RESOLUCIÓN 101 064 DE 2024
(octubre 31)
<Fuente: Archivo interno entidad emisora>
Diario Oficial No. 52.962 de 6 de diciembre de 2024
COMISIÓN DE REGULACIÓN DE ENERGÍA Y GAS - CREG
Por la cual se define un cargo transitorio de generación de energía eléctrica para sistemas centralizados solares fotovoltaicos con y sin almacenamiento en Zonas No Interconectadas
LA COMISIÓN DE REGULACIÓN DE ENERGÍA Y GAS
En ejercicio de sus atribuciones constitucionales y legales, en especial las conferidas por las leyes 142 y 143 de 1994, y en desarrollo de los decretos 1524 y 2253 de 1994.
CONSIDERANDO QUE:
El artículo 334 de la Constitución Nacional dispone que el Estado, de manera especial, intervendrá para asegurar, de manera progresiva, que todas las personas, en particular las de menores ingresos, tengan acceso efectivo al conjunto de los bienes y servicios básicos.
El artículo 365 de la Constitución Política establece que los servicios públicos son inherentes a la finalidad social del Estado, y es deber de este asegurar su prestación eficiente a todos los habitantes del territorio nacional. En ese contexto, el Estado, de acuerdo con lo previsto en la Carta Política, debe asegurar su prestación eficiente a todos los habitantes del territorio nacional y, para tal propósito, tiene la responsabilidad de mantener la regulación y ejercer, tanto el control, como la vigilancia de los mismos.
De conformidad con lo previsto en los artículos 1, 2 y 4 de la Ley 142 de 1994, la prestación del servicio público domiciliario de energía eléctrica y sus actividades complementarias constituyen servicios públicos esenciales, y el Estado intervendrá en los mismos con el fin de, entre otros, garantizar la calidad del bien y su disposición final para asegurar el mejoramiento de la calidad de vida de los usuarios, así como su prestación continua, ininterrumpida y eficiente.
La consecución de estos mandatos constitucionales y legales cobran aún mayor importancia tratándose de las Zonas No Interconectadas (ZNI), por ser zonas del país consideradas como las más apartadas y en las cuales se presentan unos niveles más altos de necesidades básicas insatisfechas, donde el acceso a los servicios públicos o su prestación efectiva contribuyen a la eliminación de brechas y a la mejora de la calidad de vida de los habitantes del territorio.
De conformidad con el artículo 73 de la Ley 142 de 1994, le corresponde a las Comisiones de Regulación establecer las fórmulas para la fijación de las tarifas de los servicios públicos y señalar, de acuerdo con la Ley, criterios generales sobre abuso de posición dominante en los contratos de servicios públicos y sobre la protección de los derechos de los usuarios en lo relativo a facturación, comercialización y demás asuntos relativos a la relación de la empresa con el usuario.
De conformidad con lo previsto en el artículo 87.9 de la Ley 142 de 1994, le corresponde a las Comisiones de Regulación establecer mecanismos para garantizar la reposición y mantenimiento de bienes que hayan sido objeto de aporte por parte de entidades públicas.
El literal f) del artículo 3 de la Ley 143 de 1994 estableció que corresponde al Estado “alcanzar una cobertura en los servicios de electricidad a las diferentes regiones y sectores del país, que garantice la satisfacción de las necesidades básicas de los usuarios de los estratos 1, 2 y 3 y los de menores recursos del área rural, a través de los diversos agentes públicos y privados que presten el servicio”.
El artículo 6 de la Ley 143 de 1994 establece, entre otros aspectos, que las actividades relacionadas con el servicio de electricidad se regirán por los principios de eficiencia, calidad, continuidad, adaptabilidad, neutralidad, solidaridad y equidad.
La Ley 697 de 2001 establece que el Ministerio de Minas y Energía formulará los lineamientos de las políticas, estrategias e instrumentos para el fomento y la promoción de las fuentes no convencionales de energía, con prelación en las ZNI.
El artículo 1 de la Ley 855 de 2003 establece que “para todos los efectos relacionados con la prestación del servicio público de energía eléctrica se entiende por Zonas No Interconectadas a los municipios, corregimientos, localidades y caseríos no conectadas al Sistema Interconectado Nacional, SIN”.
De acuerdo con el parágrafo 1 del artículo 1 de la Ley 855 de 2003, las áreas geográficas que puedan interconectarse al Sistema Interconectado Nacional (SIN), se excluirán de las ZNI una vez se surtan los trámites correspondientes ante esta Comisión.
La Resolución CREG 091 de 2007, que entró en vigencia el 24 de febrero de 2008, estableció las metodologías generales para remunerar las actividades de generación, distribución y comercialización de energía eléctrica y las fórmulas tarifarias generales para determinar el costo unitario de prestación del servicio público de energía eléctrica en ZNI.
Así mismo, mediante el Decreto 1073 de 2015, modificado por el Decreto 099 de 2021, el Gobierno Nacional adoptó los lineamientos de política pública relacionados con la expansión de cobertura del servicio público de energía eléctrica en el SIN y en las ZNI.
El artículo 2.2.3.3.2.2.3.1 del Decreto 1073 de 2015, modificado por el artículo 4 del Decreto 099 de 2021, indica que:
“(…) La ampliación de cobertura del servicio público de energía eléctrica a usuarios a quienes no sea eficiente conectar al Sistema Interconectado Nacional (SIN), se podrá realizar mediante soluciones centralizadas o individuales, las cuales serán construidas y operadas principalmente por un Operador de Red del Sistema Interconectado Nacional (SIN), o a través de esquemas empresariales tales como las Áreas de Servicio Exclusivo (ASE). Dichas inversiones podrán ser realizadas tanto con recursos públicos como recursos mixtos o privados. Las inversiones se regirán de acuerdo con las leyes y la regulación vigente y serán remuneradas a través de los esquemas tarifarios dispuestos por la Comisión de Regulación de Energía y Gas (CREG), para tal fin. (…)”.
El artículo 2.2.3.3.2.2.3.2 del Decreto 1073 de 2015, modificado por el artículo 6 del Decreto 099 de 2021, señala, en relación con la metodología de prestación del servicio en ZNI, que:
“(…) Metodología de remuneración de la prestación del servicio en ZNI. La metodología para remunerar las actividades de generación, distribución y comercialización en las Zonas No Interconectadas (ZNI), expedida por la Comisión de Regulación en Energía y Gas (CREG), deberá tener en cuenta al menos las particularidades de las regiones donde se preste el servicio y los siguientes elementos:
1. La remuneración del servicio debe considerar el número y dispersión de los usuarios a ser atendidos, así como las particularidades de las regiones en las que se preste el servicio.
2. La metodología deberá discriminar los costos asociados a atender usuarios con Soluciones Centralizadas o con Soluciones Individuales. (…)”.
El artículo 287 de la Ley 1955 de 2019, por la cual se adoptó el Plan Nacional de Desarrollo 2018-2022, indicó que “El Servicio Público Domiciliario de Energía Eléctrica en ZNI es el transporte de energía eléctrica desde la barra de entrega de energía de un Generador al Sistema de Distribución hasta el domicilio del usuario final, incluida su conexión y medición. El suministro de energía eléctrica a un domicilio mediante soluciones individuales de generación también se considera, servicio público domiciliario de energía eléctrica en ZNI”.
