PROYECTO DE RESOLUCIÓN 701 100 DE 2025
(agosto 21)
<Fuente: Archivo interno entidad emisora>
<Publicado en la página web de la CREG: 26 de agosto de 2025>
COMISIÓN DE REGULACIÓN DE ENERGÍA Y GAS - CREG
MINISTERIO DE MINAS Y ENERGÍA
La Comisión de Regulación de Energía y Gas (CREG) en su sesión 1398 del 21 de agosto de 2025, aprobó someter a consulta pública el presente proyecto de resolución por el término de quince (15) días hábiles contados a partir del día siguiente a su publicación en el portal web de la CREG, en aplicación a lo dispuesto en el numeral 73.17 del artículo 73 de la Ley 142 de 1994, el Decreto 05 de 2025 y la Resolución CREG 105 003 del 14 de septiembre de 2023.
Se invita a las empresas, los usuarios las autoridades y demás partes interesadas a presentar sus observaciones y sugerencias dentro del plazo establecido, mediante comunicaciones electrónicas dirigidas al Director Ejecutivo de la CREG, a la cuenta creg@creg.gov.co, con asunto: “Comentarios sobre la Resolución CREG 701-100 de 2025”.
En el Documento CREG 901 211 de 2025, se exponen los análisis y la justificación de la propuesta regulatoria que se somete al proceso de consulta pública.
PROYECTO DE RESOLUCIÓN
Por la cual se modifica la Resolución CREG 101 024 de 2022 y se dictan otras disposiciones
LA COMISIÓN DE REGULACIÓN DE ENERGÍA Y GAS
En ejercicio de sus atribuciones legales, en especial las conferidas por las leyes 142 y 143 de 1994, y en desarrollo de los decretos 1524 y 2253 de 1994, y 1260 de 2013, y
CONSIDERANDO QUE:
El artículo 4 de la Ley 143 de 1994 indica que el Estado tendrá como objetivos en el cumplimiento de sus funciones en relación con el servicio de electricidad, (i) abastecer la demanda de electricidad de la comunidad bajo criterios económicos y de viabilidad financiera, asegurando su cubrimiento en un marco de uso racional y eficiente de los diferentes recursos energéticos del país; (ii) asegurar una operación eficiente, segura y confiable en las actividades del sector; y (iii) mantener los niveles de calidad y seguridad establecidos.
El artículo 18 de la Ley 143 de 1994 ordena a la Comisión de Regulación de Energía y Gas (CREG) que desarrolle un marco regulatorio que incentive la inversión en expansión de la capacidad de generación y transmisión del Sistema Interconectado Nacional por parte de inversionistas estratégicos, y en concordancia, que establezca esquemas que promuevan la entrada de nueva capacidad de generación y transmisión.
El artículo 20 de la Ley 143 de 1994 definió como objetivo fundamental de la regulación en el sector eléctrico, asegurar una adecuada prestación del servicio mediante el aprovechamiento eficiente de los diferentes recursos energéticos, en beneficio del usuario en términos de calidad, oportunidad y costo del servicio, para lo cual, deberá promover la competencia y crear y preservar las condiciones que la hagan posible.
Para el cumplimiento del anterior objetivo, el artículo 23 de la Ley 143 de 1994, le atribuyó a la CREG, entre otras, las siguientes funciones:
- Crear las condiciones para asegurar la disponibilidad de una oferta energética eficiente capaz de abastecer la demanda bajo criterios sociales, económicos, ambientales y de viabilidad financiera, promover y preservar la competencia, para lo cual, la oferta eficiente, en el sector eléctrico, debe tener en cuenta la capacidad de generación de respaldo.
- Valorar la capacidad de generación de respaldo de la oferta eficiente.
- Definir y hacer operativos los criterios técnicos de calidad, confiabilidad y seguridad del servicio de energía.
- Determinar las condiciones para la liberación gradual del mercado hacia la libre competencia.
De acuerdo con lo establecido en el literal c) del artículo 74.1 de la ley 142 de 1994, le corresponde a la CREG establecer el Reglamento de Operación, para regular el funcionamiento del Mercado Mayorista.
