PROYECTO DE RESOLUCIÓN 701 110 DE 2025
(noviembre 13)
<Publicado en la página web de la CREG: 13 de noviembre de 2025>
COMISIÓN DE REGULACIÓN DE ENERGÍA Y GAS - CREG
La Comisión de Regulación de Energía y Gas (CREG) en su sesión 1418 del 13 de noviembre de 2025, aprobó someter a consulta pública el presente proyecto de resolución por el término de diez (10) días hábiles contados a partir del día siguiente a su publicación en el portal web de la CREG, en aplicación a lo dispuesto en el numeral 73.17 del artículo 73 de la Ley 142 de 1994, el Decreto 05 de 2025 y la Resolución CREG 105 003 del 14 de septiembre de 2023.
Se invita a las empresas, los usuarios las autoridades y demás partes interesadas a presentar sus observaciones y sugerencias dentro del plazo establecido, mediante comunicaciones electrónicas dirigidas al Director Ejecutivo de la CREG, a la cuenta creg@creg.gov.co, con asunto: “Comentarios sobre la Resolución CREG 701 110 de 2025”.
Al vencimiento de la consulta pública, la CREG determinará si el proyecto debe ser informado a la Superintendencia de Industria y Comercio, para el ejercicio de la Abogacía de la Competencia, con fundamentos en las disposiciones del Decreto 1074 de 2015, artículo 2.2.2.30.5.
En el Documento CREG 901 290 de 2025, se exponen los análisis y la justificación de la propuesta regulatoria que se somete al proceso de consulta pública.
PROYECTO DE RESOLUCIÓN
Por la cual se modifica la liquidación de las desviaciones de las Obligaciones de Energía Firme definida el anexo 7 de la Resolución CREG 071 de 2006 y se toman otras disposiciones
LA COMISIÓN DE REGULACIÓN DE ENERGÍA Y GAS
En ejercicio de sus atribuciones legales, en especial las conferidas por las leyes 142 y 143 de 1994, y en desarrollo de los decretos 1524 y 2253 de 1994, y 1260 de 2013, y
CONSIDERANDO QUE:
Por mandato del artículo 334 de la Constitución Política corresponde al Estado la dirección general de la economía, para lo cual intervendrá, por disposición de la ley, entre otros asuntos, en los servicios públicos y privados, para racionalizar la economía en un marco de sostenibilidad fiscal, buscando el mejoramiento de la calidad de vida de los habitantes, la distribución equitativa de las oportunidades y los beneficios del desarrollo y la preservación de un ambiente sano.
El artículo 365 de la Constitución Política establece que los servicios públicos son inherentes a la finalidad social del Estado y es deber de este asegurar su prestación eficiente a todos los habitantes del territorio nacional.
De conformidad con la Ley 142 de 1994, artículo 3 numeral 3, la regulación de los servicios públicos es una forma de intervención del Estado en la economía.
La función de la regulación está orientada no solo a corregir fallas del mercado sino a desarrollar los fines esenciales de los servicios públicos.
Los servicios públicos hacen parte de la cláusula del Estado Social de Derecho.
Es un fin de la regulación, garantizar la debida prestación de los servicios públicos, en el caso en concreto del servicio de energía eléctrica de manera confiable y continua.
Según la Ley 142 de 1994, artículo 74, son funciones y facultades especiales de la CREG, entre otras, las de regular el ejercicio de las actividades de los sectores de energía y gas combustible para asegurar la disponibilidad de una oferta energética eficiente; propiciar la competencia en el sector de minas y energía y proponer la adopción de las medidas necesarias para impedir abusos de posición dominante y buscar la liberación gradual de los mercados hacia la libre competencia; y establecer criterios para la fijación de compromisos de ventas garantizadas de energía y potencia entre las empresas eléctricas y entre éstas y los grandes usuarios.
La ley 142 de 1994, artículo 74, también le asignó a la Comisión de Regulación de Energía y Gas, la función de expedir el Reglamento de Operación para regular el funcionamiento del Mercado Mayorista de Energía.
Según la Ley 143 de 1994, artículo 4, el Estado, en relación con el servicio de electricidad, tendrá como objetivos en el cumplimiento de sus funciones, los de abastecer la demanda de electricidad de la comunidad bajo criterios económicos y de viabilidad financiera, asegurando su cubrimiento en un marco de uso racional y eficiente de los diferentes recursos energéticos del país; asegurar una operación eficiente, segura y confiable en las actividades del sector; y mantener los niveles de calidad y seguridad establecidos.
El artículo 20 de la Ley 143 de 1994 definió como objetivo fundamental de la regulación en el sector eléctrico, asegurar una adecuada prestación del servicio mediante el aprovechamiento eficiente de los diferentes recursos energéticos, en beneficio del usuario en términos de calidad, oportunidad y costo del servicio, para lo cual, deberá promover la competencia y crear y preservar las condiciones que la hagan posible.
Para el cumplimiento del anterior objetivo, el artículo 23 de la Ley 143 de 1994, le atribuyó a la CREG, entre otras, las siguientes funciones:
- Crear las condiciones para asegurar la disponibilidad de una oferta energética eficiente capaz de abastecer la demanda bajo criterios sociales, económicos, ambientales y de viabilidad financiera, promover y preservar la competencia, para lo cual, la oferta eficiente, en el sector eléctrico, debe tener en cuenta la capacidad de generación de respaldo.
- Valorar la capacidad de generación de respaldo de la oferta eficiente.
- Definir y hacer operativos los criterios técnicos de calidad, confiabilidad y seguridad del servicio de energía.
- Determinar las condiciones para la liberación gradual del mercado hacia la libre competencia.
La Comisión de Regulación de Energía y Gas, en desarrollo de los objetivos y funciones señalados, mediante la Resolución CREG 071 de 2006, adoptó la metodología para la remuneración del Cargo por Confiabilidad en el Mercado Mayorista.
En la Resolución CREG 071 de 2006 se estableció que el precio de escasez es el valor definido por la CREG y actualizado mensualmente, que determina el nivel del precio de bolsa a partir del cual se hacen exigibles las Obligaciones de Energía Firme y constituye el precio máximo al que se remunera esta energía.
Posteriormente, mediante la Resolución CREG 140 de 2017, se hicieron modificaciones a la Resolución CREG 071 de 2006 definiendo una nueva metodología de cálculo del precio de escasez, la cual se denominó “precio marginal de escasez”.
La Comisión expidió el Documento CREG 901 122 de 2024 mediante el cual se hizo una propuesta para incluir un precio de escasez para las plantas de costos variables bajos, dado que la función de precio techo a las compras en bolsa se había afectado, dado que el precio de escasez fue superior al costo de racionamiento en algunos períodos de 2023, de conformidad con el análisis de mencionado documento.
La Comisión expidió el proyecto de Resolución 701 065 de 2024 mediante la cual se definen nuevos precios de escasez del Cargo por Confiabilidad, se hacen modificaciones a la Resolución CREG 071 de 2006 y a otras resoluciones, con un plazo para remitir comentarios por el término de 10 días hábiles.
La Comisión expidió la Resolución CREG 101 066 de 2024 mediante la cual se definen nuevos precios de escasez del Cargo por Confiabilidad, se define el precio de transacción en bolsa, se definen los menús de contratos para el cambio voluntario al nuevo precio de escasez para las asignaciones actuales, y se hacen modificaciones a la Resolución CREG 071 de 2006 y a otras resoluciones para hacerlas coherentes con los nuevos precios de escasez.
En el Artículo 17 de la Resolución CREG 101 066 de 2024, se estableció que el Administrador del Sistema de Intercambios Comerciales, ASIC, en un plazo de ocho (8) días hábiles siguientes a la publicación en el Diario Oficial de la resolución en mención, debía remitir propuesta a la CREG para la modificación de la liquidación del Cargo por Confiabilidad contenida en la Anexo 7 “Liquidación” de la Resolución CREG 071 de 2006.
En cumplimiento de lo encomendado por la CREG a XM en su función de ASIC, mediante radicado CREG E2024019027, remitió a la Comisión un borrador de propuesta del nuevo Anexo 7 de la Resolución CREG 071 de 2006, el cual fue analizado, modificado y editado para facilitar la comprensión y concordancia con la Resolución CREG 101 066 de 2024.
Mediante la comunicación con radicado CREG E2024019379 el ASIC identificó ajustes a raíz de la propuesta de modificación del Anexo 7 de la Resolución CREG 071 de 2006 y formuló algunos comentarios de forma sobre texto de la Resolución CREG 101 066 de 2024.
Mediante la Resolución CREG 701 077 de 2024, la Comisión publicó el proyecto de resolución “Por la cual se define el ajuste del anexo 7 de la Resolución CREG 071 de 2006 y hacen algunas modificaciones a la Resolución CREG 101 066 de 2024”.
En la Resolución CREG 101 069 de 2025 se estableció la modificación a la liquidación del cargo por confiabilidad de acuerdo con lo establecido en el artículo 17 de la Resolución CREG 101 066 de 2024 para armonizar la existencia de los precios de escasez superior e inferior.
De acuerdo con la información publicada por el Administrador del Sistema de Intercambios Comerciales (ASIC) ningún agente generador que representa plantas del grupo de plantas con precios variables inferiores se acogió a los menús de corto o largo plazo dispuestos en la Resolución CREG 101 066 de 2024.
Mediante la Resolución CREG 101 075 se modificó el cálculo del precio de reconciliación negativa definido en la Resolución CREG 034 de 2001.
Mediante la Resolución CREG 101 079 de 2025 la Comisión decidió convocar una subasta de expansión para la asignación de OEF para el período comprendido entre el 1 de diciembre de 2029 y el 30 de noviembre de 2030.
Mediante el Proyecto de Resolución CREG 701 100 de 2024 la Comisión hizo pública una propuesta para la modificación del precio del cargo por confiabilidad para las obligaciones de energía firme asignadas y respaldadas con plantas y/o unidades de generación existentes que participen en una subasta de expansión del parque de generación.
