RESOLUCIÓN 73 DE 2003
(agosto 28)
Diario Oficial No. 45.301 de 5 de septiembre de 2003
COMISIÓN DE REGULACIÓN DE ENERGÍA Y GAS
Por la cual se aprueban los cargos máximos de los niveles de tensión 3, 2 y 1, del Sistema de Distribución Local (SDL) operados por Ruitoque S. A. ESP.
LA COMISIÓN DE REGULACIÓN DE ENERGÍA Y GAS,
en ejercicio de sus atribuciones constitucionales y legales, en especial las conferidas por las Leyes 142 y 143 de 1994, y en desarrollo de los Decretos 1524 y 2253 de 1994,
CONSIDERANDO:
Que de acuerdo con lo previsto en el artículo 23, lit eral d), y 41 de la Ley 143 de 1994, es función de la Comisión de Regulación de Energía y Gas fijar las tarifas por el acceso y uso de las redes eléctricas;
Que mediante la Resolución CREG-082 de 2002, la Comisión aprobó los principios generales y la metodología para el establecimiento de los cargos por uso de los Sistemas de Transmisión Regional y de Distribución Local;
Que Ruitoque S. A. ESP mediante comunicación escrita recibida radicado CREG 011911 del 30 de diciembre de 2002, informa que someterá a aprobación de la Comisión el estudio de cargos por uso de distribución del Sistema de Distribución Local que opera, el día 9 de enero de 2003;
Que Ruitoque S. A. ESP mediante comunicación escrita recibida radicado CREG 000228 del 13 de enero de 2003, sometió a aprobación de la Comisión los cargos máximos de los niveles de tensión 3, 2 y 1, correspondientes al Sistema de Distribución Local que opera;
Que Ruitoque S. A. ESP, en cumplimiento de las Circulares CREG números 019, 025, 027, 029, 038 de 2002, reportó a la CREG los inventarios de activos eléctricos del STR y SDL que opera, clasificados según el listado de unidades constructivas que aparece en el Anexo No. 3 de la Resolución CREG 082 de 2002;
Que Ruitoque S. A. ESP en cumplimiento de lo dispuesto en el parágrafo 2o del artículo 13 de la Resolución CREG-082 de 2002, publicó en un diario de amplia circulación, el resumen del estudio de cargos que presentó a la Comisión con la información mínima señalada en el Anexo número 6 de dicha resolución, con el fin de que los terceros interesados pudieran presentar ante la Comisión observaciones sobre tal información, y envió a la Comisión copia del aviso de prensa respectivo;
Que se analizó la información presentada por Ruitoque S. A. ESP, conjuntamente con la información adicional disponible en la CREG sobre los activos de STR y del SDL que opera, y se solicitaron las aclaraciones pertinentes;
Que en cumplimiento de lo dispuesto en el Anexo número 5 de la Resolución CREG 082 de 2002, la Comisión, a través de la firma Sistemas 2000 Ltda., verificó la calidad de la información reportada por la empresa Ruitoque S. A. ESP, siguiendo la metodología contenida en el citado anexo;
Que mediante comunicación CREG 001355 del 12 de febrero de 2003 la firma Sistemas 2000 Ltda. presentó a la Comisión el informe de verificación de la calidad de la información reportada por la empresa Ruitoque S. A. ESP, el cual fue trasladado a este Operador de Red, con el objeto de que se pronunciara en relación con las diferencias de información que dicho informe manifestaba;
Que una vez revisado el informe de verificación de la calidad de la información, por parte de la CREG, se encontró necesario solicitar a la firma Sistemas 2000 Ltda. aclaración de la información presentada en su informe;
Que mediante comunicación CREG 002047 del 3 de marzo de 2003, la firma Sistemas 2000 Ltda. presentó a la Comisión respuesta a las aclaraciones solicitadas, las cuales fueron trasladadas al Operador de Red Ruitoque S. A. ESP, con el objeto de que se pronunciara sobre las mismas;
