CONCEPTO 5658 DE 2013
(julio)
<Fuente: Archivo interno entidad emisora>
COMISIÓN DE REGULACIÓN DE ENERGÍA Y GAS - CREG
Bogotá, D.C.,
XXXXXXXXXXXXXXX
Asunto: Petición de información sobre algunos servicios públicos.
Radicado CREG E-2013-005658
Respetados señores:
Hemos recibido su comunicación en la cual nos solicita lo siguiente:
Pregunta 1
1. Solicitamos comedidamente se nos indique cuál es el valor señalado por ustedes en la actualidad para el kilovatio en esta zona del país, el periodo de tiempo para el cual rige dicha tarifa, si está autorizada la variación mensual y cuáles son los valores autorizados para dichos incrementos
2. Se nos indique sobre cuál valor se aplica el subsidio de energía eléctrica a que hace referencia las fracturas (sic) de venta y se explique por qué razón tal porcentaje es variable
3. Se nos Informe cual es el costo del metro cúbico de gas natural en la actualidad y para esta zona del país y se nos indique cuáles son los subsidios a que tenemos derecho, el porcentaje de los mismos y sobre qué valor se aplican dichos subsidios
En atención a su comunicación, nos permitimos manifestarle que la Comisión de Regulación de Energía y Gas tiene competencia para expedir la regulación de los sectores de electricidad y gas combustible, en el contexto de servicios públicos domiciliarios, según las funciones señaladas en las leyes 142 y 143 de 1994, y para emitir conceptos de carácter general y abstracto sobre los temas materia de su regulación. Por tanto, la Comisión no se pronuncia mediante concepto sobre asuntos particulares presentados entre la empresa y el usuario en desarrollo de la prestación de los servicios públicos domiciliarios de energía eléctrica y gas combustible.
En este contexto procedemos a emitir concepto general y abstracto sobre los temas regulatorios que son objeto de su comunicación.
Tarifa de energía eléctrica
Nos permitimos informar que, con relación al servicio de energía eléctrica, el Costo Unitario de prestación del servicio de energía eléctrica (Cu), es decir el costo por unidad de energía (kWh), que se refleja en su factura, resulta de la aplicación, por parte de las empresas prestadoras del servicio, de las fórmulas establecidas por la CREG en diferentes resoluciones.
Dichas fórmulas reflejan los costos que implican la generación, la transmisión y la comercialización de la energía eléctrica para cada mercado. Estos costos pueden variar por diversas circunstancias, como la disponibilidad de agua, el costo de los combustibles de origen fósil como el gas natural o el carbón, costos de insumos para las líneas de transmisión y distribución como el cobre o el aluminio, y características del mercado, en el caso de los costos de comercialización, entre otras.
Es necesario aclarar que la fórmula tarifaria es la misma aplicable a todo el Sistema Interconectado Nacional, sus componentes corresponden a los costos de la cadena de prestación del servicio que enfrenta la empresa para la atención de los usuarios del servicio. Para una mayor comprensión de cada uno de estos costos, en el Anexo 1 a esta comunicación se presenta una descripción de ellos y se dan algunos datos sobre la empresa de su interés.
Por lo general, de acuerdo con la fórmula establecida en la Resolución CREG 119 de 2007 las principales causas de las variaciones de las tarifas son las siguientes:
- Los precios de compra de energía pactados en los contratos que suscriba cada empresa prestadora del servicio con las empresas generadoras, o en su ausencia, los precios de bolsa del mercado mayorista de energía. Estos precios dependen, como ya lo mencionamos, de la disponibilidad de agua y de los precios de combustibles necesarios para la generación de energía.
- La aplicación del esquema de ADD. Dado que existen diferencias importantes en el valor de la componente de distribución de energía eléctrica en algunas regiones del país, el Gobierno Nacional expidió el Decreto 388 de 2007 estableciendo las Áreas de Distribución de Energía Eléctrica, ADD, reglamentadas a través de la Resolución CREG 058 de 2008(1), unificándose el valor del cargo de distribución en los sistemas de distribución al interior de una misma ADD, con lo que las tarifas de algunos usuarios presentaron disminuciones en dichos cargos y las tarifas de otros presentaron aumentos respecto de los que venían afrontando.
- Las variaciones de los indicadores económicos (IPC o IPP), las cuales se aplican en la mayoría de los componentes mensualmente.
