RESOLUCIÓN 148 DE 2020
(julio 22)
Diario Oficial No. 51.413 de 21 de agosto de 2020
COMISIÓN DE REGULACIÓN DE ENERGÍA Y GAS
Por la cual se resuelve el recurso de reposición interpuesto por Empresas Municipales de Cali E.I.C.E E.S.P. contra la Resolución CREG 028 de 2020.
LA COMISIÓN DE REGULACIÓN DE ENERGÍA Y GAS,
en ejercicio de sus atribuciones constitucionales y legales, en especial las conferidas por las Leyes 142 y 143 de 1994, y en desarrollo de los Decretos 1524, 2253 de 1994, 2696 de 2004 y 1260 de 2013,
CONSIDERANDO QUE:
Mediante la Resolución CREG 028 de 2020 se aprobaron las variables necesarias para calcular los ingresos y cargos asociados con la actividad de distribución de energía eléctrica para el mercado de comercialización atendido por Empresas Municipales de Cali E.I.C.E. E.S.P.
En el documento 015 de 2020 se encuentra el soporte de dicha resolución, donde se incluyen los criterios de revisión de la información, las bases de datos y los cálculos empleados por la Comisión para definir las variables aprobadas en la Resolución CREG 028 de 2020.
Empresas Municipales de Cali E.I.C.E. E.S.P., mediante comunicación con radicado CREG E-2020-005418, presentó recurso de reposición contra la Resolución CREG 028 de 2020.
En la comunicación citada se presentan las siguientes peticiones:
PETICIONES:
PRIMERA: Revocar la parte pertinente de la resolución materia del recurso de reposición que sea contraria a las objeciones y solicitudes aquí presentadas.
SEGUNDA: Modificar los cálculos que sirven como fundamento a los asuntos objeto del presente recurso, y en consecuencia modificar la parte resolutiva de la Resolución CREG número 028 de 2020 incorporando las solicitudes aquí sustentadas y los valores correspondientes debidamente ajustados:
Lo anterior, considerando los argumentos del presente escrito y la afectación que ello implica a los ingresos y cargos asociados con la actividad de distribución de energía eléctrica en el mercado de comercialización atendido por EMCALI.
A continuación, se presenta cada una de las solicitudes presentadas por el OR en el recurso de reposición, y los análisis de la Comisión sobre cada petición.
Solicitud No. 1
1.1 formato7 UC líneas
Se identifican dos causas principales de no reconocimiento de las unidades de línea:
Los tramos de red vinculados al circuito 000, Observación CREG: “De acuerdo con lo señalado en el informe de respuesta del OR los tramos sin SE asociada están en construcción, por lo cual se entiende que no están en operación a la fecha de corte”. Estos corresponden a 279 tramos con una longitud de 7.82 km (de un total de 9.865 tramos, 3221.92 km). Los mismos son segmentos ya construidos que se utilizan para maniobras de circuitos frontera, para la calidad del servicio y que están en servicio, situación que podrá verificarse en terreno. Se solicita reconsiderar el reconocimiento de estos tramos.
Subrayado fuera de texto.
En el archivo Excel adjunto en el recurso de reposición, el OR señala para cada IUA lo siguiente
Es un tramo construido, en servicio, que se utiliza para maniobras de transferencia.
Análisis de la Comisión
Los tramos en discusión hacen parte de los activos puestos en operación en el período 2008 a la fecha de corte, es decir, en la categoría CRIN, por lo cual deben cumplir con lo solicitado en el numeral 3.1.1.1.4 del anexo general de la Resolución CREG 015 de 2018, que establece lo siguiente.
Para poder incluir el valor de estos activos el OR debe entregar para cada una de las UC a incorporar la siguiente información: municipio, subestación, georreferenciación, características técnicas, fecha de entrada en operación, datos de placa, así como el inventario asimilado a las UC definidas en el capítulo 15. Las UC para las cuales no se reporte la totalidad de la información requerida no serán incluidas en la base inicial de activos.
Subrayado fuera de texto.
Con la información reportada en la solicitud inicial y en el recurso de reposición no es posible identificar a que línea o circuito pertenecen. Por lo anterior, no se accede a la solicitud del recurso.
Solicitud No. 2
“No se reporta la información completa de la UC - no hay información georreferenciada. Numeral 3.1.1.1.1.7”. Estos tramos corresponden en su totalidad a canalizaciones de red que totalizan 6259 tramos y 139.57 km. Sobre este particular, la información suministrada por EMCALI en el campo de observaciones del OR, contiene la información requerida en la Resolución número CREG 015 de 2018: “El OR debe entregar para cada una de las UC a incorporar la siguiente información: municipio, subestación, georreferenciación, características técnicas, fecha de entrada en operación, datos de placa, así como el inventario asimilado a las UC definidas en el capítulo 15.” En este campo se indica a qué tramo de red corresponde cada tramo de canalización y entre qué apoyos se ubica cada trecho. Con estos datos, es posible corroborar la información georreferenciada en la geodatabase suministrada por EMCALI dentro de lo solicitud de aprobación de cargos. Se cita a modo de ejemplo el siguiente caso:
Análisis de la Comisión
En el archivo Excel entregado por el OR en el recurso de reposición se hace la misma precisión para las UC pertenecientes a la categoría CRIN que no fueron incluidas en la base de activos aprobada por no contar con información georreferenciada.
El OR entregó nueva información georreferenciada, en la cual se incluye una capa de canalizaciones, en la cual cada tramo contiene información del IUA, la UC y la longitud, entre otras.
De la revisión de la información georreferenciada aportada y el reporte del formato 7 se encuentra lo siguiente: i) en la información georreferenciada se incluyen menos tramos que los solicitados en el formato 7, ii) de los 6.259 tramos sin información georreferenciada solamente se pueden identificar, por el código IUA, 5.489 tramos que corresponden a 124 km.
Con base en lo anterior, se encuentra que el OR subsanó la falta de información georreferenciada para una parte de los tramos objeto del recurso, por lo cual solamente se incluyen estos tramos en el inventario reconocido.
Teniendo en cuenta los requisitos de información de las Circulares CREG 129<sic, es 29> de 2018 y 024 de 2020, el OR deberá ajustar la información aprobada para efectos de seguimiento y verificación.
Solicitud No. 3
1.2 Format08__UC_eq_linea
La observación general en este caso es “Las UC especiales solo se reconocen en el plan de inversiones”.
La unidad solicitada corresponde a cajas de maniobra sumergibles que EMCALI utiliza en el SDL. Los soportes de los contratos ejecutados en EMCALI en el periodo 2008-2018 se enviaron con oportunidad a la CREG.
Además de los soportes contractuales, se debe entender la razón técnica para el uso de estos equipos en EMCALI.
Las cajas de maniobra utilizadas en la compañía tienen las siguientes características
operativas:
- El nivel de cortocircuito en las redes de media tensión en EMCALI. Los transformadores de potencia tienen valores de 28 y 41.75 MVA y en condiciones de contingencia pueden trabajar en paralelo. Los conductores típicos en el sistema son 500 kCM Cu y 477 kCM ACSR, lo que consecuentemente deriva en niveles de cortocircuito bastante exigentes para los equipos de potencia.
- La ubicación de estos equipos, en zonas propensas a inundaciones, lo que exige que los elementos sean totalmente sumergibles.
- Corrosión. Las aguas que inundan las cámaras tienen una alta carga contaminante, por lo que estos equipos se exigen en acero inoxidable.
- Mantenimiento. Debido a las difíciles condiciones donde se instalan estos equipos, se solicitan elementos libres de mantenimiento.
- Criticidad de las cargas. Las cajas de maniobra se utilizan en las zonas de la ciudad donde las cargas son especialmente sensibles y se demanda un alto grado de confiabilidad.
Se solicita considerar los soportes documentales y los requerimientos técnicos particulares de EMCALI para el reconocimiento del costo real de estos equipos.
Adicionalmente, en el archivo Inventario reconocido BRA_0 OR – EMCALI entregado por el OR en el recurso de reposición se señala lo siguiente para estas UC:
El activo existe y está en operación. Se solicita sea reconocido y se asimile a una unidad que cumpla la misma función hasta que sea definida por la CREG la UC Especial.
Subrayado fuera de texto.
Análisis de la Comisión
En relación con la creación de unidades constructivas especiales se señala lo siguiente:
En el numeral 6.1 de la Resolución CREG 015 de 2018 se precisa que, como parte de los planes de inversión, los OR pueden solicitar UC especiales considerando los criterios definidos en el capítulo 14.
Numeral 6.1 criterios generales (…)
n. El OR podrá incluir en el plan de inversión unidades constructivas especiales para lo cual debe dar aplicación a lo señalado en el capítulo 14.
