RESOLUCIÓN 145 DE 2020
(julio 17)
Diario Oficial No. 51.440 de 17 de septiembre de 2020
COMISIÓN DE REGULACIÓN DE ENERGÍA Y GAS
Por la cual se aprueba el cargo de distribución por uso del sistema de distribución de GLP por redes de tubería para el mercado relevante conformado por los Municipios de Angostura y Campamento en el departamento de Antioquia, según solicitud tarifaria presentada por la empresa REDNOVA S.A.S. E.S.P.
LA COMISIÓN DE REGULACIÓN DE ENERGÍA Y GAS,
en ejercicio de sus atribuciones constitucionales y legales, en especial las conferidas por la Ley 142 de 1994, y en desarrollo de los Decretos 2253 de 1994 y 1260 de 2013, y
CONSIDERANDO QUE:
El Numeral 14.28 del Artículo 14 de la Ley 142 de 1994 definió el servicio público domiciliario de gas combustible como el conjunto de actividades ordenadas a la distribución de gas combustible, y estableció la actividad de comercialización como complementaria del servicio público domiciliario de gas combustible.
Según lo dispuesto por el Artículo 28 de la Ley 142 de 1994, la construcción y operación de redes para la distribución de gas, así como el señalamiento de las tarifas por uso, se regirán exclusivamente por esa ley.
El Numeral 73.11 del Artículo 73 de la Ley 142 de 1994 atribuyó a la Comisión de Regulación de Energía y Gas la competencia para establecer las fórmulas para la fijación de las tarifas del servicio público domiciliario de gas combustible.
Según lo dispuesto por el Numeral 88.1 del Artículo 88 de la Ley 142 de 1994, la Comisión de Regulación de Energía y Gas podrá establecer topes máximos y mínimos tarifarios, de obligatorio cumplimiento por parte de las empresas.
El Artículo 126 de la Ley 142 de 1994 establece que, vencido el período de vigencia de las fórmulas tarifarias, estas continuarán rigiendo mientras la Comisión no fije las nuevas.
Mediante la Resolución CREG 137 de 2013 se establecieron las fórmulas tarifarias generales para la prestación del servicio público domiciliario de gas combustible por redes de tubería a usuarios regulados.
A través de las Resoluciones CREG 202 de 2013, 138 de 2014, 090 y 132 de 2018, y 011 de 2020, se establecieron los criterios generales para remunerar la actividad de distribución de gas combustible por redes de tubería y se dictan otras disposiciones, en adelante la Metodología.
Mediante Circular CREG 030 de 2019 se divulgó el procedimiento a observar en el trámite de solicitudes tarifarias para la aprobación de cargos de distribución de gas combustible por redes de tubería.
En la Resolución CREG 025 de 2020 se establecen los valores de la Tasa de Descuento para la actividad de distribución de gas combustible.
La empresa REDNOVA S.A.S. E.S.P., a través de la comunicación radicada en la CREG bajo el número E-2020-000571 del 24 de enero de 2020, de conformidad con lo establecido en la Resolución CREG 202 de 2013 y aquellas que la modifiquen, adicionen y/o sustituyan, solicitó aprobación de cargos de distribución de GLP por redes para el mercado relevante de distribución conformado por los siguientes municipios:
| CÓDIGO DANE | MUNICIPIO | DEPARTAMENTO |
| 05038 | Angostura | Antioquia |
| 05134 | Campamento | Antioquia |
En la mencionada comunicación se allegaron las proyecciones de demanda, las proyecciones de gastos de administración operación y mantenimiento –AOM- y el programa de nuevas inversiones, clasificadas según el listado de unidades constructivas establecido en el Anexo No. 8 de la Metodología.
Igualmente, la empresa manifestó en su solicitud que el proyecto no cuenta con recursos públicos para la construcción de la infraestructura de distribución de GLP por redes.
A través del aplicativo ApliGas, dispuesto por la CREG para el correspondiente reporte de información de solicitudes tarifarias, la empresa confirmó su solicitud bajo el número 2004.
La Comisión verificó el cumplimiento de los requisitos establecidos en la Metodología, evidenciando que la información remitida con la solicitud presentada por REDNOVA S.A.S. E.S.P. no era suficiente para iniciar la actuación administrativa correspondiente.
