RESOLUCIÓN 105 005 DE 2023
(diciembre 7)
<Fuente: Archivo interno entidad emisora>
Diario Oficial No. 52.615 de 20 de diciembre de 2023
COMISIÓN DE REGULACIÓN DE ENERGÍA Y GAS - CREG
Por la cual se señala el porcentaje de la contribución especial a favor de la Comisión de Regulación de Energía y Gas, CREG, que deben pagar los prestadores de los servicios públicos domiciliarios de energía eléctrica, gas natural y gas licuado de petróleo (GLP) y sus actividades complementarias, sometidas al ámbito de regulación de la Comisión de Regulación de Energía y Gas, CREG en el año 2023 y se dictan otras disposiciones.
LA COMISIÓN DE REGULACIÓN DE ENERGÍA Y GAS
En ejercicio de sus atribuciones constitucionales y legales, en especial las conferidas por el artículo 85 de la Ley 142 de 1994 y el artículo 22 de la Ley 143 de 1994 y
CONSIDERANDO QUE:
El inciso 2 del artículo 338 de la Constitución Política de Colombia dispone que: “(…) La ley, las ordenanzas y los acuerdos pueden permitir que las autoridades fijen la tarifa de las tasas y contribuciones que cobren a los contribuyentes, como recuperación de los costos de los servicios que les presten o participación en los beneficios que les proporcionen; pero el sistema, y el método para definir tales costos y beneficios, y la forma de hacer su reparto, debe ser fijados por la ley, las ordenanzas o los acuerdos”.
El artículo 365 de la Constitución Política establece que: “Los servicios públicos son inherentes a la finalidad social del Estado. Es deber del Estado asegurar su prestación eficiente a todos los habitantes del territorio nacional. Los servicios públicos estarán sometidos al régimen jurídico que fije la ley, podrán ser prestados por el Estado, directa o indirectamente, por comunidades organizadas, o por particulares. En todo caso, el Estado mantendrá la regulación, el control y la vigilancia de dichos servicios. Si por razones de soberanía o de interés social, el Estado, mediante ley aprobada por la mayoría de los miembros de una y otra cámara, por iniciativa del Gobierno decide reservarse determinadas actividades estratégicas o servicios públicos, deberá indemnizar previa y plenamente a las personas que en virtud de dicha ley, queden privadas del ejercicio de una actividad lícita”.
El artículo 367 de la Constitución Política dispone que “La ley fijará las competencias y responsabilidades relativas a la prestación de los servicios públicos domiciliarios, su cobertura, calidad y financiación, y el régimen tarifario que tendrá en cuenta además de los criterios de costos, los de solidaridad y redistribución de ingresos (…)”.
El artículo 370 de la Constitución Política, dispone que: “Corresponde al Presidente de la República señalar, con sujeción a la ley, las políticas generales de administración y control de eficiencia de los servicios públicos domiciliarios y ejercer por medio de la Superintendencia de Servicios Públicos Domiciliarios, el control, la inspección y vigilancia de las entidades que los presten.”.
La Comisión de Regulación de Energía y Gas – CREG, creada mediante el artículo 21 de la Ley 143 de 1994, es una entidad pública del nivel nacional, adscrita al Ministerio de Minas y Energía, constituida como Unidad Administrativa Especial (UAE) sin personería jurídica, con autonomía administrativa, técnica y financiera, hace parte del Presupuesto General de la Nación (PGN) y es del ámbito del Sistema Integrado de Información Financiera de la Nación (SIIF).
Con el fin de financiar los gastos de funcionamiento, servicio de la deuda pública e inversión de la entidad y en general recuperar los costos del servicio de su actividad regulatoria, en desarrollo de actividades ejecutivas de la administración pública, reguladoras y facilitadoras de la actividad económica, la CREG percibe sus recursos por colocación de fondos de la Dirección General de Crédito Público y Tesoro Nacional – DGCPTN, del Ministerio de Hacienda y Crédito Público – MHCP, y del cobro de la tasa parafiscal de contribución especial de regulación, facultada como sujeto activo por el artículo 85 de la Ley 142 de 1994, el artículo 22 de la Ley 143 de 1994, así como el numeral 18 del artículo 8 del Decreto 1260 de 2013, para administrar y percibir el tributo, precisar sus elementos, definir la metodología de depuración, cálculo, liquidación, cobro y recaudo, y por este medio contribuir a la modernización y fortalecimiento institucional de la entidad.
De conformidad con lo dispuesto en las Leyes 142 de 1994, 143 de 1994, 689 de 2001, las disposiciones aquí descritas son aplicables a quienes ostenten la calidad de personas prestadoras de servicios públicos domiciliarios y aquellas que en general realicen actividades complementarias a los mismos.
El artículo 85 de la Ley 142 de 1994, dispone que:
ARTICULO 85. Contribuciones especiales. Con el fin de recuperar los costos del servicio de regulación que preste cada comisión, y los de control y vigilancia que preste el Superintendente, las entidades sometidas a su regulación, control y vigilancia, estarán sujetas a dos contribuciones, que se liquidarán y pagarán cada año conforme a las siguientes reglas:
85.1.- Para definir los costos de los servicios que presten las comisiones y la Superintendencia, se tendrán en cuenta todos los gastos de funcionamiento, y la depreciación, amortización u obsolescencia de sus activos, en el período anual respectivo.
85.2.- La superintendencia y las comisiones presupuestarán sus gastos cada año y cobrarán dentro de los límites que enseguida se señalan, solamente la tarifa que arroje el valor necesario para cubrir su presupuesto anual.
La tarifa máxima de cada contribución no podrá ser superior al uno por ciento (1%) del valor de los gastos de funcionamiento, asociados al servicio sometido a regulación, de la entidad contribuyente en el año anterior a aquel en el que se haga el cobro, de acuerdo con los estados financieros puestos a disposición de la Superintendencia y de las comisiones, cada una de las cuales e independientemente y con base en su estudio fijarán la tarifa correspondiente.
85.3.- Sustituido por los planes nacionales de desarrollo: leyes 812 de 2003, 1151 de 2007, 1450 de 2011, 1753 de 2015, 1955 de 2019.
85.4.- El cálculo de la suma a cargo de cada contribuyente, en cuanto a los costos de regulación, se hará teniendo en cuenta los costos de la comisión que regula el sector en el cual se desempeña; y el de los costos de vigilancia, atendiendo a los de la Superintendencia.
85.5.- La liquidación y recaudo de las contribuciones correspondientes al servicio de regulación se efectuará por las comisiones respectivas y las correspondientes al servicio de inspección, control y vigilancia estarán a cargo de la Superintendencia.
