RESOLUCIÓN 97 DE 2018
(julio 19)
Diario Oficial No. 50.709 de 7 de septiembre de 2018
COMISIÓN DE REGULACIÓN DE ENERGÍA Y GAS
Por la cual se aprueba cargo transitorio por uso del sistema de distribución de gas combustible por redes de tubería, para el mercado relevante conformado por el municipio de Ocaña, departamento de Norte de Santander, según solicitud tarifaria presentada por Metrogas de Colombia S.A. E.S.P.
LA COMISIÓN DE REGULACIÓN DE ENERGÍA Y GAS,
en ejercicio de sus atribuciones constitucionales y legales, en especial las conferidas por la Ley 142 de 1994, y en desarrollo de los Decretos 2253 de 1994 y 1260 de 2013, y
CONSIDERANDO QUE:
Antecedentes
El artículo 14.28 de la Ley 142 de 1994 definió el servicio público domiciliario de gas combustible como el conjunto de actividades ordenadas a la distribución de gas combustible, por tubería u otro medio, desde un sitio de acopio de grandes volúmenes o desde un gasoducto central hasta la instalación de un consumidor final, incluyendo su conexión y medición.
Según lo dispuesto por el artículo 28 de la Ley 142 de 1994, la construcción y operación de redes para el transporte de gas, así como el señalamiento de las tarifas por uso, se regirán exclusivamente por esa Ley y por las normas ambientales, sanitarias y municipales a las que se alude en los artículos 25 y 26 de la misma.
El artículo 73.11 de la Ley 142 de 1994 atribuyó a la Comisión de Regulación de Energía y Gas la competencia para establecer las fórmulas para la fijación de las tarifas del servicio público domiciliario de gas combustible.
Según lo dispuesto por el artículo 88.1 de la Ley 142 de 1994, la Comisión de Regulación de Energía y Gas podrá establecer topes máximos y mínimos tarifarios, de obligatorio cumplimiento por parte de las empresas.
Por medio de la Resolución CREG 011 de 2003 se establecieron los criterios generales para remunerar las actividades de distribución y comercialización de gas combustible, y las fórmulas generales para la prestación del servicio público domiciliario de distribución de gas combustible por redes de tubería a usuarios regulados en áreas de servicio no exclusivo.
Con base en esa metodología tarifaria se expidieron cargos de distribución y comercialización de gas combustible por red de tuberías a partir del año 2003. Los mercados para los cuales se establecieron dichos cargos se constituyen, a la fecha, como mercados relevantes existentes.
Con la siguiente resolución se aprobaron el Cargo Promedio de Distribución por uso del Sistema de Distribución de gas combustible por red y el Cargo Máximo Base de Comercialización de gas combustible por redes a usuarios regulados para el mercado relevante solicitado y atendido por la empresa Metrogas de Colombia S.A. E.S.P.:
- Resolución CREG 009 de 2008: Municipio de Ocaña, departamento de Norte de Santander.
Posteriormente, a través de la Resolución CREG 202 de 2013 se establecieron los nuevos criterios generales para remunerar la actividad de distribución de gas combustible por redes de tubería, los cuales reemplazaron la metodología fijada mediante la Resolución CREG 011 de 2003.
Mediante las Resoluciones CREG 052 de 2014, 138 de 2014, 112 de 2015, 125 de 2015 y 141 de 2015 se modificó y/o adicionó la Resolución CREG 202 de 2013.
Con la Resolución CREG 095 de 2015 se aprobó la metodología para el cálculo de la tasa de retorno que se aplicará en las actividades de transporte de gas natural, distribución de gas combustible, transporte de GLP por ductos, transmisión y distribución de energía eléctrica en el sistema interconectado nacional, y generación y distribución de energía eléctrica en zonas no interconectadas.
En la Resolución CREG 096 de 2015 se definieron los valores de la prima por diferencias entre el esquema de remuneración del mercado de referencia y el esquema aplicado en Colombia () y la tasa de descuento para la actividad de distribución de gas combustible.
Por medio de la Circular CREG 105 de 2015 se publicó el documento CREG número 095 de 2015, que contiene la definición de las funciones óptimas para determinar la remuneración de los gastos de Administración, Operación y Mantenimiento (AOM) de las actividades de distribución y comercialización de gas combustible por redes de tubería y de Otros Activos para la actividad de distribución conforme a lo definido en el anexo 9 y 10 de la Resolución CREG 202 de 2013.
A través de la Circular CREG 111 de 2015 y conforme a lo definido en la Resolución CREG 141 de 2015, la cual modifica la Resolución CREG 202 de 2013, se definió el cronograma comprendido entre el periodo del 7 al 30 de octubre de 2015 para que las empresas que prestan servicio de gas combustible por redes en mercados relevantes de distribución que cumplieron periodo tarifario realizarán el proceso de reporte de información correspondiente a las solicitudes de cargos.
En observancia del mandato dado por la Circular CREG 111 de 2015, las empresas procedieron a presentar sus solicitudes tarifarias en el orden propuesto por la CREG, dando así inicio a la evaluación tarifaria por parte de la Comisión.
En desarrollo de la evaluación de las solicitudes tarifarias y debido a circunstancias evidenciadas en los análisis tarifarios realizados, la Comisión emitió la Resolución CREG 093 del 11 de julio de 2016 mediante la cual adopta la medida de revocatoria parcial de la Resolución CREG 202 de 2013, modificada por las Resoluciones CREG 138 de 2014 y 125 de 2015, por las razones que expuestas en ese acto administrativo.
En la Resolución CREG 093 de 2016 se dispuso, además de la revocatoria parcial de la Resolución CREG 202 de 2013, que la información reportada en octubre de 2015 en relación con activos existentes a diciembre de 2014 y gastos de AOM sería considerada como información oficial y sería tenida en cuenta en los procesos de análisis tarifarios subsiguientes. Adicionalmente, se ordenó el archivo de las actuaciones administrativas tarifarias para los mercados relevantes de distribución de gas combustible por red de tuberías existentes que a la fecha de la revocatoria se habían iniciado y que se encontraban en trámite.
Debido a la necesidad de reemplazar los aspectos de la Resolución CREG 202 de 2013 revocados mediante a Resolución CREG 093 de 2016, la Comisión elaboró una propuesta regulatoria hecha pública con la Resolución CREG 095 de 2016, con el fin de recibir observaciones o sugerencias de los usuarios, los agentes, las autoridades municipales y departamentales, y demás interesados, en cumplimiento de lo establecido en el Decreto 2696 de 2004 compilado mediante el Decreto 1078 de 2015 y las normas relativas a publicidad del Código de Procedimiento Administrativo y de lo Contencioso Administrativo.
Con posterioridad a la revocatoria efectuada, la CREG adelantó ejercicios de depuración de la información reportada por los agentes distribuidores de gas combustible por redes de tubería, realizando visitas a las empresas y solicitando información correspondiente a gastos de AOM y Otros Activos para la vigencia 2013 directamente atribuidos a las actividades de distribución y comercialización y separando los gastos asociados a otros negocios. Dicho ejercicio se concretó en la solicitud de información realizada por la Comisión mediante la Circular CREG 004 de 2017, a partir de la cual las empresas modificaron la información reportada inicialmente en la solicitud tarifaria.
La empresa Metrogas de Colombia S.A. E.S.P. respondió a la Circular CREG 004 de 2017 mediante oficio con radicado CREG E-2017-002011 del 1 de marzo de 2017.
Con fundamento en la nueva información entregada por las empresas distribuidoras y comercializadoras de gas combustible en respuesta a lo solicitado por la Comisión mediante la Circular CREG 004 de 2017, así como en los comentarios efectuados por los agentes al proyecto de resolución publicado mediante Resolución CREG 095 de 2016, la Comisión modificó dicha propuesta inicial y publicó una nueva por medio de la Resolución CREG 066 de 2017 lo cual dio inicio un nuevo periodo de consulta para presentación de comentarios, observaciones y sugerencias.
Mediante la Resolución CREG 128 de 2017 la Comisión amplió el plazo para los comentarios de la Resolución CREG 066 de 2017.
En la sesión CREG 782 del 12 de junio de 2017 se decidió, por unanimidad, que las empresas distribuidoras de gas combustible por redes de tubería que presten servicio en mercados existentes podrían solicitar la aprobación de cargos transitorios de distribución de gas combustible para dichos mercados.
Por medio de la Circular CREG 034 de 2017 la Comisión dispuso que las empresas distribuidoras podrán solicitar aprobación de cargos transitorios de distribución de gas combustible por redes de tubería para los mercados existentes de su interés.
Trámite de la actuación administrativa
La empresa Metrogas de Colombia S.A. E.S.P., mediante comunicaciones radicadas en la CREG bajo los números E-2018-000003, E-2018-000049 del 2 de enero de 2018 y E-2018-000127 del 5 de enero de 2018 y con base en lo establecido en la Circular CREG 034 de 2017, solicitó la aprobación de los cargos transitorios de distribución de gas combustible por redes de tubería para el mercado relevante conformado por el siguiente municipio:
Cuadro No. 1
| Código DANE del municipio | Municipio | Departamento |
| 54498 | Ocaña | Norte de Santander |
El municipio del Cuadro número 1 conforma el mercado relevante de distribución aprobado mediante la Resolución 009 de 2008.
En la solicitud tarifaria, la empresa Metrogas de Colombia S.A. E.S.P. informa que el mercado no cuenta con recursos públicos para la financiación de la infraestructura de distribución de gas por redes.
Para adelantar la actuación se utilizan los datos de demanda de gas y las inversiones reportadas por la empresa en ApliGas, se utiliza la información de AOM y Otros Activos reportada y depurada por la empresa Metrogas de Colombia S.A. E.S.P. como respuesta a la Circular CREG 004 de 2017.
Una vez verificado el cumplimiento de los requisitos de presentación de la solicitud tarifaria, la Comisión dispuso iniciar, mediante auto proferido el día 12 de febrero de 2018, la respectiva actuación administrativa con fundamento en la manifestación expresa que hizo la empresa Metrogas de Colombia S.A. E.S.P. para la aprobación de cargos transitorios de distribución de gas combustible por redes de tubería, para el mercado relevante conformado por el municipio señalados en el cuadro número 1.
De acuerdo con lo establecido en el Auto del 12 de febrero de 2018 y para cumplir con lo dispuesto en el artículo 37 del Código de Procedimiento Administrativo y de lo Contencioso Administrativo, se publicó un extracto con el resumen de la actuación administrativa en el Diario Oficial número 50.507 del 14 de febrero de 2018. Así mismo, mediante el Aviso número 011 de 2018 se publicó el extracto con el resumen de la actuación administrativa en relación con la solicitud presentada por la empresa Metrogas de Colombia S.A. E.S.P. para la aprobación de cargos transitorios de distribución de gas combustible por redes de tubería. Lo anterior, a fin de que los terceros interesados pudiesen hacerse parte en la respectiva actuación.
En el análisis y desarrollo de la actuación administrativa, la empresa Metrogas de Colombia S.A. E.S.P., en su solicitud informa que al revisar la información de volumetría y costos de unidades constructivas contenida en la solicitud de ApliGas 1103, presenta diferencias frente a la información real de la compañía, por lo que la empresa solicita la corrección de la información reportada en el aplicativo.
La Comisión al revisar la información antes citada, encuentra que la empresa reporta las diferencias en cantidad (km) totalizados por unidad constructiva, diferente a la información en ApliGas en donde las siguientes unidades constructivas aparecen reportadas por año de inicio de operación.
De esta manera, y en desarrollo del cálculo de los cargos transitorios respectivos, la Comisión mediante Auto de Pruebas del 20 de febrero de 2018, requiere a la empresa Metrogas de Colombia S.A. E.S.P. discriminar las diferencias reales citadas por la empresa en su solicitud tarifaria por año de inicio de operación de cada unidad constructiva.
La empresa Metrogas de Colombia S.A. E.S.P. mediante oficio con radicado CREG E-2018-002202 del 8 de marzo de 2018, remite la información solicitada por la Comisión en el auto de pruebas antes citado.
3. Aspectos previos. Alcance de las facultades regulatorias de la CREG en el marco de la Ley 142 de 1994
En relación con el alcance de las atribuciones asignadas a esta Comisión en las leyes 142 y 143 de 1994 en materia regulatoria, se tiene en cuenta que el ejercicio de dicha facultad ha sido considerado como una forma de intervención estatal en la economía a fin de garantizar la prestación eficiente de los servicios públicos domiciliarios de energía eléctrica y gas combustible y el adecuado funcionamiento del mercado, corrigiendo los errores de un mercado imperfecto, delimitando el ejercicio de la libertad de empresa, promoviendo y preservando la sana y transparente competencia, protegiendo los derechos de los usuarios, así como de evitar el abuso de la posición dominante, entre otras. Es por esto que las facultades regulatorias previstas en los artículos 73 y 74.1 de la Ley 142 de 1994 deben sujetarse al cumplimiento de los fines y principios de orden constitucional y legal en materia social y económica(1) previstos en dichas normas, garantizando la efectividad de los principios sociales y el adecuado funcionamiento del mercado.
En este sentido, dentro de las actuaciones administrativas que adelante esta Comisión, para la correcta aplicación de los criterios en materia tarifaria, así como su aplicación armónica con los principios constitucionales(2) y legales(3) en materia de servicios públicos, debe existir una convergencia entre los intereses colectivos que persigue la prestación de los servicios públicos, como de aquellos intereses de las empresas en relación con la competencia, la iniciativa privada y la libertad de empresa, entendidas como la existencia de “relaciones jurídicas de equilibrio entre usuarios y las empresas prestadoras de servicios públicos domiciliarios”(4).
Por lo tanto, esta convergencia a través de los mecanismos regulatorios debe garantizar el equilibrio entre la libertad económica (incentivo económico), la promoción de intereses colectivos concretos y la prestación de servicios públicos, es decir, la regulación ha de propender por hacer compatibles los intereses privados, que actúan como motor de la actividad económica, con la satisfacción de las necesidades colectivas(5).
Este análisis en relación con el alcance y entendimiento que debe hacérsele al ejercicio de las facultades regulatorias por parte de las comisiones de regulación en materia de servicios públicos domiciliarios, como de las disposiciones que en esta materia contiene la Ley 142 de 1994, ha sido expuesto por parte de la jurisprudencia constitucional, en el caso del análisis de constitucionalidad del artículo 74 de la Ley 142 de 1994 (normas y tratamientos diferenciales de los agentes según su posición en el mercado), donde se ha precisado que dichas funciones se deben ejercer dentro del marco fijado en la Constitución, la Ley y el reglamento, lo cual no excluye la posibilidad de dictar actos administrativos para asegurar una prestación eficiente de los servicios
Finalmente, se debe tener en cuenta que la Ley 142 de 1994, en el numeral 18 del artículo 14, establece que la regulación es la facultad de dictar normas de carácter general o particular en los términos de la Constitución y de esa ley, para someter la conducta de las personas que prestan los servicios públicos domiciliarios a las reglas, normas, principios y deberes establecidos por la Ley y los reglamentos. En este sentido, la jurisprudencia constitucional ha precisado que la regulación es una actividad continua que comprende el seguimiento de la evolución del sector correspondiente y que implica la adopción de diversos tipos de decisiones y actos adecuados tanto para orientar la dinámica del sector hacia los fines que la justifican en cada caso, como para permitir el flujo de actividad socioeconómica respectivo. De esto hace parte igualmente el seguimiento del comportamiento de los agentes, a fin de orientar sus actividades dentro de los fines perseguidos en materia de servicios públicos, de acuerdo con lo previsto en la Ley 142 de 1994(6).
