PROYECTO DE RESOLUCIÓN 705 004 DE 2022
(noviembre 9)
<Fuente: Archivo interno entidad emisora>
COMISIÓN DE REGULACIÓN DE ENERGÍA Y GAS - CREG
La Comisión de Regulación de Energía y Gas, en su sesión No. 1208 del 9 de noviembre de 2022, aprobó someter a consulta pública el presente proyecto de resolución por el término de diez (10) días hábiles, contados a partir del día siguiente a su publicación en el portal web de la CREG.
Se invita a los prestadores de los servicios públicos domiciliarios sujetos a la regulación de la CREG y a los demás interesados, para que remitan sus observaciones o sugerencias sobre la propuesta al director ejecutivo de la Comisión de Regulación de Energía y Gas, al correo electrónico creg@creg.gov.co, dentro del plazo establecido, identificando el mensaje con el siguiente asunto: Contribución especial 2022.
Por la cual se señala el porcentaje de la contribución especial que deben pagar las personas prestadoras del servicio de energía eléctrica, gas natural y gas licuado de petróleo (GLP), sometidas al ámbito de regulación de la Comisión de Regulación de Energía y Gas en el año 2022 y se dictan otras disposiciones.
LA COMISIÓN DE REGULACIÓN DE ENERGÍA Y GAS
En ejercicio de sus atribuciones constitucionales y legales, en especial las conferidas por el artículo 85 de la Ley 142 de 1994 y el artículo 22 de la Ley 143 de 1994, y
CONSIDERANDO QUE:
El artículo 365 de la Constitución Política establece que los servicios públicos son inherentes a la finalidad social del Estado, quien debe garantizar su prestación eficiente a todos los habitantes del territorio nacional.
El artículo 370 ibidem, dispone que “Corresponde al Presidente de la República señalar, con sujeción a la ley, las políticas generales de administración y control de eficiencia de los servicios públicos domiciliarios y ejercer por medio de la Superintendencia de Servicios Públicos Domiciliarios (SSPD), el control, la inspección y vigilancia de las entidades que los presten”.
El inciso 2 del artículo 338 de la Constitución Política de Colombia dispone que “… La ley, las ordenanzas y los acuerdos pueden permitir que las autoridades fijen la tarifa de las tasas y contribuciones que cobren a los contribuyentes, como recuperación de los costos de los servicios que les presten o participación en los beneficios que les proporcionen; pero el sistema, y el método para definir tales costos y beneficios, y la forma de hacer su reparto, debe ser fijados por la ley, las ordenanzas o los acuerdos”.
Los artículos 85 de la Ley 142 de 1994 y el artículo 22 de la ley 143 de 1994, facultan a la CREG para liquidar y cobrar anualmente una tasa parafiscal de contribución especial a los prestadores de los servicios públicos domiciliarios de energía eléctrica y gas combustible, y a aquellas que en general realicen actividades complementarias, sometidas a su ámbito de regulación, para recuperar los costos en que incurre, con una tarifa que no puede ser superior al uno por ciento (1%) del valor de los gastos de funcionamiento asociados al servicio sometido a regulación, de la entidad contribuyente en el año anterior a aquel en el que se haga el cobro, de acuerdo con los estados financieros puestos a disposición de la Comisión.
De conformidad con el parágrafo 2 del artículo 85 de la Ley 142 de 1994, la base gravable sobre la cual se aplica la tarifa puede ser adicionada, con los gastos operativos, en la proporción en que sean indispensables para cubrir faltantes presupuestales de la Comisión.
Que de conformidad con lo dispuesto en el numeral 8 del artículo 11 de la Ley 142 de 1994, los prestadores de servicios públicos domiciliarios deben informar a la Superintendencia de Servicios Públicos Domiciliarios y a las Comisiones de Regulación el inicio de sus actividades para que puedan cumplir con sus funciones de regulación, inspección, vigilancia y control.
Que la Superintendencia de Servicios Públicos Domiciliarios creó el Registro Único de Prestadores (RUPS) para llevar el registro de los prestadores de servicios públicos domiciliarios que han puesto en conocimiento de la entidad el inicio de sus operaciones, así como de aquellos que se han identificado en el ejercicio de las funciones de inspección, vigilancia y control, a través de la Resolución SSPD No 20151300047005 “Por la cual se establecen los requerimientos que deben surtir los prestadores ante la SSPD, en relación con el Registro Único de Prestadores (RUPS) para su inscripción, actualización y cancelación”.
De conformidad con el Artículo 79, numeral 79.4 de la Ley 142 de 1994 corresponde a la Superintendencia de Servicios Públicos Domiciliarios “Establecer los sistemas uniformes de información y contabilidad que deben aplicar quienes presten servicios públicos, según la naturaleza del servicio y el monto de sus activos, y con sujeción siempre a los principios de contabilidad generalmente aceptados”.
Conforme al artículo 14 de la Ley 689 de 2001, corresponde a la SSPD establecer, administrar, mantener y operar el SUI, como sistema oficial del sector de servicios públicos domiciliarios del país que recoge, almacena, procesa y publica información reportada por parte de las empresas y entidades territoriales prestadoras de servicios públicos.
El SUI, como plataforma digital, almacena la información proveniente de los prestadores de servicios públicos sujetos a su inspección, vigilancia y control, la cual se debe reportar de forma independiente para cada servicio, actividad inherente y/o complementaria, y cuyos fines son los de evitar la duplicidad de información relativa a estos servicios; servir de base a la SSPD para el cumplimiento de sus funciones; y apoyar las funciones de las Comisiones de Regulación, y demás autoridades y agentes del sector de los servicios públicos domiciliarios que requieran de la misma, entre otros.
El documento CONPES No 3168 de 2002 estableció las estrategias para el diseño y adopción del SUI, el cual busca estandarizar requerimientos de información y aportar datos que permita a las entidades del Gobierno evaluar la prestación de los servicios públicos, siendo un sistema suprainstitucional que busca eliminar asimetrías de información y la duplicidad de esfuerzos, garantizando la consecución de datos completos, confiables y oportunos, permitiendo el cumplimiento de las funciones misionales, en beneficio de la comunidad.
Mediante la Resolución SSPD No 013092 de Octubre 30 de 2002, la Superintendencia de Servicios Públicos Domiciliarios estableció el Formato Único de Información para las Empresas de Servicios Públicos previo concepto del Ministerio de Ambiente y Desarrollo Sostenible, Ministerio de Vivienda, Ciudad y Territorio de Colombia, Ministerio de Minas y Energía, Ministerios de Tecnologías de la Información y las Comunicaciones y de las Comisiones de Regulación de Agua Potable y Saneamiento Básico (CRA), Comisión de Regulación de Energía y Gas (CREG), Comisión de Regulación de Comunicaciones (CRC) y Departamento Nacional de Planeación (DNP).
En la Circular externa SSPD-CREG No 000009 del 14 de agosto de 2003 se imparten instrucciones con respecto a la información financiera y el catálogo de cuentas a los prestadores de servicios públicos domiciliarios.
Mediante la Resolución SSPD No 000321 de 2003, la Superintendencia de Servicios Públicos Domiciliarios determinó que la información reportada al SUI por parte de los prestadores de estos servicios, se considera oficial para todos los fines previstos en la ley.
