PROYECTO DE RESOLUCIÓN 701 020 DE 2023
(septiembre 4)
<Fuente: Archivo interno entidad emisora>
COMISIÓN DE REGULACIÓN DE ENERGÍA Y GAS
La Comisión de Regulación de Energía y Gas, en su sesión 1285 del 04 de septiembre de 2023, conforme a lo dispuesto en el artículo 33 de la Resolución CREG 039 de 2017, aprobó someter a consulta pública el presente proyecto de resolución por el término de quince (15) días calendario, contados a partir del día siguiente a su publicación en el portal web de la CREG.
Se invita a los usuarios, empresas, autoridades y demás partes interesadas a presentar sus observaciones y sugerencias dentro del plazo establecido, haciendo uso del formato de comentarios que se publica con este proyecto dirigido a la Dirección Ejecutiva de la CREG, a la cuenta creg@creg.gov.co.
Al vencimiento de la consulta pública, la CREG determinará si el proyecto debe ser informado a la Superintendencia de Industria y Comercio, para el ejercicio de la Abogacía de la Competencia, con fundamento en las disposiciones del Decreto 1074 de 2015, artículo 2.2.2.30.5.
PROYECTO DE RESOLUCIÓN
Por la cual se habilita transitoriamente la comercialización de energía excedentaria de plantas menores, cogeneradores y autogeneradores a gran escala y se dictan otras disposiciones.
LA COMISIÓN DE REGULACIÓN DE ENERGÍA Y GAS
En ejercicio de sus atribuciones constitucionales y legales, en especial las conferidas por las leyes 142 y 143 de 1994, y en desarrollo de los decretos 1524 y 2253 de 1994 y el Decreto 0929 de 2023
CONSIDERANDO QUE:
El artículo 334 de la Constitución Política establece que corresponde al Estado la dirección general de la economía, para lo cual intervendrá, entre otros asuntos, en los servicios públicos y privados, buscando el mejoramiento de la calidad de vida de los habitantes, la distribución equitativa de las oportunidades y los beneficios del desarrollo, y la preservación de un ambiente sano.
El artículo 365 de la misma Carta Política establece que los servicios públicos son inherentes a la finalidad social del Estado y es deber de este, asegurar su prestación eficiente a todos los habitantes del territorio nacional.
De conformidad con el artículo 2 de la Ley 142 de 1994, la intervención del Estado en la prestación de los servicios públicos domiciliarios, debe perseguir entre otros fines, la prestación eficiente, continua e ininterrumpida, la libre competencia, y la no utilización abusiva de la posición dominante.
En el artículo 73 de la Ley 142 de 1994 se señala que las Comisiones de Regulación tienen la función de promover la competencia entre quienes presten servicios públicos, para que las operaciones de los monopolistas o de los competidores sean económicamente eficientes, no impliquen abuso de la posición dominante y produzcan servicios de calidad.
En el artículo 74 de la Ley 142 de 1994, señala que son funciones y facultades especiales de la Comisión de Regulación de Energía y Gas, CREG, entre otras, las de regular el ejercicio de las actividades de los sectores de energía y gas combustible para asegurar la disponibilidad de una oferta energética eficiente, propiciar la competencia en el sector de minas y energía y proponer la adopción de las medidas necesarias para impedir abusos de posición dominante, buscar la liberación gradual de los mercados hacia la libre competencia, y establecer criterios para la fijación de compromisos de ventas garantizadas de energía y potencia entre las empresas eléctricas y entre estas y los grandes usuarios.
Particularmente el numeral 1 del artículo 74 de la Ley 142 de 1994, le asignó a la CREG la función de expedir el Reglamento de Operación para regular el funcionamiento del Mercado Mayorista de energía.
Así mismo, según el artículo 4 de la Ley 143 de 1994, el Estado, en relación con el servicio de electricidad, tendrá como objetivos en el cumplimiento de sus funciones, los de abastecer la demanda de electricidad de la comunidad bajo criterios económicos y de viabilidad financiera, asegurando su cubrimiento en un marco de uso racional y eficiente de los diferentes recursos energéticos del país; asegurar una operación eficiente, segura y confiable en las actividades del sector; y mantener los niveles de calidad y seguridad establecidos.
El artículo 6 de la Ley 143 de 1994 señaló que las actividades relacionadas con el servicio de electricidad se regirían, entre otros principios, por el de adaptabilidad, el cual conduce a la incorporación de los avances de la ciencia y de la tecnología, con el fin de que aporten mayor calidad y eficiencia en la prestación del servicio al menor costo económico.