Durante el proceso de análisis de los comentarios al Proyecto de Resolución CREG 701 100 de 2025 se recibieron comunicación que solicitaban, con el propósito de aumentar la participación en la subasta, revisar la liquidación del cargo por confiabilidad contenida en el Anexo 7 de la Resolución CREG 071 de 2006.
El objetivo de las subastas de expansión del cargo por confiabilidad es asegurar la atención de la demanda de manera eficiente en condiciones críticas, la Comisión considera pertinente analizar la propuestas presentadas por los agentes con el propósito de ajustar las reglas de liquidación del anexo 7 de la Resolución CREG 071 de 2006, incentivando la contratación de energía a largo plazo, así como manteniendo la aplicación de los precios de escasez superior e inferior establecidos mediante la Resolución CREG 101 066 de 2024.
RESUELVE:
ARTÍCULO 1. MODIFICAR DEL ANEXO 7 DE LA RESOLUCIÓN CREG 071 DE 2006. El Anexo 7 "LIQUIDACIÓN" de la Resolución CREG 071 de 2006 quedará así:
“ANEXO 7. LIQUIDACIÓN
Para determinar la liquidación horaria de cada uno de los agentes generadores cuando el Precio de Bolsa Nacional horario en algún periodo horario del día d, supere el Precio de Escasez de Activación, se aplicarán las siguientes reglas:
1. Determinación de la Obligación Diaria de Energía Firme (ODEF)
Se aplicará el siguiente procedimiento para la determinación de la Obligación Diaria de Energía Firme (ODEF) de las plantas el Precio de Bolsa Nacional haya sido superior al Precio de Escasez de Activación en alguna hora del día.
a) Consideración de la Demanda Desconectable Voluntaria Verificada
La consideración de la Demanda Desconectable Voluntaria Verificada en las Obligaciones Diarias de Energía Firme se realiza mediante la siguiente expresión:
![]()
Donde:
| Obligación Diaria de Energía Firme de la planta i, del agente generador j, en el día d, del mes m, con el mecanismo de la DDV. | |
| Obligación Diaria de Energía Firme Respaldada de la planta i, del generador j, en el día d, del mes m, considerando las OEF activadas en algún periodo del día. | |
| Demanda Desconectable Voluntaria Verificada de la planta i, del agente j, en el día d, del mes m. |
b) Consideración del Mercado Secundario
La consideración del Mercado Secundario en la Obligación Diaria de Energía Firme (ODEF) para todas las plantas de generación se realiza mediante la siguiente expresión:
![]()
Donde:
| Obligación Diaria de Energía Firme de la planta i, del agente generador j, en el día d, del mes m. | |
| Obligación Diaria de Energía Firme de la planta i, del agente j, en el día d, del mes m, con el mecanismo de la DDV. | |
| Ventas en Contratos de Respaldo o en Declaración de Respaldo de la planta i, del agente generador j, en el día d del mes m, que hayan sido despachadas. | |
| Compras en Contratos de Respaldo o en Declaración de Respaldo de la planta i, del agente generador j, en el día d, del mes m, que hayan sido despachadas. |
Si la planta i tiene contratos o declaraciones de respaldo de compra o venta en el mercado secundario del Cargo por Confiabilidad, éstos serán despachados de acuerdo las reglas y condiciones definidas en el Parágrafo 4 del Artículo 63 de la Resolución CREG 071 de 2006, considerando para ello: i) la generación ideal nacional diaria de las plantas, ii) la Obligación Diaria de Energía Firme de las plantas con el mecanismo de la DDV,
, resultado del literal a) anterior.
2. Determinación del Factor de Ajuste Diario (FA):
Para los casos en los cuales la demanda total doméstica más la reducción de demanda de RDV y el programa de racionamiento, sean menor que la suma de la ODEF de todas las plantas, se calculará un factor de ajuste (FA) con la siguiente expresión:
![]()
Donde:
| Factor de Ajuste Diario | |
| Demanda Total Doméstica del día d, del mes m. | |
| RD verificada del día d, del mes m. | |
| Programa de racionamiento verificado del día d, del mes m. | |
| Generación ideal del día d, del mes m de los recursos no despachados centralmente. | |
| Obligación Diaria de Energía Firme del agente generador j, del día d, del mes m. | |
| Variable ODEF del día d, del mes m, de los recursos no despachados centralmente. |
Cuando la demanda total doméstica diaria más la RDV diaria y el PGR diario, sean mayor o igual que la suma de la ODEF de todas las plantas de generación, el factor FA será igual a uno (1).
Para las plantas o unidades de generación no despachadas centralmente el factor FA siempre será igual a uno (1).
3. Determinación de la Obligación Diaria de Energía Firme Ajustada
La Obligación Diaria de Energía Firme Ajustada de cada planta despachada centralmente se determinará como sigue:
![]()
Donde:
| Obligación Diaria de Energía Firme Ajustada de la planta i, del agente generador j, del día d, del mes m. | |
| Factor de Ajuste Diario | |
| Obligación Diaria de Energía Firme de la planta i, del agente generador j, del día d, del mes m. |
4. Distribución de la Obligación Diaria de Energía Firme Ajustada
La Obligación Diaria de Energía Firme Ajustada
de la planta i se distribuye así:
![]()
Donde:
| Obligación Diaria de Energía Firme Ajustada de la planta i, asociada al precio de escasez | |
| Obligación Diaria de Energía Firme Ajustada de la planta i, del agente generado j, en el día d, del mes m. | |
| Obligación de Energía Firme asignada a la planta i, asociada al precio de escasez |
Cada porción de Obligación Diaria de Energía Firme Ajustada de la planta i, asociada al precio de escasez
, (
), será tratada como una planta independiente.
5. Distribución de la generación ideal de las plantas de generación
La generación ideal nacional horaria de la planta i se distribuye así:
![]()
Donde:
| Generación ideal nacional de la planta i, asociada al precio de escasez | |
| Generación ideal nacional de la planta i, del agente generador j, del día d, del mes m. | |
| Obligación Diaria de Energía Firme Ajustada de la planta i, asociada al precio de escasez |
La variable
será igual a
para plantas no despachadas centralmente y para las plantas sin OEF.
6. Determinación de las desviaciones de la Obligación Diaria de Energía Firme Ajustada de las plantas
La determinación de las desviaciones de la Obligación Diaria de Energía Firme Ajustada de las plantas, incluyendo importaciones, se realiza de acuerdo con la siguiente expresión:
![]()
Donde:
| Desviación de la Obligación Diaria de Energía Firme Ajustada de la planta i asociada al precio de escasez | |
| Obligación Diaria de Energía Firme Ajustada de la planta i, asociada al precio de escasez | |
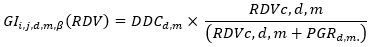
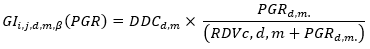
| Generación ideal nacional de la planta i, asociada al precio de escasez Se tendrá en cuenta para la liquidación, las plantas de generación asociadas a reducción de demanda RDV diaria, y las plantas de generación asociadas a reducción de demanda PGR diaria verificado, de la siguiente manera: | |
| a) Sí la demanda total doméstica diaria más la reducción de demanda diaria RDV y el programa de racionamiento diario, es igual que la suma de la ODEFA de todas las plantas de generación, se tendrá en cuenta para la liquidación la siguiente generación ideal: | |
| Generación Ideal del día d, en el mes m, de la planta i, del agente j, asociado a la RDVc,d,m del comercializador c que representa la RD, la cual será igual a | |
| Generación Ideal del día d, en el mes m, de la planta i, del agente j, asociado al PGRd,m verificado, será igual a | |
| b) Sí la demanda total doméstica diaria más RDV diaria y el PGR diario, es mayor que la suma de la ODEFA de todas las plantas de generación se tendrá en cuenta para la liquidación la siguiente generación ideal: i. Si la demanda total doméstica diaria es mayor o igual que la suma de la ODEFA de todas las plantas de generación, no se tendrá en cuenta para la liquidación la generación ideal de las plantas de generación asociadas a reducción de demanda de RDV diaria la cual será igual a ii. En caso contrario, las plantas de generación asociadas a reducción de demanda RDV diaria, y las plantas de generación asociadas a reducción de demanda PGR diario verificado, tendrán la siguiente generación ideal: | |
Donde:
| Corresponde a la diferencia entre la suma de la ODEFA de todas las plantas de generación y la demanda total doméstica diaria. |
Las plantas asociadas a reducción de demanda RDV y del PGR no tendrán asignadas ODEFA, y para todos los casos de la liquidación del presente anexo, la
de estas plantas tendrán un valor de cero (0).
Para las importaciones, sin asignación de OEF, el valor de
es igual a cero (0).
La Obligación Diaria de Energía Firme Ajustada de la hora h de las plantas no despachadas centralmente, siempre será igual a la generación ideal de la planta en la hora h.
Para las plantas sin OEF el valor de
es igual a cero (0).
7. Determinación de la Obligación Horaria de Energía Firme Ajustada empleando la generación ideal (OHEFA) para las plantas con desviaciones positivas,
.
Para cada planta que resulte con Desviación de la Obligación Diaria de Energía Firme Ajustada,
mayor o igual a cero, se calculará la Obligación Horaria de Energía Firme Ajustada, como sigue:
![]()
Donde:
| Obligación Horaria de Energía Firme Ajustada de la planta i, asociada al precio de escasez | |
| Obligación Diaria de Energía Firme Ajustada de la planta i, asociada al precio de escasez | |
| Generación ideal nacional de la planta i, asociada al precio de escasez | |
| Generación ideal nacional de la planta i, asociada al precio de escasez |
Para el cálculo de la variable
se debe emplear la siguiente expresión:
![]()
Donde:
| Generación ideal nacional de la planta i, asociada al precio de escasez | |
| Generación ideal nacional de la planta i, del agente generador j, en la hora h, del día d, del mes m. | |
| Obligación Diaria de Energía Firme Ajustada de la planta i, asociada al precio de escasez |
La variable
será igual a
para plantas no despachadas centralmente y para las plantas sin OEF.
