RESOLUCION 180 DE 2016
(Noviembre 3)
Diario Oficial No. 50.141 de 8 de febrero de 2017
COMISIÓN DE REGULACIÓN DE ENERGÍA Y GAS - CREG
Por la cual se aprueba cargo de distribución transitorio por uso del sistema de distribución de gas combustible por redes de tubería, para el mercado relevante conformado por los municipios de Carcasí, Guapotá, Hato, Macaravita, Palmar, Enciso y San Miguel en el departamento de Santander, según solicitud tarifaria presentada por GREEN COUNTRY S.A. E.S.P.
LA COMISIÓN DE REGULACIÓN DE ENERGÍA Y GAS
En ejercicio de sus atribuciones constitucionales y legales, en especial las conferidas por la Ley 142 de 1994, y en desarrollo de los decretos 2253 de 1994 y 1260 de 2013, y
CONSIDERANDO QUE:
I. Antecedentes
El artículo 14.28 de la Ley 142 de 1994, definió el servicio público domiciliario de gas combustible como el conjunto de actividades ordenadas a la distribución de gas combustible y estableció la actividad de comercialización como complementaria del servicio público domiciliario de gas combustible.
Según lo dispuesto por el artículo 28 de la Ley 142 de 1994, la construcción y operación de redes para el transporte de gas, así como el señalamiento de las tarifas por uso, se regirán exclusivamente por esa Ley.
El artículo 73.11 de la Ley 142 de 1994 atribuyó a la Comisión de Regulación de Energía y Gas la competencia para establecer las fórmulas para la fijación de las tarifas del servicio público domiciliario de gas combustible.
Según lo dispuesto por el artículo 88.1 de la Ley 142 de 1994, la Comisión de Regulación de Energía y Gas podrá establecer topes máximos y mínimos tarifarios, de obligatorio cumplimiento por parte de las empresas.
El artículo 126 de la Ley 142 de 1994 establece que vencido el período de vigencia de las fórmulas tarifarias éstas continuarán rigiendo mientras la Comisión no fije las nuevas.
A través de la Resolución CREG 202 de 2013 se establecieron los criterios generales para remunerar la actividad de distribución de gas combustible por redes de tubería y se dictan otras disposiciones.
El artículo 9o de la Resolución 202 de 2013, dispone que la metodología para el cálculo de los cargos de distribución se hará aplicando costos medios históricos y/o los costos medios de mediano plazo, para el Mercado Relevante de Distribución para el Siguiente Período Tarifario, y se calculan con la Valoración de la Inversión Base, los gastos de Administración, Operación y Mantenimiento (AOM), la Demanda de Volumen del mercado correspondiente y la tasa de retorno, aplicando los criterios tarifarios establecidos en la Ley 142 de 1994 y de acuerdo a la conformación del Mercado Relevante de Distribución.
Mediante la Resolución CREG 052 de 2014, Resolución CREG 138 de 2014, Resolución CREG 112 de 2015, Resolución CREG 125 de 2015 y Resolución CREG 141 de 2015 se modificó y adicionó la Resolución CREG 202 de 2013.
Con la Resolución CREG 095 de 2015 se aprobó la metodología para el cálculo de la tasa de descuento que se aplicará en las actividades de transporte de gas natural, distribución de gas combustible, transporte de GLP por ductos, transmisión y distribución de energía eléctrica en el sistema interconectado nacional, y generación y distribución de energía eléctrica en zonas no interconectadas.
En la Resolución CREG 096 de 2015 se definen los valores de la prima por diferencias entre el esquema de remuneración del mercado de referencia y el esquema aplicado en Colombia () y la tasa de descuento para la actividad de distribución de gas combustible.
Por medio de la Circular CREG 105 de 2015 se publicó el documento CREG No. 095 de 2015, que contiene la definición de las funciones óptimas para determinar la remuneración de los gastos de Administración, Operación y Mantenimiento - AOM de las actividades de distribución y comercialización de gas combustible por redes de tubería y de Otros Activos para la actividad de distribución conforme a lo definido en el anexo 9 y 10 de la Resolución CREG 202 de 2013.
A través de la Circular CREG 130 de 2015, se definió el proceso de presentación de solicitudes tarifarias para la aprobación de cargos de distribución de gas combustible por redes de tubería para nuevos mercados conforme a lo definido en la Resolución CREG 202 de 2013 y sus modificatorias.
Mediante la Resolución CREG 093 del 11 de julio de 2016, se revocó parcialmente la Resolución CREG 202 de 2013, modificada por las Resoluciones CREG, 138 de 2014 y 125 de 2015.
II. Trámite de la actuación administrativa
La empresa Green Country S.A. E.S.P. mediante comunicación con radicado CREG bajo el número E-2015-001458 de febrero 17 de 2015, con base en lo establecido en las resoluciones CREG 202 de 2013 y sus modificaciones y adiciones, solicitó la aprobación de los cargos de distribución de gas combustible por redes de tubería, para el mercado relevante de distribución para el siguiente periodo tarifario conformado por los siguientes municipios:
| CODIGO DANE DEL MUNICIPIO | MUNICIPIO | DEPARTAMENTO |
| 68152 | Carcasi | |
| 68322 | Guapotá | |
| 68344 | Hato | |
| 68425 | Macaravita | Santander |
| 68522 | Palmar | |
| 68266 | Enciso | |
| 68686 | San Miguel | |
En la mencionada comunicación se allegaron los datos de demanda, gastos de administración operación y mantenimiento AOM y las inversiones clasificadas según el listado de unidades constructivas establecido en el Anexo No. 8 de la Resolución CREG 202 de 2013.
Además, se indica que el proyecto no cuenta con recursos públicos para la construcción de la infraestructura de distribución gas por redes.
La Comisión, mediante oficio con radicado CREG S-2015-001914 de abril 15 de 2015, informa a la empresa que la solicitud tarifaria no se ajusta a los requisitos exigidos en las resoluciones CREG 202 de 2013 y modificatorias, relacionada con la definición del mercado relevante, toda vez que incluye a los municipios de Enciso y San Miguel en el departamento de Santander, los cuales cuentan con cargos aprobados para la prestación del servicio de gas combustible por redes de tubería mediante las resoluciones CREG 153 de 2009 y 129 de 2011 respectivamente.
Igualmente, se le solicitó el envío de información relacionada con el concepto de la UPME de las proyecciones de demanda, gastos de AOM, aportes por recursos públicos en cumplimiento de los requisitos exigidos en las resoluciones CREG 202 de 2013 y modificatorias.
Mediante oficio con radicado CREG E-2015-005570 de mayo 25 de 2015, la UPME remite concepto de la evaluación metodológica de las proyecciones de demanda para los municipios de Carcasí, Guapotá, Hato, Macaravita, Palmar, Enciso y San Miguel en el departamento de Santander, que conforman el mercado relevante solicitado por la empresa.
La empresa Green Country S.A. E.S.P., mediante oficios con radicados CREG E-2015-005972 de junio 4 de 2015 y E-2016-009187 de agosto 23 de 2016, da respuesta a la información solicitada por la Comisión, aclarando específicamente la situación presentada en los municipios de Enciso y San Miguel en el departamento de Santander, que aunque cuenten con cargos aprobados desde el año 2009 y 2011 respectivamente, a la fecha, dichos municipios no cuentan con la prestación del servicio de gas domiciliario por redes.
De lo anterior, y en aras que los municipios cuenten con la prestación del servicio, la Resolución CREG 202 de 2013, establece que aquellos municipios que pertenezcan a un mercado relevante existente de distribución que este conformado por varios municipios en el que no se esté prestando el servicio en la totalidad de los mismos, el cargo aprobado en dichos municipios conforme a la Resolución CREG 011 de 2003 perderá su vigencia y se podrá considerar como municipio nuevo.
De esta manera, los municipios de Enciso y San Miguel en el departamento de Santander, se podrán considerar como municipios nuevos, para la solicitud presentada por la empresa Green Country S.A. E.S.P.
Mediante auto proferido el día 01 de septiembre de 2016, la Comisión de Regulación de Energía y Gas –CREG- dispuso iniciar la respectiva actuación administrativa con fundamento en la solicitud presentada por Green Country S.A. E.S.P. para la aprobación de cargos de distribución de GLP por redes, para el mercado relevante conformado por los municipios de Carcasí, Guapotá, Hato, Macaravita, Palmar, Enciso y San Miguel en el departamento de Santander.
-De acuerdo con lo establecido en el Auto del 1 de septiembre de 2016, y para cumplir con lo dispuesto en el artículo 37 del Código de Procedimiento Administrativo y de lo Contencioso Administrativo, en el Diario Oficial No. 49.994 del 12 de septiembre de 2016, se publicó un extracto con el resumen de la actuación administrativa. Así mismo, mediante el Aviso No. 131 de 2016 se publicó el extracto con el resumen de la actuación administrativa en relación con la solicitud presentada por Green Country S.A E.S.P. para la aprobación de cargos de distribución de gas combustible por redes de tubería. Lo anterior, a fin de que los terceros interesados pudiesen hacerse parte en la respectiva actuación.
Mediante la Resolución CREG 137 de 2013 se establecieron las fórmulas tarifarias generales para la prestación del servicio público domiciliario de gas combustible por redes de tubería a usuarios regulados. La aplicación de la fórmula tarifaria general inició a partir del 1 de enero de 2014 por un período de cinco años, sin perjuicio de lo establecido en el artículo 126 de la Ley 142 de 1994.
El numeral 9.3 del artículo 9 de la Resolución CREG 202 de 2013 establece lo siguiente:
“9.3. CARGOS DE DISTRIBUCIÓN EN SISTEMAS DE DISTRIBUCIÓN QUE NO TIENEN CONECTADOS USUARIOS A LA RED PRIMARIA.
Cuando un Sistema de Distribución tenga red primaria y secundaria pero todos los usuarios estén conectados a la red secundaria se podrá determinar en ese Mercado Relevante un solo cargo de distribución que será aplicable a usuarios residenciales y a usuarios diferentes al de uso residencial. La canasta de tarifas de estos mercados deben excluir a los usuarios residenciales.”
Dado que el sistema de distribución presentado por la empresa Green Country S.A. E.S.P. para el mercado relevante conformado por los municipios de Carcasí, Guapotá, Hato, Macaravita, Palmar, Enciso y San Miguel en el departamento de Santander, cuenta con red primaria y secundaria y todos sus usuarios están conectados a la red secundaria, se podrá determinar para este mercado relevante un solo cargo de distribución que será aplicable a los usuarios de uso residencial y usuarios diferentes al uso residencial.
Como resultado del análisis de la información presentada a la Comisión por Green Country S.A. E.S.P. mediante radicados E-2015-001458, E-2015-005972 y E-2016-009187 se realizaron los ajustes pertinentes a la información requerida para el cálculo del cargo de distribución que trata las resoluciones CREG 202 de 2013 y modificatorias, según se relacionan, con su respectivo sustento, en el documento soporte de la presente Resolución.
III. Aspectos previos. Alcance de las facultades regulatorias de la CREG en el marco de la Ley 142 de 1994.
Los principios, finalidades y normas establecidas por el legislador en materia de tarifas, y las funciones que sobre esta materia cumple la CREG, tienen unos fines sociales y económicos, de rango constitucional y legal y sobre los cuales la jurisprudencia constitucional se ha pronunciado de manera general, así:
“En un Estado social de derecho la intervención estatal en el ámbito socio–económico puede obedecer al cumplimiento de diversas funciones generalmente agrupadas en cuatro grandes categorías: una función de redistribución del ingreso y de la propiedad[87] expresamente consagrada en varias disposiciones de la Constitución con miras a alcanzar un "orden político, económico y social justo" (Preámbulo); una función de estabilización económica también consagrada en diversas normas superiores (artículos 334 inc, 1o, 339, 347, 371 y 373 de la C.P.); una función de regulación económica y social de múltiples sectores y actividades específicas según los diversos parámetros trazados en la Constitución (artículos 49 y 150, numeral 19, por ejemplo); y, todas las anteriores, dentro de un contexto de intervención general encaminado a definir las condiciones fundamentales del funcionamiento del mercado y de la convivencia social como el derecho de propiedad privada pero entendido como "función social" (artículo 58 C.P.) o la libertad de iniciativa privada y de la actividad económica siempre que se respete también la "función social" de la empresa (artículo 333 C.P.) en aras de la "distribución equitativa de las oportunidades y los beneficios del desarrollo" (artículo 334 C.P.)[88]”[1]
Precisamente es este último artículo, 334, el desarrollado por la Ley 142 de 1994 en materia de regulación; que se concreta en la intervención económica del Estado en los servicios públicos domiciliarios mediante la cual se obligan a quienes prestan esos servicios al acatamiento de los principios, normas y reglamentos que se expidan (Ley 142, art. 14.18).
