RESOLUCIÓN 196 DE 2013
(diciembre 18)
Diario Oficial No. 49.039 de 20 de enero de 2014
COMISIÓN DE REGULACIÓN DE ENERGÍA Y GAS
Por la cual se aprueba el Cargo Promedio de Distribución por uso del Sistema de Distribución y el Cargo Máximo Base de Comercialización de gas combustible por redes de tubería a usuarios regulados, para el mercado relevante conformado por los municipios de Ataco y Planadas ubicados en el departamento de Tolima, según solicitud tarifaria presentada por Edalgas S. A. E.S.P.
LA COMISIÓN DE REGULACIÓN DE ENERGÍA Y GAS,
en ejercicio de sus atribuciones constitucionales y legales, en especial las conferidas por la Ley 142 de 1994, y en desarrollo de los Decretos números 1524 y 2253 de 1994.
CONSIDERANDO QUE:
El numeral 14.28 del artículo 14 de la Ley 142 de 1994 definió el servicio público domiciliario de gas combustible como el conjunto de actividades ordenadas a la distribución de gas combustible y estableció la actividad de comercialización como complementaria del servicio público domiciliario de gas combustible.
Según lo dispuesto por el artículo 28 de la Ley 142 de 1994, la construcción y operación de redes para el transporte de gas, así como el señalamiento de las tarifas por uso, se regirán exclusivamente por esa ley.
El numeral 73.11 del artículo 73 de la Ley 142 de 1994, atribuyó a la Comisión de Regulación de Energía y Gas la competencia para establecer las fórmulas para la fijación de las tarifas del servicio público domiciliario de gas combustible.
Según lo dispuesto por el numeral 88.1 del artículo 88 de la Ley 142 de 1994, la Comisión de Regulación de Energía y Gas podrá establecer topes máximos y mínimos tarifarios, de obligatorio cumplimiento por parte de las empresas.
El artículo 126 de la Ley 142 de 1994 establece que vencido el período de vigencia de las fórmulas tarifarias estas continuarán rigiendo mientras la Comisión no fije las nuevas.
Mediante las Resoluciones CREG-045 de 2002 y CREG-069 de 2006 se estableció la metodología de cálculo y ajuste para la determinación de la tasa de retorno que se utilizará en las fórmulas tarifarias de la actividad de distribución de gas combustible por redes para el próximo período.
Mediante Resolución CREG-011 de 2003 se adoptó la metodología y criterios generales para determinar la remuneración de las actividades de distribución y comercialización de gas combustible y las fórmulas generales para la prestación del servicio público domiciliario de distribución de gas combustible por redes de tubería.
Mediante Resolución CREG-100 de 2003, la Comisión estableció los estándares de calidad en el servicio público domiciliario de gas natural y GLP en Sistemas de Distribución por redes de tubería.
Mediante Documento CREG-009 de 2004, se definieron los criterios para establecer los gastos eficientes de AOM para las actividades de distribución y comercialización, el factor de eficiencia en redes, así como los gastos eficientes de AOM para el control y monitoreo de los estándares de calidad definidos mediante Resolución CREG-100 de 2003.
El numeral 87.9 del artículo 87 de la Ley 142 de 1994, modificado por el artículo 99 de la Ley 1450 de 2011 determina que “Las Entidades públicas podrán aportar bienes o derechos a las empresas de servicios públicos domiciliarios, siempre y cuando su valor no se incluya en el cálculo de las tarifas que hayan de cobrarse a los usuarios y que en el presupuesto de la entidad que autorice el aporte figure este valor. Las Comisiones de Regulación establecerán los mecanismos necesarios para garantizar la reposición y mantenimiento de estos bienes. Lo dispuesto en el presente artículo no es aplicable cuando se realice enajenación o capitalización de dichos bienes o derechos”.
La empresa Edalgas S. A. E.S.P., manifestó que conforme al Acuerdo número 010 de 2013 del 28 de agosto del 2013 expedido por el Órgano Colegiado de Administración y Decisión Centro Sur Amazonia se aprobó el proyecto “Construcción gasoducto urbano (propanoducto) y conexiones de usuarios de menores ingresos en los cascos urbanos de Planadas y Ataco, Departamento del Tolima” con cargo a los recursos del Fondo de Compensación Regional.
Edalgas S. A. E.S.P., mediante comunicación con radicado CREG E-2013-009127 del 09 de octubre del 2013, solicitó la asignación de los cargos de distribución y comercialización de GLP por redes en el mercado relevante compuesto por los municipios de Ataco y Planadas ubicados en el departamento de Tolima.
