y suministro a trabajadores | (+) |
| 510805 | Gastos deportivos y de recreación | (+) |
| 510806 | Contratos de personal temporal | (+) |
| 510807 | Gastos de viaje | (+) |
| 510808 | Remuneración electoral | (+) |
| 510809 | Gastos de representación | (+) |
| 510810 | Viáticos | (+) |
| 510811 | Ajuste beneficios pos empleo | (-) |
| 510812 | Ajuste beneficios a los empleados a largo plazo | (-) |
| 510890 | Otros gastos de personal diversos | (+) |
| 5102 | CONTRIBUCIONES IMPUTADAS | - |
| 510201 | Incapacidades | (+) |
| 510202 | Subsidio familiar | (+) |
| 510203 | Indemnizaciones | (+) |
| 510204 | Gastos médicos y drogas | (+) |
| 510205 | Auxilio y servicios funerarios | (+) |
| 510206 | Pensiones de jubilación patronales | (-) |
| 510207 | Cuotas partes de pensiones | (-) |
| 510208 | Indemnizaciones sustitutivas | (-) |
| 510209 | Amortización cálculo actuarial pensiones actuales | (-) |
| 510210 | Amortización cálculo actuarial de futuras pensiones | (-) |
| 510211 | Amortización cálculo actuarial de futuras cuotas partes de pensiones | (-) |
| 510212 | Amortización Liquidación provisional de cuotas partes de bonos pensionales | (-) |
| 510213 | Cuotas partes de bonos pensionales emitidos | (-) |
| 510215 | Subsidio por dependiente | (+) |
| 510290 | Otras contribuciones imputadas | (+) |
| 5103 | CONTRIBUCIONES EFECTIVAS | |
| 510301 | Seguros de vida | (+) |
| 510302 | Aportes a cajas de compensación familiar | (+) |
| 510303 | Cotizaciones a seguridad social en salud | (+) |
| 510304 | Aportes sindicales | (+) |
| 510305 | Cotizaciones a riesgos laborales | (+) |
| 510306 | Cotizaciones a entidades administradoras del régimen de prima media | (+) |
| 510307 | Cotizaciones a entidades administradoras del régimen de ahorro individual | (+) |
| 510308 | Medicina Prepagada | (+) |
| 510390 | Otras contribuciones efectivas | (+) |
| 5104 | APORTES SOBRE LA NOMINA | (+) |
| 5111 | GENERALES | - |
| 511101 | Moldes y Troqueles | (+) |
| 511102 | Material Quirúrgico | (+) |
| 511103 | Elementos de lencería y ropería | (+) |
| 511104 | Loza y cristalería | (+) |
| 511105 | Gastos de organización y puesta en marcha | (+) |
| 511106 | Estudios y proyectos | (+) |
| 511107 | Gastos de exploración | (+) |
| 511109 | Gastos de desarrollo | (+) |
| 511110 | Gastos de asociación | (+) |
| 511111 | Comisiones, honorarios y servicios | (+) |
| 511112 | Obras y mejoras en propiedad ajena | (+) |
| 511113 | Vigilancia y seguridad | (+) |
| 511114 | Materiales y suministros | (+) |
| 511115 | Mantenimiento | (+) |
| 511116 | Reparaciones | (+) |
| 511117 | Servicios públicos | (+) |
| 511118 | Arrendamiento operativo | (-) |
| 511119 | Viáticos y gastos de viaje | (+) |
| 511120 | Publicidad y propaganda | (+) |
| 511121 | Impresos, publicaciones, suscripciones y afiliaciones | (+) |
| 511122 | Fotocopias | (+) |
| 511123 | Comunicaciones y transporte | (+) |
| 511125 | Seguros generales | (+) |
| 511126 | Imprevistos | (+) |
| 511127 | Promoción y divulgación | (+) |
| 511132 | Diseños y Estudios | (+) |
| 511133 | Seguridad industrial | (+) |
| 511136 | Implementos deportivos | (+) |
| 511137 | Eventos culturales | (+) |
| 511139 | Participaciones y compensaciones | (+) |
| 511140 | Contratos de administración | (+) |
| 511141 | Sostenimiento de semovientes | (+) |
| 511142 | Gastos de operación aduanera | (+) |
| 511146 | Combustibles y lubricantes | (+) |
| 511147 | Servicios portuarios y aeroportuarios | (+) |
| 511149 | Servicios de aseo, cafetería, restaurante y lavandería | (+) |
| 511150 | Procesamiento de información | (+) |
| 511151 | Gastos por control de calidad | (+) |
| 511154 | Organización de eventos | (+) |
| 511155 | Elementos de aseo, lavandería y cafetería | (+) |
| 511156 | Bodegaje | (+) |
| 511157 | Concursos y licitaciones | (+) |
| 511158 | Videos | (+) |
| 511159 | Licencias y salvoconductos | (+) |
| 511161 | Relaciones publicas | (+) |
| 511162 | Equipo de seguridad industrial | (+) |
| 511163 | Contratos de aprendizaje | (+) |
| 511190 | Otros gastos generales | (+) |
| 5120 | IMPUESTOS, CONTRIBUCIONES Y TASAS | - |
| 512001 | Impuesto predial unificado | (+) |
| 512002 | Cuota de fiscalización y auditaje | (+) |
| 512006 | Valorización | (+) |
| 512007 | Multas | (-) |
| 512008 | Sanciones | (-) |
| 512009 | Impuesto de industria y comercio | (+) |
| 512010 | Tasas | (+) |
| 512011 | Impuesto sobre vehículos automotores | (+) |
| 512012 | Impuesto de registro | (+) |
| 512013 | Regalías y compensaciones monetarias | (+) |
| 512017 | Intereses de Mora | (-) |
| 512018 | Impuesto a las ventas, IVA no descontable | (+) |
| 512019 | Registro y salvoconducto | (+) |
| 512021 | Impuesto para preservar la seguridad democrática | (+) |
| 512022 | Peajes | (+) |
| 512023 | Impuesto al patrimonio | (+) |
| 512024 | Gravamen a los movimientos financieros | (+) |
| 512025 | Impuesto de timbre | (+) |
| 512026 | Contribuciones | (+) |
| 512027 | Licencias | (+) |
| 512028 | Impuestos sobre aduana y recargos | (+) |
| 512029 | Impuestos, contribuciones y tasas en el exterior | (+) |
| 512032 | Impuesto a la riqueza | (+) |
| 512033 | Impuesto complementario de normalización tributaria al impuesto a la riqueza | (+) |
| 512034 | Notariales | (+) |
| 512090 | Otros impuestos | (+) |
| 53 | DETERIORO, DEPRECIACIONES, AGOTAMIENTO, AMORTIZACIONES Y PROVISIONES | (-) |
| 5366 | AMORTIZACIÓN DE ACTIVOS INTANGIBLES | - |
| 536605 | Licencias | (-) |
| 536606 | Softwares | (-) |
| 58 | OTROS GASTOS | - |
| 5821 | IMPUESTO A LAS GANANCIAS CORRIENTE | (-) |
| 5822 | IMPUESTO A LAS GANANCIAS DIFERIDO | (-) |
| 7 | COSTOS | - |
| 75 | SERVICIOS PUBLICOS | - |
| 7505 | SERVICIOS PERSONALES | - |
| 750501 | Sueldos de Personal | (+) |
| 750502 | Jornales | (+) |
| 750503 | Horas Extras y Festivos | (+) |
| 750504 | Incapacidades | (+) |
| 750505 | Costos de Representación | (+) |
| 750506 | Remuneración Servicios Técnicos | (+) |
| 750507 | Personal Supernumerario | (+) |
| 750508 | Sueldos por Comisiones al Exterior | (+) |
| 750510 | Primas Técnicas | (+) |
| 750511 | Prima de Dirección | (+) |
| 750512 | Prima Especial de Servicios | (+) |
| 750513 | Prima de Vacaciones | (+) |
| 750514 | Prima de Navidad | (+) |
| 750515 | Primas Extras Legales | (+) |
| 750516 | Primas Extraordinarias | (+) |
| 750517 | Otras Primas | (+) |
| 750518 | Vacaciones | (+) |
| 750519 | Bonificación Especial de Recreación | (+) |
| 750520 | Bonificaciones | (+) |
| 750521 | Subsidio Familiar | (+) |
| 750522 | Subsidio de Alimentación | (+) |
| 750523 | Auxilio de Transporte | (+) |
| 750524 | Cesantías | (+) |
| 750525 | Intereses a las cesantías | (+) |
| 750529 | Indemnizaciones | (+) |
| 750530 | Capacitación, Bienestar Social y Estímulos | (+) |
| 750531 | Dotación y Suministro a Trabajadores | (+) |
| 750533 | Costos Deportivos y de Recreación | (+) |
| 750535 | Aportes a Cajas de Compensación Familiar | (+) |
| 750536 | Aportes al ICBF | (+) |
| 750537 | Aportes a Seguridad Social | (+) |
| 750538 | Aportes al SENA | (+) |
| 750539 | Aportes Sindicales | (+) |
| 750540 | Otros Aportes | (+) |
| 750541 | Costos Médicos y Drogas | (+) |
| 750543 | Otros Auxilios | (+) |
| 750544 | Riesgos Profesionales | (+) |
| 750545 | Salario Integral | (+) |
| 750546 | Contratos Personal Temporal | (+) |
| 750547 | Viáticos | (+) |
| 750548 | Gastos de Viaje | (+) |
| 750549 | Comisiones | (+) |
| 750552 | Prima de Servicios | (+) |
| 750562 | Amortización del cálculo actuarial de futuras pensiones | (-) |
| 750567 | Cotizaciones a Entidades Administradoras del Régimen de Prima Media | (+) |
| 750568 | Cotización a Sociedades Administradoras del Régimen de Ahorro Individual | (+) |
| 750569 | Indemnizaciones sustitutivas | (-) |
| 750570 | Auxilios y Servicios Funerarios | (+) |
| 750571 | Prima de costos de vida | (+) |
| 750572 | Bonificación por servicios prestados | (+) |
| 750573 | Estímulo a la eficiencia | (+) |
| 750574 | Prima de actividad | (+) |
| 750575 | Prima de coordinación | (+) |
| 750576 | Subsidio de vivienda | (+) |
| 750577 | Prima especial de quinquenio | (+) |
| 750578 | Subsidio de carestía | (+) |
| 750579 | Aporte fondos mutuos de inversión | (+) |
| 750580 | Medicina prepagada | (+) |
| 750581 | Aportes a la ESAP | (+) |
| 750582 | Aportes a escuelas industriales e institutos técnicos | (+) |
| 750590 | Otros Servicios Personales | (+) |
| 7510 | GENERALES | - |
| 751001 | Moldes y troqueles | (+) |
| 751003 | Material quirúrgico | (+) |
| 751004 | Loza y cristalería | (+) |
| 751006 | Estudios y Proyectos | (+) |
| 751013 | Suscripciones y Afiliaciones | (+) |
| 751015 | Obras y mejoras en propiedad ajena | (+) |
| 751019 | Viáticos y gastos de viaje | (+) |
| 751023 | Publicidad y Propaganda | (+) |
| 751024 | Impresos y Publicaciones | (+) |
| 751025 | Fotocopias, Útiles de escritorio y papelería | (+) |
| 751026 | Comunicaciones | (+) |
| 751027 | Promoción y divulgación | (+) |
| 751036 | Seguridad Industrial | (+) |
| 751037 | Transporte, Fletes y Acarreos | (+) |
| 751038 | Imprevistos | (+) |
| 751039 | Implementos deportivos | (+) |
| 751040 | Eventos culturales | (+) |
| 751041 | Contratos de administración | (+) |
| 751042 | Sostenimiento de semovientes | (+) |
| 751043 | Gastos de operación aduanera | (+) |
| 751044 | Servicios portuarios y aeroportuarios | (+) |
| 751045 | Costos por control de calidad | (+) |
| 751046 | Elementos de aseo, lavandería, y cafetería | (+) |
| 751047 | Videos | (+) |
| 751048 | Licencias y salvoconductos | (+) |
| 751049 | Relaciones públicas | (+) |
| 751050 | Contratos de aprendizaje | (+) |
| 751090 | Otros Costos Generales | (+) |
| 7515 | DEPRECIACIONES | (-) |
| 7517 | ARRENDAMIENTOS | - |
| 751701 | Otros Terrenos | (-) |
| 751702 | Construcciones y edificaciones | (-) |
| 751703 | Maquinaria y equipo | (-) |
| 751704 | Equipo de oficina | (-) |
| 751705 | Equipo de computación y comunicación | (-) |
| 751706 | Equipo científico | (-) |
| 751707 | Flota y equipo de transporte | (-) |
| 751790 | Otros | (-) |
| 7520 | AMORTIZACIONES | - |
| 752006 | Amortización Intangibles | (-) |
| 752090 | Otras Amortizaciones | (-) |
| 7525 | AGOTAMIENTO | (-) |
| 7530 | COSTO DE BIENES Y SERVICIOS PÚBLICOS PARA LA VENTA | (-) |
| 753004 | Costo por Conexión | (-) |
| 7535 | LICENCIAS, CONTRIBUCIONES Y REGALÍAS | - |
| 753504 | Departamento Administrativo del Medio Ambiente ¿DAMA¿ | (+) |
| 753505 | Ley 56 de 1981 | (+) |
| 753506 | Medio Ambiente, ley 99 de 1993 | (+) |
| 753507 | Regalías | (+) |
| 753508 | Licencia de operación del servicio | (+) |
| 753509 | FAZNI | (+) |
| 753510 | FAER | (+) |
| 753511 | Cuota de fomento de gas | (-) |
