RESOLUCIÓN 124 DE 2021
(agosto 25)
Diario Oficial No. 51.840 de 27 de octubre de 2021
COMISIÓN DE REGULACIÓN DE ENERGÍA Y GAS
Por la cual se aprueba el cargo de distribución por uso del sistema de distribución de Gas Licuado de Petróleo (GLP) por redes de tubería para el Mercado Relevante Especial conformado por los Centros Poblados Estación Cocorná y Puerto Perales Nuevo del Municipio de Puerto Triunfo, Departamento de Antioquia, según solicitud tarifaria presentada por la empresa ENERGY GAS S.A.S. E.S.P.
LA COMISIÓN DE REGULACIÓN DE ENERGÍA Y GAS,
en ejercicio de sus atribuciones constitucionales y legales, en especial las conferidas por la Ley 142 de 1994 y, en desarrollo de los Decretos 2253 de 1994 y 1260 de 2013, y
CONSIDERANDO QUE:
El numeral 14.28 del artículo 14 de la Ley 142 de 1994 definió el servicio público domiciliario de gas combustible como el conjunto de actividades ordenadas a la distribución de gas combustible, y estableció la actividad de comercialización como complementaria del servicio público domiciliario de gas combustible.
Según lo dispuesto por el artículo 28 de la Ley 142 de 1994, la construcción y operación de redes para la distribución de gas, así como el señalamiento de las tarifas por uso, se regirán exclusivamente por esa ley.
El numeral 73.11 del artículo 73 de la Ley 142 de 1994 atribuyó a la Comisión de Regulación de Energía y Gas la competencia para establecer las fórmulas para la fijación de las tarifas del servicio público domiciliario de gas combustible.
Según lo dispuesto en el numeral 88.1 del artículo 88 de la Ley 142 de 1994, la Comisión de Regulación de Energía y Gas podrá establecer topes máximos y mínimos tarifarios, de obligatorio cumplimiento por parte de las empresas.
El Artículo 126 de la Ley 142 de 1994 establece que, vencido el período de vigencia de las fórmulas tarifarias, estas continuarán rigiendo mientras la Comisión no fije las nuevas.
Mediante la Resolución CREG 137 de 2013 se establecieron las Fórmulas Tarifarias Generales para la prestación del servicio público domiciliario de gas combustible por redes de tubería a usuarios regulados.
A través de las Resoluciones CREG 202 de 2013, 138 de 2014, 090 y 132 de 2018, y 011 de 2020, se establecieron los criterios generales para remunerar la actividad de distribución de gas combustible por redes de tubería y se dictan otras disposiciones, en adelante la Metodología.
Mediante Circular CREG 030 de 2019 se divulgó el procedimiento a observar en el trámite de solicitudes tarifarias para la aprobación de cargos de distribución de gas combustible por redes de tubería.
En la Resolución CREG 025 de 2020 se establecen los valores de la Tasa de Descuento para la actividad de distribución de gas combustible.
La empresa ENERGY GAS S.A.S. E.S.P., a través de la comunicación radicada en la CREG bajo el número E-2021-002210 de 17 de febrero de 2021, de conformidad con lo establecido en el Numeral 5.2 de la Resolución CREG 202 de 2013, solicitó aprobación de cargos de distribución de Gas Licuado de Petróleo (GLP) por redes para el Mercado Relevante de Distribución Especial conformado como sigue:
| CÓDIGO DANE | CENTRO POBLADO | MUNICIPIO | DEPARTAMENTO |
| 5591003 | Estación Cocorná | Puerto Triunfo | Antioquia |
| 5591002 | Puerto Perales Nuevo | Puerto Triunfo | Antioquia |
En la solicitud presentada se allegaron las proyecciones de demanda, las proyecciones de gastos de administración operación y mantenimiento, AOM, y el programa de nuevas inversiones, clasificadas según el listado de unidades constructivas establecido en el Anexo número 8 de la metodología.
Igualmente, la empresa manifestó en su solicitud que el proyecto no cuenta con recursos públicos para la construcción de la infraestructura de distribución de gas por redes.