La información que certifiquen los prestadores de servicios públicos a través del SUI, debe cumplir con los requisitos de calidad y oportunidad, señalados por la Superservicios en la Circular Externa SSPD No 00001 del 25 de enero de 2006, “Vigilancia y control de la consistencia y calidad de Información reportada al Sistema Único de Información – SUI”, siendo esta plataforma digital fuente de información financiera de carácter oficial para establecer la contribución especial de la CREG.
Con ocasión de la adopción por parte de Colombia de las Normas Internacionales de Información Financiera (NIIF) para el sector privado y las Normas Internacionales de Contabilidad para el sector público (NICSP), éstas fueron incorporadas en la legislación colombiana y constituyen, por tanto, el marco normativo contable vigente.
El Congreso de la República expidió la Ley 1314 de 2009(1) y con fundamento en ella, el Gobierno Nacional, mediante el DUR No 2420 del 14 de diciembre de 2015(2) y demás normas que los modifiquen, compilado en el Decreto 2483 del 28 de diciembre de 2018(3) estableció los criterios para que los preparadores de información financiera se clasificaran en diferentes grupos de acuerdo con sus características, e igualmente se adoptaron los marcos técnicos normativos para cada grupo.
El artículo 10 de la Ley 1314 de 2009 señaló que corresponde a las autoridades de supervisión, vigilar que los entes económicos sujetos a su inspección, vigilancia y control, así como sus administradores, funcionarios y profesionales de aseguramiento de información, cumplan con las normas en materia de contabilidad, de información financiera y de aseguramiento de información. El marco de la mencionada ley inició el proceso de convergencia a las nuevas normas de forma escalonada, con el propósito de que las empresas de todo el país se clasificaran en cada grupo de acuerdo con sus características, atendiendo para ello todos los requisitos exigidos para el efecto.
La Contaduría General de la Nación (CGN), expidió las Resoluciones No 414 de 2014(4) y No 533 de 2015(5) aplicables a las empresas sujetas al ámbito de su competencia y a las entidades del gobierno. Posteriormente la CGN emitió la Resolución No 037 de 2017(6)
El lenguaje informático XBRL(7) permite el reporte de información financiera de forma estandarizada, facilitando la comparabilidad, transparencia y fiabilidad, e incorporando las reglas de negocio en su implementación.
Para estos efectos, la SSPD expidió la Resolución No SSPD -20161300013475 del 19 de mayo de 2016, por la cual se establecen los requerimientos de información financiera para las personas prestadoras de servicios públicos domiciliarios, mediante una estructura para reportar la información financiera en el lenguaje informático XBRL, fundamentado en las estructuras de taxonomías XML expedidas por la IASB que emite las Normas Internacionales de Información Financiera.
La Superintendencia de Servicios Públicos Domiciliarios modificó la estructura, lenguaje de reporte y periodicidad de la certificación de la información financiera a taxonomías en XBRL, con tipo de informe individual o consolidado y periodicidad anual, y que permite el reporte de información financiera de forma estandarizada, lo cual facilita la comparabilidad, transparencia y fiabilidad, e incorpora las reglas de negocio en su implementación. Para el efecto, la SSPD, dispuso de una nueva taxonomía para la recepción de la información financiera en el SUI según resolución No 20171300042935 de 2017.
En la Resolución SSPD No 20192000034975 del 10 de septiembre de 2019 se complementó la Resolución No 20192200020155 del 25 de junio de 2019 y se establecen los lineamientos de cargue de información al SUI para los formatos contenidos en la Resolución No SSPD 20102400008055 del 16 de marzo de 2010, las circulares SSPD-CREG No 006 del 30 de diciembre de 2003, modificada por la Circular SSPD-CREG No 003 del 19 de diciembre de 2005, Circular SSPD-CREG No 002 del 02 de junio de 2005 y la Circular SSPD-CREG No 001 del 05 de abril de 2005.
La Superintendencia de Servicios Públicos Domiciliarios expidió para las empresas prestadoras de energía eléctrica la Resolución No 20102400008055 del 16 de marzo de 2010 “Por la cual se unifica en un solo acto administrativo la normatividad expedida en el sector de energía eléctrica para el cargue de información al SUI” y sus resoluciones modificatorias, vigente hasta que una vez se cumpla lo dispuesto en el artículo 15 de la Resolución SSPD No 20212200012515 del 26 de marzo de 2021.
La Superintendencia de Servicios Públicos Domiciliarios expidió la Resolución No 20212200012515 del 26 de marzo de 2021 “Por la cual se expiden los lineamientos para el cargue de información al Sistema Único de Información (SUI) aplicable a los prestadores del servicio público de energía eléctrica del Sistema Interconectado Nacional (SIN)” y deroga el artículo primero de la Resolución SSPD No 20192000034975 de 2019, la Resolución SSPD No 20192200020155 de 2019 y la Resolución SSPD No 20102400008055 de 2010.
La Superintendencia de Servicios Públicos Domiciliarios expidió la Resolución No 20221000665435 del 18 de julio de 2022 “Por la cual unifican los lineamientos para el cargue de información al Sistema Único de Información – SUI aplicable a los prestadores del servicio público de gas combustible por redes de tubería”.
Mediante Resolución No 20221000154665 del 4 de marzo de 2022, la Superintendencia de Servicios Públicos Domiciliarios estableció los plazos para el cargue de la información financiera con corte a 31 de diciembre de 2021, la cual es la base para liquidar la contribución especial 2022, determinada en el artículo 85 de la Ley 142 de 1994, con fecha del 18 al 22 de abril de 2022, conforme al último dígito de ID del RUPS.
Mediante Resolución No. SSPD - 20221000362095 del 22 de abril de 2022, se modificó el artículo 2 de la Resolución SSSPD 20221000154665 del 4 de marzo de 2022, en el sentido de ampliar el plazo para todas las empresas hasta el 6 de mayo de 2022.
La Superintendencia de Servicios Públicos Domiciliarios, a través de la Resolución No 20221000627655 del 16 de junio de 2022 “Por la cual se establece el número de prestadores que servirá como base para liquidar la contribución especial para el año 2022”, determinó el número de prestadores de servicios públicos domiciliarios, los cuales son del ámbito de regulación de la CREG; censo que servirá de base para la CREG establecer la base de contribuyentes de la vigencia 2022(8)
Cada reporte basado en una taxonomía por grupo y tipo de reporte permite reflejar los requerimientos de reconocimiento, medición (inicial y posterior), presentación y revelación de cada uno de los marcos normativos. Es así, que cada preparador de información, vigilado por esta superintendencia, podrá utilizar los mecanismos que considere más fiables y pertinentes para el registro de los hechos económicos en cumplimiento de los objetivos de la información contable, sin que estos sufran una modificación en su naturaleza.
El artículo 18 de la Ley 142 de 1994 señala que “[e]n todo caso, las empresas de servicios públicos que tengan objeto social múltiple deberán llevar contabilidad separada para cada uno de los servicios que presten; y el costo y la modalidad de las operaciones entre cada servicio deben registrarse de manera explícita (...)”.
