RESOLUCIÓN 76 DE 2013
(julio 5)
Diario Oficial No. 48.877 de 9 de agosto de 2013
COMISIÓN DE REGULACIÓN DE ENERGÍA Y GAS
Por la cual se aprueba el Cargo Promedio de Distribución por uso del Sistema de Distribución y el Cargo Máximo Base de Comercialización de gas combustible por redes de tubería a usuarios regulados, para el mercado relevante conformado por los municipios de Valle de San José y Pinchote, ubicados en el departamento de Santander, según solicitud tarifaria presentada por Metrogas de Colombia S.A. E.S.P.
LA COMISIÓN DE REGULACIÓN DE ENERGÍA Y GAS,
en ejercicio de sus atribuciones constitucionales y legales, en especial las conferidas por la Ley 142 de 1994, y en desarrollo de los Decretos números 1524 y 2253 de 1994.
CONSIDERANDO QUE:
El numeral 14.28 del artículo 14 de la Ley 142 de 1994, definió el servicio público domiciliario de gas combustible como el conjunto de actividades ordenadas a la distribución de gas combustible y estableció la actividad de comercialización como complementaria del servicio público domiciliario de gas combustible.
Según lo dispuesto por el artículo 28 de la Ley 142 de 1994, la construcción y operación de redes para el transporte de gas, así como el señalamiento de las tarifas por uso, se regirán exclusivamente por esa ley.
El numeral 73.11 del artículo 73 de la Ley 142 de 1994, atribuyó a la Comisión de Regulación de Energía y Gas, la competencia para establecer las fórmulas para la fijación de las tarifas del servicio público domiciliario de gas combustible.
Según lo dispuesto por el numeral 88.1 del artículo 88 de la Ley 142 de 1994, la Comisión de Regulación de Energía y Gas podrá establecer topes máximos y mínimos tarifarios, de obligatorio cumplimiento por parte de las empresas.
El artículo 126 de la Ley 142 de 1994, establece que vencido el período de vigencia de las fórmulas tarifarias estas continuarán rigiendo mientras la Comisión no fije las nuevas.
Mediante las Resoluciones CREG-045 de 2002 y CREG-069 de 2006 se estableció la metodología de cálculo y ajuste para la determinación de la tasa de retorno que se utilizará en las fórmulas tarifarias de la actividad de distribución de gas combustible por redes para el próximo período.
Mediante Resolución CREG-011 de 2003 se adoptó la metodología y criterios generales para determinar la remuneración de las actividades de distribución y comercialización de gas combustible y las fórmulas generales para la prestación del servicio público domiciliario de distribución de gas combustible por redes de tubería.
Mediante Documento CREG-009 de 2004, se definieron los criterios para establecer los gastos eficientes de AOM para las actividades de distribución y comercialización, el factor de eficiencia en redes, así como los gastos eficientes de AOM para el control y monitoreo de los estándares de calidad definidos mediante Resolución CREG-100 de 2003.
Metrogas de Colombia S.A. E.S.P., mediante comunicaciones con radicación CREG números E-2012-004202 de fecha 11 de mayo de 2012, E-2012-004301 de fecha 15 de mayo de 2012, E-2012-004457 de fecha 18 de mayo de 2012 y E-2012-004525 de fecha 18 de mayo de 2012 formuló una solicitud para la aprobación de cargos de distribución y comercialización para el mercado relevante conformado por los municipios de San Gil, Curití, Aratoca, Los Santos, Jordán y Pinchote, en el departamento de Santander.
Dado que la regulación aprueba cargos por mercado relevante (municipio o grupo de municipios), la Comisión mediante comunicados S-2012-002065 de fecha 15 de mayo de 2012 y S-2012-002270 de junio 6 de 2012, informó a la empresa Metrogas de Colombia S.A. E.S.P., que los municipios de San Gil y Curití en el departamento de Santander ya tienen aprobados cargos de distribución y comercialización de gas mediante Resoluciones CREG 022 de 2007 y 096 de 2009, respectivamente, para tenerlo en cuenta en la determinación del mercado relevante propuesto en la solicitud.