| 753512 | Ministerio de Comunicaciones y/o Fondo de Comunicaciones | (+) |
| 753513 | Comité de estratificación, ley 505 de 1999 | (+) |
| 753590 | Otras Contribuciones | (+) |
| 7537 | CONSUMO DE INSUMOS DIRECTOS | - |
| 753701 | Productos Químicos | (+) |
| 753702 | Gas combustible | (+) |
| 753703 | Carbón mineral | (+) |
| 753704 | Energía | (+) |
| 753705 | ACPM, Fuel Oil | (+) |
| 753790 | Otros Elementos de Consumo de Insumos Directos | (+) |
| 7540 | ORDENES Y CONTRATOS DE MANTENIMIENTO Y REPARACIONES | - |
| 754001 | Mantenimiento de Construcciones y Edificaciones | (+) |
| 754002 | Mantenimiento Maquinaria y Equipo | (+) |
| 754003 | Mantenimiento de Equipo de Oficina | (+) |
| 754004 | Mantenimiento de Equipo Computación y Comunicación | (+) |
| 754005 | Mantenimiento Equipo de Transporte, Tracción y Elevación | (+) |
| 754006 | Mantenimiento Terrenos | (+) |
| 754007 | Mantenimiento Líneas, Redes y Ductos | (+) |
| 754008 | Mantenimiento de Plantas | (+) |
| 754009 | Reparaciones de construcciones y edificaciones | (+) |
| 754010 | Reparaciones de maquinaria y equipo | (+) |
| 754011 | Reparaciones de equipo de oficina | (+) |
| 754012 | Reparaciones de equipo de computación y comunicación | (+) |
| 754013 | Reparaciones de equipo de transporte, tracción y elevación | (+) |
| 754014 | Reparación de líneas, redes, y ductos | (+) |
| 754015 | Reparación de Plantas | (+) |
| 754090 | Otros Contratos de Mantenimiento y Reparaciones | (+) |
| 7542 | HONORARIOS | - |
| 754204 | Avalúos | (+) |
| 754207 | Asesoría Técnica | (+) |
| 754208 | Diseños y estudios | (+) |
| 754290 | Otros | (+) |
| 7545 | SERVICIOS PÚBLICOS | (+) |
| 7550 | MATERIALES Y OTROS COSTOS DE OPERACIÓN | - |
| 755001 | Repuestos para vehículos | (+) |
| 755002 | Llantas y Neumáticos | (+) |
| 755003 | Rodamientos | (+) |
| 755004 | Combustibles y Lubricantes | (+) |
| 755005 | Materiales para Construcción | (+) |
| 755006 | Materiales para Laboratorio | (+) |
| 755007 | Materiales Eléctricos | (+) |
| 755008 | Elementos y accesorios de gas combustible | (+) |
| 755009 | Elementos y accesorios de telecomunicaciones | (+) |
| 755010 | Elementos y accesorios de acueducto | (+) |
| 755011 | Elementos y accesorios de alcantarillado | (+) |
| 755012 | Elementos y accesorios de aseo | (+) |
| 755013 | Otros elementos y materiales | (+) |
| 755014 | Otros repuestos | (+) |
| 755015 | Costos de gestión ambiental | (+) |
| 755090 | Otros Costos | (+) |
| 7560 | SEGUROS | - |
| 756001 | De Manejo | (+) |
| 756002 | De Cumplimiento | (+) |
| 756003 | De Corriente Débil | (+) |
| 756004 | De Vida Colectiva | (+) |
| 756005 | De Incendio | (+) |
| 756006 | De Terremoto | (+) |
| 756007 | De Sustracción y Hurto | (+) |
| 756008 | De Flota y Equipo de Transporte | (+) |
| 756009 | De Responsabilidad Civil y Extracontractual | (+) |
| 756010 | De Rotura de Maquinaria | (+) |
| 756011 | De Equipo Fluvial y Marítimo | (+) |
| 756012 | De terrorismo | (+) |
| 756090 | Otros Seguros | (+) |
| 7565 | IMPUESTOS Y TASAS | - |
| 756502 | De Timbre | (+) |
| 756503 | Predial | (+) |
| 756504 | De Valorización | (+) |
| 756505 | De Vehículos | (+) |
| 756506 | Registro | (+) |
| 756507 | Tasa por utilización de recursos naturales | (+) |
| 756508 | Tasa por contaminación de recursos naturales | (+) |
| 756510 | Peajes de carreteras | (+) |
| 756590 | Otros Impuestos | (+) |
| 7570 | ORDENES Y CONTRATOS POR OTROS SERVICIOS | - |
| 757001 | Aseo | (+) |
| 757002 | Vigilancia | (+) |
| 757003 | Casino y cafetería | (+) |
| 757004 | Toma de lectura | (+) |
| 757005 | Entrega de facturas | (+) |
| 757006 | Venta de derechos por comisión | (+) |
| 757007 | Administración de infraestructura informática | (+) |
| 757008 | Suministro y servicios informáticos | (+) |
| 757009 | Servicio de instalación y desinstalación | (+) |
| 757090 | Otros contratos | (+) |
La Comisión podrá adelantar durante los procesos de aprobación de cargos de Distribución para el Siguiente Periodo Tarifario, revisiones y depuraciones a la información de las cuentas arriba indicadas y presentadas por las empresas con el fin de no transferir costos y gastos ineficientes en la tarifa final.
2. El gasto total de AOM de la actividad de distribución se calcula como la suma de los costos y gastos reportados por la empresa para la vigencia 2016 para esta actividad.
3. Al valor del gasto de AOM reportado y asignado para la unidad de negocio de distribución, se le adiciona el valor total de las cuentas 751701 (Terrenos) y 751702 (Construcciones y Edificaciones).
4. Los gastos de AOM correspondientes a la actividad de distribución se asignan a cada uno de los mercados relevantes de distribución para el Siguiente Periodo Tarifario atendidos por la empresa en forma proporcional al número de kilómetros de red construidos a diciembre de 2016.
5. Una vez realizada la asignación descrita en el numeral anterior, se establece para todo Mercado Relevante de Distribución para el Siguiente Periodo Tarifario k, el porcentaje de los gastos de AOM eficientes a reconocer (%AOMefic) respecto a la Base Regulatoria de Activos, el cual se obtiene de acuerdo con la siguiente fórmula:

Donde:
| Gastos de AOM anuales reportados a diciembre de 2016 y asignados a la actividad por la empresa conforme al numeral 2, para el Mercado Relevante de Distribución para el Siguiente Periodo Tarifario k, expresados en pesos de diciembre de 2016. Estos gastos incluyen los conceptos de valores equivalentes a arrendamientos de las cuentas terrenos, construcciones y edificaciones. | |
| Gastos de AOM del Mercado Relevante de Distribución para el Siguiente Periodo Tarifario k, conformado por mercados existentes aprobados bajo la metodología establecida mediante la Resolución CREG 011 de 2003. Se calcula como la suma de los gastos de AOM proyectados al año sexto de cada uno de estos mercados que fueron aprobados mediante resoluciones particulares. Este gasto se actualizará a diciembre del 2016 con el IPC. | |
| Valor de las inversiones del Mercado Relevante de Distribución para el Siguiente Periodo Tarifario k, conformado por mercados existentes aprobados bajo la metodología establecida mediante la Resolución CREG 011 de 2003. Se calcula como la suma total de las inversiones proyectadas de cada uno de estos mercados que fueron aprobados mediante resoluciones particulares. Este valor se actualizará a diciembre del 2016 con el IPP. | |
| Base Regulatoria de Activos es el monto total de la Inversión Base correspondiente a activos inherentes a la operación y control de calidad del servicio a reconocer para el Mercado Relevante de Distribución para el Siguiente Periodo Tarifario k, reportada a diciembre de 2016 y expresada en pesos de esa fecha. | |
| Gasto de AOM máximo a reconocer por Mercado Relevante de Distribución para el Siguiente Periodo Tarifario k, expresado como porcentaje de la Base Regulatoria de Activos del mercado, que se calcula conforme a la siguiente fórmula: |

Donde:
| Mercado Relevante de Distribución para el Siguiente Periodo Tarifario. | |
| Corresponde al 12,7% del valor catastral de las construcciones y edificaciones reportado en los Otros Gastos de AOM, atribuidos directamente a la unidad de negocio de distribución y que pertenecen al Mercado Relevante de Distribución para el Siguiente Periodo Tarifario k. | |
| Corresponde al 12,7% del valor catastral de los terrenos reportado en los Otros Gastos de AOM, atribuidos directamente a la unidad de negocio de distribución y que pertenecen al Mercado Relevante de Distribución para el Siguiente Periodo Tarifario k. | |
| Corresponde a la relación entre los gastos de AOM y la Base Regulatoria de Activos para el Mercado Relevante de Distribución para el Siguiente Periodo Tarifario k, calculada así: |

Donde:
| Mercado Relevante de Distribución para el Siguiente Periodo Tarifario. | |
| Número de municipios que contiene el Mercado Relevante de Distribución para el Siguiente Periodo Tarifario k. | |
| Total de kilómetros de red del Mercado Relevante de Distribución para el Siguiente Periodo Tarifario k, reportado a la Fecha de Corte. | |
| Grupo de municipios conformados según sus características físicas y económicas, de acuerdo al procedimiento descrito en el Anexo 20 de esta resolución. | |
| Grupo de municipios conformados según Metodología o años de la prestación del servicio en el municipio, de acuerdo al procedimiento descrito en el Anexo 20 de esta resolución. | |
![]() | Razón (AOM/BRA) asignada al municipio p según la clasificación dada al mismo municipio por grupo G y metodología M de la Tabla 1 del Anexo 20 y según la siguiente tabla:![]() Para aquellos municipios de mercados existentes donde se esté prestando el servicio por empresa y que no están clasificados por Grupo G y Metodología M conforme a la Tabla 1 del ANEXO 20, se clasificarán conforme a lo establecido en el mismo para estos efectos. |
6. El monto eficiente de gastos de AOM que se considera en los cálculos de los Cargos de Distribución se determina con el porcentaje eficiente de
establecido para cada Mercado Relevante de Distribución para el Siguiente Periodo Tarifario k y multiplicado por el valor de la Base Regulatoria de Activos (BRA) a la Fecha de Corte, expresado en pesos de la Fecha Base.
Cuando las empresas no hayan reportado la información de gastos de AOM para cada actividad de acuerdo a los requerimientos establecidos en las distintas comunicaciones mencionadas en el numeral 1 de esta sección, la Comisión le aprobará para efectos tarifarios el noventa por ciento (90%) de los gastos de AOM eficientes vigentes a la Fecha Base de una empresa que sea comparable en términos de escala y densidad de mercado (número de usuarios atendidos y número de longitud de la red del sistema de distribución).
10.2. Definición de Gasto de AOM Eficiente para Mercados Relevantes de Distribución para el Siguiente Período Tarifario conformados a partir de Anexar Municipios Nuevos a Mercados Existentes de Distribución.
Para la determinación de los gastos de AOM eficientes para los mercados que atañe esta sección, se tendrán en cuenta los gastos de AOM anuales eficientes de los Mercados Existentes resultantes del procedimiento anterior y el Valor Presente Neto descontado con la Tasa de Descuento definida en el numeral 9.9 de la presente Resolución de la proyección de gastos de AOM eficientes a precios de la Fecha Base durante el horizonte de proyección de 20 años correspondiente a los Municipios Nuevos que conformarán el Mercado Relevante de Distribución para el Siguiente Período Tarifario. Este último valor se determina como se indica en el numeral 10.3. de este anexo.