La Corte Constitucional se ha referido a este tema en los siguientes términos:
“La regulación, en tanto que mecanismo de intervención del estado, busca garantizar la efectividad de los principios sociales y el adecuado funcionamiento del mercado… En este contexto, la Carta indica que los servicios públicos son inherentes a la finalidad social del Estado (art. 365 inc. Primero de la C.P.), lo cual comprende el bienestar general y el mejoramiento de la calidad de vida de la población (art. 366). No podía ser de otra forma dado que, por una parte, la realización de los derechos fundamentales de las personas depende en gran medida de la adecuada prestación de los servicios públicos – p. ej. de agua, salud, saneamiento básico, energía, transporte, etc.- y que, por otra, el Constituyente ha optado por una forma estatal, el Estado Social de Derecho, destinada a corregir la deuda social existente en el país con los sectores sociales más desfavorecidos mediante un sistema político que busca la progresiva inclusión de todos los beneficios del progreso” [2].
A lo anteriormente señalado por la jurisprudencia, se suma lo dispuesto en el Preámbulo de la Constitución, sobre los fines del Estado cuales son, entre otros:
“asegurar a sus integrantes la vida, la convivencia, el trabajo, la justicia, la igualdad, el conocimiento, la libertad y la paz, dentro de un marco jurídico, democrático y participativo que garantice un orden político, económico y social justo”, que según la Corte Constitucional son “expresiones todas estas del bien común como desiderátum de la sociedad y el estado [3], y lo dispuesto en el artículo 1o., sobre la organización como estado social de derecho con prevalencia del interés general, y la obligatoriedad del ejercicio de la función administrativa al servicio de los intereses generales, se concluye que la función de regulación debe siempre ejercitarse dentro de ese interés general. La Corte Constitucional igualmente señala que los servidores públicos también deben actuar dentro de ese interés general cuando afirma que “los órganos que integran las ramas del poder público y las demás dependencias del Estado han de tener este principio constitucional como criterio básico en el ejercicio de sus atribuciones y competencias. De ahí que los servidores públicos, tal como lo declara el artículo 123 de la Constitución, está al servicio del Estado y de la comunidad”.[4].
En relación con el alcance de las atribuciones asignadas a esta Comisión en las leyes 142 y 143 de 1994 en materia regulatoria, se tiene en cuenta que el ejercicio de dicha facultad ha sido considerada como una forma de intervención estatal en la economía a fin de garantizar la prestación eficiente de los servicios públicos domiciliarios de energía eléctrica y gas combustible y el adecuado funcionamiento del mercado, corrigiendo los errores de un mercado imperfecto, delimitando el ejercicio de la libertad de empresa, promoviendo y preservando la sana y transparente competencia, protegiendo los derechos de los usuarios, así como de evitar el abuso de la posición dominante, entre otras. Es por esto que, las facultades regulatorias previstas en los artículos 73 y 74.1 de la Ley 142 de 1994 deben sujetarse al cumplimiento de los fines y principios de orden constitucional y legal en materia social y económica [5] previstos en dichas normas, garantizando la efectividad de los principios sociales y el adecuado funcionamiento del mercado.
En este mismo sentido, la jurisprudencia constitucional y administrativa ha brindado elementos en relación con el alcance de dicha atribución, por lo que ha considerado que el ejercicio de esta función regulatoria busca dar cumplimiento a los fines sociales del Estado [6], la corrección de las imperfecciones del mercado [7], así como la satisfacción del interés general [8]. Así mismo, se debe considerar que los servicios públicos domiciliarios tienen una relación inescindible entre su prestación eficiente y la efectividad de los derechos fundamentales de las personas, de lo cual se entiende que su prestación ineficiente puede acarrear en la vulneración de un derecho fundamental, ya que su prestación eficiente asegura condiciones de vida digna de todos los habitantes del territorio nacional [9].
Así mismo, el ejercicio de una atribución regulatoria implica un análisis de las disposiciones legales que las contienen, las cuales se encuentran principalmente en las leyes 142 y 143 de 1994.
Es por esto que, la aplicación de las disposiciones donde se encuentren normas relacionadas con el ejercicio de estas facultades regulatorias no se debe hacer de manera aislada o que su aplicación se remita a su contenido literal y expreso, sino que por el contrario, cualquier disposición ha de ser entendida de forma integral, concordante y sistemática junto con aquellas normas que consagran los criterios tarifarios en materia de servicios públicos domiciliarios previstos en el artículo 87 de la Ley 142 de 1994, los principios constitucionales (C.P. artículo 365) y legales en materia de servicios públicos domiciliarios (Ley 142 de 1994 artículos 1 a 14), así como los principios constitucionales (C.P. artículos 209) y legales (Ley 1437 de 2011 artículo 3) que guían las actuaciones administrativas de esta Comisión [10].
Esto teniendo en cuenta que el artículo 13 de la Ley 142 de 1994 establece que “los principios que contiene este capítulo se utilizarán para resolver cualquier dificultad de interpretación al aplicar las normas sobre los servicios públicos a los que esta u otras leyes se refieren, y para suplir los vacíos que ellas presenten”.
En este sentido, dentro de las actuaciones administrativas que adelante esta Comisión, para la correcta aplicación de los criterios en materia tarifaria, así como su aplicación armónica con los principios constitucionales [11] y legales [12] en materia de servicios públicos, debe existir una convergencia entre los intereses colectivos que persigue la prestación de los servicios públicos, como de aquellos intereses de las empresas en relación con la competencia, la iniciativa privada y la libertad de empresa, entendidas como la existencia de “relaciones jurídicas de equilibrio entre usuarios y las empresas prestadoras de servicios públicos domiciliarios [13].
Por lo tanto, esta convergencia a través de los mecanismos regulatorios debe garantizar el equilibrio entre la libertad económica (incentivo económico), la promoción de intereses colectivos concretos y la prestación de servicios públicos, es decir, la regulación ha de propender por hacer compatibles los intereses privados, que actúan como motor de la actividad económica, con la satisfacción de las necesidades colectivas [14].
Este análisis en relación con el alcance y entendimiento que debe hacérsele al ejercicio de las facultades regulatorias por parte de las comisiones de regulación en materia de servicios públicos domiciliarios, como de las disposiciones que en esta materia contiene la Ley 142 de 1994, ha sido expuesto por parte de la jurisprudencia constitucional, en el caso del análisis de constitucionalidad del artículo 74 de la Ley 142 de 1994 (normas y tratamientos diferenciales de los agentes según su posición en el mercado), donde se ha precisado que dichas funciones se deben ejercer dentro del marco fijado en la Constitución, la Ley y el reglamento, lo cual no excluye la posibilidad de dictar actos administrativos para asegurar una prestación eficiente de los servicios.
En relación con esta consideración la jurisprudencia reciente en materia constitucional ha consagrado lo siguiente:
“Por último, el artículo 73 de la Ley 142 de 1994 consagra un catálogo amplio y detallado de las (26) funciones y facultades generales atribuidas a las Comisiones de Regulación para el cumplimiento de las tareas asignadas, con el objeto de (i) regular los monopolios cuando la competencia no sea posible, (ii) promover la competencia entre los prestadores de servicios públicos, (iii) garantizar que las operaciones sean económicamente eficientes, (iv) evitar abuso de la posición dominante y (v) asegurar servicios de calidad
Los fines y parámetros a los que aluden estas normas, antes que genéricos e indeterminados, comprenden una enunciación detallada y concreta dirigida al cumplimiento de las metas de la regulación en servicios públicos. Metas que, según ha reconocido la jurisprudencia constitucional, no son exclusivamente económicas sino que también buscan asegurar 'la compatibilidad de un mercado eficiente con los principios del Estado social de derecho, dentro de una democracia participativa en la cual los derechos de todos los usuarios sean efectivamente protegidos y garantizados'.
(…) Como puede notarse, la regulación emanada del Congreso de la República sí contiene “criterios inteligibles” que establecen de manera clara el marco de intervención del Estado y específicamente de las autoridades administrativas [15].
(i) En primer lugar, las normas referidas identifican los fines que han de guiar a las Comisiones de Regulación y que, contrario a lo propuesto por los accionantes, no están circunscritos únicamente a la corrección de fallas en el mercado, sino que comprenden también una adecuada y eficiente prestación de los servicios a todos los habitantes del territorio nacional, propósito inherente a la función social del Estado (arts. 2, 74.1 y 74.2 de la Ley 142 de 1994).
(ii) En segundo lugar, el Legislador ha definido también las prestaciones o derechos que busca proteger con las reglas de comportamiento diferencial, los cuales se proyectan tanto para proteger a las empresas participantes en el mercado como a los usuarios del sector, a saber: estimular la libertad de competencia, evitar abuso de posición dominante y asegurar a los usuarios la prestación de servicios públicos de calidad (arts. 11 y 73 Ley 142 de 1994).
(iii) En tercer lugar, las medidas previstas –y a la vez sus límites- no son otras que las que se derivan de las competencias generales y especiales atribuidas a las Comisiones de Regulación (arts. 3, 73 y 74); lo que hace la ley es simplemente autorizar que se fijen requisitos o exigencias de acuerdo con la posición de las empresas en el mercado (régimen tarifario, condiciones de prestación de servicio, metas de eficiencia, cobertura, calidad y evaluación, entre otras), ninguna de las cuales puede ser distinta de las competencias previamente otorgadas.
(iv) Por último, la Ley 142 de 1994 aclara que 'todas las decisiones de las autoridades en materia de servicios públicos deben fundarse en los motivos que determina esta Ley', y añade que los motivos invocados 'deben ser comprobables' (art. 3). En esa medida, además de los límites competenciales anotados, existen restricciones de orden fáctico que impiden a las autoridades obrar de manera arbitraria -como se sostiene en la demanda-, al tiempo que brindan la posibilidad de recurrir las decisiones o de ser necesario acudir a instancias judiciales para controlar eventuales excesos” [16] (Subrayado fuera de texto)
Finalmente, se debe tener en cuenta que la Ley 142 de 1994, en el numeral 18 del artículo 14, establece que la regulación es la facultad de dictar normas de carácter general o particular en los términos de la Constitución y de esta ley, para someter la conducta de las personas que prestan los servicios públicos domiciliarios a las reglas, normas, principios y deberes establecidos por la Ley y los reglamentos. En este sentido, la jurisprudencia constitucional ha precisado que la regulación es una actividad continua que comprende el seguimiento de la evolución del sector correspondiente y que implica la adopción de diversos tipos de decisiones y actos adecuados tanto para orientar la dinámica del sector hacia los fines que la justifican en cada caso, como para permitir el flujo de actividad socio-económica respectivo. De esto hace parte igualmente el seguimiento del comportamiento de los agentes, a fin de orientar sus actividades dentro de los fines perseguidos en materia de servicios públicos, de acuerdo con lo previsto en la Ley 142 de 1994 [17].
Es por esto que la facultad de regular implica tener en cuenta las dinámicas condiciones del mercado y las necesidades propias de cada sector, por lo que las medidas que se adopten deben atender dicha dinámica, realizando los ajustes a que haya lugar dentro del marco de competencias definido por la ley y teniendo en cuenta los hechos previamente comprobados.
IV. Principios constitucionales que rigen la prestación de los servicios públicos
El constituyente tuvo a bien elevar a rango constitucional los principios rectores que rigen la prestación de los servicios públicos domiciliarios disponiendo entre otros aspectos:
“ARTICULO 365. Los servicios públicos son inherentes a la finalidad social del Estado. Es deber del Estado asegurar su prestación eficiente a todos los habitantes del territorio nacional.
Los servicios públicos estarán sometidos al régimen jurídico que fije la ley, podrán ser prestados por el Estado, directa o indirectamente, por comunidades organizadas, o por particulares. En todo caso, el Estado mantendrá la regulación, el control y la vigilancia de dichos servicios. Si por razones de soberanía o de interés social, el Estado, mediante ley aprobada por la mayoría de los miembros de una y otra cámara, por iniciativa del Gobierno decide reservarse determinadas actividades estratégicas o servicios públicos, deberá indemnizar previa y plenamente a las personas que en virtud de dicha ley, queden privadas del ejercicio de una actividad lícita.
ARTICULO 366. El bienestar general y el mejoramiento de la calidad de vida de la población son finalidades sociales del Estado. Será objetivo fundamental de su actividad la solución de las necesidades insatisfechas de salud, de educación, de saneamiento ambiental y de agua potable. Para tales efectos, en los planes y presupuestos de la Nación y de las entidades territoriales, el gasto público social tendrá prioridad sobre cualquier otra asignación.
ARTICULO 367. La ley fijará las competencias y responsabilidades relativas a la prestación de los servicios públicos domiciliarios, su cobertura, calidad y financiación, y el régimen tarifario que tendrá en cuenta además de los criterios de costos, los de solidaridad y redistribución de ingresos. Los servicios públicos domiciliarios se prestarán directamente por cada municipio cuando las características técnicas y económicas del servicio y las conveniencias generales lo permitan y aconsejen, y los departamentos cumplirán funciones de apoyo y coordinación.”