Con base en tales fórmulas y teniendo en cuenta las características de cada mercado, cada empresa calcula el costo de prestación del servicio. Por esta razón, si desea conocer cómo se determinó el costo unitario de prestación del servicio que aparece en su factura o las razones que han dado origen a variaciones en el mismo, le recomendamos que, usando el derecho que usted tiene, se dirija a su prestador de servicio para que sea éste quien le de esta información. En caso de que la respuesta de la empresa no sea satisfactoria, puede enviar su petición o queja junto con la respuesta de la empresa a la Superintendencia de Servicios Públicos Domiciliarios, entidad encargada de la inspección, vigilancia y control de las empresas.
Para el caso específico de las tarifas aplicadas por EBSA, en los últimos nueve meses, para el estrato 4, que no contribuye ni recibe subsidios, reposa en la Comisión la siguiente información proporcionada por la citada empresa con el correspondiente desglose en cada una de las variables mencionadas:
| FECHA | G | T | C | R | D | PR | CU |
| oct-2012 | 131.15 | 20.62 | 81.82 | 7.63 | 131.52 | 25.14 | 397.87 |
| nov-2012 | 131.65 | 18.76 | 82.15 | 5.04 | 121.44 | 24.70 | 383.72 |
| dic-2012 | 128.44 | 21.17 | 81.90 | 5.36 | 133.85 | 24.52 | 395.24 |
| ene-2013 | 127.13 | 23.12 | 85.89 | 3.78 | 147.78 | 24.68 | 412.38 |
| feb-2013 | 148.09 | 20.39 | 85.15 | 2.05 | 129.53 | 27.89 | 413.10 |
| mar-2013 | 149.36 | 21.70 | 84.66 | 3.45 | 112.28 | 28.07 | 399.51 |
| abr-2013 | 141.30 | 21.70 | 84.85 | 10.10 | 132.05 | 26.82 | 416.81 |
| may-2013 | 164.02 | 18.92 | 84.96 | 4.93 | 152.70 | 29.87 | 455.46 |
| jun-2013 | 140.20 | 19.95 | 85.30 | 6.33 | 129.81 | 26.27 | 407.86 |
Subsidios y contribuciones
Una vez las empresas calculan el Costo Unitario de Prestación del Servicio (CU) como la suma de los componentes anteriormente mencionados, deben cumplir con las disposiciones legales sobre subsidios y contribuciones, así:
a) Para el caso de los estratos 1 y 2, la Ley 1117 de 2006, modificada por la Ley 1428 de 2010, establece que la aplicación de subsidios al Costo Unitario de Prestación del Servicio, CU a partir de enero de 2007 y hasta diciembre del año 2014, debe hacerse de tal forma que el incremento a estos usuarios en relación con sus consumos básicos o de subsistencia corresponda en cada mes como máximo a la variación del Índice de Precios al Consumidor, IPC. De cualquier forma el subsidio no podrá superar el 60% en el estrato 1 y el 50% en el estrato 2. Regulatoriamente estas disposiciones están abordadas en la Resolución CREG 186 de 2010.
b) Para los usuarios de estrato 3, el subsidio es hasta del 15% sobre el CU del consumo básico o de subsistencia.
c) Los usuarios de estrato 4 no pagan contribución ni son sujetos de subsidio; esto es, la tarifa que se les aplica es igual al CU.
d) Los usuarios de estratos 5 y 6, así como los usuarios comerciales e industriales, deben pagar una contribución del 20% sobre el CU; esto significa que la tarifa para este grupo es igual 1.2 veces el CU.
De cualquier forma, el artículo 125 de la Ley 142 de 1994 determina que las empresas podrán actualizar las tarifas que cobran a sus usuarios cada vez que se acumule una variación de, por lo menos, un tres por ciento (3%) en alguno de los índices de precios que considera la fórmula. Es decir, aunque uno cualquiera de los componentes varíe de manera mensual, en caso que la variación acumulada no supere el 3% con respecto al anteriormente cobrado, las tarifas no se podrán actualizar.
Con lo expuesto hasta aquí, las tarifas varían normalmente de acuerdo con la aplicación integral de las normas para su actualización, con los cálculos para cada empresa y mercado, conforme a la fórmula tarifaria vigente y según lo contenido en la metodología establecida para cada una de las actividades involucradas en la cadena de prestación del servicio, donde cada actividad tiene una metodología de remuneración compuesta por una serie de resoluciones que la rigen.