En respuesta a lo anterior, Metrogas de Colombia S.A. E.S.P. mediante comunicaciones con radicación CREG número E-2012-005261 de fecha 12 de junio de 2012 y E-2012-005402 de fecha 13 de junio de 2012 formuló una solicitud para la aprobación de cargos de distribución y comercialización para el mercado relevante conformado por los municipios de Aratoca, Los Santos, Jordán, Valle de San José y Pinchote, en el departamento de Santander.
Mediante Auto de fecha 6 de julio de 2012, la Comisión dio inicio a una actuación administrativa con el objeto de decidir la solicitud para la aprobación de los cargos de distribución y comercialización de gas combustible por redes de tubería para el mercado conformado por los municipios de Aratoca, Los Santos, Jordán, Valle de San José y Pinchote, en el departamento de Santander, según la solicitud presentada por la empresa Metrogas de Colombia S.A. E.S.P.
Metrogas de Colombia S.A. E.S.P., mediante comunicación con radicado CREG E-2012-011255 del 27 de noviembre de 2012, solicitó a la Comisión el ajuste de la solicitud tarifaria en los siguientes términos:
“(…)
De manera atenta y respetuosa les solicitamos se realice un ajuste a la solicitud tarifaria con Expediente E-2012-004202, atendiendo la variación de las condiciones del mercado, las cuales obligan a reducir el número de municipios incluidos en la solicitud de la referencia, por lo cual se presenta para aprobación el nuevo Cargo Promedio de Distribución de gas natural por redes y del Cargo Máximo Base de Comercialización, para el mercado relevante comprendido por los Municipios de Valle de San José y Pinchote, en el departamento de Santander, de conformidad con la metodología establecida en la Resolución CREG 011 de 2003.
Con fundamento en lo anterior, Metrogas de Colombia S.A. E.S.P, realiza las siguientes peticiones:
Primera. Aprobar como mercado relevante los municipios de Valle de San José y Pinchote, en el departamento de Santander.
(…)”.
La Empresa, mediante la comunicación en cita reportó a la CREG las proyecciones de demanda, las proyecciones de gastos de AOM de distribución y el programa de nuevas inversiones, clasificadas según el listado de unidades constructivas establecido en el Anexo número 1 de la Resolución CREG 011 de 2003.
La Dirección Ejecutiva de la Comisión, mediante auto proferido el día 20 de febrero de 2013, dispuso iniciar la respectiva actuación administrativa con fundamento en la solicitud presentada por Metrogas de Colombia S.A., E.S.P. para la aprobación de cargos de distribución y comercialización de gas combustible por redes de tubería para el mercado relevante conformado por los municipios de Valle de San José y Pinchote, en el departamento de Santander.
La Comisión para los efectos del artículo 37 del Código de Procedimiento Administrativo y de lo Contencioso Administrativo publicó en la página web de la CREG y en el Diario Oficial número 48.715 del 25 de febrero de 2013, el Aviso número 011 en el cual hace saber de la solicitud presentada por Metrogas de Colombia S.A. E.S.P., para la aprobación de cargos de distribución y comercialización de gas natural por redes para el mercado relevante conformado por los municipios de Valle de San José y Pinchote, en el departamento de Santander, a fin de que los terceros interesados puedan hacerse parte en la respectiva actuación.
La Unidad de Planeación Minero-Energética (UPME), en comunicación con radicado interno CREG- E-2013-003865 de fecha 6 de mayo de 2013, aprobó la metodología utilizada para las proyecciones de demanda del mercado que va a atender la empresa Metrogas de Colombia S.A. E.S.P., de conformidad con lo establecido en el numeral 7.5 del artículo 7o de la Resolución CREG-011 de 2003.
