RESOLUCIÓN 27 DE 2014
(marzo 7)
Diario Oficial No. 49.282 de 22 de septiembre de 2014
COMISIÓN DE REGULACIÓN DE ENERGÍA Y GAS
Por la cual se ordena hacer público un proyecto de resolución “por la cual se definen las reglas para verificar la existencia de los motivos que permiten la inclusión de áreas de servicio exclusivo en los contratos, y los lineamientos generales y las condiciones a las cuales deben someterse ellos, para la prestación del servicio público domiciliario de energía eléctrica en las zonas no interconectadas”.
LA COMISIÓN DE REGULACIÓN DE ENERGÍA Y GAS,
en ejercicio de sus atribuciones legales, en especial las conferidas por las Leyes 142 y 143 de 1994, y en desarrollo de los Decretos números 1524 y 2253 de 1994,
CONSIDERANDO QUE:
Conforme a lo dispuesto por el artículo 8o del Código de Procedimiento Administrativo y de lo Contencioso Administrativo y el artículo 9o del Decreto número 2696 de 2004, la Comisión debe hacer público en su página web todos los proyectos de resolución de carácter general que pretenda adoptar.
La Comisión de Regulación de Energía y Gas, en su Sesión número 595 del 7 de marzo de 2014 aprobó hacer público el proyecto de resolución “por la cual se definen las reglas para verificar la existencia de los motivos que permiten la inclusión de áreas de servicio exclusivo en los contratos y los lineamientos generales y las condiciones a las cuales deben someterse ellos, para la prestación del servicio público domiciliario de energía eléctrica en las zonas no interconectadas”,
RESUELVE:
ARTÍCULO 1o. Hágase público el siguiente proyecto de resolución “por la cual se definen las reglas para verificar la existencia de los motivos que permiten la inclusión de áreas de servicio exclusivo en los contratos, y los lineamientos generales y las condiciones a las cuales deben someterse ellos, para la prestación del servicio público domiciliario de energía eléctrica en las zonas no interconectadas”.
ARTÍCULO 2o. Se invita a los agentes, a los usuarios, a las autoridades competentes, a la Superintendencia de Servicios Públicos Domiciliarios y a la Superintendencia de Industria y Comercio, para que remitan sus observaciones o sugerencias sobre la propuesta dentro de los tres (3) meses siguientes a su publicación en el Diario Oficial o en la página web de la entidad.
ARTÍCULO 3o. Infórmese en la página web la identificación de la dependencia administrativa y de las personas a quienes se podrá solicitar información sobre el proyecto y hacer llegar las observaciones, reparos o sugerencias, y los demás aspectos previstos en el artículo 10 del Decreto número 2696 de 2004.
ARTÍCULO 4o. La presente resolución no deroga disposiciones vigentes por tratarse de un acto de trámite.
Publíquese y cúmplase.
Dada en Bogotá, D. C., a 7 de marzo de 2014.
El Presidente,
AMÍLCAR DAVID ACOSTA MEDINA,
Ministro de Minas y Energía.
El Director Ejecutivo,
CARLOS FERNANDO ERASO CALERO.
por la cual se definen las reglas para verificar la existencia de los motivos que permiten la inclusión de áreas de servicio exclusivo en los contratos, y los lineamientos generales y las condiciones a las cuales deben someterse ellos, para la prestación del servicio público domiciliario de energía eléctrica en las zonas no interconectadas.
La Comisión de Regulación de Energía y Gas, en ejercicio de sus atribuciones legales, en especial las conferidas por las Leyes 142 y
143 de 1994, y en desarrollo de los Decretos números 1524 y 2253 de 1994,
CONSIDERANDO QUE:
Según el artículo 74.1 de la Ley 142 de 1994 la Comisión de Regulación de Energía y Gas es competente para regular el ejercicio de las actividades de los sectores de energía y gas combustible.
La Comisión de Regulación de Energía y Gas tiene la función de regular los monopolios en la prestación del servicio público domiciliario de energía eléctrica, cuando la competencia no sea, de hecho, posible; y en los demás casos, la de promover la competencia entre quienes presten servicios públicos, para que las operaciones de los monopolistas o de los competidores sean económicamente eficientes, no impliquen abuso de la posición dominante y produzcan servicios de calidad.
El artículo 114 de la Ley 1450 de 2011 estableció que “El Ministerio de Minas y Energía continuará diseñando esquemas sostenibles de gestión para la prestación del servicio de energía eléctrica en las Zonas No Interconectadas. Para este propósito, podrá establecer Áreas de Servicio Exclusivo para todas las actividades involucradas en el servicio de energía eléctrica”.
De conformidad con el parágrafo 1o del artículo 40 de la Ley 142 de 1994, la CREG debe definir, por vía general, cómo se verifica la existencia de los motivos que permiten la inclusión de áreas de servicio exclusivo en los contratos para la prestación del servicio público domiciliario de energía eléctrica, así como los lineamientos generales y las condiciones a las cuales deben someterse ellos; y antes de que se abra una licitación que incluya estas cláusulas dentro de los contratos propuestos, verificará que ellas sean indispensables para asegurar la viabilidad financiera de la extensión de la cobertura a las personas de menores ingresos.
De conformidad con lo establecido en el artículo 126 de la Ley 142 de 1994, las fórmulas tarifarias tendrán un período de vigencia de cinco (5) años, al cabo del cual continuarán rigiendo mientras la comisión no fije las nuevas.
El artículo 6o de la Ley 143 de 1994, entre otros aspectos, establece que las actividades relacionadas con el servicio de electricidad se regirán por el principio de adaptabilidad que conduce a la incorporación de los avances de la ciencia y la tecnología que aporten mayor calidad y eficiencia en la prestación del servicio al menor costo económico.
Conforme a lo establecido en el artículo 71 de la Ley 143 de 1994 le corresponde al Gobierno Nacional ejecutar directamente o a través de terceros, las actividades relacionadas con la generación, transmisión y distribución de energía en zonas no interconectadas del país, para lo cual debe promover inversiones eficientes con los recursos del presupuesto nacional.
De conformidad con el artículo 74 de la Ley 143 de 1994 las empresas prestadoras del servicio público de energía eléctrica localizadas en las zonas no interconectadas podrán desarrollar en forma integrada las actividades de generación, distribución y comercialización.
El artículo 1o de la Ley 855 de 2003 define las zonas no interconectadas como los municipios, corregimientos, localidades y caseríos no conectadas al Sistema Interconectado Nacional (SIN).
De acuerdo con lo establecido en el artículo 978 del Código de Comercio, cuando la prestación de un servicio público está regulada por el Gobierno, las condiciones de los contratos deben sujetarse a los respectivos reglamentos.
La Comisión de Regulación de Energía y Gas expidió la Resolución CREG 091 de 2007, por la cual se establecen las metodologías generales para remunerar las actividades de generación, distribución y comercialización de energía eléctrica, y las fórmulas tarifarias generales para establecer el costo unitario de prestación del servicio público de energía eléctrica en zonas no interconectadas.
Teniendo en cuenta las observaciones del Ministerio de Minas y Energía sobre la regulación vigente para los procesos de competencia en las ZNI, se consideró necesaria la incorporación de ajustes a la Resolución CREG 091 de 2007.
Posteriormente, mediante Resolución CREG 161 de 2008, la Comisión de Regulación de Energía y Gas definió las reglas para verificar la existencia de los motivos que permiten la inclusión de áreas de servicio exclusivo en los contratos y los lineamientos generales y las condiciones a las cuales deben someterse ellos, para la prestación del servicio público domiciliario de energía eléctrica en las zonas no interconectadas.
Con posterioridad a la expedición de la citada Resolución CREG 161 de 2008, el Ministerio de Minas y Energía envió a la Comisión de Regulación de Energía y Gas la comunicación radicada con el número CREG E-2009-002362 del 18 de marzo de 2009, en la cual planteó la conveniencia de establecer un incentivo para promover un ahorro en los consumos de los combustibles de origen fósil destinados a la generación, como consecuencia de la sustitución del combustible fósil por recursos renovables u otro combustible fósil más económico, sin afectar los componentes de la fórmula tarifaria fijados en la Resolución CREG 161 de 2008 y cuyo valor sea ofertado en desarrollo de las convocatorias que realice el Ministerio de Minas y Energía.
Del análisis anterior la Comisión de Regulación de Energía y Gas determinó la necesidad de modificar la Resolución CREG 091 de 2007 y la Resolución número 161 de 2008.
Mediante la Resolución CREG 048 de 2009, se hizo público el proyecto de resolución de carácter general, por la cual se pretendía modificar las Resoluciones CREG 091 de 2007 y 161 de 2008.
Mediante Resolución CREG 074 de 2009, la comisión modificó las Resoluciones CREG 091 de 2007 y 161 de 2008.
Teniendo en cuenta lo dispuesto por el artículo 126 de la Ley 142 de 1994, encuentra esta comisión necesario someter a consulta el presente proyecto de resolución,
RESUELVE:
ARTÍCULO 1o. La presente resolución tiene como objeto establecer cómo se verificará la existencia de los motivos que permiten la inclusión de áreas de servicio exclusivo en los contratos y los lineamientos generales y condiciones a las cuales deben someterse ellos para la prestación del servicio público domiciliario de energía eléctrica en las zonas no interconectadas.
DEFINICIONES Y ÁMBITO DE APLICACIÓN.
ARTÍCULO 2o. DEFINICIONES. Para la interpretación y aplicación de esta resolución se tendrán en cuenta, además de las definiciones contenidas en las Leyes 142 y 143 de 1994 y en las resoluciones vigentes de la CREG, las siguientes:
ACPM (Diésel número 2): Aceite combustible para motores, corresponde al Diésel número 2, referenciado por las normas ASTM D 975 y NTC 1438.
Adjudicatario: Persona jurídica constituida como empresa de servicios públicos, a quien el Ministerio de Minas y Energía adjudica un contrato para la prestación de una o todas las actividades inherentes al servicio público de energía eléctrica en un área de servicio exclusivo.
Año: Cada período de 365 días calendario o de 366 si es bisiesto. Los años se contarán sucesivamente y siempre tendrán como primero y último día el mismo número del día correspondiente al mes en que inició el período de vigencia.
AOM: Corresponde a las labores de administración, operación y mantenimiento.
Área de servicio exclusivo: Es el área geográfica correspondiente a los municipios, cabeceras municipales o centros poblados sobre las cuales la autoridad contratante otorga exclusividad en la prestación del servicio mediante contratos.
Autoridad contratante: Para efectos de la presente resolución es el Ministerio de Minas y Energía, de conformidad con lo establecido en el artículo 114 de la Ley 1450 de 2011.
BTU: British Thermal Unit.
Capacidad instalada: Capacidad mínima instalada establecida por la autoridad contratante para desarrollar las actividades de generación y distribución en un área de servicio exclusivo.
CNM: Centro Nacional de Monitoreo.
Comercialización de energía eléctrica: Actividad que consiste en la intermediación comercial entre los agentes que prestan los servicios de generación, transmisión y distribución de energía eléctrica y los usuarios de dichos servicios, bien sea que esa actividad se desarrolle o no en forma combinada con otras actividades del sector eléctrico, según lo dispuesto por la regulación y la ley.
Comercializador de energía eléctrica: Persona jurídica que desarrolla la actividad de comercialización de energía eléctrica en las ZNI.
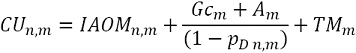
Costo unitario de prestación del servicio de energía eléctrica (CU): Es el costo económico eficiente de prestación del servicio de energía eléctrica al usuario regulado, expresado en pesos por kilovatio hora ($/kWh) que resulta de aplicar la fórmula tarifaria general establecida en la presente resolución, y que corresponde a la suma de los costos eficientes de cada una de las actividades de la cadena eléctrica.
Demanda máxima proyectada: Energía estimada por el Ministerio de Minas y Energía, en generación, distribución y comercialización en el área de servicio exclusivo, a la que se compromete el adjudicatario del servicio.
Demanda límite: Máxima energía a la que está obligado generar, distribuir o comercializar el adjudicatario del área de servicio exclusivo con base en la capacidad instalada.
Diésel número 2: Es el ACPM definido en la presente resolución.
Diésel número 6: También conocido como combustóleo número 6 o fuel oil, es un combustible elaborado a partir de productos residuales que se obtienen de los procesos de refinación del petróleo. Tiene un poder calorífico mínimo de 41.500 kJ/kg, medido de acuerdo con la norma ASTM D 4868.
Distribución de energía eléctrica: Es el transporte de energía eléctrica a través de redes físicas, desde la barra de entrega de energía del generador al sistema de distribución, hasta la conexión de un usuario, de conformidad con la definición del numeral 14.25 de la Ley 142 de 1994.
Distribuidor de energía eléctrica: Persona encargada de la administración, la planeación, la expansión, la operación y el mantenimiento de todo o parte de la capacidad de un sistema de distribución. Los activos utilizados pueden ser de su propiedad o de terceros.
Empresas de Servicios Públicos: Las definidas en el Título I, Capítulo I, de la Ley 142 de 1994.
Fórmula tarifaria general: Conjunto de criterios y de métodos de tipo general en virtud de los cuales se determina el costo promedio por unidad a los comercializadores de energía eléctrica que atienden a usuarios regulados.
Generación de energía eléctrica: Producción de energía eléctrica a partir de cualquier tipo de fuente.
Generador de energía eléctrica: Persona jurídica que se encarga de toda o parte de la capacidad de un sistema de generación para producir energía eléctrica empleando cualquier tipo de fuente.
Obligación de prestación del servicio: Vínculo resultante del proceso competitivo que impone a un agente el deber de prestar el servicio de una o varias actividades del servicio de energía eléctrica en un área de servicio exclusivo durante el período de vigencia, según lo definido previamente en dicho proceso competitivo.
Parque de generación: Conjunto de unidades de generación con el que se atiende un área de servicio exclusivo.
Parque o central de generación inicial: Conjunto de unidades de generación ofertado por el adjudicatario de la obligación de prestación del servicio en la propuesta que presente en el proceso competitivo.
Pérdidas de energía en distribución: Es la energía perdida en un sistema de distribución y reconocida por la Comisión de Regulación de Energía y Gas.
Pérdidas de energía en generación: Es la energía perdida en un sistema de generación y reconocida por la Comisión de Regulación de Energía y Gas.
Período de planeación: Período de tiempo que transcurre entre la fecha de ejecución del proceso competitivo y la fecha de inicio del período de vigencia de la obligación de prestación del servicio asignada en dicho proceso.
Período de preparación: Período de tiempo que transcurre entre la fecha de anuncio de la ejecución del proceso competitivo y el día de realización del mismo.
Período de vigencia: Período de tiempo durante el cual se genera la obligación de prestación del servicio.
Proceso competitivo: Invitación pública abierta para concursar por la asignación de la obligación de prestación del servicio en un área de servicio exclusivo con reglas definidas por la autoridad contratante para la determinación del precio y para asignar la obligación correspondiente.
Sistema de distribución: Es el conjunto de redes físicas de uso público que transportan energía eléctrica desde la barra de un generador hasta el punto de derivación de las acometidas de los inmuebles, sin incluir su conexión y medición. No se incluyen los transformadores elevadores ni servicios auxiliares del generador.
Sistema de medición o de medida: Conjunto de elementos destinados a la medición y/o registro de las transferencias de energía eléctrica, tensión y horas de suministro en el punto de medición.
SUI: Sistema Único de Información de la Superintendencia de Servicios Públicos Domiciliarios.
Ventas: Se entiende como la totalidad de la energía eléctrica facturada en el área de servicio exclusivo.
Zonas no interconectadas: Para todos los efectos relacionados con la prestación del servicio público de energía eléctrica se entiende por zonas no interconectadas a los municipios, corregimientos, localidades y caseríos no conectadas al Sistema Interconectado Nacional (SIN).
ARTÍCULO 3o. ÁMBITO DE APLICACIÓN. Esta resolución se aplica para la conformación, verificación y contratación de las áreas de servicio exclusivo por parte del Ministerio de Minas y Energía en las ZNI, según lo previsto en la Ley 1450 de 2011 o aquella que la modifique o sustituya. No se aplica para las áreas de servicio exclusivo ya constituidas en el archipiélago de San Andrés, Providencia y Santa Catalina, y en el Amazonas, mientras se encuentre vigente el contrato de concesión para la prestación del servicio de energía eléctrica.
ÁREAS DE SERVICIO EXCLUSIVO.
ARTÍCULO 4o. CRITERIOS DE VERIFICACIÓN PARA LA CONFORMACIÓN DE ÁREAS DE SERVICIO EXCLUSIVO. Para verificar que las áreas de servicio exclusivo propuestas por la autoridad contratante son indispensables como un esquema de gestión sostenible para la prestación del servicio de energía eléctrica en las ZNI, de acuerdo con el artículo 114 de la Ley 1450 de 2011, y de conformidad con lo definido en el artículo 40 de la Ley 142 de 1994, la comisión tendrá en cuenta los siguientes criterios:
a) La conformación del área geográfica para la prestación del servicio debe asegurar la extensión de la cobertura y el mejoramiento de la calidad en la prestación del mismo;
b) La conformación del área geográfica debe asegurar la gestión sostenible para la prestación del servicio de energía eléctrica;
c) La conformación del área geográfica debe buscar los menores costos mediante el aprovechamiento de economías de escala, economías de alcance, economías derivadas de la localización geográfica y la dotación de recursos naturales.
ARTÍCULO 5o. INTERVENCIÓN DE LA COMISIÓN PREVIA A LA APERTURA DE LA INVITACIÓN. Como requisito para que la autoridad contratante proceda a la apertura de la invitación pública para otorgar un área de servicio exclusivo, la comisión debe señalar por medio de una resolución que el área conformada cumple con las condiciones a que se refiere el artículo 4o de la presente resolución y debe definir cuál metodología se empleará para remunerar la prestación del servicio, según lo previsto en los Capítulos III y IV de la presente resolución. La comisión decidirá sobre estos aspectos en un plazo de treinta (30) días hábiles desde la fecha en que reciba la respectiva solicitud de la autoridad contratante.
ARTÍCULO 6o. ALCANCE DE LA EXCLUSIVIDAD. En los contratos a que se refiere este capítulo se tendrá en cuenta que únicamente el prestador del servicio que resulte adjudicatario de la obligación de prestación del servicio podrá desarrollar una o todas las actividades inherentes a la prestación del servicio público de energía eléctrica dentro del área geográfica objeto de exclusividad.
ARTÍCULO 7o. PRODUCTO A OFRECER EN EL PROCESO COMPETITIVO. La autoridad contratante definirá de manera precisa, al inicio del período de preparación, el área de servicio exclusivo, el período de vigencia, los compromisos de cobertura, las condiciones de calidad, las horas diarias de prestación del servicio y demás condiciones relevantes para este. La autoridad contratante divulgará las condiciones del proceso competitivo y una minuta del contrato correspondiente, al inicio del período de preparación, a fin de garantizar, entre otros, los principios de publicidad, simplicidad, objetividad, concurrencia y transparencia.
ARTÍCULO 8o. NORMAS APLICABLES. Los adjudicatarios de áreas de servicio exclusivo deben estar constituidos como empresas de servicios públicos y estarán sometidos a la Ley 142 de 1994, a las disposiciones que la modifiquen, a la regulación y a las cláusulas contractuales.
ARTÍCULO 9o. CRITERIOS BÁSICOS PARA LA EXPANSIÓN EN LAS ÁREAS DE SERVICIO EXCLUSIVO. La expansión del parque de generación y del sistema de distribución en el área de servicio exclusivo será responsabilidad de las empresas adjudicatarias de la obligación de prestación del servicio de acuerdo con los compromisos asumidos con la autoridad contratante. El adjudicatario de la obligación de prestación del servicio debe presentar ante la autoridad contratante planes quinquenales con la inversión prevista y dará cuenta de dichos planes a la Superintendencia de Servicios Públicos Domiciliarios, para lo de su competencia. Estos planes deben ser publicados en la cartelera de las oficinas del prestador del servicio y en su página de Internet.
Los planes quinquenales de que trata el presente artículo deben contener, por lo menos, la inversión de expansión que el adjudicatario de la obligación de prestación del servicio incluyó en la oferta presentada ante la autoridad competente.
Cuando el adjudicatario de la obligación de prestación del servicio prevea el reemplazo de plantas del parque de generación inicial, la adecuación de las mismas o la sustitución del combustible que estas utilicen, lo hará conocer por escrito a la autoridad contratante con la anticipación que esta defina.
ARTÍCULO 10. RÉGIMEN DE SUBSIDIOS. Los subsidios en las áreas de servicio exclusivo se someterán a lo que establezcan las normas vigentes.
ARTÍCULO 11. PROCESO COMPETITIVO PARA LA ASIGNACIÓN DE OBLIGACIONES DE PRESTACIÓN DEL SERVICIO. La obligación de prestación del servicio en áreas de servicio exclusivo se asignará entre los participantes en los procesos competitivos que adelante la autoridad contratante, los cuales deben cumplir con los requisitos generales que se establecen en la presente resolución y demás normas concordantes.
ARTÍCULO 12. PRECIO DE RESERVA. La Comisión de Regulación de Energía y Gas podrá definir un precio de reserva por encima del cual no se admitirá trasladar a los usuarios del servicio los costos resultantes de un proceso competitivo.
ARTÍCULO 13. PERÍODO DE PREPARACIÓN. El período de preparación para la asignación de las obligaciones de que trata la presente resolución no podrá ser inferior a un (1) mes.
ARTÍCULO 14. PERÍODO DE PLANEACIÓN. El período de planeación de que trata la presente resolución no podrá ser inferior a tres (3) meses, tiempo durante el cual el prestador del servicio a quien se le asigne la obligación de prestación del servicio debe realizar las obras correspondientes para dar inicio al período de vigencia.
ARTÍCULO 15. FÓRMULA TARIFARIA GENERAL EN LAS ÁREAS DE SERVICIO EXCLUSIVO QUE CONFORME LA AUTORIDAD CONTRATANTE. Para incorporar los precios resultantes de los procesos competitivos en la fórmula tarifaria, el diseño del producto y el proceso competitivo deben cumplir con lo dispuesto en el presente capítulo.
Las fórmulas tarifarias definidas en los Capítulos III y IV de la presente resolución serán aplicadas por los adjudicatarios de la obligación de prestación del servicio en el área de servicio exclusivo.
ARTÍCULO 16. VERIFICACIÓN DEL CUMPLIMIENTO DE OBLIGACIONES DE PRESTACIÓN DEL SERVICIO. Sin perjuicio de las funciones de la Superintendencia de Servicios Públicos Domiciliarios, la autoridad contratante establecerá un mecanismo para verificar el cumplimiento de los compromisos de extensión de cobertura y de calidad del servicio durante el período de vigencia de las obligaciones de prestación del servicio. Para esto último, podrá apoyarse en la información resultante del sistema de medición.
PARÁGRAFO. La información recopilada por cada adjudicatario de obligaciones de prestación del servicio será remitida al Sistema Único de Información (SUI), que administra la Superintendencia de Servicios Públicos Domiciliarios, así como al Fondo de Solidaridad y Redistribución de Ingresos que administra el Ministerio de Minas y Energía.
FÓRMULA TARIFARIA PARA LAS ÁREAS DE SERVICIO EXCLUSIVO QUE SE CONFORMEN PARA CADA ACTIVIDAD DEL SERVICIO PÚBLICO DE ENERGÍA ELÉCTRICA EN LAS ZNI.
ARTÍCULO 17. FÓRMULA TARIFARIA GENERAL PARA USUARIOS REGULADOS DEL SERVICIO PÚBLICO DE ENERGÍA ELÉCTRICA PARA PROCESOS COMPETITIVOS PARA CADA ACTIVIDAD. Cuando se realicen varios procesos competitivos para adjudicar obligaciones de prestación del servicio por actividad, en una misma área de servicio exclusivo, la fórmula tarifaria general aplicable a los usuarios regulados del servicio público domiciliario de energía eléctrica tendrá los siguientes componentes:
![]()
Donde:
| CUn,m: | Costo unitario de prestación del servicio de energía eléctrica, para el nivel de tensión n, para el mes m, expresado en pesos por kilovatio hora ($/kWh). |
| Gm: | Componente de generación, para el mes m, expresado en pesos por kilovatio hora ($/kWh). |
| pD n,m: | Pérdidas de energía del sistema de distribución, en el nivel de tensión n, para el mes m. Este nivel de pérdidas será el ofertado por el adjudicatario de la obligación de prestación del servicio en la propuesta que presente en el proceso competitivo. Este valor se expresa como una fracción de la energía medida en los bornes del generador, que sea transferida al sistema de distribución. |
| Dn,m: | Componente de distribución, para el nivel de tensión n, para el mes m, expresado en pesos por kilovatio hora ($/kWh). |
| n: | Niveles de tensión del sistema de distribución del área de servicio exclusivo. |
| Cm: | Componente de comercialización, para el mes m, expresado en pesos por kilovatio hora ($/kWh). |
| Am: | Ahorro en los costos de combustibles de origen fósil, ya sea por la adecuación de las plantas de generación, por el reemplazo de alguna de estas o por la sustitución de combustible, en el mes m, expresado en pesos por kilovatio hora ($/kWh), calculado de la siguiente manera: |
![]()
Donde:
| Etm–1: | Energía total entregada al sistema de distribución en el mes m-1, por las n plantas del parque de generación. Este valor se expresa en kilovatios hora (kWh) y será medida en bornes del generador. |
| k: | Número de plantas que fueron adecuadas, reemplazadas o para las cuales se sustituyeron combustibles por otros más económicos. |
| i: | Planta i del parque de generación. |
| Consumo específico de combustible de origen fósil de la planta i del parque de generación inicial que fue adecuada, reemplazada o cuyo combustible fue sustituido por uno más económico. Esta variable se expresa en millones de BTU por kilovatio hora (MBTU/kWh). En caso que la planta utilice Diésel número 2 o Diésel número 6 como combustible, este consumo será expresado en galones por kilovatio hora (gal/kWh). El valor de esta variable será el ofertado por el adjudicatario de la obligación de prestación del servicio, para cada planta i, en la propuesta que presente en el proceso competitivo. El consumo específico de combustible será calculado en bornes del generador. En caso de ser necesaria la aplicación de una equivalencia calorífica, esta será determinada por el Ministerio de Minas y Energía. | |
| Diferencia entre el precio del combustible fósil, o de la mezcla obligatoria con un biocombustible por disposición gubernamental, puesto en el sitio de la planta i del parque de generación inicial y el precio del combustible fósil sustituto, o de la mezcla mencionada, puesto en el sitio de la planta. Esta variable se expresa en pesos por millones de BTU ($/MBTU). En caso de que la planta utilizara Diésel número 2 o Diésel número 6 como combustible, este consumo será expresado en pesos por galón ($/gal). Para aquellos casos en que el nuevo combustible utilizado sea un recurso renovable, | |
| Eim–1: | Energía entregada al sistema de distribución, en el mes m-1, por la planta i del parque de generación que fue adecuada, reemplazada o cuyo combustible fue sustituido por uno más económico. Esta variable se expresa en kilovatios hora (kWh) y será medida en bornes del generador. |
PARÁGRAFO 1o. Esta fórmula tarifaria tendrá vigencia de conformidad con lo establecido en los procesos competitivos adelantados por la autoridad contratante.
PARÁGRAFO 2o. Los cargos para remunerar la actividad o las actividades que no sean objeto de un proceso competitivo se calcularán de acuerdo con la metodología de cargo máximo regulado por costos medios, según lo establezca la CREG.
PARÁGRAFO 3o. El componente Am únicamente se aplicará para aquellas plantas del parque de generación inicial cuya adecuación, reemplazo o cambio de combustible por uno más económico no haya sido incorporado en la oferta del adjudicatario de la obligación de prestación del servicio y cuando estas modificaciones se realicen a partir del sexto año del periodo de vigencia de la obligación de prestación del servicio.
PARÁGRAFO 4o. En caso de que el combustible fósil sustituido sea gas combustible, para efectos del cálculo de la variable
PCm, el valor del precio del combustible fósil puesto en el sitio de la planta i del parque de generación inicial será el precio del gas determinado en el último contrato celebrado por el adjudicatario de la obligación de prestación del servicio de energía eléctrica en el ASE, indexado por el índice de precios al productor, IPP.
PARÁGRAFO 5o. En caso de que
PCm sea menor que cero, este término se entenderá igual a cero.
ARTÍCULO 18. DETERMINACIÓN DEL COMPONENTE DE GENERACIÓN CUANDO LOS USUARIOS ASUMEN EL RIESGO DE DEMANDA. Si se asigna el riesgo de demanda a los usuarios del servicio, el componente de generación se calculará de la siguiente manera:
![]()
Donde:
| Gm: | Componente de generación, para el mes m, expresado en pesos por kilovatio hora ($/kWh). |
| GIAOMm: | Ingreso regulado compuesto por los costos de inversión y los gastos de administración, operación y mantenimiento en generación, para el mes m. El ingreso será el ofertado por el adjudicatario de la obligación de prestación del servicio en la propuesta que presente en el proceso competitivo, dicha propuesta deberá discriminar los componentes descritos. En estos gastos no se consideran los combustibles de origen fósil, o las mezclas obligatorias de estos con biocombustibles utilizados en la operación, por disposición gubernamental. Este valor, expresado en pesos por kilovatio hora ($/kWh), se estimará así: |

