RESOLUCIÓN 3 DE 2021
(enero 14)
Diario Oficial No. 51.557 de 14 de enero de 2021
COMISIÓN DE REGULACIÓN DE ENERGÍA Y GAS
<Vigente el 30 de junio de 2027>
Fórmula para el cálculo de los subsidios aplicables al consumo de energía eléctrica y gas combustible por red de tubería de los usuarios residenciales de estrato 1 y 2.
LA COMISIÓN DE REGULACIÓN DE ENERGÍA Y GAS
En ejercicio de sus atribuciones legales, en especial las conferidas por las leyes 142 y 143 de 1994 y en desarrollo de los Decretos 1524 y 2253 de 1994 y 1260 de 2013, y
CONSIDERANDO QUE:
De conformidad con lo establecido en el artículo 74 de la Ley 142 de 1994, corresponde a la Comisión de Regulación de Energía y Gas regular el ejercicio de las actividades de los sectores de energía y gas combustible.
El artículo 14.29 de la Ley 142 de 1994 define el “subsidio” como la “diferencia entre lo que se paga por un bien o servicio, y el costo de éste, cuando tal costo es mayor al pago que se recibe”.
En cumplimiento del artículo 116 de la Ley 812 de 2003, la Comisión de Regulación de Energía y Gas expidió las resoluciones CREG 108 de 2003 y 040 de 2004, para el otorgamiento de subsidios en la forma dispuesta en dicha Ley.
Así mismo, para dar cumplimiento a lo establecido en el artículo 3 de la Ley 1117 de 2006, la Comisión de Regulación de Energía y Gas expidió las resoluciones CREG 001 de 2007 y 006 de 2007, para el otorgamiento de subsidios en la forma dispuesta en esta Ley.
Posteriormente, mediante la Ley 1428 de 2010, se modificó el artículo 3 de la Ley 1117 de 2006, quedando así:
“ARTÍCULO PRIMERO: El artículo 3o de la Ley 1117 de 2006 quedará así:
“Artículo 3. APLICACIÓN DE SUBSIDIOS. La aplicación de subsidios al costo de prestación del servicio público domiciliario de energía eléctrica y de gas combustible para uso domiciliario distribuido por red de tuberías de los usuarios pertenecientes a los estratos socioeconómicos 1 y 2 a partir del mes de enero de 2011 hasta diciembre de 2014, deberá hacerse de tal forma que el incremento tarifario a estos usuarios en relación con sus consumos básicos o de subsistencia corresponda en cada mes como máximo a la variación del Índice de Precios al Consumidor, sin embargo, en ningún caso el porcentaje del subsidio será superior al 60% del costo de la prestación del servicio para el estrato 1 y al 50% de este para el estrato 2.
Los porcentajes máximos establecidos en el presente artículo no aplicarán para el servicio de energía eléctrica de las zonas no interconectadas.
La Comisión de Regulación de Energía y Gas, CREG, ajustará la regulación para incorporar lo dispuesto en este artículo a más tardar el 31 de diciembre de 2010. Este subsidio podrá ser cubierto con recursos de los Fondos de Solidaridad, aportes de la Nación y/o de las Entidades Territoriales.
PARÁGRAFO. En los servicios públicos domiciliarios de Energía y Gas combustible por red de tuberías se mantendrá en el régimen establecido en la Ley 142 de 1994 para la aplicación del subsidio de estrato 3”.
Conforme a lo dispuesto en la Ley 1428 de 2010 la CREG, mediante la Resolución CREG 186 de 2010, incorporó lo dispuesto en esta ley, y consideró, para los casos de mercados nuevos de los servicios de energía eléctrica y gas combustible por red de tubería, aplicar para el mes de inicio de la prestación del servicio los porcentajes establecidos en el artículo 99.6 de la Ley 142 de 1994, y a partir de los meses siguientes, lo establecido en el Artículo Primero de la Ley 1428 de 2010 desarrollado por la presente Resolución. Esto considerando que la mencionada ley asume la existencia de una tarifa previa, en la medida en que se refiere al incremento tarifario para los usuarios.
La Resolución CREG 186 de 2013 modificó lo establecido en la Resolución CREG 186 de 2010 para el servicio de gas combustible por redes de tubería, teniendo en cuenta que mediante la Resolución CREG 137 de 2013 se definieron las fórmulas tarifarias aplicables al servicio de gas combustible por redes de tubería.