El artículo 85 de la Ley 142 de 1994, aplicable a la liquidación de la contribución especial para la vigencia 2022, determina:
ARTICULO 85.- Contribuciones especiales. Con el fin de recuperar los costos del servicio de regulación que preste cada comisión, y los de control y vigilancia que preste el Superintendente, las entidades sometidas a su regulación, control y vigilancia, estarán sujetas a dos contribuciones, que se liquidarán y pagarán cada año conforme a las siguientes reglas:
85.1.- Para definir los costos de los servicios que presten las comisiones y la Superintendencia, se tendrán en cuenta todos los gastos de funcionamiento, y la depreciación, amortización u obsolescencia de sus activos, en el período anual respectivo.
85.2.- La superintendencia y las comisiones presupuestarán sus gastos cada año y cobrarán dentro de los límites que enseguida se señalan, solamente la tarifa que arroje el valor necesario para cubrir su presupuesto anual.
La tarifa máxima de cada contribución no podrá ser superior al uno por ciento (1%) del valor de los gastos de funcionamiento, asociados al servicio sometido a regulación, de la entidad contribuyente en el año anterior a aquel en el que se haga el cobro, de acuerdo con los estados financieros puestos a disposición de la Superintendencia y de las comisiones, cada una de las cuales e independientemente y con base en su estudio fijarán la tarifa correspondiente.
85.3.- Si en algún momento las comisiones o la Superintendencia tuvieren excedentes, deberán reembolsarlos a los contribuyentes, o abonarlos a las contribuciones del siguiente período, o transferirlos a la Nación, si las otras medidas no fueran posibles.
85.4.- El cálculo de la suma a cargo de cada contribuyente, en cuanto a los costos de regulación, se hará teniendo en cuenta los costos de la comisión que regula el sector en el cual se desempeña; y el de los costos de vigilancia, atendiendo a los de la Superintendencia.
85.5.- La liquidación y recaudo de las contribuciones correspondientes al servicio de regulación se efectuará por las comisiones respectivas y las correspondientes al servicio de inspección, control y vigilancia estarán a cargo de la Superintendencia.
85.6.- Una vez en firme las liquidaciones deberán ser canceladas dentro del mes siguiente. Se aplicará el mismo régimen de sanción por mora aplicable al impuesto sobre la renta y complementarios, sin perjuicio de las demás sanciones de que trata esta ley.
PARAGRAFO 1. Las comisiones y la Superintendencia se financiarán exclusivamente con las contribuciones a las que se refiere este artículo y con la venta de sus publicaciones. Sin embargo, el gobierno incluirá en el presupuesto de la Nación apropiaciones suficientes para el funcionamiento de las comisiones y de la Superintendencia durante los dos primeros años.
PARAGRAFO 2. Al fijar las contribuciones especiales se eliminarán, de los gastos de funcionamiento, los gastos operativos; en las empresas del sector eléctrico, las compras de electricidad, las compras de combustibles y los peajes, cuando hubiere lugar a ello; y en las empresas de otros sectores los gastos de naturaleza similar a éstos. Estos rubros podrán ser adicionados en la misma proporción en que sean indispensables para cubrir faltantes presupuestales de las comisiones y la superintendencia.
Para efectos de la presente resolución se ha aceptado la definición jurisprudencial del término “gastos de funcionamiento”, adoptada por el Consejo de Estado Sección Cuarta. C.P.: Martha Teresa Briceño de Valencia, Rad. 11001-03-27-000-2007-00049-00 (16874) del 23 de septiembre de 2010 y Rad. 25000-23-27-000-2012-00362-01 (20253) del 17 de septiembre de 2014, en la que se expone que los Gastos de Funcionamiento son los que están relacionados con la prestación del servicio sujeto a inspección, vigilancia y control y, en consecuencia.
Conforme con el numeral 85.1 del artículo 85 de la Ley 142 de 1994, para definir los costos de los servicios que presta la CREG, se tomó el presupuesto anual de gastos aprobado a la entidad para la vigencia 2022, el cual está integrado por los gastos de funcionamiento, servicio de la deuda pública e inversión, a la luz de lo dispuesto en el artículo 36 del Estatuto Orgánico del Presupuesto(9) y el artículo 2.8.3.1.2 del Decreto 1068 de 2015(10)
De acuerdo con lo anterior, y con el fin de proyectar la tarifa para la liquidación de la contribución especial del año 2022, se tomó la información financiera reportada y certificada con corte a 31 de diciembre de 2021 por las entidades sometidas al ámbito de regulación de la CREG, y el valor del presupuesto por concepto de ingresos corrientes "tasas, multas y contribuciones” para el año 2020 antes indicado.
La Ley 142 de 1994 Artículo No 85. PARÁGRAFO 2o determina que: “al fijar las contribuciones especiales estableció que se eliminarán, de los gastos de funcionamiento, los gastos operativos; en las empresas del sector eléctrico, las compras de electricidad, las compras de combustibles y los peajes, cuando hubiere lugar a ello; y en las empresas de otros sectores los gastos de naturaleza similar a éstos.
Estos rubros podrán ser adicionados en la misma proporción en que sean indispensables para cubrir faltantes presupuestales de las comisiones y la superintendencia”.
Al respecto, el Consejo de Estado, Sala de lo Contencioso Administrativo Sección Cuarta, en sentencia dentro del proceso de NULIDAD y NULIDAD Y RESTABLECIMIENTO DEL DERECHO 11001-03-27-000-2017-00012-00 (22972) GESTIÓN ENERGÉTICA 5.A. E.S.P. "GENSA S.A. E.S.P. contra SUPERINTENDENCIA DE SERVICIOS PÚBLICOS DOMICILIARIOS por la CONTRIBUCIÓN ESPECIAL SSPD 2016 manifestó:
“Entonces, cuando la SSPD necesita cubrir faltantes presupuéstales, la ley permite que los gastos operativos puedan ser adicionados a los gastos de funcionamiento, en la misma proporción en que sean indispensables para cubrir el faltante presupuestal de la superintendencia.
Tratándose de empresas del sector eléctrico, la base gravable se conforma de la siguiente manera: (i) Según la regla general: De los gastos de funcionamiento, asociados al servicio sometido a regulación se excluyen los gastos operativos, las compras de electricidad, las compras de combustibles y los peajes, cuando hubiere lugar a ello, (ii) conforme a la regla exceptiva, configurado el supuesto de hecho -el faltante presupuestal- la ley permite adicionar a esos rubros los gastos operativos en la misma proporción en que sean indispensables para cubrir el faltante presupuestal de la superintendencia. (Subrayado fuera del texto original).
La regla general y la excepción previstas por el legislador son concordantes con el fin mismo de la contribución especial, que es recuperar los costos de los servicios de control y vigilancia, y guarda armonía con el artículo 338 de la Constitución Política, que prevé que la tarifa es para la recuperación de costos de los servicios que presta la autoridad administrativa.” …-
Que, aunado a lo anterior, el parágrafo 2o del artículo 85 de la Ley 142 de 1994 estableció que “Al fijar las contribuciones especiales se eliminarán, de los gastos de funcionamiento, los gastos operativos; en las empresas del sector eléctrico, las compras de electricidad, las compras de combustibles y los peajes, cuando hubiere lugar a ello; y en las empresas de otros sectores los gastos de naturaleza similar a éstos. Estos rubros podrán ser adicionados en la misma proporción en que sean indispensables para cubrir faltantes presupuestales de las comisiones y la superintendencia” (subrayado fuera del texto original).
