RESOLUCIÓN 5050 DE 2016
(noviembre 10)
Diario Oficial No. 50.064 de 21 de noviembre de 2016
COMISIÓN DE REGULACIÓN DE COMUNICACIONES
<Esta versión no incluye las modificaciones que entran a regir en fechas posteriores>
"Por la cual de compilan las Resoluciones de Carácter General vigentes expedidas por la Comisión de Regulación Comunicaciones"
EL DIRECTOR EJECUTIVO DE LA COMISIÓN DE REGULACIÓN DE COMUNICACIONES
En ejercicio de sus facultades legales, especialmente las que le confiere el numeral 3 del artículo 22 de la Ley 1341 de 2009, el Decreto 1078 de 2015, la Resolución CRC 4573 de 2014, y
CONSIDERANDO:
Que en ejercicio de las facultades legales previstas en la Ley 1341 de 2009, le corresponde a la Comisión de Regulación de Comunicaciones -CRC-, entre otras, la función de expedir toda la regulación de carácter general y particular en las materias relacionadas con el régimen de competencia, los aspectos técnicos y económicos relativos a la obligación de interconexión y el acceso y uso de instalaciones esenciales, recursos físicos y soportes lógicos necesarios para la interconexión; así como la remuneración por el acceso y uso de redes e infraestructura, precios mayoristas, las condiciones de facturación y recaudo; el régimen de acceso y uso de redes; los parámetros de calidad de los servicios; los criterios de eficiencia del sector y la medición de indicadores sectoriales para avanzar en la sociedad de la información; y en materia de solución de controversias entre los proveedores de redes y servicios de comunicaciones(1).
Que el artículo 12 del Decreto 2696 de 2004, el cual fue objeto de compilación por el Decreto 1078 de 2015(2), en su artículo 2.2.13.3.5. dispone la obligación de compilar la normatividad de carácter general por parte de las comisiones de regulación en los siguientes términos: "Con el propósito de facilitar la consulta de la regulación vigente de carácter general, sin que sea una codificación, las Comisiones compilarán, cada dos años, con numeración continua y divididas temáticamente, las resoluciones de carácter general que hayan sido expedidas. Se podrán establecer excepciones en esta compilación en el caso de resoluciones de carácter transitorio". (NFT).
Que la Comisión de Regulación de Comunicaciones atendiendo a lo dispuesto en el artículo 12 del Decreto 2696 de 2004, el cual fue objeto de compilación por el Decreto 1078 de 2015(3), realizó la actividad de compilación normativa, actualizando de manera permanente la Resolución CRT 087 de 1997, la cual a la fecha se encuentra actualizada hasta la Resolución CRC 5031 de 2016 y publicada en la página web de la CRC(4) https://www.crcom.gov.co/es/pagina/normatividad
Que en el año 2009, la Comisión comenzó a expedir cuerpos normativos independientes que no modificaban la Resolución CRC 087 de 1997; sin embargo y con el fin de continuar con la compilación normativa señalada en el artículo 12 del Decreto 2696 de 2004, compilado en el Decreto 1078 de 2015(5), procedió a publicar en la sección de normatividad de la página web de la entidad, el listado de las resoluciones de carácter general vigentes con la anotación de la última resolución que la modifica.
Que resulta de suma importancia para la Comisión de Regulación de Comunicaciones (CRC), que todas las resoluciones de carácter general puedan ser consultadas de forma tal que exista claridad sobre las modificaciones que se han surtido en cualquiera de sus artículos.
Que la Sesión de Comisión de la Comisión de Regulación de Comunicaciones mediante Resolución CRC 4573 del 11 de agosto de 2014 delegó en el Director Ejecutivo de la CRC, previa aprobación del Comité de Comisionados, la "expedición de un cuerpo normativo que compile y actualice la totalidad de las resoluciones de carácter general vigentes, que ha expedido la CRC, haciendo, en caso de ser necesario, el respectivo análisis de derogatoria tácita y/o decaimiento de los actos administrativos, así como ordenar sistemáticamente las diferentes disposiciones y modificar su titulación en los casos que se requiera".
Que con respecto al alcance de la actividad compilatoria la Corte Constitucional, en diversas oportunidades ha manifestado que: "la compilación implica agrupar o recopilar en un solo texto, disposiciones jurídicas sobre un tema específico, sin variar en nada su naturaleza y contenido normativo. Esta tarea, no involucra en estricto sentido ejercicio de actividad legislativa"(6). En consecuencia, la actividad de compilación, se limita a reunir normas, atendiendo a un criterio de selección y orden, sin que de manera alguna se modifique el ordenamiento jurídico.
Que la Corte Constitucional(7) ha manifestado que la actividad de compilación se limita a facilitar la consulta de las normas, por lo que dicha compilación tiene "entonces únicamente una finalidad sistemática, pero no derogan ni crean nuevas normas legales".
Que con el fin de organizar en un solo cuerpo normativo la regulación vigente en materia de comunicaciones, facilitando así el acceso y el entendimiento del texto para el público en general, esta Comisión considera necesario compilar las Resoluciones de Carácter General vigentes expedidas por la Comisión de Regulación Comunicaciones.
Que dado que todas las resoluciones de carácter general con sus respectivas modificaciones ya surtieron el proceso de discusión ante el sector, en cumplimiento de lo establecido en el Decreto 1078 de 2015, el trabajo que se adelantó se enfocó exclusivamente en la agrupación de todas las resoluciones generales expedidas por la CRC que se encuentren vigentes, sin que ello implique modificación alguna, garantizando así la seguridad jurídica.
Que teniendo en cuenta la dinámica propia del sector de las comunicaciones, la Comisión de Regulación de Comunicaciones consideró necesario revisar integralmente el texto de la Resolución CRT 087 de 1997, análisis que tuvo en cuenta principalmente los siguientes aspectos: (i) revisión de las disposiciones que aún permanecen en dicha resolución y cuyo fundamento legal fue la Ley 142 de 1994, la cual según lo dispone el artículo 73 de la Ley 1341 de 2009, no son aplicables al sector TIC, (ii) se identificaron y analizaron aquellas disposiciones regulatorias en las que pudieron operar los fenómenos del decaimiento(8) o de la derogatoria tácita(9), y (iii) se revisaron aquellas disposiciones que podrían encontrarse en otros actos administrativos de carácter general expedidos por la CRC, entre éstas, las definiciones y otras disposiciones regulatorias.
Que de la revisión efectuada, se identificó que en el texto de los actos administrativos de carácter general objeto de compilación, se hace referencia a artículos de resoluciones expedidas por la Comisión de Regulación de Comunicaciones, cuya numeración se ve modificada con ocasión de la presente compilación, lo cual implica su ajuste, sin que ello comporte modificación al texto original.
Que luego de la revisión efectuada sobre la Resolución CRT 087 de 1997, y aun cuando el proyecto adelantado no comporta un proyecto regulatorio al que hace referencia el artículo 2.2.13.3.5. del Decreto 1078 de 2015, con el ánimo de contar con la retroalimentación de la industria y demás interesados, la Comisión de Regulación de Comunicaciones el 11 de septiembre de 2015 publicó en la página web de la entidad el documento que contenía el análisis e identificación de disposiciones regulatorias que han sido objeto de fenómenos jurídicos de derogatoria tácita, decaimiento o inaplicabilidad. En el mencionado análisis(10) se precisó que no se efectuaban propuestas, modificaciones o alteraciones de la regulación vigente. Los comentarios a este documento fueron recibidos hasta el 23 de octubre de 2015.
Que con el fin de salvaguardar la seguridad jurídica, garantizando que la información que se publica en relación con las resoluciones de carácter general sea la que se encuentra vigente, la Comisión efectuó la revisión de todas las resoluciones de carácter general expedidas a la fecha, organizadas con numeración continua y por temáticas, atendiendo lo dispuesto en la directiva presidencial No. OFI15-00042857/JMSC 110200.
Que en cumplimiento de la mencionada directiva se incluyó el nuevo sistema de numeración compuesto por Títulos divididos en Capítulos, que a su vez se dividen en Secciones que comprenden artículos. Por lo tanto, con el fin de garantizar la coherencia en el texto compilatorio, se actualizaron las referencias en el articulado.
Que así mismo, se trasladaron todas las definiciones vigentes de cada una de las resoluciones compiladas a un título exclusivo para las definiciones contenido en el Título I, y con el fin de facilitar el entendimiento, dichas definiciones fueron contextualizarlas dentro de cada tema, como por ejemplo, la inclusión definición de BDA para la portabilidad numérica y la definición de BDA para las reglas regulatorias para contribuir con la estrategia para combatir el hurto de terminales móviles.
Que posteriormente, se tomó de cada una de las resoluciones de carácter general su respectiva parte resolutiva, las cuales fueron incluidas dentro de los títulos del nuevo cuerpo compilado, los cuales reflejan el escenario de la convergencia regulatoria.
Que en atención a la solicitud realizada por los diferentes agentes del sector, entre el 11 de diciembre de 2015 y el 29 de enero de 2016, se puso a consideración del sector el proyecto de resolución, el cual refleja la agrupación de las resoluciones de carácter general vigentes compiladas en una única resolución, organizadas con numeración continua y por temáticas, sin modificar su contenido; incluyendo el análisis e identificación de disposiciones regulatorias que han sido objeto de fenómenos jurídicos de la derogatoria tácita, el decaimiento o la inaplicabilidad, es decir no se han efectuado propuestas, modificaciones o alteraciones de la regulación vigente.
Que con el fin de conocer de primera mano los comentarios y necesidades de aclaración de los diferentes interesados a los documentos publicados dentro del proyecto de compilación normativa, se llevaron a cabo mesas de trabajo en el mes de marzo de 2016.
Que en atención a la solicitud realizada por los diferentes agentes del sector(11) en las mesas de trabajo llevadas a cabo en el mes de marzo de 2016 y luego de haber realizado las aclaraciones, ajustes pertinentes y las actualizaciones respectivas dentro del proyecto de Compilación Normativa, el 6 de mayo de 2016 se puso a consideración del sector por segunda vez el proyecto de resolución, contenido en once (11) títulos y el Título de Reportes de Información y Título de Anexos, otorgando como plazo para remitir comentarios hasta el 3 de junio de 2016.
Que una vez revisados los nuevos comentarios del sector, no se encontró necesario realizar ajustes a la última estructura de resolución propuesta por la CRC y por tanto se considera pertinente que la resolución compilada esté conformada por los siguientes títulos a saber: (i) definiciones, (ii) medidas para la protección de los usuarios de los servicios de comunicaciones, (iii) Mercados relevantes, (iv) Acceso e interconexión de redes de telecomunicaciones, (v) Régimen de calidad, (vi) Reglas para la gestión, uso, asignación de numeración, (vii) Homologación de equipos terminales, (viii) Condiciones para acceso a redes internas de telecomunicaciones, (ix) Separación contable, (x) Criterios de eficiencia sector TICs y medición de indicadores sectoriales, (xi) Excepciones de publicidad de los proyectos regulatorios, Título de reportes de información y Título de anexos.
Que teniendo en cuenta que el objetivo de la presente compilación es mantener actualizada la regulación vigente, facilitando su revisión, identificación y consulta, a partir de la expedición de la presente resolución, la regulación y las modificaciones a la misma, se realizarán sobre el texto compilado, de tal manera que se garantice la constante y permanente actualización normativa. Por su parte, los proyectos regulatorios que se encuentran en curso, una vez sean expedidos se integrarán al texto de la resolución compilada.
Que los títulos de anexos y reportes de información, se encuentran debidamente compilados y organizados por temas en el TÍTULO ANEXOS y el TÍTULO REPORTES DE INFORMACIÓN, sin que dichos títulos se encuentren identificados por un número. Lo anterior, debido a que la compilación hace referencia a éstos dentro del texto compilado.
Que los diferentes títulos señalados en la parte resolutiva de la presente Resolución, serán cargados en la herramienta que para el efecto disponga la Comisión de Regulación de Comunicaciones.
Que una vez sometido el presente acto administrativo a consideración del Comité de Comisionados de la entidad fue aprobado mediante Acta No. 1053 del 12 de agosto de 2016.
Que en virtud de lo expuesto,
RESUELVE
ARTÍCULO 1. La compilación de las normas de carácter general expedidas por la CRC, quedará conformada por los siguientes títulos, los cuales se encuentran estructurados por temáticas y numeración y hacen parte integral del presente acto administrativo:
TÍTULO I
DEFINICIONES
TÍTULO II
MEDIDAS PARA LA PROTECCIÓN DE LOS USUARIOS
TÍTULO III
MERCADOS RELEVANTES
TÍTULO IV
ACCESO E INTERCONEXIÓN DE REDES DE TELECOMUNICACIONES
TÍTULO V
RÉGIMEN DE CALIDAD
TÍTULO VI
REGLAS PARA LA GESTIÓN USO, ASIGNACIÓN DE NUMERACIÓN
TÍTULO VII
HOMOLOGACIÓN DE EQUIPOS TERMINALES
TÍTULO VIII
CONDICIONES PARA ACCESO A REDES INTERNAS DE TELECOMUNICACIONES
TÍTULO IX
SEPARACIÓN CONTABLE
TÍTULO X
CRITERIOS DE EFICIENCIA SECTOR TICS Y MEDICIÓN DE INDICADORES SECTORIALES
TÍTULO XI
EXCEPCIONES DE PUBLICIDAD DE LOS PROYECTOS REGULATORIOS
TÍTULO - REPORTES DE INFORMACIÓN
TÍTULO - ANEXOS
ARTÍCULO 2. VIGENCIA. La presente resolución entra a regir a partir de la fecha de su publicación en el Diario Oficial.
Dada en Bogotá D.C. a los
PUBLÍQUESE Y CÚMPLASE
GERMÁN DARIO ARIAS PIMIENTA
Director Ejecutivo
NOTAS AL FINAL:
1. Artículo 22. Funciones de la Comisión de Regulación de Comunicaciones.
2. Por medio del cual se expide el Decreto Único Reglamentario del Sector de Tecnologías de la Información y las Comunicaciones
3. Por medio del cual se expide el Decreto Único Reglamentario del Sector de Tecnologías de la Información y las Comunicaciones.
4. https://www.crcom.gov.co/es/pagina/normatividad
5. Por medio del cual se expide el Decreto Único Reglamentario del Sector de Tecnologías de la Información y las Comunicaciones.
6. Sentencia C-340 de 2006. M.P. Jaime Córdoba Triviño. Ver igualmente la sentencia C-582 de 2001. M.P. Jaime Araujo Rentería.
7. Sentencia C-839/08 y Sentencia C-508 de 1996.
8. Sentencia C-069/95: El decaimiento de un acto administrativo se produce cuando las disposiciones legales o reglamentarias que le sirven de sustento, desaparece del escenario jurídico.
9. Sentencia C-159/2004 Es expresa, cuando la ley dice expresamente que deroga la antigua. Y tácita, cuando la nueva ley contiene disposiciones que no pueden conciliarse con las de la ley anterior.
10. Sobre la Resolución CRT 087 de 1997, dado que las demás normas de carácter general son revisadas permanentemente y se encuentran actualizadas en la página web en el link de compilación normativa.
11. Participaron Comcel, Telmex, Tigo-Une, Telefónica, Telebucaramanga, Metrotel, ETB, TV Azteca, Andesco, Asomóvil,
DEFINICIONES
<A>
ACCESO: La puesta a disposición por parte de un proveedor a otro proveedor, de recursos físicos y/o lógicos de su red para la provisión de servicios. El acceso implica el uso de las redes.
(Resolución CRC 3101 de 2011, artículo 3, numeral 3.1)
ACCESO PARA INFRAESTRUCTURA TELEVISIÓN ABIERTA RADIODIFUNDIDA: La puesta a disposición por parte de un proveedor de la infraestructura a un operador de televisión abierta radiodifundida de los recursos físicos y/o lógicos de su infraestructura para la provisión de servicios de televisión abierta. El acceso implica el uso de la infraestructura.
(Resolución CRC 4841 de 2015, artículo 3)
ACCESO A INTERNET: Disponibilidad de medios físicos que incluye todas las funcionalidades y recursos de red nacionales y/o internacionales necesarios para permitir a un usuario interconectarse a la red de Internet y aprovechar sus recursos y servicios.
(Resolución CRC 3067 de 2011, artículo 1.8, numeral 1)
ACCESO CONMUTADO: <Definición derogada por el artículo 137 de la Resolución 7811 de 2025>
ACCESO UNIVERSAL: <Definición subrogada por el artículo 1 de la Resolución 5826 de 2019. El nuevo texto es el siguiente:> Es la facilidad que tienen los usuarios de servicios de voz soportados en el uso de numeración a la que hace referencia la Recomendación UIT-T E.164. a comunicarse con cualquier otro usuario de otra red de telecomunicaciones establecida en el territorio nacional y de cualquier otra red de telecomunicaciones en el exterior.
ACOMETIDA EXTERNA: Es la parte de la red fija correspondiente al conjunto de obras, cables y ductos que hacen parte de una derivación de la red de acceso al usuario, desde el último punto donde es común a varios usuarios, hasta el punto donde empieza la acometida interna.
(Resolución CRC 3066 de 2011, artículo 9)
ACOMETIDA INTERNA: Corresponde al conjunto de redes, tuberías, accesorios y equipos, que integran el sistema de suministro de uno o varios servicios de comunicaciones, que se encuentra al interior de los predios del usuario o grupo de usuarios y es de su propiedad.
(Resolución CRC 3066 de 2011, artículo 9)
ACTIVACIÓN EN EL CONTROL DE EQUIPOS TERMINALES: Proceso de asociación dentro de las plataformas del PRSTM[1] entre el IMEI, el IMSI y el MSISDN que permite detectar que el usuario de un equipo terminal móvil inició actividad en la red o realizó un cambio de su equipo terminal móvil, y que el IMEI asociado al nuevo equipo terminal móvil no ha sido reportado como hurtado y/o extraviado.
(Resolución CRC 3128 de 2011, artículo 2, Modificada por la Resolución CRC 4813 de 2015)
ACTIVIDADES PARA LA SEPARACIÓN CONTABLE EN SERVICIOS POSTALES: Conjunto de tareas elementales que consumen recursos, las cuales se caracterizan por ser realizadas por un individuo o grupo de individuos, dando lugar a un saber o hacer específico. Para tal efecto, emplean recursos físicos y/o humanos, y tienen carácter relativamente homogéneo desde el punto de vista de su comportamiento, costo y ejecución. Así mismo, permiten tener como resultado un producto o servicio determinado, y están dirigidas a satisfacer un cliente específico.
(Resolución CRC 3774 de 2012, artículo 2)
ACUERDO DE ACCESO: Es el negocio jurídico que establece los derechos y obligaciones de los proveedores con respecto al acceso y contempla las condiciones de carácter legal, técnico, comercial, operativo y económico que lo gobiernan.
(Resolución CRC 3101 de 2011, artículo 3, numeral 3.2)
ACUERDO DE ACCESO PARA INFRAESTRUCTURA DE TELEVISIÓN ABIERTA RADIODIFUNDIDA: Es el negocio jurídico que establece los derechos y obligaciones de los proveedores de la infraestructura y los operadores de televisión abierta radiodifundida, con respecto al acceso a la infraestructura y contempla las condiciones de carácter técnico, legal, económico, comercial y operativo que lo gobiernan.
(Resolución CRC 4841 de 2015, artículo 3)
ACUERDO DE INTERCONEXIÓN: Es el negocio jurídico que establece los derechos y obligaciones de los proveedores de redes y servicios de telecomunicaciones con respecto a la interconexión y contempla las condiciones de carácter legal, técnico, comercial, operativo y económico que lo gobiernan.
(Resolución CRC 3101 de 2011, artículo 3, numeral 3.3)
ADMINISTRACIÓN DE LOS RECURSOS DE IDENTIFICACIÓN EN EL SERVICIO DE TELEVISIÓN RADIODIFUNDIDA DIGITAL TERRESTRE: <Definición derogada por el artículo 13 de la Resolución 5968 de 2020>
ADMINISTRACIÓN DE RECURSOS DE IDENTIFICACIÓN: <Definición adicionada por el artículo 3 de la Resolución 5968 de 2020. El nuevo texto es el siguiente:> Corresponde a la planificación, la asignación, la aceptación de la devolución, la verificación del uso y la recuperación de los recursos de identificación, que permiten garantizar la eficiencia en el uso de estos, así como su disponibilidad en todo momento.
ADMINISTRADOR DE LA BASE DE DATOS (ABD) PARA LA PORTABILIDAD NUMÉRICA: Persona jurídica que tiene a su cargo la administración, gestión e integridad de la Base de Datos Administrativa, la mediación de los cambios de Proveedor de Servicios de Telecomunicaciones y la coordinación de la sincronía de la actualización de las Bases de Datos Operativas involucradas en la Portabilidad Numérica.
(Resolución CRC 2355 de 2010, artículo 3, numeral 3.1)
ADMINISTRADOR DE LA BASE DE DATOS (ABD) PARA EL CONTROL DE EQUIPOS TERMINALES: Persona jurídica encargada de la Administración de la BDA en la cual se almacena la información asociada a equipos terminales móviles.
(Resolución CRC 3128 de 2011, artículo 2, Modificada por la Resolución CRC 4813 de 2015)
ADMINISTRADOR DE RECURSOS DE IDENTIFICACIÓN: <Definición subrogada por el artículo 3 de la Resolución 5968 de 2020. El nuevo texto es el siguiente:> Es la Comisión de Regulación de Comunicaciones, o su delegado.
AGREGADOR DE ALERTAS. <Definición modificada por el artículo 1 de la Resolución 8030 de 2025. El nuevo texto es el siguiente:> Entidad pública o privada que sea designada por parte de las entidades u organismos competentes de definir las condiciones y criterios complementarios a los dispuestos en el presente acto administrativo para la correcta implementación del Boletín del Sistema de Emergencia Nacional denominado Alerta Rosa, cuya función es recibir mensajes de Alerta, emitirlos hacia los medios masivos de comunicación participantes en el Sistema de Emergencia Nacional denominado Alerta Rosa para su respectiva difusión y posteriormente almacenarlos en una base de datos. El agregador sólo podrá transmitir las alertas que reciba de la Autoridad de Activación. Podrán confluir las calidades de agregador de alertas y autoridad de activación.
ALERTA NACIONAL. <Definición modificada por el artículo 1 de la Resolución 8030 de 2025. Consultar "BOLETÍN DEL SISTEMA DE EMERGENCIA NACIONAL DENOMINADO ALERTA ROSA">
ALGORITMO LUHN: <Definición adicionada por el artículo 2 de la Resolución 5968 de 2020. El nuevo texto es el siguiente:> Es una formulación matemática utilizada para verificar la validez de una cadena numérica, en este caso un número de identificación, a través de una técnica conocida como control de paridad. Es empleada en la validación de números de tarjetas de crédito, números IMEI, entre otros.
ALI (AUTOMATIC LOCATION IDENTIFICATION) PARA EL SISTEMA NACIONAL DE EMERGENCIAS: Mecanismo mediante el cual se ubica el terminal desde el cual se realiza una llamada telefónica y permite su ubicación o posicionamiento geográfico.
(Resolución CRC 4972 de 2016, artículo 1.3)
ALL CALL QUERY (ACQ) EN LA PORTABILIDAD NUMÉRICA: Esquema de enrutamiento en el que, previo al establecimiento de una comunicación, el proveedor que origina la misma debe consultar una base de datos operativa y obtener información que le permita enrutarla al proveedor destinatario.
(Resolución CRC 2355 de 2010, artículo 3, numeral 3.2)
ÁMBITO DE PRODUCTO (MERCADO DE PRODUCTO): Comprende todos los productos o servicios que puedan ser considerados por los usuarios como sustitutos, dadas sus características, precios y usos.
(Resolución CRC <sic, CRT> 2058 de 2009, artículo 4)
ÁMBITO GEOGRÁFICO DEL MERCADO (MERCADO GEOGRÁFICO): Comprende las áreas geográficas del Mercado Relevante.
(Resolución CRC <sic, CRT> 2058 de 2009, artículo 4)
ÁMBITO LOCAL PARA LOS SERVICIOS POSTALES DE MENSAJERÍA EXPRESA Y SERVICIOS POSTALES DE PAGO QUE PRESTEN EL SERVICIO DE GIROS NACIONALES: <Definición derogada por el artículo 11 de la Resolución 6494 de 2022>
ÁMBITO NACIONAL PARA LOS SERVICIOS POSTALES DE MENSAJERÍA EXPRESA Y SERVICIOS POSTALES DE PAGO QUE PRESTEN EL SERVICIO DE GIROS NACIONALES: <Definición derogada por el artículo 11 de la Resolución 6494 de 2022>
ÁMBITO INTERNACIONAL SALIENTE PARA LOS SERVICIOS POSTALES DE MENSAJERÍA EXPRESA Y SERVICIOS POSTALES DE PAGO QUE PRESTEN EL SERVICIO DE GIROS NACIONALES: <Definición derogada por el artículo 11 de la Resolución 6494 de 2022>
ÁMBITO INTERNACIONAL ENTRANTE PARA LOS SERVICIOS POSTALES DE MENSAJERÍA EXPRESA Y SERVICIOS POSTALES DE PAGO QUE PRESTEN EL SERVICIO DE GIROS NACIONALES: <Definición derogada por el artículo 11 de la Resolución 6494 de 2022>
ASIGNACIÓN DE RECURSOS DE IDENTIFICACIÓN: <Definición subrogada por el artículo 3 de la Resolución 5968 de 2020. El nuevo texto es el siguiente:> Autorización concedida por el administrador de los recursos de identificación a un solicitante para utilizar un determinado recurso de identificación, bajo la observancia de unos propósitos y condiciones especificadas. La asignación de dichos recursos confiere exclusivamente el derecho de uso, pero no otorga derecho de propiedad sobre los mismos, ni tendrá costo alguno para los asignatarios.
ASIGNATARIO DE RECURSOS DE IDENTIFICACIÓN: <Definición adicionada por el artículo 3 de la Resolución 5968 de 2020. El nuevo texto es el siguiente:> Se refiere al sujeto solicitante al que se le han asignado recursos de identificación, y que por lo tanto tiene la titularidad de estos para su propio uso, o para el uso de terceros en los casos en los que se autorice expresamente.
ASIGNATARIO EN FASE OPERATIVA: <Definición adicionada por el artículo 3 de la Resolución 5968 de 2020. El nuevo texto es el siguiente:> Es aquel asignatario de un recurso de identificación que ha dado inicio a la prestación del servicio que requiere el recurso de identificación asignado.
ASOCIADO DE LA COMUNIDAD: <Definición adicionada por el artículo 1 de la Resolución 6383 de 2021. El nuevo texto es el siguiente:> Para efectos del servicio de Televisión Comunitaria, se entiende como la persona natural residente en el municipio o distrito en el cual se presta el servicio de televisión comunitaria que de manera libre y voluntaria decide vincularse a la Comunidad Organizada y asumir un compromiso como asociado a través del pago de los aportes y la participación en las decisiones de la comunidad organizada, de acuerdo con lo establecido en los estatutos de la misma.
<Resolución ANTV 26 de 2018; Art. 2 - Resolución ANTV 650 de 2018; Art. 4>
ATRIBUCIÓN: <Definición adicionada por el artículo 2 de la Resolución 5968 de 2020. El nuevo texto es el siguiente:> Proceso que consiste en destinar una determinada serie de identificadores pertenecientes a un recurso de identificación para un propósito específico, de tal forma que dicha serie pueda ser solicitada, asignada e implementada en un servicio de telecomunicaciones bajo unas condiciones determinadas. En el proceso de atribución se define si la serie de identificadores se emplea para abonados o usuarios, elementos, funciones, entidades, servicios o aplicaciones de una red de telecomunicaciones, en un ámbito geográfico o no geográfico específico. Por sí sola, la atribución no confiere derechos de utilización del recurso de identificación a ningún asignatario
AUTENTICACIÓN EN EL RÉGIMEN DE CALIDAD DEL SERVICIO DE TELECOMUNICACIONES: Proceso destinado a permitir al sistema asegurar la identificación de una parte.
(Resolución CRC 3067 de 2011, artículo 1.8, numeral 8)
AUTORIZACIÓN EN EL RÉGIMEN DE CALIDAD DEL SERVICIO DE TELECOMUNICACIONES: Atribución de derechos o concesión de permisos para realizar determinadas actividades y su relación con determinados procesos, entidades, personas jurídicas o naturales.
(Resolución CRC 3067 de 2011, artículo 1.8, numeral 9)
AUTORIDAD DE ACTIVACIÓN. <Definición modificada por el artículo 1 de la Resolución 8030 de 2025. El nuevo texto es el siguiente:> Autoridad o autoridades que, deben definir los criterios de activación de un Boletín de Alerta Rosa ante la desaparición de un niño, niña, adolescente, joven y mujer y deciden, en cada caso concreto, si debe autorizarse y enviarse electrónicamente al Agregador de Alertas un Boletín de Alerta Rosa. Es responsabilidad de la Autoridad de Activación elaborar el Boletín de Alerta Rosa basado en el Protocolo de Alerta Común (Common Alerting Protocol (CAP) por su sigla en inglés). Podrán confluir las calidades de autoridad de activación y agregador de alertas.
<B>
BANDA ANCHA: <Definición modificada por el artículo 1 de la Resolución 5161 de 2017. El nuevo texto es el siguiente:> Es la capacidad de transmisión cuyo ancho de banda es suficiente para permitir, de manera combinada, la provisión de voz, datos y video, ya sea de manera alámbrica o inalámbrica.
BANDA ANGOSTA: Es la capacidad de transmisión cuya Velocidad Efectiva Mínima es inferior a la establecida en la definición de Banda Ancha.
(Resolución CRC 3067 de 2011, artículo 1.8, numeral 5)
BASE DE DATOS ADMINISTRATIVA (BDA) PARA EL CONTROL DE EQUIPOS TERMINALES: Base de datos para el control de equipos terminales administrada por el ABD.
BASE DE DATOS ADMINISTRATIVA (BDA) PARA LA PORTABILIDAD NUMÉRICA: Base de datos administrada por el ABD, que contiene como mínimo la información necesaria para el enrutamiento de comunicaciones hacia números portados, y que se actualiza de conformidad con el Proceso de Portación.
(Resolución CRC 2355 de 2010, artículo 3, numeral 3.3)
BASE DE DATOS OPERATIVA (BDO) PARA EL CONTROL DE EQUIPOS TERMINALES: Base de datos para el control de equipos terminales administrada por el PRSTM.
(Resolución CRC 3128 de 2011, artículo 2, Modificada por la Resolución CRC 4813 de 2015)
BASE DE DATOS OPERATIVA (BDO) PARA LA PORTABILIDAD NUMÉRICA: Base de datos administrada por un determinado Proveedor de Servicios de Telecomunicaciones, que contiene la información necesaria para el enrutamiento de las comunicaciones hacia números portados, la cual es obtenida y actualizada desde la BDA.
(Resolución CRC 2355 de 2010, artículo 3, numeral 3.4)
BASES DE DATOS PARA LOS USUARIOS DE LOS OPERADORES POSTALES: Conjunto de datos personales de los usuarios de los operadores postales, almacenados sistemáticamente para su posterior uso. La información que en ellas se contiene debe manejarse confidencialmente por parte de los operadores de los servicios postales, tal como lo dispone la Ley 1266 de 2008 y las normas que la modifiquen o sustituyan, y solamente podrá ser requerida por autoridad judicial.
(Resolución CRC 3038 de 2011, artículo 3)
BDA O BDO NEGATIVA PARA EL CONTROL DE EQUIPOS TERMINALES: Base de datos que almacena la relación de los IMEI y demás información necesaria de todos los equipos terminales móviles que han sido reportados como hurtados y/o extraviados tanto en Colombia como en el exterior y que, por lo tanto, están inhabilitados para operar en las redes de telecomunicaciones móviles del país.
(Resolución CRC 3128 de 2011, artículo 2, Modificada por la Resolución CRC 4813 de 2015)
BDA O BDO POSITIVA PARA EL CONTROL DE EQUIPOS TERMINALES: <Definición modificada por el artículo 2 de la Resolución 7811 de 2025. El nuevo texto es el siguiente:> Base de datos que almacena la relación de los IMEI de los equipos terminales móviles ingresados, fabricados o ensamblados legalmente en el país.
BLOQUE DE NUMERACIÓN E.164: <Definición subrogada por el artículo 3 de la Resolución 5968 de 2020. El nuevo texto es el siguiente:> Es un conjunto de numeración E.164 de hasta mil números consecutivos.
BOLETÍN DEL SISTEMA DE EMERGENCIA NACIONAL DENOMINADO ALERTA ROSA. <Definición modificada por el artículo 1 de la Resolución 8030 de 2025. El nuevo texto es el siguiente:> Mensaje de alerta basado en el Protocolo de Alerta Común (Common Alerting Protocol (CAP) por su sigla en inglés que contiene la información necesaria para apoyar la búsqueda y localización de los niños, niñas, adolescentes, jóvenes y mujeres desaparecidas, y que se difunde a través de los medios masivos de comunicación.
<C>
CADENA RADIAL: <Definición adicionada por el artículo 2 de la Resolución 7885 de 2025. El nuevo texto es el siguiente:> Para efecto de lo establecido en la presente resolución, se entiende por cadena radial toda organización debidamente constituida por cinco (5) o más estaciones de radiodifusión sonora comercial, ubicadas en dos o más municipios o distritos del país, con el fin de efectuar transmisiones enlazadas en forma periódica o permanente, para la difusión de programación a través de las bandas y frecuencias autorizadas, a cada una de ellas.
<Resolución MinTIC 2614 de 2022; Art. 55>
CALIDAD DE SERVICIO (QOS): El efecto global de la calidad de funcionamiento de un servicio que determina el grado de satisfacción del servicio por parte de un usuario.
(Resolución CRC 3067 de 2011, artículo 1.8, numeral 6)
CALL BACK: Es el procedimiento de inversión intencional de llamadas que se inician en el territorio nacional mediante una señal de llamada incompleta, o una llamada completada mediante la cual el llamador transmite un código para iniciar una llamada de regreso, o cualquier otro medio para obtener sistemáticamente una señal de tono en el extranjero o acceso a una red pública fuera del territorio nacional para poder realizar una comunicación de larga distancia internacional que se registra como originada en el extranjero y terminada en el territorio nacional. El "Call-Back" se realiza fundamentalmente para que el cargo de las llamadas suceda fuera del territorio nacional. No se consideran llamadas de "Call-Back" las que involucran acuerdos entre operadores de TPBCLDI legalmente establecidos y conectantes internacionales.
(Resolución CRT 087 de 1997, artículo 1.2)
CANAL COMUNITARIO O CANALES COMUNITARIOS: <Definición adicionada por el artículo 1 de la Resolución 6383 de 2021. El nuevo texto es el siguiente:> Para efectos del servicio de Televisión Comunitaria, se entiende como el canal o canales que hacen parte de la parrilla de programación del servicio de Televisión Comunitaria por el que se emiten contenidos audiovisuales de producción propia o de coproducción. Por dicho canal se difunden programas producidos por la Comunidad Organizada o contratados con terceros, la programación de este canal debe estar orientada a los fines establecidos en el numeral 4 del artículo 37 de la Ley 182 de 1995.
<Resolución ANTV 650 de 2018; Art. 4>
CANAL DIGITAL DE TELEVISIÓN: <Definición adicionada por el artículo 1 de la Resolución 6383 de 2021. El nuevo texto es el siguiente:> Para efectos del servicio de Televisión Digital Terrestre, se entiende como la secuencia de programas bajo el control de un operador que utiliza para su emisión parte de la capacidad de un múltiplex digital.
