RESOLUCIÓN 502 005 DE 2023
(enero 18)
<Fuente: Archivo interno entidad emisora>
Diario Oficial No. 52.396 de 15 de mayo de 2023
COMISIÓN DE REGULACIÓN DE ENERGÍA Y GAS
Por la cual se aprueba el cargo de distribución por uso del sistema de distribución de Gas Licuado de Petróleo (GLP) por redes de tubería para el mercado relevante especial conformado por los centros poblados de Chimbí, Bombote y La Cajita en el municipio de Melgar, departamento de Tolima, según solicitud tarifaria presentada por la empresa Interamericana de Energía y Gas (INERGAS S. A. S. E.S.P.).
LA COMISIÓN DE REGULACIÓN DE ENERGÍA Y GAS,
en ejercicio de sus atribuciones constitucionales y legales, en especial las conferidas por la Ley 142 de 1994 y, en desarrollo de los Decretos 2253 de 1994 y 1260 de 2013, y
CONSIDERANDO QUE:
El numeral 14.28 del artículo 14 de la Ley 142 de 1994 definió el servicio público domiciliario de gas combustible en los siguientes términos: “Es el conjunto de actividades ordenadas a la distribución de gas combustible, por tubería u otro medio, desde un sitio de acopio de grandes volúmenes o desde un gasoducto central hasta la instalación de un consumidor final, incluyendo su conexión y medición. También se aplicará esta Ley a las actividades complementarias de comercialización desde la producción y transporte de gas por un gasoducto principal, o por otros medios, desde el sitio de generación hasta aquel en donde se conecte a una red secundaria”.
Según lo dispuesto por el artículo 28 de la Ley 142 de 1994, la construcción y operación de redes para la distribución de gas, así como el señalamiento de las tarifas por uso, se regirán exclusivamente por esa Ley.
El numeral 73.11 del artículo 73 de la Ley 142 de 1994 atribuyó a la Comisión de Regulación de Energía y Gas (CREG), la competencia para establecer las fórmulas para la fijación de las tarifas del servicio público domiciliario de gas combustible.
El numeral 87.9 del artículo 87 de la Ley 142 de 1994, modificado por el artículo 99 de la Ley 1450 de 2011, señala que: “Las entidades públicas podrán aportar bienes o derechos a las empresas de servicios públicos domiciliarios, siempre y cuando su valor no se incluya en el cálculo de las tarifas que hayan de cobrarse a los usuarios y que en el presupuesto de la entidad que autorice el aporte figure este valor (…)”.
Según lo dispuesto por el numeral 88.1 del artículo 88 de la Ley 142 de 1994, la Comisión de Regulación de Energía y Gas podrá establecer topes máximos y mínimos tarifarios, de obligatorio cumplimiento por parte de las empresas.
El artículo 126 de la Ley 142 de 1994 modificado por el artículo 52 de la Ley 2099 de 2021, establece que, las fórmulas tarifarias tendrán una vigencia de cinco (5) años y que, vencido el período de vigencia de las mismas, estas continuarán rigiendo mientras la Comisión no fije las nuevas.
Mediante la Resolución CREG 137 de 2013 se establecieron las Fórmulas Tarifarias Generales para la prestación del servicio público domiciliario de gas combustible por redes de tubería a usuarios regulados.
A través de las Resoluciones CREG 202 de 2013, 138 de 2014, 090 y 132 de 2018 y, 011 de 2020, en adelante la Metodología, se establecieron los criterios generales para remunerar la actividad de distribución de gas combustible por redes de tubería y se dictaron otras disposiciones.
La Comisión de Regulación de Energía y Gas (CREG), expidió la Circular CREG 030 de 2019, por medio de la cual se divulgó el procedimiento aplicable al trámite de solicitud y aprobación de cargos de distribución para el siguiente período tarifario, conforme a la Metodología.
Posteriormente, fue expedida la Circular CREG 077 de 2020, relacionada con las listas de chequeo indicativas actualizadas que utiliza la Comisión para la verificación de completitud de las solicitudes de aprobación de cargos de distribución para el siguiente periodo tarifario.
La Comisión de Regulación de Energía y Gas (CREG), expidió la Resolución CREG 102 002 de 2022 en la que se establecen los valores de la Tasa de Descuento para la actividad de distribución de gas combustible.
