RESOLUCIÓN 74 DE 2016
(mayo 25)
Diario Oficial No. 49.904 de 14 de junio de 2016
COMISIÓN DE REGULACIÓN DE ENERGÍA Y GAS
Por la cual se decide la solicitud de revisión tarifaria de los cargos aprobados mediante la Resolución CREG 049 de 2011 modificada por la Resolución CREG 149 de 2015 para la remuneración de la actividad de transporte de Gas Licuado de Petróleo (GLP) al Archipiélago de San Andrés, Providencia y Santa Catalina presentada por la Empresa Provigás S. A. E.S.P.
LA COMISIÓN DE REGULACIÓN DE ENERGÍA Y GAS,
en ejercicio de las atribuciones constitucionales y legales, en especial las conferidas por las Leyes 142 de 1994 y 1151 de 2007, y en desarrollo de los Decretos números 1523 y 2253 de 1994 y 1260 de 2013, y
CONSIDERANDO QUE:
I. Antecedentes
De conformidad con lo establecido en el numeral 14.28 del artículo 14 de la Ley 142 de 1994 el servicio público domiciliario de gas combustible “es el conjunto de actividades ordenadas a la distribución de gas combustible, por tubería u otro medio, desde un sitio de acopio de grandes volúmenes o desde un gasoducto central hasta la instalación de un consumidor final, incluyendo su conexión y medición. También se aplicará esta ley a las actividades complementarias de comercialización desde la producción y transporte de gas por un gasoducto principal, o por otros medios, desde el sitio de generación hasta aquel en donde se conecte a una red secundaria”.
El numeral 73.11 del artículo 73 de la Ley 142 de 1994 atribuyó a la Comisión de Regulación de Energía y Gas, CREG, la competencia para establecer las fórmulas para la fijación de las tarifas del servicio público domiciliario de gas combustible.
Mediante la Resolución CREG 050 de 2009 se establecieron los criterios para la remuneración de la actividad de transporte del Gas Licuado de Petróleo (GLP) al archipiélago de San Andrés, Providencia y Santa Catalina. En esta Resolución se definió tanto la metodología general para remunerar la actividad de transporte marítimo por el agente que va a desarrollar la actividad, como el cálculo del cargo medio de transporte, así como la parte de este, a ser cubierto por la demanda del archipiélago de San Andrés, Providencia y Santa Catalina y por la demanda del sistema de transporte por poliductos del continente.
En el artículo 5o de la precitada resolución se establece lo referente a los gastos de Administración, Operación y Mantenimiento (AOM), depreciación y tiempo de implementación y se señala lo siguiente:
“El Transportador reportará los gastos de Administración, Operación y Mantenimiento (AOM) anuales a pesos de la Fecha Base y los valores de depreciación de activos correspondientes a iso-tanques o isocontenedores, tanques de almacenamiento, bombas y compresores y sistema de trasiego.
Se reconocerán dentro del cargo los gastos de AOM correspondientes al uso de terrenos e inmuebles relacionados con la prestación de la actividad de transporte. De igual manera, se considerarán dentro de los gastos de AOM los costos relacionados con la operación del transporte al mercado de San Andrés, tales como: Costos de transporte marítimo o flete, Costos de Transporte Terrestre, Manipulación en puertos (Cargue y descargue), Uso de instalaciones portuarias, Bodegaje y Costos de trasiego. Así mismo, los gastos por concepto de impuestos, diferentes al impuesto de renta, vigentes al momento de expedición de esta resolución.
Los costos adicionales a estos deberán ser justificados y serán sujetos de evaluación por parte de la Comisión. (Subrayado fuera de texto).
Para la presentación de los costos a reconocer, el solicitante deberá incluir toda la información que lleve a determinar el costo por galón y por kilo, tal como: la capacidad, la cantidad de operaciones al mes y al año, el costo unitario y el costo total. Esta información deberá ser reportada tal y como se indica en el Anexo 1 de esta resolución.
También se deberá indicar el plazo de implementación del esquema presentado en la solicitud tarifaria, el cual no deberá exceder de seis (6) meses contados desde la fecha en que quede en firme la resolución que apruebe el cargo.
La CREG revisará cuidadosamente la información suministrada, la comparará con la información que reposa en esta Comisión, solicitará los soportes y hará los ajustes que considere convenientes”. (…)
Mediante la Resolución CREG 004 de 2010 se aprobó la fórmula tarifaria general que permite a los distribuidores y a los comercializadores minoristas establecer los costos de prestación del servicio de GLP a los usuarios regulados, en el Archipiélago de San Andrés, Providencia y Santa Catalina.
