RESOLUCIÓN 12 DE 2013
(febrero 22)
Diario Oficial No. 48.783 de 7 de mayo de 2013
COMISIÓN DE REGULACIÓN DE ENERGÍA Y GAS
Por la cual se aprueba el Cargo Promedio de Distribución por uso del Sistema de Distribución y el Cargo Máximo Base de Comercialización de gas combustible por redes de tubería a usuarios regulados, para el mercado relevante conformado por el municipio de Betulia ubicado en el departamento de Santander, según solicitud tarifaria presentada por Proviservicios S. A. ESP
LA COMISIÓN DE REGULACIÓN DE ENERGÍA Y GAS,
en ejercicio de sus atribuciones constitucionales y legales, en especial las conferidas por la Ley 142 de 1994, y en desarrollo de los Decretos 1524 y 2253 de 1994
CONSIDERANDO QUE:
El numeral 14.28 del artículo 14 de la Ley 142 de 1994, definió el servicio público domiciliario de gas combustible como el conjunto de actividades ordenadas a la distribución de gas combustible y estableció la actividad de comercialización como complementaria del servicio público domiciliario de gas combustible.
Según lo dispuesto por el artículo 28 de la Ley 142 de 1994, la construcción y operación de redes para el transporte de gas, así como el señalamiento de las tarifas por uso, se regirán exclusivamente por esa ley.
El numeral 73.11 del artículo 73 de la Ley 142 de 1994, atribuyó a la Comisión de Regulación de Energía y Gas, la competencia para establecer las fórmulas para la fijación de las tarifas del servicio público domiciliario de gas combustible.
Según lo dispuesto por el numeral 88.1 del artículo 88 de la Ley 142 de 1994, la Comisión de Regulación de Energía y Gas podrá establecer topes máximos y mínimos tarifarios, de obligatorio cumplimiento por parte de las empresas.
El artículo 126 de la Ley 142 de 1994 establece que vencido el período de vigencia de las fórmulas tarifarias estas continuarán rigiendo mientras la Comisión no fije las nuevas.
Mediante las Resoluciones CREG-045 de 2002 y CREG-069 de 2006 se estableció la metodología de cálculo y ajuste para la determinación de la tasa de retorno que se utilizará en las fórmulas tarifarias de la actividad de distribución de gas combustible por redes para el próximo período.
Mediante Resolución CREG-011 de 2003 se adoptó la metodología y criterios generales para determinar la remuneración de las actividades de distribución y comercialización de gas combustible y las fórmulas generales para la prestación del servicio público domiciliario de distribución de gas combustible por redes de tubería.
Mediante Resolución CREG-100 de 2003, la Comisión estableció los estándares de calidad en el servicio público domiciliario de gas natural y GLP en Sistemas de Distribución por redes de tubería.
Mediante Documento CREG-009 de 2004, se definieron los criterios para establecer los gastos eficientes de AOM para las actividades de distribución y comercialización, el factor de eficiencia en redes, así como los gastos eficientes de AOM para el control y monitoreo de los estándares de calidad definidos mediante Resolución CREG-100 de 2003.
El numeral 87.9 del artículo 87 de la Ley 142 de 1994, modificado por el artículo 99 de la Ley 1450 de 2011 determina que: “Las Entidades públicas podrán aportar bienes o derechos a las empresas de servicios públicos domiciliarios, siempre y cuando su valor no se incluya en el cálculo de las tarifas que hayan de cobrarse a los usuarios y que en el presupuesto de la entidad que autorice el aporte figure este valor. Las Comisiones de Regulación establecerán los mecanismos necesarios para garantizar la reposición y mantenimiento de estos bienes. Lo dispuesto en el presente artículo no es aplicable cuando se realice enajenación o capitalización de dichos bienes o derechos”.
Conforme al Acuerdo número 020 de 2011 el Fondo Nacional de Regalías - en liquidación aprobó recursos para el proyecto de masificación de gas licuado del petróleo, GLP, para el municipio de Betulia, en el departamento de Santander.
Proviservicios S. A. ESP, mediante comunicación con radicado CREG E-2012-002006 del 8 de marzo de 2012, solicitó la aprobación de los cargos de distribución y comercialización de gas licuado de petróleo GLP en el mercado relevante compuesto por el municipio de Betulia en el departamento de Santander.
