RESOLUCIÓN 79 DE 2021
(junio 24)
Diario Oficial No. 51.735 de 14 de julio de 2021
COMISIÓN DE REGULACIÓN DE ENERGÍA Y GAS - CREG
Por la cual se resuelve el recurso de reposición interpuesto por CARIBEMAR DE LA COSTA S.A.S. E.S.P. contra la Resolución CREG 025 de 2021
LA COMISIÓN DE REGULACIÓN DE ENERGÍA Y GAS
En ejercicio de sus atribuciones constitucionales y legales, en especial las conferidas por las Leyes 142 y 143 de 1994, y en desarrollo de los Decretos 1524, 2253 de 1994, 2696 de 2004 y 1260 de 2013.
CONSIDERANDO QUE:
Mediante la Resolución CREG 025 de 2021 se aprobaron las variables necesarias para calcular los ingresos y cargos asociados con la actividad de distribución de energía eléctrica para el mercado de comercialización atendido por la empresa CARIBEMAR DE LA COSTA S.A.S. E.S.P.
En el documento CREG 018 de 2021 se encuentra el soporte de la Resolución CREG 025 de 2021, incluyendo los criterios de revisión de la información, las bases de datos y los cálculos empleados por la Comisión para definir las variables aprobadas en esta resolución.
La empresa CARIBEMAR DE LA COSTA S.A.S. E.S.P., mediante comunicación con radicado CREG E–2021-04200, presentó recurso de reposición contra la resolución CREG 025 de 2021.
A continuación, se transcriben cada una de las peticiones presentadas en el recurso de reposición, los soportes presentados por el OR, y el respectivo análisis de la Comisión.
Primera solicitud, numerales 1 y 2
PRIMERO: Modificar el artículo 2 de la Resolución CREG 025 de 2021, en el siguiente sentido:
1. Ajustar los valores en la Categoría NT para transformadores y redes de distribución de nivel de tensión 1 a 39.376 unidades.
2. Ajustar el valor de la variable CRIN para redes de distribución de nivel de tensión 1 considerando el valor de 6.262 transformadores. (…)
Todo lo anterior, conforme a las consideraciones que pasamos a exponer a continuación:
A. Cálculo del valor implícito para nivel de tensión 1. (…)
2. En el caso de nivel de tensión 1, la Comisión solicitó a los OR clasificar los transformadores según las categorías: transformadores que estaban en operación a diciembre de 2007 y fueron incluidos en los cargos actuales aprobados al OR Electricaribe (Categoría NT), transformadores en operación a diciembre de 2007 no reportados por el OR (Categoría NTNI), transformadores que salieron de operación en el período 2008-2019 (Categoría NTFO) y los transformadores puestos en operación en el período 2008-2019 (Categoría NTN).
3. La información requerida por la Comisión fue reportada por los OR en el archivo “Formato Activos nivel 1(05-02-2021).xlsb” por CaribeMar.
4. En el reporte para la Categoría NT, CaribeMar reportó únicamente los transformadores que continuaban en operación a corte de diciembre de 2019 y no la totalidad de los transformadores existentes a corte de 2007. Razón por la cual, en el archivo citado, para obtener el total de los transformadores en la Categoría NT, para el análisis que realiza la Comisión para obtener el Costos de Reposición de Inversión (CRI) para nivel de tensión 1, es necesario acumular la Categoría NT y la Categoría NTFO, y no únicamente la Categoría NT como lo realizó en su cálculo la Comisión.
5. La forma de reporte indujo una interpretación equivocada a la Comisión, al considerar únicamente los transformadores reportados en la Categoría NT sin sumar los reportados en la Categoría NTFO, en ese sentido en las Tabla 1 y Tabla 2 se informan los valores registrados en el documento CREG 018 de 2021 y los valores acumulados según lo indicado, CaribeMar, para los transformadores de nivel de tensión 1 y redes de nivel de tensión 1 respectivamente.
6. En ANEXO 1. “Inventario transformadores de nivel de tensión 1 CARIBEMAR (Corregido).xlsb” se reporta la información corregida a partir de entender la interpretación de la información por parte de la Comisión. En el archivo, en la categoría CRI corresponde a los transformadores que a 2007 se encontraban en el inventario independiente de si se encuentran actualmente o no en operación.
B. Diferencia en la cantidad de transformadores asignados a la categoría transformadores puestos en operación en el período 2008-2019 (Categoría NTN).
1. En el archivo “Calculo ingresos D Caribemar.xlsx” en la hoja “Caribe_integrado” el número de transformadores en la Categoría NRN para Caribemar es de 3.559 unidades.
2. Sin embargo, en el archivo “Formato Activos nivel 1(05-02-2021).xlsb”, CaribeMar reportó en la hoja “Redes N1” un total de 6.262 unidades, con un RPP igual a cero, es decir de propiedad del OR. En la Tabla 3 los valores reportados.
Tabla 3. Transformadores reportados para redes de nivel de tensión 1. (…)
3. Caribemar se permite remitir el archivo ANEXO 2. “Formato Activos nivel 1(0502-2021).xlsb”, donde la Comisión puede constatar los valores indicados. (…)
Subrayado fuera de texto
Análisis de la Comisión
Tal como se señaló en el documento de soporte de la Resolución CREG 025 de 2021, en el caso de nivel de tensión 1, los transformadores en operación a diciembre de 2019 corresponden a aquellos que estaban en operación a diciembre de 2007, y fueron incluidos en los cargos actuales (categoría NT), más los transformadores en operación a diciembre de 2007 no reportados por el OR (categoría NTNI), menos los transformadores que salieron de operación en el período 2008 – 2019 (categoría NTFO), más los transformadores puestos en operación en el período 2008-2019 (categoría NTN).
En la información del archivo Formato activos Nivel 1(05-02-2021).xlsb, entregado por el OR en la comunicación con radicado CREG E–2021–001763, se reportó la cantidad de transformadores para cada categoría. A partir de esta información y aplicando la metodología de la resolución CREG 015 de 2018 se obtuvieron 38.514 transformadores en operación, con base en estos valores se aprobó la Resolución CREG 025 de 2021.
| Categoría | Caribemar |
| NT | 33.710 |
| NTFO | 5.666 |
| NTNI | 42 |
| NTN | 10.428 |
| NT-NTFO+NTNI+NTN | 38.514 |
De acuerdo con las aclaraciones presentadas en el recurso de reposición se entiende que el valor de transformadores en la categoría NT, que fue reportado por el OR durante la actuación administrativa, es incorrecto, al no incluir la totalidad de transformadores que se encontraban en operación a diciembre de 2007.
Con base en lo anterior, se ajusta la información de los transformadores de la categoría NT, incluyendo los transformadores de la categoría NTFO, bajo el entendido que estos estaban en operación en el 2007 y que salieron de operación a partir del 2008, de acuerdo con la aclaración suministrada por el OR.
En el caso de las redes de distribución se verificó que en la categoría CRIN se encuentran reportadas 8.965 redes de las cuales, de acuerdo con el valor de campo RPP del formato de activos de nivel de tensión 1, 2.703 corresponden a redes construidas con recursos públicos y 6.262 con otros recursos. Se verificó que en la Resolución CREG 025 se restó dos veces el valor de transformadores construidos con recursos públicos.
Con base en lo anterior, se ajusta el valor de los transformadores y redes en la categoría CRI a 39.376. Igualmente, se ajusta la cantidad de redes en la categoría CRI a 6.262.
Primera solicitud, numeral 3
3. Validar y corregir que el valor aportado por los OR en las variables de Costo de Reposición de Inversión (CRI) a corte de 2017, en total y por nivel de tensión corresponda con el aprobado a Electricaribe en la Resolución CREG 110 de 2009.
Análisis de la Comisión
Se aclara que con el reporte de la información de nivel de tensión 1 realizado por los OR de los mercados resultantes durante el proceso de expedición de las resoluciones de aprobación de ingresos, fue necesario hacer un ajuste de los valores iniciales del mercado integrado, con el objetivo de mantener los criterios de aplicación de la metodología de remuneración.
No obstante, con las aclaraciones entregadas por los OR en los recursos de reposición, se evidenció que existía un error en el reporte inicial presentado, el cual, una vez corregido, hace que no se requiera ajustar los valores iniciales del mercado integrado de Electricaribe.
Primera solicitud, numeral 4
4. Mantener la distribución del valor implícito de los activos (CRIIj,n,l) de Electricaribe con base a los inventarios aportados por el anterior OR Electricaribe para cada uno de los mercados resultantes. (…)
C. Distribución del valor implícito entre los OR.
1. Efecto en la distribución de la base implícita de Electricaribe con base en las actualizaciones del inventario aportado por Electricaribe a cada uno de los nuevos OR que atienden el mercado en su remplazo, durante las actuaciones administrativas.
Conforme lo establece la Resolución CREG 010 de 2020 en su artículo 7, el valor implícito de los activos (CRIIj,n,l) correspondiente al mercado caribe, será distribuido entre los mercados resultantes con base en los activos en operación que cada uno de los mercados resultantes reporten.
“Artículo 7. Cálculo de valor implícito. Para la aplicación de la metodología establecida en la Resolución CREG 015 de 2018 en los mercados resultantes y para el régimen transitorio especial definido en la presente resolución, para el cálculo de la variable CRIIj,n,l se utilizará el valor correspondiente al mercado caribe, distribuido según los activos en operación a la fecha de corte de cada uno de los mercados resultantes.”
- Dentro de la actuación administrativa las empresas actualizaron los inventarios de forma diferente, lo que dio origen al crecimiento o permanencia del inventario, y está originando una variación importante en los ingresos debido a ello.
- Si bien, el hecho que un OR incremente su inventario producto de recopilar información de instalaciones que el anterior OR no reportó, no debería generar una afectación en la distribución de la base de activos implícita entre los OR que asumieron la operación del mercado del anterior OR.
- Ello dado a que existe una notoria diferencia entre los dos mercados, la capacidad de reacción para gestionar y recopilar información adicional que permita actualizar el inventario, afectan la retribución de los ingresos proyectados para el mercado, que motivaron la adquisición de este.
- En este sentido, entendemos que el OR que actualizó la información y logró mejorar las condiciones del inventario aspire a que se le retribuya los activos reportados, sin embargos, consideramos que estos no deberían formar parte para distribuir la base implícita del anterior OR.
- No significa en ningún caso que por el hecho que el otro OR haya incorporado más activos a su inventario, el inventario de CaribeMar haya disminuido. De hecho, esto no es coherente con el espíritu de la Resolución CREG 015 de 2018 de aceptar la actualización del inventario al año 2007 por parte de los OR, en gracia a reconocer un inventario más acorde con la realidad de los sistemas y remunerar efectivamente los activos en cuestión y en tal sentido, todos los OR que así lo hicieron, vieron aumentado su inventario de activos por tal razón. No es razonable que, en virtud de la escisión de Electricaribe, una de las empresas, en este caso CaribeMar, vea disminuida su base de activos por cuenta de la actualización de la otra compañía resultante de la escisión.
En gracia de discusión si CaribeMar hubiera aumentado también su inventario en la misma proporción que lo hizo CaribeSol, ¿ambas compañías se hubieran tenido que quedar con el inventario presentado para el año 2007 y no hubieran podido beneficiarse de ese mayor reporte, tal como lo hicieron los demás OR del país?, ¿Acaso el hecho de haberse escindido los privaba de esta posibilidad? Y pero aún ¿CaribeMar debe resultar perjudicada por que el otro OR presentó un inventario mayor, máxime tratándose de las proporciones indicadas?
- Más aún, cuando en el reporte del OR CaribeSol los activos no reportados en el 2007 (CRINR) se observan incrementos con respecto a los activos reportados en el 2007 (CRI) considerables, por ejemplo, en la categoría de líneas subterráneas (l=8) el incrementó en nivel de tensión 4 es del 55% y en nivel de tensión 2 un incremento del 209%, a su vez en la categoría de líneas aéreas (l=7) para el nivel de tensión 2 el crecimiento es del 24%.
Los valores se obtienen a partir de la información suministrada por la Comisión, archivo “Calculo ingresos D Caribemar.xlsx” en la hoja “Caribe_integrado”, y como resultado de evaluar los impactos para los ingresos aprobados a CaribeMar en la Resolución CREG 025 de 2021. En la Tabla 4 se puede evidenciar las diferencias y las variaciones.
Tabla 4. Variación en el valor de los activos de CaribeSol en la Categoría del CRINR. (…)
Dado lo mencionado, consideramos que la distribución de la base implícita de Electricaribe debe ser distribuida con el inventario a corte de 2019, aportado por la misma entidad, y de forma independiente a cada OR se le reconozca la actualización del inventario.
Análisis de la Comisión
En el artículo 7 de la Resolución CREG 010 de 2020 se establece lo siguiente:
Artículo 7. Cálculo de valor implícito. Para la aplicación de la metodología establecida en la Resolución CREG 015 de 2018 en los mercados resultantes y para el régimen transitorio especial definido en la presente resolución, para el cálculo de la variable CRIIj,n,l se utilizará el valor correspondiente al mercado caribe, distribuido según los activos en operación a la fecha de corte de cada uno de los mercados resultantes.