A través del aplicativo Apligas, dispuesto por la CREG para el correspondiente reporte de información de solicitudes tarifarias, la empresa confirmó su solicitud bajo el número 2475.
La Comisión verificó el cumplimiento de los requisitos establecidos en la Metodología, evidenciando que la información remitida con la solicitud presentada por ENERGY GAS S.A.S. E.S.P., no era suficiente para iniciar la actuación administrativa correspondiente. En consecuencia, mediante comunicación con radicado CREG S-2021-001718 del 29 de abril de 2021, se solicitó a la empresa:
“1. Listado de firmas de potenciales usuarios en el que se acredite que, al menos, el 80% de los usuarios potenciales del servicio de gas en el centro poblado está interesado en contar con el servicio. (Parágrafo 1 del Subnumeral 5.3 del Artículo 5 de la Metodología), considerando lo dispuesto en el numeral 2.3 de la Circular CREG 030 de 2019 al respecto.
2. Certificación de que los Centros Poblados de Estación Cocorná y Puerto Perales Nuevo, no se encuentran incluidos, por razones de distancia, dentro del plan de expansión(2) por parte de la empresa ALCANOS DE COLOMBIA S.A. E.S.P. que presta el servicio en Mercado Relevante al cual pertenece el Municipio de Puerto Triunfo, departamento de Antioquia (Numeral 5.3 del Artículo 5 de la metodología).
3. Documento que soporte los terrenos para las estaciones de regulación reportados como Otros Gastos de AOM”.
Mediante los radicados E-2021-005282 del 6 de mayo y E-2021-007049 del 18 de junio de 2021, la empresa ENERGY GAS S.A.S. E.S.P. atendió el requerimiento efectuado por la Comisión y allegó la información solicitada.
Mediante Auto I-2021-001487 proferido el día 27 de mayo de 2021, la Dirección Ejecutiva de la Comisión dispuso iniciar la respectiva actuación administrativa con fundamento en la solicitud presentada por la empresa ENERGY GAS S.A.S. E.S.P. para la aprobación de los cargos de distribución de Gas Licuado de Petróleo (GLP) por redes de tubería para el mercado relevante especial conformado por los Centros Poblados Estación Cocorná y Puerto Perales Nuevo del Municipio de Puerto Triunfo, departamento de Antioquia.
De acuerdo con lo establecido en Auto de inicio de la actuación administrativa y, conforme a lo dispuesto en el artículo 37 del Código de Procedimiento Administrativo y de lo Contencioso Administrativo, CPACA, con el fin de que los terceros interesados pudiesen hacerse parte en la respectiva actuación, se publicó en el Diario Oficial número 51.689 del 29 de mayo de 2021 el Aviso número 091 de 27 de mayo 2021, que contiene el resumen de la solicitud tarifaria presentada por la empresa ENERGY GAS S.A.S. E.S.P. para la aprobación de cargos de distribución de Gas Licuado de Petróleo (GLP) por redes de tubería.
A través del radicado CREG E-2021-008722 del 30 de julio de 2021, la empresa ENERGY GAS S.A.S. E.S.P. solicitó conocer el estado de la solicitud tarifaria del mercado de distribución especial conformado por los Centros Poblados Estación Cocorná y Puerto Perales Nuevo en el municipio de Puerto Triunfo, departamento de Antioquia.
Mediante radicado S-2021-003502 de 12 de agosto de 2021, la Comisión atendió el requerimiento efectuado por la empresa ENERGY GAS S.A.S. E.S.P.
Adicionalmente, mediante radicado CREG S-2021-003493 del 11 de agosto de 2021, la Comisión solicitó a la empresa ENERGY GAS S.A.S. E.S.P. remitir el concepto por parte de la Unidad de Planeación Minero Energética de que tratan los Subnumerales 9.8.3.2 y 9.8.3.3 del Artículo 9 de la metodología tarifaria de distribución de gas combustible por redes.