El artículo 20 de La Ley 143 de 1994, definió como objetivo fundamental de la Regulación en el sector eléctrico, asegurar una adecuada prestación del servicio mediante el aprovechamiento eficiente de los diferentes recursos energéticos, en beneficio del usuario en términos de calidad, oportunidad y costo del servicio.
Para el cumplimiento del objetivo señalado, la Ley 143 de 1994, artículo 23, le atribuyó a la CREG, entre otras, las funciones de crear las condiciones para asegurar la disponibilidad de una oferta energética eficiente capaz de abastecer la demanda bajo criterios sociales, económicos, ambientales y de viabilidad financiera, y promover y preservar la competencia, para lo cual, la oferta eficiente, tendrá en cuenta la capacidad de respaldo. Además, se delegó en la CREG, la función de establecer el Reglamento de Operación para realizar el planeamiento y la coordinación de la operación del Sistema Interconectado Nacional.
El artículo 42 de la Ley 143 de 1994 señala que las compras de electricidad deben realizarse mediante mecanismos que estimulen la libre competencia.
La resolución 024 de 1995 reglamentan los aspectos comerciales del mercado mayorista de energía en el sistema interconectado nacional, como parte del Reglamento de Operación del Sistema Interconectado Nacional.
En el anexo 7 de la Resolución CREG 071 de 2006 establece la liquidación del cargo por confiabilidad cuando el precio de bolsa nacional horario en algún periodo horario del día, supera el precio de escasez de activación.
En el parágrafo del artículo 3 de la resolución CREG 086 de 1996 y el artículo 14 de la Resolución CREG 024 de 2015 establecen el cambio de potencia máxima declarada cuando las plantas menores a 20WM, generación distribuida y autogeneradores a gran escala presenten entregas de potencia promedio por encima de la declarada ante el MEM.
Como respuesta a los impactos del fenómeno de El Niño en 2015, se emitió la Resolución 171 de 2015. Esta resolución estableció de manera temporal la participación de las plantas no despachadas centralmente con energía excedentaria en el Mercado de Energía Mayorista (MEM) con el objetivo de aumentar la disponibilidad de energía en el Sistema Interconectado Nacional (SIN).
En el artículo 3 de la Resolución CREG 130 de 2019 se definieron las formas en las cuales los comercializadores pueden realizar coberturas para atender la demanda regulada, dentro de los cuales están los mecanismos que la CREG señale expresamente.
Mediante la Resolución CREG 101 002 de 2022 se definió la fórmula de traslado en el componente de compras de energía (G) del costo unitario de prestación del servicio (CU), con el fin de incluir las compras que realicen los comercializadores en los mecanismos autorizados como resultado de la aplicación de la Resolución CREG 114 de 2018.
Mediante el artículo 6 del Decreto 0929 de 2023, por el cual se modifica y adiciona el Decreto 1073 de 2015, Único Reglamentario del Sector Administrativo de Minas y Energía, y se establecen políticas y lineamientos para promover la eficiencia y la competitividad del servicio público domiciliario de energía eléctrica, se establece lo siguiente:
“ARTÍCULO 6. Modifíquese el Artículo 2.2.3.2.5.3 del Decreto 1073 de 2015, el cual quedará así:
ARTÍCULO 2.2.3.2.5.3 Compras de Energía para el Mercado Regulado. Mercado Regulado. La CREG regulará el marco aplicable a las compras de energía con destino al Mercado Regulado, con el objeto de que todos los usuarios obtengan los beneficios de la competencia en el Mercado Mayorista de Energía y disminuya su exposición a los precios de la bolsa.
En todo caso, para los mecanismos de compras de energía mediante convocatorias públicas, la regulación deberá atender las siguientes directrices.
a) Propiciar la participación de los agentes generadores en las convocatorias públicas de compra de energía que realicen los agentes comercializadores para la atención de la demanda regulada.
b) Promover el tratamiento equitativo entre agentes integrados y no integrados, de manera que mantengan las mismas condiciones de participación en las convocatorias.
c) Velar por la celeridad en los procesos de convocatorias públicas. Para lo cual, entre otras medidas, deberán ajustar los plazos vigentes en el mecanismo de convocatorias de la Resolución CREG 130 de 2019.
PARÁGRAFO 1. Dentro de los 2 meses posteriores a la fecha de entrada en vigencia de la modificación al presente artículo, la CREG deberá ajustar la regulación existente con el fin de incorporar los criterios aquí mencionados.
PARÁGRAFO 2. Frente a pronósticos de hidrología crítica y de acuerdo con los lineamientos que defina la CREG, los agentes que tengan demanda regulada expuesta a la bolsa, deberán acoger las convocatorias públicas para la compra de energía.”