85.6.- Una vez en firme las liquidaciones deberán ser canceladas dentro del mes siguiente. Se aplicará el mismo régimen de sanción por mora aplicable al impuesto sobre la renta y complementarios, sin perjuicio de las demás sanciones de que trata esta ley.
PARÁGRAFO 1. Las comisiones y la Superintendencia se financiarán exclusivamente con las contribuciones a las que se refiere este artículo y con la venta de sus publicaciones. Sin embargo, el gobierno incluirá en el presupuesto de la Nación apropiaciones suficientes para el funcionamiento de las comisiones y de la Superintendencia durante los dos primeros años.
PARÁGRAFO 2. Al fijar las contribuciones especiales se eliminarán, de los gastos de funcionamiento, los gastos operativos; en las empresas del sector eléctrico, las compras de electricidad, las compras de combustibles y los peajes, cuando hubiere lugar a ello; y en las empresas de otros sectores los gastos de naturaleza similar a éstos. Estos rubros podrán ser adicionados en la misma proporción en que sean indispensables para cubrir faltantes presupuestales de las comisiones y la superintendencia.
El artículo 22 de la Ley 143 de 1994, ordena:
“Los costos del servicio de regulación serán cubiertos por todas las entidades sometidas a su regulación y el monto total de la contribución no podrá ser superior al 1%, del valor de los gastos de funcionamiento excluyendo los gastos operativos, compras de electricidad, compras de combustibles y peajes, cuando hubiere lugar a ello, de la entidad regulada, incurrido el año anterior a aquel en que se haga el cobro, de acuerdo con los estados financieros puestos a disposición de la Superintendencia de Servicios Públicos y de la Comisión de Regulación de Energía y Gas.
El monto de la contribución que le corresponde pagar a cada entidad será liquidado por la Comisión de Regulación de Energía y Gas. Las contribuciones deberán ser pagadas dentro de los primeros treinta (30) días calendario siguientes al respectivo recaudo, en la entidad o entidades financieras señaladas para recibir este recaudo.”
El artículo 11 de la Ley 142 de 1994 determina que: “Para cumplir con la función social de la propiedad, pública o privada, las entidades que presten servicios públicos tienen las siguientes obligaciones:
11.8. Informar el inicio de sus actividades a la respectiva Comisión de Regulación, y a la Superintendencia de Servicios Públicos, para que esas autoridades puedan cumplir sus funciones. (..)
La Superintendencia de Servicios Públicos Domiciliarios – SSPD, mediante Resolución SSPD-20231000297335 de 31 de mayo de 2023, estableció el número de prestadores que servirán como base para liquidar la contribución especial para el año 2023.
El artículo 79 de la Ley 142 de 1994 le asignó a la Superintendencia de Servicios Públicos Domiciliarios la función de: “4. Establecer los sistemas uniformes de información y contabilidad que deben aplicar quienes presten servicios públicos, según la naturaleza del servicio y el monto de sus activos, y con sujeción siempre a los principios de contabilidad generalmente aceptados.”.
El artículo nuevo de la Ley 142 de 1994, adicionado por el artículo 14 de la ley 689 de 2001, ordena: “Del sistema único de información. Corresponde a la Superintendencia de Servicios Públicos Domiciliarios, en desarrollo de sus funciones de inspección y vigilancia, establecer, administrar, mantener y operar un sistema de información que se surtirá de la información proveniente de los prestadores de servicios públicos sujetos a su control, inspección y vigilancia, para que su presentación al público sea confiable, conforme a lo establecido en el artículo 53 de la Ley 142 de 1994”.
De acuerdo con el inciso final del artículo 73 de la Ley 142 de 1994, “Salvo cuando esta Ley diga lo contrario en forma explícita, no se requiere autorización previa de las comisiones para adelantar ninguna actividad o contrato relacionado con los servicios públicos; ni el envío rutinario de información. Pero las comisiones, tendrán facultad selectiva de pedir información amplia, exacta, veraz y oportuna a quienes prestan los servicios públicos a los que esta Ley se refiere, inclusive si sus tarifas no están sometidas a regulación. Quienes no la proporcionen, estarán sujetos a todas las sanciones que contempla el artículo 81 de la presente Ley. En todo caso, las comisiones podrán imponer por sí mismas las sanciones del caso, cuando no se atiendan en forma adecuada sus solicitudes de información.”.
Mediante la Resolución SSPD N° 013092 de octubre 30 de 2002, se resolvió “ARTICULO PRIMERO. – Adóptase (sic) el Formato Único de Información para las Empresas de Servicios Públicos, del cual hacen parte los siguientes anexos”.
En el artículo 2 de la Resolución SSPD N° 000321 de 2003, se resolvió: “Una vez hayan vencido los plazos previstos en la normatividad vigente para el reporte de información, ésta se considerará oficial para todos lo (sic) efectos previstos en la ley. Las personas prestadoras sólo podrán solicitar modificaciones de la información reportada siempre que dirija petición motivada a la Superintendencia a través del representante legal; la Superintendencia evaluará la petición y adoptará las decisiones a que haya lugar.”.
La SSPD expidió la Resolución N° 20212200012515 del 26 de marzo de 2021, “Por la cual se expiden los lineamientos para el cargue de información al Sistema Único de Información (SUI) aplicable a los prestadores del servicio público de energía eléctrica del Sistema Interconectado Nacional (SIN)”.
Mediante Resolución N° 20231000215345 del 29 de marzo de 2023, la SSPD estableció los plazos para el cargue de Información Financiera anual, con corte a 31 de diciembre de 2022, con la cual se conforma la base gravable para calcular y liquidar la contribución especial 2022 a favor de la CREG, determinada en el artículo 85 de la Ley 142 de 1994.
A través de la Resolución SSPD N° 20231000297335 del 31 de mayo de 2023 “Por la cual se establece el número de prestadores que servirá como base para liquidar la contribución especial para el año 2023”, se determinó el número de prestadores de servicios públicos domiciliarios, los cuales son del ámbito de regulación de la CREG; censo que servirá de base para la CREG establecer la base de contribuyentes de la vigencia 2023.
Cada reporte basado en una taxonomía por grupo y tipo de reporte permite reflejar los requerimientos de reconocimiento, medición (inicial y posterior), presentación y revelación de cada uno de los marcos normativos. Es así, que cada preparador de información, vigilado por la SSPD, podrá utilizar los mecanismos que considere más fiables y pertinentes para el registro de los hechos económicos en cumplimiento de los objetivos de la información contable, sin que estos sufran una modificación en su naturaleza.