La Empresa, mediante la comunicación en cita, presentó las proyecciones de demanda, las proyecciones de gastos de AOM de distribución y el programa de nuevas inversiones, clasificadas según el listado de unidades constructivas establecido en el Anexo número 1 de la Resolución CREG 011 de 2003.
La Dirección Ejecutiva de la Comisión, mediante auto proferido el día 21 de noviembre de 2013, dispuso iniciar la respectiva actuación administrativa con fundamento en la solicitud presentada por Edalgas S.A E.S.P., para la aprobación de cargos de distribución y comercialización de GLP por redes para el mercado relevante conformado por los municipios de Ataco y Planadas en el departamento de Tolima.
La Unidad de Planeación Minero Energética - UPME, en comunicación con radicado interno CREG- E-2013-011543 de fecha 06 de diciembre de 2013, aprobó la metodología utilizada para las proyecciones de demanda del mercado que va a atender la empresa Edalgas S. A. E.S.P. de conformidad con lo establecido en el Numeral 7.5 del artículo 7o de la Resolución CREG-011 de 2003.
La Comisión para los efectos del artículo 37 del Código de Procedimiento Administrativo y de lo Contencioso Administrativo publicó en la página Web de la CREG y en el Diario Oficial número 48.999 del 9 de diciembre de 2013, el Aviso número 074 en el cual hace saber de la solicitud presentada por Edalgas S. A. E.S.P., para la aprobación de cargos de distribución y comercialización de GLP por redes para el mercado relevante conformado por los municipios de Ataco y Planadas en el departamento de Tolima, a fin de que los terceros interesados puedan hacerse parte en la respectiva actuación.
La Comisión de Regulación de Energía y Gas efectuó los cálculos tarifarios correspondientes, a partir de la metodología establecida en la Resolución CREG-011 de 2003 y demás información disponible en la Comisión, los cuales se presentan en el Documento CREG-139 de 2013.
Conforme al Decreto número 2897 de 2010 expedido por el Ministerio de Comercio, Industria y Turismo y la Resolución 44649 de 2010 expedida por la Superintendencia de Industria y Comercio, la Comisión de Regulación de Energía y Gas dio respuesta al cuestionario adoptado por esta última entidad para la evaluación de la incidencia sobre la libre competencia del presente acto administrativo, el cual se encuentra en el Documento CREG-139 de 2013.
Teniendo en cuenta la respuesta al cuestionario, y dado que la presente resolución contiene un desarrollo y aplicación de la metodología y criterios generales para determinar la remuneración de las actividades de distribución y comercialización de gas combustible y de las fórmulas generales para la prestación del servicio público domiciliario de distribución de gas combustible por redes de tubería adoptados mediante Resolución CREG 011 de 2003, el presente acto administrativo de carácter particular no requiere ser remitido a la SIC para los efectos establecidos en el artículo 7o de la Ley 1340 de 2009, reglamentado por el Decreto número 2897 de 2010, por no tener incidencia sobre la libre competencia.
La Comisión de Regulación de Energía y Gas, en su Sesión número 585, llevada a cabo el 18 de diciembre de 2013, aprobó el Cargo Promedio de Distribución por uso del Sistema de Distribución y el Cargo Máximo Base de Comercialización de gas combustible por redes de tubería a usuarios regulados, para el mercado relevante conformado por los municipios de Ataco y Planadas en el departamento de Tolima, según solicitud tarifaria presentada por Edalgas S. A. E.S.P.
RESUELVE:
ARTÍCULO 1o. MERCADOS RELEVANTES DE DISTRIBUCIÓN Y COMERCIALIZACIÓN. Para efectos de aplicación de esta Resolución, el mercado relevante de distribución y comercialización está conformado por los municipios de Ataco y Planadas ubicados en el departamento de Tolima.
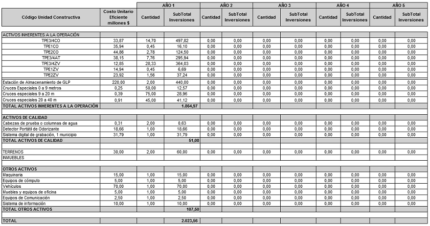
ARTÍCULO 2o. INVERSIÓN BASE. La Inversión Base para determinar el cargo promedio de distribución para el Mercado Relevante definido en el artículo 1o de esta Resolución se compone como se indica a continuación:
2.1. Inversión Existente. Como inversión existente no se reconoce monto alguno, por tratarse de un mercado nuevo, de conformidad con la información presentada por la Empresa.