(Subrayas ajenas al texto original de la norma citada)
La prestación de los servicios públicos domiciliarios está íntimamente ligada al cumplimiento de los fines sociales del Estado Social de Derecho en tanto estos son catalogados como servicios esenciales, en este orden éste puede y debe intervenir de una manera efectiva para la consecución de sus fines, así como para asegurar la prestación real y práctica de los mismos, evitando dilaciones que entorpezcan su disfrute.
“… lo cierto es que el Estado mantiene las funciones de regulación, control y vigilancia sobre los servicios, de forma que se asegure el cumplimiento de las finalidades sociales del Estado social de derecho (artículo 365 de la C.P.). Esto porque es objetivo fundamental de la actividad estatal la solución de las necesidades básicas insatisfechas de la población (art. 366 de la C.P.). Tan importante es el mencionado objetivo constitucional que el Constituyente ha previsto incluso la posibilidad de establecer, por razones de soberanía o de interés social, por iniciativa del Gobierno y mediante ley, un monopolio estatal en materia de servicios públicos previa la plena indemnización a las personas que en virtud de dicha ley, queden privadas del ejercicio de una actividad lícita (art. 365 inc. 2 de la C.P.).
Así pues, la Corte ha puesto de presente que corresponde al legislador establecer el régimen de los servicios públicos de acuerdo con el marco axiológico descrito. En efecto, "[e]n uso de la facultad que la Carta Política le confirió al Congreso de la República para reglamentar la prestación de los servicios públicos domiciliarios se expidió la Ley 142 del 11 de julio de 1994, que con base en lo dispuesto en los artículos 334, 336 y 365 a 370 Superiores, desarrolló los fines sociales de la intervención del Estado en la prestación de estos servicios para alcanzar los siguientes objetivos: garantizar la calidad del bien objeto del servicio público y su disposición final para asegurar el mejoramiento de la calidad de vida de los usuarios; ampliación permanente de la cobertura mediante sistemas que compensen la insuficiencia de la capacidad de pago de los usuarios; atención prioritaria de las necesidades básicas insatisfechas en materia de agua potable y saneamiento básico; prestación continua e ininterrumpida, sin excepción alguna, salvo cuando existan razones de fuerza mayor o caso fortuito o de orden técnico o económico que así lo exijan; prestación eficiente; libertad de competencia y no utilización abusiva de la posición dominante; obtención de economías de escala comprobables; mecanismos que garanticen a los usuarios el acceso a los servicios y su participación en la gestión y fiscalización de su prestación; establecer un régimen tarifario proporcional para los sectores de bajos ingresos de acuerdo con los preceptos de equidad y solidaridad [18][14] [19].
(Subrayas ajenas al texto original de la providencia citada)
Ahora bien, es preciso diferenciar los diferentes tipos de mercados con el fin de establecer el alcance la intervención del regulador en la asignación de cargos de conformidad con la metodología dispuesta por la Resolución CREG 202 de 2013.
“MERCADO RELEVANTE EXISTENTE DE DISTRIBUCIÓN: Corresponde al municipio o al grupo de municipios, para el cual la CREG estableció cargos por uso del Sistema de Distribución con base en la metodología de la Resolución CREG 011 de 2003. En esta Resolución se hará referencia indistintamente a Mercado Relevante Existente de Distribución o a Mercado Existente de Distribución.
MERCADO RELEVANTE DE DISTRIBUCIÓN PARA EL SIGUIENTE PERÍODO TARIFARIO: Corresponde al municipio o al grupo de municipios, para el cual la CREG establece cargos por uso del Sistema de Distribución al cual están conectados un conjunto de usuarios. Los mercados relevantes de distribución para el siguiente período tarifario deben conformarse cumpliendo las reglas establecidas en el Artículo 5 de la presente resolución.”
En los casos en los que el servicio se viene prestando de manera regular en mercados de distribución existentes y con base en una tarifa regularmente expedida, la prestación debe seguirse prestando con la tarifa vigente, aún si el regulador no ha expedido una nueva metodología, o la misma se encuentra en revisión y/o parcialmente revocada por razones de interés común, en cuyo caso el usuario no resulta afectado, hasta tanto se fijen las nuevos metodologías, tal como lo dispone el Artículo 126 de la Ley 142 de 1994:
Artículo 126. Vigencia de las fórmulas de tarifas. Las fórmulas tarifarias tendrán una vigencia de cinco años, salvo que antes haya acuerdo entre la empresa de servicios públicos y la comisión para modificarlas o prorrogarlas por un período igual. Excepcionalmente podrán modificarse, de oficio o a petición de parte, antes del plazo indicado cuando sea evidente que se cometieron graves errores en su cálculo, que lesionan injustamente los intereses de los usuarios o de la empresa; o que ha habido razones de caso fortuito o fuerza mayor que comprometen en forma grave la capacidad financiera de la empresa para continuar prestando el servicio en las condiciones tarifarias previstas.
Vencido el período de vigencia de las fórmulas tarifarias, continuarán rigiendo mientras la comisión no fije las nuevas.
(Subrayas ajenas al texto original de la norma citada)
En este marco como ya se mencionó en los antecedentes de esta resolución, mediante la Resolución CREG 093 del 11 de julio de 2016, se revocó parcialmente la Resolución CREG 202 de 2013, modificada por las Resoluciones CREG, 138 de 2014 y 125 de 2015.
En el artículo 11 de la Resolución CREG 093 de 2016, mediante el cual se ordenó archivar las actuaciones administrativas iniciadas con fundamento en la solicitud de las empresas distribuidoras, se debe tener en cuenta que al estar en curso la respectiva actuación administrativa de evaluación de las solicitudes de cargos de distribución, sin que se hubieran resuelto de fondo las mismas, y habiendo desaparecido del ordenamiento jurídico apartes fundamentales de la metodología definida en la Resolución CREG 202 de 2013, relacionados con (i) gastos de Administración, Operación y Mantenimiento (AOM), (ii) Otros Activos, (iii) mercados financiados con recursos públicos, y (iv) demanda, no es viable ni procedente evaluar parcialmente las solicitudes de mercados existentes.
En consecuencia, dado que los anteriores aspectos de la metodología tarifaria fueron revocados, ello impedía la aplicación de la metodología en cuestión por cuanto sin estos puntos específicos no se puede alcanzar el cálculo de una tarifa. Como resultado, se ordenó archivar las actuaciones administrativas iniciadas para las solicitudes tarifarias de los mercados relevantes de distribución de gas combustible por red de tuberías existentes, que cumplieron periodo tarifario y que realizaron el proceso de reporte de información correspondiente, o que no hubieren cumplido pero que decidieron acogerse a lo establecido en el numeral 6.5. de la Resolución CREG 202 de 2013, sin perjuicio de que se pudiera hacer una nueva solicitud tarifaria una vez se expidan la nuevas normas que complementen la metodología para la remuneración de la actividad de distribución de gas combustible por redes de tubería.
Caso diametralmente opuesto se observa respecto de la prestación del servicio de distribución de gas combustible por red de tuberías en los mercados nuevos, entendidos en la Resolución CREG 202 de 2013 en los siguientes términos:
“NUEVO MERCADO RELEVANTE DE DISTRIBUCIÓN PARA EL SIGUIENTE PERÍODO TARIFARIO: Corresponde al mercado relevante de distribución conformado según el literal iv) del numeral 5.2 del Artículo 5 de la presente resolución.”
(…)
5.2. CRITERIOS PARA LA CONFORMACIÓN DE LOS MERCADOS RELEVANTES DE DISTRIBUCIÓN PARA EL SIGUIENTE PERÍODO TARIFARIO.
A partir de la entrada en vigencia de la presente resolución, los Distribuidores podrán acogerse a los siguientes criterios para la conformación de los Mercados Relevantes de Distribución para el Siguiente Período Tarifario y proceder a solicitar a la CREG la aprobación de los cargos correspondientes:
(…)
iv. Creación de Nuevos Mercados de Distribución: Constituir Nuevos Mercados Relevantes de Distribución para el Siguiente Período Tarifario por Municipios Nuevos, bien sea que la infraestructura esté o no ejecutada.
En este orden, un mercado nuevo de distribución de gas combustible es aquel conformado por un municipio, grupo de municipios o centro poblado donde no se ha iniciado la prestación del servicio, en este tipo de mercados, del cual hace parte la presente solicitud, las tarifas necesarias para dar inicio al servicio no se han proferido nunca. En estos casos, las empresas solicitantes de estos nuevos mercados carecen legalmente de la posibilidad de desarrollar cualquier actividad en tanto no cuentan con la herramienta regulatoria que les permita liquidar y facturar tarifa alguna a sus usuarios.
No obstante lo anterior, en defensa de los preceptos constitucionales superiores, y con la finalidad última de garantizar la prestación del servicio, en los mercados relevantes correspondientes a las solicitudes tarifarias de los nuevos mercados de distribución de gas combustible por redes de tubería que no cuentan con cargos aprobados con la anterior metodología tarifaria, la CREG debe fijar cargos de distribución transitorios aplicando criterios con este mismo carácter transitorio para las disposiciones revocadas mediante la Resolución CREG 093 de 11 de julio de 2016, esto conforme a las competencias definidas en la Ley 142 de 1994 y con los preceptos constitucionales superiores, como ya se ha visto, con el fin de dar trámite a las mismas, y debido a que las disposiciones revocadas afectan el cálculo de las tarifas de estos mercados.
De esta manera, y con el fin de garantizar la prestación efectiva del servicio público de distribución de gas combustible, es procedente observar y dar cumplimiento a los principios constitucionales rectores del régimen de los servicios públicos domiciliarios en los eventos descritos de nuevos mercados relevantes de distribución.
V. Aplicación del régimen tarifario y los criterios tarifarios por parte de la CREG dentro de sus actuaciones administrativas
Ahora bien, en relación con la aplicación del régimen tarifario y los criterios tarifarios por parte de la CREG dentro de sus actuaciones administrativas, se debe tener en cuenta que del contenido de la Ley 142 de 1994 se han consagrado una serie de disposiciones relacionadas con lo que se denomina el “régimen tarifario”, para lo cual en su artículo 86 ha consagrado lo siguiente:
“Artículo 86. El régimen tarifario. El régimen tarifario en los servicios públicos a los que esta Ley se refiere, está compuesto por reglas relativas a:
(…)
86.4. Las reglas relativas a procedimientos, metodologías, formulas, estructuras, estratos, facturación, opciones, valores y, en general, todos los aspectos que determinan el cobro de las tarifas”.
En concordancia con lo anterior, el artículo 87 de la Ley 142 de 1994 establece lo siguiente:
“Artículo 87. Criterios para definir el régimen tarifario. El régimen tarifario estará orientado por los criterios de eficiencia económica, neutralidad, solidaridad, redistribución, suficiencia financiera, simplicidad y transparencia (…)” (Resaltado fuera de texto)
La misma Ley 142 de 1994 en su artículo 87 ha precisado que el régimen tarifario estará orientado por los criterios de eficiencia económica, neutralidad, solidaridad, redistribución, suficiencia financiera, simplicidad y transparencia. Esto, sin perjuicio igualmente de la aplicación de los principios a los que se ha hecho referencia, de acuerdo con los objetivos perseguidos por la regulación de acuerdo con la metodología que establece la forma que se debe remunerar una actividad que hace parte de los servicios públicos de energía eléctrica y gas combustible.
De estas normas se desprende entonces que le corresponde a las comisiones de regulación dar cumplimiento a los criterios tarifarios en aquellos aspectos definidos específicamente por el legislador y que hacen parte del régimen tarifario, como es el caso de los: i) procedimientos, ii) metodologías, iii) formulas, iv) estructuras, v) estratos, vi) facturación, vii) opciones, viii) valores; así como en aquellos eventos que de manera general se ajusten a un “aspecto que determine el cobro de las tarifas”, atendiendo el marco de sus competencias.
Es por esto que de acuerdo con la Ley 142 de 1994, el cumplimiento de dichos criterios no se limita ni se circunscribe de manera específica para el caso de las comisiones de regulación a la definición de las metodologías y de las fórmulas que de estas hacen parte, ya que el mismo legislador le otorgó a las entidades que hacen parte del régimen de los servicios públicos domiciliarios incluidas las comisiones de regulación, la obligación de dar cumplimiento a los criterios tarifarios a todos los aspectos que determinan el cobro de las tarifas.
De acuerdo con lo anterior, esta Comisión tiene la obligación legal, en cualquier momento y dentro del trámite de cualquier actuación administrativa de carácter general o particular que se adelante, de dar cumplimiento a los criterios tarifarios previstos en el artículo 87 de la Ley 142 de 1994 en todos los aspectos que determinan el cobro de las tarifas. Esto más aún cuando en concordancia con dicha disposición, la Ley 142 de 1994 ha dispuesto que los principios que contiene dicha norma se han de utilizar para resolver cualquier dificultad de interpretación al aplicar las normas sobre los servicios públicos, principios dentro de los cuales se encuentra la prestación eficiente del servicio.
En el mismo sentido lo incluyó la Resolución CREG 202 de 2013, al señalar que la metodología para el cálculo de los cargos de distribución se hará aplicando los criterios tarifarios establecidos en la Ley 142 de 1994 y de acuerdo a la conformación del Mercado Relevante de Distribución [20].
