<Publicado en la página web de la CREG: 4 de febrero de 2025>
República de Colombia
PROYECTO DE RESOLUCIÓN 702 12 DE 2025
(enero 16)
<Fuente: Archivo interno entidad emisora>
COMISIÓN DE REGULACIÓN DE ENERGÍA Y GAS - CREG
MINISTERIO DE MINAS Y ENERGÍA
La Comisión de Regulación de Energía y Gas, en su sesión de 1367 del 16 enero de 2025, aprobó someter a consulta pública el presente proyecto de resolución por el término de diez (10) días hábiles a partir del día siguiente a su publicación en el portal web de la CREG.
Se invita a las empresas, los usuarios, las autoridades y demás partes interesadas a presentar sus observaciones y sugerencias dentro del plazo establecido, mediante comunicaciones electrónicas dirigidas al Director Ejecutivo de la CREG, a la cuenta creg@creg.gov.co, utilizando el archivo en formato Excel anexo denominado “Formato_comentarios_MOD_175.xlsx”.
En el documento soporte de la presente resolución se exponen los análisis y la justificación de la propuesta regulatoria que se somete al proceso de consulta pública.
Al vencimiento de la consulta pública, la CREG determinará si el proyecto debe ser informado a la Superintendencia de Industria y Comercio, para el ejercicio de la Abogacía de la Competencia, con fundamento en las disposiciones del Decreto 1074 de 2015, artículo 2.2.2.30.5.
PROYECTO DE RESOLUCIÓN
Por la cual se modifica y adiciona la Resolución CREG 175 de 2021
LA COMISIÓN DE REGULACIÓN DE ENERGÍA Y GAS
En ejercicio de las atribuciones constitucionales y legales, en especial las conferidas por la Ley 142 de 1994 y los Decretos 2253 de 1994 y 1260 de 2013 y,
CONSIDERANDO QUE:
El artículo 365 de la Constitución Política establece que “los servicios públicos son inherentes a la finalidad social del Estado. Es deber del Estado asegurar su prestación eficiente a todos los habitantes del territorio nacional”. Así mismo, estipula que “(l)os servicios públicos estarán sometidos al régimen jurídico que fije la ley, podrán ser prestados por el Estado, directa o indirectamente, por comunidades organizadas, o por particulares. En todo caso, el Estado mantendrá la regulación, el control y la vigilancia de dichos servicios (…)”.
De acuerdo con lo establecido en el artículo 14, numeral 14.28, de la Ley 142 de 1994, la actividad de transporte de gas natural es una actividad complementaria del servicio público domiciliario de gas combustible.
De acuerdo con lo previsto en la Ley 142 de 1994, le corresponde a la Comisión de Regulación de Energía y Gas, CREG, ejercer la función de regular los monopolios en la prestación de los servicios públicos, cuando la competencia no sea, de hecho, posible; y, en los demás casos, la de promover la competencia entre quienes presten servicios públicos, para que las operaciones de los monopolistas o de los competidores sean económicamente eficientes, no impliquen abuso de la posición dominante, y produzcan servicios de calidad, para lo cual puede, entre otras, proponer la adopción de las medidas necesarias para impedir abusos de posición dominante y adoptar reglas de comportamiento diferencial, según la posición de las empresas en el mercado, conforme a los artículos 73 y 74 de la Ley 142 de 1994.
La Ley 401 de 1997 establece que el gas combustible que se transporte por red física a todos los usuarios del territorio nacional, se regirá por las disposiciones contenidas en la Ley 142 de 1994, con el propósito de asegurar una prestación eficiente del servicio público domiciliario.
La Comisión debe establecer las fórmulas tarifarias para cobrar por el transporte e interconexión a las redes, con sujeción a los criterios que, según dicha ley, deben orientar el régimen tarifario, para lo cual puede establecer topes máximos y mínimos de tarifas, conforme a los artículos 73.11, 73.22 y 88 de la Ley 142 de 1994. Así mismo, la definición de estas tarifas debe considerar los criterios tarifarios previstos en el artículo 87 de la Ley 142 de 1994 y la aplicación de estos de acuerdo con cada actividad sujeta a regulación, al igual que no pueden trasladar a los usuarios los costos de una gestión ineficiente por parte de las empresas.
En virtud del principio de eficiencia económica definido en el numeral 87.1 del artículo 87 de la Ley 142 de 1994, el régimen de tarifas procurará que éstas se aproximen a lo que serían los precios de un mercado competitivo, esto es, que las fórmulas tarifarias no pueden trasladar a los usuarios los costos de una gestión ineficiente, ni permitir que las empresas se apropien de las utilidades provenientes de prácticas restrictivas de la competencia.
En virtud del principio de suficiencia financiera definido en el numeral 87.4 del artículo 87 de la Ley 142 de 1994, se debe garantizar a las empresas eficientes la recuperación de sus costos de inversión y sus gastos de administración, operación y mantenimiento –AOM, y permitir la remuneración del patrimonio de los accionistas en la misma forma en la que lo habría remunerado una empresa eficiente en un sector de riesgo comparable.
El período de vigencia de las fórmulas tarifarias previsto por la Ley 142 de 1994 y los criterios a través de los cuales se fijan las tarifas, buscan garantizar la estabilidad en los cargos aprobados, tanto a las empresas como a los usuarios.
Mediante la Resolución CREG 175 de 2021, la CREG estableció los criterios generales para la remuneración del servicio de transporte de gas natural y el esquema general de cargos del Sistema Nacional de Transporte.
Mediante las Resoluciones CREG 102 001, 102 005, 102 006, 102 010 de 2022 y la Resolución CREG 102 008 de 2024 se han modificado aspectos de la Resolución CREG 175 de 2021.
El artículo 45 de la Resolución CREG 175 de 2021, establece lo siguiente en relación con las Estaciones Reguladoras de Puerta de Ciudad, ERPC:
“Artículo 45. Estaciones reguladoras de puerta de ciudad,
, incluidas en los cargos de transporte. Para aquellas
que hayan sido incluidas y remuneradas en la base de activos del respectivo sistema de transporte, y que hayan cumplido su vida útil normativa, o que cumplan su vida útil normativa dentro de los cinco años siguientes a la entrada en vigencia de la presente resolución, y que no hayan sido incluidas dentro de una solicitud tarifaria de cargos de distribución de gas combustible atendiendo lo dispuesto en el numeral 13.2 de la Resolución CREG 202 de 2013, o aquellas que la modifiquen o sustituyan, como parte de un programa de reposición de activos, se aplicará lo siguiente:
a) El distribuidor que se beneficie de la respectiva
y el transportador responsable del sistema de transporte del cual se derive la
acordarán quién asume la responsabilidad de la estación, entendida esta como la obligación de mantenerla disponible, en operación o ampliarla, y con destino a la prestación del servicio público domiciliario. En este caso, la remuneración será como sigue:
i. El valor a reconocer por la
y sus gastos de
se remunerarán en la actividad de transporte si el transportador asume la responsabilidad de la estación. Estos valores harán parte del grupo de gasoductos ramales en aquellos sistemas donde aplique, o del tramo de gasoducto del cual se derive la estación cuando no haya grupo de gasoductos ramales.
ii. El valor a reconocer por la
y sus gastos de
se remunerarán en la actividad de distribución bajo los principios que remuneran los activos de dicha actividad, si el distribuidor que se beneficie de la estación asume la responsabilidad de la misma. Estos valores se incluirán en la base de activos y de gastos del mercado relevante de distribución que utilice la
.
iii. El agente que asuma la responsabilidad de la estación deberá informarlo a la Comisión y solicitar el ajuste de cargos de transporte o de distribución derivado de la
asociada a un tramo o grupo de gasoductos que cumplieron su vida útil normativa. Esta solicitud deberá realizarse dentro del término establecido en el Artículo 8 de la presente resolución y en el formato conjunto establecido en el Anexo 9 de la presente resolución.
b) En caso de que el distribuidor que se beneficie de la respectiva
y el transportador responsable del sistema de transporte del cual se derive la ERPC no presenten el formato establecido en el ¡Error! No se encuentra el origen de la referencia de la presente resolución manifestando el acuerdo sobre quién asume la responsabilidad de la estación, dentro de los tres (3) meses siguientes a la expedición de la presente resolución, se aplicará lo siguiente:
i. El valor a reconocer por la
y sus gastos de
se remunerarán en la actividad de transporte si el cargo de distribución vigente del mercado relevante de distribución que utilice la
se incrementa en más del 10% al incluir en la base de activos y de gastos de este mercado relevante el valor de reposición a nuevo y los gastos de la
. En este caso, el valor a reconocer y los gastos de
harán parte del grupo de gasoductos ramales en aquellos sistemas donde aplique, o del tramo de gasoducto del cual se derive la estación cuando no haya grupo de gasoductos ramales.
ii. El valor a reconocer por la
y sus gastos de
se remunerarán en la actividad de distribución si el cargo de distribución vigente del mercado relevante de distribución que utilice la
se incrementa hasta un 10% al incluir en la base de activos y de gastos de este mercado relevante el valor de reposición a nuevo y los gastos de AOM de la
. En este caso, el valor a reconocer y los gastos de
se incluirán en la base de activos y de gastos del mercado relevante de distribución que utilice la
.
iii. La Comisión ajustará de oficio los cargos de transporte o de distribución según corresponda.