Tarifa de Gas
Nos permitimos informarle que conforme lo dispuesto por la Ley 142 de 1994, es competencia de la Comisión de Regulación de Energía y Gas, elaborar las metodologías tarifarias, que deben aplicar las empresas prestadoras del servicio.
Ahora bien, las empresas prestadoras del servicio están obligadas a aplicar dichas metodologías y es su responsabilidad explicar a sus usuarios la aplicación de las mismas y por ende los cambios particulares de un mes a otro. Por lo tanto, para saber las razones específicas de los cambios que hubo en sus tarifas, le recomendamos que usando el derecho que usted tiene se dirija a su prestador de servicio para que sea este quien le explique las variaciones que ha sufrido la tarifa y el porqué de las mismas.
De otro lado le comentamos que es la Superintendencia de Servicios Públicos Domiciliarios la entidad encargada de vigilar que las empresas estén actualizando las tarifas dentro del marco legal establecido. En tal sentido, si usted considera que la empresa está cometiendo alguna arbitrariedad usted puede presentar los recursos de reposición (ante la misma empresa) y de apelación ante la Superintendencia de Servicios Públicos.
Una vez aclarado que es la empresa la obligada a responder sus inquietudes, nosotros sólo podemos proceder a informar de una manera general sobre la metodología tarifaria y cuáles son los factores que pueden llevar al cambio de costos mes a mes del servicio.
El costo unitario de prestación del servicio del gas combustible por redes de tubería resulta de agregar los costos de las actividades de producción, transporte, distribución y comercialización, las cuales forman parte de la cadena de prestación del servicio.
La metodología tarifaria del servicio público de gas combustible por redes de tubería se encuentra establecida en la Resolución CREG 011 de 2003. En ésta se determina que la fórmula tarifaria general aplicable a los usuarios regulados del servicio domiciliario de distribución de gas natural, la estructura y componentes se presenta en el Anexo 2 a esta comunicación
En cuanto a las tarifas aplicadas, en el cuadro que a continuación se presenta se muestran las componentes aplicadas, de conformidad con la información de la Sociedad de Unidad Empresarial de Servicios Públicos, Publiservicios S.A., empresa que atiende el mercado de Garagoa ha reportado al SUI para los últimos 12 meses:
| MES | G | T | D | C | CARGO FIJO ESTRATO 4 | CARGO VAR. ESTRATO 4 |
| jul/2012 | 311 | 275 | 803 | 2,850 | 2,850 | 1,386 |
| ago/2012 | 32 | 275 | 801 | 2,846 | 2,846 | 1,388 |
| sep/2012 | 331 | 282 | 804 | 2,843 | 2,843 | 1,416 |
| oct/2012 | 326 | 277 | 808 | 2,848 | 2,848 | 1,405 |
| nov/2012 | 332 | 282 | 806 | 2,849 | 2,849 | 1,416 |
| dic/2012 | 29 | 280 | 798 | 2,842 | 2,842 | 1,411 |
| ene/2013 | 320 | 272 | 792 | 2,841 | 2,841 | 1,393 |
| feb/2013 | 320 | 304 | 790 | 2,846 | 2,846 | 1,427 |
| mar/2013 | 326 | 320 | 791 | 2,855 | 2,855 | 1,450 |
| abr/2013 | 329 | 323 | 793 | 2,857 | 2,857 | 1,456 |
| may/2013 | 329 | 323 | 790 | 2,860 | 2,860 | 1,455 |
| jun/2013 | 340 | 334 | 790 | 2,865 | 2,865 | 985 |
Esperamos que esta información sea de su utilidad. Le invitamos a consultar nuestra página web www.creg.gov.co, en la cual podrá consultar el texto completo de toda la normatividad mencionada en esta comunicación.
En los anteriores términos damos por atendida su solicitud. Los conceptos aquí emitidos tienen el alcance previsto en el artículo 28 del Código de Procedimiento Administrativo y de lo Contencioso Administrativo, así como en el artículo 73 numeral 73.24 de la Ley 142 de 1994.
Cordialmente,
GERMAN CASTRO FERREIRA
Director Ejecutivo
Anexo: Esquema Tarifario del Servicio de Energía Eléctrica y de Gas Natural.
ESQUEMA TARIFARIO DEL SERVICIO DE ENERGÍA ELÉCTRICA.