Mediante oficio con radicado CREG E-2021-009233 del 12 de agosto de 2021, el representante legal de la empresa remitió a la Comisión el concepto de la Unidad de Planeación Minero Energética, UPME, en el que dicha entidad indica que la metodología de proyección de demanda de gas propuesta por la empresa ENERGY GAS S.A.S. E.S.P. para los Centros Poblados Estación Cocorná y Puerto Perales Nuevo del municipio de Puerto Triunfo, departamento de Antioquia, cumple con los requerimientos contenidos en el Anexo 13 de la Resolución CREG 202 de 2013.
El Numeral 9.3 del Artículo 9o de la Resolución CREG 202 de 2013 establece lo siguiente:
“9.3. CARGOS DE DISTRIBUCIÓN EN SISTEMAS DE DISTRIBUCIÓN QUE NO TIENEN CONECTADOS USUARIOS A LA RED PRIMARIA.
Cuando un Sistema de Distribución tenga red primaria y secundaria, pero todos los usuarios estén conectados a la red secundaria se podrá determinar en ese Mercado Relevante un solo cargo de distribución que será aplicable a usuarios residenciales y a usuarios diferentes al de uso residencial. La canasta de tarifas de estos mercados debe excluir a los usuarios residenciales”.
Dado que el sistema de distribución presentado por la empresa ENERGY GAS S.A.S. E.S.P. para el mercado relevante especial solicitado cuenta con red primaria y secundaria, y todos sus usuarios están conectados a la red secundaria, se determinará para este mercado relevante especial un solo cargo de distribución que será aplicable a los usuarios de uso residencial y usuarios diferentes al uso residencial.
De esta manera, como resultado del análisis de la información presentada a la Comisión por ENERGY GAS S.A.S. E.S.P. bajo radicados CREG E-2021-002210, E-2021-005282 y E-2021-007049, se realizaron los ajustes pertinentes a la información requerida para el cálculo del cargo de distribución de que trata la Metodología contenida en las Resoluciones CREG 202 de 2013, 138 de 2014, 090 y 132 de 2018, y 011 de 2020, según se relacionan con su respectivo sustento en el documento soporte de la presente resolución.
El análisis de la solicitud tarifaria y los cálculos correspondientes efectuados por parte de la Comisión de Regulación de Energía y Gas, así como las consideraciones que soportan la presente Resolución, están contenidos en el Documento CREG-101 de 2021.
Con base en lo establecido en el Artículo 4o del Decreto 2897 de 2010(1), reglamentario de la Ley 1340 de 2009, la Comisión respondió el cuestionario establecido por la Superintendencia de Industria y Comercio, SIC, a efectos de evaluar la incidencia sobre la libre competencia de los mercados, donde aplicando las reglas allí previstas, la respuesta al conjunto de preguntas fue negativa, en la medida en que no plantea ninguna restricción indebida a la libre competencia, el cual se encuentra en el Documento CREG-101 de 2021.
Teniendo en cuenta la respuesta al cuestionario y, dado que la presente Resolución contiene un desarrollo y aplicación de la metodología y criterios generales para determinar la remuneración de la actividad de distribución de gas combustible establecidos en la Metodología contenida en las resoluciones CREG 202 de 2013, 138 de 2014, 090 y 132 de 2018, y 011 de 2020, el presente acto administrativo de carácter particular no requiere ser remitido a la SIC para los efectos establecidos en el artículo 7o de la Ley 1340 de 2009, reglamentado por el Decreto 2897 de 2010, por no tener incidencia sobre la libre competencia(2).
La Comisión de Regulación de Energía y Gas, en su sesión número 1117 del 25 de agosto de 2021, aprobó expedir la presente Resolución y, en consecuencia,
RESUELVE:
CARGO DE DISTRIBUCIÓN.