PARÁGRAFO 1o. Las ERPC que hayan sido incluidas y remuneradas en la base de activos del respectivo sistema de transporte, y que hayan cumplido su vida útil normativa, o que cumplan su vida útil normativa dentro de los cinco años siguientes a la entrada en vigencia de la presente resolución, deberán ser declaradas por el transportador y el distribuidor beneficiario dentro del término establecido en el Artículo 8 de la presente resolución, y en el formato conjunto establecido en el Anexo 10 de la presente resolución.
PARÁGRAFO 2o. El valor de reposición a nuevo y el valor a reconocer por
y sus gastos de
se determinarán como se establece en el numeral 13.2 de la Resolución CREG 202 de 2013, modificado por la Resolución CREG 138 de 2014, o aquellas que los modifiquen o sustituyan. El valor a reconocer en transporte se convertirá a pesos colombianos de la fecha base utilizando el Índice de precios al Productor Oferta Interna.
PARÁGRAFO 3o. Los cargos de distribución o de transporte se ajustarán en los momentos determinados en el Artículo 24 de la presente resolución, para dar aplicación a las disposiciones establecidas en el presente artículo.
PARÁGRAFO 4o. Los transportadores y los distribuidores deberán incluir en el formato conjunto del Anexo 10 de la presente resolución las
que estaban incluidas y remuneradas en la base de activos del sistema de transporte, y que a la entrada en vigencia de la presente resolución no están incluidas, ni en la base de activos de transporte, ni en la de distribución de gas natural.
PARÁGRAFO 5o. En el caso de una ERPC que haya sido remunerada en la actividad de transporte y pase a ser remunerada en distribución de gas natural, el valor a reconocer por parte del distribuidor al transportador estará acotado a lo establecido en el numeral 13.2 de la Resolución CREG 202 de 2013.
PARÁGRAFO 6o. La Comisión utilizará en el análisis la mejor información disponible además de la declarada por el transportador. En el caso de que el transportador no cuente con la información relacionada con los costos, la Comisión utilizará el valor eficiente y podrá tener en cuenta el valor contable en libros declarado por el transportador, para lo cual el transportador deberá presentar los respectivos soportes.”
La mencionada disposición tuvo como antecedente, la remuneración que se venía realizando de las Estaciones de Recibo de Puerta de Ciudad, ERPC, en la actividad de transporte de gas natural con base en la Resolución CREG 126 de 2010 y en concordancia con la modificación realizada a la Resolución CREG 202 de 2013 mediante la Resolución CREG 138 de 2014.
De acuerdo con esto, la Resolución CREG 126 de 2010 en su artículo 14 estableció las disposiciones aplicables para los activos de transporte, gasoductos o estaciones de compresión, que cumplían su vida útil normativa.
Teniendo en cuenta que se venía dando aplicación a esta disposición, para estos activos, los cuales tenían inmersas ERPC y considerando que estas estaciones correspondían a activos que debían remunerarse únicamente en la actividad de distribución, se expidió la Resolución CREG 138 de 2014 la cual modificó el numeral 13.2 de la Resolución CREG 202 de 2013.
Para esto, se debían cumplir las siguientes condiciones en relación con las ERPC: i) que la Estación de Regulación de Puerta de Ciudad se esté remunerando a través de los cargos establecidos para un gasoducto de transporte de gas natural; ii) que el gasoducto de transporte cumpla el período de Vida Útil Normativa (VUN), antes del vencimiento del período tarifario de los cargos de distribución aprobados con la presente metodología; iii) que la empresa transportadora haya hecho la solicitud a la CREG de que trata el literal a) del artículo 14 de la Resolución CREG número 126 de 2010 para el reconocimiento de la inversión a la terminación de VUN y, iv) en la resolución particular de ajuste de los cargos de transporte no se haya incluido la Estación de Regulación de Puerta de Ciudad que estaba en el respectivo gasoducto.
Así mismo, el parágrafo 1 de este numeral determina el valor a reconocer por el activo cuando este se repone a nuevo o cuando este se mantiene en operación, donde para las ERPC homologables se toma el Anexo 8 de la Resolución CREG 202 de 2013 y para las no homologables la Comisión designará un perito para estimar el costo de reposición.
Lo consignado en el numeral 13.2 de la Resolución CREG 202 de 2013 buscó ser concordante con lo establecido en el artículo 14 de la Resolución CREG 126 de 2010.
Ahora, la Comisión identificó que, de mantener la remuneración de las ERPC, únicamente, dentro de la actividad de distribución y de acuerdo con la composición y el tamaño de los mercados relevantes, su reconocimiento en los cargos tarifarios generaba incrementos importantes en las tarifas para los usuarios.
A partir de lo anterior, la Comisión en el artículo 45 de la Resolución CREG 175 de 2021, consideró mantener abierta la posibilidad para que entre transportador y distribuidor acordarán la responsabilidad sobre las ERPC que hayan cumplido su vida útil normativa o que la cumplan dentro de los cinco años siguientes, a efectos de si estas debían ser remuneradas en transporte o mantenerse en distribución. En caso de no llegar a un acuerdo, se estableció por defecto que esta debía mantenerse en distribución si el cargo de distribución vigente del mercado relevante que utilice la ERPC se incrementa hasta un 10%.
Así mismo, se estableció en la Resolución CREG 175 de 2021 que, se debían dejar de remunerar los activos de transporte relativos a gasoductos y estaciones de compresión a través de un mecanismo de incentivos, definiendo un costo de reposición a nuevo a través de un perito, sino que los valores eficientes se definirían estableciendo las inversiones que efectivamente se requirieran para mantener en operación el activo.
Como parte del análisis de la información para la determinación de cargos de transporte, en cumplimiento de las disposiciones del marco regulatorio de la Resolución CREG 175 de 2021, la Comisión determinó la conveniencia de solicitar a las empresas información adicional para adelantar la valoración de las ERPC que, de acuerdo con la información reportada por las empresas en el marco de las solicitudes de cargos, iban a permanecer en cabeza del transportador.
Así entonces, mediante comunicaciones con radicado CREG S2022005313, S2022005317 y S2022005318 del 11 de noviembre de 2022 la Comisión solicitó a las empresas PROMIGAS S.A. E.S.P., PROGASUR S.A. E.S.P. y TGI S.A. E.S.P. el diligenciamiento de un formato adicional para establecer concretamente si las ERPC que fueron reportadas en el marco de la solicitud de cargos, podían ser homologadas con las unidades constructivas definidas en la Resolución CREG 202 de 2013.