Teniendo en cuenta las diferentes advertencias emitidas por organismos nacionales e internacionales, en relación con la alta probabilidad de ocurrencia del Fenómeno de El Niño en la región, el Instituto de Hidrología, Meteorología y Estudios Ambientales – IDEAM estimó el inicio de este fenómeno durante el segundo semestre de 2023.
Por su parte, el Centro de Predicción Climática de la Administración Nacional Oceánica y Atmosférica de Estados Unidos (NOAA) anunció el inicio del fenómeno climático “El Niño” y anticipó que continue con una probabilidad mayor al 95% entre diciembre de 2023 y febrero de 2024.
De otro lado, varios proyectos de generación de energía, adjudicados por medio de las subastas de CLPE 02-2019 y CLPE 03-2021 convocadas por el Ministerio de Minas y Energía en el 2019 y 2021, en su mayoría ubicados en el departamento de La Guajira, no entraron en operación en las fechas previstas. En consecuencia, en aplicación de lo establecido en el artículo 7 del Decreto 1276 de 2023 “Por el cual se adoptan adopta medidas para crear un régimen tarifario especial y diferencial de carácter transitorio que abarate la energía en La Guajira”, se podría presentar la suspensión de los contratos adjudicados y celebrados como resultado de las subastas mencionadas. Esta situación generaría un incremento en la exposición a bolsa de la demanda nacional cercana al 4.1%, según cálculos realizados a partir de la información suministrada por XM mediante comunicación identificada con radicado CREG E2023015015 del 16 de agosto de 2023.
Existe un aumento en el número de agentes que están expuestos en bolsa en un porcentaje superior al 25%; según cifras publicadas por XM para el mes de septiembre de 2023 esta cifra se sitúa en 30 agentes, en comparación con los 13 y 19 agentes registrados en el mismo período de los años 2022 y 2021, respectivamente.
En consecuencia, algunos comercializadores presentan una menor cobertura en contratos, lo cual representa un aumento en la exposición de los usuarios regulados, a las fluctuaciones de los precios de bolsa. Así mismo, ante una alta probabilidad de ocurrencia del fenómeno de El Niño que puede resultar en aumentos significativos en los precios de bolsa, es conveniente reducir la exposición de la demanda regulada a dichos aumentos, aumentando la energía disponible en el Sistema Interconectado Nacional que pueda ser destinada a contratación de energía.
En este contexto la Comisión considera adecuado habilitar transitoriamente la contratación con destino al mercado regulado, de la energía excedentaria de las plantas menores, cogeneradores y autogeneradores a gran escala, con el fin de promover una mayor cobertura ante los aumentos del precio de bolsa que podrían presentarse como consecuencia del Fenómeno de El Niño.
En mérito de lo anteriormente expuesto, la Comisión
RESUELVE:
ARTÍCULO 1. OBJETO. Establecer medidas transitorias que permitan a las plantas menores, cogeneradores y autogeneradores a gran escala, comercializar en contratos con destino a la demanda regulada su energía excedentaria, a través del mecanismo de comercialización definido en esta resolución.
ARTÍCULO 2. ALCANCE. La presente resolución aplica a los agentes que participan en el Mercado de Energía Mayorista con plantas de generación menores, cogeneradores o autogeneradores a gran escala..
ARTÍCULO 3. DEFINICIONES. Para la interpretación y aplicación de esta resolución se tendrán en cuenta las siguientes definiciones:
Contrato pague lo contratado – condicional a la generación excedentaria de una planta menor, cogenerador o autogenerador a gran escala: contrato en el que una planta menor, cogenerador o autogenerador a gran escala, en calidad de vendedor, recibe un precio fijo por toda la energía excedentaria que entrega al sistema. Este tipo de contrato se podrá realizar con comercializadores que representan demanda regulada.
Energía excedentaria de una planta menor: es aquella energía resultante de la capacidad instalada no registrada ante el Mercado de Energía Mayorista.
ARTÍCULO 4. MECANISMO DE COMERCIALIZACIÓN DE ENERGÍA EXCEDENTARIA DE PLANTAS MENORES, COGENERADORES O AUTOGENERADORES A GRAN ESCALA. Con el único propósito de aumentar la disponibilidad de energía eléctrica en contratos con destino a los usuarios regulados, las plantas menores, cogeneradores y autogeneradores a gran escala registrados con una capacidad inferior a 20 MW con telemedida, podrán comercializar su energía excedentaria de las siguientes formas:
i) A través de contratos pague lo contratado – condicional, conforme a la definición del artículo 3, cuyo precio fijo sea pactado libremente con comercializadores que atienden demanda regulada.
ii) A través de convocatorias públicas con contratos pague lo contratado al 75%, de conformidad con lo dispuesto en la Resolución “Por la cual se modifica la Resolución CREG 130 de 2019 y se dictan disposiciones transitorias para la comercialización de energía con destino al mercado regulado”.