Donde:
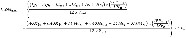
| Igt: | Ingreso regulado para el año t del período de vigencia de la obligación de prestación del servicio, que remunera las inversiones requeridas para la actividad de generación. Este ingreso, expresado en pesos ($) del mes anterior al de la realización del proceso competitivo, corresponderá a las inversiones en generación realizadas por el adjudicatario para atender la demanda máxima proyectada y será el ofertado por el adjudicatario de la obligación de prestación del servicio en la propuesta que presente en el proceso competitivo. Este valor podrá incrementarse en caso de que sea necesario hacer nuevas inversiones para atender la demanda adicional que haga que la demanda real supere la demanda límite establecida por el adjudicatario quien deberá acometer tales nuevas inversiones mediante un proceso competitivo. |
| Ingreso regulado para el año t del período de vigencia de la obligación de prestación del servicio, que remunera al prestador del servicio las inversiones adicionales requeridas para la actividad de generación cuando la demanda real supere el límite establecido por el adjudicatario. Cuando ello ocurra el adjudicatario deberá informar cuál es su nueva demanda límite. Este ingreso adicional no desaparecerá durante el tiempo remanente del contrato y se calculará así: | |
![]()
Donde:
| Ig: | Inversiones adicionales requeridas para la actividad de generación, cuyo reconocimiento es el resultado de un proceso competitivo, cuando la demanda real supere el límite establecido por el adjudicatario para el año t del periodo de vigencia de la obligación de prestación del servicio. |
| WACCzni: | Tasa de descuento vigente aplicable para la remuneración de las inversiones en generación y distribución en las zonas no interconectadas. |
| AOMgt: | Ingreso regulado para el año t del período de vigencia de la obligación de prestación del servicio que remunera al prestador del servicio los gastos de AOM requeridos para la actividad de generación. Este ingreso, expresado en pesos ($) del mes anterior al de la realización del proceso competitivo, corresponderá a los gastos AOM en generación realizados por el adjudicatario para atender la demanda máxima proyectada. El ingreso será el ofertado por el adjudicatario de la obligación de prestación del servicio en la propuesta que presente en el proceso competitivo. |
| Ingreso regulado para el año t del período de vigencia de la obligación de prestación del servicio, que remunera al prestador del servicio los gastos AOM adicionales requeridos para la actividad de generación cuando se supera la demanda máxima proyectada por el Ministerio de Minas y Energía en el proceso competitivo inicial. El costo unitario de este | |
| IPPm–1: | Índice de precios al productor publicado por el DANE, para el mes m-1. |
| IPPo: | Índice de precios al productor publicado por el DANE, para el mes anterior al de realización del proceso competitivo. |
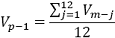
| Vp–1: | Promedio de las ventas mensuales de energía de los últimos doce (12) meses, expresado en kilovatios hora (kWh), calculado de la siguiente manera: |
![]()
| Vm–j: | Ventas de energía eléctrica para el mes m-j, expresadas en kilovatios hora (kWh). |
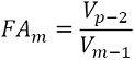
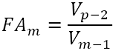
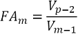
| FAm: | Factor de ajuste al ingreso máximo regulado, para el mes m. Este ajuste se hará a partir del segundo mes del período de vigencia, de la siguiente manera: |
![]()
Donde:
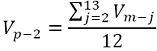
| Vp–2: | Promedio de las ventas mensuales de energía de los doce (12) meses anteriores al mes m-1, expresado en kilovatios hora (kWh). El cálculo se hará de la siguiente manera: |
![]()
| Vm–j: | Ventas mensuales de energía del mes m-j, expresado en kilovatios hora (kWh). |
| Gcm: | Ingreso regulado compuesto por los costos de los combustibles de origen fósil, o de las mezclas obligatorias de estos con biocombustibles por disposición gubernamental, puestos en el sitio de operación de las plantas del parque de generación, para el mes m. Este valor, expresado en pesos por kilovatio hora ($/kWh), se calculará así: |

