RESOLUCIÓN 31 DE 2018
(febrero 26)
Diario Oficial No. 50.554 de 4 de abril de 2018
COMISIÓN DE REGULACIÓN DE ENERGÍA Y GAS
Por la cual se ordena hacer público un proyecto de resolución “por la cual se da cumplimiento a lo establecido en el artículo 104 de la Ley 1873 de 2017, en relación con la aplicación de los subsidios a los usuarios de estratos 1 y 2 de los servicios de energía eléctrica y gas combustible por redes de tubería”.
LA COMISIÓN DE REGULACIÓN DE ENERGÍA Y GAS,
en ejercicio de sus atribuciones legales, en especial las conferidas por las Leyes 142 y 143 de 1994, y en desarrollo de los Decretos 1524, 2253 de 1994 y 1260 de 2013.
CONSIDERANDO QUE:
Conforme a lo dispuesto por el artículo 8o del Código de Procedimiento Administrativo y de lo Contencioso Administrativo y en el numeral 2.2.13.3.2 del Decreto 1078 de 2015, la Comisión debe hacer público en su página web todos los proyectos de resolución de carácter general que pretenda adoptar.
La Ley 1873 del 20 de diciembre de 2017, por la cual se decreta el presupuesto de rentas y recursos de capital y ley de apropiaciones para la vigencia fiscal del 1 de enero al 31 de diciembre de 2018, en su artículo 104, establece en relación con los subsidios lo siguiente:
Artículo 104. Subsidios de Energía Eléctrica y Gas. Los estratos 1 y 2 tendrán derecho a los subsidios de energía y gas definidos en el artículo 3o de la Ley 1117 de 2006, modificado por el artículo 1o de la Ley 1428 de 2010 y prorrogado por el artículo 17 de la Ley 1753 de 2015, siempre y cuando el consumo total del usuario no exceda en un 50% el consumo básico o de subsistencia establecido por el Gobierno nacional.
Estos subsidios se restablecerán cuando el usuario disminuya el consumo a los límites establecidos en el presente artículo.
Esta disposición modifica los límites de subsidios en los servicios de energía eléctrica y gas combustible por red de tubería para los estratos 1 y 2, establecidos por la Ley 1117 de 2006, modificado por el artículo 1o de la Ley 1428 de 2010 y prorrogado por el artículo 17 de la Ley 1753 de 2015, cuando el consumo del usuario excede el 50% del consumo de subsistencia; lo que implica la necesidad de un ajuste regulatorio a fin de implementar y aplicar esta disposición.
La Comisión, mediante las resoluciones CREG 001 y 006 de 2007, 186 de 2010, 186 de 2013, 186 de 2014 y 241 de 2015 ajustó la regulación vigente para incorporar lo dispuesto en las citadas leyes.
Para el cumplimiento de lo establecido en el artículo 104 de la Ley 1873 de 2017, es necesario modificar la regulación vigente.
Que el Gobierno nacional publicó el proyecto de decreto mediante el cual reglamenta la aplicación del artículo 104 de la Ley 1873 de 2017, recibió las observaciones y sugerencias, realizó los ajustes pertinentes y tramita la expedición definitiva del mismo.
Que la Comisión, en su sesión 842 del 26 de febrero de 2018, aprobó publicar el proyecto de resolución, “por la cual se da cumplimiento a lo establecido en el artículo 104 de la Ley 1873 de 2017, en relación con la aplicación de los subsidios a los usuarios de estratos 1 y 2 de los servicios de energía eléctrica y gas combustible por redes de tubería”.
RESUELVE:
ARTÍCULO 1o. Hágase público el proyecto de resolución, “por la cual se da cumplimiento a lo establecido en el artículo 104 de la Ley 1873 de 2017, en relación con la aplicación de los subsidios a los usuarios de estratos 1 y 2 de los servicios de energía eléctrica y gas combustible por redes de tubería”.
ARTÍCULO 2o. Se invita a los agentes, a los usuarios, a las autoridades competentes, a la Superintendencia de Servicios Públicos Domiciliarios y a la Superintendencia de Industria y Comercio, para que remitan sus observaciones o sugerencias durante los diez (10) días hábiles siguientes a la publicación del proyecto en la página web de la Comisión.
