RESOLUCIÓN 102 024 DE 2026
(abril 9)
<Publicado en la página web de la CREG: 15 de abril de 2026>
Diario Oficial No. 53.461 de 16 de abril de 2026
COMISIÓN DE REGULACIÓN DE ENERGÍA Y GAS - CREG
Por la cual se modifica y adiciona la Resolución CREG 102 015 de 2025 y se establecen disposiciones transitorias en materia de comercialización de transporte de gas natural, con el fin de flexibilizar y promover mayor eficiencia en la comercialización mayorista de suministro
LA COMISIÓN DE REGULACIÓN DE ENERGÍA Y GAS
En ejercicio de sus atribuciones constitucionales y legales, en especial las conferidas por la Ley 142 de 1994, y en desarrollo de los Decretos 1524 y 2253 de 1994 y 1260 de 2013.
CONSIDERANDO QUE:
Los artículos 1, 2, 3 y 4 de la Ley 142 de 1994 establecen que los servicios públicos domiciliarios son esenciales y que la intervención del Estado está encaminada, entre otros fines, a conseguir su prestación eficiente, asegurar su calidad, ampliar su cobertura, permitir la libre competencia y evitar el abuso de la posición dominante. Esto mediante diversos instrumentos expresados, entre otros, en las funciones y atribuciones asignadas a las entidades, en especial las regulaciones de las comisiones, relativas a diferentes materias como la gestión y obtención de recursos para la prestación de servicios, la fijación de metas de eficiencia, cobertura, calidad y su evaluación, la definición del régimen tarifario, la organización de sistemas de información, la neutralidad de la prestación de los servicios, entre otras.
El numeral 14.18 del artículo 14 y el artículo 69, ambos de la Ley 142 de 1994, prevén a cargo de las comisiones de regulación la atribución de regular el servicio público respectivo con sujeción a la ley y a los decretos reglamentarios como una función de intervención sobre la base de lo que las normas superiores dispongan para asegurar que quienes presten los servicios públicos se sujeten a sus mandatos. Dicha atribución consiste en la facultad de dictar normas de carácter general o particular en los términos de la Constitución y la ley, para someter la conducta de las personas que presten los servicios públicos domiciliarios y sus actividades complementarias a las reglas, normas, principios y deberes establecidos por la ley y los reglamentos.
El parágrafo del artículo 14 de la Ley 142 de 1994, señala que: "Las actividades que inciden determinantemente en la correcta prestación de los servicios públicos se podrán asimilar a alguna de las actividades principales o complementarias que componen las cadenas de valor de los servicios públicos. En consecuencia, quienes desarrollen tales nuevas actividades quedarán sometidos a la regulación, inspección, vigilancia y control por parte de las Comisiones de Regulación respectivas y la Superintendencia de Servicios Públicos Domiciliarios, respectivamente. La Superintendencia de Servicios Públicos Domiciliarios definirá cuándo aplica dicha asimilación y la obligación de constituirse como Empresas de Servicios Públicos Domiciliarios".
El artículo 34 de la Ley 142 de 1994 dispone que "las empresas de servicios públicos, en todos sus actos y contratos, deben evitar privilegios y discriminaciones injustificadas, y abstenerse de toda práctica que tenga la capacidad, el propósito o el efecto de generar competencia desleal o de restringir en forma indebida la competencia", estableciendo para el efecto, entre otras, qué prácticas son consideradas como restricción indebida a la competencia, dentro de las que se destaca la establecida en su numeral 34.6, que estipula como una de ellas, "el abuso de la posición dominante al que se refiere el artículo 133 de esta Ley, cualquiera que sea la otra parte contratante y en cualquier clase de contratos".
Según lo dispuesto en el artículo 73 de la Ley 142 de 1994, corresponde a las comisiones regular los monopolios en la prestación de los servicios públicos, cuando la competencia no sea, de hecho, posible y, en los demás casos, la de promover la competencia entre quienes prestan servicios públicos, para que las operaciones de los monopolistas o de los competidores sean económicamente eficientes, no impliquen abuso de posición dominante y produzcan servicios de calidad.
La potestad normativa atribuida a las comisiones de regulación es una manifestación de la intervención del Estado en la economía, expresada en la regulación, con la finalidad de corregir las fallas del mercado, delimitar la libertad de empresa, preservar la competencia económica, mejorar la prestación de los servicios públicos y proteger los derechos de los usuarios.
De acuerdo con lo establecido en el literal a) del numeral 74.1 del artículo 74 de la Ley 142 de 1994, es función de la Comisión de Regulación de Energía y Gas, CREG, regular el ejercicio de las actividades de los sectores de energía y gas combustible para asegurar la disponibilidad de una oferta energética eficiente, propiciar la competencia en el sector de minas y energía, proponer la adopción de las medidas necesarias para impedir abusos de posición dominante y buscar la liberación gradual de los mercados hacia la libre competencia.
El literal b) del numeral 74.1 del artículo 74 de la Ley 142 de 1994 determina que corresponde a la CREG expedir regulaciones específicas para el uso eficiente del gas combustible por parte de los consumidores.
De acuerdo con lo establecido en el literal c) del numeral 74.1 del artículo 74 de la Ley 142 de 1994, es función de la CREG establecer el reglamento de operación para regular el funcionamiento del Mercado Mayorista de gas combustible.
La Ley 401 de 1997 dispuso en el parágrafo 2 de su artículo 11 que "las competencias previstas en la Ley 142 de 1994 en lo relacionado con el servicio público domiciliario, comercial e industrial de gas combustible, sólo se predicarán en los casos en que el gas se utilice efectivamente como combustible y no como materia prima de procesos industriales petroquímicos".
De conformidad con lo dispuesto en el artículo 11 del Decreto 2100 de 2011, compilado por el Decreto 1073 de 2015, la CREG establecerá los mecanismos y procedimientos de comercialización de la producción total disponible para la venta, PTDV, y de las cantidades importadas disponibles para la venta, CIDV, conforme a los lineamientos establecidos en dicha norma.
En el artículo 12 del Decreto 2100 de 2011, compilado por el Decreto 1073 de 2015, se establecen las actividades exceptuadas de los mecanismos y procedimientos de comercialización de la PTDV y de la CIDV que establezca la CREG.
En el artículo 13 del Decreto 2100 de 2011, compilado por el Decreto 1073 de 2015, se establecen los lineamientos para la expedición de los mecanismos y procedimientos de comercialización, determinándose que la CREG "deberá promover la competencia, propiciar la formación de precios eficientes a través de procesos que reflejen el costo de oportunidad del recurso, considerando las diferentes variables que inciden en su formación, así como mitigar los efectos de la concentración del mercado y generar información oportuna y suficiente para los agentes".
En el artículo 14 del Decreto 2100 de 2011, compilado por el Decreto 1073 de 2015, se establece que "con el fin de propender por el equilibrio de las relaciones contractuales entre los Agentes Operacionales, la CREG establecerá los requisitos mínimos para cada una de las modalidades de contratos previstos en la regulación". Así mismo, determina que los contratos de suministro y/o transporte, que a la fecha de expedición de dicho Decreto se encuentren en ejecución, no serán modificados por efectos de esta disposición, salvo que se prorrogue su vigencia, caso en el cual la prórroga deberá sujetarse a las condiciones mínimas que establezca la CREG.
En el artículo 21 del Decreto 2100 de 2011, compilado por el Decreto 1073 de 2015, se establece que, cuando la CREG lo solicite, el Consejo Nacional de Operaciones de Gas –CNOG, expedirá los acuerdos y protocolos operativos que se requieran.
En el parágrafo del artículo 22 del Decreto 2100 de 2011, compilado por el Decreto 1073 de 2015, se establece que la comercialización del gas importado con destino al servicio público domiciliario deberá someterse a las mismas disposiciones expedidas por la CREG para la actividad de comercialización del gas de producción nacional. En relación con este artículo, su aplicación para el caso de las condiciones y requisitos mínimos de los contratos para fuentes de suministro nacionales, como para el gas importado, debe considerar la existencia de situaciones comparables, sin que esto afecte el equilibrio de las relaciones contractuales entre compradores y vendedores, indistintamente del origen del gas; mientras que para los demás aspectos comerciales del mercado primario y secundario su aplicación se debe hacer de manera simétrica.
Mediante Resolución CREG 102 015 de 2025 se regulan los aspectos comerciales del Mercado Mayorista de gas natural, como parte del Reglamento de Operación de gas natural. Esta Resolución contiene el conjunto de disposiciones aplicables a las negociaciones del suministro de gas natural a ser utilizado como combustible para la atención del servicio público domiciliario de gas combustible.
En lo que respecta a la contratación de suministro mediante contratos con interrupciones en el mercado primario, los numerales i) y v) del literal A) del artículo 37 de la Resolución CREG 102 015 de 2025 establecen que estos podrán negociarse directamente durante el mes previo al inicio de su ejecución y que su duración será mensual, con vigencia desde las 00:00 horas del primer día calendario del respectivo mes hasta las 24:00 horas del último día calendario del mismo mes. No obstante, lo anterior difiere del esquema aplicable a la contratación con interrupciones de capacidad de transporte, en el que se prevé que el inicio del contrato con interrupciones se da en cualquier momento del trimestre estándar siguiente a aquel en que se realicen las negociaciones.