Como resultado del análisis de la información presentadas a la Comisión por Metrogas de Colombia S.A. E.S.P., mediante radicado E-2012-011255 de noviembre 27 de 2012 se realizaron los ajustes pertinentes a la información requerida para el cálculo de los Cargos de que tratan los artículos 7o y 23 de la Resolución CREG 011 de 2003, según se relacionan, con su respectivo sustento, en el documento soporte de la presente Resolución.
La Comisión de Regulación de Energía y Gas efectuó los cálculos tarifarios correspondientes, a partir de la metodología establecida en la Resolución CREG-011 de 2003 y demás información disponible en la Comisión, los cuales se presentan en el Documento CREG-052 de 2013.
Conforme al Decreto número 2897 de 2010, expedido por el Ministerio de Comercio, Industria y Turismo y la Resolución número 44649 de 2010, expedida por la Superintendencia de Industria y Comercio, la Comisión de Regulación de Energía y Gas dio respuesta al cuestionario adoptado por esta última entidad para la evaluación de la incidencia sobre la libre competencia del presente acto administrativo, el cual se encuentra en el Documento CREG-052 de 2013.
Teniendo en cuenta la respuesta al cuestionario, y dado que la presente Resolución contiene un desarrollo y aplicación de la metodología y criterios generales para determinar la remuneración de las actividades de distribución y comercialización de gas combustible y de las fórmulas generales para la prestación del servicio público domiciliario de distribución de gas combustible por redes de tubería, adoptados mediante Resolución CREG 011 de 2003, el presente acto administrativo de carácter particular no requiere ser remitido a la SIC para los efectos establecidos en el artículo 7o de la Ley 1340 de 2009, reglamentado por el Decreto número 2897 de 2010, por no tener incidencia sobre la libre competencia.
La Comisión de Regulación de Energía y Gas, en su sesión número 564, llevada a cabo el 5 de julio de 2013, aprobó el Cargo Promedio de Distribución por uso del Sistema de Distribución y el Cargo Máximo Base de Comercialización de gas combustible por redes de tubería a usuarios regulados, para el mercado relevante conformado por los municipios de Valle de San José y Pinchote, en el departamento de Santander, según solicitud tarifaria presentada por Metrogas de Colombia S.A. E.S.P.
RESUELVE:
ARTÍCULO 1o. MERCADOS RELEVANTES DE DISTRIBUCIÓN Y COMERCIALIZACIÓN. <Ver resoluciones que modifican esta resolución en Resumen de Notas de Vigencia> Para efectos de aplicación de esta Resolución, el mercado relevante de distribución y comercialización está conformado por los municipios de Valle de San José y Pinchote, en el departamento de Santander.
ARTÍCULO 2o. INVERSIÓN BASE. <Ver resoluciones que modifican esta resolución en Resumen de Notas de Vigencia> La Inversión Base para determinar el cargo promedio de distribución para el Mercado Relevante definido en el artículo 1o de esta Resolución se compone como se indica a continuación:
2.1. Inversión Existente. Como inversión existente no se reconoce monto alguno, por tratarse de un mercado nuevo, de conformidad con la información presentada por la Empresa.
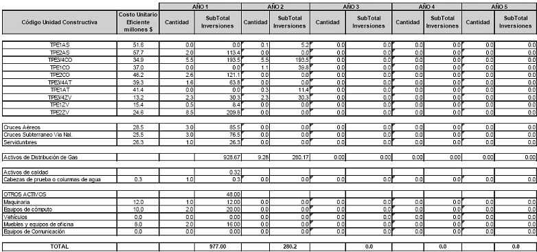
2.2. Programa de Nuevas Inversiones. Para el Programa de Nuevas Inversiones se reconocen los siguientes valores, con la descripción presentada en el Anexo 1 de la presente resolución:
| Descripción | Año 1 | Año 2 | Año 3 | Año 4 | Año 5 |
| Activos de distribución de gas | 928,670,869 | 280,173,889 | - | - | - |
| Activos de calidad | 324,406 | - | - | - | - |
| Otros activos | 48,000,000 | - | - | - | - |
| Total | 976,995,275 | 280,173,889 | - | - | - |
Cifras en pesos del 31 de diciembre de 2011.