Subrayado fuera de texto
La variable CRII del mercado integrado corresponde al valor implícito de los activos reconocidos en los cargos actuales del mercado integrado, más los activos que no fueron reportados por Electricaribe, variable CRINR, menos los activos que salieron en operación durante el período 2008-2019, variable CRIFO, tal como se observa en la siguiente ecuación:

La variable CAI, que corresponde al costo anual de la inversión aprobado a Electricaribe en aplicación de la metodología definida en la Resolución CREG 097 de 2008, se multiplica por un factor que convierte la anualidad en costo de reposición, con la misma tasa y vida útil aplicada en su momento.
Con base en lo anterior, se señala que, si durante la actuación administrativa de aprobación de ingresos, alguno de los operadores de red reportó activos adicionales en las categorías CRINR o CRIFO, estos se emplean en el cálculo de la variable CRII, modificando su valor, el cual posteriormente se distribuye entre los nuevos OR con base en los activos en operación de cada sistema a la fecha de corte.
Respecto a la solicitud de aprobar el valor implícito empleando los valores reportados en su momento por Electricaribe, se señala que durante las actuaciones administrativas conducentes a la aprobación de ingresos la Comisión realizó la verificación de la información de inventarios reportada por cada OR, y en dicho proceso los OR tuvieron la oportunidad de realizar los ajustes o aclaraciones correspondientes al inventario inicial solicitado, este proceso condujo a la aprobación de inventarios que difieren de los inicialmente solicitados por los OR, tal como se evidencia en los documentos de soporte de la Resolución CREG 025 de 2021.
De otra parte, se aclara que los criterios de verificación y aprobación de los inventarios de activos empleados por la Comisión, en aplicación de la metodología definida en la Resolución CREG 015 de 2018, son los mismos para los dos OR de los mercados resultantes, por lo cual, es claro que la información del mercado agregado a emplear corresponde a la información finalmente aprobada a cada OR luego del proceso de verificación realizado. Emplear la información suministrada por Electricaribe implicaría el uso de información no validada.
No obstante, se identificó que para la distribución de valor de la variable CRII entre los mercados resultantes, para la empresa AIR-E S.A.S. E.S.P. se incluyó el valor de los activos puestos en operación en el año 2020, con lo cual, se generó un error de cálculo en el porcentaje de distribución de la variable CRII de cada OR. Este error se corrigió excluyendo los activos puestos en operación en el año 2020 en el mercado de AIR-E para efectos de determinar el porcentaje de cada mercado en la variable CRII del mercado integrado.
Primera solicitud, numeral 5
5. Actualizar las variables de la Resolución CREG 025 de 2021, que debido a los ajustes solicitados surtan modificaciones.
Análisis de la Comisión
Con base en los análisis realizados se modificarán las variables correspondientes.
Primera solicitud, numeral 6
6. Reconocimiento del transformador de potencia de reserva con IUA (10177000G000) ubicado en la subestación Urra con IUS 1017. (…)
E. Inventario de activos
1. Transformador de potencia con IUA (10177000G000) no reconocido, para estos activos solicitamos su reconocimiento considerando que este no corresponde a un activo provisional, sino a un activo de reserva de la subestación Urra IUS 1017, el cual se encontraba operativo a la fecha de corte del reporte, debido a que el transformador que no es de reserva se encontraba en mantenimiento. El transformador se debe incluir en la aprobación de ingresos, teniendo en cuenta que esta subestación se clasifica dentro de las subestaciones que deben cumplir con la Resolución del Ministerio de Minas y Energía 182148 de 2007 y lo establecido en el artículo 17 de la Resolución 097 de 2008.
Análisis de la Comisión
Se verificó que en la información del transformador de potencia con código 60101053 reportada por el OR para la aprobación de la Resolución CREG 025 de 2021, se incluye en las observaciones el siguiente comentario Transformador de reserva instalado provisionalmente por mantenimiento, por lo cual no fue incluido.
Con base en la aclaración presentada en el recurso se incorpora el transformador de reserva en el inventario reconocido.
Primera solicitud, numeral 7
7. Reconocimiento de las RTU relacionadas en la Tabla 11 del presente documento. (…)
Respecto al no reconocimiento de las unidades constructivas, que en la columna “Revisión del regulador” en la hoja “formato9_UC_equipos_SE” del archivo “Inventario reconocido BRA_0 OR – CARIBEMAR.xlsx”, donde la Comisión indica que “No se incluyen estas UC, actualmente sus funciones son realizadas por otros elementos de la SE”. En referencia a este comentario, algunas de las subestaciones no tienen equipos que cumplan las funciones que realiza un Gateway o sistema de control coordinado, en su remplazo cuenta con RTU. en este sentido solicitamos a la Comisión el reconocimiento de las unidades constructivas reportadas que relacionamos a continuación en la Tabla 11. (…)
Subrayado fuera de texto
Análisis de la Comisión
En la Resolución CREG 025 de 2021 se excluyeron 11 UC de unidad terminal remota, considerando que actualmente sus funciones son realizadas por otros elementos de la SE. En el recurso de reposición se aclara que en 10 de las 11 subestaciones no se cuenta con equipos que realizan las funciones de las RTU.
Con base en la aclaración, se incluyen estas UC en el inventario reconocido de las subestaciones Cospique, La Loma, Villa Estrella, Argos, San Estanislao, San Andres de Sotavento, Valencia, La Mojana, Sampués y Momil, y no se incluye la UC solicitada para la subestación Chinú.
Segunda solicitud, numeral 1
SEGUNDO: Modificar el artículo 3. de la Resolución CREG 025 de 2021 en el siguiente sentido:
1. Reconocer la unidad constructiva N102, Puesta a tierra N1, según código del documento “Manual_reporte_activos_CREG015 - 2018”. (…)
Consideramos que la unidad constructiva N102 que representa un menor valor aprobado de la inversión en $1.830.765.400, debe ser remunerada e incluida en la valoración de la inversión, toda vez que esta unidad constructiva corresponde a la Puesta a tierra de N1, valorada en $153.498 en el capítulo 14 de la tabla 30 de la Resolución CREG 015-2018. Si bien es cierto en dicha Resolución no cuenta con un código, entendemos que el código asignado fue presentado con la publicación del documento “Manual_reporte_activos_CREG015 - 2018” en la tabla 53 Formato 5.12. A continuación, en el Gráfico 1, la tabla que figura en dicho documento. (…)
Análisis de la Comisión
Se verificó que la UC solicitada corresponde al sistema de puesta a tierra de nivel de tensión 1 definido en la tabla 30 del numeral 14.3 del anexo general de la Resolución CREG 015 de 2018. Por lo anterior, se incluyen estas UC en el plan de inversiones reconocido.
Segunda solicitud, numeral 2
2. Reconocer las 39 unidades constructivas de módulo común, nuevas y de reposición, está última tienen un IUA a remplazar, que presentan las observaciones tratadas en este documento. (…)
2. Unidades constructivas de módulo común donde indican en el formato 6 del INVA en el campo “Revisión CREG” que:
“En un mismo nivel de tensión y subestación, no se contabilizan celdas si hay bahías convencionales” y que corresponden a 6 registros de las subestaciones con IUS 0083, 0078, 0112, 0107, 0166, 0131. Para esta observación y registros se identifica que se requieren las unidades constructivas para la modernización de las subestaciones, las cuales tienen proyectado instalar gabinetes de llegada y salida de subestaciones que harán las veces de bahías para la conexión de las líneas y los transformadores de potencia, como se explicó en el documento soporte del plan de inversión para estos proyectos.
“No se encontraron bahías ni celdas nuevas, asociadas a la UC solicitada” y que corresponden a 39 registros en igual número de subestaciones. Para esta observación se identifican 36 registros asociados a proyectos donde se realizará reposición de los módulos comunes en las subestaciones, considerando que las subestaciones serán objeto de remodelación y modernización.
- En este sentido, para los 36 registros el número de bahías asociadas son existentes y por lo tanto se encuentran reportadas en el inventario, en el campo “IUA remplazar “se registra el código asociado a los activos a remplazar.
De los 36, se identifica que en 35 registros la unidad constructiva correcta es N3S37 en vez de las unidades constructivas reportada con código N3S34 y N3S35. Las subestaciones que presentaron dicho inconveniente tienen por código IUS, los siguientes: 0171,0154,0101,0157,0135,0223,0042,0125,0146,0137,0112,0100,0214,0078,0166,0221,0148,0047,0064,0085,0066,0142,0156,0025,0092,0062,0161,0032,0145,0050,0184,0136,0149,0126,0083.
El registro faltante, de los 36 antes mencionados, correspondiente al IUA provisional 10014008000 e IUS 0014 subestación Gambote, mantiene la unidad constructiva N3S34, y su bahía asociada es existente y reportada en el inventario.
- Los restantes 3 registros corresponden a subestaciones donde se proyecta realizar una ampliación por nuevas líneas de conexión entre subestaciones (inicio y final), instalando unidades constructivas de bahías de líneas en cada una de estas, sin embargo, en el reporte las bahías quedaron asociada a la subestación inicio.
Análisis de la Comisión
De la información suministrada por el OR se identificaron 39 UC de modulo común sin bahías asociadas, de las cuales 36 están reportadas como proyectos tipo IV (proyectos que no incluyen la reposición de activos), y solamente una UC está asociada a proyectos de reposición. En el recurso de reposición el OR señala que estas UC de módulo común pertenecen a subestaciones existentes que serán objeto de remodelación y modernización, es decir, a proyectos de reposición.
De otra parte, el módulo común está compuesto principalmente por obras civiles como son la excavación y adecuación de terrenos, puesta a tierra, cerramiento, y por algunos elementos de la subestación relacionados con servicios auxiliares. No obstante, en el reporte del OR no se incluye la fracción de costo de los elementos del módulo común a modificar, por lo cual se entiende que se solicita la modificación de todos los elementos del módulo común.
De la información aportada no es claro el alcance de la remodelación y modernización de las subestaciones en relación con las actividades a realizar en las obras civiles y equipos incluidos en la UC de módulo común, tampoco coinciden las características del tipo de proyecto solicitado con la explicación dada en el recurso de reposición.
De las 23 subestaciones con esta situación solamente una hace parte de los proyectos de inversión del 2021.
Con base en lo anterior, no se modifica la aprobación de las UC de módulo común.
Segunda solicitud, numeral 3
3. Ajustar los valores aprobados para las unidades constructivas especiales con los argumentos expuestos, equipo de control y comunicación en nivel de tensión 2 (N2EQ46), unidad constructiva de canalización 4X6” ducto embebido en hormigón (N2L142), centro de control tipo 2 Centro de control tipo 2 (SCADA+EMS+DMS Operativo) y sistema de gestión de activos. (…)
Segunda solicitud, numeral 3.1
Unidad constructiva Equipo de control y comunicación N2 (N2EQ46). Esta unidad constructiva especial fue aprobada con un valor de $29.766.112, valor que es menor al promedio de los valores cotizados por los tres proveedores consultados, donde se incluye montaje, interventoría, administración y costos financieros.
La valoración total se muestra en la Tabla 12, aplicando la metodología propuesta por la CREG, donde al costo DDP se suman el montaje, administración, interventoría y costos financieros propuestos por Caribemar.
Tabla 12. Cotizaciones de los proveedores de equipos de control y comunicación. (…)
| Oferta 1* | $ 26.276.054,78 |
| Oferta 2* | $41.663.631,45 |
| Oferta 3* | $36.487.854,77 |
| Promedio | $34.809.180,33 |
Solicitamos a la Comisión, verificar sí en la valoración aprobada se incluyeron los costos de interventoría, administración y costos financieros, en el entendido que el documento de la resolución solo especifica que los costos de montaje representan el 6,1% del valor de los equipos, observando que este valor es similar al aprobado, aplicando el promedio de las cotizaciones, conforme se observa en la Tabla 13.
Tabla 13. Cotizaciones ajustando el valor de montaje. (…)
| Oferta 1* | 22.985.656,64 |
| Oferta 2* | 36.579.510,80 |
| Oferta 3* | 32.007.071,95 |
| Promedio (DDP + 6.1% DDP) | 30.524.079,79 |
(* no se incluyen los nombres de los proponentes)
Subrayado fuera de texto
Análisis de la Comisión
En el documento de soporte de la Resolución CREG 025 de 2021 se señala lo siguiente:
Para la UC Equipo de control y telecomunicaciones N2, se utiliza como referencia el costo DDP de las cotizaciones suministradas por el OR, se ajusta con la TRM de julio de 2020 y posteriormente se lleva a pesos de diciembre de 2017. El costo de instalación es del 6.1% que corresponde al porcentaje de instalación de equipos de línea de nivel de tensión 2 como seccionalizador con control inteligente, 400A - N2, reconectador - N2, interruptor de transferencia en SF6 - N2, entre otros.
En relación con el porcentaje promedio del 6.1%, se verificó que este el costo asociado con el valor DDP, así como, los costos de montaje, ingeniería, interventoría, administración de la ejecución, inspección y costos financieros.
De acuerdo con la metodología aplicada, se obtiene un valor de 32.819.184, los cuales son indexados a pesos de diciembre de 2017, fecha de referencia de las UC del capítulo 14 de la Resolución CREG 015 de 2018, con lo que se obtiene un valor final de 29.766.112 pesos de diciembre de 2017.