La empresa TGI S.A. E.S.P. mediante comunicación con radicado CREG E2022014970 del 6 de diciembre de 2022 informó a la Comisión que, para un total de 39 ERPC, no era posible hacer la homologación de las ERPC que iban mantener bajo la responsabilidad de dicha empresa con respecto a las unidades constructivas definidas en la Resolución CREG 202 de 2013, de acuerdo con la información consignada en la siguiente tabla(1):
| No. | Nombre ERPC | Tramo de gasoducto asociado |
| 1 | Acacias Llanogas | Apiay - Usme |
| 2 | Acacias Madigas | Apiay - Usme |
| 3 | Aipe | Gualanday - Neiva |
| 4 | Alvarado | Mariquita - Gualanday |
| 5 | Ambalema | Mariquita - Gualanday |
| 6 | Caqueza | Apiay - Usme |
| 7 | CG Gualanday | Gualanday - Neiva |
| 8 | CG Mariquita | Vasconia - Mariquita |
| 9 | Chipaque | Apiay - Usme |
| 10 | Cumaral | Cusiana - Apiay |
| 11 | Doima | Mariquita - Gualanday |
| 12 | Fosca | Apiay - Usme |
| 13 | Guamo | Gualanday - Neiva |
| 14 | Guayabal | Mariquita - Gualanday |
| 15 | Guayabetal | Apiay - Usme |
| 16 | Honda | Mariquita - Gualanday |
| 17 | La Dorada | Vasconia - Mariquita |
| 18 | La Sierra | Mariquita - Gualanday |
| 19 | La Victoria Caldas | Vasconia - Mariquita |
| 20 | Lerida | Gualanday - Neiva |
| 21 | Libano | Mariquita - Gualanday |
| 22 | Los Pinos | Gualanday - Neiva |
| 23 | Natagaima | Gualanday - Neiva |
| 24 | Piedras | Mariquita - Gualanday |
| 25 | Puerto Boyacá | Vasconia - Mariquita |
| 26 | Puerto Parra | Barrancabermeja - Sebastopol |
| 27 | Puerto Salgar | Vasconia - Mariquita |
| 28 | Purificación | Gualanday - Neiva |
| 29 | Quetame | Apiay - Usme |
| 30 | Restrepo | Cusiana - Apiay |
| 31 | Saldaña | Gualanday - Neiva |
| 32 | Saldaña B | Gualanday - Neiva |
| 33 | San Luis | Montañuelo - Gualanday |
| 34 | San Vicente de Chucurí | Gasoductos aislados sur de Bolivar Antioquia y Santander |
| 35 | Tierradentro | Mariquita - Gualanday |
| 36 | Une | Apiay - Usme |
| 37 | Venadillo | Gualanday - Neiva |
| 38 | Villanueva Casanare | Cusiana - Apiay |
| 39 | Villavicencio | Apiay - Usme |
De otra parte, la empresa PROMIGAS S.A. E.S.P. mediante comunicación con radicado CREG E2023003646 del 6 de marzo de 2023 informó a la Comisión que, para un total de 34 ERPC, no era posible la homologación de las ERPC que iban mantener bajo la responsabilidad de dicha empresa con las unidades constructivas definidas en la Resolución CREG 202 de 2013, de acuerdo con la información consignada en la siguiente tabla:
| No. Segmento | Nombre Estación | Tramo de gasoducto asociado |
| 1 | ARROYO DE PIEDRA | Grupo de Gasoductos Ramales |
| 2 | BUENOS AIRES | Grupo de Gasoductos Ramales |
| 3 | CALAMAR | Grupo de Gasoductos Ramales |
| 4 | CAMARONES | Grupo de Gasoductos Ramales |
| 5 | CAMPECHE | Grupo de Gasoductos Ramales |
| 6 | CANDELARIA | Grupo de Gasoductos Ramales |
| 7 | CARACOLÍ | Grupo de Gasoductos Ramales |
| 8 | CARRETO | Grupo de Gasoductos Ramales |
| 9 | CHORRERA | Grupo de Gasoductos Ramales |
| 10 | CUESTECITAS | Grupo de Gasoductos Ramales |
| 11 | DIBULLA | Grupo de Gasoductos Ramales |
| 12 | EL PÁJARO | Ballena - La Mami |
| 13 | GUACAMAYAL | Grupo de Gasoductos Ramales |
| 14 | ISABEL LOPEZ | Grupo de Gasoductos Ramales |
| 15 | JUAN DE ACOSTA | Grupo de Gasoductos Ramales |
| 16 | LA GRAN VIA | Grupo de Gasoductos Ramales |
| 17 | LAS FLORES | Grupo de Gasoductos Ramales |
| 18 | MANAURE | Grupo de Gasoductos Ramales |
| 19 | MINGUEO | Grupo de Gasoductos Ramales |
| 20 | MOLINERO | Grupo de Gasoductos Ramales |
| 21 | ORIHUECA | Grupo de Gasoductos Ramales |
| 22 | PALERMO | Grupo de Gasoductos Ramales |
| 23 | PALOMINO | Grupo de Gasoductos Ramales |
| 24 | PENDALES | Grupo de Gasoductos Ramales |
| 25 | PUERTO GIRALDO - SUAN | Grupo de Gasoductos Ramales |
| 26 | REPELÓN | Grupo de Gasoductos Ramales |
| 27 | RIO ANCHO | Grupo de Gasoductos Ramales |
| 28 | RIO FRIO | Grupo de Gasoductos Ramales |
| 29 | SANTA LUCIA | Grupo de Gasoductos Ramales |
| 30 | SANTA VERONICA | Grupo de Gasoductos Ramales |
| 31 | SEVILLA | Grupo de Gasoductos Ramales |
| 32 | TASAJERA | Grupo de Gasoductos Ramales |
| 33 | URIBIA | Grupo de Gasoductos Ramales |
| 34 | USIACURI | Grupo de Gasoductos Ramales |
Por su parte, la empresa PROGASUR S.A. E.S.P. mediante comunicación con radicado CREG E2022014874 del 6 de diciembre de 2022, en respuesta a la comunicación con radicado CREG S2022005317, realizó el diligenciamiento del formato remitido para tales efectos y declaró que las estaciones City Gate Mirolindo, City Gate Chicoral, City Gate Espinal y City Gate Flandes, son homologables con las unidades constructivas definidas en la Resolución CREG 202 de 2013.
La Comisión, a partir de lo establecido en el artículo 45 de la Resolución CREG 175 de 2021, para el año 2022 y 2023 llevó a cabo las gestiones para la designación del perito mediante Resolución CREG 502 052 de 2023, dentro del marco de aplicación de la Resolución CREG 138 de 2014 la cual modificó el numeral 13.2 de la Resolución CREG 202 de 2013. Dichas gestiones resultaron no exitosas, debido a: (i) situaciones de inhabilidad en la que se encontraban los potenciales peritos, de acuerdo con lo previsto en el artículo 44 de la Ley 142 de 1994 y, (ii) la falta de interés de las personas jurídicas en llevar a cabo esta gestión.
Sin perjuicio de lo anterior, en este mismo período de tiempo la Comisión ha recaudado información relativa a estudios de unidades constructivas, así:
- Base con APU elaborado por Itansuca en 1998
- Unidades constructivas base con APU elaborado por Eduardo Afanador en 2001
- Actualización precios IPP de Itansuca del año 2010
- Información de los informes periciales elaborados por DIVISA para la valoración de ERPC
- Informes de Puntos Entrada / Salida del SNT elaborados por DIVISA, a partir de los cuales la Comisión ha podido contar con los datos y el conocimiento para poder llevar a cabo la valoración de las ERPC, sin necesidad de contar con un dictamen pericial por parte de un tercero, en este caso, para las ERPC para estaciones no homologables.
- Análisis interno de la información y actualización de unidades constructivas
Dicha información incluye costos totales de suministro, instalación, componentes, considerando que la topología de las ERPC están constituidas por unidades constructivas como son: i) Válvula ESD con actuador ( ESDV- Emergency Shutdown Valve; ii) Filtro separador (stand by); iii) Calentador, definido según el tamaño de la estación con una potencia definida, este componente se define según su capacidad en términos de BTU/hr., iv) Regulación (std by), v) Medición incluyendo entre otros los medidores rotativo, coriolis, ultrasonido y turbina; vi) Odorizador, definido como el sistema de odorización; vii) Equipo de Control de calidad, donde contempla los equipos necesarios para garantizar la calidad del gas suministrado a los usuarios; viii) Unidad paquete (válvula ESD con actuador filtro separador, calentador, sistema de regulación, medición y odorización); ix) Tubería relacionada: para indicar que todos los componentes están conectados mediante tubería, y; x) Área de terreno requerido (mts2 ).
En este sentido, la aplicación de lo dispuesto en el parágrafo 2 del artículo 45 de la Resolución CREG 175 de 2021 y la remisión al numeral 13. 2 de la Resolución CREG 138 de 2014 parte de los siguientes elementos: i) su aplicación parte de la designación de un perito, en la medida que la Comisión no cuente con información o tenga los elementos para llevar a cabo la valoración de las ERPC de manera directa; ii) la metodología de la Resolución CREG 175 de 2021 y los incentivos del valor de reposición a nuevo para reemplazar o mantener el activo en operación, previstos anteriormente no fueron incluidos para la infraestructura de transporte de gas natural; iii) la definición del incentivo se hace a través de las resoluciones de cargos tarifarios de los artículos 22, 23 y 24 de la Resolución CREG 175 de 2021, en lo que se denomina actualización de cargos y la definición de cargos máximos regulados por servicios de transporte de capacidad firme, las cuales no han sido adoptadas por parte de la Comisión.
En este sentido, se identifica que dicho parágrafo 2 del artículo 45 de la Resolución CREG 175 de 2021, no es aplicable dentro del trámite de las actuaciones administrativas de cargos de acuerdo con los elementos expuestos, así como dicho incentivo aún no se encuentra reconocido en las resoluciones de cargos, de manera que deban protegerse expectativas legitimas(2).