Mediante la Ley 1739 de 2014 “Por medio de la cual se modifica el Estatuto Tributario, la Ley 1607 de 2012, se crean mecanismos de lucha contra la evasión y se dictan otras disposiciones”, artículo 76, se prorrogó lo estipulado en la Ley 1428 de 2010 hasta el 31 de diciembre de 2015. En consecuencia, la Comisión amplió la vigencia de la aplicación de la Resolución CREG 186 de 2010, modificada por la Resolución CREG 186 de 2013, hasta el 31 de diciembre de 2015, lo cual se hizo mediante la Resolución CREG 186 de 2014.
Posteriormente, mediante el artículo 17 de la Ley 1753 de 2015 “por la cual se expide el Plan Nacional de Desarrollo 2014-2018 “Todos por un nuevo país””, se determinó que los subsidios establecidos en el artículo 3o de la Ley 1117 de 2006, prorrogados a su vez por el artículo 1o de la Ley 1428 de 2010 y por el artículo 76o de la Ley 1739 de 2014, se prorrogan, como máximo, hasta el 31 de diciembre de 2018.
De acuerdo con lo dispuesto en la anterior norma, mediante la Resolución CREG 241 de 2015 se dio cumplimiento a lo establecido en el artículo 17 de la Ley 1753 de 2015, en relación con la aplicación de los subsidios a los usuarios de estratos 1 y 2 de los servicios de energía eléctrica y gas combustible por redes de tubería, y amplió la vigencia de la aplicación de la Resolución CREG 186 de 2010, modificada por la Resolución CREG 186 de 2013, hasta el 31 de diciembre de 2018.
La Ley 1940 del 26 de noviembre de 2018 “Por la cual se decreta el Presupuesto de Rentas y Recursos de Capital y Ley de Apropiaciones para la Vigencia Fiscal del 1o. de enero al 31 de diciembre de 2019”, en su artículo 125, prorrogó Los subsidios establecidos en el artículo 3o de la Ley 1117 de 2006, prorrogados por el artículo 1o de la Ley 1428 de 2010, asimismo por el artículo 76 de la Ley 1739 de 2014, y por el artículo 17 de la Ley 1753 de 2015, se prorrogan hasta el 31 de diciembre de 2019.
En consecuencia, la Comisión, mediante la Resolución 152 del 28 de diciembre de 2018, prorrogó la vigencia de la aplicación de la Resolución CREG 186 de 2010, modificada por la Resolución CREG 186 de 2013, y ampliada mediante las resoluciones CREG 186 de 2014 y 241 de 2015, hasta el 31 de diciembre de 2019.
La Ley 1955 de 2019 Por el cual se expide el Plan Nacional de Desarrollo 2018-2022, en su Artículo 297, dispone: SUBSIDIOS DE ENERGÍA ELÉCTRICA Y GAS. Los subsidios establecidos en el artículo 3o de la Ley 1117 de 2006, prorrogados a su vez por el artículo 1o de la Ley 1428 de 2010, además por el artículo 76 de la Ley 1739 de 2014 y por el artículo 17 de la Ley 1753 de 2015 se prorrogan, como máximo, hasta el 31 de diciembre de 2022.
Conforme a lo dispuesto en la Ley 1955 de 2019, se hacía necesario prorrogar nuevamente el plazo de la vigencia de la aplicación de la Resolución CREG 186 de 2010, modificada por la Resolución CREG 186 de 2013, y ampliada mediante las resoluciones CREG 186 de 2014, 241 de 2015 y 152 de 2018, como máximo hasta el 31 de diciembre de 2022.
Mediante la Resolución 182 del 11 de diciembre de 2019, la Comisión hizo público el proyecto de resolución mediante el cual se prorroga hasta el 31 de diciembre de 2022 la vigencia de Resolución 186 de 2010, modificada por la Resolución CREG 186 de 2013, y no recibió ningún comentario sobre el mismo.
Teniendo en cuenta que era posible que los subsidios al consumo de los servicios públicos domiciliarios de energía eléctrica y gas combustible que se aplican a los usuarios de menores ingresos podrían ser modificados antes del 31 de diciembre de 2022, de acuerdo con los estudios que desarrolle el Gobierno Nacional, razón por la cual, la Comisión encontró conveniente prorrogar la aplicación de la Resolución 186 de 2010, modificada por la Resolución 186 de 2013, hasta el 31 de diciembre de 2020, inicialmente, y en este sentido expidió la Resolución CREG 198 de 2019.