El capítulo 14 de la Resolución CREG 015 de 2018, que define las UC para valorar las inversiones a realizar en el nuevo período tarifario, señala la posibilidad de incorporar UC especiales en los planes de inversión, y define la información de las UC especiales que debe incluir el OR en su solicitud de ingresos.
CAPÍTULO 14. UC PARA VALORACIÓN DE ACTIVOS NUEVOS
En este capítulo se definen las UC de los STR y SDL para la valoración de las inversiones en todos los niveles de tensión a realizar durante el periodo tarifario (…)
Cuando existan activos con características técnicas distintas a las de las UC establecidas, los OR podrán solicitar a la Comisión la creación de UC especiales. La solicitud debe estar acompañada de las consideraciones técnicas que justifican la creación de la UC especial, el costo detallado de cada equipo que la compone y los costos de instalación asociados. Para adquisiciones directas se debe adjuntar tres cotizaciones de suministro e instalación de los equipos que la conforman y para adquisiciones a través de concursos abiertos o licitaciones se deben enviar los documentos que acreditan su realización incluyendo los pliegos de solicitudes, términos de referencia, etc.
En el numeral 3.1.1.1.4 se establece que, para calcular el valor de los activos puestos en operación entre el 2008 y el 2017, se emplean las UC definidas en el capítulo 15 de la resolución, y que para poder incluir el valor de estos activos, los OR deben entregar el inventario asimilado a las UC definidas en dicho capítulo.
En el capítulo 15 se establece lo siguiente:
CAPÍTULO 15. UC PARA VALORACIÓN DE ACTIVOS BRA INICIAL
Para la valoración de los activos construidos a partir de enero de 2008 y hasta la fecha de corte, que hacen parte de la BRA inicial, se utilizan las UC y los valores definidos en este capítulo. (…)
Al respecto se indica que en este capítulo no se hace referencia a la definición de UC especiales.
Con base en lo anterior, se aclara que la solicitud de UC especiales aplica para los activos incluidos en los planes de inversión, y que para los activos que hacen parte de la base inicial se deben emplear las UC definidas en el capítulo 15.
Por lo anterior, no se considera la solicitud del OR en relación con incluir UC especiales en la definición de la base inicial de activos.
En relación con la asimilación de los equipos solicitados a las UC del capítulo 15, se encuentra lo siguiente:
Se solicitan 28 UC especiales que fueron reportadas en el formato 8, correspondiente a equipos de línea, de la siguiente manera: i) se clasificaron en la categoría CRINR, ii) el año de entrada en operación reportado fue 2007, iii) en el campo código de la UC se reportó el texto UCE, iv) en el campo observaciones se reporta una información del nodo, apoyo y código de la UC, que se entiende corresponde a la información del sistema de gestión de distribución de la empresa y v) no se reporta el nivel de tensión de las UC solicitadas.
En la solicitud de aprobación de ingresos y en el recurso se indica que las UC corresponden a cajas de maniobra sumergibles, y se entregan documentos con información relacionada con estas.
El OR no asimiló los equipos solicitados a las UC definidas en el capítulo 15 de la Resolución CREG 015 de 2018.
En el formato 8, las UC especiales fueron asociadas a líneas de 34,5 kV. No obstante, en los demás documentos de la solicitud están asociadas con equipos de nivel de tensión 2.
Como parte del soporte del OR se presentan los siguientes documentos:
a) CEC 500-GE-CA-0015-2015 suminist Cajas Mani-Recosy condens.pdf (sic): Contiene información de los términos de referencia para el suministro de cajas de maniobra de 13,2 kV.
b) 500-GE-CO-0669-2016 PROCESO 500-GE-CA-0002-2016.pdf: Contiene información de un contrato para construcción de red de media tensión a 13,2 kV subterráneo.
c) CONTRATO 500-GE-CS-0432-2016 PTI.pdf. Contiene información de un contrato para suministro de cajas de maniobra de 13,2 kV y reconectadores de 13,2 y 34,5 kV.
d) Contratro 500-GE-CS-0059-2007.pdf, Detallado de cajas de maniobra contrato 500-GE-CS-0059-2007.pdf y Pliegos de La Oferta GUENE-DAED-018-06.pdf (sic): El OR suministra información sobre el proceso de contratación de siete cajas de maniobra.
En el documento Detallado de cajas de maniobra contrato 500-GE-CS-0059-2007. pdf, se incluye la descripción de los equipos de dicho contrato que corresponde a cajas de maniobra de 15 kV.
SUMINISTRO CAJAS DE MANIOBRA 2007 Y 2016 (…)
a) CAJA DE 6 VÍAS -Suministro e instalación de caja de Maniobra 6 vías 15 kV - Tipo Sumergible - ensamblada con Cuatro (4) vías de 600A de operación manual y Dos (2) vías de 200 A
b) CAJA DE 4 VÍAS MOTORIZADA Suministro e instalación de caja de Maniobra 4 Vías 15 kV - Tipo totalmente Sumergible – ensamblada con Tres (3) vías de 600A de operación manual, Una (1) vía de 600 Amperios de operación automática con un motor de 24 VDC y Una (1) vías de 200A Operación Manual con Fusibles
c) CAJA DE 6 VÍAS MOTORIZADAS Suministro e instalación de caja de Maniobra 6 Vías 15 kV - Tipo Totalmente Sumergible – ensamblada con tres (3) vías de 600A de operación manual y una (1) vías de 600A de operación automática con un motor de 24 VDC y Dos (2) vías de 200 A de Operación Manual con Fusibles
d) CAJA DE 5 VÍAS MOTORIZADA Suministro e instalación de caja de Maniobra 15 kV - Tipo Sumergible - 5 vías ensamblada con Cuatro (4) vías de 600A, Tres (3) de ellas para operación manual y una (1) vía de 600A con mando motorizado 24VDC y Una (1) vía de 200A 15 kV (switches de interrupción en vacío) con Fusibles
e) CAJA DE 4 VÍAS MOTORIZADA Suministro e instalación de caja de Maniobra 15 kV - Tipo sumergible - 4 Vías ensamblada con Tres (2) vías de 600A (Dos (2) de ellas para operación manual y Una (1) vía de 600A con mando motorizado 24VDC y Una (1) vía de 200A 15kV (switches de interrupción en vacío) con Fusibles
f) CAJA DE 6 VIAS MANUAL Suministro e instalación de caja de Maniobra 6 Vías 15 kV - Tipo Sumergible - ensamblada con Seis (6) vías de 600A de operación manual – Para Instalación de Futuros Motores 24 VDC
g) CAJA DE 6 VÍAS MANUAL Suministro e instalación de caja de Maniobra 6 Vías 15 kV - Tipo Totalmente Sumergible – ensamblada con Cuatro (4) vías de 600A de operación manual y Dos (2) vías de 200A Operación Manual con Fusibles
De lo anterior se entiende que las cajas de maniobra solicitadas corresponden a UC de nivel de tensión 2. En la tabla 58 del anexo general de la Resolución CREG 015 de 2018, se define la UC N2EQ2 Caja de maniobra N2, sumergible con codos.
Con base en lo anterior, se incluirán las unidades constructivas solicitadas asimilándolas a la UC N2EQ2.
En relación con la información reportada, se señala que el OR, en el proceso de revisión de la ejecución del plan de inversiones, deberá ajustar el inventario para asociar las UC a las líneas de nivel de tensión 2 correspondientes.
Solicitud No. 4
1.3 formato9_UC_equipos_SE
Las causas de no reconocimiento de algunos de los activos reportados (85 de 743) son:
| Observación CREG | Cantidad |
| Corresponden a UC de línea | 59 |
| Corresponden a UC de línea, se ajusta el código, el reportado estaba asignado a otra UC | 1 |
| No se identificó un equipo con las funcionalidades de esta UC | 1 1 |
| Se reconoce una sola por SE | 1 |
| Se reconoce una sola por SE, el código reportado es igual al de otra UC | 7 |
| Se reconoce un tipo de enlace por SE | 5 |
| UC repetida | 1 |
| Total | 85 |
Las explicaciones en cada caso son:
- Corresponden a UC de línea: Son elementos de maniobra dentro de la subestación, que no están asociados a circuitos de distribución.
- Corresponden a UC de línea, se ajusta el código, el reportado estaba asignado a otra UC. Estos elementos fueron reasignados por la CREG a la UC equivalente de equipo de subestación.
- No se identificó un equipo con las funcionalidades de esta UC. Corresponde a Unidades de Adquisición de Datos. Esta funcionalidad está incorporada en varios elementos (relés) de la subestación.
- Se reconoce un sola por SE. Corresponde a los enlaces relés diferenciales de línea instalados en los enlaces al nivel 3 del sistema. Se necesita uno para cada enlace, no uno por subestación.
- Se reconoce una sola por SE, el código reportado es igual al de otra UC.