Es por esto que, a partir de la información con la que cuenta la Comisión se ha de incorporar dentro de la Resolución CREG 175 de 2021 una modificación de dicho parágrafo, con el fin de: i) Prescindir de la prueba pericial por contar con información y elementos para un ejercicio de valoración directa para ERPC por parte de la Comisión, fusionando los conceptos de homologables y no homologables por un modelo de valoración que incluye un listado de Unidades Constructivas - UC ampliado incluyendo un modelo de valoración, toda vez que de dicha información, se puede elaborar un listado que incorpore todas las ERPC que hacen parte de los expedientes tarifarios de transporte de gas natural; ii) A partir del ejercicio de valoración, establecer un valor de reposición a nuevo si reemplaza la ERPC en su totalidad a partir de UC ampliadas; iii) Ante la posibilidad de que las ERPC puedan mantenerse en operación, el incentivo que se define para estas situaciones ha de ser simétrico con lo previsto actualmente en la metodología de transporte de gas de la Resolución CREG 175 de 2021, artículo 22, para los demás activos que hacen parte de la infraestructura de transporte, en este caso la variable RVUN junto con las inversiones necesarias para un periodo de vida.
Lo anterior, incluye la adición de un Anexo con el listado de Unidades Constructivas – UC y la referencia de la remuneración de los gastos de AOM, cuyo análisis se revisará a partir de la información de las solicitudes de cargos incluido en el formato A04F1
Ahora bien, respecto a la conversión de infraestructura de hidrocarburos a transporte de gas natural, el Estudio Técnico para el Plan de Abastecimiento de Gas Natural 2023-2038 elaborado publicado por la Unidad de Planeación Minero Energética, UPME, mediante la Circular 045 de 2024 expuso lo siguiente:
“8.3. Reconversión de Infraestructura de Transporte
En la actualidad existe infraestructura de transporte de hidrocarburos, principalmente de crudo, que según información suministrada por los mismos operadores se encuentra subutilizada presenta capacidad excedentaria y que podría ser una oportunidad para contribuir con la seguridad de abastecimiento y la confiabilidad del servicio de gas natural siempre y cuando se realicen las inversiones necesarias para reconvertir esta infraestructura con soluciones costo-eficientes para la demanda. En la actualidad existe infraestructura de transporte de hidrocarburos, principalmente de crudo, que según información suministrada por los mismos operadores se encuentra subutilizada y que podría ser una oportunidad para contribuir con la seguridad de abastecimiento y la confiabilidad del servicio de gas natural siempre y cuando se realicen las inversiones necesarias para reconvertir esta infraestructura con soluciones costo-eficientes para la demanda. Para este caso específico se propone como alternativa la reconversión de infraestructura, actualmente dedicada para el transporte de crudo, a infraestructura dedicada exclusivamente para el transporte de Gas natural.”
Adicionalmente, dentro del numeral 12 de “recomendaciones” del Estudio Técnico denominado “Proyectos recomendados por el ETPAGN 2023-2038 para ser adoptados por el MME” se incluye dentro de la Tabla “12-1. Nueva infraestructura de oferta y transporte recomendada en el ETPAGN 2023-2038” lo siguiente:
“
| Necesidad Identificada | Capacidad | FPO Sugerida | Nodos Beneficiarios | Beneficio Estimado MUSD | MENOR Costo Indicado MUSD | ACCIONES En función de resultados del Escenario Recomendaciones |
| Gasoducto para conectar VIM - Interior en Magdalena Medio. Se analizaron 3 alternativas:A) Conexión Jobo-Antioquia-Mariquita.B) Conexión Sincelejo-Vasconia.C) Conexión jobo-Vasconia. | No inferior a 400 MPCD | 4T 2026 | Todos | 8396 | 877 | ADOPTAR Por abastecimiento y confiabilidad. Se recomienda la alternativa (C) Jobo-Vasconia, por menor costo indicativo y FPO requerida para evitar potencial déficit estimado |
"
El Decreto 1467 de 2024 expuso lo siguiente en relación el tema de la conversión de infraestructura, para la prestación del servicio público de gas natural:
“Artículo 1o. Modificar las siguientes definiciones del artículo 2.2.2.1.4. del Decreto 1073 de 2015, las cuales quedarán así:
(…)
Conversión de infraestructura: Conjunto de actividades necesarias para adecuar técnicamente y utilizar la infraestructura existente de transporte de hidrocarburos, sus mezclas o derivados, en la actividad de transporte de gas natural cumpliendo con los requisitos establecidos en el Reglamento Único de Transporte - RUT, expedido por la Comisión de Regulación de Energía y Gas - CREG.
Infraestructura Convertida: Infraestructura existente de la actividad de transporte de hidrocarburos, sus mezclas o derivados, habilitada técnicamente para el transporte de gas natural.
Dicha infraestructura se considera parte del SNT cuando cumpla con las condiciones técnicas señaladas en el RUT.
El propietario y/u operador de la infraestructura convertida podrá no ser un Transportador de gas natural, no obstante, para efectos de la operación de dicha infraestructura, le será aplicable la regulación existente de la actividad de transporte de gas natural. El servicio de transporte de gas natural que se provea mediante Infraestructuras Convertidas deberá ser prestado por un agente Transportador de Gas Natural.
Infraestructura existente: Infraestructura que se encuentre en disposición de servicio de las actividades de transporte de hidrocarburos, sus mezclas o derivados y de transporte de gas natural.
(…)
Artículo. 2.2.2.2.28. Plan de abastecimiento de gas natural. Con el objeto de identificar los proyectos necesarios para garantizar la seguridad de abastecimiento y la confiabilidad del servicio de gas natural, el Ministerio de Minas y Energía adoptará un plan de abastecimiento de gas natural para un periodo de diez (10) años, el cual tendrá en cuenta, entre otros, la información de que tratan los artículos 2.2.2.2.19, 2.2.2.2.20 Y 2.2.2.2.21 Y el parágrafo 1 del artículo 2.2.2.2.37 de este decreto, los costos de racionamiento y la información de las cantidades de gas importadas y/o exportadas. Este plan será adoptado a la brevedad y actualizado anualmente.
PARÁGRAFO 1o. El plan de abastecimiento de gas natural busca asegurar que las obras requeridas para garantizar la confiabilidad y seguridad de abastecimiento se ejecuten y entren en operación de manera oportuna. Este plan no restringe la libertad que tienen los agentes transportadores de realizar ampliaciones o expansiones en el SNT previo cumplimiento de la normatividad vigente.
PARÁGRAFO 2o. El Ministerio de Minas y Energía establecerá los lineamientos que deberá contener el plan de abastecimiento de gas natural.
PARÁGRAFO 3o. El plan de abastecimiento de gas natural podrá incluir las obras requeridas para la conexión de fuentes costa afuera, así como los proyectos identificados que puedan contar con condiciones técnico-económicas aptas para operar como infraestructura convertida." (Resaltado fuera de texto)
El Ministerio de Minas y Energía puso en consideración la propuesta de resolución “Por la cual se adopta el Plan de Abastecimiento de Gas Natural 2023-2032”.
Adicionalmente, la Resolución CREG 102 008 de 2022, modificada por la Resolución CREG 102 012 de 2024, estableció lo siguiente:
“Artículo 2o. Definiciones. Para la interpretación y aplicación de esta Resolución se tendrán en cuenta, además de las definiciones establecidas en la Ley 142 de 1994 y en las resoluciones vigentes de la CREG, las siguientes:
(…)
Inversiones en proyectos prioritarios del plan de abastecimiento en un sistema de transporte, IPAT: Son los valores eficientes de proyectos prioritarios del PAGN que están embebidos en la infraestructura de un sistema de transporte existente. Para efectos regulatorios, estos proyectos corresponderán únicamente a gasoductos loops, estaciones de compresión y/o adecuaciones de la infraestructura existente de la actividad de transporte de hidrocarburos y de sus mezclas o derivados, incluida la de transporte de gas natural, que contribuyan a garantizar la seguridad de abastecimiento y la confiabilidad del servicio de gas natural.” (Resaltado fuera de texto)
Teniendo en cuenta lo anterior, los conceptos de infraestructura convertida e infraestructura existente pueden ser considerados e incluidos como proyectos dentro del Plan de Abastecimiento de Gas Natural PAGN, lo cual entiende la Comisión, ha sido planteado dentro del Estudio Técnico para el Plan de Abastecimiento de Gas Natural 2023-2038 elaborado y publicado por la UPME, mediante la Circular 045 de 2024.
En este sentido, en la medida que así lo adopte el Plan de Abastecimiento de Gas Natural, PAGN, estos proyectos de conversión de infraestructura pueden ser considerados proyectos prioritarios del plan de abastecimiento en un sistema de transporte, IPAT, lo cual implica que se deba aplicar la regulación asociada con los procedimientos que se deben seguir para ejecutar proyectos del PAGN, entre los que se encuentra el artículo 4o de la Resolución 102 008 de 2022 que establece las disposiciones relacionadas con la ejecución de inversiones en proyectos prioritarios del plan de abastecimiento en un sistema de transporte, IPAT, por parte del transportador incumbente.