La empresa Interamericana de Energía y Gas S. A. S. E.S.P., en adelante INERGAS S. A. S. E.S.P., a través de comunicación radicada en la CREG bajo el número E-2022-02359 del 28 de febrero de 2022, presentó la solicitud para aprobación de los cargos de distribución de Gas Licuado de Petróleo (GLP) por redes. Así como también, a través del aplicativo APLIGAS, dispuesto por la CREG para el correspondiente reporte de información de solicitudes tarifarias, la empresa INERGAS S. A. S. E.S.P., confirmó su solicitud bajo el número 2577.
De conformidad con lo establecido en el numeral 5.3 del artículo 5o de la Resolución CREG 202 de 2013, INERGAS S. A. S. E.S.P., solicitó aprobación de cargos de distribución de Gas Licuado de Petróleo (GLP) por redes para el Mercado Relevante de Distribución Especial, conformado por los centros poblados que se relacionan a continuación:
| CÓDIGO DANE | CENTRO POBLADO | MUNICIPIO | DEPARTAMENTO |
| 73449002 | Chimbí | Melgar | Tolima |
| 73449003 | Bombote | Melgar | Tolima |
| 73449017 | La Cajita | Melgar | Tolima |
En la solicitud presentada se allegaron las proyecciones de demanda, las proyecciones de gastos de administración operación y mantenimiento (AOM) y el programa de nuevas inversiones, clasificadas según el listado de unidades constructivas establecido en el Anexo número 8 de la Metodología.
Adicionalmente, la empresa INERGAS S. A. S. E.S.P., manifestó en su solicitud que el proyecto cuenta con aportes de recursos públicos para financiar la construcción de redes de distribución mediante convenio número 1870 suscrito el 13 de septiembre de 2021 entre la Gobernación de Tolima y la empresa INERGAS S. A. S. E.S.P. por un valor de Setecientos cuarenta y nueve millones setecientos noventa y ocho mil setecientos diecinueve ($749,798,719)(1).
La Comisión verificó el cumplimiento de los requisitos establecidos en la Metodología, evidenciando que; la información remitida con la solicitud presentada por la empresa INERGAS S. A. S. E.S.P., no era suficiente para iniciar la actuación administrativa correspondiente. En consecuencia, mediante comunicación con radicado CREG S-2022-000826 del 8 de marzo de 2022, se solicitó a INERGAS S. A. S. E.S.P., remitir la siguiente información:
i. Certificación de que los centros poblados relacionados en el asunto no se encuentran incluidos por razones de distancia, dentro del plan de expansión por parte del Distribuidor que presta el servicio en la cabecera municipal del municipio de Melgar, Tolima al cual pertenece el centro poblado objeto de su solicitud tarifaria (Numeral 5.3 del artículo 5 de la metodología).
ii. Copia del convenio y toda la documentación que soporte la procedencia, monto, destinación de las fuentes de financiación con las que se apalanca el proyecto, discriminando las inversiones que ejecutará con recursos propios y aquella que ejecutará con recursos públicos.
iii. Certificación de la secretaria de planeación del municipio de Melgar, Tolima, en la que conste el número de viviendas existentes en cada centro poblado de que trate, acompañado del listado de firmas de potenciales usuarios en el que acredite que, al menos el 80% de los usuarios potenciales del servicio de gas en los centros poblados están interesados en contar con el servicio.
iv. Copia del radicado de la UPME mediante el cual se remitieron a dicha entidad las proyecciones y el estudio de demanda del mercado relevante solicitado, para su evaluación metodológica y concepto (Sub numeral 4.2 del numeral 9.8.2 del artículo 9 de la metodología).
v. De conformidad con el numeral 6 del artículo 16 del CPACA, se hace necesario que el representante legal suscriba la solicitud tarifaria y la remita nuevamente en formato.PDF.
Mediante comunicación identificada con radicado CREG E-2022-003223 del 22 de marzo de 2022, la Unidad de Planeación Minero-Energética (UPME) remitió concepto respecto de la proyección de demanda para los centros poblados de Chimbí, Bombote y La Cajita en el Municipio de Melgar, departamento del Tolima.