- Se reconoce un tipo de enlace por SE. Se refiere a los enlaces de comunicaciones, que en EMCALl son redundantes (fibra óptica y radiofrecuencia) para garantizar la operación remota de las subestaciones.
- UC repetida. La UC ya es reconocida.
Se solicita considerar las justificaciones y aclaraciones suministradas, para el reconocimiento requerido.
Análisis de la Comisión
En las tablas 66 y 70 de la Resolución CREG 015 de 2018, modificadas en la Resolución CREG 058 de 2018, se establecen las UC de la categoría de equipos de subestación y de la categoría de equipos de línea. Se entiende que las UC relacionadas en la tabla 70, que están asociadas con líneas, no pueden ser empleadas para reportar elementos pertenecientes a subestaciones.
Sobre el segundo punto, se aclara que el código ajustado por la CREG corresponde al IUA y no al código de la UC, ya que el IUA reportado por el OR ya estaba asignado a otra UC de la misma subestación.
En relación con las unidades de adquisición de datos, UAD, se solicitaron 9 para subestaciones puestas en operación en los años 2013 y 2014, y 2 para subestaciones puestas en operación en 2007. Se entiende que en las subestaciones puestas en operación en los últimos años las funciones de las antiguas UAD están incorporadas en los IED o relés de la subestación, tal como lo señala el OR en el recurso. Por lo anterior, se considera que estas funciones ya están incluidas en otros elementos de la subestación, y no se reconocen de manera independiente.
En relación con la UC sistema de teleprotección, se verificó la información reportada, y se ajusta el inventario reconocido incluyendo las UC solicitadas.
Finalmente, se aclara que la UC de enlace de comunicaciones por radio frecuencia no fue considerada, porque se reconoce un solo enlace de comunicaciones por subestación. En el caso de la subestación San Luis, se incluyó la UC enlace de fibra óptica.
Solicitud No. 5
1.4 formato10_CC
Los elementos no reconocidos corresponden a los componentes de la infraestructura de medición avanzada instalada en EMCALI, que además de permitir la gestión remota de los equipos de medida permite optimizar la gestión del SDL y dar cumplimiento a los nuevos requisitos en esta materia que demanda la UPME. EMCALI remitió toda la información técnica y contractual de estos componentes, a saber:
- Equipos de comunicaciones en la subestación.
- Hardware y software de gestión.
Dada la relevancia de este sistema, EMCALI repone y solicita el reconocimiento de los activos que sirven a todos los usuarios como unidad constructiva especial.
Análisis de la Comisión
Como se señaló en la respuesta de la solicitud No. 3, la inclusión de UC especiales aplica únicamente para los activos del plan de inversiones. Por lo cual, no se accede a la solicitud.
Solicitud No. 6
2. Objeción y solicitud de reconocimiento de Activos construidos en el período de transición 2018.
El registro de las unidades constructivas puestas en servicio en este período está contenido en el archivo Inventario reconocido INVA_2018 OR - EMCALI.xs.
AI igual que el numeral 1, se detallan las observaciones generales aplicables para cada caso particular, de manera consolidada. El reconocimiento de estos activos fue solicitado en comunicación con radicado CREG E-2019-005319, donde EMCALI manifestó su posición de seleccionar la opción a) para el reconocimiento de estos activos.
Subrayado fuera de texto.
Análisis de la Comisión
En primer lugar, se verificó que los activos que el OR reportó como puestos en operación durante el año 2018, fueron incluidos con base en la opción a. establecida en el artículo 6o de la Resolución CREG 015 de 2018, modificado por la Resolución CREG 085 de 2018.
Lo anterior se evidencia, tanto en el numeral 2.6.1 del documento CREG 015 de 2018, soporte de la Resolución CREG 028 de 2020, como en el parágrafo del artículo 3o de la Resolución CREG 028 de 2020.
Solicitud No. 7
2.1 formato7_UC_lineas
Todas las UC reportadas y propuestas fueron reconocidas, sin embargo, hay un grupo de 197 registros, que totalizan 6.7 km (de 976 registros, 22.65 km) a los que no fue posible asignar el código de la unidad constructiva.
En todos los casos se verificó que estos segmentos de red corresponden a la reposición de conductor desnudo por conductor semiaislado efectuados en el año 2018, por lo cual el código de la unidad constructiva equivalente para estos tramos es N2L52.
Subrayado fuera de texto.
Análisis de la Comisión
En el documento de soporte de la Resolución CREG 028 de 2020 se indica que el OR no asimiló las inversiones realizadas en el año 2018 a las UC correspondientes, es decir, a las del capítulo 14 de la Resolución CREG 015 de 2018. La Comisión realizó la asimilación con base en la información disponible en su momento, y no fue posible la asimilación de un listado de UC.
En el recurso de reposición, el OR indica que la UC correspondiente es la N2L52. Sin embargo, esta UC corresponde a las UC del capítulo 15 y no a las UC del capítulo 14, como deben ser reportadas.
Entendiendo que el conductor reemplazado es el mismo empleado en la UC N2L52, se realiza la asimilación correspondiente.
El conductor empleado para la UC N2L52 es ACSR No. 4/0 AWG semiaislado. Este corresponde al conductor de la UC N2L99 del capítulo 14, km de conductor (3 fases) semiaislado 4/0 AWG. Con base en lo anterior, los tramos solicitados se asimilan a la UC N2L99.
Como se señaló en el documento CREG 015 de 2020, el OR no reportó información de los activos fuera de operación durante el año 2018, por lo cual deberá incluirla en la información de activos fuera de operación para el ajuste de los ingresos del segundo año.
Solicitud No. 8
2.2 format08_UC_eq_linea
De los activos reportados en este formato, no se reconocen tres (3) elementos de 145 reportados, porque no tienen completa la información de georreferenciación. Con base en los datos consignados en el campo “Observaciones del OR” se realizó la consulta de estos datos, obteniendo las coordenadas geodésicas de cada punto:
| Unidad Constructiva | Observaciones | Latitud | Longitud |
| N2EQ35 | N2EQ35 Nodo 2425491-Cód. RC.36370 | ||
| N2EQ35 | N2EQ35 Nodo 6435092-Cód. RC.36289 | ||
| N2EQ35 | N2EQ35 Nodo 2494621-Cód. RC.36387 | ||
Análisis de la Comisión
Se verificó la información allegada con el recurso de reposición y no se identifica el diligenciamiento de la información geo-referenciada de estas UC en el archivo Inventario reconocido INVA_2018 OR – EMCALI, ni en el documento del recurso, tal como se observa en la tabla del numeral 2.2 de la solicitud. Por lo anterior, no se accede a la solicitud del OR.
Solicitud No. 9
3. Objeción y solicitud de reconocimiento y ajustes al Plan de inversiones
El plan de inversiones para el presente periodo tarifario está contenido en el archivo «Inventario reconocido INVA OR - EMCALI_Consolidado.xlsx>>. Siguiendo la misma metodología de los numerales anteriores, se presenta el análisis de cada hoja del archivo. Al igual que en los casos anteriores, se añadió una columna con la solicitud de EMCALI para cada caso particular y concreto, que a continuación se resume:
3.1 formato1_proyectoslnversion
Del total de proyectos presentados (66), en seis casos particulares se solicita realizar los siguientes ajustes:
| Código proyecto | Solicitud EMCALI |
| 25103032-21 | Reposición de algunos activos de media tensión en las subestaciones Chipichape y Diesel l, no requiere concepto UPME. |
| 25103032-22 | Reposición de algunos activos de media tensión en las subestaciones Termoyumbo y Puerto Tejada, no requiere concepto UPME |
| 25103042-22 | La fecha de entrada del proyecto es 2022. Se solicita ajustar la fecha de entrada en operación a 2022 |
| 25103042-23 | La fecha de entrada del proyecto es 2023. Se solicita ajustar la fecha de entrada en operación a 2023 |
| 25103042-24 | La fecha de entrada del proyecto es 2024. Se solicita ajustar la fecha de entrada en operación a 2024 |
Análisis de la Comisión
En relación con la solicitud de cambio del año de entrada en operación de los proyectos 25103042-22, 25103042-23 y 25103042-24, el OR señala que se incurrió en un error al indicar el año de entrada en operación. De acuerdo con el objeto del proyecto, su código y descripción (…)
Se observa que en el código de los proyectos de inversión reportados por el OR incluye, en los últimos caracteres, el año de entrada en operación. Se entiende que el proyecto con código 35103034-22 según la nomenclatura, está previsto para el año 2020. Se identificó que en el campo año de entrada en operación de los proyectos 25103042-22, 25103042-23 y 25103042-24, el OR reportó otro año.
Con base en lo anterior, se entiende que se presentó un error en el reporte del campo año de entrada en operación, por lo cual se ajusta el año de entrada en operación de estos proyectos.
