2/5
Por la cual se aprueban el Costo Anual por el uso de los Activos del Nivel de Tensión 4 y los cargos máximos de los niveles de tensión 3, 2 y 1, de los Sistemas de Transmisión Regional (STR) y de Distribución Local (SDL) operados por la Empresa de Energía de Cundinamarca S.A. E.S.P.
RESOLUCIÓN 41 DE 2003
(junio 19)
Diario Oficial No. 45.252 del 18 de julio de 2003
COMISIÓN DE REGULACIÓN DE ENERGÍA Y GAS
Por la cual se aprueban el Costo Anual por el uso de los Activos del Nivel de Tensión 4 y los cargos máximos de los niveles de tensión 3, 2 y 1, de los Sistemas de Transmisión Regional (STR) y de Distribución Local (SDL) operados por la Empresa de Energía de Cundinamarca S. A. E.S.P.
LA COMISIÓN DE REGULACIÓN DE ENERGÍA Y GAS
En ejercicio de sus atribuciones constitucionales y legales, en especial las conferidas por las Leyes 142 y 143 de 1994, y en desarrollo de los Decretos 1524 y 2253 de 1994.
CONSIDERANDO:
Que de acuerdo con lo previsto en el Artículo 23, literal d), y 41 de la Ley 143 de 1994, es función de la Comisión de Regulación de Energía y Gas fijar las tarifas por el acceso y uso de las redes eléctricas;
Que mediante la Resolución CREG 082 de 2002, la Comisión aprobó los principios generales y la metodología para el establecimiento de los Cargos por Uso de los Sistemas de Transmisión Regional (STR) y de Distribución Local (SDL);
Que la Empresa de Energía de Cundinamarca S.A. E.S.P. mediante comunicación radicada en la CREG bajo el No. 0011954 recibida el día 31 de diciembre de 2002, sometió a aprobación de la Comisión los Costos Anuales por el uso de los Activos del Nivel de Tensión 4 y los Cargos Máximos de los Niveles de Tensión 3, 2 y 1, correspondientes al Sistema de Transmisión Regional y al Sistema de Distribución Local que opera;
Que la Empresa de Energía de Cundinamarca S. A. E.S.P., en cumplimiento de las Circulares CREG No. 019, 025, 027, 029, 038 de 2002, reportó a la CREG los inventarios de activos eléctricos del STR y SDL que opera, clasificados según el listado de Unidades Constructivas establecido en el Anexo No 3 de la Resolución CREG 082 de 2002;
Que la Empresa de Energía de Cundinamarca S. A. E.S.P., en cumplimiento de lo dispuesto en el Parágrafo 2 del Artículo 13 de la Resolución CREG 082 de 2002, publicó en un diario de amplia circulación, el resumen del estudio de cargos que presentó a la Comisión con la información mínima señalada en el Anexo No 6 de dicha Resolución, con el fin de que los terceros interesados pudieran presentar ante la Comisión observaciones sobre tal información, y envió a la Comisión copia del aviso de prensa respectivo;
Que se analizó la información presentada por la Empresa de Energía de Cundinamarca S. A. E.S.P., conjuntamente con la información adicional disponible en la CREG sobre los activos del STR y del SDL que opera, y se solicitaron las aclaraciones pertinentes;
Que en cumplimiento de lo dispuesto en el Anexo No 5 de la Resolución CREG 082 de 2002, la Comisión, a través de la firma Consultoría Colombiana S.A., verificó la calidad de la información reportada por la Empresa de Energía de Cundinamarca S. A. E.S.P., para una muestra diseñada por la Comisión, siguiendo la metodología contenida en el citado Anexo;
Que mediante comunicación radicada en la CREG, bajo el No. 002037 de 2003, la firma Consultoría Colombiana S.A. presentó el informe de verificación de la calidad de la información reportada por la Empresa de Energía de Cundinamarca S.A. E.S.P., del cual se dio traslado a dicha empresa con el objeto de que ejerciera su derecho de defensa y se pronunciara sobre las diferencias de información relacionadas en el mencionado informe de verificación;
Que la Empresa de Energía de Cundinamarca S. A. E.S.P., mediante comunicaciones radicadas en la CREG bajo los Nos. 003077, E-2003-003790, E-2003-003815, E-2003-005605 y E-2003-005667, presentó las aclaraciones solicitadas por la Comisión y se pronunció en relación con el informe de verificación de calidad de la información;
Que como resultado del análisis de la información y de las respuestas presentadas a la Comisión por la Empresa de Energía de Cundinamarca S. A. E.S.P., se realizaron los ajustes pertinentes a los inventarios reportados, así como a la información adicional requerida para el cálculo de los Costos Anuales y de los Cargos Máximos de que tratan los Artículos 3 y 5 de la Resolución CREG 082 de 2002, según se relacionan, con su respectivo sustento, en el documento soporte a la presente Resolución;
Que aplicada la metodología contenida en la Resolución CREG 082 de 2002 se calcularon para los sistemas operados por la Empresa de Energía de Cundinamarca S. A. E.S.P., las siguientes variables principales:
a) Costo anual para remunerar los Activos de los Niveles de Tensión 4, 3 y 2, sin aplicar los criterios de eficiencia de que trata el Anexo No 8 de la Resolución CREG 082 de 2002:

b) Costo anual para remunerar los Activos de los Niveles de Tensión 4, 3 y 2, aplicando los criterios de eficiencia de que trata el Anexo No 8 de la Resolución CREG 082 de 2002 y los aprobados mediante Resolución CREG 030 de 2003:

c) Los niveles de pérdidas en cada Nivel de Tensión que se reconocen en cada año del período tarifario:

Que a partir de las curvas de carga típicas por Nivel de Tensión presentadas por el OR en la solicitud de aprobación de cargos, la Comisión calculó, siguiendo las disposiciones del Anexo No 9 de la Resolución CREG 082 de 2002, los factores multiplicadores que permiten establecer los Cargos Monomios Horarios a partir de los Cargos Monomios correspondientes;
Que la Comisión, aprobó la Resolución CREG 032 de 2003 mediante la cual se establece la segunda etapa de transición para la aplicación de los Cargos por Uso de los Sistemas de Transmisión Regional y de Distribución Local aprobados a los Operadores de Red de que tratan las Resoluciones CREG 063 y 082 de 2002, en cumplimiento del Decreto 1407 de 2002;
Que la Comisión, en Sesión No 215 del día 19 de junio de 2003, aprobó el Costo Anual por el uso de los Activos del Nivel de Tensión 4 y los Cargos Máximos de los niveles de tensión 3, 2 y 1 de los STR y SDL operados por la Empresa de Energía de Cundinamarca S.A. E.S.P, así como la gradualidad tarifaria aplicable a la empresa.
RESUELVE:
ARTÍCULO 1o. COSTO ANUAL POR EL USO DE LOS ACTIVOS DEL NIVEL DE TENSIÓN 4. El Costo Anual por el uso de los activos del Nivel de Tensión 4 operados por la Empresa de Energía de Cundinamarca S. A. E.S.P. será el siguiente:

ARTÍCULO 2o. CARGOS MÁXIMOS DE LOS NIVELES DE TENSIÓN 3 Y 2. Los Cargos Máximos de los niveles de tensión 3 y 2, en valores monomios del sistema operado por la Empresa de Energía de Cundinamarca S.A. E.S.P., en cada año del período tarifario, serán los siguientes:

PARÁGRAFO. De conformidad con lo establecido en el Numeral 2 del Anexo No 4 de la Resolución CREG 082 de 2002, los Cargos Máximos de que trata el presente Artículo serán liquidados y facturados por el OR a cada uno de los Comercializadores que atienden Usuarios Finales conectados a su sistema en los niveles de tensión 3 y 2, y a los OR que tomen energía de su sistema en los mismos niveles de tensión. Estos cargos serán igualmente liquidados y facturados respecto de la demanda de los usuarios de Nivel de Tensión 1 referida al Nivel de Tensión 3 o 2, según el caso, como se deriva de lo establecido en el literal d. numeral 4 del Anexo No 4 de la Resolución CREG 082 de 2002.
ARTÍCULO 3o. CARGOS MÁXIMOS DEL NIVEL DE TENSIÓN 1. Los Cargos Máximos del Nivel de Tensión 1 del sistema operado por la Empresa de Energía de Cundinamarca S.A. E.S.P., en cada año del período tarifario, serán los siguientes, en pesos colombianos de diciembre de 2001:

ARTÍCULO 4o. APLICACIÓN DE LOS CARGOS MÁXIMOS. Los Cargos Máximos de que tratan los artículos 2 y 3 de la presente Resolución constituyen topes máximos, razón por la cual el Operador de Red podrá aplicar cargos inferiores siempre y cuando cumplan con los criterios tarifarios de ley.
ARTÍCULO 5o. CARGOS MONOMIOS HORARIOS. Para el cálculo de los Cargos Monomios Horarios, se deberán utilizar los factores multiplicadores y períodos de carga que se presentan a continuación:



PARÁGRAFO 1. Los Cargos Monomios Horarios resultan de la multiplicación del Cargo Monomio por el factor asociado a cada período de carga del Nivel de Tensión respectivo.
PARÁGRAFO 2. Cuando el comportamiento de la demanda varíe de forma significativa, el Operador de Red podrá solicitar a la CREG la modificación de los factores y períodos aprobados en este Artículo, justificando dicha solicitud, e informando de la misma a la Superintendencia de Servicios Públicos Domiciliarios.
PARÁGRAFO 3. Los Cargos Máximos Horarios resultantes de la aplicación del presente Artículo serán liquidados y facturados por la Empresa de Energía de Cundinamarca S.A. E.S.P. a los Operadores de Red o a los Comercializadores que atienden usuarios conectados al sistema que opera, cuando los OR o usuarios respectivos cuenten con medición horaria. En caso de que no exista medición horaria se deberán aplicar los Cargos Monomios.
ARTÍCULO 6o. FACTORES DE PÉRDIDAS. Los factores para referir las medidas de energía al STN y los usados para referir las medidas de energía en el Nivel de Tensión 1 a los niveles de tensión 3 y 2, de que trata el Anexo No 10 de la Resolución CREG 082 de 2002 y que aplican en el sistema operado por Empresa de Energía de Cundinamarca S.A. E.S.P. son:
a) Factores para referir las medidas de energía al STN:

b) Factores para referir las medidas en el Nivel de Tensión 1 a los niveles de tensión 2 y 3:

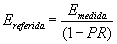
PARÁGRAFO. Los factores de que trata el presente Artículo se aplicarán de acuerdo con la siguiente expresión:
![]()
donde:
Ereferida: Energía referida al STN o a los niveles de tensión 3 o 2, según sea el
caso.
Emedida: Energía registrada en el equipo de medida
PR: Factor para referir las medidas de energía al STN o a los niveles de
tensión 3 o 2, según sea el caso, y que se presentan en este Artículo.
ARTÍCULO 7o. SEGUNDA ETAPA DE LA TRANSICIÓN TARIFARIA. Para dar cumplimiento a lo establecido en la Resolución CREG 032 de 2003 se establecen los siguientes parámetros para la Empresa de Energía de Cundinamarca S.A. E.S.P., en cuanto a la gradualidad en la aplicación del Cargo Máximo de Nivel de Tensión 2 establecida en el numeral 3 del Artículo 2 de dicha Resolución:
-Cargo de transición para el primer mes de aplicación del Cargo Máximo de Nivel de Tensión 2 aprobado en esta Resolución: 41.5559 $/kWh (pesos de diciembre de 2001).
-Porcentaje de incremento mensual: 11.4%, en términos reales.
-Plazo: 24 meses.
ARTÍCULO 8o. VIGENCIA. De conformidad con lo previsto por el artículo 13 de la Resolución CREG 082 de 2002, los cargos y valores aprobados en esta Resolución estarán vigentes desde la fecha en que quede en firme esta Resolución y se aplicarán a partir del mes siguiente, conforme a lo dispuesto en el lit. c) numeral 1. del anexo 2 de la Resolución CREG 082 de 2002 y hasta el 31 de diciembre del año 2007. Vencido su período de vigencia, continuarán rigiendo hasta que la Comisión apruebe los nuevos.
ARTÍCULO 9o.. RECURSOS. La presente Resolución deberá notificarse a la Empresa de Energía de Cundinamarca S.A. E.S.P. Contra lo dispuesto en este acto procede el recurso de reposición, el cual se podrá interponer ante la Dirección Ejecutiva de la CREG dentro de los cinco (5) días hábiles siguientes a la fecha de su notificación.
NOTIFÍQUESE, PUBLÍQUESE Y CÚMPLASE,
Dada en Bogotá, a los 19 de junio de 2003
Ministro de Minas y Energía
LUIS ERNESTO MEJÍA CASTRO
Presidente
JAIME ALBERTO BLANDÓN DÍAZ
Director Ejecutivo