Segunda solicitud, numeral 3.2
Unidad constructiva Canalización 4 x 6” ducto embebido en hormigón (N2L142). Para esta UC, se aprobó un valor de $675.373.646, que difiere del valor solicitado inicialmente de $763.783.843, el cual fue soportado en el APU de la obra civil en el numeral 8.3.6. del documento soporte del plan de inversión entregado a la CREG.
Para este caso, es importante resaltar que existe una UC reconocida en la Resolución CREG 015 de 2018, cuyo código y descripción es, respectivamente, N2L79 - Canalización urbana 6x4” y 3x6” valorada en $828.685.000; un 23% mayor que la aprobada en la UC y la cual contempla solo 3 tubos de 6”. La UC especial referenciada tiene un tubo adicional de 6” (4 tubos en contraste con los tres tubos de la UC N2L79) y por tanto su valoración debe ser mayor.
El valor propuesto por Caribemar representa el costo de la ejecución de la unidad constructiva de acuerdo con los costos reales del mercado justificados y soportados. En este sentido, solicitamos a la Comisión una nueva revisión a la valoración propuesta.
Análisis de la Comisión
En relación con la solicitud de aprobación de UC especiales, en el numeral 14 del anexo general de la Resolución CREG 015 de 2018, se señala lo siguiente:
Cuando existan activos con características técnicas distintas a las de las UC establecidas, los OR podrán solicitar a la Comisión la creación de UC especiales. La solicitud debe estar acompañada de las consideraciones técnicas que justifican la creación de la UC especial, el costo detallado de cada equipo que la compone y los costos de instalación asociados. Para adquisiciones directas se debe adjuntar tres cotizaciones de suministro e instalación de los equipos que la conforman y para adquisiciones a través de concursos abiertos o licitaciones se deben enviar los documentos que acreditan su realización incluyendo los pliegos de solicitudes, términos de referencia, etc.
Subrayado fuera de texto
De lo anterior es claro que las UC especiales se crean cuando existen activos con características técnicas diferentes a las de UC ya establecidas, y no a diferencias en los costos de la UC o de sus componentes.
La aprobación de las UC especiales está sujeta a la revisión de las actividades y costos por parte de la Comisión, y en este sentido, se entiende que para actividades, elementos o materiales que sean iguales para las UC ya establecidas y las UC especiales se deben reconocer los valores ya definidos en la regulación. Lo anterior teniendo en cuenta que estos fueron parte de los análisis realizados por la Comisión para la expedición de la metodología, fueron construidos con base en la información aportada por las empresas de distribución, y ya fueron objeto de discusión durante el proceso de aprobación de la metodología.
Para la valoración de la UC especial de canalización de 4 tubos de 6” se mantienen las actividades y cantidades solicitadas por el OR. Sin embargo, en los casos en los que fue posible identificar materiales comunes con las UC ya definidas, como el hormigón de 3000 psi (210 kg/cm2) y el acero de refuerzo, se emplearon los valores utilizados para las UC aprobadas en la Resolución CREG 015 de 2018.
Se aclara que la UC N2L79 corresponde a una canalización que contiene 6 tubos de 4 pulgadas y 3 tubos de 6 pulgadas, por lo cual, se considera que la comparación empleada en el recurso no es válida. Para efectos de comparación se puede tomar como referencia la UC N2L77, correspondiente a una canalización de 4 tubos de 4 pulgadas. En este caso, el valor de la UC especial aprobado es 28% mayor que el de la UC N2L77. El mayor valor se asocia con un diámetro mayor de los tubos y una mayor cantidad de hormigón en su instalación.
Con base en lo anterior, no se modifica el valor aprobado para esta UC especial.
Segunda solicitud, numeral 3.3
Unidad constructiva: Centro de control tipo 2 (SCADA+EMS+DMS Operativo), UC N0P9. Solicitamos respetuosamente a la Comisión indicar el valor aprobado para esta unidad constructiva con una connotación especial, y que no fue relacionada por la Comisión en el archivo “Inventario reconocido INVA OR - CARIBEMAR ". El costo de la citada unidad constructiva asciende a $13.910.740.513 conforme consta en el documento soporte del plan de inversión en el numeral 7.1. Sistema SCADA + EMS + DMS Operativo.
Análisis de la Comisión
Se verificó que en los formatos de reporte de las UC del plan de inversiones el OR solicitó la UC N0P9, la cual fue aprobada con base en el valor de dicha UC en la Resolución CREG 025 de 2021
Con la aclaración realizada en el recurso de reposición, y una vez revisados los soportes presentados en el documento Plan de Inversiones Regulatorio de Distribución de Energía Eléctrica -Caribe Mar2021 -2025 sobre esta UC especial, se modifica el valor aprobado considerando la información presentada por el OR.
El OR solicitó un SCADA tipo 2 (SCADA + EMS + DMS operativo) con un valor correspondiente a pesos de agosto de 2020. Este valor fue ajustado aplicando un factor de indexación a diciembre de 2017, teniendo en cuenta que las UC del capítulo 14 de la Resolución CREG 015 de 2018 se encuentran en pesos de diciembre de 2017.
Segunda solicitud, numeral 3.4
De igual forma, solicitamos a la Comisión evaluar el valor asignado al sistema de gestión de activos relacionado con las unidades constructivas N0P76, N0P77, N0P78 y N0P79, toda vez que el valor asignado $4.806.957.571 es menor al valor propuesto por Caribemar de $5.360.001.000, justificado en el documento soporte del plan de inversión en el numeral 7.5. Gestión de Activos.
Así mismo, solicitamos respetuosamente incluirla dentro del valor aprobado en el plan de inversión, considerando que en el archivo Excel “Inventario reconocido INVA OR - CARIBEMAR " en el formato 10 no fue relacionada. En la Tabla 14 el comparativo entre los valores aprobados y los solicitados.
Tabla 14. Comparativo de unidades constructivas del sistema de gestión de activos. (…)
Análisis de la Comisión
Se verificó que en la valoración de las UC asociadas con la implementación del sistema de gestión de activos se empleó julio de 2020 como fecha de referencia, y posteriormente se indexó a pesos de diciembre de 2017.
Teniendo en cuenta que para esta UC no se especificó la fecha de referencia de los pesos, y que para otras UC especiales solicitadas por el OR se referencian a precios de diciembre de 2019 o se presentan cotizaciones de los primeros meses de 2020, se ajusta la fecha de referencia a diciembre de 2019, y posteriormente se indexa a pesos de 2017.
Segunda solicitud, numeral 4
4. Incluir en el monto aprobado de la inversión la valoración de las unidades constructivas de control de subestaciones (N0P1 a N0P5) multiplicando el valor de la unidad constructiva por el número de bahías asociadas. (…)
Unidades constructivas de Control subestaciones (N0P1 a la N0P5). Identificamos que, en la valoración de las unidades constructivas, estas no se encuentran multiplicadas por la cantidad de bahías.
De igual forma el campo “Fracción costo”, no identificamos los ajustes que se enviaron para estas unidades constructivas durante el proceso del auto de pruebas I-2021-000043 y como se especificó en el anexo 2 “Anexo B. Informe Plan de inversión__2021130000010011.docx” numeral 1, donde se dio respuesta a las observaciones del auto I-2021-000043 (cambio en los % de reposición parcial por una reposición total de la unidad constructiva), en este sentido se requiere que los valores queden incorporados dentro del valor aprobado.
En la Tabla 15, se detalla las diferencias en valoración que representan lo enunciado, y que asciende a un menor valor de reconocimiento en el plan de inversión de $79.113.011.771.
Tabla 15. Comparativo de la inversión aprobado respecto al número de bahías. (…)
Subrayado fuera de texto
Análisis de la Comisión
En relación con las UC de control de subestación se aclara que la metodología no establece su reconocimiento como el resultado de multiplicar el número de bahías por un único reporte de UC de casa de control por subestación por año, razón por la cual no procede la solicitud en este sentido.
Adicionalmente, se verificaron los formatos de reporte de las UC del plan de inversiones, y se encontró que el OR reportó más de una UC de casa de control por subestación y por año.
Sobre los valores del campo “Fracción costo” se encuentra procedente realizar el ajuste de los valores con la última información suministrada por el OR.
Segunda solicitud, numeral 5
5. Incluir en el monto aprobado de la inversión la valoración de las unidades constructivas de módulo común para todos los niveles multiplicando el valor de la unidad constructiva por el número de bahías asociadas. (…)
Unidades constructivas de módulo común. Identificamos que, en la valoración de las unidades constructivas, estas no se encuentran multiplicadas por la cantidad de bahías asociadas, lo que representa un menor valor en el plan de inversión de $21.631.112.000. En la Tabla 16 se detalla las diferencias en valoración que representan lo enunciado.
Tabla 16. Comparativo en valoración módulo común. (…)
Análisis de la Comisión
Es importante resaltar que el número de bahías utilizado corresponde únicamente a las bahías adicionales que se instalan en la subestación, y este número no contabiliza los reportes asociados a reposiciones de bahías existentes, evitando así que la UC de módulo común se remunere por encima del 100%.
Cabe señalar que el reporte del OR incluye, entre otras particularidades, UC de módulo común sin bahías asociadas para la misma subestación en el mismo año y en el mismo nivel de tensión, razón por la cual no son reconocidas.
Segunda solicitud, numeral 6
6. Actualizar la “Fracción costo”, conforme a la actualización del “Anexo B. Informe Plan de inversión__2021130000010011.docx” numeral 1, donde se dio respuesta a las observaciones del auto I-2021-000043, (cambio en los % de reposición parcial por una reposición total de la unidad constructiva), en este sentido se requiere que los valores queden incorporados dentro del valor aprobado.
Análisis de la Comisión
Se verificó la información reportada por el OR y se realizaron los ajustes correspondientes.
Segunda solicitud, numeral 7
7. Actualizar la información del módulo común, conforme a la actualización del “Anexo B. Informe Plan de inversión__2021130000010011.docx” numeral 3, donde se dio respuesta a las observaciones del auto I-2021-000043, (debe existir un módulo común por subestación/año/nivel de tensión), en este sentido se requiere que los valores queden incorporados dentro del valor aprobado.
Análisis de la Comisión
Se dio respuesta en el análisis de la Comisión para la Segunda solicitud, numeral 5.
Segunda solicitud, numeral 8
8. Incluir en el monto aprobar de la inversión los valores resultantes de las UC del sistema de gestión de activos.
Análisis de la Comisión
Se realizan los ajustes señalados en la respuesta al numeral 3.4 de la segunda solicitud.
Segunda solicitud, numeral 9
9. Considerar para la valoración de las unidades constructivas de transformadores de potencia el procedimiento definido en los “literal s del capítulo 14 de la Resolución CREG 015 - 2018, modificado por el artículo 19 de la Resolución CREG 085 - 2018”, para corregir diferencias en el valor aprobado de la inversión.
Las diferencias identificadas se encuentran en el orden de $16.059.306.000 entre años y niveles de tensión las cuales se muestran en la Tabla 17 y Tabla 18.
Análisis de la Comisión
Se verificó la asignación entre niveles de tensión y se realizaron los ajustes correspondientes.
Por otra parte, una vez revisada la información suministrada por el OR, tanto en el recurso de reposición como durante la actuación administrativa para la expedición de la Resolución CREG 025 de 2021, se identificó que el OR no reportó, en todos los casos, la información del transformador asociado a las bahías y celdas de transformadores para la aplicación de lo definido en el numeral 14.1 de la Resolución CREG 015 de 2018.
Se procede a identificar el transformador y, para los casos donde no sea posible su identificación, se utiliza el nivel de tensión de la UC de bahía o celda reportada.
Tercera solicitud
TERCERO: Modificar el artículo 7. de la Resolución CREG 025 de 2021 en siguiente sentido:
1. Ajustar los valores del AOM de pérdidas para los años 2012 y 2013, que afectan el AOM de distribución del año 5 de la Tabla 9 de la Resolución CREG 025 de 2021. (…)
A. Corrección del AOM de pérdidas para los años 2012 y 2013.
1. En el archivo “Calculo ingresos D Caribemar.xlsx” en la hoja “Información_OR_Caribe” en el concepto, AOM destinado a programas de reducción de pérdidas (AOMPj,t), se observan los valores reportados por el OR Caribe, en las indicadas en la Tabla 19.
Tabla 19. Gastos AOM de pérdidas – Información OR Caribe (…)
2. Sin embargo, en la hoja “Información Resolución” para la misma variable los valores difieren para los años 2012 y 2013, pasando respectivamente, de 11.189.048.558 a 71.546.206.228 para el 2012, y de 17.430.615.463 a 87.181.060.012 para el año 2013. Como se observa en la Tabla 20.
Tabla 20. Gastos AOM de pérdidas – Información Resolución
Los valores correctos son los contenidos en la hoja “Información_OR_Caribe” que coinciden con la solicitud de anterior OR Electricaribe, y que fueron reportados por Caribemar en el archivo “Circular CREG 029 de 2018 – Información OR CaribeMar Res 010 2020.xlsx” dentro de la actuación administrativa.
4. La corrección tiene un efecto en el total de AOM base por nivel de tensión para el año 5, con un incremento del 13,17%, como se observa en la Tabla 21.
Tabla 21. Impacto del mayor gasto en pérdidas en el reconocimiento del AOM de distribución en el año 5. (…)
Análisis de la Comisión
En primer lugar, se aclara que la hoja de cálculo Información_OR_Caribe del archivo Calculo ingresos D Caribemar.xlsx contiene la información entregada por la empresa, mientras que la hoja de cálculo Caribe contiene la información revisada por la Comisión.