ARTÍCULO 3o. Infórmese en la página web la identificación de la dependencia administrativa y de las personas a quienes se podrá solicitar información sobre el proyecto y hacer llegar las observaciones, reparos o sugerencias, y los demás aspectos previstos en los numerales 2.2.13.3.1 y siguientes del Decreto 1078 de 2015.
ARTÍCULO 4o. La presente resolución no deroga disposiciones vigentes por tratarse de un acto de trámite.
Publíquese y cúmplase.
Dada en Bogotá, D. C., a 26 de febrero de 2018.
El Presidente,
Alonso Mayelo Cardona Delgado,
Viceministro de Energía Delegado del Ministro de Minas y Energía.
El Director Ejecutivo,
Germán Castro Ferreira.
PROYECTO DE RESOLUCIÓN
por la cual se da cumplimiento a lo establecido en el artículo 104 de la Ley 1873 de 2017, en relación con la aplicación de los subsidios a los usuarios de estratos 1 y 2 de los de Regulación servicios de energía eléctrica y gas combustible por redes de tubería.
La Comisión de Energía y Gas,
en ejercicio de sus atribuciones legales, en especial las conferidas por las leyes 142, 143 de 1994 y 1753 de 2015, y en desarrollo de los Decretos 1524, 2253 de 1994 y 1260 de 2013.
CONSIDERANDO QUE:
De conformidad con lo establecido en el artículo 74 de la Ley 142 de 1994, corresponde a la Comisión de Regulación de Energía y Gas regular el ejercicio de las actividades de los sectores de energía y gas combustible.
El numeral 14.29 del artículo 14 de la Ley 142 de 1994 define el “subsidio” como la “diferencia entre lo que se paga por un bien o servicio, y el costo de este, cuando tal costo es mayor al pago que se recibe”.
La Ley 142 de 1994, en el artículo 99, numeral 99.5, dispuso que los subsidios no excederán en ningún caso el valor de los consumos básicos o de subsistencia y, en el numeral 99.6, que en ningún caso el subsidio será superior al 15% del costo medio del suministro para el estrato 3, al 40% del costo medio del suministro para el estrato 2, ni al 50% del costo medio del suministro para el estrato 1.
En un inicio el artículo 116 de la Ley 812 de 2003 estableció:
Subsidios para estratos 1, 2 y 3. La aplicación de subsidios al costo de prestación de los servicios públicos domiciliarios de los estratos socioeconómicos 1 y 2 a partir de la vigencia de esta ley y para los años 2004, 2005 y 2006, deberá hacerse de tal forma que el incremento tarifario a estos usuarios en relación con sus consumos básicos o de subsistencia corresponda en cada mes a la variación del índice de Precios al Consumidor.
Las Comisiones de Regulación ajustarán la regulación para incorporar lo dispuesto en este artículo. Este subsidio podrá ser cubierto por recursos de los Fondos de Solidaridad, aportes de la Nación y de las Entidades Territoriales.
En cumplimiento del artículo 116 de la Ley 812 de 2003, la Comisión de Regulación de Energía y Gas expidió las resoluciones CREG 108 de 2003 y 040 de 2004, para el otorgamiento de subsidios en la forma dispuesta en dicha ley.
Posteriormente, el Congreso de la República promulgó la Ley 1117 de 2006 mediante la cual estableció una nueva normatividad para la aplicación de subsidios a los estratos 1 y 2 de los servicios públicos de energía eléctrica y gas combustible, la cual entró en vigencia en enero de 2007 hasta diciembre del año 2010.
La mencionada ley en su artículo 3o, dispuso lo siguiente:
Aplicación de subsidios. La aplicación de subsidios al costo de prestación del servicio público domiciliario de energía eléctrica y de gas combustible para uso domiciliario distribuido por red de tuberías de los usuarios pertenecientes a los estratos socioeconómicos 1 y 2 a partir del mes de enero de 2007 hasta diciembre del año 2010, deberá hacerse de tal forma que el incremento tarifario a estos usuarios en relación con sus consumos básicos o de subsistencia corresponda en cada mes como máximo a la variación del índice de Precios al Consumidor, sin embargo, en ningún caso el porcentaje del subsidio será superior al 60% del costo de la prestación del servicio para el estrato 1 y al 50% de este para el estrato 2.