En similar sentido dicha corporación se ha pronunciado en varias ocasiones, entre estas, a través de la Sentencia del 10 de octubre de 2019, CP. Dr. Jorge Octavio Ramírez Ramírez, Exp. 11001-03-27-000-2016-00016-00 (22394) ACUM: 22575, 22998, 23383 y 23499., explicando la regla general contenida en el artículo 85 de la Ley 142 de 1994 sobre la determinación de la base gravable, la excepción aplicable cuando existe faltante presupuestal, y las cuentas que pueden o no incluirse en la base gravable al hacer uso de la excepción, postura acogida por la CREG, y que señala lo siguiente:
“3.4.8. En ese contexto, se concluye que en el artículo 85 de la Ley 142 de 1994, en la determinación de la base gravable de la contribución especial, contempla una regla general y una excepción: Regla general: la base gravable está conformada por los gastos de funcionamiento asociados al servicio regulado, detrayendo los gastos operativos y, en el caso de las empresas de energía las compras de electricidad, las compras de combustibles y los peajes, cuando hubiere lugar a ello. Igual ocurre en las empresas de otros sectores. Excepción: solo en los casos de faltantes presupuestales de la SSPD, la base del tributo podrá conformarse con los gastos de funcionamiento, y con la proporción necesaria para cubrir tales faltantes, de los rubros por gastos operativos. En el caso de las empresas de energía se podrá tener en cuenta la compra de electricidad, la compra de combustibles y los peajes, cuando hubiere lugar a ello. En las empresas de otros sectores los gastos de naturaleza similar a éstos, en el respectivo año gravable. 3.4.9. Conforme con lo anterior, es claro que la finalidad de la norma es que la contribución especial grave los gastos de funcionamiento cuando estos resulten suficientes para cubrir el presupuesto de la SSPD y, en los casos de faltantes presupuestales, además recaiga sobre los conceptos señalados en el parágrafo 2 del artículo 85 de la Ley 142 de 1994. 3.4.10. El Despacho aclara que la aplicación del parágrafo 2 del artículo 85 de la Ley 142 de 1994 no faculta a la SSPD para que incluya cualquier costo o gasto en la base de liquidación de la contribución especial, porque el legislador, de manera expresa, señaló cuáles rubros podrán ser incluidos para efectos de cubrir el faltante presupuestal. (…)
De acuerdo con el criterio fijado por la Sala en la sentencia de 23 de septiembre de 2010, las cuentas del grupo 75-costos de producción del Plan de Contabilidad para Entes Prestadores de Servicios Públicos Domiciliarios no integran la base gravable de la contribución especial, fundamentalmente, porque “la noción de costos no se puede equiparar a la de gastos de funcionamiento por no haberlo previsto así la Ley 142 de 1994, ya que de haber sido esa la intención del legislador así lo hubiera contemplado legalmente, teniendo en cuenta el fundamento contable que tiene la base gravable comentada”. Sin embargo, excepcionalmente, como se expuso con anterioridad, se podrán incluir cuentas de este grupo, tales como la compra de electricidad, la compra de combustibles y los peajes [de distribución], en el caso de las empresas del sector eléctrico y, “en las empresas de otros sectores los gastos de naturaleza similar a éstos”, es decir, en el caso de las empresas de acueducto, la compra de agua, la energía y combustible usado para el bombeo del agua y los peajes o derechos de servidumbre de conducción de la red, etc., servicios personales (7505), generales (7510), arrendamientos (7517), costo de bienes y servicios públicos para la venta (7530), licencia de operación del servicio (753508), comité de estratificación (753513), consumo de insumos directos (7537), órdenes y contratos de mantenimiento y reparaciones (7540), honorarios (7542), materiales y otros costos de operación (7550), costos de pérdidas en la prestación del servicio de acueducto (7555), seguros (7560) y órdenes y contratos por otros servicios (7570). Porque su inclusión desconoce los lineamientos jurisprudenciales sobre el alcance de la expresión “gastos de funcionamiento”, que constituye la regla general de determinación de la base gravable de la contribución analizada, siendo del caso reiterar que las cuentas del Grupo 75 - costos de producción-, no hacen parte de la base gravable de la contribución especial, salvo que, aplique la excepción del parágrafo 2o del artículo 85 de la Ley 142 de 1994, dentro de la que no encaja ninguna de las señaladas con anterioridad. A su vez, se debe negar la suspensión provisional de las siguientes cuentas: gastos de administración (menos 5120), compras en bloque y/o a largo plazo (753001), compras en bolsa y/o a corto plazo (753002), uso de líneas, redes y ductos (753005), costo de distribución y/o comercialización de GN (753006) y costo de distribución y/o comercialización de GLP (753008), porque encajan en la excepción prevista en el parágrafo 2o del artículo 85 de la Ley 142 de 1994.”
En el anexo del Decreto de liquidación del Presupuesto General de la Nación – PGN No 1793 de diciembre 21 de 2021(11) las apropiaciones presupuestales aprobadas a favor de la CREG para la vigencia fiscal 2022, ascendieron a la suma de TREINTA Y NUEVE MIL NOVECIENTOS SETENTA Y UN MILLONES OCHOCIENTOS CINCUENTA MIL CUATROCIENTOS DIEZ PESOS M/CTE ($39.971.850.410), como se detalla a continuación:
| Tipo Gasto | Cta. Prog. | Rec. | Sit | Nombre del rubro | Total presupuesto | Subtotal Recurso 16 SSF Contribución Especial | Subtotal Recurso 10 CSF DTN-MHCP |
| A | FUNCIONAMIENTO | $ 25.306.396.400 | $ 19.944.772.592 | $ 5.361.623.808 | |||
| A | 1 | 10 | CSF | SALARIO | $ 2.648.509.565 | $ - | $ 2.648.509.565 |