PARÁGRAFO 1. Los contratos a los que hace referencia el presente artículo no serán considerados para el cálculo de la variable Mc en la fórmula del componente G contenida en el artículo 6 de la Resolución CREG 119 de 2007.
PARÁGRAFO 2: Los contratos producto de la aplicación de lo dispuesto en el numeral i) deben ser registrados ante el ASIC conforme a lo establecido en la Resolución CREG 157 de 2011 o aquella que la modifique, adicione o sustituya. Cuando se requiera, antes de registrar estos contratos debe haberse cumplido con el registro de la respectiva frontera de generación.
PARÁGRAFO 3. Las disposiciones del parágrafo del artículo 3 de la resolución CREG 086 de 1996 y del artículo 14 de la Resolución CREG 024 de 2015 no serán aplicables a las plantas menores, cogeneradores y autogeneradores a gran escala que estén registradas ante el MEM con una capacidad inferior a 20 MW y que celebren los contratos de energía excedentaria de que trata este artículo.
PARÁGRAFO 4. Para efectos de lo señalado en el anexo 7 de la Resolución CREG 071 de 2006, la energía excedentaria de que trata el presente artículo de esta resolución, no será considerada como parte de la Obligación Diaria de Energía Firme de la planta no despachada centralmente.
ARTÍCULO 5. VIGENCIA Y DURACIÓN MÁXIMA DE LOS CONTRATOS DEL MECANISMO DE COMERCIALIZACIÓN DE ENERGÍA EXCEDENTARIA DE PLANTAS MENORES, COGENERADORES O AUTOGENERADORES A GRAN ESCALA. Dentro de los seis (6) meses siguientes a la publicación de la presente resolución en el Diario Oficial los comercializadores podrán suscribir contratos pague lo contratado – condicional a la generación excedentaria de una planta menor, cogenerador o autogenerador a gran escala, como resultado de la aplicación del numeral i) del artículo 4 de la presente resolución.
Dichos contratos tendrán una duración máxima de un (1) año, sin que supere en todo caso el 31 de diciembre de 2024 y sin posibilidad de prórroga.
ARTÍCULO 6. TRASLADO DE LAS COMPRAS DE ENERGÍA DEL MECANISMO DE COMERCIALIZACIÓN DE ENERGÍA EXCEDENTARIA DE PLANTAS MENORES, COGENERADORES O AUTOGENERADORES A GRAN ESCALA: Los comercializadores que atienden demanda regulada y que realicen transacciones en el mecanismo de comercialización de energía excedentaria de una planta menor, cogenerador o autogenerador a gran escala, como resultado de la aplicación del numeral i) del artículo 4 de la presente resolución, pueden trasladar los precios en el componente de costo de energía (G) del costo unitario de prestación del servicio (CU), utilizando durante la vigencia de la presente resolución lo establecido en el artículo 4 de la Resolución CREG 101 002 de 2022 en el ponderador de los precios de mecanismo de comercialización autorizados
.