De la misma forma, la Ley 142 de 1994 ha dispuesto que todas las decisiones de las autoridades en materia de servicios públicos, incluida esta Comisión, deben fundarse en los motivos que determina la Ley, los cuales deben ser comprobables, por lo que dicho fundamento está relacionado con la aplicación de los criterios tarifarios dentro de un aspecto específico, ya sea en un acto de carácter general o como parte de una decisión que deba ser adoptada dentro de una actuación administrativa.
En este sentido, las comisiones de regulación se encuentran habilitadas para dar aplicación a los criterios tarifarios dentro de alguna de sus actuaciones administrativas o como parte de las decisiones que deben ser adoptadas como parte de sus funciones regulatorias en materia tarifaria, siempre que estas se enmarquen en alguno de los previstos en el régimen tarifario, de los cuales hacen parte los aspectos que determinan el cobro de las tarifas.
Ahora, esta disposición debe recibir el mismo análisis y tratamiento que se ha hecho por parte de esta Comisión en relación con la forma en que se deben interpretar y aplicar aquellas disposiciones que atribuyen facultades regulatorias a esta Comisión en el marco de la Ley 142 de 1994, incluyendo aquellas en materia tarifaria; razón por la cual, la aplicación de esta disposición no se debe hacer de manera aislada o que su aplicación se remita a su contenido literal y expreso, sino que por el contrario, la misma ha de ser entendida de forma integral, concordante y sistemática junto con aquellas normas que consagran los criterios tarifarios en materia de servicios públicos domiciliarios, los principios legales, así como los principios constitucionales que guían las actuaciones administrativas de esta Comisión.
Lo anterior, como ha sido el caso, por ejemplo, de aquellos casos donde se han llevado a cabo revisiones tarifarias por parte de la Comisión de acuerdo con lo previsto en el artículo 126 de la Ley 142 de 1994 [21], así como en materia de resolución de conflictos a que hace referencia el numeral 10 del artículo 73 de la Ley 142 de 1994 [22] .
Teniendo en cuenta la obligatoriedad de llevar a cabo la aplicación de los criterios tarifarios a todos los aspectos que determinan el cobro de las tarifas, respeto del criterio de eficiencia el artículo 87.1 de la Ley 142 de 1994 lo ha definido de la siguiente forma:
“Artículo 87. Criterios para definir el régimen tarifario. El régimen tarifario estará orientado por los criterios de eficiencia económica, neutralidad, solidaridad, redistribución, suficiencia financiera, simplicidad y transparencia.
87.1. Por eficiencia económica se entiende que el régimen de tarifas procurará que éstas se aproximen a lo que serían los precios de un mercado competitivo; que las fórmulas tarifarias deben tener en cuenta no solo los costos sino los aumentos de productividad esperados, y que éstos deben distribuirse entre la empresa y los usuarios, tal como ocurriría en un mercado competitivo; y que las fórmulas tarifarias no pueden trasladar a los usuarios los costos de una gestión ineficiente, ni permitir que las empresas se apropien de las utilidades provenientes de prácticas restrictivas de la competencia. En el caso de servicios públicos sujetos a fórmulas tarifarias, las tarifas deben reflejar siempre tanto el nivel y la estructura de los costos económicos de prestar el servicio, como la demanda por éste. (…)”
De acuerdo con esta disposición, por eficiencia económica se entiende que: i) el régimen de tarifas procurará que éstas se aproximen a lo que serían los precios de un mercado competitivo; ii) las fórmulas tarifarias no pueden trasladar a los usuarios los costos de una gestión ineficiente; y iii) las tarifas deben reflejar tanto el nivel y la estructura de los costos económicos de prestar el servicio.
En materia tarifaria, la aplicación de los criterios tarifarios y la remuneración que se debe hacer de las actividades que hacen parte de los servicios públicos domiciliarios de energía eléctrica y gas combustible se sujetan a un criterio de eficiencia, razón por la cual, la Comisión debe garantizar que la remuneración de las actividades que hacen parte de estos servicios, así como las tarifas o cargos que se definan permitan la inversión de activos por parte de las empresas y los costos en que incurran a efectos de mantener dichos activos y para llevar a cabo la prestación del servicio se haga de manera eficiente. Es por esto que, la definición de las formulas y los cargos o tarifas deben reflejar estos elementos previstos por la Ley 142 de 1994.
En este sentido, el desconocimiento de los criterios tarifarios dentro de las actuaciones adelantadas por parte de esta Comisión, en especial el de eficiencia económica, atentaría contra la finalidad constitucional de prestación eficiente en materia de servicios públicos domiciliarios [23] , debido a que la Honorable Corte Constitucional ha considerado dentro de su jurisprudencia [24] que además del razonamiento económico que lo justifica, estos servicios se caracterizan por tener una connotación eminentemente social, en tanto que pretenden el bienestar y mejoramiento de la calidad de vida de las personas y por ello su prestación debe ser eficiente, donde el Estado mantendrá siempre su regulación, control y vigilancia, por lo que su régimen tarifario consultará, además de los criterios de costos, los de solidaridad y redistribución de ingresos. De acuerdo con lo anterior, es deber del Estado asegurar su prestación eficiente.
La prestación eficiente se entiende entonces como la garantía que brinda el Estado de asegurar que las empresas que proporcionen el servicio lo hagan de manera racional, generando un mayor beneficio o rendimiento a los usuarios del servicio disponiendo de los costos en el menor grado posible, atendiendo a una tarifa competitiva, es decir, su remuneración debe permitir recuperar los costos eficientes en que incurran, así como tener en cuenta los aumentos de productividad esperados, los cuales, deben distribuirse entre la empresa y los usuarios, entre otros, a fin de que los recursos que se obtengan puedan ser invertidos en el mismo sector con el objetivo de tener unos mínimos beneficios que se traduzcan en mayor competitividad y mejores condiciones para los usuarios.
Adicionalmente, esta prestación eficiente asociada al régimen tarifario, debe atender los principios de eficiencia económica y suficiencia financiera. Por tanto, deben reflejar los costos y gastos propios de la operación. Es por esto que la tarifa que se paga por la prestación de un servicio público domiciliario está vinculada no sólo con el nivel de consumo del usuario, sino con los costos eficientes en que incurre la empresa respectiva para poder brindar el bien o servicio en condiciones de competitividad y está determinada por el beneficio que finalmente recibe el usuario.
De acuerdo con esto, se debe garantizar dentro de la remuneración de las tarifas que estas han de permitir la prestación, continúa e ininterrumpida del servicio, sin embargo, esta se debe realizar de manera eficiente, por lo que esta no puede ser a cualquier costo, en especial cuando ese costo represente una gestión ineficiente por parte de las empresas. Por lo tanto, no todo activo, ni todo costo o gasto destinado a la prestación del servicio debe ser remunerado sino sólo aquel que se encuentre en condiciones de eficiencia de acuerdo con lo previsto en cada metodología, así como parte de la aplicación del régimen tarifario [30].
En este orden de ideas, nótese como la idea central del proceso tarifario no es reconocer un costo “real” o registrado contablemente sino uno eficiente para todas las partes. En relación con lo anterior, esta Comisión se ha pronunciado en el siguiente sentido:
“Como primera medida es importante resaltar que la metodología para valorar la inversión que la CREG ha adoptado a través de la Resolución CREG 11 de 2003, no pretende reconocer los costos 'reales' que la empresa ha hundido en inversión y lo que aspira en AO&M. Por otro lado, si la intención de la CREG fuese reconocer ese valor no se adelantarían metodologías de valoración de inversión y AO&M sino que simplemente se le solicitaría a la empresa un reporte de este valor para incluirlo de manera pura y simple en la Resolución individual. Sin embargo la ley le ordena a la CREG fijar las tarifas con criterios de eficiencia, pues el propósito de estas Resoluciones, en términos generales, es conjugar los derechos de todos los sectores con interés en los procesos tarifarios, esto es, la empresa y los usuarios. Así las cosas, por un lado se encuentra la aspiración legítima de la empresa para que se le reconozcan sus inversiones y los costos asociados a la misma, y con mayor razón, cuando tales inversiones, según se afirma en los documentos que reposan en el expediente, se realizaron a partir de procesos que buscaban lograr los mejores costos, y por otro lado, se encuentra la posición del usuario que busca que se definan unas tarifas adecuadas. En consecuencia, el objetivo tarifario es lograr que con la eficiencia en la valoración de la inversión y del AO&M se equilibren estas posturas y de esa manera la empresa reciba lo que eficientemente le corresponde por su actividad y el usuario que desee el servicio se vea avocado a sufragarlo [25]” (Resaltado fuera de texto)
Así mismo, y frente a la aplicación del criterio de eficiencia, la H. Corte Constitucional ha precisado lo siguiente en el marco de la Ley 142 de 1994 en materia de servicios públicos domiciliarios:
“la eficiencia económica consiste en que: (i) las tarifas de los servicios públicos se aproximen a lo que serían los precios de un mercado competitivo; (ii) las fórmulas tarifarias tengan en cuenta los costos y los aumentos de productividad esperados; (iii) los aumentos de productividad esperados se distribuyan entre la empresa y los usuarios tal como ocurriría en un mercado competitivo; (iv) las fórmulas tarifarias no trasladen a los usuarios los costos de una gestión ineficiente; (v) las empresas no se apropien de las utilidades provenientes de prácticas restrictivas de la competencia. La referencia que hace la norma en el sentido de que '[e]n el caso de servicios públicos sujetos a fórmulas tarifarias, las tarifas deben reflejar siempre tanto el nivel y la estructura de los costos económicos de prestar el servicio, como la demanda por éste' versa sobre el ámbito de aplicación de los anteriores elementos”. (Resaltado fuera de texto)
Ahora, en cuanto al contenido de este criterio y la constitucionalidad del mismo en el marco de las tarifas que rigen los servicios públicos domiciliarios de energía eléctrica y gas combustible, ligado con el alcance constitucional que éste tiene en materia de dichos servicios, conforme a los elementos que lo componen en virtud de la referencia anterior, la H. Corte Constitucional ha precisado lo siguiente:
“4.5.2.2.4. En un mercado competitivo el incremento del precio como resultado de la ineficiencia, conlleva un riesgo, a saber, que el productor pierda participación en el mercado debido a que sus precios serán superiores a los de sus competidores. En este orden de ideas, la disposición según la cual 'las fórmulas tarifarias no pueden trasladar a los usuarios los costos de una gestión ineficiente' pretende que los usuarios no paguen el costo de las ineficiencias de las empresas, tal como no lo harían en un mercado competitivo.
4.5.2.2.5. Como ya se indicó, las prácticas restrictivas de la competencia son comportamientos por medio de los cuales, quien las realiza, se vale de las ventajas de las que pueda disponer para afectar las condiciones de equilibrio del mercado, lo cual impide que éste asigne de manera eficiente los bienes y servicios que se producen en una economía. La prohibición de que las empresas se apropien de las utilidades provenientes de tales prácticas, busca proteger dichas condiciones para garantizar la eficiencia del mercado en beneficio de los usuarios.
4.5.2.2.6. En conclusión, el numeral 87.1 del artículo 87 de la Ley 142 de 1994 contiene algunos de los elementos que, de acuerdo con la teoría económica de un mercado competitivo, caracterizan un mercado eficiente y las implicaciones que de éste se derivan. En este orden de ideas, la Corte encuentra que el criterio de eficiencia descrito en la norma en cuestión, desarrolla la prescripción del artículo 365 Superior, según el cual 'es deber del Estado asegurar su prestación eficiente a todos los habitantes del territorio nacional'. Si bien el legislador habría podido definir eficiencia en otros términos, se encuentra dentro de su margen de configuración hacerlo siguiendo teorías económicas sobre la eficiencia en un mercado económico competitivo. La Constitución no impone, como ya se anotó, un modelo económico y por lo tanto permite que el legislador tenga en cuenta diferentes teorías sobre qué es la eficiencia y cómo se logra que la autoridad de regulación propenda por ella, siempre que no adopte decisiones manifiestamente irrazonables o contrarias a mandatos o prohibiciones contenidos en la Carta. En cambio, como ya se anotó, habría violado el principio de reserva de ley en la fijación del régimen de la regulación de los servicios públicos domiciliarios el que el legislador hubiera guardado silencio al respecto, delegando implícita y prácticamente en el órgano regulador la definición de este principio de rango constitucional. Además, la definición legislativa está orientada a evitar distorsiones del mercado que lleven a que la libre competencia deje de ser un derecho en beneficio de todos. Por ello, se declarará su exequibilidad [26]. (Resaltado fuera de texto)
En esta misma línea la Corte ha precisado lo siguiente en relación con el régimen tarifario:
“Por último, la Sala considera necesario reiterar que el régimen tarifario, conforme a lo dispuesto por el artículo 367 de la Carta Política, debe consultar no sólo criterios de costos sino también de solidaridad, y que, según el artículo 73 de la Ley 142 de 1994, las comisiones de regulación tienen como finalidad promover la libre competencia y regular los monopolios, en orden a una prestación eficiente de los servicios públicos. En cumplimiento de esos objetivos, tales órganos deben asegurar la calidad de los servicios, evitar conductas arbitrarias de los prestadores del servicio y defender los derechos de los usuarios.