Es por esto que la facultad de regular implica tener en cuenta las dinámicas condiciones del mercado y las necesidades propias de cada sector, por lo que las medidas que se adopten deben atender dicha dinámica, realizando los ajustes a que haya lugar dentro del marco de competencias definido por la ley y teniendo en cuenta los hechos previamente comprobados.
4. Principios constitucionales que rigen la prestación de los servicios públicos
El constituyente tuvo a bien elevar a rango constitucional los principios rectores que rigen la prestación de los servicios públicos domiciliarios disponiendo entre otros aspectos:
“Artículo 365. Los servicios públicos son inherentes a la finalidad social del Estado. Es deber del Estado asegurar su prestación eficiente a todos los habitantes del territorio nacional.
Los servicios públicos estarán sometidos al régimen jurídico que fije la ley, podrán ser prestados por el Estado, directa o indirectamente, por comunidades organizadas, o por particulares. En todo caso, el Estado mantendrá la regulación, el control y la vigilancia de dichos servicios. Si por razones de soberanía o de interés social, el Estado, mediante ley aprobada por la mayoría de los miembros de una y otra cámara, por iniciativa del Gobierno decide reservarse determinadas actividades estratégicas o servicios públicos, deberá indemnizar previa y plenamente a las personas que en virtud de dicha ley, queden privadas del ejercicio de una actividad lícita.
Artículo 366. El bienestar general y el mejoramiento de la calidad de vida de la población son finalidades sociales del Estado. Será objetivo fundamental de su actividad la solución de las necesidades insatisfechas de salud, de educación, de saneamiento ambiental y de agua potable. Para tales efectos, en los planes y presupuestos de la Nación y de las entidades territoriales, el gasto público social tendrá prioridad sobre cualquier otra asignación.
Artículo 367. La ley fijará las competencias y responsabilidades relativas a la prestación de los servicios públicos domiciliarios, su cobertura, calidad y financiación, y el régimen tarifario que tendrá en cuenta además de los criterios de costos, los de solidaridad y redistribución de ingresos. Los servicios públicos domiciliarios se prestarán directamente por cada municipio cuando las características técnicas y económicas del servicio y las conveniencias generales lo permitan y aconsejen, y los departamentos cumplirán funciones de apoyo y coordinación”.
(Subrayas ajenas al texto original de la norma citada).
La prestación de los servicios públicos domiciliarios está íntimamente ligada al cumplimiento de los fines sociales del Estado Social de Derecho en tanto estos son catalogados como servicios esenciales, en este orden éste puede y debe intervenir de una manera efectiva para la consecución de sus fines, así como para asegurar la prestación real y práctica de los mismos, evitando dilaciones que entorpezcan su disfrute.
5. La aplicación material de los principios constitucionales y legales por parte de la Comisión
En desarrollo de los mandatos constitucionales y legales mencionados, la CREG expidió la metodología tarifaria de distribución de gas por redes de tubería, mediante la Resolución CREG 202 de 2013, por medio de la cual se fijaron los criterios y condiciones de remuneración de dicha actividad.
Esta metodología fijó entre otros aspectos los siguientes: i) las reglas para la conformación de sistemas de distribución, ii) las condiciones para establecer los mercados relevantes de distribución para el siguiente período tarifario, iii) las reglas para la solicitud y aprobación de cargos, iv) la vigencia de los nuevos cargos, v) la metodología de remuneración de la actividad de distribución de gas combustible por redes de tubería, vi) la metodología para el cálculo de los cargos de distribución a partir de los costos medios históricos o costos medios de mediano plazo, vii) la aplicación de la metodología de canasta de tarifas para usuarios diferentes a los de uso residencial, viii) la gradualidad en la aplicación de los nuevos cargos de distribución a usuarios de uso residencial, ix) la fórmula de actualización del cargo de distribución aplicable a usuarios de uso residencial y del cargo promedio de distribución aplicable a usuarios diferentes a los de uso residencial, x) el procedimiento para solicitar la reposición de activos, xi) el procedimiento para el cálculo del Cargo Delta de Confiabilidad y/o Seguridad en Distribución, xii) el procedimiento para el cálculo de los cargos en los mercados relevantes de distribución para el siguiente período tarifario en donde hay más de un distribuidor, xiii) el procedimiento para la reposición de activos de terceros, xiv) la aplicación de la metodología en las zonas geográficas que dejan de ser áreas de servicio exclusivo por culminación de los contratos de concesión, xv) las condiciones para la distribución de gas mediante gasoductos virtuales, xvi) las consideraciones para la conexión de un sistema de distribución a otros sistema de distribución, xvii) los costos unidades constructivas para valorar inversión existente, xviii) las cantidades de unidades constructivas reconocidas como inversión existente, xix) las unidades constructivas y su costo para la valoración de nuevas inversiones, xx) la metodología para establecer el costo eficiente de administración, operación y mantenimiento (AOM) y de los Otros Activos de la actividad de distribución de gas combustible, xxi) los costos de las unidades constructivas para la valoración de la inversión ejecutada durante la vigencia de la Resolución CREG 011 de 2003, xxii) la metodología para la determinación de la proyección de demanda de gas combustible en los municipios nuevos, etc.
Resulta oportuno centrarse en algunos de los aspectos antes mencionados con el fin de ilustrar la necesidad de aprobar cargos transitorios para mercados relevantes de distribución existentes y nuevos, o las diferentes posibilidades de integración que dispuso la Resolución CREG 202 de 2013.
En este orden se tiene que existen diferentes tipos de mercados, unos definidos por aquellos que fueron aprobados bajo la metodología tarifaria dispuesta en 2003 con la Resolución CREG 011 de ese año, considerados como mercados relevantes de distribución existentes, y otros definidos por aquellos que no cuentan con cargos aprobados para la prestación del servicio, considerados como nuevos mercados.
Por otro lado, también se debe tener presente la singularidad del procedimiento adelantado para la fijación de nuevos cargos, con ocasión de la entrada en vigencia de la metodología fijada mediante la Resolución CREG 202 de 2013, su posterior revocatoria parcial, así como los inconvenientes que esta situación impuso al proceso ordinario de expedición de una nueva metodología y su impacto en la actualización de cargos presentados en octubre de 2015, los cuales, en condiciones ordinarias, debían haber entrado en vigencia, de no presentarse la revocatoria mencionada, en el primer semestre de 2016.
Se debe tener presente que los cargos de distribución particulares actualmente vigentes fueron expedidos en virtud de la metodología tarifaria señalada en la Resolución CREG 011 de 2003, la cual tuvo una duración de diez (10) años (2003-2013). No obstante, esos cargos siguen vigentes hasta tanto no se fijen los nuevos. De esta manera, los cargos de los mercados considerados como existentes, en algunos casos, alcanzan un periodo de aplicación de hasta catorce (14) años.
Una vez expedida la nueva metodología tarifaria de distribución de gas por redes de tubería (Resolución CREG 202 de 2013) y presentadas las solicitudes de cargos por parte de las empresas, se puso de presente por parte de la CREG que algunos aspectos de la información presentada por estas evidenciaban inconsistencias que hacían necesaria la revocatoria parcial de la metodología, debido a que su aplicación planteaba una disconformidad con el interés público y una manifiesta oposición a la ley en aspectos que fueron ampliamente desarrollados en la resolución CREG 093 de 2016.
Este tipo de actuaciones administrativas no tienen precedentes en el desarrollo institucional de la Comisión, de tal forma que han derivado también en la adopción de medidas de orden excepcional y en algunos casos transitorios como la que ahora se adopta, de manera que se genere la menor afectación posible en la prestación de este servicio.
Se debe resaltar que la norma revocada, en su calidad de metodología tarifaria general, impone una serie de procedimientos legales con relación a su reemplazo, los cuales incluyen la puesta en consideración de los diferentes agentes de una propuesta de metodológica nueva, la cual para este caso concreto ha sido consultada en dos oportunidades, mediante las Resoluciones CREG 095 de 2016 y 066 de 2017, espacios de obligatorio cumplimiento para la administración, que han dilatado el procedimiento ordinario de expedición de la metodología y consecuentemente de los cargos.
Frente a estas realidades fácticas excepcionales, las empresas se enfrentan a un escenario en el que se evidencian dilaciones en la aprobación de sus nuevos cargos, lo cual implica un retraso en el reconocimiento, por parte del regulador, de las nuevas inversiones realizadas, así como de sus costos actuales de administración, operación y mantenimiento, el reconocimiento de los nuevos volúmenes de gas demandado y una nueva tasa de retorno de la inversión, que le permita a las empresas acercar estos componentes tarifarios a valoraciones más actuales, de manera que se permita alcanzar una prestación del servicio lo más eficiente posible, con tarifas más ajustadas a las realidades actuales, en beneficio tanto de los agentes prestadores del servicio como de los usuarios del mismo.
En línea con esta necesidad, la CREG expide la Circular 034 de 2017 mediante la cual se plantea la posibilidad de expedir cargos de distribución de gas combustible por redes de tubería con carácter transitorio para los mercados existentes de distribución, con el fin de actualizar los parámetros a las nuevas realidades de inversión, demanda, gastos de AOM y tasa de retorno.
En consecuencia, en defensa de los preceptos constitucionales y con la finalidad última de garantizar la prestación del servicio en los mercados relevantes correspondientes a las solicitudes tarifarias, tanto de los nuevos mercados como de los mercados existentes y sus diferentes conformaciones, la CREG debe fijar cargos de distribución transitorios con base en las normas vigentes y en los principios para la fijación de tarifas definidos en la Ley 142 de 1994.
De esta manera y con el fin de garantizar la prestación efectiva del servicio público de distribución de gas combustible, es procedente dar cumplimiento a los principios constitucionales rectores del régimen de los servicios públicos domiciliarios en los eventos descritos de mercados existentes y nuevos mercados relevantes de distribución.
6. Aplicación del régimen y los criterios tarifarios por parte de la CREG dentro de sus actuaciones administrativas
En relación con la aplicación del régimen tarifario y los criterios tarifarios por parte de la CREG dentro de sus actuaciones administrativas, se debe tener en cuenta que del contenido en la Ley 142 de 1994 se han consagrado una serie de disposiciones relacionadas con lo que se denomina el “régimen tarifario”, para lo cual en su artículo 86 ha consagrado lo siguiente:
“Artículo 86. El régimen tarifario. El régimen tarifario en los servicios públicos a los que esta Ley se refiere, está compuesto por reglas relativas a:
(…)
86.4. Las reglas relativas a procedimientos, metodologías, formulas, estructuras, estratos, facturación, opciones, valores y, en general, todos los aspectos que determinan el cobro de las tarifas”.
En concordancia con lo anterior, el artículo 87 de la Ley 142 de 1994 establece lo siguiente:
“Artículo 87. Criterios para definir el régimen tarifario. El régimen tarifario estará orientado por los criterios de eficiencia económica, neutralidad, solidaridad, redistribución, suficiencia financiera, simplicidad y transparencia (…)” (Resaltado fuera de texto).
De estas normas se desprende entonces que le corresponde a las comisiones de regulación dar cumplimiento a los criterios tarifarios en aquellos aspectos definidos específicamente por el legislador y que hacen parte del régimen tarifario, como es el caso de los: i) procedimientos, ii) metodologías, iii) formulas, iv) estructuras, v) estratos, vi) facturación, vii) opciones, viii) valores; así como en aquellos eventos que de manera general se ajusten a un “aspecto que determine el cobro de las tarifas”, atendiendo el marco de sus competencias.
Es por esto que, de acuerdo con la Ley 142 de 1994, el cumplimiento de dichos criterios no se limita ni se circunscribe, de manera específica para el caso de las comisiones de regulación, a la definición de las metodologías y de las fórmulas que de estas hacen parte, ya que el mismo legislador le otorgó a las entidades que hacen parte del régimen de los servicios públicos domiciliarios, incluidas las comisiones de regulación, la obligación de dar cumplimiento a los criterios tarifarios a todos los aspectos que determinan el cobro de las tarifas.
De acuerdo con lo anterior, esta Comisión tiene la obligación legal, en cualquier momento y dentro del trámite de cualquier actuación administrativa de carácter general o particular que se adelante, de dar cumplimiento a los criterios tarifarios previstos en el artículo 87 de la Ley 142 de 1994 en todos los aspectos que determinan el cobro de las tarifas. Esto más aún cuando en concordancia con dicha disposición, la Ley 142 de 1994 ha dispuesto que los principios que contiene dicha norma se han de utilizar para resolver cualquier dificultad de interpretación al aplicar las normas sobre los servicios públicos, principios dentro de los cuales se encuentra la prestación eficiente del servicio.
En el mismo sentido lo incluyó la Resolución CREG 202 de 2013, al señalar que la metodología para el cálculo de los cargos de distribución se hará aplicando los criterios tarifarios establecidos en la Ley 142 de 1994 y de acuerdo a la conformación del Mercado Relevante de Distribución(7).
De la misma forma, la Ley 142 de 1994 ha dispuesto que todas las decisiones de las autoridades en materia de servicios públicos, incluida esta Comisión, deben fundarse en los motivos que determina la ley, los cuales deben ser comprobables, por lo que dicho fundamento está relacionado con la aplicación de los criterios tarifarios dentro de un aspecto específico, ya sea en un acto de carácter general o como parte de una decisión que deba ser adoptada dentro de una actuación administrativa.
En este sentido, las comisiones de regulación se encuentran habilitadas para dar aplicación a los criterios tarifarios dentro de alguna de sus actuaciones administrativas o como parte de las decisiones que deben ser adoptadas como parte de sus funciones regulatorias en materia tarifaria, siempre que estas se enmarquen en alguno de los previstos en el régimen tarifario, de los cuales hacen parte los aspectos que determinan el cobro de las tarifas.
Ahora, esta disposición debe recibir el mismo análisis y tratamiento que se ha hecho por parte de esta Comisión en relación con la forma en que se deben interpretar y aplicar aquellas disposiciones que atribuyen facultades regulatorias a esta Comisión en el marco de la Ley 142 de 1994, incluyendo aquellas en materia tarifaria; razón por la cual la aplicación de esta disposición no se debe hacer de manera aislada o que su aplicación se remita a su contenido literal y expreso, sino que por el contrario, la misma ha de ser entendida de forma integral, concordante y sistemática junto con aquellas normas que consagran los criterios tarifarios en materia de servicios públicos domiciliarios, los principios legales, así como los principios constitucionales que guían las actuaciones administrativas de esta Comisión.
Lo anterior, como ha sido el caso, por ejemplo, de aquellas situaciones donde se han llevado a cabo revisiones tarifarias por parte de la Comisión de acuerdo con lo previsto en el artículo 126 de la Ley 142 de 1994(8), así como en materia de resolución de conflictos a que hace referencia el numeral 10 del artículo 73 de la Ley 142 de 1994(9).
Teniendo en cuenta la obligatoriedad de llevar a cabo la aplicación de los criterios tarifarios a todos los aspectos que determinan el cobro de las tarifas, respecto del criterio de eficiencia, el artículo 87.1 de la Ley 142 de 1994 lo ha definido de la siguiente forma:
“Artículo 87. Criterios para definir el régimen tarifario. El régimen tarifario estará orientado por los criterios de eficiencia económica, neutralidad, solidaridad, redistribución, suficiencia financiera, simplicidad y transparencia.
87.1. Por eficiencia económica se entiende que el régimen de tarifas procurará que éstas se aproximen a lo que serían los precios de un mercado competitivo; que las fórmulas tarifarias deben tener en cuenta no solo los costos sino los aumentos de productividad esperados, y que éstos deben distribuirse entre la empresa y los usuarios, tal como ocurriría en un mercado competitivo; y que las fórmulas tarifarias no pueden trasladar a los usuarios los costos de una gestión ineficiente, ni permitir que las empresas se apropien de las utilidades provenientes de prácticas restrictivas de la competencia. En el caso de servicios públicos sujetos a fórmulas tarifarias, las tarifas deben reflejar siempre tanto el nivel y la estructura de los costos económicos de prestar el servicio, como la demanda por este (…)”.
De acuerdo con esta disposición, por eficiencia económica se entiende que: i) el régimen de tarifas procurará que éstas se aproximen a lo que serían los precios de un mercado competitivo; ii) las fórmulas tarifarias no pueden trasladar a los usuarios los costos de una gestión ineficiente; y iii) las tarifas deben reflejar tanto el nivel y la estructura de los costos económicos de prestar el servicio.
En materia tarifaria, la aplicación de los criterios tarifarios y la remuneración que se debe hacer de las actividades que hacen parte de los servicios públicos domiciliarios de energía eléctrica y gas combustible se sujetan a un criterio de eficiencia, razón por la cual, la Comisión debe garantizar que la remuneración de las actividades que hacen parte de estos servicios, así como las tarifas o cargos que se definan permitan la inversión de activos por parte de las empresas y los costos en que incurran a efectos de mantener dichos activos y para llevar a cabo la prestación del servicio se haga de manera eficiente. Es por esto que la definición de las formulas y los cargos o tarifas deben reflejar estos elementos previstos por la Ley 142 de 1994.
En este sentido, el desconocimiento de los criterios tarifarios dentro de las actuaciones adelantadas por parte de esta Comisión, en especial el de eficiencia económica, atentaría contra la finalidad constitucional de prestación eficiente en materia de servicios públicos domiciliarios(10), debido a que la Honorable Corte Constitucional ha considerado dentro de su jurisprudencia(11) que además del razonamiento económico que lo justifica, estos servicios se caracterizan por tener una connotación eminentemente social, en tanto que pretenden el bienestar y mejoramiento de la calidad de vida de las personas y por ello su prestación debe ser eficiente, donde el Estado mantendrá siempre su regulación, control y vigilancia, por lo que su régimen tarifario consultará además los criterios de costos, los de solidaridad y redistribución de ingresos. De acuerdo con lo anterior, es deber del Estado asegurar su prestación eficiente.
La prestación eficiente se entiende entonces como la garantía que brinda el Estado de asegurar que las empresas que proporcionen el servicio lo hagan de manera racional, generando un mayor beneficio o rendimiento a los usuarios del servicio, disponiendo de los costos en el menor grado posible, atendiendo a una tarifa competitiva, es decir, a cada empresa en su remuneración, se le debe permitir recuperar los costos eficientes en que incurran, así como tener en cuenta los aumentos de productividad esperados, los cuales deben distribuirse entre la empresa y los usuarios, con el objetivo de tener mayor competitividad y mejores condiciones para los usuarios.
Adicionalmente, esta prestación eficiente asociada al régimen tarifario debe atender el principio de suficiencia financiera. Por tanto, debe reflejar los costos y gastos propios de la operación. Es por esto que la tarifa que se paga por la prestación de un servicio público domiciliario está vinculada no sólo con el nivel de consumo del usuario, sino con los costos eficientes en que incurre la empresa respectiva para poder brindar el bien o servicio en condiciones de competitividad y está determinada por el beneficio que finalmente recibe el usuario.
De acuerdo con esto, se debe garantizar, dentro de la remuneración de las tarifas, la prestación continúa e ininterrumpida del servicio, con el reconocimiento de costos actualizados.
No sobra reiterar que atendiendo los lineamientos de la jurisprudencia constitucional(12) se ha precisado que la función de regulación debe orientarse a garantizar: i) la efectividad de los principios del Estado social de derecho; ii) corregir las fallas del mercado para el buen funcionamiento del mismo, generadas entre otras por externalidades, la ausencia de información perfecta, los monopolios naturales y las barreras de entrada o de salida, competencia destructiva; iii) orientar el interés privado al desarrollo de funciones socialmente apreciadas; iv) que los órganos de regulación han de ejercer sus competencias con miras a alcanzar los fines que justifican su existencia en un mercado inscrito dentro de un Estado social y democrático de derecho; v) promover la competencia, proteger los derechos de los usuarios o evitar el que dicho activo o gasto pueda estar destinado para la prestación del servicio, con lo cual se estaría actuando en contra de la Ley y la regulación.
Es por esto que las decisiones que adopten la comisiones de regulación atendiendo el análisis previo realizado por la Corte Constitucional, permiten garantizar los postulados de equilibrio de las relaciones que deben existir entre usuarios y las empresas, las cuales se materializan en la prestación eficiente del servicio, lo que permite la efectividad de los derechos fundamentales y el interés colectivo, el adecuado funcionamiento del mercado, así como la compatibilidad de los intereses económicos de las empresas(13)
13 En relación con lo anterior, la Honorable Corte Constitucional ha dispuesto lo siguiente:
“…la Corte se pronunció sobre el alcance y relación de los artículos 333 y 334 de la Constitución, al indicar “que la regulación de la economía es un instrumento del que dispone el Estado para orientar el interés privado –como lo es la realización de una actividad empresarial– al desarrollo de funciones socialmente apreciadas. En efecto, esta Corporación.
Se concluye entonces que le corresponde a esta Comisión garantizar la prestación continúa e ininterrumpida del servicio, estableciéndole a las empresas criterios de remuneración de su actividad, actualizados.
7. Análisis de la solicitud tarifaria presentada por la empresa Metrogas de Colombia S.A. E.S.P. y la definición de los cargos transitorios para la actividad de distribución de gas combustible por redes de tubería
La metodología de remuneración de la actividad de distribución de gas combustible por redes de tubería contempla el concepto de mercado relevante de distribución que corresponde al municipio, grupo de municipios o centros poblados para el cual la CREG establece cargos por uso del sistema de distribución al cual están conectados un conjunto de usuarios.
Esta metodología tarifaria es de precio máximo, es decir, que la Comisión aprueba los cargos de distribución que son calculados a partir de costos medios históricos para mercados existentes o costos medios de mediano plazo para mercados o poblaciones nuevas. Con estos precios máximos se remuneran las inversiones existentes para la demanda real y el programa de inversiones diseñado para una demanda futura, según corresponda.
La metodología señalada reconoce las inversiones eficientes, de las cuales hacen parte la inversión base que corresponde a la inversión en activos existentes a diciembre de 2014 o el programa de inversiones que propone ejecutar el distribuidor en el periodo tarifario. La valoración de los activos se hace a través de los costos eficientes que se han determinado previamente para las unidades constructivas y que se encuentran señaladas en las Resolución CREG 202 de 2013.
Es de indicar que de acuerdo con la metodología se establece un cargo de distribución para usuarios residenciales y otro para usuarios de uso diferente al residencial. Con este último las empresas podrán estructurar una canasta de tarifas por tipo de usuario y rangos de consumo.
De acuerdo con lo anterior y como parte de la aplicación de la metodología de la Resolución CREG 202 de 2013, así como de los criterios tarifarios previstos en el artículo 87 de la Ley 142 de 1994 y el esquema de incentivos para la actividad de distribución de gas combustible, le corresponde a la CREG establecer: i) mercado relevante de distribución para el siguiente periodo tarifario y para el cual se le definirán cargos transitorios de distribución; ii) las demandas de volumen en metros cúbicos de cada mercado; iii) el valor eficiente de las inversiones a reconocer, incluyendo la inversión base y el programa de nuevas inversiones, donde sea aplicable, así como; iv) los valores eficientes de los gastos de AOM y otros activos; v) Factor de Uso Eficiente de redes; vi) implementación del esquema de descuentos en los casos de submercados en los que se invirtieron recursos públicos.
Se debe tener en cuenta que dentro de la remuneración de esta actividad, el regulador fija una tarifa máxima para cada mercado relevante de distribución, definiendo el valor eficiente de las inversiones y de los gastos de AOM para una demanda real o futura por un periodo tarifario El distribuidor asume los riesgos (e.g. caídas por factores de mercado), incremento en los gastos de AOM reconocidos (e.g. incremento en los gastos de personal) y variaciones en los costos de las nuevas inversiones (e.g. incrementos en los costos de los activos). En estos términos, el distribuidor es un agente activo en la búsqueda de eficiencia (e.g. reducción de costos y aumento de demanda).
7.1. Conformación del Mercado relevante de distribución para el siguiente periodo tarifario
El Mercado Relevante de Distribución para el siguiente período tarifario solicitado por la empresa Metrogas de Colombia S.A. E.S.P. está conformado por el siguiente mercado:
| N°. Mercado relevante | Resolución CREG | Código DANE del municipio | Municipio | Departamento | Tipo de mercado |
| 1 | 009 de 2008 | 54498 | Ocaña | Norte de Santander | Existente |
Tal como se observa, la conformación del mercado propuesto implica mantener la estructura del mercado relevante aprobado según la metodología tarifaria establecida en la Resolución CREG 011 de 2003.
7.2. Gastos de administración, operación y mantenimiento (AOM)
Mediante la Resolución CREG 093 de 2016 se revocaron el numeral 9.7 y el Anexo 10 de la Resolución CREG 202 de 2003, en donde se definía el procedimiento para el establecimiento de los gastos de AOM eficientes, esto teniendo en cuenta que mediante un análisis de la información requerida para mercados existentes, la Comisión encontró graves problemas con respecto a la calidad de la información contable reportada y depurada por las empresas a diciembre de 2013, así como la relación que esta puede tener con respecto a los costos y gastos asociados con la prestación del servicio y en particular para la actividad de distribución de gas combustible, la cual fue el insumo principal para el desarrollo del cálculo de las funciones de gastos eficientes de AOM de la actividad de distribución de gas combustible por redes de tubería y los otros activos que fueron publicadas en la Circular CREG 105 de 2015, tal y como lo establecía la Resolución CREG 202 de 2013.
En este sentido y de acuerdo con lo expuesto, para establecer los cargos en Mercados de Distribución de las solicitudes tarifarias presentadas para el caso de la definición de los gastos de AOM, se incorporará un análisis conjunto de los siguientes elementos: i) los principios constitucionales y legales a los que se sujeta la prestación del servicio público domiciliario de gas combustible; ii) la aplicación de dichos principios se debe hacer de manera armónica y concordante con los criterios tarifarios a los que se sujeta la remuneración de la actividad de distribución de gas natural a través de los cargos máximos regulados, es decir, no puede haber una contradicción o una afectación de los mismos, y; iii) la remuneración de los activos y los gastos de AOM para la definición de los cargos tarifarios atendiendo la metodología de la Resolución CREG 202 de 2013 se debe hacer de acuerdo con parámetros de eficiencia que se puedan incorporar como parte de la aplicación del régimen tarifario, por lo que le corresponde a esta Entidad dar aplicación a los criterios tarifarios en todos los aspectos que determinan el cobro de las tarifas.
Teniendo en cuenta lo anterior, se considera pertinente y razonable, como parte del régimen tarifario de acuerdo con lo previsto en el artículo 86 de la Ley 142 de 1994, así como de acuerdo con las finalidades que cumple el ejercicio de la función regulatoria en materia tarifaria con la que cuenta esta Comisión, que frente a los gastos de AOM y de forma transitoria para definir esta variable, se lleve a cabo un ejercicio, en aplicación del criterio de eficiencia.
La aplicación de este criterio, descrito a continuación, permite: i) reducir las asimetrías en la información existentes con respecto a los gastos de AOM; ii) establecer un valor eficiente de gastos de AOM teniendo en cuenta los gastos eficientes reconocidos propios y de otras empresas comparables en la misma actividad; iii) limitar que dentro de los cargos aprobados se traslade la gestión ineficiente de los agentes, en particular con la posibilidad de incorporar costos y gastos que no se encuentren relacionados con la prestación del servicio público domiciliario y iv) garantizar que la decisión que apruebe los cargos se haga atendiendo parámetros de eficiencia, atendiendo motivos comprobables en el marco de la Ley 142 de 1994.
Para el mercado relevante de distribución para el siguiente período tarifario descrito en el numeral 7.1, el cual constituye un mercado existente, se utiliza la información reportada a la CREG por la empresa distribuidora y comercializadora en las solicitudes tarifarias de los mercados que conforman el mercado relevante de distribución para el siguiente período tarifario, archivadas conforme lo dispuesto en el artículo 11 de la resolución CREG 093 de 2016, y con la depuración que pudo realizarse por parte de la CREG o por parte de la empresa como respuesta a comunicaciones particulares y/o a la Circular CREG 004 de 2017.
Para los mercados existentes que conforman el mercado relevante de distribución para el siguiente período tarifario descrito en el numeral 7.1, se utiliza la información de gastos de AOM reportada a la CREG por la empresa distribuidora y comercializadora en las solicitudes tarifarias de los mercados que conforman el mercado relevante de distribución para el siguiente período tarifario, archivadas conforme lo dispuesto en el artículo 11 de la resolución CREG 093 de 2016, y con la depuración que pudo realizarse por parte de la CREG o por parte de la empresa como respuesta a comunicaciones particulares y/o a la Circular CREG 004 de 2017.
Dichos gastos de AOM se reparten entre las actividades de distribución y comercialización conforme a los porcentajes reportados por la empresa para cada actividad. En caso de que la empresa no reporte dichos porcentajes, se dividirán los gastos de AOM en partes iguales entre las actividades de distribución y comercialización.
Al valor del gasto de AOM reportado y depurado asignado para la unidad de negocio de distribución se le adiciona el valor equivalente de arrendamientos de las cuentas 751701 (Terrenos) y 751702 (Construcciones y edificaciones). Este resultado se actualiza con el IPC al año 2014.
El valor de gastos de AOM se ajusta a diciembre de 2014 obteniendo el porcentaje de variación entre los kilómetros de red reportados para los años 2014 y 2013 y multiplicándolo por el valor de gastos de AOM obtenido al actualizar con el IPC.
Los gastos de AOM correspondientes a la actividad de distribución se asignan para cada uno de los mercados relevantes de distribución atendidos por la empresa en forma proporcional al número de usuarios o a los kilómetros de red según lo definido por la empresa.
Una vez definido lo anterior, se establece para el mercado relevante de distribución para el siguiente periodo tarifario el porcentaje de AOM eficiente a reconocer
de acuero con la siguiente fórmula:

Donde.
| Gastos de AOM anuales reportados por la empresa y con la depuración que pudo realizar la Comisión para el año 2013, asignados en forma proporcional al nùmero de usuarios y/o kilómetros de red segùn lo defina la empresa, para el mercado relevante de distribución para el siguiente periodo tarifario k, expresados en pesos de diciembre de 2011. Estos gastos incluyen los conceptos de valores equivalentes a arrendamientos de las cuentas terrenos, construcciones y edificaciones. | |
| Gastos de AOM anuales remunerados actualmente. Estos se calculan conforme a la siguiente fórmula y se expresan en pesos de diciembre de 2014 |

Donde:
| Cargo promedio de distribución correspondiente a remuneración de la componente AOM y para el mercado existente z aprobado mediante resolución particular conforme a la Resolución CREG 011 de 2003. Expresado en pesos por metro cùbico de diciembre de 2014 actualizado solo con IPP. Para las zonas que dejaron de ser àreas de servicio exclusivo se tomarà, como componente del cargo que remunera gastos de AOM, el cargo de distribució a pesos de diciembre de 2014 que se viene cobrando en dicha zona miltiplicado por el promedio del porcentaje de AOM del cargo residencial en el articulo 11 de la Resolución CREG 093 de 2016 | |
| Demanda total reportada a diciembre de 2014 para el mercado de distribución existente x. | |
| Mercado relevante de distribución aprobado mediante resolución particular conforme a la Resolución CREG 011 de 2003 o zonas geograficas que dejan de ser àreas de servicio exclusivo. | |
| Nùmero de mercados de distribución existentes z y que conformaran el mercado relevante de distribución para el siguiente periodo tarifario k. | |
| Base regulatoria de Activos es el monto total de la Inversion Base correspondiente a activos inherentes a la operación y control de calidad del servicio, a reconocer para el mercado relevante de distribución para el siguiente periodo tarifario k, expresada en pesos de diciembre de 2014 | |
| Valor de gasto de AOM maximo a reconocer por mercado relevante de distribución para el siguiente periodo tarifafio k, este se calcula conforme a la siguiente fórmula y se expresa en pesos de diciembre de 2014. |