La Resolución CREG 102 015 de 2025 también establece un proceso de comercialización en el mercado primario, mediante un esquema de negociación trimestral para la ejecución de contratos en los siguientes 40 trimestres. Conforme a las disposiciones regulatorias, durante cada trimestre de negociación se negocian primero los trimestres de largo plazo –entendidos como aquellos a partir del tercer trimestre– y posteriormente los de corto plazo, correspondientes a los dos trimestres inmediatamente siguientes al trimestre de negociación.
Las negociaciones de largo y de corto plazo parten de las declaraciones de PTDVF o CIDVF que se hacen por fuente de suministro al inicio de un trimestre de negociación.
Así mismo, mediante la información que la Resolución CREG 102 015 de 2025 exige a los compradores y la aplicación del procedimiento de balances comerciales que se realiza trimestralmente, se busca generar un beneficio adicional derivado de un conocimiento más confiable y transparente por parte de todos los participantes del mercado respecto de las expectativas de contratación del suministro de gas natural con garantía de firmeza, en el corto, mediano y largo plazo, así como de los posibles escenarios deficitarios o superavitarios. En particular, en los escenarios deficitarios se prevé la aplicación de las disposiciones relacionadas con la priorización de la demanda esencial.
Estas medidas incluidas en los artículos 18 a 25 de la Resolución CREG 102 015 de 2025 establecen un procedimiento ordenado que permite transparencia en la información y acceso a los procesos de comercialización, la cual recoge elementos que lo flexibilizan a partir las medidas regulatorias expedidas para el año 2024 a través de las resoluciones CREG 102 009 y 102 013 de 2024.
Ahora, mediante la Circular CREG 195 de 2025, la Comisión publicó el documento "Oportunidades de Ajustes en el Mercado Mayorista de Gas", donde en su numeral 3.6 se hace referencia a que, a pesar de la importante flexibilización de las condiciones de venta, en el trimestre estándar de negociación, TEN, junio – agosto de 2025, y septiembre – noviembre 2025, de manera general no se ha observado un incremento porcentual de los valores de la PTDVF con respecto a la PTDV. Lo anterior se evidencia igualmente a través del informe publicado por la Bolsa Mercantil de Colombia – BMC, en calidad de Gestor del Mercado de Gas Natural, "Análisis de Disponibilidad de Gas 2026"[1].
Adicionalmente, se vienen negociando importantes cantidades de gas a través de contratos de suministro con interrupciones mensuales, lo cual puede derivar en mayores niveles de incertidumbre sobre la firmeza y continuidad del suministro. Esta situación podría afectar la previsibilidad del mercado y limitar la capacidad de los agentes para realizar una adecuada planificación del abastecimiento.
Por otro lado, dentro del documento CREG 902 173 de 2025 el cual sustenta la Resolución CREG 102 022 de 2025, dentro de las repuestas a los comentarios sobre el tema de ajustes a las disposiciones regulatorias en materia de indexación de precios, esta Comisión expuso que evaluaría la expedición de una propuesta regulatoria en relación con el tema de los indexadores de acuerdo con el artículo 15 de la Resolución CREG 102 015 de 2025, incluyendo sus efectos sobre la demanda regulada y no regulada, y como esto puede constituir una barrera regulatoria que pueda removerse sin verse afectado el equilibrio de las relaciones contractuales de acuerdo con lo establecido en el artículo 2.2.2.2.26 del Decreto 1073 de 2015, el cual compila el artículo 14 del Decreto 2100 de 2011.
Además, se evaluaría si la propuesta en cuestión se requiere para fuentes de suministro nacional o para la comercialización de gas importado, y si su ajuste, se puede traducir en menores costos frente a las primas de riesgos que asumen los agentes y que estos a su vez transfieren a la demanda.
En relación con lo anterior, entiende la Comisión que un ajuste sobre la indexación de precios de acuerdo con el artículo 15 de la Resolución CREG 102 015 de 2025 no tiene el mismo enfoque de eliminar una barrera regulatoria, como si ocurría para el caso de los eventos eximentes de responsabilidad pactados en los contratos, de acuerdo con lo establecido en la Resolución CREG 102 022 de 2025, sin perjuicio de que en ambos casos (i.e. indexación de precios y eventos eximentes de responsabilidad) hacen parte de los requisitos mínimos para las modalidades contractuales definidas en la regulación.
Adicionalmente, a partir de los comentarios recibidos al documento publicado en la Circular CREG 195 de 2025, los cuales hacen referencia a la productividad, condiciones técnicas y operativas, como las perspectivas de los campos actuales que se encuentran en declinación, el nivel de certidumbre sobre el cual se están realizando las declaraciones en firme; de la situación actual en relación con la estrechez en la oferta y el no incremento en los valores de oferta de gas en firme de la PTDVF frente a la CIDVF, y; la necesidad de generar instrumentos que permitan negociar gas dentro de un Trimestre Estándar de Negociación, TEN, y en el corto plazo, la Comisión en su sesión 1427 del 19 de diciembre de 2025, aprobó someter a consulta el Proyecto de Resolución CREG 702 020 de 2025, por la cual se modifica y se adiciona la Resolución CREG 102 015 de 2025 con el fin de incorporar medidas para flexibilizar y promover mayor eficiencia en la comercialización mayorista de gas natural. A partir de lo anterior, la CREG publicó el 16 de enero de 2026 el mencionado proyecto regulatorio para comentarios entre el 17 de enero de 2026 y el 30 de enero de 2026.
Mediante esta propuesta la Comisión incorporó medidas a partir de las cuales, a través de ajustes a la Resolución CREG 102 015 de 2025 se cuenten con instrumentos que permitan negociar gas dentro de un TEN, como de la negociación de corto plazo, a efectos de promover un mayor grado certidumbre sobre las cantidades que se pueden comprometer en firme de acuerdo con los esquemas de comercialización previstos en esta resolución, estableciendo mecanismos que permitan la comercialización de este gas en condiciones de firmeza, actualizando la PTDVF, sin afectar la transparencia en la información, como los balances y las asignaciones ya realizadas durante un TEN o en las negociaciones de Corto Plazo.
Lo anterior, se complementa con medidas adicionales respecto a nuevas modalidades contractuales, que otorguen un mayor grado de firmeza en las negociaciones, a efectos de que sean útiles de acuerdo a las necesidades contractuales de la demanda y que permitan la comercialización de dicho gas del lado de la oferta, principalmente en el mercado primario, como lo son la inclusión de una modalidad diaria, así como de un contrato 100 por ciento firme, el cual puede ser útil inicialmente en la comercialización de gas importado en concordancia con la figura del contrato firme sujeto a condiciones.
El análisis que motiva esta propuesta regulatoria, que fundamentan las disposiciones propuestas y le sirven de sustento se encuentran consignados en el Documento CREG 902 182 de 2025.
En respuesta a la consulta publicada mediante el Proyecto de Resolución CREG 702 020 de 2025, se recibieron comentarios de las siguientes 23 personas jurídicas:
| No | Persona jurídica | Radicado |
| 1 | ECOPETROL SA | E2026002048 |
| 2 | NATURGAS | E2026001998 |
| 3 | TGI SA ESP | E2026002007 |
| 4 | GASES DEL CARIBE SA ESP | E2026002013 |
| 5 | GASES DEL ORIENTE SA ESP | E2026002019 |
| 6 | EPM ESP | E2026002025 |
| 7 | ENERGY TRANSITIONS SAS ESP | E2026002028 |
| 8 | ACOLGEN | E2026002029 |
| 9 | ANDESCO | E2026002030 |
| 10 | PETROMIL SA ESP | E2026002032 |
| 11 | ALCANOS DE COLOMBIA SA ESP | E2026002034 |
| 12 | SURTIGAS SA ESP | E2026002044 |
| 13 | VANTI SA ESP | E2026001959 |
| 14 | MC2 SA ESP | E2026001818 |
| 15 | TEBSA SA ESP | E2026001852 |
| 16 | ENEL SA ESP | E2026001938 |
| 17 | GASES DE OCCIDENTE SA ESP | E2026001972 |
| 18 | METROGAS SA ESP | E2026001979 |
| 19 | ANDEG | E2026001996 |
| 20 | PROMIGAS SA ESP | E2026002035 |
| 21 | ACP | E2026002041 |
| 22 | BMC - GESTOR DEL MERCADO | E2026002042 |
| 23 | SUPERSERVICIOS | E2026002094 |
Del análisis de los comentarios se observa que, en términos generales, los agentes consideran oportuna la medida y valoran positivamente la iniciativa regulatoria, destacando el interés de la CREG en flexibilizar las alternativas de contratación orientadas a ampliar la disponibilidad de gas en el corto plazo. En particular, manifestaron que los ajustes propuestos pueden contribuir a incrementar la oferta, tanto de origen local como importado.