2.2. Programa de Nuevas Inversiones. Para el Programa de Nuevas Inversiones se reconocen los siguientes valores, con la descripción presentada en el Anexo 1 de la presente resolución:
| Descripción | Año 1 | Año 2 | Año 3 | Año 4 | Año 5 |
| Activos de distribución de gas. | 1.864.974.483 | - | - | - | - |
| Activos de calidad. | 51.084.275 | - | - | - | - |
| Otros activos. | 107.500.000 | - | - | - | - |
| Total | 2.023.558.758 | - | - | - | - |
Cifras en pesos del 31 de diciembre de 2012.
PARÁGRAFO. Las desviaciones que se presenten en el Programa de Nuevas Inversiones serán consideradas de conformidad con lo establecido en el literal (b) del numeral 7.1 del artículo 7o de la Resolución CREG-011 de 2003.
ARTÍCULO 3o. DEMANDAS ESPERADAS DE VOLUMEN. Para el cálculo tarifario se utilizó la Demanda de Volumen para el horizonte de proyección presentada en el anexo 2 de esta resolución.
ARTÍCULO 4o. GASTOS DE ADMINISTRACIÓN, OPERACIÓN Y MANTENIMIENTO - AOM. El nivel de eficiencia obtenido del modelo de optimización es 46,59%. Aplicando este resultado al valor presente de los gastos de AOM propuestos para el Horizonte de Proyección, se obtiene el siguiente valor para incorporar al cálculo del cargo que remunera los gastos de AOM:
| Componente | $ del 31 de diciembre de 2012 |
| Valor Presente de los gastos de AOM, con nivel de eficiencia. | $ 598.538.600,05 |
En el anexo 3 se presentan los gastos de AOM para el Horizonte de Proyección.
ARTÍCULO 5o. CARGO PROMEDIO DE DISTRIBUCIÓN. A partir de la vigencia de la presente resolución, el cargo promedio de distribución aplicable en el Mercado Relevante definido en el artículo 1o de esta resolución, para recuperar los costos de inversión y los gastos de AOM para la distribución domiciliaria de gas combustible por red se fija en 1.240,69 $/m3 ($ del 31 de diciembre de 2012) desagregados de la siguiente manera:
| Componentes | $/m3 |
| Cargo de distribución | 1.240,69 |
| -- Componente de inversión Fondo Compensación Regional - Sistema General de Regalías. | 471,55 |
| -- Componente de inversión Edalgas S. A. E.S.P. | 460,69 |
| -- Componente Gastos AOM. | 308,45 |
Nota: Cifras en pesos del 31 de diciembre de 2012.
PARÁGRAFO 1o. Para el cálculo de las tarifas que se cobren a los usuarios con base en los cargos aprobados en la presente resolución, se tendrá en cuenta lo establecido en el numeral 87.9 del artículo 87 de la Ley 142 de 1994, modificado por el artículo 99 de la Ley 1450 de 2011, o aquella que la modifique, aclare o sustituya.
PARÁGRAFO 2o. El cargo piso aplicable en el Mercado Relevante del Artículo 1 se fija en $130,97 $/m3, expresado en pesos del 31 de diciembre de 2012 y discriminado de la siguiente manera:
| Componentes Cargo Piso | $/m3 |
| Cargo Piso | 130,97 |
| -- Cargo Piso Componente Inversión Fondo Compensación Regional-Sistema General de Regalías. | 37,88 |
| -- Cargo Piso Componente Inversión Empresa. | 37,00 |
| -- Cargo Piso Componente AOM. | 56,09 |
PARÁGRAFO 3o. Estos Cargos de Distribución se actualizarán de conformidad con lo establecido en el numeral 7.8 del artículo 7o de la Resolución CREG-011 de 2003.
ARTÍCULO 6o. CARGO MÁXIMO BASE DE COMERCIALIZACIÓN. A partir de la vigencia de la presente resolución, el cargo máximo base de comercialización aplicable en el Mercado Relevante de que trata el artículo 1o de la presente resolución, es el siguiente:
| Cargo de Comercialización ($/ factura). | 2.451,81 |
Nota: Cifras en pesos del 31 de diciembre de 2012, las comas indican decimales.
PARÁGRAFO. El Cargo de Comercialización se actualizará de conformidad con lo establecido en el artículo 24 de la Resolución CREG-011 de 2003.