Los porcentajes máximos establecidos en el presente artículo no aplicarán para el servicio de energía eléctrica de las zonas no interconectadas.
La Comisión de Regulación de Energía y Gas (CREG) ajustará la regulación para incorporar lo dispuesto en este artículo a más tardar el 31 de diciembre de 2006. Este subsidio podrá ser cubierto con recursos de los Fondos de Solidaridad, aportes de la nación y/o de las Entidades Territoriales.
PARÁGRAFO 1. En los servicios públicos domiciliarios de energía eléctrica y gas combustible por red de tuberías se mantendrá el régimen establecido en la Ley 142 de 1994 para la aplicación del subsidio en el estrato 3.
PARÁGRAFO 2. Durante el período a que se refiere este numeral, en la aplicación de dichos subsidios se deberá, además dar cumplimiento a las siguientes disposiciones:
1. Cuando se presente una reducción en el costo de prestación del servicio, el porcentaje de subsidio para los usuarios de estratos 1 y 2 será el mismo al aplicado en el mes anterior en que ocurre dicha reducción.
2. A partir de enero de 2007 los subsidios que se otorguen con tarifas que incluyan factores inferiores al 50% y al 40% para los estratos 1 y 2 respectivamente, podrán ajustarse a esos factores, y a partir del mes siguiente se dará aplicación a lo señalado en el presente numeral.
3. Los porcentajes de subsidios aplicables a los usuarios de estratos 1 y 2 de los mercados nuevos de comercialización iniciarán con el 50% y el 40%, respectivamente, y a partir del mes siguiente se dará aplicación a lo señalado en este numeral.
Para dar cumplimiento a lo establecido en el artículo 3o de la Ley 1117 de 2006, la Comisión de Regulación de Energía y Gas expidió las resoluciones CREG 001 de 2007 y 006 de 2007, para el otorgamiento de subsidios en la forma dispuesta en dicha ley.
Nuevamente y con el fin de ampliar por cuatro años más la aplicación de los subsidios a los servicios públicos domiciliarios de energía eléctrica y gas combustible por red de tuberías de los estratos socioeconómicos 1 y 2, se expidió la Ley 1428 de 2010 y en la cual se dispuso lo siguiente:
Artículo 1o. El artículo 3o de la Ley 1117 de 2006 quedará así:
Artículo 3o. Aplicación de subsidios. La aplicación de subsidios al costo de prestación del servicio público domiciliario de energía eléctrica y de gas combustible para uso domiciliario distribuido por red de tuberías de los usuarios pertenecientes a los estratos socioeconómicos 1 y 2 a partir del mes de enero de 2011 hasta diciembre de 2014, deberá hacerse de tal forma que el incremento tarifario a estos usuarios en relación con sus consumos básicos o de subsistencia corresponda en cada mes como máximo a la variación del índice de Precios al Consumidor, sin embargo, en ningún caso el porcentaje del subsidio será superior al 60% del costo de la prestación del servicio para el estrato 1 y al 50% de este para el estrato 2.
Los porcentajes máximos establecidos en el presente artículo no aplicarán para el servicio de energía eléctrica de las zonas no interconectadas.
La Comisión de Regulación de Energía y Gas (CREG), ajustará la regulación para incorporar lo dispuesto en este artículo a más tardar el 31 de diciembre de 2010. Este subsidio podrá ser cubierto con recursos de los Fondos de Solidaridad, aportes de la nación y/o de las Entidades Territoriales.
PARÁGRAFO. En los servicios públicos domiciliarios de Energía y Gas combustible por red de tuberías se mantendrá en el régimen establecido en la Ley 142 de 1994 para la aplicación del subsidio de estrato 3.
Mediante la Resolución CREG 186 de 2010 se incorporó lo dispuesto en la Ley 1428 de 2010.