| A | 1 | 16 | SSF | SALARIO | $ 10.285.127.589 | $ 10.285.127.589 | $ - |
| A | 1 | 10 | CSF | CONTRIBUCIONES INHERENTES A LA NÓMINA | $ 798.817.307 | $ - | $ 798.817.307 |
| A | 1 | 16 | SSF | CONTRIBUCIONES INHERENTES A LA NÓMINA | $ 3.303.953.843 | $ 3.303.953.843 | $ - |
| A | 1 | 10 | CSF | REMUNERACIONES NO CONSTITUTIVAS DE FACTOR SALARIAL | $ 789.768.435 | $ - | $ 789.768.435 |
| A | 1 | 16 | SSF | REMUNERACIONES NO CONSTITUTIVAS DE FACTOR SALARIAL | $ 1.973.610.533 | $ 1.973.610.533 | $ - |
| A | 2 | 10 | CSF | ADQUISICIÓN DE BIENES Y SERVICIOS | $ 1.088.611.821 | $ - | $ 1.088.611.821 |
| A | 2 | 16 | SSF | ADQUISICIÓN DE BIENES Y SERVICIOS | $ 2.428.288.178 | $ 2.428.288.178 | $ - |
| A | 3 | 16 | SSF | FONDO EMPRESARIAL - LEY 812 DE 2003 | $ 1.706.221.728 | $ 1.706.221.728 | $ - |
| A | 3 | 10 | CSF | INCAPACIDADES Y LICENCIAS DE MATERNIDAD Y PATERNIDAD (NO DE PENSIONES) | $ 35.616.680 | $ - | $ 35.616.680 |
| A | 3 | 16 | SSF | INCAPACIDADES Y LICENCIAS DE MATERNIDAD Y PATERNIDAD (NO DE PENSIONES) | $ 55.083.319 | $ 55.083.319 | $ - |
| A | 8 | 10 | CSF | IMPUESTOS | $ 300.000 | $ - | $ 300.000 |
| A | 8 | 16 | SSF | IMPUESTOS | $ 92.690.000 | $ 92.690.000 | $ - |
| A | 8 | 16 | SSF | CUOTA DE FISCALIZACIÓN Y AUDITAJE | $ 99.797.402 | $ 99.797.402 | $ - |
| B | SERVICIO DE DEUDA PUBLICA | $ 3.142.354.010 | $ 3.142.354.010 | $ - | |||
| B | 10 | 16 | SSF | APORTES AL FONDO DE CONTINGENCIAS | $ 3.142.354.010 | $ 3.142.354.010 | $ - |
| C | INVERSION | $ 11.523.100.000 | $ 11.523.100.000 | $ - | |||
| C | 2106 | 16 | SSF | DIVULGACIÓN DE LA REGULACIÓN A LA CIUDADANÍA A NIVEL NACIONAL | $ 504.000.000 | $ 504.000.000 | $ - |
| C | 2106 | 16 | SSF | ESTUDIOS Y ANÁLISIS PARA LA ADOPCIÓN DE MEDIDAS REGULATORIAS REQUERIDAS POR LOS SECTORES DE ENERGÍA ELÉCTRICA, GAS COMBUSTIBLE Y COMBUSTIBLES LÍQUIDOS A NIVEL NACIONAL | $ 8.921.300.000 | $ 8.921.300.000 | $ - |
| C | 2199 | 16 | SSF | FORTALECIMIENTO INSTITUCIONAL A PARTIR DEL APRENDIZAJE ORGANIZACIONAL A NIVEL NACIONAL | $ 365.000.000 | $ 365.000.000 | $ - |
| C | 2199 | 16 | SSF | MEJORAMIENTO Y MODERNIZACIÓN DE LAS TICS DE LA CREG A NIVEL NACIONAL | $ 1.732.800.000 | $ 1.732.800.000 | $ - |
| TOTAL PRESUPUESTO | $ 39.971.850.410 | $ 34.610.226.602 | $ 5.361.623.808 | ||||
De la anterior apropiación presupuestal aprobada para la vigencia 2022, el valor que debe ser cubierto con el recaudo de la contribución especial de que trata el artículo 85 de la Ley 142 de 1994, son los aforados como recursos 16 – Fondos Especiales, Sin Situación de Fondos – SSF, que ascienden a la suma de $34.610.226.602, que restando las transferencias de excedentes al Fondo Empresarial, da como resultado un valor neto presupuestal base para la contribución especial 2022 por el valor de: TREINTA Y DOS MIL NOVECIENTOS CUATRO MILLONES CUATRO MIL OCHOCIENTOS OCHENTA Y CUATRO PESOS M/CTE. ($32.904.004.874), como se detalla a continuación:
| RUBRO | RECURSO | CONCEPTO | Recurso 16 SSF |
| A | SSF | GASTOS DE FUNCIONAMIENTO | $ 19.944.772.592 |
| A-01 | 16 | GASTOS DE PERSONAL | $ 15.562.691.965 |
| A-02 | 16 | ADQUISICION DE BIENES Y SERVICIOS | $ 2.428.288.178 |
| A-03 | 16 | TRANSFERENCIAS CORRIENTES | $ 1.761.305.047 |
| A-08 | 16 | GASTOS POR TRIBUTOS,MULTAS, SANCIONES E INTERESES DE MORA | $ 192.487.402 |
| B | SERVICIO DE LA DEUDA PÚBLICA | $ 3.142.354.010 | |
| B-10 | 16 | APORTES AL FONDO DE CONTINGENCIAS | $ 3.142.354.010 |
| C | INVERSION | $ 11.523.100.000 | |
| 2199-1900-4 | 16 | MEJORAMIENTO Y MODERNIZACION DE LAS TIC´S DE LA CREG A NIVEL NACIONAL. | $ 1.732.800.000 |
| 2199-1900-3 | 16 | FORTALECIMIENTO INSTITUCIONAL A PARTIR DEL APRENDIZAJE ORGANIZACIONAL A NIVEL NACIONAL. | $ 365.000.000 |
| 2106-1900-6 | 16 | ESTUDIOS Y ANÁLISIS PARA LA ADOPCIÓN DE MEDIDAS REGULATORIAS REQUERIDAS POR LOS SECTORES DE ENERGÍA ELÉCTRICA, GAS COMBUSTIBLE Y COMBUSTIBLES LÍQUIDOS A NIVEL NACIONAL | $ 8.921.300.000 |
| 2106-1900-4 | 16 | DIVULGACION DE LA REGULACION A LA CIUDADANIA A NIVEL NACIONAL. | $ 504.000.000 |
| TOTAL PRESUPUESTO RECURSO 16 SSF VIGENCIA 2022 | $ 34.610.226.602 | ||
| MENOS TRANSFERENCIA DE EXCEDENTES AL FONDO EMPRESARIAL | -$ 1.706.221.728 | ||
| SUBTOTAL RECURSOS 16 SSF CON CONTRIBUCIÓN ESPECIAL 2022 | $ 32.904.004.874 | ||
| RECURSOS APORTADOS POR LA DTN-MHCP PARA FONDOS ESPECIALES REC-16 SSF | $ 0 | ||
| NETO DE RECURSOS A RECAUDAR CON LA CONTRIBUCIÓN ESPECIAL 2022 | $ 32.904.004.874 | ||
El presupuesto de la CREG está integrado por gastos de funcionamiento, servicio de la deuda pública e inversión, en cumplimiento de la nomenclatura que debe cumplirse conforme a lo dispuesto en los artículos 1 y 2 del Decreto 111 de 1996 - Estatuto orgánico del presupuesto general de la Nación, que obliga a que todas las disposiciones en materia presupuestal, la programación, elaboración, presentación, aprobación, modificación y ejecución del presupuesto entre otras, deben ceñirse a las prescripciones contenidas en el mismo.
El artículo 85 de la Ley 142 de 1994, señala que el fin de la contribución especial a favor de las comisiones reguladoras y de la SSPD, es para el caso de las primeras “recuperar los costos del servicio de regulación que preste cada comisión”, los proyectos de inversión que componen el presupuesto de gastos de regulación de la CREG se ajustan a la finalidad de la contribución especial.
Esta disposición se reitera en la misma norma, en el Capítulo V. El presupuesto de gastos o ley de apropiaciones, cuando discrimina cómo está compuesto el presupuesto de gastos, así:
“ARTÍCULO 36. El presupuesto de gastos se compondrá de los gastos de funcionamiento, del servicio de la deuda pública y de los gastos de inversión.”