Las tarifas del servicio público domiciliario de energía eléctrica reflejan la aplicación del principio de solidaridad y redistribución del ingreso establecido en la Ley 142 de 1994 sobre el Costo Unitario de Prestación del Servicio (CU) y se encuentran establecidas a través de la Resolución CREG 079 de 1997 así:
| Tarifa estratos 1,2 | = | CU – Subsidio L. 812/ 2003 y 1117 /2006 |
| Tarifa estratos 3 | = | CU – Subsidio Ley 142 de 1994 |
| Tarifa estrato 4 y Oficial | = | CU |
| Tarifa estratos 5, 6, industria y comercio | = | CU + Contribución |
En el Sistema interconectado nacional, el Costo Unitario de Prestación del Servicio, (CU), es un costo económico eficiente que resulta de agregar los costos de las actividades de Generación, Transmisión, Distribución y Comercialización, definido por la Resolución CREG 119 de 2007.
El Costo Unitario de Prestación del Servicio consta de un componente variable de acuerdo con el nivel de consumo, expresado en $/kWh, y un componente fijo, expresado en $/factura, según se indica a continuación:
![]()
![]()
Cada uno de los componentes varía en diferentes periodos de tiempo, de la siguiente manera:
| Componente | Definición del Componente | Explicación | Factores de Variación |
| Costo de compra de energía ($/kWh- pesos por kilovatio-hora) para el mes m, del Comercializador Minorista. | Este componente corresponde al costo de compra de energía por parte del comercializador, bien en el mercado diario “spot” denominado la bolsa de energía o en contratos a largo plazo con generadores u otros comercializadores. | · Los contratos de energía a largo plazo que representan el mayor porcentaje en el total de compras de los comercializadores se indexan principalmente con el Índice de Precios al Consumidor -IPC. · El precio de bolsa varía hora a hora en cada día de acuerdo con las condiciones del mercado. | |
| Costo por uso del Sistema Nacional de Transmisión ($/kWh) para el mes m determinado | Es el valor único para todos los comercializadores con el cual se paga el transporte de energía desde las plantas de generación hasta las Redes de Transmisión Regional (STR). | La actualización se realiza con el Índice de Precios al Productor (IPP). Varía mensualmente por las variaciones en la demanda nacional. | |
| Costo por uso de Sistemas de Distribución ($/kWh) correspondiente al nivel de tensión n para el mes m. Los niveles de tensión son 1, 2, 3, y 4. En general los usuarios residenciales están conectados al nivel 1. | Corresponde al valor que se paga por transportar la energía desde el Sistema de Transmisión Nacional hasta el usuario final a través de los Sistemas de Transmisión Regional y de Distribución Local. Estos valores se definen por la CREG para cada empresa distribuidora. Dadas las diferencias en el valor de este componente entre distintos sistemas, el Ministerio de Minas y Energía, MME, ordenó la creación de Áreas de Distribución de Energía Eléctrica, ADD, con el objeto de unificar el cargo al interior de una misma ADD. Las ADD actualmente determinadas por el MME son: Oriente: Codensa, EEC, EBSA, ELECTROHUILA y ENELAR. Occidente : EMCALI, EPSA, EMCARTAGO, Empresa Municipal de Energía Eléctrica, CETSA, CEDELCA y CEDENAR Sur: ELECTROCAQUETÁ, EMSA, ENERGUAVIARE, ENERCA, EEPSA, EEBP Y EMEVASI Centro: ESSA, CENS, EPM, EDEQ, EEP, CHEC y Ruitoque | La actualización se realiza con el Índice de Precios al Productor (IPP). Varía mensualmente. Por la creación de las ADD, donde se unificó el cargo se debieron presentar variaciones para los usuarios. (Los que tenían cargos superiores al unificado del ADD tuvieron disminuciones mientras que los que tenían cargos inferiores al del ADD presentaron incrementos) | |
| Margen de Comercialización correspondiente al mes m, del Comercializador Minorista, expresado en ($/kWh). | Remunera los costos variables asociados con la comercialización de la energía, tales como el margen de la actividad, riesgo de cartera, pagos al Administrador del Mercado y al Centro Nacional de Despacho, así como las contribuciones a la CREG y a la SSPD y los costos de atención comercial del usuario. | La actualización se realiza con el Índice de Precios al Consumidor (IPC). Varía mensualmente | |