10.3. Definición de gastos de AOM Eficiente para Mercados Relevantes de Distribución para el Siguiente Período Tarifario conformados por Municipios Nuevos.
1. Para los Mercados Relevantes de Distribución para el Siguiente Período Tarifario conformados por municipios nuevos, el distribuidor deberá presentar la proyección de gastos de AOM durante el horizonte de proyección de veinte (20) años y concordante con los costos reconocidos que se remuneran dentro de la actividad de distribución.
2. En esta proyección de gastos de AOM de distribución, el incremento anual de gastos de AOM en cada uno de los años, desde el 2 hasta el 20, deberá ser menor o igual al incremento anual de demanda.
En caso en que el incremento anual de gastos de AOM en un año de la proyección sea mayor al incremento de la demanda en ese año, el gasto de AOM de ese año se ajustará al menor de los crecimientos entre el del gasto de AOM y el de la demanda.
3. Se determinará el porcentaje de gastos de AOM eficientes de acuerdo con la siguiente fórmula:
![]()
Donde:
| Promedio de los gastos de AOM de los cinco (5) años reportados por las empresas en el horizonte de proyección y ajustados conforme al numeral 2 anterior. Estos valores deberán ser expresados en pesos de la fecha base. | |
| Valor del gasto de AOM máximo a reconocer por Mercado Relevante de Distribución para el Siguiente Periodo Tarifario k, este se calcula conforme a la siguiente fórmula y se expresa en pesos de la fecha base. |

Donde:
| Mercado Relevante de Distribución para el Siguiente Periodo Tarifario. | |
| Corresponde al 12,7% del valor catastral de las construcciones y edificaciones reportado en los Otros Gastos de AOM, atribuidos directamente a la unidad de negocio de distribución y que pertenecen al Mercado Relevante de Distribución para el Siguiente Periodo Tarifario k. | |
| Corresponde al 12,7% del valor catastral de los terrenos reportado en los Otros Gastos de AOM, atribuidos directamente a la unidad de negocio de distribución y que pertenecen al Mercado Relevante de Distribución para el Siguiente Periodo Tarifario k. | |
| Relación entre los gastos de AOM y la Base Regulatoria de Activos para el Mercado Relevante de Distribución para el Siguiente Periodo Tarifario k, calculada así: |

Donde:
| Número de municipios que contiene el Mercado Relevante de Distribución para el Siguiente Periodo Tarifario k. | |
| Total de kilómetros de red proyectados del Mercado Relevante de Distribución para el Siguiente Periodo Tarifario k. | |
| Total de kilómetros de red proyectados del municipio p que pertenece al Mercado Relevante de Distribución para el Siguiente Periodo Tarifario k. | |
![]() | Razón asignada al municipio p según la clasificación dada por grupo G, consignada en la Tabla 1 del Anexo 20, y la metodología M correspondiente a 3, conforme a la siguiente tabla:![]() Para los centros poblados pertenecientes a un municipio p con prestación del servicio en la cabecera municipal se mantiene el grupo G, conforme a la Tabla 1 del Anexo 20, cambiando la clasificación de Metodología M 1 o 2 a Metodología 3. En caso de que alguno de los municipios que conforma el Mercado Relevante de Distribución nuevo para el Siguiente Periodo Tarifario no se encuentre en la Tabla 1 del Anexo 20, la empresa de distribución deberá solicitar a la CREG que determine el grupo al que pertenece el municipio. La CREG hará esta determinación con base en la metodología de agrupación utilizada para la construcción de la Tabla 2 del Anexo 20. Con ese resultado, se determinará el |
| Base Regulatoria de Activos calculada como la sumatoria de las inversiones reportadas en el programa de inversiones para los cinco (5) años del siguiente periodo tarifario. Esta incluye los activos inherentes a la operación y control de calidad del servicio y activos especiales, expresada en pesos de la Fecha Base. |
4. Cuando el porcentaje eficiente de gastos de AOM corresponda al porcentaje de la relación
, se utilizará la proyección de los gastos de AOM reportada por la empresa.
En los casos en que el porcentaje eficiente de gastos de AOM corresponda al AOMmax rec se multiplicará el gasto de AOM proyectado para cada uno de los años, reportado por la empresa por el siguiente factor de ajuste (%FA):

10.4. Otros Gastos de Administración, Operación y Mantenimiento (AOM)
A los gastos de AOM eficientes para la actividad de distribución determinados conforme a los numerales 10.1, 10.2 y 10.3 de este anexo, se le sumarán los valores que corresponden a los siguientes conceptos:
a) Los gastos de AOM eficientes para la infraestructura de confiabilidad conforme a lo dispuesto en el Decreto 2345 de 2015 del Ministerio de Minas y Energía y los lineamientos de política pública que se encuentren vigentes al momento de la aprobación de Cargos de Distribución de Mercados Relevantes de Distribución para el Siguiente Periodo Tarifario;
b) Los gastos de AOM eficientes en cumplimiento de las obligaciones de seguimiento de las revisiones periódicas de las instalaciones internas de gas establecidas en la Resolución CREG 059 de 2012 y aquellas que la modifiquen o sustituyan;
c) Los gastos para el desarrollo de lo dispuesto en la Resolución CREG 127 de 2013 en el literal d) del artículo 19 y la adición del numeral 4.28.2 establecida en el artículo 4o de la citada resolución.
d) Los gastos de AOM por concepto de servidumbres.
Los Otros Gastos de AOM por concepto de terrenos e inmuebles se reconocerán conforme al procedimiento establecido en los numerales 10.1 y 10.3 del presente anexo”.
ARTÍCULO 4o. Corregir el artículo 10 de la Resolución CREG 090 de 2018, el cual quedará así:
“Artículo 10. Establézcase el Anexo 19 de la Resolución CREG 202 de 2013 correspondiente a la determinación del Factor de Uso de Redes de Distribución, modificado por la Resolución CREG 132 de 2018, así:
ANEXO 19
FACTOR DE USO DE REDES DE DISTRIBUCIÓN
El Factor de Uso de redes de distribución (FU) es la relación entre el nivel de utilización reportado de una red de distribución y el nivel máximo de utilización de los usuarios residenciales. Su aplicación se enmarca y hace parte del criterio de eficiencia. El Factor de Uso Eficiente (FUE) corresponde al factor de uso requerido para efectos tarifarios y para la aplicación de la metodología establecida en la presente resolución. Este factor sólo es aplicable a las componentes que remuneran la inversión en los Cargos de Distribución de los Mercados Relevantes de Distribución para el Siguiente Periodo Tarifario.
El ajuste de la demanda de uso residencial del municipio p se realiza de acuerdo a un factor de uso mínimo por metodología M, el cual debe alcanzarse durante el periodo tarifario. Este ajuste se realizará de acuerdo al siguiente procedimiento:
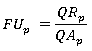
1. Calcular el factor de uso del municipio p, FUp, el cual se determina así:

Donde:
| Nivel de utilización de la red de distribución del municipio p con relación a su potencial de utilización máxima. | |
| Demanda de los usuarios residenciales del municipio p presentada por el distribuidor en su solicitud tarifaria a la Fecha de Corte, expresada en metros cúbicos (m3). | |
| Corresponde a la demanda potencial para todos los usuarios anillados del municipio p. Esta se determina como el producto del número de usuarios anillados por estrato reportado por los distribuidores, conforme a la Circular del MME 9041 del 18 de noviembre de 2014 y el consumo promedio de los usuarios residenciales reportados en el SUI para el mismo municipio p, del año de la Fecha de Corte. |
2. Calcular el Factor de Uso Mínimo del municipio p conforme a la siguiente fórmula:
![]()
Donde:
| Factor de uso mínimo establecido para el municipio p a cumplirse en un término de 5 años. | |
Porcentaje de cumplimiento mínimo establecido para el municipio p, según la metodología M, al cual pertenece conforme a la Tabla 1 del Anexo 20.![]() | |
Factor de Uso Eficiente establecido para el municipio p según el grupo G al cual pertenece, conforme a la Tabla 1 del Anexo 20.![]() |
3. Si el Factor de Uso del municipio
es menor al Factor de Uso mínimo establecido, se deberá ajustar la demanda residencial reportada en la solicitud tarifaria para ese municipio de acuerdo al siguiente procedimiento:

![]()
Donde:
| Factor por el cual se ajusta la demanda de uso residencial para alcanzar el nivel requerido por el Factor de Uso Eficiente de Redes establecido para el municipio p. | |
| Demanda de uso residencial del municipio p ajustada por FUEp y con la transición de años para llegar a él. |
4. La demanda total reportada para cada municipio en la solicitud tarifaria y que se utilice para el cálculo de la componente que remunera la inversión de los Cargos de Distribución, se incrementará con el delta de demanda que resulte de la diferencia de la demanda residencial ajustada por efecto del factor de ajuste FUE, y la demanda residencial presentada en la solicitud tarifaria para el Mercado Relevante de Distribución para el Siguiente Periodo Tarifario solicitado.
El delta total de la demanda de la solicitud tarifaria se calcula así:

donde
es el número total de municipios con prestación de servicio de gas combustible por redes de tubería que conforman el Mercado Relevante de Distribución para el Siguiente Periodo Tarifario”.
ARTÍCULO 5o. Corregir el artículo 11 de la Resolución CREG 090 de 2018, el cual quedará así:
“Artículo 11. Establézcase el Anexo 20 de la Resolución CREG 202 de 2013 correspondiente a la clasificación de municipios por grupo y antigüedad de prestación de servicio “Metodología Tarifaria”, modificado por la Resolución CREG 132 de 2018, así:
ANEXO 20
METODOLOGÍA PARA LA CLASIFICACIÓN DE MUNICIPIOS POR GRUPO Y ANTIGÜEDAD DE PRESTACIÓN DE SERVICIO “METODOLOGÍA TARIFARIA”
Para establecer los gastos de AOM máximos a reconocer, el valor de los Otros Activos máximos a reconocer y el Factor de Uso Eficiente de Redes que se definen en la presente resolución, se conformarán grupos de municipios de acuerdo con sus características físicas y económicas y según la antigüedad de la prestación del servicio (Metodología Tarifaria) de los mismos, utilizando el siguiente procedimiento:
1. Para cada uno de los municipios que conforman los mercados relevantes de distribución de gas combustible por redes de tuberías solicitados por las empresas se consideran las siguientes variables: i) Temperatura que, para todos los efectos de su aplicación se denominará “Índice de Temperatura”, ii) Relieve que, para todos los efectos de su aplicación se denominará “Índice del Relieve”, iii) número de predios de la cabecera municipal, iv) número de predios por hectáreas de la cabecera municipal, v) hogares por predio de la cabecera municipal, vi) número de municipios atendidos por la empresa distribuidora y vii) costos de unidades constructivas por mayores exigencias del POT.