En la misma línea, el Decreto 1068 DE 2015 - Decreto Único Reglamentario del Sector Hacienda y Crédito Público, reitera dicha definición de gastos, así:
“ARTÍCULO 2.8.3.1.2. Presupuesto de Gastos. El presupuesto de gastos comprende las apropiaciones para gastos de funcionamiento, gastos de operación comercial, servicio de la deuda y gastos de inversión que se causen durante la vigencia fiscal respectiva.
La causación del gasto debe contar con la apropiación presupuestal correspondiente.
Los compromisos y obligaciones pendientes de pago a 31 de diciembre, deberán incluirse en el presupuesto del año siguiente como una cuenta por pagar y su pago deberá realizarse en dicha vigencia fiscal.
(Art. 13 Decreto 115 de 1996, modificado por el Art. 10 del Decreto 4836 de 2011)
Las anteriores normas son de obligatorio cumplimiento para la CREG y en el ejercicio de su función reguladora debe conciliar lo establecido en estas y en la Ley 142 de 1994 referente al cobro de la contribución especial de la cual es beneficiaria, sin que las mismas sean excluyentes por cuanto no se contraponen entre sí.
La Comisión incurre en sus costos (gastos de funcionamiento, servicio de la deuda pública e inversión), en la prestación del servicio de regulación, para lo cual debe contratar el talento humano que materialice el objeto de la comisión, realizar estudios y adquirir las herramientas y tecnologías que le permitan cumplir con su función misional.
En este sentido, las erogaciones de los programas de inversión, aprobados por el Departamento Nacional de Planeación, el Ministerio de Hacienda y Crédito Público y el Congreso de la República cuando se decreta el presupuesto para cada año; son fundamentales y hacen parte integral de la prestación del servicio de regulación. Por tanto, no se usan para otros fines diferentes que no sean las funciones establecidas en el artículo 4 del Decreto 1260 de 2013, “Por el cual se modifica la estructura de la Comisión de Regulación de Energía y Gas (CREG).”, y se ajustan a la finalidad establecida en el artículo 85 de la Ley 142 de 1994, esto es, recuperar los costos de regulación.
Formarán parte de la base gravable de liquidación de la contribución especial 2022, la sumatoria de los valores certificados al SUI, por los prestadores en el Formato Complementario [900017] FC01-01 a FC01-07 “Gastos de Servicios Públicos”, en la columna gastos administrativos de las taxonomías XBRL a 31 de diciembre de 2021, Concepto Total Gastos para cada servicio público objeto del servicio de regulación de la CREG, tomando como corte el 022 de octubre de 2022.
No formarán parte de la base gravable de la contribución especial 2022 los siguientes conceptos incluidos en el Formato Complementario [900017] FC01-01 a FC01-07 “Gastos de Servicios Públicos”, en la columna gastos administrativos de 2021, las siguientes exclusiones de gastos de funcionamiento:

Con corte al 22 de octubre de 2022, las empresas reguladas presentaron al SUI-SSPD, su información financiera del año 2021, detallada en las siguientes cuentas:
| TIPO DE GASTO | CONCEPTOS | VALORES EEFF 2021 |
| Administrativo | Total Gastos Administrativos | 17.653.040.993.718 |
| Administrativo | (-) Ajustes Diferencia en Cambio | (1.116.106.731.890) |
| Administrativo | (-) Comisiones | (64.400.054.106) |
| Administrativo | (-) Donaciones | (29.764.003.041) |
| Administrativo | (-) Financieros | (3.722.107.360.020) |
| Administrativo | (-) Perdida por el metodo de participación patrimonial | (34.665.392.143) |
| Administrativo | (-) Litigios y/o demandas | (360.568.501.185) |
| Administrativo | (-) Garantias | (39.229.717.000) |
| Administrativo | (-) Diversas | (103.697.116.933) |
| Administrativo | (-) Amortización | (145.091.160.781) |
| Administrativo | (-) Depreciación | (153.264.007.005) |
| Administrativo | (-) Deterioro | (1.224.284.311.636) |
| Administrativo | (-) Impuesto a las Ganancias Corrientes | (4.793.308.847.133) |
| Administrativo | (-) Impuesto a las Ganancias Diferido | (1.663.948.817.557) |
| Administrativo | (-) Impuestos Tasas y Contribuciones | (703.915.975.921) |
| Administrativo | (-) Gastos Diversos | (392.330.731.069) |
| Administrativo | Secretaría Distrital del Medio Ambiente | 0 |
| Administrativo | Ley 56 de 1981 | (1.042.587.000) |
| Administrativo | Medio Ambiente - Ley 99 de 1993 | 0 |
| Administrativo | Regalías | 0 |
| Administrativo | Licencia De Operación Del Servicio | 0 |
| Administrativo | FAZNI | 0 |
| Administrativo | FAER | 0 |
| Administrativo | Cuota de Fomento de gas | 0 |
| Administrativo | Comité De Estratificación -Ley 505 De 1999 | 0 |
| Administrativo | Art 25 - Ley 142 - Concesiones, y permisos ambientales y sanitarios | 0 |
| Administrativo | Otras licencias Ley 142 de 1994 | (129.880.076) |
| Operativo | Compras en bloque y/o a largo plazo | 13.746.628.660.702 |
| Operativo | Compras en bolsa y/o a corto plazo | 3.882.505.182.099 |
| Operativo | Uso de Líneas, redes y ductos | 5.766.671.518.615 |
| Operativo | Gas Combustible | 2.202.361.197.637 |
| Operativo | Carbón Mineral | 347.620.945.000 |
| Operativo | ACPM, Fuel Oil | 203.556.260.247 |
| Operativo | Gastos de distribución y/o comercialización de gas combustible por redes | 5.674.343.197.526 |
| Operativo | Gastos de distribución y/o comercialización de gas licuado de petróleo - GLP | 1.333.072.011.536 |
| TOTAL BASE GRAVABLE CON REPORTE SUI-SSPD | 36.261.944.772.584 | |
| SUBTOTAL GASTOS ADMINISTRATIVOS (FUNCIONAMIENTO) | 3.105.185.799.222 | |
| SUBTOTAL GASTOS OPERATIVOS | 33.156.758.973.362 | |
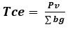
La base gravable es un componente para hallar la tarifa y la porción adicional de gastos operativos en caso de ser necesario utilizar para cubrir faltantes presupuestales, y en el entendido que como denominador es la sumatoria de las bases gravables de los sujetos pasivos, conforme a la fórmula aplicable determinada por la normatividad vigente al año a liquidar.
La tarifa es un porcentaje variable con el cual se determina el valor a pagar por cada regulado contribuyente de la contribución especial en una vigencia específica, la cual será hallada tomando el presupuesto vigente de la CREG, el cual será dividido sobre la sumatoria de las bases gravables de los sujetos pasivos. La tarifa no podrá ser superior al uno por ciento (1%) de las respectivas bases gravables, teniendo en cuenta los casos en los cuales sea aplicable el parágrafo 2 del artículo 85 de la Ley 142 de 1994.
La tarifa descrita se calculará de la siguiente manera:
Tce: tarifa de la contribución especial.