La Resolución CREG 186 de 2010, modificada por la Resolución CREG 186 de 2013, y ampliada mediante las resoluciones CREG 186 de 2014, 241 de 2015, 152 de 2018, y 198 de 2019, no fue prorrogada antes del 31 de diciembre de 2020 como se estableció en el artículo 2 de esta última resolución.
Mediante la Resolución 104 de 5 de junio de 2020, la Comisión modificó de manera transitoria el artículo 7 de la Resolución 186 de 2010, estableciendo la fórmula aplicable mientras dure el estado de emergencia sanitaria declarado por el Ministerio de Salud y Protección social mediante la Resolución 385 de 2020 y sus modificatorios.
Mediante la Resolución 2230 de 27 de noviembre de 2020, el Ministerio de Salud y Protección Social prorrogó la emergencia sanitaria en todo el territorio nacional, declarada mediante la Resolución 385 de 2020, y prorrogada por las resoluciones 844 y 1462 de 2020, hasta el 28 de febrero de 2021. Por tanto, durante el período de vigencia de la emergencia sanitaria se debe continuar aplicando la fórmula establecida en la Resolución CREG 104 de 2020.
No se han producido cambios normativos, ni decisiones de política pública que justifiquen modificar la fórmula establecida en la Resolución 186 de 2010, modificada por la Resolución 186 de 2013, pero, ante la pérdida de vigencia de los actos administrativos antes citados, se requiere ratificar la fórmula para el cálculo de los subsidios aplicable desde enero de 2021.
Es posible que los subsidios al consumo de los servicios públicos domiciliarios de energía eléctrica y gas combustible que se aplican a los usuarios de menores ingresos pueden ser focalizados de forma diferente a como funciona actualmente, antes del 31 de diciembre de 2022, de acuerdo con los estudios que se han desarrollado, razón por la cual la prórroga de la vigencia de las fórmulas se hará hasta el 31 de diciembre de 2021.
Que la Resolución 198 de 2019 cumplió con el proceso de consulta pública que ordena el Decreto 2696 de 2004, incorporado en el Decreto Único Reglamentario 1078 de 2015, incluida la posibilidad de prorrogar su vigencia.
La Comisión de Regulación de Energía y Gas, en su Sesión 1074 del 13 y 14 de enero de 2021, acordó expedir la presente resolución.
RESUELVE:
ARTÍCULO 1. A partir de la fecha de vigencia de la presente resolución, los prestadores del servicio público domiciliario de energía eléctrica y los prestadores del servicio público domiciliario de distribución de gas combustible por red de tubería calcularán los subsidios aplicables al consumo de los usuarios residenciales de estrato 1 y 2, aplicando las fórmulas, variables y disposiciones que se establecen en la presente resolución.
ARTÍCULO 2. DEFINICIÓN DE VARIABLES. Las variables o componentes utilizadas en esta Resolución deberán entenderse en la forma como se define a continuación:
| Mes para el cual se calcula la tarifa. | |
| Primer mes de aplicación del subsidio de que trata la presente resolución. | |
| Consumo de Subsistencia. | |
| Costo de Prestación del Servicio para el mes de inicio mi. | |
| Costo de Prestación del Servicio para el mes de cálculo mc. | |
| Porcentaje de Subsidio para el estrato e, calculado para el mes de cálculo mc. | |
| Porcentaje de Subsidio para el estrato e, calculado para el primer mes de aplicación del subsidio de que trata la presente resolución. | |
| Tarifa a aplicar en el mes de inicio para el estrato e, en el rango de consumo entre cero (0) y el CS. | |
| Tarifa a aplicar en el mes de cálculo para el estrato e, en el rango de consumo entre cero (0) y el CS. | |
| Estrato socioeconómico uno (1) ó dos (2). | |
| Índice de Precios al Consumidor publicado por el DANE. |
Para cada servicio público domiciliario, el Costo de Prestación del Servicio
, se entenderá como:
| Energía Eléctrica Sistema Interconectado Nacional (Resolución CREG-119 de 2007 o aquellas que la modifiquen, aclaren o sustituyan) | ||
![]() Donde: | ||
| Componente variable del Costo Unitario de Prestación del Servicio ($/kWh) para los usuarios conectados al nivel de tensión n, correspondiente al mes m, del Comercializador Minorista i, en el Mercado de Comercialización j calculado conforme a la Resolución CREG 119 de 2007 o aquellas que la modifiquen, aclaren o sustituyan. | ||