Por otro lado, al contrario de lo expuesto por el demandante, para la Corte es claro que el Congreso sí está facultado por la Constitución (arts. 150 -numeral 3- y 367 C.P.) para fijar el régimen tarifario de los servicios públicos domiciliarios y para determinar las entidades competentes para fijar las tarifas. En materia de servicios públicos domiciliarios fue directamente el Constituyente quien defirió tal competencia en el legislador y en ejercicio de esa facultad puede, como en efecto lo ha hecho, determinar cuáles son los elementos de las fórmulas tarifarias y cuáles los cargos que pueden incluirse. Siempre, teniendo en cuenta, además de los criterios de costos, los de solidaridad y redistribución de ingresos. Precisamente la Ley 142 de 1994 dispone que las comisiones de regulación son las llamadas a establecer las tarifas, de acuerdo con las previsiones que allí se consagran y respetando los principios que en la materia consagró la Constitución”. (Resaltado fuera de texto [27]
De acuerdo con lo expuesto, el criterio de eficiencia económica, incluido este como parte del régimen tarifario y su aplicación en los aspectos que determinan el cobro de las tarifas, tiene un amparo y respaldo constitucional y este ha sido analizado a fin de establecer su alcance dentro de las normas que hacen parte de la prestación de los servicios públicos de energía eléctrica y gas combustible. Así mismo, este ha sido objeto de aplicación por parte de esta Comisión dentro de las actuaciones tarifarias al momento de establecer las tarifas o los cargos como parte del régimen tarifario a que hace referencia la Ley 142 de 1994.
Frente a esto último, la jurisprudencia administrativa ha declarado la legalidad de aquellas decisiones regulatorias expedidas por parte de esta Comisión, en las cuales se ha llevado a cabo la aplicación del criterio de eficiencia en este sentido. En relación con lo anterior, la Sección Primera del H. Consejo de Estado en sentencia del tres (3) de diciembre de dos mil quince, con ponencia de la Consejera María Elizabeth García González, expediente número 2013-00757-01 expuso lo siguiente:
“De otra parte, para la Sala también carece de fundamento el argumento de la recurrente, según el cual la actuación de la CREG fue arbitraria, ilegal e inconstitucional, pues a su juicio, dicha entidad, mediante un test de razonabilidad y proporcionalidad pretendió evadir el cumplimiento de la ley, en cuanto ésta establece que para que una empresa se considere eficiente, las tarifas económicamente eficientes se definirán tomando en cuenta la suficiencia financiera, criterio que consagra la garantía para las empresas de la recuperación de los costos y gastos, incluyendo los de expansión, con el fin de dar desarrollo al principio de universalidad y con ello garantizar los derechos de todas las personas a gozar de servicios públicos domiciliarios.
Al respecto, conviene señalar que la actuación de la CREG no evadió el cumplimiento de la ley, ni fue arbitraria, ilegal e inconstitucional, ni sobrepuso la prohibición de la reformatio in pejus al principio de la eficiencia económica, pues a través de la Resolución núm. 121 de 2012 acusada, dicha entidad sujetó la valoración de las tarifas solamente a los costos eficientes de los loops y demás inversiones realizada por la sociedad actora, teniendo en cuenta que de acuerdo con la Corte Constitucional, dentro de las tarifas no se han de trasladar costos a los usuarios por una gestión ineficiente, en armonía con el citado principio de eficiencia.
Por tal razón, reconocer para los loops otros valores diferentes a los fijados mediante la mencionada Resolución, implicaría reconocer valores por fuera de los que se entienden como eficientes y, por ende, constituye un desconocimiento del criterio de eficiencia económica, ya que según este criterio las condiciones bajo las cuales debe establecerse el costo de la prestación del servicio debe reflejar ausencia de ineficiencias en las tarifas, vale decir, únicamente los costos y gastos propios de la operación.
Sobre este asunto, es preciso traer a colación la sentencia C- 150 de 25 de febrero de 2003 (Magistrado ponente doctor Manuel José Cepeda Espinosa), en la que la Corte Constitucional señaló:
(…)
Además, bajo el entendido de que el criterio de suficiencia financiera busca que la fórmula tarifaria contenga todas las erogaciones necesarias para prestar el servicio, incluido los costos, gastos, remuneración del patrimonio, para la Sala no cabe duda de que en la valoración de los cargos regulados para remunerar el transporte de la actora se respetó este criterio, toda vez que a través del artículo 11 de la Resolución núm. 121 de 2012 se aprobaron los cargos regulados para remunerar los Gastos de Administración, Operación y Mantenimiento (AOM), además de los costos eficientes.
Así las cosas, para la Sala, en el presente caso, no se evidencian las violaciones aducidas por la actora, razón por la cual debe mantenerse incólume la presunción de legalidad que ampara a los actos acusados y confirmarse la sentencia apelada, como en efecto se dispondrá en la parte resolutiva de esta providencia.” (Resaltado fuera de texto)
De acuerdo con lo expuesto, el criterio de eficiencia económica dentro de la remuneración de cada actividad dentro de los servicios públicos de energía eléctrica y gas combustible, no puede llevar a entender que la Comisión debe remunerar cualquier tipo de activos o de costos o gastos solicitados por la empresa, de la misma forma que la remuneración que se realice se haga a cualquier costo o en los términos solicitados por la empresa, incluyendo aquellos que no sean eficientes.
Esto, bajo justificaciones relativas a que dicho reconocimiento permitiría llevar a cabo la prestación continúa e ininterrumpida del servicio o utilización eficiente de los mismos, conllevando el reconocimiento de inversiones por fuera de valores eficientes, así como trasladar a los usuarios los costos de los activos, el mantenimiento de los mismos y demás gastos en que incurran las empresas que sean considerados ineficientes, lo anterior, bajo la justificación de garantizar la prestación del servicio.
Esto llevaría a entender que la labor regulatoria de la Comisión como mecanismo de intervención del Estado en la economía se limitaría a realizar un reconocimiento formal de las inversiones y de los costos y gastos solicitados por las empresas, lo que en la práctica se traduciría en que a pesar de existir una Ley que establece la intervención de dicha actividad, la cual incluye los instrumentos y los fines a los cuales se sujeta dicha intervención, esta actividad sería una actividad desregulada y libre al actuar de los agentes.
No sobra reiterar que atendiendo los lineamientos de la jurisprudencia constitucional [28] se ha precisado que la función de regulación debe orientarse a garantizar: i) la efectividad de los principios del Estado social de derecho; ii) corregir las fallas del mercado para el buen funcionamiento del mismo, generadas entre otras por externalidades, la ausencia de información perfecta, los monopolios naturales y las barreras de entrada o de salida, competencia destructiva; iii) orientar el interés privado al desarrollo de funciones socialmente apreciadas; iv) que los órganos de regulación han de ejercer sus competencias con miras a alcanzar los fines que justifican su existencia en un mercado inscrito dentro de un Estado social y democrático de derecho; v) promover la competencia, proteger los derechos de los usuarios o evitar el que dicho activo o gasto pueda estar destinado para la prestación del servicio, estaría actuando en contra de la Ley y la regulación.
En este sentido, la no inclusión de activos, costos o gastos destinados para la prestación continúa e ininterrumpida del servicio sin atender o verificar la aplicación de los principios a los que se sujetan los servicios públicos, así como los criterios tarifarios para cada metodología que remuneran las actividades que de éstos hacen parte, no puede ser entendido como el parámetro al que se sujeta el regulador dentro de las decisiones y las actuaciones administrativas que desarrolla.
Es por esto que las decisiones que adopten atendiendo este análisis permiten garantizar los postulados de equilibrio de las relaciones que deben existir entre usuarios y las empresas, las cuales se materializan en la prestación eficiente del servicio, lo que permite la efectividad de los derechos fundamentales y el interés colectivo, el adecuado funcionamiento del mercado, así como la compatibilidad de los intereses económicos de las empresas [29].
Se concluye entonces que, le corresponde a esta Comisión garantizar dentro de la remuneración de las tarifas que estas han de permitir la prestación, continúa e ininterrumpida del servicio, sin embargo, esta se debe realizar de manera eficiente, por lo que esta no puede ser a cualquier costo, en especial cuando ese costo represente una gestión ineficiente por parte de las empresas, más aún cuando esta Comisión tiene la obligación legal, en cualquier momento y dentro del trámite de cualquier actuación administrativa de carácter general o particular que se adelante, de dar cumplimiento a los criterios tarifarios previstos en el artículo 87 de la Ley 142 de 1994 en todos los aspectos que determinan el cobro de las tarifas y que hagan parte del régimen tarifario.
Por lo tanto, no todo activo, ni todo costo o gasto destinado a la prestación del servicio debe ser remunerado sino sólo aquel que se encuentre en condiciones de eficiencia de acuerdo con lo previsto en cada metodología, así como parte de la aplicación del régimen tarifario [30].
La no inclusión de la totalidad de los activos o de costos o gastos que se deben remunerar en condiciones de eficiencia para prestar el servicio de acuerdo con lo previsto en las metodologías tarifarias, deriva en un actuar del regulador por fuera de los mandatos establecidos en la ley y en la regulación, premisa que es totalmente diferente a justificar el reconocimiento de inversiones, así como de costos y gastos a cualquier costo, ya que esto implicaría el riesgo de trasladar la gestión ineficiente de los agentes en los cargos y en las tarifas.
VI. Análisis de la solicitud tarifaria presentada por la empresa GREEN COUNTRY S.A. E.S.P. y definición de los cargos máximos para la actividad de distribución de gas combustible
La metodología de remuneración de la actividad de distribución de gas combustible por redes de tubería contempla el concepto de mercado relevante de distribución que corresponde al municipio, grupo de municipios o centros poblados para el cual la CREG establece cargos por uso del sistema de distribución al cual están conectados un conjunto de usuarios.
Esta metodología es de precio máximo, el cual se establece a través de los cargos de distribución que son calculados a partir de costos medios históricos para mercados existentes o costos de mediano plazo para mercados o poblaciones nuevas, con estos se remunera las inversiones existentes para la demanda real y el programa de inversiones diseñado para una demanda futura, según corresponda.
Los cargos de distribución se obtienen básicamente como la relación entre el costo anual equivalente de las inversiones eficientes, incluyendo las inversiones existentes o el valor presente descontado de las inversiones proyectadas más los gastos eficientes anuales de la administración, operación y mantenimiento (AOM) o el valor presente descontado de los AOM proyectados y la demanda real obtenida en el año de corte o de la proyección de demanda. Lo anterior, utilizando una tasa de descuento o WACC (por sus siglas en inglés).
La metodología señalada reconoce las inversiones eficientes, de las cuales hacen parte, la inversión base que corresponde a la inversión en activos existentes a una fecha de corte o el programa de inversiones que propone ejecutar el distribuidor en el periodo tarifario. La valoración de los activos se hace a través de los costos eficientes que se han determinado previamente para unidades constructivas y que se encuentran señaladas previamente en las Resoluciones CREG 011 de 2003 y 202 de 2013.
Es de indicar que de acuerdo con la metodología se establece un cargo de distribución para usuarios residenciales y otro para usuarios de uso diferente al residencial, con este último las empresas podrán estructurar una canasta de tarifas por tipo de usuario y consumo.
De acuerdo con lo anterior y como parte de la aplicación de la metodología de la Resolución CREG 202 de 2013, así como de los criterios tarifarios previstos en el artículo 87 de la Ley 142 de 1994 y el esquema de incentivos para la actividad de distribución de gas combustible le corresponde a la CREG establecer: i) Mercado relevante de distribución para el siguiente periodo tarifario y para al cual se le definirán cargos de distribución; ii) las demandas de volumen en metros cúbicos de cada mercado; iii) el valor eficiente de las inversiones a reconocer, incluyendo la inversión base y el programa de nuevas inversiones, donde se aplicable, así como; iii) los valores eficientes de los gastos de AOM.
Se debe tener en cuenta que dentro de la remuneración de esta actividad el regulador fija una tarifa máxima para cada mercado relevante de distribución, definiendo el valor eficiente de las inversiones y de los gastos de AOM para una demanda real o futura esto por un periodo tarifario y el distribuidor asume los riesgos (e.g. caídas por factores de mercado), incremento en los gastos de AOM reconocidos (e.g. incremento en los gastos de personal) y variaciones en los costos de las nuevas inversiones (e.g. incrementos en los costos de los activos). En estos términos el distribuidor es un agente activo en la búsqueda de eficiencia (e.g. reducción de costos y aumento de demanda).