Para las variables descritas en los numerales i) a v) del inciso anterior, las fuentes de información que se utilizan son el Departamento Administrativo Nacional de Estadísticas (DANE), el Instituto de Hidrología, Meteorología y Estudios Ambientales (IDEAM), el Instituto Geográfico Agustín Codazzi (IGAC) y U.S. Geological Survey's Center for Earth Resources Observation and Science (EROS). Para la variable contenida en el numeral vi), la fuente de información es el reporte de ventas por municipio hecho por las empresas al Sistema Único de Información (SUI) de la Superintendencia de Servicios Públicos Domiciliarios (SSPD). Para la variable contenida en el numeral vii), la fuente de información corresponde a los datos de inversión presentados por las empresas en las solicitudes tarifarias archivadas conforme a lo dispuesto en el artículo 11 de la Resolución CREG 093 de 2016, los reportes de unidades constructivas hechos por las empresas anualmente conforme a lo dispuesto en las Circulares CREG 087 y 114 de 2014, y las tablas consignadas de costos reconocidos de unidades constructivas consignadas en los Anexos 6 a 8 de la presente resolución. Los valores atribuidos a cada variable se emplean exclusivamente para el desarrollo de la presente metodología. A continuación, se describe cada variable.
i) Variable Índice de Temperatura – TEMPER. Corresponde a la temperatura en grados centígrados reportados por el IDEAM para cada cabecera municipal.
ii) Variable Índice de Relieve – RELIEVE. Corresponde a la altura en metros sobre el nivel del mar de las cabeceras municipales según la fuente de U.S. Geological Survey's Center for Earth Resources Observation and Science (EROS).
iii) Variable Predios - PREDIOS. Corresponde al total de predios de la cabecera municipal reportado por el IGAC.
iv) Variable Razón Predios por Área - PREDxÁREA. Corresponde a la razón entre el número de predios y el área total de la cabecera municipal de cada cabecera municipal, medida en hectáreas.
v) Variable Razón Hogares por Predio – HOGxPRED. Corresponde al cociente entre el número de hogares y el número de predios de la cabecera municipal.
vi) Variable Municipios – MUNICIPIO. Se determina como el inverso del número de municipios reportados por las empresas distribuidoras al SUI, en los cuales tienen ventas. Para un municipio en particular cuya prestación del servicio se realice por más de un distribuidor, se toma la información correspondiente a la empresa que tenga la mayor participación del total ventas en el mismo.
vii) Variable costos del POT – POTidx. Corresponde a un índice de costos de las unidades constructivas, afectadas por los planes de ordenamiento territorial de cada municipio, de acuerdo a las tablas consignadas en los anexos 6, 7 y 8 de la presente resolución. Este índice se construye así:
a) Se determina la cantidad total de cada una de las siguientes unidades constructivas:
| Unidad Constructiva | Descripción |
| TPE3/4CO | Canalización Tubería de Polietileno de 3/4” en concreto |
| TPE3/4ZV | Canalización Tubería de Polietileno de 3/4” en zona verde |
| TPE1/2ZV | Canalización Tubería de Polietileno de 1/2” en zona verde |
| TPE1/2CO | Canalización Tubería de Polietileno de 1/2” en concreto |
| TPE2ZV | Canalización Tubería de Polietileno de 2” en zona verde |
| TPE3/4TA | Canalización Tubería de Polietileno de 3/4” en andén tableta |
| TPE3/4AS | Canalización Tubería de Polietileno de 3/4” en asfalto |
| TPE3/4ACO | Canalización Tubería de Polietileno de 3/4” en andén concreto |
| TPE1/2TA | Canalización Tubería de Polietileno de 3/4” en andén tableta |
b) Se determina el porcentaje de participación de cada una de las unidades constructivas dentro del listado mencionado en el literal anterior;
c) Para cada una de las unidades anteriores se multiplica la participación por el costo reconocido para cada una de ellas de acuerdo a los listados de costos reconocidos presentados en los anexos 6 a 8 de esta resolución. Se suman los valores obtenidos para llegar al costo promedio de las unidades constructivas mencionadas en el cuadro anterior, ponderado por sus cantidades;
d) Se divide el valor obtenido en el punto anterior por el promedio de los costos de las unidades constructivas mencionadas, ponderado por las cantidades totales a nivel nacional.
2. Se determina el promedio y la desviación estándar de las variables descritas en el numeral 1 de esta sección. Luego, esas variables se transforman utilizando la siguiente fórmula:

3. Con base en la información y las variables transformadas de cada municipio mencionadas en los numerales anteriores, se aplica la metodoogia de clongomderados o clústeres K-means para agrupar los municipios. Se determina el número máximo de grupos G de acuerdo con criterios estadisticos.
4. Para cada grupo obtenido en el numeral anterior, los municipios que los conforman, se agrupan de acuerdo a la antiguedad de la presentación del servicio con base en las variables construidas en el numeral 2 de este anexo.
| Metodología M | Descripción |
| 1 | Municipios cuya prestación del servicio de distribución de gas combustible por redes de tubería inició antes de 2003. |
| 2 | Municipios cuya prestación del servicio de distribución de gas combustible por redes de tubería inició entre los años 2003 y 2011. |
| 3 | Municipios cuya prestación del servicio de distribución de gas combustible por redes de tubería inició en 2012 hasta la Fecha de Corte. |
Como resultado de aplicar el interior procedimiento, la clasificación de los municipios es la siguiente:
TABLA 1.
CLASIFICACION DE LOS MUNICIPIOS POR CARACTERISTICAS FÍSICAS Y METODOLOGIA TARIFARIA.
| CÓDIGO DIVIPOLA | MUNICIPIO | DEPARTAMENTO | GRUPO | METODOLOGÍA M |
| G | ||||
| 5001 | MEDELLÍN | ANTIOQUIA | 5 | 1 |
| 5002 | ABEJORRAL | ANTIOQUIA | 1 | 3 |
| 5030 | AMAGÁ | ANTIOQUIA | 1 | 3 |
| 5031 | AMALFI | ANTIOQUIA | 5 | 3 |
| 5034 | ANDES | ANTIOQUIA | 1 | 3 |
| 5036 | ANGELÓPOLIS | ANTIOQUIA | 1 | 3 |
| 5042 | ANTIOQUIA | ANTIOQUIA | 2 | 3 |
| 5045 | APARTADÓ | ANTIOQUIA | 2 | 3 |
| 5051 | ARBOLETES | ANTIOQUIA | 2 | 3 |
| 5079 | BARBOSA | ANTIOQUIA | 5 | 1 |
| 5088 | BELLO | ANTIOQUIA | 5 | 1 |
| 5091 | BETANIA | ANTIOQUIA | 5 | 3 |
| 5093 | BETULIA | ANTIOQUIA | 5 | 3 |
| 5101 | BOLÍVAR | ANTIOQUIA | 5 | 3 |
| 5120 | CÁCERES | ANTIOQUIA | 2 | 3 |
| 5129 | CALDAS | ANTIOQUIA | 5 | 1 |
| 5138 | CAÑASGORDAS | ANTIOQUIA | 5 | 3 |
| 5145 | CARAMANTA | ANTIOQUIA | 1 | 3 |
| 5147 | CAREPA | ANTIOQUIA | 5 | 3 |
| 5148 | CARMEN DE VIBORAL | ANTIOQUIA | 1 | 2 |
| 5150 | CAROLINA | ANTIOQUIA | 1 | 3 |
| 5154 | CAUCASIA | ANTIOQUIA | 2 | 2 |
| 5172 | CHIGORODÓ | ANTIOQUIA | 5 | 3 |
| 5190 | CISNEROS | ANTIOQUIA | 5 | 2 |
| 5197 | COCORNÁ | ANTIOQUIA | 5 | 3 |
| 5209 | CONCORDIA | ANTIOQUIA | 1 | 3 |
| 5212 | COPACABANA | ANTIOQUIA | 5 | 1 |
| 5237 | DON MATÍAS | ANTIOQUIA | 1 | 2 |
| 5250 | EL BAGRE | ANTIOQUIA | 2 | 3 |
| 5264 | ENTRERRÍOS | ANTIOQUIA | 1 | 2 |
| 5266 | ENVIGADO | ANTIOQUIA | 5 | 1 |
| 5282 | FREDONIA | ANTIOQUIA | 5 | 3 |
| 5284 | FRONTINO | ANTIOQUIA | 1 | 3 |
| 5308 | GIRARDOTA | ANTIOQUIA | 1 | 1 |
| 5310 | GÓMEZ PLATA | ANTIOQUIA | 1 | 3 |
| 5313 | GRANADA | ANTIOQUIA | 1 | 3 |
| 5315 | GUADALUPE | ANTIOQUIA | 1 | 3 |
| 5318 | GUARNE | ANTIOQUIA | 1 | 2 |
| 5321 | GUATAPÉ | ANTIOQUIA | 1 | 2 |
| 5353 | HISPANIA | ANTIOQUIA | 5 | 3 |
| 5360 | ITAGÜÏ | ANTIOQUIA | 5 | 1 |
| 5361 | ITUANGO | ANTIOQUIA | 1 | 3 |
| 5364 | JARDÍN | ANTIOQUIA | 1 | 3 |