PARÁGRAFO. Las desviaciones que se presenten en el Programa de Nuevas Inversiones serán consideradas de conformidad con lo establecido en el literal b) del numeral 7.1 del artículo 7o de la Resolución CREG-011 de 2003.
ARTÍCULO 3o. DEMANDAS ESPERADAS DE VOLUMEN. <Ver resoluciones que modifican esta resolución en Resumen de Notas de Vigencia> Para el cálculo tarifario se utilizó la Demanda de Volumen para el horizonte de proyección presentada en el Anexo 2 de esta resolución.
ARTÍCULO 4o. GASTOS DE ADMINISTRACIÓN, OPERACIÓN Y MANTENIMIENTO (AOM). <Ver resoluciones que modifican esta resolución en Resumen de Notas de Vigencia> El nivel de eficiencia obtenido del modelo de optimización es del 69,16%. Aplicando este resultado al valor presente de los gastos de AOM propuestos para el Horizonte de Proyección, se obtiene el siguiente valor para incorporar al cálculo del cargo que remunera los gastos de AOM:
| Componente | $ del 31 de diciembre de 2011 |
| Valor presente de los gastos de AOM, con nivel de eficiencia. | $237.507.860 |
En el Anexo 3 se presentan los gastos de AOM para el Horizonte de Proyección.
ARTÍCULO 5o. CARGO PROMEDIO DE DISTRIBUCIÓN. <Ver resoluciones que modifican esta resolución en Resumen de Notas de Vigencia> A partir de la vigencia de la presente Resolución, el cargo promedio de distribución aplicable en el Mercado Relevante definido en el artículo 1o, para recuperar los costos de inversión y los gastos de AOM para la distribución domiciliaria de gas combustible por red se fija en 754,54 $/m3 ($ del 31 de diciembre de 2011), desagregados de la siguiente manera:
| Componente | $/m3 |
| Cargo de distribución. | 754,54 |
| -- Componente de inversión Metrogas S.A. E.S.P. | 620,94 |
| -- Componente Gastos AOM | 133,60 |
Nota: Cifras en pesos del 31 de diciembre de 2011.
PARÁGRAFO 1o. El cargo piso aplicable en el Mercado Relevante del artículo 1o se fija en $309,59/m3, expresado en pesos del 31 de diciembre de 2011.
PARÁGRAFO 2o. Estos Cargos de Distribución se actualizarán de conformidad con lo establecido en el numeral 7.8 del artículo 7o de la Resolución CREG-011 de 2003.
ARTÍCULO 6o. CARGO MÁXIMO BASE DE COMERCIALIZACIÓN. <Ver resoluciones que modifican esta resolución en Resumen de Notas de Vigencia> A partir de la vigencia de la presente Resolución, el cargo máximo base de comercialización aplicable en el Mercado Relevante de que trata el artículo 1o de la presente Resolución, es el siguiente:
| Cargo de Comercialización ($/ factura) | $2.870,48 |
Nota: Cifras en pesos del 31 de diciembre de 2011, las comas indican decimales.
PARÁGRAFO. El Cargo de Comercialización se actualizará de conformidad con lo establecido en el artículo 24 de la Resolución CREG-011 de 2003.
ARTÍCULO 7o. FÓRMULA TARIFARIA. <Ver resoluciones que modifican esta resolución en Resumen de Notas de Vigencia> La Fórmula Tarifaria aplicable al mercado relevante definido en el artículo 1o de la presente resolución corresponderá a la establecida en el artículo 32 de la Resolución CREG 011 de 2003.