Mediante comunicación con radicado CREG E-2022-003306 del 23 de marzo de 2022, la empresa INERGAS S. A. S. E.S.P., contestó el oficio de solicitud completitud. Sin embargo, posterior a la revisión de la documentación allegada por la empresa, la Comisión observó que la solicitud aún no contaba con la documentación completa, por consiguiente, mediante radicado CREG S-2022- 001756 del 19 de mayo de 2022, la Comisión solicitó a INERGAS S. A. S. E.S.P, lo siguiente:
i. Certificación de que los centros poblados relacionados en el asunto no se encuentran incluidos por razones de distancia, dentro del plan de expansión por parte del Distribuidor que presta el servicio en la cabecera municipal del municipio de Melgar, Tolima al cual pertenece el centro poblado objeto de su solicitud tarifaria (Numeral 5.3 del artículo 5 de la metodología).
ii. Certificación de la secretaria de planeación del municipio de Melgar, Tolima, en la que conste el número de viviendas existentes en cada centro poblado de que trate, acompañado del listado de firmas de potenciales usuarios en el que acredite que, al menos el 80% de los usuarios potenciales del servicio de gas en los centros poblados están interesados en contar con el servicio.
El día 26 de mayo de 2022, mediante radicados CREG E-2022-005872, E-2022- 005873 y E-2022-005875, INERGAS S. A. S. E.S.P., completó la información pendiente de la solicitud tarifaria.
Mediante Auto de Inicio I-2022-006237 proferido el día 10 de junio de 2022, la Dirección Ejecutiva de la Comisión dispuso iniciar la respectiva actuación administrativa con fundamento en la solicitud presentada por la empresa INERGAS S. A. S. E.S.P., para la aprobación de los cargos de distribución de Gas Licuado de Petróleo (GLP) por redes de tubería para el Mercado Relevante Especial conformado por los centros poblados de Chimbí, Bombote y La Cajita en el Municipio de Melgar, departamento de Tolima.
De acuerdo con lo establecido en el Auto de Inicio de la actuación administrativa y, conforme a lo dispuesto en el artículo 37 del Código de Procedimiento Administrativo y de lo Contencioso Administrativo (CPACA), con el fin de que los terceros interesados pudieran hacerse parte en la respectiva actuación, se publicó en el Diario Oficial número 52.064 del 13 de junio de 2022, el Aviso número 032 de 2022 que contiene el resumen de la solicitud tarifaria presentada por INERGAS S. A. S. E.S.P., para la aprobación de cargos de distribución de Gas Licuado de Petróleo (GLP) por redes de tubería.
El sistema de distribución presentado por la empresa INERGAS S. A. S. E.S.P., para el mercado relevante solicitado cuenta con red primaria y secundaria y todos sus usuarios están conectados a la red secundaria, se determinará para este mercado relevante un solo cargo de distribución que será aplicable a los usuarios de uso residencial y usuarios diferentes al uso residencial, en aplicación del numeral 9.3 del artículo 9o de la Resolución CREG 202 de 2013, establece lo siguiente:
“9.3. Cargos de Distribución en Sistemas de Distribución que no Tienen Conectados Usuarios a la red Primaria.
Cuando un Sistema de Distribución tenga red primaria y secundaria pero todos los usuarios estén conectados a la red secundaria se podrá determinar en ese Mercado Relevante un solo cargo de distribución que será aplicable a usuarios residenciales y a usuarios diferentes al de uso residencial. La canasta de tarifas de estos mercados debe excluir a los usuarios residenciales”.
Por todo lo anterior, como resultado del análisis de la información presentada a la Comisión por INERGAS S. A. S. E.S.P., bajo radicados CREG E-2022-002359, E-2022-003223, E-2022-003306, E-2022-005872, E-2022-005873 y E-2022-005875, se realizaron los ajustes pertinentes a la información requerida para el cálculo del cargo de distribución de conformidad con la Metodología definida en las Resoluciones CREG 202 de 2013, 138 de 2014, 090 y 132 de 2018 y 011 de 2020, como se relaciona y desarrolla el respectivo sustento en el Documento CREG 502 005 de 2023, soporte de la presente resolución.
Con base en lo establecido en el artículo 4o del Decreto 2897 de 2010, reglamentario de la Ley 1340 de 2009, se respondió el cuestionario establecido por la Superintendencia de Industria y Comercio para efectos de evaluar la incidencia sobre la libre competencia de los mercados y, aplicando las reglas allí previstas, la respuesta al conjunto de preguntas fue negativa teniendo en cuenta que el presente acto administrativo es de carácter particular, en la medida en que no plantea ninguna restricción indebida a la libre competencia.