Donde:
| Etm–1: | Energía total entregada al sistema de distribución en el mes m-1, por las n plantas del parque de generación. Este valor se expresa en kilovatios hora (kWh) y será medida en bornes del generador. |
| CECi: | Consumo específico de combustible de origen fósil de la planta i del parque de generación, expresado en millones de BTU por kilovatio hora (MBTU/kWh). En caso de que la planta utilice Diésel número 2 o Diésel número 6 como combustible, este consumo será expresado en galones por kilovatio hora (gal/kWh). El valor de esta variable será el ofertado por el adjudicatario de la obligación de prestación del servicio, para cada planta i a utilizar, en la propuesta que presente en el proceso competitivo. El consumo específico de combustible será calculado en bornes del generador. En caso de ser necesaria la aplicación de una equivalencia calorífica, esta será determinada por el Ministerio de Minas y Energía. |
| PCm: | Precio del combustible de origen fósil, o de su mezcla obligatoria con un biocombustible por disposición gubernamental, puesto en el sitio de la planta i del parque de generación, en el mes m, expresado en pesos por millón de BTU ($/MBTU) de forma general y en pesos por galón ($/gal) cuando el combustible empleado sea diésel No. 2, Diésel número 6 o la mezcla mencionada. El precio del combustible puesto en el sitio de la planta será definido por el Ministerio de Minas y Energía, con excepción del caso en que se utilice gas combustible, cuyo precio se encuentra regulado por la comisión mediante Resolución CREG 059 de 2009 o aquella que la modifique o sustituya. |
| Eim–1: | Energía entregada al sistema de distribución por la planta i, en el mes m-1, expresada en kilovatios hora (kWh) y medida en bornes del generador. |
| TMm: | Cargo de monitoreo correspondiente al mes m de prestación del servicio, expresado en pesos por kilovatio hora ($/kWh). |
PARÁGRAFO 1o. Una vez realizadas las inversiones adicionales cuando se supere la demanda límite establecida por el adjudicatario en el proceso competitivo inicial, el ingreso por este concepto para el año t del período remanente de la obligación de prestación del servicio seguirá siendo reconocido aún en aquellos casos en que la demanda disminuya. Por su parte, el ingreso para remunerar los gastos de AOM en generación dependerá directamente de la demanda atendida por el prestador del servicio.
PARÁGRAFO 2o. Para amortizar la nueva inversión requerida en generación para atender la demanda adicional, por el periodo de tiempo restante del contrato, se empleará el costo promedio de capital establecido para las ZNI en la Resolución CREG 091 de 2007, o aquella que la modifique o sustituya.
ARTÍCULO 19. DETERMINACIÓN DEL COMPONENTE DE GENERACIÓN CUANDO EL ADJUDICATARIO DE LA OBLIGACIÓN DE PRESTACIÓN DEL SERVICIO PARA LA ACTIVIDAD DE GENERACIÓN ASUME EL RIESGO DE DEMANDA. Si se asigna el riesgo de demanda al prestador del servicio, el cargo de generación se calculará de la siguiente manera:
![]()
Donde:
| Gm: | Componente de generación, para el mes m, expresado en pesos por kilovatio hora ($/kWh). |
| GIAOMm: | Precio máximo regulado compuesto por los costos de inversión y los gastos de administración, operación y mantenimiento en generación, para el mes m. En estos gastos no se consideran los combustibles de origen fósil, o las mezclas obligatorias de estos con biocombustibles utilizados en la operación, por disposición gubernamental. Este valor, expresado en pesos por kilovatio hora ($/kWh), se estimará así: |
![]()
Donde:
| IAOMgm: | Precio regulado para el mes m del periodo de vigencia de la obligación de prestación del servicio, que remunera al prestador del servicio las inversiones y los gastos de administración, operación y mantenimiento requeridos para la actividad de generación. Este precio, expresado en pesos por kilovatio hora ($/kWh) del mes anterior al de la realización del proceso competitivo, será el ofertado por el adjudicatario de la obligación de prestación del servicio en la propuesta que presente en dicho proceso. |
| IPPm–1: | Índice de precios al productor publicado por el DANE, para el mes m-1. |
| IPPo: | Índice de precios al productor publicado por el DANE, para el mes anterior al de realización del proceso competitivo. |
| Gcm: | Costos de los combustibles de origen fósil, o de las mezclas obligatorias de estos con biocombustibles por disposición gubernamental, puestos en el sitio de operación de las plantas del parque de generación, para el mes m. Este valor, expresado en pesos por kilovatio hora ($/kWh), se calculará así: |