ARTÍCULO 7o. FÓRMULA TARIFARIA. La Fórmula Tarifaria aplicable al mercado relevante definido en el artículo 1o de la presente resolución corresponderá a la establecida en el Artículo 40 de la Resolución CREG 011 de 2003.
ARTÍCULO 8o. VIGENCIA DE LA FÓRMULA TARIFARIA, DEL CARGO PROMEDIO DE DISTRIBUCIÓN Y DEL CARGO MÁXIMO BASE DE COMERCIALIZACIÓN. La fórmula tarifaria, incluido el Cargo Promedio de Distribución y el Cargo Máximo Base de Comercialización que se establecen en esta Resolución, regirán a partir de la fecha en que la presente resolución quede en firme y durante el término de vigencia de las fórmulas tarifarias definidas en la Resolución CREG-011 de 2003. Vencido este período las fórmulas tarifarias continuarán rigiendo mientras la Comisión no fije las nuevas, tal como está previsto en el artículo 126 de la Ley 142 de 1994.
ARTÍCULO 9o. La presente resolución deberá notificarse al representante legal de Edalgas S. A. E.S.P., y al Órgano Colegiado de Administración y Decisión Centro Sur Amazonía, y publicarse en el Diario Oficial. Contra las disposiciones contenidas en esta Resolución procede el Recurso de Reposición, el cual podrá interponerse ante la Dirección Ejecutiva de la CREG dentro de los cinco (5) días hábiles siguientes a la fecha de su notificación.
Notifíquese, publíquese y cúmplase.
Dada en Bogotá, D. C., a 18 de diciembre de 2013.
El Presidente,
ORLANDO CABRALES SEGOVIA,
Viceministro de Energía Delegado del Ministro de Minas y Energía.
El Director Ejecutivo,
GERMÁN CASTRO FERREIRA.
PROGRAMA DE NUEVAS INVERSIONES.

(Valores expresados en millones de pesos del 31 de diciembre de 2012).
El Presidente,
ORLANDO CABRALES SEGOVIA,
Viceministro de Energía Delegado del Ministro de Minas y Energía.
El Director Ejecutivo,
GERMÁN CASTRO FERREIRA.
PROYECCIONES DE USUARIOS Y DEMANDA.
| AÑO | NÚMERO DE USUARIOS | CONSUMO (m3) |
| 1 | 2.011 | 175.846 |
| 2 | 2.585 | 226.120 |
| 3 | 2.872 | 251.143 |
| 4 | 2.894 | 253.033 |
| 5 | 2.916 | 254.923 |
| 6 | 2.938 | 256.813 |
| 7 | 2.960 | 258.703 |
| 8 | 2.982 | 260.593 |
| 9 | 3.004 | 262.483 |
| 10 | 3.027 | 264.449 |
| 11 | 3.051 | 266.490 |
| 12 | 3.075 | 268.531 |
| 13 | 3.099 | 270.572 |
| 14 | 3.123 | 272.614 |
| 15 | 3.147 | 274.655 |
| 16 | 3.171 | 276.696 |
| 17 | 3.195 | 278.737 |
| 18 | 3.219 | 280.778 |
| 19 | 3.244 | 282.895 |
| 20 | 3.270 | 285.088 |
El Presidente,
ORLANDO CABRALES SEGOVIA,
Viceministro de Energía Delegado del Ministro de Minas y Energía.
El Director Ejecutivo,
GERMÁN CASTRO FERREIRA.
PROYECCIÓN DE GASTOS AOM-ADMINISTRACIÓN, OPERACIÓN Y MANTENIMIENTO.
| AÑO | GASTOS AOM($ de Diciembre de 2012) |
| 1 | 69.617.337 |
| 2 | 74.072.514 |
| 3 | 76.299.521 |
| 4 | 76.594.841 |
| 5 | 76.890.161 |
| 6 | 77.185.481 |
| 7 | 77.488.501 |
| 8 | 77.791.522 |
| 9 | 78.094.542 |
| 10 | 78.412.963 |
| 11 | 78.739.083 |
| 12 | 79.065.204 |
| 13 | 79.391.325 |
| 14 | 79.717.446 |
| 15 | 80.051.267 |
| 16 | 80.385.088 |
| 17 | 80.718.909 |
| 18 | 81.060.431 |
| 19 | 81.409.652 |
| 20 | 81.766.574 |
| VPN (11,31%) | $ 598.538.600,05 |
El Presidente,
ORLANDO CABRALES SEGOVIA,
Viceministro de Energía Delegado del Ministro de Minas y Energía.
El Director Ejecutivo,
GERMÁN CASTRO FERREIRA.