En consecuencia, mediante comunicación S-2020-000932 del 12 de febrero de 2020 se solicitó a la empresa completar la solicitud, allegando: i) manifestación expresa de si el Sistema de Distribución del Mercado Relevante solicitado se desprende de otro Mercado Relevante de Distribución; y ii) copia del radicado UPME mediante el cual se remitieron a dicha entidad las proyecciones y el estudio de demanda del mercado relevante solicitado.
Mediante comunicación bajo radicado CREG E-2020-001476 del 20 de febrero de 2020, la empresa REDNOVA S.A.S. E.S.P. allega respuesta al requerimiento de la Comisión y remite la información solicitada.
Mediante oficio con radicado CREG E-2020-001227 del 13 de febrero de 2020, la Unidad de Planeación Minero Energética, UPME, remitió concepto en el que considera que la metodología de proyección de demanda de gas propuesta por la empresa REDNOVA S.A.S. E.S.P. para los Municipios de Angostura y Campamento en el departamento de Antioquia, cumple con los requerimientos contenidos en el Anexo 13 de la Metodología.
La Comisión verificó el cumplimiento de los requisitos establecidos en la Metodología, evidenciando que la información remitida cumple con los requisitos establecidos por la Comisión.
Mediante Auto I-2020-001845 proferido el día 25 de marzo de 2020, la Dirección Ejecutiva de la Comisión dispuso iniciar la respectiva actuación administrativa con fundamento en la solicitud presentada por la empresa REDNOVA S.A.S. E.S.P. para la aprobación de los cargos de distribución de GLP por redes de tubería para el mercado relevante conformado por los Municipios de Angostura y Campamento en el departamento de Antioquia.
De acuerdo con lo establecido en el Auto de Inicio de la actuación administrativa y, conforme a lo dispuesto en el artículo 37 del Código de Procedimiento Administrativo y de lo Contencioso Administrativo, CPACA, con el fin de que los terceros interesados puedan hacerse parte en la respectiva actuación, se publicó en el Diario Oficial número 51.270 de 28 de marzo de 2020 se publicó Aviso No. 033 de 25 de marzo de 2020 que contiene resumen de la solicitud tarifaria presentada por REDNOVA S.A.S. E.S.P. para la aprobación de cargos de distribución de GLP por redes de tubería.
El numeral 9.3 del artículo 9o de la Resolución CREG 202 de 2013 establece lo siguiente:
“9.3. CARGOS DE DISTRIBUCIÓN EN SISTEMAS DE DISTRIBUCIÓN QUE NO TIENEN CONECTADOS USUARIOS A LA RED PRIMARIA.
Cuando un Sistema de Distribución tenga red primaria y secundaria pero todos los usuarios estén conectados a la red secundaria se podrá determinar en ese Mercado Relevante un solo cargo de distribución que será aplicable a usuarios residenciales y a usuarios diferentes al de uso residencial. La canasta de tarifas de estos mercados deben excluir a los usuarios residenciales”.
Dado que el sistema de distribución presentado por la empresa REDNOVA S.A.S. E.S.P. para el mercado relevante solicitado cuenta con red secundaria, y todos sus usuarios están conectados a la red secundaria, se determina para este mercado relevante un solo cargo de distribución que será aplicable a los usuarios de uso residencial y usuarios diferentes al uso residencial.
Como resultado del análisis de la información presentada a la Comisión por REDNOVA S.A.S. E.S.P. mediante radicado E-2020-000571, E-2020-001227 y E-2020-001476 se realizaron los análisis pertinentes a la información requerida para el cálculo del cargo de distribución que trata la Metodología, según se relacionan con su respectivo sustento en el documento soporte de la presente resolución.
El análisis de la solicitud tarifaria y los cálculos correspondientes efectuados por parte de la Comisión de Regulación de Energía y Gas, así como las consideraciones que justifican la presente resolución, se encuentran en el Documento CREG 113 de 2020.
Con base en lo establecido en el artículo 4o del Decreto 2897 de 2010(1), reglamentario de la Ley 1340 de 2009, se respondió el cuestionario establecido por la Superintendencia de Industria y Comercio para efectos de evaluar la incidencia sobre la libre competencia de los mercados, donde, aplicando las reglas allí previstas, la respuesta al conjunto de preguntas fue negativa, en la medida en que no plantea ninguna restricción indebida a la libre competencia, el cual se encuentra en el Documento CREG 113 de 2020.