| 5368 | JERICÓ | ANTIOQUIA | 1 | 3 |
| 5376 | LA CEJA | ANTIOQUIA | 5 | 2 |
| 5380 | LA ESTRELLA | ANTIOQUIA | 5 | 1 |
| 5400 | LA UNIÓN | ANTIOQUIA | 1 | 2 |
| 5411 | LIBORINA | ANTIOQUIA | 5 | 3 |
| 5425 | MACEO | ANTIOQUIA | 5 | 3 |
| 5440 | MARINILLA | ANTIOQUIA | 1 | 2 |
| 5467 | MONTEBELLO | ANTIOQUIA | 1 | 3 |
| 5480 | MUTATÁ | ANTIOQUIA | 2 | 3 |
| 5490 | NECOCLÍ | ANTIOQUIA | 2 | 3 |
| 5501 | OLAYA | ANTIOQUIA | 2 | 3 |
| 5541 | PEÑOL | ANTIOQUIA | 5 | 2 |
| 5576 | PUEBLORRICO | ANTIOQUIA | 1 | 3 |
| 5579 | PUERTO BERRIO | ANTIOQUIA | 5 | 2 |
| 5585 | PUERTO NARE | ANTIOQUIA | 2 | 3 |
| 5591 | PUERTO TRIUNFO | ANTIOQUIA | 2 | 3 |
| 5607 | RETIRO | ANTIOQUIA | 1 | 2 |
| 5615 | RIONEGRO | ANTIOQUIA | 1 | 2 |
| 5628 | SABANALARGA | ANTIOQUIA | 2 | 3 |
| 5631 | SABANETA | ANTIOQUIA | 5 | 1 |
| 5642 | SALGAR | ANTIOQUIA | 5 | 3 |
| 5647 | SAN ANDRÉS | ANTIOQUIA | 5 | 3 |
| 5649 | SAN CARLOS | ANTIOQUIA | 2 | 3 |
| 5656 | SAN JERÓNIMO | ANTIOQUIA | 2 | 3 |
| 5659 | SAN JUAN DE URABÁ | ANTIOQUIA | 2 | 3 |
| 5660 | SAN LUIS | ANTIOQUIA | 5 | 3 |
| 5664 | SAN PEDRO | ANTIOQUIA | 1 | 2 |
| 5665 | SAN PEDRO DE URABÁ | ANTIOQUIA | 2 | 3 |
| 5667 | SAN RAFAEL | ANTIOQUIA | 5 | 3 |
| 5670 | SAN ROQUE | ANTIOQUIA | 5 | 2 |
| 5679 | SANTA BÁRBARA | ANTIOQUIA | 5 | 3 |
| 5686 | SANTA ROSA DE OSOS | ANTIOQUIA | 1 | 2 |
| 5690 | SANTO DOMINGO | ANTIOQUIA | 1 | 3 |
| 5697 | SANTUARIO | ANTIOQUIA | 5 | 2 |
| 5736 | SEGOVIA | ANTIOQUIA | 5 | 3 |
| 5756 | SONSÓN | ANTIOQUIA | 1 | 3 |
| 5761 | SOPETRÁN | ANTIOQUIA | 2 | 3 |
| 5789 | TÁMESIS | ANTIOQUIA | 1 | 3 |
| 5790 | TARAZÁ | ANTIOQUIA | 5 | 2 |
| 5792 | TARSO | ANTIOQUIA | 1 | 3 |
| 5809 | TITIRIBÍ | ANTIOQUIA | 1 | 3 |
| 5837 | TURBO | ANTIOQUIA | 2 | 3 |
| 5847 | URRAO | ANTIOQUIA | 1 | 3 |
| 5854 | VALDIVIA | ANTIOQUIA | 5 | 3 |
| 5856 | VALPARAISO | ANTIOQUIA | 1 | 3 |
| 5861 | VENECIA | ANTIOQUIA | 1 | 3 |
| 5887 | YARUMAL | ANTIOQUIA | 1 | 2 |
| 5890 | YOLOMBÓ | ANTIOQUIA | 1 | 3 |
| 5893 | YONDÓ | ANTIOQUIA | 2 | 2 |
| 5895 | ZARAGOZA | ANTIOQUIA | 2 | 3 |
| 8001 | BARRANQUILLA | ATLÁNTICO | 5 | 1 |
| 8078 | BARANOA | ATLÁNTICO | 2 | 1 |
| 8137 | CAMPO DE LA CRUZ | ATLÁNTICO | 2 | 1 |
| 8141 | CANDELARIA | ATLÁNTICO | 2 | 1 |
| 8296 | GALAPA | ATLÁNTICO | 2 | 1 |
| 8372 | JUAN DE ACOSTA | ATLÁNTICO | 2 | 1 |
| 8421 | LURUACO | ATLÁNTICO | 5 | 1 |
| 8433 | MALAMBO | ATLÁNTICO | 2 | 1 |
| 8436 | MANATÍ | ATLÁNTICO | 2 | 1 |
| 8520 | PALMAR DE VARELA | ATLÁNTICO | 2 | 1 |
| 8549 | PIOJÓ | ATLÁNTICO | 2 | 2 |
| 8558 | POLONUEVO | ATLÁNTICO | 2 | 1 |
| 8560 | PONEDERA | ATLÁNTICO | 2 | 1 |
| 8573 | PUERTO COLOMBIA | ATLÁNTICO | 2 | 1 |
| 8606 | REPELÓN | ATLÁNTICO | 2 | 1 |
| 8634 | SABANAGRANDE | ATLÁNTICO | 2 | 1 |
| 8638 | SABANALARGA | ATLÁNTICO | 2 | 1 |
| 8675 | SANTA LUCÍA | ATLÁNTICO | 2 | 1 |
| 8685 | SANTO TOMÁS | ATLÁNTICO | 2 | 1 |
| 8758 | SOLEDAD | ATLÁNTICO | 2 | 1 |
| 8770 | SUAN | ATLÁNTICO | 2 | 1 |
| 8832 | TUBARÁ | ATLÁNTICO | 2 | 2 |
| 8849 | USIACURÍ | ATLÁNTICO | 2 | 1 |
| 11001 | BOGOTÁ | BOGOTÁ, D.C. | 4 | 1 |
| 13001 | CARTAGENA | BOLÍVAR | 5 | 1 |
| 13042 | ARENAL | BOLÍVAR | 2 | 2 |
| 13052 | ARJONA | BOLÍVAR | 2 | 1 |
| 13062 | ARROYOHONDO | BOLÍVAR | 2 | 2 |
| 13140 | CALAMAR | BOLÍVAR | 2 | 2 |
| 13160 | CANTAGALLO | BOLÍVAR | 2 | 1 |
| 13188 | CICUCO | BOLÍVAR | 2 | 1 |
| 13212 | CÓRDOBA | BOLÍVAR | 2 | 3 |
| 13222 | CLEMENCIA | BOLÍVAR | 2 | 1 |
| 13244 | CARMEN DE BOLÍVAR | BOLÍVAR | 2 | 1 |
| 13248 | EL GUAMO | BOLÍVAR | 2 | 3 |
| 13430 | MAGANGUÉ | BOLÍVAR | 2 | 1 |
| 13433 | MAHATES | BOLÍVAR | 2 | 2 |
| 13442 | MARÍA LA BAJA | BOLÍVAR | 2 | 1 |
| 13468 | MOMPÓS | BOLÍVAR | 2 | 1 |
| 13620 | SAN CRISTOBAL | BOLÍVAR | 2 | 2 |
| 13647 | SAN ESTANISLAO | BOLÍVAR | 2 | 2 |
| 13654 | SAN JACINTO | BOLÍVAR | 2 | 1 |
| 13657 | SAN JUAN NEPOMUCENO | BOLÍVAR | 2 | 1 |
| 13670 | SAN PABLO | BOLÍVAR | 5 | 1 |
| 13673 | SANTA CATALINA | BOLÍVAR | 2 | 1 |
| 13683 | SANTA ROSA | BOLÍVAR | 2 | 1 |
| 13760 | SOPLAVIENTO | BOLÍVAR | 2 | 2 |
| 13780 | TALAIGUA NUEVO | BOLÍVAR | 2 | 1 |
| 13836 | TURBACO | BOLÍVAR | 2 | 1 |
| 13838 | TURBANÁ | BOLÍVAR | 2 | 1 |
| 13873 | VILLANUEVA | BOLÍVAR | 2 | 2 |
| 13894 | ZAMBRANO | BOLÍVAR | 2 | 2 |
| 15001 | TUNJA | BOYACÁ | 1 | 1 |
| 15051 | ARCABUCO | BOYACÁ | 1 | 2 |
| 15087 | BELÉN | BOYACÁ | 1 | 1 |
| 15090 | BERBEO | BOYACÁ | 1 | 2 |
| 15104 | BOYACÁ | BOYACÁ | 1 | 3 |
| 15106 | BRICEÑO | BOYACÁ | 1 | 1 |
| 15131 | CALDAS | BOYACÁ | 1 | 1 |
| 15135 | CAMPOHERMOSO | BOYACÁ | 2 | 3 |
| 15162 | CERINZA | BOYACÁ | 1 | 1 |
| 15176 | CHIQUINQUIRÁ | BOYACÁ | 1 | 1 |
| 15185 | CHITARAQUE | BOYACÁ | 1 | 2 |
| 15187 | CHIVATÁ | BOYACÁ | 1 | 3 |
| 15189 | CIÉNEGA | BOYACÁ | 1 | 2 |
| 15204 | CÓMBITA | BOYACÁ | 1 | 2 |
| 15218 | COVARACHIA | BOYACÁ | 1 | 3 |
| 15224 | CUCAITA | BOYACÁ | 1 | 1 |
| 15238 | DUITAMA | BOYACÁ | 1 | 1 |
| 15272 | FIRAVITOBA | BOYACÁ | 1 | 3 |
| 15276 | FLORESTA | BOYACÁ | 1 | 1 |
| 15299 | GARAGOA | BOYACÁ | 1 | 2 |
| 15322 | GUATEQUE | BOYACÁ | 1 | 3 |
| 15367 | JENESANO | BOYACÁ | 1 | 2 |
| 15380 | LA CAPILLA | BOYACÁ | 1 | 3 |
| 15407 | VILLA DE LEYVA | BOYACÁ | 1 | 1 |
| 15455 | MIRAFLORES | BOYACÁ | 1 | 2 |
| 15469 | MONIQUIRÁ | BOYACÁ | 3 | 2 |
| 15476 | MOTAVITA | BOYACÁ | 1 | 1 |
| 15491 | NOBSA | BOYACÁ | 1 | 2 |
| 15494 | NUEVO COLÓN | BOYACÁ | 1 | 2 |
| 15500 | OICATA | BOYACÁ | 1 | 1 |
| 15514 | PÁEZ | BOYACÁ | 1 | 2 |
| 15516 | PAIPA | BOYACÁ | 1 | 1 |
| 15542 | PESCA | BOYACÁ | 1 | 3 |
| 15572 | PUERTO BOYACÁ | BOYACÁ | 2 | 1 |
| 15599 | RAMIRIQUÍ | BOYACÁ | 1 | 2 |
| 15600 | RÁQUIRA | BOYACÁ | 1 | 1 |
| 15638 | SÁCHICA | BOYACÁ | 1 | 1 |
| 15646 | SAMACÁ | BOYACÁ | 1 | 1 |
| 15660 | SAN EDUARDO | BOYACÁ | 1 | 2 |
| 15664 | SAN JOSÉ DE PARE | BOYACÁ | 1 | 3 |
| 15686 | SANTANA | BOYACÁ | 1 | 2 |
| 15693 | SANTA ROSA DE VITERBO | BOYACÁ | 1 | 1 |
| 15696 | SANTA SOFÍA | BOYACÁ | 1 | 1 |
| 15740 | SIACHOQUE | BOYACÁ | 1 | 3 |
| 15759 | SOGAMOSO | BOYACÁ | 1 | 1 |
| 15762 | SORA | BOYACÁ | 1 | 1 |
| 15763 | SOTAQUIRÁ | BOYACÁ | 1 | 3 |
| 15764 | SORACÁ | BOYACÁ | 1 | 3 |
| 15776 | SUTAMARCHÁN | BOYACÁ | 1 | 1 |
| 15778 | SUTATENZA | BOYACÁ | 1 | 3 |
| 15798 | TENZA | BOYACÁ | 1 | 2 |
| 15804 | TIBANÁ | BOYACÁ | 1 | 3 |
| 15806 | TIBASOSA | BOYACÁ | 1 | 2 |
| 15808 | TINJACA | BOYACÁ | 1 | 1 |
| 15810 | TIPACOQUE | BOYACÁ | 1 | 3 |
| 15814 | TOCA | BOYACÁ | 1 | 3 |
| 15816 | TOGÜÍ | BOYACÁ | 1 | 2 |
| 15832 | TUNUNGUA | BOYACÁ | 1 | 2 |
| 15835 | TURMEQUÉ | BOYACÁ | 1 | 2 |
| 15837 | TUTA | BOYACÁ | 1 | 1 |
| 15861 | VENTAQUEMADA | BOYACÁ | 1 | 2 |
| 15879 | VIRACACHÁ | BOYACÁ | 1 | 3 |
| 15897 | ZETAQUIRA | BOYACÁ | 1 | 2 |
| 17001 | MANIZALES | CALDAS | 5 | 1 |
| 17042 | ANSERMA | CALDAS | 1 | 3 |
| 17050 | ARANZAZU | CALDAS | 5 | 3 |
| 17088 | BELALCÁZAR | CALDAS | 5 | 3 |
| 17174 | CHINCHINÁ | CALDAS | 5 | 1 |
| 17272 | FILADELFIA | CALDAS | 1 | 3 |
| 17380 | LA DORADA | CALDAS | 5 | 1 |
| 17388 | LA MERCED | CALDAS | 1 | 3 |
| 17433 | MANZANARES | CALDAS | 5 | 1 |
| 17444 | MARQUETALIA | CALDAS | 1 | 3 |
| 17486 | NEIRA | CALDAS | 5 | 1 |
| 17495 | NORCASIA | CALDAS | 5 | 3 |
| 17524 | PALESTINA | CALDAS | 1 | 1 |
| 17541 | PENSILVANIA | CALDAS | 1 | 3 |
| 17614 | RIOSUCIO | CALDAS | 1 | 3 |
| 17616 | RISARALDA | CALDAS | 5 | 3 |
| 17665 | SAN JOSÉ | CALDAS | 1 | 3 |
| 17777 | SUPÍA | CALDAS | 5 | 3 |
| 17867 | VICTORIA | CALDAS | 2 | 2 |
| 17873 | VILLAMARÍA | CALDAS | 1 | 1 |
| 17877 | VITERBO | CALDAS | 2 | 3 |
| 18001 | FLORENCIA | CAQUETÁ | 2 | 2 |