Solicitud No. 10
3.2 format02__basicaSE
Se repone y solicita modificar los códigos de los proyectos para garantizar la correspondencia entre los códigos y los años planificados para la puesta en operación para 8 de las 14 subestaciones, como se indica en la siguiente tabla:
| Código proyecto | IUS | Solicitud EMCALI |
| 25103043-20 | 0009 | La subestación se interviene en 2022, código proyecto 25103043-22 |
| 25103043-20 | 0010 | La subestación se interviene en 2022, código proyecto 25103043-22 |
| 25103043-20 | 0012 | La subestación se interviene en 2022, código proyecto 25103043-22 |
| 25103043-20 | 0023 | La subestación se interviene en 2023, código proyecto 25103043-23 |
| 25103043-20 | 0026 | La subestación se interviene en 2022, código proyecto 25103043-22 |
| 25103043-22 | 0027 | La subestación se interviene en 2023, código proyecto 25103043-23 |
Análisis de la Comisión
El OR solicita que se modifique el año de entrada en operación de algunas inversiones según lo señalado en la tabla anterior.
En la solicitud de aprobación de ingresos, para el proyecto de inversión con código 25103043-20, el OR reportó como año de entrada el 2025, por lo cual las inversiones asociadas con este proyecto se incluyen en la variable INVA del año 2025.
De otra parte, se identificó que el OR no reportó el proyecto de inversión con código 25103043 22, por lo cual las UC asociadas que estén asociadas a dicho proyecto no pueden ser incluidas, al no contar con año de entada en operación.
Se entiende que la solicitud corresponde a una modificación al plan de inversiones, por lo cual se reitera que el recurso de reposición es una instancia de revisión y no de modificación de la información empleada en la actuación administrativa, por lo cual no se realizan modificaciones.
No obstante, se recuerda que en el numeral 6.6 de la Resolución CREG 015 de 2018 se establece la posibilidad de solicitar ajustes a los planes de inversiones cada dos años, por lo cual, la modificación que se solicita puede realizarse con base en los plazos y mecanismos previstos en la metodología.
Solicitud No. 11
3.3 formato3_basicaLineas
Se repone y solicita incluir ocho nuevos circuitos que serán construidos en el año 2022 en la subestación Nueva Ladera. (proyecto 25103043-22).
Análisis de la Comisión
Como se señaló en respuesta a la petición anterior, el recurso de reposición es una instancia de revisión y no de modificación de la información empleada en la actuación administrativa.
En el numeral 6.6 de la Resolución CREG 015 de 2018 se establece la posibilidad de solicitar ajustes a los planes de inversiones cada dos años, por lo cual, la modificación que se solicita puede realizarse con base en los plazos y mecanismos previstos en la metodología.
Solicitud No. 12
3.4 formato4_UC__transformadores
Se repone y solicita modificar los datos de las unidades constructivas para nueve de los 19 registros, porque el código asignado no corresponde con el tipo o con la potencia nominal del transformador proyectado:
| Código proyecto | IUS | Unidad Constructiva | Solicitud EMCALI |
| 35103039-20 | 0004 | N4T7 | La UC es N4T8 (entre 51 y 60 MVA) |
| 35103039-20 | 0004 | N4T7 | La UC es N4T8 (entre 51 y 60 MVA) |
| 35103039-20 | 0004 | N4T7 | La UC es N4T8 (entre 51 y 60 MVA) |
| 35103039-20 | 0005 | N4T7 | El transformador es de 58 MVA y la UC es N4T8 (entre 51 y 60 MVA), |
| 35103039-20 | 0005 | N4T7 | El transformador es de 58 MVA y la UC es N4T8 (entre 51 y 60 MVA), |
| 35103040-22 | 0009 | N4T17 | Son transformadores bidevanados, UC N4T8, 58 MVA |
| 35103040-22 | 0009 | N4T17 | Son transformadores bidevanados, UC N4T8, 58 MVA |
| 35103040-23 | 0023 | N4T17 | El transformador es bidevanado, UC es N4T7 |
| 35103040-23 | 0023 | N4T17 | El transformador es bidevanado, UC es N4T8 |
Análisis de la Comisión
El OR solicita modificar la UC de los transformadores de potencia de la siguiente manera:
a) Cambiar la UC de los transformadores de potencia, de la subestación con código 004 de N4T7 a N4T8. Son inversiones asociados al proyecto con código 35103039-20 con entrada en operación en el 2020.
b) Cambiar la UC de los transformadores de potencia de la subestación con código 005 de N4T7 a N4T8. Son inversiones asociados al proyecto con código 35103039-20 con entrada en operación en el 2020.
c) Cambiar la UC de los transformadores de potencia de la subestación con código 009 de N4T17 a N4T8. Son inversiones asociados al proyecto con código 35103040-22 con entrada en operación en el 2022.
d) Cambiar la UC de los transformadores de potencia de la subestación con código 023 de N4T17 a N4T8 y N4T8. Son inversiones asociados al proyecto con código 35103040-23 con entrada en operación en el 2023.
Para los transformadores de los literales a. y d. se verificó que la UC reportada y aprobada no corresponde con la capacidad y tipo de transformador reportada en la solicitud de ingresos, por lo cual se ajustan las UC correspondientes.
Para los transformadores de los literales b. y c. se verificó que la UC reportada y aprobada corresponde con la capacidad y tipo de transformador reportada en la solicitud de ingresos. Se entiende que la solicitud del recurso de reposición corresponde a una modificación del plan presentado, por lo cual, no se ajustan las UC correspondientes.
Solicitud No. 13
3.5 format06_UC_SE
Se repone y presentan las aclaraciones para 63 unidades no reconocidas de las 354 solicitadas, de acuerdo con el siguiente listado:
| Observación | UC | Cant. | Solicitud EMCALI |
| No se encuentra la UC solicitada, en el listado del capítulo 14 | N4S18 | 1 | Se repone y solicita el reconocimiento de esta UC. Fue aprobada por la UPME mediante Concepto UPME 20191520018091 |
| Para el dimensionamiento del módulo común sólo se tienen en cuenta bahías (o celdas para SE de tipo interior) que sean nuevas inversiones, a menos que se reporte la salida de operación | N2S64 | 13 | La interpretación de la CREG 015 es que se remunera por módulo y no por S/E. Se re one solicita a robar esta |
| del módulo común completo reconocido en la base inicial. | Inversión | ||
| Solo se admite una UC de módulo común por subestación y por año del plan de inversión, a la cual están asociadas todas las bahías (o celdas para las SE de tipo interior) que entran en operación durante ese año. | N2S64 | 12 | La interpretación de la CREG 015 es que se remunera por módulo y no por S/E. Se repone solicita reconocimiento de esta inversión |
| N3S34 | 1 | ||
| N3S35 | 13 | ||
| N4S43 | 1 | ||
| N4S61 | 1 | ||
| N4S64 | 4 | ||
| Solo se admite una UC de módulo común por subestación y por año del plan de inversión. Cuando existen bahías, las celdas no se cuentan para el dimensionamiento del módulo común. | N3S37 | 5 | La interpretación de la CREG 015 es que se remunera por módulo y no por S/E. Se repone solicita reconocimiento de esta inversión |
| UC especial repetida, se incluye en UC de centro de control | NOP14 | 12 | |
| Total | 63 | ||
Análisis de la Comisión
Se verificó que el OR reportó esta UC como parte del proyecto de inversión con código 35103039-20, el cual no está asociado con proyectos del STR en construcción, según lo definido en el literal h del artículo 4o de la Resolución CREG 015 de 2018. Por lo anterior, la UC no fue identificada en el listado del capítulo 14 de la misma resolución y, por tanto, no se incluyó en el inventario aprobado.
No obstante, se verificó que en el concepto 20191520018091 de la UPME, se encuentran aprobadas tres UC N4S15 y una N4S18 en la subestación Diesel. Por lo anterior, se asignan estas UC al código de proyecto 35103039-20-UPME, con lo cual se considera la condición de UC del STR en construcción.
El OR reportó 13 UC N2S64 en la subestación, asociadas al proyecto con código 35103040-22 correspondiente al año 2022.
En los archivos de soporte de la Resolución CREG 028 de 2020 se indica, para estas UC, lo siguiente: Para el dimensionamiento del módulo común sólo se tienen en cuenta bahías (o celdas para SE de tipo interior) que sean nuevas inversiones, a menos que se reporte la salida de operación del módulo común completo reconocido en la base inicial.
Las UC de módulo común del capítulo 15 de la resolución CREG 015 de 2018 están dimensionadas para la subestación completa. En ese sentido, se reconoce una sola UC de este tipo por subestación. De otra parte, las UC de módulo común del capítulo 14 se dimensionan por bahía, y para efectos de cálculo se incluye por nivel de tensión una sola UC de módulo común en el inventario, y su valor se multiplica por la cantidad de UC nuevas (bahías o celdas) de la subestación que tengan asociada UC de módulo común.