PvC: presupuesto vigente de la CREG
:Sumatoria de las bases gravables de los sujetos pasivos.
La CREG realizó el análisis de la anterior información financiera 2021 reportada por los regulados, a efectos de depurar y establecer la base gravable y el monto de la tarifa de la contribución especial para la vigencia 2022, a partir del presupuesto base neto de la CREG a recuperar como costo de prestación del servicio de regulación por $32.904.004.874 y la cobertura de éste por parte de los gastos de funcionamiento de las empresas reguladas; con el fin de determinar si es necesario el uso del parágrafo 2o del artículo 85 de la Ley 142 de 1994, y el monto de los gastos operativos indispensables para cubrir el faltante presupuestal, señalados en dicho parágrafo y asignar la contribución especial a favor de la CREG que deben pagar las empresas sometidas a la regulación para el año 2022.
Al conformar la base gravable para liquidar la contribución especial 2022 y al aplicar la tarifa del 1% al neto de los gastos de funcionamiento de las empresas (como resultado de aplicar las anteriores exclusiones listadas), se recaudaría el valor de $31.051.857.992, monto que es inferior en $1.852.146.882 con respecto al valor del presupuesto de la CREG para el 2002 a financiar a través de la contribución especial 2022 por valor de $32.904.004.874, constituyéndose así un faltante presupuestal, el cual es indispensable cubrir con los conceptos establecidos en el parágrafo 2o del artículo 85 de la Ley 142 de 1994, con las previsiones allí establecidas y serán adicionadas en la proporción en que sean indispensables para cubrir el faltante presupuestal de la Entidad.
Después de dicho análisis se determinó que existe justificación para acudir al uso del parágrafo 2 del artículo 85 de la Ley 142 de 1994 por existir faltante presupuestal por $1.852.146.882.
Por tanto, del total de gastos operativos por $33.156.758.973.362 se debe tomar $185.214.688.178 que, multiplicados por el 1%, son los indispensables para cubrir el faltante presupuestal 2022 por $1.852.146.882 y ser incluidos en la base gravable de la contribución especial de la vigencia 2022, detallado a continuación:
| CONCEPTOS | BASE GASTOS DE ADMINISTRACIÓN | BASE GASTOS DE OPERACIÓN | TOTALES |
| TOTAL BASE GRAVABLE | 3.105.185.799.222 | 185.214.688.178 | 3.290.400.487.400 |
| 1% | 31.051.857.992 | 1.852.146.882 | 32.904.004.874 |
| PORCENTAJE DEL PRESUPUESTO POR BASE | 94,37106% | 5,62894% | 100,00000% |
| TOTAL PRESUPUESTO 2022 | 32.904.004.874 | ||
| BASE GASTOS OPERATIVOS | 33.156.758.973.362 | ||
| PORCENTAJE ADICIONAL GASTOS OPERATIVOS | 0,0055860% | ||
| FALTANTE PRESUPUESTAL | 1.852.146.882 | ||
La contribución especial será calculada por la Subdirección Administrativa y Financiera a través de una liquidación oficial para cada uno de los regulados, la cual será notificada a la empresa regulada conforme a lo previsto en las disposiciones legales vigentes, y contra ella procede el recurso de reposición, el cual podrá interponerse dentro de los diez (10) días hábiles siguientes a la diligencia de notificación por la CREG.
La Dirección de Impuestos y Aduanas Nacionales –DIAN- mediante la Resolución 000140 del 25 de noviembre de 2021, fijó en $38.004 el valor de la unidad de valor tributario (UVT), que entra a regir a partir del 1o de enero del 2022. Para efectos de conversión en valores absolutos, los valores expresados en UVT se deben multiplicar por el valor de la UVT y su resultado se aproxima de acuerdo con el procedimiento de aproximaciones de que trata el inciso sexto del artículo 868 del Estatuto Tributario.
A efectos de recuperar los costos representados en recursos humanos, tecnológicos, financieros y logísticos incurridos por la CREG en el procedimiento de cálculo, liquidación, cobro, recaudo y gestión de cartera de la contribución especial 2022, la Comisión determinó una cuantía mínima óptima hasta de ocho (8) UVT, es decir, $304,000, por debajo de la cual no resulta eficiente ni rentable liquidar la contribución especial a los sujetos pasivos.
Para aquellos regulados que no reportaron la información financiera de la vigencia 2021, base para la contribución 2022, serán tratados como omisos, y se les tomará como base la última información financiera reportada y certificada al SUI, la cual será indexada al 31 de diciembre de 2021, teniendo en cuenta la variación porcentual del IPC certificado por el DANE para los años objeto de indexación; estos regulados serán requeridos en fiscalización y se ajustará la contribución especial al valor de liquidación sus estados financieros auditados.
La CREG reportará al Boletín de Deudores Morosos del Estado (BDME) de la Contaduría General de la Nación (CGN), las personas naturales y jurídicas que, a cualquier título, a una fecha de corte, tienen contraída una obligación en mora a favor de la CREG, según lo dispuesto en el parágrafo 3o del artículo 2o de la Ley 901 de 2004, y del numeral 5o del Artículo 2o de la Ley 1066 de 2006; a través del sistema CHIP de la CGN, en los diez (10) primeros días de los meses de junio y de diciembre, con fecha de corte de obligación adeudada a 31 de mayo y 30 de noviembre respectivamente.
RESUELVE:
ARTÍCULO 1. TARIFA PARA LIQUIDAR LA CONTRIBUCIÓN ESPECIAL 2022. De conformidad con el artículo 85 de la Ley 142 de 1994, fijar para la vigencia 2022 el porcentaje para liquidar la contribución especial a favor de la CREG, que deben pagar las entidades sometidas a su regulación, en el UNO POR CIENTO (1%) sobre el valor de los gastos de funcionamiento de las empresas reguladas más la adición de una porción de sus gastos operativos indispensable para cubrir el presupuesto 2022 de la CREG financiado por la contribución especial.
PARÁGRAFO. A las empresas reguladas que se encuentren en proceso de liquidación, cancelación, fusión, escisión, toma de posesión para administrar con fines liquidatarios, que hubieren operado al menos un día durante la vigencia 2022, se les liquidará la contribución especial de regulación proporcionalmente a la fracción del año 2022 que hubiere prestado el servicio público, con base en la información financiera de 2021 reportada en el SUI.
ARTÍCULO 2. USO DEL PARÁGRAFO 2o DEL ARTÍCULO 85 DE LA LEY 142 DE 1994. Para cubrir el faltante presupuestal que resulta de liquidar la contribución con la tarifa máxima permitida del 1% sobre los gastos de funcionamiento (administrativos) de los contribuyentes, con lo cual se recaudaría el valor de $31.051.857.992, monto que es inferior en $1.852.146.882 al valor del presupuesto para la vigencia 2022 de la CREG a financiar a través de la contribución especial, el cual asciende a la suma de $32.904.004.874, se agregará a la base gravable los conceptos de gastos operativos establecidos en el parágrafo 2o del artículo 85 de la Ley 142 de 1994, en la proporción indispensable para completar el presupuesto de 2022.