Específicamente, en el literal c del artículo 4o en mención se establece lo siguiente:
“c) Utilizando el mecanismo de valoración de inversiones y evaluación de AOM previsto en la resolución que reemplace la metodología de remuneración de la actividad de transporte de gas natural contenida en la Resolución CREG 175 de 2021 o aquellas que la modifiquen o sustituyan, la CREG determinará el valor eficiente de la inversión y de los gastos de AOM correspondientes a cada proyecto declarado por el transportador incumbente.”
Este mecanismo de valoración, de acuerdo con lo establecido en la Resolución CREG 175 de 2021, no está previsto para proyectos de conversión de infraestructura que sean incluidos como proyectos dentro del PAGN, como hoy existe para la infraestructura existente de transporte de gas natural.
Es por esto que, a partir de las normas anteriormente citadas, se considera necesario modificar la Resolución CREG 175 de 2021 a efectos de incluir el mecanismo de valoración de inversiones y evaluación de AOM que permita determinar el valor eficiente de la inversión y de los gastos de AOM correspondientes a proyectos de conversión de infraestructura como parte de la infraestructura existente como un proyecto IPAT, lo cual incluye, entre otros: i) mecanismo de valoración de la inversión lo cual incluya tres componentes, el costo de oportunidad que se deja de percibir en el sector que esté operando ya sea el de crudos con oleoductos o refinados en el caso de poliductos, las inversiones para convertir el activo a gasoducto y los activos para conectar el SNT los activos convertidos; ii) mecanismo de valoración de los gastos de AOM; iii) instrumentos para la declaración de la información de la infraestructura a convertir; iv) determinación del costo de oportunidad que se deja de percibir en el sector que esté operando el activo; v) anualidad de inversión.
Así mismo, se considera procedente que, las disposiciones que hacen parte del título que se incluye dentro de la Resolución CREG 175 de 2021 en materia de “Remuneración de activos de hidrocarburos convertidos a gasoductos”, sean aplicables igualmente para la conversión de infraestructura, cuando esta se decida asumir a riesgo de los agentes transportadores en el marco de la metodología de transporte de gas natural.
Lo anterior, teniendo en cuenta que dentro del Decreto 1467 de 2024, reitera lo expuesto el Decreto 2345 de 2015, al exponer que:
“Artículo. 2.2.2.2.28. Plan de abastecimiento de gas natural. Con el objeto de identificar los proyectos necesarios para garantizar la seguridad de abastecimiento y la confiabilidad del servicio de gas natural, el Ministerio de Minas y Energía adoptará un plan de abastecimiento de gas natural para un periodo de diez (10) años, el cual tendrá en cuenta, entre otros, la información de que tratan los artículos 2.2.2.2.19, 2.2.2.2.20 Y 2.2.2.2.21 Y el parágrafo 1 del artículo 2.2.2.2.37 de este decreto, los costos de racionamiento y la información de las cantidades de gas importadas y/o exportadas. Este plan será adoptado a la brevedad y actualizado anualmente.
PARÁGRAFO 1o. El plan de abastecimiento de gas natural busca asegurar que las obras requeridas para garantizar la confiabilidad y seguridad de abastecimiento se ejecuten y entren en operación de manera oportuna. Este plan no restringe la libertad que tienen los agentes transportadores de realizar ampliaciones o expansiones en el SNT previo cumplimiento de la normatividad vigente.
PARÁGRAFO 2o. El Ministerio de Minas y Energía establecerá los lineamientos que deberá contener el plan de abastecimiento de gas natural.
PARÁGRAFO 3o. El plan de abastecimiento de gas natural podrá incluir las obras requeridas para la conexión de fuentes costa afuera, así como los proyectos identificados que puedan contar con condiciones técnico-económicas aptas para operar como infraestructura convertida." (Resaltado fuera de texto)
RESUELVE:
ARTÍCULO 1o. Adicionar el parágrafo 3 al artículo 31 de la Resolución CREG 175 de 2021, el cual quedará de la siguiente forma:
“PARÁGRAFO 3. El transportador interesado en la conversión de infraestructura de hidrocarburos deberá declarar a la Comisión a través de su representante legal, que no existen limitaciones para la conversión de la infraestructura, para lo cual, debe incluir el visto bueno del proyecto de conversión por parte del Ministerio de Minas y Energía de acuerdo con la normativa aplicable. De la misma forma, debe declarar que no se encuentra vigente o no le es aplicable la tarifa definida para la prestación por el transporte de crudo por oleoductos o de refinados por poliductos a través de la infraestructura existente de transporte de hidrocarburos.”
ARTÍCULO 2o. Modificar el artículo 45 de la Resolución CREG 175 de 2021, el cual quedará de la siguiente forma:
“Artículo 45. Estaciones reguladoras de puerta de ciudad, ERPC, incluidas en los cargos de transporte. Para aquellas ERPC que hayan sido incluidas y remuneradas en la base de activos del respectivo sistema de transporte, y que hayan cumplido su vida útil normativa, o que cumplan su vida útil normativa dentro de los cinco años siguientes a la entrada en vigencia de la presente resolución, y que no hayan sido incluidas dentro de una solicitud tarifaria de cargos de distribución de gas combustible atendiendo lo dispuesto en el numeral 13.2 de la Resolución CREG 202 de 2013, o aquellas que la modifiquen o sustituyan, como parte de un programa de reposición de activos, se aplicará lo siguiente:
a) El distribuidor que se beneficie de la respectiva ERPC y el transportador responsable del sistema de transporte del cual se derive la ERPC acordarán quién asume la responsabilidad de la estación, entendida esta como la obligación de mantenerla disponible, en operación o ampliarla, y con destino a la prestación del servicio público domiciliario. En este caso, la remuneración será como sigue:
i. El valor a reconocer por la ERPC y sus gastos de AOM se remunerarán en la actividad de transporte si el transportador asume la responsabilidad de la estación. Estos valores harán parte del grupo de gasoductos ramales en aquellos sistemas donde aplique, o del tramo de gasoducto del cual se derive la estación cuando no haya grupo de gasoductos ramales.
ii. El valor a reconocer por la ERPC y sus gastos de AOM se remunerarán en la actividad de distribución bajo los principios que remuneran los activos de dicha actividad, si el distribuidor que se beneficie de la estación asume la responsabilidad de la misma. Estos valores se incluirán en la base de activos y de gastos del mercado relevante de distribución que utilice la ERPC.
iii. El agente que asuma la responsabilidad de la estación deberá informarlo a la Comisión y solicitar el ajuste de cargos de transporte o de distribución derivado de la ERPC asociada a un tramo o grupo de gasoductos que cumplieron su vida útil normativa. Esta solicitud deberá realizarse dentro del término establecido en el Artículo 8 de la presente resolución y en el formato conjunto establecido en el Anexo 9 de la presente resolución.
b) Para las ERPC que ya cumplieron con el periodo de vida útil normativo, si el distribuidor que se beneficie de la respectiva ERPC y el transportador responsable del sistema de transporte del cual se derive la ERPC no presentan el formato establecido en el Anexo 9 de la presente resolución manifestando el acuerdo sobre quién asume la responsabilidad de la estación, dentro de los tres (3) meses siguientes a la expedición de la presente resolución, se aplicará lo siguiente:
i. El valor a reconocer por la ERPC y sus gastos de AOM se remunerarán en la actividad de transporte si el cargo de distribución vigente del mercado relevante de distribución que utilice la ERPC se incrementa en más del 10%, al incluir en la base de activos y de gastos de este mercado relevante, el valor de reposición a nuevo y los gastos de la ERPC. En este caso, el valor a reconocer y los gastos de AOM harán parte del grupo de gasoductos ramales en aquellos sistemas donde aplique, o del tramo de gasoducto del cual se derive la estación, cuando no haya grupo de gasoductos ramales.
ii. El valor a reconocer por la ERPC y sus gastos de AOM se remunerarán en la actividad de distribución si el cargo de distribución vigente del mercado relevante de distribución que utilice la ERPC se incrementa hasta un 10%, al incluir en la base de activos y de gastos de este mercado relevante, el valor de reposición a nuevo y los gastos de AOM de la ERPC. En este caso, el valor a reconocer y los gastos de AOM se incluirán en la base de activos y de gastos del mercado relevante de distribución que utilice la ERPC.
iii. La Comisión ajustará de oficio los cargos de transporte o de distribución según corresponda.
c) El agente transportador deberá declarar las ERPCs la información integrada en el formato A09F2 del Anexo 9.
d) Si el agente transportador declara en el formato A09F2 del Anexo 9 que repondrá la ERPC con las mismas especificaciones de capacidad de la inversión existente o si cambian las especificaciones de la inversión existente, deberá incluir la información actualizada, la valoración de reposición a nuevo de las ERCP se calculará de conformidad con lo establecido en el Anexo 11 denominado 'MODELO DE VALORACIÓN DE ESTACIONES DE REGULACION DE PUERTA DE CIUDAD” a que hace referencia la presente resolución a pesos de la fecha base.