El análisis, realizado por la Comisión de Regulación de Energía y Gas, de la solicitud tarifaria presentada por INERGAS S. A. S. E.S.P., así como también los cálculos correspondientes y las consideraciones que soportan la presente resolución están contenidos en el Documento CREG 502 005 de 2023, el cual hace parte integral de la presente resolución.
La Comisión de Regulación de Energía y Gas (CREG), en su sesión número 1234 del 18 de enero de 2023, aprobó expedir la presente resolución.
RESUELVE:
CARGO DE DISTRIBUCIÓN.
ARTÍCULO 1o. MERCADO RELEVANTE DE DISTRIBUCIÓN PARA EL SIGUIENTE PERIODO TARIFARIO. Conforme a lo definido en el numeral 5.3 del artículo 5o de la Resolución CREG 202 de 2013, se aprueba el Mercado Relevante de Distribución Especial para el Siguiente Periodo Tarifario correspondiente a un Nuevo Mercado Relevante de Distribución Especial conformado por los centros poblados que se relacionan a continuación:
| CÓDIGO DANE | CENTRO POBLADO | MUNICIPIO | DEPARTAMENTO |
| 73449002 | Chimbí | Melgar | Tolima |
| 73449003 | Bombote | Melgar | Tolima |
| 73449017 | La Cajita | Melgar | Tolima |
ARTÍCULO 2o. DEMANDAS DE VOLUMEN. Para el cálculo tarifario se utilizó la Demanda de Volumen para el horizonte de proyección presentada en el Anexo 2 de la presente resolución.
ARTÍCULO 3o. INVERSIÓN BASE. La Inversión Base para determinar los cargos de distribución para el Mercado Relevante de Distribución definido en el artículo 1 de esta Resolución se compone como se indica a continuación:
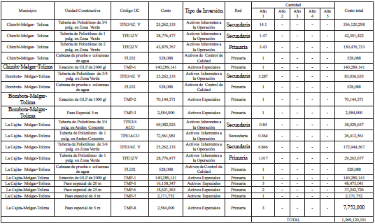
3.1. Programa de Nuevas Inversiones para Municipios Nuevos (IPNI). El Programa de Nuevas Inversiones corresponde a un valor de Mil trescientos sesenta y nueve millones ciento veinte mil ciento noventa y un pesos $ 1,369,120,191 ($ del 31 de diciembre de 2021) y su descripción se presenta en el Anexo 1 de la presente resolución.
En aplicación de la Metodología, se calcularon las siguientes variables principales para la componente que remunera la inversión base aplicable a usuarios de uso residencial y a usuarios diferentes a los de uso residencial:

Cifras en pesos del 31 de diciembre de 2021.
ARTÍCULO 4o. GASTOS DE ADMINISTRACIÓN, OPERACIÓN Y MANTENIMIENTO (AOM). Una vez ajustada la proyección de gastos de AOM reportada por INERGAS S. A. S. E.S.P., con el menor de los crecimientos anuales entre el del gasto de AOM y el de la demanda, se determina un porcentaje de gastos de AOM eficiente a reconocer para el mercado relevante de distribución para el siguiente periodo tarifario de 5.36% y un factor de ajuste % FAproyección AOM de 100%. En el Anexo 3 de esta Resolución, se presentan los gastos de AOM para cada año del Horizonte de Proyección:
| Componente | Año 2022 en adelante |
| Valor Presente eficiencia AOM, con nivel de eficiencia | 527,053,165 |
Cifras en pesos del 31 de diciembre de 2021.
En aplicación de la Metodología vigente, se calcularon las siguientes variables principales para la componente que remunera los gastos de AOM, aplicable a usuarios de uso residencial y a usuarios diferentes a los de uso residencial:

Cifras en pesos del 31 de diciembre de 2021.