Sin perjuicio de lo anterior y a partir del análisis de los comentarios recibidos se incorporan los siguientes ajustes a la propuesta regulatoria del Proyecto de Resolución CREG 702 020 de 2025, relacionados con:
- Frente a las modalidades contractuales se mantiene la propuesta regulatoria en relación con el contrato CF 100, sin embargo, se identifica que dicho nivel de firmeza y su utilidad de acuerdo con las necesidades contractuales de la demanda es aplicable para el gas natural importado, dado que de mantener esto para las fuentes de suministro nacional esto puede afectar el equilibrio contractual en las negociaciones que allí se presentan;
- Se mantiene la propuesta de contar con instrumentos que permitan negociar gas dentro de un TEN, donde los vendedores puedan declarar cantidades adicionales, las cuales se asignen a través de los principios de negociación y priorización de la demanda conforme a los Anexos 8 y 9, sin embargo, se busca desincentivar posibles conductas que tiendan a maximizar precios de manera ineficiente en esta oferta adicional, y por el contrario, incentivar conductas que generen un mayor grado de certidumbre en las declaraciones iniciales y que garanticen la eficacia en la aplicación de este instrumento;
- Se mantiene la propuesta de comercializar cantidades adicionales en los TEE 1 y TEE 2, relativos a los periodos de negociación de corto plazo, pudiendo declarar cantidades adicionales de PTDVF y CIDVF para ejecución en el mismo TEN, en los días hábiles 9 hasta el día hábil 24;
- Se mantiene la propuesta de una indexación mensual, sin embargo, esta es aplicable únicamente a contratos de gas importado de largo plazo con el fin de mitigar su volatilidad. Para esto se consideraron los procesos de comercialización de gas importado que se vienen realizando a través de la figura del contrato firme sujeto a condiciones y los plazos allí ofrecidos, mientras que para el caso de las fuentes nacionales no se identificó aplicable esta situación, ni de los comentarios recibidos se pudo contar con evidencia de que en estos casos una indexación mensual se traduzca en menores costos frente a las primas de riesgos que asumen los agentes y que estos a su vez transfieren a la demanda;
- Se mantiene la propuesta de contratos diarios como una modalidad contractual adicional, la cual se considera útil de acuerdo con las necesidades contractuales de la demanda y que permitan la comercialización de dicho gas del lado de la oferta, principalmente en el mercado primario;
- Se armonizan los mecanismos de comercialización del suministro con la disponibilidad de capacidad de transporte; y la introducción de precisiones en la redacción para reducir ambigüedades interpretativas, entre otros aspectos;
- Dentro de los comentarios recibidos a la propuesta regulatoria, se encuentran aquellos en los cuales se expone el riesgo de no contar con capacidad disponible para transportar el gas que se comercialice a través de las medidas regulatorias propuestas en el suministro, exponiendo la situación que se viene presentando con los contratos de transporte con interrupciones y su baja nominación dentro de un número importante de gasoductos que hacen parte de los sistemas de transporte, como esto puede afectar la disponibilidad de capacidad de transporte y se presentan algunas propuestas en relación con esta situación.
Frente a esto, encuentra la Comisión que estos comentarios están relacionados y son conexos con la propuesta regulatoria, en general, cuando se advierte esta situación en el transporte de gas natural, lo cual puede afectar la flexibilización y promoción de la eficiencia que busca lograr en la comercialización mayorista de gas natural.
De acuerdo con esto, se identifica a partir de los comentarios recibidos la necesidad de contar con una coherencia y concordancia entre las medidas regulatorias del suministro con el transporte de gas, para lo cual se ajustan de manera transitoria las condiciones de periodo de la negociación, duración del contrato, inicio del contrato y terminación del contrato del artículo 22 de la Resolución CREG 185 de 2020, con el fin de equiparar la contratación de contratos con interrupciones en transporte a las condiciones de comercialización que hoy tiene esta modalidad en el suministro de gas natural de conformidad con lo señalado en el numeral i) y v) del literal a del artículo 37 de la Resolución CREG 102 015 de 2025 y otras disposiciones en materia de registro de contratos de capacidad de transporte firme.
El carácter transitorio de estas disposiciones obedece a su carácter temporal y limitado en el tiempo, a efectos de establecer la eficacia de las medidas o si se requiere alguna disposición regulatoria distinta o diferente a la aquí propuesta.
En el caso de medidas regulatorias relacionadas con la indexación mensual y la modalidad CF 100 atienden a condiciones específicas en la comercialización de gas importado, relacionadas con la contratación a largo plazo y la firmeza del gas en el mercado internacional, los cuales difieren en el caso de la oferta de productores – comercializadores de fuentes de suministro, pues no atienden eventos ni situaciones comparables en estos aspectos.
En el documento soporte que acompaña la presente resolución se encuentran los análisis que sustentan las medidas regulatorias que aquí se adoptan, el contenido de la propuesta, así como se atienden los comentarios recibidos, donde, lo allí expuesto sirve de entendimiento de las razones que explican y facilitan la interpretación de las reglas de funcionamiento que a continuación se desarrollan. Así mismo, allí se explican los problemas regulatorios a resolver, se consignan los objetivos generales y específicos, el contenido de la propuesta, así como se atienden los comentarios recibidos, lo anterior, como parte del Análisis de Impacto Normativo - AIN.
Igualmente, en dicho documento se consigna el diligenciamiento del cuestionario establecido por la Superintendencia de Industria y Comercio, SIC, para efectos de evaluar la incidencia sobre la libre competencia de los mercados de la propuesta regulatoria, en atención a lo establecido en el artículo 4o del Decreto 2897 de 2010, reglamentario de la Ley 1340 de 2009.
La Comisión en su Sesión 1444 del 9 de marzo de 2026, aprobó la propuesta regulatoria para ser remitida a la SIC, en los términos del artículo 7o de la Ley 1340 de 2009.
El 14 de marzo de 2026 se realizó la remisión del proyecto a la SIC a través de la comunicación con radicado CREG S2026002441, radicación SIC 25-648553-3-0.
Mediante comunicación con radicación: 26-96589- -1-0, y radicado CREG E2026004974 del 31 de marzo de 2026, la SIC remitió a la Comisión el concepto de abogacía de la competencia sobre el Proyecto de Resolución "Por la cual se modifica y adiciona la Resolución CREG 102 015 de 2025 y se establecen disposiciones transitorias en materia de comercialización de transporte de gas natural, con el fin de flexibilizar y promover mayor eficiencia en la comercialización mayorista de suministro".
En el numeral 4 de la comunicación referida, la SIC expone su análisis sobre dos aspectos del Proyecto de Resolución: de un lado, la modalidad contractual CF100 solo para gas natural importado, respecto de la cual esa entidad consideró que su diseño es compatible con los objetivos regulatorios; y, de otro, las disposiciones en materia de precios y cantidades aplicables cuando los vendedores de gas natural incorporan cantidades adicionales de PTDVF o CIDVF para su comercialización dentro de un mismo TEN.
En su concepto la Superintendencia expone lo siguiente:
"4. ANÁLISIS DEL PROYECTO DESDE LA LIBRE COMPETENCIA ECONÓMICA
Esta Superintendencia observa que el proyecto incorpora un conjunto de medidas orientadas a mejorar el funcionamiento del mercado mayorista de gas natural, particularmente mediante la introducción de mecanismos de flexibilización regulatoria que favorecen una asignación más eficiente del recurso y permiten una mejor adaptación de los agentes a las condiciones actuales del sector. Estas condiciones se encuentran marcadas por una situación de estrechez en la oferta, así como por mayores niveles de incertidumbre en la disponibilidad y localización del gas. En este contexto, las medidas propuestas contribuyen a dinamizar la revelación oportuna de información, facilitar la incorporación de volúmenes adicionales al mercado y fortalecer las señales económicas para la contratación.
En este contexto, se destaca positivamente que se permita adicionar cantidades de PTDVF o CIDVF durante el Trimestre Estándar de Negociación, con el fin de aumentar la disponibilidad de gas y facilitar la incorporación oportuna de volúmenes adicionales al mercado. Esta medida contribuye a reducir rigideces en el proceso de negociación, permitir un mejor aprovechamiento de la oferta disponible y atender de manera más eficiente posibles desbalances entre oferta y demanda que surjan durante el desarrollo del Trimestre Estándar de Negociación. Además, la incorporación de modalidades contractuales diarias en firme constituye un avance más en la flexibilización del mercado, en la medida en que permite a los agentes ajustar sus decisiones de contratación a horizontes temporales más cortos.
A su vez, los ajustes propuestos en materia de indexación resultan positivos, en la medida en que permiten una mayor flexibilidad en la actualización de precios para contratos de gas natural importado con duración igual o superior a un año. En efecto, mientras que la regulación vigente prevé un mecanismo de indexación de libre configuración, pero con aplicación mínima trimestral, el proyecto plantea que, en estos casos, la periodicidad mínima pueda ser mensual. La necesidad de flexibilizar este aspecto se sustenta en que la exigencia de una aplicación mínima trimestral limita la capacidad de los agentes para adaptar los contratos a las condiciones del mercado, particularmente en contextos de alta volatilidad de los precios internacionales. Esta modificación resulta relevante en la medida en que permite que los precios contractuales se ajusten de manera más oportuna a las condiciones del mercado.