ARTÍCULO 1o. MERCADO RELEVANTE DE DISTRIBUCIÓN ESPECIAL PARA EL SIGUIENTE PERÍODO TARIFARIO. Conforme a lo definido en el Numeral 5.2 de la Metodología contenida en la Resolución CREG 202 de 2013, 138 de 2014, 090 y 132 de 2018, y 011 de 2020, se aprueba el Mercado Relevante de Distribución Especial para el Siguiente Período Tarifario correspondiente a un Nuevo Mercado Relevante de Distribución conformado por los siguientes Centros Poblados:
| CÓDIGO DANE | CENTRO POBLADO | MUNICIPIO | DEPARTAMENTO |
| 5591003 | Estación Cocorná | Puerto Triunfo | Antioquia |
| 5591002 | Puerto Perales Nuevo | Puerto Triunfo | Antioquia |
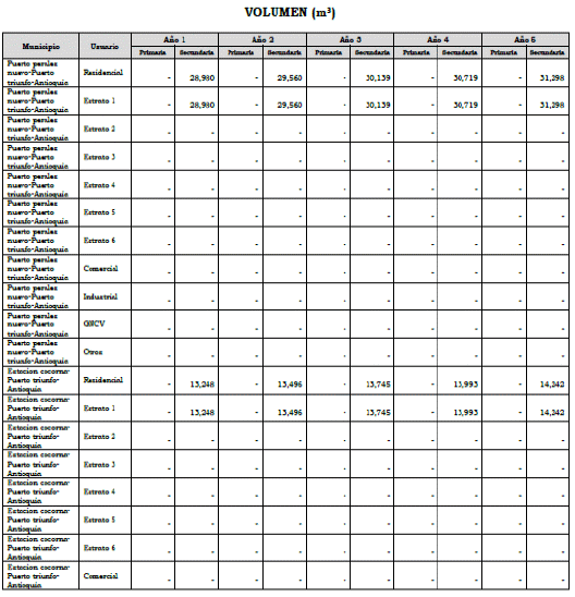
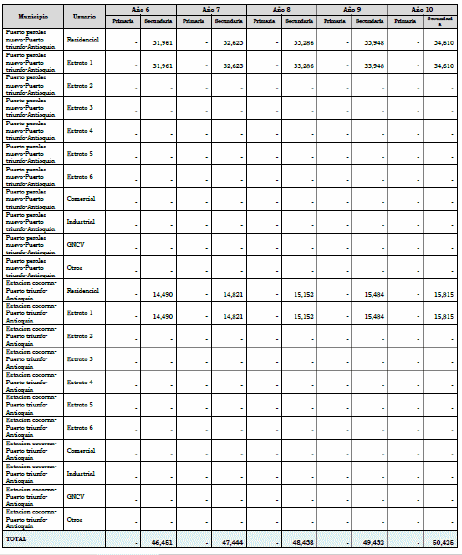
ARTÍCULO 2o. DEMANDAS DE VOLUMEN. Para el cálculo tarifario se utilizó la Demanda de Volumen para el horizonte de proyección presentada en el Anexo 2 de esta Resolución.
ARTÍCULO 3o. INVERSIÓN BASE. La Inversión Base para determinar los cargos de distribución para el Mercado Relevante de Distribución Especial definido en el Artículo 1 de esta Resolución se compone como se indica a continuación:
3.1. Programa de Nuevas Inversiones para Municipios Nuevos (INPI). El Programa de Nuevas Inversiones corresponde a un valor de $1,261,193,626 ($ a 31 de diciembre de 2020), y su descripción se presenta en el Anexo 1 de la presente resolución.
Aplicando la Metodología, se calcularon las siguientes variables principales para la componente que remunera la inversión base aplicable a usuarios de uso residencial y a usuarios diferentes a los de uso residencial:

ARTÍCULO 4o. GASTOS DE ADMINISTRACIÓN, OPERACIÓN Y MANTENIMIENTO (AOM). Una vez ajustada la proyección de gastos de AOM reportada por la empresa con el menor de los crecimientos anuales entre el del gasto de AOM y el de la demanda, se determina un porcentaje de gastos de AOM eficiente a reconocer para el mercado relevante de distribución especial para el siguiente período tarifario de 6.76%, y un factor de ajuste %FAproyecciónAOM de 100%. En el Anexo 3 de esta resolución se presentan los gastos de AOM ajustados para cada año del Horizonte de Proyección:
| Componente | Año 2021 | Año 2022 en adelante |
| Valor Presente AOM, con nivel de eficiencia | 499,020,137 | 504,071,324 |
Cifras en pesos del 31 de diciembre de 2020.