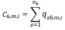
ARTÍCULO 7. TRASLADO DE CANTIDADES DE ENERGÍA PROVENIENTES DE PLANTAS NO TÉRMICAS: Las cantidades de energía resultantes de contratos pague lo contratado – condicional, provenientes de plantas no térmicas, que podrán ser trasladadas por parte del comercializador a sus usuarios regulados se determinarán utilizando la siguiente fórmula:

Donde,
| Energía cubierta por el comercializador i mediante contratos pague lo contratado – condicional, proveniente de plantas no térmicas s6, con cantidades liquidadas en el mes | |
| cantidad de energía cubierta por el comercializador i para el mes | |
| número de contratos pague lo contratado – condicional, proveniente de plantas no térmicas, con cantidades liquidadas para el mes |
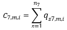
ARTÍCULO 8. TRASLADO DE CANTIDADES DE ENERGÍA PROVENIENTES DE PLANTAS TÉRMICAS: Las cantidades de energía resultantes de contratos pague lo contratado – condicional, provenientes de plantas térmicas, que podrán ser trasladadas por parte del comercializador a sus usuarios regulados se determinarán utilizando la siguiente fórmula:

Donde,
| Energía cubierta por el comercializador i mediante contratos pague lo contratado – condicional, proveniente de plantas térmicas s7, con cantidades liquidadas en el mes | |
| cantidad de energía cubierta por el comercializador i para el mes | |
| número de contratos pague lo contratado – condicional, proveniente de plantas térmicas, con cantidades liquidadas para el mes |
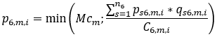
ARTÍCULO 9. PRECIO PROMEDIO PONDERADO PARA EL TRASLADO DE LAS COMPRAS DE ENERGÍA PROVENIENTES DE PLANTAS NO TÉRMICAS, REALIZADAS POR EL COMERCIALIZADOR MEDIANTE EL MECANISMO DE COMERCIALIZACIÓN DE ENERGÍA EXCEDENTARIA DE PLANTAS MENORES, COGENERADORES O AUTOGENERADORES A GRAN ESCALA: El precio promedio ponderado para el traslado de las compras de energía provenientes de plantas no térmicas, realizadas por los comercializadores a través de contratos pague lo contratado – condicional a la generación excedentaria de una planta menor, cogenerador o autogenerador a gran escala, resultantes de la aplicación del literal i) del artículo 4 de la presente resolución y cuyo destino sea la atención de demanda regulada, será calculado utilizando la siguiente fórmula:

Donde,
| Precio promedio ponderado de todas las compras realizadas por el comercializador i a través de contratos pague lo contratado – condicional a la generación excedentaria de una planta menor, cogenerador o autogenerador a gran escala, proveniente de plantas no térmicas, liquidados en el mes | |
| Costo promedio ponderado por energía, expresado en pesos por kilovatio hora (COP/kWh), de todos los contratos resultantes de las convocatorias públicas a las que hace referencia la Resolución CREG 130 de 2019 o aquella que la modifique, sustituya o adicione, liquidados en el mes | |
| cantidad de energía cubierta por el comercializador i para el mes | |
| Precio del contrato pague lo contratado – condicional proveniente de planta no térmica s6, pactado por el comercializador i, para el mes | |
| número de contratos pague lo contratado – condicional, proveniente de plantas no térmicas, con cantidades liquidadas para el mes | |
| Energía cubierta por el comercializador i mediante contratos pague lo contratado – condicional, proveniente de plantas no térmicas, con cantidades liquidadas en el mes |
ARTÍCULO 10. PRECIO PROMEDIO PONDERADO PARA EL TRASLADO DE LAS COMPRAS DE ENERGÍA PROVENIENTES DE PLANTAS TÉRMICAS, REALIZADAS POR EL COMERCIALIZADOR MEDIANTE EL MECANISMO DE COMERCIALIZACIÓN DE ENERGÍA EXCEDENTARIA DE PLANTAS MENORES, COGENERADORES O AUTOGENERADORES A GRAN ESCALA: El precio promedio ponderado para el traslado de las compras de energía provenientes de plantas térmicas, realizadas por los comercializadores a través de contratos pague lo contratado – condicional a la generación excedentaria de una planta menor, cogenerador o autogenerador a gran escala, resultantes de la aplicación del literal i) del artículo 4 de la presente resolución y cuyo destino sea la atención de demanda regulada, será calculado utilizando la siguiente fórmula:

Donde,
| Precio promedio ponderado de todas las compras realizadas por el comercializador i a través de contratos pague lo contratado – condicional a la generación excedentaria de una planta menor, proveniente de plantas térmicas, liquidados en el mes | |
| Costo promedio ponderado por energía, expresado en pesos por kilovatio hora (COP/kWh), de todos los contratos resultantes de las convocatorias públicas a las que hace referencia la Resolución CREG 130 de 2019 o aquella que la modifique, sustituya o adicione, liquidados en el mes | |
| cantidad de energía cubierta por el comercializador i para el mes | |
| Precio del contrato pague lo contratado – condicional a la generación excedentaria de una planta menor, cogenerador o autogenerador a gran escala s7, proveniente de planta térmica, pactado por el comercializador i, para el mes | |
| número de contratos pague lo contratado – condicional a la generación excedentaria de una planta menor, cogenerador o autogenerador a gran escala, proveniente de plantas térmicas, con cantidades liquidadas para el mes | |
| Energía cubierta por el comercializador i mediante contratos pague lo contratado – condicional a la generación excedentaria de una planta menor, cogenerador o autogenerador a gran escala, proveniente de plantas térmicas, con cantidades liquidadas en el mes |
ARTÍCULO 11. VIGENCIA. La presente resolución rige a partir de la fecha de su publicación en el Diario Oficial.
PUBLÍQUESE Y CÚMPLASE