En este sentido, las medidas de flexibilización propuestas podrían contribuir a ampliar las condiciones de participación y a mejorar el funcionamiento del mercado. Sin embargo, esta Superintendencia considera que algunas disposiciones específicas ameritan un análisis particular desde la perspectiva de la libre competencia económica. Lo anterior en la medida en que incorporan ajustes regulatorios con alguna incidencia sobre la formación de precios y las condiciones contractuales. En consecuencia, a continuación, se presentará un análisis desde la óptica de libre competencia sobre (i) la posibilidad de comercializar PTDVF y CIDVF en el Trimestre Estándar de Negociación y (ii) la inclusión de la nueva modalidad contractual exclusivamente para gas importado.
4.1. Sobre la posibilidad de comercializar PTDVF y CIDVF en el TEN
4.1.1. Regla propuesta
El artículo 6 del proyecto adiciona un parágrafo al artículo 19 de la Resolución CREG 102 015 de 2025, en el cual se permite que las cantidades adicionales de PTDVF o CIDVF que no se hayan declarado inicialmente puedan incorporarse durante el mismo Trimestre Estándar de Negociación (en adelante TEN) bajo condiciones específicas.
En particular, se establece que la determinación del precio aplicable a dichas cantidades adicionales se realizará conforme a una regla basada en la proporción adicional ofertada (
), la cual se define en función de la relación entre las cantidades adicionales y las cantidades previamente declaradas.
Para este efecto, el esquema incorpora los siguientes elementos:
- Un precio de referencia, asociado a la fuente de suministro, establecido como el promedio ponderado de los contratos negociados en el mismo TEN.
- Parámetros regulatorios definidos correspondientes a 1,05 (c) y –0,5 (m).
- Un mecanismo de cálculo del porcentaje adicional ofertado (
).
Con base en lo anterior, se establece una estructura de precios por tramo, según el valor de
, así:
- Cuando
es menor o igual a 10%, el precio de las cantidades adicionales corresponde al precio de referencia.
- Cuando
se encuentra entre 10% y 50%, el precio se determina como una función lineal del precio de referencia, ajustada mediante los parámetros regulatorios definidos (c y m).
- Cuando
es mayor a 50%, el precio corresponde al 80% del precio de referencia.
Adicionalmente, el proyecto establece que las cantidades adicionales únicamente podrán asignarse mediante contratos de tipo firme y que su ejecución se limitará al respectivo TEN. Así mismo, dispone que, en ausencia de una declaración inicial de PTDVF o CIDVF, la primera cantidad adicional declarada se tomará como base para la aplicación de los límites de precio definidos en la regulación.
4.1.2. Consideraciones de la Superintendencia
Esta Superintendencia considera que la medida propuesta incide de manera directa en la libre competencia económica, en la medida en que no solo habilita la incorporación de volúmenes adicionales de PTDVF y CIDVF dentro de una misma etapa del TEN, sino que también introduce una regla explícita para la determinación del precio al cual dichos volúmenes pueden ser comercializados. En efecto, la modificación regulatoria constituye una intervención en el proceso de formación de precios del gas que ingresa al mercado, al establecer una estructura tarifaria condicionada tanto por la magnitud relativa del volumen adicional incorporado como por la existencia o ausencia de una declaración inicial de oferta.
Desde una perspectiva económica, esta regla de precios cumple una función de alineación de incentivos. El esquema propuesto parte de la premisa de que, si la regulación abre una nueva ventana para incorporar gas adicional dentro del mismo TEN, resulta necesario evitar que esa flexibilización se traduzca en incentivos para diferir estratégicamente la declaración de oferta. Bajo esa lógica, el proyecto prevé que, a medida que el volumen adicional acumulado aumenta, el precio máximo permitido disminuye progresivamente: (i) para cantidades adicionales que no superen el 10% de la cantidad inicialmente declarada, el precio corresponde al precio de referencia; (ii) para volúmenes entre el 10% y el 50%, el precio se determina mediante una función decreciente del precio de referencia; y (iii) para volúmenes superiores al 50%, el precio queda limitado al 80% del precio de referencia.
La racionalidad de este diseño es clara. La función decreciente está justificada en mantener incentivos para que los agentes incorporen oportunamente las cantidades de gas al mercado, y que, en la medida en que se incorporen volúmenes adicionales en etapas posteriores se tendrá una menor remuneración. Si no fuera así, y existiera la posibilidad de que un agente pudiera incorporar gas tardíamente y comercializarlo al mismo precio de la oferta declarada oportunamente, o incluso a un precio superior, surgiría un incentivo para restringir la oferta visible al inicio del proceso, reservar parte del volumen disponible y revelarlo solo en una etapa posterior, cuando las condiciones de mercado pudieren reflejar una mayor escasez aparente o una mayor disposición a pagar por parte de la demanda. En ese escenario, la nueva ventana de comercialización podría deteriorar la transparencia del mecanismo y distorsionar las señales de precio. Precisamente, para prevenir ese resultado, el proyecto propone que la incorporación tardía de gas se remunere a partir de ciertos criterios que permitan establecer un precio progresivamente menor, de modo que la flexibilización regulatoria no termine favoreciendo estrategias de retención de oferta, sino la incorporación de cantidades genuinamente no declaradas por razones técnicas u operativas.
En ese sentido, esta Superintendencia entiende la lógica económica de la intervención sobre el precio del gas adicional y, en principio, la considera razonable desde la perspectiva de la libre competencia económica. La existencia de una señal de precio diferenciada es consistente con el propósito de preservar la disciplina de la declaración inicial, reducir incentivos a la retención estratégica de oferta y, al mismo tiempo, permitir que volúmenes efectivamente disponibles puedan concurrir al mercado.
Si bien la formulación adoptada permite articular el esquema de manera consistente, resulta fundamental advertir que la efectividad del mecanismo propuesto depende en gran medida de dos elementos: (i) la adecuada determinación de los umbrales o rangos que definen la estructura de precios y (ii) la calibración de los parámetros que determinan la intensidad de la reducción del precio.
En relación con el primer elemento, si bien el proyecto define de manera expresa los puntos de corte de la estructura de precios, correspondiente a la relación entre el volumen adicional declarado y el precio máximo reconocido –(i) cantidades adicionales inferiores al 10%, (ii) entre el 10% y el 50% y (iii) superiores al 50%– no se evidencia una justificación técnica explícita sobre la elección de estos valores frente a otras posibles configuraciones. Si bien en el proyecto se establece dentro de las condiciones específicas para declarar cantidades adicionales que no pueden ser mayores al 50% de la cantidad inicialmente declarada por el vendedor, no se aportó en la memoria justificativa la explicación sobre la determinación del límite superior en 50% y no otro valor, ni las razones de establecer el límite inferior en 10%. Esta precisión parecería especialmente valiosa a la luz de algunos comentarios formulados por agentes del mercado, en los cuales se plantearon inquietudes sobre el alcance de ciertos umbrales –particularmente el del 50%– y su eventual incidencia sobre las señales económicas del mercado y la trazabilidad de la oferta.
En cuanto al segundo elemento, el proyecto establece parámetros de calibración aplicables al tramo intermedio (c = 1,05 y m = -0,5), los cuales determinan la velocidad con la que disminuye el precio a medida que aumentan las cantidades adicionales. Sin embargo, tampoco se encuentra una justificación detallada sobre la elección de dichos parámetros, ni un análisis que permita concluir que la magnitud de la señal económica resultante es la más adecuada para generar los incentivos esperados frente a configuraciones alternativas más o menos estrictas.
La justificación de estos elementos resulta fundamental para comprender si la calibración adoptada permite balancear adecuadamente dos objetivos que pueden resultar contrapuestos. Por un lado, prevenir el uso estratégico de la nueva ventana de comercialización para diferir oferta y distorsionar las señales del mercado y, por otro, evitar generar desincentivos a la incorporación de cantidades adicionales de gas que efectivamente estén disponibles. Especialmente, en un contexto en el que la CREG busca introducir mayor flexibilidad regulatoria con el fin de promover la ampliación de la oferta en el país.
En efecto, variaciones en los umbrales o en los parámetros de calibración podrían modificar los incentivos de los agentes. Si los primeros tramos de la regla permiten incorporar un porcentaje relativamente amplio de gas adicional con una penalización reducida o inexistente, podría aumentar el incentivo a reservar parte de la oferta para declararla en la nueva ventana, debilitando la precisión y completitud de la declaración inicial. A la inversa, si los descuentos empiezan a operar desde porcentajes demasiado bajos o con una intensidad muy elevada, la regla podría reducir el incentivo económico para incorporar nueva molécula al mercado, aun cuando esta se encuentre efectivamente disponible. En otras palabras, una calibración excesivamente laxa podría afectar la disciplina del proceso de revelación inicial, mientras que una excesivamente severa podría frustrar el objetivo de flexibilización y limitar la concurrencia de nueva oferta.
En esa medida, la Superintendencia recomendará al regulador considerar una ampliación de la motivación técnica y económica sobre la elección de los valores correspondientes a: (i) los puntos de corte de la estructura de precios correspondiente a la relación entre el volumen adicional declarado y el precio máximo reconocido –10%, entre el 10% y el 50% y superiores al 50%– y (ii) los parámetros de calibración aplicables al tramo intermedio (c = 1,05 y m = -0,5). Esto con el fin de robustecer la fundamentación del proyecto y brindar mayor claridad sobre la suficiencia y proporcionalidad de los incentivos económicos incorporados en el mecanismo.