| Costo de Restricciones y de Servicios asociados con generación en $/kWh asignados al Comercializador Minorista i en el mes m. | Corresponde a los costos de la generación más costosa que debió utilizarse para que el Sistema de Transmisión Nacional opere de manera segura y/o por las limitaciones de su red. | Es variable por cuanto depende principalmente de la magnitud de la indisponibilidad de los activos de transmisión. Varía mensualmente | |
| Costo de compra, transporte y reducción de pérdidas de energía ($/kWh) acumuladas hasta el nivel de tensión n, para el mes m, del Comercializador Minorista | Corresponde al costo reconocido de pérdidas de energía que por razones técnicas o no técnicas se pierden tanto en el Sistema de Transmisión Nacional como en el Sistema de Transmisión Regional y Distribución Local; así como los costos de los programas de reducción de pérdidas no técnicas que se realicen por Mercado de Comercialización. | Variará por empresa de acuerdo al costo aprobado. |
Subsidios y contribuciones
Una vez las empresas calculan el Costo Unitario de Prestación del Servicio (CU) como la suma de los componentes anteriormente mencionados, deben cumplir con las disposiciones legales sobre subsidios y contribuciones, así:
a) Para el caso de los estratos 1 y 2, la Ley 1117 de 2006, modificada por la Ley 1428 de 2010, establece que la aplicación de subsidios al Costo Unitario de Prestación del Servicio, CU a partir de enero de 2007 y hasta diciembre del año 2014, debe hacerse de tal forma que el incremento a estos usuarios en relación con sus consumos básicos o de subsistencia corresponda en cada mes como máximo a la variación del Índice de Precios al Consumidor, IPC. De cualquier forma el subsidio no podrá superar el 60% en el estrato 1 y el 50% en el estrato 2. Regulatoriamente estas disposiciones están abordadas en la Resolución CREG 186 de 2010.
b) Para los usuarios de estrato 3, el subsidio es hasta del 15% sobre el CU del consumo básico o de subsistencia.
c) Los usuarios de estrato 4 no pagan contribución ni son sujetos de subsidio; esto es, la tarifa que se les aplica es igual al CU.
d) Los usuarios de estratos 5 y 6, así como los usuarios comerciales e industriales, deben pagar una contribución del 20% sobre el CU; esto significa que la tarifa para este grupo es igual 1.2 veces el CU.
Para efectos de la aplicación de los subsidios el consumo de subsistencia fue definido por la Unidad de Planeación Minero Energética, UPME en la Resolución 355 de 2004 así:
| Altura sobre el nivel del mar [m] | Consumo de Subsistencia [kWh] |
| Inferior a 1000 | 173 |
| Superior o igual a 1000 | 130 |
De cualquier forma, el artículo 125 de la Ley 142 de 1994 determina que las empresas podrán actualizar las tarifas que cobran a sus usuarios cada vez que se acumule una variación de, por lo menos, un tres por ciento (3%) en alguno de los índices de precios que considera la fórmula. Es decir, aunque uno cualquiera de los componentes varíe de manera mensual, en caso que la variación acumulada no supere el 3% con respecto al anteriormente cobrado, las tarifas no se podrán actualizar.
Es importante anotar que la Ley 1430 de 2010 en su artículo 2o estableció:
Artículo 2o. Contribución sector eléctrico usuarios industriales. Modifíquese el parágrafo 2o y adiciónese un nuevo parágrafo al artículo 211 del Estatuto Tributario, modificado por el artículo 13 de la Ley 633 de 2000, el cual quedará así:
“Parágrafo 2o. Para los efectos de la sobretasa o contribución especial en el sector eléctrico de que trata el artículo 47 de la Ley 143 de 1994, se aplicará para los usuarios industriales, para los usuarios residenciales de los estratos 5 y 6, y para los usuarios comerciales, el veinte por ciento (20%) del costo de prestación del servicio.
Los usuarios industriales tendrán derecho a descontar del impuesto de renta a cargo por el año gravable 2011, el cincuenta por ciento (50%) del valor total de la sobretasa a que se refiere el presente parágrafo. La aplicación del descuento aquí previsto excluye la posibilidad de solicitar la sobretasa como deducible de la renta bruta.
A partir del año 2012, dichos usuarios no serán sujetos del cobro de esta sobretasa. Así mismo, el gobierno establecerá quién es el usuario industrial beneficiario del descuento y sujeto de la presente sobretasa.
Parágrafo 3o. Para los efectos del parágrafo anterior, el Gobierno Nacional reglamentará las condiciones necesarias para que los prestadores de los servicios públicos, a que se refiere el presente artículo, garanticen un adecuado control, entre las distintas clases de usuarios del servicio de energía eléctrica”.