La Comisión de Regulación de Energía y Gas (CREG) contrató a HART ENERGY & CONTROL CONSULTING S.A.S. para la elaboración del estudio denominado “Desarrollo de un modelo de cálculo para la determinación del costo eficiente de la prestación del servicio de energía eléctrica a través de la atención a usuarios mediante soluciones aisladas centralizadas o individuales”, cuyos resultados fueron presentados a los agentes en un taller realizado el 29 de enero de 2021 y publicados mediante la Circular CREG 040 de 2021.
Mediante la Resolución CREG 101 026 de 2022, se definió la fórmula tarifaria general para establecer la remuneración de la prestación del servicio de energía eléctrica mediante Soluciones Individuales Solares Fotovoltaicas (SISFV) en ZNI. Esta resolución entró en vigencia a partir del 1 de noviembre de 2023.
El artículo 20 de la precitada resolución derogó el literal c del artículo 22, el numeral 24.4 del artículo 24, el literal c del artículo 25, y el artículo 41 de la Resolución CREG 091 de 2007, la Resolución CREG 072 de 2013 y la Resolución CREG 166 de 2020.
Mediante la Resolución CREG 101 026 de 2023, la Comisión determinó unos parámetros de cálculo y definió la tasa de descuento para la remuneración de la prestación del servicio de energía eléctrica SISFV en ZNI.
Mediante comunicación con radicado CREG E2023016420 del 12 de septiembre de 2023 y radicado IPSE-20231000020361, el Instituto de Planificación y Promoción de Soluciones Energéticas para Zona No Interconectadas (IPSE), indicó lo siguiente en relación con los cargos máximos que remuneran la actividad de generación en la Resolución CREG 091 de 2007 para soluciones centralizadas:
“(…) durante el primer semestre del año 2023, el equipo de la Subdirección de Planificación Energetica del IPSE ha estructurado sistemas centralizados con microrredes para beneficiar usuarios ubicados en la Alta Guajira, especificamente en el municipio de Uribia, los cuales configuran esquemas modulares de generación de hasta 10 kWp de generación fotovoltaica y redes subterráneas con sus correspondientes acometidas para los beneficiarios.
El sistema de 9.9 kWp pretende beneficiar hasta 24 usuarios por solución en un radio no mayor a 200 metros. Está conformado por 18 paneles de 550 Wp y hasta 3 baterías de 4.8.7 kWh cada una, dos inversores de 5kVA cada uno, un autotransformador, y un sistema de gestión para la generación y almacenamiento de energía, así como elementos de telecomunicación con el exterior. De igual forma, como se indicó previamente, cuenta con distribución en baja tensión de manera subterránea y punto de acometida con medidor prepago para la gestión del consumo y del recaudo.
Ahora bien, para el caso particular de estos sistemas solares centralizados hasta 9.9 kWp, el IPSE tomó como referencia para el cálculo del costo unitario (CU), la Resolución CREG 091 de 2007, en tanto que para la proyección de subsidios, se tomó la Resolución MME 40239 de 2022 en la cual se establece el procedimiento y los criterios para la distribución y giro de subsidios para el servicio público de energía eléctrica en las Zonas No Interconectadas (ZNI).
No obstante lo anterior, procede referir que, en desarrollo del análisis correspondiente, se advirtió la necesidad de acudir a la Comisión para plantear las restricciones evidenciadas en el cálculo y aplicación normativa y solicitar atentamente claridad o complementación para superarlas:
En relación con los cargos máximos que remuneran la actividad de generación en la Resolución CREG 091 de 2007, modificada por la Resolución CREG 072 de 2013, para soluciones centralizadas.
En el análisis efectuado evidenciamos que la resolución maneja dos unidades distintas para la determinación de los cargos máximos, una de potencia y otra de energía:
Capitulo IV, Articulo 22:
'…La componente de inversión de los Cargos Regulados de Generación, expresada en ($/kWh), incluye los costos de adquisición, transporte, instalación, diseños, permisos ambientales, almacenamiento de combustible, transformadores elevadores, equipos de telemedida y los necesarios para la puesta en operación de una central de generación, y dependerá del tamaño, tecnología, horas de prestación del servicio y el tipo de combustible de cada unidad de generación…'
Capitulo IV, Articulo 22, literal C, Tabla 3:
'…C) Costo de inversión para soluciones individuales. Cuando sean empleadas las soluciones individuales los cargos máximos de generación estarán definidos de la siguiente forma:'
TABLA 3. Componente de remuneración de inversiones
en Sistemas Solares Fotovoltaicos
($ de diciembre de 2006).
| Solución Energética implementada | RANGO kW | $/Wp-mes | |
| Mínimo | Máximo | ||
| Individual DC | 0,05 | 0,1 | 386,67 |
| Individual AC | 0,075 | 0,5 | 371,20 |
| Centralizado Aislado | 0,3 | 10 | 260,88 |
| Centralizado Aislado a Red Sin acumulación | 10 | 1000 | 145,12 |
(…).'
Capitulo IV, Articulo 24.4:
Numeral modificado por el artículo 2 de la Resolución 72 de 2013. El nuevo texto es el siguiente:> El cargo máximo para la remuneración de los gastos de administración, operación y mantenimiento para los sistemas solares fotovoltaicos individual DC, individual AC y centralizado aislado será de 188,06 $/Wp-mes ($ de diciembre de 2006). Para sistemas solares fotovoltaicos centralizados aislados a red sin acumulación será de 4,35 $/Wp-mes ($ de diciembre de 2006).
Como se resalta, las unidades para el componente de generación no son heterogéneas y ello no permite calcular el costo unitario en la formula establecida en el Articulo 25. Fórmula de Actualización de Cargos Máximos de Generación:
![]()
(…)
Ahora bien, somos conscientes de que la Resolución CREG 091 de 2007, y en particular los numerales que nos ocupan en este documento, han sido objeto de modificaciones a lo largo de estos años, por lo que consideramos necesario solicitar nos aclaren si existe algún documento modificatorio o anexo a los actos modificatorios que hayamos pasado por alto y que contemple un factor de conversión de estas unidades de potencia con estimación de consumo aplicable para transformarlas en unidades de energía para efectos de correr la fórmula, o, si resulta necesario efectuar alguna complementación al respecto por parte de la Comisión, caso en el cual, respetuosamente nos permitimos sugerir cualquiera de las siguientes opciones sin perjuicio de mejor opinión por parte de la Comisión:
- Expedir resolución modificatoria de las unidades establecidas para los cargos máximos de la actividad de generación con soluciones centralizadas en la Resolución CREG 091 de 2007.
- Expedir resolución aclaratoria o modificatoria incorporando un factor de conversión de $Wp-mes a $/kWh, en el componente de generación con soluciones centralizadas en la Resolución CREG 091 de 2007.
- Expedir resolución con una metodología transitoria para el cálculo de la tarifa en sistemas centralizados hasta 10 kWp.” (Subrayado fuera de texto)
Así mismo, el IPSE señala en la precitada comunicación, respecto de la derogatoria de cargos máximos que remuneran la actividad de generación para soluciones centralizadas, lo siguiente:
“En relación con la derogatoria de los cargos máximos que remuneran la actividad de generación para soluciones centralizadas de la Resolución CREG 091 de 2007, modificada por la Resolución CREG 072 de 2013, que efectúa la Resolución CREG 101 026 de 2022.
