RESOLUCIÓN 101 036 DE 2024
(febrero 7)
<Fuente: Archivo interno entidad emisora>
Diario Oficial No. 52.663 de 8 de febrero de 2024
COMISIÓN DE REGULACIÓN DE ENERGÍA Y GAS - CREG
Por la cual se dictan disposiciones transitorias para las compras de energía con destino al mercado regulado y su correspondiente traslado en el componente de costo de energía (G) del costo unitario de prestación del servicio (CU).
LA COMISIÓN DE REGULACIÓN DE ENERGÍA Y GAS
En ejercicio de sus atribuciones constitucionales y legales, en especial las conferidas por las leyes 142 y 143 de 1994, y en desarrollo de los Decretos 1524 y 2253 de 1994 y 1260 de 2013.
CONSIDERANDO QUE:
El artículo 334 de la Constitución Política establece que corresponde al Estado la dirección general de la economía, para lo cual intervendrá, entre otros asuntos, en los servicios públicos y privados, buscando el mejoramiento de la calidad de vida de los habitantes, la distribución equitativa de las oportunidades y los beneficios del desarrollo, y la preservación de un ambiente sano.
El artículo 365 de la misma Carta Política establece que los servicios públicos son inherentes a la finalidad social del Estado y es deber de este asegurar su prestación eficiente a todos los habitantes del territorio nacional.
Según lo dispuesto en el artículo 3 de la Ley 142 de 1994, dentro de los fines que persigue la intervención del Estado en la prestación de los servicios públicos domiciliarios se encuentran la prestación eficiente, continua e ininterrumpida, la libre competencia, y la no utilización abusiva de la posición dominante.
De conformidad con el artículo 20 de la Ley 143 de 1994, la función de la regulación tiene como objetivo principal asegurar una adecuada prestación del servicio, mediante el aprovechamiento eficiente de los diferentes recursos energéticos en beneficio del usuario, en términos de calidad, oportunidad y costo del servicio.
Para el logro del mencionado objetivo, la Ley 143 de 1994 le asignó a la Comisión de Regulación de Energía y Gas, CREG, la función de promover la competencia, crear y preservar las condiciones que la hagan posible, así como crear las condiciones para asegurar la disponibilidad de una oferta energética eficiente capaz de abastecer la demanda bajo criterios sociales, económicos, ambientales y de viabilidad financiera.
De igual forma, el literal c) del artículo 74.1 de la Ley 142 de 1994 atribuyó a la Comisión de Regulación de Energía y Gas (CREG) la facultad especial de expedir el Reglamento de Operación para regular el funcionamiento del Mercado Mayorista de Energía. Conforme a esta función y a las definiciones de Reglamento de Operación y de Mercado Mayorista contenidas en el artículo 11 de la Ley 143 de 1994, le corresponde a la CREG definir el conjunto de principios, criterios y procedimientos obligatorios que deben cumplir los generadores y comercializadores para realizar sus operaciones económicas en este Mercado.
Esta función comprende la regulación de todos los aspectos relativos al funcionamiento del Mercado Mayorista, incluidos los relacionados con su diseño, organización, los contratos que allí se celebran y todos los demás que sean necesarios para que se logren los fines atribuidos por la Constitución y la Ley al mercado.
El artículo 168 de la Ley 142 de 1994, establece la obligatoriedad del Reglamento de Operación, por lo que las empresas que hagan parte del Sistema Interconectado Nacional (SIN) deberán cumplir con este y con los acuerdos adoptados para la operación del sistema.
El artículo 1 de la Ley 143 de 1994, establece que la generación, interconexión, transmisión, distribución y comercialización de electricidad, son actividades del sector eléctrico, por lo que le corresponde a la CREG regularlas para asegurar la disponibilidad de una oferta energética eficiente.
El artículo 23 de la Ley 143 de 1994 define dentro de las funciones de la CREG la de establecer condiciones para una oferta energética eficiente, capaz de abastecer la demanda bajo criterios sociales, económicos, ambientales y de viabilidad financiera; así como la de promover y preservar la competencia.