La CREG, mediante Resolución CREG 071 de 2006 definió los procedimientos para las subastas del Cargo por Confiabilidad en el Mercado de Energía Mayorista, adoptó la metodología para la remuneración de dicho Cargo, y estableció el precio de escasez.
Posteriormente, mediante la Resolución CREG 140 de 2017, se hicieron modificaciones a la Resolución CREG 071 de 2006 definiendo una nueva metodología de cálculo del precio de escasez, la cual se denominó “precio marginal de escasez”.
De igual forma, mediante la Resolución CREG 101 024 de 2022 la Comisión actualizó y definió los procedimientos para las subastas del Cargo por Confiabilidad en el Mercado de Energía Mayorista.
Recientemente, con la expedición de la Resolución CREG 101 066 de 2024, se modificó el precio de escasez, introduciendo los conceptos de precio de escasez superior (PES) y el precio de escasez inferior (PEI), y se modificó el numeral 14 del anexo 2 de la Resolución CREG 101 024 de 2022 para armonizar dichos precios con el precio de cierre de la subasta de expansión.
Mediante el Proyecto de Resolución 701 085 de 2025 la Comisión propuso llevar a cabo la subasta de asignación de OEF del Cargo por Confiabilidad para el período comprendido entre el 1 de diciembre de 2029 y el 30 de noviembre de 2030.
Dentro del plazo de comentarios al Proyecto de Resolución 701 085 de 2025 la Comisión recibió comentarios orientados a estudiar la definición de un precio diferencial para la remuneración de la OEF de plantas existentes en el SIN, en relación con el precio de remuneración de las plantas nuevas. De igual forma, el Ministerio de Minas y Energía le solicitó a esta Comisión revisar el esquema de remuneración del Cargo por Confiabilidad a plantas existentes.
De acuerdo con la información que reposa en el Centro Nacional de Despacho (CND) y en el Administrador del Sistema de Intercambios Comerciales (ASIC), se tiene que a la fecha, en el esquema del Cargo por Confiabilidad, aproximadamente el treinta y seis por ciento (36%) de la Energía Firme para el Cargo por Confiabilidad (ENFICC) es aportada por plantas con treinta y cinco (35) años o más de existencia, contados desde su entrada en operación comercial.
En el diseño del mecanismo del Cargo por Confiabilidad ya existe diferenciación entre las plantas nuevas, existentes, existentes con obras y especiales, en particular en los plazos de asignación de las OEF, en razón a las condiciones de costos y financiación de estas.
Adicionalmente, en la formación del precio de la subasta de expansión las plantas existentes no presentan una oferta de tal manera que se pueda revelar el valor de los costos de inversión de nuevos proyectos de generación que aporten a la confiabilidad del sistema. Teniendo en consideración que el mecanismo del cargo por confiabilidad no busca cubrir el ciento por ciento de los costos de inversión del proyecto.
Mediante la Resolución CREG 101 079 de 2025 la Comisión decidió convocar una subasta de expansión para la asignación de OEF para el período comprendido entre el 1 de diciembre de 2029 y el 30 de noviembre de 2030.
RESUELVE:
ARTÍCULO 1. MODIFICAR EL NUMERAL 14 DEL ANEXO 2 DE LA RESOLUCIÓN CREG 101 024 DE 2022. El numeral 14 del Anexo 2 de la Resolución CREG 101 024 de 2022 quedará así:
“14. DETERMINACIÓN DEL PRECIO DE CIERRE DE LA SUBASTA Y DE LA ASIGNACIÓN DE LA OBLIGACIÓN DE ENERGÍA FIRME.
El cierre de la subasta y las asignaciones de obligaciones de energía firme resultantes de este proceso se determinarán a partir de la igualación entre la función de oferta agregada y la función de demanda, así como de las reglas descritas en este numeral.
La igualación entre la función de oferta agregada y la función de demanda define el precio de cierre para la planta de cierre y las plantas de su grupo. El precio de cierre para las plantas del otro grupo de plantas será la oferta de la planta de dicho grupo, inmediatamente anterior a la planta de cierre. Si no existe el otro grupo de plantas, el precio de cierre para todas las plantas que participaron en la subasta será el que se obtuvo con la planta de cierre.