e) Si la decisión del transportador es continuar operando la ERPC existente, se deberá seguir el siguiente procedimiento:
i. El transportador declarará los componentes que se requieran reemplazar en los siguientes cinco años de las ERPCs y su valor, que requiere el activo para continuar operando durante su vida útil normativa, con el suficiente detalle y justificación. Esta información deberá ser declarada de acuerdo con en el formato A09F2 del Anexo 9 de la presente resolución.
ii. Según el tipo de inversión y el valor de la inversión, la CREG podrá contratar un auditor para: (i) verificar la necesidad de la inversión, (ii) establecer un valor eficiente de referencia de la inversión. También podrá internamente analizar la necesidad de la inversión y valorarla a partir del modelo incluido en el Anexo 11.
iii. En la determinación de los cargos tarifarios, la CREG incluirá:
a. El valor de las inversiones eficientes calculadas en el literal ii) que requiere el transportador para mantener en operación el activo.
b. El valor de los gastos eficientes de AOM serán los identificados al tramo en cual estén localizadas las ERPCs, antes de su reemplazo.
c. El costo de oportunidad se estimará para las ERPCs que cumplan las siguientes condiciones:
I. El activo ha cumplido o cumple periodo de vida útil normativo durante el periodo tarifario t.
II. El activo está en operación y puede seguir en operación comercial durante el periodo tarifario t.
III. El activo se necesita para la prestación del servicio durante el periodo tarifario t.
IV. El activo no es objeto de remuneración en alguno de los proyectos de los planes de abastecimiento de gas natural.
iv. La estimación del costo de oportunidad por mantener en operación las ERPCs que cumplen el periodo de vida útil normativa, RVUN, en el periodo tarifario t, se realizará conforme a los siguientes pasos:
Paso 1:
Aplicar la siguiente ecuación a cada uno de los activos que cumplen vida útil normativa VUN para cada tramo regulatorio y grupo de gasoductos, y actualizarlos acorde a lo dispuesto en el artículo 28 de la presente resolución:
![]()
Donde:
| Costo de oportunidad por mantener en operación los activos que cumplen el periodo de vida útil normativa, | |
| Valor en libros menos la depreciación de la inversión de la ERPC respectiva, acorde a la información contable de la empresa, la cual debe coincidir con los valores reportados en los Estados financieros aprobados y certificados por la entidad, expresado en pesos colombianos de la fecha base. En caso de que la empresa no entregue la información o no esté debidamente soportada su valor será cero. | |
| Costo de oportunidad asociado al riesgo del activo en el negocio para un activo que ya cumplió su vida útil normativa | |
| Tasa promedio de costo de capital, real antes de impuestos, remunerado por servicios de capacidad a través de cargos fijos expresados en pesos colombianos. | |
| Periodo para descontar el flujo: 20 años | |
| Valor presente de Costo de oportunidad por mantener en operación las ERPCs que cumplen el periodo de vida útil normativa, |
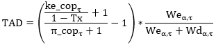
TAD considera las variables para cálculo de la tasa de descuento Tkc, así:

Donde:
| Costo de oportunidad asociado al riesgo del activo en el negocio para un activo que ya cumplió su vida útil normativa. | |
| Ponderador para el costo del capital propio (equity) de la actividad a, en el momento | |
| Costo del capital propio en pesos corrientes de la actividad a, en el momento | |
| Costo del capital propio en pesos constantes de la actividad a, en el momento | |
| Ponderador para el costo del capital propio (equity) de la actividad a | |
| Tarifa general del impuesto sobre la renta de las personas jurídicas, vigente al momento | |
| Ponderador para el costo de la deuda de la actividad a, expresado como la relación de la deuda sobre el capital total, en el momento | |
| Expectativa de inflación en el momento |
La variable TAD se podrá actualizar cuando se actualice la variable Tkc acorde a decisión de la comisión.
Paso 2
Teniendo en cuenta los valores estimados en el Paso 1, el valorRVUNERPC, para cada tramo regulatorio o grupo de gasoductos, se adicionará a la base de activos.
Las disposiciones del cálculoRVUNERPC tendrán la vigencia de la presente metodología, y la CREG, para el siguiente periodo tarifario, cuando se establezca una nueva metodología, determinará los criterios para continuar o no remunerando un costo de oportunidad, considerando elementos de eficiencia y el análisis de impacto de la aplicación de este concepto de costo de oportunidad en la presente metodología.
v. Mientras el transportador ejecuta el 100% de las inversiones que requiere para mantener en operación el activo, se retirará de la base de activos el valor correspondiente al activo que ha cumplido período de vida útil normativa a partir del valor depreciado que declare la empresa el cual debe estar reflejado en su información contable. En el caso de que no se logre identificar en la información contable el correspondiente valor este será considerado como cero, y en la base tarifaria se reconocerá el (i) valor eficiente determinado por la CREG del valor presente de las inversiones eficientes para mantener en operación el activo durante los primeros 5 años.
En las resoluciones de cargos particulares se reconocerán las inversiones declaradas para los siguientes cinco años con el valor eficiente determinado por la CREG.
vi. Cuando el transportador ejecute el 100% de cada una de las inversiones que requiere para mantener en operación el activo, en la base tarifaria solo se reconocerá el valor eficiente de las inversiones ejecutadas, las cuales se incluirán en cargos de acuerdo con lo establecido en el Artículo 28 de la presente resolución.
PARÁGRAFO 1o. Las
que hayan sido incluidas y remuneradas en la base de activos del respectivo sistema de transporte, y que hayan cumplido su vida útil normativa, o que cumplan su vida útil normativa dentro de los cinco años siguientes a la entrada en vigencia de la presente resolución, deberán ser declaradas por el transportador y el distribuidor beneficiario dentro del término establecido en el Artículo 8o de la presente resolución, y en el formato conjunto establecido en el Anexo 10 de la presente resolución.
PARÁGRAFO 2o. Los formatos deberán remitirse dentro de los (10) días hábiles siguientes a la expedición de la presente Resolución.
PARÁGRAFO 3o. Los cargos de transporte se actualizarán en los momentos determinados en el Artículo 24 de la presente resolución, para dar aplicación a las disposiciones establecidas en el presente artículo.
PARÁGRAFO 4o. Los transportadores y los distribuidores deberán incluir en el formato conjunto del Anexo 10 de la presente resolución las que estaban incluidas y remuneradas en la base de activos del sistema de transporte, y que a la entrada en vigencia de la presente resolución no están incluidas, ni en la base de activos de transporte, ni en la de distribución de gas natural.
PARÁGRAFO 5o. En el caso de una que haya sido remunerada en la actividad de transporte y pase a ser remunerada en distribución de gas natural, el valor a reconocer por parte del distribuidor al transportador estará acotado a lo establecido en el numeral 13.2 de la Resolución CREG 202 de 2013.
PARÁGRAFO 6o. La Comisión utilizará en el análisis la mejor información disponible además de la declarada por el transportador. En el caso de que el transportador no cuente con la información relacionada con los costos, la Comisión utilizará el valor eficiente y podrá tener en cuenta el valor contable en libros declarado por el transportador, para lo cual el transportador deberá presentar los respectivos soportes.
PARÁGRAFO 7o. La variable
se adicionará ala variable
y se incorporará en los tramos regulatorios en los que estén ubicadas las ERPC.
ARTÍCULO 3o. Adicionar el capítulo VIII dentro del título III “Remuneración de activos de hidrocarburos convertidos a gasoductos” en la Resolución CREG 175 de 2021, el cual quedará así:
Capítulo VIII Remuneración de activos de hidrocarburos convertidos a gasoductos
Artículo 46. Activos a convertir a gasoductos. En general se podrán convertir a activos de transporte de gas, activos de transporte tales como oleoductos y poliductos en los términos previstos en el Decreto 1467 de 2024.
Artículo 47. Información para a declarar. El agente interesado deberá declarar la información de la infraestructura a convertir a gasoductos en los formatos A02F1, A02F2 A02F3, A02F3Aux, los formatos de los Anexos 4, 5, A06F3, A06F7, A06F8, A11F1 y demás que considere necesario la Comisión.
Artículo 48. Naturaleza regulatoria de los activos a convertir. Los activos convertidos a gasoductos pueden entrar a formar parte de la red de transporte de gas como un Sistema Troncal de transporte, STT: bajo dos modalidades.
a) Como la base de activos de transporte de gas en las solicitudes de cargos a la luz de la presente metodología de remuneración.
b) Como parte de los proyectos que estructura la UPME en el Estudio Técnico del Plan de Abastecimiento y que aprueba el Ministerio de Minas y Energía dentro del Plan de Abastecimiento de Gas Natural, PAGN. En dicho caso, se considerará como proyectos IPAT.