<Acuerdo CNTV 2 de 2012; Art. 4>
CANAL PRINCIPAL DIGITAL: <Definición subrogada por el artículo 1 de la Resolución 7423 de 2024. El nuevo texto es el siguiente:> Para efectos del servicio de Televisión Digital Terrestre, se entiende como la porción del múltiplex digital que se radiodifunde y que debe cumplir todas las obligaciones consagradas en la regulación vigente para la televisión abierta radiodifundida analógica y que, durante el período de transición, deberá transmitir la misma programación abierta radiodifundida en la televisión analógica. La recepción del canal principal digital siempre será libre y gratuita para el televidente.
Una vez cese la emisión de señales analógicas, el canal principal se entenderá como la porción del multiplex digital que se radiodifunde y que cuenta en el Identificador de Servicio (Service ID) del RITDT más bajo disponible dentro del rango de identificadores de servicio reservado al respectivo multiplex.
CANAL RADIOELÉCTRICO EN EL SERVICIO DE TELEVISIÓN RADIODIFUNDIDA DIGITAL TERRESTRE: Parte del espectro de frecuencias atribuido para la transmisión de señales de televisión radiodifundida desde una estación terrestre, y que queda definido por la frecuencia central y el ancho de banda. En Colombia el ancho de banda de los canales radioeléctricos utilizados para televisión abierta radiodifundida es 6 MHz. Se puede llamar también frecuencia radioeléctrica.
(Resolución CRC 4599 de 2014, artículo 4, numeral 2)
CANAL TEMÁTICO: <Definición subrogada por el artículo 2 de la Resolución 7423 de 2024. El nuevo texto es el siguiente:> Es aquel canal de televisión de origen nacional, destinado ser emitido principalmente a través del servicio de televisión, cuyo contenido está especializado en una determinada temática o dirigido a un sector de la población.
CARGO BÁSICO: Valor fijo mensual a pagar por los usuarios suscritos a un plan tarifario, el cual variará según las características de los planes tarifarios diseñados por cada operador.
(Resolución CRT 087 de 1997, artículo 1.2)
CARGO DE ACCESO Y USO DE LAS REDES: Es el peaje pagado a los operadores, por parte de otros operadores, por concepto de la utilización de sus redes, medido en términos de unidades de tiempo o cualquier otro concepto que resulte apropiado para tal efecto.
(Resolución CRT 087 de 1997, artículo 1.2)
CARGO DE INTERMEDIACIÓN: <Definición adicionada por el artículo 1 de la Resolución 5322 de 2018. El nuevo texto es el siguiente:> Valor que incluye los costos en los que incurre un proveedor móvil por el tráfico de llamadas fijo-móvil hacia números portados que se encuentran activos en la red de otro proveedor móvil. Este valor incluye: los costos por la consulta a la base de datos operativa para la portabilidad numérica y los costos por el transporte o tránsito de la llamada hacia la red del proveedor móvil destino.
CARGO POR CONEXIÓN: Valor que incluye únicamente los costos asociados a la conexión de los servicios de comunicaciones fijas y televisión por suscripción, el cual otorga al usuario el derecho a la conexión e instalación del servicio.
Si se prestan varios servicios de comunicaciones sobre una misma red de acceso, el cargo por conexión corresponde al valor de la conexión e instalación de un servicio más los costos incrementales en que se pueda incurrir por conectar los otros servicios a la red de acceso común.
(Resolución CRC 3066 de 2011, artículo 9, modificada por la Resolución CRC 4930 de 2016) -
CC: <Definición adicionada por el artículo 2 de la Resolución 5968 de 2020. El nuevo texto es el siguiente:> Country Code (CC, por sus siglas en inglés) o Código del país. Se utiliza para seleccionar el país de destino de una comunicación, es decir, el país en que está inscrito el abonado identificado, o el país en que existe un punto en que se presta el servicio. Su longitud varía entre una y tres cifras.
CDR (CHARGING DATA RECORDS): Formato de recolección de información acerca de eventos, tales como tiempo de establecimiento de una llamada, duración de la llamada, cantidad de datos transferidos, identificación del abonado llamante, etc.
(Resolución CRC 3128 de 2011, artículo 2, Modificada por la Resolución CRC 4813 de 2015)
CENTRAL DE COMUNICACIONES (CENTRAL): Elemento de red a través del cual se llevan a cabo funciones de control, señalización, codificación, conmutación, distribución, transporte, tasación, autenticación de números de origen y destino, enrutamiento, puenteo y otras que se requieren para iniciar, mantener y finalizar comunicaciones entre equipos terminales conectados a una o más redes. Según la evolución tecnológica, las funciones anteriormente citadas pueden ser desempeñadas por diferentes elementos de la red.
(Resolución CRC 3067 de 2011, artículo 1.8, numeral 10)
CIBERESPACIO: Es el ambiente tanto físico como virtual compuesto por computadores, sistemas computacionales, programas computacionales (software), redes de telecomunicaciones, datos e información que es utilizado para la interacción entre usuarios.
(Resolución CRC 3067 de 2011, artículo 1.8, numeral 11)
CIBERSEGURIDAD: El conjunto de herramientas, políticas, conceptos de seguridad, salvaguardas de seguridad, directrices, métodos de gestión de riesgos, acciones, formación, prácticas idóneas, seguros y tecnologías que pueden utilizarse para proteger los activos de la organización y los usuarios en el ciberentorno. La ciberseguridad garantiza que se alcancen y mantengan las propiedades de seguridad de los activos de la organización y los usuarios contra los riesgos de seguridad correspondientes en el ciberentorno.
(Resolución CRC 3067 de 2011, artículo 1.8, numeral 12)
CLASE DE NUMERACIÓN E.164: <Definición subrogada por el artículo 3 de la Resolución 5968 de 2020. El nuevo texto es el siguiente:> Se refiere al servicio o red y ámbito geográfico o no geográfico específicos para los cuales el Administrador de los recursos de identificación asigna un bloque de numeración E.164.
CLÁUSULA DE PERMANENCIA MÍNIMA PARA LOS USUARIOS DE SERVICIOS DE COMUNICACIONES: <Definición modificada por el artículo 2 de la Resolución 7811 de 2025. El nuevo texto es el siguiente:> Estipulación contractual por medio de la cual el usuario que celebra el contrato se obliga a no terminarlo anticipadamente, so pena de tener que pagar los valores que para tales efectos se hayan pactado en el contrato, los cuales en ningún caso se constituirán en multas o sanciones. El periodo de permanencia mínima no podrá ser superior a un año y no podrá renovarse ni prorrogarse.
CLÁUSULA DE PRÓRROGA AUTOMÁTICA PARA LOS USUARIOS DEL SERVICIO DE COMUNICACIONES: Es la estipulación contractual en la que se conviene que el plazo contractual se prorrogará por un término igual, en iguales condiciones a las convenidas entre las partes, sin necesidad de formalidad alguna, salvo que una de las partes manifieste con antelación su interés de no renovar el contrato.
(Resolución CRC 3066 de 2011, artículo 9)
CÓDIGO CORTO: <Definición modificada por el artículo 5 de la Resolución 5968 de 2020. El nuevo texto es el siguiente:> Tipo de numeración asignada por la CRC para la prestación de servicios de contenidos y aplicaciones basados en el envío o recepción de mensajes cortos de texto (SMS) y mensajes a través del Servicio Suplementario de Datos no Estructurados (USSD). La naturaleza de esta numeración está circunscrita al posicionamiento e identificación de un tipo de servicio de contenidos y aplicaciones para los usuarios, a través de un código numérico que informe claramente el tipo de servicio, el contenido, la modalidad de compra y los costos asociados, y no para la creación de un canal de comunicación dedicado de SMS entre los usuarios finales del servicio de telefonía móvil y sus clientes.
CÓDIGO DE OPERADOR DE LARGA DISTANCIA INTERNACIONAL: <Definición subrogada por el artículo 1 de la Resolución 5826 de 2019. El nuevo texto es el siguiente:> Identificador numérico asignado a los proveedores del servicio de larga distancia internacional, para permitir el acceso de sus usuarios a través del sistema de multiacceso.
CÓDIGOS DE PUNTO DE SEÑALIZACIÓN: <Definición adicionada por el artículo 2 de la Resolución 5968 de 2020. El nuevo texto es el siguiente:> Números utilizados para identificar Puntos de señalización (PS), puntos de transferencia de señalización (PTS) o Puntos de señalización y puntos de transferencia de señalización (PS/PTS) en el ámbito nacional (SPC) o internacional (ISPC).
CÓDIGO DE RED: Cifra o secuencia de cifras que permite la diferenciación exclusiva de una red fija o móvil, con el objeto de facilitar la identificación de sus suscriptores o sus servicios en el ámbito nacional e internacional.
(Resolución CRT 087 de 1997, artículo 1.2)
CÓDIGO ÚNICO NUMÉRICO (CUN) DEL SERVICIO POSTAL: Código de radicación que permitirá a los usuarios de los servicios postales identificar en todo momento el trámite de su PQR o de su solicitud de indemnización, el cual será suministrado por la Superintendencia de Industria y Comercio -SIC- a los operadores de servicios postales, quienes a su vez deberán asignarlos a las PQR o solicitudes de indemnización presentadas por sus usuarios.
(Resolución CRC 3038 de 2011, artículo 3)
COMITÉ TÉCNICO DE PORTABILIDAD (CTP): <Definición derogada por el artículo 80 de la Resolución 5586 de 2019>
COMPETENCIA POTENCIAL: Se refiere a la posibilidad de que un operador que no preste un servicio en particular pueda entrar a competir en el mercado en un horizonte razonable.
(Resolución CRC <sic, CRT> 2058 de 2009, artículo 4)
CONFIDENCIALIDAD DE DATOS EN EL RÉGIMEN DE CALIDAD DEL SERVICIO DE TELECOMUNICACIONES: Impedir que los datos sean divulgados sin autorización.
(Resolución CRC 3067 de 2011, artículo 1.8, numeral 13)
CONECTANTE INTERNACIONAL: Es el operador de otro país que cursa el tráfico de larga distancia internacional, entrante o saliente de Colombia, que se destina u origina en un operador del servicio de TPCLDI previa existencia de un acuerdo.
(Resolución CRT 087 de 1997, artículo 1.2)
CONGESTIÓN DE RED: <Definición adicionada por el artículo 1 de la Resolución 5078 de 2016. El nuevo texto es el siguiente:> Estado en el cual parte o la totalidad de uno o varios elementos de red llegan a su capacidad máxima para cursar tráfico de manera tal que no es posible mantener el nivel de calidad de servicio planeado para una parte o la totalidad de los usuarios. Su ocurrencia afecta la calidad del servicio en términos de retrasos por encolamiento y retransmisiones, perdida de paquetes y/o bloqueo de nuevas comunicaciones.
CONTABILIDAD DE GESTIÓN PARA LA SEPARACIÓN CONTABLE EN SERVICIOS POSTALES: La contabilidad de gestión es también llamada contabilidad gerencial. Es orientada a desarrollar aspectos administrativos de la empresa con el fin de satisfacer necesidades de información internas y de toma de decisiones, garantizando la eficiencia de las operaciones. Todo esto enfocado a evaluar el desarrollo de la entidad a la luz de las políticas, metas u objetivos preestablecidos por la empresa. Suele centrarse en el análisis de ingresos y costos de cada actividad y la cantidad de recursos utilizados.
(Resolución CRC 3774 de 2012, artículo 2)
CONTRATO DE PRESTACIÓN DEL SERVICIO DE COMUNICACIONES: <Definición modificada por el artículo 2 de la Resolución 7811 de 2025. El nuevo texto es el siguiente:> Acuerdo de voluntades entre el usuario y el proveedor de servicios de comunicaciones u operador del servicio de televisión por suscripción, el cual deberá constar en copia escrita física, electrónica o digital, para el suministro de los servicios de telefonía, internet o televisión por suscripción, del cual se derivan derechos y obligaciones para las partes.
Los derechos y obligaciones del usuario que celebró el contrato se extienden también al usuario que se beneficia de la prestación de los servicios, salvo los casos en que excepcionalmente la regulación señale que sólo el usuario que celebró el contrato sea titular de determinados derechos, especialmente los derechos que implican condiciones de permanencia mínima, modificaciones a los servicios contratados o terminación del contrato.
CONTABILIDAD FINANCIERA PARA PRST Y OPERADOR DE TELEVISIÓN POR SUSCRIPCIÓN: La contabilidad financiera es una técnica que se utiliza para producir sistemática y estructuradamente información cuantitativa expresada en unidades monetarias de las transacciones que realiza una entidad económica y de ciertos eventos económicos identificables y cuantificables que la afectan, con el objeto de facilitar a los grupos de interés tomar decisiones en relación con ésta.
(Resolución CRC 4577 de 2014, artículo 4)
CONTRATO DE PRESTACIÓN DEL SERVICIO POSTAL: Acuerdo de voluntades celebrado entre el remitente y el operador de servicios postales, para el desarrollo de las actividades de recepción, clasificación, transporte y entrega al destinatario de objetos postales. El acuerdo puede ser verbal o escrito, es de ejecución instantánea y por norma general es oneroso. Cuando el contrato sea escrito, deberá ser elaborado con letra no inferior a tres (3) milímetros.
(Resolución CRC 3038 de 2011, artículo 3)
COPRODUCCIÓN: <Definición adicionada por el artículo 1 de la Resolución 6383 de 2021. El nuevo texto es el siguiente:> Para efectos del servicio Televisión Comunitaria, se entiende como la participación conjunta de comunidades organizadas con recursos técnicos, operativos, logísticos, económicos o de talento humano en la realización de programas que, por su contenido y relevancia, son de interés público y compartido para las comunidades beneficiadas.
<Resolución ANTV 650 de 2018; Art. 4>
COSTEO BASADO EN ACTIVIDADES ABC (ACTIVITY BASED COSTING) PARA LA SEPARACIÓN CONTABLE EN SERVICIOS POSTALES: Enfoque de contabilidad de costos, según el cual los productos consumen actividades, las cuales a su vez requieren recursos para generar los productos y/o servicios. La asignación de recursos a actividades y de éstas últimas a los servicios se realizan a través de direccionadores de costos.
(Resolución CRC 3774 de 2012, artículo 2)
COSTOS DE INTERCONEXIÓN: Es el valor de las inversiones y costos necesarios para interconectar las redes de telecomunicaciones. Se incluyen, entre otros, los medios de acceso, enlaces de transmisión, los equipos, sistemas, soportes lógicos, dispositivos y órganos de conexión asociados, entre los nodos de interconexión de las redes de los proveedores de redes y servicios de telecomunicaciones interconectados.
(Resolución CRC 3101 de 2011, artículo 3, numeral 3.4)
COUBICACIÓN: Es el suministro de espacio y de los servicios conexos involucrados en los predios de un proveedor de redes y servicios de telecomunicaciones, con el fin de que otro proveedor pueda instalar en él los equipos necesarios para el acceso y/o la interconexión.
(Resolución CRC 3101 de 2011, artículo 3, numeral 3.5)
COUBICACIÓN PARA INFRAESTRUCTURA TELEVISIÓN ABIERTA RADIODIFUNDIDA: Es el suministro de espacio y de los servicios soporte tales como el suministro de energía, vigilancia de los equipos, entre otros, involucrados en los predios o estaciones de radiodifusión de televisión que utiliza un operador de televisión abierta radiodifundida, con el fin de que otro operador de televisión abierta radiodifundida pueda instalar allí los equipos necesarios para el acceso y uso de las infraestructuras involucradas en el acuerdo de acceso.
(Resolución CRC 4841 de 2015, artículo 3)
CROWDSOURCING: <Definición adicionada por el artículos 1 de la Resolución 6890 de 2022. El nuevo texto es el siguiente:> Método de medición de calidad del servicio extremo-extremo, utilizado para recopilar mediciones activas o pasivas a partir de una gran cantidad de equipos terminales de los usuarios finales.
<D>
DATO DE LOCALIZACIÓN PARA LOS USUARIOS DE SERVICIOS DE COMUNICACIONES: Cualquier pieza de información que permita identificar la ubicación geográfica del equipo terminal de un usuario de servicios de comunicaciones.
(Resolución CRC 3066 de 2011, artículo 9)
DATO DE TRÁFICO PARA LOS USUARIOS DE SERVICIOS DE COMUNICACIONES: Pieza de información tratada a efectos de la conducción de una comunicación o de la facturación de la misma. Dentro de esta clase de datos se encuentran, entre otros, los datos necesarios para identificar el origen de una comunicación, el destino de la misma, la fecha, la hora, la duración de la comunicación y el tipo de comunicación.
(Resolución CRC 3066 de 2011, artículo 9)
DATO PERSONAL PARA LOS USUARIOS DE SERVICIOS DE COMUNICACIONES: <Definición derogada por el artículo 137 de la Resolución 7811 de 2025>
DEGRADACIÓN EN LA PRESTACIÓN DE LOS SERVICIOS DE TELECOMUNICACIONES MÓVILES: <Definición adicionada por el artículo 1 de la Resolución 7363 de 2024. El nuevo texto es el siguiente:> Hace referencia a la disminución de los niveles de calidad de los servicios móviles, específicamente de alguna de las variables contenidas en los indicadores definidos en los artículos 5.1.3.1, 5.1.3.2 y 5.1.6.1 de la presente resolución, en un ámbito geográfico o en una zona determinada, que sea consecuencia de un evento o situación que se presente en la red del PRSTM durante noventa y seis (96) horas consecutivas, que se detecte a través de: (i) gestores de desempeño, (ii) herramientas que almacenan los contadores de red o (iii) mediciones externas realizadas por los PRSTM a través de información capturada con el método Crowdsourcing de acuerdo con el Anexo 5.3., de la presente resolución. Lo anterior, independientemente del cumplimiento de los valores objetivo definidos en esta resolución.
Se considera que la disminución de los niveles de calidad de los servicios móviles constituye una degradación en la prestación de estos servicios cuando el promedio del desempeño de algún indicador de calidad disminuya o aumente en un 25%, de acuerdo con su naturaleza, durante las noventa y seis (96) horas consecutivas de duración del evento o situación, tomando como referencia el promedio del desempeño del mismo indicador de calidad durante los treinta (30) días calendario anteriores al inicio del evento o situación que sea identificada por la DVIC de MinTIC.
Para el cálculo del promedio del desempeño del indicador de calidad descrito en el segundo inciso de esta definición, se excluyen los siguientes días atípicos de tráfico: 24, 25 y 31 de diciembre, 1 de enero, Día de la Madre, día del Padre, día del Amor y la Amistad y las horas en que se adelanten eventos de mantenimiento programados siempre y cuando estos últimos hayan sido notificados con la debida antelación a los usuarios.
DESAGREGACIÓN: Es la separación de elementos (físicos y/o lógicos), funciones o servicios de una red de telecomunicaciones, con el objeto de darles un tratamiento específico y cuyo costo puede determinarse por separado.
(Resolución CRT 087 de 1997, artículo 1.2)
DÍA HÁBIL PARA LA PORTABILIDAD NUMÉRICA MÓVIL: <Definición sustituida por "FRANJA HORARIA PARA LA PORTABILIDAD NUMÉRICA MÓVIL" por el artículo 1 de la Resolución 7285 de 2024>
DISPONIBILIDAD DEL SERVICIO EN EL RÉGIMEN DE CALIDAD DEL SERVICIO DE TELECOMUNICACIONES: Acceso por parte de una entidad autorizada a la información y sistemas informáticos, cuando esta entidad lo requiera.
(Resolución CRC 3067 de 2011, artículo 1.8, numeral 14)
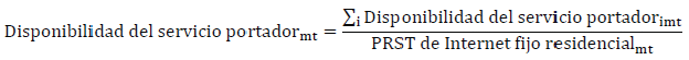
DISPONIBILIDAD DEL SERVICIO PORTADOR: <Definición adicionada por el artículo 1 de la Resolución 7714 de 2025. El nuevo texto es el siguiente:> Es el porcentaje de tiempo, en relación con un determinado periodo de observación, en que el servicio portador permanece en condiciones operacionales de cursar tráfico de manera ininterrumpida. Por consiguiente, la indisponibilidad corresponde al periodo en que el servicio no cuente con dichas condiciones. Lo anterior, en consonancia con las definiciones, parámetros y criterios contenidos en las recomendaciones de la UIT, particularmente de la serie G.
DISTRIBUCIÓN DE LA SEÑAL: <Definición adicionada por el artículo 1 de la Resolución 6383 de 2021. El nuevo texto es el siguiente:> Para efectos del servicio de Televisión Comunitaria, se entiende como el acto de transportar la señal de televisión a los asociados de la comunidad organizada sin ánimo de lucro mediante el uso de una red de distribución.
<Resolución ANTV 650 de 2018; Art. 4>
DIRECCIONADORES DE COSTOS PARA LA SEPARACIÓN CONTABLE EN SERVICIOS POSTALES: Son criterios de aplicación o distribución de costos, los cuales determinan la forma en que se distribuyen los recursos de la entidad a las actividades y servicios o segmentos de operación. La función principal es facilitar una distribución razonable y objetiva de los costos en todos los niveles de la organización, articulando para el efecto las relaciones recursos - actividades y actividades - servicios o segmentos de operación del modelo de costos.
(Resolución CRC 3774 de 2012, artículo 2)
DN EN LA PORTABILIDAD NUMÉRICA: Número de directorio.
(Resolución CRC 2948 de 2010, artículo 1, numeral 1.1)
EIR EN EL CONTROL DE EQUIPOS TERMINALES MÓVILES: Registro de identidad de los equipos terminales móviles que almacena información sobre el tipo de estación móvil en uso. Éste registro tiene la capacidad de prevenir que se realice una llamada cuando se detecte que el equipo terminal móvil tiene un reporte de hurto y/o extravío o sufre de algún fallo susceptible de afectar negativamente a la red.
(Resolución CRC 3128 de 2011, artículo 2, Modificada por la Resolución CRC 4813 de 2015)
<E>
EMPAQUETAMIENTO DE SERVICIOS: <Numeral derogado por el artículo 12 de la Resolución 5111 de 2017>
ENTIDAD EN EL RÉGIMEN DE CALIDAD DEL SERVICIO DE TELECOMUNICACIONES: Persona natural o jurídica, organización, elemento de equipos informáticos o un programa informático.
(Resolución CRC 3067 de 2011, artículo 1.8, numeral 5)
EQUIPO TERMINAL: Dispositivo que permite el acceso a una red de telecomunicaciones, que está destinado a ser conectado directamente por cualquier medio a interfaces, entendidas estas últimas como puntos de terminación de red, tanto físicos como radioeléctricos.
(Resolución CRT 087 de 1997, artículo 1.2, Adicionada por la Resolución CRC 4507 de 2014)
EQUIPO TERMINAL DE ACCESO: <Definición adicionada por el artículo 1 de la Resolución 5078 de 2016. El nuevo texto es el siguiente:> Equipo terminal, que hace parte de la red de acceso y está ubicado en las instalaciones del proveedor al cual se conectan los equipos terminales de red. Este equipo implementa las funcionalidades de modem y procesos de multiplexación y demultiplexación de tráfico para proveer de manera simultánea servicios de comunicaciones a múltiples equipos terminales de red. Según el tipo de tecnología de red de acceso empleada, éste término podrá hacer referencia, entre otros dispositivos, a los DSLAM (Digital Subscriber Line Access Multiplexer), CMTS (Cable Modem Termination System), u OLT (Optical Line Terminal).
EQUIPO TERMINAL DE RED: <Definición adicionada por el artículo 1 de la Resolución 5078 de 2016. El nuevo texto es el siguiente:> Equipo terminal ubicado en las instalaciones del cliente que implementa funcionalidades de modem y procesos de multiplexación y demultiplexación de tráfico. Este equipo adicionalmente puede incluir, entre otras funcionalidades, las de enrutador de tráfico, adaptador telefónico y punto de acceso inalámbrico. Según el tipo de tecnología de red de acceso empleada, éste término podrá hacer referencia, entre otros dispositivos a Modem xDSL, Cable Módem, MTA (Multimedia Terminal Adapter), ONT (Optical Networking Terminal), ONU (Optical Network Unit).
EQUIPO TERMINAL MÓVIL (ETM): Dispositivo que posea un IMEI (Identificador Internacional de Equipo Móvil), por sus siglas en Inglés, o aquel identificador que cumpla una función equivalente a éste, y por medio del cual se accede a las redes de telecomunicaciones móviles para la prestación de servicios de comunicaciones de voz y/o datos.
(Resolución CRC 3066 de 2011, artículo 9)
(Resolución CRC 3128 de 2011, artículo 2, Modificada por la Resolución CRC 4813 de 2015)
(Resolución CRC 4584 de 2014, artículo 2)
ESPACIO DE TELEVISIÓN: <Definición adicionada por el artículo 1 de la Resolución 6383 de 2021. El nuevo texto es el siguiente:> Unidad de tiempo determinada que se utiliza para radiodifundir material audiovisual a través de los canales de televisión.
<Acuerdo CNTV 2 de 2012; Art. 4>
ESPACIOS INSTITUCIONALES: <Definición adicionada por el artículo 1 de la Resolución 6383 de 2021. El nuevo texto es el siguiente:> Son aquellos espacios reservados en todos los canales de televisión abierta por la Comisión de Regulación de Comunicaciones para la radiodifusión de contenidos realizados por entidades del Estado, o cuya producción haya sido contratada por estas con terceros, con el fin de informar a la ciudadanía acerca del ejercicio propio de sus funciones, y destinados a la promoción de la unidad familiar, el civismo, la educación, los derechos humanos, la cultura y, en general, orientados a la divulgación de los fines y principios del Estado.
<Acuerdo CNTV 2 de 2011; Art. 9>
ESPECTRO ELECTROMAGNÉTICO: Es el conjunto de todas las frecuencias de emisión de los cuerpos de la naturaleza. Comprende un amplio rango que va desde ondas cortas (rayos gamma, rayos X), ondas medias o intermedias (luz visible), hasta ondas largas (las radiocomunicaciones actuales).
ESTACIÓN BASE: <Definición adicionada por el artículo 1 de la Resolución 5078 de 2016. El nuevo texto es el siguiente:> Conjunto de uno o más equipos transmisores o receptores, o combinaciones de ellos, incluyendo las instalaciones, antenas y equipos necesarios para asegurar la interfaz entre el equipo terminal móvil o modem del cliente y la red central del proveedor de redes y servicios de telecomunicaciones móviles o servicios prestados a través de ubicaciones fijas. Una estación base puede estar conformada por una, dos, tres o más sectores de igual o diferentes tecnologías de red de acceso.
ESTACIONES DE RADIODIFUSIÓN DE TELEVISIÓN: Son los espacios correspondientes a los sitios de la red de televisión abierta radiodifundida desde los cuales la señal es radiodifundida en forma terrestre, y en donde están ubicadas las instalaciones esenciales y no esenciales asociadas a dicho servicio.
(Resolución CRC 4841 de 2015, artículo 3)
ESTACIONES DE RADIODIFUSIÓN SONORA DE OPERACIÓN ITINERANTE. <Definición adicionada por el artículo 2 de la Resolución 7885 de 2025. El nuevo texto es el siguiente:> Se entiende por estación de radiodifusión sonora de operación itinerante, la operación fija de una estación de radiodifusión sonora en sitios o lugares geográficos especificados, dentro del territorio nacional y por periodos variables u ocasionales de tiempo.
<Resolución MinTIC 2614 de 2022; Art. 84>
ESTADO DEL RECURSO DE IDENTIFICACIÓN: <Definición subrogada por el artículo 3 de la Resolución 5968 de 2020. El nuevo texto es el siguiente:> Es la situación de atribución, disponibilidad, implementación o utilización en que se encuentra cada uno de los recursos de identificación bajo la administración del Administrador de los recursos de identificación.
EVENTOS DE INTERÉS PARA LA COMUNIDAD. <Definición adicionada por el artículo 1 de la Resolución 6261 de 2021. El nuevo texto es el siguiente:> Son aquellos cuyo desarrollo interesa a todos los habitantes del territorio colombiano, por razones de identidad y representatividad nacional, cultural y social. En la transmisión de estos eventos se garantizará el pluralismo informativo, el acceso a la información, y la posibilidad de contrastar distintas versiones de los sucesos.
(Acuerdo CNTV 3 de 2002, artículo 2)
EVENTO DE SEGURIDAD DE LA INFORMACIÓN: <Definición adicionada por el artículo 1 de la Resolución 5569 de 2018. El nuevo texto es el siguiente:> presencia identificada de una condición de un sistema, servicio o red, que indica una posible violación de la política de seguridad de la información o la falla de las salvaguardas, o una situación desconocida previamente que puede ser pertinente a la seguridad. (De acuerdo con lo dispuesto en el estándar ISO/ IEC 27000:2016).
<F>
FACILITADOR Y/O AGREGADOR DE RED (MVNE/MVNA): <Definición adicionada por el artículo 7 de la Resolución 5108 de 2017. El nuevo texto es el siguiente:> Es el actor que se posiciona entre un proveedor de red y un OMV para proveer servicios que puede ir desde servicios de valor agregado y de "back office" hasta definición de la oferta del servicio móvil. Tienen la opción de realizar acuerdos tanto con el OMR para el acceso a la red, como con el MVNE para desarrollar la operación del servicio. Adicionalmente, cuando el MVNE tiene el acuerdo de acceso a la red, el OMV puede optar por realizar el acuerdo para uso de la red solamente con el MVNE. En este caso el MVNE se conoce como MVNA (Mobile Virtual Network Aggregator) y corresponde al modelo de negocio en el que el OMR entrega a un tercero la oferta y operación mayorista. La diferencia entre un MVNE y un MVNA corresponde a la relación que tiene con el OMR, que en el primer caso es a través del OMV y en el segundo es directa.
FACTURACIÓN, DISTRIBUCIÓN Y RECAUDO: Instalación esencial que se compone de un conjunto de procesos que comprenden la consolidación de la información generada por la medición, tarificación y la verificación de la consistencia de los registros para la posterior generación, impresión y alistamiento de las facturas, así como también el reparto de las mismas y la recolección de los dineros pagados por los usuarios a los proveedores de redes y servicios a través de diferentes medios, ya sean entidades bancarias u otros medios de recaudo.
(Resolución CRC 3096 de 2011, artículo 1, numeral 1.1)
FACTURA PARA LOS USUARIOS DE SERVICIOS DE COMUNICACIONES: <Definición modificada por el artículo 2 de la Resolución 7811 de 2025. El nuevo texto es el siguiente:> Documento impreso, electrónico o digital que los proveedores de telefonía, internet y televisión por suscripción, entregan al usuario con el lleno de los requisitos legales, por causa del consumo y demás bienes y servicios contratados por el usuario en ejecución del contrato de prestación de servicios de comunicaciones, que en todo caso debe reflejar las condiciones comerciales pactadas con el proveedor.
FECHA DE IMPLEMENTACIÓN DE LA PORTABILIDAD NUMÉRICA: <Definición derogada por el artículo 80 de la Resolución 5586 de 2019>
FIRMA DIGITAL: <Definición derogada por el artículo 137 de la Resolución 7811 de 2025>
FRANJA HORARIA PARA LA PORTABILIDAD NUMÉRICA MÓVIL: <Definición adicionada por el artículo 1 de la Resolución 7285 de 2024. El nuevo texto es el siguiente:> Período comprendido entre las 8:00:00 a. m., y las 4:00:00 p. m., de lunes a domingo incluyendo los días festivos.
FTP: <Definición adicionada por el artículo 1 de la Resolución 5078 de 2016. El nuevo texto es el siguiente:> Protocolo de Transferencia de Archivos (File Transfer Protocol), que permite a los usuarios transferir archivos entre sistemas locales y cualquier sistema que permita alcanzar una red de datos.
<G>
GESTIÓN DE NUMERACIÓN: <Definición derogada por el artículo 3 de la Resolución 5968 de 2020>
GESTIÓN OPERATIVA DE RECLAMOS EN LA INSTALACIÓN ESENCIAL DE FACTURACIÓN, DISTRIBUCIÓN Y RECAUDO: Servicio adicional mediante el cual un proveedor de redes y servicios da solución a una manifestación del usuario o suscriptor en la cual indica no estar de acuerdo con los conceptos registrados en la factura que ha recibido.
(Resolución CRC 3096 de 2011, artículo 1, numeral 1.2)
GSM: Por su sigla en Inglés -Global System for Mobile-. Sistema global para las comunicaciones móviles.
(Resolución CRC 3128 de 2011, artículo 2, Modificada por la Resolución CRC 4813 de 2015)
GRUPOS EMPRESARIALES: <Definición derogada por el artículo 137 de la Resolución 7811 de 2025>
GUÍA DE OPERADORES POSTALES: <Definición modificada por el artículo 1 de la Resolución 5586 de 2019. El nuevo texto es el siguiente> Documento expedido y diligenciado por los operadores postales de mensajería expresa, que cursará adherido al objeto postal en todo momento y en el cual constarán unos elementos mínimos que permitan la completa identificación y trámite que se le dará al mismo.
<H>
HORA DE MÁXIMO TRÁFICO (HORA DE TRÁFICO PICO): <Definición modificada por el artículo 2 de la Resolución 5078 de 2016, consultar en Legislación Anterior el texto vigente hasta esta fecha. El nuevo texto es el siguiente:> Espacio de tiempo de una hora de duración para el cual según sea el caso, el volumen de tráfico de voz o datos o el número de mensajes (SMS) es máximo, en un período de 24 horas contado desde las 0 horas hasta las 23 -inclusive- de cada día. Cuando se indique que una determinada hora es la hora de máximo tráfico o de tráfico pico, se deberá hacer alusión a la hora de inicio de tal situación. La hora de inicio no debe incluir los minutos.
<I>
IAM: <Definición subrogada por el artículo 4 de la Resolución 5968 de 2020. El nuevo texto es el siguiente:> Mensaje inicial de dirección (initial address message), de conformidad con lo definido en la Recomendación UIT-T Q.769.1.
ICCID: <Definición adicionada por el artículo 2 de la Resolución 5968 de 2020. El nuevo texto es el siguiente:> Integrated Circuit Card Identifier (ICCID, por sus siglas en inglés). Corresponde a un identificador de las tarjetas SIM que se incluye a nivel lógico en su programación y se imprime en algunas ocasiones físicamente en ellas, el cual es utilizado para conocer al emisor y al titular de una tarjeta a nivel internacional. Este identificador es equivalente al número de cuenta principal (PAN - Primary Account Number) definido en la Recomendación UIT-T E.118, del cual hace parte el IIN.
IDENTIFICADOR DE DATOS PRIVADOS (PRIVATE DATA SPECIFIER ID): <Definición adicionada por el artículo 2 de la Resolución 5968 de 2020. El nuevo texto es el siguiente:> Parámetro que se emplea para identificar elementos de información privados o propietarios de las redes de TDT. Para el caso particular del estándar DVB-T2, en Colombia se debe utilizar el mismo Identificador de datos privados en todas las redes, por lo tanto, el mismo es fijado a partir de la asignación efectuada por el consorcio DVB.
IDENTIFICADOR DE RED (NETWORK ID): <Definición adicionada por el artículo 2 de la Resolución 5968 de 2020. El nuevo texto es el siguiente:> Parámetro que tiene la función de identificar la red de TDT asociada a una zona cubierta por una serie de centros de transmisión que dependen de una única cabecera.
IDENTIFICADOR DE RED ORIGINAL (ORIGINAL NETWORK ID): <Definición adicionada por el artículo 2 de la Resolución 5968 de 2020. El nuevo texto es el siguiente:> Parámetro que tiene la función de identificar el sistema de distribución de televisión original. Para el caso particular del estándar europeo de TDT, en un país se debe utilizar el mismo identificador de red original en todas las redes, por lo tanto, el mismo es fijado para el caso colombiano teniendo en cuenta la asignación que el consorcio DVB realizó al país.