Teniendo en cuenta la respuesta al cuestionario, y dado que la presente resolución contiene un desarrollo y aplicación de la metodología y criterios generales para determinar la remuneración de la actividad de distribución de gas combustible establecidos en las Resoluciones CREG 202 de 2013, 090 y 132 de 2018, y 011 de 2020, el presente acto administrativo de carácter particular no requiere ser remitido a la SIC para los efectos establecidos en el artículo 7o de la Ley 1340 de 2009, reglamentado por el Decreto 2897 de 2010, por no tener incidencia sobre la libre competencia(2).
La Comisión de Regulación de Energía y Gas, en su sesión número 1029 del 17 de julio de 2020, aprobó expedir la presente resolución y, en consecuencia,
RESUELVE:
CARGO DE DISTRIBUCIÓN.
ARTÍCULO 1o. MERCADO RELEVANTE DE DISTRIBUCIÓN PARA EL SIGUIENTE PERIODO TARIFARIO. Conforme a lo definido en el numeral 5.2 de la Metodología contenida en las Resoluciones CREG 202 de 2013, 138 de 2014, 090 y 132 de 2018, y 011 de 2020, se aprueba el Mercado Relevante de Distribución para el Siguiente Período Tarifario correspondiente a un Nuevo Mercado Relevante de Distribución conformado por los siguientes municipios:
| CÓDIGO DANE | MUNICIPIO | DEPARTAMENTO |
| 05038 | Angostura | Antioquia |
| 05134 | Campamento | Antioquia |
ARTÍCULO 2o. DEMANDAS DE VOLUMEN. Para el cálculo tarifario se utilizó la Demanda de Volumen para el horizonte de proyección presentada en el Anexo 2 de esta resolución.
ARTÍCULO 3o. INVERSIÓN BASE. La Inversión Base para determinar los cargos de distribución para el Mercado Relevante de Distribución definido en el Artículo 1 de esta resolución se compone como se indica a continuación:
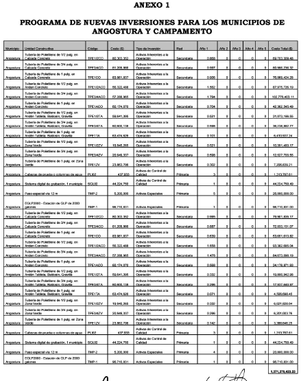
3.1. Programa de Nuevas Inversiones para Municipios Nuevos (IPNI). El Programa de Nuevas Inversiones corresponde a un valor de $1,371,279,423.23 ($31 de diciembre de 2019) y su descripción se presenta en el Anexo 1 de la presente resolución.
Aplicando la metodología, se calcularon las siguientes variables principales para la componente que remunera la inversión base aplicable a usuarios de uso residencial y a usuarios diferentes a los de uso residencial:
Usuarios de Uso Residencial y Usuarios Diferentes a los de Uso Residencial
| Variable | Año 2020 | Año 2021 | Año 2022 en adelante |
| IBMNRPk | 303,243,909.79 | 303,677,192.75 | 304,111,715.65 |
| IBMNRSk | 961,209,595.18 | 962,582,997.00 | 963,960,329.13 |
| VP(Q(PR)NoResRSk+Q(PR)Resk) | 611,864.39 | 618,237.02 | 624,718.48 |
| VP(Q(PR))Tk | 611,864.39 | 618,237.02 | 624,718.48 |
Cifras en pesos del 31 de diciembre de 2019.
ARTÍCULO 4o. GASTOS DE ADMINISTRACIÓN, OPERACIÓN Y MANTENIMIENTO (AOM). Una vez ajustada la proyección de gastos de AOM reportada por la empresa con el menor de los crecimientos anuales entre el del gasto de AOM y el de la demanda, se determina un porcentaje de gastos de AOM eficiente a reconocer para el mercado relevante de distribución para el siguiente período tarifario de 6,13% y un factor de ajuste %FAproyección AOM de 100,00%. En el Anexo 3 de esta resolución se presentan los gastos de AOM ajustados para cada año del Horizonte de Proyección:
| Componente | Año 2020 | Año 2021 | Año 2022 en adelante |
| Valor Presente AOM, con nivel de eficiencia | 621,967,550.49 | 628,220,645.36 | 634,579,627.45 |
Cifras en pesos del 31 de diciembre de 2019.