ARTÍCULO 5o. CARGO DE DISTRIBUCIÓN APLICABLE A LOS USUARIOS DE USO RESIDENCIAL. A partir de la vigencia de la presente resolución, el cargo de distribución aplicable a los usuarios de uso residencial en el Mercado Relevante definido en el artículo 1 de la presente resolución, para recuperar los costos de inversión y los gastos de AOM para la distribución domiciliaria de gas combustible por redes de tubería se fija de la siguiente manera:
Usuarios de Uso Residencial
| Componente | 2022 en adelante | |
| Cargo de distribución Total | $/m³ | 4,234.02 |
| Componente de inversión pagada con recursos de INERGAS S. A. S. E.S.P. | $/m³ | 1,343.92 |
| Componente de inversión pagada con recursos de la GOBERNACIÓN DE TOLIMA. | $/m³ | 1,627.06 |
| Componente Gastos AOM. | $/m³ | 1,263.04 |
Cifras en pesos del 31 de diciembre de 2021.
PARÁGRAFO 1o. El Cargo de Distribución establecido en el presente artículo se actualizará de conformidad con lo establecido en el artículo 12 de la Metodología, particularmente de la Resolución CREG 202 de 2013 o aquel que lo modifique o sustituya.
PARÁGRAFO 2o. Para el cálculo de las tarifas que se cobren a los usuarios conforme a los cargos aprobados en el numeral 5 de la presente resolución, se tendrá en cuenta lo establecido en el numeral 87.9 del artículo 87 de la Ley 142 de 1994, modificado por el artículo 99 de la Ley 1450 de 2011 y por el artículo 8o del Decreto Legislativo 819 de 2020 o aquella que la modifique, aclare o sustituya.
ARTÍCULO 6o. CARGO DE DISTRIBUCIÓN APLICABLE A LOS USUARIOS DIFERENTES A LOS DE USO RESIDENCIAL. A partir de la vigencia de la presente resolución, el cargo de distribución aplicable a los usuarios diferentes a los de uso residencial en el Mercado Relevante definido en el artículo 1 para recuperar los costos de inversión y los gastos de AOM para la distribución domiciliaria de gas combustible por redes de tubería se fija de la siguiente manera:
Usuarios de Uso Residencial
| Componente | 2022 en adelante | |
| Cargo de distribución Total | $/m³ | 4,234.02 |
| Componente de inversión pagada con recursos de INERGAS S. A. S. E.S.P. | $/m³ | 1,343.92 |
| Componente de inversión pagada con recursos de la GOBERNACIÓN DE TOLIMA. | $/m³ | 1,627.06 |
| Componente Gastos AOM. | $/m³ | 1,263.04 |
Cifras en pesos del 31 de diciembre de 2021.
PARÁGRAFO 1o. El Cargo de Distribución establecido en el presente artículo se actualizará de conformidad con lo establecido en el artículo 12 de la Metodología, particularmente de la Resolución CREG 202 de 2013 o aquel que lo modifique o sustituya.
PARÁGRAFO 2o. Para el cálculo de las tarifas que se cobren a los usuarios conforme a los cargos aprobados en el numeral 6 de la presente resolución, se tendrá en cuenta lo establecido en el numeral 87.9 del artículo 87 de la Ley 142 de 1994, modificado por el artículo 99 de la Ley 1450 de 2011 y por el artículo 8o del Decreto Legislativo 819 de 2020 o aquella que la modifique, aclare o sustituya.
ARTÍCULO 7o. VIGENCIA DE LOS CARGOS DE DISTRIBUCIÓN APLICABLES A LOS USUARIOS DE USO RESIDENCIAL Y A USUARIOS DIFERENTES A LOS DE USO RESIDENCIAL. Los Cargos de Distribución aplicables a los Usuarios de Uso Residencial y a los Usuarios Diferentes a los de Uso Residencial estarán vigentes por un término de cinco (5) años contados desde la fecha en que quede en firme la presente resolución. Vencido el período de vigencia de los cargos regulados, estos continuarán rigiendo hasta que la Comisión apruebe los nuevos, tal como está previsto en el artículo 126 de la Ley 142 de 1994, modificado por el artículo 52 de la Ley 2099 de 2021.
De acuerdo con lo establecido en el Parágrafo 2 del numeral 5.3 del artículo 5o de la Metodología, específicamente en la Resolución CREG 202 de 2013, si transcurrido un (1) año de haberse aprobado Cargos de Distribución para el Mercado Relevante de Distribución Especial para el Siguiente Periodo Tarifario el Distribuidor no ha iniciado la prestación del servicio, la presente resolución particular de aprobación de cargos perderá su vigencia y otro Distribuidor podrá solicitar un nuevo cargo para este Mercado Relevante
En línea con lo anterior, conforme a lo dispuesto en el Parágrafo del artículo 7o de la Resolución CREG 202 de 2013, se entenderá que el Distribuidor no ha iniciado la construcción del respectivo Sistema de Distribución si, doce (12) meses después de que hayan quedado en firme los cargos aprobados en la presente resolución no ha ejecutado al menos un cincuenta por ciento (50%) de las inversiones propuestas para el primer año de inversión.