A través de la Resolución CREG 049 de 2011 se aprobó el cargo de remuneración de la actividad de transporte de Gas Licuado de Petróleo (GLP) al Archipiélago de San Andrés, Providencia y Santa Catalina de acuerdo con la solicitud tarifaria realizada por la Empresa Provigás S. A. E.S.P.
Mediante la Resolución número 180693 de 2011 del Ministerio de Minas y Energía, se derogó la Resolución número 180395 de 2010 y se expidió el reglamento técnico para almacenamiento utilizado con propósitos de respaldo de la demanda en la prestación del servicio público domiciliario de Gas Licuado del Petróleo (GLP) en el Archipiélago de San Andrés, Providencia y Santa Catalina, cuyo objeto es prevenir riesgos de seguridad en desarrollo de las actividades en las que se utilice el almacenamiento para la prestación del servicio público de GLP.
Dentro de dicho reglamento se estableció como obligaciones generales a cargo del prestador del servicio que el transportador de GLP al Archipiélago de San Andrés, Providencia y Santa Catalina será el responsable por la operación y mantenimiento del almacenamiento de respaldo de la demanda y que no se podrá utilizar la infraestructura del almacenamiento de respaldo para el desarrollo de actividades de envasado o venta a granel del producto en cilindros universales y/o marcados. Reglamento que es posterior a la aprobación del cargo de remuneración para la empresa.
Mediante la Resolución CREG 149 de 2015 se decidió sobre la solicitud de revisión tarifaria de la metodología de remuneración de la actividad de transporte de Gas Licuado de Petróleo (GLP) al archipiélago de San Andrés, Providencia y Santa Catalina, ajustándose lo relacionado con los puntos de recibo.
Mediante comunicación con Radicado CREG E-2016-002915 del 18 de marzo de 2016, Provigás S. A. E.S.P., pone en consideración de la Comisión, solicitud de modificación de la Resolución CREG 049 de 2011, con el fin de que le sean reconocidas las inversiones realizadas en consideración a lo solicitado mediante el reglamento técnico para almacenamiento del Ministerio de Minas y Energía.
II. Solicitud
En comunicación con Radicado CREG E-2016-002915 del 18 de marzo de 2016, la Empresa Provigás S. A. E.S.P. informó que:
“los cargos aprobados por la Resolución CREG 049 de 2011, no reconocen, ni remuneran el total de la inversión requerida por la normatividad posterior a la Resolución CREG 050 de 2009, especialmente por la Resolución número 180395 de 2010, expedida por el Ministerio de Minas y Energía “por la cual se expide el Reglamento Técnico para el almacenamiento utilizado en la prestación del servicio público domiciliario de Gas Licuado de Petróleo (GLP) en el Archipiélago de San Andrés, Providencia y Santa Catalina” (…)
Por lo expuesto , manifestamos nuestra preocupación por las medidas adoptadas, con las cuales inevitablemente se ve afectada Provigás S. A. E.S.P., en su capacidad financiera; lo que en el corto plazo impide continuar con la prestación del servicio de GLP en la Isla de San Andrés.
Finalmente, en nuestra calidad, no solo de prestador, sino de usuario y ciudadano de las islas, dejamos claro nuestra disponibilidad para revisar y adoptar las medidas necesarias para evitar esta crisis inminente, producto de la nueva regulación, siempre y cuando no se siga afectando de manera imperativa la suficiencia económica de la empresa. (…)”.
Dados los argumentos expuestos por la empresa en la precitada comunicación, encuentra esta Comisión que la solicitud está encaminada a una revisión de los cargos aprobados mediante la Resolución CREG 049 de 2011.
III. Trámite surtido por la CREG
Como actuación preliminar los días 30 y 31 de marzo del 2016 se llevó a cabo una visita en sede de la empresa con la finalidad de resolver inquietudes sobre la forma de prestación del servicio público domiciliario de GLP y la información soporte de la solicitud presentada el 18 de marzo de 2016.
En cumplimiento de lo dispuesto en los artículos 36 y 37 del Código de Procedimiento Administrativo y de lo Contencioso Administrativo, la Dirección Ejecutiva de la Comisión mediante auto del 5 de abril de 2016 ordenó la apertura de la actuación administrativa y la creación del respectivo expediente administrativo con el objeto de decidir sobre la solicitud de revisión tarifaria de los cargos aprobados mediante la Resolución CREG 049 de 2011 solicitada por la Empresa Provigás S. A. E.S.P. El expediente fue creado bajo el Consecutivo número 2016-0108.