Donde:
| Etm–1: | Energía total entregada al sistema de distribución en el mes m-1, por las n plantas del parque de generación. Este valor se expresa en kilovatios hora (kWh) y será medida en bornes del generador. |
| CECi: | Consumo específico de combustible de origen fósil de la planta i del parque de generación, expresado en millones de BTU por kilovatio hora (MBTU/kWh). En caso de que la planta utilice Diésel número 2 o Diésel número 6 como combustible, este consumo será expresado en galones por kilovatio hora (gal/kWh). El valor de esta variable será el ofertado por el adjudicatario de la obligación de prestación del servicio, para cada planta i a utilizar, en la propuesta que presente en el proceso competitivo. El consumo específico de combustible será calculado en bornes del generador. En caso de ser necesaria la aplicación de una equivalencia calorífica, esta será determinada por el Ministerio de Minas y Energía. |
| PCm: | Precio del combustible de origen fósil, o de su mezcla obligatoria con un biocombustible por disposición gubernamental, puesto en el sitio de la planta i del parque de generación, en el mes m, expresado en pesos por millón de BTU ($/MBTU) de forma general y en pesos por galón ($/gal) cuando el combustible empleado sea Diésel número 2, Diésel número 6 o la mezcla mencionada. El precio del combustible puesto en el sitio de la planta será definido por el Ministerio de Minas y Energía, con excepción del caso en que se utilice gas combustible, cuyo precio se encuentra regulado por la comisión mediante Resolución CREG 059 de 2009 o aquella que la modifique o sustituya. |
| Eim–1: | Energía entregada al sistema de distribución por la planta i, en el mes m-1, expresada en kilovatios hora (kWh) y medida en bornes del generador. |
| TMm: | Cargo de monitoreo correspondiente al mes m de prestación del servicio, expresado en pesos por kilovatio hora ($/kWh). |
ARTÍCULO 20. DETERMINACIÓN DEL COMPONENTE DE DISTRIBUCIÓN CUANDO LOS USUARIOS ASUMEN EL RIESGO DE DEMANDA. Si se asigna el riesgo de demanda a los usuarios del servicio, el componente de distribución se calculará de la siguiente manera:
![]()
Donde:
| Dn,m: | Componente de distribución para el nivel de tensión n, para el mes m, expresado en pesos por kilovatio hora ($/kWh). |
| DIAOMn,m: | Ingreso regulado compuesto por los costos de inversión y los gastos de administración, operación y mantenimiento en distribución, para el nivel de tensión n, en el mes m. El ingreso será el ofertado por el adjudicatario de la obligación de prestación del servicio en la propuesta que presente en el proceso competitivo. Este valor podrá incrementarse en caso de que sea necesario hacer nuevas inversiones para atender la demanda adicional que haga que la demanda real supere la demanda límite establecida por el adjudicatario quien deberá acometer tales nuevas inversiones mediante un proceso competitivo y estará expresado en pesos por kilovatio hora ($/kWh), se estimará así: |

Donde:
| Idn,t: | Ingreso regulado para el nivel de tensión n, para el año t del periodo de vigencia de la obligación de prestación del servicio, que remunera al prestador del servicio las inversiones requeridas para la actividad de distribución. El ingreso será el ofertado por el adjudicatario de la obligación de prestación del servicio en la propuesta que presente en el proceso competitivo. Este ingreso, expresado en pesos ($) del mes anterior al de la realización del proceso competitivo, corresponderá a las inversiones en distribución realizadas por el adjudicatario para atender la demanda máxima proyectada. |
| Ingreso regulado para el nivel de tensión n, para el año t del período de vigencia de la obligación de prestación del servicio, que remunera al prestador del servicio las inversiones adicionales requeridas para la actividad de distribución cuando la demanda real supere el límite establecido por el adjudicatario. Cuando ello ocurra el adjudicatario deberá informar cuál es su nueva demanda limite. Este ingreso adicional no desaparecerá durante el tiempo remanente del contrato y se calculará así: | |
![]()
Donde:
| Id: | Inversiones adicionales requeridas para la actividad de distribución, cuyo reconocimiento es el resultado de un proceso competitivo, cuando la demanda real supere el límite establecido por el adjudicatario para el año t del periodo de vigencia de la obligación de prestación del servicio. |
| WACCzni: | Tasa de descuento vigente aplicable para la remuneración de las inversiones en generación y distribución en las zonas no interconectadas. |
| AOMdn,t: | Ingreso regulado para el nivel de tensión n, para el año t del periodo de vigencia de la obligación de prestación del servicio, que remunera al prestador del servicio los gastos de AOM requeridos para la actividad de distribución. Este ingreso, expresado en pesos ($) del mes anterior al de la realización del proceso competitivo, corresponderá a los gastos AOM en distribución realizados por el adjudicatario para atender la demanda máxima proyectada. |
| Ingreso regulado para el nivel de tensión n, para el año t del periodo de vigencia de la obligación de prestación del servicio que remunera al prestador del servicio los gastos AOM adicionales requeridos para la actividad de distribución cuando se supera la demanda máxima proyectada por el Ministerio de Minas y Energía en el proceso competitivo inicial. | |
| IPPm–1: | Índice de precios al productor publicado por el DANE, para el mes m-1. |
| IPPo: | Índice de precios al productor publicado por el DANE, para el mes anterior al de realización del proceso competitivo. |
| Vp–1: | Promedio de las ventas mensuales de energía de los últimos doce (12) meses, expresado en kilovatios hora (kWh), calculado de la siguiente manera: |
![]()
| Vm–j: | Ventas de energía eléctrica para el mes m-j, expresadas en kilovatios hora (kWh). |
| FAm: | Factor de ajuste al ingreso máximo regulado, para el mes m. Este ajuste se hará a partir del segundo mes del periodo de vigencia, de la siguiente manera: |