La Empresa, mediante la comunicación en cita reportó a la CREG las proyecciones de demanda, las proyecciones de gastos de AOM de distribución y el programa de nuevas inversiones, clasificadas según el listado de unidades constructivas establecido en el Anexo No. 1 de la Resolución CREG 011 de 2003.
La Unidad de Planeación Minero-Energética - UPME, en comunicación con radicado interno CREG- E-2012-001970 de fecha 7 de marzo de 2012, aprobó la metodología utilizada para las proyecciones de demanda del mercado que va a atender la empresa Proviservicios S. A. ESP, de conformidad con lo establecido en el numeral 7.5 del artículo 7o de la Resolución CREG-011 de 2003.
La Dirección Ejecutiva de la Comisión, mediante auto proferido el día 2 de abril de 2012, dispuso iniciar la respectiva actuación administrativa con fundamento en la solicitud presentada por Proviservicios S. A ESP, para la aprobación de cargos de distribución y comercialización de gas combustible por redes de tubería para el mercado relevante conformado por el municipio de Betulia en el departamento de Santander.
Proviservicios S. A. ESP, en cumplimiento de lo dispuesto en los parágrafos de los artículos 20 y 29 de la Resolución CREG-011 de 2003, en el mes de marzo de 2012 publicó en un diario de amplia circulación (Periódico “El Frente”) el resumen del estudio de cargos que presentó a la Comisión, con la información señalada en la Circular CREG 021 de 2003. Copia de esta publicación se remitió a la CREG con radicados E-2012-002393 de fecha 22 de marzo de 2012 y E-2012-002964 de fecha 11 de abril de 2012.
Como resultado del análisis de la información presentadas a la Comisión por Proviservicios S. A. ESP, mediante radicado E-2012-002006 se realizaron los ajustes pertinentes a la información requerida para el cálculo de los Cargos de que tratan los artículos 7o y 23 de la Resolución CREG 011 de 2003, según se relacionan, con su respectivo sustento, en el documento soporte de la presente resolución.
La Comisión de Regulación de Energía y Gas efectuó los cálculos tarifarios correspondientes, a partir de la metodología establecida en la Resolución CREG-011 de 2003 y demás información disponible en la Comisión, los cuales se presentan en el Documento CREG-011 de 2013.
Conforme al Decreto 2897 de 2010 expedido por el Ministerio de Comercio, Industria y Turismo y la Resolución 44649 de 2010 expedida por la Superintendencia de Industria y Comercio, la Comisión de Regulación de Energía y Gas dio respuesta al cuestionario adoptado por esta última entidad para la evaluación de la incidencia sobre la libre competencia del presente acto administrativo, el cual se encuentra en el Documento CREG-011 de 2013.
Teniendo en cuenta la respuesta al cuestionario, y dado que la presente resolución contiene un desarrollo y aplicación de la metodología y criterios generales para determinar la remuneración de las actividades de distribución y comercialización de gas combustible y de las fórmulas generales para la prestación del servicio público domiciliario de distribución de gas combustible por redes de tubería adoptados mediante Resolución CREG 011 de 2003, el presente acto administrativo de carácter particular no requiere ser remitido a la SIC para los efectos establecidos en el artículo 7o de la Ley 1340 de 2009, reglamentado por el Decreto 2897 de 2010, por no tener incidencia sobre la libre competencia.
La Comisión de Regulación de Energía y Gas, en su sesión número 549, llevada a cabo el 22 de febrero de 2013, aprobó el Cargo Promedio de Distribución por uso del Sistema de Distribución y el Cargo Máximo Base de Comercialización de gas combustible por redes de tubería a usuarios regulados, para el mercado relevante conformado por el municipio de Betulia en el departamento de Santander, según solicitud tarifaria presentada por Proviservicios S. A. ESP,
RESUELVE:
ARTÍCULO 1o. MERCADOS RELEVANTES DE DISTRIBUCIÓN Y COMERCIALIZACIÓN. Para efectos de aplicación de esta resolución, el mercado relevante de distribución y comercialización está conformado por el municipio de Betulia en el departamento de Santander.
ARTÍCULO 2o. INVERSIÓN BASE. La Inversión Base para determinar el cargo promedio de distribución para el Mercado Relevante definido en el artículo 1o de esta resolución se compone como se indica a continuación:
2.1. Inversión Existente. Como inversión existente no se reconoce monto alguno, por tratarse de un mercado nuevo, de conformidad con la información presentada por la Empresa.