| 19001 | POPAYÁN | CAUCA | 1 | 1 |
| 19130 | CAJIBIO | CAUCA | 1 | 3 |
| 19142 | CALOTO | CAUCA | 2 | 3 |
| 19212 | CORINTO | CAUCA | 5 | 3 |
| 19256 | EL TAMBO | CAUCA | 1 | 3 |
| 19300 | GUACHENÉ | CAUCA | 5 | 3 |
| 19355 | INZÁ | CAUCA | 1 | 3 |
| 19455 | MIRANDA | CAUCA | 2 | 3 |
| 19473 | MORALES | CAUCA | 1 | 3 |
| 19513 | PADILLA | CAUCA | 5 | 3 |
| 19517 | PÁEZ | CAUCA | 1 | 3 |
| 19532 | PATÍA | CAUCA | 2 | 3 |
| 19548 | PIENDAMÓ | CAUCA | 1 | 2 |
| 19573 | PUERTO TEJADA | CAUCA | 5 | 2 |
| 19622 | ROSAS | CAUCA | 1 | 3 |
| 19698 | SANTANDER DE QUILICHAO | CAUCA | 2 | 2 |
| 19743 | SILVIA | CAUCA | 1 | 3 |
| 19807 | TIMBÍO | CAUCA | 1 | 3 |
| 19824 | TOTORO | CAUCA | 1 | 3 |
| 19845 | VILLA RICA | CAUCA | 2 | 2 |
| 20001 | VALLEDUPAR | CESAR | 2 | 1 |
| 20011 | AGUACHICA | CESAR | 2 | 1 |
| 20013 | AGUSTÍN CODAZZI | CESAR | 2 | 1 |
| 20045 | BECERRIL | CESAR | 2 | 2 |
| 20060 | BOSCONIA | CESAR | 2 | 3 |
| 20175 | CHIMICHAGUA | CESAR | 2 | 3 |
| 20178 | CHIRIGUANÁ | CESAR | 2 | 1 |
| 20228 | CURUMANÍ | CESAR | 2 | 1 |
| 20238 | EL COPEY | CESAR | 2 | 3 |
| 20250 | EL PASO | CESAR | 2 | 3 |
| 20295 | GAMARRA | CESAR | 2 | 1 |
| 20383 | LA GLORIA | CESAR | 2 | 1 |
| 20400 | JAGUA DE IBIRICO | CESAR | 2 | 1 |
| 20443 | MANAURE DEL CESAR | CESAR | 2 | 2 |
| 20517 | PAILITAS | CESAR | 2 | 2 |
| 20550 | PELAYA | CESAR | 2 | 1 |
| 20614 | RÍO DE ORO | CESAR | 5 | 2 |
| 20621 | LA PAZ | CESAR | 2 | 1 |
| 20710 | SAN ALBERTO | CESAR | 5 | 1 |
| 20750 | SAN DIEGO | CESAR | 2 | 1 |
| 20770 | SAN MARTÍN | CESAR | 2 | 2 |
| 20787 | TAMALAMEQUE | CESAR | 2 | 2 |
| 23001 | MONTERÍA | CÓRDOBA | 2 | 1 |
| 23068 | AYAPEL | CÓRDOBA | 2 | 2 |
| 23079 | BUENAVISTA | CÓRDOBA | 2 | 2 |
| 23090 | CANALETE | CÓRDOBA | 2 | 3 |
| 23162 | CERETÉ | CÓRDOBA | 2 | 1 |
| 23168 | CHIMÁ | CÓRDOBA | 2 | 1 |
| 23182 | CHINÚ | CÓRDOBA | 2 | 1 |
| 23189 | CIÉNAGA DE ORO | CÓRDOBA | 2 | 1 |
| 23300 | COTORRA | CÓRDOBA | 2 | 2 |
| 23350 | LA APARTADA | CÓRDOBA | 5 | 2 |
| 23417 | LORICA | CÓRDOBA | 2 | 1 |
| 23419 | LOS CÓRDOBAS | CÓRDOBA | 2 | 3 |
| 23464 | MOMIL | CÓRDOBA | 2 | 1 |
| 23466 | MONTELIBANO | CÓRDOBA | 2 | 1 |
| 23500 | MOÑITOS | CÓRDOBA | 2 | 3 |
| 23555 | PLANETA RICA | CÓRDOBA | 2 | 1 |
| 23570 | PUEBLO NUEVO | CÓRDOBA | 2 | 1 |
| 23574 | PUERTO ESCONDIDO | CÓRDOBA | 2 | 3 |
| 23580 | PUERTO LIBERTADOR | CÓRDOBA | 2 | 3 |
| 23586 | PURÍSIMA | CÓRDOBA | 2 | 1 |
| 23660 | SAHAGÚN | CÓRDOBA | 2 | 1 |
| 23670 | SAN ANDRÉS DE SOTAVENTO | CÓRDOBA | 2 | 1 |
| 23672 | SAN ANTERO | CÓRDOBA | 2 | 1 |
| 23675 | SAN BERNADO DEL VIENTO | CÓRDOBA | 2 | 2 |
| 23678 | SAN CARLOS | CÓRDOBA | 2 | 2 |
| 23682 | SAN JOSÉ DE URE | CÓRDOBA | 2 | 3 |
| 23686 | SAN PELAYO | CÓRDOBA | 2 | 2 |
| 23807 | TIERRALTA | CÓRDOBA | 2 | 2 |
| 23815 | TUCHÍN | CÓRDOBA | 2 | 2 |
| 23855 | VALENCIA | CÓRDOBA | 2 | 2 |
| 25001 | AGUA DE DIOS | CUNDINAMARCA | 2 | 2 |
| 25019 | ALBÁN | CUNDINAMARCA | 1 | 3 |
| 25035 | ANAPOIMA | CUNDINAMARCA | 2 | 3 |
| 25053 | ARBELÁEZ | CUNDINAMARCA | 1 | 2 |
| 25086 | BELTRÁN | CUNDINAMARCA | 2 | 3 |
| 25095 | BITUIMA | CUNDINAMARCA | 1 | 3 |
| 25099 | BOJACÁ | CUNDINAMARCA | 1 | 2 |
| 25120 | CABRERA | CUNDINAMARCA | 1 | 3 |
| 25126 | CAJICÁ | CUNDINAMARCA | 1 | 1 |
| 25151 | CÁQUEZA | CUNDINAMARCA | 1 | 1 |
| 25168 | CHAGUANÍ | CUNDINAMARCA | 2 | 3 |
| 25175 | CHÍA | CUNDINAMARCA | 1 | 1 |
| 25178 | CHIPAQUE | CUNDINAMARCA | 1 | 1 |
| 25200 | COGUA | CUNDINAMARCA | 1 | 1 |
| 25214 | COTA | CUNDINAMARCA | 1 | 1 |
| 25224 | CUCUNUBA | CUNDINAMARCA | 1 | 1 |
| 25245 | EL COLEGIO | CUNDINAMARCA | 5 | 3 |
| 25260 | EL ROSAL | CUNDINAMARCA | 5 | 3 |
| 25269 | FACATATIVÁ | CUNDINAMARCA | 1 | 2 |
| 25281 | FOSCA | CUNDINAMARCA | 1 | 1 |
| 25286 | FUNZA | CUNDINAMARCA | 5 | 2 |
| 25288 | FÚQUENE | CUNDINAMARCA | 1 | 1 |
| 25290 | FUSAGASUGÁ | CUNDINAMARCA | 1 | 2 |
| 25295 | GACHANCIPÁ | CUNDINAMARCA | 1 | 2 |
| 25307 | GIRARDOT | CUNDINAMARCA | 2 | 2 |
| 25317 | GUACHETÁ | CUNDINAMARCA | 1 | 2 |
| 25320 | GUADUAS | CUNDINAMARCA | 2 | 2 |
| 25324 | GUATAQUÍ | CUNDINAMARCA | 2 | 3 |
| 25328 | GUAYABAL DE SIQUIMA | CUNDINAMARCA | 1 | 3 |
| 25335 | GUAYABETAL | CUNDINAMARCA | 5 | 1 |
| 25368 | JERUSALÉN | CUNDINAMARCA | 2 | 3 |
| 25377 | LA CALERA | CUNDINAMARCA | 1 | 2 |
| 25386 | LA MESA | CUNDINAMARCA | 5 | 3 |
| 25398 | LA PEÑA | CUNDINAMARCA | 5 | 3 |
| 25402 | LA VEGA | CUNDINAMARCA | 1 | 3 |
| 25407 | LENGUAZAQUE | CUNDINAMARCA | 1 | 2 |
| 25430 | MADRID | CUNDINAMARCA | 1 | 2 |
| 25438 | MEDINA | CUNDINAMARCA | 2 | 2 |
| 25473 | MOSQUERA | CUNDINAMARCA | 1 | 2 |
| 25483 | NARIÑO | CUNDINAMARCA | 2 | 3 |
| 25486 | NEMOCON | CUNDINAMARCA | 1 | 1 |
| 25488 | NILO | CUNDINAMARCA | 2 | 3 |
| 25489 | NIMAIMA | CUNDINAMARCA | 5 | 3 |
| 25491 | NOCAIMA | CUNDINAMARCA | 1 | 3 |
| 25506 | VENECIA | CUNDINAMARCA | 1 | 3 |
| 25524 | PANDI | CUNDINAMARCA | 2 | 3 |
| 25530 | PARATEBUENO | CUNDINAMARCA | 2 | 1 |
| 25535 | PASCA | CUNDINAMARCA | 1 | 3 |
| 25572 | PUERTO SALGAR | CUNDINAMARCA | 2 | 1 |
| 25580 | PULÍ | CUNDINAMARCA | 1 | 3 |
| 25592 | QUEBRADANEGRA | CUNDINAMARCA | 1 | 3 |
| 25594 | QUETAME | CUNDINAMARCA | 1 | 1 |
| 25596 | QUIPILE | CUNDINAMARCA | 1 | 3 |
| 25599 | APULO | CUNDINAMARCA | 2 | 2 |
| 25612 | RICAURTE | CUNDINAMARCA | 2 | 2 |
| 25649 | SAN BERNARDO | CUNDINAMARCA | 1 | 3 |
| 25658 | SAN FRANCISCO | CUNDINAMARCA | 1 | 3 |
| 25662 | SAN JUAN DE RÍO SECO | CUNDINAMARCA | 5 | 3 |
| 25718 | SASAIMA | CUNDINAMARCA | 1 | 3 |
| 25740 | SIBATÉ | CUNDINAMARCA | 1 | 1 |
| 25743 | SILVANIA | CUNDINAMARCA | 1 | 2 |
| 25745 | SIMIJACA | CUNDINAMARCA | 1 | 1 |
| 25754 | SOACHA | CUNDINAMARCA | 5 | 1 |
| 25758 | SOPÓ | CUNDINAMARCA | 1 | 2 |
| 25769 | SUBACHOQUE | CUNDINAMARCA | 1 | 2 |
| 25777 | SUPATÁ | CUNDINAMARCA | 1 | 3 |
| 25779 | SUSA | CUNDINAMARCA | 1 | 1 |
| 25781 | SUTATAUSA | CUNDINAMARCA | 1 | 1 |
| 25785 | TABIO | CUNDINAMARCA | 1 | 2 |
| 25793 | TAUSA | CUNDINAMARCA | 1 | 1 |
| 25799 | TENJO | CUNDINAMARCA | 1 | 2 |
| 25805 | TIBACUY | CUNDINAMARCA | 1 | 3 |
| 25815 | TOCAIMA | CUNDINAMARCA | 2 | 2 |
| 25817 | TOCANCIPÁ | CUNDINAMARCA | 1 | 2 |
| 25843 | UBATÉ | CUNDINAMARCA | 1 | 1 |
| 25845 | UNE | CUNDINAMARCA | 5 | 1 |
| 25851 | ÚTICA | CUNDINAMARCA | 2 | 3 |
| 25862 | VERGARA | CUNDINAMARCA | 1 | 3 |
| 25867 | VIANÍ | CUNDINAMARCA | 1 | 3 |
| 25875 | VILLETA | CUNDINAMARCA | 2 | 2 |
| 25898 | ZIPACÓN | CUNDINAMARCA | 1 | 2 |
| 25899 | ZIPAQUIRÁ | CUNDINAMARCA | 1 | 1 |
| 27245 | EL CARMEN | CHOCO | 1 | 2 |
| 41001 | NEIVA | HUILA | 5 | 1 |
| 41006 | ACEVEDO | HUILA | 1 | 2 |
| 41013 | AGRADO | HUILA | 2 | 2 |
| 41016 | AIPE | HUILA | 5 | 1 |
| 41020 | ALGECIRAS | HUILA | 2 | 1 |
| 41026 | ALTAMIRA | HUILA | 2 | 2 |
| 41078 | BARAYA | HUILA | 2 | 1 |
| 41132 | CAMPOALEGRE | HUILA | 5 | 1 |
| 41206 | COLOMBIA | HUILA | 2 | 2 |
| 41244 | ELIÍAS | HUILA | 1 | 2 |
| 41298 | GARZÓN | HUILA | 2 | 1 |
| 41306 | GIGANTE | HUILA | 2 | 1 |
| 41319 | GUADALUPE | HUILA | 5 | 2 |
| 41349 | HOBO | HUILA | 2 | 1 |
| 41357 | IQUIRA | HUILA | 5 | 2 |
| 41359 | ISNOS | HUILA | 1 | 2 |
| 41378 | LA ARGENTINA | HUILA | 1 | 2 |
| 41396 | LA PLATA | HUILA | 5 | 1 |
| 41483 | NÁTAGA | HUILA | 1 | 2 |
| 41503 | OPORAPA | HUILA | 1 | 2 |
| 41518 | PAICOL | HUILA | 2 | 1 |
| 41524 | PALERMO | HUILA | 5 | 1 |
| 41530 | PALESTINA | HUILA | 1 | 2 |
| 41548 | PITAL | HUILA | 2 | 2 |
| 41551 | PITALITO | HUILA | 1 | 2 |
| 41615 | RIVERA | HUILA | 2 | 1 |
| 41660 | SALADOBLANCO | HUILA | 1 | 2 |
| 41668 | SAN AGUSTÍN | HUILA | 1 | 2 |
| 41676 | SANTA MARÍA | HUILA | 5 | 2 |