4.2. Sobre la inclusión del CF100 para gas importado
4.2.1. Regla propuesta
El proyecto adiciona a la Resolución CREG 102 015 de 2025 la modalidad contractual denominada Contrato de suministro firme de gas natural importado con pago mínimo del 100% (en adelante CF100).
Esta nueva modalidad en firme corresponde a un contrato en virtud del cual el vendedor garantiza, durante un período determinado, el suministro ininterrumpido de una cantidad diaria máxima de gas natural importado. A su vez, el comprador se obliga a pagar el 100% de la cantidad contratada para el respectivo mes, independientemente de su consumo efectivo, salvo en los días destinados a mantenimiento y labores programadas de conformidad con la regulación vigente.
4.2.2. Consideraciones de la Superintendencia
Esta Superintendencia advierte que la incorporación de la modalidad contractual en firme CF100 configura, en la práctica, un tratamiento regulatorio diferenciado en función del origen del gas natural. En efecto, el proyecto prevé la habilitación de dicha modalidad para los contratos de suministro de gas natural importado, mientras que no extiende esta posibilidad a los contratos asociados a gas natural de producción nacional.
De acuerdo con los antecedentes de esta Superintendencia, la existencia de un trato diferenciado no constituye, por sí sola, una restricción a la libre competencia económica, pues puede encontrarse debidamente justificada. Así mismo, la ORGANIZACIÓN PARA LA COOPERACIÓN Y EL DESARROLLO ECONÓMICO - OCDE ha sostenido que la regulación asimétrica puede distorsionar la dinámica competitiva del mercado regulado, en la medida en que otorga un tratamiento normativo diferenciado a ciertos agentes frente a otros. En consecuencia, se considera que los tratos diferenciados, aunque pueden llegar a generar efectos no deseados sobre la competencia, resultan admisibles cuando responden a razones técnicas o económicas objetivas y suficientes.
En ese sentido, del documento soporte se desprende que esta diferenciación regulatoria habría sido adoptada en atención a los comentarios presentados por varios agentes del mercado y respondería, al menos, a dos consideraciones económicas identificables.
En primer lugar, la diferenciación en la alta concentración de la producción nacional de gas natural. La preocupación subyacente consiste en que el CF100 intensifica el traslado del riesgo de demanda al comprador, en la medida en que este debe pagar el 100% del volumen contratado, aun cuando su consumo efectivo sea inferior. Esta estructura modifica la asignación contractual de riesgos en favor del productor, pues le permite estabilizar sus ingresos y reducir su exposición a desviaciones entre la demanda proyectada y la efectivamente realizada.
Al respecto, es importante mencionar que, en un contexto de limitada disponibilidad de fuentes alternativas de aprovisionamiento, la posibilidad de que este instrumento contractual tenga aplicación para la producción nacional podría generar efectos adversos. Particularmente, los compradores tendrían menor capacidad para resistir contractualmente esa modalidad, negociar esquemas con una asignación de riesgos más balanceada o sustituir al proveedor. En esa medida, la Superintendencia considera que la decisión de restringir el CF100 al gas importado parecería orientarse, precisamente, a evitar que en el mercado nacional se generalice una modalidad contractual que, dadas las condiciones de concentración de la oferta, podría acentuar las asimetrías de negociación entre productores y demanda y afectar el equilibrio contractual de las transacciones.
En segundo lugar, esta diferenciación se encuentra justificada en la necesidad de ampliar y diversificar las fuentes de abastecimiento20. En efecto, el gas importado se integra en una cadena logística y comercial distinta de la correspondiente al gas de producción nacional, pues su suministro depende de infraestructura de regasificación instalada en el país para transformar la molécula importada en estado líquido a estado gaseoso y permitir su incorporación al sistema.
En ese contexto, una modalidad como el CF100 podría ofrecer una señal de demanda más estable para el gas importado, en la medida en que reduce la incertidumbre del importador sobre el volumen que efectivamente será remunerado en el mercado nacional. Esa mayor previsibilidad resulta especialmente relevante en una cadena de suministro más compleja, que comprende la adquisición externa del energético, su transporte y su posterior regasificación para la entrega al sistema. En ese orden, el CF100 podría mejorar la viabilidad comercial de nuevas operaciones de importación y, en consecuencia, fortalecer los incentivos para expandir infraestructura de regasificación. De este modo, se contribuiría a fortalecer la resiliencia del mercado frente a eventuales estrecheces de la oferta nacional y a reducir la dependencia relativa de una base doméstica de producción actualmente más limitada.
En adición a lo anterior, el trato diferenciado asociado al CF100 también se debe evaluar a la luz del régimen contractual vigente. En efecto, la Resolución CREG 102 015 de 2025 contempla modalidades de suministro en firme para gas natural nacional e importado con pagos mínimos del 80% y 95%, en las cuales el comprador asume una porción significativa del riesgo de demanda, aun cuando no consuma la totalidad del volumen contratado. En esa medida, la introducción del CF100 exclusivamente para el gas importado no incorporaría una modalidad contractual enteramente novedosa, sino una intensificación marginal de esquemas de firmeza ya existentes. Por consiguiente, aunque subsiste una diferenciación regulatoria entre la molécula local y la importada, su intensidad no parecería particularmente elevada desde la perspectiva de la libre competencia, pues los agentes que operan con gas nacional ya disponen de modalidades contractuales, como el CF95 o CF80, que se aproximan de manera significativa a ese mismo nivel de firmeza.
En conclusión, aunque el proyecto reserva la modalidad CF100 para el gas importado, esa diferenciación parecería ser acotada y objetivamente justificada desde la perspectiva de la libre competencia económica. En particular, recae sobre una modalidad adicional dentro de un régimen que ya contempla esquemas de firmeza comparables para ambas fuentes de suministro, y responde a consideraciones económicas asociadas a la concentración de la oferta nacional y a la necesidad de diversificar el abastecimiento y promover infraestructura de regasificación. Además, la delimitación adoptada por la CREG respondería directamente a inquietudes expresadas por diversos agentes del mercado durante el trámite regulatorio, en las que, en términos generales, se advirtió sobre el efecto que el CF100 podría tener sobre la distribución del riesgo contractual y sobre el equilibrio de la negociación en un mercado doméstico con una oferta más concentrada.
Por todo lo anterior, esta Superintendencia considera que este trato diferenciado no configuraría una restricción indebida a la libre competencia económica. Por lo tanto, no formulará recomendaciones sobre este punto en particular.
5. RECOMENDACIONES
Por las razones expuestas, se recomienda al CREG:
- En relación con el artículo 6 del proyecto: Ampliar la motivación técnica y económica que sustenta la elección de los valores correspondientes a: (i) los puntos de corte de la estructura de precios correspondiente a la relación entre el volumen adicional declarado y el precio máximo reconocido –10%, entre el 10% y el 50% y superiores al 50%– y (ii) los parámetros de calibración aplicables al tramo intermedio (c = 1,05 y m = -0,5) relacionados con la estructura de precios de las cantidades adicionales de PTDVF y CIDVF que se incorporen dentro del TEN."
La recomendación hecha por la Superintendencia hace referencia a la posibilidad de comercializar PTDVF y CIDVF en el TEN, e indica que "esta Superintendencia entiende la lógica económica de la intervención sobre el precio del gas adicional y, en principio, la considera razonable desde la perspectiva de la libre competencia económica".
Ahora, la Superintendencia expone que "Si bien la formulación adoptada permite articular el esquema de manera consistente, resulta fundamental advertir que la efectividad del mecanismo propuesto depende en gran medida de dos elementos: (i) la adecuada determinación de los umbrales o rangos que definen la estructura de precios y (ii) la calibración de los parámetros que determinan la intensidad de la reducción del precio".
En relación con estos elementos en el numeral 4 del Documento CREG 902 182 de 2025 se expone que esta medida y el procedimiento que se incorpora busca que la incorporación de excedentes de PTDVF o CIDVF responda a criterios estrictamente técnicos y no a una especulación sobre la escasez.
En relación con los tramos que dentro del concepto de la Superintendencia se denominan como "umbrales o rangos", estos se fundamentan en la distinción estadística entre volatilidad operativa de los campos productores e intencionalidad estratégica. Dentro de las razones expuestas en los análisis para estos umbrales se expuso que esto "permite absorber las desviaciones estándar típicas de la operación física del sistema de gas, garantizando que el mecanismo de control de precios solo se active ante incrementos de oferta que tengan la escala suficiente para ser considerados movimientos de mercado deliberados y no simples ajustes técnicos en los campos de producción de gas natural", como "incentiva la colocación de mayores volúmenes mediante una reducción progresiva del precio techo".
A partir de la recomendación formulada por la SIC, esta Comisión procede a ampliar y detallar la motivación técnica y económica que sustenta el diseño del mecanismo de precios para las cantidades adicionales de PTDVF y CIDVF declaradas dentro del TEN.
En un contexto de estrechez en el mercado de gas natural, el diseño de la regla de precios y cantidades busca maximizar la disponibilidad oportuna de gas desde el inicio del TEN, mediante incentivos que desincentivan la retención estratégica de oferta y promueve la revelación temprana de las cantidades disponibles.