IDENTIFICADOR DE SERVICIO (SERVICE ID): <Definición adicionada por el artículo 2 de la Resolución 5968 de 2020. El nuevo texto es el siguiente:> Parámetro que identifica cada uno de los servicios prestados dentro del sistema de distribución de televisión original. Dicho identificador debe tomar un valor diferente para cada uno de los distintos servicios que se presten en el territorio nacional.
IDENTIFICADOR DE TRAMA DE TRANSPORTE (TRANSPORT STREAM ID): <Definición adicionada por el artículo 2 de la Resolución 5968 de 2020. El nuevo texto es el siguiente:> Parámetro que identifica de forma unívoca una trama de transporte en los multiplex digitales dentro de cada sistema de distribución de televisión original. En la medida que todas las redes de TDT de un mismo país utilizan el mismo Identificador de Red Original, el Identificador de Trama de Transporte toma un valor diferente para cada una de las tramas de transporte de los distintos multiplex digitales existentes en el territorio nacional.
IIN: <Definición adicionada por el artículo 2 de la Resolución 5968 de 2020. El nuevo texto es el siguiente:> Issuer Identification Number (IIN, por sus siglas en inglés) o Número identificador de expedidor. Corresponde al número que identifica al emisor de una tarjeta asociada a la prestación de servicios de telecomunicaciones, que constituye a su vez la primera parte del número de cuenta principal (PAN - Primary Account Number) que identifica al emisor y al titular de dicha tarjeta a nivel internacional, bajo una estructura de numeración similar a la de una tarjeta de crédito
IMEI: Identificador Internacional del Equipo Móvil (por sus siglas en inglés). Código de quince (15) dígitos pregrabado en los equipos terminales móviles que lo identifica de manera específica.
(Resolución CRC 3128 de 2011, artículo 2, Modificada por la Resolución CRC 4813 de 2015)
IMEI ANTIGUO: <Definición derogada por el artículo 80 de la Resolución 5586 de 2019>
IMEI DUPLICADO: IMEI contenido en dos o más equipos terminales móviles diferentes.
(Resolución CRC 3128 de 2011, artículo 2, Modificada por la Resolución CRC 4813 de 2015)
IMEI INVÁLIDO: <Definición corregida por el artículo 1 de la Resolución 5226 de 2017. El nuevo texto es el siguiente:> IMEI cuyo valor de TAC (Type Allocation Code) no se encuentra en la lista de TAC de la GSMA ni en la lista de TAC de los equipos homologados ante la Comisión de Regulación de Comunicaciones (CRC).
(Resolución CRC 4868 de 2016, artículo 1o)
IMEI NO HOMOLOGADO: IMEI cuyo TAC corresponde a una marca y modelo de equipo terminal que no ha surtido el proceso de homologación ante la Comisión de Regulación de Comunicaciones, de acuerdo a lo definido en el ARTÍCULO 7.1.1.2.5 del Capítulo I del Título VII o aquel que lo modifique, adicione o sustituya.
(Resolución CRC 3128 de 2011, artículo 2, Modificada por la Resolución CRC 4813 de 2015)
IMEI REPETIDOS ENTRE REDES: Son aquellos IMEI que se encuentran incluidos en dos o más listas de IMEI obtenidas del ciclo de análisis intra red.
(Resolución CRC 3128 de 2011, artículo 2, Modificada por la Resolución CRC 4813 de 2015 y Modificada por la Resolución CRC 4937 de 2016)
IMEI SIN FORMATO: IMEI con una longitud diferente a 14 dígitos (sin incluir el dígito de chequeo -CD- (Check Digit), ni el dígito de reserva -SD- (Spare Digit), ni el número de versión de software -VN), o que en su composición tenga al menos un carácter alfabético."
(Resolución CRC 3128 de 2011, artículo 2, Modificada por la Resolución CRC 4813 de 2015 y Modificada por la Resolución CRC 4937 de 2016)
IMPLEMENTACIÓN DEL RECURSO DE IDENTIFICACIÓN: <Definición subrogada por el artículo 3 de la Resolución 5968 de 2020. El nuevo texto es el siguiente:> Es el proceso mediante el cual el asignatario programa y pone a operar en sus redes el recurso de identificación asignado.
IMSI: Código de Identificación Internacional del Abonado o Suscriptor Móvil (por sus siglas en inglés). Código único que identifica a cada abonado del servicio de telefonía móvil en el estándar GSM y en redes de nueva generación, y que adicionalmente permite su identificación a través de la red. El código se encuentra grabado electrónicamente en la tarjeta SIM.
(Resolución CRC 3128 de 2011, artículo 2, Modificada por la Resolución CRC 4813 de 2015)
INCIDENTE DE SEGURIDAD DE LA INFORMACIÓN: <Definición adicionada por el artículo 1 de la Resolución 5569 de 2018. El nuevo texto es el siguiente:> un evento o serie de eventos de seguridad de la información no deseados o inesperados, que tienen una probabilidad significativa de comprometer las operaciones del negocio y amenazar la seguridad de la información. (De acuerdo con lo dispuesto en el estándar ISO/IEC 27000:2016).
INFRAESTRUCTURA CRÍTICA: Es el conjunto de computadores, sistemas computacionales, redes de telecomunicaciones, datos e información, cuya destrucción o interferencia puede debilitar o impactar en la seguridad de la economía, salud pública, o la combinación de ellas, en una nación.
(Resolución CRC 3067 de 2011, artículo 1.8, numeral 18)
INICIO DE OPERACIONES DEL SERVICIO DE TELEVISIÓN COMUNITARIA: <Definición adicionada por el artículo 1 de la Resolución 6383 de 2021. El nuevo texto es el siguiente:> Se entiende por inicio de operaciones, la provisión de contenido audiovisual a sus asociados a través de sus redes, en todo caso bajo el cumplimiento integral de las obligaciones derivadas de la prestación del servicio contenidas en la presente resolución y demás normas aplicables al servicio de televisión comunitaria.
<Resolución ANTV 26 de 2018; Art. 2 - Resolución ANTV 650 de 2018; Art. 4>
INICIO DE OPERACIONES DEL SERVICIO DE TELEVISIÓN POR SUSCRIPCIÓN: <Definición adicionada por el artículo 1 de la Resolución 6383 de 2021. El nuevo texto es el siguiente:> Se considera que el operador ha iniciado operaciones, cuando se encuentre en capacidad de promocionar, ofrecer y prestar su servicio previo cumplimiento de todas sus obligaciones técnicas, de calidad de la señal y de cubrimiento, entre otras.
<Resolución ANTV 26 de 2018; Art. 2 >
INSTALACIONES: Son los elementos de la infraestructura de los operadores.
(Resolución CRT 087 de 1997, artículo 1.2)
INSTALACIONES ESENCIALES: Toda instalación de una red o servicio de telecomunicaciones que sea suministrada exclusivamente o de manera predominante por un solo proveedor o por un número limitado de proveedores de redes y servicios de telecomunicaciones, y cuya sustitución con miras al suministro de un servicio no sea factible en lo económico o en lo técnico.
(Resolución CRC 3101 de 2011, artículo 3, numeral 3.6)
INTEGRADOR TECNOLÓGICO: Agente responsable de la provisión de infraestructura de conexión y de soporte entre los PRST y los PCA sin conexión directa con los PRST.
(Resolución CRC 3501 de 2011, artículo 3, numeral 3.2)
INTEGRIDAD DE DATOS: Propiedad o característica de mantener la exactitud y completitud de la información y sus métodos de proceso.
(Resolución CRC 3067 de 2011, artículo 1.8, numeral 19)
INTEGRIDAD DEL SISTEMA DE MEDICIÓN DEL CONSUMO: Se refiere a que la información presentada en cada uno de los procesos que conforman el Sistema de Medición del Consumo refleje correctamente el origen, tipo, destino y la duración del servicio prestado.
(Resolución CRT 087 de 1997, artículo 1.2)
INTERACCIÓN: <Definición adicionada por el artículo 1 de la Resolución 6242 de 2021. El nuevo texto es el siguiente:> En el ámbito del Régimen de Protección de los Derechos de los Usuarios de Servicios de Comunicaciones, contenido en el Capítulo 1 del Título II de la presente Resolución, corresponde a los distintos tipos de relacionamiento que pueden ocurrir entre el operador y el usuario, con ocasión de la prestación de los servicios de comunicaciones.
INTERCEPTACIÓN: Es la adquisición, visualización, captura o copia de contenido o parte de contenido, de una comunicación, incluido datos, tráfico de datos, por medio alámbrico, electrónico, óptico, magnético, u otras formas, durante la transmisión de datos por medios electrónicos, mecánicos, ópticos o electromagnéticos.
(Resolución CRC 3067 de 2011, artículo 1.8, numeral 20)
INTERCONEXIÓN: Es la vinculación de recursos físicos y soportes lógicos de las redes de telecomunicaciones, incluidas las instalaciones esenciales, necesarias para permitir el interfuncionamiento de redes y la interoperabilidad de plataformas, servicios y/o aplicaciones que permite que usuarios de diferentes redes se comuniquen entre sí o accedan a servicios prestados por otro proveedor. La interconexión de las redes implica el uso de las mismas y se constituye en un tipo especial de acceso entre proveedores de redes y servicios de telecomunicaciones.
(Resolución CRC 3101 de 2011, artículo 3, numeral 3.7)
INTERCONEXIÓN DIRECTA: Es la interconexión entre las redes de dos proveedores de redes y servicios de telecomunicaciones que comparten al menos un punto físico de intercambio de tráfico entre ellas, con el objeto de lograr el interfuncionamiento de redes y la interoperabilidad de plataformas, servicios y/o aplicaciones.
(Resolución CRC 3101 de 2011, artículo 3, numeral 3.8)
INTERCONEXIÓN INDIRECTA: Es la interconexión que permite a un proveedor de redes y servicios de telecomunicaciones interconectar su red con la red de otro proveedor de redes y servicios de telecomunicaciones, a través de la red de un tercero que actúa como proveedor de tránsito cuya red tiene una interconexión directa con ambas redes.
(Resolución CRC 3101 de 2011, artículo 3, numeral 3.9)
INTERCONEXIÓN POSTAL: <Definición subrogada por el artículo 1 de la Resolución 6577 de 2022. El nuevo texto es el siguiente:> Es el acceso y uso de un operador de servicios postales de la red postal de otro operador postal.
INTERFAZ ABIERTA: Es el tipo de interfaz que permite la comunicación entre capas del modelo OSI y define los servicios y operaciones entre ellas, basada en estándares internacionales y/o de amplia adopción en la industria.
(Resolución CRC 3101 de 2011, artículo 3, numeral 3.10)
INTERFERENCIA: Es la acción de bloquear, esconder, impedir, interrumpir, la confidencialidad, la integridad de programas computacionales, sistemas computacionales, datos, información, mediante la transmisión, daño, borrado, destrucción, alteración o supresión de datos, de programas de computación o tráfico de datos.
(Resolución CRC 3067 de 2011, artículo 1.8, numeral 21)
INTERFUNCIONAMIENTO: Interacción entre redes, entre sistemas finales o entre partes de los mismos, con el propósito de proporcionar una entidad funcional capaz de soportar comunicaciones extremo a extremo. (UIT-T Y.2261).
(Resolución CRC 3101 de 2011, artículo 3, numeral 3.11)
INTEROPERABILIDAD: Es el correcto funcionamiento de plataformas, servicios y/o aplicaciones que se prestan sobre redes interconectadas, a partir del intercambio mutuo de información y la utilización de la misma.
(Resolución CRC 3101 de 2011, artículo 3, numeral 3.12)
INTERRUPCIÓN: Es el evento causado por un programa computacional, una red de telecomunicaciones o sistema computacional que es operado con el objeto de interferir o destruir un programa computacional, una red de telecomunicaciones, datos e información que esta contenga.
(Resolución CRC 3067 de 2011, artículo 1.8, numeral 22)
ISPC: <Definición adicionada por el artículo 2 de la Resolución 5968 de 2020. El nuevo texto es el siguiente:> International Signaling Point Code (ISPC, por sus siglas en inglés) o código de punto de señalización internacional es el encargados de identificar en el ámbito internacional los nodos de conmutación y/o procesos pertenecientes a una red de señalización que intercambia mensajes de señalización para la gestión de todo tipo de llamadas, mediante la técnica de señalización por canal común.
<J>
<K>
<L>
LCN: <Definición adicionada por el artículo 2 de la Resolución 5968 de 2020. El nuevo texto es el siguiente:> Logical Channel Number (LCN, por sus siglas en inglés) o Número de Canal Lógico, es un parámetro opcional en la identificación de los servicios que ordena la presentación de los canales de TV en el receptor, independientemente de su orden asignado en la frecuencia.
LICENCIA DE TELEVISIÓN COMUNITARIA: <Definición derogada por el artículo 137 de la Resolución 7811 de 2025>
LLAMADA COMPLETADA: Aquélla que alcanza el número deseado y recibe señal de contestación de llamada. Llamada fructuosa según las definiciones de la Unión Internacional de Telecomunicaciones -UIT-.
(Resolución CRC 3066 de 2011, artículo 9)
<M>
MAPA DE NUMERACIÓN: <Definición derogada por el artículo 3 de la Resolución 5968 de 2020. Ver : "SIGRI">
MCC: <Definición adicionada por el artículo 2 de la Resolución 5968 de 2020. El nuevo texto es el siguiente:> Mobile Country Code (MCC, por sus siglas en inglés) o Indicativo de país para el servicio móvil contenido en el primer campo de la IMSI, el cual es asignado por la UIT.
MEDIDAS REGULATORIAS: <Definición modificada por el artículo 1 de la Resolución 5900 de 2020. El nuevo texto es el siguiente:> Medidas generales o particulares, adoptadas por la CRC con el fin de solucionar problemas según sean las condiciones de competencia de los mercados relevantes susceptibles de regulación ex ante. Las medidas de carácter particular serán adoptadas por la CRC mediante resoluciones de carácter particular y concreto.
MEDIOS DE COMUNICACIÓN MASIVA. <Definición modificada por el artículo 1 de la Resolución 8030 de 2025. El nuevo texto es el siguiente:> Para los efectos del Sistema de Alerta Nacional del que trata el Título XIV de la presente resolución, se entenderán como todos aquellos proveedores de redes y servicios de telecomunicaciones, operadores del servicio de radiodifusión sonora, operadores de plataformas de distribución de contenidos audiovisuales desde Internet y operadores de plataformas de redes sociales, entre otros, que obligatoria o voluntariamente participen en el Sistema de Alerta ante la desaparición de niños, niñas, adolescentes, jóvenes y mujeres desaparecidas.
MENSAJE DE BANDA. <Definición corregida por el artículo 1 de la Resolución 5226 de 2017. El nuevo texto es el siguiente:> Anuncio de voz que se entrega a la línea que origina una llamada durante el establecimiento de la misma, antes de que sea completada".
(Resolución CRC 3128 de 2011, artículo 2o, adicionada por la Resolución CRC 4986 de 2016)
MENSAJE EN LA PROVISIÓN DE CONTENIDOS Y APLICACIONES: <Definición derogada por el artículo 80 de la Resolución 5586 de 2019>
MENSAJES CÍVICOS. <Definición adicionada por el artículo 1 de la Resolución 6261 de 2021. El nuevo texto es el siguiente:> Son aquellos a través de los cuales entidades estatales o entidades sin ánimo de lucro, divulgan campañas sociales de interés público para beneficio de la comunidad. Estos mensajes no podrán incluir publicidad, ni presentar funcionarios públicos, ni las actuaciones de entidades públicas como obra personal de sus gestores, ni realizar proselitismo político o religioso.
(Acuerdo CNTV 2 de 2011, artículo 5, modificado por el artículo 1 de la Resolución ANTV 455 de 2013)
MERCADO RELEVANTE: <Definición modificada por el artículo 2 de la Resolución 7811 de 2025. El nuevo texto es el siguiente:> Es un conjunto de productos o servicios que pueden percibirse como sustitutos entre sí y que se ofrecen en un área geográfica determinada. Generalmente, el mercado relevante se compone de dos dimensiones: mercado producto y mercado geográfico. La primera dimensión abarca todos los productos o servicios que son sustitutos entre sí desde el punto de vista del consumidor y, en algunas ocasiones, también desde la perspectiva del productor. La segunda dimensión se refiere al área geográfica en la que se ofrecen dichos productos o servicios, y donde las condiciones de competencia son suficientemente homogéneas. Para la definición de un mercado relevante, se puede hacer uso del test del monopolista hipotético.
MERCADO RELEVANTE SUSCEPTIBLE DE REGULACIÓN EX ANTE: <Definición modificada por el artículo 2 de la Resolución 7811 de 2025. El nuevo texto es el siguiente:> Es un mercado relevante que, debido a sus condiciones de competencia, requiere que la CRC, en ejercicio de sus funciones, establezca medidas regulatorias.
MMS (MULTIMEDIA MESSAGE SERVICE) O MENSAJE MULTIMEDIA: <Definición derogada por el artículo 80 de la Resolución 5586 de 2019>
MNC: <Definición adicionada por el artículo 2 de la Resolución 5968 de 2020. El nuevo texto es el siguiente:> Mobile Network Code (MNC, por sus siglas en inglés) o Indicativo de red para el servicio móvil contenido en el segundo campo de la IMSI. Cumple con la función de proporcionar un identificador único internacional para la red del proveedor a la que pertenece la suscripción móvil.
MOS: <Definición adicionada por el artículo 1 de la Resolución 5078 de 2016. El nuevo texto es el siguiente:> Nota Media de Opinión, por su sigla en inglés Mean Opinion Score. Es una medida que busca evaluar la percepción de la calidad de un servicio.
MSIN: <Definición adicionada por el artículo 2 de la Resolución 5968 de 2020. El nuevo texto es el siguiente:> Mobile Subscription Identification Number (MSIN, por sus siglas en inglés) o Número de identificación de suscripción al servicio móvil el cual es administrado por el asignatario del MNC, y se emplea para identificar cada una de sus suscripciones.
MSISDN: Estación Móvil de la Red Digital de Servicios Integrados (RDSI) (por sus siglas en inglés). Número telefónico de una tarjeta SIM en el sistema GSM y UMTS, o número de identificación único de un suscriptor.
(Resolución CRC 3128 de 2011, artículo 2, Modificada por la Resolución CRC 4813 de 2015)
MTC: <Definición adicionada por el artículo 2 de la Resolución 5968 de 2020. El nuevo texto es el siguiente:> Machine Type Communication (MTC, por sus siglas en inglés) es una forma de comunicación de datos que involucra una o más entidades que no necesariamente requieren interacción humana.
MTP: <Definición adicionada por el artículo 2 de la Resolución 5968 de 2020. El nuevo texto es el siguiente:> Message Transfer Part (MTP, por sus siglas en inglés) o Parte de Transferencia de Mensaje, cumple con el propósito de proporcionar las funciones que permiten que la información significativa de la parte de usuario transmitida a la MTP sea transferida a través de la red del sistema de señalización No. 7 hacia el destino requerido. Un punto de señalización puede ser el punto de origen, el punto de destino, o un punto de transferencia de señalización dentro de una relación de señalización. Estos tres modos deben considerarse en la MTP.
MÚLTIPLEX DIGITAL EN EL SERVICIO DE TELEVISIÓN RADIODIFUNDIDA DIGITAL TERRESTRE: Conjunto de canales de televisión digital, canales de audio y/o datos que ocupa un canal radioeléctrico.
(Resolución CRC 4599 de 2014, artículo 4, numeral 3)
N
NEGOCIACIÓN DIRECTA: Es el procedimiento mediante el cual los operadores solicitante e interconectante acuerdan mutuamente las condiciones y términos del contrato de acceso, uso e interconexión, ciñéndose a las condiciones requeridas para tal negociación en la Ley y el TÍTULO IV.
(Resolución CRT 087 de 1997, artículo 1.2)
NDC: Indicativo nacional de destino. Es el código que, combinado con el número de abonado (SN), constituye el número nacional (significativo). Tiene la función de identificar y/o seleccionar: regiones geográficas, redes, telecomunicaciones personales universales (UPT) o servicios.
(Resolución CRT 2028 de 2008, artículo 2)
NOA EN LA PORTABILIDAD NUMÉRICA: Nature of Address, por sus siglas en inglés. Es el parámetro de indicación de la naturaleza de dirección, de acuerdo con la señalización SS7.
(Resolución CRC 2948 de 2010, artículo 1, numeral 1.4)
NODO DE INTERCONEXIÓN: Es el elemento, o conjunto de elementos, de red que permite recibir, conmutar, enrutar y enviar comunicaciones entre diferentes redes.
(Resolución CRC 3101 de 2011, artículo 3, numeral 3.13)
NO REPUDIO: Servicio que tiene como objetivo evitar que una persona o una entidad niegue que ha realizado una acción de tratamiento de datos, proporcionando la prueba de distintas acciones de red, garantizando la disponibilidad de pruebas que pueden presentarse a terceros y utilizarse para demostrar que un determinado evento o acción si ha tenido lugar.
(Resolución CRC 3067 de 2011, artículo 1.8, numeral 23)
NRN: <Definición adicionada por el artículo 2 de la Resolución 5968 de 2020. El nuevo texto es el siguiente:> Network Routing Number(NRN, por sus siglas en inglés) o Número de Encaminamiento de Red cumple con la función de proporcionar información a nivel de señalización sobre el proveedor de destino de una comunicación, para que en un entorno de portabilidad numérica se puedan encaminar correctamente los servicios de voz y SMS hacia un número portado.
NRN EN LA PORTABILIDAD NUMÉRICA: Network Routing Number, por sus siglas en inglés. Es el número de enrutamiento de red, en señalización SS7.
(Resolución CRC 2948 de 2010, artículo 1, numeral 1.3)
NUMERACIÓN E.164: <Definición adicionada por el artículo 3 de la Resolución 5968 de 2020. El nuevo texto es el siguiente:> Corresponde a aquellas cadenas de cifras, caracteres o símbolos definidas por la UIT en la Recomendación UIT-T E.164, y adoptadas por Colombia mediante el Plan Nacional de Numeración
NUMERACIÓN E.164 GEOGRÁFICA: <Definición subrogada por el artículo 3 de la Resolución 5968 de 2020. El nuevo texto es el siguiente:> Es el conjunto de los números nacionales (significativos) conformados por indicativos nacionales de destino (NDC) asociados a una determinada región geográfica.
NUMERACIÓN E.164 NO GEOGRÁFICA: <Definición subrogada por el artículo 3 de la Resolución 5968 de 2020. El nuevo texto es el siguiente:> La numeración E.164 no geográfica la constituye el conjunto de los números nacionales (significativos) conformados por indicativos nacionales de destino no asociados a regiones geográficas para uso de redes, telecomunicaciones personales universales (UPT) o servicios.
NUMERACIÓN E.164 PARA REDES: <Definición subrogada por el artículo 3 de la Resolución 5968 de 2020. El nuevo texto es el siguiente:> Es la numeración constituida por el conjunto de los números nacionales (significativos) conformados por indicativos nacionales de destino asociados a redes con acceso móvil, satelital, entre otros.
NUMERACIÓN E.164 PARA SERVICIOS: <Definición subrogada por el artículo 3 de la Resolución 5968 de 2020. El nuevo texto es el siguiente:> Es la numeración constituida por el conjunto de los números nacionales (significativos) conformados por indicativos nacionales de destino, asociados a categorías de servicios tales como cobro revertido, tarifa con prima y las demás que el Administrador de los Recursos de Identificación y la Unión Internacional de Telecomunicaciones incluyan en el futuro y que por sus características no correspondan a ninguna otra categoría.
NÚMERO B EN LA PORTABILIDAD NUMÉRICA: Es el número de destino o Callee/ Party Number, conforme a la señalización SS7.
(Resolución CRC 2948 de 2010, artículo 1, numeral 1.5)
NÚMERO DE IDENTIFICACIÓN PERSONAL (NIP) DE CONFIRMACIÓN EN LA PORTABILIDAD NUMÉRICA: Es el número único asignado por el ABD que permite verificar la identidad del Usuario solicitante de la portación de su número.
(Resolución CRC 2355 de 2010, artículo 3, numeral 3.8)
NUMERACIÓN NO GEOGRÁFICA: Es el conjunto de los números nacionales (significativos) conformados por indicativos nacionales de destino no asociados a regiones geográficas para uso de redes, telecomunicaciones personales universales (UPT) o servicios.
(Resolución CRC 2355 de 2010, artículo 3, numeral 3.10)
NÚMERO NO GEOGRÁFICO: Número cuya estructura se asocia al conjunto de los números nacionales (significativos) conformados por indicativos nacionales de destino no asociados a regiones geográficas para uso de redes, telecomunicaciones personales universales (UPT) o servicios.
(Resolución CRC 2355 de 2010, artículo 3, numeral 3.9)
NÚMEROS PORTADOS: <Definición modificada por el artículo 2 de la Resolución 5929 de 2020. El nuevo texto es el siguiente:> Números que han sido sometidos al Proceso de Portación y que el resultado de este proceso ha sido exitoso.
Ñ
O
OBJETO ENTREGADO EN BUEN ESTADO PARA EL SERVICIO POSTAL: Objeto postal entregado al usuario destinatario consignado en la guía o prueba de admisión o a la persona autorizada por el remitente, en las mismas condiciones en las cuales fue admitido por el operador postal, o que fue devuelto al usuario remitente en las mismas condiciones en las cuales fue admitido por el operador postal, conforme a los motivos de devolución establecidos en el CAPÍTULO 4 del TÍTULO V.
Se entenderá autorizada por el remitente para recibir el objeto postal, toda persona mayor de 12 años que se encuentre en el domicilio del usuario destinatario, salvo que el usuario remitente de manera expresa indique lo contrario.
Son objetos postales entregados en buen estado los siguientes:
· Los objetos postales no averiados. Se entenderá que un objeto postal no está averiado cuando no presente daño.
· Los objetos postales devueltos al remitente, en las mismas condiciones en las cuales fue recibido por el operador postal y conforme a los motivos de devolución establecidos en el presente Título.
(Resolución CRC 3095 de 2011, artículo 2, numeral 2.7)
OBJETO ENVIADO PARA EL SERVICIO POSTAL: Objeto postal impuesto por un usuario remitente y admitido por el operador de servicios postales con el fin de que sea transportado, clasificado y entregado a un usuario destinatario, a través de las redes postales dispuestas por el operador para ello.
(Resolución CRC 3095 de 2011, artículo 2, numeral 2.6)
OBJETOS POSTALES MASIVOS DE MENSAJERÍA ESPECIALIZADA: <Definición derogada por el artículo 80 de la Resolución 5586 de 2019>
OBJETOS POSTALES MASIVOS DE MENSAJERÍA EXPRESA: <Definición derogada por el artículo 7 de la Resolución 6577 de 2022>
OBJETOS POSTALES PROHIBIDOS: Se consideran objetos postales prohibidos aquéllos cuya circulación no se permita por motivos de seguridad, sanidad pública, utilidad general y de protección a los servicios postales.
(Resolución CRC 3038 de 2011, artículo 3)
OBRAS CINEMATOGRÁFICAS NACIONALES: <Definición adicionada por el artículo 1 de la Resolución 6383 de 2021. El nuevo texto es el siguiente:> Para efectos de la presente resolución, se entienden como aquellas producciones audiovisuales de largometraje, cortometraje, ficción, documentales u otro, cuya nacionalidad colombiana sea certificada por parte del Ministerio de Cultura, una vez verificada la participación artística, técnica y económica exigida en las normas respectivas.
OFERTA BÁSICA DE INTERCONEXIÓN (OBI): Es el proyecto de negocio que un proveedor de redes y servicios de telecomunicaciones pone en conocimiento general y que contiene la definición de todos los elementos mínimos necesarios para el acceso y/o la interconexión a su red, sometido a aprobación de la CRC.
(Resolución CRC 3101 de 2011, artículo 3, numeral 3.14)
OFERTA BÁSICA DE ACCESO Y USO DE INFRAESTRUCTURA. Es el proyecto de negocio que un proveedor de la infraestructura pone en conocimiento general y que contiene la definición de todos los elementos mínimos necesarios para el acceso y uso de su infraestructura, sometido a validación de la CRC.
(Resolución CRC 4841 de 2015, artículo 3)
OFERTA TELEVISIVA DIGITAL: <Definición adicionada por el artículo 1 de la Resolución 6383 de 2021. El nuevo texto es el siguiente:> Para efectos del servicio de Televisión Digital Terrestre, se entiende como, aquella conformada por la totalidad del múltiplex digital, es decir, por la radiodifusión del Canal Principal Digital y los Subcanales Digitales.
<Acuerdo CNTV 2 de 2012; Art. 4>
1.151. OMC: Organización Mundial del Comercio.
(Resolución CRT 087 de 1997, artículo 1.2)
OMR: <Ver OPERADOR MÓVIL DE RED (OMR)>
OMV REVENDEDOR: <Definición adicionada por el artículo 7 de la Resolución 5108 de 2017. El nuevo texto es el siguiente:> OMV que cuenta con una marca reconocida y una infraestructura de distribución, de tal forma que la operación de su negocio está centrada en las ventas y en impulsar las relaciones con el cliente. Este tipo de OMV revende los servicios con pequeños márgenes de ganancia con relación al precio acordado con el operador de red, tiene el control sobre sus procesos de mercadeo y ventas, y su diferenciación está únicamente en los precios y la identidad de marca.
OMV COMPLETO: <Definición adicionada por el artículo 7 de la Resolución 5108 de 2017. El nuevo texto es el siguiente:> Es un OMV que tiene su propia infraestructura técnica. Todas las funciones a excepción de la transmisión del tráfico de voz y datos, son realizadas por el OMV. El OMV puede tener su propio HLR[4], SMSC[5], plataforma de datos (SSGN[6]/GGSN[7]), sistema de tarifación, plataforma de facturación y sistema de atención al cliente. Desde la perspectiva de marketing, el OMV tiene control sobre la definición y provisión de sus productos.
OMV HÍBRIDO: <Definición adicionada por el artículo 7 de la Resolución 5108 de 2017. El nuevo texto es el siguiente:> Es un tipo de OMV que se sitúa entre el OMV revendedor y el OMV completo, según los elementos de red que provee o dispone el mismo OMV. Por ejemplo, un OMV puede explotar su reconocimiento de marca, canales de distribución y distribución de clientes dentro de su propuesta de valor, y así mismo, aprovechando la infraestructura que forme parte de su propia red, podría ofrecer productos y servicios complementarios a sus clientes.
ONWARD ROUTING (OR) EN LA PORTABILIDAD NUMÉRICA: Esquema de enrutamiento mediante el cual el Proveedor que origina una llamada en su red siempre la enruta hacia la red del proveedor asignatario del número de destino, y en el caso que la llamada tenga como destino un abonado de una red diferente a la de dicho proveedor, éste último deberá realizar la consulta a la BDO para determinar la información de enrutamiento apropiada y encaminarla en forma directa hacia la red correcta de destino.
(Resolución CRC 2355 de 2010, artículo 3, numeral 3.12)
OPERADOR MÓVIL DE RED (OMR): <Definición modificada por el artículo 1 de la Resolución 7285 de 2024. El nuevo texto es el siguiente:> Es el Proveedor de Redes y Servicios de Telecomunicaciones (PRST) que cuenta con permiso para el uso del espectro radioeléctrico para IMT y con una red de la que puede hacer uso otro PRST o un OMV.
Para efectos de la aplicación de lo previsto en la presente resolución, el PRST ostentará la condición de OMR exclusivamente en el ámbito geográfico en el que cuenta con permiso para el uso de espectro radioeléctrico para IMT y lo utilice para proveer servicios de comunicaciones móviles.
OPERADOR POSTAL INTERCONECTADO: <Definición subrogada por el artículo 1 de la Resolución 6577 de 2022. El nuevo texto es el siguiente:> Es el operador de servicios postales, que recibe objetos postales del remitente y que, a través de la interconexión postal, hace uso total o parcial de la red postal de otro operador.
OPERADOR POSTAL INTERCONECTANTE: <Definición subrogada por el artículo 1 de la Resolución 6577 de 2022. El nuevo texto es el siguiente:> Es el operador de servicios postales que, a través de la interconexión postal, recibe del operador postal interconectado objetos postales para ser entregados al destinatario
OPERADOR MÓVIL VIRTUAL (OMV): <Definición modificada por el artículo 1 de la Resolución 7285 de 2024. El nuevo texto es el siguiente:> Es el Proveedor de Redes y Servicios de Telecomunicaciones (PRST) que no cuenta con permiso para el uso de espectro radioeléctrico para IMT en un ámbito geográfico, que puede ser nacional o regional, o que contando con ese permiso no lo utiliza para prestar servicios móviles al público, motivos por los cuales presta estos servicios a través de la red del Operador o de los Operadores Móviles de Red (OMR) que lo aloje(n).
Para efectos de la aplicación de lo previsto en la presente resolución, el PRST ostentará la condición de OMV en el ámbito geográfico en el que no cuenta con permiso para el uso de espectro radioeléctrico para IMT, así como también en el ámbito geográfico para el que cuenta con ese permiso, siempre y cuando no lo utilice para la provisión de servicios de comunicaciones móviles.
OPERADOR SOLICITANTE PARA INFRAESTRUCTURA DE TELEVISIÓN ABIERTA RADIODIFUNDIDA. Es el operador de televisión abierta radiodifundida que solicita el acceso y uso a la infraestructura.
(Resolución CRC 4841 de 2015, artículo 3)
OPERADORES DE ACCESO: <Definición subrogada por el artículo 1 de la Resolución 5826 de 2019. Ver PROVEEDOR DE ACCESO:>
OPERADORES DE TELEVISIÓN ABIERTA RADIODIFUNDIDA: Aquellas personas jurídicas públicas o privadas que, en virtud de un título concedido por ministerio de la Ley, contrato o licencia, operan el servicio de televisión abierta radiodifundida, bien sea a nivel nacional, regional o local.
(Resolución CRC 4841 de 2015, artículo 3)
P
PARÁMETROS TÉCNICOS ESENCIALES: <Definición adicionada por el artículo 2 de la Resolución 7885 de 2025. El nuevo texto es el siguiente:> Son parámetros técnicos esenciales de una estación del Servicio Público de Radiodifusión Sonora los definidos por la ANE en los Planes Técnicos Nacionales de Radiodifusión Sonora en Amplitud Modulada (AM) y Frecuencia Modulada (FM) vigentes.
<Resolución MinTIC 2614 de 2022; Art. 44>
PARÁMETROS TÉCNICOS NO ESENCIALES: <Definición adicionada por el artículo 2 de la Resolución 7885 de 2025. El nuevo texto es el siguiente:> Se consideran parámetros técnicos no esenciales de una estación del Servicio Público de Radiodifusión Sonora: el nombre de la emisora, el horario de operación, la ubicación de los estudios dentro del área de servicio autorizada.
<Resolución MinTIC 2614 de 2022; Art. 48>
PARTICIPACIÓN INDIRECTA: Es la participación de una empresa en el capital de otra, a través de interpuesta persona o en asociación con otra empresa, socio o sociedad.
(Resolución CRT 087 de 1997, artículo 1.2)
PASARELA DE MEDIOS EN EL RÉGIMEN DE ACCESO, USO E INTERCONEXIÓN DE REDES DE TELECOMUNICACIONES: Elemento que convierte los medios que se proporcionan en un tipo de red al formato requerido en otro tipo de red con el fin de permitir la interoperabilidad de los servicios extremo a extremo.
(Resolución CRC 3101 de 2011, artículo 3, numeral 3.16)
PASARELA DE SEÑALIZACIÓN EN EL RÉGIMEN DE ACCESO, USO E INTERCONEXIÓN DE REDES DE TELECOMUNICACIONES: Elemento que lleva a cabo las funciones de conversión de los protocolos de señalización propios de una red a aquéllos que son requeridos en otro tipo de red con el fin de permitir la interoperabilidad de los servicios extremo a extremo.