8. Valoración de las Desviaciones de Obligación Horaria de Energía Firme Ajustada para las plantas con desviaciones positivas,
.
Para los casos en los que la variable
es mayor o igual que cero (0), se aplicarán las siguientes reglas:
![]()
Donde:
| Valor de la Desviación de la Obligación Horaria de Energía Firme Ajustada de la planta i, asociada al precio de escasez | |
| Generación ideal nacional de la planta i, asociada al precio de escasez | |
| Obligación Horaria de Energía Firme Ajustada de la planta i, asociada al precio de escasez | |
| Precio de Bolsa nacional en la hora h, del día d, del mes m. | |
| Precio de las transacciones en bolsa en la hora h, del día d, del mes m. |
El valor de la variable
corresponde a un pago a efectuar al agente generador representante de la planta i.
9. Cálculo del valor total de las desviaciones
El valor total de las desviaciones se calculará con la siguiente expresión:
![]()
Donde:
| Total del | |
| Valor de la Desviación de la Obligación Horaria de Energía Firme Ajustada de la planta i, asociada al precio de escasez | |
| Subconjunto de plantas i (incluye importaciones) para los cuales la variable |
10. Cobro a los agentes con plantas con
menor a cero (0) y a la demanda sin cubrimiento de OEF
Para el cobro a los agentes con plantas con
menor a cero (0) y a la demanda sin cubrimiento de OEF, se aplicarán las siguientes reglas:
10.1. Demanda sin cubrimiento de Obligaciones de Energía Firme
El valor de la demanda sin cubrimiento de Obligaciones de Energía Firme se calculará con la siguiente expresión:

Donde:
| Demanda sin cubrimiento de OEF del día d, del mes m. | |
| Demanda Total Doméstica del día d, del mes m. | |
| Demanda desconectable voluntaria verificable en el día d del mes m. | |
| RD verificada en el día d del mes m. | |
| Programa de racionamiento verificado en el día d del mes m. | |
| Obligación Diaria de Energía Firme Ajustada de la planta i, del agente generador j, del día d, del mes m. |
10.2. Determinación de la magnitud de la desviación por agentes
Para cada agente generador j que represente plantas con
menor a cero (0), se le calculará la magnitud de la desviación negativa de la Obligación Diaria de Energía Firme Ajustada total de sus plantas de generación empleando la siguiente expresión:

Donde,
| Desviación de la Obligación Diaria de Energía Firme Ajustada del agente generador j, del día d, del mes m. | |
| Desviación de la Obligación Diaria de Energía Firme Ajustada de la planta k asociada al precio de escasez | |
| Plantas con | |
| Numero de precios de escasez |
10.3. Cobro a los agentes
Sí el valor
resulta mayor a cero, se realizará un cobro a cada agente generador j que represente plantas con
menor a cero (0).
![]()
Donde,
| Cobro que se le asigna al agente generador j, en la hora h, del día d, en el mes m. | |
| Total del | |
| Desviación de la Obligación Diaria de Energía Firme Ajustada del agente generador j, del día d, del mes m. | |
| Demanda sin cubrimiento de OEF del día d, del mes m. |
10.4. Cobro a la demanda sin cubrimiento de OEF
Sí el valor
resulta mayor a cero, la demanda sin cubrimiento de OEF deberá asumir un cobro horario en proporción a DSCd,m.
![]()
Donde,
| Cobro que se le asigna a la demanda sin cubrimiento de OEF cubierta en la hora h, del día d, en el mes m. | |
| Total del | |
| Desviación de la Obligación Diaria de Energía Firme Ajustada del agente generador j, del día d, del mes m. | |
| Demanda sin cubrimiento de OEF del día d, del mes m. |
11. Ajuste frente Precio de Transacción en Bolsa
Para realizar el ajuste de pago a Precio de Transacción en Bolsa frente al precio de escasez de la planta, se aplicarán las siguientes reglas:
11.1 Ajuste frente al Precio de Transacción en Bolsa para plantas con desviaciones positivas o iguales a cero, ![]()
Para cada planta despachada centralmente con
mayor o igual a cero (0) y
mayor a cero (0), se calculará un ajuste de pago o cobro en la hora, así:
![]()
Donde:
| Ajuste de la planta i con desviaciones positivas o iguales a cero, asociada al precio de escasez | |
| Obligación Horaria de Energía Firme Ajustada de la planta i, asociada al precio de escasez | |
| Cantidad en contratos despachados con destino a la atención de la demanda regulada y no regulada de la planta i, asociada al precio de escasez Los contratos asociados a cada planta i son declarados por el agente j, que representa la planta y son distribuidos proporcionalmente en función de la Obligación Diaria de Energía Firme Ajustada de la planta i, asociada al precio de escasez En caso de que la Comisión establezca un mecanismo anónimo de contratación, solamente podrán incluirse los contratos establecidos en este mecanismo. | |
| Precio de escasez | |
| Precio de Transacción en Bolsa en la hora h. |
Si el valor de la variable
es positivo corresponde a un pago a efectuar al agente generador representante de la planta i, en caso contrario es un cobro al agente representante de la planta i.
11.1 Ajuste frente al Precio de Transacción en Bolsa para plantas con desviaciones negativas,
.
Para cada planta despachada centralmente con
menor a cero (0) y
mayor que cero, se calculará un ajuste de pago o cobro o en cada hora, así:
![]()
Donde:
| Ajuste de la planta i con desviaciones negativas, asociada al precio de escasez | |
| Generación ideal de la planta i, asociada al precio de escasez | |
| Cantidad en contratos despachados con destino a la atención de la demanda regulada y no regulada de la planta i, asociada al precio de escasez Los contratos asociados a cada planta i son declarados por el agente j, que representa la planta y son distribuidos proporcionalmente en función de la Obligación Diaria de Energía Firme Ajustada de la planta i, asociada al precio de escasez En caso de que la Comisión establezca un mecanismo anónimo de contratación, solamente podrán incluirse los contratos establecidos en este mecanismo. | |
| Precio de escasez | |
| Precio de Transacción en Bolsa en la hora h. |
Si el valor de la variable
es positivo corresponde a un pago a efectuar al agente generador representante de la planta i, en caso contrario es un cobro al agente representante de la planta i.
12. Reglas de asignación y cierre de la liquidación
Se determinará el cierre de la liquidación de acuerdo con las siguientes reglas.
a) Con la sumatoria de los conceptos
,
, y los ajustes
y
correspondientes a un cobro se pagarán los conceptos
de los agentes generadores cumplidos y los ajustes
y
correspondientes a un pago.
b) En caso de haber un excedente o faltante entre los cobros y pagos anteriores, este será asignado a los agentes a prorrata de sus compras en bolsa de la hora h. Los dineros recaudados serán asignados a cada agente generador cumplido, a la RDV, el PGR, las importaciones, correspondiente al valor
y a cada agente generador con ajuste correspondiente a un pago, incrementando las cuentas a favor de los mismos”
ARTÍCULO 2. MODIFICAR LAS DEFINICIONES DEL ARTÍCULO 2 DE LA RESOLUCIÓN CREG 071 DE 2006. Modificar las siguientes definiciones del artículo 2 de la Resolución CREG 071 de 2006 y del artículo 3 de la Resolución CREG 011 de 2015 así:
“Condiciones críticas: Situación que presenta el mercado mayorista de energía cuando el Precio de Bolsa es mayor al Precio de Escasez de Activación.”
“Obligación de energía firme: Vínculo resultante de la subasta o del mecanismo que haga sus veces, que impone a un generador el deber de generar, de acuerdo con el Despacho Ideal, una cantidad diaria de energía durante el Período de Vigencia de la Obligación, cuando el Precio de Bolsa supere el Precio de Escasez de Activación. Esta cantidad de energía corresponde a la programación de generación horaria resultante del Despacho Ideal hasta una cantidad igual a la asignación hecha en la Subasta, considerando solamente la Demanda Doméstica, calculada de acuerdo con lo definido en esta resolución.”
“Precio de Escasez de Activación (PEa): Es el valor máximo entre el precio de escasez calculado como se define en el Anexo 1 de la Resolución CREG 071 de 2006, el precio marginal de escasez y el precio de escasez inferior.”
ARTÍCULO 3. MODIFICAR EL ARTÍCULO 52 DE LA RESOLUCIÓN CREG 071 DE 2006. El artículo 52 de la Resolución CREG 071 de 2006 quedará así:
“Artículo 52. Exigibilidad de las Obligaciones de Energía Firme en el Despacho Ideal. Las obligaciones de energía firme serán exigibles a cada uno de los generadores remunerados por concepto de Cargo por Confiabilidad durante cada una de las horas en las que el Precio de Bolsa sea mayor al Precio de Escasez de Activación vigente. Dichas obligaciones deberán ser cumplidas de conformidad con el Despacho Ideal.”
ARTÍCULO 4. MODIFICAR EL ARTÍCULO 53 DE LA RESOLUCIÓN CREG 071 DE 2006. El artículo 53 de la Resolución CREG 071 de 2006 quedará así:
“Artículo 53. Verificación del cumplimiento de la entrega de energía firme y Liquidación. Para cada una de las horas en las cuales el Precio de Bolsa supere al Precio de Escasez de Activación, el ASIC determinará el valor de las desviaciones de las Obligaciones de Energía Firme para cada uno de los generadores de acuerdo con lo establecido en el Anexo 7 de esta resolución.”