El artículo 18 de la Ley 142 de 1994 señala que: “ (…) En todo caso, las empresas de servicios públicos que tengan objeto social múltiple deberán llevar contabilidad separada para cada uno de los servicios que presten; y el costo y la modalidad de las operaciones entre cada servicio deben registrarse de manera explícita (...)”.
Los costos de los servicios que presta la CREG están conformados por los gastos de funcionamiento, servicio a la deuda pública e inversión, de acuerdo con lo establecido en el artículo 36 del Decreto 111 de 1996 “por el cual se compilan la Ley 38 de 1989, la Ley 179 de 1994 y la ley 225 de 1995 que conforman el Estatuto Orgánico del Presupuesto.” y el artículo 2.8.3.1.2 del Decreto 1068 de 2015, “por medio del cual se expide el Decreto Único Reglamentario del Sector Hacienda y Crédito Público”.
Para efectos de la presente resolución y del cálculo de la contribución especial en general, la CREG ha adoptado la noción de “gastos de funcionamiento”, que ha desarrollado la Sección Cuarta del Consejo de Estado, según la cual deben entenderse como tales, únicamente aquellos que están relacionados con la prestación del servicio sujeto a regulación, la cual ha sido sentada en sentencias de la Sección Cuarta, C.P.: Martha Teresa Briceño de Valencia, Rad. 11001-03-27-000-2007-00049-00 (16874) del 23 de septiembre de 2010 y Rad. 25000-23-27-000-2012-00362-01 (20253) del 17 de septiembre de 2014, ratificando posiciones contenidas en fallos emitidos en años anteriores, entre estos: (i) Sentencia del Consejo de Estado, Sección Cuarta, de 9 de abril de 2001, Exp. 11001-03-27-000-2000-1253-01(11790) - Sobre el alcance conceptual de los gastos de funcionamiento-, (ii) Sentencia del Consejo de Estado, Sección Cuarta de 17 de abril de 2008, Exp. 11001-03-27-000-2005-00061-00(15771), C.P. María Inés Ortiz Barbosa - Sobre el alcance de la expresión funcionamiento y de la definición de gastos de funcionamiento.
De igual manera, la CREG atendiendo la postura unánime del Comité de Conciliación y Defensa Judicial de la entidad, emitida en sesión del 23 de septiembre de 2022, en la cual acoge el criterio jurisprudencial del Consejo de Estado(1) sobre los conceptos contables a tener en cuenta al hacer uso de la excepción contenida en el parágrafo 2 del artículo 85 de la Ley 142 de 1994, solo tomará, en el evento de un faltante presupuestal, de la porción de gastos operativos necesarios para cubrir dicho faltante los siguientes conceptos: compras en bloque y/o a largo plazo, compras en bolsa y/o a corto plazo, uso de líneas, redes y ductos, costo de distribución y/o comercialización GN, gas combustible, carbón mineral, ACPM, fuel oil y los peajes, y no tendrá en cuenta aquello conceptos que antes de la adopción de las Normas Internacionales de Información Financiera – NIIF en Colombia, se catalogaban como cuentas del grupo 75, a saber:
Tabla 1 Cuentas grupo contable 75.
CUENTAS GRUPO CONTABLE 75 -GASTOS OPERATIVOS
| CUENTA | CONCEPTO |
| 7505 | Servicios personales |
| 7510 | Generales |
| 7517 | Arrendamientos |
| 7537 | Licencias, contribuciones y regalías |
| 7540 | Órdenes y contratos de mantenimiento y reparaciones |
| 756510 | Peajes terrestres |
| 7542 | Honorarios |
| 7545 | Servicios públicos |
| 7550 | Materiales y otros costos de operación |
| 7560 | Seguro |
| 7570 | Órdenes y contratos por otros servicios |
De acuerdo con lo anterior, y con el fin de proyectar la tarifa para la liquidación de la contribución especial del año 2023, se tomó la información financiera reportada y certificada con corte a 31 de diciembre de 2022 por las entidades sometidas al ámbito de regulación de la CREG.
La CREG en su sesión No. 1288 del 22 de septiembre de 2023, aprobó someter a consulta pública el proyecto de Resolución N° 705 004 del 22 de septiembre de 2023, una vez publicada en el portal web de la CREG y por el término de diez (10) días hábiles, contados a partir del 18 de octubre de 2023, día siguiente a su notificación por correo certificado.
La CREG, invitó a los prestadores de los servicios públicos domiciliarios sujetos a la regulación de la CREG y a los demás interesados, para que remitieran sus comentarios, observaciones o sugerencias sobre la propuesta de liquidación de contribución especial para la vigencia 2023, al director ejecutivo de la Comisión de Regulación de Energía y Gas, al correo electrónico: creg@creg.gov.co, dentro del plazo establecido.
Durante el periodo en el cual estuvo publicado en la página web para consulta el proyecto de Resolución N° 705 004 de 2023 con el Documento CREG N° 905 004- de 2023, se recibieron diecisiete (17) comunicaciones de las entidades reguladas con comentarios, relacionadas a continuación:
| Tabla 2 Listado de entidades con comentarios al proyecto de Resolución N° 705-004 de 2023 y documento CREG N° 905 004 de 2023. | En pesos corrientes. | |||
| N° | RADICADO | FECHA | NIT | EMPRESA |
| 1. | E2023018472 | 18-oct-23 | 900.134.459 – 7 | TRANSPORTADORA DE GAS INTERNACIONAL S.A ESP |
| 2. | E2023018570 | 20-oct-23 | 900.922.760 – 0 | GLOBAL REDES & OBRAS S.A.S. E.S.P. |
| 3. | E2023018704 | 23-oct-23 | 900.275.349 – 1 | BARROSO S.A.S. EN LIQUIDACION |
| 4. | E2023018705 | 23-oct-23 | 900.185.106 – 0 | CARUQUIA SAS EN LIQUIDACIÓN |
| 5. | E2023018706 | 23-oct-23 | 900.210.455– 3 | GUANAQUITAS S.A.S. EN LIQUIDACIÓN |
| 6. | E2023018707 | 23-oct-23 | 900.582.235– 5 | PCHS LOS MOLINOS S.A.S EN LIQUIDACIÓN |
| 7. | E2023018708 | 23-oct-23 | 900.374.375– 6 | POPAL SAS – EN LIQUIDACIÓN |
| 8. | E2023018743 | 23-oct-23 | 900.681.857 – 0 | EOLOS ENERGÍA SAS ESP |
| 9. | E2023018745 | 23-oct-23 | 900.681.653 – 5 | VIENTOS DEL NORTE S.A.S. E.S.P. |
| 10. | E2023019117 | 30-oct-23 | 830.104.866 – 1 | NIKOIL ENERGY CORP. SUC. COLOMBIA (OMEGA ENERGY) |
| 11. | E2023019128 | 30-oct-23 | 901.380.949 – 1 | CARIBEMAR DE LA COSTA S.A.S. E.S.P. |
| 12. | E2023019148 | 31-oct-23 | 816.002.019 – 9 | EMPRESA DE ENERGÍA DE PEREIRA S.A ESP |
| 13. | E2023019159 | 31-oct-23 | 860.063.875 – 8 | ENEL COLOMBIA S.A. E.S.P. |
| 14. | E2023019170 | 31-oct-23 | 800.052.640 – 9 | EMPRESA DE ENERGIA DEL QUINDIO S.A. E.S.P. |
| 15. | E2023019209 | 1-nov-23 | 890.904.996 – 1 | EMPRESAS PÚBLICAS DE MEDELLÍN ESP |
| 16. | E2023019215 | 1-nov-23 | 800.167.643 – 5 | GASES DE OCCIDENTE S. A. EMPRESA DE SERVICIOS PÚBLICOS |
| 17. | E2023019221 | 1-nov-23 | 900.038.232– 1 | CENTRAL TERMOELECTRICA EL MORRO 2 SAS ESP |
Las respuestas a cada una de las observaciones presentadas por los regulados se encuentran contenidas como anexo al documento técnico que acompaña la presente resolución.