Con base en lo anterior, se revisaron las UC de módulo común N2S64 solicitadas y se incluye en el inventario una por subestación. No obstante, para el cálculo se suman las UC nuevas que tienen asociada la UC módulo común para su remuneración.
Solicitud No. 14
3.6 formato7_UC_lineas
Existen dos observaciones generales para 277 de los 2921 registros solicitados, de acuerdo con lo que se indica en la siguiente tabla:
| Observación | Cant. | Solicitud EMCALI |
| No cuenta con línea asociada | 31 | Se indica la línea para cada tramo |
| No se encuentra la UC solicitada | 246 | Se indica la UC correspondiente a cada tramo |
| Total general | 277 | |
Análisis de la Comisión
En relación con la primera solicitud, el OR reportó en el recurso de reposición la información del circuito correspondiente para 19 de las 31 Unidades constructivas que no contaban con dicha información. Con base en esta información adicional, se ajustó el IUL de las 19 UC y se incluyeron en el inventario reconocido.
El OR aclara que 204 UC no identificadas corresponden a la UC N2L136 - cable de guarda. Con base en lo anterior, se ajusta el formato para incluirlas en el inventario reconocido.
Las demás UC solicitadas en el formato 7 - unidades constructivas de línea, fueron reportadas con las siguientes características:
| UC | CANTIDAD | IUL ASOCIADA | NIVEL TENSIÓN LÍNEA | CÓDIGO PROYECTO | AÑO ENTRADA |
| N2EQUE1 | 17 | 2701 - 2702 2703 - 2716 | 13,2 | 35103040-22 35103040-23 | 2022 |
| UC ESPECIAL | 6.176 | 0603 | 115 | 35103040-20 | 2020 |
| UC ESPECIAL2 | 9 | 0603 | 115 | 35103040-20 | 2020 |
El OR señala que, mediante comunicación de EMCALI Consecutivo No. 1000237662020 de 28 de abril de 2020, se solicitó a la CREG, dentro de la Actuación Administrativa, modificar la Fecha de Entrada en operación del proyecto 25103040 para el año 2022.
Adicionalmente indica que:
Mediante comunicación de EMCALI Consecutivo número 1000629982018 del 11/09/2018 se solicitó a la CREG dentro de la Actuación Administrativa modificar la Fecha de Entrada en operación del proyecto 25103 la creación de una Unidad Constructiva Especial para la Caja de Maniobra Utilizada en las redes subterráneas del SDL EMCALI el cual por sus características técnicas de los circuitos subterráneos y por el nivel de cortocircuito se deben utilizar este tipo de Caja de Maniobras.
En relación con el primer punto, se indica que la solicitud de cambio de fecha de entrada en operación del proyecto 25103040, incluida en la comunicación del 28 de abril, fue posterior al 14 de marzo de 2020, fecha en la cual se aprobó la Resolución CREG 028 de 2020. Por lo cual, se considera una solicitud de cambio del plan de inversiones
Sobre las UC especiales de cajas de maniobra solicitadas se tiene lo siguiente:
a) En el formato 7 no se deben reportar UC de equipos de línea, ya que este formato corresponde a UC de línea. Los equipos de línea deben ser reportados en el formato 8 UC de equipos de línea.
b) El OR reporta 6.176 UC especiales con el nombre UC ESPECIAL, que según el OR, corresponden a cajas de maniobra. Dadas las características de estos elementos, la cantidad solicitada no parece consistente con la cantidad de redes subterráneas de la empresa y el valor solicitado por estas UC.
c) Las UC denominadas UC ESPECIAL Y UC ESPECIAL 2 del proyecto 35103040- 20 están asociadas a líneas que se encuentran reportadas a 115 kV, mientras que las UC solicitadas corresponden a cajas de maniobra de nivel de tensión 2.
Con base en lo anterior, las UC denominadas UC ESPECIAL y UC ESPECIAL 2 no se incluyen en el inventario reconocido, y las UC denominadas N2EQUE1 no se incluyen en el formato 7, pero se incluyen en el formato 8 con el código definido para la UC especial solicitada.
En la comunicación Solicitud de creación de unidad constructiva especial caja de maniobra CREG 015-2018 y CREG 085_2018, allegada en el recurso, el OR solicita la creación de la UC especial caja de maniobra, e indica que se adjuntan seis anexos incluyendo uno con el valor propuesto para la UC especial. No obstante, en la información recibida no se identifica el anexo con el valor propuesto para la UC especial.
Con base en la información reportada por el OR, se crean dos UC especiales de caja de maniobra de cuatro y seis vías para EMCALI. La información de estas UC se entrega en los archivos anexos a esta resolución.
Solicitud No. 15
3.7 format08 UC_eq_Iinea
Se presenta una observación general para 98 de los 1196 registros solicitados: no se identifica la UC solicitada. En todos los casos, la unidad solicitada es una Unidad Constructiva Especial (caja de maniobra). EMCALI suministró los soportes documentales solicitados por la CREG y en el numeral 1.2 se presentan los argumentos técnicos de la necesidad de las características de este equipo.
En el archivo Excel allegado en el recurso, el OR señala lo siguiente para las UC relacionadas en esta solicitud:
Mediante comunicación de EMCALI Consecutivo número 1000629982019 del 11/09/2018 el cual se adjunta EMCALI solicitó a la CREG la creación de una Unidad Constructiva Especial Caja de Maniobra y se suministró los soportes
Análisis de la Comisión
Sobre estas UC se verificó lo siguiente:
a) Se reportan 98 UC especiales con el nombre N2EQUE1, que según lo señalado por el OR en el recurso corresponden a cajas de maniobra.
b) Las UC solicitadas están asociadas a líneas que se encuentran reportadas a 115 kV, mientras que las UC solicitadas corresponden a cajas de maniobra de nivel de tensión 2.
c) Las UC están asociadas a proyectos que entraran en operación en los años 2022 y 2023, tal como se observa en la siguiente tabla:
| IUL | UC N2EQUE1 SOLICITADAS | NIVEL DE TENSIÓN LÍNEA | CÓDIGO PROYECTO | AÑO ENTRADA EN OPERACIÓN |
| 0303 | 2 | 115 | 35103034-22 | 2022 |
| 0602 | 6 | 115 | 35103034-23 | 2023 |
| 0603 | 13 | 115 | 35103034-23 | 2023 |
| 0604 | 15 | 115 | 35103034-23 | 2023 |
| 0605 | 21 | 115 | 35103034-23 | 2023 |
| 0611 | 9 | 115 | 35103034-23 | 2023 |
| 0612 | 6 | 115 | 35103034-23 | 2023 |
| 0613 | 9 | 115 | 35103034-23 | 2023 |
| 0614 | 17 | 115 | 35103034-23 | 2023 |
Con base en lo anterior, se identifica que el reporte del OR no contiene la información requerida, por lo cual, no se incluyen estas UC en el inventario aprobado.
Como se señaló anteriormente, la metodología contiene mecanismos para revisar y actualizar los planes de inversión cada dos años, por lo cual, las UC no aprobadas pueden ser solicitadas en dichas revisiones, cumpliendo con la información requerida.
Solicitud No. 16
format09 UC_equipos_SE
Existen tres observaciones generales para 61 de los 665 registros solicitados:
| Observación | Registros |
| No corresponde a UC de equipos de SE | 7 |
| No se encuentra la UC solicitada | 1 |
| UC STR en construcción - sin concepto UPME | 53 |
| Total general | 61 |
En el primer caso, se trata de unidades constructivas de subestación que deben ser incorporadas en el formato 6, UC de subestación.
En el caso de los activos que dependen del concepto UPME, los elementos no reconocidos corresponden a transformadores de potencial de las barras, equipos de calidad de la potencia de los transformadores de potencia y protecciones diferenciales de línea que no están siendo reconocidos en su totalidad. Estos elementos son requeridos para dar cumplimiento a las mismas exigencias regulatorias de monitoreo de calidad de la potencia y confiabilidad, por lo cual respetuosamente se repone y solicita la remuneración de estos elementos.
Análisis de la Comisión
Sobre el primer punto, se verificó que las UC no están reportadas de manera adecuada por el OR y, por tanto, se ajusta el reporte incluyendo las 7 UC en el formato 6 - UC de subestación - para su reconocimiento.
En relación con las UC no incluidas por no contar con el concepto de aprobación de la UPME, el OR aclaró en cuales conceptos de la UPME se incluyen 24 de las 53 UC, las cuales se incluyen en el inventario reconocido.
Solicitud No. 17
3.9 formato10_CC
El único elemento no reconocido corresponde al sistema GIS; que no tiene unidad constructiva definida para el mismo.
Análisis de la Comisión
El OR no reporta información adicional que permita identificar la UC correspondiente.