(Resolución CRC 3101 de 2011, artículo 3, numeral 3.17)
PCS: <Definición derogada por el artículo 137 de la Resolución 7811 de 2025>
PERÍODO DE FACTURACIÓN PARA LOS USUARIOS DEL SERVICIO DE COMUNICACIONES: Tiempo establecido en el contrato de prestación de servicios de comunicaciones, correspondiente a un (1) mes, en el cual se facturan los consumos realizados.
(Resolución CRC 3066 de 2011, artículo 9)
PERÍODO DE TRANSICIÓN PARA TDT: <Definición adicionada por el artículo 1 de la Resolución 6383 de 2021. El nuevo texto es el siguiente:> Para efectos del servicio de Televisión Digital Terrestre, se entiende como el período de tiempo durante el cual cada operador de televisión abierta radiodifundirá su programación en la tecnología analógica y digital, de manera simultánea.
<Acuerdo CNTV 2 de 2012; Art. 4>
PERSONA AUTORIZADA: <Definición adicionado por el artículo 3 de la Resolución 5226 de 2017. El nuevo texto es el siguiente:> Son los Proveedores de Redes y Servicios de Telecomunicaciones Móviles (autorizados por virtud del Decreto número 1630 de 2011) y las personas naturales o jurídicas debidamente autorizadas por el Ministerio de TIC, para la distribución y venta al público de equipos terminales móviles en el país.
Dentro de esta noción también se entienden cobijadas aquellas personas naturales o jurídicas que con anterioridad a la implementación de la presente resolución hubiesen sido autorizadas por los Proveedores de Redes y Servicios de Telecomunicaciones Móviles".
(Resolución CRC 4584 de 2014, artículo 2o)
PETICIÓN PARA LOS USUARIOS DEL SERVICIO DE COMUNICACIONES: <Numeral derogado por el artículo 12 de la Resolución 5111 de 2017>
PETICIÓN, QUEJA O RECLAMO, Y RECURSO (PQR) PARA LOS USUARIOS DE SERVICIOS POSTALES: Manifestación formulada por el usuario ante el operador de servicios postales, relacionado con la prestación del servicio y que contribuye al adecuado ejercicio de sus derechos.
(Resolución CRC 3038 de 2011, artículo 3)
PHARMING: Es la acción de modificar el servidor (DNS) Domain Name System, modificando la dirección IP correcta por otra, de tal manera que haga entrar al usuario a una IP diferente con la creencia de que acceda a un sitio personal, comercial o de confianza. (De acuerdo al Artículo 269G de la Ley 1273 de 2009).
(Resolución CRC 3067 de 2011, artículo 1.8, numeral 24)
PHISHING: Acto de enviar un correo electrónico a un usuario, afirmando falsamente ser una empresa legítima, en donde el usuario es dirigido a una página Web falsa, con el objeto que el usuario entregue información privada que será utilizada para el robo de identidad y contraseñas.
(Resolución CRC 3067 de 2011, artículo 1.8, numeral 25)
PLAN DE IMPLEMENTACIÓN DE NUMERACIÓN E.164: <Definición subrogada por el artículo 3 de la Resolución 5968 de 2020. El nuevo texto es el siguiente:> Es un procedimiento diseñado por un proveedor de redes y servicios de telecomunicaciones asignatario a solicitud del Administrador de los recursos de Identificación y aprobado por éste, que tiene como objetivo realizar los ajustes necesarios en la implementación de la numeración E.164 asignada en la red del proveedor asignatario, de manera que se garantice el uso eficiente de dicho recurso en un período de tiempo determinado.
PLAN DE MEJORA: <Definición adicionada por el artículo 1 de la Resolución 5078 de 2016. El nuevo texto es el siguiente:> Acciones diseñadas y orientadas de manera planeada, organizada y sistemática al efectivo y continuo mejoramiento en la calidad de los servicios de comunicaciones o a optimizar la disponibilidad de los elementos involucrados en su prestación, así como a corregir o reducir las fallas presentadas sobre la red.
PLANES TÉCNICOS BÁSICOS: <Definición modificada por el artículo 2 de la Resolución 7811 de 2025. El nuevo texto es el siguiente:> Conjunto de normas que determinan las características técnicas fundamentales de las redes de telecomunicaciones. Hacen parte de los Planes Técnicos Básicos el plan de enrutamiento, el plan de numeración, el plan de señalización, el plan de sincronización y plan de tarificación.
PLATAFORMA DE AGREGACIÓN. <Definición modificada por el artículo 1 de la Resolución 8030 de 2025. El nuevo texto es el siguiente:> Conjunto de elementos físicos y lógicos operados por el Agregador de Alertas, que le permiten recibir de la Autoridad de Activación el Boletín de Alerta Rosa, enviarlo electrónicamente a los medios masivos de comunicación para su difusión a los usuarios, y almacenarlo en una base de datos.
PLP: <Definición adicionada por el artículo 2 de la Resolución 5968 de 2020. El nuevo texto es el siguiente:> Physical Layer Pipe (PLP, por sus siglas en inglés) o tubo de capa física a través del cual se transmite información dentro de un sistema de televisión digital.
PORTABILIDAD NUMÉRICA: <Definición derogada por el artículo 137 de la Resolución 7811 de 2025>
PORTACIÓN MÚLTIPLE EN LA PORTABILIDAD NUMÉRICA: Trámite de portación que involucra un número plural de líneas asociadas a un único contrato de prestación de servicios de telecomunicaciones. Sólo se entenderá que hay portación múltiple cuando las condiciones de prestación del servicio contenidas en el contrato varíen por virtud de la portación de un número de líneas inferior al total de las líneas contratadas.
(Resolución CRC 2355 de 2010, artículo 3, numeral 3.13)
PQR PARA LOS USUARIOS DEL SERVICIO DE COMUNICACIONES: <Numeral derogado por el artículo 12 de la Resolución 5111 de 2017>
PREFIJO: <Definición adicionada por el artículo 2 de la Resolución 5968 de 2020. El nuevo texto es el siguiente:> Indicador compuesto por una o más cifras que permite el acceso a abonados en diferentes clases de numeración E.164.
PRESIDENCIA DEL COMITÉ TÉCNICO DE PORTABILIDAD (CTP): <Definición derogada por el artículo 80 de la Resolución 5586 de 2019>
PRESIDENCIA DEL COMITÉ TÉCNICO DE SEGUIMIENTO EN EL CONTROL DE EQUIPOS TERMINALES MÓVILES: Es la instancia que preside el Comité Técnico de Seguimiento y que será ejercida por la Comisión de Regulación de Comunicaciones, para lo cual un Comisionado ejercerá como Presidente de dicho Comité, sin perjuicio de que ante la ausencia de éste actúe en su lugar a quien éste designe.
(Resolución CRC 3617 de 2012, artículo 3, numeral 3.1)
PRESTADOR DEL SERVICIO 1XY: <Definición adicionada por el artículo 2 de la Resolución 5968 de 2020. El nuevo texto es el siguiente:> Se refiere a las entidades, empresas o PRST que presten servicios catalogados como semiautomáticos y especiales haciendo uso de la numeración 1XY, por efecto de una autorización general otorgada por el administrador de los recursos de identificación. Dicha condición de prestadores del servicio no les otorga derechos de exclusividad, o efectos particulares y concretos en torno a los números 1XY.
PROCESO DE PORTACIÓN EN LA PORTABILIDAD NUMÉRICA: Conjunto de procedimientos que se adelantan con el fin de cambiar de Proveedor de Servicios de Telecomunicaciones conservando el número cuando el Usuario lo haya solicitado.
(Resolución CRC 3066 de 2011, artículo 9)
(Resolución CRC 2355 de 2010, artículo 3, numeral 3.15)
PROCESO DE FACTURACIÓN: Es la etapa en la que se realiza el conjunto de actividades mediante la cual se generan las facturas correspondientes a los consumos de los usuarios o suscriptores de los servicios Públicos de Telecomunicaciones de que trata el artículo 73 de la Ley 1341 de 2009.
(Resolución CRT 087 de 1997, artículo 1.2)
PROCESO DE TARIFICACIÓN: Son el conjunto de normas establecidas por el Ministerio de Comunicaciones, que determinan las características técnicas fundamentales de la RTPC. Hacen parte de los Planes Técnicos Básicos el plan de enrutamiento, el plan de numeración, el plan de señalización, el plan de sincronización y plan de tarificación.
(Resolución CRT 087 de 1997, artículo 1.2)
PROCESO DE TASACIÓN: Es la etapa en la que se realiza el conjunto de actividades mediante la cual se mide el consumo de los usuarios o suscriptores de los servicios Públicos de Telecomunicaciones de que trata el artículo 73 de la Ley 1341 de 2009.
(Resolución CRT 087 de 1997, artículo 1.2)
PROCESO DE VERIFICACIÓN CENTRALIZADA PARA EL CONTROL DE EQUIPOS TERMINALES: <Definición modificada por el artículo 2 de la Resolución 7811 de 2025. El nuevo texto es el siguiente:> Proceso utilizado para detectar todos los IMEI sin formato, los inválidos, los duplicados y los no registrados en la BDA Positiva, con actividad en las redes móviles del país.
Dicho proceso será desarrollado a través de un sistema implementado mediante dos ciclos: uno intra red, ejecutado de manera individual por cada PRSTM, y otro inter red, implementado de manera centralizada a cargo de todos los PRSTM, en el cual se realiza la recepción, procesamiento y análisis de información de los CDR de todos los PRSTM en cuanto a equipos con IMEI duplicado.
PRODUCCIÓN PROPIA: <Definición adicionada por el artículo 1 de la Resolución 6383 de 2021. El nuevo texto es el siguiente:> Para efectos del servicio de Televisión Comunitaria, se entienden como aquellos programas realizados directamente por las comunidades organizadas, en coproducción o contratados con terceros para primera emisión en su área de cubrimiento. Esta producción deberá estar orientada principalmente a satisfacer necesidades educativas, recreativas y culturales, y así mismo garantizar el pluralismo informativo de la comunidad organizada a la cual se presta el servicio.
<Resolución ANTV 650 de 2018; Art. 4>
PROGRAMACIÓN DE AUDIO: <Definición adicionada por el artículo 1 de la Resolución 6383 de 2021. El nuevo texto es el siguiente:> Secuencia de contenidos sonoros para la cual, el operador determina su horario, ubicación y movimientos en el tiempo.
<Acuerdo CNTV 2 de 2012; Art. 4>
PROGRAMAS DE INTERÉS PÚBLICO Y SOCIAL: <Definición adicionada por el artículo 1 de la Resolución 6383 de 2021. El nuevo texto es el siguiente:> Son aquellos cuyo desarrollo interesa a los habitantes del territorio colombiano, por razones de seguridad, información estatal y representatividad nacional, cultural y social.
<Acuerdo CNTV 2 de 2011; Art. 4, inciso 1o.>
PROGRAMA DE TELEVISIÓN: <Definición adicionada por el artículo 1 de la Resolución 6383 de 2021. El nuevo texto es el siguiente:> Conjunto de contenidos audiovisuales dotado de identidad propia, que constituye un elemento unitario dentro del esquema de programación de un canal de televisión digital.
<Acuerdo CNTV 2 de 2012; Art. 4>
PROGRAMACIÓN DE TELEVISIÓN: <Definición subrogada por el artículo 3 de la Resolución 7423 de 2024. El nuevo texto es el siguiente:> Es la secuencia de contenidos o material audiovisual que se programa y emite en un canal de televisión, para lo cual el operador de televisión o concesionario de espacios determina su horario, ubicación y movimientos de la parrilla
PROPIETARIO AUTORIZADO EN EL CONTROL DE EQUIPOS TERMINALES MÓVILES: Persona natural que, en su calidad de usuario de los servicios de comunicaciones móviles, es autorizada por el propietario del equipo terminal móvil, a efectos de poder hacer uso de un equipo terminal móvil determinado.
(Resolución CRC 3128 de 2011, artículo 2, Modificada por la Resolución CRC 4813 de 2015)
PROPIETARIO DEL EQUIPO TERMINAL MÓVIL EN EL CONTROL DE EQUIPOS TERMINALES MÓVILES: <Definición eliminada por el artículo 4 de la Resolución 5226 de 2017>
PROTOCOLO DE ALERTA COMÚN (CAP). <Definición adicionada por el artículo 1 de la Resolución 6141 de 2021. El nuevo texto es el siguiente:> El Protocolo de Alerta Común (Common Alerting Protocol (CAP) por su sigla en inglés) se refiere al estándar CAP-V1.2 o versión posterior, definido por la Organización para el Avance de los Estándares de Información Estructurada (OASIS).
PROVEEDOR ASIGNATARIO EN LA PORTABILIDAD NUMÉRICA: <Definición derogada por el artículo 13 de la Resolución 5968 de 2020>
PROVEEDOR ASIGNATARIO EN LA GESTIÓN DE NUMERACIÓN: <Definición derogada por el artículo 3 de la Resolución 5968 de 2020. Ver "ASIGNATARIO DE RECURSOS DE IDENTIFICACIÓN">
PROVEEDOR DE ACCESO: <Definición subrogada por el artículo 1 de la Resolución 5826 de 2019. El nuevo texto es el siguiente:> Persona jurídica responsable de la operación de redes a través de las cuales los usuarios de servicios de telecomunicaciones pueden acceder a los mismos.
PROVEEDOR DE APLICACIONES: Es la persona natural o jurídica que proporciona o suministra servicios de aplicación.
(Resolución CRC 3501 de 2011, artículo 3, numeral 3.5)
PROVEEDOR DE CONTENIDOS: Es la persona natural o jurídica que genera contenido.
(Resolución CRC 3501 de 2011, artículo 3, numeral 3.6)
PROVEEDORES DE CONTENIDOS Y APLICACIONES (PCA): <Definición modificada por el artículo 2 de la Resolución 7811 de 2025. El nuevo texto es el siguiente:> Agentes responsables directos por la producción, generación o consolidación de contenidos o aplicaciones a través de redes de telecomunicaciones. Estos actores pueden o no estar directamente conectados con el o los PRST sobre los cuales prestan sus servicios. Quedan comprendidos bajo esta definición todos aquellos actores que presten sus funciones como productores, generadores o agregadores de contenido.
PROVEEDOR DE INFRAESTRUCTURA: <Definición adicionada por el artículo 1 de la Resolución 7120 de 2023. El nuevo texto es el siguiente:> Cualquier persona natural o jurídica que tenga el control, la propiedad, la posesión, la tenencia, o que a cualquier título ejerza derechos sobre postes, ductos, torres o elementos pertenecientes a infraestructuras susceptibles de ser utilizadas de manera compartida como soporte físico para el despliegue de redes o la prestación de servicios de telecomunicaciones, incluyendo el servicio de televisión abierta radiodifundida y todas las demás modalidades del servicio de televisión y el servicio de radiodifusión sonora.
PROVEEDOR DE REDES Y SERVICIOS DE TELECOMUNICACIONES (PRST): Persona jurídica responsable de la operación de redes y/o de la provisión de servicios de telecomunicaciones a terceros. En consecuencia, todos aquéllos proveedores habilitados bajo regímenes legales previos a la Ley 1341 de 2009 se consideran cobijados por la presente definición.
(Resolución CRC 3501 de 2011, artículo 3, numeral 3.8)
PROVEEDOR DE SERVICIOS DE COMUNICACIONES O PROVEEDOR: Es la persona jurídica pública, mixta o privada, que de acuerdo con la Ley 1341 de 2009 se encuentra habilitada para prestar servicios de comunicaciones a terceros y es responsable de dicha prestación.
(Resolución CRC 3066 de 2011, artículo 9)
PROVEEDOR DE SERVICIOS DE TELECOMUNICACIONES PARA EL ACCESO Y USO DE REDES INTERNAS: Proveedor de redes y servicios de telecomunicaciones, operador del servicio de televisión o proveedor de radiodifusión sonora.
PROVEEDOR DONANTE EN LA PORTABILIDAD NUMÉRICA: Proveedor de Redes y Servicios de Telecomunicaciones desde el cual es portado un determinado número como resultado del Proceso de Portación.
(Resolución CRC 3066 de 2011, artículo 9)
(Resolución CRC 2355 de 2010, artículo 3, numeral 3.17)
PROVEEDOR EN EL RÉGIMEN DE ACCESO, USO E INTERCONEXIÓN DE REDES DE TELECOMUNICACIONES: Persona natural o jurídica que sirviéndose de redes de telecomunicaciones, presta a terceros servicios de telecomunicaciones, provee contenidos y/o aplicaciones, o comercializa redes o servicios de telecomunicaciones. Dicho proveedor puede o no operar una red.
(Resolución CRC 3101 de 2011, artículo 3, numeral 3.15)
PROVEEDOR EN FASE OPERATIVA PARA LA GESTIÓN DE NUMERACIÓN: <Definición derogada por el artículo 3 de la Resolución 5968 de 2020. Ver "ASIGNATARIO EN FASE OPERATIVA">
PROVEEDOR RECEPTOR EN LA PORTABILIDAD NUMÉRICA: Proveedor de Servicios de Telecomunicaciones hacia el cual es portado un determinado número como resultado del Proceso de Portación.
(Resolución CRC 3066 de 2011, artículo 9)
(Resolución CRC 2355 de 2010, artículo 3, numeral 3.18)
PROVEEDOR SOLICITANTE EN LA GESTIÓN DE NUMERACIÓN: <Definición derogada por el artículo 3 de la Resolución 5968 de 2020. Ver "SOLICITANTE DE RECURSOS DE IDENTIFICACIÓN">
PRSTM: Proveedor de Redes y Servicios de Telecomunicaciones Móviles (incluye a los OMV).
(Resolución CRC 3128 de 2011, artículo 2, Modificada por la Resolución CRC 4813 de 2015)
PRUEBA DE ADMISIÓN DEL SERVICIO POSTAL: <Definición modificada por el artículo 1 de la Resolución 5588 de 2019. El nuevo texto es el siguiente:> Documento expedido y diligenciado por los operadores de Servicios Postales de Pago y de Mensajería Expresa, en el cual se hace constar la fecha, hora de imposición e identificación de quien impone un objeto o un giro postal.
PRUEBA DE ENTREGA DEL SERVICIO POSTAL: <Definición modificada por el artículo 1 de la Resolución 5586 de 2019. El nuevo texto es el siguiente> Documento expedido y diligenciado por los operadores de servicios postales de Mensajería Expresa, Servicios Postales de Pago y Servicios de Correo Certificado, en el cual se hace constar la fecha, hora de entrega e identificación de quien recibe un objeto postal por parte del operador de servicios postales.
PRUEBAS DE IMPUTACIÓN: Operación que sirve para comprobar la obligación que tienen los operadores de telecomunicaciones de que la tarifa impuesta por la utilización de una instalación esencial, la prestación de servicios adicionales o el suministro de espacio físico, sea igual a la tarifa que se cobraría a sí mismo el proveedor por el uso de la instalación.
(Resolución CRT 087 de 1997, artículo 1.2)
PUBLICIDAD EN EL SERVICIO PÚBLICO DE TELEVISIÓN: <Definición adicionada por el artículo 1 de la Resolución 6383 de 2021. El nuevo texto es el siguiente:> Hace referencia a la inserción de mensajes o anuncios comerciales en la emisión de los canales, dentro de la programación y en los cortes especialmente destinados para ello.
<Acuerdo CNTV 2 de 1995; Art. 1>
PUNTO DE SEÑALIZACIÓN (PS): <Definición adicionada por el artículo 2 de la Resolución 5968 de 2020. El nuevo texto es el siguiente:> Nodo de conmutación o proceso perteneciente a una red de señalización que intercambia mensajes de señalización para la gestión de todo tipo de llamadas, mediante la técnica de señalización por canal común.
PUNTO DE SEÑALIZACIÓN Y PUNTO DE TRANSFERENCIA DE SEÑALIZACIÓN (PS/PTS): <Definición adicionada por el artículo 2 de la Resolución 5968 de 2020. El nuevo texto es el siguiente:> Punto de señalización (PS) que incluye un punto de transferencia de señalización (PTS) y puede desempeñarse como una de las siguientes categorías:
- Punto de señalización nacional perteneciente a la red de señalización nacional solamente e identificado por un código de punto de señalización de origen o destino de acuerdo con el plan de numeración nacional de puntos de señalización;
- Punto de señalización internacional, perteneciente a la red de señalización internacional solamente e identificado por un código de punto de señalización de acuerdo con el plan de numeración internacional de puntos de señalización.
- Nodo que funciona tanto como punto de señalización internacional y como un punto de señalización nacional, y pertenece, por tanto, a la red de señalización internacional y a una red de señalización nacional, por lo que está identificado por un código de punto de señalización específico en cada una de las redes de señalización.
PUNTO DE TRANSFERENCIA DE SEÑALIZACIÓN (PTS): <Definición adicionada por el artículo 2 de la Resolución 5968 de 2020. El nuevo texto es el siguiente:> Un punto de señalización en el cual un mensaje recibido por un enlace de señalización se transfiere a otro enlace de señalización, es decir, un punto en el cual no está ubicada la función parte de usuario origen ni destino.
Q
QUEJA: <Numeral derogado por el artículo 12 de la Resolución 5111 de 2017>
R
RECUPERACIÓN DE RECURSOS DE IDENTIFICACIÓN: <Definición subrogada por el artículo 3 de la Resolución 5968 de 2020. El nuevo texto es el siguiente:> Es el acto mediante el cual el Administrador de los recursos de identificación retira la autorización de uso de un recurso previamente otorgada a un asignatario, cambiándolo de estado para una posible reasignación futura.
RECURSOS: <Numeral derogado por el artículo 12 de la Resolución 5111 de 2017>
RECURSO DE APELACIÓN: <Numeral derogado por el artículo 12 de la Resolución 5111 de 2017>
RECURSOS DE IDENTIFICACIÓN: <Definición adicionada por el artículo 3 de la Resolución 7811 de 2025. El nuevo texto es el siguiente:> Todas aquellas series de cifras, caracteres y símbolos representados en forma de indicativos, números, nombres, direcciones o identificadores, de dominio público o privado, utilizados en el proceso de registro y autorización en las redes de telecomunicaciones para identificar inequívocamente a un abonado, un usuario, un elemento de red, una función, una entidad de red, un servicio o una aplicación.
RECURSO DE NUMERACIÓN: <Definición derogada por el artículo 3 de la Resolución 5968 de 2020>
RECURSO DE REPOSICIÓN PARA LOS USUARIOS DEL SERVICIO DE COMUNICACIONES: <Numeral derogado por el artículo 12 de la Resolución 5111 de 2017>
RECURSO DE REPOSICIÓN PARA LOS USUARIOS DEL SERVICIO POSTAL: Cualquier manifestación de inconformidad del usuario respecto de la decisión del operador, expresada ante éste para que aclare, modifique o revoque una decisión en el trámite de una petición o reclamación o de una solicitud de indemnización.
(Resolución CRC 3038 de 2011, artículo 3)
RECURSOS PARA LA SEPARACIÓN CONTABLE EN SERVICIOS POSTALES: Elementos necesarios para llevar a cabo las diferentes actividades propias de la organización, los cuales corresponden a la agrupación homogénea de las cuentas contables de costos y gastos. Se pueden realizar agrupaciones de las cuentas contables que tengan igual comportamiento en términos de distribución, es decir, que utilicen un mismo direccionador o que correspondan a un mismo tipo de gasto o costo.
(Resolución CRC 3774 de 2012, artículo 2)
RED CENTRAL (CORE NETWORK): <Definición adicionada por el artículo 1 de la Resolución 5078 de 2016. El nuevo texto es el siguiente:> Infraestructura, equipos, sistemas de telecomunicaciones y medios de transporte necesarios para prestar servicios de comunicaciones y/o aplicaciones a los usuarios de una red, quienes se conectan mediante una red de acceso.
RED CONVERGENTE: <Definición adicionada por el artículo 1 de la Resolución 5078 de 2016. El nuevo texto es el siguiente:> Red que bajo una misma tecnología es capaz de soportar el manejo de contenido multimedia como texto, voz, sonidos, imágenes, video, entre otros, para la prestación de servicios como VoIP, telefonía IP, mensajería instantánea, Internet de banda ancha e IPTV, entre otros.
RED DE ACCESO: <Definición adicionada por el artículo 1 de la Resolución 5078 de 2016. El nuevo texto es el siguiente:> Infraestructura, equipos, sistemas de telecomunicaciones y medios de transporte necesarios para conectar los equipos de los usuarios finales con la red central del proveedor.
RED DE ALIMENTACIÓN: Conjunto de equipos activos y pasivos de telecomunicaciones, cables, regletas, conectores y demás elementos que hacen parte de una derivación de la red de acceso de telecomunicaciones, de propiedad del proveedor de servicios de telecomunicaciones, que conectan la red interna de telecomunicaciones del inmueble con las centrales o nodos de comunicaciones de las redes de dicho proveedor.
(Resolución CRC 3499 de 2011, artículo 3, numeral 3.2)
RED DE CAPTACIÓN: Conjunto de equipos activos y pasivos de telecomunicaciones, encargados de captar las señales inalámbricas procedentes de emisiones terrestres y/o satelitales, transmitidas por los proveedores de servicios de telecomunicaciones, y todos aquellos elementos activos o pasivos encargados de adecuar las señales para ser entregadas a la red interna de telecomunicaciones.
(Resolución CRC 3499 de 2011, artículo 3, numeral 3.3)
RED DE DISTRIBUCIÓN: <Definición adicionada por el artículo 1 de la Resolución 6383 de 2021. El nuevo texto es el siguiente:> Para efectos del servicio de Televisión Comunitaria, es el medio a través del cual la comunidad organizada transporta las señales de televisión a sus asociados. En ningún caso la distribución de señales de televisión por parte de una comunidad organizada se realizará utilizando como medio el espectro radioeléctrico.
<Resolución ANTV 650 de 2018; Art. 4>
RED DE FRECUENCIA ÚNICA: <Definición adicionada por el artículo 1 de la Resolución 6383 de 2021. El nuevo texto es el siguiente:> Para efectos del servicio de Televisión Digital Terrestre, se entiende como el conjunto de estaciones radioeléctricas sincronizadas que permite cubrir ciertas zonas o todo el territorio, llamada zona de servicio, utilizando la misma frecuencia o canal radioeléctrico en todas las estaciones.
<Acuerdo CNTV 2 de 2012; Art. 4>
RED DE PRÓXIMA GENERACIÓN-NGN: Red basada en conmutación de paquetes que permite prestar servicios de telecomunicación y en la que se pueden utilizar múltiples tecnologías de transporte de banda ancha propiciadas por la calidad de servicio -QoS-, y en la que las funciones relacionadas con los servicios son independientes de las tecnologías subyacentes relacionadas con el transporte. Permite a los usuarios el acceso sin trabas a redes y a proveedores de servicios y/o servicios de su elección. (UIT-T Y.2001)
(Resolución CRC 3101 de 2011, artículo 3, numeral 3.18)
RED MULTIFRECUENCIA: <Definición adicionada por el artículo 1 de la Resolución 6383 de 2021. El nuevo texto es el siguiente:> Para efectos del servicio de Televisión Digital Terrestre, se entiende como el conjunto de estaciones radioeléctricas que permite cubrir ciertas zonas o todo el territorio, llamada zona de servicio, utilizando más de una frecuencia o canal radioeléctrico en las estaciones que conforman la red.
<Acuerdo CNTV 2 de 2012; Art. 4>
RED ORIGEN EN EL ROAMING AUTOMÁTICO NACIONAL: Es la red de servicios móviles a la cual pertenecen los usuarios de un proveedor de redes y servicios de telecomunicaciones móviles, el cual se beneficia del roaming automático nacional proporcionado por otra red móvil.
(Resolución CRC 4112 de 2013, artículo 2, numeral 2.2)
RED TELEFÓNICA PÚBLICA CONMUTADA -RTPC-: <Definición derogada por el artículo 28 de la Resolución 5826 de 2019>
RED VISITADA EN EL ROAMING AUTOMÁTICO NACIONAL: Es la red de servicios móviles que atiende con sus propios recursos a usuarios pertenecientes a otro proveedor de redes y servicios de telecomunicaciones móviles, bajo la modalidad de roaming automático nacional.
(Resolución CRC 4112 de 2013, artículo 2, numeral 2.3)
RED INTERNA DE TELECOMUNICACIONES: <Definición modificado por el artículo 3 de la Resolución 6771 de 2022. El nuevo texto es el siguiente:> Está formada por la infraestructura soporte (salones, cámaras, cajas, ductos, canalizaciones, etc.) y la infraestructura consumible (equipos activos y pasivos, cables, conectores y demás elementos necesarios) que conforman la red para el acceso a los servicios públicos de telecomunicaciones y a los servicios de televisión radiodifundida, en inmuebles sometidos al régimen de propiedad horizontal, que va desde el punto de acceso al inmueble (Cámara de entrada) o punto de conexión del inmueble donde se conecta con la red de alimentación o de captación del proveedor de servicios, en donde ingresa el servicio, hasta el inmueble del usuario, incluidas las tomas de conexión al interior del inmueble.
RED SOCIAL: Aplicación Web dirigida a comunidades de usuarios en las que se les permite intercambiar fotos, archivos, aplicaciones, mensajes cortos de texto -SMS- y otro tipo de contenidos en línea y en tiempo real.
(Resolución CRC 3066 de 2011, artículo 9)
REGISTRO DE NÚMEROS EXCLUIDOS (RNE): <Definición modificada por el artículo 1 de la Resolución 7356 de 2024. El nuevo texto es el siguiente> Base de datos en la que se podrán inscribir los consumidores y usuarios que no deseen ser contactados mediante el envío de mensajes publicitarios a través de mensajes cortos de texto (SMS), mensajería por aplicaciones o web, correos electrónicos, ni mediante llamadas telefónicas de carácter comercial o publicitario.
REGISTRO DE PROVEEDORES DE CONTENIDOS Y APLICACIONES, E INTEGRADORES (RPCAI): Base de datos que contiene la información de contacto, de detalle y caracterización de los proveedores de contenidos y aplicaciones y de los integradores con servicio en el territorio colombiano.
(Resolución CRC 3501 de 2011, artículo 3, numeral 3.10)
REPETICIÓN: <Definición subrogada por el artículo 4 de la Resolución 7423 de 2024. El nuevo texto es el siguiente:> Para efectos del presente acuerdo se entiende por repetición, la(s) emisión(es) posterior(es) a la primera, que efectúe el operador de televisión o concesionario de espacios.
REPOSICIÓN DE EQUIPOS: Entrega que el proveedor hace al usuario, a cualquier título, de un equipo terminal durante la ejecución del contrato, cuando este último solicita el reemplazo del mismo.
(Resolución CRC 3066 de 2011, artículo 9)
REPRESENTANTE DEL COMITÉ TÉCNICO DE PORTABILIDAD (CTP): <Definición derogada por el artículo 80 de la Resolución 5586 de 2019>
REPRESENTANTE DEL COMITÉ TÉCNICO DE SEGUIMIENTO (CTS) EN EL CONTROL DE EQUIPOS TERMINALES MÓVILES: Es el representante legal, o apoderado del Proveedor de Redes y Servicios de Telecomunicaciones Móviles con facultades amplias y suficientes para asumir en nombre de dicho Proveedor todas las obligaciones asociadas a la implementación de las medidas para combatir el hurto de equipos terminales móviles.
(Resolución CRC 3617 de 2012, artículo 3, numeral 3.2)
RITDT: <Definición adicionada por el artículo 2 de la Resolución 5968 de 2020. El nuevo texto es el siguiente:> Recursos de identificación asociados a las redes de televisión digital terrestre.
RL: <Definición adicionada por el artículo 2 de la Resolución 5968 de 2020. El nuevo texto es el siguiente:> Sigla para identificar redes de TDT con cobertura local.
RN: <Definición adicionada por el artículo 2 de la Resolución 5968 de 2020. El nuevo texto es el siguiente:> Sigla para identificar redes de TDT con cobertura nacional.
ROAMING AUTOMÁTICO NACIONAL: Instalación esencial asociada a las redes de telecomunicaciones con acceso móvil que permite, sin intervención directa de los usuarios, proveer servicios a éstos, cuando se encuentran fuera de la cobertura de uno o más servicios de su red de origen.
(Resolución CRC 4112 de 2013, artículo 2, numeral 2.1)
ROTDT: <Definición adicionada por el artículo 2 de la Resolución 5968 de 2020. El nuevo texto es el siguiente:> Se refiere al registro frente al Administrador de los Recursos de Identificación que los Operadores del servicio de televisión abierta radiodifundida digital terrestre al que deben inscribirse para poder solicitar RITDT.
RR: <Definición adicionada por el artículo 2 de la Resolución 5968 de 2020. El nuevo texto es el siguiente:> Sigla para identificar redes de TDT con cobertura regional.
RUTAS TRONCALES: Son los medios de transmisión que permiten el intercambio de comunicaciones (voz y/o datos) entre centrales o plataformas.
(Resolución CRC 3067 de 2011, artículo 1.8, numeral 26)
S
SANDBOX REGULATORIO: <Definición adicionada por el artículo 1 de la Resolución 5980 de 2020. El nuevo texto es el siguiente:> Mecanismo regulatorio que permite a los proveedores autorizados por la CRC probar productos, servicios y soluciones sujetos a un marco regulatorio flexible o bajo un conjunto de exenciones regulatorias, por un periodo de tiempo y geografía limitados, en un ambiente controlado.
SECRETARÍA DEL COMITÉ TÉCNICO DE PORTABILIDAD (CTP): <Definición derogada por el artículo 80 de la Resolución 5586 de 2019>
SECRETARÍA DEL COMITÉ TÉCNICO DE SEGUIMIENTO (CTS) EN EL CONTROL DE EQUIPOS TERMINALES MÓVILES: Es la instancia que asiste a la Presidencia del CTS, que será ejercida por la CRC y realizará el seguimiento a las sesiones y actividades del Comité Técnico de Seguimiento. En consecuencia, será designado por la citada Presidencia.
(Resolución CRC 3617 de 2012, artículo 3, numeral 3.3)
SEGMENTO DE OPERACIÓN PARA LA SEPARACIÓN CONTABLE EN SERVICIOS POSTALES: Componente de la empresa que cumple con las características de desarrollar actividades de negocio de las que puede obtener ingresos e incurrir en costos y gastos, incluyendo los gastos por transacciones con otros componentes de la Entidad, y cuyos resultados de operación sean revisados de forma regular en la toma de decisiones de operación de la misma, para decidir sobre los recursos que deben asignarse al segmento y evaluar su rendimiento, y sobre el cual se dispondrá de información contable diferenciada.
(Resolución CRC 3774 de 2012, artículo 2)
SEPARACIÓN CONTABLE PARA PRST Y OPERADOR DE TELEVISIÓN POR SUSCRIPCIÓN: Instrumento regulatorio que establece un conjunto de criterios, principios y condiciones de reconocimiento y/o medición que permiten la generación de reportes independientes sobre unidades generadoras de efectivo, áreas o servicios, interrelacionados o no, que conforman una entidad económica, a partir de métodos de registro transaccional o de distribución o asignación de costos, sin perjuicio de otras disposiciones legales y las establecidas por las autoridades tributarias, contables y financieras pertinentes.
La separación contable puede partir de los registros de la contabilidad financiera que se elabora para los distintos Grupos de interés de la Empresa. En tal sentido, se acude a un conjunto de prácticas, procedimientos y técnicas para que la información pueda ser utilizada para atender a la obligación y al objetivo que imponga el Regulador. La separación contable coadyuva al cuidado de la competencia en servicios que participen en un mercado en el que existan otras ofertas, en aras de evitar subsidios cruzados, precios predatorios u otras prácticas contrarias a la competencia.
(Resolución CRC 4577 de 2014, artículo 4)
SERVICIOS ADICIONALES: Son todos aquellos servicios que atienden necesidades específicas relacionadas con la actividad de interconexión, los cuales pueden contratarse por separado. Entre tales servicios adicionales se encuentran los servicios de medición y registro de tráfico, gestión operativa de reclamos, fallas y errores.