La Resolución CREG 186 de 2013 modificó lo establecido en la Resolución CREG 186 de 2010 para el servicio de gas combustible por redes de tubería teniendo en cuenta que mediante las resoluciones CREG 137 y 138 de 2013 se definieron las fórmulas tarifarias aplicables al servicio de gas combustible por redes de tubería en mercados relevantes de comercialización y en áreas de servicio exclusivo respectivamente, las cuales comenzaban a regir a partir del 1 de enero de 2014 por lo cual era necesario que fueran congruentes con las fórmulas establecidas en la Resolución CREG 186 de 2010.
El Congreso de la República aprobó la Ley 1739 de 2014, “por medio de la cual se modifica el Estatuto Tributario, la Ley 1607 de 2012, se crean mecanismos de lucha contra la evasión y se dictan otras disposiciones”.
El artículo 76 de la ley dispuso:
Con los recursos provenientes de la presente ley, se financiará, durante la vigencia fiscal de 2015, los subsidios de que trata el presente artículo que fueron prorrogados por el artículo 3o de la Ley 1117 de 2006, prorrogados a su vez por el artículo 1o de la Ley 1428 de 2010.
La aplicación de subsidios al costo de prestación del servicio público domiciliario de energía eléctrica y de gas combustible para uso domiciliario distribuido por red de tuberías de los usuarios pertenecientes a los estratos socioeconómicos 1 y 2 a partir del mes de enero de 2015 hasta el 31 de diciembre de 2015, deberá hacerse de tal forma que el incremento tarifario a estos usuarios en relación con sus consumos básicos o de subsistencia corresponda en cada mes como máximo a la variación del índice de Precios al Consumidor; sin embargo, en ningún caso el porcentaje del subsidio será superior al 60% del costo de la prestación del servicio para el estrato 1 y al 50% de este para el estrato 2.
Los porcentajes máximos establecidos en el presente artículo no aplicarán para el servicio de energía eléctrica de las zonas no interconectadas.
La Comisión de Regulación de Energía y Gas (CREG) ajustará la regulación para incorporar lo dispuesto en este artículo. Este subsidio también podrá ser cubierto con recursos de los Fondos de Solidaridad, aportes de la nación y/o de las entidades territoriales.
PARÁGRAFO. En los servicios públicos domiciliarios de energía y gas combustible por red de tuberías, se mantendrá en el régimen establecido en la Ley 142 de 1994 para la aplicación del subsidio del estrato 3.
Entendiendo que el artículo 76 mencionado prorrogaba lo estipulado en la Ley 1428 de 2010 hasta el 31 de diciembre de 2015, se hizo necesario ampliar la vigencia de la aplicación de la Resolución CREG 186 de 2010, modificada por la Resolución CREG 186 de 2013 hasta el 31 de diciembre de 2015, lo cual se realizó a través de la Resolución CREG 186 de 2014.
Posteriormente mediante el artículo 17 de la Ley 1753 de 2015 y por la cual se expide el Plan Nacional de Desarrollo 2014-2018 “Todos por un nuevo país” se estableció al respecto de los subsidios lo siguiente:
Artículo 17. Subsidios de energía eléctrica y gas. Los subsidios establecidos en el artículo 3o de la Ley 1117 de 2006, prorrogados a su vez por el artículo 1o de la Ley 1428 de 2010 y por el artículo 76 de la Ley 1739 de 2014, se prorrogan, como máximo, hasta el 31 de diciembre de 2018.
Teniendo en cuenta lo establecido en el artículo 17, la Comisión de Regulación de Energía y Gas, mediante la Resolución CREG 241 de 2015, amplió hasta el 31 de diciembre de 2018 la vigencia de la aplicación de la Resolución CREG 186 de 2010, modificada por la Resolución CREG 186 de 2013, vigencia que había sido ampliada inicialmente por la Resolución CREG 186 de 2014.
La Ley 1873 de 2017, “por la cual se decreta el presupuesto de rentas y recursos de capital y ley de apropiaciones para la vigencia fiscal del 1 de enero al 31 de diciembre de 2018” en su artículo 104 dispone:
Artículo 104. Subsidios de energía eléctrica y gas. Los estratos 1 y 2 tendrán derecho a los subsidios de energía y gas definidos en el artículo 3o de la Ley 1117 de 2006, modificado por el artículo 1o de la Ley 1428 de 2010 y prorrogado por el artículo 17 de la Ley 1753 de 2015, siempre y cuando el consumo total del usuario no exceda en un 50% el consumo básico o de subsistencia establecido por el Gobierno nacional.