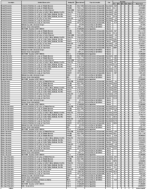
De acuerdo con lo anterior, se procede a hacer un análisis de la solicitud tarifaria de la empresa de acuerdo con los elementos que hacen parte de la metodología tarifaria d la Resolución CREG 202 de 2013 a efectos de establecer el cargo para el mercado relevante al cual se ha solicitado los cargos de distribución:
6.1. Nuevo Mercado relevante de distribución para el siguiente periodo tarifario
La Resolución CREG 202 de 2013 determina como criterios para la conformación de Mercado Relevante de Distribución para el siguiente período tarifario, la creación de Nuevos Mercados de Distribución. Así mismo, se podrá constituir un (v) mercado relevante de distribución especial, para corregimientos, caseríos o inspecciones de policía, que forman parte de municipios que se encuentran conformando mercados relevantes existentes siempre y cuando se cumplan con las condiciones establecidas en la resolución CREG 202 de 2013 para estos.
En este sentido el Mercado Relevante de Distribución para el siguiente período tarifario solicitado por la empresa Green Country S.A. E.S.P. está conformado por los siguientes municipios:
| CODIGO DANE DEL MUNICIPIO | MUNICIPIO | DEPARTAMENTO |
| 68152 | Carcasi | |
| 68322 | Guapotá | |
| 68344 | Hato | |
| 68425 | Macaravita | Santander |
| 68522 | Palmar | |
| 68266 | Enciso | |
| 68686 | San Miguel | |
6.2. Gastos de administración, operación y mantenimiento - AOM
Dentro de la metodología de la Resolución CREG 202 de 2013, a efectos de determinar el valor eficiente de los gastos de AOM, en el numeral 9.7 se estableció que “los gastos de administración, operación y mantenimiento (AOM) de cada mercado se determinarán con base en la metodología Frontera Estocástica que se describe en el Anexo 10 de la presente resolución”. En dicho Anexo se dispuso que “para establecer los gastos eficientes de Administración, Operación y Mantenimiento que se remunerarán en los cargos de distribución de gas combustible, se adoptará la metodología de frontera estocástica de costos y se aplicará de acuerdo con la conformación de los mercado(s) relevante(s) de distribución para el siguiente periodo tarifario” para lo cual en los numerales 4. 5 y 6 de dicho anexo 10 esta Comisión dispuso que:
“4. La Comisión a través de circular publicará un documento para someter a comentario la función óptima que mejor estime el comportamiento de los gastos AOM de las actividades de distribución y comercialización para el siguiente periodo tarifario.
5. A través de circular se publicará el documento definitivo el cual contendrá la respuesta a cada uno de los comentarios recibidos y la función óptima que mejor estime el comportamiento de los gastos AOM de las actividades de distribución y comercialización para el siguiente periodo tarifario.
6. Conforme la función seleccionada se asignará a cada una de las empresas un AOM estimado.”
Para estos efectos se expidió la Circular CREG 105 de 2015 en la cual se publicó el documento CREG No. 095 de 2015, que contiene la definición de las funciones óptimas para determinar la remuneración de los gastos de AOM de las actividades de distribución y comercialización de gas combustible por redes de tubería y de otros activos para la actividad de distribución – conforme a lo definido en el anexo 9 y 10 de la Resolución CREG 202 de 2013. Cabe anotar que el concepto de eficiencia hace parte de los criterios tarifarios establecidos en el artículo 87 de la Ley 142 de 1994 y respecto de los cuales se sustenta el régimen tarifario.
Ahora bien, mediante la Resolución CREG 093 de 2016 se revocó el numeral 9.7 y el Anexo 10 en donde se define el procedimiento para el establecimiento de los gastos de AOM eficientes, esto teniendo en cuenta que mediante un análisis de la información requerida para mercados existentes, la Comisión encontró graves problemas con respecto a la calidad de la información contable reportada y depurada por las empresas a diciembre de 2013, así como la relación que esta puede tener con respecto a los costos y gastos asociados con la prestación del servicio y en particular para la actividad de distribución de gas combustible y la cual fue el insumo principal para el desarrollo del cálculo de las funciones de gastos eficientes de AOM de la actividad de distribución de gas combustible por redes de tubería y los otros activos que fueron publicadas en la Circular CREG 105 de 2015, tal y como lo establecía la Resolución CREG 202 de 2013.
En este sentido y de acuerdo con los expuesto, para establecer los cargos en Nuevos Mercados de Distribución de las solicitudes tarifarias presentadas para el caso de la definición de los gastos de AOM, se incorporará un análisis conjunto de los siguientes elementos: i) los principios constitucionales y legales a los que se sujeta la prestación del servicio público domiciliario de gas combustible; ii) la aplicación de dichos principios se debe hacer de manera armónica y concordante con los criterios tarifarios a los que se sujeta la remuneración de la actividad de distribución de gas natural a través de los cargos máximos regulados, es decir, no puede haber una contradicción o una afectación de los mismos, y; iii) la remuneración de los activos y los gastos de AOM para la definición de los cargos tarifarios atendiendo la metodología de la Resolución CREG 202 de 2013 se debe hacer de acuerdo con parámetros de eficiencia que se puedan incorporar como parte de la aplicación del régimen tarifario, por lo que le corresponde a esta Entidad dar aplicación a los criterios tarifarios en todos los aspectos que determinan el cobro de las tarifas.
Teniendo en cuenta lo anterior, se considera pertinente y razonable, como parte del régimen tarifario de acuerdo con lo previsto en el artículo 86 de la Ley 142 de 1994, así como de acuerdo con las finalidades que cumple el ejercicio de la función regulatoria en materia tarifaria con la que cuenta esta Comisión, que frente a los gastos de AOM y de forma transitoria para definir esta variable, se lleve a cabo un ejercicio, en aplicación del criterio de eficiencia, que incluya tomar como referencia los mercados existentes y realizar una comparación de los AOM reportados por las empresas y depurados por la Comisión de los Nuevos Mercados con estos.
Por lo tanto para los Mercados Relevantes de Distribución para el Siguiente Período Tarifario conformados por municipios nuevos, el distribuidor presentó en su solicitud tarifaria la proyección de gastos de AOM durante el horizonte de proyección de veinte (20) años y concordante con los costos que se remuneran dentro de las actividad de distribución.
En esta proyección de gastos de AOM de distribución, el incremento anual de AOM en cada uno de los años desde el 2 hasta el 20 deberá ser menor o igual al incremento anual de demanda.
En caso en que el incremento anual de gastos de AOM en un año de la proyección sea mayor al incremento de la demanda en ese año, el gasto de AOM de ese año se ajustará al menor de los crecimientos entre el de AOM y el de la demanda.
Posteriormente se determinará el porcentaje de AOM eficiente de acuerdo con la siguiente fórmula:
![]()
donde:
| Promedio de los Gastos de AOM de los cinco (5) años reportados por las empresas en el horizonte de proyección y ajustados. Expresados en pesos de la fecha base. | |
| Valor de la posición central del conjunto de datos correspondientes a la semisuma de los porcentajes de los AOM reportados y depurados (AOMryd) y el porcentaje de AOM remunerados actualmente (AOMrem), ordenados de menor a mayor y de cada uno de los mercados existentes: |

| Esta mediana se estima con la mejor información recaudada de todos los mercados relevantes de distribución existentes, excluidos los mercados que no tienen información completa, o que su negocio predominante no sea el servicio de gas natural por redes de tubería, o que sean mercados especiales, o mercados donde un transportador de gas preste el servicio de distribución, o que presenten información inconsistente. | |
| BRAN | Base Regulatoria de Activos es la sumatoria de las inversiones reportadas en el programa de inversiones para los cinco (5) años del siguiente periodo tarifario. Esta incluye los activos inherentes a la operación y control de calidad del servicio, expresada en pesos de la fecha base. |
Cuando el porcentaje eficiente de gastos de AOM corresponda con el porcentaje de la relación , se utilizará la proyección de los gastos de AOM reportada por la empresa, para determinar los cargos de distribución.
En los casos en que el porcentaje eficiente de gastos de AOM corresponda con , se multiplicará el gasto de AOM proyectado para cada uno de los años, reportado por la empresa, por el siguiente factor:

La aplicación del criterio de eficiencia descrito permite: i) reducir las asimetrías en la información existentes con respecto a los gastos de AOM; ii) establecer un valor eficiente de gastos de AOM teniendo en cuenta los gastos eficientes reconocidos propios y de otras empresas comparables en la misma actividad,; iii) limitar que dentro de los cargos aprobados se traslade la gestión ineficiente de los agentes, en particular con la posibilidad de incorporar costos y gastos que no se encuentren relacionados con la prestación del servicio público domiciliario y en este caso, la actividad de distribución de gas combustible (i.e. los costos y gastos reflejados en la información contable de las empresas son objeto de análisis por parte de la Comisión en el marco del criterio de eficiencia, razón por la cual, estos no corresponden directamente a los costos y gastos eficientes dentro de la prestación del servicio); iv) garantizar que la decisión que apruebe los cargos se haga atendiendo parámetros de eficiencia, atendiendo motivos comprobables en el marco de la Ley 142 de 1994.
6.3. Inversión Base
La inversión base es la que se reconoce en los cargos de distribución y debe corresponder al dimensionamiento del sistema de distribución de acuerdo con la demanda de volumen, sistema valorado con los costos eficientes establecidos para cada una de las unidades constructivas.
La inversión base comprenderá: a) activos inherentes a la operación (estaciones de puerta de ciudad, gasoductos, estaciones de regulación, accesorios entre otros), b) otros activos (maquinaria y equipos, muebles, equipos de cómputo y comunicación, sistema de información) y c) activos asociados al control de la calidad del servicio.
6.3.1. Programa de Nuevas Inversiones (IPNI). Es la inversión del Programa de Nuevas Inversiones que se realizará en el Siguiente Período Tarifario. Esta homologada a las Unidades Constructivas definidas en el ANEXO 8 de la Resolución CREG 202 de 2013.
Teniendo en cuenta que la solicitud comprende la inclusión de municipios nuevos o que corresponde a un mercado nuevo la empresa reporta el siguiente programa de inversiones.
| ACTIVOS | AÑO 1 | AÑO 2 | AÑO 3 | AÑO 4 | AÑO 5 |
| Inherentes a la operación | 1.421.611.603 | - | - | - | - |
| Especiales | 820.448.204 | - | - | - | - |
| Calidad del servicio | 188.356.423 | - | - | - | - |
| Inversiones | 2.430.416.229 | - | - | - | - |
Cifras en pesos del 31 de diciembre de 2014
6.3.2. Otros Activos
Según lo señalado en la metodología, los otros activos reportados por las empresas no pueden ser superiores al monto en activos inherentes en operación por el porcentaje establecido conforme al Anexo 9 de la Resolución CREG 202 de 2013.
Mediante la Circular CREG 105 de 2015, para la determinación de otros activos se definió una función de regresión lineal que considera las variables de gastos de AOM y kilometro por área. El procedimiento para establecer esta variable también fue revocado mediante la Resolución CREG 093 de 2016, esto teniendo en cuenta que la función toma como insumo el valor de AOM resultante de la aplicación de lo dispuesto en el Anexo 10 de la Resolución CREG 202 de 2013, los problemas encontrados en la medición de los gastos de AOM por la calidad de la información contable y las asimetrías en dicha información afectan igualmente el cálculo del porcentaje de remuneración por otros activos. Además durante el proceso tarifario se encontró inconsistencias entre la información de kilómetros de red informada por las empresas para la definición de la función de regresión lineal y la reportada en la solicitud tarifaria, así como, las empresas depuraron la información contable de Otros Activos y en general su valor disminuyó.
De acuerdo con lo anterior y en concordancia con los fundamentos en que se sustenta el ejercicio llevado a cabo para determinar los gastos eficientes de AOM, se considera pertinente y razonable, como parte del régimen tarifario de acuerdo con lo previsto en el artículo 86 de la Ley 142 de 1994, así como de acuerdo con las finalidades que cumple el ejercicio de la función regulatoria en materia tarifaria con la que cuenta esta Comisión, llevar a cabo un ejercicio, como parte del criterio de eficiencia para establecer el porcentaje de otros activos a reconocer transitoriamente en Nuevos Mercados de Distribución así:.
Teniendo en cuenta el valor de Otros Activos y el de activos presentados en la solicitud tarifaria por la empresa para los Mercados Relevantes de Distribución conformados por Municipios Nuevos se establecerá el porcentaje eficiente de Otros Activos así:
![]()
donde:
| Porcentaje de Otros Activos eficiente que se reconocerá en los cargos de distribución de los mercados relevantes de distribución para el siguiente periodo tarifario. Este porcentaje se aplicará conforme a lo establecido en el literal b) del numeral 9.4 del artículo 9 de la Resolución CREG 202 de 2013. | |
| Porcentaje de Otros Activos resultante del reporte de la empresa en la solicitud tarifaria. | |
| Valor de la posición central del conjunto de datos correspondientes a la semisuma de los porcentajes de los Otros Activos reportados y depurados (%OAryd) y el porcentaje de Otros Activos remunerados actualmente en el cargo promedio de distribución aprobado mediante resolución particular conforme a la Resolución CREG 011 de 2003 (%OArem), ordenados de menor a mayor y de cada una de las empresas consideradas en la Circular CREG 105 de 2015: |
![]()
El monto correspondiente a Otros Activos se determinará conforme al porcentaje de otros activos eficiente y de acuerdo a lo indicado en el literal b) del numeral 9.4 del artículo 9 de la Resolución CREG 202 de 2013.