Que Ruitoque S. A. ESP mediante comunicaciones escritas radicados CREG 003114 del 28 de marzo de 2003 y E-2003-004991 del 19 de mayo de 2003, presentó respuesta a las aclaraciones solicitadas por la Comisión y se pronunció en relación con el informe de verificación de la calidad de información; información que se anexa al documento soporte de la presente resolución;
Que como resultado del análisis definitivo de la información y respuestas presentadas a la comisión por Ruitoque S. A. ESP, se realizaron ajustes pertinentes a los inventarios reportados, así como a la información adicional requerida para el cálculo de los cargos máximos de que trata el artículo 5o de la Resolución CREG 082 de 2002; según se relacionan, con su respectivo sustento, en el documento soporte a la presente resolución;
Que para efectuar los cálculos del PDR y PDU de que trata el anexo 7 de la Resolución CREG 082 de 2002, se debe tener en cuenta que para determinar la clasificación de los circuitos rurales, la Resolución CREG 089 de 1999 establece:
"GRUPO 4, Circuitos ubicados en Suelo que no corresponde al área urbana del respectivo municipio o distrito";
Que dado que las unidades constructivas del sistema de Ruitoque S. A. ESP son en su mayoría urbanas a pesar que en la información reportada para calidad aparece como rural, esto es, perteneciente al Grupo 4, fue necesario indagar tanto al municipio de Floridablanca como al de Piedecuesta en los cuales se ubican los activos del OR, acerca de la clasificación del suelo;
Que mediante comunicación radicada en la CREG bajo el número E-2003-006563 la alcaldía de Floridablanca informó que el condominio Ruitoque, en lo que corresponde a su jurisdicción, está clasificado como zona Suburbana. De igual forma mediante comunicación radicada en la CREG bajo el número E-2003-007791, la Secretaría de Planeación del municipio de Piedecuesta informó que en lo correspondiente a su jurisdicción, el condominio Ruitoque fue clasificado como "Zona Rural Suburbana de Desarrollo Vial Eje Floridablanca - Piedecuesta";
Que la Ley 388 de 1997 establece en su Capítulo IV Clasificación del suelo en el artículo 34 la definición del suelo suburbano así:
"Constituyen esta categoría las áreas ubicadas dentro del suelo rural, en las que se mezclan los usos del suelo y las formas de vida del campo y la ciudad (...)";
Que aplicada la metodología contenida en la Resolución CREG 082 de 2002 se calcularon para el sistema operado por Ruitoque S. A. ESP, las siguientes variables principales:
a) Costo anual para remunerar los activos de los Niveles de Tensión 3 y 2, sin aplicar los criterios de eficiencia de que trata el Anexo No 8 de la Resolución CREG 082 de 2002:
COSTOS ANUALES EQUIVALENTES Pesos de diciembre de 2001
Activos de uso del Nivel 3 - CAAEj,3 28.276.705
Activos de Uso del Nivel 2 (Líneas Rurales) - CARj,2 216.133.671
Activos de Uso del Nivel 2 (Diferentes a Líneas Rurales y Urbanas) -CAOj,2 74.762.615
b) Costo anual para remunerar los activos de los Niveles de Tensión 3 y 2, aplicando los criterios de eficiencia de que trata el Anexo número 8 de la Resolución CREG 082 de 2002 y los aprobados mediante Resolución CREG 030 de 2003:
COSTOS ANUALES EQUIVALENTES Pesos de diciembre de 2001
Activos de uso del Nivel 3 - CAAEj,3 28.276.705
Activos de Uso del Nivel 2 (Líneas Rurales) - CARj,2 151.974.514
Activos de Uso del Nivel 2 (Diferentes a Líneas Rurales y Urbanas) -CAOj,2 26.308.073
c) Los niveles de pérdidas en cada Nivel de Tensión que se reconocen en cada año del período tarifario:
Factor (%) 2003 2004 2005 2006 2007
NIVEL 3 (P3,K) 1.4700 1.4400 1.4100 1.3800 1.3500
NIVEL 2 (P2,J,K) 5.0500 5.0500 5.0500 5.0500 5.0500
NIVEL 1 (P1,J, K) 10.3400 9.4500 8.5600 7.6700 6.7800
Que a partir de las curvas de carga típicas por Nivel de Tensión presentadas por el OR en la solicitud de aprobación de cargos, la Comisión calculó, siguiendo las disposiciones del Anexo número 9 de la Resolución CREG 082 de 2002, los factores multiplicadores que permiten establecer los Cargos Monomios Horarios a partir de los Cargos Monomios correspondientes;
Que la Comisión, aprobó la Resolución CREG 032 de 2003 mediante la cual se establece la segunda etapa de transición para la aplicación de los Cargos por Uso de los Sistemas de Transmisión Regional y de Distribución Local aprobados a los Operadores de Red de que tratan las Resoluciones CREG 063 y 082 de 2002, en cumplimiento del Decreto 1407 de 2002;
Que la Comisión, en la sesión número 220 del día 28 de agosto de 2003, aprobó los cargos máximos de los niveles de tensión 3, 2 y 1 del SDL operado por Ruitoque S. A. ESP, así como la gradualidad tarifaria aplicable a la empresa,
RESUELVE:
ARTÍCULO 1o. CARGOS MÁXIMOS DE LOS NIVELES DE TENSIÓN 3 Y 2. Los cargos máximos de los niveles de tensión 3 y 2, en valores monomios y monomios horarios, del sistema operado por Ruitoque S. A. ESP, en cada año del período tarifario, serán los siguientes, a pesos de diciembre de 2001:
($/kWh) Pesos de diciembre de 2001
AÑO CDj,3 CDj,2
2003 32.8050 160.0835
2004 32.7625 160.0006
2005 32.7219 159.9197
2006 32.6798 159.8371
2007 32.6394 159.7564
ARTÍCULO 2o. CARGOS MÁXIMOS DEL NIVEL DE TENSIÓN 1. Los cargos máximos del nivel de tensión 1, del siste ma operado por Ruitoque S. A. ESP, en cada año del período tarifario, serán los siguientes, a pesos de diciembre de 2001:
($/kWh) Pesos de diciembre de 2001
Redes Aéreas Redes Subterráneas
CDAIj,1 CDAMj,1 CDSIj,1 CDSMj,1
38.8750 5.3835 24.9538 0.0438
PARÁGRAFO. De conformidad con lo establecido en el Numeral 2 del Anexo número 4 de la Resolución CREG 082 de 2002, los Cargos Máximos de que trata el presente artículo serán liquidados y facturados por el OR a cada uno de los Comercializadores que atienden Usuarios Finales conectados a su sistema en los niveles de tensión 3 y 2, y a los OR que tomen energía de su sistema en los mismos niveles de tensión. Estos cargos serán igualmente liquidados y facturados respecto de la demanda de los usuarios de Nivel de Tensión 1 referida al Nivel de Tensión 3 ó 2, según el caso, como se deriva de lo establecido en el literal d) numeral 4 del Anexo número 4 de la Resolución CREG 082 de 2002.
ARTÍCULO 3o. APLICACIÓN DE LOS CARGOS MÁXIMOS. Los cargos máximos de que tratan los artículos 3o y 4o de la presente resolución constituyen topes máximos, razón por la cual el Operador de Red podrá aplicar cargos inferiores siempre y cuando cumplan con los criterios tarifarios de ley.
ARTÍCULO 4o. CARGOS MONOMIOS HORARIOS. Para el cálculo de los Cargos Monomios Horarios, se deberán utilizar los factores multiplicadores y períodos de carga que se presentan a continuación:



PARÁGRAFO 1o. Los Cargos Monomios Horarios resultan de la multiplicación del Cargo Monomio por el factor asociado a cada período de carga del Nivel de Tensión respectivo.
PARÁGRAFO 2o. Cuando el comportamiento de la demanda varíe de forma significativa, el Operador de Red podrá solicitar a la CREG la modificación de los factores y períodos aprobados en este artículo, justificando dicha solicitud, e informando de la misma a la Superintendencia de Servicios Públicos Domiciliarios.