ARTÍCULO 5. MODIFICAR EL ARTÍCULO 55 DE LA RESOLUCIÓN CREG 071 DE 2006. El artículo 55 de la Resolución CREG 071 de 2006 quedará así:
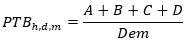
“Artículo 55. Precio de las Transacciones en Bolsa cuando el Precio de Bolsa (PB) es mayor al Precio de Escasez de activación. Todas las transacciones de compra y venta de energía en la Bolsa que se realicen durante las horas en las cuales el Precio de Bolsa supera el Precio de Escasez de Activación serán liquidadas empleando el Precio de transacción en bolsa y considerando las siguientes reglas:
![]()
Donde:
| A | ![]() |
B | ![]() |
C | ![]() |
D | ![]() |
| PTB h,d,m,1 | Precio de transacción en bolsa de la hora h, del día d, del mes m. Este valor lo deberá publicar el ASIC en su página web. |
| PEIi,j,m | Precio de escasez inferior que le aplica a la planta i del generador j en el mes m, definido en el artículo 4 de la Resolución CREG 101 066 de 2024. |
| PEi,j,m | Precio de escasez que le aplica a la planta i del generador j en el mes m, definido en el anexo 1 de la Resolución CREG 071 de 2006. |
| PESi,j,m | Precio de escasez superior que le aplica a la planta i del generador j en el mes m, definido en el artículo 3 de la Resolución CREG 101 066 de 2024. |
| PBh,d,m | Precio de bolsa nacional de la hora h, del día d, del mes m. |
OHEFi,j,h,d,m,x | Obligación de energía firme respaldada por la planta i del generador j, para la hora h, del día d, del mes m, que le aplica PEI definido en el artículo 4 de la Resolución CREG 101 066 de 2024. |
OHEFi,j,h,d,m,y | Obligación de energía firme respaldada por la planta i del generador j, para la hora h, del día d, del mes m, que le aplica PE definido en el anexo 1 de la Resolución CREG 071 de 2006. |
OHEFi,j,h,d,m,z | Obligación de energía firme respaldada por la planta i del generador j, para la hora h, del día d, del mes m, que le aplica PES definido en el artículo 3 de la Resolución CREG 101 066 de 2024. |
| Qci,j,h,d,m,x | Cantidad en contratos despachados con destino a la atención de la demanda regulada y no regulada de la planta i, del agente generador j, en la hora h, del día d, en el mes m, asociados al PEI definido en el artículo 4 de la Resolución CREG 101 066 de 2024. |
| Qci,j,h,d,m,y | Cantidad en contratos despachados con destino a la atención de la demanda regulada y no regulada de la planta i, del agente generador j, en la hora h, del día d, en el mes m, asociada al PE definido en el anexo 1 de la Resolución CREG 071 de 2006. |
| Qci,j,h,d,m,z | Cantidad en contratos despachados con destino a la atención de la demanda regulada y no regulada de la planta i, del agente generador j, en la hora h, del día d, en el mes m, asociada al PES definido en el artículo 3 de la Resolución CREG 101 066 de 2024. |
| GIi,j,h,d,,m,x | Generación ideal de la planta i del generador j, para la hora h, del día d, del mes m, que le aplica PEI definido en el artículo 4 de la Resolución CREG 101 066 de 2024. |
| GIi,j,h,d,m,y | Generación ideal de la planta i del generador j, para la hora h, del día d, del mes m, que le aplica PE definido en el anexo 1 de la Resolución CREG 071 de 2006. |
| GIi,j,h,d,m,z | Generación ideal de la planta i del generador j, para la hora h, del día d, del mes m, que le aplica PES definido en el artículo 3 de la Resolución CREG 101 066 de 2024. |
| Dem | Demanda expuesta en bolsa más la reducción de demanda RDV y el programa de racionamiento en la hora h, del día d, del mes m, menos la suma de la Generación Ideal (GI) de plantas no despachadas centralmente para la hora h, del día d, del mes m. |
| X | Plantas a las que les aplica el PEI definido en el artículo 4 de la Resolución CREG 101 066 de 2024. |
| Y | Plantas a las que les aplica el PE definido en el anexo 1 de la Resolución CREG 071 de 2006. |
| Z | Plantas a las que les aplica el PES definido en el artículo 3 de la esolución CREG 101 066 de 2024. |
V | Plantas Despachadas Centralmente sin OEF y la generación ideal RDV y PRG considerada en el cálculo de las Desviaciones de OEF previstas en el Anexo 7 de la Resolución CREG 071 de 2006. |
- Cuando se tenga una planta con asignaciones de OEF con varios precios de escasez, la generación ideal de la planta será distribuida en proporción a la relación entre en las OEF con precios de escasez distintos y la OEF total. Cada fracción será tratada para el cálculo como una planta independiente.
- Para la determinación de variables
,
y
empleadas en este artículo se deberá tomar la Obligación Diaria de Energía Firme Ajustada de que trata el Anexo 7 que corresponda y distribuirla en proporción de la demanda comercial horaria.
- Cantidad en contratos despachados con destino a la atención de la demanda regulada y no regulada de la planta i, asociada al precio de escasez
, del agente generador j, en la hora h, del día d, en el mes m. No se incluyen ningún contrato de intermediación.
Los contratos asociados a cada planta i son declarados por el agente j, que representa la planta y son distribuidos proporcionalmente en función de la Obligación Diaria de Energía Firme Ajustada de la planta i, asociada al precio de escasez
, del agente generador j, del día d, del mes m.
En caso de que la Comisión establezca un mecanismo anónimo de contratación, solamente podrán incluirse los contratos establecidos en este mecanismo.
- Las anteriores reglas, sin perjuicio de las disposiciones contenidas en la regulación vigente en materia de precios de reconciliación y de liquidación de las Transacciones Internacionales de Energía.”
ARTÍCULO 6. MODIFICAR EL NUMERAL 8.1.1 DEL ANEXO 8 DE LA RESOLUCIÓN CREG 071 DE 2006. El numeral 8.1.1 del anexo 8 de la Resolución CREG 071 de 2006 quedará así:
“8.1.1 Determinación de la Remuneración Real Individual Diaria de la Obligación de la Energía Firme asociada a la planta y/o unidad de generación (RRID) y Remuneración Real Total (RRT).
La remuneración real individual diaria de la Obligación de Energía Firme respaldada por la planta o unidad de generación i en el día d del mes m (RRIDi,d,m) se calculará de acuerdo con la siguiente fórmula:

Donde:
| Disponibilidad Comercial de la planta i en la hora h del día d del mes m, expresado en kilovatios (kW), sin considerar la indisponibilidad respaldada mediante contratos de respaldo, declaraciones de respaldo o cualquier otro anillo de seguridad diferente a Subasta de Reconfiguración de Venta. Este respaldo debió registrarse previamente ante el ASIC. Para los contratos de mercado secundario cuando el precio de bolsa sea mayor que el Precio de Escasez de Activación y que hace efectiva la obligación, se considerarán las cantidades despachadas de estos tipos de cubrimiento. Cuando no se cumpla la condición anterior, se considerará la cantidad registrada de estos tipos de cubrimiento. |
El cálculo de esta componente se realizará de la siguiente forma:

Donde:
| Compras en contratos de respaldo o en declaraciones de respaldo para la planta o unidad de generación i, vigentes en el día d, del mes m. La planta o unidad de generación que brinde este tipo de respaldos CCR deberá tener una Disponibilidad Comercial Normal en el día d del mes m, mayor o igual a la suma de sus OEF y al respaldo asociado para el día d | |
| Demanda Desconectable Voluntaria asociada a la planta i en el día d del mes m. Para los casos en que el precio de bolsa haya superado el precio de escasez de activación y que hace efectiva la obligación en algunos periodos horarios del día d, se considerará la Demanda Desconectable Voluntaria Verificada, DDVVi,d,m, de la planta i. Mientras el precio de bolsa haya sido inferior al precio de escasez de activación en todos los periodos horarios del día d, se considerará la DDV contratada, CDDVi,d,m, de la planta i. | |
| Disponibilidad Comercial Normal calculada según la metodología definida en la Resolución CREG-024 de 1995 para la planta o unidad de generación i en la hora h del día d. | |
| OEF de Venta para cumplir la OEF de la planta o unidad de generación i en el día d del mes m, expresada en kilovatios-hora (kWh). | |
| Obligación Diaria de Energía Firme respaldada por la planta o unidad de generación i en el día d del mes m, expresada en kilovatios-hora (kWh). | |
| Ventas en contratos de respaldo o en declaraciones de respaldo con la planta o unidad de generación i vigentes en el día d del mes m. | |
| Precio Promedio Ponderado del Cargo por Confiabilidad de la Obligación de Energía Firme respaldada por la planta o unidad de generación i vigente en el mes m, expresado en dólares por kilovatio-hora (USD/kWh), que se calculará de acuerdo con la siguiente expresión: |
![]()
Donde:
| Precio al cual fue asignada la Obligación de Energía Firme asociada a la planta y/o unidad de generación i vigente en el mes m, asignada en la subastas o en el mecanismo que haga sus veces, expresado en dólares por kilovatio hora (USD/kWh). | |
| Obligación Diaria de Energía Firme respaldada por la planta o unidad de generación i en el mes m, asignada en la subastas o el mecanismo que haga sus veces. | |
| Subasta para la asignación de Obligaciones de Energía Firme, mecanismo que haga sus veces o Subasta de Reconfiguración. |
El valor de
se convertirá a pesos por kilovatio hora (COP/kWh), utilizando la TRM correspondiente al último día del mes liquidado, publicada por la Superintendencia Financiera.
La Remuneración Real Total Mensual para el mes m (
) se obtendrá aplicando la siguiente fórmula:

Donde:
| Remuneración Real Individual Diaria de la Obligación de Energía Firme respaldada por la planta y/o unidad de generación i en el día d del mes m. | |
| Número de días del mes m. | |
| Número de plantas y/o unidades de generación.” |
ARTÍCULO 7. MODIFICACIÓN DEL ARTÍCULO 3 DE LA RESOLUCIÓN CREG 034 DE 2001. El artículo 3 de la Resolución CREG 034 de 2001 quedará así:
“Artículo 3. Precio de reconciliación negativa. El precio de Reconciliación Negativa corresponde al valor a devolver por el agente generador cuya generación ideal es superior a su generación real.