Mediante la Ley 2276 del 29 de noviembre de 2022, se decreta el presupuesto de rentas y recursos de capital y ley de apropiaciones para la vigencia fiscal del 1o de enero al 31 de diciembre de 2023.
En el anexo del Decreto 2590 del 23 de diciembre de 2022, "Por el cual se liquida el Presupuesto General de la Nación para la vigencia fiscal de 2023, se detallan las apropiaciones y se clasifican y definen los gastos", se establecieron las apropiaciones presupuestales para funcionamiento, servicio de la deuda e inversión de la unidad ejecutora 210113 de la CREG.
Mediante Ley 2299 de 2023, “por la cual se adiciona y efectúan unas modificaciones al Presupuesto General de la Nación de la vigencia fiscal de 2023”, el Congreso de la República modificó el Presupuesto de Rentas y Recursos de Capital del Presupuesto General de la Nación de la vigencia fiscal de 2023.
Mediante el Decreto N° 1234 de 2023 “por el cual se liquida la Ley 2299 del 10 de julio de 2023 que adiciona y efectúa unas modificaciones al Presupuesto General de la Nación de la vigencia fiscal de 2023”, se liquidó la adición al Presupuesto de Rentas y Recursos de Capital del Presupuesto General de la Nación de la vigencia fiscal de 2023.
El presupuesto de la CREG se estableció por un valor de CUARENTA Y CINCO MIL CUATROCIENTOS CUARENTA Y CINCO MILLONES CIENTO SETENTA Y CUATRO MIL CUATRO PESOS M/CTE. ($45.445.174.004), como se detalla a continuación:
| Tabla 3. Presupuesto CREG 2023. | En pesos corrientes. | |||||
| Tipo | Cuenta | Sub-Cuenta | Descripción | Apropiación Vigente | Subtotal Recurso 16 SSF Fondos Especiales | Subtotal Recurso 10 CSF Recursos Corrientes-MHCP |
| A | FUNCIONAMIENTO | $ 30.052.253.949 | $ 24.801.862.949 | $ 5.250.391.000 | ||
| A | 01 | 01 | SALARIO | $ 13.768.571.000 | $ 10.492.903.000 | $ 3.275.668.000 |
| A | 01 | 01 | CONTRIBUCIONES INHERENTES A LA NÓMINA | $ 4.439.354.000 | $ 3.405.069.000 | $ 1.034.285.000 |
| A | 01 | 01 | REMUNERACIONES NO CONSTITUTIVAS DE FACTOR SALARIAL | $ 2.929.768.000 | $ 2.401.474.000 | $ 528.294.000 |
| A | 01 | 01 | OTROS GASTOS DE PERSONAL - DISTRIBUCIÓN PREVIO CONCEPTO DGPPN | $ 2.482.500.000 | $ 2.482.500.000 | $ 0 |
| A | 02 | ADQUISICIÓN DE BIENES Y SERVICIOS | $ 3.694.337.000 | $ 3.320.837.000 | $ 373.500.000 | |
| A | 03 | 03 | FONDO EMPRESARIAL - LEY 812 DE 2003 | $ 2.444.416.949 | $ 2.444.416.949 | $ 0 |
| A | 03 | 04 | INCAPACIDADES Y LICENCIAS DE MATERNIDAD Y PATERNIDAD (NO DE PENSIONES) | $ 98.344.000 | $ 59.700.000 | $ 38.644.000 |
| A | 08 | 01 | IMPUESTOS | $ 89.663.000 | $ 89.663.000 | $ 0 |
| A | 08 | 04 | CUOTA DE FISCALIZACIÓN Y AUDITAJE | $ 105.300.000 | $ 105.300.000 | $ 0 |
| B | SERVICIO DE LA DEUDA PÚBLICA | $ 4.192.920.055 | $ 4.192.920.055 | $ 0 | ||
| B | 10 | 04 | APORTES AL FONDO DE CONTINGENCIAS | $ 4.192.920.055 | $ 4.192.920.055 | $ 0 |
| C | INVERSION | $ 11.200.000.000 | $ 11.200.000.000 | $ 0 | ||
| C | 2106 | 1900 | SERVICIO DE DIVULGACIÓN DEL SECTOR MINERO ENERGÉTICO - DIVULGACIÓN DE LA REGULACIÓN A LA CIUDADANÍA A NIVEL NACIONAL | $ 290.000.000 | $ 290.000.000 | $ 0 |
| C | 2106 | 1900 | DOCUMENTOS DE REGULACIÓN - ESTUDIOS Y ANALISIS PARA LA ADOPCION DE MEDIDAS REGULATORIAS REQUERIDAS POR LOS SECTORES DE ENERGIA ELECTRICA, GAS COMBUSTIBLE Y COMBUSTIBLES LIQUIDOS A NIVEL NACIONAL | $ 7.700.000.000 | $ 7.700.000.000 | $ 0 |
| C | 2199 | 1900 | SERVICIO DE EDUCACIÓN INFORMAL PARA LA GESTIÓN ADMINISTRATIVA - FORTALECIMIENTO INSTITUCIONAL A PARTIR DEL APRENDIZAJE ORGANIZACIONAL A NIVEL NACIONAL | $ 310.000.000 | $ 310.000.000 | $ 0 |
| C | 2199 | 1900 | MEJORAMIENTO Y MODERNIZACIÓN DE LAS TICS DE LA CREG A NIVEL NACIONAL | $ 2.900.000.000 | $ 2.900.000.000 | $ 0 |
| TOTAL PRESUPUESTO VIGENTE 2023 | $45.445.174.004 | $40.194.783.004 | $5.250.391.000 | |||