(Resolución CRT 087 de 1997, artículo 1.2)
SERVICIO DE IDENTIFICACIÓN DE LLAMADAS: Es el servicio mediante el cual un usuario destinatario de una llamada, puede conocer, incluso antes de completarse la misma, el número desde el cual se origina la llamada.
(Resolución CRC 3066 de 2011, artículo 9)
SERVICIO DE INTERNET MAYORISTA: <Definición adicionada por el artículo 1 de la Resolución 7714 de 2025. El nuevo texto es el siguiente:> Servicio mediante el cual un Proveedor de Redes y Servicios de Telecomunicaciones proporciona conectividad a Internet a otro Proveedor de Redes y Servicios de Telecomunicaciones para la prestación del servicio de Internet. El suministro de este servicio constituye una relación de acceso entre dichos proveedores.
SERVICIO DE MENSAJERÍA EXPRESA MASIVA: <Definición derogada por el artículo 7 de la Resolución 6577 de 2022>
SERVICIO DE NÚMERO PRIVADO: <Definición derogada por el artículo 137 de la Resolución 7811 de 2025>
SERVICIOS DE COMUNICACIONES: <Numeral modificado por el artículo 9 de la Resolución 5111 de 2017. El nuevo texto es el siguiente:> Son los servicios de que trata la Ley 1341 de 2009, los cuales proporcionan la capacidad de envío y/o recibo de información; y los servicios de televisión cerrada de acuerdo con las condiciones para la prestación de tales servicios, previamente pactadas entre un proveedor u operador y un usuario.
SERVICIOS DE CONTENIDOS Y APLICACIONES DE TARIFA CON PRIMA: Contenidos y aplicaciones cuya prestación implica la utilización de elementos de redes o infraestructura de un PRST y que suponen para el usuario el pago de una prima a la tarifa del servicio de telecomunicaciones.
(Resolución CRC 3501 de 2011, artículo 3, numeral 3.12)
SERVICIOS DE INFORMACIÓN TELEFÓNICA: <Definición adicionada por el artículo 2 de la Resolución 5968 de 2020. El nuevo texto es el siguiente:> Servicios que permiten al usuario acceder a información de directorio telefónico, de interés general, cultural, o de otro tipo diferente a publicidad o mercadeo de productos o servicios.
SERVICIO DE INTERÉS SOCIAL: <Definición adicionada por el artículo 2 de la Resolución 5968 de 2020. El nuevo texto es el siguiente:> Son los servicios que tienen como finalidad directa, inmediata y como límite constitucionalmente exigible, el mejoramiento de las condiciones de vida de las personas, en particular las menos favorecidas.
SERVICIO DE MENSAJERÍA ESPECIALIZADA MASIVA: <Definición derogada por el artículo 80 de la Resolución 5586 de 2019>
SERVICIO DE TELEVISIÓN LOCAL SIN ÁNIMO DE LUCRO: <Definición adicionada por el artículo 1 de la Resolución 6383 de 2021. El nuevo texto es el siguiente:> Es el servicio de televisión abierta de radiodifusión terrestre prestado en un área geográfica continua, siempre y cuando esta no supere el ámbito del mismo Municipio o Distrito, área Metropolitana, o Asociación de Municipios.
<Acuerdo CNTV 3 de 2012; Art. 3>
SERVICIO DE TELEVISIÓN POR SUSCRIPCIÓN CON TECNOLOGÍA SATELITAL: <Definición adicionada por el artículo 1 de la Resolución 6383 de 2021. El nuevo texto es el siguiente:> El servicio de televisión satelital denominado DTH o DBS, o cualquier otra denominación que se emplee para este sistema, es aquel que permite a los habitantes del territorio nacional la recepción, para uso exclusivo e individual, de señales de televisión transmitidas, emitidas, difundidas y programadas a través de segmentos espaciales (satélites) de difusión directa, hasta los equipos terminales de recepción individual.
<Resolución ANTV 26 de 2018; Art. 2 (parcial)>
SERVICIO DE DATOS: <Definición adicionada por el artículo 1 de la Resolución 6383 de 2021. El nuevo texto es el siguiente:> Para efectos del servicio de Televisión Digital Terrestre, secuencia de datos para la cual, el operador determina su horario, ubicación y movimientos en el tiempo.
<Acuerdo CNTV 2 de 2012; Art. 4>
SERVICIOS DE URGENCIA Y/O EMERGENCIA: Son aquéllos que proveen los Centros de Atención de Emergencias -CAE- establecidos para tal fin, con ocasión de las llamadas efectuadas a los números con estructura 1XY de los que trata la modalidad 1 del ANEXO 6. del TÍTULO DE ANEXOS, cuyo objeto es ejercer una acción inmediata ante una situación de riesgo o desastre.
(Resolución CRC 3066 de 2011, artículo 9)
SERVICIOS MÓVILES: Son los servicios móviles terrestres públicos que guardan conformidad con la Recomendación UIT-T Q.1001, prestados por los Proveedores de Redes y Servicios de Telecomunicaciones que sean asignatarios directos de numeración no geográfica.
(Resolución CRC 2355 de 2010, artículo 3, numeral 3.19)
SERVICIO PORTADOR: Es aquel que proporciona la capacidad necesaria para la transmisión de señales entre dos o más puntos definidos de la red de telecomunicaciones. Comprende los servicios que se hacen a través de redes conmutadas de circuitos o de paquetes y los que se hacen a través de redes no conmutadas. Forman parte de estos, entre otros, los servicios de arrendamiento de pares aislados y de circuitos dedicados.
(Resolución CRT 087 de 1997, artículo 1.2)
SERVICIOS SEMIAUTOMÁTICOS Y ESPECIALES: Son todos aquellos servicios de que trata el ARTÍCULO 2.2.12.2.1.14 del Decreto 1078 del 2015 o las normas que los sustituyan, modifiquen o deroguen.
(Resolución CRT 087 de 1997, artículo 1.2)
SERVICIOS SUPLEMENTARIOS: <Definición modificada por el artículo 2 de la Resolución 5968 de 2020. El nuevo texto es el siguiente:> Son aquellos servicios suministrados por una red, además de su servicio o servicios básicos, entre otros los siguientes: conferencia entre tres, llamada en espera, marcación abreviada, despertador automático, transferencia de lamada, conexión sin marcar y código secreto. Dichos servicios son tratados en la Recomendación UIT-T E.131.
SERVIDUMBRE DE ACCESO, USO E INTERCONEXIÓN: <Definición modificada por el artículo 2 de la Resolución 7811 de 2025. El nuevo texto es el siguiente:> Es el acto administrativo mediante el cual la CRC impone los derechos y obligaciones a los operadores solicitante e interconectante y prevé las condiciones de carácter técnico, comercial, operativo y económico del acceso, uso e interconexión de las redes.
SIIA: <Definición adicionado por el artículo 3 de la Resolución 5226 de 2017. El nuevo texto es el siguiente:> Sistema de Información Integral de Autorizados del Ministerio TIC, que permite la consulta al público en relación con las personas naturales y jurídicas autorizadas para la venta de equipos terminales móviles en Colombia".
(Resolución CRC 4584 de 2014, artículo 2o)
SIGRI: <Definición adicionada por el artículo 3 de la Resolución 5968 de 2020. El nuevo texto es el siguiente:> Es la herramienta mediante la cual el Administrador de los Recursos de Identificación lleva un registro detallado de los estados en los que se encuentra cada uno de los recursos de identificación que administra, y que contiene los denominados "Mapa de Numeración" y "mapa de señalización" definidos en los artículos 2.2.12.5.2. y 2.2.12.1.2.10 del Decreto 1078 de 2015.
SIM: Módulo de identidad del abonado (por sus siglas en inglés). Dispositivo electrónico que almacena información técnica de la red, así como también la información de identificación de una cuenta de servicios de telecomunicaciones.
(Resolución CRC 3128 de 2011, artículo 2, Modificada por la Resolución CRC 4813 de 2015)
SISTEMAS DE DISTRIBUCIÓN: <Definición adicionada por el artículo 1 de la Resolución 6383 de 2021. El nuevo texto es el siguiente:> Para efectos del servicio de Televisión por Suscripción, se entienden como los medios que, independientemente de la tecnología de transmisión, utiliza el operador de televisión por suscripción para llevar sus señales hasta el suscriptor.
<Resolución ANTV 26 de 2018; Art. 2>
SISTEMA DE EMERGENCIA NACIONAL DENOMINADO ALERTA ROSA. <Definición modificada por el artículo 1 de la Resolución 8030 de 2025. El nuevo texto es el siguiente:> Para los efectos de que trata el Título XIV de la presente resolución, se entenderá como el conjunto de elementos físicos, lógicos y humanos que permitan la activación, emisión, agregación y difusión de alertas ante la desaparición de niños, niñas, adolescentes, jóvenes y mujeres, previa orden judicial o de autoridad competente.
SISTEMA DE GESTIÓN DE SEGURIDAD DE LA INFORMACIÓN: <Definición adicionada por el artículo 1 de la Resolución 5569 de 2018. El nuevo texto es el siguiente:> parte del sistema de gestión global, basada en un enfoque hacia los riesgos globales de un negocio, cuyo fin es establecer, implementar, operar, hacer seguimiento, revisar, mantener y mejorar la seguridad de la información." (De acuerdo con lo dispuesto en el estándar ISO/IEC 27000:2016).
SISTEMA DE MULTIACCESO: <Definición subrogada por el artículo 1 de la Resolución 5826 de 2019. El nuevo texto es el siguiente:> Es el mecanismo de acceso de los usuarios a los proveedores de larga distancia internacional en virtud del cual el usuario escoge uno de los proveedores marcando un código de operador que lo identifica, para que le curse cada llamada.
SISTEMA DE PRESUSCRIPCIÓN: <Definición derogada por el artículo 28 de la Resolución 5826 de 2019>
SIUST: Sistema de Información Unificado del Sector de las Telecomunicaciones.
(Resolución CRT 087 de 1997, artículo 1.2)
SMS (SHORT MESSAGE SERVICE) O MENSAJE CORTO DE TEXTO: Mensaje corto de texto de hasta 140 octetos, que es enviado desde y/o hacia un terminal móvil.
(Resolución CRC 3501 de 2011, artículo 3, numeral 3.11)
SMS FLASH: Tipo de mensaje de texto SMS que se abre automáticamente en la pantalla del equipo terminal móvil receptor, sin ninguna interacción del usuario. Este mensaje hace referencia al SMS de clase 0 contenido en la especificación técnica ETSI TS 100 900.
(Resolución CRC 3128 de 2011, artículo 2 adicionada por la Resolución CRC 4986 de 2016)
SOFTWARE MALICIOSO (MALWARE): Es un programa computacional que es insertado en un computador o sistemas computacionales, sin autorización, con el objeto de comprometer la confidencialidad, integridad de un sistema computacional, red de telecomunicaciones, datos y tráfico de datos. Comprende virus, gusanos y troyanos electrónicos, que se pueden distribuir a través de email, Web site, Shareware / freeware.
(Resolución CRC 3067 de 2011, artículo 1.8, numeral 27)
SOLICITANTE DE RECURSOS DE IDENTIFICACIÓN: <Definición adicionada por el artículo 3 de la Resolución 5968 de 2020. El nuevo texto es el siguiente:> Se refiere al sujeto que cuenta con el derecho para solicitar la asignación de un recurso de identificación, conforme a sus necesidades, teniendo en cuenta los requisitos y procedimientos establecidos para tal fin.
SOLICITUD DE INDEMNIZACIÓN ANTE EL OPERADOR DEL SERVICIO POSTAL: Solicitud que hace el usuario para que el operador del servicio postal le reconozca el pago de las indemnizaciones consagradas en el artículo 25 de la Ley 1369 de 2009.
(Resolución CRC 3038 de 2011, artículo 3)
SOLICITUD DE PORTACIÓN EN LA PORTABILIDAD NUMÉRICA: Es la petición efectuada por el usuario al proveedor receptor para portar el número, de acuerdo con el procedimiento definido para tal fin en el CAPÍTULO 6 del TÍTULO II.
(Resolución CRC 3066 de 2011, artículo 9)
(Resolución CRC 2355 de 2010, artículo 3, numeral 3.20)
SOLICITUD DE REEXPEDICIÓN ANTE EL OPERADOR DEL SERVICIO POSTAL: Solicitud que presenta el remitente ante el operador postal, después de admitido el objeto postal, pero antes de su entrega al destinatario, con el fin de modificar el destinatario o su dirección. La reexpedición generará el cobro de la tarifa respectiva.
(Resolución CRC 3038 de 2011, artículo 3)
SPC: <Definición adicionada por el artículo 2 de la Resolución 5968 de 2020. El nuevo texto es el siguiente:> Signaling Point Code (SPC, por sus siglas en inglés) o código de punto de señalización es el encargado de identificar en el ámbito nacional los nodos de conmutación y/o procesos pertenecientes a una red de señalización que intercambia mensajes de señalización para la gestión de todo tipo de llamadas, mediante la técnica de señalización por canal común.
SN: SUBSCRIBER NUMBER. ES LA PORCIÓN DE NÚMERO QUE IDENTIFICA UN SUBSCRIPTOR EN UNA RED O ÁREA DE NUMERACIÓN. NÚMERO DE ABONADO (SN) descrito en la sección 4.24 de la Recomendación E.164 de la IUT-T (4.24).
(Resolución CRC 2948 de 2010, artículo 1, numeral 1.6)
SUBCANALES DIGITALES: <Definición adicionada por el artículo 1 de la Resolución 6383 de 2021. El nuevo texto es el siguiente:> Para efectos del servicio de Televisión Digital Terrestre, se entienden como las porciones del múltiplex digital que se radiodifunden y cuyos contenidos serán determinados libremente por los operadores del servicio con sujeción a las obligaciones consagradas en la presente resolución. La recepción de los contenidos de estos subcanales podrá ser libre y gratuita o bajo modalidad de pago, en aplicación de lo establecido en el literal a) del artículo 20 de la Ley 182 de 1995.
<Acuerdo CNTV 2 de 2012; Art. 4>
SUSTITUIBILIDAD DE LA DEMANDA: <Definición modificada por el artículo 2 de la Resolución 7811 de 2025. El nuevo texto es el siguiente:> Se refiere a la capacidad y disposición de los consumidores de un producto o servicio para reemplazar su demanda por la de otros, como respuesta a un incremento en el precio relativo o el cambio en las características del producto o servicio.
SUSTITUIBILIDAD DE LA OFERTA: <Definición adicionada por el artículo 3 de la Resolución 7811 de 2025. El nuevo texto es el siguiente:> Se refiere a la capacidad que tienen los oferentes de proveer el producto o servicio analizado ante un incremento pequeño, pero significativo, en su precio o ante cambios en las características del mismo producto o servicio. Para que se materialice la sustituibilidad desde la oferta, esta capacidad de los oferentes debe ser eficaz e inmediata sin que se requiera de inversiones significativas.
T
TAC: Código asignado por la GSMA a los fabricantes de equipos terminales móviles el cual permite identificar marca, modelo y demás características propias de cada equipo.
(Resolución CRC 3128 de 2011, artículo 2, Modificada por la Resolución CRC 4813 de 2015)
TARJETA PREPAGO: <Definición derogada por el artículo 137 de la Resolución 7811 de 2025>
TASA CONTABLE: Es un valor acordado entre un operador de TPBCLDI y un interconectante internacional, con el fin de distribuir los ingresos recibidos por las llamadas internacionales cursadas entre ellos, en concordancia con el reglamento de la UIT.
(Resolución CRT 087 de 1997, artículo 1.2)
TASA DE RETORNO RAZONABLE O UTILIDAD RAZONABLE: Es la que permite remunerar el patrimonio de los accionistas en la misma forma en que lo habría remunerado una actividad eficiente en un sector de riesgo comparable, la cual será estimada por el departamento nacional de planeación.
(Resolución CRT 087 de 1997, artículo 1.2)
TELÉFONO PÚBLICO: <Definición derogada por el artículo 80 de la Resolución 5586 de 2019>
TELEVISIÓN COMUNITARIA: <Definición adicionada por el artículo 1 de la Resolución 6383 de 2021. El nuevo texto es el siguiente:> Es el servicio de televisión cerrada sin ánimo de lucro prestado por las comunidades organizadas, que tiene como finalidad satisfacer necesidades educativas, recreativas y culturales, y cuya programación de producción propia tiene un énfasis de contenido social y comunitario. En razón a sus restricciones territoriales, de número de asociados y de señales codificadas, y por prestarse sin ánimo de lucro, este servicio no se confundirá con el de televisión por suscripción.
<Resolución ANTV 650 de 2018; Art. 4>
TERMINAL HABILITADO PARA SISTEMA NACIONAL DE EMERGENCIAS: Equipo terminal fijo o móvil usado con una línea telefónica o de abonado, activada para la prestación del servicio de comunicaciones por un Proveedores de Redes y Servicios de Telecomunicaciones.
(Resolución CRC 4972 de 2016, artículo 1.3)
TEST DEL MONOPOLISTA HIPOTÉTICO: <Definición modificada por el artículo 2 de la Resolución 7811 de 2025. El nuevo texto es el siguiente:> Prueba que se utiliza para determinar la extensión de un mercado relevante, la cual consiste en analizar lo que sucede si un monopolista hipotético incrementa de manera permanente y en una pequeña proporción, pero de forma significativa, el precio del producto o servicio correspondiente, suponiendo que los precios de los otros servicios se mantienen constantes.
TIEMPO DE ENTREGA (D+N) EN EL SERVICIO POSTAL: <Definición modificada por el artículo 2 de la Resolución 6494 de 2022. El nuevo texto es el siguiente:> Corresponde al tiempo transcurrido entre la fecha de imposición (D) de un objeto postal por parte del usuario remitente y la fecha de entrega al usuario destinatario (n) por parte del operador postal, medido en días hábiles hasta el primer intento de entrega.
TIC: <Definición derogada por el artículo 137 de la Resolución 7811 de 2025>
TIPOS DE PUNTOS DE SEÑALIZACIÓN: <Definición adicionada por el artículo 2 de la Resolución 5968 de 2020. El nuevo texto es el siguiente:> De conformidad con lo establecido en la Recomendación UIT-T Q.700, son ejemplos de nodos que constituyen puntos de señalización, en una red de señalización, centrales (centros de conmutación), bases de datos de redes inteligentes, puntos de transferencia de señalización o centros de explotación, gestión y mantenimiento.
TMC: Telefonía Móvil Celular.
(Resolución CRT 087 de 1997, artículo 1.2)
TRÁFICO INTERNACIONAL ENTRANTE: Es el tráfico constituido por las llamadas de larga distancia internacional completadas, efectuadas a través de marcación directa o con asistencia de operadora, destinadas a usuarios ubicados en el territorio colombiano y facturadas por el operador extranjero.
(Resolución CRT 087 de 1997, artículo 1.2)
TRÁFICO INTERNACIONAL SALIENTE: Es el tráfico constituido por las llamadas de larga distancia internacional completadas, efectuadas a través de marcación directa o con asistencia de operadora, originadas por suscriptores ubicados en el territorio colombiano, destinadas a usuarios ubicados en el extranjero y facturadas por el operador al suscriptor que origina la llamada.
(Resolución CRT 087 de 1997, artículo 1.2)
TRÁMITE ÚNICO DE RECURSO DE IDENTIFICACIÓN: <Definición adicionada por el artículo 2 de la Resolución 5968 de 2020. El nuevo texto es el siguiente:> Procedimiento a través del cual los solicitantes de recursos de identificación requieren al Administrador de los Recursos de Identificación, la asignación o la devolución de cualquier recurso de identificación que se encuentre bajo su administración.
U
UIT: Unión Internacional de Telecomunicaciones.
(Resolución CRT 087 de 1997, artículo 1.2)
UNIDAD GENERADORA DE EFECTIVO: Según la Norma Internacional de Contabilidad NIC 36, es el grupo identificable de activos más pequeño, que genera entradas de efectivo a favor de la entidad que son, en buena medida, independientes de los flujos de efectivo derivados de otros activos o grupos de activos.
(Resolución CRC 4577 de 2014, artículo 4)
USIM: <Definición adicionada por el artículo 2 de la Resolución 5968 de 2020. El nuevo texto es el siguiente:> Universal Subscriber Identity Module (USIM, por sus siglas en ingles). Es una aplicación de la evolución de tarjetas SIM conocida como UICC - Universal Integrated Circuit Card o terjete de circuito integrado universal – que se comporta como un tipo de tecnología de tarjeta inteligente. Cumple la función de identificar suscriptores en redes GSM de cualquier tecnología, proporcionando mayores prestaciones que las SIM tradicionales en términos de funcionalidad, capacidad de almacenamiento y procesamiento.
USSD (UNSTRUCTURED SUPPLEMENTARY SERVICE DATA) O SERVICIO SUPLEMENTARIO DE DATOS NO ESTRUCTURADOS: Tecnología de comunicación del estándar GSM que permite el envío de datos bidireccional entre un terminal móvil y una aplicación disponible en la red, a través del establecimiento de sesiones
(Unstructured <sic>.
(Resolución CRC 3501 de 2011, artículo 3, numeral 3.13)
USUARIO DEL SERVICIO DE COMUNICACIONES: Persona natural o jurídica consumidora de servicios de comunicaciones.
(Resolución CRC 3066 de 2011, artículo 9)
USUARIO DEL SERVICIO POSTAL: Persona natural o jurídica beneficiaria de la prestación de un servicio postal, como remitente o destinatario.
(Resolución CRC 3038 de 2011, artículo 3)
USUARIO EN LA PORTABILIDAD NUMÉRICA: <Definición derogada por el artículo 137 de la Resolución 7811 de 2025>
USO DE NUMERACIÓN E.164: <Definición subrogada por el artículo 3 de la Resolución 5968 de 2020. El nuevo texto es el siguiente:> Es la destinación dada por el asignatario de la numeración E.164 al recurso que le ha sido asignado. Cuando, por causa de trámites de portación, la numeración E.164 que haya sido implementada por un proveedor receptor distinto del operador asignatario, se autoriza, por parte del administrador del recurso de numeración, al proveedor receptor de numeración portada para que implemente en su red la numeración asignada a un proveedor donante, siempre y cuando la misma haya sido implementada en la red de este último dentro de los términos establecidos en la regulación, y medie la solicitud de portación por parte del usuario.
USO EFICIENTE DE LOS RECURSOS DE IDENTIFICACIÓN: <Definición subrogada por el artículo 3 de la Resolución 5968 de 2020. El nuevo texto es el siguiente:> Se entiende que un recurso de identificación está siendo usado eficientemente cuando el proveedor asignatario cumple con los criterios de uso eficiente establecidos en la regulación.
V
VELOCIDAD EFECTIVA: <Definición modificada por el artículo 2 de la Resolución 5078 de 2016, consultar en Legislación Anterior el texto vigente hasta esta fecha. El nuevo texto es el siguiente:> Es la capacidad de transmisión medida en kbps garantizada por el Proveedor de Servicios de Internet (ISP) en los sentidos del ISP al usuario y del usuario al ISP, incluyendo tanto el segmento de acceso como los canales nacionales e internacionales.
VELOCIDAD DE TRANSMISIÓN DE DATOS: En sistemas digitales corresponde a la cantidad de información que puede ser transmitida en el tiempo a través de un canal de comunicación, expresada en bits por segundo (bps) y sus múltiplos.
(Resolución CRC 3067 de 2011, artículo 1.8, numeral 7)
VENTANA DE CAMBIO: <Definición modificada por el artículo 3 de la Resolución 5929 de 2020. El nuevo texto es el siguiente:> Es el período dentro del proceso de portabilidad numérica en el cual el usuario no posee servicio, durante la desactivación de este en el Proveedor Donante y la activación en el Proveedor Receptor.
VULNERABILIDAD: Cualquier debilidad que podría explotarse con el fin de violar un sistema o la información que contiene.
(Resolución CRC 3067 de 2011, artículo 1.8, numeral 28)
W
X
Y
Z
ZONA 1: <Definición adicionada por el artículo 1 de la Resolución 5078 de 2016. El nuevo texto es el siguiente:> Para efectos del reporte de calidad de indicadores en redes móviles, es la Zona conformada por los ámbitos geográficos que corresponden a los municipios que ostenten alguna de las siguientes categorías, de acuerdo con la Categorización por municipios que publica anualmente la Contaduría General de la Nación en cumplimiento de la Ley 617 de 2000: Categoría Especial, Categoría Uno (1), Categoría Dos (2), Categoría tres (3) o Categoría cuatro (4), y por cada una de las divisiones administrativas de las capitales de departamento que posean una población mayor a quinientos mil (500.000) habitantes. Son excluidas de esta zona las estaciones base que emplean transmisión satelital por motivos de no disponibilidad de otro medio de transporte.
ZONA 2: <Definición adicionada por el artículo 1 de la Resolución 5078 de 2016. El nuevo texto es el siguiente:> Para efectos del reporte de calidad de indicadores en redes móviles, es la Zona conformada por los ámbitos geográficos que corresponden a las capitales de departamento que no fueron consideradas dentro los ámbitos geográficos clasificados como Zona 1 y por la agrupación del resto de municipios en cada departamento que no fueron considerados dentro de la clasificación de ámbitos geográficos para la Zona 1. Son excluidas de esta zona las estaciones base que emplean transmisión satelital por motivos de no disponibilidad de otro medio de transporte.
ZONA SATELITAL: <Definición modificada por el artículo 1 de la Resolución 5165 de 2017. El nuevo texto es el siguiente:> Para efectos del reporte de calidad de indicadores en redes móviles, es la Zona conformada por el conjunto de estaciones base que emplean transmisión satelital por motivos de no disponibilidad de otro medio de transporte.
Nota exclusiva para las definiciones traídas de la Resolución CRC 3101 de 2011: Se entiende que el significado de aquellos términos no expresamente definidos en este TÍTULO, se corresponde al sentido natural y obvio de la respectiva expresión, o de ser el caso a las recomendaciones de la Unión Internacional de Telecomunicaciones - UIT- en la materia.
SIGLAS PARA FACILITAR EL ENTENDIMIENTO DE LA LECTURA DE LA COMPILACIÓN
TPBC: Servicio de Telefonía Pública Básica Conmutada
TPBCLD: Servicio de Telefonía Pública Básica Conmutada de Larga Distancia
TPBCLDN: Servicio de Telefonía Básica Pública Conmutada de Larga Distancia Nacional o Servicio de Telefonía Pública Básica Conmutada de Larga Distancia Nacional
TPBCLDI: Servicio de Telefonía Pública Básica Conmutada de Larga Distancia Internacional
TPBCL: Servicio de Telefonía pública Básica Conmutada Local
TPBCLE: Servicio de Telefonía Básica Pública Conmutada Local Extendida o Servicio de Telefonía Pública Básica Conmutada Local Extendida
TMR: Servicio de Telefonía Pública Básica Conmutada Local Móvil Rural
SUI: Sistema Único de Información
IPC: Índice de Precios al Consumidor
--------------------------------------------------------------------------------
[1] Proveedor de Redes y Servicios de Telecomunicaciones Móviles.
MEDIDAS PARA LA PROTECCIÓN DE LOS USUARIOS DE SERVICIOS DE COMUNICACIONES.
<Nombre título modificado por el artículo 4 de la Resolución 7811 de 2025>
RÉGIMEN DE PROTECCIÓN DE LOS DERECHOS DE LOS USUARIOS DE SERVICIOS DE COMUNICACIONES.
DISPOSICIONES GENERALES.
ARTÍCULO 2.1.1.1. ÁMBITO DE APLICACIÓN. <Artículo modificado por el artículo 5 de la Resolución 7811 de 2025. El nuevo texto es el siguiente:> Este régimen aplica a todas las relaciones surgidas entre los usuarios y los operadores (entendidos estos en el presente Régimen como: los proveedores de redes y servicios de telefonía móvil y fija, acceso a internet fijo y móvil y televisión cerrada), en el ofrecimiento de servicios de comunicaciones, en la celebración del contrato, durante su ejecución y en su terminación.
El presente régimen no es aplicable a los casos en que se prestan servicios de comunicaciones en los cuales las características del servicio, de la red y la totalidad de las condiciones, técnicas, económicas y jurídicas han sido negociadas y pactadas por mutuo acuerdo entre las partes del contrato y, por lo tanto, son el resultado del acuerdo particular y directo entre ellas, siempre que tal inaplicación sea estipulada expresamente en el respectivo contrato.
No se podrá pactar la inaplicación del presente régimen respecto de usuarios micro o pequeñas empresas, cuando se cumplan los siguientes tres requisitos: (i) cuando el objeto del contrato sea la prestación de servicios de voz fija o móvil, o el de acceso a internet fijo o móvil; (ii) cuando el contrato no incluya la provisión de soluciones técnicas desarrolladas a la medida del cliente para la prestación de los servicios de comunicaciones; (iii) cuando el contrato sea suscrito por una micro o pequeña empresa, en los términos definidos en la Ley 590 de 2000 o en las normas que la modifiquen o sustituyan.
Para la relación entre asociado o usuario de televisión comunitaria y la comunidad organizada, así como entre el asociado o usuario del servicio de Internet comunitario fijo y el Proveedor del Servicio de Internet Comunitario Fijo (PSICF), aplican únicamente las disposiciones contenidas en la Sección 26 del presente capítulo.
Para la relación entre usuario y proveedor de contenidos y aplicaciones e integradores tecnológicos aplicarán solamente las disposiciones contenidas en las secciones 18 y 19 del presente capítulo.
PARÁGRAFO. Se exceptúan del presente Régimen los servicios postales previstos por la Ley 1369 de 2009 y, en materia de televisión por suscripción, los aspectos relacionados con la regulación de franjas y contenido de la programación, publicidad y comercialización.
ARTÍCULO 2.1.1.2. <Artículo modificado por el artículo 1 de la Resolución 5111 de 2017. El nuevo texto es el siguiente:>
<Inciso modificado por el artículo 6 de la Resolución 7811 de 2025. El nuevo texto es el siguiente:> Este Régimen se interpretará de conformidad con los siguientes principios orientadores:
2.1.1.2.1. Favorabilidad. Toda duda en la interpretación o aplicación de las normas y de las condiciones generales de prestación del servicio o del contrato celebrado entre el operador y el usuario, será decidida a favor de este último, de manera que prevalezcan sus derechos.
2.1.1.2.2. Libre elección. En todo momento, corresponde exclusivamente al usuario elegir el operador, los planes, los servicios y los equipos utilizados para acceder al servicio. En ningún caso se puede presumir su voluntad o consentimiento.
2.1.1.2.3. Calidad. Los operadores deben prestar los servicios continua y eficientemente, de acuerdo con los niveles de calidad establecidos en la regulación. En caso de que los niveles de calidad sean establecidos contractualmente, estos en ningún caso podrán ser inferiores a los dispuestos en la regulación.
2.1.1.2.4. Información. <Numeral modificado por el artículo 6 de la Resolución 7811 de 2025. El nuevo texto es el siguiente:> El usuario tiene derecho a recibir información clara, cierta, completa, oportuna y gratuita que le permita tomar decisiones informadas sobre las condiciones del servicio que le es ofrecido o prestado. El usuario podrá elegir el medio físico, electrónico o digital- que prefiera para recibir la información relativa al servicio que le es prestado. Si el usuario no realiza esta elección, la información será enviada a través de un medio electrónico o digital, informándole previamente al usuario el canal específico a través del cual realizará dicho envío.
2.1.1.2.5. Gratuidad en trámites. No habrá lugar a cobros por la presentación de PQR (peticiones, quejas/reclamos o recursos), por el acceso a cualquier medio de atención al usuario o por cualquier trámite que surta el usuario para hacer efectivos sus derechos ante el operador.
2.1.1.2.6. Digitalización. <Numeral modificado por el artículo 6 de la Resolución 7811 de 2025. El nuevo texto es el siguiente:> Por regla general, la digitalización de alguna(s) o todas las interacciones que se adelantan con el usuario, aprovechando las eficiencias de las Tecnologías de la Información y las Comunicaciones, es potestativa del operador, salvo que la CRC específicamente establezca la digitalización obligatoria de ciertas interacciones o trámites. Los usuarios tienen derecho a conocer en todo momento las interacciones que han migrado a la digitalización en los términos dispuestos en el presente Capítulo. En cualquier caso, se reconoce el derecho del usuario a acudir a la línea de atención telefónica.
ARTÍCULO 2.1.1.3. MODALIDADES DE PAGO. <Artículo modificado por el artículo 7 de la Resolución 7811 de 2025. El nuevo texto es el siguiente:> Las modalidades de pago disponibles para los servicios de comunicaciones son las siguientes:
2.1.1.3.1. Modalidad prepago: En esta modalidad el usuario adquiere saldo mediante recargas o mecanismos equivalentes, que puede utilizar para acceder a los servicios de comunicaciones ofrecidos por su operador como paquetes, planes, promociones u ofertas. Cada consumo realizado (llamada, sesión de datos, SMS, televisión, etc.) será descontado de dicho saldo.
2.1.1.3.2. Modalidad pospago: En esta modalidad el usuario, con ocasión de la celebración de un contrato de prestación de servicios de comunicaciones, accede a una capacidad determinada o determinable de servicios, pagando un cargo fijo de manera periódica, aunque este sea anterior al uso efectivo de los servicios.
DERECHOS Y OBLIGACIONES DE LOS USUARIOS.
ARTÍCULO 2.1.2.1. DERECHOS. <Artículo modificado por el artículo 1 de la Resolución 5111 de 2017. El nuevo texto es el siguiente:>
<Inciso modificado por el artículo 8 de la Resolución 7811 de 2025. El nuevo texto es el siguiente:> Los usuarios de servicios de comunicaciones tienen los siguientes derechos, sin perjuicio de los demás establecidos en el presente Régimen:
2.1.2.1.1. Recibir los servicios que contrató de manera continua, sin interrupciones y con la calidad fijada por la regulación y la pactada contractualmente.
2.1.2.1.2. <Numeral modificado por el artículo 8 de la Resolución 7811 de 2025. El nuevo texto es el siguiente:> Conocer, de manera clara y accesible, las tarifas de los servicios que ha contratado y que no le sean cobrados precios que no han sido antes aceptados por él.
Esto incluye incrementos tarifarios que superan los límites pactados en el contrato, o incrementos a las tarifas que, encontrándose dentro de dichos límites, no fueron informados previamente.
2.1.2.1.3. <Numeral modificado por el artículo 4 de la Resolución 6242 de 2021. El nuevo texto es el siguiente:> Presentar cualquier PQR (petición, queja/ reclamo o recurso), recibir atención integral y obtener una respuesta oportuna, a través de cualquiera de los medios de atención al usuario (salvo que la respectiva interacción haya migrado a la digitalización y se le haya informado previamente al usuario). En todo caso el usuario podrá presentar cualquier PQR a través de la línea de atención telefónica.
2.1.2.1.4. <Numeral modificado por el artículo 8 de la Resolución 7811 de 2025. El nuevo texto es el siguiente:> Terminar el contrato en cualquier momento y a través de cualquiera de los medios de atención al usuario (salvo que esta interacción haya migrado a la digitalización por decisión propia del operador y se le haya informado previamente al usuario) o por medio del canal digital que la CRC defina para tal fin. En todo caso el usuario podrá terminar el contrato a través de la línea de atención telefónica.
2.1.2.1.5. Ser compensado por fallas en la prestación del servicio, de acuerdo con los criterios del Anexo 2.1 del Título "Anexos Título II".
2.1.2.1.6. Recibir protección de la información que cursa a través de la red del operador, quien debe garantizar la inviolabilidad de las comunicaciones.