| Componente fija del Costo Unitario de Prestación del Servicio ($/factura) correspondiente al mes m para el Mercado de Comercialización j calculado conforme a la Resolución CREG 119 de 2007 o aquellas que la modifiquen, aclaren o sustituyan. | ||
| Consumo promedio facturado de cero hasta el consumo de subsistencia para el mes anterior al de inicio o de cálculo m, correspondiente al estrato e, nivel de tensión n, comercializador minorista i, y mercado de comercialización j. | ||
| Gas Combustible por Red de Tuberías (Resolución CREG-137 de 2013 o aquellas que las modifiquen, aclaren o sustituyan) | ||
![]() Donde: | ||
| Componente variable del Costo Unitario de Prestación del Servicio Público de Gas Combustible por redes de tubería expresado en ($/m3), aplicable en el mes m a los usuarios del Mercado Relevante de Comercialización i y atendidos por el comercializador j. | ||
| Componente fijo del Costo Unitario de Prestación del Servicio Público de Gas Combustible por Redes de Tubería expresado en ($/factura) aplicable en el mes m a los usuarios del Mercado Relevante de Comercialización i y atendidos por el comercializador j. | ||
| Consumo promedio facturado de cero hasta el consumo de subsistencia para el mes anterior al de inicio o de cálculo m, correspondiente al estrato e del Mercado Relevante de Comercialización i y atendido por el comercializador j. | ||
PARÁGRAFO 1: Se entiende como Tarifa el valor resultante de aplicar al Costo de Prestación del Servicio el factor de subsidio o contribución que corresponda al usuario y la cual se ve reflejada en la factura.
PARÁGRAFO 2: En caso de que el valor de
o
sea igual a cero, dicho valor se tomará igual al consumo de subsistencia correspondiente.
ARTÍCULO 3. CÁLCULO DEL PORCENTAJE DE SUBSIDIO. El porcentaje de subsidio de las tarifas de los usuarios de estratos 1 y 2 de los servicios de energía eléctrica y de gas combustible por red de tubería se calculará de la siguiente forma:

PARÁGRAFO 1. El subsidio expresado en pesos, que se discriminará en la factura del usuario, se determinará con la siguiente fórmula:

Donde:
| Corresponde al Consumo facturado de cero hasta el consumo de subsistencia del usuario del estrato e, en el mes de cálculo. |
PARAGRAFO 2. Teniendo en cuenta lo dispuesto por la Ley 142 de 1994 y la 1428 de 2010, para los casos en que la
sea mayor que el
el usuario debe pagar sólo el valor correspondiente
, esto con el fin de evitar que usuarios de estrato 1 y 2 se encuentren pagando contribución sin ser sujeto de ello de acuerdo con lo dispuesto en la Ley 142 de 1994.
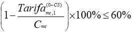
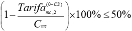
ARTÍCULO 4o. LÍMITE MÁXIMO DE SUBSIDIO. Los porcentajes de subsidio para los usuarios de estrato 1 y 2 de los servicios de energía eléctrica y de gas combustible en relación con sus consumos básicos o de subsistencia deberán ser como máximo del 60% del Costo de prestación del servicio para el estrato 1 y como máximo del 50% para el estrato 2, así:
| Estrato 1 | ![]() |
| Estrato 2 | ![]() |
PARÁGRAFO. De conformidad con la Ley 1428 de 2010, los porcentajes máximos establecidos en el presente artículo no aplicarán para el servicio de energía eléctrica de las zonas no interconectadas.
ARTÍCULO 5o. TARIFA CALCULADA EN EL MES DE INICIO PARA EL CONSUMO DE BÁSICO O DE SUBSISTENCIA. Para enero de 2011, los prestadores del servicio ajustarán las tarifas aplicadas en el mes de diciembre de 2010 de los usuarios de estratos 1 y 2 de los servicios públicos de energía eléctrica y de gas combustible, de acuerdo con la siguiente fórmula:

PARÁGRAFO 1: Las tarifas aplicables a los usuarios de estrato 1 y 2 de los servicios de energía eléctrica y de gas combustible en mercados nuevos de comercialización para su primer mes de inicio se calcularán conforme las siguientes fórmulas:
| Estrato 1: | |
| Estrato 2: |
ARTÍCULO 6o. VERIFICACIÓN DEL LÍMITE MÁXIMO DE SUBSIDIO PARA EL MES DE INICIO. Una vez se ajuste la tarifa conforme a lo definido en el artículo anterior, se comprobará que el porcentaje de subsidio de la tarifa en relación con el costo de prestación del servicio sea menor o igual al límite máximo de subsidios para cada estrato, en cuyo caso, la tarifa aplicable será la calculada conforme con el artículo 5o de la presente resolución.