Donde:
| Vp–2: | Promedio de las ventas mensuales de energía de los doce (12) meses anteriores al mes m-1, expresado en kilovatios hora (kWh). El cálculo se hará de la siguiente manera: |

| Vm–j: | Ventas mensuales de energía del mes m-j, expresado en kilovatios hora (kWh). |
PARÁGRAFO 1o. Una vez realizadas las inversiones adicionales cuando se supera la demanda límite establecida por el adjudicatario en el proceso competitivo inicial, el ingreso regulado por este concepto para el año t del periodo remanente de la obligación de prestación del servicio seguirá siendo reconocido aún en aquellos casos en que la demanda disminuya. Por su parte, el ingreso regulado para remunerar los gastos de AOM en distribución dependerá directamente de la demanda atendida por el prestador del servicio.
PARÁGRAFO 2o. Para amortizar la nueva inversión requerida en distribución para atender la demanda adicional, por el periodo de tiempo restante del contrato, se empleará el costo promedio de capital establecido para las ZNI en la Resolución CREG 091 de 2007, o aquella que la modifique o sustituya.
ARTÍCULO 21. DETERMINACIÓN DEL COMPONENTE DE DISTRIBUCIÓN CUANDO EL ADJUDICATARIO DE LA OBLIGACIÓN DE PRESTACIÓN DEL SERVICIO PARA LA ACTIVIDAD DE DISTRIBUCIÓN ASUME EL RIESGO DE DEMANDA. Si se asigna el riesgo de demanda al prestador del servicio, el componente de distribución se calculará de la siguiente manera:
![]()
Donde:
| Dn,m: | Componente de distribución, para el nivel de tensión n, para el mes m, expresado en pesos por kilovatio hora ($/kWh). |
| DIAOMn,m: | Precio máximo regulado compuesto por los costos de inversión y los gastos de administración, operación y mantenimiento en distribución, para el nivel de tensión n, para el mes m. Este valor, expresado en pesos por kilovatio hora ($/kWh), se estimará así: |

Donde:
| IAOMdn,m: | Precio regulado para el nivel de tensión n, para el mes m del período de vigencia de la obligación de prestación del servicio, que remunera al prestador del servicio las inversiones y los gastos de administración, operación y mantenimiento requeridos para la actividad de distribución. Este precio, expresado en pesos por kilovatio hora ($/kWh) del mes anterior al de la realización del proceso competitivo, será el ofertado por el adjudicatario de la obligación de prestación del servicio en la propuesta que presente en dicho proceso. |
| IPPm–1: | Índice de precios al productor publicado por el DANE, para el mes m-1. |
| IPPo: | Índice de precios al productor publicado por el DANE, para el mes anterior al de realización del proceso competitivo. |
ARTÍCULO 22. DETERMINACIÓN DEL COMPONENTE DE COMERCIALIZACIÓN CUANDO LOS USUARIOS ASUMEN EL RIESGO DE DEMANDA. Si se asigna el riesgo de demanda a los usuarios del servicio, el componente de comercialización se calculará de la siguiente manera:
![]()
Donde:
| Cm: | Componente de comercialización para el mes m, expresado en pesos por kilovatio hora ($/kWh). |
| CIAOMm: | Ingreso regulado compuesto por los costos de inversión y los gastos de administración, operación y mantenimiento en comercialización, para el mes m. El ingreso será el ofertado por el adjudicatario de la obligación de prestación del servicio en la propuesta que presente en el proceso competitivo. Este valor podrá incrementarse en caso de que sea necesario hacer nuevas inversiones para atender la demanda adicional que haga que la demanda real supere la demanda límite establecida por el adjudicatario quien deberá acometer tales nuevas inversiones mediante un proceso competitivo, expresado en pesos por kilovatio hora ($/kWh), se estimará así: |

Donde:
| Ict: | Ingreso regulado para el año t del periodo de vigencia de la obligación de prestación del servicio, que remunera al prestador del servicio las inversiones requeridas para la actividad de comercialización. Este ingreso, expresado en pesos ($) del mes anterior al de la realización del proceso competitivo, corresponderá a las inversiones en comercialización realizadas por el adjudicatario para atender la demanda máxima proyectada. |
| Ingreso regulado para el año t del periodo de vigencia de la obligación de prestación del servicio, que remunera al prestador del servicio las inversiones adicionales requeridas para la actividad de comercialización cuando la demanda real supere el límite establecido por el adjudicatario. Cuando ello ocurra el adjudicatario deberá informar cuál es su nueva demanda límite. Este ingreso adicional no desaparecerá durante el tiempo remanente del contrato y se calculará así: | |

Donde:
| Ic: | Inversiones adicionales requeridas para la actividad de comercialización, cuyo reconocimiento es el resultado de un proceso competitivo, cuando la demanda real supere el límite establecido por el adjudicatario para el año t del periodo de vigencia de la obligación de prestación del servicio. |
| WACCzni: | Tasa de descuento vigente aplicable para la remuneración de las inversiones en generación y distribución en las zonas no interconectadas. |
| AOMct: | Ingreso regulado para el año t del período de vigencia de la obligación de prestación del servicio, que remunera al prestador del servicio los gastos de AOM requeridos para la actividad de comercialización. Este ingreso, expresado en pesos ($) del mes anterior al de la realización del proceso competitivo, corresponderá a los gastos AOM en comercialización realizados por el adjudicatario para atender la demanda máxima proyectada. En el caso que se supere la demanda máxima proyectada por el Ministerio de Minas y Energía, el adjudicatario podrá solicitar a la autoridad contratante, con los soportes respectivos, la remuneración de los gastos AOM incurridos para atender la demanda adicional. |
| Ingreso regulado para el año t del periodo de vigencia de la obligación de prestación del servicio, que remunera al prestador del servicio los gastos AOM adicionales requeridos para la actividad de comercialización cuando se supera la demanda máxima proyectada por el Ministerio de Minas y Energía en el proceso competitivo inicial. | |
| IPPm–1: | Índice de precios al productor publicado por el DANE, para el mes m-1. |
| IPPo: | Índice de precios al productor publicado por el DANE, para el mes anterior al de realización del proceso competitivo. |
| Vp–1: | Promedio de las ventas mensuales de energía de los últimos doce (12) meses, expresado en kilovatios hora (kWh), calculado de la siguiente manera: |

| Vm–j: | Ventas de energía eléctrica para el mes m-j, expresadas en kilovatios hora (kWh). |
| FAm: | Factor de ajuste al ingreso máximo regulado, para el mes m. Este ajuste se hará a partir del segundo mes del periodo de vigencia, de la siguiente manera: |

Donde:
| Vp–2: | Promedio de las ventas mensuales de energía de los doce (12) meses anteriores al mes m-1, expresado en kilovatios hora (kWh). El cálculo se hará de la siguiente manera: |

| Vm–j: | Ventas mensuales de energía del mes m-j, expresado en kilovatios hora (kWh). |
PARÁGRAFO 1o. Una vez realizadas las inversiones adicionales, cuando se supera la demanda límite establecida por el adjudicatario en el proceso competitivo inicial, el ingreso regulado por este concepto para el año t del periodo remanente del contrato seguirá siendo reconocido aún en aquellos casos en que la demanda disminuya. Por su parte, el ingreso regulado para remunerar los gastos de AOM en comercialización dependerá directamente de la demanda atendida por el prestador del servicio.
PARÁGRAFO 2o. Para amortizar la nueva inversión requerida en comercialización para atender la demanda adicional, por el periodo de tiempo restante del contrato, se empleará el costo promedio de capital establecido para las ZNI en la Resolución CREG 091 de 2007, o aquella que la modifique o sustituya.
ARTÍCULO 23. DETERMINACIÓN DEL COMPONENTE DE COMERCIALIZACIÓN CUANDO EL ADJUDICATARIO DE LA OBLIGACIÓN DE PRESTACIÓN DEL SERVICIO PARA LA ACTIVIDAD DE COMERCIALIZACIÓN ASUME EL RIESGO DE DEMANDA. Si se asigna el riesgo de demanda al prestador del servicio, el componente de comercialización se calculará de la siguiente manera:
![]()
Donde:
| Cm: | Componente de comercialización, para el mes m, expresado en pesos por kilovatio hora ($/kWh). |
| CIAOMm: | Precio máximo regulado compuesto por los costos de inversión y los gastos de administración, operación y mantenimiento en comercialización, para el mes m. Este valor, expresado en pesos por kilovatio hora ($/kWh), se estimará así: |

Donde:
| IAOMcm: | Precio regulado para el mes m del periodo de vigencia de la obligación de prestación del servicio, que remunera al prestador del servicio las inversiones y los gastos de administración, operación y mantenimiento requeridos para la actividad de comercialización. Este precio, expresado en pesos por kilovatio hora ($/kWh) del mes anterior al de la realización del proceso competitivo, será el ofertado por el adjudicatario de la obligación de prestación del servicio en la propuesta que presente en dicho proceso. |
| IPPm–1: | Índice de precios al productor publicado por el DANE, para el mes m-1. |
| IPPo: | Índice de precios al productor publicado por el DANE, para el mes anterior al de realización del proceso competitivo. |
FÓRMULA TARIFARIA PARA LAS ÁREAS DE SERVICIO EXCLUSIVO CONFORMADAS PARA TODAS LAS ACTIVIDADES DEL SERVICIO PÚBLICO DE ENERGÍA ELÉCTRICA EN LAS ZNI.
ARTÍCULO 24. FÓRMULAS TARIFARIAS GENERALES PARA USUARIOS REGULADOS DEL SERVICIO PÚBLICO DE ENERGÍA ELÉCTRICA PARA PROCESOS COMPETITIVOS POR TODAS LAS ACTIVIDADES CUANDO LOS USUARIOS ASUMEN EL RIESGO DE DEMANDA. Cuando la autoridad contratante realice un único proceso competitivo para adjudicar la obligación de prestación del servicio de todas las actividades para la prestación del servicio público de energía eléctrica en un área de servicio exclusivo y se asigne el riesgo de demanda a los usuarios del servicio, la fórmula tarifaria general aplicable a los usuarios regulados del servicio público domiciliario de energía eléctrica tendrá los siguientes componentes:

Donde:
| CUn,m: | Costo unitario de prestación del servicio de energía eléctrica, para el nivel de tensión n, para el mes m, expresado en pesos por kilovatio hora ($/kWh). |
| IAOMn,m: | Remuneración de la inversión y de los gastos de AOM en generación, en distribución por nivel de tensión n, y en comercialización, para el mes m. En estos gastos no se consideran los combustibles de origen fósil, o las mezclas obligatorias de estos con biocombustibles utilizados en la operación, por disposición gubernamental. Este valor, expresado en pesos por kilovatio hora ($/kWh), se estimará así: |

Donde:
| Igt: | Ingreso regulado para el año t del periodo de vigencia de la obligación de prestación del servicio, que remunera las inversiones requeridas para la actividad de generación. Este ingreso, expresado en pesos ($) del mes anterior al de la realización del proceso competitivo, corresponderá a las inversiones en generación realizadas por el adjudicatario para atender la demanda máxima proyectada y será el ofertado por el adjudicatario de la obligación de prestación del servicio en la propuesta que presente en el proceso competitivo. Este valor podrá incrementarse en caso de que sea necesario hacer nuevas inversiones para atender la demanda adicional que haga que la demanda real supere la demanda límite establecida por el adjudicatario quien deberá acometer tales nuevas inversiones mediante un proceso competitivo. |
| Ingreso regulado para el año t del período de vigencia de la obligación de prestación del servicio, que remunera al prestador del servicio las inversiones adicionales requeridas para la actividad de generación cuando la demanda real supere el límite establecido por el adjudicatario. Cuando ello ocurra el adjudicatario deberá informar cuál es su nueva demanda límite. Este ingreso adicional no desaparecerá durante el tiempo remanente del contrato y se calculará así: | |