Una vez se definan cargos, sobre la infraestructura convertida, con base en la metodología de transporte de gas natural ó se defina un flujo de ingresos como proyecto IPAT, incluido dentro del PAGN, esta infraestructura corresponderá a un Sistema de Transporte Existente.
PARÁGRAFO. Para los proyectos IPAT correspondientes a adecuaciones de la infraestructura existente de transporte de hidrocarburos y de sus mezclas o derivados a gasoductos, se entenderá que al operador que defina el propietario de la infraestructura a convertir, le serán aplicables las reglas equivalentes al transportador incumbente definido en el artículo 2o de la Resolución CREG 102 008 de 2022 o aquella que la modifique adicione o sustituya.
Artículo 49. Remuneración de inversión de activos convertidos a gasoductos La remuneración de la inversión estará definida por tres componentes i) el costo de oportunidad que se deja de percibir en el sector que esté operando ya sea el de crudos con oleoductos o refinados en el caso de poliductos ii) Las inversiones para convertir el activo a gasoducto iii) los activos necesarios para conectar al SNT los activos convertidos.
Artículo 49.1. Determinación del costo de oportunidad que se deja de percibir en el sector que esté operando el activo. Para determinar el costo de oportunidad se considerará la siguiente expresión:

Donde:
| Anualidad del ingreso asociada al costo de oportunidad del activo operando en otro sector ya sea el de crudos o el de refinados expresado en COP de la fecha base. Este valor en caso de ser negativo se ajustará a cero. | |
| Pérdida de ingreso anual al tomar la decisión de convertir el activo a gasoductos en su sector de origen ya sea en transporte de crudos o refinados. expresado en COP de la fecha base. | |
| Ingresos anuales adicionales al tomar la decisión de convertir el activo a gasoductos, en su sector de origen ya sea en transporte de crudos o refinados. expresado en COP de la fecha base. | |
| Tasa de descuento real antes de impuestos del sector donde se está remunerando actualmente los activos ya sea en transporte de crudos o refinados | |
| Periodo de tiempo expresado en años para hacer la evolución del costo de oportunidad por defecto se considerarán 5 años |
Artículo 49.2. Anualidad de Inversión
. Para la determinación de la inversión existente se utilizará la siguiente ecuación:
![]()
Donde:
| Anualidad de la inversión de la infraestructura convertida a gasoductos expresada en COP de la fecha base | |
| Valor en libros menos la depreciación de la inversión del activo en su sector de origen ya sea en transporte de crudos o refinados expresado en COP de la fecha base. Solo se considerarán activos convertibles a gasoductos tales como ductos. La información será solicitada al Ministerio de Minas y Energía y en caso de no estar disponible se desarrollará un análisis independiente para auditarla. | |
| Costo de oportunidad asociado al riesgo del activo en el negocio para un activo que ya cumplió su vida útil normativa. | |
| Anualidad del ingreso asociada al costo de oportunidad del activo operando en otro sector ya sea el de crudos o refinados expresado en COP de la fecha base. Este valor en caso de ser negativo se ajustará a cero. | |
| Anualidad del plan de nuevas inversiones para adelantar la conversión del activo operando en otro sector ya sea el de crudos o refinados expresado en COP de la fecha base. | |
| Anualidad de inversiones para desarrollar infraestructura de conexión al SNT. Expresado en COP de la fecha base. | |
| Periodo de tiempo expresado en años para hacer la evolución del costo de oportunidad por defecto se considerarán 5 años. | |
| Periodo de tiempo expresado en años para calcular la anualidad del plan de inversiones y de la infraestructura para conectar los activos convertidos al SNT por defecto se considerará 20 años |
AOM a reconocer activos convertidos
. Se aplicará lo definido en el artículo 34. flujo de ingresos para remunerar los gastos de AOM.
Artículo 50. Reconocimiento en la base tarifaria. En este caso a partir de la información señalada de inversión y de AOM se aplicarán las fórmulas del artículo 22 de la presente resolución. Para ello deberá declarar las demandas esperadas de capacidad y de volumen en el formato A06F6.
Artículo 51. Reconocimiento como ingreso regulado. IPAT En este caso el flujo de ingresos se definirá a partir de la información del artículo 49 y artículo 50.
Artículo 52. Comercialización de capacidad de transporte del proyecto IPAT correspondiente a un activo convertido. La comercialización de capacidad de transporte del proyecto IPAT correspondiente a un activo convertido estará a cargo del gestor del mercado de gas natural y la asignación de capacidad será conforme al procedimiento que quedó establecido en el artículo 19 de la Resolución CREG 185 de 2020, o aquella que la modifique o sustituya. Para determinar el cargo tarifario se tendrá en cuenta el flujo de ingresos definido y se considerará como demanda de capacidad - CMMP en KPCD que propone la UPME y se adopte en el plan de abastecimiento por el Ministerio de Minas y Energía y como demanda de volumen la CMMP *365 en KPC - AÑO del proyecto convertido a gasoducto. El cargo tarifario tendrá una única pareja de cargos 80 fijo y 20 variable.
Artículo 53. Mecanismos de asignación y seguimiento de la UPME. Para esta infraestructura se aplicarán las reglas incluidas en la Resolución CREG 102 008 de 2022 o aquellas que la modifiquen adicionen o sustituya.
Artículo 54. Conversión inversa. En caso de que el Transportador de gas que haya convertido infraestructura a gasoductos, solicite la conversión a oleoductos o a poliductos, deberá solicitar una autorización por parte de la CREG y del Ministerio de Minas y Energía, y en todo caso solo se reconocerá el servicio como gasoducto hasta el día que opera y preste el servicio de transporte de gas natural.
ARTÍCULO 4o. Adicionar el Anexo 11 a la Resolución CREG 175 de 2021, el cual quedará así:
“Anexo 11 Modelo De Valoración De Estaciones De Regulación De Puerta De Ciudad ERPCs”
1 Mecanismo de valoración de reposición a nuevo de Estaciones de regulación de puerta de ciudad ERPCs
Para establecer el valor a reconocer por inversiones en ERPCs se utilizará el siguiente procedimiento, y en el mismo orden:
i. La Comisión realizará la revisión de la información para verificar que permita realizar la estimación del valor de referencia correspondiente.
ii. Se determinará un valor de referencia así:
a. Se podrá tomar del listado de unidades constructivas incluido en el numeral 1.1
b. Si es una ERPC que tiene algunas variaciones en sus componentes frente al listado estándar de unidades constructivas se podrá simular a partir del modelo incluido en la hoja de cálculo de Excel Anexo_11_ERPCs.xlsx. En dicho Excel esta la memoria de cálculo que incluye el soporte de los valores de las unidades constructivas.