PARÁGRAFO. <Parágrafo adicionado por el artículo 2 de la Resolución 7285 de 2024. El nuevo texto es el siguiente:> Los usuarios podrán solicitar, por cualquier medio de atención (salvo que esta interacción haya migrado a la digitalización y se le haya informado previamente al usuario), la suscripción a las promociones o planes tarifarios de retención, recuperación y fidelización, ofertados por los operadores de servicios móviles, siempre y cuando cumplan previamente con los requisitos definidos por dichos operadores. Estos requisitos deberán ser comunicados a los usuarios junto con los términos y condiciones de la promoción o plan tarifario de retención, recuperación o fidelización correspondiente, a través de las páginas web del respectivo operador de servicios móviles".
ARTÍCULO 2.1.2.2. OBLIGACIONES. <Artículo modificado por el artículo 9 de la Resolución 7811 de 2025. El nuevo texto es el siguiente:> Los usuarios de servicios de comunicaciones tienen las siguientes obligaciones:
2.1.2.2.1. Informarse, antes de celebrar el contrato o aceptar un nuevo servicio, acerca de las condiciones del servicio.
2.1.2.2.2. Cumplir los términos y condiciones pactados en el contrato.
2.1.2.2.3. Pagar las obligaciones contraídas con el operador en las fechas acordadas.
2.1.2.2.4. No cometer o ser partícipe de actividades de fraude haciendo uso de un servicio de comunicaciones.
2.1.2.2.5. Hacer uso de equipos terminales móviles homologados.
2.1.2.2.6. Hacer uso adecuado y de forma respetuosa de los medios de atención dispuestos por el operador.
2.1.2.2.7. Hacer uso adecuado de las redes, de los servicios y de los equipos necesarios para su prestación.
2.1.2.2.8. Informar al operador ante cualquier falla en la prestación del servicio.
2.1.2.2.9. Reportar inmediatamente ocurra, el hurto o extravío del equipo terminal móvil.
2.1.2.2.10. Registrar ante su operador el equipo terminal móvil del cual haga uso para la prestación de los servicios contratados, cuando el mismo no haya sido previamente registrado durante el proceso de importación.
2.1.2.2.11. Actuar de buena fe durante toda la relación contractual.
2.1.2.2.12. Hacer uso adecuado de su derecho a presentar PQR y en consecuencia abstenerse de presentar solicitudes reincidentes, por hechos que ya han sido objeto de decisión por el operador, excepto cuando correspondan a la presentación de un recurso.
2.1.2.2.13. Permitir que el operador ejecute labores tendientes a revisar el funcionamiento de los servicios, y en especial permitir la realización de revisiones o visitas técnicas previamente programadas y aceptadas.
ARTÍCULO 2.1.2.3. OMNICANALIDAD. <Artículo adicionado por el artículo 3 de la Resolución 7684 de 2025. El nuevo texto es el siguiente:> En la digitalización se reconoce que las interacciones pueden ser iniciadas en un canal digital y continuar en otro canal digital dentro de un ambiente de omnicanalidad, siempre y cuando se dé cumplimiento a las siguientes condiciones:
a) El usuario suministrará por una sola vez la información que requiera el operador para adelantar el trámite o la solicitud respectiva. El redireccionamiento a un nuevo canal digital de ninguna manera implicará que el usuario deba proveer múltiples veces dicha información.
b) Los canales involucrados en la atención al usuario deben garantizar continuidad e inmediatez en el proceso de interacción con este, por lo que el redireccionamiento a otro canal distinto al que inicialmente acudió el usuario deberá ser automático.
CONTRATACIÓN DEL SERVICIO.
ARTÍCULO 2.1.3.1. CONTENIDO PROHIBIDO. <Artículo modificado por el artículo 1 de la Resolución 8171 de 2026. El nuevo texto es el siguiente:> En los contratos de prestación de servicios de comunicaciones que los usuarios celebren con los operadores, no se podrán incluir disposiciones que limiten alguno de los derechos de los usuarios o impongan obligaciones adicionales a las descritas en el presente Régimen. De manera particular, no se podrán incluir disposiciones que:
2.1.3.1.1. Eliminen o limiten la responsabilidad de los operadores.
2.1.3.1.2. Limiten el derecho del usuario a elegir libremente los operadores, planes, servicios y equipos; o establezcan acuerdos de exclusividad.
2.1.3.1.3. Permitan que el operador termine el contrato unilateralmente por causa distinta al incumplimiento del usuario, al vencimiento del plazo del contrato o por imposibilidad técnica que no le permita al operador seguir prestando el servicio, de conformidad con lo dispuesto en el artículo 2.1.8.3. de la presente resolución, sobre terminación del contrato.
En caso de que en los contratos que celebren los usuarios con los operadores se incluyan las cláusulas a que se refiere este artículo, estas serán ineficaces de pleno derecho, de modo que se tendrán por no escritas y no producirán efecto alguno
ARTÍCULO 2.1.3.2. MODIFICACIONES AL CONTRATO. <Artículo modificado por el artículo 11 de la Resolución 7811 de 2025. El nuevo texto es el siguiente:> Los operadores no pueden modificar las condiciones acordadas con el usuario, ni imponer, ni cobrar servicios que no hayan sido aceptados expresamente por el usuario que celebró el contrato. Si ocurre alguna de estas situaciones, el usuario tiene derecho a terminar el contrato, incluso cuando este incluya alguna cláusula de permanencia mínima. En este último caso, el usuario no estará obligado a pagar alguna suma por concepto de permanencia mínima.
Cuando el usuario y el operador acuerden modificaciones al contrato, el operador le entregará copia del contrato actualizado, ya sea por medio físico, electrónico o digital, según la preferencia del usuario. Si el usuario no elige el medio, el proveedor enviará el contrato actualizado por medio electrónico o digital.
El envío del contrato deberá hacerse a más tardar en el siguiente período de facturación posterior al que se realizaron dichas modificaciones.
ARTÍCULO 2.1.3.3 PROCEDIMIENTO PARA LA ACTIVACIÓN DE SERVICIOS MÓVILES EN LA MODALIDAD PREPAGO. <Artículo adicionado por el artículo 4 de la Resolución 7684 de 2025. El nuevo texto es el siguiente:> Los operadores deberán implementar y cumplir con el siguiente procedimiento para la activación de los servicios móviles en la modalidad prepago:
2.1.3.3.1 Adquisición de las SIM físicas o SIM virtuales: Los usuarios podrán adquirir las SIM físicas o SIM virtuales mediante los canales de distribución y comercialización autorizados por el operador, quien deberá informarle de manera clara, utilizando el medio que considere idóneo, sobre la obligatoriedad de suministrar sus datos de identificación para la verificación de su identidad y el registro de esta información en sus bases de datos, antes de la activación de los servicios móviles.
2.1.3.3.2 Proceso de activación de los servicios móviles en la modalidad prepago: El proceso de activación de los servicios móviles comenzará con la primera interacción de la SIM con la red, que ocurre cuando esta es insertada o activada en un equipo terminal móvil (ETM) y es reconocida por la red del operador. Hasta que el proceso de activación no se complete de manera exitosa, conforme las etapas descritas a continuación, el operador no podrá activar los servicios de comunicaciones prepago.
2.1.3.3.3 Recolección de datos de identificación del usuario de los servicios móviles en la modalidad prepago: El operador deberá solicitar al usuario de los servicios móviles en la modalidad prepago, utilizando el mecanismo que considere idóneo para tal fin, como mínimo los siguientes datos:
a) Tipo de documento de identificación,
b) Número del documento de identificación,
c) Fecha de expedición del documento.
En caso de que el dato biográfico de nombres y apellidos no puedan ser obtenidos por el operador mediante herramientas idóneas de validación, dicho dato deberá ser suministrado por el usuario.
2.1.3.3.4 Verificación de los datos de identificación del usuario de servicios móviles en la modalidad prepago: El operador deberá verificar en tiempo real, utilizando el mecanismo que considere idóneo, la coincidencia del tipo, número y fecha de expedición del documento de identificación del usuario sea persona natural o jurídica. En el caso de extranjeros cuyo documento de identificación sea el Pasaporte, el operador deberá realizar el registro de la información del usuario y, en todo caso, podrá utilizar los mecanismos que estén a su alcance para realizar la posterior validación de dicha información.
2.1.3.3.5 Rechazo por inconsistencias en la información suministrada por el usuario: Si el tipo, número y fecha de expedición del documento de identificación proporcionados por el usuario que adquiere la SIM no coinciden, el operador no podrá activar los servicios móviles. En estos casos, el operador, utilizando el medio que elija, deberá informar al usuario que el proceso de activación no concluyó de manera exitosa y que deberá iniciarlo nuevamente.
2.1.3.3.6 Registro y notificación de activación de los servicios: Una vez validados los datos de identificación del usuario, el operador deberá: (i) registrar la información en sus bases de datos; y (ii) informar al usuario, mediante mensaje de texto (SMS) dirigido al número de la línea telefónica móvil registrado, sobre la finalización exitosa del proceso de activación de los servicios móviles y la validación de los datos registrados.
El operador deberá guardar evidencia del envío del mensaje de texto (SMS) al usuario por un término de tres (3) años.
2.1.3.3.7 Prohibición de registro de líneas móviles en la modalidad prepago a nombre de distribuidores y comercializadores. El operador no podrá registrar como titular de la línea móvil en la modalidad prepago a quien adquiera sus SIM físicas o SIM virtuales con el fin de distribuirlas o comercializarlas a terceros.
2.1.3.3.8 Responsabilidades del operador: Para garantizar el cumplimiento de la obligación de verificación y registro de los datos de identificación del usuario, en tiempo real, conforme lo descrito en los numerales anteriores, el operador deberá:
a) Establecer y mantener la infraestructura tecnológica necesaria para realizar la verificación y registro de los datos de identificación del usuario en tiempo real.
b) Implementar mecanismos para informar al usuario sobre el estado de la validación de sus datos y la activación de los servicios.
c) Sensibilizar a los usuarios acerca de la importancia de suministrarle información precisa y actualizada sobre sus datos de identificación.
2.1.3.3.9 Responsabilidades del usuario: El usuario deberá suministrar al operador información veraz y actualizada tal como consta en su documento de identidad. Asimismo, deberá notificar al operador cualquier modificación en sus datos de identificación y de contacto.
PARÁGRAFO. <Parágrafo adicionado por el artículo 12 de la Resolución 7811 de 2025. El nuevo texto es el siguiente:> Cuando la verificación de la fecha de expedición del documento de identificación de que trata el numeral 2.1.3.3.4. no pueda hacerse en tiempo real, el operador podrá activar provisionalmente los servicios móviles, escenario en el cual deberá hacer tal verificación en un plazo máximo de un (1) día hábil. En caso de que tal verificación no se realice, el proveedor deberá desactivar el servicio e informar al usuario que el proceso de activación no fue exitoso, por lo que deberá iniciarlo nuevamente.
ARTÍCULO 2.1.3.3. REGISTRO DE USUARIOS PREPAGO. <Artículo derogado por el artículo 80 de la Resolución 5586 de 2019>
ARTÍCULO 2.1.3.4 PARÁMETROS PARA LA ACTUALIZACIÓN DE DATOS DE IDENTIFICACIÓN DE LOS USUARIOS DE SERVICIOS DE COMUNICACIONES MÓVILES EN LA MODALIDAD PREPAGO. <Artículo adicionado por el artículo 6 de la Resolución 7684 de 2025. El nuevo texto es el siguiente:> Los operadores deberán cumplir con las siguientes disposiciones para la actualización de los datos de identificación de los usuarios de los servicios de comunicaciones móviles en la modalidad prepago:
2.1.3.4.1 Medios de atención para la actualización de datos de identificación del usuario de los servicios móviles en la modalidad prepago:
El usuario de servicios móviles en la modalidad prepago podrá actualizar sus datos a través de cualquier medio de atención habilitado por el operador (salvo que esta interacción haya migrado a la digitalización y se le haya informado previamente al usuario). En todo caso, la actualización de datos deberá poder realizarse a través de la línea de atención telefónica.
Para llevar a cabo la actualización de sus datos, los usuarios deben informar al operador, como mínimo el tipo, número, y fecha de expedición de su documento de identificación, así como el número de la línea telefónica móvil respecto de la cual solicita la actualización de datos.
En caso de que el dato biográfico de nombres y apellidos no puedan ser obtenidos por el operador mediante herramientas idóneas de validación, dicho dato deberá ser suministrado por el usuario.
2.1.3.4.2 Verificación de información de identificación del usuario de los servicios móviles en la modalidad prepago: El operador deberá verificar en tiempo real, utilizando el mecanismo que considere idóneo, la coincidencia del tipo, número y fecha de expedición del documento de identificación del usuario sea persona natural o jurídica. En el caso de extranjeros cuyo documento de identificación sea el Pasaporte, el operador deberá realizar el registro de la información del usuario y, en todo caso, podrá utilizar los mecanismos que estén a su alcance para realizar la posterior validación de dicha información.
Asimismo, debe informarle al usuario mediante mensaje de texto (SMS) dirigido al número de la línea telefónica móvil registrada, sobre la finalización exitosa del proceso de actualización de sus datos junto con los datos que fueron registrados.
El operador deberá guardar evidencia del envío del mensaje de texto (SMS) al usuario, por un término de seis (6) meses.
2.1.3.4.3 Inconsistencias en la información suministrada: Si el tipo, número y fecha de expedición del documento de identificación proporcionados por el usuario de los servicios móviles en la modalidad prepago no coinciden, dichos datos de identificación no podrán ser actualizados. En este caso, el operador, utilizando el medio que elija, deberá informar al usuario que el proceso de actualización de datos no concluyó de manera exitosa y que deberá iniciarlo nuevamente.
ARTÍCULO 2.1.3.5 CAMPAÑAS INFORMATIVAS PARA LA ACTUALIZACIÓN DE DATOS DE IDENTIFICACIÓN DE LOS USUARIOS EN LA MODALIDAD PREPAGO. <Artículo adicionado por el artículo 7 de la Resolución 7684 de 2025. El nuevo texto es el siguiente:> Los operadores deberán realizar campañas informativas, al menos una vez por semestre, dirigidas a los usuarios de los servicios de comunicaciones móviles en la modalidad prepago, las cuales deberán incluir:
a) Información clara, accesible y sencilla sobre el procedimiento para actualizar los datos.
b) Los medios y canales habilitados para la actualización de datos.
c) Explicación sobre la relevancia de mantener la información actualizada, en especial para culminar con éxito el proceso de portabilidad numérica, en caso de que el usuario la solicite.
PARÁGRAFO: La CRC desarrollará campañas pedagógicas dirigidas a los usuarios con el objetivo de informarles que pueden llevar a cabo la actualización de sus datos de la forma descrita en el numeral 2.1.3.4.1 del artículo 2.1.3.4 de la presente resolución y sobre el impacto potencial que tiene la desactualización de sus datos frente al proceso de portabilidad numérica móvil.
ARTÍCULO 2.1.3.6. ÁREA DE CUBRIMIENTO. <Artículo modificado por el artículo 13 de la Resolución 7811 de 2025. El nuevo texto es el siguiente:> El usuario podrá encontrar las áreas geográficas en que existe cubrimiento de los operadores de servicios móviles, a través de mapas de cobertura disponibles en sus páginas web (en los términos del artículo 5.1.1.5 del Título V de la Resolución CRC 5050 de 2016, o aquella norma que la modifique o sustituya). Si el servicio no es prestado en las áreas informadas por el operador, el usuario podrá dar terminación al contrato. En tal caso, el operador deberá devolver los pagos realizados, siempre y cuando el usuario no haya utilizado el servicio en otras zonas geográficas.
ARTÍCULO 2.1.3.7. SERVICIOS DE INTERNET Y SERVICIOS DE VOZ. <Artículo modificado por el artículo 1 de la Resolución 5111 de 2017. El nuevo texto es el siguiente:> En el contrato de prestación del servicio de acceso a internet fijo o móvil, se incluirán: velocidad contratada (para servicios fijos), capacidad máxima incluida en el plan (cuando aplique), tarifas y si el mismo es un servicio de banda ancha (cuando aplique).
Antes de suscribir el contrato, el operador deberá informar al usuario los principales factores que limitan la velocidad efectiva que puede experimentar el usuario, diferenciando aquellos sobre los que tiene control el operador y los que son ajenos al mismo.
Los planes de acceso a Internet que sean publicitados o contratados bajo la categoría de ilimitados, no podrán tener ningún tipo de restricción, salvo aquella inherente a la tecnología empleada y a la velocidad efectiva ofrecida para el plan. En el caso de voz, los planes que sean publicitados o contratados bajo la categoría de ilimitados, no podrán tener restricciones o limitaciones a la cantidad de destinos.
ARTÍCULO 2.1.3.8. PARRILLA DE CANALES. <Artículo modificado por el artículo 1 de la Resolución 5111 de 2017. El nuevo texto es el siguiente:> En el momento de la contratación del servicio, el usuario del servicio de televisión por suscripción puede elegir un plan general o un plan caracterizado por algún canal, canales o género de canales, cuando así lo ofrezca el operador.
Si el usuario elige un plan caracterizado, este debe constar clara y expresamente en el contrato, y ante modificación por parte del operador sin la autorización previa y expresa del usuario, este último podrá terminar el contrato, pese a que exista una cláusula de permanencia mínima vigente, caso en el cual no debe pagar lo que debe con ocasión de la misma.
CLÁUSULAS DE PERMANENCIA MÍNIMA.
ARTÍCULO 2.1.4.1. CLÁUSULAS DE PERMANENCIA MÍNIMA PARA SERVICIOS FIJOS. <Artículo modificado por el artículo 14 de la Resolución 7811 de 2025. El nuevo texto es el siguiente:> La cláusula de permanencia mínima solo puede ser incluida cuando el usuario la haya aceptado y el operador le otorgue un descuento respecto del valor del cargo por conexión o le difiera el pago del mismo. Este valor únicamente incluye los costos asociados a la conexión e instalación del servicio. Si se prestan varios servicios sobre una misma red de acceso, este cargo corresponde al valor de la conexión e instalación de 1 servicio, más los costos incrementales en que pueda incurrir el operador por conectar los otros servicios a la red de acceso común.
Esta cláusula solo se puede pactar una vez, al inicio del contrato y el período de permanencia mínima no puede ser superior a 12 meses.
El operador deberá ofrecer siempre al usuario la posibilidad de contratar sin permanencia mínima, informándole el valor del cargo por conexión que tendría que pagar al inicio del contrato y el valor mensual por el servicio.
En el momento de la instalación del servicio el operador deberá informar al usuario sobre los elementos que suministra para dicha instalación.
Cuando se pacte una cláusula de permanencia mínima, el usuario encontrará la siguiente información en el contrato y en su factura mensual: (i) el valor total del cargo por conexión; (ii) la suma que le fue descontada o diferida del valor total del cargo por conexión; (iii) fechas exactas (día/mes/año) de inicio y finalización de la permanencia mínima. Adicionalmente, en la factura encontrará el valor a pagar si el usuario decide terminar el contrato anticipadamente, de acuerdo con la fecha de finalización del respectivo periodo de facturación.
Si la factura mensual se envía por medios electrónicos o digitales, para cumplir con lo dispuesto en el inciso anterior, el operador podrá incluir un enlace dentro de la factura que permita al usuario consultar la información mencionada en el inciso anterior. En todo caso, el contrato deberá especificar el valor que el usuario tendría que pagar si termina el contrato de manera anticipada, discriminado por cada periodo de facturación.
Si el usuario decide terminar su contrato antes de la finalización del periodo de permanencia mínima, solo deberá pagar el valor que a la fecha debe de la suma que le fue descontada o diferida del valor del cargo por conexión, la cual el operador deberá descontar mensualmente de forma lineal y dividida en los meses de permanencia. El operador no podrá cobrar suma alguna por los servicios no prestados por el retiro anticipado.
PARÁGRAFO. En caso de que el usuario solicite el traslado del servicio contratado, las partes podrán acordar la inclusión de una nueva cláusula de permanencia mínima, en los términos y condiciones del presente artículo. El valor que el operador financie o difiera deberá corresponder únicamente a los costos de conexión ocasionados por el traslado del servicio contratado, siempre que este proceda. Si a la fecha del traslado existe una cláusula de permanencia mínima vigente, esta será reemplazada por la nueva.
Concepto CRC 504108 de 2024
Concepto CRC 502964 de 2020
ARTÍCULO 2.1.4.2. CLÁUSULAS DE PERMANENCIA MÍNIMA VIGENTES. <Artículo derogado por el artículo 137 de la Resolución 7811 de 2025>
ARTÍCULO 2.1.4.3. CONTRATACIÓN DE PAQUETES U OFERTA CONJUNTA DE SERVICIOS MÓVILES Y FIJOS. <Artículo adicionado por el artículo 8 de la Resolución 7684 de 2025. El nuevo texto es el siguiente:> Sin perjuicio de lo dispuesto en el artículo 2.1.4.1., para el caso de la contratación de paquetes o la oferta conjunta de servicios móviles y fijos, la cláusula de permanencia mínima tendrá efectos exclusivamente sobre los servicios fijos que formen parte de dicho paquete u oferta. En consecuencia, el operador se abstendrá de implementar cualquier práctica que tenga por objeto o por efecto extender los efectos de dicha permanencia respecto de los servicios móviles presentes dentro del paquete u oferta conjunta.
Cuando a un paquete o a una oferta conjunta de servicios móviles se adicionen servicios fijos, o viceversa, el operador deberá, tanto al momento de la oferta como al de la activación de los servicios adicionados, informar al usuario sobre su derecho a portarse a otro operador o cancelar los servicios móviles de dicho paquete u oferta en cualquier momento. Asimismo, el operador informará al usuario que la cancelación de dichos servicios, podrá realizarla, utilizando cualquiera de los medios de atención (salvo que esta interacción haya migrado a la digitalización). En todo caso, deberá indicar expresamente el (los) medio(s) de atención digital(es) disponibles y la posibilidad de llevar a cabo esta cancelación también a través de la línea de atención telefónica o de dichos medios digitales habilitados para tal fin.
El operador deberá dejar constancia del envío de la información a la que se refiere el anterior inciso, por un término de seis (6) meses.
DATOS PERSONALES.
ARTÍCULO 2.1.5.1. CONDICIONES PARA EL USO Y CIRCULACIÓN DE DATOS. Artículo derogado por el artículo 80 de la Resolución 5586 de 2019>
ARTÍCULO 2.1.5.2. REPORTE DE INFORMACIÓN ANTE CENTRALES DE RIESGO. <Artículo derogado por el artículo 80 de la Resolución 5586 de 2019>
PROMOCIONES Y OFERTAS.
ARTÍCULO 2.1.6.1. PROMOCIONES Y OFERTAS. <Artículo modificado a partir del 1 de mayo de 2026 por el artículo 2 de la Resolución 8171 de 2026. El texto vigente hasta esta fecha es el siguiente:> <Artículo modificado por el artículo 15 de la Resolución 7811 de 2025. El nuevo texto es el siguiente:> Antes de que el usuario acepte una promoción u oferta, el operador le deberá informar sus condiciones y restricciones. El operador deberá almacenar esta información por un periodo mínimo de 6 meses, durante el cual el usuario podrá consultarla en cualquier momento.
Las condiciones informadas al usuario a través de cualquier medio de atención obligan al operador a cumplirlas.
La comunicación de promociones y ofertas deberán incluir la vigencia, el precio y la capacidad/cantidad de los diferentes productos ofrecidos.
PARÁGRAFO. Las promociones o planes tarifarios que hacen parte de los programas de fidelización, retención y recuperación de usuarios ofertados por un operador de servicios móviles son considerados promociones u ofertas para efectos de la interpretación de este régimen.
El operador de servicios móviles debe incorporar en su sitio web un micrositio, el cual deberá estar en un lugar altamente visible y de fácil acceso, en el que deberá publicar todas las promociones o planes tarifarios que hacen parte de sus programas de fidelización, retención y recuperación de usuarios. Para cada promoción o plan tarifario el operador de servicios móviles debe especificar de manera clara los requisitos que debe cumplir un usuario para acceder a dichas promociones o planes tarifarios.
El operador de servicios móviles únicamente podrá ofrecer a sus usuarios promociones o planes tarifarios de fidelización, retención y recuperación de usuarios que hayan sido previamente publicados en su sitio web.
El enlace de acceso a dicho micrositio deberá estar disponible en la página de inicio del sitio web, así como también en las secciones del sitio web en las que el operador disponga información sobre la oferta de servicios móviles.
PAQUETE DE SERVICIOS.
ARTÍCULO 2.1.7.1. PAQUETE DE SERVICIOS. <Artículo modificado por el artículo 3 de la Resolución 8171 de 2026. El nuevo texto es el siguiente:> Oferta conjunta de dos o más servicios de telecomunicaciones por parte de uno o varios operadores, con el ofrecimiento de beneficios por la contratación o vinculación de los servicios incluidos en el paquete. En este caso, se entiende por beneficio cualquier reducción en el valor total a pagar o el mejoramiento de la capacidad en los servicios de telecomunicaciones contratados. El paquete de servicios puede ofrecerse bajo un único precio o bajo precios separados por servicios.
ARTÍCULO 2.1.7.2. CONDICIONES DEL PAQUETE DE SERVICIOS. <Artículo modificado a partir del 1 de julio de 2026 por el artículo 4 de la Resolución 8171 de 2026. El texto vigente hasta esta fecha es el siguiente:> <Artículo modificado por el artículo 16 de la Resolución 7811 de 2025. El nuevo texto es el siguiente:> Cuando el usuario decida contratar la prestación de distintos servicios de comunicaciones a través de un paquete, aplicarán las siguientes reglas:
2.1.7.2.1. El usuario recibirá una sola factura por todos los servicios que conforman el paquete contratado. Esta condición no es obligatoria para los paquetes que incluyan de manera conjunta servicios de comunicaciones móviles (Internet móvil o datos móviles) y fijos (internet fijo o televisión por suscripción o telefonía fija).
2.1.7.2.2. El operador deberá proporcionar, tanto en el momento del ofrecimiento como también cuando el usuario lo solicite, la siguiente información:
a) Características de cada uno de los servicios que conforman el paquete;
b) Precios de cada servicio, si quisiera contratarlos individualmente;
c) El precio total del paquete.
2.1.7.2.3. El operador le deberá informar al usuario en el momento del ofrecimiento las posibles combinaciones de los servicios que quiere contratar y los precios respectivos.
2.1.7.2.4. Cuando los servicios del paquete sean prestados por 2 o más operadores, el usuario firmará el o los contratos con uno solo de los operadores, ante quien podrá presentar cualquier PQR (petición, queja/ reclamo o recurso) relacionada con la totalidad de los servicios del paquete o con cualquiera de ellos.
2.1.7.2.5. En cualquier momento el usuario puede cancelar la prestación de uno o algunos de los servicios que conforman el paquete contratado, a través de cualquiera de los medios de atención al usuario (salvo que esta interacción haya migrado a la digitalización y se le haya informado previamente al usuario). En todo caso el usuario podrá realizar esta cancelación a través de la línea de atención telefónica.
2.1.7.2.6. Los operadores deberán disponer de un comparador en su página web que permita al usuario consultar y comparar planes y tarifas de los paquetes de servicios ofrecidos. El comparador deberá cumplir como mínimo las siguientes funciones:
a) Seleccionar el municipio (para servicios fijos);
b) Identificar el estrato socioeconómico (para servicios fijos);
c) Seleccionar los servicios requeridos por el usuario;
d) Seleccionar las características de cada uno de los servicios requeridos por el usuario;
e) Seleccionar el paquete de servicios que se adecúe a sus necesidades de acuerdo con los servicios que requiere;
f) Mostrar el precio total del paquete de servicios seleccionado;
g) Mostrar el precio de cada servicio escogido, si este fuera prestado de manera individual;
h) Permitir la comparación entre 2 o hasta 5 planes a elección del usuario.
2.1.7.2.7. El operador deberá ofrecer y prestar cada uno de los servicios que conforman el paquete, con características idénticas, de forma individual y desagregada, informando los precios de cada uno.
PARÁGRAFO. Sin perjuicio de lo dispuesto en el numeral 2.1.7.2.5. en relación con la línea de atención telefónica, el usuario de paquetes de servicios de comunicaciones móviles podrá cancelar la prestación de uno o algunos de los servicios que conforman el paquete contratado, a través de todos los canales digitales en los que su operador tenga disponible el trámite de modificación de planes, y en todo caso, mediante la aplicación móvil de su operador.
Los operadores móviles virtuales que suministren sus servicios exclusivamente bajo la modalidad prepago están excluidos de la obligación de poner a disposición de sus usuarios canales digitales para llevar a cabo el trámite de terminación del contrato. Los usuarios de estos operadores que se encuentren bajo la modalidad pospago deberán contar al menos con un canal digital para la cancelación de la prestación de uno o algunos de los servicios que conforman el paquete contratado.
SUSPENSIÓN, CESIÓN Y TERMINACIÓN DEL CONTRATO.
ARTÍCULO 2.1.8.1. SUSPENSIÓN POR HURTO DEL EQUIPO TERMINAL MÓVIL. <Artículo modificado El nuevo texto es el siguiente:> Ante robo o pérdida del equipo terminal móvil, el usuario deberá comunicarse con el operador para que este último haga el registro pertinente. Será potestad del usuario solicitar o no la suspensión del servicio.
ARTÍCULO 2.1.8.2. SOLICITUD DE SUSPENSIÓN. <Artículo modificado por el artículo 1 de la Resolución 5111 de 2017. El nuevo texto es el siguiente:> El usuario puede solicitar la suspensión del servicio hasta por 2 meses (ciclos de facturación), continuos o discontinuos, durante el transcurso de cada año calendario, a su elección. Para esto debe presentar la solicitud antes del inicio del ciclo de facturación que desea suspender.
Si existe una cláusula de permanencia mínima, el periodo de esta se prorrogará por el tiempo que duró la suspensión.
En el evento en que en la solicitud no se indique el término por el cual se solicita la suspensión temporal del servicio, se entenderá que el mismo corresponde a 2 meses (ciclos de facturación) consecutivos.
ARTÍCULO 2.1.8.3. TERMINACIÓN DEL CONTRATO. <Artículo modificado por el artículo 5 de la Resolución 8171 de 2026. Aplicable a partir del 1 de octubre de 2026 para los operadores que presten servicios móviles. Aplicable a partir del 1 de diciembre de 2026 para los operadores que presten únicamente servicios fijos. El texto vigente hasta esta fecha es el siguiente:> <Artículo modificado por el artículo 17 de la Resolución 7811 de 2025. El nuevo texto es el siguiente:> El usuario que celebró el contrato puede terminarlo en cualquier momento a través de cualquiera de los medios de atención al usuario (salvo que esta interacción haya migrado a la digitalización y se le haya informado previamente al usuario). En todo caso el usuario podrá terminar el contrato a través de la línea de atención telefónica.
Para esto debe presentar la solicitud al menos 3 días hábiles antes del corte de facturación, sin que el operador pueda oponerse, solicitarle que justifique su decisión, ni exigirle documentos o requisitos adicionales. Si se presenta la solicitud con una antelación menor, la terminación del servicio se dará en el siguiente periodo de facturación. El operador deberá recoger los elementos de su propiedad que estén en poder del usuario sin que por esto se genere algún tipo de cobro. La solicitud de terminación del contrato o de cancelación de servicios, debe ser almacenada por el operador, para que el usuario la consulte cuando así lo requiera.
El operador solo podrá terminar el contrato unilateralmente en caso de incumplimiento por parte del usuario y al vencimiento del plazo contractual. Si la terminación unilateral se debe al incumplimiento del usuario, el operador deberá informarle al usuario con al menos 5 días hábiles de antelación. Si la terminación se debe al vencimiento del plazo contractual, el operador deberá notificar al usuario con al menos 1 mes de antelación.
PARÁGRAFO 1o. Sin perjuicio de lo dispuesto en el presente artículo con relación a la línea de atención telefónica, el usuario de servicios de comunicaciones móviles en modalidad pospago podrá terminar el contrato a través de todos los canales digitales en los que el operador tenga disponible el trámite de modificación de planes, y en todo caso, mediante la aplicación móvil de su operador.
Los operadores móviles virtuales que suministren sus servicios exclusivamente bajo la modalidad prepago están excluidos de la obligación de poner a disposición de sus usuarios canales digitales para llevar a cabo el trámite de terminación del contrato. Los usuarios de estos operadores que se encuentren bajo la modalidad pospago deberán contar al menos con un canal digital para la realización del trámite de terminación del contrato.
PARÁGRAFO 2o. Cuando el usuario no atienda la visita programada para la recolección de los equipos o elementos para la prestación del servicio, deberá entregarlos en el centro de atención que le indique el operador.
ARTÍCULO 2.1.8.4. CANCELACIÓN DE SERVICIOS. <Artículo modificado por el artículo 6 de la Resolución 8171 de 2026. Aplicable a partir del 1 de octubre de 2026 para los operadores que presten servicios móviles. Aplicable a partir del 1 de diciembre de 2026 para los operadores que presten únicamente servicios fijos. El texto vigente hasta esta fecha es el siguiente:> <Artículo modificado por el artículo 18 de la Resolución 7811 de 2025. El nuevo texto es el siguiente:> El usuario que celebró el contrato podrá cancelar cualquiera de los servicios contratados a través de los distintos medios de atención al usuario (salvo que esta interacción haya migrado a la digitalización y se le haya informado previamente al usuario). En todo caso el usuario podrá realizar esta cancelación a través de la línea de atención telefónica.
El usuario debe presentar la solicitud de cancelación al menos 3 días hábiles antes del corte de facturación. Si la solicitud se presenta con una antelación menor, la cancelación del servicio se dará en el siguiente periodo de facturación. En el momento de la solicitud, el operador deberá informar al usuario las condiciones en las que serán prestados los servicios que no sean objeto de cancelación.
PARÁGRAFO. Sin perjuicio de lo dispuesto en el presente artículo con relación a la línea de atención telefónica, el usuario de servicios de comunicaciones móviles en modalidad pospago podrá cancelar los servicios contratados, a través de todos los canales digitales en los que el operador tenga disponible el trámite de modificación de planes, y en todo caso, mediante la aplicación móvil de su operador.
Los operadores móviles virtuales que suministren sus servicios exclusivamente bajo la modalidad prepago están excluidos de la obligación de poner a disposición de sus usuarios canales digitales para llevar a cabo el trámite de cancelación de los servicios contratados. Los usuarios de estos operadores que se encuentren bajo la modalidad pospago deberán contar al menos con un canal digital para la realización del trámite de cancelación de los servicios contratados.
ARTÍCULO 2.1.8.5. CESIÓN DEL CONTRATO. <Artículo modificado por el artículo 19 de la Resolución 7811 de 2025. El nuevo texto es el siguiente:> Cuando el usuario desee ceder el contrato que celebró con su operador a un tercero, debe atender las siguientes reglas:
2.1.8.5.1. Debe informar a su operador por escrito, su intención de ceder el contrato a un tercero acompañado de la aceptación de dicho tercero.
2.1.8.5.2. El operador dará respuesta a la solicitud del usuario, por medio físico, electrónico o cualquier canal idóneo que garantice constancia verificable y oportunidad en la notificación, dentro de los 15 días hábiles siguientes, la cual sólo podrá ser rechazada por las siguientes razones:
a) Cuando no cumpla con los requisitos del numeral 2.1.8.5.1 del presente artículo, caso en el cual el operador le debe indicar claramente los aspectos que debe corregir.
b) Cuando el tercero al cual se va a ceder el contrato no cumpla con las condiciones mínimas requeridas para asegurar el cumplimiento de las obligaciones del contrato.
c) Cuando por razones técnicas no sea posible la prestación del servicio.
2.1.8.5.3. Si el operador acepta la cesión del contrato, el usuario cedente queda liberado de cualquier responsabilidad a partir de dicho momento.