Por tanto, sobre el total de gastos operativos por $33.156.758.973.362 se toma la suma de $185.214.688.178, que multiplicada por el 1%, es lo indispensable para cubrir el faltante presupuestal 2022 de $1.852.146.882, con el fin de ser incluidos en la base gravable de la contribución especial de la vigencia 2022, detallado a continuación:
| CONCEPTOS | BASE GASTOS DE ADMINISTRACIÓN | BASE GASTOS DE OPERACIÓN | TOTALES |
| TOTAL BASE GRAVABLE | 3.105.185.799.222 | 185.214.688.178 | 3.290.400.487.400 |
| 1% | 31.051.857.992 | 1.852.146.882 | 32.904.004.874 |
| PORCENTAJE DEL PRESUPUESTO POR BASE | 94,37106% | 5,62894% | 100,00000% |
| TOTAL PRESUPUESTO 2022 | 32.904.004.874 | ||
| BASE GASTOS OPERATIVOS | 33.156.758.973.362 | ||
| PORCENTAJE ADICIONAL GASTOS OPERATIVOS | 0,0055860% | ||
| FALTANTE PRESUPUESTAL | 1.852.146.882 | ||
PARÁGRAFO 1. La contribución especial será calculada y liquidada para cada uno de los sujetos pasivos mediante una liquidación oficial emitida por el director ejecutivo, la cual será notificada conforme a lo previsto en las disposiciones legales vigentes.
Conforme al numeral 85.6 de la Ley 142 de 1994, una vez quede en firme la liquidación oficial de acuerdo con lo establecido en al artículo 87 del Código de Procedimiento Administrativo y de lo Contencioso Administrativo, deberá ser pagada por el contribuyente dentro del mes siguiente, en la cuenta corriente No 285-863536 del Banco de Occidente, mediante consignación directa o transferencia electrónica, a favor del titular de la cuenta: COMISIÓN DE REGULACIÓN DE ENERGÍA Y GAS, identificada con el NIT 900034993-1.
PARÁGRAFO 2. A efectos de recuperar los costos representados en recursos humanos, tecnológicos, financieros y logísticos incurridos por la CREG en el procedimiento de cálculo, liquidación, cobro, recaudo y gestión de cartera de la contribución especial 2022, la Comisión determinó una cuantía mínima óptima hasta de ocho (8) UVT, es decir, $304,000, por debajo de la cual no resulta eficiente ni rentable liquidar la contribución especial a los sujetos pasivos.
ARTÍCULO 3. NO REPORTANTES, OMISOS Y MOROSOS. Las personas sujetas a la regulación de la Comisión que no reportaron la información financiera de la vigencia 2021, base para la liquidación de la contribución 2022, serán tratadas como omisas, serán requeridos en fiscalización y se ajustarán a la contribución especial liquidada con base en sus estados financieros auditados o se les tomará como base la última información financiera reportada y certificada al SUI, la cual será indexada al 31 de diciembre de 2021, teniendo en cuenta la variación porcentual del IPC certificado por el DANE para los años objeto de indexación.
PARÁGRAFO 1. Son contribuyentes omisos aquellos a los que la CREG no les ha generado liquidación oficial para alguno de los últimos cinco (5) años debido al no reporte de estados financieros en el SUI de la SSPD, al ajuste en las cifras financieras reportadas o el no registro en el RUPS, entre otras causas.
A estas empresas se les liquidará su contribución especial de la respectiva vigencia con base en la resolución que fijó la tarifa, la metodología para hallar la base gravable y la porción de gastos operativos en el caso de que fueron indispensables para completar el presupuesto de la CREG de la vigencia correspondiente de revisión o fiscalización.
PARÁGRAFO 2. La liquidación oficial presta mérito ejecutivo conforme con lo dispuesto en el artículo 99 de la Ley 1437 de 2011. La falta de pago o pago extemporáneo de la contribución especial dará lugar a la aplicación del régimen de sanción por mora prevista en la Ley 1066 de 2006, modificada por la Ley 1438 de 2011, Ley 1537 de 2012, Ley 1819 de 2016 y demás normas que la adicionen o modifiquen. Se aplicará el mismo régimen de sanción por mora y liquidación de intereses de mora establecidos en el Estatuto Tributario Nacional para el impuesto sobre la renta y complementarios.
Se reportará al Boletín de Deudores Morosos del Estado (BDME) de la Contaduría General de la Nación (CGN), las personas naturales y jurídicas que, a cualquier título, a una fecha de corte, tienen contraída una obligación en mora a favor de la CREG, según lo dispuesto y en las condiciones establecidas en el parágrafo 3o del artículo 2o de la Ley 901 de 2004, y del numeral 5o del Artículo 2o de la Ley 1066 de 2006; a través del sistema CHIP de la CGN, en los diez (10) primeros días de los meses de junio y de diciembre, con fecha de corte de obligación adeudada a 31 de mayo y 30 de noviembre respectivamente.
ARTÍCULO 4. VIGENCIA. La presente resolución entra en vigor una vez se publique en el Diario Oficial.
PUBLÍQUESE Y CÚMPLASE
1. Por la cual se regulan los principios y normas de contabilidad e información financiera y de aseguramiento de información aceptados en Colombia, se señalan las autoridades competentes, el procedimiento para su expedición y se determinan las entidades responsables de vigilar su cumplimiento.
2. Por medio del cual se expide el Decreto Único Reglamentario – DUR de las Normas de Contabilidad, de Información Financiera y Aseguramiento de la Información y se dictan otras disposiciones.
3. Por medio de la cual se compilan y actualizan los marcos técnicos de las NIIF para el grupo 1 y de las NIIF para las Pymes. grupo 2, anexos al decreto 2420 de 2015, modificado por los decretos 2496 de 2015, 2131 de 2016 y 2170 de 2017, respectivamente y se dictan otras disposiciones.
4. Por la cual se incorpora en el Régimen de Contabilidad Pública, el marco normativo aplicable para algunas empresas sujetas a su ámbito y se dictan otras disposiciones.
5. Por la cual se incorpora en el Régimen de Contabilidad Pública, el marco normativo aplicable a entidades de gobierno y se dictan otras disposiciones.
6. Por la cual se regula el marco normativo para empresas que coticen en el Mercado de Valores o que capten o administren ahorro del público.
7. El Extensible Business Reporting Language – XBRL, es un lenguaje desarrollado a partir del XML para simplificar la automatización del intercambio con la estandarización de la información financiera a reportar mediante la definición de taxonomías.
8. https://www.superservicios.gov.co/system/files/2022-09/Resolucion-20221000627655-del-16-de-junio.pdf
9. Decreto 111 de 1996: “Artículo 36. El presupuesto de gastos se compondrá de los gastos de funcionamiento, del servicio de la deuda pública y de los gastos de inversión”.
10. Decreto 1068 de 2015: “Artículo 2.8.3.1.2. Presupuesto de Gastos. El presupuesto de gastos comprende las apropiaciones para gastos de funcionamiento, gastos de operación comercial, servicio de la deuda y gastos de inversión que se causen durante la vigencia fiscal respectiva”.
11. Decreto 1793 de 2021. Liquidación del presupuesto general de la nación para la vigencia 2022. https://www.minhacienda.gov.co/webcenter/portal/EntOrdenNacional/pages_presupuestogralnacion/pgn2022/decretopresupuesto2022