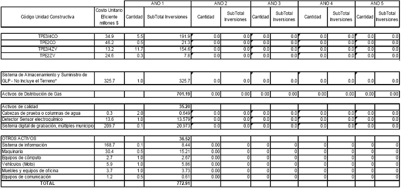
2.2. Programa de Nuevas Inversiones. Para el Programa de Nuevas Inversiones se reconocen los siguientes valores, con la descripción presentada en el Anexo 1 de la presente resolución:
| Descripción | Año 1 | Año 2 | Año 3 | Año 4 | Año 5 |
| Activos de distribución de gas | 701.190.374 | - | - | - | - |
| Activos de calidad | 35.200.906 | - | - | - | - |
| Otros activos | 36.518.743 | - | - | - | - |
| Total | 772.910.022 | - | - | - | - |
Cifras en pesos del 31 de diciembre de 2011.
PARÁGRAFO. Las desviaciones que se presenten en el Programa de Nuevas Inversiones serán consideradas de conformidad con lo establecido en el literal b) del numeral 7.1 del artículo 7o de la Resolución CREG-011 de 2003.
ARTÍCULO 3o. DEMANDAS ESPERADAS DE VOLUMEN. Para el cálculo tarifario se utilizó la Demanda de Volumen para el horizonte de proyección presentada en el Anexo 2 de esta Resolución.
ARTÍCULO 4o. GASTOS DE ADMINISTRACIÓN, OPERACIÓN Y MANTENIMIENTO - AOM. El nivel de eficiencia obtenido del modelo de optimización es del 65,74%. Aplicando este resultado al valor presente de los gastos de AOM propuestos para el Horizonte de Proyección, se obtiene el siguiente valor para incorporar al cálculo del cargo que remunera los gastos de AOM. En el Anexo 3 se presentan los gastos de AOM para el Horizonte de Proyección:
| Componente | $ del 31 de diciembre de 2011 |
| Valor Presente de los gastos de AOM, con nivel de eficiencia. | 254.421.467 |
ARTÍCULO 5o. CARGO PROMEDIO DE DISTRIBUCIÓN. A partir de la vigencia de la presente Resolución, el cargo promedio de distribución aplicable en el Mercado Relevante definido en el artículo 1o, para recuperar los costos de inversión y los gastos de AOM para la distribución domiciliaria de gas combustible por red se fija en 2.419,18 $/m3 ($ del 31 de diciembre de 2011) desagregados de la siguiente manera:
| Componente | $/m3 |
| Cargo de distribución | 2.419,18 |
| -- Componente de inversión FONDO NACIONAL DE REGALÍAS – en Liquidación | 1.770,47 |
| -- Componente de inversión PROVISERVICIOS S.A. ESP | - |
| -- Componente Gastos AOM | 648,71 |
NOTA: Cifras en pesos del 31 de diciembre de 2011
PARÁGRAFO 1o. Para el cálculo de las tarifas que se cobren a los usuarios con base en los cargos aprobados en la presente Resolución, se tendrá en cuenta lo establecido en el artículo 87.9 de la Ley 142 de 1994, modificado por el artículo 99 de la Ley 1450 de 2011, o aquella que la modifique, aclare o sustituya.
PARÁGRAFO 2o. El cargo piso aplicable en el Mercado Relevante del artículo 1o se fija en $136,32/m3, expresado en pesos del 31 de diciembre de 2011.
PARÁGRAFO 3o. Estos Cargos de Distribución se actualizarán de conformidad con lo establecido en el numeral 7.8 del artículo 7o de la Resolución CREG-011 de 2003.
ARTÍCULO 6o. CARGO MÁXIMO BASE DE COMERCIALIZACIÓN. A partir de la vigencia de la presente Resolución, el cargo máximo base de comercialización aplicable en el Mercado Relevante de que trata el artículo 1o de la presente Resolución, es el siguiente:
| Cargo de Comercialización ($/factura) | $3.970,77 |
NOTA: Cifras en pesos del 31 de diciembre de 2011, las comas indican decimales.
PARÁGRAFO. El Cargo de Comercialización se actualizará de conformidad con lo establecido en el artículo 24 de la Resolución CREG-011 de 2003.
ARTÍCULO 7o. FÓRMULA TARIFARIA. La Fórmula Tarifaria aplicable al mercado relevante definido en el artículo 1o de la presente Resolución corresponderá a la establecida en el Artículo 40 de la Resolución CREG 011 de 2003.