De manera respetuosa, queremos llamar la atención de la Comisión en relación con la derogatoria expresa efectuada en el artículo 20 de la Resolución CREG 101 026 de 2022 “Por la cual se define la fórmula tarifaria general para establecer la remuneración de la prestación del servicio de energía eléctrica mediante Soluciones Individuales Solares Fotovoltaicas en Zonas No Interconectadas”, toda vez que consideramos que con dicha disposición pudo haberse comprometido la vigencia de los cargos máximos para soluciones centralizadas que actualmente hacen parte del numeral 24.4 del artículo 24 de la Resolución CREG 091 de 2007, modificada por la Resolución CREG 072 de 2013. La derogatoria en comento dispone:
ARTÍCULO 20. VIGENCIA Y DEROGATORIAS. La presente resolución rige a partir del mes siguiente al de la fecha de publicación en el Diario Oficial de la resolución por la cual se apruebe la tasa de descuento aplicable para determinar la remuneración de la prestación del servicio de energía eléctrica mediante Soluciones Individuales Solares Fotovoltaicas. Hasta tanto, continuarán rigiendo las disposiciones contenidas en el literal c del artículo 22, el numeral 24.4 del artículo 24, el literal c del artículo 25, y el artículo 41 de la Resolución CREG 091 de 2007, la Resolución CREG 072 de 2013 y la Resolución CREG 166 de 2020, las cuales quedarán derogadas una vez entre en vigencia la presente resolución. (Resaltados fuera de texto).
De acuerdo con lo expuesto, y con el numeral 24.4 de la Resolución CREG 091 de 2007, modificado por la Resolución CREG 072 de 2013, previamente trascrito en este documento; se considera que la derogatoria efectuada en el numeral 20 de la resolución CREG 101 026 de 2022 amerita ser aclarada en su alcance, pues debe limitarse a las previsiones allí contenidas en cuanto resulten aplicables a soluciones individuales y no así a las soluciones centralizadas.
Esta aclaración resulta imperiosa para el desarrollo de las funciones de nuestra entidad por cuanto en la forma que se encuentra planteada, una vez entre en vigencia la Resolución CREG 101-026 de 2022 para fotovoltaicos individuales, se estarían derogando así mismo los cargos para soluciones centralizadas dejándolas sin base tarifaria.” (Subrayado fuera de texto)
Mediante comunicación con radicado CREG S2023005238 del 30 de octubre de 2023, la Comisión dio respuesta a dicha solicitud señalando que “Teniendo en cuenta que quedarían derogadas las disposiciones relacionadas con la determinación del costo de inversión para soluciones individuales y centralizadas establecidas en el literal c del artículo 22 de la Resolución CREG 091 de 2007 y teniendo en cuenta las alternativas propuestas en su comunicación para dar tratamiento a la situación, le informamos que la Comisión analizará en detalle cuál pudiera ser procedente y, posteriormente, dará a conocer oportunamente sus decisiones a través de los canales acostumbrados”.
Mediante Circular CREG 099 de 2023 del 29 de diciembre de 2023, la Comisión publicó para conocimiento de los usuarios, prestadores de los servicios públicos domiciliarios de energía eléctrica, gas combustible y los servicios públicos de combustibles líquidos, de las instituciones relacionadas con estos sectores y demás interesados, la Agenda Regulatoria Indicativa 2024 aprobada en la Sesión CREG 1302 del día 28 de diciembre. En dicha agenda se incluyó dentro de los proyectos regulatorios a desarrollar durante la mencionada vigencia, para el sector de Energía Eléctrica, el siguiente: “Definir el cargo transitorio de generación de energía eléctrica para sistemas centralizados solares fotovoltaicos con y sin almacenamiento”.
Mediante comunicación con radicado IPSE-20241000012001 del 24 de mayo de 2024, el IPSE remitió a esta Comisión alcance al oficio con radicado IPSE-20231000020361 del 11 de septiembre de 2023, informando los proyectos de generación de energía en ZNI, a partir de tecnología híbrida (solar/diésel) y solar centralizada, en sus diferentes estados: finalizados, en ejecución, estructurados para promoción y para estructurar en la vigencia 2024, como se observa en las siguientes tablas:
| TIPO DE SOLUCIÓN | OBJETIVO DEL PROYECTO | DEPARTAMENTO | MUNICIPIO | USUARIOS BENEFICIADOS |
| HÍBRIDO (SOLAR – DIÉSEL) | MEJORAMIENTO DE INFRAESTRUCTURA | GUAVIARE | MIRAFLORES | 710 |
| HÍBRIDO (SOLAR – DIÉSEL) | MEJORAMIENTO DE INFRAESTRUCTURA | GUAVIARE | SAN JOSE DEL GUAVIARE - PUERTO CACHICAMO | 99 |
| HÍBRIDO (SOLAR – DIÉSEL) SISFV | AMPLIA COBERTURA | GUAINÍA | BARRANCOMINAS | 335 |
| HÍBRIDO (SOLAR – DIÉSEL) SISFV | AMPLIA COBERTURA | GUAINÍA | BARRANCOMINAS | 126 |
| HÍBRIDO (SOLAR – DIÉSEL) SISFV | AMPLIA COBERTURA | GUAINÍA | INÍRIDA | 79 |
| HÍBRIDO (SOLAR – DIÉSEL) | MEJORAMIENTO DE INFRAESTRUCTURA | VAUPES | TARAIRA | 170 |
| HÍBRIDO (SOLAR – DIÉSEL) | MEJORAMIENTO DE INFRAESTRUCTURA | GUAINÍA | BARRANCOMINAS | 405 |
| HÍBRIDO (SOLAR – DIÉSEL) | MEJORAMIENTO DE INFRAESTRUCTURA | VICHADA | CUMARIBO | 1350 |
| HÍBRIDO (SOLAR – DIÉSEL) | MEJORAMIENTO DE INFRAESTRUCTURA | VICHADA | PUERTO CARREÑO | 239 |
| HÍBRIDO (SOLAR – DIÉSEL) | MEJORAMIENTO DE INFRAESTRUCTURA | CHOCÓ | COQUÍ - NUQUÍ | 88 |
Tabla 1. Proyectos a entrar en operación primer semestre 2024
| TIPO DE SOLUCIÓN | OBJETIVO DEL PROYECTO | DEPARTAMENTO | MUNICIPIO | USUARIOS BENEFICIADOS |
| HÍBRIDO SOLAR DIÉSEL CENTRALIZADA | AMPLIACIÓN DE COBERTURA | VICHADA | CUMARIBO | 52 |
| HÍBRIDO SOLAR DIÉSEL | AMPLIACIÓN DE COBERTURA | GUAINÍA | INÍRIDA | 138 |
| HÍBRIDO SOLAR DIÉSEL CENTRALIZADA | AMPLIACIÓN DE COBERTURA | LA GUAJIRA | MANAURE | 55 |
| HÍBRIDO SOLAR DIÉSEL CENTRALIZADA | MEJORAMIENTO DE INFRAESTRUCTURA | CHOCÓ | NUQUÍ | En Definición |
| HÍBRIDO SOLAR DIÉSEL CENTRALIZADA | MEJORAMIENTO DE INFRAESTRUCTURA | CHOCÓ | LITORAL SAN JUAN | En Definición |
| HÍBRIDO SOLAR DIÉSEL CENTRALIZADA | MEJORAMIENTO DE INFRAESTRUCTURA | VICHADA | LA PRIMAVERA | 104 |
| HÍBRIDO SOLAR DIÉSEL CENTRALIZADA | MEJORAMIENTO DE INFRAESTRUCTURA | VICHADA | LA PRIMAVERA | 126 |
| HÍBRIDO SOLAR DIÉSEL CENTRALIZADA | MEJORAMIENTO DE INFRAESTRUCTURA | VICHADA | PUERTO CARREÑO | 56 |
| HÍBRIDO SOLAR DIÉSEL CENTRALIZADA | MEJORAMIENTO DE INFRAESTRUCTURA | VICHADA | PUERTO CARREÑO | 101 |
| HÍBRIDO SOLAR DIÉSEL | MEJORAMIENTO DE INFRAESTRUCTURA | CAQUETÁ | CARTAGENA DEL CHAIRÁ | 400 |
Tabla 2. Proyectos Estructurados para promoción y entrada en 2024.