Donde:
| Mercado relevante de distribución para el siguiente periodo tarifario. | |
| Corresponde al 12.7% del valor catastral de las construcciones y edificaciones atribuidos directamenrte a la unidad de negocio de distribución y que pertencen al mercado relevante de distribución para el siguiente periodo tarifario k. | |
| Corresponde al 12.7% del valor catastral de los terrenos atribuidos directamente a la unidad de negocio de distribución y que pertencen al mercado relevante de distribución para el siguiente periodo tarifario k. | |
| Corresponde a la relación entre los gastos de AOM y los activos de base regulatoria para el mercado relevante de distribución para el siguiente periodo tarifario k, calculada asi: |

Donde:
| Nùmero de municipios que contiende el mercado relevante de distribución para el siguiente periodo tarifario k. | |
| Total de kilómetros de red del mercado relelvante de distribución para el siguiente periodo tarifario k. | |
| Total de kilómetros de red del municipio p que pertenece al mercado relevante de distribución para el siguiente periodo tarifario k. | |
| Grupo de municipios conformados de acuerdo con sus caracteristicas fisicas y economicas | |
| Grupo de municipios por metodologia los cuales han sido conformados segùn la antiguedad en la prestación del servicio y a la metodologia tarifaria con la cual se le estableció el cargo de distribución vigente. | |
![]() | Porcentaje asignado por (AOM/BRA) al municipio p segùn la clasificación dada al mismo municipio por grupo G y metodologia M (Anexo de la presente Resolución) y conforme a la siguinete table:![]() |
El monto eficiente de gastos de AOM que considera en los càlculos de los cargos de distribución se determino con el porcentaje eficiente de AOM
establecio para el mercado del numeral 7.1 y multiplicado por el valor de BRA.
7.2.1. Otros gastos de AOM
A los gastos de AOM eficiente para la actividad de distribución determinado conforme al procedimiento descrito anteriormente, se les suman los valores correspondientes a los siguientes conceptos:
a) Los gastos de AOM eficientes para la infraestructura de confiabilidad.
b) Los gastos de AOM eficientes para la actividad de revisiones periodicas que establezca le CREG, conforme a las obligaciones establecidas a las empresas distribuidoras en la Resolución CREG 059 de 2012 y aquellas que la modifiquen o sustituyan. Las empresas deben presentar los gastos en que incurren al realizar las revisiones periodicas de las instalaciones internas y desconectar de estos el valor pagado a los Organismo de Inspección Acreditados.
c) Los gastos para el desarrollo de lo dispuesto en la Resolución CREG 127 de 2013 en: literal d) del articulo 19 y la adicion del numeral 4.28.2 establecida en el articulo 4.
d) Los gastos de servidumbre
7.2.2. Determinación de los porcentajes de
para cada uno de los grupos y metodologia.
El porcentaje
que se define para cada uno de los grupos y metodologia para establecer el
se determina a partir de un promedio simple del valor de la relacion
de 567 municipios que conformaban mercados existentes de distribución que pertenecen a cada grupo y metodologia, excluyendo los porcentajes correspondientes a los municipios que conformaban Àreas de Servicio Exclusivo.
La relacion
estimada para cada municipio se determina a partir de los gastos de AOM y BRA reportados por las empresas y depurados por la Comisión o por las mismas empresas y asignada a cada municipio de acuerdo con los kilómetros de red de la empres.
El valor del porcentaje resultante del promedio simple de los municipios que conforman el grupo y metodología es el que se le asigna al grupo y metodología respectivo y el que será como máximo a reconocer para cada uno de los municipios que pertenezcan a él incluyendo los que formaban parte de las Áreas de Servicio Exclusivo.
7.3. Inversión Base
La inversión base es la que se reconoce en los cargos de distribución y debe corresponder al dimensionamiento del sistema de distribución de acuerdo con la demanda de volumen, sistema valorado con los costos eficientes establecidos para cada una de las unidades constructivas.
La inversión base comprende la inversión realizada o la inversión a realizar en el Mercado Relevante de Distribución para el Siguiente Período Tarifario en: a) activos inherentes a la operación (estaciones de puerta de ciudad, gasoductos, estaciones de regulación, accesorios entre otros), b) otros activos (maquinaria y equipos, muebles, equipos de cómputo y comunicación, sistemas de información) y c) activos asociados al control de la calidad del servicio. Dicha Inversión Base se clasifica en:
Inversión Existente (IE): Inversión reconocida como existente en la última revisión tarifaria, correspondiente a activos reconocidos antes que iniciara el Período Tarifario que culmina, homologada a las Unidades Constructivas definidas en el Período Tarifario que culmina y valoradas a los costos reconocidos en dicho momento y ajustados conforme se encuentran definidas en el Anexo 4 y Anexo 5 de la Resolución CREG 202 de 2013.
Inversión Programada en nuevas inversiones que fue reconocida y ejecutada en la anterior revisión tarifaria (IPE): Inversión en activos que fueron reportados en el programa de nuevas inversiones en la anterior solicitud tarifaria y que se ejecutaron hasta diciembre de 2014, homologadas a las Unidades Constructivas y valoradas a los costos unitarios que fueron establecidos en la Resolución CREG 011 de 2003 y ajustados conforme se relacionan en el Anexo 6 de la Resolución CREG 202 de 2013.
Inversión Ejecutada durante el período tarifario y No Prevista en el Programa de Nuevas Inversiones (INPE): Inversión en activos que fueron ejecutados hasta diciembre de 2014 y que no fueron reportados en el Programa de Nuevas Inversiones, homologados a las Unidades Constructivas y valorados a los costos establecidos en la Resolución CREG 011 de 2003 y listados en el Anexo 6 de la Resolución CREG 202 de 2013. Estas podrán incluir la reposición de Inversión Existente (IE) ejecutada durante el período tarifario que culmina. En caso de corresponder a nuevas Unidades Constructivas se toma el valor de estas tal y como están definidas en el Anexo 8 de la Resolución CREG 202 de 2013.
Programa de Nuevas Inversiones (IPNI). Inversión del Programa de Nuevas Inversiones que se realizará en el Siguiente Período Tarifario. Esta deberá ser homologada a las Unidades Constructivas que se definan para el Siguiente Período Tarifario y valorada a los costos unitarios que se establecen en esta Resolución y que están definidos en el Anexo 8 de la Resolución CREG 202 de 2013.
Inversión Base de Reposición de activos (IRAIE): Inversión a reconocer para el programa de reposición de activos de la Inversión Existente (IE) que se realizará durante en el Siguiente Período Tarifario. Esta deberá ser homologada a las Unidades Constructivas que se definan para el Siguiente Período Tarifario y valorada a los costos unitarios que se establecen en el Anexo 8 de la Resolución CREG 202 de 2013.
La inversión base para el mercado relevante de distribución para el siguiente periodo tarifario del numeral 0 se divide así:
| Inversión Base | IE | IPE | INPE | IPNI | IRAE |
| Costo ($ dic. 2014) | - | 6.086.756.067 | 15.932.917.402 | - | - |
Cifras en pesos del 31 de diciembre de 2014
7.4. Otros Activos
Corresponden a activos asociados a las actividades de distribución como: maquinaria y equipos (vehículos, herramientas, etc.), muebles, equipos de cómputo y de comunicación y sistemas de información.
El monto de los Otros Activos reportado por la empresa, tanto en Inversión Existente como en Programa de Nuevas Inversiones, no podrá ser superior al monto de la inversión en Activos Inherentes a la operación por el porcentaje de Otros Activos eficiente.
El porcentaje de Otros Activos eficiente se estimará de acuerdo con el procedimiento que se describe a continuación, y el cual tiene como fin limitar que dentro de los cargos aprobados se traslade la gestión ineficiente de los agentes, en particular con la posibilidad de incorporar inversiones que no se encuentren relacionados con la prestación del servicio público domiciliario y en este caso, la actividad de distribución de gas combustible garantizando que la decisión que apruebe los cargos se haga atendiendo parámetros de eficiencia, atendiendo motivos comprobables en el marco de la Ley 142 de 1994.
Para el mercado relevante de distribución para el siguiente periodo tarifario descrito en el numeral 7.1, el cual se constituye un mercado existente, el porcentaje de Otros Activos eficiente será el resultante de aplicar el siguiente procedimiento:
Para los mercados existentes que conforman el mercado relevante de distribución para el siguiente período tarifario descrito en el numeral 7.1, se toma la información de Otros Activos reportada por la empresa distribuidora a la CREG en las solicitudes tarifarias de los mercados que conforman el mercado relevante de distribución para el siguiente período tarifario y que fueron archivadas conforme lo dispuesto en el artículo 11 de la Resolución CREG 093 de 2016, y con la depuración que pudo realizarse por parte de la CREG o por parte de la empresa como respuesta a comunicaciones particulares y/o a la Circular CREG 004 de 2017. Esta información corresponde a la del año 2013.
Luego se establece el porcentaje de Otros Activos eficiente a reconocer para el mercado relevante de distribución para el siguiente periodo tarifario de acuerdo con la siguiente fórmula:

Donde:
| Porcentaje de Otros Activos eficiente a reconocer en los cargos de distribución del mercado relevante de distribución para el siguiente periodo tarifario. | |
| Porcentaje de Otros Activos resultante del deporte de la empresa y de ejercicios de depuracion realizados por la Comisión y/o la empresa. Se calcula como la relación de la suma de las cuentas otros activos màs la suma del equivalente de las cuentas de arrendamientos, respecto a la suma de las cuentas de activos. El equivalente de las cuentas de arrendamientos se fija como el valor presente neto de un flujo anual del valor de la cuenta a 5 años y desconectado con una tasa del 12.7% | |
| Porcentaje de Otros Activos remunerado actualmente en el cargo promedio de distribución aprobado mediante resolución particular conforme a la Resolución CREG 011 de 2003 | |
| Porcentaje de Otros Activos màximo a reconocer para el mercado relevante de distribución para el siguiente periodo tarifario, este se calcula conforme a la siguiente formula. |

Donde:
| Nùmero de municipios que contiene el mercado relevante de distribución para el siguiente periodo tarifario k. | |
| Total de kilómetros de red del mercado relevante de distribución para el siguiente periodo tarifario k. | |
| Total de kilómetros de red del municipio p que pertenece al mercado relevante de distribución para el siguiente periodo tarifario k. | |
| Grupo de municipios conformados de acuerdo con sus caracteristicas fisicas y economicas. | |
| Grupo de municipios por metodologia los cuales han sido conformados segùn la antiguedad en la prestación del servicio y a la metodologia tarifaria con las cual se le establecio el cargo de distribución vigente. | |
Porcentaje de Otros Activos asignado para el municipio p segun la clasificación dada por grupo G y metodologia M (Anexo de la presente Resolución) y conforme a la siguiente tabla:![]() |
El monto correspondiente a Otros Activos no podrà ser superior al monto de la inversion en Activos Inherentes a la operación por el porcentaje de Otros Activos eficiente:
7.4.1. Metodologia para la determinación de los porcentajes de
para cada uno de los grupos y metodologia a los que pertenece cada uno de los municipios definidos.
El porcentaje
que se define para cada uno de los grupos y metodologia para establecer el
se determina a partir de un promedio simple del porcentaje de Otros Activos de 567 municipios que conformaban mercados existentes de distribución que pertenecen a cada grupo y metodologia, excluyendo los porcentajes correspondientes a los municipios que conformaban Àreas de Servicio Exclusivo
El valor del porcentaje resultante del promedio simple de los municipios que conforman el grupo y metodologia, serà el maximo a reconocer para cada uno de los municipios que pertenezcan a el incluyendo los que formaban parte de las Àreas de Servicio Exclusivo.
El porcentaje de Otros Activos de cada uno de los 567 municipios analizados se estimo igual al porcentaje de Otros Activos de la empresa que lo atiende
.
7.5. Demanda de volumen.
Para el mercado relevante de distribución para el siguiente periodo tarifario descrito en el numeral 7.1.1, el cual se constituye un mercado existente, se utiliza la demanda anual total obtenida en el año de corte para cada uno de los Mercados Relevantes de Distribución existentes presentada por el distribuidor en la solicitud tarifaria, archivada conforme lo dispuesto en el Articulo 11 de la Resolución CREG de 093 de 2016, ajustada por el Factor de Uso Eficiente "FUE" conformw a lo definido en el numeral 7.5.1 deesta resolución
7.5.1. Factor de uso eficiente de las redes de distribución.
El factor de Uso de redes de distribución "FU" muestra el nivel de utilización de una red de distribución con relación a su utilización potencial maxima.
Se adopta como criterio de eficiencia el Factor de Uso Eficiente "FUE" que corresponde al minimo factor de uso requerido para efectos tarifarios y para la aplicación de los criterios generales para remunerar la actividad de distribución de gas combustible por redes de tuberia.
Para determinar el ajuste por
se obtiene previamente el
para cada uno de los municipios con prestación de servicio de gas combustible por redes de tuberia que conformaban el Mercado Relevante de Distribuión para el siguiente Periodo Tarifario de la siguiente manera:

Donde:
| Nivel de utilización de la red de distribución p con relación a su potencial de utilización maxima. | |
| Demanda de los usuarios residenciales del municipio p presentada por el distribuidor en su solicitud tarifaria a diciembre de 2014. Expresada en metros cubicos (m3). Solicitud archivada conforme lo dispuesto en el articulo 11 de la Resolución CREG 093 de 2016 | |
| Corresponde a la demanda potencial para todos los usuarios anillados del municipio p. Esta se determina como el producto del nùmero de usuarios anillados por estrato reportado por los distribuidores, conforme a la Circular del MME 9041 del 18 de noviembre de 2014 y el consumo promedio de los usuarios residenciales reportados en el SUI para el mismo municipio p. |
Si el factor de Uso
de las redes de distribución es inferior al Factor de Uso Eficiente
establecido para el grupo al que corresponde ese municipio segun la clasificación por caracteristicas fisicas y economicas, se ajuta la demanda residencial reportada en la solicitud tarifaria para ese municipio con un factor de ajuste y con las siguientes formulas:


![]()
Donde:
| Factor de ajuste total para llegar al Factor de Uso Eficiente de Redes establecido para el municipio. | |
Factor de Uso Eficiente establecido para el municipio p segun el grupo G al cual pertenece.![]() | |
| Grupo de municipios conformados de acuerdo con sus caracteristicas fisicas y economicas al cual pertenece el municipio de anàlisis. | |
| Delta el Factor de ajuste que se debe aplicar anualmente segun el grupo de metodologia M al cual pertenezca el municipio p. | |
| Grupo de metodologia tarifaria 1.2 o 3 al cual pertenece el municipio p segun la antiguedad en la prestación del servicio y a la metodologia tarifaria con la cual se le establecio el cargo de distribución vigente. | |
Nùmero de años que se dan al municipio p para llegar al ![]() | |
| Demanda ajustada del municipio por | |
Nùmero por el cual se debe multiplicar el ![]() |
La demanda total reportada para cada municipio en la solicitud tarifaria, archivada conforme lo dispuesto en el articulo 11 de la resolución CREG 093 de 2016, se incrementa con el delta de demanda que resulte de la diferencia de la demanda residencial ajustada por efecto del factor de ajuste del FUE y la demanda residencial presentada en la solicitud tarifaria para el mercado relevante de distribución para el siguiente periodo tarifario solicitado.
Por lo tanto, el delta total de la demanda de la solicitud tarifaria corresponde a:

Donde n es el numero total de municipios, con prestación de servicio de gas combustible por redes de tuberia, que conforman el mercado relevante de distribución para el siguiente periodo tarifario.
7.5.2. Determinación de los porcentajes de
para cada uno de los grupos G.
El porcentaje
que se define para cada uno de los gruos que se utilizan para determinar el
se determina a partir de un promedio simple del porcentae obtenido de la relación
de 567 municipios que conforman mercados existentes de distribución y que pertenecen a cada grupo, excluyendo los porcentajes correspondientes a los municipios que conformaban àreas de servicio exclusivo y los que cuentan con aportes de recursos publicos.
El valor porcentual de FUE resultante del promedio simple de los municipios que conforman el grupo, es el que se le asigna al grupo respectivo y el que se le aplique a cada uno de los municipios que pertenezcan a él, incluyendo los que formaban parte de las Áreas de Servicio Exclusivo y que tienen aportes de recursos públicos.
7.6. Gradualidad
En el marco de los fines sociales y económicos que persigue la prestación del servicio público domiciliario, así como el ejercicio de la facultad regulatoria que ejerce esta Comisión, la jurisprudencia constitucional ha precisado que el régimen tarifario, conforme a lo dispuesto por el artículo 367 de la Carta Política, debe además de consultar criterios de costos, elementos que impidan la afectación de derechos fundamentales de los usuarios, por lo que se “deben valorar y ponderar los intereses de los usuarios”(14). Esto implica el deber de garantizar que los costos dentro de las tarifas constituyan el mínimo esfuerzo para los usuarios, evitando conductas arbitrarias por parte de los prestadores del servicio y defendiendo los derechos de los usuarios.
Esto es concordante con los fines previstos en el artículo 2o de la Ley 142 de 1994, el cual e su numeral 9 ha establecido lo siguiente:
“2.9. Establecer un régimen tarifario proporcional para los sectores de bajos ingresos de acuerdo con los preceptos de equidad y solidaridad.”
Esto más aún cuando el artículo 13 de esta misma Ley ha consagrado lo siguiente:
“Artículo 13. Aplicación de los principios generales. Los principios que contiene este capítulo se utilizarán para resolver cualquier dificultad de interpretación al aplicar las normas sobre los servicios públicos a los que esta u otras leyes se refieren, y para suplir los vacíos que ellas presenten.”
Se desprende por parte de esta Comisión del análisis de las facultades regulatorias asignadas en los artículos 73 y 74, así como de las disposiciones de la Ley 142 de 1994 asociadas al régimen tarifario(15), que se cuenta con la atribución de incorporar reglas y/o mecanismos operativos dentro del diseño de las estructuras tarifarias y en el presente caso, en materia de distribución de gas combustible, a efectos de que los cargos y/o tarifas que se le cobren a usuarios residenciales y no residenciales como parte de la prestación del servicio público domiciliario permitan garantizar la efectividad de los principios sociales relacionados con la satisfacción de las necesidades básicas de las personas, así como los aspectos económicos asociados al adecuado funcionamiento del mercado. Esto, a efectos de que no se vea afectada su prestación eficiente, en los términos de la Corte, valorando y ponderando los intereses de los usuarios.
Lo anterior, toda vez que el artículo 86 de la Ley 142 de 1994 establece lo siguiente:
“Artículo 86. El régimen tarifario. El régimen tarifario en los servicios públicos a los que esta Ley se refiere, está compuesto por reglas relativas a:
86.1. El régimen de regulación o de libertad.
86.2. El sistema de subsidios, que se otorgarán para que las personas de menores ingresos puedan pagar las tarifas de los servicios públicos domiciliarios que cubran sus necesidades básicas;
86.3. Las reglas relativas a las prácticas tarifarias restrictivas de la libre competencia, y que implican abuso de posición dominante;
86.4. Las reglas relativas a procedimientos, metodologías, fórmulas, estructuras, estratos, facturación, opciones, valores y, en general, todos los aspectos que determinan el cobro de las tarifas” (Resaltado fuera de texto)
De esta manera, La estructura tarifaria comprende el respeto por la señal brindada en la Resolución CREG 202 de 2013 en relación con la separación entre el cargo de distribución de gas combustible para usuarios residenciales y no residenciales; sin embargo, la misma debe considerar un aplicación e implementación gradual y progresiva, sin que se vea afectada la recuperación de costos por parte de las empresas y la prestación del servicio en condiciones de eficiencia.
De acuerdo con lo anterior, la medida regulatoria que se propone dentro de la estructura tarifaria de la actividad de distribución de gas combustible se ajusta a los lineamientos hechos por la jurisprudencia constitucional en relación con el alcance y los fines que debe cumplir el ejercicio de la facultad regulatoria con la que cuenta esta Comisión. Esto, toda vez que la misma busca dar cumplimiento a los fines sociales del Estado(16), en relación con la satisfacción de las necesidades básicas de los usuarios, la cual parte de un ejercicio de valoración y ponderación de los intereses de los usuarios en relación con el ajuste a las condiciones tarifarias que estos tienen actualmente, permitiendo que tanto la demanda residencial como la no residencial, de manera gradual y progresiva vean incorporados los ajustes a las tarifas, así como buscar evitar la existencia de un evento que pueda generar un indebido funcionamiento del mercado alterando las condiciones de la demanda perteneciente a los mercados de distribución.
Así mismo, esta medida atiende la consideración de que los servicios públicos domiciliarios tienen una relación inescindible entre su prestación eficiente y la efectividad de los derechos fundamentales de las personas, ya que su prestación eficiente asegura condiciones de vida digna de todos los habitantes del territorio nacional(17). Lo anterior, se reitera, sin afectar que la tarifa que se cubra durante dicho período reflejen el nivel y la estructura de los costos relacionados con la prestación del servicio, garantizando una remuneración eficiente y suficiente de los agentes distribuidores. Es por esto que se considera que la presente medida permite hacer compatibles los intereses privados, que actúan como motor de la actividad económica, con la satisfacción de las necesidades colectivas de los usuarios.
De acuerdo con lo anterior, la estructura tarifaria propuesta se enmarca dentro de los fines y objetivos que persigue el ejercicio de la facultad regulatoria con la que cuenta esta Comisión, de la misma forma que corresponde a uno de los aspectos que determinan el cobro de las tarifas, de acuerdo con lo dispuesto en el artículo 86 de la Ley 142 de 1994. En este sentido, dicha estructura hace parte del régimen tarifario frente al cual esta Comisión ejerce sus funciones en materia de regulación(18), por lo que la presente estructura tarifaria y las fórmulas para el cobro de las tarifas incorporan los elementos que se describen a continuación.
La gradualidad en la aplicación del cargo se realizará durante diez (10) años conforme a los siguientes casos:
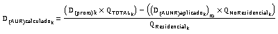
7.6.1. El valor del cargo de distribución promedio para el siguiente periodo tarifario del submercado es mayor al cargo actual aplicado a los usuarios diferentes a los de uso residencial en el mes inmediatamente anterior a la aprobación de la presente resolución ![]()
El cargo promedio del submercado de distribución k se calcula conforme a la siguiente fórmula:

Donde:
| Cargo promedio del submercado k. Expresado en pesos por metro cubico ($/m3) | |
| Cargo de distribución transitorio aplicable a usuarios de uso residencial del submercado de distribución k. | |
| Valor obtenido de la suma de i) demanda anual reportada en la solicitud tarifaria correspondiente a usuarios del uso residencial para mercados existentes del submercado de distribución k y ii( valor anual equivalente del valor presente de la proyección de demanda de usuarios de uso residencial de los municipios nuevos del submercado de distribución k. Demanda obtenida a diciembre de 2014 y expresada en metros cubicos (m3) | |
| Cargo promedio de distribución transitorio aplicable a usuarios diferentes a los de uso residencial del submercado de distribución k. | |
| Valor obtenido de la suma de i) demanda anual reportada en la solicitud tarifaria correspondiente a usuaros diferentes a los de uso residencial para los mercados existentes del submercado de distribución k y ii) valor anual equivalente del valor presente de la proyección de demanda de usuarios diferentes a los de uso residencial de los municipios nuevos del submercado de distribución k. Demanda obtenida a diciembre de 2014 y expresada en metros cubicos (m3) | |
| Valor obtenida de la suma de i) |
En el caso en que el valor del cargo de distribución promedio del submercado
sea mayor al cargo aplicado a los usuarios diferentes a los de uso residencial en el mes inmediatamente anterior a la aprobación de la presente resolución
se aplicara lo siguiente:
a) Del uno (1) al año seis (6) se tiene:
- Para los usuarios diferentes a los de uso residencial, se aplicara el siguiente cargo:
![]()
Donde:
| Cargo de distribución aplicado a los usuarios de uso diferente al residencial en el mes m en el submercado de distribución k. Expresado en pesos por metro cùbico ($/m3) | |
| Cargo de distribución aplicado a los usuarios diferentes a los de uso residencial en el mes inmediatamente anterior a la aprobación de la presente resolución en el submercado de distribución k. Expresado en pesos por metro cùbico ($/m3) |
En el caso en que en el submercado de distribución k haya mas de un cargo aplicado a usuarios de uso diferente al residencial en el mes inmediatamente anterior a la aprobación de la presente resolución, para la aplicación de la gradualidad se tomarà un unico
calculado como el promedio ponderado por demanda de dichos cargos del submercado.
- Para los usuarios de uso residencial, la gradualidad se aplicara como se define a continuación:
- Durante los dos (2) primeros años se realizarà una transición mes a mes. Para ello, se aplicara un cargo de distribución conforme a la siguiente ecuación:
![]()

Donde:
| Cargo de distribución aplicado a los usuarios de uso residencial en el mes m en el submercado de distribución k. Expresado en pesos por metro cùbico ($/m3) | |
| Mes para el cual se calcula el cargo de distribución. Esta variable toma valores de 1 a 24, de acuerdo con el mes de aplicación en los dos primeros años de gradualidad. | |
| Delta del cargo de distribución aplicable a los usuarios de uso residencial en el submercado de distribución k para los (2) primeros años de gradualidad. Expresado en pesos por metro cùbico ($/m3) | |
| Cargo de distribución final de la transicion para usuarios de uso residencial en el submercado de distribución k, calculado conforme a la siguiente ecuación: |
![]()
Donde:
| Cargo de distribución aplicado a los usuarios de uso residencial del submercado al final de la transición, expresado en pesos del mes de aprobación de la presente resolución. | |
| Cargo promedio del submercado k calculado con los cargos aprobados en la presente resolución para el año correspondiente al final de la transición, es decir el mes 24. Dado que estos cargos estàn expresados a pesos de diciembre de 2014, deberan actualizarse a pesos del mes de aprobación de la presente resolución. |
Dado que el distribuidor, durante los dos (2) primeros años, cobra un valor inferior del cargo de distribución se reconocera al distribuidor el saldo total acumulado de los dos (2) primeros años por las diferencias entre el cargo de distribución calculado y el cargo de distribución aplicado a los usuarios de uso residencial.
Para tal efecto, el distribuidor calcularà dicho saldo, aplicando la siguiente formula:

Donde:
| Mes para el cual se calcula el cargo de distribucion. Esta variable toma valores de 1 a 24, de acuerdo con el mes de apliación en los dos primeros años de gradualidad. | |
| Saldo Total Acumulado del distribuidor j del submercado de distribución k, por las diferencias entre el cargo de distribución calculado y el cargo de distribución aplicado a los usuarios de uso residencial en el mes m en el submercado de distribución k. Expresado en pesos ($) | |
| Tasa de interes que se determina mediante el càlculo del promedio ponderado por monto de colocación, de las semanas con dias del mes m, de las tasas de colocación de creditos comerciales (preferencial o corporativas) entre 366 y 1095 dias, del total de establecimientos (no incluye las tasas de las entidades financieras especiales excepto el FNA). La información para efectuar el càlculo de la tasa de interes es publicada por el Banco de la Republica con base en la información del formato 088 de la Superintendencia Financiera de Colombia. Para el calculo del mes 24, se utilizara la información que se tenga al momento del càlculo de la tarifa para el mes 25 | |
| Ventas de gas a usuarios residenciales en el mes m, efectuadas por el Distribuidor j, en el submercado de distribución k, expresado en m3 | |
| Cargo de distribución calculado para usuarios de uso residencial en el submercado de distribución k para el mes m. Expresado en pesos por metro cùbico ($/m3). Este cargo se calculara de la siguiente forma: |
![]()
Durante los meses 25 a 72 de la gradualidad, el distribuidor recuperarà mensualmente unca cantidad
dada por la siguiente ecuación:

Donde:
| Cantidad del saldo acumulado | |
| Mes para el cual se calcula el cargo de distribución. Esta variable toma valores de 25 a 72, de acuerdo con el mes de aplicación entre el tercer y sexto año de gradualidad. | |
| Nùmero de meses durante los cuales se recuperarà el saldo acumulado | |
| Promedio de las tasas |

El cargo de distribución para usuarios de uso residencial para los meses 25 a 72 de la gradualidad se determinara conforme a la siguiente fórmula:
![]()
Donde:
| Ventas de gas usuarios residenciales en el mes m-1, efectuadas por el Distribuidor j, en el submercado de distribución k, expresado en m3 | |
| Mes para el cual se calcula el cargo de distribución. Esta variable toma valores de 25 a 72, de acuerdo con el mes de aplicación desde el tercer y hasta el sexto año de gradualidad. |
b) Del año siete (7) al año diez (10) se aplicara lo siguiente.
- Para los usuarios de uso diferente al residencial, se avanzarà de forma gradual desde el cargo aplicado en el mes setenta y dos (72) a dichos usuarios hasta el cargo de distribución aprobado para usuarios de uso diferente al residencial
asi:
![]()

Donde:
| Mes para el cual e calcula el cargo de distribución. Esta variable toma valores de 7 a 120, de acuerdo con el mes de aplicación desde el septimo y hasta el decimo año de gradualidad. | |
| Delta del cargo de distribución aplicable a los usuarios de uso diferente al residencial en el submercado de distribución k para el septimo y hasta el decimo año de gradualidad. Expresado en pesos por metro cubico ($/m3) | |
| Cargo de distribución a usuarios diferentes a los de uso residencial del submercado k aprobados en la presente resolución para el año 2021. dado que estos cargos estan expresados a pesos de diciembre de 2014, deberan actualizarse a pesos del mes de aprobación de la presente resolucion. |
- Para los usuarios de uso residencial, se avanzarà de forma gradual hasta el cargo de distribución aprobado a usuarios de uso residencial
asi,

La actualizacion de los cargos aplicados a usuarios diferentes a los de uso residencial
durante los diez (10) años de la gradualidad, se realizara conforme al articulo 12 de la Resolución CREG 202 de 2013, modificado por el articulo 3o de la Resolución Creg 125 de 2015. Para su aplicacion, se consideraran:
| Indice de Precios de la oferta interna reportado por el DANE o la entidad competente para el mes de aprobación de la presente resolución. | |
| Indice de Precios al Consumidor Total Nacional reportado por el DANE para el mes de aprobación de la presente resolución. |
Así mismo, la componente de inversión y la componente de AOM tomarán la misma proporción que tienen dichas componentes en el cargo aprobado en la presente resolución para los usuarios diferentes a los de uso residencial.
Para la actualización de los cargos aplicados a los usuarios de uso residencial
durante los primeros dos (2) años de la gradualidad, la componente de inversion y la componente de AOM tomaran la misma proporción que tienen dichas componentes en el cargo aprobado en la presente resolución para los usuarios de uso residencial.
7.2.6. El valor del cargo de distriución promedio para el siguiente periodo tarifario del submercado es menor al cargo actual aplicado a los usuarios diferentes a los de uso residencial en el mes inmediatamente anterior a la aprobación de la presente resolución ![]()
En el caso en que el valor del cargo de distribución promedio del submercado
sea menor al cargo aplicado a los usuarios diferentes a los de uso residencial
en el submercado de distribución k, se aplicara la siguiente gradualidad:
a) Durante el año uno (1) se tiene:
- Tanto para usuarios de uso residencial como para los usuarios diferentes a los de uso residencial, se aplicara el cargo promedio del submercado
.
b) Del año dos (2) al año diez (10) se aplicara lo siguiente:
- Para los usuarios de uso diferente al residencial, se avanzara de forma gradual desde el cargo aplicado en el mes doce (12) a dichos usuarios hasta el cargo de distribución aprobado para usuarios de uso diferente al residencial
asi:
![]()
![]()
Donde:
| Cargo de distribución aplicado a los usuarios de uso diferente al residencial en el mes m en el submercado de distribución k. Expresado en pesos por metro cubico ($/m3) | |
| es para la cual se calcula el cargo de distribución. Esta variable toma valores de 13 a 120, de acuerdo con el mes de aplicacion desde el segundo y hasta el decimo año de gradualidad. | |
| Delta del cargo de distribución aplicable a los usuarios de uso diferente al residencial en el submercado de distribución k para el segundo y hasta el decimo año de gradualidad. Expresado en pesos por metro cubico ($/m3) | |
| Cargo promedio del submercado k calculado con los cargos aprobados en la presente resolución para el año correspondiente al final de la transición, es decir el mes 12. Dado que estos cargos estan expresados a pesos de diciembre de 2014, deberan actualizarse a pesos del mes de aprobación de la presente resolución |
- Para los usuarios de uso residencial, se avanzara de forma gradual hasta el cargo de distribución aprobado a usuarios de uso residencial
asi:

La actualización de los cargos aplicados a usuarios diferentes a los de uso residencial
se realizara conforme al articulo 12 de la Resolución CREG 202 de 2013, modificado por el articulo 3o de la Resolución CREG 125 de 2015. Para su aplicación, se consideran:
| Indice de Precios de la oferta interna reprtado por el DANE o la entidad competente para el mes de aprobación de la presente resolución. | |
| Indice de Precios al Consumidor Total Nacional reportado por el DANE para el mes de aprobación de la presente resolución. |
Así mismo, la componente de inversión y la componente de AOM tomarán la misma proporción que tienen dichas componentes en el cargo aprobado en la presente resolución para los usuarios diferentes a los de uso residencial.
8. Aspectos y elementos adicionales
Los anteriores análisis a la solicitud tarifaria, los cálculos tarifarios correspondientes efectuados por parte de la Comisión de Regulación de Energía y Gas, así como las consideraciones que justifican la presente resolución y demás información disponible, se encuentran incorporados en el Documento CREG 069 de 2018, soporte de la presente resolución.
El cargo de distribución por redes de tubería asignado mediante el presente acto administrativo estará vigente hasta que se expidan los cargos para el nuevo periodo tarifario de cinco años, salvo que la empresa solicite mantener este cargo durante ese nuevo periodo.
Dada la condición de transitoriedad del cargo asignado mediante esta Resolución, el presente cargo, previo el cumplimiento de los requisitos de publicidad y comunicación a las entidades correspondientes, debe regir tan pronto quede ejecutoriada.
Con base en lo establecido en el artículo 4o del Decreto 2897 de 2010(19), reglamentario de la Ley 1340 de 2009, se respondió el cuestionario establecido por la Superintendencia de Industria y Comercio para efectos de evaluar la incidencia sobre la libre competencia de los mercados, donde aplicando las reglas allí previstas, la respuesta al conjunto de preguntas fue negativa, en la medida en que no plantea ninguna restricción indebida a la libre competencia, el cual se encuentra en el Documento CREG 069 de 2018.
Teniendo en cuenta la respuesta al cuestionario, y dado que la presente resolución contiene un desarrollo y aplicación de la metodología y criterios generales para determinar la remuneración de la actividad de distribución de gas combustible establecidos en las Resolución CREG 202 de 2013, el presente acto administrativo de carácter particular no requiere ser remitido a la SIC para los efectos establecidos en el artículo 7o de la Ley 1340 de 2009, reglamentado por el Decreto 2897 de 2010, por no tener incidencia sobre la libre competencia(20).
La Comisión de Regulación de Energía y Gas, en su sesión 865 del 19 de julio de 2018, acordó expedir la presente resolución.
RESUELVE:
ARTÍCULO 1o. MERCADO RELEVANTE DE DISTRIBUCIÓN PARA EL SIGUIENTE PERIODO TARIFARIO. Conforme a lo definido en el numeral 5.2 de la Resolución CREG 202 de 2013, el Mercado Relevante de Distribución para el Siguiente Periodo Tarifario estará conformado por el siguiente municipio:
| Código DANE del municipio | Municipio | Departamento |
| 54498 | Ocaña | Norte de Santander |
ARTÍCULO 2o. DEMANDAS DE VOLUMEN. Para el cálculo tarifario se utilizó: i) la Demanda de Volumen ajustada con el Factor de Uso Eficiente FUE para el mercado existente. En el documento CREG 069 de 2018 que soporta la presente Resolución se presentan las demandas utilizadas para el respectivo cálculo.
ARTÍCULO 3o. INVERSIÓN BASE. La Inversión Base para determinar los cargos de distribución transitorios para el Mercado Relevante de Distribución definido en el artículo 1o de esta Resolución se compone como se indica a continuación:
3.1. Inversión Existente (IE): Inversión reconocida como existente en la última revisión tarifaria, corresponde a un valor de $0,00 ($ 31 de diciembre de 2014) y su descripción se presenta en el documento CREG 069 de 2018 que soporta la presente Resolución.
3.2. Inversión Programada en nuevas inversiones que fue reconocida y ejecutada en la anterior revisión tarifaria (IPE): Inversión en activos que fueron reportados en el programa de nuevas inversiones en la anterior solicitud tarifaria y que se ejecutaron hasta diciembre de 2014 corresponde a un valor de $6.086.756.670 ($ 31 de diciembre de 2014) y su descripción se presenta en el documento CREG 069 de 2018 que soporta la presente Resolución.
3.3. Inversión Ejecutada durante el período tarifario y No Prevista en el Programa de Nuevas Inversiones (INPE): Inversión en activos que fueron ejecutados hasta diciembre de 2014 y que no fueron reportados en el Programa de Nuevas Inversiones, corresponde a un valor de $15.932.917.402 ($ 31 de diciembre de 2014) y su descripción se presenta en el documento CREG 069 de 2018 que soporta la presente Resolución.
3.4. Programa de Nuevas Inversiones para Municipios Nuevos (INPI). El Programa de Nuevas Inversiones corresponde a un valor de $0,00 ($ 31 de diciembre de 2014) y su descripción se presenta en el documento CREG 069 de 2018 que soporta la presente Resolución.
3.5. Valoración de la Inversión Base. Aplicando la metodología contenida en la Resolución CREG 202 de 2013 y sus modificaciones y adiciones, se calcularon conforme a las formulas establecidas en los numerales 9.1.1.1. y 9.2.1.1. del artículo 9o para la componente que remunera la inversión base, aplicable a usuarios de uso residencial y a usuarios diferentes a los de uso residencial y se obtuvieron las siguientes variables principales:
Usuarios de Uso Residencial
| Variable | Valor ($31 Dic 2014) | ||
| 2017 | 2018 | 2019 – 2020 - 2021 | |
| 2.204.280.613 | 2.237.438.548 | 2.015.867.750 | |
| 1.296.362.733 | 1.315.863.295 | 1.185.554.965 | |
| 5.234.745 | 5.234.745 | 5.234.745 | |
| 5.218.705 | 5.218.705 | 5.218.705 | |
Usuarios Diferentes a los de Uso Residencial
| Variable | Valor ($31 Dic 2014) | ||
| 2017 | 2018 | 2019 – 2020 - 2021 | |
| 2.204.280.613 | 2.237.438.548 | 2.015.867.750 | |
| 161.427.509 | 163.855.786 | 147.629.348 | |
| 5.234.745 | 5.234.745 | 5.234.745 | |
| 665.891 | 665.891 | 665.891 | |
ARTÍCULO 4o. GASTOS DE ADMINISTRACIÓN, OPERACIÓN Y MANTENIMIENTO (AOM). El porcentaje eficiente de AOM establecido para el mercado existente de distribución es del 3,02%, que se considerará en los cálculos de los cargos transitorios de distribución.
Aplicando la metodología contenida en la Resolución CREG 202 de 2013 y sus modificaciones y adiciones, se calcularon conforme a las formulas establecidas en los numerales 9.1.1.1. y 9.2.1.1. del artículo 9o para la componente que remunera los gastos de AOM, aplicable a usuarios de uso residencial y a usuarios diferentes a los de uso residencial, las siguientes variables principales:
Usuarios de Uso Residencial
| Variable | Valor ($31 Dic 2014) | ||
| 2017 | 2018 | 2019 – 2020 - 2021 | |
| 323.759.126 | 323.759.126 | 323.759.126 | |
| 359.271.521 | 359.271.521 | 359.271.521 | |
| 5.234.745 | 5.234.745 | 5.234.745 | |
| 5.218.705 | 5.218.705 | 5.218.705 | |
Usuarios Diferentes a los de Uso Residencial
| Variable | Valor ($31 Dic 2014) | ||
| 2017 | 2018 | 2019 – 2020 - 2021 | |
| 323.759.126 | 323.759.126 | 323.759.126 | |
| 44.737.715 | 44.737.715 | 44.737.715 | |
| 5.234.745 | 5.234.745 | 5.234.745 | |
| 665.891 | 665.891 | 665.891 | |
CARGOS TRANSITORIOS DE DISTRIBUCIÓN.
ARTÍCULO 5o. CARGOS DE DISTRIBUCIÓN APLICABLES A LOS USUARIOS DE USO RESIDENCIAL. A partir de la vigencia de la presente Resolución, los cargos de distribución aplicables a los usuarios de uso residencial en el mercado relevante definido en el artículo 1o de la presente resolución para recuperar los costos de inversión y los gastos de AOM para la distribución domiciliaria de gas combustible por red se fijan transitoriamente tal como se indica a continuación:
Usuarios de Uso Residencial
| Componente | 2017 | 2018 | 2019 - 2020 - 2021 | |
| Cargo de distribución Total | $/m3 | 800,18 | 810,25 | 742,96 |
| - Componente de inversión | $/m3 | 669,49 | 679,56 | 612,27 |
| - Componente Gastos AOM | $/m3 | 130,69 | 130,69 | 130,69 |
Cifras en pesos del 31 de diciembre de 2014
PARÁGRAFO. Los Cargos de Distribución del presente artículo se actualizarán de conformidad con lo establecido en el artículo 12 de la Resolución CREG 202 de 2013, modificado por el artículo 3o de la Resolución CREG 125 de 2015.
ARTÍCULO 6o. CARGOS DE DISTRIBUCIÓN APLICABLES A LOS USUARIOS DIFERENTES A LOS DE USO RESIDENCIAL. A partir de la vigencia de la presente Resolución, los cargos de distribución aplicables a los usuarios diferentes a los de uso residencial en el mercado relevante definido en el artículo 1o de la presente resolución para recuperar los costos de inversión y los gastos de AOM para la distribución domiciliaria de gas combustible por red se fijan transitoriamente tal como se indica a continuación:
Usuarios Diferentes a los de Uso Residencial
| Componente | 2017 | 2018 | 2019 - 2020 - 2021 | |
| Cargo de distribución Total | $/m3 | 792,54 | 802,52 | 735,83 |
| - Componente de inversión | $/m3 | 663,51 | 673,49 | 606,80 |
| - Componente Gastos AOM | $/m3 | 129,03 | 129,03 | 129,03 |
Cifras en pesos del 31 de diciembre de 2014
PARÁGRAFO. Los Cargos de Distribución del presente artículo se actualizarán de conformidad con lo establecido en el artículo 12 de la Resolución CREG 202 de 2013, modificado por el artículo 3o de la Resolución CREG 125 de 2015.
ARTÍCULO 7o. GRADUALIDAD. La empresa hará la separación gradual de los cargos de distribución aplicables a usuarios de uso residencial y los cargos de distribución aplicables a usuarios diferentes a los de uso residencial, usando las fórmulas descritas en los numerales 7.6.1. y 7.6.2. de la parte motiva de esta resolución.
ARTÍCULO 8o. VIGENCIA DE LOS CARGOS DE DISTRIBUCIÓN APLICABLES A LOS USUARIOS DE USO RESIDENCIAL Y A USUARIOS DIFERENTES A LOS DE USO RESIDENCIAL. Los Cargos de Distribución aplicables a los usuarios de uso residencial y a los usuarios diferentes a los de uso residencial estarán vigentes desde la fecha en que quede en firme la presente resolución y hasta tanto se definan los nuevos cargos con la metodología definitiva para un periodo de cinco años, salvo que la empresa solicite formalmente mantener este cargo durante el nuevo periodo tarifario.
FÓRMULA TARIFARIA.
ARTÍCULO 9o. FÓRMULA TARIFARIA. La Fórmula Tarifaria aplicable al mercado relevante definido en el artículo 1o de la presente Resolución corresponderá a la establecida en el artículo 4o de la Resolución CREG 137 de 2013.
ARTÍCULO 10. VIGENCIA DE LA FÓRMULA TARIFARIA. La fórmula tarifaria, regirá a partir de la fecha en que la presente Resolución quede en firme y durante el término de vigencia de las fórmulas tarifarias definidas en la Resolución CREG-137 de 2013. Vencido este período las fórmulas tarifarias continuarán rigiendo mientras la Comisión no fije las nuevas, tal como está previsto en el artículo 126 de la Ley 142 de 1994.
OTRAS DISPOSICIONES.
ARTÍCULO 11. El cargo aprobado mediante la presente resolución, rige a partir de la firmeza del acto administrativo, y será aplicado por la empresa tan pronto de cumplimiento de los requisitos de publicidad y comunicación a las entidades correspondientes.
ARTÍCULO 12. LA PRESENTE RESOLUCIÓN DEBERÁ NOTIFICARSE AL REPRESENTANTE LEGAL DE LA EMPRESA METROGAS DE COLOMBIA S.A. E.S.P. Y PUBLICARSE EN EL DIARIO OFICIAL. Contra las disposiciones contenidas en esta Resolución procede el Recurso de Reposición, el cual podrá interponerse ante la Dirección Ejecutiva de la CREG dentro de los cinco (5) días hábiles siguientes a la fecha de su notificación.
Notifíquese, publíquese y cúmplase.
Dada en Bogotá, D. C., a 19 de julio de 2018.
El Presidente,
Alonso Mayelo Cardona Delgado.
Viceministro de Energía Delegado del Ministro de Minas y Energía
El Director Ejecutivo,
Christian Jaramillo Herrera
CLASIFICACIÓN DEL MUNICIPIO POR CARACTERÍSTICAS FÍSICAS Y METODOLOGÍA TARIFARIA.
| Código DANE Municipio | Municipio | Departamento | Grupo G | Metodología M |
| 54498 | Ocaña | Norte de Santander | 3 | 2 |
El Presidente,
Alonso Mayelo Cardona Delgado.
Viceministro de Energía Delegado del Ministro de Minas y Energía
El Director Ejecutivo,
Christian Jaramillo Herrera
NOTAS AL FINAL:
1. Ver entre otras las sentencias de la Honorable Corte Constitucional C-150 de 2003, C-1162 de 2000, C-186 de 2011.
3. Ley 142 de 1994, Arts. 1o a 12.
4. Corte Constitucional, Sentencia C- 075 de 2006.
5. Adicionalmente a lo expuesto por parte de la Corte Constitucional en Sentencia C-353 de 2006, se debe tener en cuenta como antecedente en relación con la aplicación de las normas en materia de servicios públicos domiciliarios y el ejercicio de las facultades regulatorias que ejercen las comisiones de regulación, las consideraciones expuestas por parte de la Corte Constitucional en sentencia C-150 de 2003.
6. Corte Constitucional, Sentencia C-150 de 2003.
7. Resolución CREG 202 de 2013, Artículo 9o. Metodología para el cálculo de los cargos de distribución a partir de los costos medios históricos o costos medios de mediano plazo.
8. Ver entre otras las Resoluciones CREG 101 de 2000, 100 de 2000, 099 de 2000, 052 de 2000, 052 de 2000, 042 de 2002, 117 de 2003, 114 de 2003, 003 de 2003, 089 de 2004, 070 de 2004, 123 de 2005, 123 de 2005, 075 de 2005, 074 de 2005, 074 de 2005, 109 de 2006, 068 de 2006, 062 de 2006, 051 de 2006, 050 de 2008, 088 de 2009, 061 de 2009, 094 de 2010, 124 de 2011, 062 de 2010, 096 de 2011, 086 de 2011, 038 de 2001, 010 de 2011, 121 de 2014, 009 de 2015, 040 de 2015, 041 de 2015, 062 de 2015 y 091 de 2015.
9. Ver entre otros el Auto I-2013-002499 solución de conflictos entre EPM y TGI en materia de contratos de transporte de gas natural.
10. Constitución Política, artículo 365.
11. Corte Constitucional, Sentencia C-041 de 2003.
12. Corte Constitucional, Sentencia C-150 de 2003.
13. En relación con lo anterior, la Honorable Corte Constitucional ha dispuesto lo siguiente:
“…la Corte se pronunció sobre el alcance y relación de los artículos 333 y 334 de la Constitución, al indicar “que la regulación de la economía es un instrumento del que dispone el Estado para orientar el interés privado –como lo es la realización de una actividad empresarial– al desarrollo de funciones socialmente apreciadas. En efecto, esta Corporación ha subrayado que “la libertad económica permite también canalizar recursos privados, por la vía del incentivo económico, hacia la promoción de concretos intereses colectivos y la prestación de servicios públicos. En esa posibilidad se aprecia una opción, acogida por el constituyente, para hacer compatibles los intereses privados, que actúan como motor de la actividad económica, con la satisfacción de las necesidades colectivas. Por ello, el Constituyente expresamente dispuso la posibilidad de la libre concurrencia en los servicios públicos, los cuales pueden prestarse por el Estado o por los particulares, cada uno en el ámbito que le es propio, el cual, tratándose de estos últimos, no es otro que el de la libertad de empresa y la libre competencia. Sin embargo, la Constitución ha previsto, para la preservación de valores superiores, la posibilidad y la necesidad de que el Estado ejerza labores de regulación, vigilancia y control, a través de una serie de instrumentos de intervención con los cuales se controlan y limitan los abusos y deficiencias del mercado. Dicha intervención es mucho más intensa precisamente cuando se abre la posibilidad de que a la prestación de los servicios públicos concurran los particulares”.
14. Corte Constitucional, Sentencia C-353 de 2006.
15. Ley 142 de 1994 artículos 86 y 87.
16. Corte Constitucional, Sentencia C-075 de 2006.
17. Estos mecanismos de intervención en el mercado de los servicios públicos domiciliarios de energía eléctrica y gas combustible por parte de las comisiones de regulación, consagrados en las leyes 142 y 143 de 1994, han de considerarse entonces como mecanismos de racionalidad diseñados por el legislador, los cuales se encuentran constitucionalmente protegidos y cuyo uso está dirigido al cumplimiento de estos fines y objetivos.
18. Ley 142 de 1994, artículo 124.
19. Se debe precisar que estas disposiciones se encuentran recogidas actualmente en los numerales 2.2.2.30 y siguientes del Decreto 1074 de 2015.
20. Ibídem.