Donde:
| Ig: | Inversiones adicionales requeridas para la actividad de generación, cuyo reconocimiento es el resultado de un proceso competitivo, cuando la demanda real supere el límite establecido por el adjudicatario para el año t del periodo de vigencia de la obligación de prestación del servicio. |
| WACCzni: | Tasa de descuento vigente aplicable para la remuneración de las inversiones en generación y distribución en las zonas no interconectadas. |
| Idn,t: | Ingreso regulado para el nivel de tensión n, para el año t del periodo de vigencia de la obligación de prestación del servicio, que remunera al prestador del servicio las inversiones requeridas para la actividad de distribución. El ingreso será el ofertado por el adjudicatario de la obligación de prestación del servicio en la propuesta que presente en el proceso competitivo. Este ingreso, expresado en pesos ($) del mes anterior al de la realización del proceso competitivo, corresponderá a las inversiones en distribución realizadas por el adjudicatario para atender la demanda máxima proyectada. |
| Ingreso regulado para el nivel de tensión n, para el año t del periodo de vigencia de la obligación de prestación del servicio, que remunera al prestador del servicio las inversiones adicionales requeridas para la actividad de distribución cuando la demanda real supere el límite establecido por el adjudicatario. Cuando ello ocurra el adjudicatario deberá informar cuál es su nueva demanda límite. Este ingreso adicional no desaparecerá durante el tiempo remanente del contrato y se calculará así: | |

Donde:
| Id: | Inversiones adicionales requeridas para la actividad de distribución, cuyo reconocimiento es el resultado de un proceso competitivo, cuando la demanda real supere el límite establecido por el adjudicatario para el año t del periodo de vigencia de la obligación de prestación del servicio. |
| WACCzni: | Tasa de descuento vigente aplicable para la remuneración de las inversiones en generación y distribución en las zonas no interconectadas. |
| Ict: | Ingreso regulado para el año t del período de vigencia de la obligación de prestación del servicio, que remunera al prestador del servicio las inversiones requeridas para la actividad de comercialización. Este ingreso, expresado en pesos ($) del mes anterior al de la realización del proceso competitivo, corresponderá a las inversiones en comercialización realizadas por el adjudicatario para atender la demanda máxima proyectada. |
| Ingreso regulado para el año t del período de vigencia de la obligación de prestación del servicio, que remunera al prestador del servicio las inversiones adicionales requeridas para la actividad de comercialización cuando la demanda real supere el límite establecido por el adjudicatario. Cuando ello ocurra el adjudicatario deberá informar cuál es su nueva demanda límite. Este ingreso adicional no desaparecerá durante el tiempo remanente del contrato y se calculará así: | |

Donde:
| Ic: | Inversiones adicionales requeridas para la actividad de comercialización, cuyo reconocimiento es el resultado de un proceso competitivo, cuando la demanda real supere el límite establecido por el adjudicatario para el año t del periodo de vigencia de la obligación de prestación del servicio. |
| WACCzni: | Tasa de descuento vigente aplicable para la remuneración de las inversiones en generación y distribución en las zonas no interconectadas. |
| AOMgt: | Ingreso regulado para el año t del período de vigencia de la obligación de prestación del servicio, que remunera al prestador del servicio los gastos de AOM requeridos para la actividad de generación. Este ingreso, expresado en pesos ($) del mes anterior al de la realización del proceso competitivo, corresponderá a los gastos AOM en generación realizados por el adjudicatario para atender la demanda máxima proyectada. |
| Ingreso regulado para el año t del período de vigencia de la obligación de prestación del servicio, que remunera al prestador del servicio los gastos AOM adicionales requeridos para la actividad de generación cuando se supera la demanda máxima proyectada por el Ministerio de Minas y Energía en el proceso competitivo inicial. | |
| AOMdn,t: | Ingreso regulado para el nivel de tensión n, para el año t del período de vigencia de la obligación de prestación del servicio, que remunera al prestador del servicio los gastos de AOM requeridos para la actividad de distribución. Este ingreso, expresado en pesos ($) del mes anterior al de la realización del proceso competitivo, corresponderá a los gastos AOM en distribución realizados por el adjudicatario para atender la demanda máxima proyectada. |
| Ingreso regulado para el nivel de tensión n, para el año t del período de vigencia de la obligación de prestación del servicio que remunera al prestador del servicio los gastos AOM adicionales requeridos para la actividad de distribución cuando se supera la demanda máxima proyectada por el Ministerio de Minas y Energía en el proceso competitivo inicial. | |
| AOMct: | Ingreso regulado para el año t del período de vigencia de la obligación de prestación del servicio, que remunera al prestador del servicio los gastos de AOM requeridos para la actividad de comercialización. Este ingreso, expresado en pesos ($) del mes anterior al de la realización del proceso competitivo, corresponderá a los gastos AOM en comercialización realizados por el adjudicatario para atender la demanda máxima proyectada. |
| Ingreso regulado para el año t del período de vigencia de la obligación de prestación del servicio, que remunera al prestador del servicio los gastos AOM adicionales requeridos para la actividad de comercialización cuando se supera la demanda máxima proyectada por el Ministerio de Minas y Energía en el proceso competitivo inicial. | |
| IPPm–1: | Índice de precios al productor publicado por el DANE, para el mes m-1. |
| IPPo: | Índice de precios al productor publicado por el DANE, para el mes anterior al de realización del proceso competitivo. |
| Vp–1: | Promedio de las ventas mensuales de energía de los últimos doce (12) meses, expresado en kilovatios hora (kWh), calculado de la siguiente manera: |

| Vm–j: | Ventas de energía eléctrica para el mes m-j, expresadas en kilovatios hora (kWh). |
| FAm: | Factor de ajuste al ingreso máximo regulado, para el mes m. Este ajuste se hará a partir del segundo mes del período de vigencia, de la siguiente manera: |

Donde:
| Vp–2: | Promedio de las ventas mensuales de energía de los doce (12) meses anteriores al mes m-1, expresado en kilovatios hora (kWh). El cálculo se hará de la siguiente manera: |

| Vm–j: | Ventas mensuales de energía del mes m-j, expresado en kilovatios hora (kWh). |
| Gcm: | Ingreso regulado compuesto por los costos de los combustibles de origen fósil, o de las mezclas obligatorias de estos con biocombustibles por disposición gubernamental, puestos en el sitio de operación de las plantas del parque de generación, para el mes m. Este valor, expresado en pesos por kilovatio hora ($/kWh), se calculará así: |

Donde:
| Etm–1: | Energía total entregada al sistema de distribución en el mes m-1, por las n plantas del parque de generación. Este valor se expresa en kilovatios hora (kWh) y será medida en bornes del generador. |
| CECi: | Consumo específico de combustible de origen fósil de la planta i del parque de generación, expresado en millones de BTU por kilovatio hora (MBTU/kWh). En caso de que la planta utilice Diésel número 2 o Diésel número 6 como combustible, este consumo será expresado en galones por kilovatio hora (gal/kWh). El valor de esta variable será el ofertado por el adjudicatario de la obligación de prestación del servicio, para cada planta i a utilizar, en la propuesta que presente en el proceso competitivo. El consumo específico de combustible será calculado en bornes del generador. En caso de ser necesaria la aplicación de una equivalencia calorífica, esta será determinada por el Ministerio de Minas y Energía. |
| PCm: | Precio del combustible de origen fósil, o de su mezcla obligatoria con un biocombustible por disposición gubernamental, puesto en el sitio de la planta i del parque de generación, en el mes m, expresado en pesos por millón de BTU ($/MBTU) de forma general y en pesos por galón ($/gal) cuando el combustible empleado sea Diésel número 2, Diésel número 6 o la mezcla mencionada. El precio del combustible puesto en el sitio de la planta será definido por el Ministerio de Minas y Energía, con excepción del caso en que se utilice gas combustible, cuyo precio se encuentra regulado por la comisión mediante Resolución CREG 059 de 2009 o aquella que la modifique o sustituya. |
| Eim–1: | Energía entregada al sistema de distribución por la planta i, en el mes m-1, expresada en kilovatios hora (kWh) y medida en bornes del generador. |
| Am: | Ahorro en los costos de combustibles de origen fósil, ya sea por la adecuación de las plantas de generación, por el reemplazo de alguna de estas o por la sustitución de combustible, en el mes m, expresado en pesos por kilovatio hora ($/kWh), calculado de la siguiente manera: |