| TIPO DE SOLUCIÓN | OBJETIVO DEL PROYECTO | DEPARTAMENTO | MUNICIPIO | USUARIOS BENEFICIADOS |
| HÍBRIDO SOLAR DIÉSEL | MEJORAMIENTO DE INFRAESTRUCTURA | VAUPÉS | CARURU | En Definición |
| HÍBRIDO SOLAR DIÉSEL | MEJORAMIENTO DE INFRAESTRUCTURA | BOLIVAR | CARTAGENA | En Definición |
| HÍBRIDO SOLAR DIÉSEL | MEJORAMIENTO DE INFRAESTRUCTURA | CHOCÓ | ACANDÍ | En Definición |
| HÍBRIDO SOLAR DIÉSEL | MEJORAMIENTO DE INFRAESTRUCTURA | CHOCÓ | URIBIA | 1500 |
| HÍBRIDO SOLAR DIÉSEL | MEJORAMIENTO DE INFRAESTRUCTURA | CHOCÓ | LITORAL SAN JUAN | 356 |
| HÍBRIDO SOLAR DIÉSEL CENTRALIZADA | AMPLIACIÓN DE COBERTURA | NARIÑO | BARBACOAS | 277 |
| HÍBRIDO SOLAR DIÉSEL | MEJORAMIENTO DE INFRAESTRUCTURA | CHOCÓ | UNGUÍA | En Definición |
| HÍBRIDO SOLAR DIÉSEL CENTRALIZADA | MEJORAMIENTO DE INFRAESTRUCTURA | CHOCÓ | NUQUÍ | En Definición |
Tabla 3. Proyectos para Estructuración en 2024.
Adicionalmente, en la precitada comunicación el IPSE señala que “(e)s importante resaltar que la sostenibilidad exitosa de estos proyectos depende de manera determinante de la expedición de la regulación en mención, la cual permitirá garantizar el cumplimiento de la finalidad perseguida con su implementación, es decir, la debida y continua prestación del servicio público domiciliario de energía eléctrica a las comunidades”.
Teniendo en cuenta que el efecto de la derogatoria expresa señalada en la Resolución CREG 101 026 de 2022 implica la salida del ordenamiento jurídico del cargo regulado para sistemas centralizados con acumulación desde 0.3kW hasta 10kW y para sistemas centralizados sin acumulación desde 10kW hasta 1,000kW, se evidencia la existencia de un vacío normativo que debe ser resuelto.
Igualmente debe indicarse que, de acuerdo con la metodología vigente, no se cuenta con un cargo regulado para sistemas centralizados con mayores potencias y/o acumulación como los señalados por el IPSE en su comunicación. Sin embargo, debe resaltarse que de acuerdo con la regulación vigente, existen distintos procedimientos para la definición de las tarifas aplicables en ZNI.
Considerando el trámite ordinario previsto en los artículos 22 y 24 de la Resolución CREG 091 de 2007, la Comisión puede definir costos particulares de tecnologías de generación no previstas en dicha norma mediante una resolución de carácter particular, en cuyo caso se sigue el procedimiento definido en la Ley 142 de 1994 y el Código de Procedimiento Administrativo y de lo Contencioso Administrativo.
Para la adopción de la decisión que pone fin a la actuación administrativa, la Comisión cuenta con un plazo legal de cinco (5) meses, contados a partir del día siguiente en el que se haya hecho la primera citación o publicación del auto de inicio, de conformidad con lo previsto en el artículo 111 de la Ley 142 de 1994.
Dentro de este trámite ordinario se efectúan las publicaciones de que trata el artículo 37 del Código de Procedimiento Administrativo y de lo Contencioso Administrativo, con el fin de que terceros interesados puedan hacerse parte en la actuación administrativa, y se decreta, de requerirse, la práctica de pruebas según lo señalado en los artículos 108 y 109 de la Ley 142 de 1994 y el artículo 40 del Código de Procedimiento Administrativo y de lo Contencioso Administrativo. Finalmente, una vez adoptada la decisión, contra la misma procede el recurso de reposición, el cual debe resolverse en el término de dos (2) meses.
A la fecha, esta Comisión ha recibido de parte de prestadores del servicio, solicitudes tarifarias para once (11) mercados relevantes en las ZNI donde se están atendiendo usuarios con soluciones centralizadas solares fotovoltaicas con y sin almacenamiento. Para dichas solicitudes tarifarias, el trámite deberá seguir el procedimiento administrativo antes descrito y su decisión, al tratarse de un acto de carácter particular, solo será aplicable para los mercados para los que haya sido solicitado.
Actualmente, los comercializadores en los mercados en los que se lleva a cabo la generación de energía eléctrica con sistemas centralizados solares fotovoltaicos con y sin almacenamiento en ZNI, no pueden trasladar a los usuarios los costos de prestación del servicio hasta tanto quede aprobado por parte de la Comisión el cargo tarifario, lo cual podría conllevar a situaciones que comprometan su suficiencia financiera y a una interrupción del servicio mientras se tramita la solicitud de cargos.
De otro lado, para la definición de tarifas, la Comisión puede adoptar metodologías o fórmulas tarifarias, para lo cual debe cumplir el trámite previsto en el artículo 127 de la Ley 142 de 1994, el Decreto 2696 de 2004 y la Resolución CREG 105 003 de 2023, que señalan: i) expedición de bases sobre las cuales se efectuará el estudio para determinar las fórmulas; ii) hacer público en la página web de la Comisión el texto del proyecto de metodología y de fórmula con sus estudios respectivos tres (3) meses antes de que inicie el periodo de vigencia; iii) organización de audiencias públicas; iv) elaboración de documento con explicación en lenguaje sencillo sobre el alcance de la propuesta de fórmulas tarifarias; v) documento con memorias escritas de las consultas públicas; y vi) aprobación de resolución definitiva y publicación en Diario Oficial.
En cumplimiento de lo anterior, la Comisión expidió la Resolución CREG 004 de 2014, “Por la cual se ordena hacer público un proyecto de resolución 'Por la cual se establece la fórmula tarifaria y las metodologías generales para remunerar las actividades de generación, distribución y comercialización del servicio de energía eléctrica en las zonas no interconectadas'”. En esta resolución se puso a consideración de los agentes y demás interesados una propuesta de fórmula tarifaria y metodologías generales para remunerar las actividades de generación, distribución y comercialización del servicio de energía eléctrica en las ZNI. Sin embargo, dicho proyecto regulatorio ha sido objeto de múltiples revisiones en consideración a los distintos lineamientos de política sobre ampliación de cobertura que se han expedido y los estudios adelantados desde que se publicó la propuesta por esta Comisión. En la Agenda Regulatoria Indicativa del 2024, publicada mediante la Circular CREG 099 de 2023, se previó publicar un proyecto de resolución en consulta en el presente año.