Aplicando la Metodología, se calcularon las siguientes variables principales para la componente que remunera los gastos de AOM, aplicable a usuarios de uso residencial y a usuarios diferentes a los de uso residencial:
Usuarios de Uso Residencial
| Variable | Año 2020 | Año 2021 | Año 2022 en adelante |
| VP(AOM(PR))RPk | 162,692,656.82 | 164,328,325.14 | 165,991,691.16 |
| VP(AOM(PR))RSk | 515,696,235.76 | 520,880,907.34 | 526,153,373.92 |
| VP(Q(PR)NoResRSk+Q(PR)Resk) | 611,864.39 | 618,237.02 | 624,718.48 |
| VP(Q(PR))Tk | 611,864.39 | 618,237.02 | 624,718.48 |
Cifras en pesos del 31 de diciembre de 2019.
Usuarios de Usuarios Diferentes a los de Uso Residencial
| Variable | Año 2020 | Año 2021 | Año 2022 en adelante |
| VP(AOM(PR)rpk) | 162,692,656.82 | 164,328,325.14 | 165,991,691.16 |
| VP(AOMRS(NoRes)k) | 25,333,080.03 | 25,585,898.70 | 25,842,982.64 |
| VP(Q(PR)tk) | 611,864.39 | 618,237.02 | 624,718.48 |
| VP(Q(PR)Resk) | 581,807.14 | 587,868.95 | 594,034.29 |
Cifras en pesos del 31 de diciembre de 2019.
ARTÍCULO 5o. CARGO DE DISTRIBUCIÓN APLICABLE A LOS USUARIOS DE USO RESIDENCIAL. A partir de la vigencia de la presente resolución, el cargo de distribución aplicable a los usuarios de uso residencial en el Mercado Relevante definido en el artículo 1, para recuperar los costos de inversión y los gastos de AOM para la distribución domiciliaria de gas combustible por redes de tubería se fija de la siguiente manera:
Usuarios de Uso Residencial
| Componente | Año 2020 | Año 2021 | Año 2022 en adelante | |
| Cargo de distribución Total | $/m3 | 3,175.28 | 3,156.51 | 3,137.76 |
| Componente de inversión pagada con recursos de REDNOVA S.A.S. E.S.P. | $/m3 | 2,066.56 | 2,048.18 | 2,029.83 |
| Componente Gastos AOM | $/m3 | 1,108.72 | 1,108.33 | 1,707.93 |
Cifras en pesos del 31 de diciembre de 2019
PARÁGRAFO. El Cargo de Distribución establecido en el presente Artículo se actualizará de conformidad con lo establecido en el artículo 12 de la Metodología contenida en las Resoluciones CREG 202 de 2013, 138 de 2014, 090 y 132 de 2018, y 011 de 2020.
ARTÍCULO 6o. CARGO DE DISTRIBUCIÓN APLICABLE A LOS USUARIOS DIFERENTES A LOS DE USO RESIDENCIAL. A partir de la vigencia de la presente resolución, el cargo de distribución aplicable a los usuarios diferentes a los de uso residencial en el Mercado Relevante definido en el artículo 1, para recuperar los costos de inversión y los gastos de AOM para la distribución domiciliaria de gas combustible por redes de tubería se fija de la siguiente manera:
Usuarios Diferentes a los de Uso Residencial
| Componente | Año 2020 | Año 2021 | Año 2022 en adelante | |
| Cargo de distribución Total | $/m3 | 3,175.28 | 3,156.51 | 3,137.76 |
| Componente de inversión pagada con recursos de REDNOVA S.A.S. E.S.P. | $/m3 | 2,066.56 | 2,048.18 | 2,029.83 |
| Componente Gastos AOM | $/m3 | 1,108.72 | 1,108.33 | 1,707.93 |
Cifras en pesos del 31 de diciembre de 2019
PARÁGRAFO. El Cargo de Distribución establecido en el presente artículo se actualizará de conformidad con lo establecido en el artículo 12 de la Metodología contenida en las Resoluciones CREG 202 de 2013, 138 de 2014, 090 y 132 de 2018, y CREG 011 de 2020.
ARTÍCULO 7o. VIGENCIA DE LOS CARGOS DE DISTRIBUCIÓN APLICABLES A LOS USUARIOS DE USO RESIDENCIAL Y A USUARIOS DIFERENTES A LOS DE USO RESIDENCIAL. Los Cargos de Distribución aplicables a los Usuarios de Uso Residencial y a los Usuarios Diferentes a los de Uso Residencial, estarán vigentes por un término de cinco (5) años desde la fecha en que quede en firme la presente resolución. Vencido el período de vigencia de los cargos regulados, estos continuarán rigiendo hasta que la Comisión apruebe los nuevos, tal como está previsto en el artículo 126 de la Ley 142 de 1994.