La mencionada ley fue reglamentada por el Decreto 2915 de 2011. Con lo expuesto hasta aquí, las tarifas varían normalmente de acuerdo con la aplicación integral de las normas para su actualización, con los cálculos para cada empresa y mercado, conforme a la fórmula tarifaria vigente y según lo contenido en la metodología establecida para cada una de las actividades involucradas en la cadena de prestación del servicio, donde cada actividad tiene una metodología de remuneración compuesta por una serie de resoluciones que la rigen.
FIN DEL ANEXO
ESQUEMA TARIFARIO DEL SERVICIO DE GAS NATURAL POR REDES DE TUBERÍA.
La metodología tarifaria del servicio público de gas combustible por redes de tubería se encuentra establecida en la Resolución CREG 011 de 2003. En ésta se determina que la fórmula tarifaria general aplicable a los usuarios regulados del servicio domiciliario de distribución de gas natural, a continuación se presenta la estructura y componentes de la citada fórmula:
| Cargo variable: | |
| Cargo fijo: | |
| Donde: | |
| J = | Rango j de consumo. |
| M = | Mes de prestación del servicio. |
| Gm = | Costo promedio máximo unitario en $/m3 para compras de gas natural destinado a Usuarios Regulados, aplicable en el mes m. |
| Tm = | Costo promedio máximo unitario en $/m3 para el transporte de gas en el Sistema Nacional de Transporte destinado a Usuarios Regulados aplicable en el mes m. |
| p = | Porcentaje reconocido de pérdidas de gas en el Sistema Nacional de Transporte y en el Sistema de Distribución, equivalente a 3.5%, desagregado en un 1% para el Sistema Nacional de Transporte y un 2.5% para el Sistema de Distribución. |
| Dvjm = | Componente variable del Cargo de Distribución en $/m3 permitido al Distribuidor por uso de la red aplicable en el mes m, correspondiente al rango j de consumo. No incluye la conexión. |
| Dfjm = | Componente fijo del cargo de distribución, expresado en $/factura, aplicable en el mes m correspondiente al rango j de consumo. El componente fijo para los usuarios del primer rango de consumo de la canasta de tarifas será igual a cero. |
| Cm = | Cargo máximo de Comercialización del mes m expresado en pesos por factura. |
De otro lado, para cada uno de los componentes se tiene:
Compras de Gas
El costo promedio máximo unitario para compras de gas (Gm) se calcula con base en la siguiente expresión:

| Gm = | Costo promedio máximo unitario en $/m3 para compras de gas natural para el mercado de Comercialización, aplicable en el mes m. |
| CTGm-1 = | Costo total de compras de gas en el mes m-1, en USD, destinado al mercado de Usuarios Regulados, sin incluir pérdidas de gas, costos de transporte, penalizaciones, compensaciones, intereses de mora u otros cargos no regulados. |
| Em-1 = | Volumen de gas medido en el mes m-1 en las Estaciones de Puerta de Ciudad, expresado en términos de energía con el Poder Calorífico promedio del gas medido en dichas Estaciones de Puerta de Ciudad (MBTU). |
| TRM(m-1) = | Tasa de Cambio Representativa del Mercado del último día del mes m-1. |
| PCm-1 = | Poder Calorífico del gas en el mes m-1, expresado en MBTU/m3, calculado de acuerdo con el procedimiento establecido en la Resolución CREG-067 de 1995 o aquellas que la sustituyan, complementen o modifiquen. |
Así mismo, se establece que bajo ninguna circunstancia el Comercializador podrá trasladar a los usuarios regulados costos promedios de compra de gas superiores al Precio Máximo Regulado, cuando el gas comprado esté sometido a dicho Precio.
En relación con esta variable es importante precisar que el costo del gas está asociado a los precios del mercado y el índice de devaluación de la moneda.
Transporte
El costo promedio máximo unitario de transporte de gas (Tm), se calculará con base en la siguiente expresión:

| T m = | Costo promedio máximo unitario en $/m3 para el transporte de gas natural al mercado de Comercialización, aplicable en el mes m. |
| CTTm-1 = | Costo total de transporte de gas en el mes m-1, causados por el volumen efectivamente transportado incluyendo los cargos por capacidad y los cargos por volumen, en USD, destinado a Usuarios Regulados, sin incluir penalizaciones, compensaciones o intereses de mora. Se deben incluir los pagos por concepto de impuesto de transporte y otras contribuciones relativas al mismo. En el caso en que el Comercializador reciba ingresos adicionales por la venta de capacidad contratada con anterioridad, el CTTm-será el neto entre los costos totales por concepto de transporte y los ingresos por venta de capacidad. |
| VIm-1= | Volumen de gas medido en condiciones estándar en el mes m-1 en las Estaciones de Puerta de Ciudad, según sea el caso (m3). |
| TRM(m-1) = | Tasa de Cambio Representativa del Mercado en el último día del mes m-1. |
Bajo ninguna circunstancia el Comercializador podrá trasladar a los usuarios costos de transporte de gas superiores a los resultantes de aplicar lo dispuesto por la CREG para el servicio de transporte a usuarios regulados.