Posteriormente, se publicó extracto con el resumen de la actuación administrativa en el Diario Oficial número 49.837 del 7 de abril de 2016 y en la página web de la CREG el 7 de abril de 2016.
La Empresa Provigás S. A. E.S.P. fue notificada sobre la apertura de la actuación administrativa, mediante comunicación con Radicado CREG S-2016-002114.
Mediante Radicado CREG E-2016-004604 la Empresa Provigás S. A. E.S.P. presentó los soportes de su solicitud, allegando la información relacionada con los costos de las inversiones y los costos de Administración, Operación y Mantenimiento incurridos para el cumplimiento del reglamento técnico de almacenamiento establecido mediante la Resolución número 180693 de 2011 del Ministerio de Minas y Energía.
Una vez revisado el contenido de la información remitida por la empresa, se observó que faltaban algunos soportes de la información aportada, para concluir el análisis sobre la solicitud de revisión tarifaria en cuestión.
Por tal razón, y considerando lo previsto en el artículo 17 del Código de Procedimiento Administrativo y de lo Contencioso Administrativo, mediante comunicación con Radicado CREG S-2016-002860 se procedió a solicitarle a la empresa que allegara los soportes de información faltante dentro del término de 10 días siguientes al recibo de la comunicación.
Mediante Radicado CREG E-2016-005694 la empresa allegó las certificaciones de las publicaciones realizadas del aviso 73, resumen de inicio de la actuación administrativa.
En el curso de la actuación administrativa no se recibieron solicitudes por parte de usuarios o terceros interesados en hacerse parte en el proceso.
Se procedió a realizar el análisis técnico de la solicitud presentada con la mejor información disponible.
IV. Análisis de la solicitud
La Empresa Provigás S. A. E.S.P., mediante la comunicación escrita radicada con el número E-2016-002915 manifestó:
“los cargos aprobados por la Resolución CREG 049 de 2011, no reconocen, ni remuneran el total de la inversión requerida por la normatividad posterior a la Resolución CREG 050 de 2009, especialmente por la Resolución número 180395 de 2010, expedida por el Ministerio de Minas y Energía “por la cual se expide el Reglamento Técnico para el almacenamiento utilizado en la prestación del servicio público domiciliario de Gas Licuado de Petróleo (GLP) en el Archipiélago de San Andrés, Providencia y Santa Catalina” (…). Por lo expuesto, manifestamos nuestra preocupación, por las medidas adoptadas, con las cuales inevitablemente se ve afectada Provigás S. A. E.S.P., en su capacidad financiera; lo que en el corto plazo impide continuar con la prestación del servicio de GLP en la Isla de San Andrés.
Finalmente, en nuestra calidad, no solo de prestador, sino de usuario y ciudadano de las islas, dejamos claro nuestra disponibilidad para revisar y adoptar las medidas necesarias para evitar esta crisis inminente, producto de la nueva regulación, siempre y cuando no se siga afectando de manera imperativa la suficiencia económica de la empresa.
(…).
Por lo expuesto, manifestamos nuestra preocupación, por las medidas adoptadas, con las cuales inevitablemente se ve afectada Provigás S. A. E.S.P., en su capacidad financiera; lo que en el corto plazo impide continuar con la prestación del servicio de GLP en la Isla de San Andrés”.
Mediante la comunicación escrita radicada con el número E-2016-004604 la Empresa Provigás S. A. E.S.P., envía el análisis de los costos de las inversiones y los costos de Administración, Operación y Mantenimiento incurridos para el cumplimiento del reglamento técnico de almacenamiento establecido mediante la Resolución número 180693 de 2011 del Ministerio de Minas y Energía. En dicha comunicación la empresa aclara que las inversiones están ejecutadas en su totalidad y la planta se encuentra en operación.
El artículo 3o de la Resolución CREG 050 de 2009 establece las obligaciones del transportador de GLP al mercado de San Andrés dentro de las cuales se encuentra:
“(…)
Mantener en almacenamiento, un mínimo de disponibilidad del producto de una semana y una capacidad de almacenamiento de tres semanas para garantizar la prestación del servicio”.
Adicionalmente, la Resolución número 180693 de 2011 del Ministerio de Minas y Energía, dentro de los requisitos técnicos señala lo siguiente:
“(...)
Obligaciones generales
-- El transportador de GLP al Archipiélago de San Andrés, Providencia y Santa Catalina será el responsable por la operación y mantenimiento del Almacenamiento de Respaldo de la Demanda.
-- No se podrá utilizar la infraestructura de Almacenamiento de Respaldo de la Demanda para el desarrollo de actividades de envasado o venta a granel del producto en cilindros universales y/o marcados.