Desde una perspectiva económica, la determinación de los distintos umbrales se basa en la lógica de la teoría del poder de mercado y en la estructura del mercado colombiano de gas natural. En un mercado donde un productor concentra la mayor parte de la oferta, puede existir el riesgo de retención estratégica. En la literatura de organización industrial (Tirole 1998, Wolak 2003), indican que un agente con poder de mercado tiene incentivos a restringir cantidades para elevar el precio de equilibrio, siempre que el beneficio marginal de la unidad retenida supere el ingreso de comercializarla.
Considerando lo anterior, a continuación, se expone el análisis correspondiente al primer tramo; en segundo lugar, el del tercer tramo; y, finalmente, el del tramo intermedio.
i. Justificación del Umbral del 10% (primer tramo)
Bajo este enfoque, las ofertas adicionales que respondan a condiciones técnicas (primer tramo) no se les aplica ningún ajuste en precio. Para ellas se define un umbral regulatorio del 10% dentro del cual dichas cantidades puedan ser negociadas.
Este umbral se fundamenta en la necesidad de distinguir entre variaciones operativas inherentes a la producción de gas natural y conductas estratégicas de retención de oferta.
En efecto, en la operación física de los sistemas de producción de gas natural, se presentan variaciones normales en los volúmenes disponibles derivadas de factores técnicos tales como:
- Fluctuaciones en la presión de los yacimientos y comportamiento geológico de los reservorios.
- Interrupciones programadas o no programadas para mantenimiento de infraestructura de extracción, procesamiento y compresión.
- Variaciones en los rendimientos de los pozos a lo largo del tiempo.
- Restricciones operativas transitorias en los sistemas de recolección y tratamiento del gas.
- Ajustes derivados de cambios en la composición del gas o en las condiciones de entrega.
Estas dinámicas generan desviaciones en los volúmenes disponibles que forman parte del comportamiento esperado de los campos y no constituyen por sí mismas, señales de conducta estratégica. En ese sentido, el umbral del 10% opera como un rango de tolerancia técnica que permite absorber dichas fluctuaciones operativas sin activar el mecanismo de corrección de precios, preservando la eficiencia operativa. A partir de este umbral, las cantidades adicionales enfrentan una señal de precios diferenciada, orientada a internalizar el costo de no haber sido ofrecidas oportunamente e inducir a los agentes a declarar de manera completa y oportuna sus disponibilidades de gas desde el inicio del TEN.
La calibración del umbral responde a un criterio de equilibrio regulatorio. Un nivel inferior podría penalizar variaciones técnicas legítimas y desincentivar la oferta eficiente, mientras que un nivel superior no respondería los criterios técnicos mencionados. En síntesis, el valor del 10% no es arbitrario, corresponde a un rango que, desde una perspectiva técnica y económica, permite compatibilizar la variabilidad operativa del sistema con la necesidad de mitigar el ejercicio de poder de mercado, garantizando condiciones de eficiencia tanto en precios como cantidades dentro del TEN. Su determinación considera las siguientes dos dimensiones de análisis:
Criterio 1 – Escala de la señal de mercado
Un incremento de hasta el 10% sobre la cantidad inicialmente declarada puede razonablemente atribuirse a ajustes técnicos sin necesidad de activar una señal correctiva de precios. Este rango permite que el mecanismo de corrección de precios se active únicamente ante incrementos que, por su escala, tengan la magnitud suficiente para ser considerados movimientos de mercado deliberados. A partir de este umbral, la magnitud del volumen adicional adquiere relevancia económica suficiente para justificar la activación de una señal correctiva.
Criterio 2 – Integridad de la declaración inicial
El umbral del 10% preserva los incentivos para que los agentes revelen de manera oportuna y completa la información sobre su disponibilidad de gas. La regulación exige a los vendedores que las cantidades de PTDVF y CIDVF sean declaradas al inicio de cada TEN teniendo en cuenta que estas declaraciones están sujetas a incertidumbres técnicas y operativas. En este contexto, resulta s razonable reconocer un margen de imprecisión. Exigir que cualquier desviación mínima sea objeto de corrección vía precio crearía desincentivos a la incorporación de volúmenes adicionales disponibles, afectando la participación, la liquidez del mercado y la credibilidad del sistema de declaraciones.
i. Justificación del Umbral del 50% (tercer tramo)
El umbral del 50% marca el punto a partir del cual se justifica la aplicación de una señal económica más estricta, orientada a corregir comportamientos no competitivos y a promover la declaración oportuna y completa de la oferta disponible. Este umbral delimita la frontera entre dos tipos de conductas, claramente diferenciados.
El primero, referido a cantidades adicionales por debajo de este nivel (
> 50%) las cuales pueden explicarse razonablemente como resultado de ajustes técnicos de gestión del campo (tramos primero y segundo). En este rango, la magnitud del incremento es consistente con esas variaciones operativas. Por ejemplo, un vendedor que declara inicialmente, 100 MPCD (miles de pies cúbicos por día) y posteriormente incorpora 50 MPCD adicionales dentro del mismo trimestre, esto puede estar reflejando actualizaciones o ajustes propios de la operación, sin que ello implique necesariamente una conducta estratégica de retención en la oferta. En contraste, las cantidades que superen el 50% (o que se comercialicen en el tercer tramo), el volumen ofrecido excede lo que normalmente puede atribuirse a incertidumbre o variabilidad operativa. En este rango, desde una perspectiva económica, resulta más consistente interpretar que dichas cantidades respondan a una conducta estratégica de retención de gas.
Bajo esta lógica, para este caso, la Comisión establece un precio máximo equivalente al 80% del precio de referencia. Esta regla conduce a una corrección explícita sobre los incentivos del 20% que cumple dos funciones:
- Función disuasoria: al reducir el atractivo económico de retener oferta para revelarla en etapas posteriores. Si un vendedor retiene oferta esperando revelarla en el tercer tramo, la corrección del 20% sobre el precio de referencia reduce significativamente el beneficio esperado de esa conducta.
- Función de señal regulatoria: la persistencia de ofertas recurrentes en el tercer tramo (
> 50%) constituye un indicio de posibles ineficiencias en la organización del mercado de venta de gas intra-trimestral, lo que justifica la activación de mecanismos de monitoreo de la Comisión y la Superintedencia de Servicios Públicos Domiciliarios, SSPD.
La elección del 80% como precio techo del tercer tramo responde a un criterio de proporcionalidad regulatoria. La corrección debe ser lo suficientemente significativa para generar un desincentivo real a conductas estratégicas, sin llegar a excluir del mercado a vendedores que, por razones genuinamente técnicas, que enfrenten incrementos reales de oferta que superen el umbral del 50%.
En síntesis, el diseño del tercer tramo se fundamenta en teoría de regulación por incentivos bajo información asimétrica. Esta literatura demuestra que, cuando el regulador no puede observar directamente las condiciones de oferta de los agentes, es posible inducir la revelación de información mediante esquemas de precios que condicionan los ingresos a las decisiones del propio agente. En este contexto, un productor con oferta disponible tendrá incentivos a declararla incluso bajo el precio del tercer tramo (80% del precio de referencia), en la medida en que este cubre sus costos marginales y le permite obtener una renta positiva. Por el contrario, un agente que retiene oferta estratégicamente enfrentará una reducción significativa en el beneficio esperado de dicha conducta, lo que desincentiva este tipo de comportamiento.
Ahora, en cuanto a lo que la Superintendencia denomina "parámetros de calibración aplicables al tramo intermedio (c = 1,05 y m = -0,5), los cuales determinan la velocidad con la que disminuye el precio a medida que aumentan las cantidades adicionales", dentro del numeral 4 del documento soporte de la propuesta regulatoria igualmente considero aspectos relacionados con la volatilidad operativa de los campos productores e intencionalidad estratégica, el incentivo a la colocación de mayores volúmenes mediante una reducción progresiva del precio techo y desincentivar la captura de rentas extraordinarias en escenarios de alta volatilidad.
A partir de la recomendación de la Superintendencia, procede esta Comisión a ampliar y detallar estos análisis con respecto a lo que se denomina como "la calibración de los parámetros que determinan la intensidad de la reducción del precio".
ii. Justificación del Umbral del tramo intermedio
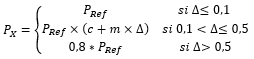
El tramo intermedio (10% <
< 50%) representa la zona de transición entre la tolerancia técnica y la corrección severa. En este rango, el precio máximo aplicable no es constante, sino que disminuye progresivamente a medida que el volumen adicional aumenta, siguiendo la función lineal:
P_X = P_Ref × (c + m ×
) = P_Ref × (1,05 - 0,5 ×
)
Los parámetros c y m determinan, respectivamente, el precio inicial del tramo en su punto de entrada (
= 10%) y la velocidad de reducción del precio a lo largo del tramo.
Determinación del parámetro c = 1,05
El parámetro c define el intercepto de la función lineal, es decir, el precio máximo al inicio del tramo intermedio, cuando Ä se aproxima al 10%. Su valor de 1,05 implica que, en el punto de transición entre el primer y el segundo tramo, el precio máximo aplicable es igual a 1,05 × P_Ref × (1 - 0,5 × 0,1) = P_Ref × (1,05 - 0,05) = P_Ref.