De la anterior apropiación presupuestal aprobada para la vigencia 2023, el valor que debe ser cubierto con el recaudo de la contribución especial a favor de la CREG, son las partidas presupuestales aforadas y vigentes, determinadas como recursos 16 – Fondos Especiales, Sin Situación de Fondos – SSF, los cuales ascienden a la suma de $40.194.783.004,00 que restando las transferencias de excedentes al Fondo Empresarial, por valor de $ 2.444.416.949, da como resultado un valor neto presupuestal base para la contribución especial 2023 por el valor de: TREINTA Y SIETE MIL SETECIENTOS CINCUENTA MILLONES TRESCIENTOS SESENTA Y SEIS MIL CINCUENTA Y CINCO PESOS M/CTE. ($37.750.366.055,00), como se detalla a continuación:
| Tabla 4. Presupuesto 2023 depurado para la contribución CREG 2023. | En pesos corrientes. | |||
| Rubro | Recurso | Situación | Descripción | Apropiación Vigente Fondos Especiales |
| A | 16 | SSF | FUNCIONAMIENTO | $ 24.801.862.949 |
| A-01 | 16 | SSF | GASTOS DE PERSONAL | $ 18.781.946.000 |
| A-02 | 16 | SSF | ADQUISICIÓN DE BIENES Y SERVICIOS | $ 3.320.837.000 |
| A-03 | 16 | SSF | TRANSFERENCIAS CORRIENTES | $ 2.504.116.949 |
| A-08 | 16 | SSF | GASTOS POR TRIBUTOS, MULTAS, SANCIONES E INTERESES DE MORA | $ 194.963.000 |
| B | 16 | SSF | SERVICIO DE LA DEUDA PÚBLICA | $ 4.192.920.055 |
| C | 16 | SSF | INVERSION | $ 11.200.000.000 |
| C-2106-1900-4 | 16 | SSF | DIVULGACIÓN DE LA REGULACIÓN A LA CIUDADANÍA A NIVEL NACIONAL | $ 290.000.000 |
| C-2106-1900-6 | 16 | SSF | ESTUDIOS Y ANÁLISIS PARA LA ADOPCIÓN DE MEDIDAS REGULATORIAS REQUERIDAS POR LOS SECTORES DE ENERGÍA ELÉCTRICA, GAS COMBUSTIBLE Y COMBUSTIBLES LÍQUIDOS A NIVEL NACIONAL | $ 7.700.000.000 |
| C-2199-1900-3 | 16 | SSF | FORTALECIMIENTO INSTITUCIONAL A PARTIR DEL APRENDIZAJE ORGANIZACIONAL A NIVEL NACIONAL | $ 310.000.000 |
| C-2199-1900-4 | 16 | SSF | MEJORAMIENTO Y MODERNIZACIÓN DE LAS TICS DE LA CREG A NIVEL NACIONAL | $ 2.900.000.000 |
| 1. TOTAL, PRESUPUESTO VIGENTE 2023 | $40.194.783.004 | |||
| A-03-03-04-063 | 16 | SSF | FONDO EMPRESARIAL - LEY 812 DE 2003 | $ 2.444.416.949 |
| 2. TOTAL, FONDO EMPRESARIAL | $2.444.416.949 | |||
| 3=1-2 NETO A RECAUDAR CON LA CONTRIBCION ESPECIAL | $37.750.366.055 | |||
Formarán parte de la base gravable de liquidación de la contribución especial 2023, la sumatoria de los valores certificados al SUI, por los prestadores en el Formato Complementario [900017] FC01-01 a FC01-07 “Gastos de Servicios Públicos”, en la columna gastos administrativos a 31 de diciembre de 2022, Concepto Total Gastos para cada servicio público objeto del servicio del ámbito de regulación de la CREG, tomando como corte el 10 de noviembre de 2023, de la información reportada a la SSPD, consulta suministrada por la SSPD a la CREG con radicado de entrada CREG N° E2023019804 del 15 de noviembre de 2023.
No formarán parte de la base gravable de la contribución especial 2023 los siguientes conceptos incluidos en el Formato Complementario [900017] FC01-01 a FC01-07 “Gastos de Servicios Públicos”, de la información financiera 2022 reportada por los regulados en el SUI.
Tabla 5. Relación de rubros exentos de gastos de funcionamiento.
(-) Impuestos, tasas y contribuciones.
(-) Impuestos a las ganancias corrientes.
(-) Impuesto a las ganancias diferido.
(-) Deterioro.
(-) Depreciación.
(-) Amortización.
(-) Provisiones:
Litigios y demandas,
Garantías,
Diversas.
(-) Otros gastos: Comisiones,
Financieros,
Ajuste por diferencia en cambio,
Pérdidas por aplicación del método de participación,
Gastos diversos,
Donaciones.
(-) Licencias, contribuciones y regalías: Secretaría Distrital del Medio Ambiente, Ley 56 de 1981,
Medio ambiente – Ley 99 de 1993,
Regalías,
Licencia de operación del servicio, FAZNI,
FAER,
Cuota de fomento de gas,
Comité de estratificación – Ley 505 de 1999,
Art. 25 – Ley 142 de Concesiones y permisos ambientales y sanitarios.
Otras licencias Ley 142 de 1994.