Solicitud No. 18
3.10 formato11_trafos_N1
Hay un total de 1194 de 1696 registros que no están siendo reconocidos porque la unidad constructiva no tenía asociado un circuito. Esta situación se subsana y por ello, se repone solicita el reconocimiento de estos elementos.
Análisis de la Comisión
En el recurso de reposición el OR reporta la información del IUL del circuito asociado para 1.180 transformadores de distribución que se encontraban sin esta información, por lo cual, se incluyen en el inventario reconocido.
Las demás UC no se incluyen al no contar con la información requerida.
Solicitud No. 19
3.1 1 formato12__redes_N1
Verificamos que 13 de 1495 elementos solicitados no fueron reconocidos porque no tenían asociado un circuito de distribución. Se subsanó esta condición y por tanto, se repone y solicita el reconocimiento de estos elementos.
Análisis de la Comisión
En el recurso de reposición el OR reporta la información del IUL del circuito asociado para 6 UC que se encontraban sin esta información, por lo cual, se incluyen en el inventario reconocido.
Las demás UC no se incluyen al no contar con la información requerida.
Solicitud No. 20
4. Solicitud de Ajuste a la fecha de entrada en operación de proyectos.
Mediante comunicación con Consecutivo número 1000237662020 de 28 de abril de 2020 EMCALI informó a la CREG la necesidad de modificación de la Fecha de Entrada en Operación de varios proyectos que no serían ejecutados en las fechas inicialmente previstas, porque varios de los desarrollos que hacen parte de estos proyectos y que dependen del desarrollo urbanístico de la ciudad, se han visto afectados por el cambio de gobierno municipal que ha llevado a la redefinición de prioridad de inversiones por la Alcaldía y otros se han retrasado por la situación de emergencia nacional por el COVID 19 que ha retrasado la puesta en marcha de contrataciones y permisos requeridos,,lo cual excede la voluntad y capacidad de gestión de la Empresa, A continuación, se presentarán las observaciones generales que aportamos sobre proyecto específicos: (…)
Subrayado fuera de texto.
Análisis de la Comisión
Al respecto le informamos que en el recurso de reposición se corrigen o se aclaran aspectos relacionados con la actuación administrativa, y no es una instancia para modificar la solicitud.
La Resolución CREG 028 de 2020 fue aprobada el 14 de marzo de 2020, por lo cual, se entiende que la solicitud de cambio de la fecha de entrada en operación de algunos de los proyectos del plan de inversión aprobado, que fue realizada el 28 de abril de 2020, corresponde a una modificación de la solicitud inicial, y no a una corrección o aclaración de la Resolución CREG 028 de 2020.
De otra parte, se señala que en el numeral 6.6 de la Resolución CREG 015 de 2018 se establece la posibilidad de solicitar ajustes a los planes de inversiones cada dos años, por lo cual, la modificación que se solicita puede realizarse con base en los plazos y mecanismos previstos en la metodología.
6.6 Ajuste de los planes de inversión
Los OR pueden solicitar la revisión de los planes de inversión cada dos años contados a partir del 1 de enero del primer año del plan de inversiones. Sin embargo, un OR podrá solicitar una primera revisión durante el primer año del plan de inversiones.
Los lineamientos para la realización de los ajustes al plan de inversión son los siguientes:
a) La solicitud de ajuste del plan deberá realizarse a más tardar en el mes de agosto del año previo al que se va a ajustar y deberá aplicar los criterios y lineamientos establecidos en el numeral 6.1 y contener lo solicitado en el numeral 6.3. Para la solicitud durante el primer año del plan, el plazo es hasta diciembre de ese año. (…)
Subrayado fuera de texto.
En relación con los criterios generales para la formulación y presentación del plan de inversiones la metodología establece lo siguiente:
6.1 Criterios de generales
Los criterios generales que el OR debe aplicar para la formulación y presentación del plan de inversión son los siguientes:
a) La identificación, evaluación de alternativas, valoración, priorización y ejecución de los proyectos de inversión es responsabilidad del OR.
b) En el plan de inversión se debe analizar, cuantificar y valorar las necesidades de los usuarios y del mercado de comercialización atendido por el OR. Así como las diferentes alternativas consideradas para la solución de las necesidades identificadas.
c) El horizonte de planeación del plan de inversión es de largo plazo (diez años) y los proyectos de inversión incluidos en la solicitud de remuneración deben corresponder a aquellos en un horizonte de ejecución de mediano plazo (cinco años).
d) Todos los proyectos incluidos en el plan deben permitir el cumplimiento de las metas propuestas por los OR en los horizontes de planeación señalados.
e) Las metas que se tracen los OR para la expansión, reposición, calidad del servicio y reducción y mantenimiento de los niveles de pérdidas deben ser alcanzables en el horizonte de tiempo del plan y deben corresponder con la situación actual y futura del mercado de comercialización.
f) Los planes deben ser flexibles y adaptables a la evolución del mercado de comercialización, además deben considerar los riesgos potenciales y las acciones para mitigarlos. (…)
Subrayado fuera de texto.
En el numeral 6.5 se definen los criterios generales para el seguimiento de los planes de inversión:
6.5 Seguimiento de los planes de inversión
El seguimiento de la ejecución del plan de inversión se realizará considerando como mínimo los siguientes lineamientos:
a) Anualmente el OR deberá presentar un informe sobre la ejecución del plan de inversión en el cual se presente el avance de cada uno de los proyectos y los ajustes realizados. El formato y contenido mínimo del informe serán definidos por la Comisión en circular aparte.
b. Los ajustes a los proyectos incluidos en el plan de inversión aprobado deben responder a la planeación de corto plazo adelantada por la empresa de acuerdo con lo establecido en la Resolución CREG 070 de 1998, o aquella que la modifique, complemento o sustituya. (…)
Subrayado fuera de texto.
Se entiende que los OR son los responsables de la priorización y ejecución de los proyectos de inversión, que los planes de inversión deben ser flexibles y adaptables a la evolución del mercado, y que deben considerar las acciones para mitigarlos. Los ajustes en la ejecución de los proyectos incluidos en el plan aprobado deben responder a la planeación de corto plazo adelantada por la empresa conforme a lo establecido en la Resolución CREG 070 de 1998.
En el numeral 3.1.1.2 se establece la fórmula para definir el valor de los activos puestos en operación en el sistema, considerando desviaciones en la ejecución respecto de los planes de inversión aprobados.
En el numeral 3.1.1.2.3 se define la fórmula para calcular el valor de las inversiones en activos puestos en operación, en la cual se incluyen únicamente las unidades constructivas que fueron puestas en operación, que en algunos casos pueden ser diferentes a las incluidas en el plan de inversiones aprobado, teniendo en cuenta los ajustes en la ejecución del plan por la planeación de corto plazo.
Con base en lo anterior, la Comisión considera que la metodología de la Resolución CREG 015 de 2018 deja en las empresas la responsabilidad de la planeación y ejecución de las inversiones, y permite incorporar en sus diferentes elementos desviaciones en la ejecución de las inversiones respecto a los valores aprobados en los planes de inversión.
Por lo anterior, no se modifica el año de entrada en operación de los proyectos del plan de inversión.
Solicitud No. 21
4.9 Proyecto Implementación Sistema de Gestión de Activos - Código 25103047-19 Mediante comunicación con Consecutivo número 1000251412020 de 8 de mayo de 2020 EMCALI solicitó a la CREG dar claridad respecto a la Unidad Constructiva Sistema de Gestión de Activos NOP56, para la cual se presenta un valor indicado como el promedio de los valores anuales, en este sentido amablemente solicitamos indicarnos si el valor presentado corresponde al valor total de la unidad constructiva o al valor anual.
Análisis de la Comisión
Se aclara que el valor aprobado en la Resolución CREG 028 de 2020 corresponde a la anualidad del valor total del proyecto, el cual, de acuerdo con lo reportado por el OR, se realizará en cuatro años. Por tanto, se incluye la UC especial, con el valor de la anualidad, durante cuatro años.
Solicitud No. 22
5. Solicitud de reconsideración y reconocimiento de Unidades Constructivas Especiales solicitadas.
5.1 Solicitud Creación Unidad Constructiva Especial Sistema de Gestión de Activos
- EI nombre de la unidad constructiva NOP56 Sistema de gestión de activos software, sugiere que solo se aprobaron recursos para software, sin embargo en el archivo “Inventario reconocido lNVA OR - EMCALI” en “formato1__proyectoslnversion” y en las líneas 61,62,63,64 se hace referencia a la implementación y al Software, adicionalmente en el “formato10_CC” en la observación CREG de las líneas 27,28,29,30 se especifica “Correspondiente al software”, ¿con esto se debe entender que solamente se reconocerán los gastos asociados al software y no a la implementación del Sistema?, favor aclarar y reconocer todo en forma integral porque no hay justificación para no hacerlo.