En relación con la información de AOM destinado a programas de reducción de pérdidas, en el numeral 7.3.7.2. del anexo general de la Resolución CREG 015 de 2018 se establece lo siguiente:
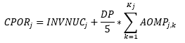
7.3.2.3. Cálculo de la variable CPORj
La variable CPORj está conformada por los gastos de AOM relacionados con pérdidas de energía y por la remuneración de las inversiones mencionadas en el numeral 7.3.2.1, según la siguiente expresión:

Donde: (…)
AOMPj,k: Gastos del OR j en pérdidas de energía, durante los años k (de 2012 al 2016). Esta información corresponde a la entregada por los OR en respuesta a las circulares CREG 027 de 2014 y CREG 015 de 2017, en pesos de la fecha de corte.
En el caso de que un OR no haya reportado información en respuesta a estas circulares, esta variable tomará el valor igual a cero (0). (…)
Subrayado fuera de texto
Mediante las comunicaciones con radicado CREG E-2014-005120 y E–2014–005198, Electricaribe remitió a la Comisión, en respuesta a la Circular CREG 027 de 2014, la siguiente información:
Adjunto remitimos la información solicitada sobre pérdidas gastos e inversiones en reducción de pérdidas para el período 2009-2013.
2. Inversión y gastos de la empresa en planes de reducción de pérdidas (Millones de pesos corrientes/año)
| AÑO | INVERSIÓN Y GASTOS (Mill $ corrientes) | ||
| Gastos | Inversión | TOTAL | |
| 2009 | 28.345 | 42.578 | 70.923 |
| 2010 | 32.879 | 39.501 | 72.380 |
| 2011 | 64.792 | 45.296 | 110.088 |
| 2012 | 71.546 | 47.204 | 118.750 |
| 2013 | 87.181 | 41.120 | 128.301 |
Se confirmó que la información de AOM utilizada por la Comisión para los años 2012 y 2013 coincide con la reportada por Electricaribe en respuesta a la Circular CREG 027 de 2014, tal como lo señala la metodología de la Resolución CREG 015 de 2018. Con base en lo anterior, no se modifica el valor de AOM del quinto año.
Cuarta solicitud
CUARTO: Modificar los artículos 12 y 13 de la Resolución CREG 025 de 2021 en siguiente sentido:
1. Definir un valor de referencia de calidad individual garantizada para los usuarios que se encuentren clasificados en el grupo 21 del nivel de tensión 2_3, dado que, actualmente CARIBEMAR DE LA COSTA tiene clasificado un (1) usuario en este grupo de calidad, y en la Resolución CREG 025 de 2021 no tiene valores límite para los grupos mencionados. (…)
A. Valor de referencia de calidad individual garantizada para los grupos de calidad que no tienen.
1. En el documento CREG 018-21, la Comisión mencionado en los puntos f y g del numeral 2.4.4.4 Cálculo de indicadores, el procedimiento desarrollado para obtener los resultados. (…)
Con la información reportada al SUI por CaribeMar para el 2019 en los formatos 1, 4 y 5, en el grupo de calidad 21 en el nivel de tensión 2_3 se reportó información de interrupciones para dos (2) usuarios. Al efectuar el procedimiento establecido para calcular el valor de referencia de calidad individual garantizada, usando la información de las interrupciones de estos dos usuarios, obtenemos un valor para DIUG: 184,70 y para FIUG: 176.
3. En Anexo 4: “Interrupciones 2019 grupo de calidad 21 Nivel 2 y 3.xlsb”, se remite información de interrupciones asociada al grupo de calidad 21 en el nivel de tensión 2_3, del año 2019 para que la Comisión pueda realizar las verificaciones que considere.
4. En este sentido, solicitamos a la Comisión definir un valor de referencia de calidad individual garantizada para los usuarios que se encuentren clasificados en el grupo 21 del nivel de tensión 2_3, dado que, actualmente CARIBEMAR DE LA COSTA tiene clasificado un (1) usuario en este grupo de calidad, y en la Resolución CREG 025 de 2021 no tiene valores límite para los grupos mencionados.
Es probable que a lo largo del período regulatorio se aumente el número de usuarios de este grupo de calidad y resulte necesario el valor límite para la aplicación del esquema de calidad de la resolución CREG 015 de 2018.
Análisis de la Comisión
Con base en lo solicitado por el OR acerca de establecer indicadores de referencia de calidad individual DIUG y FIUG para el grupo 2_1 de los niveles de tensión 2 y 3, la CREG revisó las bases de datos con el fin de verificar si se presentaba la situación expuesta en el recurso de reposición. De la revisión se concluyó que en la información de vinculación cliente-red del SUI existen elementos que pertenecen al grupo de calidad 2_1 y que, por error, no fueron utilizados. Por tanto, la información de calidad de los usuarios asociados no fue empleada para el cálculo de los indicadores de referencia del grupo de calidad 2_3.
Por lo anterior, la CREG encuentra justificación para aceptar la solicitud de definir indicadores de referencia de calidad individual DIUG y FIUG para el grupo 2_1 de los niveles de tensión 2 y 3, y modifica los artículos relacionados con este ajuste.
Quinta solicitud, numeral 1
QUINTO: Modificar el artículo 16 de la Resolución CREG 025 de 2021 en el siguiente sentido:
1. Ajustar el índice PTj,10 con las diferencias identificadas en las fuentes de información, considerando:
En la energía de entrada los registros de la Frontera El Paso (FRT 31425) (…)
3. En la energía de entrada para cada nivel de tensión, en la variable EeGj,4,m a partir de abril de 2019, se observa una reducción en promedio mes de aproximadamente 10 GWh/mes, que por su característica de consumo permite deducir que obedece al consumo de la frontera comercial “El Paso” con código FRT31425. En el entendido que el registro de energía de la frontera comercial FRT31425 es considerado en el balance de energía de acuerdo con el concepto CREG S-2020-001742, el cual se anexa.
Análisis de la Comisión
En relación con la frontera comercial con código Frt 31425, se verificó la información utilizada para la expedición de la Resolución CREG 025 de 2021 y se encontró que, para los meses de enero, febrero, marzo y parte de abril de 2019, la energía se asigna como entrada al sistema del OR, mientras que para parte de abril y los meses posteriores, incluso para el año 2020, la energía se encuentra reportada como una entrada al STN. Con base en dicho reporte, la energía de este generador no es considerada durante la mayor parte del año 2019 como una entrada al sistema del OR sino una entrada al STN.
Con base en lo anterior, se confirmó que la información de esta frontera fue utilizada según el tipo de frontera reportada en el ASIC.
Quinta solicitud, numeral 2
QUINTO: Modificar el artículo 16 de la Resolución CREG 025 de 2021 en el siguiente sentido:
1. Ajustar el índice PTj,10 con las diferencias identificadas en las fuentes de información, considerando:
(…) En la energía de salida para nivel de tensión 2, considerar el consumo propio Celsia Solar Bolívar correspondiente a la frontera comercial con código Frt31152.
4. En la energía de salida para el nivel de tensión 2, en la variable FsSTNj,2,m, de Enero a Diciembre de 2019, no se tuvo en cuenta la salida del consumo propio Celsia Solar Bolívar correspondiente a la frontera comercial con código Frt31152. El cual presenta un promedio de consumo de 4,8MWh/m.
Análisis de la Comisión
El numeral 7.3.7.2 del anexo general de la Resolución CREG 015 de 2018 establece lo siguiente:
7.3.7.2 Energía de salida para cada nivel de tensión
La energía de salida en cada uno de los niveles de tensión del sistema del OR j, se calcula como:
![]()
Donde: (…)
Esj,n,m Energía de salida del sistema del OR j en el nivel de tensión n, durante el mes m, expresada en kWh.
EsVFCj,n,m Ventas de energía en las fronteras comerciales del nivel de tensión n, del mercado de comercialización servido por el OR j, para el mes m. Corresponde a la suma de las medidas en las fronteras comerciales registradas en el SIC para el mercado de comercialización servido por el OR j, sin referir al STN, para la venta de energía a usuarios no regulados de todos los comercializadores del mercado y de las de usuarios regulados de los comercializadores distintos al incumbente. Incluye la energía entregada a los auxiliares de las subestaciones.
Subrayado fuera de texto
Se verificó que la frontera comercial con código Frt 31152, frontera Celsia Solar Bolívar, está reportada como una frontera de consumo propio o servicios auxiliares en el nivel de tensión 2 y que, en aplicación de lo definido en el numeral anteriormente citado, la energía reportada de esta frontera fue incluida como parte de las ventas de energía en las fronteras comerciales del nivel de tensión 2 del mercado de comercialización servido por Caribemar.
En la siguiente tabla se presentan los flujos utilizados por la Comisión para calcular la variable ESVFC, separando la información de ventas y la de servicios auxiliares, así como los flujos presentados por el OR.
| Período | ESVFC ventas – CREG | ESVFC auxiliares – CREG | ESVFC total - CREG | ESVFC- OR |
| 1-2019 | 79.906.277 | 5.648 | 79.911.925 | 78.764.084 |
| 2-2019 | 73.156.455 | 4.452 | 73.160.907 | 72.039.335 |
| 3-2019 | 81.717.915 | 4.797 | 81.722.711 | 80.591.712 |
| 4-2019 | 78.642.669 | 5.665 | 78.648.334 | 77.523.927 |
| 5-2019 | 81.242.289 | 4.882 | 81.247.172 | 80.209.521 |
| 6-2019 | 82.093.442 | 4.710 | 82.098.151 | 81.081.437 |
| 7-2019 | 89.184.154 | 4.481 | 89.188.635 | 88.064.277 |
| 8-2019 | 89.242.878 | 4.732 | 89.247.610 | 88.041.296 |
| 9-2019 | 85.706.121 | 4.612 | 85.710.733 | 84.585.164 |
| 10-2019 | 85.523.426 | 4.598 | 85.528.024 | 84.411.826 |
| 11-2019 | 83.890.282 | 4.874 | 83.895.156 | 82.821.706 |
| 12-2019 | 86.878.151 | 4.947 | 86.883.098 | 85.675.131 |
| Total | 997.184.059 | 58.399 | 997.242.458 | 983.809.416 |
Se observa que, en el valor total utilizado por la Comisión, 997.242.458 kWh año, se incluyen las ventas de energía y la energía de las fronteras de consumo propio o servicios auxiliares, que, en este caso, corresponde únicamente a la de la frontera Frt 31152, Celsia Solar Bolívar.
Con base en lo anterior, se verificó que la Comisión empleó la información de esta frontera de acuerdo con lo establecido en la metodología, por lo cual, no se encuentran diferencias en la aplicación de la metodología que requieran un ajuste en el valor aprobado.
Quinta solicitud, numeral 3
QUINTO: Modificar el artículo 16 de la Resolución CREG 025 de 2021 en el siguiente sentido:
1. Ajustar el índice PTj,10 con las diferencias identificadas en las fuentes de información, considerando:
(…) Verificar y corregir las ventas con fronteras comerciales de usuarios no regulados y regulados atendidos por otros comercializadores, en el nivel de tensión 3.
5. En las ventas con fronteras comerciales de usuarios no regulados y regulados atendidos por otros comercializadores, en el nivel de tensión 3, durante los meses de enero a mayo de 2019 se observa un aumento de 2,5 GWh/mes, que no se presenta durante los siguientes meses del año 2019.
Análisis de la Comisión
De acuerdo con el numeral 7.3.7.2 del anexo general de la Resolución CREG 015 de 2018, para determinar la variable ESVFC se deben considerar las ventas de energía a usuarios no regulados de todos los comercializadores del mercado, y de las de usuarios regulados de los comercializadores distintos al incumbente.
Se verificó que en la información suministrada por el LAC y utilizada por la Comisión para la expedición de la Resolución CREG 025 de 2021, la frontera con código Frt 31021 corresponde a un usuario no regulado, y tiene reportadas ventas únicamente para el período enero a mayo de 2019.
Adicionalmente, se verificó que los flujos de esta frontera fueron considerados de acuerdo con la metodología.
Con base en lo anterior, no se encuentran diferencias en la aplicación de la metodología que requieran un ajuste en el valor aprobado.
Quinta solicitud, numeral 4
QUINTO: Modificar el artículo 16 de la Resolución CREG 025 de 2021 en el siguiente sentido:
1. Ajustar el índice PTj,10 con las diferencias identificadas en las fuentes de información, considerando:
(…) Validar y corregir las ventas a usuarios del comercializador incumbente, donde se observa una variación importante. 2.
6. En las ventas a usuarios regulados del comercializador incumbente, sobre las cuales la Comisión en el documento CREG 018 de 2021 informa que empleó el consumo facturado y reportado al SUI, considerando los ajustes de facturación solicitados por el OR, relacionados con consumo anulado y reliquidado, se observa diferencias con los valores que dispone CaribeMar en los niveles de tensión 3 y 2. Los valores utilizados por la Comisión en los niveles citados son inferiores a los de CaribeMar. En la Tabla 22 se observan las diferencias entre las dos fuentes de información.