iii. Una vez construido el activo se realizará la comparación entre el valor de referencia determinado en el literal ii, con el valor real declarado por el agente en el Formato A09F3 de la presente resolución. La determinación del valor a reconocer en cargos se realizará mediante la comparación del valor real y del valor estimado, aplicando la banda de ajuste descrita mediante la siguiente ecuación:
iv. Cuando el transportador remplace el 100% del activo, el valor eficiente,
se determinará siguiendo las siguientes fórmulas:

Donde:
| Valor eficiente de la inversión del nuevo activo. Este valor estará expresado en pesos colombianos de la fecha base. | |
| Valor aprobado para el nuevo activo, determinado con base en lo establecido en el Anexo 11, en la información reportada en los formatos de Anexo 9 de la presente resolución. Este valor estará expresado en pesos colombianos de la fecha base. | |
| Valor real del nuevo activo, determinado con base en la información reportada por el transportador en el formato A09F3 de la presente resolución. Este valor estará expresado en pesos colombianos de la fecha base. | |
| Valor real del nuevo activo, determinado con base en la información reportada por el transportador en el formato A09F3 de la presente resolución. Este valor estará expresado en pesos colombianos de la fecha de puesta en operación comercial. Los valores en dólares americanos se convertirán a pesos colombianos utilizando la TRM de la fecha de puesta en operación comercial. | |
| Índice de Precios al Productor Oferta Interna, reportado por el DANE para la fecha base. | |
| Índice de Precios al Productor Oferta Interna, reportado por el DANE para el mes de diciembre del año en que entró en operación comercial el nuevo activo”. |
1.1 Listado de unidades constructivas estándar
A continuación, se incluyen las unidades constructivas estándar, la cuales están definidas en pesos de diciembre de 2021:
Tabla 1 Unidades Constructivas ERPC 1
COP, Fecha base: 31/12/2021
Propuesta incluye el AIU en cada componente
| Rango operación | < 1 MMPCD | 1-3 MMPCD | ||||
| ERPC-base | ||||||
| Skid medición | COP 229.400.673 | COP 236.109.468 | COP 265.476.331 | COP 236.280.486 | COP 238.520.841 | COP 326.658.041 |
| Tipo de medidor | ROTATIVO | TURBINA | CORIOLIS | ROTATIVO | TURBINA | CORIOLIS |
| Skid Regulación | COP 173.403.455 | COP 173.403.455 | COP 173.403.455 | COP 239.639.676 | COP 239.639.676 | COP 239.639.676 |
| Skid Filtración | COP 195.797.235 | COP 195.797.235 | COP 195.797.235 | COP 209.010.312 | COP 209.010.312 | COP 209.010.312 |
| Skid Calentador | COP 105.913.359 | COP 105.913.359 | COP 105.913.359 | COP 165.489.623 | COP 165.489.623 | COP 165.489.623 |
| Skid Odorizador | COP 169.024.865 | COP 169.024.865 | COP 169.024.865 | COP 169.024.865 | COP 169.024.865 | COP 169.024.865 |
| Generales | COP 269.266.495 | COP 269.266.495 | COP 269.266.495 | COP 402.642.097 | COP 402.642.097 | COP 402.642.097 |
| Obras civiles | COP 132.136.382 | COP 132.136.382 | COP 132.136.382 | COP 207.864.301 | COP 207.864.301 | COP 207.864.301 |
| Puesta a tierra y protección catódica | COP 26.043.316 | COP 26.043.316 | COP 26.043.316 | COP 43.069.227 | COP 43.069.227 | COP 43.069.227 |
| Comunicaciones (GRPS, RADIO, INTERNET) | COP 82.334.261 | COP 82.334.261 | COP 82.334.261 | COP 115.593.297 | COP 115.593.297 | COP 115.593.297 |
| Ingeniería | COP 28.752.537 | COP 28.752.537 | COP 28.752.537 | COP 36.115.272 | COP 36.115.272 | COP 36.115.272 |
| TOTAL ERPC, sin calentador | COP 1.036.892.722 | COP 1.043.601.518 | COP 1.072.968.381 | COP 1.256.597.436 | COP 1.258.837.791 | COP 1.346.974.990 |
| TOTAL ERPC, con calentador | COP 1.142.806.081 | COP 1.149.514.877 | COP 1.178.881.740 | COP 1.422.087.059 | COP 1.424.327.414 | COP 1.512.464.614 |
Tabla 2 Unidades Constructivas ERPC 2
COP, Fecha base: 31/12/2021Propuesta incluye el AIU en cada componente
| Rango operación | 3-5 MMPCD | 5-15 MMPCD | |||
| ERPC-base | |||||
| Skid medición | COP 412.069.234 | COP 414.595.802 | COP 912.231.104 | COP 473.121.316 | COP 980.987.469 |
| Tipo de medidor | ROTATIVO | TURBINA | ULTRASONIDO | TURBINA | ULTRASONIDO |
| Skid Regulación | COP 252.770.902 | COP 252.770.902 | COP 252.770.902 | COP 804.132.814 | COP 804.132.814 |
| Skid Filtración | COP 349.242.218 | COP 349.242.218 | COP 349.242.218 | COP 497.091.795 | COP 497.091.795 |
| Skid Calentador | COP 238.305.058 | COP 238.305.058 | COP 238.305.058 | COP 264.783.397 | COP 264.783.397 |
| Skid Odorizador | COP 169.024.865 | COP 169.024.865 | COP 169.024.865 | COP 191.190.476 | COP 191.190.476 |
| Generales | COP 557.684.948 | COP 557.684.948 | COP 557.684.948 | COP 590.923.497 | COP 590.923.497 |
| Obras civiles | COP 305.550.178 | COP 305.550.178 | COP 305.550.178 | COP 305.550.178 | COP 305.550.178 |
| Puesta a tierra y protección catódica | COP 86.603.981 | COP 86.603.981 | COP 86.603.981 | COP 86.603.981 | COP 86.603.981 |
| Comunicaciones (GRPS, RADIO, INTERNET) | COP 129.415.518 | COP 129.415.518 | COP 129.415.518 | COP 160.094.639 | COP 160.094.639 |
| Ingeniería | COP 36.115.272 | COP 36.115.272 | COP 36.115.272 | COP 38.674.699 | COP 38.674.699 |
| TOTAL ERPC, sin calentador | COP 1.740.792.167 | COP 1.743.318.736 | COP 2.240.954.037 | COP 2.556.459.898 | COP 3.064.326.051 |
| TOTAL ERPC, con calentador | COP 1.979.097.224 | COP 1.981.623.793 | COP 2.479.259.095 | COP 2.821.243.295 | COP 3.329.109.449 |
Tabla 3 Unidades Constructivas ERPC 3
COP, Fecha base: 31/12/2021
Propuesta incluye el AIU en cada componente
| Rango operación | 15-50 MMPCD | 50-100 MMPCD | ||
| ERPC-base | ||||
| Skid medición | COP 459.067.831 | COP 1.044.570.437 | COP 482.397.977 | COP 1.299.888.601 |
| Tipo de medidor | TURBINA | ULTRASONIDO | TURBINA | ULTRASONIDO |
| Skid Regulación | COP 1.133.629.833 | COP 1.133.629.833 | COP 1.277.273.977 | COP 1.277.273.977 |
| Skid Filtración | COP 808.806.845 | COP 808.806.845 | COP 808.806.845 | COP 808.806.845 |
| Skid Calentador | COP 264.783.397 | COP 264.783.397 | COP 264.783.397 | COP 264.783.397 |
| Skid Odorizador | COP 208.383.428 | COP 208.383.428 | COP 414.283.216 | COP 414.283.216 |
| Generales | COP 598.874.275 | COP 598.874.275 | COP 663.638.793 | COP 663.638.793 |
| Obras civiles | COP 305.550.178 | COP 305.550.178 | COP 305.550.178 | COP 305.550.178 |
| Puesta a tierra y protección catódica | COP 86.603.981 | COP 86.603.981 | COP 86.603.981 | COP 86.603.981 |
| Comunicaciones (GRPS, RADIO, INTERNET) | COP 160.094.639 | COP 160.094.639 | COP 160.094.639 | COP 160.094.639 |
| Ingeniería | COP 46.625.477 | COP 46.625.477 | COP 111.389.995 | COP 111.389.995 |
| TOTAL ERPC, sin calentador | COP 3.208.762.213 | COP 3.794.264.819 | COP 3.646.400.808 | COP 4.463.891.432 |
| TOTAL ERPC, con calentador | COP 3.473.545.610 | COP 4.059.048.216 | COP 3.911.184.206 | COP 4.728.674.829 |
ARTÍCULO 5o. Modificar el título IV de la Resolución CREG 175 de 2021 el cual quedará de la siguiente forma:
Título IV. Disposiciones finales
Artículo 55. Otras disposiciones. i) Cuando en el artículo 1o, de la Resolución CREG 141 de 2011 se haga referencia a los artículos 8o, y 9o de la Resolución CREG 126 de 2010 debe entenderse a que se hace referencia a los artículos 18 y 21 de la presente resolución. ii) Cuando en el artículo 2o, de la Resolución CREG 141 de 2011 se haga referencia al parágrafo 4 artículo 25 de la Resolución CREG 126 de 2010 debe entenderse a que se hace referencia al parágrafo 7 del artículo 13 de la presente resolución iii) Cuando en el artículo 3o, de la Resolución CREG 141 de 2011 se haga referencia al literal f) artículo 24 de la Resolución CREG 126 de 2010 debe entenderse a que se hace referencia al literal f del artículo 44 de la presente resolución.
Artículo 56. Derogatorias. La presente resolución deroga la Resolución CREG 126 de 2010, así como aquellas que la modifiquen, el artículo 4o de la Resolución CREG 090 de 2016, y el parágrafo 5 del artículo 15 y el parágrafo 2 del artículo 19 de la Resolución CREG 185 de 2020, así como aquellas que le sean contrarias.
Artículo 57. Vigencia. La presente resolución rige a partir de su publicación en el Diario Oficial.
ARTÍCULO 6o. Los formatos citados y actualizados en la presente resolución en aplicación del artículo 9o de la Resolución CREG 175 de 2021 se expedirán mediante circular(3).
ARTÍCULO 7o. VIGENCIA. La presente resolución rige a partir de su publicación en el Diario Oficial.
PUBLÍQUESE Y CÚMPLASE
1. Esta información fue ratificada por TGI S.A. E.S.P. mediante comunicaciones con radicado CREG E2023001189 del 26 de enero de 2023 y E2024012211 del 13 de agosto de 2024
2. Frente a esto vero lo expuesto por la Comisión dentro del numeral 2.3 de la Resolución CREG
3. En Conjunto con la presente resolución de consulta se anexa libro Excel con los formatos citados en la Resolución