PARÁGRAFO. Para el caso de los servicios fijos, el propietario del inmueble en el que es prestado el servicio podrá solicitar al operador el cambio de titularidad del contrato suscrito por otro usuario, si demuestra que dicho usuario ya no reside en el inmueble.
EQUIPOS TERMINALES.
ARTÍCULO 2.1.9.1. ELECCIÓN DE EQUIPOS TERMINALES. <Artículo modificado por el artículo 1 de la Resolución 5111 de 2017. El nuevo texto es el siguiente:> El usuario puede elegir libremente los equipos terminales móviles necesarios para que el operador le preste los servicios de comunicaciones que ha contratado, siempre y cuando estos equipos hayan surtido el proceso de homologación ante la CRC. El operador no puede exigirle la adquisición o uso de los equipos comercializados por él o por un tercero específico.
El usuario no puede hacer uso de equipos terminales que hayan sufrido manipulación, alteración, modificación y/o remarcación de su número de identificación -IMEI-, pues en caso contrario el operador procederá al bloqueo del respectivo IMEI.
ARTÍCULO 2.1.9.2. INFORMACIÓN FRENTE A EQUIPOS TERMINALES. <Artículo modificado por el artículo 1 de la Resolución 5111 de 2017. El nuevo texto es el siguiente:> Cuando un equipo vendido por el operador deba ser reparado, durante el tiempo que dure dicha reparación el operador deberá informarle al usuario sobre la posibilidad de suspensión del servicio por mutuo acuerdo, para que no se le genere cobro alguno.
Los operadores deberán realizar campañas informativas para la devolución de equipos terminales en desuso, indicando los respectivos lugares, fechas y horarios de entrega.
ARTÍCULO 2.1.9.3. BANDAS DE FRECUENCIA DE EQUIPOS TERMINALES MÓVILES. <Artículo modificado por el artículo 1 de la Resolución 5111 de 2017. El nuevo texto es el siguiente:> Los operadores que comercialicen equipos terminales móviles, deben garantizar que estos no tengan ningún tipo de bloqueo para funcionar en redes de otros operadores. En caso de que se presente algún tipo de bloqueo el usuario podrá solicitar el desbloqueo de forma inmediata y gratuita al operador que se lo vendió.
El operador que comercializa el equipo terminal móvil debe informar al usuario, al momento de su venta, los operadores que pueden activarlo de acuerdo con las bandas de frecuencia en las que funciona dicho equipo.
ARTÍCULO 2.1.9.4. VENTA DE EQUIPOS TERMINALES MÓVILES. <Artículo modificado por el artículo 1 de la Resolución 5406 de 2018. El nuevo texto es el siguiente:> En caso que el usuario decida adquirir su equipo con el operador, este podrá otorgar descuentos, financiar o diferir su pago, para lo cual celebrará un contrato independiente al de prestación del servicio. El operador no puede condicionar la celebración del contrato de prestación de servicios a la venta de equipos terminales móviles.
El operador podrá realizar la oferta conjunta del servicio y el equipo terminal móvil cuando se trate de equipos que cuenten con tecnología 4G o alguna superior. Las ofertas, promociones o descuentos otorgados por el operador respecto de estos equipos, en ningún caso pueden implicar permanencias mínimas, así como tampoco cualquier tipo de afectación al ejercicio de la libre elección por parte del usuario para modificar su plan, terminar el contrato de prestación de servicios de comunicaciones o portar el número de su línea telefónica en cualquier momento. En todo caso el operador también deberá ofrecer el servicio y el equipo de manera independiente
ARTÍCULO 2.1.9.5. FACTURACIÓN DE EQUIPOS TERMINALES MÓVILES VENDIDOS A CUOTAS. <Artículo modificado por el artículo 1 de la Resolución 5111 de 2017. El nuevo texto es el siguiente:> Cuando el usuario adquiere un equipo terminal móvil financiado o diferido su pago a cuotas por parte de su operador, los valores de dicha financiación deben ser facturados de manera separada a los correspondientes a la prestación de los servicios de comunicaciones.
En ningún momento el operador puede condicionar la prestación y continuidad de dichos servicios al cumplimiento de las obligaciones correspondientes al contrato de financiación o venta a cuotas del equipo.
ARTÍCULO 2.1.9.6. PROHIBICIÓN DE ACTIVACIÓN EQUIPOS TERMINALES MÓVILES. <Artículo modificado por el artículo 1 de la Resolución 5111 de 2017. El nuevo texto es el siguiente:> El operador no puede activar un equipo terminal móvil que haya sido reportado como hurtado y/o extraviado o haya sido desactivado por fraude, de conformidad con las reglas dispuestas en el capítulo 7 del Título II de la Resolución CRC 5050 de 2016, y aquellas normas que las modifiquen, adicionen o sustituyan.
CONDICIONES DE LA PRESTACIÓN DEL SERVICIO.
ARTÍCULO 2.1.10.1. INICIO PRESTACIÓN DEL SERVICIO. <Artículo modificado por el artículo 1 de la Resolución 5111 de 2017. El nuevo texto es el siguiente:> El operador debe iniciar la prestación del servicio como máximo dentro de los 15 días hábiles siguientes a que el usuario contrate el mismo, salvo eventos de fuerza mayor, caso fortuito, o aquéllos que impidan la instalación por causa del usuario. Este término podrá ser modificado por acuerdo entre el usuario y el operador, en cuyo caso dicho acuerdo deberá constar en documento separado del contrato.
Si el operador no inicia la prestación en este tiempo, el usuario puede pedir la restitución de la suma de dinero que haya pagado y la terminación del contrato que celebró.
ARTÍCULO 2.1.10.2. TARIFAS. <Artículo modificado por el artículo 1 de la Resolución 5111 de 2017. El nuevo texto es el siguiente:> En el contrato debe indicarse claramente las tarifas y la forma en que estas se modificarán, indicando por lo menos los incrementos tarifarios máximos anuales y los períodos de facturación. Estas modificaciones únicamente aplican una vez se den a conocer al usuario, para esto deberá ser informado del incremento por la misma vía en que recibe su factura, al menos 5 días hábiles antes de la finalización del periodo de facturación, inmediatamente anterior al periodo en que será aplicada la modificación.
En caso de que la nueva tarifa no se ajuste a sus necesidades o posibilidades, el usuario podrá terminar el contrato, pagando las sumas que adeude.
Cualquier incremento en la tarifa por fuera de lo establecido en el contrato, sin la autorización del usuario, le dará la posibilidad de terminar el contrato sin tener que pagar sumas asociadas a la cláusula de permanencia mínima.
ARTÍCULO 2.1.10.3. SOLICITUD DE OTROS SERVICIOS. <Artículo modificado por el artículo 20 de la Resolución 7811 de 2025. El nuevo texto es el siguiente:> Cuando el usuario solicite la prestación de un servicio distinto al inicialmente contratado, o modifique las condiciones inicialmente pactadas, el operador deberá entregar al usuario, dentro del siguiente período de facturación, una copia del contrato actualizado con los ajustes correspondientes. Esta entrega se realizará por medios electrónicos o digitales, a menos de que el usuario solicite el uso del medio físico.
ARTÍCULO 2.1.10.4. SOLICITUD DE SERVICIOS A TRAVÉS DE SMS. <Artículo modificado por el artículo 1 de la Resolución 5111 de 2017. El nuevo texto es el siguiente:> Cuando el operador le permita al usuario solicitar servicios a través de SMS, la cancelación de los mismos puede realizarse a través de un SMS gratuito.
El operador debe garantizar que el usuario esté debidamente informado de la tarifa del SMS de solicitud del servicio y la tarifa del servicio; las condiciones del mismo; y el responsable de su prestación.
ARTÍCULO 2.1.10.5. MODIFICACIÓN DE PLANES. <Artículo modificado a partir del 1 de octubre de 2026 por el artículo 7 de la Resolución 8171 de 2026. El texto vigente hasta esta fecha es el siguiente:> <Artículo modificado por el artículo 21 de la Resolución 7811 de 2025. El nuevo texto es el siguiente:> El usuario tiene derecho a modificar en cualquier momento el plan a través del cual le son prestados los servicios contratados. El nuevo plan le será prestado en el periodo de facturación siguiente al cual presente la solicitud de modificación, siempre que esta se realice con al menos tres (3) días hábiles antes del corte de facturación. Si la solicitud se presenta con una antelación menor, la modificación se hará efectiva en el siguiente periodo de facturación.
El trámite de modificación del plan debe ser realizado sin generar costos al usuario.
Cuando el usuario modifique los planes a través de los cuales le son prestados los servicios, el operador deberá entregar al usuario, dentro del siguiente periodo de facturación, una copia del contrato actualizado con los ajustes correspondientes. Esta entrega se realizará por medios electrónicos o digitales, a menos que el usuario lo solicite en medio físico.
PARÁGRAFO. El usuario de servicios de comunicaciones móviles en modalidad pospago podrá modificar el plan contratado por uno de menor valor a través de todos los canales digitales en los que el operador tenga habilitado el trámite de aumento de beneficios o capacidades incluidos en el plan o que implique un incremento en la tarifa y en todo caso, podrá hacer ambos tipos de modificaciones del plan mediante la aplicación móvil de su operador.
Los operadores móviles virtuales que suministren sus servicios exclusivamente bajo la modalidad prepago están excluidos de la obligación de poner a disposición de sus usuarios canales digitales para llevar a cabo el trámite de modificación del plan. Los usuarios de estos operadores que se encuentren bajo la modalidad pospago deberán contar al menos con un canal digital para la realización del trámite de modificación del plan conforme a los términos antes dispuestos.
ARTÍCULO 2.1.10.6. INTERRUPCIONES PROGRAMADAS DE LOS SERVICIOS. <Artículo modificado por el artículo 2 de la Resolución 5930 de 2020. El nuevo texto es el siguiente:> Cuando el servicio deba ser interrumpido al usuario por más de 30 minutos por razones de mantenimiento, pruebas y otras circunstancias tendientes a mejorar la calidad del servicio, el operador debe informar dicha situación por lo menos con tres (3) días calendario de anticipación al usuario y a la Dirección de Vigilancia y Control del Ministerio de Tecnologías de la Información y las Comunicaciones. En este caso no aplica la compensación automática.
ARTÍCULO 2.1.10.7. PREVENCIÓN DE FRAUDES. <Artículo modificado por el artículo 1 de la Resolución 5111 de 2017. El nuevo texto es el siguiente:> Los operadores tienen la obligación de hacer uso de herramientas tecnológicas adecuadas para prevenir que se cometan fraudes al interior de sus redes y debe hacer controles periódicos respecto a la efectividad de estos mecanismos.
Cuando el usuario presente una PQR (petición, queja/reclamo o recurso) que pueda tener relación con un presunto fraude, el operador debe investigar sus causas; y en caso de que determine la no existencia de un fraude, le debe demostrar al usuario las razones por las cuales no procede su PQR (petición, queja/ reclamo o recurso). Sin embargo, si se demuestra que el usuario actuó diligentemente en el uso del servicio contratado, no habrá lugar al cobro de los consumos objeto de reclamación.
ARTÍCULO 2.1.10.8. INFORMACIÓN DEL SERVICIO DE ACCESO A INTERNET. <Artículo modificado por el artículo 12 de la Resolución 6242 de 2021. El nuevo texto es el siguiente:> El usuario podrá consultar a través de la línea de atención telefónica y de la página web del operador, al menos la siguiente información:
a. La velocidad contratada tanto de subida como de bajada y la capacidad máxima de consumo del plan (cuando aplique).
b. Características y condiciones para acceder a los servicios de controles parentales.
c. Lugar de la página web del operador donde se encuentran las mediciones de los indicadores de calidad del servicio, de acuerdo con el Capítulo 1 del Título V de la Resolución CRC 5050 de 2016, o la norma que la modifique o sustituya.
d. Lugar de la página web del operador donde se especifican las prácticas de gestión de tráfico de acuerdo con el capítulo 9 del Título II de la Resolución CRC 5050 de 2016, o aquella norma que la modifique o sustituya.
ARTÍCULO 2.1.10.9. VELOCIDAD DE ACCESO A INTERNET. <Artículo modificado por el artículo 1 de la Resolución 5111 de 2017. El nuevo texto es el siguiente:> El usuario podrá consultar la velocidad del servicio de acceso a Internet contratado, tanto para envío como para descarga de información, haciendo uso de la aplicación de su elección. Para el caso de servicio de acceso a internet fijo, el usuario podrá consultar esta información a través de una aplicación gratuita que el operador debe tener disponible en su página web.
ARTÍCULO 2.1.10.10. ACCESO A CONTENIDOS. <Artículo modificado por el artículo 1 de la Resolución 5111 de 2017. El nuevo texto es el siguiente:> El usuario tiene derecho a utilizar, enviar, recibir u ofrecer cualquier contenido, aplicación o servicio legal a través de Internet, por lo cual su operador no puede limitar el acceso a estos salvo por disposición legal o reglamentaria.
El operador informará al usuario la manera en que puede bloquear el acceso a sitios web específicos a través de los controles parentales.
ARTÍCULO 2.1.10.11. PARRILLA DE CANALES. <Artículo modificado por el artículo 22 de la Resolución 7811 de 2025. El nuevo texto es el siguiente:> El usuario podrá consultar a través de la página web del operador la parrilla de canales disponibles, con la siguiente descripción:
a) Nombre del canal.
b) Si es de alta definición o no.
c) Género o categoría a la cual pertenece el canal.
ARTÍCULO 2.1.10.12. IMPOSIBILIDAD TÉCNICA DE PRESTAR EL SERVICIO. <Artículo modificado por el artículo 1 de la Resolución 5111 de 2017. El nuevo texto es el siguiente:> Cuando el usuario cambie su domicilio y por razones técnicas el operador no pueda seguir prestándole el servicio contratado, se dará la terminación del contrato, salvo que el usuario decida ceder su contrato a una tercera persona, caso en el cual debe atender las reglas dispuestas en el artículo 2.1.8.5 del capítulo 1 del Título II de la presente resolución.
Cuando en virtud de este artículo proceda la terminación y el usuario tenga una cláusula de permanencia mínima vigente, deberá pagar las sumas que debe asociadas a dicha cláusula, proporcional al tiempo que falta para que termine la misma.
ARTÍCULO 2.1.10.13. MIGRACIÓN TECNOLÓGICA DE REDES FIJAS. <Artículo adicionado por el artículo 14 de la Resolución 6242 de 2021. El nuevo texto es el siguiente:> Cuando el operador decida cambiar o actualizar la tecnología que soporta la prestación de los servicios de comunicaciones fijos (telefonía, internet o televisión) por una más avanzada, más eficiente o de mejor calidad, y esta no implique un incremento en la tarifa que le cobra a sus usuarios, deberá informarles a estos con mínimo 1 mes de antelación y sustituir sus equipos por otros compatibles con la nueva tecnología, sin costo alguno.
Si el usuario no permite el agendamiento, programación o realización de la visita técnica para la sustitución de los equipos antes de la fecha límite informada por el operador, este podrá terminar el contrato.
PARÁGRAFO: Si la migración tecnológica conlleva a un incremento en la tarifa dispuesta en el contrato, o a un cobro al usuario por la sustitución de los respectivos equipos, el operador deberá informar al usuario con mínimo 3 meses de antelación, y si el usuario no acepta este cambio, el contrato se dará por terminado al cumplirse dicho plazo.
COMPENSACIÓN AUTOMÁTICA POR FALTA DE DISPONIBILIDAD DE LOS SERVICIOS.
ARTÍCULO 2.1.11.1. COMPENSACIÓN AUTOMÁTICA POR FALTA DE DISPONIBILIDAD DE LOS SERVICIOS DE TELEFONÍA E INTERNET. <Artículo modificado por el artículo 4 de la Resolución 5929 de 2020. El nuevo texto es el siguiente:> El usuario de los servicios de internet y/o de telefonía, tiene derecho a recibir una compensación automática por falta de disponibilidad en la prestación de los servicios, de acuerdo con las condiciones descritas en el Anexo 2.1 del Título de Anexos de la Resolución CRC 5050 de 2016, bajo las siguientes reglas:
2.1.11.1.1. Ante la falta de continuidad del servicio, el usuario recibirá una compensación automática por el tiempo en que el mismo no estuvo disponible.
2.1.11.1.2. La compensación automática por parte del operador no limita el derecho del usuario de presentar en cualquier momento una PQR (petición, queja/reclamo o recurso) a través de los distintos medios de atención por falta de disponibilidad de los servicios que ha contratado, incluyendo la inconformidad con el tiempo que le fue compensado.
ARTÍCULO 2.1.11.2. COMPENSACIÓN AUTOMÁTICA POR FALTA DE DISPONIBILIDAD EN LA PRESTACIÓN DEL SERVICIO DE TELEVISIÓN POR SUSCRIPCIÓN. <Artículo modificado por el artículo 4 de la Resolución 5929 de 2020. El nuevo texto es el siguiente:> Cuando el servicio de televisión por suscripción sea interrumpido, por cualquier causa no imputable al usuario, los cargos correspondientes al período de la suspensión deben ser descontados proporcionalmente al tiempo de duración del mismo, cuando dicha interrupción supere 16 horas continuas o discontinuas en un lapso de 24 horas.
Ocurrida la interrupción del servicio que supere el tiempo indicado, el operador deberá proceder directamente a reconocer y efectuar la compensación por el correspondiente período diario, sin que pueda exigir presentación de solicitud particular por parte del usuario o cualquier otro requisito adicional.
Cuando no se pueda determinar a través de reportes técnicos internos el inicio de la interrupción del servicio, este se contará a partir del recibo de la respectiva PQR (petición, queja o reclamo) por parte del usuario, a través de cualquier medio de atención.
PAGO.
ARTÍCULO 2.1.12.1. PAGO OPORTUNO. <Artículo modificado por el artículo 23 de la Resolución 7811 de 2025. El nuevo texto es el siguiente:> El usuario está en la obligación de pagar su factura como máximo hasta la fecha de pago oportuno. Si no recibe la factura, no se libera de su obligación de pago, pues puede solicitarla a través de cualquier medio de atención del operador (salvo que esta interacción haya migrado a la digitalización y se le haya informado previamente al usuario). En todo caso el usuario podrá solicitar la información correspondiente a su factura a través de la línea de atención telefónica.
En caso de que el usuario no pague en esta fecha, el servicio podrá ser suspendido, previo aviso del operador. El operador activará el servicio dentro de los 3 días hábiles siguientes al momento en que el usuario pague los saldos pendientes. El valor por reconexión del servicio corresponderá estrictamente a los costos asociados a la operación de reconexión. Cuando los servicios se presten empaquetados el operador realizará máximo un cobro de reconexión por cada medio de transmisión empleado en la prestación de los servicios contratados. El valor por reconexión solo podrá ser cobrado cuando efectivamente el servicio haya sido suspendido.
Cuando el servicio sea suspendido, se suspenderá la facturación del mismo. En caso de cláusulas de permanencia mínima vigentes, durante la suspensión del servicio el operador sólo podrá cobrar los valores asociados a la financiación o pago diferido que tuvo lugar con ocasión de dicha cláusula y los respectivos intereses de mora
ARTÍCULO 2.1.12.2. SUSPENSIÓN A PESAR DEL PAGO OPORTUNO. <Artículo modificado por el artículo 1 de la Resolución 5111 de 2017. El nuevo texto es el siguiente:> Cuando a pesar de haber pagado la factura oportunamente, el operador suspende el servicio, el usuario tiene derecho a ser compensado por el tiempo que dure la suspensión, de acuerdo con las condiciones del Anexo 2.1 del Título "Anexos Título II" de la presente resolución.
ARTÍCULO 2.1.12.3. NO PROCEDE EL COBRO. <Artículo modificado por el artículo 1 de la Resolución 5111 de 2017. El nuevo texto es el siguiente:> Cuando se presenten eventos de fuerza mayor o caso fortuito, que impidan que el servicio sea prestado, el operador no puede cobrar por el tiempo en que el servicio fue interrumpido, así como tampoco procederá compensación por indisponibilidad del servicio.
FACTURACIÓN.
ARTÍCULO 2.1.13.1. FACTURA DE SERVICIOS. <Artículo modificado a partir del 1 de julio de 2026 por el artículo 8 de la Resolución 8171 de 2026. El texto vigente hasta esta fecha es el siguiente:> <Artículo modificado por el artículo 24 de la Resolución 7811 de 2025. El nuevo texto es el siguiente:> El usuario encontrará en su factura la siguiente información, discriminada según aplique para cada servicio prestado:
a) Unidad de consumo y su precio;
b) Número de unidades consumidas en periodo de facturación (Si contrató servicios empaquetados, el consumo de manera separada de cada servicio);
c) Período de facturación, indicando claramente su fecha de corte;
d) Fecha de pago oportuno;
e) Valor pagado en factura anterior;
f) Servicios adicionales;
g) Sumas que debe y los intereses causados;
h) Medios de atención al usuario. Se informará la oficina física más cercana a la dirección suministrada por el usuario, además de los canales digitales;
i) Información de contacto (al menos: nombre, dirección, correo electrónico y teléfono) de la Entidad que ejerce funciones de vigilancia y control sobre la prestación de sus servicios, esto es la Superintendencia de Industria y Comercio, si se trata de servicios de comunicaciones;
j) Derecho a no pagar sumas que sean objeto de reclamación, si la PQR (petición, queja/ reclamo o recurso) es presentada antes de la fecha de pago oportuno hasta que la misma sea resuelta.
Cuando el usuario tenga un plan diferente a consumo ilimitado; adicional a lo anterior encontrará en su factura:
i. Unidades incluidas en el plan.
ii. Precio de cada unidad adicional al plan.
iii. Adicionalmente para el servicio de telefonía fija, cuando existan cobros de diferenciales por distancia y para el servicio de telefonía fija de larga distancia internacional (para cada llamada): fecha y hora, número marcado, duración, precio total y ciudad de destino.
Cuando el usuario consuma SMS en su factura encontrará el valor total del consumo, su precio unitario (si estos no hacen parte de un paquete) y el número de SMS cobrados en el periodo de facturación. Sólo podrán facturarse aquellos SMS de los cuales se tenga confirmación de recibo en la plataforma de la red de destino.
Cuando el usuario contrate la prestación de contenidos y aplicaciones, en su factura encontrará de manera separada el cobro de los mismos y la relación de la siguiente información: clase de servicio prestado, fecha y hora, nombre del prestador del servicio, número o código corto utilizado y valor a pagar.
Cuando el usuario realice consumos bajo las modalidades Pague por Ver (PPV) o video por demanda -VOD-, encontrará en su factura la fecha y hora en que realizó cada uno de ellos.
Cuando el usuario adquiera servicios adicionales que tengan costo, su precio debe aparecer por separado en la factura.
En caso de que le sean aplicados, el usuario encontrará en su factura los montos correspondientes a los subsidios.
En todo caso, la información suministrada en la factura debe tener en cuenta la normativa sobre facturación electrónica expedida por la Dirección de Impuestos y Aduanas Nacionales.
ARTÍCULO 2.1.13.2. ENTREGA DE LA FACTURA. <Artículo modificado por el artículo 25 de la Resolución 7811 de 2025. El nuevo texto es el siguiente:> El usuario recibirá su factura como mínimo 5 días hábiles antes de la fecha de pago oportuno.
El usuario decidirá si quiere recibir la factura a través de medio físico, electrónico o digital. No obstante, mientras este no elija, la misma será enviada a través de un medio electrónico o digital, con observancia de la normativa sobre facturación electrónica expedida por la Dirección de Impuestos y Aduanas Nacionales, informándole previamente al usuario el canal específico a través del cual realizará dicho envío en el momento de la contratación del servicio. Esto no impide que en cualquier momento el usuario solicite información detallada de períodos de facturación específicos (correspondientes a los 6 periodos anteriores), sin ningún costo, por medio de la línea de atención telefónica o de los canales digitales implementados por el operador.
El periodo de facturación corresponde a 1 mes. La factura correspondiente a dicho periodo le será entregada al usuario en el mismo periodo de facturación o en el periodo siguiente.
Cuando los consumos correspondan a la prestación de servicios en los cuales participen terceros operadores (ej.: larga distancia, llamadas móviles desde fijo, roaming internacional, contenidos y aplicaciones), el operador debe facturar este consumo máximo dentro de los 3 periodos de facturación siguientes.
Si el operador no ha podido generar y enviarle la factura al usuario, no podrá suspender el servicio ni cobrar intereses de mora. En este caso, el operador deberá comunicarle al usuario el nuevo plazo para hacer el pago, el cual no puede ser inferior a 10 días hábiles contados a partir de la fecha en que le sea enviada la nueva comunicación.
ARTÍCULO 2.1.13.3. TASACIÓN DE LLAMADAS. <Artículo modificado por el artículo 1 de la Resolución 5111 de 2017. El nuevo texto es el siguiente:> Cuando el usuario realiza una llamada, esta solo le será cobrada cuando recibe una señal de contestación. Cuando el operador preste servicios de correos de voz, a través de un mensaje se le indicará el momento a partir del cual se inicia el cobro, para que el usuario decida si hace o no uso de este servicio.
RECARGAS.
ARTÍCULO 2.1.14.1. RECARGAS. <Artículo modificado por el artículo 26 de la Resolución 7811 de 2025. El nuevo texto es el siguiente:> La recarga es el medio de pago a través del cual un usuario adquiere un saldo para acceder a los distintos servicios de comunicaciones ofrecidos por su operador a través de paquetes, planes, promociones u ofertas.
El usuario podrá conocer las condiciones de vigencia de las recargas a través de cualquier medio de atención del operador (salvo que esta interacción haya migrado a la digitalización y se le haya informado previamente al usuario). En todo caso el usuario podrá realizar esta consulta a través de la línea de atención telefónica.
Para el caso de telefonía e internet, cuando el usuario realice una recarga, el operador le deberá informar a través de un mensaje de texto -SMS- o un mensaje de voz gratuito el saldo en dinero y su vigencia. Adicional a lo anterior, para servicios móviles, en este mensaje el operador le debe informar:
a) Precio de las llamadas.
b) Precio de envío de SMS.
c) Capacidad de consumo de datos (megabytes, tiempo o paquetes) y tarifa aplicable.
d) Dirección de la página web en la que puede consultar el precio de las llamadas internacionales y de servicios especiales.
Para el caso de televisión, cuando el usuario realice una recarga, el operador a través de un mensaje de texto, un mensaje USSD, mensaje de voz, o un mensaje OSD, le deberá informar el saldo en dinero y su vigencia.
ARTÍCULO 2.1.14.2. INFORMACIÓN DURANTE LA VIGENCIA DE LA RECARGA. <Artículo modificado por el artículo 18 de la Resolución 6242 de 2021. El nuevo texto es el siguiente:> El usuario podrá consultar en cualquier momento a través de cualquier medio de atención del operador (salvo que esta interacción haya migrado a la digitalización y se le haya informado previamente al usuario) su saldo, la vigencia de la recarga y las tarifas que aplican para los distintos servicios. En todo caso el usuario podrá consultar esta información a través de la línea de atención telefónica.
El operador le informará a través de un mensaje de texto, mensaje USSD, mensaje de voz, o un mensaje OSD, según corresponda, el vencimiento de la recarga 24 horas antes que esta ocurra.
ARTÍCULO 2.1.14.3. VIGENCIA DE LAS RECARGAS. <Artículo modificado por el artículo 3 de la Resolución 5282 de 2017. El nuevo texto es el siguiente:> Los saldos monetarios de las recargas tienen una vigencia mínima de 60 días calendario.
ARTÍCULO 2.1.14.4. TRANSFERENCIA DE SALDOS. <Artículo modificado por el artículo 1 de la Resolución 5111 de 2017. El nuevo texto es el siguiente:> Si a la fecha de vencimiento de la recarga, el usuario tiene un saldo sin consumir, podrá hacer uso de este si realiza una nueva recarga dentro de los 30 días calendario siguientes, sin que la transferencia tenga costo alguno.
Si el usuario cambia de modalidad prepago a pospago, los saldos en dinero no consumidos serán transferidos a su nuevo plan.
CONSUMO.
ARTÍCULO 2.1.15.1. CONTROL DE CONSUMO. <Artículo modificado por el artículo 1 de la Resolución 5111 de 2017. El nuevo texto es el siguiente:> El usuario puede consultar de manera gratuita los consumos que ha realizado a través de la página web del operador y de su línea de atención como mínimo 2 veces al día. En caso que las consultas adicionales tengan un costo, el operador le deberá informar el costo de dicha consulta previamente para que acepte si decide hacerla.
En cada una de las consultas el operador informará, para cada servicio prestado, el número de unidades consumidas desde la última recarga o desde el último corte de facturación hasta 12 horas previas a la consulta.
PARÁGRAFO. Cuando el usuario tenga un servicio de consumo ilimitado (sin restricción alguna frente a tiempo al aire, capacidad o canales de televisión), el operador no tendrá la obligación de activarle para dicho servicio los medios de control de consumo descritos en este artículo.
ARTÍCULO 2.1.15.2. HISTÓGRAMA DE CONSUMO. <Artículo modificado por el artículo 1 de la Resolución 5111 de 2017. El nuevo texto es el siguiente:> Para los servicios de telefonía móvil, internet móvil y telefonía fija, la factura incluirá un gráfico, que le permitirá comparar el consumo real efectuado mes a mes de los últimos 6 meses. Este deberá señalar claramente el tiempo al aire o la capacidad contratada (según corresponda), permitiendo comparar con lo efectivamente consumido.
NÚMERO DE LA LÍNEA TELEFÓNICA.
ARTÍCULO 2.1.16.1. DERECHO A CONSERVAR EL NÚMERO. <Artículo modificado por el artículo 1 de la Resolución 5111 de 2017. El nuevo texto es el siguiente:> El número que le fue asignado por el operador sólo puede ser modificado si el usuario previamente lo ha solicitado o por razones técnicas que afecten la prestación del servicio.
ARTÍCULO 2.1.16.2. PÉRDIDA DEL NÚMERO EN PREPAGO. <Artículo modificado por el artículo 27 de la Resolución 7811 de 2025. El nuevo texto es el siguiente:> Si durante un periodo de 2 meses, el usuario no realiza ni recibe llamadas, o no cursa tráfico de datos, o no envía SMS, así como tampoco hace recargas, ni tiene saldos vigentes; el operador podrá disponer del número de su línea telefónica, para lo cual este debe darle aviso al usuario con 15 días hábiles de antelación.
PORTACIÓN DEL NÚMERO DE LA LÍNEA DE TELEFONÍA MÓVIL.
ARTÍCULO 2.1.17.1. SOLICITUD DE PORTACIÓN. <Artículo modificado por el artículo 1 de la Resolución 5111 de 2017. El nuevo texto es el siguiente:> Cuando el usuario desee cambiar de operador manteniendo su número de celular, podrá solicitar ante el nuevo operador (operador receptor) la portación de dicho número.
ARTÍCULO 2.1.17.2. INFORMACIÓN DE PORTACIÓN. <Artículo modificado por el artículo 19 de la Resolución 6242 de 2021. El nuevo texto es el siguiente:> El usuario podrá solicitar al operador receptor información frente al estado de su trámite de portación, a través de cualquiera de los medios de atención (salvo que esta interacción haya migrado a la digitalización y se le haya informado previamente al usuario). En todo caso el usuario podrá consultar esta información a través de la línea de atención telefónica.
ARTÍCULO 2.1.17.3. TRÁMITE DE PORTACIÓN. <Artículo modificado por el artículo 5 de la Resolución 7285 de 2024. El nuevo texto es el siguiente:> El usuario podrá elegir el día calendario a partir del cual se hará efectiva la portación. Si el usuario presenta la solicitud de portación dentro de la franja horaria para la portabilidad numérica (8:00 a. m., a 4:00 p. m., de lunes a domingo incluyendo los días festivos) su número deberá ser activado en la ventana de cambio del día calendario siguiente.
Si la solicitud de portación no fue realizada en una oficina física de atención al cliente, el número deberá ser activado en la ventana de cambio del día calendario siguiente al recibo de la SIM card por parte del usuario, caso en el cual, el tiempo entre la presentación de la solicitud y la portación efectiva no podrá ser superior a 3 días hábiles. Si transcurrido este término el usuario no ha recibido la SIM card, procederá la compensación automática por falta de disponibilidad del servicio de acuerdo con lo establecido en el artículo 2.1.11.1 de la presente resolución.
ARTÍCULO 2.1.17.4. PAGO DE OBLIGACIONES PENDIENTES. <Artículo derogado por el artículo 22 de la Resolución 7285 de 2024>
MENSAJES Y LLAMADAS DE CONTENIDO PUBLICITARIO O COMERCIAL
ARTÍCULO 2.1.18.1. ACCESO AL REGISTRO DE NÚMEROS EXCLUIDOS. <Artículo modificado por el artículo 2 de la Resolución 7356 de 2024. El nuevo texto es el siguiente:> Toda persona que no desee ser contactada mediante mensajes publicitarios o comerciales enviados a través de SMS, aplicaciones o web o correo electrónico, ni mediante llamadas telefónicas de carácter comercial o publicitario, podrá inscribirse en el Registro de Números Excluidos (RNE), el cual es administrado por la CRC. Quienes se inscriban en el RNE podrán solicitar, en cualquier momento y de forma gratuita, que su inscripción sea eliminada del registro. La inscripción o eliminación al registro se hará efectiva a partir del día hábil siguiente.
La inscripción en el RNE no se referirá a los contactos que tengan como finalidad informar al consumidor sobre la confirmación oportuna de las operaciones monetarias realizadas, sobre ahorros voluntarios y cesantías, enviar información solicitada por el consumidor o generar alertas sobre transacciones fraudulentas, inusuales o sospechosas.
Los productores y proveedores de bienes y servicios podrán acceder al RNE para efectos de conocer si los consumidores o usuarios a quienes pretenden contactar para fines comerciales o publicitarios se encuentran inscritos en él o no.
ARTÍCULO 2.1.18.2. HORARIO PARA EL ENVÍO DE PUBLICIDAD. <Artículo modificado por el artículo 2 de la Resolución 7356 de 2024. El nuevo texto es el siguiente:> El envío por parte de los PRST de mensajes publicitarios o comerciales a través de SMS, aplicaciones o web o correo electrónico y las llamadas telefónicas de carácter comercial o publicitario solo podrán hacerse en el horario establecido en el artículo 3o de la Ley 2300 de 2023 o aquella que la adicione, sustituya o modifique.
ARTÍCULO 2.1.18.3. INFORMACIÓN DE SMS. <Artículo modificado por el artículo 2 de la Resolución 7356 de 2024. El nuevo texto es el siguiente:> Cuando el usuario contrate el servicio de SMS, las condiciones de este serán establecidas en el contrato e informadas a través de los distintos medios de atención al usuario (salvo que esta interacción haya migrado a la digitalización y se le haya informado previamente al usuario).
Cuando este servicio no haga parte del plan contratado, en el contrato y en los distintos medios de atención (salvo que esta interacción haya migrado a la digitalización y se le haya informado previamente al usuario), el operador le informará la tarifa que se le cobrará cuando haga uso de este servicio y la unidad de consumo.
En todo caso, el usuario podrá consultar la información de que trata este artículo a través de la línea de atención telefónica.
ARTÍCULO 2.1.18.4. ENVÍO DE SMS, Y MENSAJES A TRAVÉS DEL SERVICIO DE DATOS NO ESTRUCTURADOS (USSD) CON FINES COMERCIALES O PUBLICITARIOS. <Artículo modificado por el artículo 28 de la Resolución 7811 de 2025. El nuevo texto es el siguiente:> El envío de estos mensajes por parte de los operadores móviles, PCA e integradores tecnológicos estará sujeto a las siguientes reglas:
2.1.18.4.1. El envío de SMS o USSD de contenido pornográfico o para adultos, sólo podrá hacerse cuando el usuario sea mayor de edad y haya solicitado expresamente su envío, aun cuando los mismos no tengan costo para él. Su silencio ante el ofrecimiento de este tipo de mensajes no puede entenderse como aceptación.