En conclusión, esta Comisión ya está avanzando en los trámites necesarios para la adopción de una metodología tarifaria general, para un nuevo período de cinco (5) años. No obstante, los plazos previstos para la adopción de las fórmulas tarifarias, indicados en el artículo 11 del Decreto 2696 de 2004, en particular, la exigencia de hacer público el proyecto tres (3) meses antes de la fecha prevista para que inicie el período de vigencia de las fórmulas tarifarias, y de analizar todas las observaciones, sugerencias y propuestas alternativas que se reciban, no permiten a la Comisión contar con una respuesta inmediata que atienda la necesidad planteada.
Por lo expuesto, la expedición de una metodología y fórmulas generales para un nuevo período tarifario y la definición de cargos particulares bajo los procedimientos antes indicados, no son una solución adecuada para conjurar de manera inmediata el riesgo de interrupción del servicio y la necesidad de ampliación de la cobertura, siendo imprescindible la adopción de un cargo transitorio de generación de energía eléctrica para sistemas centralizados solares fotovoltaicos con y sin almacenamiento, considerando las particularidades de las regiones en las que se preste el servicio, el número y dispersión de los usuarios a ser atendidos, y la necesidad de garantizar la disponibilidad del servicio independientemente del consumo.
El pasado 6 de junio del 2024, la Comisión sometió a consulta el Proyecto de Resolución CREG 701 050 “Por la cual se define la fórmula tarifaria general para establecer la remuneración de la prestación del servicio de energía eléctrica mediante Soluciones Individuales Solares Fotovoltaicas en Zonas No Interconectadas”.
Atendiendo la consulta, las siguientes empresas hicieron comentarios:
| NOMBRE | RADICADO |
| ASOCIACIÓN DE ENTIDADES DE ENERGÍA DE LA ZONA NO INTERCONECTADA - ASEZONIC | E2024009105 |
| HELIOS ENERGÍA S.A. E.S.P. | E2024009389 |
En el documento CREG 901 151 del 31 de octubre de 2024 se encuentra el análisis y respuesta a cada uno de los comentarios recibidos, los cuales sustentan las decisiones que aquí se adoptan.
Conforme al Decreto 1074 de 2015 y la Resolución SIC 44649 de 2010, la CREG dio respuesta al cuestionario adoptado por la Superintendencia de Industria y Comercio (SIC) para la evaluación de la incidencia sobre la libre competencia del presente acto administrativo. Como resultado del cuestionario, se encontró que el contenido del presente acto administrativo puede tener incidencia en la libre competencia en los términos del artículo 7 de la Ley 1340 de 2009, por lo que la CREG en su sesión 1334 del 29 de agosto de 2024, acordó remitir para concepto de la SIC la presente resolución.
Mediante radicado CREG S2024005913, se remitió para concepto de la SIC el proyecto de resolución “Por la cual se define el cargo transitorio de generación de energía eléctrica para Sistemas Centralizados Solares Fotovoltaicos con y sin almacenamiento en Zonas No Interconectadas”.
Mediante comunicación 24-369476-5-0 del 18 de octubre de 2024 con radicado CREG E2024016216, la SIC remitió las recomendaciones al proyecto de resolución antes mencionado. En dicha comunicación, la SIC realizó las siguientes recomendaciones:
“- En relación con los artículos 5, 6, 8 y 9 del proyecto: Seleccionar un factor de indexación que logre capturar la variación en los factores que se emplean con mayor intensidad para la prestación del servicio de energía eléctrica a través sistemas centralizados solares fotovoltaicos en Zonas No Interconectadas (ZNI).
- En relación con la metodología seleccionada para la identificación del número de horas de mantenimiento requeridas por los sistemas de generación y los sistemas de almacenamiento, que tiene incidencia en el cálculo de los cargos de que tratan los artículos 4, 5, 6, 7, 8 y 9 del proyecto:
(i) Evaluar la necesidad y pertinencia de seleccionar muestras representativas de la población objetivo en el marco de la identificación de las horas de mantenimiento requeridas por las soluciones de generación y almacenamiento de energía, para evitar incurrir en un sesgo de selección.
(ii) Sustentar apropiadamente la naturaleza lineal o no lineal de la relación existente entre la variable dependiente y las variables explicativas de las ecuaciones de regresión especificadas para el cálculo de las horas de mantenimiento, con fundamento en la realización de pruebas estadísticas.
(iii) Evaluar la necesidad y pertinencia de incorporar variables explicativas adicionales que capturen los efectos que tienen las condiciones climáticas (humedad, temperatura, salinidad, radiación UV, etc.), en el ámbito de la definición de las ecuaciones de regresión empleadas para el cálculo del número de horas de mantenimiento requeridas.
- En relación con los artículos 5 y 8 del proyecto: Sustentar de forma suficiente por qué no se estableció un proceso de optimización entre Cabeceras Municipales de difícil acceso y los puntos de instalación en los distintos corregimientos cuando los puntos de instalación sean más cercanos a otra cabecera municipal, con relación al parámetro
.
- En relación con los artículos 5, 6, 8 y 9 del proyecto: Establecer una periodicidad mínima para llevar a cabo la actualización de todos los parámetros de cálculo del modelo de costos que sirven como base del proyecto.”
Los comentarios y recomendaciones recibidas sobre el acto administrativo por parte de la SIC fueron analizados en sesión CREG 1353 del 31 de octubre de 2024. En relación con lo anterior, esta Comisión se permite indicar lo siguiente:
Respecto a la recomendación de seleccionar un factor de indexación que logre capturar la variación en los factores que se emplean con mayor intensidad para la prestación del servicio de energía eléctrica a través sistemas centralizados solares fotovoltaicos en ZNI, el 16 de julio del presente año la Comisión publicó para comentarios el Proyecto de Resolución CREG 701 055 del 2024 “por el cual se definen los indexadores aplicables en las metodologías tarifarias de energía eléctrica que expide la Comisión de Regulación de Energía y Gas”. Dicha resolución será aplicable con posterioridad a su entrada en vigencia.
De acuerdo con lo anterior, para la actualización de los costos en la metodología transitoria se mantiene lo consultado, con relación al Índice de Precios al Productor (IPP) de oferta interna publicado por el DANE, hasta tanto la Comisión establezca en resolución definitiva el indexador para metodologías tarifarias de energía eléctrica.
Respecto a la metodología seleccionada para la identificación del número de horas de mantenimiento requeridas por los sistemas de generación y los sistemas de almacenamiento, para esta Comisión no resulta clara la pertinencia de contar con una muestra más grande ya que, aunque la información primaria es provista por las empresas que solicitaron los cargos, el análisis y las estimaciones que se realizan, parten de las fichas técnicas de los fabricantes de los equipos relacionados por los peticionarios y lo que se encuentra en la literatura sobre esta materia respecto de las actividades sugeridas para realizar los mantenimientos. Lo anterior se complementa con los tiempos de ejecución de actividades de mantenimiento que son estándares en el sector.