- En el “formato10_CC” en la observación CREG de las líneas 27,28,29,30 se especifica “Correspondiente al software, valor promedio de los 4 años solicitados”, se pide que se aclare si el valor aprobado seria $8,118,000,000 correspondiente al valor de la unidad constructiva, multiplicado por las 4 líneas aprobadas para la misma entendiendo que ellas se especifican que es un valor promedio.
Adicional a lo anterior respecto al plan de inversiones teniendo en cuenta la situación de emergencia nacional generada por el COVlD-19, fue necesario ajustar la línea base de implementación inicialmente planteada, por lo anterior se han generado cambios en los valores iniciales por vigencia; así las cosas, a continuación, se relacionan los valores que en el momento se tiene contemplados para la ejecución del proyecto. (…)
Análisis de la Comisión
En relación con los nuevos valores reportados, se entiende que corresponden a una modificación de la solicitud inicial, por lo cual no se accede a modificar la UC aprobada inicialmente.
Solicitud No. 23
5.2 Solicitud Creación Unidad Constructiva Especial Cajas de Maniobras
Mediante comunicación de EMCALI Consecutivo N° 1000629982019 del 11/09/2018 el cual se adjunta, EMCALI solicitó a la CREG la creación de una Unidad Constructiva Especial Caja de Maniobra y se suministró los soportes, nuevamente se entregan estos documentos para la creación de la UCE, lo anterior teniendo en cuenta que debido a las características técnicas de los circuitos de media tensión subterráneos del SDL EMCALl con altos niveles de cortocircuito se requieren estos equipo, además debe ser telecomandados debido a que son instalados para mejorar la calidad del servicio (Equipos de maniobra y realimentación entre circuitos). Los argumentos técnicos han sido expuestos en el numeral 1.2
Análisis de la Comisión
Como se señaló anteriormente, en la comunicación Solicitud de creación de unidad constructiva especial caja de maniobra CREG 015-2018 y CREG 085_2018, allegada en el recurso, el OR solicita la creación de la UC especial caja de maniobra, e indica que se adjuntan seis anexos incluyendo uno con el valor propuesto para la UC especial. No obstante, en la información recibida no se identifica el anexo con el valor propuesto para la UC especial.
Con base en la información reportada por el OR, se crean dos UC especiales de caja de maniobra de cuatro y seis vías para EMCALI. La información de estas UC se entrega en los archivos anexos a esta resolución.
Solicitud No. 24
5.3 Solicitud para Crear Unidad Constructiva Especial para el GIS
Mediante comunicación remitida por EMCALI a la CREG con Consecutivo N°. 1000122922020 del 27/02/2020 se solicitó la creación de la Unidad Constructiva Especial para el GIS.
De acuerdo con lo definido en la Resolución CREG-015-2018 numeral 14.1 (UC asociadas a subestaciones) literal v, en el cual se establece que los sistemas de información geográfica, GIS, deben ser solicitados como unidades constructivas especiales, comedidamente se repone y solicita la Creación de una Unidad Constructiva Especial para el GIS adquirido por EMCALI EICE ESP, mediante el contrato 200-OS-1812-2019 entre EMCALI EICE ESP y ESRI COLOMBIA S.A.S el cual se adjunta, el licenciamiento y la implementación de este Sistema de Información Geográfico GIS tuvo una inversión en este activo de S394 Millones de pesos moneda legal colombiana.
Análisis de la Comisión
En el literal v. del numeral 14.1 del anexo general de la Resolución CREG 015 de 2018 se establece lo siguiente:
v. Los sistemas de información geográfica, GIS, deben ser solicitados como unidades constructivas especiales siguiendo los lineamientos que para tal fin se establecen en este capítulo
Con base en lo anterior, la Comisión revisó la información suministrada por el OR, y se identifica que la información reportada en el contrato corresponde con la UC solicitada y se encuentra en pesos de 2019.
Se incluye la UC especial GIS de EMCALI. La información de esta UC se entrega en los archivos anexos a esta resolución.
Solicitud No. 25
5.4 Solicitud para Crear Unidad Constructiva Especial Trasformador de Distribución
Mediante comunicación a la CREG con Consecutivo N°. 1000122922020 del 27/02/2020 EMCALI solicitó la creación de la Unidad Constructiva Especial para los Trasformadores de Distribución.
Con base en la Resolución CREG-015-2018, se comedidamente se repone y solita la creación de las siguientes Unidades Constructivas para los dos (2) transformadores de distribución utilizados en el SDL de EMCALI y que no se encuentran en Resolución CREG 015-2018:
- Transformador Distribución Ocasionalmente Sumergible Trifásico 300 KVA, TC Incluido 3X800/5A, Cl 058, 5 VA, Devanados CU-CU
- Transformador Aéreo Trifásico Urbano de 300 KVA, TC incluidos 3X800/5 A, Cl 0,58, 5 VA. Devanados Al-AL
El soporte para la creación de estas dos Unidades Constructivas se encuentra en el Contrato anexo N° 500-CS-1147-2018 celebrado entre EMCALI EICE ESP e Industrias Electromecánicas MAGNETRON S.A.S.
Análisis de la Comisión
Mediante comunicación con radicado CREG E-2020-001898, el OR entregó un archivo Excel con la información de las dos UC especiales de transformadores de distribución solicitadas, transformador ocasionalmente sumergible de 300 kVA y transformador aéreo de 300 kVA. El OR define el costo de cada transformador a partir de un contrato de compra de cinco transformadores ocasionalmente sumergibles y un transformador aéreo de 300 kVA realizado en el 2018. En relación con el costo de instalación, el OR utiliza los valores de las UC N1T33 y N1T16 del capítulo 14 de la Resolución CREG 015 de 2018.
Se identificó que en el reporte del OR en el formato 11 del plan de inversiones no se incluyeron estas UC especiales, por lo cual, en caso de que se justificara la creación de estas UC, no sería posible incluirlas en la valoración del plan.
Como se señaló anteriormente, de acuerdo con lo definido en la Resolución CREG 015 de 2018, las UC especiales solamente aplican para los activos incluidos en el plan de inversiones.
Por lo anterior, no se considera la creación de estas dos unidades constructivas especiales para el mercado de EMCALI.
Solicitud No. 26
5.5 Solicitud Creación Unidad Constructiva Especial Cable Aluminio 750
Teniendo en cuenta el numeral 14.1 de la Resolución CREG-015-2018 correspondiente a las Unidades Constructivas para valoración de Activos Nuevos, en el cual se define que para los activos con características técnicas distintas a las de las UC establecidas, el OR podrá solicitar a la Comisión de Regulación de Energía y Gas CREG la creación de Unidad Constructiva Especial, comedidamente se repone y solicita crear una Unidad Constructiva Especial para las Cajas de Maniobras utilizadas por EMCALI en las redes de distribución de energía del nivel de tensión 2 del Sistema de Distribución Local, para lo cual se adjunta:
- Contrato Marco 500-CMA-1097-2018 entre EMCALI Y CABLES DE ENERGÍA Y DE TELECOMUNICACIONES S.A. CENTELSA (Se adjunta en medio magnético o digital).
- Términos de Referencia Condiciones Específicas de la Contratación de EMCALI - Contrato Marco, Competencia Abierta N°. 900-CA-051-2018. Archivo en pdf denominado “34012_CEC proceso”.
- Condiciones Generales de Contratación de EMCALl - “CGC”. Archivo en pdf denominado “34011_31428_CGC COMPLETA CON MANUAL VERSIÓN 3”.
- Orden de Compra CMA-1097-2018-500-OC-1731-2019, Archivo en pdf denominado “7373_57209__ORDEN DE COMPRA CMA-1097-2018-500- OC-1731-2019 PARTE 15”.
En el parágrafo tercero de esta orden de compra se establece que los precios de cobre y alambres contenidos en los formularios de ítems y preciso se revisaran cada tres (3) meses, con la finalidad de realizar reajustes a los precios iniciales teniendo en cuenta las variables de precio internacionales de cobre y aluminio y la tasa representativa del mercado TRM para el ajuste a los precios se aplica la siguiente formula: Pr = Po + Qx [(TRMf X LMEf) – (TRMo x LMEo)] (ver formula en condiciones Específicas de la contratación del proceso N°. 900-CA- 025-2018), los precios de los metales serán tomados de la página www.ime.com/metals/reports/averages y los valores de la TRM serán tomados de la página www.banrep.gov.co.
Pr. Precio reajustado
- Po: Precio inicial del ítem del formulario de ítems y precios
- Qx: Cantidad de metal contenido en el metro de alambre o cable del proveedor
- TRMf: Tasa representativa del mercado promedio del mes anterior al día del reajuste
- LMEf. Valor promedio (en dólares) del metal (cash mean) del mes anterior al día de reajuste.