Estos subsidios se restablecerán cuando el usuario disminuya el consumo a los límites establecidos en el presente artículo.
El Gobierno nacional tramita el decreto que reglamenta el artículo 104 de la Ley 1873 de 2017, para su cumplida aplicación, en la siguiente forma:
Artículo 1o. Adiciónase la reglamentación del artículo 104 de la Ley 1873 de 2017, adicionando una Sección 6 al Capítulo 2 del Título 3 de la Parte 2 del Libro 2 del Decreto 1073 de 2015 el cual quedará así:
Artículo 2.2.3.2.6.5. Subsidios de energía eléctrica y gas. Los estratos 1 y 2 tendrán derecho a los subsidios de energía y gas definidos en el artículo 3o de la Ley 1117 de 2006, modificado por el artículo 1o de la Ley 1428 de 2010 y prorrogado por el artículo 17 de la Ley 1753 de 2015, siempre y cuando el consumo total del usuario no exceda en un 50% el consumo básico o de subsistencia que haya establecido o establezca el Gobierno nacional a través de la Unidad de Planeación Minero Energética.
Estos subsidios se restablecerán cuando el usuario disminuya el consumo a los límites establecidos en el presente artículo.
Artículo 2.2.3.2.6.6. Alcance. Lo estipulado en el artículo 2.2.3.2.6.5 se aplicará de acuerdo con el consumo individual que se determina por parte de las empresas prestadoras del servicio en el Sistema Interconectado Nacional, según lo contemplado en el artículo 146 de la Ley 142 de 1994.
PARÁGRAFO. La norma anterior no podrá ser aplicada a los usuarios atendidos mediante esquemas diferenciales de prestación en los que se aplica la figura de medición y facturación comunitaria, de acuerdo con la normatividad vigente.
Artículo 2.2.3.2.6.7. Implementación. A partir de la fecha de publicación del presente decreto, las empresas prestadoras de los servicios públicos domiciliarios de energía eléctrica y gas combustible para uso domiciliario distribuido por red de tuberías, deberán informar en las facturas a los usuarios de los estratos 1 y 2 sobre el inicio de la aplicación de la medida aplicada desde la facturación de los consumos que inician en el mes de julio, según los ciclos de facturación de cada empresa.
Artículo 2.2.3.2.6.8. Requisito adicional de las facturas. La empresa indicará en la factura a cada usuario que exceda en un 50% el consumo básico o de subsistencia, que ha incurrido en un consumo que le impide tener derecho al subsidio de como máximo un 60% en el caso del usuario de estrato 1 y un 50% en el caso del usuario de estrato 2. Asimismo, distinguirá en las facturas el factor que se aplica para dar subsidios en ese período, de acuerdo con los porcentajes establecidos en el artículo 99.6 de la Ley 142 de 1994.
Artículo 2.2.3.2.6.9. Aplicación en sistemas de medición prepago. Para los usuarios a los que se les aplique un sistema de medición prepago, dado el caso que la energía total prepagada en un mismo mes sea superior a la cantidad de energía resultante del porcentaje determinado en el art 2.2.3.2.6.5, se les deberá realizar notificación y cobro en el siguiente mes de prepago, del valor resultante del excedente del porcentaje de subsidio aplicado en el mes de prepago. Para efectos de conciliación de subsidios, las empresas prestadoras deberán hacer previo al cálculo de conciliación, la compensación correspondiente del valor aplicado al subsidio en el mes de prepago que fue cobrado en el siguiente mes de prepago.
Artículo 2.2.3.2.6.10. Reglamentación tarifaria. La Comisión de Regulación de Energía y Gas (CREG) incluirá lo dispuesto en esta Sección en la regulación. Una vez realizado lo anterior, las empresas prestadoras deberán ajustar sus sistemas de facturación para dar cumplimiento a la aplicación de la medida según lo establecido en el artículo 2.2.3.2.6.7.”