Este criterio de definición de los precios de cierre por grupo de plantas aplica para los casos especiales definidos en los numerales 14.1 y 14.2.
El precio de cierre de la subasta será aplicable a las obligaciones de energía firme asignadas como resultado de este proceso y que son respaldadas con plantas y/o unidades de generación que no tienen obligación de energía firme para el año para el cual se realiza la subasta y que se encuentren en alguna de las siguientes categorías: nuevas; existentes que deseen presentar obras adicionales que no se han iniciado a la fecha de la subasta para clasificar como plantas especiales con cierre de ciclo o repotenciación o como plantas existentes con obras; y existentes con obras y especiales que iniciaron las obras antes de la subasta.
El precio del cargo por confiabilidad asociado a las obligaciones de energía firme asignadas y respaldadas con plantas y/o unidades de generación existentes que pertenecen al grupo de plantas con precios variables superiores (PCVS) se determinará de la siguiente manera:
![]()
Donde:
| PCCEPCVS: | Precio del cargo por confiabilidad asociado a las obligaciones de energía firme asignadas y respaldadas con plantas y/o unidades de generación existentes que pertenecen al grupo de plantas con precios variables superiores (PCVS). |
| Pref: | Precio de referencia definido en la resolución que convoca la subasta de expansión o en el mecanismo de asignación que haga sus veces. |
| PCPCVS: | Precio de cierre de la subasta para el grupo de plantas con precios variables superiores (PCVS). |
| Fex: | Factor para plantas existentes definido en la resolución que convoca la subasta de expansión o en el mecanismo de asignación que haga sus veces. |
El precio del cargo por confiabilidad asociado a las obligaciones de energía firme asignadas y respaldadas con plantas y/o unidades de generación existentes que pertenecen al grupo de plantas con precios variables inferiores (PCVI) se determinará de la siguiente manera:
![]()
Donde:
| PCCEPCVI: | Precio del cargo por confiabilidad asociado a las obligaciones de energía firme asignadas y respaldadas con plantas y/o unidades de generación existentes que pertenecen al grupo de plantas con precios variables inferiores (PCVI). |
| Pref: | Precio de referencia definido en la resolución que convoca la subasta de expansión o en el mecanismo de asignación que haga sus veces. |
| DeltaPEI: | Delta asociado al precio de escasez inferior calculado de acuerdo con lo señalado en la resolución que convoca la subasta de expansión o en el mecanismo de asignación que haga sus veces. |
| PCPCVI: | Precio de cierre de la subasta para el grupo de plantas con precios variables inferiores (PCVS). |
| Fex: | Factor para plantas existentes definido en la resolución que convoca la subasta de expansión o en el mecanismo de asignación que haga sus veces.” |
ARTÍCULO 2. ADICIONAR EL ARTÍCULO 31A A LA RESOLUCIÓN CREG 101 079 DE 2025. Adiciónese el Artículo 31A a la Resolución CREG 101 079 de 2025, el cual quedará así:
“Artículo 31A. Determinación del precio del cargo por confiabilidad para plantas existentes. Para la determinación del precio del cargo por confiabilidad asociado a las obligaciones de energía firme asignadas y respaldadas con plantas y/o unidades de generación existentes se tendrá en cuenta lo siguiente:
a) El valor del precio de referencia (Pref) corresponderá a 15,8 USD /MWh, con el valor del dólar a mayo de 2025. Para su indexación al mes previo de la ejecución de la subasta se empleará el IPP más reciente disponible y publicado por la Oficina de Estadísticas Laborales del Departamento de Trabajo de los Estados Unidos.
b) El valor de la variable Fex será de 0,81.
c) Para el cálculo de la variable DeltaPEI se aplicará el siguiente procedimiento:
i) Se considera un horizonte análisis de sesenta (60) meses, de los cuales se activa el cumplimiento de las Obligaciones de Energía Firme (OEF) en los últimos veinticuatro (24) meses.
ii) Se considera que el 20% de la demanda total doméstica compra la energía en la bolsa. Es decir, dicha demanda paga el precio de escasez cuando se activa el cumplimiento de las OEF.