Tabla 22. Comparativo de ventas a usuarios regulados del comercializador incumbente
| Variable | Promedio mes (GWh/mes) | |||
| Caribemar | CREG 025/21 | Diferencia | Variación (%) | |
| EsVSFCj,3,m | 3.131.897 | 3.165.246,75 | -33.350 | -1,06% |
| EsVSFCj,2,m | 65.537.274 | 62.515.048,33 | 3.022.226 | 4,61% |
| EsVSFCj,1,m | 342.091.963 | 336.325.389,92 | 5.766.573 | 1,69% |
Análisis de la Comisión
Sobre las ventas a usuarios regulados utilizadas en la aprobación de la Resolución CREG 025 de 2021 se empleó la información de consumos disponibles en el SUI en la consulta realizada por esta Comisión en marzo de 2021, la cual considera el último cambio de información realizado por la empresa.
En relación con la información correspondiente a los campos 36 y 39 de los formatos 2 y 3 de la Resolución SSPD 20102400008055, modificada por Resolución SSPD 20121300017645, se verificó que la Comisión empleó el consumo facturado y reportado al SUI, considerando los ajustes de facturación solicitados por el OR, relacionados con el consumo anulado y reliquidado.
Sobre este punto se verificó que los valores empleados para determinar la variable EsVSFCj,n,m consideraran el ajuste del campo tipo de facturación, encontrando que en los cálculos realizados se suman los consumos reportados en los campos 13 y 14 de los formatos 2 y 3 de la Resolución SSPD 20102400008055, cuyo tipo de facturación corresponde a inicial (I) y liquidados/refacturados (L) en los campos 36 y 39 de dicha resolución, y que los consumos reportados en los campos 2 y 3 cuyo tipo de facturación corresponde a anulados (A), en los campos 36 y 39 fueron descontados, como se observa en la siguiente tabla:
| Período | Consumo inicial (I) | Consumo anulado (A) | Consumo liquidado / refacturado (L) | ConsumoI – A + L |
| 1-2019 | 305.988.135 | 2.486.838 | 1.118.126 | 304.619.423 |
| 2-2019 | 318.114.743 | 3.225.386 | 1.455.522 | 316.344.879 |
| 3-2019 | 327.752.529 | 3.206.574 | 1.594.240 | 326.140.195 |
| 4-2019 | 334.780.301 | 2.796.924 | 1.563.329 | 333.546.706 |
| 5-2019 | 353.795.155 | 3.065.090 | 1.562.525 | 352.292.590 |
| 6-2019 | 337.701.023 | 2.175.741 | 1.180.788 | 336.706.070 |
| 7-2019 | 346.093.184 | 2.438.770 | 1.274.089 | 344.928.503 |
| 8-2019 | 355.776.409 | 2.368.548 | 1.013.896 | 354.421.757 |
| 9-2019 | 353.215.516 | 3.056.217 | 1.311.204 | 351.470.503 |
| 10-2019 | 338.898.622 | 3.130.173 | 1.379.823 | 337.148.272 |
| 11-2019 | 334.769.031 | 2.818.674 | 1.367.528 | 333.317.885 |
| 12-2019 | 345.944.911 | 2.594.584 | 1.617.569 | 344.967.896 |
| Total | 4.052.829.559 | 33.363.519 | 16.438.639 | 4.035.904.679 |
El valor de la variable EsVSFCj,1,m empleado en el cálculo de los índices de pérdidas corresponde a 4.035.904.679 kWh, tal como se observa en la tabla Ventas de usuarios regulados del comercializador incumbente, en el rango de rango de celdas (AC262:AO266) de la hoja de cálculo Capítulo_7 del archivo Calculo ingresos D Caribemar.xlsx entregado al OR como parte de los documentos de soporte de la Resolución CREG 025 de 2021.
Con base en lo anterior, no se modifica la información de la variable EsVSFCj,n,m, ya que para su cálculo se consideraron los ajustes solicitados por el OR durante la actuación administrativa, respecto a la aplicación de los campos 36 y 39 de los formatos 2 y 3 de la Resolución SSPD 20102400008055, en el cálculo de las ventas a usuarios regulados, así como la información disponible en el SUI en marzo de 2021.
Sexta solicitud
SEXTO: Modificar el artículo 17 de la Resolución CREG 025 de 2021.
3. Ajustar el índice IPTSj,10 por el valor requerido por CaribeMar en la senda de reducción de pérdidas, equivalente a 13,57%. (…)
A. Validación de los Índices de referencia para la senda de reducción de pérdidas, en el cual se concluye lo siguiente:
1. En la Tabla 21 del artículo 17 de la Resolución CREG 025 de 2021, el indicador IPTSj,10 es equivalente a 13,10%, sin embargo, en la senda del plan de gestión de pérdidas aportado por CaribeMar el valor para el citado indicador es de 13,57%.
2. En el documento CREG 018 de 2021 la Comisión realiza el siguiente comentario: “Para la senda de reducción de pérdidas, el valor inicial corresponde a 25,5% y el valor final corresponde al solicitado por el OR, es decir 13,57%.”
3. De acuerdo con lo expuesto por la Comisión en el documento CREG 018 de 2021, el valor correcto para el indicador IPTSj,10 es de 13,57%, y no el referido en la Resolución CREG 025 de 2021. En este sentido, consideramos que la resolución debe ser corregida conforme a lo dispuesto en el documento CREG 018 de 2021.
Análisis de la Comisión
Se verificó que la información de la variable IPTSj,10 aprobada en la Resolución CREG 025 de 2021 no coincide con la información entregada por el OR en la solicitud de aprobación de ingresos, por lo cual, se ajusta el valor según la solicitud del OR.
Séptima solicitud, numeral 1
SÉPTIMO: Modificar el artículo 18 de la Resolución CREG 025 de 2021, en el siguiente sentido:
1. Considerar para la obtención del Costo anual del plan de gestión de pérdidas, el costo del plan de reducción de pérdidas presentado por CaribeMar. (…)
A. Acorde con el concepto de la Comisión, los criterios para la definición del plan de gestión de pérdidas para CaribeMar, no se ajustan a lo establecido por norma e incorpora un procedimiento adicional no previsto. Teniendo en cuenta lo anterior, se expone lo siguiente:
1. El Costo total del plan estimado por CaribeMar y presentado a la Comisión corresponde a 1.429.649 millones de pesos de diciembre de 2017, sin embargo el valor indicado en la hoja resultados del libro Excel “Calculo ingresos D Caribemar.xlsx” se determinó en 381.394 millones de pesos, lo que obedece a un plan ajustado y depurado por la Comisión.
2. La Comisión mediante el modelo de costos eficientes y la información del mercado operado por CaribeMar, obtuvo un resultado del Costo total del plan estimado con el modelo de costos eficientes, equivalente a 847.795 millones de pesos, conforme consta en el documento CREG-018 de 2021 en el numeral 3 “Resultados Generales” del libro Excel “Calculo ingresos D Caribemar.xlsx.
3. Se debe tener en cuenta que el valor resultante del modelo de costos eficientes se obtiene a partir del modelo desarrollado por la Universidad de Pereira – UTP con la historia de los programas de gestión de pérdidas que las empresas llevaron a cabo durante los últimos años y no integra conceptos recientes como la infraestructura de medición avanzada (AMI). Dicho modelo, entrega un costo eficiente en las condiciones bajo las cuales se encuentra reglamentada la Resolución CREG 015 de 2018, que implica un despliegue del plan de gestión de pérdidas que no tiene asociados los costos de implementación de tecnologías AMI.
4. Conforme lo señala la Comisión en el documento CREG 018 de 2021, esta Comisión evidencio en los anexos y documentos, alguna información que le permite concluir que el OR reportó proyectos con infraestructura de medición avanzada (AMI), razón por la cual, excluye lo que relaciona como inversión relacionada con proyectos implementados con Infraestructura de Medición Avanzada (AMI) y ajusta el plan de gestión de pérdidas presentado por el OR, aunque se debe resaltar que el OR plantea como objetivo la instalación de medición centralizada, como estrategia dentro del plan de reducción de pérdidas.
5. La Comisión compara el resultado del modelo de costos eficiente (CPCEj) con el valor resultante del costo total del plan estimado por el OR ajustado por la Comisión (CPOR), resultando como costo anual el plan de gestión de pérdidas (CAPj) que es el costo del plan ajustado por la Comisión.
6. En el entendido que el resultado del modelo de costos eficientes (CPCEj) es el valor que requiere un OR para realizar como mínimo su plan de gestión de pérdidas y en esta etapa se ha surtido toda la depuración de los costos, incluido cualquier posibilidad que un OR proyecte instalar Infraestructura Medición Avanzada (AMI), en este sentido, no entendemos por qué la Comisión realiza la depuración del costo de plan suministrado por el OR y no realiza la comparación del costo eficiente (CPCEj) con el valor del plan presentado por el OR, en cuyo sentido, el valor resultante a aprobar a Caribe Mar sería los 847.795 millones de pesos que indica el modelo de costos eficientes.
Subrayado fuera de texto
Análisis de la Comisión
El numeral 7.3.2.3 de la Resolución CREG 015 de 2018, modificado en la Resolución CREG 085 de 2018 establece lo siguiente respecto al cálculo de la variable CPORj:
7.3.2.3. Cálculo de la variable CPORj
La variable CPORj está conformada por los gastos de AOM relacionados con pérdidas de energía y por la remuneración de las inversiones mencionadas en el numeral 7.3.2.1, según la siguiente expresión:

Donde:
CPORj: Costo total del plan, en pesos de la fecha de corte, presentado por el OR j para su aprobación.
INVNUCj: Costo de las inversiones en activos que no son clasificables como UC del OR j, aplicable para los planes de reducción de pérdidas. Para los OR con plan de mantenimiento de pérdidas este valor es igual a cero (0).
AOMPj,k: Gastos del OR j en pérdidas de energía, durante los años k (de 2012 al 2016). Esta información corresponde a la entregada por los OR en respuesta a las circulares CREG 027 de 2014 y CREG 015 de 2017, en pesos de la fecha de corte.
En el caso de que un OR no haya reportado información en respuesta a estas circulares, esta variable tomará el valor igual a cero (0).
Kj: Es el número de años con información reportada por el OR j.
DP: Duración horizonte de planeación del plan de pérdidas en años, igual a diez (10).
Subrayado fuera de texto
De este numeral es claro que el Costo total del plan, CPORj, corresponde a la suma de dos conceptos: i) las inversiones en activos que no son clasificables como UC, los cuales están relacionadas en el numeral 7.3.2.1 y ii) los gastos del OR en pérdidas de energía, que es calculado con base en los costos históricos en reducción de pérdidas.
El numeral 7.3.2.1 de la Resolución CREG 015 de 2018, modificado en la Resolución CREG 085 de 2018, establece lo siguiente respecto a las inversiones que son reconocidas en el plan de reducción de pérdidas:
7.3.2.1. Cálculo del costo anual del plan
La variable CAPj corresponde al costo anual del plan que remunera los costos y gastos asociados con la recuperación o mantenimiento de pérdidas de energía y, para los OR que requieren de aprobación de plan de reducción de pérdidas la remuneración será de la siguiente manera:
![]()
Donde:
CAPj: Costo anual del plan de gestión de pérdidas del mercado de comercialización j aprobado al OR que atiende dicho mercado. El menor valor que toma esta variable es el que corresponde al AOM de mantenimiento de pérdidas.
CTPj: Costo total del plan para el OR j, en pesos de la fecha de corte, calculado según el numeral 7.3.2.
DP: Duración horizonte de planeación del plan de pérdidas en años, igual a diez (10).
Independientemente del horizonte de planeación del plan de pérdidas, este será remunerado durante la vigencia de los ingresos aprobados con base en la presente resolución.
En el costo total del plan se pueden incluir las siguientes inversiones: medidores de usuarios finales regulados que no cuenten con medidor a la fecha de presentación del plan y su costo no sea trasladado al usuario, medidores en el arranque de todas las líneas, equipos de medida en los puntos de entrada de cada nivel de tensión, macromedidores instalados en transformadores de distribución y sistemas de medición centralizada, incluyendo software y comunicaciones. (…)
Subrayado fuera de texto
De lo anterior se entiende que en la variable INVNUC, que hace parte de la variable CPOR, se incluyen inversiones en activos que no son clasificables como UC según el listado del numeral 7.3.2.1.
En la actuación administrativa para aprobar los ingresos de las empresas, la Comisión debe verificar que la información, procedimientos y cálculos empleados por el OR en su solicitud se ajusten a lo dispuesto en la metodología. Por tal razón, la Comisión verificó, con base en la información suministrada por el OR, que las inversiones solicitadas dentro de la variable INVNUC cumplieran con los criterios definidos en la metodología.
El OR señala lo siguiente:
En el entendido que el resultado del modelo de costos eficientes (CPCEj) es el valor que requiere un OR para realizar como mínimo su plan de gestión de pérdidas y en esta etapa se ha surtido toda la depuración de los costos, incluido cualquier posibilidad que un OR proyecte instalar Infraestructura Medición Avanzada (AMI), en este sentido, no entendemos por qué la Comisión realiza la depuración del costo de plan suministrado por el OR y no realiza la comparación del costo eficiente (CPCEj) con el valor del plan presentado por el OR.
Subrayado fuera de texto
En primer lugar, se señala que en el numeral 7.3.2 del anexo general de la Resolución CREG 015 de 2018 se tiene prevista la comparación entre las variables CPCE y CPOR para determinar el valor de la variable CTP, tal como se observa a continuación:
El costo total del plan a aprobar a cada OR se determinará según la siguiente expresión:
![]()
Donde:
CTPj: Costo total del plan para el OR j, en pesos de la fecha de corte.