El artículo 25 de la Ley 143 de 1994, establece que los agentes económicos privados o públicos que hagan parte del SIN deberán cumplir con el Reglamento de Operación y con los acuerdos adoptados para su operación.
El artículo 26 de la Ley 143 de 1994, establece que las entidades públicas y privadas con energía eléctrica disponible podrán venderla, sujetas al Reglamento de Operación, a las empresas generadoras, a las distribuidoras o a grandes consumidores a tarifas acordadas libremente entre las partes.
El artículo 42 de la Ley 143 de 1994, obliga a las empresas de servicios públicos a comprar la energía para atender a sus usuarios, mediante mecanismos que estimulen la libre competencia. Establece igualmente, que dichas compras de electricidad deberán garantizar, mediante contratos de suministro, el servicio a los usuarios atendidos directamente por ellas, por el término que establezca la CREG.
En la Resolución CREG 080 de 2019 se dictan normas generales de comportamiento concordantes con un buen funcionamiento del mercado, el libre acceso a los bienes esenciales, la transparencia, la neutralidad, la eficiencia, la libre competencia, la gestión de los intereses de los usuarios y la no utilización abusiva de la posición dominante.
Mediante la Resolución CREG 130 de 2019 se definen las reglas que deben cumplir los comercializadores en la celebración de contratos de energía destinados al mercado regulado, creando un nuevo procedimiento de convocatoria pública, así como un Sistema Centralizado de Información de Convocatorias Públicas (SICEP), con el propósito de brindar información sobre la contratación del mercado regulado a todos los agentes, usuarios y entidades de inspección, control y vigilancia.
Mediante la Resolución CREG 101 002 de 2022 se define la fórmula para el traslado de los costos de las compras de energía que realicen los comercializadores en los diferentes mecanismos aprobados por la CREG (componente G del Costo Unitario de Prestación de Servicio de energía eléctrica para los usuarios regulados, CU).
Por otra parte, los pronósticos del Centro de Predicción Climática de la Administración Nacional Oceánica y Atmosférica de Estados Unidos (NOAA) anunciaron en diciembre de 2023 la ocurrencia de un Fenómeno de El Niño con probabilidad superior al 75% hasta mayo de 2024.
Adicionalmente, la demanda regulada de varios comercializadores de energía presenta una alta exposición a la bolsa de energía, lo que en un escenario donde los precios de bolsa han presentado, en los últimos meses, aumentos significativos derivados de la confirmación de la presencia del del Fenómeno del Niño, pueden conllevar a incrementos fuertes de las tarifas a los usuarios finales.
Aunado a lo anterior se presentó la no entrada en operación de varios proyectos de generación adjudicados en las subastas del CLPE 02-2019 y CLPE 03-2021 convocadas por el Ministerio de Minas y Energía en el 2019 y 2021. Según cifras presentadas por XM en el radicado CREG E-2023-015015 esta situación generó un incremento en la exposición a bolsa de la demanda nacional cercana al 4.1%.
Considerando lo anterior y dadas las condiciones para la comercialización con destino al mercado regulado y la exposición a precios de bolsa los usuarios regulados podrían verse afectados, por lo que, la Comisión analizó las diferentes alternativas para mitigar estos efectos, con base en sus facultades y los lineamientos de política definidos por el Gobierno nacional mediante el Decreto 929 de 2023, con el objetivo de consolidar un escenario en competencia para la compra de energía que conduzca a la formación eficiente de los precios de energía en la coyuntura indicada.
Por lo anterior, esta Comisión consideró necesario adoptar medidas transitorias para promover la suscripción directa de contratos entre comercializadores y generadores, para incrementar la cobertura de la demanda regulada frente al comportamiento del precio de la bolsa de energía durante el Fenómeno del Niño. Estas medidas se presentaron para consulta en el proyecto de regulación 701 021 de 2023.