El ASIC aplicará las siguientes reglas para determinar el Precio de Reconciliación Negativa (PRN):
1. Cuando el Precio de Bolsa nacional sea menor o igual al Precio de Escasez de Activación.
Caso a. Si la ![]()
![]()
Caso b. Si la ![]()
![]()
Caso c. Si la ![]()
![]()
Donde:
| GI: | b) Generación ideal total. Corresponde a la suma de GInac, GItie, GIint de la planta i, del agente generador j, en la hora h, del día d, del mes m. |
| GInac: | d) Generación ideal nacional de la planta i, del agente generador j, en la hora h, del día d, del mes m. |
| GItie: | f) Generación ideal Transacciones Internacionales de Energía (TIE) de la planta i, del agente generador j, en la hora h, del día d, del mes m. |
| GIint: | h) Generación ideal internacional de la planta i, del agente generador j, en la hora h, del día d, del mes m. |
| Gr | j) Generación real de la planta i, del agente generador j, en la hora h, del día d, del mes m. |
| MPOnal: | l) Máximo precio de oferta nacional. |
| MPOtie: | n) Máximo precio de oferta incluyendo las TIE. |
| MPOint: | p) Máximo precio de oferta incluyendo las transacciones internacionales. |
2. Cuando el Precio de Bolsa nacional sea mayor al Precio de Escasez de Activación.
Caso a. Si la ![]()
![]()
Caso b. Si la ![]()
![]()
Caso c. Si la ![]()
En la medida que se presente este caso se deben utilizar las variables de liquidación del Anexo 7 de la Resolución CREG-071 de 2006, y se deben contemplar varias posibles situaciones:
i. Que la desviación diaria de la obligación de energía firme sea menor o igual a cero, ![]()
![]()
ii. Que la desviación diaria de la obligación de energía firme sea mayor que cero,
, que la generación ideal nacional sea mayor o igual a la obligación horaria de energía firme ajustada
y que la generación real sea mayor o igual que la obligación horaria de energía firme ajustada ![]()
![]()
iii. Que la desviación diaria de la obligación de energía firme sea mayor que cero,
, que la generación ideal nacional sea mayor o igual a la obligación horaria de energía firme ajustada
y que la generación real sea menor que la obligación horaria de energía firme ajustada ![]()
![]()
Donde:
| b) Generación ideal total. Corresponde a la suma de GInac, GItie, GIint de la planta i, del agente generador j, en la hora h, del día d, del mes m. | |
| d) Generación ideal total. Corresponde a la suma de GInac, | |
| f) Generación ideal nacional de la planta i, asociada al precio de escasez | |
| h) Generación ideal Transacciones Internacionales de Energía (TIE) de la planta i, asociada al precio de escasez | |
| Generación ideal internacional de la planta i, asociada al precio de escasez | |
| Generación real de la planta i, asociada al precio de escasez | |
| Máximo precio de oferta nacional | |
| Máximo precio de oferta incluyendo las TIE | |
| Máximo precio de oferta incluyendo las transacciones internacionales | |
| Obligación Horaria de Energía Firme Ajustada de la planta i, asociada al precio de escasez | |
| Precios de escasez de la planta i, asociada al precio de escasez | |
| Generación ideal de la planta i, asociada al precio de escasez |
![]()
Donde:
| Generación real de la planta i, asociada al precio de escasez | |
| Generación real de la planta i, del agente generador j, en la hora h, del día d, del mes m. | |
| Obligación Diaria de Energía Firme Ajustada de la planta i, asociada al precio de escasez | |
| La variable | |
| Precio definido como el máximo entre el - Para el caso de una planta hidráulica o de generación variable se calculará en la misma forma que el precio de reconciliación positiva de la metodología definida en la Resolución CREG 034 de 2001 en COP/ kWh para estos tipos de plantas de generación. En caso de que este cálculo resulte ser el precio de bolsa para la hora respectiva, se tomará el MPO nacional de la hora respectiva en COP/kWh. - Para el caso de una planta o unidad térmica, cuando su generación real es mayor a cero, se tomará el precio de reconciliación positiva de la metodología PR definida en el artículo 1o de la Resolución CREG 034 de 2001, “Precio de reconciliación positiva para un generador térmico”, sin considerar los costos arranque-parada. Es decir, el primer término de la metodología PR será la suma de los términos CSC, CTC, COM y OCV, según los define esa resolución en el artículo 1o. Con la generación real, el combustible utilizado en el día de operación y los términos de la Resolución CREG 034 de 2001 señalados anteriormente, el ASIC determinará este precio en COP/kWh. Para el caso de una planta o unidad térmica, cuando la generación real es igual a cero en el día de operación, se tomará el precio ofertado en COP/kWh. | |
ARTÍCULO 8. MODIFICAR EL ARTÍCULO 23 DE LA RESOLUCIÓN CREG 004 DE 2003. El artículo 23 de la Resolución CREG 004 de 2003, quedará así:
“Artículo 23. Garantías. Con el fin de cubrir el monto esperado de las obligaciones económicas derivadas de las transacciones internacionales de electricidad de Corto Plazo, TIE, todos los agentes que realicen compras horarias de energía en la Bolsa deberán pagar anticipadamente, el valor estimado de las importaciones semanales que se realicen desde los mercados de los países de la Comunidad Andina o países con los que se tenga una integración regulatoria de mercados eléctricos en las condiciones de la presente Resolución.
Para el efecto, semanalmente, el ASIC deberá:
i) Estimar las cantidades de electricidad a importar de los otros sistemas, según las condiciones de operación establecidas por los operadores de los sistemas en relación con la máxima capacidad de los enlaces internacionales. Esta estimación tendrá una actualización semanal y contará con un balance neto cada mes. Este ajuste mensual final, al monto de las garantías semanales estimadas, se hará a partir de los resultados de la segunda liquidación, para efectos de facturación.
ii) Estimar el Monto total semanal de garantías a asignar a los agentes del mercado colombiano, para respaldar las importaciones de electricidad, a través de los enlaces internacionales, teniendo en cuenta el valor del literal anterior, el Precio promedio ponderado horario de Bolsa menos el Costo Equivalente de Energía, según el parágrafo uno del presente artículo, y el costo de cobertura por riesgo cambiario, el cual debe reflejar las condiciones reales del mercado internacional de divisas y estar definido por una entidad bancaria acreditada ante la Superintendencia Financiera de Colombia.
iii) Determinar la participación de cada uno de los agentes en las compras horarias de energía en la Bolsa, según lo definido en el parágrafo 6 del presente artículo. Con estos valores, el ASIC asignará a los agentes el valor de las garantías estimadas.
iv) Realizar los ajustes al monto semanal de garantías que debe realizar cada agente de acuerdo con los resultados reales de la semana de operación, obtenidos de las lecturas de los medidores y los precios reales disponibles según la regulación vigente.
v) El valor en dólares del pago anticipado será calculado por el ASIC con la tasa de cambio para compra de divisas que sea acordada, por éste y el intermediario del mercado cambiario, para el día en el que se intercambie la información con el Administrador del mercado exportador.
PARÁGRAFO 1. Para los casos en los que el precio de bolsa es inferior al Precio de Escasez de Activación, se deberá realizar el cálculo del Monto Semanal de Garantías (MSG), para respaldar importaciones a través de un enlace i, el ASIC procederá así:

Donde:
| Monto Semanal de Garantías para respaldar importaciones de electricidad a través del enlace i, para la semana s+2. | |
| Máxima transferencia horaria por el enlace i estimada para la semana s+2, según las condiciones de operación establecidas por los operadores de los sistemas en relación con la máxima capacidad de los enlaces internacionales. | |
| Precio promedio ponderado horario de bolsa de la semana s-1. | |
| Último valor calculado del Costo Equivalente en Energía para la semana s-1. | |
| Costo de la cobertura por el riesgo cambiario en los intercambios de energía por el enlace i para la semana s+2, según las condiciones reales del mercado internacional de divisas y definido por una entidad financiera acreditada. | |
| Enlace a través del cual se harán las importaciones de electricidad a garantizar. | |
| Semana en que se realiza la estimación de las garantías. | |
| Hora. |
Para los casos en los que el
sea superior al Precio de Escasez de Activación, el ASIC calculará los montos a garantizar utilizando la siguiente expresión:


Donde:
| Monto Semanal de Garantías para respaldar importaciones de electricidad a través del enlace i, para la semana s+2. | |
| Monto Semanal de Garantías por desviaciones negativas de OEF o demanda sin cubrimiento de OEF para respaldar importaciones de electricidad a través del enlace i, para la semana s+2. | |
| Máxima transferencia horaria por el enlace i estimada para la semana s+2, según las condiciones de operación establecidas por los operadores de los sistemas en relación con la máxima capacidad de los enlaces internacionales. | |
| Precio promedio ponderado horario de bolsa de la semana s-1. | |
| Precio de escasez ponderado del mes m (PEpm) que esté vigente para la semana s-1. | |
| Costo de la cobertura por el riesgo cambiario en los intercambios de energía por el enlace i para la semana s+2, según las condiciones reales del mercado internacional de divisas y definido por una entidad financiera acreditada. | |
| Enlace a través del cual se harán las importaciones de electricidad a garantizar. | |
| Semana en que se realiza la estimación de las garantías. | |
| Hora. |
El monto total a garantizar corresponde a la sumatoria de los MSG de todos los enlaces internacionales.