CPCEj: Costo total del plan, en pesos de la fecha de corte. Este valor resulta de la aplicación del modelo de costos eficientes de que trata el numeral 7.3.2.2, actualizado a pesos de la fecha de corte.
CPORj: Costo total del plan, en pesos de la fecha de corte, presentado por el OR j para su aprobación.
Subrayado fuera de texto.
El OR indica en el recurso de reposición que los criterios empleados por la Comisión no se ajustan a lo establecido por la norma y se incorpora un procedimiento adicional no previsto. Al respecto, se reitera que la Comisión puede verificar que la información, procedimientos y cálculos empleados por el OR en su solicitud se ajusten a lo dispuesto en la metodología. De otra parte, se reitera que el cálculo de las diferentes variables se realizó con base en las formulas determinadas en la Resolución CREG 015 de 2018, tal como se puede verificar en la hoja de cálculo Capítulo_7 del archivo Calculo Ingreso D Caribemar.xlsx, entregada al OR como soporte de la Resolución CREG 025 de 2021.
Finalmente, se aclara que el valor de la variable CPCE no corresponde al mínimo valor que requiere un OR para alcanzar un nivel de pérdidas determinado. Al contrario, corresponde al máximo valor del programa de reducción de pérdidas.
Séptima solicitud, numeral 2
SÉPTIMO: Modificar el artículo 18 de la Resolución CREG 025 de 2021, en el siguiente sentido: (…)
2. Efectuar la comparación con el Costo Eficiente (CPCE) calculado a partir del modelo de costos eficientes. (…)
B. Utilización del modelo de costos eficientes de la Universidad Tecnológica de Pereira (UTP).
1. Para establecer el valor del Costo eficiente (CPCE) informado a la Comisión en la solicitud.
La información considerada corresponde a los años año 2019 y 2020, conforme se interpreta las definiciones contenidas en el manual del modelo de la UPT.
“t_1 indica la energía de entrada al sistema del año anterior. De manera, similar, la Energía de Salida en la columna t-1 denota las ventas de energía del año anterior. Así mismo, la Energía de Entrada en la columna t denota las ventas de energía estimadas para el año en curso. Entonces, el nombre de la casilla indica el tipo de información que se requiere (Energía de Entrada, Energía de Salida, etc.) y la columna t-1 o t indican si son valores del año anterior o del año en curso. Los valores para el año en curso deben ser valores estimados.”
- Los valores para el año t-1, es decir 2019, son reales. Para el año t, que corresponde al año 2020, son estimados, conforme lo indica el modelo.
- Con los parámetros de entrada, que se adjunta en el ANEXO 6. Valores para ejecución del modelo de la UTP.xlsx, se obtuvo el valor referido en la solicitud por 1.089.716 millones para el Costos eficiente (CPCE)
2. Para determinar el cumplimiento de la senda aprobada en la Resolución CREG 025 de 2021 (artículo 17 del costo anual del plan de gestión de pérdidas), del cual se obtiene el siguiente resultado.
- A partir del costo anual del plan de gestión de pérdidas (CAPj), aprobado en la Resolución CREG 025 de 2021, se obtuvo la inversión mínima y máxima para el horizonte de 10 años del plan de gestión de pérdidas, considerando las ventas de energía proyectadas por CaribeMar para el período de análisis.
Manteniendo los valores para las demás variables que solicita el modelo de la UTP y que fueron considerados para los análisis previos a la presentación de la solicitud de ingresos de CaribeMar, se modificó la inversión mínima y máxima, y la senda aprobada, conforme se indica en la Tabla 23.
Tabla 23. Variables para ejecutar modelo de la UTP. (…)
- Los resultados de la ejecución del modelo de la UTP en cinco (5) ocasiones fue el mismo, es decir “no se alcanzó el nivel de pérdidas proyectado por la comisión”.
- Basados en lo anterior y el hecho que el modelo no converja, permite evidenciar que el monto aprobado para el costo del plan de gestión de pérdidas es insuficiente para alcanzar las metas aprobadas por la Comisión.
- Dado que en la documentación remitida por la Comisión no se aporta las variables utilizadas para alcanzar el monto del Costos Eficiente (CPCE), ilustrado en el documento CREG 018 de 2021 en el numeral 3 Resultados generales, no fue posible reproducir este cálculo, basado en las variables que utiliza la Comisión.
Análisis de la Comisión
Al respecto se identificó que en la Resolución CREG 025 de 2021 se calculó la variable CPCE con base en la información del índice de pérdidas del sistema obtenido con la información disponible en el SUI antes de los ajustes de información realizados en los primeros meses del año por el OR.
Teniendo en cuenta que la información del SUI con base en la cual se aprobaron los índices de pérdidas corresponde a la disponible en el SUI en marzo de 2021, y que estos índices son mayores a los obtenidos con la información anterior, se modifica el valor de la variable CPCE, considerando los índices de pérdidas iniciales obtenidos con la información de ventas disponible en el SUI en marzo de 2021.
Se señala que el valor de la variable CPCE empleado en la Resolución CREG 025 de 2021 no modificaba los resultados de la variable Costo total del programa, CTP, al tener un mayor valor que el de la variable CPOR utilizada en dicha resolución.
Séptima solicitud, numeral 3
3. Seleccionar el mínimo valor entre los dos valores anteriores, conforme lo establece la Resolución CREG 015 de 2018. (…)
Análisis de la Comisión
Se verificó que para la expedición de la Resolución CREG 025 de 2021, el cálculo de las diferentes variables, incluyendo la variable CTP definida en el numeral 7.3.2, se realizó con base en las fórmulas determinadas en la Resolución CREG 015 de 2018. Lo anterior se puede evidenciar en la hoja de cálculo Capítulo_7 del archivo Calculo Ingreso D Caribemar.xlsx, entregada al OR como soporte de la resolución particular de aprobación de ingresos.
No obstante, se aclara que el valor de la variable CTP se ajusta teniendo en cuenta los cambios en las variables CPCE o CPOR resultantes de la revisión del recurso de reposición.
Octava solicitud, numeral 1
OCTAVO: Modificar el artículo 19 de la Resolución CREG 025 de 2021, en el siguiente sentido:
1. Aprobar las inversiones en activos que no son clasificables como UC que CaribeMar presentó en el plan de reducción de pérdidas.
2. Las inversiones presentadas en el plan de reducción de pérdidas son las requeridas para mejorar las condiciones de prestación del servicio de energía eléctrica y alcanzar los indicadores eficientes que se proyectan.
3. Considerar la actualización del soporte de certificación de las cuentas contables para el registro de las inversiones en el plan de reducción de pérdidas. (…)
A. Las inversiones solicitadas para el plan de gestión de pérdidas obedecen a las necesidades del mercado y se ajusta a la normatividad que lo reglamenta.
1. CaribeMar presentó un plan de gestión de pérdidas acorde con la normatividad vigente y en las proporciones económicas que permitan, a partir de su ejecución, alcanzar las metas que presentó y alcanzar las pérdidas eficientes en un horizonte de 10 años.
2. La Comisión en el numeral 2.5.6.3 Inversiones del plan de reducción de pérdidas del documento CREG-018 de 2021, señala:
“En la solicitud del OR, la mayor parte de las inversiones corresponden a proyectos que el OR denomina normalización y en algunos apartes medición centralizada. Tanto en el documento de soporte del plan de pérdidas como en los anexos se identifica que estos proyectos corresponden a proyectos de Infraestructura de Medición Avanzada, AMI, aunque son denominados proyectos de medición centralizada, al respecto se aclara que los proyectos AMI no se incluyen en la variable INVNUC.”
Posteriormente la Comisión considera:
“Con base en lo anterior, se excluyen las inversiones relacionadas con proyectos de implementación de infraestructura de Medición Avanzada, AMI.”
3. En este punto debemos resaltar que, contrario a lo indicado documento CREG018 de 2021, el plan de gestión de pérdidas presentado por CaribeMar, se encuentra conforme a lo establecido en la Resolución CREG 015 de 2018, numeral 7.3.2.1 “Cálculo del costo anual del plan”, la cual establece:
“En el costo total del plan se puede incluir las siguientes inversiones: medidores de usuarios finales regulados que no cuenten con medidor a la fecha de prestación del plan y su costo no sea trasladado al usuario, medidores en el arranque de todas las líneas, equipos de medida en los puntos de entrada de cada nivel de tensión, macromedidores instalados en transformadores de distribución y sistemas de medición centralizada, incluyendo software y comunicaciones.” (Subrayado fuera del texto original).
4. En ese sentido, el plan de gestión de pérdidas por parte de CaribeMar se acoge a lo definido en la norma, adicionalmente la solicitud se hace como un plan para reducir los altos niveles de pérdidas de energía que se tienen en el mercado que se atiende, cercanas al 30% de pérdidas totales a corte de 2019 y que continuaron su incremento en el año 2021 llegando a 33%. A lo anterior se suma la existencia de un sistema de distribución frágil que permite la vulnerabilidad de este, las condiciones económicas de los usuarios y la eficiencia en los procesos para combatir el fraude, entre otras.
5. Debido a las características del mercado, es evidente la necesidad de incorporar como eje fundamental a la estrategia de reducción de pérdidas la ejecución de proyectos de aseguramiento y blindaje de la red y la implementación de tecnologías de medición centralizadas. De acuerdo con lo anterior, a la fecha nuestro mercado con corte al mes de marzo se compone de 1.606.402 clientes, de los cuales podemos resaltar:
- Contamos con 147.013 usuarios directos, siendo este uno de los objetivos principales de las actividades del plan de pérdidas.
- Presentamos 58.305 clientes con el medidor dañado, foco de ejecución de la operativa de Control de Energía.
- Se ha presentado un incremento del 2,6% de los usuarios ubicados en áreas geográficas catalogadas como Barrios Eléctricamente Subnormales y Zonas de Difícil Gestión (590.387 usuarios comparando Octubre 2020 con Marzo 2021), y sobre estas comunidades se proyecta la realización de trabajos como construcción de red, instalación de macromedidores e instalación de medida centralizada.
- Cabe destacar el crecimiento de comunidades Subnormales en 2,31% respecto a Octubre 2020, con un total a la fecha de 142.112 grupos de familia, en los cuales estamos trabajando para mejorar su calidad de vida en lo referente al servicio de energía eléctrica, a través de los proyectos de normalización de redes y medida, con un objetivo aproximado de 80.000 usuarios en los próximos 5 años.
- Cabe resaltar que la medida centralizada proyectada a instalar en estos segmentos de mercado, es vital para la gestión del mismo, debido que los índices de pobreza y los factores climáticos que caracteriza la región en la que opera CaribeMar, se traducen en un bajo porcentaje de pago del servicio de energía y por tanto se genera en los usuarios la necesidad de obtener el servicio de forma antitécnica, generando accesos no autorizados a las redes de distribución en baja tensión normales y en muchas ocasiones vulnerando los sistemas de medición tradicionales con el objetivo de obtener la energía para cubrir sus necesidades, situación que se presenta en menor proporción en otras regiones del país, donde las características climatológicas y los niveles de pobreza, no son tan agresivos como en esta región de la costa.
6. Este tipo de tecnologías de medición centralizada ha permitido desde su llegada a Colombia, aportar al control y reducción de pérdidas de energía, basados en la orientación que se obtiene a través de los balances de energía, permitiendo focalizar y rentabilizar las actividades de reducción de pérdidas en mercados como los que atiende CaribeMar.
7. La implementación de sistemas de medición centralizada en el proceso de reducción de pérdidas, tienen como componentes básicos los medidores, sistemas de comunicación y software de gestión, que a su vez se apoyan en herramientas informáticas que facilitan el análisis y control de la información, monitoreo, seguimiento y control en tiempo real de los usuarios normalizados.
8. Ahora bien, conforme lo establece el literal e) del numeral 7.3.1 “Requisitos para la presentación del plan de reducción” de la Resolución 015 de 2018, el OR debía aportar un certificado detallado de las cuentas creadas en el sistema de contabilidad, en el siguiente sentido:
“e. Certificación del representante legal, contador y revisor fiscal del OR detallando el código de las cuentas creadas en la contabilidad, que permitan el registro independiente de todas las actividades relacionadas con el plan.”
Teniendo en cuenta lo dispuesto en la norma transcrita, CaribeMar aportó la certificación expedida por el anterior OR del mercado que actualmente opera CaribeMar, documentación que fue elaborada conforme los criterios de la anterior compañía y la estructura del sistema contable que disponía esa compañía, dado que CaribeMar a la fecha no había asumido la operación del mercado.
Con la finalidad de actualizar dicha certificación y que esta corresponda a las condiciones de información y las características que CaribeMar implementó en su sistema contable, se permite aportar la certificación actualizada y la cual se consideró como elemento de repuesta al recurso (ANEXO 7).
9. En ese sentido, debemos aclarar que las referencias a sistemas de medición AMI incluidas en la certificación elaborada por el anterior OR, corresponden en realidad a los “sistemas de medición centralizada, incluyendo medidores, software y comunicaciones” incluidos dentro del plan de gestión de pérdidas de CaribeMar en los términos establecidos en la Resolución CREG 015 de 2018, numeral 7.3.2.1, tal como se evidencia en la certificación actualizada.