PARÁGRAFO. Conforme a lo dispuesto en el Parágrafo del Artículo 7 de la Metodología contenida en las Resoluciones CREG 202 de 2013, 138 de 2014, 090 y 132 de 2018, y 011 de 2020, si transcurridos doce (12) meses desde que haya quedado en firme la presente resolución, el Distribuidor no ha iniciado la construcción del respectivo Sistema de Distribución, los cargos aprobados, así como la totalidad de lo dispuesto en la presente resolución perderán su vigencia.
Se entenderá que el Distribuidor no ha iniciado la construcción del respectivo Sistema de Distribución si, doce (12) meses después de que hayan quedado en firme los cargos aprobados en la presente resolución, no ha ejecutado al menos un cincuenta por ciento (50%) de las inversiones propuestas para el primer año de inversión.
Para estos efectos, dentro de los quince (15) días hábiles siguientes a la fecha en que quede en firme la presente resolución, el distribuidor deberá remitir a la Superintendencia de Servicios Públicos Domiciliarios, SSPD, con copia a la CREG, un cronograma en donde se especifique la fecha de inicio de la construcción del Sistema de Distribución, hasta la fecha de su entrada en operación, a efectos de que la Superintendencia de Servicios Públicos Domiciliarios pueda llevar a cabo sus funciones de inspección, vigilancia y control dispuestas en el Artículo 79 de la Ley 142 de 1994. Así mismo, este cronograma deberá contener el programa de inicio, avance y ejecución de las inversiones propuestas y reconocidas para el primer año de acuerdo con lo previsto en el Anexo 1 de la presente resolución. De acuerdo con lo dispuesto en el inciso anterior, la fecha de inicio del cronograma corresponderá a la firmeza de la resolución de los cargos aprobados.
Igualmente, el distribuidor deberá enviar un informe semestral que contenga el porcentaje de avance de ejecución de obra con las inversiones realmente ejecutadas en comparación con el programa de inversión aprobado.
FÓRMULA TARIFARIA.
ARTÍCULO 8o. FÓRMULA TARIFARIA. La Fórmula Tarifaria aplicable al mercado relevante definido en el Artículo 1 de la presente resolución corresponderá a la establecida en el artículo 4o de la Resolución CREG 137 de 2013.
ARTÍCULO 9o. VIGENCIA DE LA FÓRMULA TARIFARIA. La fórmula tarifaria regirá a partir de la fecha en que la presente resolución quede en firme y durante el término de vigencia de las fórmulas tarifarias definidas en la Resolución CREG 137 de 2013. Vencido este período, las fórmulas tarifarias continuarán rigiendo mientras la Comisión no fije las nuevas, tal como está previsto en el Artículo 126 de la Ley 142 de 1994.
OTRAS DISPOSICIONES.
ARTÍCULO 10. NOTIFICACIÓN Y RECURSOS. La presente resolución deberá notificarse al representante legal de la empresa REDNOVA S.A.S. E.S.P. y publicarse en el Diario Oficial.
Contra las disposiciones contenidas en esta resolución procede el Recurso de Reposición, el cual podrá interponerse ante la Dirección Ejecutiva de la CREG dentro de los cinco (5) días hábiles siguientes a la fecha de su notificación Dada en Bogotá, DC.
Notifíquese, publíquese y cúmplase.
Dada en Bogotá, D. C., a 17 de julio de 2020.
El Presidente,
Miguel Lotero Robledo,
Viceministro de Energía Delegado del Ministro de Minas y Energía.
El Director Ejecutivo,
Jorge Alberto Valencia Marín.

El Presidente,
Miguel Lotero Robledo,
Viceministro de Energía Delegado del Ministro de Minas y Energía.
El Director Ejecutivo,
Jorge Alberto Valencia Marín.





El Presidente,
Miguel Lotero Robledo,
Viceministro de Energía Delegado del Ministro de Minas y Energía.
El Director Ejecutivo,
Jorge Alberto Valencia Marín.

El Presidente,
Miguel Lotero Robledo,
Viceministro de Energía Delegado del Ministro de Minas y Energía.
El Director Ejecutivo,
Jorge Alberto Valencia Marín.
NOTAS AL FINAL:
1. Se debe precisar que estas disposiciones se encuentran recogidas actualmente en los numerales 2.2.2.30 y siguientes del Decreto 1074 de 2015.
2. Ibidem.