PARÁGRAFO 2. El ASIC para llevar a cabo la actualización semanal hará ajustes al cálculo del Monto Semanal de Garantías, MSG, para cada enlace i. El procedimiento de ajustes será el siguiente:
Primer ajuste semanal. Para los casos en los que el precio de bolsa es inferior al Precio de Escasez de Activación, el primer ajuste semanal se debe realizar el día viernes de la semana s+2 considerando las transacciones TIE reales efectuadas durante los primeros seis (6) días de operación de la semana S+2 de la siguiente manera:
![]()
Donde:
| Primer ajuste a la semana s+2 de operación, para el enlace i. | |
| Monto Semanal de Garantías para respaldar importaciones de electricidad a través del enlace i, para la semana s+2. | |
| Suma de las transferencias reales horarias de energía por el enlace i, resultado de las lecturas de los medidores reportados conforme a las disposiciones contenidas en la Resolución CREG 006 de 2003 o las normas que la modifiquen o sustituyan, para los primeros seis (6) días de operación de la semana s+2, y para el séptimo día se utilizarán los valores estimados para la MXT. | |
| Precio horario de bolsa para los primeros cinco (5) días de la semana s+2, para los días seis (6) y siete (7) de esta semana, el P corresponderá al máximo precio horario liquidado para este tipo de día calendario, durante los primeros cinco (5) días de operación de dicha semana. | |
| Ajuste por tasa de cambio no cubiertos por el mecanismo de cobertura a que hace referencia el Parágrafo 1. | |
| Último valor calculado del Costo Equivalente en Energía para la semana s+2. |
Para los casos en los que el precio de bolsa sea superior al Precio de Escasez de Activación, el ASIC calculará el monto a garantizar ajustado, utilizando las siguientes expresiones:
![]()
![]()
Donde:
| Primer ajuste a la semana s+2 de operación, para el enlace i. | |
| Primer ajuste a la semana s+2 de operación para desviaciones negativas de OEF o demanda sin cubrimiento de OEF, para el enlace i. | |
| Suma de las transferencias reales horarias de energía por el enlace i, resultado de las lecturas de los medidores reportados conforme a las disposiciones contenidas en la Resolución CREG 006 de 2003 o las normas que la modifiquen o sustituyan, para los primeros seis (6) días de operación de la semana s+2, y para el séptimo día se utilizarán los valores estimados para la MXT. | |
| Precio horario de bolsa para los primeros cinco (5) días de la semana s+2, para los días seis (6) y siete (7) de esta semana, el P corresponderá al máximo precio horario liquidado para este tipo de día calendario, durante los primeros cinco (5) días de operación de dicha semana. | |
| Precio de escasez ponderado del mes m (PEpm) que esté vigente para la semana s+2. | |
| Último valor calculado del Costo Equivalente en Energía para la semana s+2. | |
| Ajuste por tasa de cambio no cubiertos por el mecanismo de cobertura a que hace referencia el Parágrafo 1. |
Segundo ajuste semanal. El segundo ajuste semanal se deberá realizar el día viernes de la semana (s+3), considerando el procedimiento establecido para el primer ajuste semanal descrito anteriormente y utilizando la suma de las transferencias reales horarias de energía por el enlace i, los precios horarios de Bolsa de las transacciones TIE reales para la semana s+2 resultantes de la segunda liquidación para dicha semana y el último valor calculado del Costo Equivalente en Energía para la semana s+2.
PARÁGRAFO 3. La sumatoria de los ajustes semanales al MSG para cada uno de los enlaces, serán considerados como faltantes o excedentes netos para la determinación del MSG de la nueva semana de operación.
PARÁGRAFO 4. Para cada agente, el ASIC conciliará las diferencias asignadas a cada uno, presentadas entre las transacciones TIE reales, ya sean en mérito o fuera de mérito, y los pagos por garantías efectuados por el agente durante el mes.
Una vez realizado el ajuste final mensual este deberá ser informado a cada uno de los agentes, antes de la fecha de vencimiento, con independencia de la fecha de pago de las diferencias que existan a favor o en contra de los mismos, o del cruce de cuentas autorizado por los agentes.
El ASIC podrá reaplicar pagos para cubrir obligaciones resultantes de la aplicación de la Resolución CREG-007 de 2003 u otras obligaciones a cargo del mismo en el MEM, con previa autorización del agente, para lo cual podrá utilizar los recursos disponibles correspondientes a los excedentes de las garantías asignadas por concepto de TIE, después de la aplicación de lo dispuesto en el artículo 4 de la Resolución CREG 007 de 2013.
PARÁGRAFO 5. Para efectos del pago anticipado de las transacciones internacionales de electricidad de Corto Plazo –TIE-, las semanas iniciarán el día sábado y terminarán el día viernes.
PARÁGRAFO 6. El ASIC determinará el porcentaje de participación de cada uno de los agentes, que servirá para asignar la participación en el monto de garantías de las TIE, así:
![]()
Donde:
| Porcentaje de participación en garantías de las TIE para agentes compradores de energía en bolsa para la semana s+2 del agente j. | |
| Valor en pesos de las compras horarias de energía en Bolsa para el agente j, estimado utilizando la información de fronteras y contratos registradas por el agente para la semana s+2 y el precio de bolsa liquidado para la semana s-1, sin incluir las de los sistemas de los países con los cuales se tiene una integración regulatoria de mercados. | |
| Sumatoria de los valores en pesos de las compras horarias de energía en Bolsa de todos los agentes, estimados utilizando la información de fronteras y contratos registradas por todos agentes para la semana s+2 y el precio de bolsa liquidado para la semana s-1, sin incluir las de los sistemas de los países con los cuales se tiene una integración regulatoria de mercados. |
Adicionalmente, cuando se haya calculado
o
el ASIC calculará un porcentaje de participación para los agentes con demanda sin cubrimiento de OEF o para los agentes con desviaciones negativas de OEF así:
Para cada día de la última semana para la que se tenga información en versión TX2 o TXF se debe realizar el siguiente cálculo:
![]()
Donde:
| Porcentaje de participación del agente j, en las desviaciones negativas de OEF o la demanda sin cubrimiento de OEF, en el día d. | |
| Valor en pesos de las desviaciones negativas de OEF o de la demanda sin cubrimiento de OEF para el agente j, en el día d. | |
| Sumatoria de los valores en pesos de las desviaciones negativas de OEF o la demanda sin cubrimiento de OEF, en el día d. |
El porcentaje de cada agente para asignar la participación en el monto de garantías de las TIE para desviaciones negativas de OEF o de la demanda sin cubrimiento de OEF, corresponderá al promedio de participación en las desviaciones de cada día de la última semana para la que se tenga información en versión TX2 o TXF más un medio de la desviación estándar de las mismas, y se calculará así:
![]()
| Porcentaje de participación en garantías de las TIE para desviaciones negativas o demanda sin cubrimiento de OEF para la semana s+2 del agente j. | |
| Sumatoria en los días de la semana del porcentaje de participación del agente j, en las desviaciones negativas de OEF o en la demanda sin cubrimiento de OEF en el día d de la última semana para la que se tenga información en versión TX2 o TXF. | |
| Número de días de la semana | |
| Desviación estándar de los porcentajes de participación del agente j en el día d de la última semana para la que se tenga información en versión TX2 o TXF. |
PARÁGRAFO 7. El ASIC informará a los agentes el viernes de cada semana, a más tardar a las 15:00 horas, el monto del pago anticipado que deben efectuar para garantizar las transacciones internacionales de electricidad de corto plazo TIE, de la semana s+2.
PARÁGRAFO 8. El ASIC, en los Acuerdos Comerciales que suscriba con los otros administradores de los mercados de electricidad de los otros países, tendrá en cuenta el procedimiento previsto en este artículo para el cálculo de los pagos anticipados semanales que depositarán los agentes en una cuenta independiente mediante transferencia electrónica.
PARÁGRAFO 9. Ante la activación de la TIE de importación, y en caso de que el CND, con la mejor información disponible, evidencie que el monto de las garantías constituidas no es suficiente para respaldar las importaciones, este informará al ASIC, antes de las 12 del día, las cantidades necesarias y el precio de oferta para que este último realice ajustes extraordinarios a las garantías, que deberán ser pagados como máximo un (1) día hábil después de ser solicitados. En caso de que algún agente no pague la totalidad del ajuste extraordinario, y de ser necesario se recalculará la cantidad a importar.
PARÁGRAFO 10. En caso de que el ASIC, con la mejor información disponible, evidencie que a algún agente se le incremente el valor en pesos de desviaciones negativas, este realizará ajustes extraordinarios a las garantías que deberán ser pagados 2 días hábiles después de ser solicitados. En caso de que algún agente no pague la totalidad del ajuste extraordinario, y en caso de ser necesario se recalculará la cantidad a importar.”