B. No es claro si el valor de la variable INVNUC aprobada en la Resolución CREG 025 de 2021, obedece al costo total de las inversiones o al valor anual de dichas inversiones.
1. La Resolución CREG 085 de 2019, que modifica la Resolución CREG 015 de 2018, define el INVNUCj en los siguientes términos:
“INVNUCj: Costo de las inversiones en activos que no son clasificables como UC del OR j, aplicable para los planes de reducción de pérdidas. Para los OR con plan de mantenimiento de pérdidas este valor es igual a cero (0).”
En estas condiciones, se entiende que el INVNUCj se refiere al valor total en el horizonte del plan de reducción de pérdidas, y no a un valor anual.
2. En el artículo 19 de la Resolución CREG 025 de 2021, en la Tabla 23, hace referencia a un costo anual de inversiones en activos no clasificables como UC identificado con la variable INVNUCj. En cuyo caso, surge la inquietud sobre si el valor es el del total del plan de gestión de pérdidas o el valor anual de inversión, de ser esté último, el valor anual de inversión superaría el valor del costo anual de gestión de pérdidas reconocido, imponiendo un castigo a CaribeMar, dado que tendría de reintegrar a los usuarios un costo superior al reconocido. En ese sentido, solicitamos aclarar la resolución recurrida.
C. Criterios para la depuración del plan de reducción de pérdidas por parte de la Comisión
1. Conforme lo señala la Comisión en el numeral 2.5.6.3 “Inversiones del plan de reducción de pérdidas” del documento CREG 018 de 2021, la Comisión excluye inversiones, en el entendido que el OR incluyó inversiones para proyectos de implementación de Infraestructura de Medición Avanzada, AMI.
2. Dado que no se detalla las inversiones que fueron excluidas en la información aportada por parte de la Comisión, a partir del comentario efectuado por la Comisión, se pueden inferir las actividades excluidas del plan de reducción de pérdidas, sin embargo, luego de efectuadas las exclusiones de las inversiones de medición centralizada entendidas por la comisión como inversiones AMI, el valor difiere al aprobado en el artículo 19 de la Resolución CREG 025 de 2021.
1. Considerando las siguientes actividades descritas en el plan de reducción de pérdidas de CaribeMar: Gestión de grandes consumidores, Campañas sistemáticas en consumidores regulados, instalación de medidores a usuarios sin medición, herramientas informáticas de planificación y gestión de energía, barridos de media tensión (BMT) y Gestión Social; el valor resultante para el plan de reducción de pérdidas es de $240.863 millones de pesos de diciembre de 2017 en activos de no uso, mayor al obtenido por la Comisión de $54.383 millones de pesos.
En Anexo 8, los valores resultantes de descontar las acciones que tiene que ver con medición centralizada dentro del plan de gestión de pérdidas.
Subrayado fuera de texto
Análisis de la Comisión
En relación con el punto A de la solicitud, en el documento Certificado contador CM RES 015 CPROG vf.pdf, que hace parte de los soportes presentados por el OR en la solicitud de aprobación de ingresos, se indica lo siguiente:
EL SUSCRITO CONTADOR DE ELECTRIFICADORA DE CARIBE S.A. E.S.P. NIT 802.007.670-6
En mi calidad de Contador de ELECTRICARIBE, informo que a fecha 29 de abril de 2020 la Compañía ha realizado los procedimientos para la implementación de la información incluida en el Anexo I adjunto denominado "Creación de cuentas contables destinadas al Programa de Reducción de Pérdidas Eficientes – CPROG" de CARIBEMAR DE LA COSTA SAS ESP, identificada con el NIT No. 901.380.949-1, como consecuencia del proceso de solución empresarial adelantado sobre ELECTRICARIBE, el cual implicaba la creación de dicha empresa para la prestación del servicio de energía en los Departamentos de Bolívar, Sucre, Córdoba y Cesar, luego de que se cumplan las condiciones definidas en el Reglamento de Presentación de Ofertas Vinculantes y Enajenación de Acciones expedido por la Agente Especial de ELECTRICARIBE y el Contrato de Compraventa de Acciones. No obstante, la creación de estas cuentas por las razones antes expuestas, el manejo y modificación de estas será responsabilidad de la administración de CARIBEMAR DE LA COSTA SAS ESP. (…)
El proceso de implantación y revisión incluyeron, entre otras, las siguientes actividades:
1. Analizar la Resolución CREG 015 de 2018, modificada por la Resolución CREG 085 de 2018 y 036 de 2019, en la cual se establece la metodología para la remuneración de la actividad de distribución de energía eléctrica en el Sistema Interconectado Nacional, así mismo, los requerimientos de información que debe ser certificados por el Revisor Fiscal o Contador de la Compañía.
2. Indagar con las Gerencias de Control de Energía y Regulación, sobre los procedimientos que debe realizar la Compañía para dar cumplimiento al Plan de Reducción y Mantenimiento de Pérdidas.
3. Elaborar los procedimientos contables mediante los cuales se detallan los códigos de las cuentas creadas en la contabilidad, que permita el registro independiente de todas las actividades relacionadas con el Plan de Reducción y Mantenimiento de Pérdidas. (…)
Subrayado fuera de texto.
En relación con las cuentas destinadas al programa de reducción de pérdidas, en el Anexo 1 de dicho documento se señala lo siguiente:
Anexo I Creación de cuentas contables destinadas al Programa de Reducción de Pérdidas Eficientes – CPROG Propuesta Plan Contable
Actividades de inversión
En virtud de la mencionada resolución, la CARIBEMAR DE LA COSTA SAS ESP ha desarrollado un plan de pérdidas con una fuerte inversión en redes y en equipos de macro medición, basada en el control energético, mejora de la red y tecnificación de la medida incorporando las últimas tecnologías de información, encaminadas a la detección y eliminación de anomalías a través de campañas que incluyen la normalización de instalaciones.
Las cuentas definidas para el registro del valor de las inversiones se han establecido teniendo en cuenta las líneas de acción principales definidas para el plan de reducción de pérdidas, las cuales son: (…)
Infraestructuras de Medición Avanzada: contiene la inversión por mano de obra y materiales, así como las herramientas informáticas, necesarias para la instalación de nuevos medidores y reemplazo de convencionales por este sistema de medición centralizada y que obedezcan a acciones para el control y reducción de pérdidas de energía.
Aseguramiento y Mejora de Red: este plan consiste en la construcción de redes con protección (anti-defraudación), que dificultan la manipulación de las redes de baja tensión evitando conexiones ilegales. Contiene toda la inversión por mano de obra, materiales para la instalación de la red y las acometidas.
Subrayado fuera de texto.
Se observa que en el anexo que sirve de base para establecer las cuentas asociadas con el programa de reducción de pérdidas se incluyen actividades denominadas “INFRAESTRUCTURA DE MEDICIÓN AVANZADA”, conformada por las siguientes actividades “AMI CLIENTES REGULARES Y MEDIOS, COMUNICACIÓN Y SOFTWARE AMI, AMI GRANDES CONSUMIDORES Y OPERACIÓN AMI”.
De otra parte, se observa que en las actividades clasificadas como aseguramiento y mejora de red se consideran, tanto la instalación de redes, como la instalación de acometidas.
En el recurso de reposición, el OR adjunta una nueva certificación en la cual no se incluye el detalle de las inversiones y no se hace referencia a la implementación de sistemas AMI.
El OR presentó el resumen sobre las actividades y costos solicitados en el plan de reducción de pérdidas como se observa a continuación:
Los activos de no uso solicitados, CPROG, suman un valor total de 1.069.698 millones de pesos entre el 2021 y el 2029. Dentro de este valor se encontraron programas asociados con gastos y no con inversiones del plan como son: las campañas sistemáticas en consumidores regulados y medios, la gestión de grandes consumidores y la gestión social.
Actividades solicitadas por el OR que no se incluyen en la variable INVNUC
A continuación, se presenta la justificación presentada por el OR para las actividades que se entiende que no corresponden en su mayoría a inversiones sino a actividades relacionadas con gastos, según lo definido en el numeral 7.3.2.1 del anexo general de la Resolución CREG 015 de 2018.
2.3.4 Campañas Sistemáticas en Consumidores Regulares y Medios
Estas Campañas están dirigidas a la recuperación de energía, a través de la gestión inteligente de la información proveniente de diferentes fuentes, tales como, reportes de usuarios (internos o externos), bases de datos, software predictivo, análisis de escritorio, gestión de alarmas, información de balances de energía de macromedidores, etc. Esta gestión permitirá identificar usuarios con anomalías en la medida y/o acometida que impidan el registro efectivo de la energía, por lo cual se deberá desplegar la operativa necesaria para lograr la normalización de estas anomalías en terreno.
(…)
Gestión social para el Plan Integral de Pérdidas
Para el desarrollo efectivo de las acciones del Plan Integral de Pérdidas, se considerará el trabajo social que se debe adelantar con las comunidades con las cuales se tenga contacto, dado que permitirá mantener el control de las variables de tipo socioeconómico y cultural, así como, la formación y asistencia al usuario para minimizar el impacto sobre la actuación y normalización de la medida y todos aquellos aspectos que buscan eliminar o minimizar la creación de conflicto, que podrían afectar la consecución de los objetivos plasmados en el Plan.
(…)
2.3.1 Gestión de grandes consumidores
Las acciones por ejecutarse concentran principalmente en los primeros 5 años del Plan Integral de Pérdidas, durante los cuales se prevé gestionarla totalidad de los usuarios que conforman este segmento. Los costos de mano de obra de estas acciones corresponden a los precios pagados a los contratistas resultantes de los procesos contractuales adelantados por la empresa.
Las actividades de gestión en grandes consumidores se fundamentan en la ejecución de acciones de control orientadas por las alarmas y eventos entregadas por los sistemas complementarios en el segmento de Grandes Consumidores de la compañía y al análisis de la información comercial de estos clientes, con el propósito de lograr un impacto positivo en la disminución de las pérdidas en esta porción de mercado, así como la atención de los requerimientos asociados a la operación comercial y el cumplimiento de requisitos regulatorios propios de la gestión de los clientes grandes consumidores. (…)
Con base en las aclaraciones realizadas por el OR se ajusta el valor de la variable INVNUC empleada para determinar el valor de la variable CPOR, excluyendo las actividades en las cuales se entiende que corresponden a gastos, y no a inversiones del plan. El valor de las inversiones de la variable INVNUC corresponde a 901.651 millones de pesos.
Sobre al punto B se señala que el valor para la variable CAP incluido en el artículo 18 de la Resolución CREG 025 de 2021 corresponde al valor anual, y el valor de la variable INVNUC, definida en el artículo 19, corresponde al valor total. En este caso se aclara que el título de la tabla 23 es incorrecto, al no ser un valor anual.
Sobre el punto C se aclara que en la variable INVNUC solamente se incluyen activos que no son de uso, y no se incluyen gastos como gestión social, entre otros.
Con base en los análisis presentados anteriormente, se realizaron los ajustes correspondientes. La información detallada de las modificaciones realizadas se entrega como soporte de esta resolución.
La Comisión de Regulación de Energía y Gas, en su sesión 1100 del 24 de junio de 2021, acordó expedir esta resolución.
RESUELVE:
ARTÍCULO 1. MODIFICAR EL ARTÍCULO 2 DE LA RESOLUCIÓN CREG 025 DE 2021. El artículo 2 de la Resolución CREG 025 de 2021 quedará así:
Artículo 2. base regulatoria de activos eléctricos al inicio del período tarifario. La base regulatoria de activos eléctricos al inicio del período tarifario, BRAEj,n,0, es el siguiente:
Tabla 1 Base regulatoria de activos eléctricos al inicio del período tarifario.