| 41770 | SUAZA | HUILA | 2 | 2 |
| 41791 | TARQUI | HUILA | 2 | 1 |
| 41797 | TESALIA | HUILA | 2 | 1 |
| 41799 | TELLO | HUILA | 2 | 1 |
| 41801 | TERUEL | HUILA | 5 | 1 |
| 41807 | TIMANÁ | HUILA | 5 | 2 |
| 41872 | VILLAVIEJA | HUILA | 2 | 1 |
| 41885 | YAGUARÁ | HUILA | 5 | 1 |
| 44001 | RIOHACHA | LA GUAJIRA | 2 | 1 |
| 44035 | ALABANIA | LA GUAJIRA | 5 | 1 |
| 44078 | BARRANCAS | LA GUAJIRA | 2 | 1 |
| 44090 | DIBULLA | LA GUAJIRA | 2 | 1 |
| 44098 | DISTRACCIÓN | LA GUAJIRA | 2 | 1 |
| 44110 | EL MOLINO | LA GUAJIRA | 2 | 1 |
| 44279 | FONSECA | LA GUAJIRA | 2 | 1 |
| 44378 | HATO NUEVO | LA GUAJIRA | 2 | 1 |
| 44420 | LA JAGUA DEL PILAR | LA GUAJIRA | 2 | 2 |
| 44430 | MAICAO | LA GUAJIRA | 2 | 1 |
| 44560 | MANAURE | LA GUAJIRA | 2 | 1 |
| 44650 | SAN JUAN DEL CESAR | LA GUAJIRA | 2 | 1 |
| 44847 | URIBIA | LA GUAJIRA | 2 | 1 |
| 44855 | URUMITA | LA GUAJIRA | 2 | 1 |
| 44874 | VILLANUEVA | LA GUAJIRA | 2 | 1 |
| 47001 | SANTA MARTA | MAGDALENA | 2 | 1 |
| 47030 | ALGARROBO | MAGDALENA | 2 | 3 |
| 47053 | ARACATACA | MAGDALENA | 2 | 1 |
| 47058 | ARIGUANÍ | MAGDALENA | 2 | 3 |
| 47161 | CERRO SAN ANTONIO | MAGDALENA | 2 | 3 |
| 47170 | CHIVOLO | MAGDALENA | 2 | 3 |
| 47189 | CIÉNAGA | MAGDALENA | 2 | 1 |
| 47205 | CONCORDIA | MAGDALENA | 2 | 3 |
| 47245 | EL BANCO | MAGDALENA | 2 | 1 |
| 47258 | EL PIÑÓN | MAGDALENA | 2 | 2 |
| 47268 | EL RETÉN | MAGDALENA | 2 | 2 |
| 47288 | FUNDACIÓN | MAGDALENA | 2 | 1 |
| 47318 | GUAMAL | MAGDALENA | 2 | 3 |
| 47541 | PEDRAZA | MAGDALENA | 2 | 3 |
| 47545 | PIJIÑO DEL CARMEN | MAGDALENA | 2 | 3 |
| 47551 | PIVIJAY | MAGDALENA | 2 | 2 |
| 47555 | PLATO | MAGDALENA | 2 | 2 |
| 47570 | PUEBLOVIEJO | MAGDALENA | 2 | 2 |
| 47605 | REMOLINO | MAGDALENA | 2 | 2 |
| 47660 | SABANAS DE SAN ÁNGEL | MAGDALENA | 2 | 3 |
| 47675 | SALAMINA | MAGDALENA | 2 | 2 |
| 47692 | SAN S.BUENAVISTA | MAGDALENA | 2 | 3 |
| 47703 | SAN ZENÓN | MAGDALENA | 2 | 3 |
| 47707 | SANTA ANA | MAGDALENA | 2 | 1 |
| 47720 | SANTA BÁRBARA DE PINTO | MAGDALENA | 2 | 3 |
| 47745 | SITIONUEVO | MAGDALENA | 2 | 2 |
| 47798 | TENERIFE | MAGDALENA | 2 | 3 |
| 47960 | ZAPAYÁN | MAGDALENA | 2 | 3 |
| 47980 | ZONA BANANERA | MAGDALENA | 2 | 1 |
| 50001 | VILLAVICENCIO | META | 5 | 1 |
| 50006 | ACACÍAS | META | 2 | 1 |
| 50110 | BARRANCA DE UPÍA | META | 2 | 2 |
| 50124 | CABUYARO | META | 2 | 2 |
| 50150 | CASTILLA LA NUEVA | META | 2 | 2 |
| 50223 | CUBARRAL | META | 5 | 2 |
| 50226 | CUMARAL | META | 5 | 1 |
| 50251 | EL CASTILLO | META | 2 | 2 |
| 50270 | EL DORADO | META | 2 | 2 |
| 50287 | FUENTE DE ORO | META | 2 | 1 |
| 50313 | GRANADA | META | 2 | 2 |
| 50318 | GUAMAL | META | 5 | 1 |
| 50450 | PUERTO CONCORDIA | META | 2 | 2 |
| 50568 | PUERTO GAITÁN | META | 2 | 2 |
| 50573 | PUERTO LÓPEZ | META | 2 | 1 |
| 50577 | PUERTO LLERAS | META | 2 | 2 |
| 50590 | PUERTO RICO | META | 2 | 2 |
| 50606 | RESTREPO | META | 2 | 1 |
| 50680 | SAN CARLOS GUAROA | META | 2 | 2 |
| 50683 | SAN JUAN DE ARAMA | META | 2 | 2 |
| 50689 | SAN MARTÍN | META | 2 | 2 |
| 52001 | PASTO | NARIÑO | 5 | 3 |
| 52506 | OSPINA | NARIÑO | 1 | 3 |
| 52720 | SAPUYES | NARIÑO | 1 | 3 |
| 52838 | TÚQUERRES | NARIÑO | 1 | 3 |
| 54001 | CÚCUTA | NORTE SANTANDER | 5 | 1 |
| 54003 | ÁBREGO | NORTE SANTANDER | 1 | 3 |
| 54174 | CHÍTAGA | NORTE SANTANDER | 1 | 3 |
| 54261 | EL ZULIA | NORTE SANTANDER | 2 | 3 |
| 54377 | LABATECA | NORTE SANTANDER | 1 | 3 |
| 54405 | LOS PATIOS | NORTE SANTANDER | 2 | 2 |
| 54498 | OCAÑA | NORTE SANTANDER | 5 | 2 |
| 54518 | PAMPLONA | NORTE SANTANDER | 1 | 2 |
| 54673 | SAN CAYETANO | NORTE SANTANDER | 2 | 3 |
| 54720 | SARDINATA | NORTE SANTANDER | 5 | 3 |
| 54743 | SILOS | NORTE SANTANDER | 1 | 3 |
| 54810 | TIBÚ | NORTE SANTANDER | 2 | 3 |
| 54820 | TOLEDO | NORTE SANTANDER | 1 | 3 |
| 54874 | VILLA DEL ROSARIO | NORTE SANTANDER | 2 | 2 |
| 63001 | ARMENIA | QUINDIO | 5 | 1 |
| 63130 | CALARCÁ | QUINDIO | 5 | 1 |
| 63190 | CIRCASIA | QUINDIO | 5 | 1 |
| 63272 | FILANDIA | QUINDIO | 5 | 1 |
| 63401 | LA TEBAIDA | QUINDIO | 5 | 1 |
| 63470 | MONTENEGRO | QUINDIO | 5 | 1 |
| 63594 | QUIMBAYA | QUINDIO | 5 | 1 |
| 63690 | SALENTO | QUINDIO | 1 | 1 |
| 66001 | PEREIRA | RISARALDA | 5 | 1 |
| 66045 | APÍA | RISARALDA | 1 | 3 |
| 66075 | BALBOA | RISARALDA | 1 | 1 |
| 66088 | BELÉN DE UMBRÍA | RISARALDA | 1 | 3 |
| 66170 | DOS QUEBRADAS | RISARALDA | 5 | 1 |
| 66318 | GUÁTICA | RISARALDA | 1 | 3 |
| 66383 | LA CELIA | RISARALDA | 1 | 1 |
| 66400 | LA VIRGINIA | RISARALDA | 5 | 1 |
| 66440 | MARSELLA | RISARALDA | 1 | 1 |
| 66594 | QUINCHÍA | RISARALDA | 1 | 3 |
| 66682 | SANTA ROSA DE CABAL | RISARALDA | 5 | 1 |
| 66687 | SANTUARIO | RISARALDA | 5 | 3 |
| 68001 | BUCARAMANGA | SANTANDER | 5 | 1 |
| 68013 | AGUADA | SANTANDER | 1 | 3 |
| 68020 | ALBANIA | SANTANDER | 1 | 2 |
| 68051 | ARATOCA | SANTANDER | 1 | 3 |
| 68077 | BARBOSA | SANTANDER | 5 | 2 |
| 68079 | BARICHARA | SANTANDER | 1 | 3 |
| 68081 | BARRANCABERMEJA | SANTANDER | 2 | 1 |
| 68092 | BETULIA | SANTANDER | 1 | 3 |
| 68101 | BOLÍVAR | SANTANDER | 1 | 2 |
| 68147 | CAPITANEJO | SANTANDER | 2 | 2 |
| 68162 | CERRITO | SANTANDER | 1 | 3 |
| 68176 | CHIMÁ | SANTANDER | 2 | 3 |
| 68179 | CHIPATÁ | SANTANDER | 1 | 2 |
| 68190 | CIMITARRA | SANTANDER | 2 | 2 |
| 68207 | CONCEPCIÓN | SANTANDER | 1 | 3 |
| 68209 | CONFINES | SANTANDER | 1 | 3 |
| 68211 | CONTRATACIÓN | SANTANDER | 1 | 3 |
| 68217 | COROMORO | SANTANDER | 1 | 3 |
| 68229 | CURITÍ | SANTANDER | 5 | 2 |
| 68235 | EL CARMEN | SANTANDER | 5 | 3 |
| 68250 | EL PEÑÓN | SANTANDER | 1 | 2 |
| 68255 | EL PLAYÓN | SANTANDER | 5 | 2 |
| 68264 | ENCINO | SANTANDER | 1 | 3 |
| 68271 | FLORIÁN | SANTANDER | 1 | 2 |
| 68276 | FLORIDABLANCA | SANTANDER | 5 | 1 |
| 68296 | GALÁN | SANTANDER | 2 | 3 |
| 68307 | GIRÓN | SANTANDER | 5 | 2 |
| 68318 | GUACA | SANTANDER | 1 | 2 |
| 68320 | GUADALUPE | SANTANDER | 1 | 2 |
| 68324 | GUAVATÁ | SANTANDER | 1 | 2 |
| 68327 | GÜEPSA | SANTANDER | 1 | 2 |
| 68368 | JESÚS MARÍA | SANTANDER | 1 | 2 |
| 68377 | LA BELLEZA | SANTANDER | 1 | 2 |
| 68385 | LANDÁZURI | SANTANDER | 2 | 3 |
| 68397 | LA PAZ | SANTANDER | 1 | 2 |
| 68406 | LEBRIJA | SANTANDER | 5 | 1 |
| 68418 | LOS SANTOS | SANTANDER | 1 | 3 |
| 68432 | MÁLAGA | SANTANDER | 1 | 2 |
| 68444 | MATANZA | SANTANDER | 1 | 3 |
| 68464 | MOGOTES | SANTANDER | 1 | 3 |
| 68468 | MOLAGAVITA | SANTANDER | 1 | 3 |
| 68498 | OCAMONTE | SANTANDER | 1 | 3 |
| 68500 | OIBA | SANTANDER | 1 | 3 |
| 68502 | ONZAGA | SANTANDER | 1 | 3 |
| 68524 | PALMAS DE SOCORRO | SANTANDER | 1 | 3 |
| 68533 | PÁRAMO | SANTANDER | 5 | 2 |
| 68547 | PIEDECUESTA | SANTANDER | 5 | 2 |
| 68549 | PINCHOTE | SANTANDER | 5 | 3 |
| 68572 | PUENTE NACIONAL | SANTANDER | 3 | 1 |
| 68575 | PUERTO WILCHES | SANTANDER | 5 | 1 |
| 68615 | RIONEGRO | SANTANDER | 5 | 2 |
| 68655 | SABANA DE TORRES | SANTANDER | 2 | 1 |
| 68669 | SAN ANDRÁS | SANTANDER | 5 | 2 |
| 68673 | SAN BENITO | SANTANDER | 1 | 3 |
| 68682 | SAN JOAQUÍN | SANTANDER | 1 | 3 |
| 68684 | SAN JOSE DE MIRANDA | SANTANDER | 1 | 3 |
| 68689 | SAN VICENTE DE CHUCURÍ | SANTANDER | 5 | 2 |
| 68705 | SANTA BÁRBARA | SANTANDER | 1 | 3 |
| 68745 | SIMACOTA | SANTANDER | 5 | 2 |
| 68770 | SUAITA | SANTANDER | 1 | 3 |
| 68773 | SUCRE | SANTANDER | 1 | 2 |
| 68820 | TONA | SANTANDER | 1 | 3 |
| 68855 | VALLE DE SAN JOSÉ | SANTANDER | 5 | 3 |
| 68872 | VILLANUEVA | SANTANDER | 5 | 2 |
| 68895 | ZAPATOCA | SANTANDER | 1 | 2 |
| 70001 | SINCELEJO | SUCRE | 5 | 1 |
| 70110 | BUENAVISTA | SUCRE | 5 | 1 |