PARÁGRAFO 3o. Los Cargos Máximos Horarios resultantes de la aplicación del presente artículo, serán liquidados y facturados por Ruitoque S. A. ESP a los Operadores de Red o a los comercializadores que atienden usuarios conectados al sistema que opera, cuando los OR o usuarios respectivos cuenten con medición horaria. En caso de que no exista medición horaria, se deberán aplicar los Cargos Monomios.
ARTÍCULO 5o. FACTORES DE PÉRDIDAS. Los factores para referir las medidas de energía al STN y los usados para referir l as medidas de energía en el Nivel de Tensión 1 a los niveles de tensión 3 y 2, de que trata el Anexo número 10 de la Resolución CREG 082 de 2002 y que aplican en el sistema operado por Ruitoque S. A. ESP son:
a) Factores para referir las medidas de energía al STN:
Factor (%) 2003 2004 2005 2006 2007
NIVEL 3 (PR3,J,K) 2.8002 2.6129 2.4353 2.2479 2.0701
NIVEL 2 (PR2,J,K) 7.7087 7.5309 7.3624 7.1843 7.0156
NIVEL 1 (PR1,J,K) 17.2517 16.2692 15.2921 14.3033 13.3199
b) Factores para referir las medidas en el Nivel de Tensión 1 a los niveles de tensión 2 y 3:
Factor (%) 2003 2004 2005 2006 2007
NIVEL 1-2 (PR1,2,J,K) 10.3400 9.4500 8.5600 7.6700 6.7800
NIVEL 1-3 (PR1,3,J,K) 15.9122 14.9772 14.0423 13.1073 12.1724
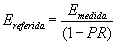
PARÁGRAFO. Los factores de que trata el presente artículo se aplicarán de acuerdo con la siguiente expresión:
![]()
donde:
Ereferida: Energía referida al STN o a los niveles de tensión 3 o 2, según sea el caso.
Emedida: Energía registrada en el equipo de medida
PR: Factor para referir las medidas de energía al STN o a los niveles de tensión 3
o 2, según sea el caso, y que se presentan en este artículo.
ARTÍCULO 6o. SEGUNDA ETAPA DE LA TRANSICIÓN TARIFARIA. Para dar cumplimiento a lo establecido en la Resolución CREG 032 de 2003 se establecen los siguientes parámetros para Ruitoque S. A. ESP, en cuanto a la gradualidad en la aplicación del Cargo Máximo de Nivel de Tensión 2 establecida en el numeral 3 del artículo 2o de dicha resolución:
- Cargo de transición para el primer mes de aplicación del Cargo Máximo de Nivel de Tensión 2 aprobado en esta Resolución: 40.3686 $/kWh (pesos de diciembre de 2001).
- Porcentaje de incremento mensual: 25.3%, en términos reales.
- Plazo: 24 meses.
ARTÍCULO 7o. VIGENCIA. De conformidad con lo previsto por el artículo 13 de la Resolución CREG 082 de 2002, los cargos y valores aprobados en esta Resolución estarán vigentes desde la fecha en que quede en firme esta Resolución y se aplicarán a partir del mes siguiente, conforme a lo dispuesto en el literal c) numeral 1 del anexo 2 de la Resolución CREG 082 de 2002 y hasta el 31 de diciembre del año 2007. Vencido su período de vigencia, continuarán rigiendo hasta que la Comisión apruebe los nuevos.
ARTÍCULO 8o. RECURSOS. La presente resolución deberá notificarse a Ruitoque S. A. ESP. Contra lo dispuesto en este acto procede el recurso de reposición, el cual se podrá interponer ante la Dirección Ejecutiva de la CREG dentro de los cinco (5) días hábiles siguientes a la fecha de su notificación.
NOTIFÍQUESE, PUBLÍQUESE Y CÚMPLASE.
Dada en Bogotá, D. C., a 28 de agosto de 2003.
El Viceministro de Minas y Energía
Delegado del Ministro de Minas y Energía,
MANUEL MAIGUASHCA OLANO,
Presidente.
El Director Ejecutivo,
JAIME ALBERTO BLANDÓN DÍAZ.