Con relación a la omisión de variables generales, la Comisión en el ejercicio realizado no desconoce el efecto de las condiciones ambientales de algunas zonas. Por tal motivo, en la lista de actividades de mantenimiento propuestas se incluyeron, por ejemplo, las que tienen efecto directo en la corrosión del sistema, el deterioro por viento y la temperatura de operación, entre otras. Para el caso de la metodología transitoria, se analizó un único escenario que sirvió de referencia para estimar las horas de mantenimiento con relación al tamaño de cada sistema.
En cuanto a la definición de una fórmula tarifaria que considere los costos de operación relacionados con las condiciones climáticas particulares en cada zona de instalación de los sistemas de generación, se necesitaría el desarrollo de estudios adicionales a los que tiene disponibles la Comisión, lo que reduciría la oportunidad con la que se requiere esta intervención. Sin perjuicio de lo anterior, se tiene previsto, en la expedición del nuevo marco tarifario de energía eléctrica en ZNI para usuarios atendidos mediante red, complementar los estudios con lo que se plantea en este punto.
Respecto al factor de costos de transporte, particularmente para los casos en que el punto de instalación del sistema sea más cercano a una cabecera municipal diferente a la de su propio municipio, el modelo de costos de transporte entregado a la CREG, en el marco de la “Consultoría para el desarrollo de un modelo de cálculo para la determinación del costo eficiente de la prestación del servicio de energía eléctrica a través de la atención a usuarios mediante soluciones aisladas centralizadas o individuales”, incluye una matriz de costos de transporte según los criterios que se describen en los documentos que acompañan el estudio y que fueron puestos en conocimiento del público por parte de esta Comisión mediante Circular CREG 040 de 2021.
Esta matriz de costos supone que el transporte a centros poblados siempre se hace desde la cabecera municipal. Sin embargo, no necesariamente sucede que cuando el punto de instalación de un sistema en una población es más cercano a la cabecera municipal de otro municipio, existan vías que conecten estas dos poblaciones, casos en los cuales todavía seguiría siendo la vía que conecta con su cabecera municipal correspondiente, la vía natural de acceso a la población.
Así mismo, en la construcción de la matriz de transporte, particularmente para la cadena de transporte, se utilizó información de vías de tránsito terrestre del sistema de información geográfico del Instituto Geográfico Agustín Codazzi (IGAC) y del sistema de información geográfico del Instituto Nacional de Vías (INVIAS), así como información del Plan Maestro Fluvial de Colombia 2015. No obstante, durante la ejecución de la consultoría, las restricciones impuestas por la pandemia limitaron su alcance al revisar e incorporar en la modelación el tipo de casos descritos en la recomendación planteada por la SIC. Sin embargo, la Comisión adelanta una revisión de los modelos de costos de transporte, con el objetivo de que este tipo de casos sean tenidos en cuenta en la expedición del nuevo marco tarifario de energía eléctrica en ZNI para usuarios atendidos mediante red.
Respecto a la actualización de los parámetros de cálculo del modelo de costos que sirven como base del proyecto, la Comisión considera que la realización de un estudio, enfocado en revisar los costos con los que ya se cuenta, reduce la oportunidad con que se requiere esta intervención. Sin perjuicio de lo anterior, se tiene previsto para la expedición del nuevo marco tarifario de energía eléctrica en ZNI, para usuarios atendidos mediante red, complementar los estudios existentes, así como dejar previsto desde la regulación la posibilidad de que los valores, a partir de los cuales se construya el costo, se actualicen en la medida en que la Comisión lo considere pertinente, tal como lo prevé el artículo 17 de la Resolución CREG 101 026 de 2022 para el caso del servicio de energía eléctrica mediante SISFV.
Teniendo en cuenta todo lo expuesto, se hace necesario definir un mecanismo con el fin de determinar cargos transitorios de generación de energía eléctrica para sistemas centralizados solares fotovoltaicos, con y sin almacenamiento, en ZNI, que les permita a las empresas prestadoras del servicio recuperar los costos de prestación del servicio cuando la generación se hace con este tipo de tecnologías, asegurando que no se vea afectada la continuidad en el suministro de energía.
La Comisión de Regulación de Energía y Gas, en su sesión No. 1353 del 31 de octubre de 2024, acordó expedir la presente resolución.
RESUELVE:
ARTÍCULO 1. OBJETO. Definir las fórmulas para determinar los cargos transitorios de generación de energía eléctrica para recursos energéticos solares fotovoltaicos con alimentación directa a red y de generación de energía eléctrica para recursos energéticos de acumulación solar fotovoltaica.
ARTÍCULO 2. ÁMBITO DE APLICACIÓN. Esta resolución se aplica a todas las personas que, estando organizadas en alguna de las formas dispuestas por el Título I de la Ley 142 de 1994, desarrollan las actividades relacionadas con el suministro de energía eléctrica en Zonas No Interconectadas en mercados relevantes de comercialización que, a la fecha de entrada en vigencia de esta resolución, no cuenten con cargos vigentes de generación de energía eléctrica para recursos energéticos solares fotovoltaicos con alimentación directa a red o cargos de generación de energía eléctrica para recursos energéticos de acumulación solar fotovoltaica.
ARTÍCULO 3. DEFINICIONES. Para la interpretación y aplicación de esta resolución se tendrán en cuenta, además de las definiciones contenidas en las Leyes 142 y 143 de 1994, y en las resoluciones vigentes de la CREG, las siguientes:
Fecha Base: Corresponderá al mes de diciembre de 2006.
Mercado relevante de comercialización: Conjunto de usuarios conectados a un mismo sistema de distribución.
Recursos energéticos de acumulación solar fotovoltaica: Sistema compuesto por uno o más dispositivos que operan bajo el principio electroquímico y que permiten almacenar energía eléctrica generada por recursos energéticos solares fotovoltaicos, con el fin de ser entregada en el momento que se requiera atender la demanda, ante la baja disponibilidad o inexistencia del recurso solar.
Recursos energéticos solares fotovoltaicos con alimentación directa a red: Sistema compuesto principalmente por un conjunto de dispositivos que transforman la energía emitida por el sol en energía eléctrica a través del efecto fotoeléctrico. Esta energía eléctrica generada, la cual fluye en forma de corriente directa, es convertida en corriente alterna por medio de inversores y entregada directamente a la red con el fin de atender la demanda.