Aquí también la aplicación del criterio de eficiencia descrito permite: i) reducir las asimetrías en la información existentes con respecto a la información de otros activos; ii) establecer un porcentaje eficiente de otros activos propios y de otras empresas comparables en la misma actividad,; iii) limitar que dentro de los cargos aprobados se traslade la gestión ineficiente de los agentes, en particular con la posibilidad de incorporar inversiones que no se encuentren relacionados con la prestación del servicio público domiciliario y en este caso, la actividad de distribución de gas combustible (i.e. los costos y gastos reflejados en la información contable de las empresas son objeto de análisis por parte de la Comisión en el marco del criterio de eficiencia, razón por la cual, estos no corresponden directamente a los costos y gastos eficientes dentro de la prestación del servicio); iv) garantizar que la decisión que apruebe los cargos se haga atendiendo parámetros de eficiencia, atendiendo motivos comprobables en el marco de la Ley 142 de 1994.
6.3.3. Inversión de Recursos Públicos
Los recursos públicos permiten viabilizar y/o incentivar la construcción de infraestructura para el uso del gas combustible por redes de tubería en las poblaciones que no son atractivas para que las empresas privadas lleven el servicio, por condiciones tales como localización, tamaño y demanda del servicio. Estos aportes se hacen con fundamento en el artículo 87.9 de la Ley 142 de 1994, modificado por el artículo 99 de la Ley 1450 de 2011, el cual establece que:
“Las entidades públicas podrán aportar bienes o derechos a las empresas de servicios públicos domiciliarios, siempre y cuando su valor no se incluya en el cálculo de las tarifas que hayan de cobrarse a los usuarios y que en el presupuesto de la entidad que autorice el aporte figure este valor. Las Comisiones de regulación establecerán los mecanismos necesarios para garantizar la reposición y mantenimiento de estos bienes. Lo dispuesto en el presente artículo no es aplicable cuando se realice enajenación o capitalización de dichos bienes o derechos”
La norma permite que dentro del cobro de las tarifas se descuenten los valores correspondientes a los montos de las inversiones que son financiados con recursos públicos, permitiendo que el usuario obtenga una tarifa final con un menor impacto a nivel de precio, sin perjuicio de efectos tales como hacerla competitiva frente a otros energéticos. Esto hace parte de la política del Gobierno Nacional en materia de recursos públicos y subsidios dentro de la prestación de los servicios públicos domiciliarios.
La Comisión de Regulación de Energía y Gas en sus actos administrativos particulares realiza la discriminación de los cargos de distribución el valor correspondiente a la componente de inversión financiada con recursos públicos y el que corresponde a la componente de inversión de recursos propios de la empresa, de tal manera que la primera sea fácilmente identificable, para no ser cobrada en la tarifa a los usuarios por parte del prestador del servicio.
Respecto al tema, la empresa Green Country S.A. E.S.P. manifiesta que el proyecto no cuenta con recursos públicos.
7. Aspectos y elementos adicionales
Los anteriores análisis a la solicitud tarifaria, los cálculos tarifarios correspondientes efectuados por parte de la Comisión de Regulación de Energía y Gas, así como las consideraciones que justifican la presente resolución y demás información disponible, se encuentran incorporados en el Documento CREG 125 de 2016, soporte de la presente resolución.
Con base en lo establecido en el artículo 4 del Decreto 2897 de 2010 [31], reglamentario de la Ley 1340 de 2009, se respondió el cuestionario establecido por la Superintendencia de Industria y Comercio para efectos de evaluar la incidencia sobre la libre competencia de los mercados, donde aplicando las reglas allí previstas, la respuesta al conjunto de preguntas fue negativa, en la medida en que no plantea ninguna restricción indebida a la libre competencia, el cual se encuentra en el Documento CREG 125 de 2016.
Teniendo en cuenta la respuesta al cuestionario, y dado que la presente Resolución contiene un desarrollo y aplicación de la metodología y criterios generales para determinar la remuneración de la actividad de distribución de gas combustible establecidos en las Resolución CREG 202 de 2013, el presente acto administrativo de carácter particular no requiere ser remitido a la SIC para los efectos establecidos en el artículo 7 de la Ley 1340 de 2009, reglamentado por el Decreto 2897 de 2010, por no tener incidencia sobre la libre competencia [32].
La Comisión de Regulación de Energía y Gas, en su sesión 741 del 3 de noviembre de 2016, acordó expedir la presente resolución.
RESUELVE:
ARTÍCULO 1. MERCADOS RELEVANTES DE DISTRIBUCIÓN PARA EL SIGUIENTE PERIODO TARIFARIO. Conforme a lo definido en el numeral 5.2 de la Resolución CREG 202 de 2013, el Mercado Relevante de Distribución para el Siguiente Periodo Tarifario estará conformado por los siguientes municipios:
| CODIGO DANE DEL MUNICIPIO | MUNICIPIO | DEPARTAMENTO |
| 68152 | Carcasi | |
| 68322 | Guapotá | |
| 68344 | Hato | |
| 68425 | Macaravita | Santander |
| 68522 | Palmar | |
| 68266 | Enciso | |
| 68686 | San Miguel | |
ARTÍCULO 2. DEMANDAS DE VOLUMEN. Para el cálculo tarifario se utilizó la Demanda de Volumen presentada en el Anexo 2 de esta Resolución.
ARTÍCULO 3. INVERSIÓN BASE. La Inversión Base para determinar los cargos de distribución transitorios para el Mercado Relevante de Distribución definido en el artículo 1 de esta Resolución se compone como se indica a continuación:
3.1. Programa de Nuevas Inversiones para Municipios Nuevos (INPI). El Programa de Nuevas Inversiones corresponde a un valor presente de 2.430.416.229 ($ 31 de diciembre de 2014) y su descripción se presenta en el Anexo 1 de la presente Resolución:
3.2. Valoración de la Inversión Base.
Aplicando la metodología contenida en la Resolución CREG 202 de 2013 y sus modificaciones y adiciones, se calcularon conforme a las formulas establecidas en los numerales 9.1.1.3. y 9.2.1.3. del artículo 9 para la componente que remunera la inversión base, aplicable a usuarios de uso residencial y a usuarios diferentes a los de uso residencial y se obtuvieron las siguientes variables principales:
Usuarios de Uso Residencial
| Variable | Valor ($31-Dic-2014) | ||||
| 2015 | 2016 | 2017 | 2018 | 2019 | |
| IBMNRPk | 896.333.550,18 | 894.517.351,46 | 890.906.945,38 | 888.879.143,52 | 902.788.873,16 |
| IBMNRSk | 1.165.337.076,68 | 1.162.975.808,71 | 1.158.281.864,06 | 1.155.645.487,58 | 1.173.729.741,68 |
| VP(Q(PR)NoResRSk + Q(PR)Resk) | 1.078.786,61 | 1.063.952,20 | 1.035.299,96 | 1.019.680,58 | 1.133.911,67 |
| VP(Q(PR)Tk) | 1.078.786,61 | 1.063.952,20 | 1.035.299,96 | 1.019.680,58 | 1.133.911,67 |
Usuarios Diferentes a los de Uso Residencial
| Variable | Valor ($31-Dic-2014) | ||||
| 2015 | 2016 | 2017 | 2018 | 2019 | |
| IBMNRPk | 896.333.550,18 | 894.517.351,46 | 890.906.945,38 | 888.879.143,52 | 902.788.873,16 |
| IBMNRSk(NoRes)k | 68.535.027,43 | 68.413.122,88 | 68.170.264,58 | 68.033.554,54 | 68.966.891,04 |
| VP(Q(PR)Tk | 1.078.786,61 | 1.063.952,20 | 1.035.299,96 | 1.019.680,58 | 1.133.911,67 |
| VP(Q(PR)Resk) | 1.015.341,73 | 1.001.364,23 | 974.367,75 | 959.651,37 | 1.067.284,44 |
ARTÍCULO 4. GASTOS DE ADMINISTRACIÓN, OPERACIÓN Y MANTENIMIENTO - AOM. El nivel de eficiencia obtenido del modelo de optimización es del 77,66% Aplicando este resultado al valor presente de los gastos de AOM propuestos para el Horizonte de Proyección, se obtiene el siguiente valor 992.263.983. La comparación del porcentaje resultante de la relación del valor presente neto de la proyección de gastos de AOM de distribución, el procedimiento definido en la Resolución CREG 202 de 2013, la mediana de los mercados existentes de distribución de todo el país y conforme al crecimiento de la proyección de la demanda, determinan que el valor presente de los gastos de AOM para el Horizonte de Proyección y para incorporar al cálculo del cargo que remunera los gastos de AOM es el siguiente. En el Anexo 3 se presentan los gastos de AOM para cada año del el Horizonte de Proyección:
| Componente | AÑO | ||||
| 2015 | 2016 | 2017 | 2018 | 2019 | |
| Valor Presente AOM, con nivel de eficiencia. | 992.263.983 | 978.817.448 | 952.837.435 | 938.669.986 | 1.042.206.730 |
Cifras en pesos del 31 de Diciembre de 2014.
Aplicando la metodología contenida en la Resolución CREG 202 de 2013 y sus modificaciones y adiciones, se calcularon conforme a las formulas establecidas en los numerales 9.1.1.3. y 9.2.1.3. del artículo 9 para la componente que remunera los gastos de AOM, aplicable a usuarios de uso residencial y a usuarios diferentes a los de uso residencial, las siguientes variables principales:
Usuarios de Uso Residencial
| AÑO | |||||
| Variable | 2015 | 2016 | 2017 | 2018 | 2019 |
| VP(AOM (PR)RPk | 166.632.974,81 | 164.375.570,72 | 160.014.016,35 | 157.635.551,46 | 175.017.272,65 |
| VP (AOM (PR))RSk | 490.139.284,47 | 483.499.287,62 | 470.670.079,36 | 463.673.990,62 | 514.801.112,35 |
| VP(Q(PR)NoResRSk + Q(PR)Resk) | 1.078.786,61 | 1.063.952,20 | 1.035.299,96 | 1.019.680,58 | 1.133.911,67 |
| VP (Q(PR))Tk | 1.078.786,61 | 1.063.952,20 | 1.035.299,96 | 1.019.680,58 | 1.133.911,67 |
Usuarios Diferentes a los de Uso Residencial
| Variable | AÑO | ||||
| 2015 | 2016 | 2017 | 2018 | 2019 | |
| VP(AOMRPk) | 166.632.974,81 | 164.375.570,72 | 160.014.016,35 | 157.635.551,46 | 175.017.272,65 |
| VP(AOMRS(NoRes)k) | 28.825.744,91 | 28.442.290,83 | 27.701.119,08 | 27.296.770,57 | 30.249.069,24 |
| VP (Q(PR)Tk | 1.078.786,61 | 1.063.952,20 | 1.035.299,96 | 1.019.680,58 | 1.133.911,67 |
| VP (Q(PR)Resk) | 1.015.341,73 | 1.001.364,23 | 974.367,75 | 959.651,37 | 1.067.284,44 |
Cifras en pesos del 31 de Diciembre de 2014.
ARTÍCULO 5. CARGO DE DISTRIBUCIÓN APLICABLE A LOS USUARIOS DE USO RESIDENCIAL. A partir de la vigencia de la presente Resolución, el cargo de distribución aplicable a los usuarios de uso residencial aplicable en el Mercado Relevante definido en el artículo 1o, para recuperar los costos de inversión y los gastos de AOM para la distribución domiciliaria de gas combustible por red se fija transitoriamente de la siguiente manera:
Usuarios de Uso Residencial.
| Componente | 2015 | 2016 | 2017 | 2018 | 2019 | |
| Cargo de distribución Total | $/m3 | 2.519,91 | 2.542,75 | 2.588,50 | 2.614,38 | 2.439,64 |
| · Componente de inversión pagada con recursos de la empresa GREEN COUNTRY S.A. E.S.P. | $/m3 | 1.911,10 | 1.933,82 | 1.979,32 | 2005,06 | 1.831,29 |
| · Componente Gastos AOM | $/m3 | 608,81 | 608,93 | 609,18 | 609,32 | 608,35 |
Cifras en pesos del 31 de diciembre de 2014
PARÁGRAFO 1. Estos Cargos de Distribución se actualizarán de conformidad con lo establecido en el artículo 12 de la Resolución CREG 202 de 2013.