ARTÍCULO 8o. VIGENCIA DE LA FÓRMULA TARIFARIA, DEL CARGO PROMEDIO DE DISTRIBUCIÓN Y DEL CARGO MÁXIMO BASE DE COMERCIALIZACIÓN. <Ver resoluciones que modifican esta resolución en Resumen de Notas de Vigencia> La fórmula tarifaria, incluido el Cargo Promedio de Distribución y el Cargo Máximo Base de Comercialización que se establecen en esta Resolución, regirán a partir de la fecha en que la presente Resolución quede en firme y durante el término de vigencia de las fórmulas tarifarias definidas en la Resolución CREG-011 de 2003. Vencido este período las fórmulas tarifarias continuarán rigiendo mientras la Comisión no fije las nuevas, tal como está previsto en el artículo 126 de la Ley 142 de 1994.
ARTÍCULO 9o. <Ver resoluciones que modifican esta resolución en Resumen de Notas de Vigencia> La presente resolución deberá notificarse al representante legal de Metrogas de Colombia S.A. E.S.P., y publicarse en el Diario Oficial. Contra las disposiciones contenidas en esta Resolución procede el Recurso de Reposición, el cual podrá interponerse ante la Dirección Ejecutiva de la CREG, dentro de los cinco (5) días hábiles siguientes a la fecha de su notificación.
Notifíquese, publíquese y cúmplase.
Dada en Bogotá, D. C., a julio de 5 de 2013.
El Presidente,
FEDERICO RENGIFO VÉLEZ,
Ministro de Minas y Energía.
El Director Ejecutivo,
GERMÁN CASTRO FERREIRA.
PROGRAMA DE NUEVAS INVERSIONES.

(Valores expresados en millones de pesos del 31 de diciembre de 2011).
El Presidente,
FEDERICO RENGIFO VÉLEZ,
Ministro de Minas y Energía.
El Director Ejecutivo,
GERMÁN CASTRO FERREIRA.
PROYECCIONES DE USUARIOS Y DEMANDA.
| AÑO | NÚMERO DE USUARIOS | CONSUMO (m3) |
| 1 | 389 | 107.340 |
| 2 | 581 | 158.052 |
| 3 | 679 | 185.076 |
| 4 | 776 | 211.848 |
| 5 | 873 | 238.620 |
| 6 | 970 | 265.392 |
| 7 | 978 | 267.408 |
| 8 | 986 | 269.424 |
| 9 | 994 | 271.440 |
| 10 | 1.002 | 273.456 |
| 11 | 1.010 | 275.472 |
| 12 | 1.018 | 277.488 |
| 13 | 1.027 | 279.756 |
| 14 | 1.036 | 282.024 |
| 15 | 1.045 | 284.292 |
| 16 | 1.054 | 286.560 |
| 17 | 1.063 | 288.828 |
| 18 | 1.072 | 291.096 |
| 19 | 1.082 | 293.616 |
| 20 | 1.092 | 296.136 |
El Presidente,
FEDERICO RENGIFO VÉLEZ,
Ministro de Minas y Energía.
El Director Ejecutivo,
GERMÁN CASTRO FERREIRA.
PROYECCIÓN DE GASTOS AOM-ADMINISTRACIÓN, OPERACIÓN Y MANTENIMIENTO.
| AÑO | GASTOS AOM ($ Dic 2011) |
| 1 | 23.344.831 |
| 2 | 31.353.891 |
| 3 | 31.353.891 |
| 4 | 31.353.891 |
| 5 | 31.353.891 |
| 6 | 31.353.891 |
| 7 | 31.353.891 |
| 8 | 31.353.891 |
| 9 | 31.353.891 |
| 10 | 31.353.891 |
| 11 | 31.353.891 |
| 12 | 31.353.891 |
| 13 | 31.353.891 |
| 14 | 31.353.891 |
| 15 | 31.353.891 |
| 16 | 31.353.891 |
| 17 | 31.353.891 |
| 18 | 31.353.891 |
| 19 | 31.353.891 |
| 20 | 31.353.891 |
| VPN (11,31%) | 237.507.860 |
El Presidente,
FEDERICO RENGIFO VÉLEZ,
Ministro de Minas y Energía.
El Director Ejecutivo,
GERMÁN CASTRO FERREIRA.