Con base en el problema regulatorio planteado y analizado en el documento CREG 901-052 de 2023, que acompañó el proyecto regulatorio 701-021 de 2023, y considerando la evolución observada del Fenómeno de El Niño, así como de los precios de la bolsa de energía para el último trimestre de 2023, esta Comisión encontró procedente realizar ajustes de fondo sobre la propuesta consultada.
En consecuencia, mediante el proyecto regulatorio 701-034 del 30 de diciembre de 2023 fue sometida a comentarios una nueva propuesta regulatoria, cuya consulta pública finalizó el 11 de enero de 2024.
En este segundo periodo de consulta fueron recibidos comentarios de 22 agentes y empresas interesadas, los cuales fueron recopilados y contestados individualmente en la matriz de comentarios que se encuentra anexa al documento de soporte que acompaña la presente resolución.
Como resultado de la consulta pública adelantada, esta Comisión encontró procedente precisar en esta resolución algunos aspectos de las medidas propuestas, para brindar mayor claridad en su aplicación. Estos ajustes y su correspondiente justificación fueron recogidos en el documento de soporte que acompaña la presente resolución
Mediante radicado CREG S2024001001 del 30 de enero de 2024, esta Comisión remitió la presente resolución a la Superintendencia de Industria y Comercio (SIC), para concepto previo de abogacía de la competencia, junto con el documento de soporte y los comentarios recibidos en el marco de la consulta pública del proyecto de resolución 701-034 de 2023.
La SIC remitió a esta Comisión el respectivo concepto mediante radicado CREG 2024001821 del 6 de febrero de 2024, concluyendo que esta resolución no establece restricciones injustificadas ni desproporcionadas sobre la libre competencia económica.
La Autoridad de competencia consideró en su concepto que, en general, “la regla propuesta resulta razonable y plantea múltiples ventajas”. Además, señaló que “en este contexto [Fenómeno del Niño], esta Superintendencia advierte la importancia y oportunidad de la medida para evitar que el incremento esperado en el PBN comprometa tanto el bienestar de los consumidores que se verían afectados por el traslado del PBN a la tarifa regulada, como la estabilidad financiera de los comercializadores que a estos atienden ante un mayor riesgo de cartera”.
La SIC también resaltó que esta medida regulatoria “contribuye a que una mayor proporción de la demanda regulada se encuentre cubierta a un precio pactado previamente mediante las modalidades de negociación propuestas. Ello reduce la exposición de los comercializadores que se vean forzados a recurrir a la bolsa de energía para atender la demanda no cubierta, ante las variaciones que se presenten en la media y la varianza del precio de energía en bolsa”.
En relación con la fijación de precios máximos de traslado, la SIC concluyó que “esa regla tiene una finalidad legítima, es adecuada para alcanzarla y –en el contexto específico que ofrece la situación actual del mercado nacional– es necesaria para ejercer un control sobre los precios que pueden resultar de las negociaciones. De esa manera se evita la ocurrencia de especulación, abusos o prácticas que puedan resultar perjudiciales para los consumidores o el mercado en general”.
En cuanto a la aplicación del límite de compras propias señalado en la Resolución CREG 130 de 2019 para esta medida regulatoria, la SIC observó que “favorece tanto a los generadores integrados como a los no integrados, en virtud de que conserva las disposiciones contenidas en el artículo 19 de la Resolución CREG No. 130 de 2019. (…) [E]vita que los comercializadores y generadores integrados acaparen la energía y no le vendan a los no integrados, lo cual podría incrementar la exposición a la bolsa de estos últimos”.
Por último, la SIC presentó las siguientes recomendaciones:
- En relación con el artículo 12 del proyecto: Sustentar la introducción del factor (1,5 o 1, según corresponda) de la variable para la determinación del precio promedio ponderado para el traslado de las compras realizadas por los comercializadores.
- En relación con el artículo 10 del proyecto: Sustentar la adopción de la duración máxima hasta el 28 de febrero de 2026 de los contratos resultantes de la aplicación de la iniciativa regulatoria.