En virtud de lo anterior, para la conformación de la base gravable y la depuración de los gastos de funcionamiento, la CREG determina los conceptos que corresponden a los gastos operativos que menciona el parágrafo 2o del referido artículo 85, discriminados a continuación:
Tabla 6. Relación de gastos operativos.
| ENERGÍA ELÉCTRICA | GAS NATURAL | GAS LICUADO DE PETRÓLEO |
| Gastos de administración (menos las exclusiones señaladas) | Gastos de administración (menos las exclusiones señaladas) | Gastos de administración (menos las exclusiones señaladas) |
| Compras en bloque y/o a largo plazo | ||
| Compras en bolsa y/o a corto plazo | ||
| Uso de líneas, redes y ductos | Uso de líneas, redes y ductos | Uso de líneas, redes y ductos |
| Gastos operativos de distribución y/o comercialización de gas combustible por redes | Gastos operativos de distribución y/o comercialización de gas licuado de petróleo – GLP | |
| Gas combustible | Gas combustible | Gas combustible |
| Carbón mineral | ||
| ACPM y Fuel oil | ACPM y Fuel oil | |
Con corte al 10 de noviembre de 2023, de las 373 empresas reguladas que presentaron al SUI de la SSPD, su información financiera del año 2022, se realizó un análisis y depuración de la misma, excluyendo nueve (9) entidades que presentaron en el módulo de consulta O3 de la SSPD la cancelación del RUPS en el año 2022, así mismo, se validó que siete (7) entidades lo cancelaron en la vigencia 2023, por lo que para estas entidades la base gravable se tomó proporcional al tiempo activo en la vigencia 2023. Adicionalmente, para aumentar la cobertura de las entidades contribuyente de la contribución especial 2023, se realizó la indexación de la base gravable a 15 entidades que se mantienen operativas en la vigencia 2023 y que habían reportado la información financiera al SUI en la vigencia anterior.
La información financiera del año 2022 depurada, que conformara la base gravable, se detalla en las siguientes cuentas:
| Tabla 7. Consolidado detallado de la base gravable contribución 2023. | En pesos corrientes. | |
| TIPO DE GASTO | CONCEPTOS | VALORES EEFF 2022 |
| Administrativo | Total Gastos Administrativos | $23.852.289.706.030 |
| Administrativo | (-) Ajustes Diferencia en Cambio | ($1.820.962.338.191) |
| Administrativo | (-) Comisiones | ($52.428.261.747) |
| Administrativo | (-) Donaciones | ($29.498.330.507) |
| Administrativo | (-) Financieros | ($6.016.608.271.448) |
| Administrativo | (-) Perdida por el método de participación patrimonial | ($165.676.289.000) |
| Administrativo | (-) Litigios y/o demandas | ($168.014.629.351) |
| Administrativo | (-) Garantías | ($91.781.376.000) |
| Administrativo | (-) Diversas | ($46.509.118.611) |
| Administrativo | (-) Amortización | ($168.498.002.878) |
| Administrativo | (-) Depreciación | ($246.169.512.755) |
| Administrativo | (-) Deterioro | ($2.687.118.928.988) |
| Administrativo | (-) Impuesto a las Ganancias Corrientes | ($7.143.157.381.176) |
| Administrativo | (-) Impuesto a las Ganancias Diferido | ($471.246.797.033) |
| Administrativo | (-) Impuestos Tasas y Contribuciones | ($916.104.668.793) |
| Administrativo | (-) Gastos Diversos | ($342.763.973.923) |
| Administrativo | (-) Secretaría Distrital del Medio Ambiente | $0 |
| Administrativo | (-) Ley 56 de 1981 | ($900.331.384) |
| Administrativo | (-) Medio Ambiente - Ley 99 de 1993 | $0 |
| Administrativo | (-) Regalías | $0 |
| Administrativo | (-) Licencia De Operación Del Servicio | $0 |
| Administrativo | (-) FAZNI | $0 |
| Administrativo | (-) FAER | $0 |
| Administrativo | (-) Cuota de Fomento de gas | $0 |
| Administrativo | (-) Comité De Estratificación -Ley 505 De 1999 | $0 |
| Administrativo | (-) Art 25 - Ley 142 - Concesiones, y permisos ambientales y sanitarios | $0 |
| Administrativo | (-) Otras licencias Ley 142 de 1994 | ($80.725.800) |
| Operativo | Compras en bloque y/o a largo plazo | $14.520.793.528.330 |
| Operativo | Compras en bolsa y/o a corto plazo | $6.583.469.456.862 |
| Operativo | Uso de Líneas, redes y ductos | $6.845.300.795.822 |
| Operativo | Gas Combustible | $2.690.786.170.224 |
| Operativo | Carbón Mineral | $367.849.916.000 |
| Operativo | ACPM, Fuel Oil | $230.633.059.120 |
| Operativo | Gastos de distribución y/o comercialización de gas combustible por redes | $7.384.207.351.418 |
| Operativo | Gastos de distribución y/o comercialización de gas licuado de petróleo - GLP | $2.000.023.525.698 |
| TOTAL BASE GRAVABLE CON REPORTE | $44.107.834.571.918 | |
| SUBTOTAL GASTOS ADMINISTRATIVOS (FUNCIONAMIENTO) | $3.484.770.768.445 | |
| SUBTOTAL GASTOS OPERATIVOS | $40.623.063.803.473 | |
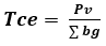
De conformidad con el artículo 85 de la Ley 142 de 1994 y el artículo 22 de la ley 143 de 1994, la tarifa de la contribución especial de regulación es un porcentaje variable con el cual se determina el valor a pagar por cada contribuyente en una vigencia específica, la cual será hallada tomando el presupuesto vigente de la CREG, el cual será dividido sobre la sumatoria de las bases gravables de los sujetos pasivos. La tarifa no podrá ser superior al uno por ciento (1%) de las respectivas bases gravables.
La tarifa descrita se calculará de la siguiente manera:
![]()
Donde:
| Tce: | tarifa de la contribución especial. |
| PvC: | presupuesto vigente de la CREG |
| Sumatoria de las bases gravables de los sujetos pasivos. |
La CREG hizo el análisis de la información financiera 2022 reportada por los prestadores de los servicios públicos domiciliarios de energía eléctrica, gas natural y gas licuado de petróleo – GLP al SUI de la SSPD, con corte al 10 de noviembre de 2023, consulta suministrada por la SSPD a la CREG con radicado de entrada CREG N° E2023019804 del 15 de noviembre de 2023.
La CREG depuró dicha información conforme a las disposiciones de los artículos 85 de la Ley 142 de 1994 y 22 de la Ley 143 de 1994, así como las precisiones realizadas por el Consejo de Estado en las sentencias antes citadas, y estableció que el valor neto de los gastos de funcionamiento de los regulados depurados asciende a la suma de $3.484.770.768.445, la cual se constituye en la base gravable inicial para la contribución especial de la vigencia 2023.
Al aplicar la tarifa del 1% a la suma de $3.484.770.768.445, valor neto de los gastos de funcionamiento de los regulados depurados (como resultado de aplicar las anteriores exclusiones listadas), la CREG, recaudaría el valor de $34.847.707.684, monto que es inferior en $2.902.658.371, con respecto al valor que debe ser cubierto con el recaudo de la contribución especial a favor de la Comisión, determinado en la suma de $37.750.366.055.