Aplicando la Metodología vigente, se calcularon las siguientes variables principales para la componente que remunera los gastos de AOM, aplicable a usuarios de uso residencial y a usuarios diferentes a los de uso residencial:

ARTÍCULO 5o. CARGO DE DISTRIBUCIÓN APLICABLE A LOS USUARIOS DE USO RESIDENCIAL. A partir de la vigencia de la presente resolución, el cargo de distribución aplicable a los usuarios de uso residencial en el Mercado Relevante Especial definido en el Artículo 1 para recuperar los costos de inversión y los gastos de AOM para la distribución domiciliaria de gas combustible por redes de tubería se fija de la siguiente manera:
Usuarios de Uso Residencial
| Componente | 2021 | 2022 en adelante | |
| Cargo de distribución Total | $/m3 | 4,601.98 | 4,570.87 |
| Componente de Inversión | $/m3 | 3,205.13 | 3,175.09 |
| Componente Gastos AOM | $/m3 | 1,396.85 | 1,395.77 |
Cifras en pesos del 31 de diciembre de 2020.
PARÁGRAFO. El Cargo de Distribución establecido en el presente artículo se actualizará de conformidad con lo establecido en el artículo 12 de la Metodología contenida en las Resoluciones CREG 202 de 2013, 138 de 2014, 090 y 132 de 2018, y 011 de 2020.
ARTÍCULO 6o. CARGO DE DISTRIBUCIÓN APLICABLE A LOS USUARIOS DIFERENTES A LOS DE USO RESIDENCIAL. A partir de la vigencia de la presente resolución, el cargo de distribución aplicable a los usuarios diferentes a los de uso residencial en el Mercado Relevante Especial definido en el artículo 1 para recuperar los costos de inversión y los gastos de AOM para la distribución domiciliaria de gas combustible por redes de tubería se fija de la siguiente manera:
Usuarios Diferentes de Uso Residencial
| Componente | 2021 | 2022 en adelante | |
| Cargo de distribución Total | $/m3 | 4,601.98 | 4,570.87 |
| Componente de inversión empresa | $/m3 | 3,205.13 | 3,175.09 |
| Componente Gastos AOM | $/m3 | 1,396.85 | 1,395.77 |
Cifras en pesos del 31 de diciembre de 2020.
PARÁGRAFO. El Cargo de Distribución establecido en el presente artículo se actualizará de conformidad con lo establecido en el artículo 12 de la Metodología.
ARTÍCULO 7o. VIGENCIA DE LOS CARGOS DE DISTRIBUCIÓN APLICABLES A LOS USUARIOS DE USO RESIDENCIAL Y A USUARIOS DIFERENTES A LOS DE USO RESIDENCIAL. Los Cargos de Distribución aplicables a los Usuarios de Uso Residencial y a los Usuarios Diferentes a los de Uso Residencial, estarán vigentes por un término de cinco (5) años contados desde la fecha en que quede en firme la presente resolución. Vencido el período de vigencia de los cargos regulados, estos continuarán rigiendo hasta que la Comisión apruebe los nuevos, tal como está previsto en el artículo 126 de la Ley 142 de 1994.
PARÁGRAFO. Conforme a lo dispuesto en el Parágrafo del artículo 7o de la Metodología contenida en las Resoluciones CREG 202 de 2013, 138 de 2014, 090 y 132 de 2018, y 011 de 2020, si transcurridos doce (12) meses desde la fecha en que haya quedado en firme la presente resolución, el Distribuidor no ha iniciado la construcción del respectivo Sistema de Distribución, los cargos aprobados, así como la totalidad de lo dispuesto en la presente resolución, perderán su vigencia.