ARTÍCULO 8o. VIGENCIA DE LA FÓRMULA TARIFARIA, DEL CARGO PROMEDIO DE DISTRIBUCIÓN Y DEL CARGO MÁXIMO BASE DE COMERCIALIZACIÓN. La fórmula tarifaria, incluido el Cargo Promedio de Distribución y el Cargo Máximo Base de Comercialización que se establecen en esta Resolución, regirán a partir de la fecha en que la presente Resolución quede en firme y durante el término de vigencia de las fórmulas tarifarias definidas en la Resolución CREG-011 de 2003. Vencido este período las fórmulas tarifarias continuarán rigiendo mientras la Comisión no fije las nuevas, tal como está previsto en el artículo 126 de la Ley 142 de 1994.
ARTÍCULO 9o. La presente resolución deberá notificarse al representante legal de Proviservicios S. A. ESP, al Fondo Nacional de Regalías en Liquidación y publicarse en el Diario Oficial. Contra las disposiciones contenidas en esta Resolución procede el Recurso de Reposición, el cual podrá interponerse ante la Dirección Ejecutiva de la CREG dentro de los cinco (5) días hábiles siguientes a la fecha de su notificación.
Notifíquese, publíquese y cúmplase.
Dada en Bogotá, D. C., a 22 de febrero de 2013.
El Presidente,
TOMÁS GONZÁLEZ ESTRADA,
Viceministro de Energía, delegado del Ministro de Minas y Energía.
El Director Ejecutivo,
GERMÁN CASTRO FERREIRA.
PROGRAMA DE NUEVAS INVERSIONES.

(Valores expresados en millones de pesos del 31 de diciembre de 2011)
El Presidente,
TOMÁS GONZÁLEZ ESTRADA,
Viceministro de Energía, delegado del Ministro de Minas y Energía.
El Director Ejecutivo,
GERMÁN CASTRO FERREIRA.
PROYECCIONES DE USUARIOS Y DEMANDA.
| AÑO | NÚMERO DE USUARIOS | CONSUMO (m3) |
| 1 | 445 | 43.276 |
| 2 | 522 | 50.731 |
| 3 | 527 | 51.217 |
| 4 | 527 | 51.217 |
| 5 | 527 | 51.217 |
| 6 | 527 | 51.217 |
| 7 | 527 | 51.217 |
| 8 | 527 | 51.217 |
| 9 | 527 | 51.217 |
| 10 | 527 | 51.217 |
| 11 | 527 | 51.217 |
| 12 | 527 | 51.217 |
| 13 | 527 | 51.217 |
| 14 | 527 | 51.217 |
| 15 | 527 | 51.217 |
| 16 | 527 | 51.217 |
| 17 | 527 | 51.217 |
| 18 | 527 | 51.217 |
| 19 | 527 | 51.217 |
| 20 | 527 | 51.217 |
El Presidente,
TOMÁS GONZÁLEZ ESTRADA,
Viceministro de Energía, delegado del Ministro de Minas y Energía.
El Director Ejecutivo,
GERMÁN CASTRO FERREIRA.
PROYECCIÓN DE GASTOS AOM-ADMINISTRACIÓN, OPERACIÓN Y MANTENIMIENTO.
| AÑO | GASTOS AOM $ Dic. 2011 |
| 1 | 28.733.384 |
| 2 | 30.225.836 |
| 3 | 30.594.888 |
| 4 | 31.593.630 |
| 5 | 33.820.669 |
| 6 | 33.884.097 |
| 7 | 33.948.794 |
| 8 | 34.014.784 |
| 9 | 34.082.094 |
| 10 | 34.150.751 |
| 11 | 34.220.780 |
| 12 | 34.292.211 |
| 13 | 34.365.069 |
| 14 | 34.439.385 |
| 15 | 34.515.188 |
| 16 | 34.592.506 |
| 17 | 34.671.371 |
| 18 | 34.751.813 |
| 19 | 34.833.864 |
| 20 | 34.917.555 |
| VPN(11,31) | 254.421.467 |
El Presidente,
TOMÁS GONZÁLEZ ESTRADA,
Viceministro de Energía, delegado del Ministro de Minas y Energía.
El Director Ejecutivo,
GERMÁN CASTRO FERREIRA.