Conforme a los expuesto, al aplicar la tarifa del 1% sobre valor neto de los gastos de funcionamiento depurados de los contribuyentes, la CREG identifica un faltante para cubrir el costo del servicio de regulación para la vigencia 2023, razón por la cual es necesario adicionar a la base gravable los rubros que autoriza el parágrafo 2° del artículo 85 de la Ley 142 de 1994, en la proporción en que sean indispensables para cubrir el faltante presupuestal.
Por tanto, para cubrir el faltante presupuestal, se tomarán del total de gastos operativos de las empresas reguladas por $40.623.063.803.473 una porción de $290.265.837.055, la cual representa el 0,714535% de estos gastos operativos, para ser incluidos en la base gravable de la contribución especial de la vigencia 2023 y que multiplicados por la tarifa del 1%, son los recursos necesarios para cubrir el faltante presupuestal 2023 por $2.902.658.371 representando un porcentaje adicional sobre el total de los gastos operativos del 0,0071453%, tal como se detalla a continuación:
| Tabla 8. Resumen general de la base gravable de la contribución 2023. | En pesos corrientes. | ||
| CONCEPTOS REPORTADOS AL SUI INFORMACIÓN FINANCIERA 2022 | VALOR | ||
| SUBTOTAL GASTOS ADMINISTRATIVOS (FUNCIONAMIENTO) | $3.484.770.768.445 | ||
| SUBTOTAL GASTOS OPERATIVOS | $40.623.063.803.473 | ||
| TOTAL BASE GRAVABLE CON REPORTE | $44.107.834.571.918 | ||
| CONCEPTOS | BASE GASTOS DE ADMINISTRACIÓN | BASE GASTOS DE OPERACIÓN | TOTALES |
| TOTAL BASE GRAVABLE | $ 3.484.770.768.445 | $ 290.265.837.055 | $ 3.775.036.605.500 |
| TARIFA 1% | $ 34.847.707.684 | $ 2.902.658.371 | $ 37.750.366.055 |
| PORCENTAJE DEL PRESUPUESTO POR BASE | 92,31091% | 7,68909% | 100,00000% |
| TOTAL PRESUPUESTO 2023 | $ 37.750.366.055 | ||
| BASE GASTOS OPERATIVOS | $ 40.623.063.803.473 | ||
| PORCENTAJE ADICIONAL GASTOS OPERATIVOS | 0,00714534576857654% | ||
| FALTANTE PRESUPUESTAL | $ 2.902.658.371 | ||
La contribución especial a favor de la CREG será calculada y liquidada por el director ejecutivo, en una liquidación oficial individual para cada uno de los contribuyentes regulados, para esta vigencia y tomando en cuenta las observaciones y solicitudes realizadas al proyecto de Resolución 705 004 de 2023. La Comisión no determinará cuantía mínima.
La liquidación de contribución oficial individual será notificada a todos los contribuyentes regulados, y contra ella procede el recurso de reposición, el cual podrá interponerse dentro de los cinco (5) días hábiles siguientes a la diligencia de notificación, conforme al artículo 113 de la Ley 142 de 1994.
La CREG en la sesión N° 1296 del 7 de diciembre de 2023, de conformidad con la información recopilada y recibida durante el proceso de consulta, aprobó expedir la presente resolución de contribución especial para la vigencia 2023.
En mérito de lo anterior, la CREG,
RESUELVE:
ARTÍCULO 1. TARIFA PARA LIQUIDAR LA CONTRIBUCIÓN ESPECIAL 2023. Determinar para la vigencia 2023 el porcentaje de la tarifa para la liquidación de la contribución especial a favor de la Comisión de Regulación de Energía y Gas – CREG, que deben pagar las empresas y entidades sometidas a su regulación, en el UNO POR CIENTO (1%) sobre el valor de los gastos de funcionamiento, adicionados en una porción de sus gastos operativos indispensables para cubrir el presupuesto 2023 de la Comisión de Regulación de Energía y Gas – CREG por $37.750.366.055, que será financiado por la contribución especial.
PARÁGRAFO. A las empresas reguladas que se encuentren en proceso de liquidación, cancelación, fusión, escisión, toma de posesión para administrar con fines liquidatarios, que hubieren operado al menos un día durante la vigencia 2023, se les liquidará la contribución especial de regulación proporcionalmente a la fracción del año 2023 que hubiere prestado el servicio público, con base en la información financiera de 2022 reportada en el SUI administrador por la Superintendencia de Servicios Públicos Domiciliarios.
ARTÍCULO 2. APLICACIÓN DEL PARÁGRAFO 2o DEL ARTÍCULO 85 DE LA LEY 142 DE 1994. Al aplicar la tarifa del 1% a la suma de $3.484.770.768.445, que corresponde al valor neto de los gastos de funcionamiento de los regulados depurados, se recaudaría el valor de $34.847.707.684, monto que es inferior en $2.902.658.371, con respecto al valor del presupuesto a financiar a través de la contribución especial por valor de $37.750.366.055, constituyéndose así un faltante presupuestal, el cual es indispensable cubrir con lo establecido en el parágrafo 2° del artículo 85 de la Ley 142 de 1994.