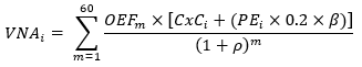
iii) Se calcula el valor presente neto de los sesenta (60) pagos mensuales (VNAi) con el Cargo por Confiabilidad inicial que es el resultado del producto mensual de las OEF (MWh/mes) por el Cargo por Confiabilidad asignado originalmente (USD/MWh) más los pagos de las compras en bolsa a precio de escasez. Este valor presente neto se descuenta con una tasa (ñ) del 0.7783% mes, es decir se aplica la siguiente ecuación:

Donde:
| VNAi: | Valor presente neto con el cargo por confiabilidad asignado originalmente. |
| OEFm: | Sumatoria de las OEF respaldadas mensuales del mes m del periodo cargo 2025-2026 según al Anexo 1 de la Resolución CREG 071 de 2006. Este valor aplica con independencia del precio del Cargo por Confiabilidad asignado originalmente. |
| CxCi: | Precio del Cargo por Confiabilidad asignado originalmente. Para cada valor del precio del Cargo por Confiabilidad se debe realizar el cálculo. |
| PEi: | Precio de escasez de la Resolución CREG 071 de 2006 o Precio Marginal de Escasez vigente para el mes de cálculo, expresado en USD/MWh, según corresponda de acuerdo la pareja de OEF correspondiente. |
| ñ: | Tasa de descuento mensual. |
| â: | Variable que toma el valor de 1 en los últimos 24 meses de los 60 meses de evaluación. Para el resto del horizonte el valor será 0. |
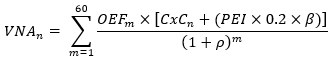
iv) Se plantea el valor presente de los sesenta (60) pagos mensuales (VNAn) con el Cargo por Confiabilidad asociado al precio de escasez inferior, como el valor presente neto de los productos mensuales de las OEF (MWh/mes) por el Cargo por Confiabilidad asociado al precio de escasez inferior (USD/MWh) más el valor de las compras en bolsa con el precio de escasez inferior, asumiendo nuevamente que el 20% de la OEF (MWh/mes) para los últimos veinticuatro (24) meses se compran en bolsa, con una tasa de descuento (ñ) del 0.7783% mes, es decir:

Donde:
| VNAn: | Valor presente neto con el Cargo por Confiabilidad asociado al precio de escasez inferior. |
| OEFm: | Sumatoria de las OEF respaldas mensuales del mes m del periodo cargo 2025-2026 según al Anexo 1 de la Resolución CREG 071 de 2006. Este valor aplica con independencia del precio del Cargo por Confiabilidad asignado originalmente. |
| CxCn: | Cargo por Confiabilidad asociado al precio de escasez inferior. Variable a encontrar. |
| PEI: | Precio de escasez inferior para el mes de cálculo, expresado en USD/MWh. |
| ñ: | Tasa de descuento mensual. |
| â: | Variable que toma el valor de 1 en los últimos 6 meses de los 60 meses de evaluación. Para el resto del horizonte el valor será 0. |
Para convertir los pesos colombianos (COP) del precio de escasez a dólares americanos (USD), se debe tomar la tasa representativa del mercado (TRM) del día de cálculo.
v) Se debe encontrar el precio del cargo por confiabilidad asociado al precio de escasez inferior (CxCn), como el valor que permita igualar el VNAi con el VNAn. Con una tolerancia de +/- 0.001 entre los VNA.
vi) Para cada uno de los precios de cargo por confiabilidad en aplicación se determinará diferencia entre el CxCi y CxCn.
vii) El valor de la variable DeltaPEI se estimará como el promedio ponderado de las diferencias determinadas en el numeral vi) en función de la cantidad de OEF remuneradas a cada precio del cargo por confiabilidad.
ARTÍCULO 3. VIGENCIA. Esta resolución rige a partir de su publicación en el Diario Oficial.