ARTÍCULO 4. CARGO MÁXIMO TRANSITORIO DE GENERACIÓN DE ENERGÍA ELÉCTRICA PARA RECURSOS ENERGÉTICOS SOLARES FOTOVOLTAICOS CON ALIMENTACIÓN DIRECTA A RED, GM,SFV. El cargo máximo transitorio de generación de energía eléctrica para recursos energéticos solares fotovoltaicos con alimentación directa a red, expresado en pesos por kilovatio hora, $/kWh, se determinará mediante la siguiente fórmula:
![]()
En donde:
| : | Cargo máximo transitorio de generación de energía eléctrica para recursos energéticos solares fotovoltaicos con alimentación directa a red, del mercado relevante de comercialización k, expresado en pesos por kilovatio hora, $/kWh. | |
| : | Componente de remuneración de los costos de inversión de generación de energía eléctrica para recursos energéticos solares fotovoltaicos con alimentación directa a red, del mercado relevante de comercialización k, expresado en pesos por kilovatio hora, $/kWh. | |
| : | Componente de remuneración de los costos de administración, operación y mantenimiento de generación de energía eléctrica para recursos energéticos solares fotovoltaicos con alimentación directa a red, del mercado relevante de comercialización k, expresado en pesos por kilovatio hora, $/kWh. | |
| : | Mercado relevante de comercialización para el cual se aplica la fórmula. | |
| : | Mes para el que se calcula y aplica el costo unitario de prestación del servicio. |
ARTÍCULO 5. COMPONENTE DE REMUNERACIÓN DE LOS COSTOS DE INVERSIÓN DE GENERACIÓN DE ENERGÍA ELÉCTRICA PARA RECURSOS ENERGÉTICOS SOLARES FOTOVOLTAICOS CON ALIMENTACIÓN DIRECTA A RED, CISFV,k,m. El componente de remuneración de los costos de inversión de generación de energía eléctrica para recursos energéticos solares fotovoltaicos con alimentación directa a red se determinará mediante la siguiente fórmula:
![]()
En donde:
| : | Valor máximo de inversión de generación de energía eléctrica para recursos energéticos solares fotovoltaicos con alimentación directa a red, expresado en pesos por kilovatio hora al año, $/kWh/año, en pesos de la fecha base. El valor aplicable será de $2,037.75 / kWh / año. | |
| : | Factor de disponibilidad de recurso solar que relaciona el valor máximo de inversión y costos de administración, operación y mantenimiento con la disponibilidad del recurso solar del mercado relevante de comercialización k. El valor aplicable será el que corresponda al mercado relevante de comercialización según el modelo de cálculo anexo. | |
| : | Factor del componente del costo de transporte dentro de la remuneración de los costos de inversión para el mercado de comercialización k. El valor aplicable será el que corresponda al mercado relevante de comercialización según el modelo de cálculo anexo. | |
| : | Tasa de descuento efectiva anual, para determinar el componente de remuneración de los costos de inversión de la generación de energía eléctrica. El valor aplicable será de 15.22%. | |
| : | Vida útil regulatoria para determinar la componente de remuneración de los costos de generación de energía eléctrica para recursos energéticos solares fotovoltaicos con alimentación directa a red. El valor aplicable será de 25. | |
| : | Será el que defina la CREG para el cálculo de tarifas de energía eléctrica en resolución aparte. Hasta tanto, deberá utilizarse el Índice de precios al productor, Oferta Interna, del mes m-1. | |
| : | Será el que defina la CREG para el cálculo de tarifas de energía eléctrica en resolución aparte. Hasta tanto, deberá utilizarse Índice de precios al productor, Oferta Interna, de la fecha base. | |
| : | Mercado relevante de comercialización para el cual se aplica la fórmula. | |
| : | Mes para el que se calcula y aplica el costo unitario de prestación del servicio. |
ARTÍCULO 6. COMPONENTE DE REMUNERACIÓN DE LOS COSTOS DE ADMINISTRACIÓN, OPERACIÓN Y MANTENIMIENTO DE GENERACIÓN DE ENERGÍA ELÉCTRICA PARA RECURSOS ENERGÉTICOS SOLARES FOTOVOLTAICOS CON ALIMENTACIÓN DIRECTA A RED, CAOMSFV,k,m. El componente de remuneración de los costos de administración operación y mantenimiento de generación de energía eléctrica para recursos energéticos solares fotovoltaicos con alimentación directa a red se determinará mediante la siguiente fórmula:
![]()
En donde:
| : | Costos de administración, operación y mantenimiento de generación de energía eléctrica para recursos energéticos solares fotovoltaicos con alimentación directa a red, expresado en pesos por kilovatio hora, $/kWh, en pesos de la fecha base. El valor aplicable será de $67.53 / kWh. | |
| : | Factor de disponibilidad de recurso solar que relaciona el valor máximo de inversión y costos de administración, operación y mantenimiento con la disponibilidad del recurso solar del mercado relevante de comercialización k. El valor aplicable será el que corresponda al mercado relevante de comercialización según el modelo de cálculo anexo. | |
| : | Será el que defina la CREG para el cálculo de tarifas de energía eléctrica en resolución aparte. Hasta tanto, deberá utilizarse el Índice de precios al productor, Oferta Interna, del mes m-1. | |
| : | Será el que defina la CREG para el cálculo de tarifas de energía eléctrica en resolución aparte. Hasta tanto, deberá utilizarse Índice de precios al productor, Oferta Interna, de la fecha base. | |
| : | Mercado relevante de comercialización para el cual se aplica la fórmula. | |
| : | Mes para el que se calcula y aplica el costo unitario de prestación del servicio. |
ARTÍCULO 7. CARGO MÁXIMO TRANSITORIO DE GENERACIÓN DE ENERGÍA ELÉCTRICA PARA RECURSOS ENERGÉTICOS DE ACUMULACIÓN SOLAR FOTOVOLTAICA, Gm,A. El cargo máximo transitorio de generación de energía eléctrica para recursos energéticos de acumulación solar fotovoltaica, expresado en pesos por kilovatio hora, $/kWh, se determinará mediante la siguiente fórmula:
![]()
En donde:
| : | Cargo máximo transitorio de generación de energía eléctrica para recursos energéticos de acumulación solar fotovoltaica, del mercado relevante de comercialización k, expresado en pesos por kilovatio hora, $/kWh. | |
| : | Componente de remuneración de los costos de inversión de la generación de energía eléctrica para recursos energéticos de acumulación solar fotovoltaica, del mercado relevante de comercialización k, expresado en pesos por kilovatio hora, $/kWh. | |
| : | Componente de remuneración de los costos de administración, operación y mantenimiento de energía eléctrica para recursos energéticos de acumulación solar fotovoltaica, del mercado relevante de comercialización k, expresado en pesos por kilovatio hora, $/kWh. | |
| : | Mercado relevante de comercialización para el cual se aplica la fórmula. | |
| : | Mes para el que se calcula y aplica el costo unitario de prestación del servicio. |
ARTÍCULO 8. COMPONENTE DE REMUNERACIÓN DE LOS COSTOS DE INVERSIÓN DE LA GENERACIÓN DE ENERGÍA ELÉCTRICA PARA RECURSOS ENERGÉTICOS DE ACUMULACIÓN SOLAR FOTOVOLTAICA, CIA,k,m. El componente de remuneración de los costos de inversión de la generación de energía eléctrica para recursos energéticos de acumulación solar fotovoltaica se determinará mediante la siguiente fórmula:
![]()
En donde:
| : | Valor máximo de inversión de la generación de energía eléctrica para recursos energéticos de acumulación solar fotovoltaica, expresado en pesos por kilovatio hora al año, $/kWh-año, en pesos de la fecha base. El valor aplicable será de $2,875.39 / kWh / año. | |
| : | Factor del componente del costo de transporte dentro de la remuneración de los costos de inversión para el mercado de comercialización k. El valor aplicable será el que corresponda al mercado relevante de comercialización según el modelo de cálculo anexo. | |
| : | Tasa de descuento efectiva anual, para determinar el componente de remuneración de los costos de inversión de la generación de energía eléctrica. El valor aplicable será de 15.22%. | |