ARTÍCULO 6. CARGO DE DISTRIBUCIÓN APLICABLE A LOS USUARIOS DIFERENTES A LOS DE USO RESIDENCIAL. A partir de la vigencia de la presente Resolución, el cargo de distribución aplicable a los usuarios diferentes a los de uso residencial aplicable en el Mercado Relevante definido en el artículo 1o, para recuperar los costos de inversión y los gastos de AOM para la distribución domiciliaria de gas combustible por red se fija transitoriamente de la siguiente manera:
Usuarios Diferentes a los de Uso Residencial.
| Componente | 2015 | 2016 | 2017 | 2018 | 2019 | |
| Cargo de distribución Total | $/m3 | 2.519,91 | 2.542,75 | 2.588,50 | 2.614,38 | 2.439,64 |
| Componente de inversión pagada con recursos de la empresa GREEN COUNTRY S.A. E.S.P. | $/m3 | 1.911,10 | 1.933,82 | 1.979,32 | 2005,06 | 1.831,29 |
| · Componente Gastos AOM | $/m3 | 608,81 | 608,93 | 609,18 | 609,32 | 608,35 |
Cifras en pesos del 31 de diciembre de 2014
PARÁGRAFO 1. Estos Cargos de Distribución se actualizarán de conformidad con lo establecido en el artículo 12 de la Resolución CREG 202 de 2013 y aquellas que la adicionan y modifican
ARTÍCULO 7. VIGENCIA DE LOS CARGOS DE DISTRIBUCIÓN APLICABLES A LOS USUARIOS DE USO RESIDENCIAL Y A USUARIOS DIFERENTES A LOS DE USO RESIDENCIAL. Los Cargos de Distribución aplicables a los usuarios de uso residencial y a los usuarios diferentes a los de uso residencial, estarán vigentes desde la fecha en que quede en firme la presente resolución y hasta tanto se definan los cargos definitivos para un periodo de cinco años, calculados con los parámetros de AOM y Otros Activos que definirá la Comisión mediante resolución de carácter general.
PARÁGRAFO. De acuerdo con lo dispuesto en el parágrafo del Artículo 7 de la Resolución CREG 202 de 2013 y sus modificaciones y adiciones, si transcurridos doce (12) meses desde que haya quedado en firme la presente Resolución, el Distribuidor no ha iniciado la construcción del respectivo Sistema de Distribución, los cargos aquí aprobados así como la totalidad de lo dispuesto en esta resolución perderán su vigencia.
Se entenderá que el Distribuidor no ha iniciado la construcción del respectivo Sistema de Distribución, sí doce (12) meses después de que haya quedado en firme los cargos aprobados en la presente resolución, no ha ejecutado al menos un 50% las inversiones propuestas para el primer año de inversión.
FÓRMULA TARIFARIA.
ARTÍCULO 8. FÓRMULA TARIFARIA. La Fórmula Tarifaria aplicable al mercado relevante definido en el artículo 1 de la presente Resolución corresponderá a la establecida en el artículo 4 de la Resolución CREG 137 de 2013.
ARTÍCULO 9. VIGENCIA DE LA FÓRMULA TARIFARIA. La fórmula tarifaria, regirá a partir de la fecha en que la presente Resolución quede en firme y durante el término de vigencia de las fórmulas tarifarias definidas en la Resolución CREG-137 de 2013. Vencido este período las fórmulas tarifarias continuarán rigiendo mientras la Comisión no fije las nuevas, tal como está previsto en el Artículo 126 de la Ley 142 de 1994.
OTRAS DISPOSICIONES.
ARTÍCULO 10. La presente Resolución deberá notificarse al representante legal de la empresa GREEN COUNTRY S.A. E.S.P., y publicarse en el Diario Oficial. Contra las disposiciones contenidas en esta Resolución procede el Recurso de Reposición, el cual podrá interponerse ante la Dirección Ejecutiva de la CREG dentro de los cinco (5) días hábiles siguientes a la fecha de su notificación.
NOTIFÍQUESE, PUBLÍQUESE Y CÚMPLASE
Dada en Bogotá, D.C.
RUTTY PAOLA ORTIZ JARA
Viceministra de Energía
Delegada del Ministro de Minas y Energía
GERMÁN CASTRO FERREIRA
Director Ejecutivo
Presidente
PROGRAMA DE NUEVAS INVERSIONES.

(Valores expresados en de pesos del 31 de diciembre de 2014)
RUTTY PAOLA ORTIZ JARA
Viceministra de Energía
Delegada del Ministro de Minas y Energía
GERMÁN CASTRO FERREIRA
Director Ejecutivo
Presidente
PROYECCIONES DE USUARIOS Y DEMANDA.
NÚMERO DE USUARIOS

VOLUMEN (m3)

RUTTY PAOLA ORTIZ JARA
Viceministra de Energía
Delegada del Ministro de Minas y Energía
GERMÁN CASTRO FERREIRA
Director Ejecutivo
Presidente
PROYECCIÓN DE GASTOS AOM-
ADMINISTRACIÓN, OPERACIÓN Y MANTENIMIENTO .
| AÑO | GASTOS AOM ($ dic 2014) |
| 1 | 142.905.503 |
| 2 | 143.031.313 |
| 3 | 143.157.123 |
| 4 | 143.282.934 |
| 5 | 143.408.744 |
| 6 | 143.534.555 |
| 7 | 143.660.365 |
| 8 | 143.786.175 |
| 9 | 143.911.986 |
| 10 | 144.037.796 |
| 11 | 144.163.606 |
| 12 | 144.289.417 |
| 13 | 144.429.206 |
| 14 | 144.568.995 |
| 15 | 144.708.785 |
| 16 | 144.848.574 |
| 17 | 144.988.363 |
| 18 | 145.142.131 |
| 19 | 145.295.900 |
| 20 | 145.449.668 |
| VPN(2015) | 992.263.983 |
| VPN(2016) | 978.817.448 |
| VPN(2017) | 952.837.435 |
| VPN(2018) | 938.669.986 |
| VPN(2019) | 1.042.206.730 |
RUTTY PAOLA ORTIZ JARA
Viceministra de Energía
Delegada del Ministro de Minas y Energía
GERMÁN CASTRO FERREIRA
Director Ejecutivo
Presidente
1. Corte Constitucional. Sentencia C- 150 de 2003.
2. Corte Constitucional. Sentencia C- 150 de 2003.
3. Corte Constitucional. Sentencia T-551 de 1992.
4. Corte Constitucional. Sentencia T- 551 de 2002.
5. Ver entre otras las sentencias de la H. Corte Constitucional C-150 de 2003, C-1162 de 2000, C-186 de 2011.
6. Corte Constitucional, Sentencia C-075 de 2006.
7. Corte Constitucional, Sentencia C-150 de 2003, C-1120-05 Consejo de Estado, Sala de lo contencioso administrativo, Sección primera, Consejero ponente: doctor: Rafael E. Ostau de Lafont Pianeta, Bogotá, D.C., treinta (30) de abril de dos mil nueve (2009), Núm. Rad.: 11001 032400020040012301
8. Corte Constitucional, Sentencia SU-2010 <sic, 1010> de 2008.
9. Estos mecanismos de intervención en el mercado de los servicios públicos domiciliarios de energía eléctrica y gas combustible por parte de las comisiones de regulación, consagrados en las leyes 142 y 143 de 1994, han de considerarse entonces como mecanismos de racionalidad diseñados por el legislador, los cuales se encuentran constitucionalmente protegidos y cuyo uso está dirigido al cumplimiento de estos fines y objetivos.
10. En relación con el alcance con la que cuenta la CREG en ejercicio de sus facultades regulatorias, incluyendo aquella en materia tarifaria la H. Corte Constitucional en Sentencia C 150 de 2003, Magistrado Ponente Dr. Manuel José Cepeda Espinosa dispuso lo siguiente:
“Los órganos de regulación han de ejercer sus competencias con miras a alcanzar los fines que justifican su existencia en un mercado inscrito dentro de un Estado social y democrático de derecho. Estos fines se pueden agrupar en dos clases, a pesar de su variedad y especificidad. La primera clase comprende los fines sociales que el mercado por sí mismo no alcanzará, según las prioridades de orden político definidas por el legislador y de conformidad con el rango temporal que éste se ha trazado para alcanzarlos. La segunda clase abarca los fines económicos atinentes a procurar que el mercado funcione adecuadamente en beneficio de todos, no de quienes dentro de él ocupan una posición especial de poder, en razón a su predominio económico o tecnológico o en razón a su acceso especial al proceso de toma de decisiones públicas tanto en el órgano legislativo como en los órganos administrativos clásicos.
La regulación, en tanto que mecanismo de intervención del Estado, busca garantizar la efectividad de los principios sociales y el adecuado funcionamiento del mercado. En este orden de ideas, pasa la Corte a analizar los fines que en cada caso se persiguen y los criterios constitucionales que guían la acción del Estado para alcanzarlos (…)”.
12. Ley 142 de 1994, Arts. 1 a 12.
13. Corte Constitucional, Sentencia C- 075 de 2006
14. Adicionalmente de lo expuesto por parte de la Corte Constitucional en Sentencia C-353 de 2006, se debe tener en cuenta que como antecedente en relación con la aplicación de las normas en materia de servicios públicos domiciliarios y el ejercicio de las facultades regulatorias que ejercen las comisiones de regulación las siguientes consideraciones expuestas por parte de la Corte Constitucional en sentencia C-150 de 2003:
15. Ibídem.
16. Corte Constitucional, Sentencia C-263 de 2013.
17. Corte Constitucional, Sentencia C-150 de 2003.
18. [148] Sentencia C-389 de 2002; M.P. Clara Inés Vargas Hernández, precitada.
19. Sentencia C-150 de 2003 M.P Manuel José Cepeda Espinosa.
20. Resolución CREG 202 de 2013, Artículo 9º. METODOLOGÍA PARA EL CÁLCULO DE LOS CARGOS DE DISTRIBUCION A PARTIR DE LOS COSTOS MEDIOS HISTÓRICOS O COSTOS MEDIOS DE MEDIANO PLAZO.
21. Ver entre otras las Resoluciones CREG 101 de 2000, 100 de 2000, 099 de 2000, 052 de 2000, 052 de 2000, 042 de 2002, 117 de 2003, 114 de 2003, 003 de 2003, 089 de 2004, 070 de 2004, 123 de 2005, 123 de 2005, 075 de 2005, 074 de 2005, 074 de 2005, 109 de 2006, 068 de 2006, 062 de 2006, 051 de 2006, 050 de 2008, 088 de 2009, 061 de 2009, 094 de 2010, 124 de 2011, 062 de 2010, 096 de 2011, 086 de 2011, 038 de 2001, 010 de 2011, 121 de 2014, 009 de 2015, 040 de 2015, 041 de 2015, 062 de 2015 y 091 de 2015.
22. Ver entre otros el Auto I-2013-002499 solución de conflictos entre EPM y TGI en materia de contratos de transporte de gas natural.
23. Constitución Política, artículo 365.
24. Corte Constitucional, Sentencia C-041 de 2003.
25. Resolución CREG 087 de 2004 y Resolución CREG 121 de 2012.
26. Corte Constitucional, Sentencia C-150 de 2003
27. Corte Constitucional, Sentencia C-041 de 2003
28. Corte Constitucional, Sentencia C-150 de 2003.
29. En relación con lo anterior, la Honorable Corte Constitucional ha dispuesto lo siguiente:
“…..la Corte se pronunció sobre el alcance y relación de los artículos 333 y 334 de la Constitución, al indicar “que la regulación de la economía es un instrumento del que dispone el Estado para orientar el interés privado –como lo es la realización de una actividad empresarial– al desarrollo de funciones socialmente apreciadas. En efecto, esta Corporación ha subrayado que "la libertad económica permite también canalizar recursos privados, por la vía del incentivo económico, hacia la promoción de concretos intereses colectivos y la prestación de servicios públicos. En esa posibilidad se aprecia una opción, acogida por el constituyente, para hacer compatibles los intereses privados, que actúan como motor de la actividad económica, con la satisfacción de las necesidades colectivas. Por ello, el Constituyente expresamente dispuso la posibilidad de la libre concurrencia en los servicios públicos, los cuales pueden prestarse por el Estado o por los particulares, cada uno en el ámbito que le es propio, el cual, tratándose de estos últimos, no es otro que el de la libertad de empresa y la libre competencia. Sin embargo la Constitución ha previsto, para la preservación de valores superiores, las posibilidad y la necesidad de que el Estado ejerza labores de regulación, vigilancia y control, a través de una serie de instrumentos de intervención con los cuales se controlan y limitan los abusos y deficiencias del mercado. Dicha intervención es mucho más intensa precisamente cuando se abre la posibilidad de que a la prestación de los servicios públicos concurran los particulares”
30. Este análisis no es nuevo y el mismo ha sido expuesto por la Comisión en otras actuaciones administrativas como parte del ejercicio de sus funciones regulatorias en materia tarifaria como ocurre para el caso de las revisiones tarifarias como fue el caso de la Resolución CREG 062 de 2015.
31. Se debe precisar que estas disposiciones se encuentran recogidas actualmente en los numerales 2.2.2.30 y siguientes del Decreto 1074 de 2015.
32. Ibídem