ARTÍCULO 9. MODIFICAR LA DESCRIPCIÓN DE LAS VARIABLES VDOEF Y CDOEF DEL LITERAL B DEL ANEXO “PROCEDIMIENTO DE CÁLCULO DE GARANTÍAS FINANCIERAS Y MECANISMOS ALTERNATIVOS PARA CUBRIR TRANSACCIONES EN EL MERCADO DE ENERGÍA MAYORISTA” DE LA RESOLUCIÓN CREG 019 DE 2006. La descripción de las variables VDOEF y CDOEF del literal B del Anexo “Procedimiento de Cálculo de Garantías Financieras y Mecanismos Alternativos para Cubrir Transacciones en el Mercado de Energía Mayorista” de la Resolución CREG 019 de 2006 quedarán así:
| “VDOEF: | Corresponde al valor en pesos a recibir por las desviaciones de las obligaciones de energía firme, cuando el precio de bolsa supera al Precio de Escasez de Activación, calculado acorde con lo establecido en el Anexo 7 de la Resolución CREG 071 de 2006 y demás normas que la modifiquen, complementen o sustituyan. Esta variable se asignará a los generadores para los cuales la desviación diaria de la obligación de energía firme es mayor que cero (0) y será tenida en cuenta solamente para el cálculo de los ajustes de las garantías y mecanismos alternativos.” |
| “CDOEF: | Corresponde al valor en pesos a pagar por las desviaciones de las obligaciones de energía firme, cuando el precio de bolsa supera al Precio de Escasez de Activación, calculado acorde con lo establecido en el Anexo 7 de la Resolución CREG 071 de 2006 y demás normas que la modifiquen, complementen o sustituyan. Esta variable se asignará a los agentes con compras en bolsa, cuando la energía firme es inferior a la demanda doméstica, y a los generadores para los cuales la desviación diaria de la obligación de energía firme es menor que cero (0) y será tenida en cuenta solamente para el cálculo de los ajustes de las garantías y mecanismos alternativos.” |
ARTÍCULO 10. MODIFICAR EL NUMERAL III DEL ARTÍCULO 9 DE LA RESOLUCIÓN CREG 005 DE 2010. El numeral iii del artículo 9 de la Resolución CREG 005 de 2010 quedará así:
i. En caso de que el Precio de Bolsa sea mayor que al Precio de Escasez Activación y las Obligaciones de Energía Firme asignadas sean mayores que la Demanda Total Doméstica, la cual incluirá el consumo de los Cogeneradores, la diferencia entre el Precio de Bolsa y el precio de escasez ponderado se recaudará como sigue y será aplicada como un menor valor del costo de las restricciones asignado a cada comercializador que atiende la Demanda Total Doméstica en proporción de su Demanda Comercial.

Donde,
| Recaudo Cogeneradores para el mes m. | |
| Demanda de Cogeneradores durante el respaldo. | |
| Precio de Bolsa para la hora h. | |
| Corresponde al definido en la Resolución CREG 071 de 2006. | |
| Indexa las horas del mes m durante las cuales hizo uso del respaldo y se cumple la condición indicada.” |
ARTÍCULO 11. MODIFICAR EL LITERAL A. DEL ARTÍCULO 2 DE LA RESOLUCIÓN CREG 026 DE 2014. El literal a. del Artículo 2 de la Resolución CREG 026 de 2014 quedará así:
a. Índice PBP. Se calculará el promedio aritmético del PBP de los siete (7) días anteriores a la fecha de cálculo de los índices de que trata el presente artículo.
Cuando el promedio del PBP sea menor al Precio de Escasez Activación del Cargo por Confiabilidad, durante cuatro (4) días de los siete (7) días, el índice PBP se entenderá que está en un nivel bajo, y si es igual o mayor que dicho precio diario ofertado, el índice PBP se entenderá que está en nivel alto.
ARTÍCULO 12. MODIFICACIÓN DEL LITERAL D. DEL ARTÍCULO 8 DE LA RESOLUCIÓN CREG 026 DE 2014. El literal d. del artículo 8 de la Resolución CREG 026 de 2014 quedará así:
“d. La cantidad de energía vendida y embalsada por la planta i en el día t será considerada como generación para el cumplimiento de las Obligaciones de Energía Firme (OEF) de dicha planta. Si el valor sobrepasa las OEF, el excedente se podrá utilizar para cubrir contratos en el mercado secundario de energía firme que tenga la planta.
Para el efecto, en el numeral 1.2 del anexo 1 de la Resolución CREG 071 de 2006, la variable Obligación Diaria de Energía Firme respaldada por la planta de generación i del generador j en el día d del mes m con EVE será:
![]()
Donde:
| Obligación Diaria de Energía Firme respaldada por la unidad o planta de generación i, del generador j, en el día d, del mes m. | |
| Obligación Diaria de Energía Firme respaldada por la unidad o planta de generación i, del generador j, en el día d, del mes m, calculada según el numeral 1.2 del anexo 1 de la Resolución CREG 071 de 2006 o aquellas que la modifiquen. | |
| Energía Vendida y Embalsada Ajustada por la planta de generación i, del generador j, en el día d, del mes m, que será máximo la EVE que iguale la ODEFR a cero. El exceso de EVE se aplicará para cubrir contratos del mercado secundario que tenga la planta i. |
Cuando el precio de bolsa supere el Precio Escasez Activación, el exceso de EVE se considerará, únicamente para efectos del despacho de contratos de respaldo y declaraciones de respaldo, como generación ideal.
En caso de presentarse Demanda sin cubrimiento de OEF indicada en el numeral 10.1 del Anexo 7 de la Resolución CREG 071 de 2006, por la aplicación de lo señalado en este literal, se aplicará lo siguiente:
1) Se distribuye el costo total en proporción de: i) la diferencia positiva entre la demanda y las OEF asignadas, y ii) la EVEA descontada de las obligaciones de los generadores hidráulicos.
2) El costo por aplicación de este literal corresponde al valor calculado a partir de la proporción del numeral ii) del numeral 1).
3) El valor del numeral 2 será asignado a los generadores y comercializadores en proporción de las cantidades compradas en bolsa. La proporción asignada a los generadores se distribuye entre estos a prorrata de sus compras en bolsa y la proporción asignada a los comercializadores se distribuye a prorrata de su demanda comercial y se traslada al componente de restricciones.”
ARTÍCULO 13. MODIFICAR EL NUMERAL 1 DEL LITERAL C DEL ARTÍCULO 7 DE LA RESOLUCIÓN CREG 011 DE 2015. El numeral 1 del literal c del artículo 7 de la Resolución CREG 011 de 2015 quedará así:
“c) CND
1. Verificar la cantidad de consumo de energía que se puede reducir con el programa de RD en el día en cual el precio de bolsa horario del predespacho ideal sea mayor o igual al 108% del Precio de Escasez Activación.”
ARTÍCULO 14. MODIFICAR EL PASO 5 DEL ARTÍCULO 10 DE LA RESOLUCIÓN CREG 011 DE 2015. El paso 5 del artículo 10 de la Resolución CREG 011 de 2015, quedará así:
“Paso 5: Una vez finalizado el plazo de envío de ofertas y declaración de reducción de energía, el CND calculará el predespaho ideal incluyendo la RD. Para despachar cada RD se debe cumplir la siguiente condición:
![]()
Donde:
| Máximo precio de oferta del predespacho ideal para atender demanda nacional en la hora h del día d del mes m. | |
| Precio de Escasez de Activación en el mes m. | |
| Oferta de precio de reducción de energía de la RD del comercializador c, en el día d del mes m. |
Las ofertas de reducción de energía se tendrán en cuenta de menor a mayor precio en el predespacho ideal. En caso de presentarse empates en las ofertas de precio de RD, el CND definirá un proceso aleatorio equiprobable para determinar el orden de mérito de dichas ofertas.
El umbral del 8% establecido en la condición de despacho de la RD podrá ser ajustado por la CREG de acuerdo con las variaciones observadas entre los valores estimados y los reales. Para tal fin el ASIC informará en la última semana de cada mes a la CREG, los valores estimados y los valores reales del mes anterior de cada una de las variables involucradas.”
ARTÍCULO 15. MODIFICAR EL ARTÍCULO 14 DE LA RESOLUCIÓN CREG 011 DE 2015. El Artículo 14 de la Resolución CREG 011 de 2015, quedará así:
“Artículo 14. Valores a favor de los usuarios que participan en el programa de RD. El valor a favor de los usuarios por la participación en el programa de RD será entregado al comercializador, quién será el encargado de pasar a sus usuarios los incentivos de la RD, el valor será el que resulta de aplicar la siguiente expresión:
![]()
Donde:
| Valor a favor del comercializador c por la reducción de demanda del programa de RD en la hora h, del día d, del mes m. | |
| RD verificada del comercializador c en la hora h, del día d, del mes m. | |
| Precio de bolsa para atender demanda nacional en la hora h, del día d, en el mes m, que supera el Precio de Escasez de Activación. | |
| Precio de Transacciones en Bolsa de la hora h, del día d, del mes m, para el caso que este en aplicación. |
PARÁGRAFO: El costo de la comercialización del programa de RD será asumido por el usuario, el cual será acordado entre el usuario y el comercializador que lo representa.”
ARTÍCULO 16. MODIFICAR EL LITERAL A DEL ARTÍCULO 16 DE LA RESOLUCIÓN CREG 011 DE 2015. El literal a del artículo 16 de la Resolución CREG 011 de 2015, quedará así:
“a. Se calcula el delta de ajuste de remuneración RD de acuerdo con la siguiente expresión:
![]()

Donde:
| Desviación por remuneración de la RD que el comercializador c, en la hora h del día d del mes m, no alcanza a recibir de acuerdo con su precio de oferta. | |
| RD verificada del comercializador c, en la hora h del día d del mes m. | |
| Oferta de precio del comercializador c para el programa de la RD en el día d del mes m. | |
| Precio de bolsa para atender demanda nacional en la hora h del día d del mes m que supera el precio de escasez superior. | |
| Precio de Transacción en Bolsa de la hora h, del día d, del mes m, para el caso que este en aplicación. | |
| Delta de ajuste de remuneración RD en la hora h del día d del mes m. | |
| Desviación de la Obligación Diaria de Energía Firme de la planta i, asociada al precio de escasez | |
| Demanda sin cubrimiento de OEF del día d, del mes m. definida en el Anexo 7 de la Resolución CREG 071 de 2006. | |
| Número total C de comercializadores que participan en el programa de la RD en el día d del mes m. | |
| Número total M de agentes generadores que tienen desviaciones negativas de sus obligaciones de energía firme como resultado de aplicar el Anexo 7 de la Resolución CREG 071 de 2006. |
ARTÍCULO 17. MODIFICAR EL ARTÍCULO 11 DE LA RESOLUCIÓN CREG 024 DE 2015. El Artículo 11 de la Resolución CREG 024 de 2015 quedará así:
“Artículo 11. Cubrimiento del cargo por confiabilidad. Cuando se presenten condiciones de escasez, la energía que consuma del SIN un autogenerador y que sea superior a su línea base de consumo, calculada como lo establece el anexo 1 de la Resolución CREG 101 019 de 2022, será liquidada al comercializador que atiende la demanda del autogenerador al precio de bolsa. El comercializador podrá trasladar este costo al autogenerador.