- TRMo: Tasa representativa del mercado con el que se hizo el cálculo para el precio inicial. Se tomará la TRM del día de presentación de las ofertas.
- LMEo: Valor promedio (en dólares) del metal (Cash Mean) del mes anterior fecha límite de presentación de las ofertas.
El valor establecido en este contrato para el Cable Aluminio Monopolar 35 kV 750 KCMlL es de 856.752 por metro lineal sin incluir IVA (Ver Ítem 16 Tabla N°.1). (…)
Anexo en Excel con el valor total incluido material y mano de obra de la instalación del Cable Aluminio Monopolar 35 kV 750 KCMIL, los valores del montaje, interventoría, administración ejecutiva, inspección se toman del cable N2L135 AAAC aislado XLP o EPR, 15 kV- 750 Kcmil unidad constructiva.
Análisis de la Comisión
Se entiende que la solicitud corresponde a la creación de una UC de nivel de tensión 2 con las mismas características de la UC N2L135, modificando el conductor de 15 kV y 750 kcmil a uno de 35 kV y 750 kcmil.
En la tabla 14, UC de líneas de nivel de tensión 2, del anexo general de la resolución CREG 015 de 2018, se establece la UC N2L135, km de conductor (3 fases) AAAC aislado XLP o EPR, 15 kV- 750 kcmil, cuyo valor a pesos de diciembre de 2017 es de 260.711.000 pesos.
En la información entregada por el OR se valora la UC especial solicitada considerando el costo del cable de aluminio monopolar 35 kV y 750 KCML obtenido en un contrato de suministro reportado por el OR y los demás costos de instalación correspondientes a los de la UC N2L135.
De acuerdo con el archivo Excel entregado por el OR, la UC especial solicitada tiene un valor de 250.963.310 pesos de diciembre de 2007.
En el artículo 3o de la Resolución CREG 015 de 2018 se establece lo siguiente:
Artículo 3o Definiciones. Para la interpretación y aplicación de esta resolución, se tendrán en cuenta, además de las definiciones establecidas en las leyes 142 y 143 de 1994, en el Decreto 388 de 2007 y en las resoluciones vigentes de la CREG, las siguientes:
Unidad constructiva, UC: conjunto de elementos que conforman una unidad típica de un sistema eléctrico, destinada a la conexión de otros elementos de una red, al transporte o a la transformación de la energía eléctrica o a la supervisión o al control de la operación de activos de los STR o SDL.
Unidad constructiva especial: es aquella que contiene elementos con características técnicas que no la hace asimilable a las UC definidas.
Subrayado fuera de texto.
De lo anterior se aclara que las UC especiales deben ser solicitadas cuando no sea posible asimilar los elementos del sistema del OR a alguna de las unidades constructivas definidas en el capítulo 14.
En este caso, se entiende que los conductores a instalar pueden ser asimilados a la UC N2L35, ya que esta tiene características y valores similares a la UC especial solicitada. Por lo cual, no se evidencia la necesidad de crear una nueva UC.
Con base en la información aportada por el OR en el recurso de reposición y los análisis realizados por la Comisión, se ajusta el inventario aprobado del OR y, por tanto, se modifican algunas de las variables necesarias para calcular los ingresos y cargos asociados con la actividad de distribución de energía eléctrica para el mercado de comercialización atendido por Empresas Municipales de Cali E.I.C.E. E.S.P.
La información detallada de las modificaciones realizadas en el inventario de activos aprobado será entregada al OR.
La Comisión de Regulación de Energía y Gas, en su sesión 1030 del 22 de julio de 2020, acordó expedir esta resolución.
RESUELVE:
ARTÍCULO 1o. MODIFICAR EL ARTÍCULO 2 DE LA RESOLUCIÓN CREG 028 DE 2020. El artículo 2o de la Resolución CREG 028 de 2020 quedará así:
Artículo 2o. Artículo 2. Base regulatoria de activos eléctricos al inicio del período tarifario. La base regulatoria de activos eléctricos al inicio del período tarifario, BRAEj,n,0, es el siguiente:

ARTÍCULO 2o. MODIFICAR EL ARTÍCULO 3 DE LA RESOLUCIÓN CREG 028 DE 2020. El artículo 3o de la Resolución CREG 028 de 2020 quedará así:
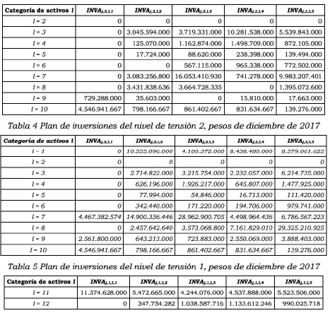
Artículo 3o. Inversión aprobada en el plan de inversiones. El valor de las inversiones aprobadas en el plan de inversiones, INVAj,n,l,t, para cada nivel de tensión, es el siguiente:


PARÁGRAFO: En aplicación de lo dispuesto en el artículo 6o de la Resolución CREG 015 de 2018 y el artículo 50 de la Resolución CREG 036 de 2019, el valor de los activos puestos en operación en el 2018, es el siguiente:

ARTÍCULO 3o. MODIFICAR EL ARTÍCULO 4 DE LA RESOLUCIÓN CREG 028 DE 2020. El artículo 4o de la Resolución CREG 028 de 2020 quedará así:
Artículo 4o. Recuperación de capital de activos de la BRA inicial. El valor de la recuperación de capital reconocida para los activos incluidos en la base regulatoria inicial de activos, RCBIAj,n,1, es el siguiente:

ARTÍCULO 4o. MODIFICAR EL ARTÍCULO 5 DE LA RESOLUCIÓN CREG 028 DE 2020. El artículo 5o de la Resolución CREG 028 de 2020 quedará así:
Artículo 5o. Recuperación de capital de activos nuevos. El valor de la recuperación de capital reconocida para los activos que entraron en operación en el primer año, RCNAj,n,1, es el siguiente:

ARTÍCULO 5o. MODIFICAR EL ARTÍCULO 6 DE LA RESOLUCIÓN CREG 028 DE 2020. El artículo 6o de la Resolución CREG 028 de 2020 quedará así:
Artículo 6o. Base regulatoria de terrenos. El valor de la base regulatoria de terrenos, BRTj,n,1, del año 1, para los niveles de tensión 4, 3 y 2, es el siguiente:

ARTÍCULO 6o. MODIFICAR EL ARTÍCULO 7 DE LA RESOLUCIÓN CREG 028 DE 2020. El artículo 7o de la Resolución CREG 028 de 2020 quedará así:
Artículo 7o. AOM base por nivel de tensión. El valor del AOM base para cada nivel de tensión, AOMbasej,n, es el siguiente:

ARTÍCULO 7o. MODIFICAR EL ARTÍCULO 15 DE LA RESOLUCIÓN CREG 028 DE 2020. El artículo 15 de la Resolución CREG 028 de 2020 quedará así:
Artículo 15. Costos de reposición de referencia. El costo de reposición de referencia, CRRj, y los costos de reposición de referencia por nivel de tensión, Crrj,n, son los siguientes:
Tabla 20 Costo de reposición de referencia
| Variable | Pesos de diciembre de 2017 |
| CRRj | 1.478.540.754.856 |
| Crrj,4 | 78.146.325.093 |
| Crrj,3 | 273.092.842.761 |
| Crrj,2 | 628.645.814.573 |
| Crrj,1 | 498.655.772.428 |
ARTÍCULO 8o. INCENTIVOS CALIDAD DEL SERVICIO. Los incentivos por el desempeño de la calidad del servicio, pendientes de aplicar a la fecha de entrada en vigencia de la presente resolución, se incluirán en el cargo por desempeño en la calidad del servicio, Dtcsn,j,m,t.
Con este objetivo, desde el mes de inicio de aplicación de esta resolución y durante doce meses, al resultado de la fórmula definida en el numeral 1.1.5 del anexo general de la Resolución CREG 015 de 2018, se le adicionará el valor que resulte de dividir entre 12 la suma de los Dtcsn,j,m,t correspondientes a los meses que transcurran entre el 31 de marzo de 2020 y el último día calendario del mes anterior al de inicio de aplicación de la presente resolución.
ARTÍCULO 9o. La presente Resolución deberá notificarse a Empresas Municipales de Cali E.I.C.E. E.S.P. y publicarse en el Diario Oficial. Contra lo dispuesto en este acto no procede recurso alguno, toda vez que se entienden agotados todos los recursos que por ley son obligatorios.
Notifíquese, publíquese y cúmplase.
Dada en Bogotá, D. C., a 22 de julio de 2020.
El Presidente,
Miguel Lotero Robledo.
Viceministro de Energía, Delegado del Ministro de Minas y Energía.
El Director Ejecutivo,
Jorge Alberto Valencia Marín.