| 70124 | CAIMITO | SUCRE | 2 | 3 |
| 70204 | COLOSO | SUCRE | 2 | 3 |
| 70215 | COROZAL | SUCRE | 5 | 1 |
| 70221 | COVEÑAS | SUCRE | 2 | 1 |
| 70230 | CHALÁN | SUCRE | 2 | 3 |
| 70233 | EL ROBLE | SUCRE | 2 | 3 |
| 70235 | GALERAS | SUCRE | 2 | 1 |
| 70400 | LA UNIÓN | SUCRE | 2 | 3 |
| 70418 | LOS PALMITOS | SUCRE | 2 | 1 |
| 70473 | MORROA | SUCRE | 2 | 1 |
| 70508 | OVEJAS | SUCRE | 2 | 1 |
| 70523 | PALMITO | SUCRE | 2 | 3 |
| 70670 | SAMPUÉS | SUCRE | 2 | 1 |
| 70678 | SAN BENITO ABAD | SUCRE | 2 | 3 |
| 70702 | SAN JUAN BETULIA | SUCRE | 2 | 1 |
| 70708 | SAN MARCOS | SUCRE | 2 | 1 |
| 70713 | SAN ONOFRE | SUCRE | 2 | 1 |
| 70717 | SAN PEDRO | SUCRE | 2 | 1 |
| 70742 | SINCÉ | SUCRE | 2 | 1 |
| 70820 | TOLÚ | SUCRE | 2 | 1 |
| 70823 | TOLUVIEJO | SUCRE | 2 | 1 |
| 73001 | IBAGUÉ | TOLIMA | 5 | 1 |
| 73026 | ALVARADO | TOLIMA | 2 | 1 |
| 73030 | AMBALEMA | TOLIMA | 2 | 1 |
| 73055 | ARMERO | TOLIMA | 2 | 1 |
| 73124 | CAJAMARCA | TOLIMA | 5 | 3 |
| 73148 | CARMEN DE APICALÁ | TOLIMA | 2 | 2 |
| 73168 | CHAPARRAL | TOLIMA | 2 | 2 |
| 73200 | COELLO | TOLIMA | 2 | 1 |
| 73226 | CUNDAY | TOLIMA | 2 | 3 |
| 73236 | DOLORES | TOLIMA | 5 | 3 |
| 73268 | ESPINAL | TOLIMA | 2 | 1 |
| 73275 | FLANDES | TOLIMA | 5 | 2 |
| 73283 | FRESNO | TOLIMA | 5 | 1 |
| 73319 | GUAMO | TOLIMA | 2 | 1 |
| 73347 | HERVEO | TOLIMA | 1 | 1 |
| 73349 | HONDA | TOLIMA | 2 | 2 |
| 73352 | ICONONZO | TOLIMA | 1 | 2 |
| 73408 | LERIDA | TOLIMA | 2 | 1 |
| 73411 | LÍBANO | TOLIMA | 1 | 2 |
| 73443 | MARIQUITA | TOLIMA | 2 | 1 |
| 73449 | MELGAR | TOLIMA | 2 | 2 |
| 73461 | MURILLO | TOLIMA | 1 | 3 |
| 73483 | NATAGAIMA | TOLIMA | 2 | 1 |
| 73504 | ORTEGA | TOLIMA | 2 | 2 |
| 73547 | PIEDRAS | TOLIMA | 2 | 1 |
| 73585 | PURIFICACIÓN | TOLIMA | 2 | 1 |
| 73671 | SALDAÑA | TOLIMA | 2 | 1 |
| 73675 | SAN ANTONIO | TOLIMA | 1 | 3 |
| 73678 | SAN LUIS | TOLIMA | 2 | 1 |
| 73686 | SANTA ISABEL | TOLIMA | 1 | 3 |
| 73770 | SUÁREZ | TOLIMA | 2 | 3 |
| 73854 | VALLE DE SAN JUAN | TOLIMA | 2 | 2 |
| 73861 | VENADILLO | TOLIMA | 2 | 1 |
| 73873 | VILLARRICA | TOLIMA | 1 | 3 |
| 76001 | CALI | VALLE | 5 | 1 |
| 76020 | ALCALÁ | VALLE | 5 | 3 |
| 76036 | ANDALUCÍA | VALLE | 2 | 1 |
| 76041 | ANSERMANUEVO | VALLE | 5 | 1 |
| 76100 | BOLÍVAR | VALLE | 2 | 3 |
| 76109 | BUENAVENTURA | VALLE | 2 | 2 |
| 76111 | BUGA | VALLE | 5 | 1 |
| 76113 | BUGALAGRANDE | VALLE | 5 | 1 |
| 76122 | CAICEDONIA | VALLE | 5 | 1 |
| 76126 | CALIMA | VALLE | 1 | 3 |
| 76130 | CANDELARIA | VALLE | 5 | 1 |
| 76147 | CARTAGO | VALLE | 5 | 1 |
| 76248 | EL CERRITO | VALLE | 5 | 1 |
| 76250 | EL DOVIO | VALLE | 1 | 3 |
| 76275 | FLORIDA | VALLE | 5 | 1 |
| 76306 | GINEBRA | VALLE | 5 | 1 |
| 76318 | GUACARÍ | VALLE | 5 | 1 |
| 76364 | JAMUNDÍ | VALLE | 2 | 1 |
| 76400 | LA UNIÓN | VALLE | 5 | 1 |
| 76403 | LA VICTORIA | VALLE | 2 | 1 |
| 76497 | OBANDO | VALLE | 5 | 1 |
| 76520 | PALMIRA | VALLE | 5 | 1 |
| 76563 | PRADERA | VALLE | 5 | 1 |
| 76616 | RIOFRÍO | VALLE | 5 | 3 |
| 76622 | ROLDANILLO | VALLE | 5 | 1 |
| 76670 | SAN PEDRO | VALLE | 2 | 1 |
| 76736 | SEVILLA | VALLE | 5 | 1 |
| 76823 | TORO | VALLE | 5 | 3 |
| 76828 | TRUJILLO | VALLE | 1 | 3 |
| 76834 | TULUÁ | VALLE | 5 | 1 |
| 76845 | ULLOA | VALLE | 1 | 3 |
| 76863 | VERSALLES | VALLE | 1 | 3 |
| 76869 | VIJES | VALLE | 2 | 3 |
| 76890 | YOTOCO | VALLE | 2 | 3 |
| 76892 | YUMBO | VALLE | 5 | 1 |
| 76895 | ZARZAL | VALLE | 5 | 1 |
| 85001 | YOPAL | CASANARE | 2 | 1 |
| 85010 | AGUAZUL | CASANARE | 2 | 1 |
| 85125 | HATO COROZAL | CASANARE | 2 | 3 |
| 85139 | MANÍ | CASANARE | 2 | 2 |
| 85162 | MONTERREY | CASANARE | 2 | 1 |
| 85225 | NUNCHÍA | CASANARE | 2 | 2 |
| 85250 | PAZ DE ARIPORO | CASANARE | 2 | 2 |
| 85263 | PORE | CASANARE | 2 | 3 |
| 85300 | SABANALARGA | CASANARE | 2 | 2 |
| 85325 | SN LUIS PALENQUE | CASANARE | 2 | 2 |
| 85400 | TÁMARA | CASANARE | 5 | 3 |
| 85410 | TAURAMENA | CASANARE | 2 | 1 |
| 85430 | TRINIDAD | CASANARE | 2 | 2 |
| 85440 | VILLANUEVA | CASANARE | 2 | 1 |
| 86001 | MOCOA | PUTUMAYO | 2 | 3 |
| 86568 | PUERTO ASÍS | PUTUMAYO | 2 | 3 |
| 86569 | PUERTO CAICEDO | PUTUMAYO | 2 | 3 |
| 86885 | VILLAGARZÓN | PUTUMAYO | 2 | 3 |
| 95001 | SAN JOSÉ DEL GUAVIARE | GUAVIARE | 2 | 2 |
En el caso de que un municipio que pertenezca a uno de los mercados relevantes de distribución solicitados por una empresa, no se encuentre en el listado obtenido con el procedimiento anterior y que se incluyen en la Tabla 1 de este anexo, la CREG aplicará el siguiente procedimiento para determinar la agrupación:
i. Se determinará para el municipio en cuestión el valor de cada una las variables descritas en los numerales 1 y 2 de este anexo. En caso de municipios nuevos donde se vaya a prestar el servicio por primera vez, la variable “Costos del POT-POTidx” se excluirá del análisis.
ii. Se determina el promedio y la desviación estándar de las variables. Estas variables se normalizan o transforman utilizando la siguiente ecuación:
![]()
iii. Se determina la diferencia entre los valores de cada una de las variables obtenidas en el numeral anterior y los valores consignados en la siguiente tabla:
TABLA 2
| GRUPO | METODOLOGÍA | PREDxArea | HOGxPRED | MUNICIPIO | POTidx | PREDIOS | RELIEVE | TEMPER |
| G | M | - | - | - | - | - | - | - |
| 1 | 1 | -0.184 | 0.003 | -0.175 | 0.300 | -0.073 | 1.423 | -1.432 |
| 1 | 2 | -0.258 | 0.020 | 0.059 | -0.024 | -0.105 | 1.076 | -1.078 |
| 1 | 3 | -0.398 | 0.079 | 0.011 | -0.586 | -0.130 | 0.879 | -0.878 |
| 2 | 1 | -0.206 | -0.060 | -0.036 | 0.129 | -0.042 | -0.968 | 0.972 |
| 2 | 2 | -0.463 | -0.173 | -0.051 | -0.282 | -0.081 | -0.868 | 0.861 |
| 2 | 3 | -0.482 | -0.336 | -0.210 | -0.550 | -0.113 | -0.837 | 0.832 |
| 5 | 1 | 1.380 | 0.413 | -0.068 | 0.801 | 0.434 | -0.044 | 0.041 |
| 5 | 2 | 1.113 | -0.167 | 0.154 | 0.470 | -0.068 | 0.062 | -0.033 |
| 5 | 3 | 1.044 | 0.285 | -0.086 | 0.424 | -0.095 | 0.178 | -0.171 |
iv. Se elevan al cuadrado las diferencias obtenidas en el numeral anterior y se suman,
v. Se determina el grupo G y metodología M asociado a la diferencia total mínima obtenida en el numeral anterior,
vi. En el caso de municipios nuevos donde se vaya a prestar el servicio por primera vez, este procedimiento se realizará únicamente con los grupos 1-3, 2-3 y 5-3.
Para la clasificación de un centro poblado nuevo, será el grupo G del municipio al cual pertenece y la metodología M será 3”.
ARTÍCULO 6o. Para todos los efectos, la Fecha de Corte definida en el artículo 2o de la Resolución CREG 202 de 2013 y sus modificaciones, se fija en el 31 de diciembre de 2018.
ARTÍCULO 7o. La presente Resolución rige a partir de su publicación en el Diario Oficial.
Publíquese y cúmplase.
Firma del proyecto,
El Presidente,
Diego Mesa Puyo,
Viceministro de Energía, Delegado de la Ministra de Minas y Enrgía.
El Director Ejecutivo,
Christian Jaramillo Herrera.
NOTAS AL FINAL:
1. Por la cual se establecen los criterios generales para remunerar la actividad de distribución de gas combustible por redes de tubería y se dictan otras disposiciones.
2. Por la cual se establecen los apartes revocados de la Resolución número CREG 202 de 2013.
3. Por la cual se resuelve una actuación administrativa iniciada de oficio en virtud de lo establecido en el artículo 126 de la Ley 142 de 1994.
4. Esta norma se encuentra compilada en el Decreto N° 1074 de 26 de mayo de 2015, “por medio del cual se expidió el Decreto Único Reglamentario del Sector Comercio, Industria y Turismo”.