En cuanto a la definición del multiplicador 1.5 para el primer periodo del contrato (hasta el 28 de febrero de 2025), esta Comisión realizó distintas simulaciones del precio de bolsa para los siguientes dos años, considerando el comportamiento histórico observado desde enero de 2008, en particular, en periodos de baja hidrología (ver Tabla 1 del documento de soporte que acompaña esta resolución).
Esta Comisión observó que, para periodos posteriores a la ocurrencia del Fenómeno del Niño, el precio de bolsa se reduce rápidamente hasta alcanzar niveles muy inferiores al MC. Al considerar también la serie de tiempo de la variable MC desde enero de 2008, se observaron meses en los cuales el precio de la bolsa fue un 50% menor al MC (ver gráficas 6 y 7 del documento de soporte que acompaña esta resolución).
Esta Comisión determinó los precios máximos de traslado con base en el análisis de distintos escenarios posibles de precios de bolsa para los próximos 24 meses, reconociendo las estacionalidades típicas de la serie y su contraste respectivo con el contrato transitorio diseñado.
Asimismo, se consideró una vigencia máxima hasta el 28 de febrero de 2026 por considerar que con en esa ventana de tiempo algunos generadores podrían verse interesados en suscribir contratos que les aporten certeza en ventas. Esto de acuerdo con diferentes argumentos presentados por distintos agentes con quienes la CREG desarrolló mesas de trabajo durante 2023.
Esta Comisión sometió a consulta la anterior disposición mediante el proyecto regulatorio 701-034 de 2023, ante el cual se recibieron múltiples comentarios de agentes interesados que la consideraron adecuada y proporcional. En concordancia con los comentarios del público revisados por la SIC, dicha Autoridad señaló en su concepto de abogacía que “la medida propuesta proporciona mayor estabilidad y previsibilidad respecto de los ingresos esperados por parte de los generadores de energía, asegurando un ingreso estable en el contexto de un inminente Fenómeno de la Niña y facilitando la planificación financiera y el despliegue de planes de inversión. (…) Lo anterior se puede evidenciar en los comentarios recibidos a la iniciativa regulatoria”.
La Comisión de Regulación de Energía y Gas, en su Sesión 1307 del 07 de febrero de 2024, acordó expedir esta resolución.
RESUELVE:
ARTÍCULO 1. OBJETO. Habilitar transitoriamente la contratación directa de energía por parte de comercializadores que atienden demanda regulada, con el fin de facilitar la compra de energía a través de contratos que ayuden a proteger a los usuarios regulados de los altos precios que se podrían presentar en la bolsa de energía durante el periodo del Fenómeno de El Niño.
ARTÍCULO 2. ALCANCE. La presente resolución aplica a los agentes que participan en el Mercado de Energía Mayorista.
ARTÍCULO 3. DEFINICIONES. Para la interpretación y aplicación de esta Resolución se tendrán en cuenta las siguientes definiciones:
Contrato pague lo contratado condicionado a la Generación Ideal Nacional no Comprometida en Contratos (PCG): Modalidad de contrato de suministro de energía eléctrica en la que el vendedor se obliga a la entrega de la cantidad mínima entre su Generación Ideal Nacional no Comprometida en Contratos y la cantidad de energía determinada por el comercializador para cubrir su demanda comercial regulada expuesta a compras en la bolsa de energía.
Generación Ideal Nacional no Comprometida en Contratos: Diferencia calculada por el Administrador del Sistema de Intercambios Comerciales (ASIC), entre la generación ideal nacional del agente vendedor y su energía comprometida a través de los contratos que liquida el ASIC, distintos a los contratos PCG resultantes de la aplicación de lo dispuesto en la presente resolución, para cada hora, de cada día del mes.
ARTÍCULO 4. CONTRATACIÓN DIRECTA TRANSITORIA POR PARTE DE COMERCIALIZADORES QUE ATIENDEN DEMANDA REGULADA. Desde la publicación de la presente resolución en el Diario Oficial los comercializadores podrán suscribir directamente contratos bajo las modalidades i) pague lo contratado; o ii) PCG. Durante toda la vigencia del contrato el precio de la energía debe estar expresado en pesos colombianos por kilovatio-hora (COP/kWh).