El valor adicional recaudado, cuando el Precio de Bolsa sea mayor que el Precio de Escasez Activación y las Obligaciones de Energía Firme asignadas sean mayores que la Demanda Total Doméstica, la cual incluirá el consumo de los autogeneradores, será trasladado al sistema como un menor valor del costo de restricciones asignado a cada comercializador que atiende la demanda total doméstica en proporción de su demanda comercial. Este valor será calculado como el producto de la energía superior a la línea base de consumo en cada hora y la diferencia entre el precio de escasez ponderado (PEp) y el precio de bolsa en cada hora específica.
En caso de no contar con información de línea base de consumo, se tomará el mayor valor entre cero y la energía que se puede entregar en cada hora medida como la diferencia entre la capacidad de conexión menos la capacidad efectiva de la planta.”
ARTÍCULO 18. MODIFICAR EL PASO 3 DEL NUMERAL 3 DEL ARTÍCULO 4 DE LA RESOLUCIÓN CREG 025 DE 2016. El paso 3 del numeral 3 del artículo 4 de la Resolución CREG 025 de 2016, quedará así:
“Paso 3: Una vez finalizado el plazo de envío de ofertas y declaración de reducción de energía, el CND calculará el predespaho ideal incluyendo la RD. Para despachar cada RD se debe cumplir la siguiente condición:
![]()
Donde:
| | Máximo precio de oferta del predespacho ideal para atender demanda total doméstica en la hora h del día d del mes m. |
| Precio de Escasez Activación en el mes m. | |
| Oferta de precio de reducción de energía de la RD del comercializador c, en el día d del mes m. |
Las ofertas de reducción de energía se tendrán en cuenta de menor a mayor precio en el predespacho ideal. En caso de presentarse empates en las ofertas de precio de RD, el CND definirá un proceso aleatorio equiprobable para determinar el orden de mérito de dichas ofertas.”
ARTÍCULO 19. MODIFICAR EL NUMERAL 4 DEL ARTÍCULO 4 DE LA RESOLUCIÓN CREG 025 DE 2016. El numeral 4 del artículo 4 de la Resolución CREG 025 de 2016, quedará así:
“Flexibilización transitoria del valor a cargo del CERE en la RD. El valor a cargo del programa de la RD debido al recaudo del CERE que se encuentra establecido en el artículo 15 de la Resolución CREG 011 de 2015, no aplicará cuando:
![]()
Donde:
| Precio de oferta para atender demanda total doméstica en la hora h del día d del mes m. | |
| Precio de Escasez Activación en el mes m. | |
| Oferta de precio de reducción de energía de la RD del comercializador c, en el día d del mes m. |
En caso de darse la condición anterior, la variable RDV no será tenida en cuenta para el cálculo del CERE del anexo 8 de la Resolución CREG 071 de 2006.”
ARTÍCULO 20. MODIFICAR EL LITERAL A DEL NUMERAL 2 DEL ANEXO 1 PROCEDIMIENTO CND PARA LA ACTIVACIÓN RD DE LA RESOLUCIÓN CREG 025 DE 2016. El literal a del numeral 2 del anexo 1 de la Resolución CREG 025 de 2016 quedará así:
“a. Las ofertas de Reducción de Demanda RD antes de ingresar a este procedimiento deben ser ajustadas de la siguiente forma:
![]()
![]()
![]()
Donde:
| Precio de oferta ajustado del usuario o grupo de usuarios k para el periodo t. | |
| Precio de oferta del usuario o grupo de usuarios k para el periodo t enviada por el agente comercializador. | |
| Precio de Escasez Activación en el periodo t. | |
| Disponibilidad de energía ajustada en la barra l en el periodo t del usuario o grupo de usuarios k. | |
| Disponibilidad de energía ofertada a reducir en la barra l en el periodo t del usuario o grupo de usuarios k. | |
| Demanda remanente de la barra l en el periodo t. | |
| Pronóstico de demanda de la barra l en el periodo t. | |
| Limitación de suministro programado en la barra l en el periodo t. | |
| Racionamiento programado en la barra l en el periodo t. | |
| Demanda Desconectable Voluntaria DDV programada en la barra l en el periodo t. | |
| Demanda No Atendida en la barra l en el periodo t. |
El precio de oferta ajustado del usuario o grupo de usuarios k es el precio de oferta que será considerado en el proceso de desempate de precios en conjunto con las ofertas de generación.”
ARTÍCULO 21. MODIFICAR EL ARTÍCULO 1 DE LA RESOLUCIÓN CREG 089 DE 2018. El artículo 1 de la Resolución CREG 089 de 2018 quedará así:
“Artículo 1. Objeto. Mediante esta resolución se definen las reglas para adelantar las auditorías de la información declarada para determinar el precio marginal de escasez definido en la Resolución CREG 140 de 2017.
La condición crítica para la aplicación de lo dispuesto en esta resolución será la que se presente cuando se supere el Precio de Escasez de Activación, PEa.”
ARTÍCULO 22. MODIFICACIÓN DEL ARTÍCULO 28 DE LA RESOLUCIÓN CREG 098 DE 2019. El artículo 18 de la Resolución 098 de 2019 quedará así:
“Artículo 28. Tratamientos de las medidas de energía. El ASIC, con base en el precio de bolsa nacional horario, hará la liquidación horaria de la energía tomada y de la energía entregada al sistema; el valor neto resultante hará parte del valor de las restricciones.
Mensualmente el ASIC, con base en la energía tomada del sistema y la energía almacenada al principio y al final del mes hará un balance con el propósito de estimar la energía que debió ser entregada al sistema para cumplir el requisito de eficiencia mínima. Si se encuentra un faltante de energía para cumplir con esta eficiencia, la energía faltante se facturará al agente adjudicatario, con el promedio aritmético del precio de bolsa nacional del mes en revisión, y el valor de esta facturación se aplicará como un menor valor de restricciones. Para las horas del mes donde el precio de bolsa nacional supere el Precio de Escasez Activación, se tomará este último.
La asignación de los valores obtenidos en los dos párrafos anteriores se hará a prorrata de la demanda comercial de todos los comercializadores que atienden usuarios en el SIN.
El CND y el LAC deberán manejar en forma separada el efecto que estas medidas causen en la determinación de los índices de pérdidas. Los efectos de la instalación de los SAEB se excluirán del cálculo de los índices de pérdidas utilizados para verificar el cumplimiento de compromisos relacionados con este índice.
Dentro de los dos meses siguientes a la entrada en vigencia de la presente resolución, el ASIC elaborará y publicará un procedimiento en el que se determine la forma como se hará el balance mensual antes indicado y se excluyan los efectos de los SAEB en los índices de pérdidas”.
ARTÍCULO 23. MODIFICAR LA DEFINICIÓN “CONDICIÓN DE PROBABLE ESCASEZ” DEL ARTÍCULO 3 DE LA RESOLUCIÓN CREG 102 015 DE 2025. La definición “Condición de probable escasez” del Artículo 3 de la Resolución CREG 102 015 de 2020 quedará así:
“Condición de probable escasez: corresponderá a los eventos en que el precio del predespacho ideal del mercado mayorista de energía, en al menos una hora, sea igual o superior al 95% del Precio de Escasez Activación.”
ARTÍCULO 24. MODIFICACIÓN DE LA DEFINICIÓN DE LA VARIABLE
DEL LITERAL B DEL ARTÍCULO 22 DE LA RESOLUCIÓN CREG 174 DE 2021. La definición de la variable
del literal b del artículo 22 de la Resolución CREG 174 de 2021 quedará así:
| Variable de que trata el artículo 6 de la Resolución CREG 119 de 2007, para el mes m, expresado en COP/MWh. El ASIC publicará este valor de acuerdo con el Artículo 19 de la Resolución CREG 119 de 2007. Cuando la variable |
ARTÍCULO 25. MODIFICACIÓN DEL PARÁGRAFO 1 DEL ARTÍCULO 23 DE LA RESOLUCIÓN 174 DE 2021. El parágrafo 1 del artículo 23 de la Resolución 174 de 2021 quedará así:
“Parágrafo 1
- Cuando la variable
supere el precio de escasez de activación definido en la Resolución CREG 071 de 2006, dicho precio, según aplique: i) no podrá superar el precio de escasez ponderado, o, ii) no podrá superar el precio de transacción en bolsa. ”
ARTÍCULO 26. MODIFICACIÓN DEL PARÁGRAFO DEL ARTÍCULO 25 DE LA RESOLUCIÓN 174 DE 2021. El parágrafo del artículo 25 de la Resolución 174 de 2021 quedará así:
“Parágrafo. Cuando la variable supere el precio de escasez de activación definido en la Resolución CREG 071 de 2006, dicho precio, según aplique: i) no podrá superar el precio de escasez ponderado o ii) no podrá superar el precio de transacción en bolsa.”
ARTÍCULO 27. PLAZOS. Los plazos para la etapa de implementación y pruebas son los siguientes:
a) Implementación. El ASIC dispondrá de hasta 15 días calendario a partir de la entrada en vigencia de la presente resolución para implementar las reglas aquí definidas.
b) Periodo de pruebas. Se adopta un periodo de 15 días calendario, posteriores al periodo de implementación, para la aplicación simultanea de las disposiciones asociadas a la liquidación sin que se tenga efecto comercial. El ASIC deberá hacer públicos los resultados de las liquidaciones que se realicen en esta etapa para conocimiento de los agentes y del mercado.
Finalizada la etapa de pruebas iniciará el efecto comercial de las reglas definidas en esta resolución.
ARTÍCULO 28. VIGENCIA. Esta resolución rige a partir de su publicación en el Diario Oficial.