Distribución
El cargo promedio de distribución se determina como la relación entre el valor presente descontado de los costos de inversión y los gastos de AOM, y el valor presente de la demanda de volumen.
La metodología de la Resolución CREG 011 de 2003 establece que con base en el cargo promedio de distribución aprobado por la Comisión (Resolución independiente por mercado relevante), el Distribuidor puede aplicar una metodología de canasta de tarifas en donde el cargo más alto (cargo techo) aplicable al rango de consumo no podrá exceder el 10% del cargo promedio de distribución y el cargo más bajo (cargo piso) o aquel aplicable a los usuarios de más alto consumo, no deberá ser menor al costo medio de la red primaria.
Los cargos definidos aplicando la metodología de canasta de tarifas son cargos máximos por rango. No obstante, el Distribuidor podrá ofrecer cargos menores en cada rango considerando que sean iguales para todos los usuarios del mismo rango, conservando una tendencia descendente, teniendo en cuenta lo establecido en los artículos 34 y 98 de la Ley 142 de 1994 y no afectando los cargos máximos definidos con la aplicación de la metodología de canasta de tarifas.
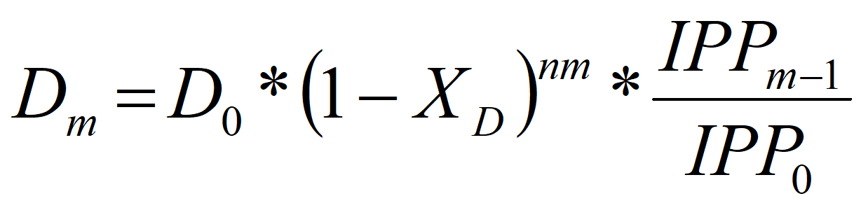
Los cargos promedios de distribución aprobados en resoluciones particulares de la CREG, expresados en pesos de Fecha Base, se actualizan mes a mes de acuerdo con la siguiente fórmula general:

| Donde: | |
| Cargo Promedio de Distribución correspondiente al mes m de prestación del servicio. | |
| Cargo Promedio de Distribución aprobado por resolución de la CREG y expresado en precios de la Fecha Base. | |
| Índice de Precios al Productor Total Nacional reportado por el Banco de la República para el mes (m-1). | |
| Índice de Precios al Productor Total Nacional reportado por el Banco de la República para la Fecha Base del cargo por distribución D0. | |
| XD = | Factor de productividad mensual de la actividad de Distribución equivalente a 0.00106. Dicho factor aplicará a partir de la entrada en vigencia de la resolución que establece el Cargo Promedio de Distribución para cada mercado. |
| Número de meses transcurrido desde la entrada en vigencia de la resolución que establece el Cargo Promedio de Distribución para cada mercado hasta el mes m. |
Comercialización
El cargo máximo base de comercialización C0, definido de acuerdo con la Resolución CREG 011 de 2003, se determinará como el cociente de la suma de los componentes a) y b) descritos a continuación, sobre el número de facturas del año para el cual se tomaron los parámetros de cálculo de dichos componentes.
a) Los gastos anuales de AOM y la depreciación anual de las inversiones en equipos de cómputo, paquetes computacionales y demás activos atribuibles a la actividad de Comercialización que resulten de aplicar la metodología de Análisis Envolvente de Datos, tal como se describe en el Anexo 7 de la Resolución CREG 011 de 2003.
b) El ingreso anual del Comercializador correspondiente al año en el cual se efectuaron los cálculos de los gastos de AOM multiplicado por un margen de comercialización de 1.67%.