En el caso que las tarifas impliquen el otorgamiento de subsidios por encima del 60% en el estrato 1 y 50% en el estrato 2, la tarifa a aplicar a los usuarios de los estratos 1 y 2 será la resultante de ajustar el costo de prestación de servicio del mes de cálculo a estos valores de la siguiente manera:
| Estrato 1: | |
| Estrato 2: |
ARTÍCULO 7o. CÁLCULO MENSUAL DE LA TARIFA DEL CONSUMO DE SUBSISTENCIA PARA LOS USUARIOS DE ESTRATO 1 Y 2. La tarifa aplicable a los usuarios de estratos 1 y 2 de energía eléctrica y de gas combustible en los meses posteriores al mes de inicio, se hará de acuerdo con la siguiente fórmula:

PARÁGRAFO 1: Cuando en un mercado existente un comercializador no haya atendido usuarios de estrato e, la tarifa aplicable en el mes mc será la que resulte de aplicar al costo de prestación del servicio del nuevo comercializador, el mismo porcentaje de subsidio del mes anterior aplicable al comercializador incumbente.
ARTÍCULO 8o. VERIFICACIÓN MENSUAL DEL LÍMITE MÁXIMO DE SUBSIDIOS. Una vez se ajuste la tarifa conforme a lo definido en el artículo anterior, se comprobará que el porcentaje de subsidio de la tarifa en relación con el costo de prestación del servicio sea menor o igual al límite máximo de subsidios para cada estrato, en cuyo caso, la tarifa aplicable será la calculada conforme con el artículo 7o de la presente resolución.
En el caso que las tarifas impliquen el otorgamiento de subsidios por encima del 60% en el estrato 1 y 50% en el estrato 2, la tarifa a aplicar a los usuarios de los estratos 1 y 2 de los servicios públicos de energía eléctrica y de gas combustible por red de tubería será la resultante de ajustar el costo de prestación de servicio del mes de cálculo a estos valores de la siguiente manera:
| Estrato 1: | |
| Estrato 2: |
ARTÍCULO 9: APLICACIÓN TRANSITORIA DURANTE EL ESTADO DE EMERGENCIA SANITARIA. Mientras dure el estado de emergencia declarado por el Ministerio de Salud y Protección social mediante la Resolución 385 de 2020 y sus modificatorios, la tarifa aplicable a los usuarios de estratos 1 y 2 de energía eléctrica y de gas combustible en el consumo de subsistencia, en los meses posteriores al mes de inicio, se hará de acuerdo con la siguiente fórmula:

PARÁGRAFO: Cuando, en un mercado existente, un comercializador no haya atendido usuarios de estrato e, la tarifa aplicable en el mes mc será la que resulte de aplicar al costo de prestación del servicio del nuevo comercializador, el mismo porcentaje de subsidio del mes anterior aplicable al comercializador incumbente.
ARTÍCULO 10. Siempre que el Ministerio de Minas y Energía disponga la aplicación del incremento de 10 puntos porcentuales al porcentaje de subsidio al consumo del servicio público domiciliario de gas combustible por red de los estratos 1 y 2, en desarrollo del Artículo 10 del Decreto 798 de 2020, se aplicarán las disposiciones y fórmulas que establece la Resolución 163 de 2020.
ARTÍCULO 11. VIGENCIA. <Ver prórrogas en Notas de Vigencia> La presente resolución regirá desde su publicación en el Diario Oficial y perderá su vigencia el 31 de diciembre de 2021.
PUBLÍQUESE Y CÚMPLASE
Bogotá D.C, 14 de enero de 2021
MIGUEL LOTERO ROBLEDO
Viceministro de Energía, Delegado del
Ministro de Minas y Energía
Presidente
JORGE ALBERTO VALENCIA MARÍN
Director Ejecutivo