De acuerdo con lo anterior y con el fin de dar cumplimiento a lo definido en el artículo 104 de la Ley 1873 de 2017 y en el decreto reglamentario que se encuentra en trámite, se requiere incluir estas nuevas disposiciones en la formulación para la aplicación de los subsidios de estratos 1 y 2 de la Resolución CREG 186 de 2010 y sus modificaciones.
RESUELVE:
ARTÍCULO 1o. Incorpórese el artículo 8oA a la Resolución CREG 186 de 2010 modificada por la Resolución CREG 186 de 2013, cuya vigencia fue ampliada mediante las resoluciones CREG 186 de 2014 y 241 de 2015.
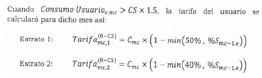
“Artículo 8A. Verificación mensual del límite máximo de subsidio según consumo del usuario. Cuando el consumo total de un usuario de estrato 1 y 2 de los servicios públicos domiciliarios de energía eléctrica y gas combustible por red, para el mes de cálculo de la tarifa (mc), exceda en un cincuenta por ciento (50%) el consumo básico o de subsistencia, definido para cada servicio, el subsidio no será superior al 40% del costo medio del suministro para el estrato 2, ni al 50% del costo medio del suministro para el estrato 1.

PARÁGRAFO 1. Cuando en un mes posterior, el consumo total de un usuario ya no exceda el cincuenta por ciento (50%) del consumo básico o de subsistencia, los límites máximos de subsidio volverán a los porcentajes definidos en el artículo 4 y su tarifa se calculará para ese mes según los artículos 7 y 8 de la presente resolución. En este caso, la tarifa del mes anterior, requerida para la determinación de la tarifa del mes de cálculo, corresponderá a la aplicada en el mercado de comercialización al cual pertenece el usuario.
PARÁGRAFO 2. Esta medida aplicará solamente a los usuarios de estrato 1 o 2 de los servicios públicos de energía eléctrica y gas combustible por redes de tubería de acuerdo con el consumo individual que se determina por parte de las empresas prestadoras del servicio en el Sistema Interconectado Nacional, según lo contemplado en el artículo 146 de la Ley 142 de 1994.
PARÁGRAFO 3. Las empresas que tengan activo un Sistema de Comercialización Prepago de medición individual, de que trata la Resolución CREG 096 de 2004, aplicarán lo previsto en la presente resolución a los usuarios de los servicios públicos de energía eléctrica y gas combustible por redes de tubería, pertenecientes al estrato 1 o 2 y que forman parte de ese sistema conforme a lo establecido en el Decreto Reglamentario del artículo 104 de la Ley 1873 de 2017.
PARÁGRAFO 4. La factura de cada usuario de estrato 1 o 2 que exceda en un 50% el consumo básico o de subsistencia deberá indicar que se ha incurrido en un consumo que impide tener derecho al tope máximo de subsidio del 60%, en el caso del usuario de estrato 1, y del 50%, en el caso del usuario de estrato 2; y señalará el porcentaje de subsidio otorgado para el cobro de ese mes de acuerdo con el artículo 99.6 de la Ley 142 de 1994.
PARÁGRAFO 5. A partir de la entrada en vigencia de la presente resolución, las empresas prestadoras de los servicios públicos domiciliarios de energía eléctrica y gas combustible por red de tuberías deberán informar, en las facturas, a los usuarios de los estratos 1 y 2 que la medida prevista en este artículo empezará su aplicación con la facturación de los consumos que inician en el mes de julio, según los ciclos de facturación de cada empresa y conforme lo establece el decreto reglamentario del artículo 104 de la Ley 1873 de 2017.
ARTÍCULO 2o. VIGENCIA DE LA PRESENTE RESOLUCIÓN. La presente resolución regirá desde su publicación en el Diario Oficial y perderá su vigencia el 31 de diciembre de 2018, cuando termine el período de aplicación de los subsidios previsto en la Ley 1753 de 2015.
Publíquese y cúmplase.
Firma del proyecto.
El Presidente,
Alonso Mayelo Cardona Delgado,
Viceministro de Energía Delegado del Ministro de Minas y Energía.
El Director Ejecutivo,
Germán Castro Ferreira.