El Cargo de Comercialización se actualiza mensualmente utilizando la siguiente fórmula:

| Donde: | |
| Cargo máximo de comercialización, expresado en pesos por factura, correspondiente al mes m de prestación del servicio. | |
| Cargo base de comercialización aprobado por la CREG para cada mercado, expresado en pesos por factura, a precios de la Fecha Base. | |
| Índice de Precios al Consumidor reportado por el DANE para el mes (m-1). | |
| Índice de Precios al Consumidor reportado por el DANE para la Fecha Base del Cargo por Comercialización | |
| XC = | El factor de productividad mensual de la actividad de Comercialización será 0.00125. Dicho factor aplicará a partir de la entrada en vigencia de la Resolución que establece el Cargo Base de Comercialización para cada mercado. |
| Número de meses transcurrido desde la entrada en vigencia de la Resolución que establece el Cargo de Comercialización para cada mercado, hasta el mes m. |
Subsidios y Contribuciones
Es de indicar que las tarifas de los usuarios incluyen los porcentajes de subsidio para el estrato 1 y 2 y de contribución para los estratos 5 y 6, comerciales e industriales.
La normatividad sobre el tema de subsidios y contribuciones para los servicios públicos se puede consultar en la reglamentación que se enumera a continuación:
- El Régimen de Servicios Públicos Domiciliarios (Ley 142 de 1994).
- La Ley 286 de 1996, por la cual se modifican parcialmente la ley 142
- La resolución CREG 124 de 1996, por la cual se verifican los factores de contribución a aplicar y los subsidios a otorgar a los usuarios de las empresas distribuidoras de gas natural por redes y el programa de ajuste a los límites legales.
- La resolución CREG 015 de 1997, por la cual se verifica el factor de contribución aplicable a usuarios industriales y comerciales del servicio de gas natural por red
- La Ley 1117 de 2006, Por la cual se Expiden Normas sobre Normalización de Redes Eléctricas y Subsidios para Estratos 1 y 2.
- Las Resoluciones CREG 001 de 2007 y CREG 006 de 2007, “Por la cual se da cumplimiento a lo establecido en el Artículo 3o de la Ley 1117 de 2006 en relación con los subsidios de usuarios a estratos 1 y 2 de los servicios de Energía Eléctrica y de Gas Combustible por Redes de Tubería”.
- La Ley 1428 de 2010, Por la cual se modifica el artículo 3o de la Ley 1117 de 2006.
- Resolución CREG 186 de 2010 Por la cual se da cumplimiento a lo establecido en el Artículo 1o de la Ley 1428 de 2010 por la cual se modifica el artículo 3 de la Ley 1117 de 2006 en relación con la aplicación de los subsidios a los usuarios de estratos 1 y 2 de los servicios de Energía Eléctrica y Gas Combustible por redes de tubería
- Decreto Número 4956 de <sic, es 2011> 201, por el cual se reglamenta el artículo 102 de la Ley 1450 de 2011 – En este se establece que la exención de la contribución especial de que trata el numeral 89.5 del artículo 89 de la Ley 142 de 1994, aplica a los usuarios industriales de gas natural domiciliario cuya actividad económica principal se encuentre registrada en el Registro Único Tributario –RUT– a 31 de diciembre de 2011.
En resumen, de esta normatividad se tiene que los porcentajes de subsidio para los usuarios de estrato 1 y 2 de los servicios de gas combustible en relación con sus consumos básicos o de subsistencia deberán ser como máximo del sesenta por ciento (60%) del Costo de prestación del servicio para el estrato 1 y como máximo del cincuenta por ciento (50%) para el estrato 2(2). Ahora bien, los usuarios de gas combustible pertenecientes a los estratos 3 y 4 del gas combustible, no son sujetos de subsidio, a la vez que quedan exentos por Ley del pago de contribución.
De otro lado, el factor de contribución que deben sufragar los usuarios residenciales de estratos 5 y 6, es del veinte por ciento (20%) sobre el valor del servicio y 8.9% para los usuarios comerciales.
De acuerdo con todo lo citado anteriormente, se concluye que los cambios en cada uno de los componentes de la tarifa dependen de diversos factores: (i) el costo de gas, (ii) la tasa representativa del mercado, (iii) las condiciones económicas de los contratos de compra y transporte de gas y (iv) el origen y la trayectoria del gas comprado, entre otros. Para las actividades de distribución y comercialización la variación depende de los cambios en los indicadores económicos del IPP e IPC.
FIN DEL ANEXO
NOTAS AL FINAL:
1. Modificada por las resoluciones CREG 068 y 070 de 2008, 189 de 2009, 116 de 2010 y 149 de 2010.
2. De acuerdo con la Ley 1428 de 2010 y la Resolución 186 de 2010