Por tanto, para cubrir el faltante presupuestal, se tomarán del total de gastos operativos de las empresas reguladas por $40.623.063.803.473 una porción de $290.265.837.055, la cual representa el 0,714535% de estos gastos operativos, para ser incluidos en la base gravable de la contribución especial de la vigencia 2023 y que multiplicados por la tarifa del 1%, son los recursos necesarios para cubrir el faltante presupuestal 2023 por $2.902.658.371 representando un porcentaje adicional sobre el total de los gastos operativos del 0,0071453%, tal como se detalla a continuación:
| Tabla 9. Resumen general de la base gravable de la contribución 2023. | En pesos corrientes. | ||
| CONCEPTOS REPORTADOS AL SUI INFORMACIÓN FINANCIERA 2022 | VALOR | ||
| SUBTOTAL GASTOS ADMINISTRATIVOS (FUNCIONAMIENTO) | $3.484.770.768.445 | ||
| SUBTOTAL GASTOS OPERATIVOS | $40.623.063.803.473 | ||
| TOTAL BASE GRAVABLE CON REPORTE | $44.107.834.571.918 | ||
| CONCEPTOS | BASE GASTOS DE ADMINISTRACIÓN | BASE GASTOS DE OPERACIÓN | TOTALES |
| TOTAL BASE GRAVABLE | $ 3.484.770.768.445 | $ 290.265.837.055 | $ 3.775.036.605.500 |
| TARIFA 1% | $ 34.847.707.684 | $ 2.902.658.371 | $ 37.750.366.055 |
| PORCENTAJE DEL PRESUPUESTO POR BASE | 92,31091% | 7,68909% | 100,00000% |
| TOTAL PRESUPUESTO 2023 | $ 37.750.366.055 | ||
| BASE GASTOS OPERATIVOS | $ 40.623.063.803.473 | ||
| PORCENTAJE ADICIONAL GASTOS OPERATIVOS | 0,00714534576857654% | ||
| FALTANTE PRESUPUESTAL | $ 2.902.658.371 | ||
PARÁGRAFO 1. Una vez el acto administrativo de la liquidación oficial de la contribución especial 2023 se encuentre debidamente ejecutoriado, la misma deberá ser pagada únicamente por el contribuyente dentro del mes siguiente, en la cuenta corriente N° 285-863536 del Banco de Occidente, mediante consignación directa o transferencia electrónica, a favor del titular de la cuenta: COMISIÓN DE REGULACIÓN DE ENERGÍA Y GAS, identificada con el NIT 900034993-1. Los contribuyentes deberán informar a la CREG que se efectuó el pago correspondiente, remitiendo el soporte de pago, escaneado legible en formato PDF al correo: creg@creg.gov.co
PARÁGRAFO 2. OMISOS Y MOROSOS. Las empresas y entidades sujetas a la regulación de la CREG durante la vigencia 2023 que no han reportado la información financiera de la vigencia 2022 y que forman parte de la base para la liquidación de la contribución especial 2023 o que no se han inscrito en el registro único de prestadores de la Superintendencia (RUPS), serán tratadas como omisas, requeridas en fiscalización y se les liquidará la contribución especial con base en la información de los últimos estados financieros presentados. Los gastos reportados serán indexados al 31 de diciembre de 2022, teniendo en cuenta la variación porcentual del IPC certificado por el DANE para los años objeto de indexación. Sin embargo, serán sujeto de fiscalización y compensación de la contribución indexada una vez presenten la información financiera al SUI. Para el caso de las empresas y entidades que no se han inscrito en el RUPS, se les solicitará a la SSPD requerir a estas empresas reportar sus estados financieros del año 2022, al SUI, lo más pronto posible.
ARTÍCULO 3. RELIQUIDACION. Si después de liquidada la contribución especial, la Superservicios autoriza o requiere cambios en la información financiera reportada y certificada por los prestadores, que genere variaciones a la base gravable de la liquidación y por ende, al valor del mencionado tributo, la CREG realizara la correspondiente reliquidación, conforme a lo establecido en la Ley 1437 de 2011 (Código de Procedimiento Administrative y de lo Contencioso Administrativo).
PARAGRAFO. La reliquidación de que trata el presente articulo no procederá, cuando el prestador no haya interpuesto los recursos procedentes contra la liquidación, ni cuando haya operado la caducidad para su control judicial.
ARTÍCULO 4. NOTIFICACION Y RECURSOS. La liquidación de la contribución especial se notificará de acuerdo con lo establecido por las normas legales vigentes y contra esta procederán los recursos de reposición ante la Dirección Ejecutiva, dentro de los términos y condiciones establecidos en el Código de Procedimiento Administrative y de lo Contencioso Administrativo.
PARAGRAFO 1. FIRMEZA Y EJECUTORIA. La liquidación de la contribución especial quedara en firme de acuerdo con lo establecido en el artículo 87 del Código de Procedimiento Administrativo y de lo Contencioso Administrative, y prestara merito ejecutivo de conformidad con lo dispuesto en el artículo 99 del mismo compendio normativo.
ARTÍCULO 5. REPORTE AL BDME. La CREG reportará en el Boletín de Deudores Morosos del Estado – BDME de la Contaduría General de la Nación – CGN, las personas naturales y jurídicas que, a cualquier título, a una fecha de corte, tienen contraída una obligación en mora a favor de la Comisión de Regulación de Energía y Gas – CREG, según lo dispuesto y en las condiciones establecidas en el parágrafo 3o del artículo 2o de la Ley 901 de 2004, y del numeral 5o del artículo 2o de la Ley 1066 de 2006; a través del sistema CHIP de la CGN, en los diez (10) primeros días de los meses de junio y de diciembre, con fecha de corte de obligación adeudada a 31 de mayo y 30 de noviembre respectivamente.
ARTÍCULO 6. PLAZO DE PAGO OPORTUNO E INTERESES POR MORA. El valor de la contribución especial deberá ser pagado dentro del mes siguiente a la fecha en que quede en firme la liquidación. La falta de pago o las liquidaciones que no sean pagadas dentro del término señalado anteriormente constituye un pago extemporáneo y dará lugar a la liquidación de intereses por mora, contenido en la Ley 1066 del 2006 y demás normas que la adicionen o modifiquen.
ARTÍCULO 7. DEL REGIMEN SANCIONATORIO. Cualquier inconsistencia originada por irregularidades o incumplimientos en el reporte y certificación por los prestadores de servicios públicos domiciliarios en el SUI, será trasladada a la SSPD para lo de su competencia, y se dará aplicación en lo previsto en el artículo 73 y el artículo 81 de la Ley 142 de 1994, así como en la Resolución CREG N° 064 de 1998.
ARTÍCULO 8. REMISIÓN NORMATIVA Y VIGENCIA. Lo no previsto en la presente resolución, se aplicará lo establecido en la Ley 142 de 1994, en el Estatuto Tributario Nacional, en el Código de Procedimiento Administrativo y de lo Contencioso Administrativo, y demás normas concordantes. La presente resolución rige a partir de la fecha de su publicación en el Diario Oficial.
PUBLÍQUESE Y CÚMPLASE
Dada en Bogotá, D.C., a los 07 días de diciembre de 2023.
MARÍA VICTORIA RAMIREZ MARTINEZ
Viceministra de Energía (E), delegada
Del ministro de Minas y Energía.
Presidente
OMAR FREDY PRIAS CAICEDO
Experto Comisionado
Director Ejecutivo
<NOTAS DE PIE DE PÁGINA>
1. Consejo de Estado, Sala de lo Contencioso Administrativo Sección Cuarta, 11001-03-27-000-2017-00012-00 (22972). Sentencia del 10 de octubre de 2019, CP. Dr. Jorge Octavio Ramírez Ramírez, Exp. 11001-03-27-000-2016-00016-00 (22394) ACUM: 22575, 22998, 23383 y 23499.