Para estos efectos, dentro de los quince (15) días hábiles siguientes a la fecha en que quede en firme la presente resolución, el distribuidor deberá remitir a la Superintendencia de Servicios Públicos Domiciliarios (SSPD), con copia a la CREG, un cronograma en donde se especifique la fecha de inicio de la construcción del Sistema de Distribución hasta la fecha de su entrada en operación a efectos de que la Superintendencia de Servicios Públicos Domiciliarios pueda llevar a cabo sus funciones de inspección, vigilancia y control dispuestas en el artículo 79 de la Ley 142 de 1994. Así mismo, este cronograma deberá contener el programa de inicio, avance y ejecución de las inversiones propuestas y reconocidas para el primer año de acuerdo con lo previsto en el Anexo 1 de la presente resolución. De acuerdo con lo dispuesto en el inciso anterior, la fecha de inicio del cronograma corresponderá a la firmeza de la resolución de los cargos aprobados.
Igualmente, el distribuidor deberá enviar un informe semestral sobre el porcentaje de avance de ejecución de obra, con las inversiones realmente ejecutadas en comparación con el programa de inversión aprobado.
FÓRMULA TARIFARIA.
ARTÍCULO 8o. FÓRMULA TARIFARIA. La Fórmula Tarifaria aplicable al mercado relevante definido en el artículo 1 de la presente resolución corresponderá a la establecida en el artículo 4o de la Resolución CREG 137 de 2013.
ARTÍCULO 9o. VIGENCIA DE LA FÓRMULA TARIFARIA. La fórmula tarifaria regirá a partir de la fecha en que la presente resolución quede en firme y durante el término de vigencia de las fórmulas tarifarias definidas en la Resolución CREG 137 de 2013. Vencido este período, las fórmulas tarifarias continuarán rigiendo mientras la Comisión no fije las nuevas, tal como está previsto en el artículo 126 de la Ley 142 de 1994, modificado por el artículo 52 de la Ley 2099 de 2021.
OTRAS DISPOSICIONES.
ARTÍCULO 10. NOTIFICACIÓN Y RECURSOS. La presente resolución deberá notificarse al representante legal de la empresa INERGAS S. A. S. E.S.P., y a la Gobernación del Departamento del Tolima, y una vez en firme, deberá publicarse en el Diario Oficial.
Contra las disposiciones contenidas en esta Resolución procede el Recurso de Reposición, el cual podrá interponerse ante la Dirección Ejecutiva de la CREG dentro de los cinco (5) días hábiles siguientes a la fecha de su notificación.
Notifíquese, publíquese y cúmplase.
Dada en Bogotá, D. C., a 18 de enero de 2023.
El Presidente,
Carlos Adrián Correa Flórez,
Ministro de Minas y Energía (e).
El Director Ejecutivo,
José Fernando Prada Ríos
NOTAS AL FINAL:
1. Este valor fue ajustado por la CREG como resultado del análisis de la información presentada por INERGAS S. A. S. E.S.P., como consta en el Documento soporte CREG, que forma parte integral de esta Resolución
PROGRAMA DE NUEVAS INVERSIONES.

(Valores expresados en de pesos del 31 de diciembre de 2021)
El Presidente,
Carlos Adrián Correa Flórez,
Ministro de Minas y Energía (e).
El Director Ejecutivo,
José Fernando Prada Ríos
PROYECCIONES DE USUARIOS Y DEMANDA NÚMERO DE USUARIOS.











El Presidente,
Carlos Adrián Correa Flórez,
Ministro de Minas y Energía (e).
El Director Ejecutivo,
José Fernando Prada Ríos
PROYECCIÓN DE GASTOS AOM (ADMINISTRACIÓN, OPERACIÓN Y MANTENIMIENTO).

El Presidente,
Carlos Adrián Correa Flórez,
Ministro de Minas y Energía (e).
El Director Ejecutivo,
José Fernando Prada Ríos