Donde:
| Etm–1: | Energía total entregada al sistema de distribución en el mes m-1, por las n plantas del parque de generación. Este valor se expresa en kilovatios hora (kWh) y será medida en bornes del generador. |
| k: | Número de plantas que fueron adecuadas, reemplazadas o para las cuales se sustituyeron combustibles por otros más económicos. |
| i: | Planta i del parque de generación. |
| Consumo específico de combustible de origen fósil de la planta i del parque de generación inicial que fue adecuada, reemplazada o cuyo combustible fue sustituido por uno más económico. Esta variable se expresa en millones de BTU por kilovatio hora (MBTU/kWh). En caso de que la planta utilizara Diésel número 2 o Diésel número 6 como combustible, este consumo será expresado en galones por kilovatio hora (gal/kWh). El valor de esta variable será el ofertado por el adjudicatario de la obligación de prestación del servicio, para cada planta i, en la propuesta que presente en el proceso competitivo. El consumo específico de combustible será calculado en bornes del generador. En caso de ser necesaria la aplicación de una equivalencia calorífica, esta será determinada por el Ministerio de Minas y Energía. | |
| Diferencia entre el precio del combustible fósil, o de la mezcla obligatoria con un biocombustible por disposición gubernamental, puesto en el sitio de la planta i del parque de generación inicial y el precio del combustible sustituto, o de la mezcla mencionada, puesto en el sitio de la planta. Esta variable se expresa en pesos por millones de BTU ($/MBTU). En caso de que la planta utilizara Diésel número 2 o Diésel número 6 como combustible, este consumo será expresado en pesos por galón ($/gal). Para aquellos casos en que el nuevo combustible utilizado sea un recurso renovable, | |
| Eim–1: | Energía entregada al sistema de distribución, en el mes m-1, por la planta i del parque de generación que fue adecuada, reemplazada o cuyo combustible fue sustituido por uno más económico. Esta variable se expresa en kilovatios hora (kWh) y será medida en bornes del generador. |
| pDn,m: | Pérdidas de energía del sistema de distribución, en el nivel de tensión n, para el mes m. Este nivel de pérdidas será el ofertado por el adjudicatario de la obligación de prestación del servicio en la propuesta que presente en el proceso competitivo. Este valor se expresa como una fracción de la energía medida en bornes del generador y que sea transferida al sistema de distribución. |
| TMm: | Cargo de monitoreo correspondiente al mes m de prestación del servicio, expresado en pesos por kilovatio hora ($/kWh). |
PARÁGRAFO 1o. Una vez realizadas las inversiones adicionales cuando se supera la demanda límite establecida por el adjudicatario en el proceso competitivo inicial, el ingreso regulado por este concepto para el año t del período remanente de la obligación de prestación del servicio seguirá siendo reconocido aun en aquellos casos en que la demanda disminuya. Por su parte, el ingreso regulado para remunerar los gastos de AOM en generación, distribución y comercialización dependerá directamente de la demanda atendida por el prestador del servicio.
PARÁGRAFO 2o. Para amortizar la nueva inversión requerida en generación, distribución y/o comercialización para atender la demanda adicional, por el periodo de tiempo restante del contrato, se empleará el costo promedio de capital establecido para las ZNI en la Resolución CREG 091 de 2007, o aquella que la modifique o sustituya.
PARÁGRAFO 3o. El componente Am únicamente se aplicará para aquellas plantas del parque de generación inicial cuya adecuación, reemplazo o cambio de combustible por uno más económico no haya sido incorporado en la oferta del adjudicatario de la obligación de prestación del servicio y cuando estas modificaciones se realicen a partir del sexto año del periodo de vigencia de la obligación de prestación del servicio.
PARÁGRAFO 4o. En caso de que el combustible fósil sustituido sea gas combustible, para efectos del cálculo de la variable
PCm, el valor del precio del combustible fósil puesto en el sitio de la planta i del parque de generación inicial será el precio del gas determinado en el último contrato celebrado por el adjudicatario de la obligación de prestación del servicio de energía eléctrica en el ASE, indexado por el índice de precios al productor, IPP.
PARÁGRAFO 5o. En caso de que
PCm sea menor que cero, este término se entenderá igual a cero.
PARÁGRAFO 6o. Para el sistema de medición de electricidad en zonas no interconectadas, se tendrá en cuenta lo previsto en las Leyes 142 y 143 de 1994 y las demás normas aplicables vigentes.
PARÁGRAFO 7o. La información producida por cada prestador del servicio será enviada al Ministerio de Minas y Energía y formará parte del Sistema Único de Información que administra la Superintendencia de Servicios Públicos Domiciliarios y de la información del Fondo de Solidaridad y Redistribución de Ingresos que administra el Ministerio de Minas y Energía para la definición de subsidios y contribuciones del sector eléctrico.
PARÁGRAFO 8o. A partir de la entrada en vigencia del cargo de monitoreo, se cobrará el componente TMm incluido en la fórmula tarifaria general. Este componente será igual a cero hasta tanto el sistema de medición comience a ser adelantado por una unidad independiente para el sector eléctrico, por parte de un agente sujeto a la regulación de la Comisión de Regulación de Energía y Gas y la inspección, vigilancia y control de la Superintendencia de Servicios Públicos Domiciliarios.
PARÁGRAFO 9o. La Comisión de Regulación de Energía y Gas podrá revisar el cargo de monitoreo.
PARÁGRAFO 10. Los adjudicatarios deberán instalar equipos de medición a distancia, los cuales deberán contar con parámetros de medición compatibles con el Centro Nacional de Monitoreo (CNM) o el que se encuentre vigente.
PARÁGRAFO 11. Para todos los efectos, lo dispuesto en el presente artículo aplica a todas las tecnologías de generación.
ARTÍCULO 25. FÓRMULAS TARIFARIAS GENERALES PARA USUARIOS REGULADOS DEL SERVICIO PÚBLICO DE ENERGÍA ELÉCTRICA PARA PROCESOS COMPETITIVOS POR TODAS LAS ACTIVIDADES CUANDO EL ADJUDICATARIO DE LA OBLIGACIÓN DE PRESTACIÓN DEL SERVICIO ASUME EL RIESGO DE DEMANDA. Cuando la autoridad contratante realice un único proceso competitivo para adjudicar la obligación de prestación del servicio de todas las actividades para la prestación del servicio público domiciliario de energía eléctrica en un área de servicio exclusivo y se asigne el riesgo de demanda al adjudicatario de la obligación de prestación del servicio, la fórmula tarifaria general aplicable a los usuarios regulados del servicio público domiciliario de energía eléctrica tendrá los siguientes componentes:

Donde:
| CUn,m: | Costo unitario de prestación del servicio de energía eléctrica, para el nivel de tensión n, para el mes m, expresado en pesos por kilovatio hora ($/kWh). |
| IAOMn,m: | Remuneración de la inversión y de los gastos de AOM en generación, en distribución por nivel de tensión n, y en comercialización, para el mes m. En estos gastos no se consideran los combustibles de origen fósil, o las mezclas obligatorias de estos con biocombustibles utilizados en la operación, por disposición gubernamental. Este valor, expresado en pesos por kilovatio hora ($/kWh), se estimará así: |
Donde:
| IAOMgm: | Precio regulado para el mes m del período de vigencia de la obligación de prestación del servicio, que remunera al prestador del servicio las inversiones y los gastos de administración, operación y mantenimiento requeridos para la actividad de generación. Este precio, expresado en pesos ($) del mes anterior al de la realización del proceso competitivo, será el ofertado por el adjudicatario de la obligación de prestación del servicio en la propuesta que presente en dicho proceso. |
| IAOMdn,m: | Precio regulado para el nivel de tensión n, para el mes m del período de vigencia de la obligación de prestación del servicio, que remunera al prestador del servicio las inversiones y los gastos de administración, operación y mantenimiento requeridos para la actividad de distribución. Este precio expresado en pesos ($) del mes anterior al de la realización del proceso competitivo, será el ofertado por el adjudicatario de la obligación de prestación del servicio en la propuesta que presente en dicho proceso. |
| IAOMcm: | Precio regulado para el mes m del período de vigencia del contrato, que remunera al prestador del servicio las inversiones y los gastos de administración, operación y mantenimiento requeridos para la actividad de comercialización. Este precio, expresado en pesos ($) del mes anterior al de la realización del proceso competitivo, será el ofertado por el adjudicatario de la obligación de prestación del servicio en la propuesta que presente en dicho proceso. |
| IPPm–1: | Índice de precios al productor publicado por el DANE, para el mes m-1. |
| IPPo: | Índice de precios al productor publicado por el DANE, para el mes anterior al de realización del proceso competitivo. |
| Gcm: | Precio regulado compuesto por los costos de los combustibles de origen fósil, o de las mezclas obligatorias de estos con biocombustibles por disposición gubernamental, puestos en el sitio de operación de las plantas del parque de generación, para el mes m. Este valor, expresado en pesos por kilovatio hora ($/kWh), se calculará así: |