El inicio de estos contratos debe ser a más tardar el 1 de marzo de 2024, fecha para la cual debe haber sido agotado el proceso de registro ante el ASIC.
PARÁGRAFO 1. Para la suscripción de los contratos a los que se refiere el presente artículo los comercializadores solamente deberán dar cumplimiento a las disposiciones de la Resolución CREG 130 de 2019 que expresamente se señalan en la presente resolución. Deberán en todo caso cumplir las disposiciones generales señaladas en la Resolución CREG 080 de 2019.
PARÁGRAFO 2. Los contratos a los que hace referencia el presente artículo no serán considerados por el ASIC para el cálculo de la variable Mc en la fórmula del componente G, contenida en el artículo 6 de la Resolución CREG 119 de 2007.
ARTÍCULO 5. REGISTRO DE CONTRATOS. Los contratos resultantes de lo dispuesto en la presente resolución deberán ser registrados ante el ASIC, en el formato transitorio que este disponga para ello y de conformidad con lo establecido en la Resolución CREG 157 de 2011 o aquella que la modifique, adicione o sustituya.
PARÁGRAFO. El ASIC tendrá un plazo de cinco (5) días hábiles después de la entrada en vigencia de la presente resolución para la publicación del (de los) formato(s) para el registro de contratos resultantes de la aplicación de lo dispuesto en el presente artículo.
ARTÍCULO 6. DESPACHO DE CONTRATOS PCG. Los contratos PCG resultantes de lo dispuesto en la presente resolución serán despachados por el ASIC con posterioridad a la aplicación de las reglas del funcionamiento de la bolsa de energía definidas en la Resolución CREG 024 de 1995.
ARTÍCULO 7. LIQUIDACIÓN DE CONTRATOS. Los contratos resultantes de lo dispuesto en la presente resolución deberán liquidarse de acuerdo con lo establecido en la Resolución CREG 024 de 1995.
ARTÍCULO 8. TRASLADO TRANSITORIO DE LAS COMPRAS DE ENERGÍA. Los comercializadores que atienden demanda regulada y que realicen compras de energía mediante contratos resultantes de la aplicación de lo dispuesto en la presente resolución, podrán trasladar los precios correspondientes en el componente de costo de energía (G) del costo unitario de prestación del servicio (CU), utilizando lo establecido en el artículo 4 de la Resolución CREG 101 002 de 2022 en el ponderador de los precios de mecanismos de comercialización autorizados
.
ARTÍCULO 9. PUBLICACIÓN DE CONTRATOS PAGUE LO CONTRATADO Y PCG RESULTANTES DE NEGOCIACIÓN DIRECTA. Con base en la información que sea remitida por el comercializador para el registro de cada contrato, el ASIC publicará en el SICEP, a más tardar el quince (15) de marzo, la siguiente información:
i) Tipo de contrato: pague lo contratado o PCG.
ii) Vigencia del contrato: fecha de inicio y terminación.
iii) Cantidad de energía determinada por el comercializador mes a mes durante la vigencia del contrato.
ARTÍCULO 10. CANTIDAD MÁXIMA PARA CONTRATAR DE MANERA DIRECTA. La cantidad máxima que cada comercializador podrá contratar directamente a través de contratos pague lo contratado o PCG para la atención del mercado regulado, corresponde a la demanda regulada mensual que no se encuentra cubierta con compras realizadas a través de alguno de los siguientes mecanismos:
1. Convocatorias públicas a las que hace referencia la Resolución CREG 130 de 2019.
2. Convocatorias públicas a las que hace referencia la Resolución CREG 020 de 1996.
3. Subastas administradas por el Ministerio de Minas y Energía.
4. Mecanismos de comercialización cuyo traslado a usuarios regulados haya sido autorizado conforme a lo dispuesto en la Resolución CREG 114 de 2018.