| Variable | Pesos de diciembre de 2017 |
| BRAEj,4,0 | 970.617.260.565 |
| BRAEj,3,0 | 465.181.070.011 |
| BRAEj,2,0 | 1.323.477.903.690 |
| BRAEj,1,0 | 685.672.863.567 |
ARTÍCULO 2. MODIFICAR EL ARTÍCULO 3 DE LA RESOLUCIÓN CREG 025 DE 2021. El artículo 3 de la Resolución CREG 025 de 2021 quedará así:
Articulo 3 Inversión aprobada en el plan de inversiones. El valor de las inversiones aprobadas en el plan de inversiones, INVAj,n,l,t, para cada nivel de tensión, es el siguiente:
Tabla 2 Plan de inversiones del nivel de tensión 4, pesos de diciembre de 2017
| Categoría de activos l | INVAj,4,l,1 | INVAj,4,l,2 | INVAj,4,l,3 | INVAj,4,l,4 | INVAj,4,l,5 |
| l = 1 | 3.847.338.809 | 5.933.894.000 | 183.780.149 | 15.195.298.000 | 0 |
| l = 2 | 0 | 0 | 0 | 0 | 0 |
| l = 3 | 2.898.419.053 | 5.399.574.925 | 3.700.241.968 | 19.363.554.928 | 1.249.663.235 |
| l = 4 | 2.618.653.117 | 4.286.924.257 | 2.931.477.675 | 1.649.730.000 | 2.667.897.000 |
| l = 5 | 1.660.218.000 | 1.321.398.000 | 1.219.752.000 | 813.168.000 | 237.174.000 |
| l = 6 | 10.485.916.924 | 8.815.585.000 | 10.638.783.666 | 3.911.068.000 | 7.817.437.997 |
| l = 7 | 22.547.173.393 | 12.535.579.310 | 7.191.764.671 | 10.667.006.543 | 3.697.626.000 |
| l = 8 | 5.779.434.500 | 2.874.763.550 | 1.064.537.500 | 0 | 0 |
| l = 9 | 0 | 0 | 0 | 0 | 0 |
| l = 10 | 1.744.231.000 | 1.153.989.979 | 6.529.827.225 | 1.130.579.921 | 1.575.245.671 |
Tabla 3 Plan de inversiones del nivel de tensión 3, pesos de diciembre de 2017
| Categoría de activos l | INVAj,3,l,1 | INVAj,3,l,2 | INVAj,3,l,3 | INVAj,3,l,4 | INVAj,3,l,5 |
| l = 1 | 12.788.559.395 | 3.974.568.940 | 12.871.467.131 | 4.817.437.500 | 15.271.015.992 |
| l = 2 | 0 | 0 | 0 | 0 | 0 |
| l = 3 | 35.393.324.260 | 20.624.859.822 | 49.359.174.580 | 26.143.216.338 | 28.505.598.000 |
| l = 4 | 6.305.021.000 | 5.166.628.674 | 11.110.436.302 | 4.903.150.054 | 6.514.274.000 |
| l = 5 | 708.960.000 | 635.536.000 | 1.187.508.000 | 714.868.000 | 1.066.820.000 |
| l = 6 | 3.825.614.000 | 3.232.476.000 | 8.789.784.000 | 3.865.112.000 | 5.694.980.000 |
| l = 7 | 25.152.940.619 | 28.946.297.391 | 66.733.270.692 | 15.582.423.068 | 43.251.697.587 |
| l = 8 | 858.914.991 | 416.063.938 | 1.902.932.379 | 1.190.107.658 | 2.450.089.868 |
| l = 9 | 1.801.099.000 | 2.054.663.000 | 658.089.000 | 177.151.000 | 230.798.000 |
| l = 10 | 1.744.231.000 | 1.153.989.979 | 6.529.827.225 | 1.130.579.921 | 1.575.245.671 |
Tabla 4 Plan de inversiones del nivel de tensión 2, pesos de diciembre de 2017
| Categoría de activos l | INVAj,2,l,1 | INVAj,2,l,2 | INVAj,2,l,3 | INVAj,2,l,4 | INVAj,2,l,5 |
| l = 1 | 19.931.556.528 | 9.289.835.560 | 24.220.809.269 | 18.320.726.100 | 19.432.312.408 |
| l = 2 | 0 | 0 | 0 | 0 | 0 |
| l = 3 | 21.475.700.544 | 6.812.596.756 | 22.297.396.000 | 11.779.398.004 | 21.034.773.340 |
| l = 4 | 11.164.052.140 | 10.642.451.270 | 10.451.628.037 | 8.238.179.028 | 9.771.543.449 |
| l = 5 | 5.895.019.000 | 976.014.000 | 1.640.088.000 | 1.019.251.000 | 1.593.367.000 |
| l = 6 | 4.369.024.000 | 2.387.912.000 | 3.864.532.000 | 2.261.789.000 | 3.852.765.000 |
| l = 7 | 148.673.778.734 | 122.290.725.896 | 129.921.441.446 | 95.542.265.276 | 118.707.856.109 |
| l = 8 | 16.518.699.549 | 12.123.623.967 | 19.451.903.392 | 21.506.563.340 | 20.538.923.994 |
| l = 9 | 46.047.288.000 | 11.872.124.000 | 9.190.408.000 | 3.053.431.000 | 5.325.427.000 |
| l = 10 | 1.744.231.000 | 1.153.989.979 | 6.529.827.225 | 1.130.579.921 | 1.575.245.671 |
Tabla 5 Plan de inversiones del nivel de tensión 1, pesos de diciembre de 2017
| Categoría de activos l | INVAj,1,l,1 | INVAj,1,l,2 | INVAj,1,l,3 | INVAj,1,l,4 | INVAj,1,l,5 |
| l = 11 | 32.126.942.000 | 35.767.901.000 | 34.966.351.000 | 32.909.763.000 | 34.754.956.000 |
| l = 12 | 22.402.683.930 | 31.536.719.603 | 32.095.339.750 | 28.875.889.654 | 34.009.376.837 |
ARTÍCULO 3. MODIFICAR EL ARTÍCULO 4 DE LA RESOLUCIÓN CREG 025 DE 2021. El artículo 4 de la Resolución CREG 025 de 2021 quedará así:
Artículo 4. Recuperación de capital de activos de la BRA inicial. El valor de la recuperación de capital reconocida para los activos incluidos en la base regulatoria inicial de activos, RCBIAj,n,1, es el siguiente:
Tabla 6 Recuperación de capital de activos de la BRA inicial
| Variable | Pesos de diciembre de 2017 |
| RCBIAj,4,1 | 31.466.199.392 |
| RCBIAj,3,1 | 15.040.206.488 |
| RCBIAj,2,1 | 39.582.055.310 |
| RCBIAj,1,1 | 34.899.235.958 |
ARTÍCULO 4. MODIFICAR EL ARTÍCULO 5 DE LA RESOLUCIÓN CREG 025 DE 2021. El artículo 5 de la Resolución CREG 025 de 2021 quedará así:
Artículo 5. Recuperación de capital de activos nuevos. El valor de la recuperación de capital reconocida para los activos que entraron en operación en el primer año, RCNAj,n,1, es el siguiente:
Tabla 7 Recuperación de capital de activos nuevos
| Variable | Pesos de diciembre de 2017 |
| RCNAj,4,1 | 1.569.738.896 |
| RCNAj,3,1 | 2.974.647.725 |
| RCNAj,2,1 | 7.880.511.942 |
| RCNAj,1,1 | 1.963.657.451 |
ARTÍCULO 5. MODIFICAR EL ARTÍCULO 6 DE LA RESOLUCIÓN CREG 025 DE 2021. El artículo 6 de la Resolución CREG 025 de 2021 quedará así:
Artículo 6. Base regulatoria de terrenos. El valor de la base regulatoria de terrenos, BRTj,n,1, del año 1, para los niveles de tensión 4, 3 y 2, es el siguiente:
Tabla 8 Base regulatoria de terrenos
| Variable | Pesos de diciembre de 2017 |
| BRTj,4,1 | 232.091.009 |
| BRTj,3,1 | 82.384.537 |
| BRTj,2,1 | 146.912.333 |
ARTÍCULO 6. MODIFICAR EL ARTÍCULO 7 DE LA RESOLUCIÓN CREG 025 DE 2021. El artículo 7 de la Resolución CREG 025 de 2021 quedará así:
Artículo 7. AOM base por nivel de tensión. El valor del AOM base para cada nivel de tensión, AOMbasej,n, y para cada año es el siguiente:
Tabla 9 AOM base por nivel de tensión, pesos de diciembre de 2017
| Variable | Año 1 | Año 2 | Año 3 | Año 4 | Año 5 |
| AOMbasej,4 | 62.022.175.803 | 62.022.175.803 | 62.022.175.803 | 51.685.146.502 | 38.310.969.800 |
| AOMbasej,3 | 29.724.942.340 | 29.724.942.340 | 29.724.942.340 | 24.770.785.283 | 18.361.035.445 |
| AOMbasej,2 | 84.569.873.779 | 84.569.873.779 | 84.569.873.779 | 70.474.894.816 | 52.238.636.236 |
| AOMbasej,1 | 43.814.307.261 | 43.814.307.261 | 43.814.307.261 | 36.511.922.718 | 27.064.007.036 |
ARTÍCULO 7. MODIFICAR EL ARTÍCULO 8 DE LA RESOLUCIÓN CREG 025 DE 2021. El artículo 8 de la Resolución CREG 025 de 2021 quedará así:
Artículo 8. Factor ambiental para las nuevas inversiones. El valor del factor ambiental para las nuevas inversiones, fAMBj, es el siguiente:
Tabla 10 Factor ambiental para nuevas inversiones
| Variable | Valor |
| fAMBj | 1,0260 |
ARTÍCULO 8. MODIFICAR EL ARTÍCULO 12 DE LA RESOLUCIÓN CREG 025 DE 2021. El artículo 12 de la Resolución CREG 025 de 2021 quedará así:
Artículo 12. Indicadores de calidad individual de duración de eventos. La duración máxima anual de los eventos percibidos por los usuarios, DIUGj,n,q, en los niveles de tensión 2, 3 y 1, es la siguiente:
Tabla 14 DIUG niveles de tensión 2 y 3, horas
| Ruralidad 1 | Ruralidad 2 | Ruralidad 3 | |
| Riesgo 1 | - | 208,86 | 61,88 |
| Riesgo 2 | 50,11 | 209,11 | 201,86 |
| Riesgo 3 | 47,35 | 226,57 | 274,82 |
Tabla 15 DIUG nivel de tensión 1, horas
| Ruralidad 1 | Ruralidad 2 | Ruralidad 3 | |
| Riesgo 1 | - | 248,86 | 360,00 |
| Riesgo 2 | 80,92 | 254,20 | 360,00 |
| Riesgo 3 | 82,25 | 242,20 | 360,00 |
ARTÍCULO 9. MODIFICAR EL ARTÍCULO 13 DE LA RESOLUCIÓN CREG 025 DE 2021. El artículo 13 de la Resolución CREG 025 de 2021 quedará así:
Artículo 13. Indicadores de calidad individual de frecuencia de eventos. La frecuencia máxima anual de los eventos percibidos por los usuarios, FIUGj,n,q, en los niveles de tensión 2, 3 y 1, es la siguiente:
Tabla 16 FIUG niveles de tensión 2 y 3, veces
| Ruralidad 1 | Ruralidad 2 | Ruralidad 3 | |
| Riesgo 1 | - | 145 | 127 |
| Riesgo 2 | 71 | 148 | 214 |
| Riesgo 3 | 52 | 177 | 296 |
Tabla 17 FIUG nivel de tensión 1, veces
| Ruralidad 1 | Ruralidad 2 | Ruralidad 3 | |
| Riesgo 1 | - | 149 | 235 |
| Riesgo 2 | 76 | 212 | 317 |
| Riesgo 3 | 72 | 240 | 360 |
ARTÍCULO 10. MODIFICAR EL ARTÍCULO 15 DE LA RESOLUCIÓN CREG 025 DE 2021. El artículo 15 de la Resolución CREG 025 de 2021 quedará así:
Artículo 15 Costos de reposición de referencia. El costo de reposición de referencia, CRRj, y los costos de reposición de referencia por nivel de tensión, Crrj,n, son los siguientes:
Tabla 19 Costo de reposición de referencia
| Variable | Pesos de diciembre de 2017 |
| CRRj | 3.651.586.835.850 |
| Crrj,4 | 994.572.951.612 |
| Crrj,3 | 490.281.056.170 |
| Crrj,2 | 1.391.852.770.969 |
| Crrj,1 | 774.880.057.100 |
ARTÍCULO 11. MODIFICAR EL ARTÍCULO 17 DE LA RESOLUCIÓN CREG 025 DE 2021. El artículo 17 de la Resolución CREG 025 de 2021 quedará así:
Artículo 17. Senda de reducción de pérdidas. El índice de pérdidas totales del mercado al inicio del plan, IPTj,0, y el índice de pérdidas totales al final de la senda son los siguientes:
Tabla 21 Índices de referencia para la senda de reducción de pérdidas
| Variable | Valor |
| IPTj,0 | 25,46% |
| IPTSj,10 | 13.57% |
ARTÍCULO 12. MODIFICAR EL ARTÍCULO 18 DE LA RESOLUCIÓN CREG 025 DE 2021. El artículo 18 de la Resolución CREG 025 de 2021 quedará así:
Artículo 18. Costo anual del plan de gestión de pérdidas. El costo anual del plan de gestión de pérdidas, CAPj, es el siguiente:
Tabla 22 Costo anual del plan de gestión de pérdidas
| Variable | Pesos de diciembre de 2017 |
| CAPj | 90.911.753.943 |
ARTÍCULO 13. MODIFICAR EL ARTÍCULO 19 DE LA RESOLUCIÓN CREG 025 DE 2021. El artículo 19 de la Resolución CREG 025 de 2021 quedará así:
Artículo 19 Costo de las inversiones en activos que no son clasificables como UC. El costo de las inversiones en activos que no son clasificables como unidades constructivas, INVNUCj, es el siguiente:
Tabla 23 Costo de inversiones en activos no clasificables como UC
| Variable | Pesos de diciembre de 2017 |
| INVNUCj | 582.107.909.812 |
ARTÍCULO 14. La presente resolución deberá notificarse al representante legal de la empresa CARIBEMAR DE LA COSTA S.A.S. E.S.P. y publicarse en el Diario Oficial. Contra lo dispuesto en este acto no procede recurso alguno, toda vez que se entienden agotados todos los recursos que por ley son obligatorios.
NOTIFÍQUESE, PUBLÍQUESE Y CÚMPLASE
Dado en Bogotá D.C., 24 JUN. 2021
MIGUEL LOTERO ROBLEDO
Viceministro de Energía Delegado del Ministro de Minas y Energía
Presidente
JORGE ALBERTO VALENCIA MARÍN
Director Ejecutivo