| : | Vida útil regulatoria para determinar la componente de remuneración de los costos de inversión de la generación de energía eléctrica para recursos energéticos de acumulación solar fotovoltaica. El valor aplicable será de 10. | |
| : | Componente de remuneración de los costos de inversión de generación de energía eléctrica para recursos energéticos solares fotovoltaicos con alimentación directa a red, del mercado relevante de comercialización k, expresado en pesos por kilovatio hora, $/kWh, de acuerdo con lo previsto en el artículo 5 de esta resolución. | |
| : | Factor de eficiencia del proceso de carga y descarga del sistema de almacenamiento. El valor aplicable será de 0.922. | |
| : | Será el que defina la CREG para el cálculo de tarifas de energía eléctrica en resolución aparte. Hasta tanto, deberá utilizarse el Índice de precios al productor, Oferta Interna, del mes m-1. | |
| : | Será el que defina la CREG para el cálculo de tarifas de energía eléctrica en resolución aparte. Hasta tanto, deberá utilizarse Índice de precios al productor, Oferta Interna, de la fecha base. | |
| : | Mercado relevante de comercialización para el cual se aplica la fórmula. | |
| : | Mes para el que se calcula y aplica el costo unitario de prestación del servicio. |
ARTÍCULO 9. COMPONENTE DE REMUNERACIÓN DE LOS COSTOS DE ADMINISTRACIÓN OPERACIÓN Y MANTENIMIENTO DE ENERGÍA ELÉCTRICA PARA RECURSOS ENERGÉTICOS DE ACUMULACIÓN SOLAR FOTOVOLTAICA, CAOM,Akm. El componente de remuneración de los costos de administración operación y mantenimiento de energía eléctrica para recursos energéticos de acumulación solar fotovoltaica se determinará mediante la siguiente fórmula:
![]()
En donde:
| : | Costos de administración, operación y mantenimiento de energía eléctrica para recursos energéticos de acumulación solar fotovoltaica, expresado en pesos por kilovatio hora, $/kWh, en pesos de la fecha base. El valor aplicable será de $54.21 / kWh. | |
| : | Componente de remuneración de los costos de administración, operación y mantenimiento de generación de energía eléctrica para recursos energéticos solares fotovoltaicos con alimentación directa a red, del mercado relevante de comercialización k, expresado en pesos por kilovatio hora, $/kWh, de acuerdo con lo previsto en el artículo 6 de esta resolución. | |
| : | Factor de eficiencia del proceso de carga y descarga del sistema de almacenamiento. El valor aplicable será de 0.922. | |
| : | Será el que defina la CREG para el cálculo de tarifas de energía eléctrica en resolución aparte. Hasta tanto, deberá utilizarse el Índice de precios al productor, Oferta Interna, del mes m-1. | |
| : | Será el que defina la CREG para el cálculo de tarifas de energía eléctrica en resolución aparte. Hasta tanto, deberá utilizarse Índice de precios al productor, Oferta Interna, de la fecha base. | |
| : | Mercado relevante de comercialización para el cual se aplica la fórmula. | |
| : | Mes para el que se calcula y aplica el costo unitario de prestación del servicio. |
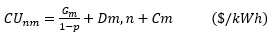
ARTÍCULO 10. FÓRMULA PARA DETERMINAR EL CARGO MÁXIMO DE GENERACIÓN, Gk,m. El cargo máximo de generación, del que trata el artículo 40 de la Resolución CREG 091 de 2007, expresado pesos por kilovatio hora, $/kWh, se determinará mediante la siguiente fórmula:

En donde:
| : | Cargo máximo de generación del mercado relevante de comercialización k, aplicable en el mes m de prestación del servicio, expresado en pesos por kilovatio hora ($/kWh). | |
| : | Ponderador del costo del cargo de generación del recurso energético j, del mercado relevante de comercialización k, aplicable al cargo de generación del mes m. | |
| : | Cargo máximo de generación para energía suministrada a partir del recurso energético j, del mercado relevante de comercialización k, aplicable en el mes m, expresado en pesos por kilovatio hora, $/kWh. Los cargos máximos de generación de los distintos recursos energéticos j son: | |
| : | Mercado relevante de comercialización para el cual se aplica la fórmula. | |
| : | Mes para el que se calcula y aplica el costo unitario de prestación del servicio. |
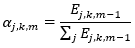
El valor de cada uno de los
se determinará aplicando la siguiente fórmula:
![]()
En donde:
| : | Energía total entregada al sistema de distribución por el recurso energético j del parque de generación conectado a dicho sistema de distribución, del mercado relevante de comercialización k, durante los últimos doce meses contados a partir del mes m-1.A partir de la entrada en vigencia de esta resolución y hasta contar con un histórico de 12 meses, se tomará la información acumulada de los meses que hayan transcurrido. |
PARÁGRAFO 1. El cargo de generación
al que se refiere el presente artículo es equivalente al cargo máximo de generación,
, del que trata el artículo 40 de la Resolución CREG 091 de 2007.
PARÁGRAFO 2. La aplicación de la fórmula para determinar los valores de
, prevista en este artículo, se hará siempre que se cumpla la siguiente condición:
![]()
En caso contrario, los valores de
y
se determinarán aplicando las siguientes fórmulas:


PARÁGRAFO 3. No deberán incluirse en el cálculo de las tarifas aquellas inversiones a las que se hace referencia en el numeral 87.9, del artículo 87 de la Ley 142 de 1994, modificado por el artículo 99 de la Ley 1450 de 2011 o aquella norma que la modifique o sustituya.
ARTÍCULO 11. PUBLICIDAD. Mensualmente y antes de su aplicación, el prestador del servicio hará públicas las tarifas que facturará a los usuarios en forma simple y comprensible, a través de un medio de comunicación de amplia divulgación en los municipios donde preste el servicio, o en caso de no contarse con ello, a través de un medio de comunicación idóneo y que garantice que cualquier usuario puede tener acceso efectivo y oportuno a dicha información. Dicha publicación incluirá los valores de cada componente del costo de prestación del servicio. Los nuevos valores deberán ser comunicados por el prestador a la Superintendencia de Servicios Públicos Domiciliarios y a la Comisión de Regulación de Energía y Gas.
ARTÍCULO 12. AUTORIZACIÓN PARA FIJAR TARIFAS. Dentro del régimen de libertad regulada, previsto en la Ley 142 de 1994, los prestadores del servicio de energía eléctrica a los que se refiere la presente resolución podrán aplicar la fórmula tarifaria correspondiente, a partir del mes siguiente a la publicación tarifaria de que trata el artículo 11 de la presente resolución.
ARTÍCULO 13. TRÁMITE DE SOLICITUDES DE CARGOS Y ACTUACIONES ADMINISTRATIVAS EN CURSO. Quienes con anterioridad a la entrada en vigencia de la presente resolución, contaban con actuaciones administrativas en curso, con el objeto de definir cargos de generación para las tecnologías de las que trata esta resolución, o hubieran presentado una solicitud con el mismo objeto, podrán desistir del trámite correspondiente, comunicándoselo a esta Comisión, y aplicar las disposiciones de esta resolución.
ARTÍCULO 14. VIGENCIA. Esta resolución rige a partir de su publicación en el Diario Oficial y hasta la entrada en vigencia de la resolución que modifique o sustituya a la Resolución CREG 091 de 2007, en la cual se establezcan la fórmula tarifaria y las metodologías generales para remunerar las actividades de generación, distribución y comercialización del servicio de energía eléctrica en las Zonas No Interconectadas para usuarios atendidos mediante redes.
NOTIFÍQUESE, PUBLÍQUESE Y CÚMPLASE
Dada en Bogotá, D.C. a 31 días de octubre de 2024.
JAVIER CAMPILLO JIMÉNEZ
Viceministro de Minas y Energía Presidente
ANTONIO JIMÉNEZ RIVERA
Director Ejecutivo