PARÁGRAFO 1. Las cantidades máximas para contratar de manera directa serán incluidas en el límite de compras propias señalado en los artículos 18 a 21 de la Resolución CREG 130 de 2019.
PARÁGRAFO 2. El procedimiento y metodología para la determinación de las cantidades máximas y efectivamente compradas, en aplicación de lo dispuesto en la presente resolución, deben ser debidamente documentados por el comercializador. Dicha información y documentación deben ser verificables por parte de las autoridades de vigilancia y control.
ARTÍCULO 11. DURACIÓN MÁXIMA DE CONTRATOS. Los contratos resultantes de la aplicación de lo dispuesto en el artículo 4 de la presente resolución tendrán una duración máxima hasta el 28 de febrero de 2026, sin posibilidad de prórroga.
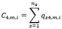
ARTÍCULO 12. CANTIDADES DE ENERGÍA COMPRADA PARA TRASLADO A USUARIOS REGULADOS. Las cantidades de energía resultantes de la aplicación de lo dispuesto en la presente resolución deberán ser incorporadas por el comercializador en el componente G del CU de sus usuarios regulados utilizando la siguiente fórmula:

Donde,
| Energía cubierta por el comercializador i mediante contratos resultantes de la aplicación de lo dispuesto en la presente resolución, con cantidades liquidadas en el mes m y con destino al mercado regulado. | |
| Cantidad de energía cubierta por el comercializador i para el mes m mediante el contrato s, con destino al mercado regulado. | |
| Número de contratos resultantes de la aplicación de lo dispuesto en la presente resolución, con cantidades liquidadas para el mes m suscritos por el comercializador i, con destino al mercado regulado. |
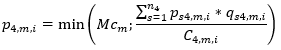
ARTÍCULO 13. PRECIO PROMEDIO PONDERADO PARA EL TRASLADO DE LAS COMPRAS REALIZADAS. El precio promedio ponderado para el traslado de las compras realizadas por los comercializadores a través de contratos resultantes de la aplicación de lo dispuesto en la presente resolución y cuyo destino sea la atención de demanda regulada, será calculado por el comercializador utilizando las siguientes fórmulas, según el periodo correspondiente del contrato.
i) Para el periodo comprendido entre el inicio del contrato y el 28 de febrero de 2025:

ii) Para el periodo comprendido entre el 1 de marzo de 2025 y el 28 de febrero de 2026:

Donde,
| Precio promedio ponderado de todas las compras realizadas por el comercializador i a través de contratos resultantes de la aplicación de lo dispuesto en la presente resolución, liquidados en el mes m, expresado en pesos por kilovatio hora (COP/kWh). | |
| Costo promedio ponderado por energía, expresado en pesos por kilovatio hora (COP/kWh), de todos los contratos resultantes de las convocatorias públicas a las que hace referencia la Resolución CREG 130 de 2019 o aquella que la modifique, sustituya o adicione, liquidados en el mes m, con destino al mercado regulado. | |
| Precio del contrato s pactado por el comercializador i para el mes m, con destino al mercado regulado. | |
| Cantidad de energía cubierta por el comercializador i para el mes m mediante el contrato s con destino al mercado regulado. | |
| Número de contratos resultantes de la aplicación de lo dispuesto en la presente resolución, con cantidades liquidadas para el mes m suscritos por el comercializador i, con destino al mercado regulado. | |
| Energía cubierta por el comercializador i mediante contratos resultantes de la aplicación de lo dispuesto en la presente resolución, con cantidades liquidadas en el mes m y con destino al mercado regulado. |
ARTÍCULO 14. VIGENCIA. La presente resolución rige a partir de la fecha de su publicación en el Diario Oficial.
PUBLÍQUESE Y CÚMPLASE
Dada en Bogotá, D.C., a los 07 días de febrero de 2024.
OMAR ANDRÉS CAMACHO MORALES
Ministro de Minas y Energía,
Presidente
OMAR PRIAS CAICEDO
Director Ejecutivo