Esto garantiza la continuidad de la función de precios en el umbral del 10%: en ese punto, el precio del tramo intermedio coincide exactamente con el precio del primer tramo (P_Ref), evitando un salto discontinuo que podría generar arbitrajes o distorsiones en la señal económica.
Determinación del parámetro m = -0,5
El parámetro m define la pendiente de la función lineal, es decir, la velocidad a la que disminuye el precio máximo a medida que aumenta el volumen adicional en el tramo intermedio. Su valor de -0,5 implica que, por cada 10 puntos porcentuales adicionales de oferta (por encima del umbral del 10%), el precio techo se reduce en 5 puntos porcentuales del precio de referencia. Esto en teoría de juegos implica que el parámetro m hace que la estrategia dominante del vendedor con gas disponible sea revelar en la declaración inicial, mientras que para el vendedor que tiene intención de retener gas, la estrategia no lo elimina de poner gas en el mercado, pero con una señal de precios que restringe este tipo de comportamiento.
Este responde a un equilibrio explícito para prevenir simultáneamente: i) ser excesivamente permisivo (pendiente poco pronunciada, por ejemplo, m = -0,2): con una reducción de precio muy lenta, el vendedor tiene escaso incentivo para revelar cantidades en la declaración inicial y ii) castigar en demasía (pendiente pronunciada m = -0,8): con una reducción muy rápida del precio, el vendedor en lugar de percibir u un incentivo disuasorio podría recibir un castigo de precio que lo desincentiva a declarar la molécula, aunque esté disponible. La calibración de m = -0,5 se determina a partir de las siguientes condiciones de contorno:
- Condición de contorno inferior (
= 10%): continuidad con el tramo 1
P_X = P_Ref × (1,05 - 0,5 × 0,10) = P_Ref × 1,00 = P_Ref
El precio del tramo 2 en su punto de entrada coincide exactamente con P_Ref.
- Condición de contorno superior (
= 50%): convergencia con el tramo 3
P_X = P_Ref × (1,05 - 0,5 × 0,50) = P_Ref × (1,05 - 0,25) = P_Ref × 0,80
En el límite superior del tramo 2, el precio coincide exactamente con el precio del tramo 3 (80% de P_Ref).
Esta doble condición de contorno garantiza que la función de precios sea completamente continua en todos los puntos de transición entre tramos.
Con base en lo anterior, entiende la Comisión que la propuesta permite alinear los objetivos de prevenir el uso estratégico de la nueva ventana de comercialización para diferir oferta y distorsionar las señales del mercado, como de evitar generar desincentivos a la incorporación de cantidades adicionales de gas que efectivamente estén disponibles. En la siguiente tabla se expone el análisis realizado.
| Atributo de Mercado | Descripción de señal regulatoria |
| Continuidad | La función de precios es continua en todos los puntos de transición entre tramos ( |
| Progresividad | La corrección de precio es creciente en función del volumen adicional declarado, lo que genera incentivos graduales y proporcionales en lugar de sanciones abruptas. |
| Proporcionalidad | El primer tramo ( |
| No exclusión | Incluso en el tercer tramo ( |
| Monitoreo | La persistencia recurrente de ofertas en el tercer tramo actúa como señal de alerta para la Comisión y la SSPD, activando el monitoreo de la conducta de los agentes. |
Ahora bien, es importante precisar que cuando se menciona que las "variaciones en los umbrales o en los parámetros de calibración podrían modificar los incentivos de los agentes", en esto se debe tener en cuenta igualmente la reducción en la incertidumbre sobre el comportamiento de los campos, como aumentar la certidumbre en las declaraciones iniciales, lo cual depende en gran medida en las conductas del vendedor.
De acuerdo con lo anterior, las modificaciones de los incentivos dependen no solo de la medida regulatoria, sino de las conductas de los agentes, las cuales entiende la Comisión dependen en gran medida de las situaciones técnicas en los campos de producción.
Así las cosas, la Comisión considera que la propuesta no recae en una medida que se pueda considerar laxa, ni se considera igualmente con un nivel excesivo de severidad, sino que esta se considera equilibrada en los incentivos para los vendedores de fuentes de suministro nacionales, en la medida que busca aumentar la disciplina del proceso de oferta inicial, a fin de que se reduzca el nivel de incertidumbre de lo que se debe comercializar dentro del trimestre estándar y se aumente la oferta inicial por parte de los vendedores, toda vez que no se pretende que con esto se afecte el esquema regulatorio de comercialización y la aplicación de los TEN.
Con base en lo anterior, a partir de lo expuesto se acoge la recomendación realizada por la SIC.
Finalmente, el Ministerio de Minas y Energía expidió el 18 de marzo de 2026 la Resolución 40163 de 2026 "Por la cual se habilita transitoriamente el uso de las infraestructuras de importación de gas natural para promover la confiabilidad para el abastecimiento energético de la demanda de gas natural y electricidad, y se establecen otras disposiciones para el suministro del servicio público de gas combustible". En el artículo 8 de dicha resolución se establecen medidas relacionadas con "suministro de gas adicional".
Así mismo, en el artículo 10 de dicha resolución se establece:
"Artículo 10. Transitoriedad y término para la reglamentación definitiva. Los lineamientos contenidos en la presente resolución tendrán carácter transitorio y estarán vigentes hasta tanto la CREG expida la reglamentación respectiva, para lo cual contará con el término de seis (6) meses contados partir de la entrada en vigencia de la presente resolución. Vencido este término sin que se haya expedido la reglamentación correspondiente, los lineamientos qui establecidos continuarán aplicándose hasta tanto la CREG proceda conforme a lo anterior".
Teniendo en cuenta lo anterior, la Comisión en la presente Sesión CREG aprobó informar al Ministerio de Minas y Energía la expedición de la presente resolución a efectos de que dicha entidad evalúe su incidencia frente a lo establecido en los artículos 8 y 10 de la Resolución 40163 de 2026.
La Comisión en su Sesión 1449 del 09 de abril de 2026, acordó expedir la presente resolución.
RESUELVE:
ARTÍCULO 1. OBJETO. Realizar ajustes a las resoluciones CREG 102 015 de 2025 y CREG 185 de 2020, con el fin de incorporar medidas para flexibilizar y promover mayor eficiencia en la comercialización mayorista de gas natural. En particular, se busca:
i) Establecer mecanismos para la oferta y negociación de gas natural correspondiente a PTDVF y CIVDF que se presenten de manera extraordinaria durante un Trimestre Estándar de Negociación;
ii) Establecer mecanismos para la oferta y negociación de gas natural en el mercado de los productos de PTDVF y CIDVF para TEE1 y TEE2, siempre y cuando esa información se declare antes del periodo de negociación de corto plazo;
iii) Adicionar modalidades contractuales diarias y firmes al 100%, esta última para el caso de la comercialización de gas natural importado;
iv) Ajustar las disposiciones en materia de indexación de precios a efectos de que esta pueda ser mensual exclusivamente para contratos de gas natural importado con periodicidades iguales o superiores a un (1) año;
v) Armonizar las condiciones de negociación y ejecución de los contratos con interrupciones de transporte con las aplicables al suministro, de manera que dichos contratos puedan negociarse mensualmente y ejecutarse en el mes siguiente al de la negociación, en concordancia con el esquema vigente de suministro.
ARTÍCULO 2. En el artículo 3 de la Resolución CREG 102 015 de 2025 adiciónese la siguiente definición así:
"Contrato de suministro firme de gas natural importado con pago mínimo del cien por ciento (100%), CF100: contrato escrito mediante el cual el vendedor garantiza el suministro de una cantidad diaria máxima de gas natural importado sin interrupciones, durante un período determinado, y el comprador se compromete a pagar, en la liquidación mensual, el cien por ciento (100%) de la cantidad contratada correspondiente al mes, independientemente de que esta sea consumida o no, salvo durante los días destinados a mantenimiento y labores programadas, de conformidad con la regulación vigente. Esta modalidad de contrato requiere contar con Respaldo Físico y deberá estar suscrito únicamente entre los Participantes del mercado".
ARTÍCULO 3. En el artículo 8 de la Resolución CREG 102 015 de 2025 adiciónese una modalidad de contrato así:
"9. Contrato de suministro firme de gas natural importado con pago mínimo del cien por ciento (100%), CF100".
ARTÍCULO 4. En las disposiciones del artículo 14 de la Resolución CREG 102 015 de 2025 en los contratos firmes se deberá tener en cuenta la modalidad Contrato de suministro firme de gas natural importado con pago mínimo del cien por ciento (100%), CF100.
ARTÍCULO 5. Adicionar un parágrafo al artículo 15 de la Resolución CREG 102 015 de 2025 el cual quedará así:
"Parágrafo 7. En los contratos de suministro de gas natural importado con duración igual o superior a un (1) año, la actualización de los precios podrá aplicarse con la periodicidad que acuerden las partes, siempre y cuando el periodo de actualización no sea inferior a un mes. Las condiciones y fórmulas de actualización podrán ser pactadas libremente. En caso de que no se logre un acuerdo entre las partes respecto de la actualización, aplicarán las ecuaciones de actualización de precios establecidas en el Anexo 3 con el factor beta (â) igual a cero (0)".