(…)”.
Lo anterior justifica que la Empresa Provigás S. A. E.S.P. deba tener instalaciones, diferentes a la planta de envasado, destinadas al almacenamiento de GLP en la isla.
A partir del análisis de los documentos enviados a esta comisión, la revisión de las exigencias establecidas en el reglamento técnico para almacenamiento en la isla y el informe de la visita preliminar realizada por el personal de la CREG a las instalaciones de Provigás S. A. E.S.P., se evidencia que la empresa ha incurrido en costos superiores a los reconocidos mediante la Resolución CREG 049 de 2011.
El análisis técnico y el tratamiento de las variables que soportan la presente resolución se encuentran consignados en el Documento Soporte D-036 de 2016.
La Comisión, en Sesión número 719 del día 25 de mayo de 2016, aprobó expedir la presente resolución mediante la cual se resuelve la solicitud de revisión tarifaria de los cargos aprobados mediante la Resolución CREG 049 de 2011 presentada por la Empresa Provigás S. A. E.S.P. con fundamento en el artículo 5o de la Resolución CREG 050 de 2009,
RESUELVE:
ARTÍCULO 1o. Modifíquese el artículo 2o de la Resolución número 049 de 2011.
Valores base de estimación de cargos: Apruébense los siguientes valores base de estimación del Cargo Medio de Transporte, así como del Cargo de Transporte a pagar por la demanda del Archipiélago de San Andrés, Providencia y Santa Catalina por punto de entrega y el Cargo Estampilla a pagar por la demanda del continente, a fin de remunerar la actividad de transporte de GLP al archipiélago.
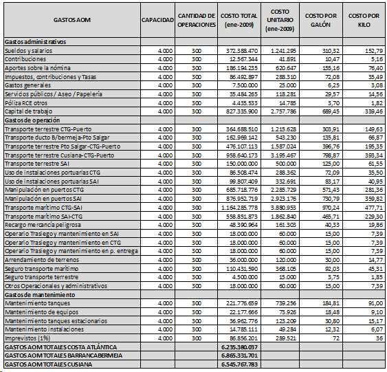
| CONCEPTO | COSTA ATLÁNTICA | BARRANCABERMEJA | CUSIANA |
| GASTOS AOM ANUALES ($/año) | 6.235.380.037 | 6.865.331.701 | 6.545.767.783 |
| DEPRECIACIÓN ANUAL ($/año) | 1.620.575.583 | 1.620.575.583 | 1.620.575.583 |
| DEMANDA SAN ANDRÉS DASA (KILOS) | 2.437.200 | 2.437.200 | 2.437.200 |
| CONCEPTO | COSTA ATLÁNTICA | BARRANCABERMEJA | CUSIANA |
| DEMANDA CONTINENTE DCO0 (KILOS) | 641.259.988 | 641.259.988 | 641.259.988 |
| PORCENTAJE DEL CUTSA QUE REMUNERA LA DEMANDA DE SAN ANDRÉS (Y%) | 10% | 10% | 10% |
PARÁGRAFO. Los valores base de estimación de cargos a aplicar, deberán ser los correspondientes al del punto de recibo más cercano al puerto con producto disponible.
ARTÍCULO 2o. Modifíquese el Anexo 1 de la Resolución número 049 de 2011.
INVERSIONES Y COSTO ANUAL DE DEPRECIACIÓN RECONOCIDOS

GASTOS ANUALES DE ADMINISTRACIÓN, OPERACIÓN Y MANTENIMIENTO (AOM) RECONOCIDOS

ARTÍCULO 3o. Informar a la Superintendencia de Servicios Públicos Domiciliarios el resultado de la presente resolución en cumplimiento de las competencias de esta Comisión, especialmente las asignadas mediante el artículo 73.18 de la Ley 142-1994 y considerando todo lo enunciado en la parte motivada del presente acto administrativo.
ARTÍCULO 4o. La presente resolución deberá notificarse a la Empresa Provigás S. A. E.S.P. y publicarse en el Diario Oficial. Contra las disposiciones contenidas en esta resolución procede el recurso de reposición, el cual podrá interponer la empresa ante la Dirección Ejecutiva de la CREG dentro de los cinco (5) días hábiles siguientes a la fecha de su notificación.
Publíquese y cúmplase.
Dada en Bogotá, D. C., a 25 de mayo de 2016.
El Presidente,
GERMÁN ARCE ZAPATA,
Ministro de Minas y Energía.
El Director Ejecutivo,
JORGE PINTO NOLLA.