Se entenderá que el Distribuidor no ha iniciado la construcción del respectivo Sistema de Distribución si, doce (12) meses después de que hayan quedado en firme los cargos aprobados en la presente resolución, no ha ejecutado al menos un cincuenta por ciento (50%) de las inversiones propuestas para el primer año de inversión.
Para estos efectos, dentro de los quince (15) días hábiles siguientes a la fecha en que quede en firme la presente resolución, el distribuidor deberá remitir a la Superintendencia de Servicios Públicos Domiciliarios (SSPD), con copia a la CREG, un cronograma en donde se especifique la fecha de inicio de la construcción del Sistema de Distribución, hasta la fecha de su entrada en operación, a efectos de que la Superintendencia de Servicios Públicos Domiciliarios pueda llevar a cabo sus funciones de inspección, vigilancia y control dispuestas en el artículo 79 de la Ley 142 de 1994. Así mismo, este cronograma deberá contener el programa de inicio, avance y ejecución de las inversiones propuestas y reconocidas para el primer año de acuerdo con lo previsto en el Anexo 1 de la presente resolución. De acuerdo con lo dispuesto en el inciso anterior, la fecha de inicio del cronograma corresponderá a la firmeza de la resolución de los cargos aprobados.
Igualmente, el distribuidor deberá enviar un informe semestral que contenga el porcentaje de avance de ejecución de obra con las inversiones realmente ejecutadas, en comparación con el programa de inversión aprobado.
FÓRMULA TARIFARIA.
ARTÍCULO 8o. FÓRMULA TARIFARIA. La Fórmula Tarifaria aplicable al mercado relevante especial definido en el artículo 1 de la presente Resolución corresponderá a la establecida en el artículo 4o de la Resolución CREG 137 de 2013.
ARTÍCULO 9o. VIGENCIA DE LA FÓRMULA TARIFARIA. La fórmula tarifaria regirá a partir de la fecha en que la presente resolución quede en firme, y durante el término de vigencia de las fórmulas tarifarias definidas en la Resolución CREG 137 de 2013. Vencido este período, las fórmulas tarifarias continuarán rigiendo mientras la Comisión no fije las nuevas, tal como está previsto en el artículo 126 de la Ley 142 de 1994.
OTRAS DISPOSICIONES.
ARTÍCULO 10. NOTIFICACIÓN Y RECURSOS. La presente resolución deberá notificarse al representante legal de la empresa ENERGY GAS S.A.S. E.S.P. y, una vez en firme, deberá publicarse en el Diario Oficial.
Contra las disposiciones contenidas en esta resolución procede el Recurso de Reposición, el cual podrá interponerse ante la Dirección Ejecutiva de la CREG dentro de los cinco (5) días hábiles siguientes a la fecha de su notificación
Notifíquese, publíquese y cúmplase.
Dada en Bogotá, D. C., a 25 de agosto de 2021.
El Presidente,
Miguel Lotero Robledo.
Ministro de Minas y Energía (e).
El Director Ejecutivo,
Jorge Alberto Valencia Marín.
PROGRAMA DE NUEVAS INVERSIONES.

(Valores expresados en de pesos del 31 de diciembre de 2020)
El Presidente,
Miguel Lotero Robledo.
Ministro de Minas y Energía (e).
El Director Ejecutivo,
Jorge Alberto Valencia Marín.
PROYECCIONES DE USUARIOS Y DEMANDA.













El Presidente,
Miguel Lotero Robledo.
Ministro de Minas y Energía (e).
El Director Ejecutivo,
Jorge Alberto Valencia Marín.
PROYECCIÓN DE GASTOS AOM (ADMINISTRACIÓN, OPERACIÓN Y MANTENIMIENTO).


El Presidente,
Miguel Lotero Robledo.
Ministro de Minas y Energía (e).
El Director Ejecutivo,
Jorge Alberto Valencia Marín.
NOTAS AL FINAL:
1. Se debe precisar que estas disposiciones se encuentran recogidas actualmente en los numerales 2.2.2.30 y siguientes del Decreto 1074 de 2015.
2. Ibidem.