ARTÍCULO 6. Adicionar un parágrafo al artículo 19 de la Resolución CREG 102 015 de 2025 así:
"Parágrafo 2. Para el Trimestre Estándar de Negociación – TEN - las cantidades de PTDVF o CIDVF que por razones técnicas no hayan podido ser declaradas por parte de los vendedores a que hace referencia el artículo 16 de la presente resolución, se podrán declarar, al Gestor del Mercado durante el mismo Trimestre Estándar de Negociación – TEN, como cantidades adicionales de PTDVF y/o CIDVF, exclusivamente para ser negociadas y ejecutadas durante dicho Trimestre Estándar de Negociación – TEN, bajo las siguientes consideraciones:
a) La declaración de cantidades adicionales tendrá el siguiente procedimiento a efectos de establecer el precio al cual estas serán negociadas.

Donde:
| Precio de los contratos de cantidades adicionales de PTDVF y/o CIDVF agregadas en el TEN. En el caso de vendedores que no hubieran declarado valores de PTDVF o CIDVF en el TEN, el precio | |
| Precio promedio ponderado de los contratos de la fuente | |
| 1,05 | |
| -0,5 | |
| Porcentaje calculado como | |
| - | Los valores |
a) Las cantidades adicionales solo podrán asignarse en alguna de las modalidades contractuales de tipo firme, excluyendo los contratos con interrupciones, contempladas en el artículo 8o de la presente resolución.
b) El periodo de ejecución de los contratos que se deriven de las cantidades adicionales estará limitado al respectivo TEN.
c) En caso de que no se haya declarado PTDVF o CIDVF para dicha fuente en ese TEN, la primera cantidad adicional declarada, se considerará como la referencia inicial de PTDVF o CIDVF para esa fuente en dicho TEN, para efectos de la aplicación de los límites de precio establecidos en el presente parágrafo.
d) Si el balance comercial del respectivo TEN hubiere sido deficitario, las cantidades serán asignadas conforme a lo dispuesto en los Anexos 8 y 9 de la presente resolución. Cuando un agente priorizado en la asignación de cantidades adicionales haya cubierto sus necesidades de abastecimiento a través del mercado primario y/o secundario, deberá abstenerse de aceptar nuevas asignaciones de cantidades adicionales en el marco de lo dispuesto en la Resolución CREG 080 de 2019.
e) El Gestor del Mercado dispondrá de hasta tres (3) días hábiles luego del registro de contratos, para verificar el cumplimiento de lo señalado en los literales de este parágrafo, y en el evento en que identifique inconsistencias deberá ponerlo en conocimiento de las autoridades de vigilancia y control competentes.
f) Al momento de la declaración de PTDVF o CIDVF adicional, el vendedor deberá informar al Gestor del Mercado las cantidades adicionales y justificar de manera expresa y documentada las causas que impidieron su declaración oportuna, describiendo los hechos y las limitaciones técnicas u operativas que las originaron y aportando los soportes verificables correspondientes. Cuando dichas cantidades adicionales correspondan a fuentes de gas natural nacional, el vendedor deberá remitir copia de esta información a la Agencia Nacional de Hidrocarburos.
Los anteriores literales también aplicarán a las cantidades liberadas de gas natural a que se refiere el parágrafo primero del presente artículo".
ARTÍCULO 7. En las disposiciones del numeral iv) del literal b artículo 21 de la Resolución CREG 102 015 de 2025 en los contratos firmes se deberá tener en cuenta la modalidad Contrato de suministro firme de gas natural importado con pago mínimo del cien por ciento (100%), CF100.
ARTÍCULO 8. Adicionar un parágrafo al artículo 21 de la Resolución CREG 102 015 de 2025 así:
"Parágrafo 4o. Los vendedores del Mercado Primario podrán, desde el décimo (10) día hábil y hasta el vigésimo cuarto (24) día hábil del Trimestre Estándar de Negociación, adicionar cantidades a los valores previamente declarados de PTDVF y CIDVF, exclusivamente para atender el suministro cuya ejecución inicie y termine dentro del primer y/o del segundo Trimestre Estándar de Ejecución, siguientes al respectivo Trimestre Estándar de Negociación.
Cuando se realicen dichas adiciones, el vigésimo quinto (25) día hábil del Trimestre Estándar de Negociación, el Gestor del Mercado deberá publicar la información prevista en el literal b) del presente artículo con el mismo nivel de detalle.
Así mismo, el vigésimo séptimo (27) día hábil del Trimestre Estándar de Negociación, el Gestor del Mercado, con base en la información declarada por los compradores conforme a lo dispuesto en el literal d) del presente artículo, publicará los resultados del balance comercial correspondientes a los dos (2) Trimestres Estándar de Ejecución siguientes".
ARTÍCULO 9. Modificar los numerales 1 y 2 del literal a) del Artículo 23 de la Resolución CREG 102 015 de 2025 así:
"(1) Se podrán pactar cualesquiera de las modalidades contractuales de tipo firme contempladas en el artículo 8o de la presente resolución.
(2) Su ejecución se podrá pactar en uno o varios días continuos, en una o varias semanas laborales continuas, en una o varias semanas calendario continuas, en uno o varios sábados continuos, en uno o varios domingos continuos, en uno o varios días festivos continuos o en uno o varios meses calendario continuos".
ARTÍCULO 10. En las disposiciones del numeral 1 del artículo 36 de la Resolución CREG 102 015 de 2025, en los contratos firmes deberá tenerse en cuenta la modalidad de Contrato de suministro firme de gas natural importado con pago mínimo del cien por ciento (100%), CF100.
ARTÍCULO 11. En las disposiciones del romano v) del literal a) del numeral 1.1 del Anexo 1 de la Resolución CREG 102 015 de 2025 deberá tenerse en cuenta la modalidad de Contrato de suministro firme de gas natural importado con pago mínimo del cien por ciento (100%), CF100.
ARTÍCULO 12. En la estimación de los indicadores del numeral 7 <sic, 8> del Anexo 1 de la Resolución CREG 102 015 de 2025 en los contratos firmes el Gestor del Mercado deberá tener en cuenta la modalidad de Contrato de suministro firme de gas natural importado con pago mínimo del cien por ciento (100%), CF100.
ARTÍCULO 13. En la estimación de las compensaciones del Anexo 2 de la Resolución CREG 102 015 de 2025 en los contratos firmes se deberá tener en cuenta la modalidad de Contrato de suministro firme de gas natural importado con pago mínimo del cien por ciento (100%), CF100.
ARTÍCULO 14. En las disposiciones de actualización de precios del Anexo 3 de la Resolución CREG 102 015 de 2025 en los contratos firmes se deberá tener en cuenta la modalidad de Contrato de suministro firme de gas natural importado con pago mínimo del cien por ciento (100%), CF100.
ARTÍCULO 15. En las disposiciones del úselo o véndalo de corto plazo del Anexo 4 de la Resolución CREG 102 015 de 2025, los vendedores de gas natural deberán tener en cuenta la modalidad de Contrato de suministro firme de gas natural importado con pago mínimo del cien por ciento (100%), CF100.
ARTÍCULO 16. Dentro del cálculo de la oferta comprometida en firme previsto en el Anexo 5 de la Resolución CREG 102 015 de 2025 deberá tenerse en cuenta la modalidad de Contrato de suministro firme de gas natural importado con pago mínimo del cien por ciento (100%), CF100.
ARTÍCULO 17. TRANSITORIO. Por el término de seis (6) meses contados a partir de la entrada en vigencia de la presente resolución, el plazo para el registro de los contratos firmes de capacidades trimestrales, previsto en el numeral 3 del artículo 15 de la Resolución CREG 185 de 2020, será como máximo el antepenúltimo día hábil del Trimestre Estándar de Negociación en el que se haya realizado la respectiva negociación y/o asignación de capacidad disponible primaria.
ARTÍCULO 18. TRANSITORIO. Los contratos de capacidad de transporte de gas natural negociados en la modalidad con interrupciones que se suscriban a partir de la entrada en vigencia de la presente resolución y por un término de seis (6) meses, podrán negociarse en cualquier momento del mes previo al mes en el que inicia el contrato con interrupciones. La duración del contrato será de un mes, con inicio desde las 00:00 horas del primer día calendario del mes, y, terminación hasta las 24:00 horas del último día calendario del mismo mes. Las disposiciones en el artículo 22 de la Resolución CREG 185 de 2020 sobre cargos y limitaciones permanecen igual.
ARTÍCULO 19. La presente resolución rige a partir de su publicación en el Diario Oficial.
Dada en Bogotá, D.C., al 09 de abril de 2026.
PUBLÍQUESE Y CÚMPLASE
VICTOR JOSE PATERNINA NOVOA
Viceministro de Energía, delegado del ministro de Minas y Energía
Presidente
ANTONIO JIMÉNEZ RIVERA
Director Ejecutivo
<NOTA DE PIE DE PÁGINA>
1. Chrome-extension://efaidnbmnnnibpcajpcglclefindmkaj/https://www.bmcbec.com.co/sites/default/files/2025-09/Informe%20de%20disponibilidad%20a%C3%B1o%20gas%202026.pdf