Donde:
| Etm–1: | Energía total entregada al sistema de distribución en el mes m-1, por las n plantas del parque de generación. Este valor se expresa en kilovatios hora (kWh) y será medida en bornes del generador. |
| CECi: | Consumo específico de combustible de origen fósil de la planta i del parque de generación, expresado en millones de BTU por kilovatio hora (MBTU/kWh). En caso de que la planta utilice Diésel número 2 o Diésel número 6 como combustible, este consumo será expresado en galones por kilovatio hora (gal/kWh). El valor de esta variable será el ofertado por el adjudicatario de la obligación de prestación del servicio, para cada planta i a utilizar, en la propuesta que presente en el proceso competitivo. El consumo específico de combustible será calculado en bornes del generador. En caso de ser necesaria la aplicación de una equivalencia calorífica, esta será determinada por el Ministerio de Minas y Energía. |
| PCm: | Precio del combustible de origen fósil, o de su mezcla obligatoria con un biocombustible por disposición gubernamental, puesto en el sitio de la planta i del parque de generación, en el mes m, expresado en pesos por millón de BTU ($/MBTU) de forma general y en pesos por galón ($/gal) cuando el combustible empleado sea Diésel número 2, Diésel número 6 o la mezcla mencionada. El precio del combustible puesto en el sitio de la planta será definido por el Ministerio de Minas y Energía, con excepción del caso en que se utilice gas combustible, cuyo precio se encuentra regulado por la comisión mediante Resolución CREG 059 de 2009 o aquella que la modifique o sustituya. |
| Eim–1: | Energía entregada al sistema de distribución por la planta i, en el mes m-1, expresada en kilovatios hora (kWh) y medida en bornes del generador. |
| Am: | Ahorro en los costos de combustibles de origen fósil, ya sea por la adecuación de las plantas de generación, por el reemplazo de alguna de estas o por la sustitución de combustible, en el mes m, expresado en pesos por kilovatio hora ($/kWh), calculado de la siguiente manera: |
![]()
Donde:
| Etm–1: | Energía total entregada al sistema de distribución en el mes m-1, por las n plantas del parque de generación. Este valor se expresa en kilovatios hora (kWh) y será medida en bornes del generador. |
| k: | Número de plantas que fueron adecuadas, reemplazadas o para las cuales se sustituyeron combustibles por otros más económicos. |
| i: | Planta i del parque de generación. |
| Consumo específico de combustible de origen fósil de la planta i del parque de generación inicial que fue adecuada, reemplazada o cuyo combustible fue sustituido por uno más económico. Esta variable se expresa en millones de BTU por kilovatio hora (MBTU/kWh). En caso de que la planta utilizara Diésel número 2 o Diésel número 6 como combustible, este consumo será expresado en galones por kilovatio hora (gal/kWh). El valor de esta variable será el ofertado por el adjudicatario de la obligación de prestación del servicio, para cada planta i, en la propuesta que presente en el proceso competitivo. El consumo específico de combustible será calculado en bornes del generador. En caso de ser necesaria la aplicación de una equivalencia calorífica, esta será determinada por el Ministerio de Minas y Energía. | |
| Diferencia entre el precio del combustible fósil, o de la mezcla obligatoria con un biocombustible por disposición gubernamental, puesto en el sitio de la planta i del parque de generación inicial y el precio del combustible sustituto, o de la mezcla mencionada, puesto en el sitio de la planta. Esta variable se expresa en pesos por millones de BTU ($/MBTU). En caso de que la planta utilizara Diésel número 2 o Diésel número 6 como combustible, este consumo será expresado en pesos por galón ($/gal). Para aquellos casos en que el nuevo combustible utilizado sea un recurso renovable, | |
| Eim–1: | Energía entregada al sistema de distribución, en el mes m-1, por la planta i del parque de generación que fue adecuada, reemplazada o cuyo combustible fue sustituido por uno más económico. Esta variable se expresa en kilovatios hora (kWh) y será medida en bornes del generador. |
| pD n,m: | Pérdidas de energía del sistema de distribución, en el nivel de tensión n, para el mes m. Este nivel de pérdidas será el ofertado por el adjudicatario de la obligación de prestación del servicio en la propuesta que presente en el proceso competitivo. Este valor se expresa como una fracción de la energía medida en bornes de generador, que sea transferida al sistema de distribución. |
| TMm: | Cargo de monitoreo correspondiente al mes m de prestación del servicio, expresado en pesos por kilovatio hora ($/kWh). |
PARÁGRAFO 1o. El componente Am únicamente se aplicará para aquellas plantas del parque de generación inicial cuya adecuación, reemplazo o cambio de combustible por uno más económico no haya sido incorporado en la oferta del adjudicatario de la obligación de prestación del servicio y cuando estas modificaciones se realicen a partir del sexto año del periodo de vigencia de la obligación de prestación del servicio.
PARÁGRAFO 2o. En caso de que el combustible fósil sustituido sea gas combustible, para efectos del cálculo de la variable
PCm, el valor del precio del combustible fósil puesto en el sitio de la planta i del parque de generación inicial será el precio del gas determinado en el último contrato celebrado por el adjudicatario de la obligación de prestación del servicio de energía eléctrica en el ASE, indexado por el índice de precios al productor, IPP.
PARÁGRAFO 3o. En caso de que
PCm sea menor que cero, este término se entenderá igual a cero.
PARÁGRAFO 4o. Para el sistema de medición de electricidad en zonas no interconectadas, se tendrá en cuenta lo previsto en las Leyes 142 y 143 de 1994 y las demás normas aplicables vigentes.
PARÁGRAFO 5o. La información producida por cada prestador del servicio será enviada al Ministerio de Minas y Energía y formará parte del Sistema Único de Información que administra la Superintendencia de Servicios Públicos Domiciliarios y de la información del Fondo de Solidaridad y Redistribución de Ingresos que administra el Ministerio de Minas y Energía para la definición de subsidios y contribuciones del sector eléctrico.
PARÁGRAFO 6o. A partir de la entrada en vigencia del cargo de monitoreo, se cobrará el componente TMm incluido en la fórmula tarifaria general. Este componente será igual a cero hasta tanto el sistema de medición comience a ser adelantado por una unidad independiente para el sector eléctrico, por parte de un agente sujeto a la regulación de la Comisión de Regulación de Energía y Gas y la inspección, vigilancia y control de la Superintendencia de Servicios Públicos Domiciliarios.
PARÁGRAFO 7o. La Comisión de Regulación de Energía y Gas podrá revisar el cargo regulado de monitoreo.
PARÁGRAFO 8o. Los adjudicatarios deberán instalar equipos de medición a distancia, los cuales deberán contar con parámetros de medición compatibles con el Centro Nacional de Monitoreo (CNM) o el que se encuentre vigente.
PARÁGRAFO 9o. Para todos los efectos, lo dispuesto en el presente artículo aplica a todas las tecnologías de generación.
TARIFA DEL SERVICIO PÚBLICO DE ENERGÍA ELÉCTRICA EN ZNI.
ARTÍCULO 26. TARIFA. La tarifa aplicable a los usuarios regulados del servicio público domiciliario de energía eléctrica en ZNI se determinará así:
![]()
Donde:
| Tm,k: | Tarifa para el mes m, aplicable al estrato socioeconómico k, expresada en pesos por kilovatio hora ($/kWh). |
| CUn,m: | Costo unitario de prestación del servicio de energía eléctrica, para el nivel de tensión n, para el mes m, expresado en pesos por kilovatio hora ($/kWh). |
| Sm,k: | Subsidio por menores tarifas determinado por el Ministerio de Minas y Energía para el mes m, para el estrato socioeconómico k, expresado en pesos por kilovatio hora ($/kWh). |
| K: | Estrato socioeconómico aplicable según la normatividad vigente. |
DISPOSICIONES GENERALES.
ARTÍCULO 27. CONSUMOS PROPIOS Y PÉRDIDAS DE TRANSFORMACIÓN EN GENERACIÓN. En la actividad de generación se reconocerán consumos propios, entendidos como los consumos de energía y potencia requeridos por los sistemas auxiliares de la central de generación, del 3.4% de la energía bruta medida en bornes del generador, y las pérdidas de transformación para entregar la energía al sistema de distribución se reconocerán hasta el 1.8% de la energía bruta medida en bornes del generador, de conformidad con la Norma Icontec NTC 819.
ARTÍCULO 28. SEGUIMIENTO A LA CALIDAD Y CONTINUIDAD DEL SERVICIO DE GENERACIÓN. Toda área de servicio exclusivo deberá contar con equipos instalados en el parque de generación que permitan realizar las siguientes funciones:
a) Registro de la producción horaria de energía con acumuladores mensuales;
b) Registro de los niveles de voltaje;
c) Envío satelital de la información generada.
PARÁGRAFO 1o. El sistema de medición es complementario a la prestación del servicio público domiciliario de electricidad en las zonas no interconectadas. En consecuencia, le aplica lo dispuesto en las Leyes 142 y 143 de 1994 y las demás normas vigentes.
PARÁGRAFO 2o. La información producida por cada prestador del servicio será enviada al Ministerio de Minas y Energía y formará parte del Sistema Único de Información que administra la Superintendencia de Servicios Públicos Domiciliarios y de la información del Fondo de Solidaridad y Redistribución de Ingresos que administra el Ministerio de Minas y Energía para la definición de subsidios y contribuciones del sector eléctrico.
PARÁGRAFO 3o. A partir de la entrada en vigencia del cargo de monitoreo, se cobrará el componente TMm incluido en la fórmula tarifaria general. Este componente será igual a cero hasta tanto el sistema de medición comience a ser adelantado por una unidad independiente para el sector eléctrico, por parte de un agente sujeto a la regulación de la Comisión de Regulación de Energía y Gas y la inspección, vigilancia y control de la Superintendencia de Servicios Públicos Domiciliarios.
PARÁGRAFO 4o. La Comisión de Regulación de Energía y Gas podrá revisar el cargo de monitoreo.
PARÁGRAFO 5o. Los adjudicatarios deberán instalar equipos de medición a distancia, los cuales deberán contar con parámetros de medición compatibles con el Centro Nacional de Monitoreo (CNM) o el que se encuentre vigente.
PARÁGRAFO 6o. Para todos los efectos, lo dispuesto en el presente artículo aplica a todas las tecnologías de generación.
ARTÍCULO 29. SEGUIMIENTO A LA CALIDAD Y CONTINUIDAD DEL SERVICIO DE DISTRIBUCIÓN. Con el propósito de garantizar condiciones mínimas de calidad de la potencia, el prestador del servicio deberá cumplir con las siguientes disposiciones:
a) Contar con equipos adecuados para la telemedición de los valores de frecuencia y magnitud del voltaje;
b) Mantener la frecuencia dentro de un rango de + ó – el 1% del valor nominal de la frecuencia, en los bornes de generación;
c) Mantener la tensión del voltaje dentro de un rango de + ó – el 10% del valor nominal del voltaje;
d) Contar con los medios necesarios para obtener registros que permitan observar de manera horaria los valores de frecuencia y magnitud del voltaje, con una antigüedad de por lo menos tres (3) meses, de manera que sea posible su vigilancia por parte de la Superintendencia de Servicios Públicos Domiciliarios.
ARTÍCULO 30. SEGUIMIENTO A LA CALIDAD Y CONTINUIDAD DEL SERVICIO DE COMERCIALIZACIÓN. Con el propósito de garantizar condiciones mínimas de calidad del servicio a los usuarios, el prestador del servicio deberá cumplir con las siguientes disposiciones:
-- Contar con oficinas o puestos móviles de atención de peticiones, quejas y recursos, los cuales estarán sujetos a las condiciones y términos definidos en la Ley 142 de 1994.
-- Siempre que haya capacidad técnica en las redes existentes y la disponibilidad en generación, el plazo máximo para la conexión de nuevos usuarios es de 30 días, a menos que se requieran estudios especiales para autorizar la conexión, en cuyo caso se dispondrá de tres (3) meses para realizar la conexión.
-- La suspensión o corte del servicio por falta de pago o por anomalías en las instalaciones del usuario deberá hacerse con la observancia del debido proceso y de lo establecido en la Resolución CREG 108 de 1997 o aquella que la modifique o sustituya o complemente.
-- El prestador del servicio de distribución-comercialización deberá minimizar el número de reclamos por facturación, el cual deberá ser máximo del 1% de las facturas emitidas.
-- El tiempo máximo para el restablecimiento del servicio después de que el usuario haya efectuado el pago o eliminado la causa que dio origen a la suspensión, es de 24 horas siguientes.
-- El plazo mínimo para el pago de las facturas, contados desde la fecha de entrega real de la factura, será de cinco (5) días hábiles.
-- Duración de interrupciones. Para determinar el máximo nivel de interrupciones, se excluyen las siguientes causales:
a) Interrupciones de duración inferior a un (1) minuto;
b) Interrupciones por razones de seguridad ciudadana o solicitadas por organismos de socorro o autoridades competentes;
c) Suspensiones o cortes del servicio por incumplimiento del contrato de condiciones uniformes de servicios públicos;
d) Indisponibilidades del sistema de distribución o del sistema de generación originadas en eventos de fuerza mayor.
-- La meta de cumplimiento del indicador de duración de interrupciones anuales por circuito será de treinta y nueve (39) horas, repartidos en nueve coma setenta y cinco (9,75) horas por trimestre.
-- La frecuencia máxima de las interrupciones por año y por circuito será de cincuenta y ocho (58), repartidas en catorce (14) interrupciones por trimestre por circuito.
ARTÍCULO 31. COMPENSACIONES POR DEFICIENCIAS EN LA CALIDAD DEL SERVICIO. Las compensaciones por deficiencias en la calidad del servicio técnico serán compensadas con la metodología vigente para usuarios del SIN.
ARTÍCULO 32. APORTES PÚBLICOS EN INVERSIÓN. En caso de existir aportes públicos en la inversión y si así lo dispone la entidad propietaria de los activos construidos o instalados con esos aportes, dicha inversión podrá deducirse de la tarifa aplicada al usuario, en virtud de lo dispuesto en el artículo 87 de la Ley 142 de 1994, o las normas que la modifiquen. Para tal efecto, la entidad propietaria de los activos debe manifestarlo por escrito al adjudicatario de la obligación de prestación del servicio correspondiente y a la Superintendencia de Servicios Públicos Domiciliarios.
ARTÍCULO 33. PUBLICIDAD. Mensualmente y antes de su aplicación, el comercializador hará públicas las tarifas que facturará a los usuarios, en forma simple y comprensible, a través de un medio de comunicación de amplia divulgación. Dicha publicación incluirá los valores de cada componente del costo unitario de prestación del servicio de energía eléctrica. Los nuevos valores deben ser comunicados por el comercializador a la Superintendencia de Servicios Públicos Domiciliarios y a la Comisión de Regulación de Energía y Gas.
ARTÍCULO 34. VIGENCIA DE LAS FÓRMULAS TARIFARIAS GENERALES. Las fórmulas tarifarias generales contenidas en los Capítulos III y IV de la presente resolución regirán durante el período de vigencia de las áreas de servicio exclusivo establecidas de acuerdo con lo dispuesto en esta norma.
ARTÍCULO 35. VIGENCIA DE LA PRESENTE RESOLUCIÓN. La presente resolución rige a partir del día siguiente de su publicación en el Diario Oficial.
Publíquese y cúmplase.
Firmas del proyecto.
El Presidente,
AMÍLCAR DAVID ACOSTA MEDINA,
Ministro de Minas y Energía.
El Director Ejecutivo,
CARLOS FERNANDO ERASO CALERO.