2.1.18.4.2. El usuario puede solicitar en cualquier momento la exclusión, rectificación, confidencialidad o actualización de sus datos, en las bases de datos utilizadas por su operador móvil para el envío de SMS o USSD, con fines comerciales o publicitarios, caso en el cual este último procederá de conformidad con lo dispuesto en la Ley 1581 de 2012.
2.1.18.4.3. En relación con el envío de mensajes con fines comerciales o publicitarios a través de SMS, el RNE funcionará teniendo en cuenta las siguientes reglas:
a) Los operadores móviles, PCA o Integradores Tecnológicos deben revisar y actualizar permanentemente las bases de datos de sus usuarios, para evitar el envío de este tipo de mensajes a los usuarios inscritos en el RNE;
b) Cuando el usuario realice la inscripción, el operador, PCA o Integrador Tecnológico tiene 5 días hábiles para dejar de enviarle este tipo de mensajes;
c) El operador móvil debe tener disponible en su página web y a través de su línea gratuita toda la información relativa al RNE. Para el caso del PCA que está directamente conectado con el o los operadores móviles o del Integrador Tecnológico, esta obligación se suplirá a través de un aviso sobre el RNE en la página principal de su página web y a través de su línea gratuita, en caso de contar con una;
d) El operador móvil deberá integrar la información del RNE con la información actualizada de las solicitudes de exclusión, rectificación, confidencialidad o actualización que presenten los usuarios sobre sus datos en los términos del numeral 2.1.18.4.2.
2.1.18.4.4. La inscripción en el RNE no implica que el usuario no recibirá SMS o USSD relacionados con la prestación del servicio por parte de su operador móvil, tales como avisos de vencimiento o corte de facturación. Estos mensajes pueden ser enviados, siempre que no impliquen ningún costo para el usuario.
2.1.18.4.5. La inscripción en el RNE no implica la no prestación de servicios de mensajes comerciales o publicitarios solicitados o autorizados por el usuario con posterioridad a dicha inscripción.
2.1.18.4.6. Cuando el usuario porte su número a un nuevo operador y este haya sido registrado previamente en el RNE, el usuario deberá actualizar la respectiva inscripción.
2.1.18.4.7. El usuario solo recibirá mensajes USSD, con fines comerciales o publicitarios cuando haya solicitado expresamente su envío, aun cuando estos no impliquen ningún costo para este.
2.1.18.4.8. Cuando el usuario lo solicite, el operador móvil, el PCA o Integrador Tecnológico debe tomar medidas para restringir la recepción de SMS o USSD, no solicitados, conocidos como SPAM.
2.1.18.4.9. Todos los agentes involucrados en la prestación del servicio de envío de SMS o USSD, con fines comerciales o publicitarios deberán hacer el tratamiento de los datos personales en los términos de la Ley 1581 de 2012, o aquellas normas que la modifiquen, sustituyan o reglamenten, so pena de recuperarse el código corto utilizado, de conformidad con el procedimiento previsto en el artículo 6.1.1.8.1 de la presente resolución.
El operador móvil o el Integrador Tecnológico deberán solicitar a quien haga las veces de PCA el soporte del cumplimiento de las obligaciones relativas al inciso anterior, y ponerlos a disposición de las autoridades pertinentes cuando así lo requieran.
ARTÍCULO 2.1.18.5 SMS ENVIADOS DESDE INTERNET. <Artículo modificado por el artículo 2 de la Resolución 7356 de 2024. El nuevo texto es el siguiente:> Los SMS que son enviados desde Internet a un teléfono móvil no pueden ser cobrados al usuario receptor de los mismos.
ARTÍCULO 2.1.18.6 PREVENCIÓN DE FRAUDES DE LOS PCA E INTEGRADORES TECNOLÓGICOS ASIGNATARIOS DE CÓDIGOS CORTOS. <Artículo modificado por el artículo 2 de la Resolución 7356 de 2024. El nuevo texto es el siguiente:> Los PCA e Integradores Tecnológicos que sean asignatarios de códigos cortos deberán hacer uso de herramientas tecnológicas para prevenir fraudes a través del envío de mensajes SMS o USSD y efectuar controles periódicos respecto de la efectividad de los mecanismos dispuestos para tal fin.
CONTENIDOS Y APLICACIONES A TRAVÉS DE SMS, MMS Y USSD.
ARTÍCULO 2.1.19.1. INFORMACIÓN Y CONTROL DE CONSUMO. <Artículo modificado por el artículo 3 de la Resolución 6522 de 2022. El nuevo texto es el siguiente:> En la página web del PCA los usuarios encontrarán información en relación con los servicios ofrecidos, así como mecanismos de soporte para solucionar problemas referidos a la operatividad técnica. A esta información también podrá acceder a través del correo electrónico del PCA y de su línea gratuita de atención.
Cuando el usuario adquiere un servicio de contenidos y aplicaciones por suscripción, cada vez que el PCA lleve a cabo un cobro, le enviará un SMS informando el valor del mismo, la periodicidad con la que se está cobrando y la forma en que puede cancelar el servicio.
En todo caso, los asignatarios de los códigos cortos deberán establecer mecanismos de atención a los usuarios y responder de fondo las solicitudes que reciba en relación con los mensajes enviados desde esta numeración, dentro de los quince (15) días hábiles siguientes a su recibo
ARTÍCULO 2.1.19.2. INFORMACIÓN PREVIA A LA PRESTACIÓN DEL SERVICIO. <Artículo modificado por el artículo 1 de la Resolución 5111 de 2017. El nuevo texto es el siguiente:> Antes del inicio de la prestación de servicios de contenidos y aplicaciones o de la renovación de una suscripción, el PCA debe informar al usuario a través de un SMS o USSD gratuito, lo siguiente:
a) Modalidad del servicio (Compra por única vez, compra por suscripción, servicios masivos, gratuito para el usuario, servicios exclusivos para adultos);
b) Nombre del PCA, la dirección de su página web y el número de la línea telefónica gratuita donde el usuario puede acceder a la información del servicio que ha contratado;
c) Precio total del servicio, incluido impuestos;
d) Periodicidad del cobro, cuando sea servicio por suscripción;
e) Forma para darse de baja (cancelar el servicio), para el caso de servicios por suscripción se debe indicar que esta puede darse en cualquier momento y es gratuita.
Esta información estará disponible en todo momento en la página web del PCA y en su línea telefónica gratuita.
ARTÍCULO 2.1.19.3. INFORMACIÓN DURANTE LA PRESTACIÓN DEL SERIVICIO POR SUSCRIPCIÓN. <Artículo modificado por el artículo 1 de la Resolución 5111 de 2017. El nuevo texto es el siguiente:> Si durante la prestación de un servicio de contenidos y aplicaciones por suscripción es modificado alguno de los datos de contacto del PCA, este deberá enviarle al usuario un SMS con la nueva dirección de su página web o el nuevo número de la línea gratuita, según corresponda.
ARTÍCULO 2.1.19.4. MANIFESTACIÓN DE LA VOLUNTAD DEL USUARIO. <Artículo modificado por el artículo 1 de la Resolución 5111 de 2017. El nuevo texto es el siguiente:> Es válida la manifestación de voluntad del usuario de contratar el servicio, con el envío de un SMS desde su número celular. El usuario puede contratar el servicio a través de otras vías siempre que quede garantizado lo siguiente:
a) La autenticación del número celular que requiere el servicio;
b) La manifestación del consentimiento del usuario.
PARÁGRAFO. Cuando el usuario solicite un servicio de contenidos y aplicaciones por suscripción, el PCA deberá enviar al usuario, previo al inicio de la prestación del servicio una invitación a confirmar su aceptación a través de un SMS con el siguiente texto: "Usted solicitó la suscripción al servicio XXX. Para confirmarla, debe responder con la palabra ACEPTO" donde XXX corresponde a los caracteres que identifican el servicio.
El usuario confirmará su aceptación a través de un SMS gratuito. El PCA debe guardar registro de esta confirmación. Si el usuario no confirma se entiende que renuncia a recibir el servicio solicitado y no le podrá ser cobrado.
ARTÍCULO 2.1.19.5. NO PRESTACIÓN DEL SERVICIO. <Artículo modificado por el artículo 1 de la Resolución 5111 de 2017. El nuevo texto es el siguiente:> Cuando los contenidos y aplicaciones solicitados no puedan ser provistos, los PCA pueden intentar el reenvío de los mismos durante 1 día (todas las veces que considere necesarias), si no es posible el PCA enviará un SMS al usuario informándole dicha situación y le devolverá la suma que hubiera pagado.
El operador de servicios de telefonía móvil debe notificar al PCA de la recepción o no, del contenido o aplicación en el equipo terminal móvil del usuario.
ARTÍCULO 2.1.19.6. FACTURACIÓN. <Artículo modificado por el artículo 1 de la Resolución 5111 de 2017. El nuevo texto es el siguiente:> El PCA sólo podrá cobrar al usuario por los servicios aceptados expresamente por este (ver artículo 2.1.19.4) y efectivamente prestados. Todo servicio de mensajes informativos, de inicio, de terminación o error serán gratuitos para el usuario.
El PCA no puede cobrar al usuario por un mismo servicio más de una vez, aunque el mismo requiera del envío de más de un mensaje.
El PCA no puede en ningún caso establecer al usuario períodos de permanencia mínima en la provisión de contenidos y aplicaciones.
ARTÍCULO 2.1.19.7. ESTANDARIZACIÓN PALABRAS CLAVE. <Artículo modificado por el artículo 1 de la Resolución 5111 de 2017. El nuevo texto es el siguiente:> Los PCA deben adoptar las siguientes palabras clave estandarizadas (sin importar la utilización de letras mayúsculas o minúsculas) para los distintos procedimientos.
2.1.19.7.1. La palabra clave "solicito servicio": indicará la solicitud del usuario para el inicio de la prestación de un servicio correspondiente a un determinado código corto. La palabra "servicio" debe ser remplazada por el nombre del servicio de contenidos y aplicaciones en particular.
2.1.19.7.2. La palabra clave "Info": indica la solicitud del usuario de datos de contacto del PCA (como mínimo la dirección de la página web o el número de la línea telefónica gratuita).
2.1.19.7.3. La palabra clave "ayuda": indica la solicitud de soporte técnico básico.
2.1.19.7.4. La palabra clave "Índice": indica la solicitud de instrucciones respecto al uso del servicio, o en su defecto, una referencia al sitio en el cual el usuario podrá acceder a una descripción detallada del servicio, terminales compatibles y precio del mismo.
2.1.19.7.5. La palabra clave "queja": indica la intención del usuario de presentar una queja respecto al servicio.
2.1.19.7.6. <Numeral modificado por el artículo 4 de la Resolución 6522 de 2022. El nuevo texto es el siguiente:> La palabra clave "salir" o "cancelar": indica la solicitud para restringir la recepción de mensajes de un determinado PCA. En el caso de los servicios de suscripción, indica la cancelación de todos los servicios desde un determinado código corto.
2.1.19.7.7. La palabra clave "servicio salir" o "servicio cancelar": indica la cancelación únicamente de la suscripción de ese determinado servicio. La palabra "servicio" debe ser remplazada por el nombre del servicio de contenidos y aplicaciones en particular.
2.1.19.7.8. La palabra clave "ver": indica la intención del usuario de ver todas las suscripciones activas en relación a ese código corto en particular.
Cuando el usuario solicite la baja de un servicio específico, el PCA, si tiene los medios, debe terminar la suscripción únicamente de dicho servicio, en caso contrario, el PCA deberá proceder a la cancelación del código completo.
ARTÍCULO 2.1.19.8. CANCELACIÓN DE UN SERVICIO POR SUSCRIPCIÓN. <Artículo modificado por el artículo 1 de la Resolución 5111 de 2017. El nuevo texto es el siguiente:> Adicional al envío de SMS con las palabras claves descritas en el artículo 2.1.19.7 del Capítulo 1 del Título II de la presente resolución, el usuario puede solicitar la cancelación de un servicio de suscripción, a través de la página web del PCA, el envío de correo electrónico o la línea telefónica gratuita de atención.
Cuando el PCA recibe una solicitud de cancelación, debe enviar al usuario un SMS de confirmación de la cancelación.
ARTÍCULO 2.1.19.9. IDENTIFICACIÓN DEL PCA. <Artículo adicionado por el artículo 5 de la Resolución 6522 de 2022. El nuevo texto es el siguiente:> En el envío de mensajes a través de SMS o USSD, con fines comerciales o publicitarios, se deberá informar a los usuarios el nombre, la marca o la razón social del PCA responsable de la provisión de contenidos y aplicaciones. El cumplimiento de esta obligación deberá hacerse al principio o al final de cada sesión, mensaje o un grupo de mensajes concatenados según lo que aplique.
ROAMING INTERNACIONAL.
ARTÍCULO 2.1.20.1. CONDICIONES DEL SERVICIO DE ROAMING INTERNACIONAL. <Artículo modificado por el artículo 1 de la Resolución 5111 de 2017. El nuevo texto es el siguiente:> Cuando el usuario decida hacer uso de este servicio, aplicarán las siguientes reglas:
2.1.20.1.1. Deber de información. <Numeral modificado por el artículo 21 de la Resolución 6242 de 2021. El nuevo texto es el siguiente:> El operador deberá tener disponible en todo momento por lo menos a través de la línea de atención telefónica y de la página web del operador, la información relacionada con las condiciones y/o tarifas que aplican a todos los servicios de roaming internacional, en pesos colombianos con todos los impuestos incluidos, indicando la unidad de medida utilizada para el cálculo de cobro. Es así como el operador deberá informar las siguientes tarifas y/o precios:
a. Minuto de voz saliente y entrante.
b. Mensajes cortos de texto –SMS- y Mensajes multimedia –MMS-.
c. Megabyte o precio por día del plan de datos, cuando este último aplique (los precios serán presentados en megabytes aunque se facturen por kilobytes)
d. Utilización de sistemas de mensajería instantánea (chat) cuando los mismos se ofrezcan como planes independientes del servicio de datos móviles.
e. Utilización de redes sociales cuando los mismos se ofrezcan como planes independientes del servicio de datos móviles.
f. Servicios especiales de información y/o servicio de emergencia, independientemente si tienen o no costo para el usuario.
g. Cualquier otro servicio que sea ofrecido por el operador.
h. Código USSD y la línea gratuita a través de los cuales el usuario puede activar, modificar o ampliar el límite de gasto o tiempo desde el exterior.
Para los planes de datos con tarifa fija diaria o tarifa de 0 pesos, el operador deberá informar la capacidad diaria que puede ser utilizada y las condiciones que aplican cuando se alcance dicha capacidad.
El operador también deberá informar las políticas de uso razonable y las posibles acciones que se pueden tomar para evitar la comisión de fraudes, así como las condiciones aplicables.
2.1.20.1.2. Activación del servicio. <Numeral modificado por el artículo 22 de la Resolución 6242 de 2021. El nuevo texto es el siguiente:> El servicio de Roaming Internacional solo será activado si el usuario lo ha solicitado de manera previa y expresa a través de cualquiera de los mecanismos de atención al usuario (salvo que esta interacción haya migrado a la digitalización y se le haya informado previamente al usuario). En todo caso el usuario podrá realizar esta activación a través de la línea de atención telefónica.
En el momento de la activación del servicio el usuario podrá elegir:
a. Si desea que el servicio le sea activado de manera permanente, es decir que puede hacer uso de este de manera automática cada vez que salga del país, o si prefiere activarlo cada vez que así lo requiera.
b. Un límite de tiempo para que dure activo el servicio y/o un límite de gasto del servicio de datos en dinero.
Si el usuario elige un límite de gasto del servicio de datos en dinero, eligiendo así el precio máximo a pagar, puede escoger un plan con una tarifa fija por un período de tiempo (día, semana, etc.), o un plan con un consumo máximo de datos.
El servicio será desactivado cuando se cumpla el límite de tiempo o el límite de gasto elegido por el usuario, lo que ocurra primero, sin que deba presentar solicitud alguna ante el operador.
El usuario podrá activar, desactivar, modificar o ampliar el tiempo o límite de gasto, desde el exterior a través de cualquiera de los medios de atención, o a través de su propio equipo terminal móvil marcando el código USSD informado por el operador.
2.1.20.1.3. Durante el uso del servicio. Cuando el usuario llegue al país de visita recibirá a través de un mensaje de texto –SMS– gratuito, además de la información descrita en el numeral 2.1.20.1.1 del presente artículo, la siguiente información:
a) El límite de gasto, en caso que el usuario haya elegido un límite de consumo máximo de datos;
b) La forma en que el usuario debe realizar las llamadas desde el país que visita, hacia líneas fijas y móviles, dentro y fuera del país.
2.1.20.1.4. Factura. Cuando el usuario haga uso del servicio de roaming internacional, en su factura encontrará la siguiente información:
a) Fecha y hora del consumo;
b) Servicio utilizado;
c) Precio por unidad de consumo (minutos o segundos en caso de voz, mensajes y/o kilobytes);
d) Precio de cada uno de los servicios utilizados, incluyendo todos los costos e impuestos;
e) Total por todos los servicios utilizados en pesos colombianos.
2.1.20.1.5. Controles de consumo del servicio de datos.
a) Cuando el usuario contrate el servicio de datos con un límite de gasto máximo, el operador le enviará un SMS los días que haga uso de este servicio, informándole el consumo diario que ha realizado, en pesos colombianos;
b) Cuando el usuario contrate el servicio de datos con una tarifa fija (diaria, semanal, etc.), el operador le enviará un SMS los días en que haga uso de este servicio.
2.1.20.1.6. Límites de consumo del servicio de datos.
A) Cuando el usuario contrate el servicio de datos con un límite de gasto máximo, y llegue al 80% de dicho gasto, el operador le enviará el siguiente SMS:
"señor Usuario está llegando al límite de gasto en el servicio de Roaming Internacional".
a) Si el usuario contrata el servicio de datos bajo la modalidad prepago, podrá elegir una tarifa diaria por este servicio, caso en el cual el operador le enviará el siguiente SMS:
"Señor Usuario en el día de hoy se ha descontado COP$XXXX por su consumo de datos".
SERVICIOS DE LARGA DISTANCIA.
ARTÍCULO 2.1.21.1. LIBRE ELECCIÓN DEL OPERADOR DE SERVICIOS DE LARGA DISTANCIA. <Artículo modificado por el artículo 2 de la Resolución 5826 de 2019. El nuevo texto es el siguiente:> Los usuarios de telefonía fija, así como los de telefonía móvil bajo modalidad pospago, pueden elegir y acceder libremente al proveedor de larga distancia internacional.
ARTÍCULO 2.1.21.2. MECANISMO PARA LA CONTENCIÓN DE LOS COSTOS DE INCERTIDUMBRE EN LLAMADAS CON TARIFA DIFERENCIAL ENTRE NÚMERO GEOGRÁFICOS. <Artículo adicionado por el artículo 2 de la Resolución 5826 de 2019. El nuevo texto es el siguiente:> Cuando el Proveedor de Redes y Servicios fijos, respecto de una llamada entre números geográficos aplique a sus usuarios, en función de la distancia que cubre dicha llamada, un cobro adicional al del plan contratado deberá implementar antes de su establecimiento un mensaje de voz que notifique al suscriptor de la existencia de cualquiera de estas condiciones.
Este mensaje deberá cumplir los siguientes parámetros:
| Duración: | Mínimo dos (2) segundos. |
| Contenido: | "Llamada con cobro adicional". |
| Fase: | Establecimiento de la llamada. |
SERVICIOS DE URGENCIA Y/O EMERGENCIA.
ARTÍCULO 2.1.22.1. <Artículo modificado por el artículo 1 de la Resolución 5111 de 2017. El nuevo texto es el siguiente:> El usuario podrá en cualquier momento, pese a que su servicio se encuentre suspendido o no cuente con saldo, realizar llamadas a los servicios de urgencia y/o emergencia. Estos son: atención de desastres, policía, bomberos, número único de emergencias, ambulancia, tránsito departamental, tránsito municipal, cruz roja, defensa civil, asistencia de emergencias, o cualquier otro comprendido en la modalidad 1 de la clasificación de la numeración 1XY, en los términos dispuestos en la Resolución CRC 4972 de 2016 o aquella norma que la modifique o sustituya.
SERVICIOS ADICIONALES EN TELEFONÍA FIJA.
ARTÍCULO 2.1.23.1. BLOQUEO DE LLAMADAS. <Artículo derogado por el artículo 137 de la Resolución 7811 de 2025>
ARTÍCULO 2.1.23.2. IDENTIFICADOR DE LLAMADAS. <Artículo derogado por el artículo 137 de la Resolución 7811 de 2025>
ARTÍCULO 2.1.23.3. SERVICIO DE NÚMERO PRIVADO. <Artículo derogado por el artículo 137 de la Resolución 7811 de 2025>
ARTÍCULO 2.1.23.4. SERVICIO DE INFORMACIÓN DEL NUEVO NÚMERO. <Artículo derogado por el artículo 137 de la Resolución 7811 de 2025>
ARTÍCULO 2.1.23.5. SERVICIO DE ENRUTAMIENTO DE LLAMADAS. <Artículo derogado por el artículo 137 de la Resolución 7811 de 2025>
TRÁMITE DE PETICIONES, QUEJAS/RECLAMOS O RECURSOS –PQR– Y MEDIOS DE ATENCIÓN.
ARTÍCULO 2.1.24.1. PETICIONES, QUEJAS/RECLAMOS O RECURSOS (PQR). <Artículo modificado por el artículo 1 de la Resolución 5111 de 2017. El nuevo texto es el siguiente:> Se entiende por:
2.1.24.1.1. Petición: Solicitud de servicios o de información en relación con los servicios prestados por el operador, o cualquier manifestación del usuario en relación con sus derechos.
2.1.24.1.2. Queja o reclamo: Manifestación de inconformidad por parte del usuario al operador en relación con la prestación de sus servicios o el ejercicio de sus derechos.
2.1.24.1.3. Recurso. <Numeral modificado por el artículo 4 de la Resolución 5930 de 2020. El nuevo texto es el siguiente:> Manifestación de inconformidad del usuario en relación con la decisión tomada por el operador frente a una queja presentada (relacionada con actos de negativa del contrato, suspensión del servicio, terminación del contrato, corte y facturación), y mediante la cual solicita la revisión por parte del operador (recurso de reposición) y en forma subsidiaria la revisión y decisión de la Superintendencia de Industria y Comercio (recurso en subsidio de apelación).
ARTÍCULO 2.1.24.2. PRESENTACIÓN DE PQR. <Artículo modificado por el artículo 29 de la Resolución 7811 de 2025. El nuevo texto es el siguiente:> El usuario tiene derecho a presentar una PQR (petición, queja/reclamo o recurso) ante su operador en cualquier momento sin que este último pueda imponer alguna condición. El usuario podrá presentar una PQR a través de cualquiera de los medios de atención del operador (salvo que la respectiva interacción objeto de PQR haya migrado a la digitalización y se le haya informado previamente al usuario), así el servicio se encuentre suspendido. No obstante, el usuario siempre podrá presentar su PQR a través de la línea de atención telefónica.
El usuario podrá autorizar a otra persona para que, en su representación, presente una PQR ante el operador. En ningún caso se podrá exigir la intervención de un abogado o de presentación personal, ni tampoco documentos autenticados para la presentación de una PQR.
Cuando el usuario presente una PQR de forma verbal, deberá informar su nombre completo, el número de su identificación, el motivo de su solicitud y su dirección física o electrónica de contacto.
Cuando el usuario presente una PQR de forma escrita, debe contener su nombre completo, el número de su identificación, su dirección de notificación y el motivo de su solicitud.
El operador informará al usuario por medio físico, electrónico o digital sobre la constancia de la presentación de su PQR y, a excepción de las solicitudes en las que no es necesario establecidas en la Circular Única de la Superintendencia de Industria y Comercio (SIC), le proporcionará un Código Único Numérico (CUN), el cual servirá como número de identificación del trámite, incluso durante el recurso de apelación ante la SIC.
ARTÍCULO 2.1.24.3. RESPUESTA A LA PQR. <Artículo modificado por el artículo 30 de la Resolución 7811 de 2025. El nuevo texto es el siguiente:> El operador dará respuesta a la PQR (petición, queja/reclamo o recurso) dentro de los 15 días hábiles siguientes a su presentación. Si el usuario proporciona un correo electrónico de contacto, el operador enviará la respuesta a la PQR a través de este canal, a menos que el usuario manifieste de forma expresa que desea recibir la respuesta por otro de los medios de atención dispuestos por el operador. En caso de que el operador requiera practicar pruebas, le informará al usuario sobre esta situación, argumentando las razones por las cuales se requieren. En ese caso, el operador tendrá 15 días hábiles adicionales para dar respuesta a la PQR.
Si el usuario no recibe respuesta dentro de este término, se entiende que la PQR ha sido resuelta a su favor (esto se llama Silencio Administrativo Positivo). En este caso, dentro de las siguientes 72 horas al vencimiento del término, el operador debe hacer efectivo lo que el usuario le solicitó en la PQR. Sin embargo, el usuario puede exigir al operador que implemente los efectos de dicho silencio de manera inmediata.
ARTÍCULO 2.1.24.4. PQR Y EL PAGO. <Artículo modificado por el artículo 1 de la Resolución 5111 de 2017. El nuevo texto es el siguiente:> Los operadores no pueden exigir el pago de la factura como requisito para la recepción, atención, trámite y respuesta de las PQR (Petición, Queja/ Reclamo o recurso) en ningún caso. Cuando el usuario tenga alguna inconformidad con su factura, puede presentar una PQR antes de la fecha de pago oportuno, caso en el cual no debe pagar las sumas que sean objeto de reclamación. Si no presenta la PQR antes de dicha fecha el usuario debe pagar el valor total de la factura. En todo caso el usuario cuenta con 6 meses contados a partir de la fecha del pago oportuno de su factura para presentar cualquier PQR relacionada con los conceptos incluidos en dicha factura.
Si el usuario procedió al pago de la factura, y la PQR es resuelta a su favor, el operador restituirá el dinero cancelado y no debido; por el contrario, si no se procede al pago de la factura pues presentó la PQR antes de la fecha de pago oportuno, y esta no es resuelta a su favor, el usuario deberá cancelar el monto de la factura pendiente.
ARTÍCULO 2.1.24.5. RECURSOS. <Artículo modificado por el artículo 9 de la Resolución 8171 de 2026. El nuevo texto es el siguiente:> Cuando el operador resuelva la petición o queja, presentada por el usuario (relacionada con actos de negativa del contrato, suspensión del servicio, terminación del contrato, o corte y facturación), deberá informarle en su respuesta sobre su derecho a presentar recurso de reposición y en subsidio de apelación dentro de los 10 días hábiles siguientes a la comunicación de la decisión del operador. Estos recursos deberán ser presentados en forma simultánea ante el operador.
Se denomina recurso de reposición a la solicitud del usuario dirigida a que el operador revise nuevamente su decisión y se denomina recurso de apelación a la solicitud del usuario dirigida a que la Superintendencia de Industria y Comercio (SIC) revise la decisión del operador.
El usuario puede presentar los recursos de reposición y apelación por cualquiera de los medios de atención (salvo que la respectiva interacción objeto de PQR haya migrado a la digitalización y se le haya informado previamente al usuario). En cualquier caso, el usuario siempre podrá presentar el recurso de reposición y en subsidio de apelación a través de la línea de atención telefónica.
El formato dispuesto en el Anexo 2.2. del Título "ANEXOS TÍTULO II" de la presente resolución, podrá ser empleado por el operador para la presentación de PQR; si no lo hace, deberá como mínimo requerir al usuario la siguiente información: nombre completo del usuario, su número de identificación, el motivo de su solicitud y si desea presentar únicamente recurso de reposición, o recurso de reposición y en subsidio de apelación.
Si el usuario presenta el recurso de reposición de manera verbal, el operador deberá preguntarle si desea presentar únicamente recurso de reposición, o recurso de reposición y en subsidio apelación, de lo cual debe guardar evidencia.
En caso de que, al responder el recurso de reposición, el operador insista en su respuesta total o parcialmente, dentro de los 5 días hábiles siguientes a la comunicación al usuario de la decisión del recurso de reposición, el operador deberá remitir a la Superintendencia de Industria y Comercio (SIC) el expediente completo para que resuelva el recurso de apelación.
ARTÍCULO 2.1.24.6. CONTENIDO Y ENVÍO DE LAS DECISIONES. <Artículo modificado por el artículo 10 de la Resolución 8171 de 2026. El nuevo texto es el siguiente:> Cuando un operador resuelva una PQR (petición, queja/reclamo o recurso), la decisión deberá contener:
a) El resumen de los hechos en que se soporta la PQR.
b) La descripción de las acciones adelantadas por el operador para verificar los hechos presentados por el usuario.
c) Las razones jurídicas, técnicas o económicas en que se apoya su decisión.
d) Si procede recurso y el plazo que tiene para presentarlo.
La decisión del operador en relación con la PQR le será enviada al usuario al correo electrónico o dirección de contacto proporcionada por el usuario en la PQR o, a falta de estos, al correo electrónico registrado en el contrato.
ARTÍCULO 2.1.24.7. SEGUIMIENTO DE LAS PQR. <Artículo modificado por el artículo 32 de la Resolución 7811 de 2025. El nuevo texto es el siguiente:> Cuando el usuario haya presentado una PQR (petición, queja/reclamo o recurso), tiene derecho a consultar el estado del trámite a través de cualquiera de los mecanismos de atención de usuario (salvo que esta interacción haya migrado a la digitalización y se le haya informado previamente al usuario). Para realizar la consulta, debe proporcionar el CUN que le fue asignado al momento de presentar la PQR. En cualquier caso, el usuario siempre podrá realizar esta consulta a través de la línea de atención telefónica.
ARTÍCULO 2.1.24.8. RECEPCIÓN DE LAS PQR DE TERCEROS OPERADORES. <Artículo modificado por el artículo 1 de la Resolución 5111 de 2017. El nuevo texto es el siguiente:> Cuando en el uso del servicio que el usuario ha contratado con su operador, se encuentre vinculado un tercer operador (las llamadas a larga distancia, contenidos y aplicaciones, entre otros), y tenga algún requerimiento frente a estos servicios, el usuario puede presentar la PQR (petición, queja/ reclamo o recurso) ante su operador quien deberá evaluar si la causa de dicha PQR no se originó en su red.
Si no se originó en su red, y la PQR es presentada de forma verbal informará de inmediato al usuario dicha situación; si la PQR fue presentada por escrito, le informará dentro de los 5 días hábiles siguientes a la presentación. En ambos casos, remitirá la respectiva PQR al tercer operador con copia al usuario.
El término de respuesta contará a partir del día siguiente al recibo de la PQR por parte del tercer operador.
ARTÍCULO 2.1.24.9. PQR TRASLADADAS POR EL GOBIERNO NACIONAL. <Artículo modificado por el artículo 28 de la Resolución 6242 de 2021. El nuevo texto es el siguiente:> Los operadores deberán recibir, atender, tramitar y responder todas las PQR (petición, queja/ reclamo o recurso) que les sean trasladadas por parte del Gobierno Nacional, las cuales serán respondidas directamente al respectivo usuario a través de un canal digital el cual deberá ser previamente informado al usuario, salvo que este manifieste que desea recibirlas por el mismo medio que las presentó.
MEDIOS DE ATENCIÓN AL USUARIO.
ARTÍCULO 2.1.25.1. REQUISITOS DE LOS MEDIOS DE ATENCIÓN. <Artículo modificado por el artículo 33 de la Resolución 7811 de 2025. El nuevo texto es el siguiente:> Los medios de atención descritos en este capítulo, así como los adicionales que disponga el operador, deben cumplir las siguientes condiciones:
2.1.25.1.1. Cuando el usuario presente una PQR (petición, queja/reclamo o recurso) el operador en ninguna circunstancia puede exigirle que se remita a un medio de atención distinto (salvo cuando la respectiva interacción objeto de PQR haya migrado a la digitalización y se le haya informado previamente al usuario).
2.1.25.1.2. El usuario puede acceder en todo momento a cualquier medio de atención, excepto a las oficinas físicas y a la línea telefónica. Los medios de atención serán gratuitos.
2.1.25.1.3. En las solicitudes que requieran la verificación de la identidad del usuario, la misma deberá adelantarse por parte del operador a través de mecanismos confiables de validación.
2.1.25.1.4. Todo lo que le sea informado al usuario a través de cualquier medio de atención, obliga y compromete al operador.
2.1.25.1.5. Contar con las medidas adecuadas para atender de forma prioritaria a los usuarios discapacitados y tramitar sus PQR (petición, queja/reclamo o recurso), en los términos de la Ley 1346 de 2009 y la Ley 1618 de 2013, o las normas que la modifiquen o sustituyan.
2.1.25.1.6. Cuando los operadores decidan migrar a la digitalización alguna(s) o todas las interacciones que pueda(n) tener lugar en su relación con el usuario, deben incluir en la página principal de su sitio web, en un lugar altamente visible, un banner estático que remita al usuario al "Código de Transparencia en la Digitalización" definido por el operador. En este código, se le informará al usuario cuáles interacciones han migrado a la digitalización y se le explicará de forma interactiva cómo llevar a cabo dichas interacciones. Este código deberá mantenerse actualizado en todo momento.
2.1.25.1.7. Cada vez que el operador decida migrar alguna(s) de sus interacciones a la digitalización deberá informar a sus usuarios con una antelación mínima de 10 días hábiles a través de los distintos medios de atención. Además, deberá remitir una comunicación sobre esta situación a la CRC y a la Superintendencia de Industria y Comercio (SIC) con al menos 15 días hábiles de anticipación.
2.1.25.1.8. Cuando, a través de un medio de atención digital, el usuario presente una PQR (petición, queja, reclamo o recurso) respecto de una interacción que se encuentre incluida en el "Código de Transparencia en la Digitalización" del que trata el numeral 2.1.25.1.6. del presente artículo, el operador puede direccionar la atención a otro medio de atención digital. En todo caso, este direccionamiento debe realizarse de forma automática, inmediata e ininterrumpida sin que implique un reproceso para el usuario.
ARTÍCULO 2.1.25.2. OFICINAS FÍSICAS. <Artículo modificado por el artículo 6 de la Resolución 7285 de 2024. El texto vigente hasta esta fecha es el siguiente:> Los operadores deben cumplir las siguientes condiciones relativas al medio de atención a través de oficinas físicas:
2.1.25.2.1 Oficinas físicas de atención al usuario.
En todas las capitales de departamento en que los operadores presten sus servicios, o en el municipio en que estos tengan mayor número de usuarios, los operadores deben disponer de una oficina física de atención al usuario, para recibir, atender y responder las PQR (petición, queja/reclamo o recurso). En su defecto, los operadores deberán celebrar acuerdos con otros operadores que puedan brindar dicha atención.
La información en relación con la ubicación de dichas oficinas deberá estar disponible a través de los distintos medios de atención.
Estas oficinas deben ser claramente identificables de los puntos de venta o de pago del operador.
PARÁGRAFO 1o. Los operadores móviles virtuales y los operadores del servicio de televisión por suscripción no están en la obligación de disponer de estas oficinas.
PARÁGRAFO 2o. Los operadores de los servicios de telefonía e internet no están en la obligación de disponer de estas oficinas, cuando garanticen que todas las interacciones, incluidas las solicitudes de cesión del contrato, portación del número celular, garantía y soporte del equipo terminal, se pueden adelantar a través de otros medios de atención idóneos. Lo anterior, sin perjuicio de lo establecido en el numeral 2.1.25.2.2 del presente artículo.
2.1.25.2.2 Atención física en caso de no alcanzar o exceder los valores objetivo de los indicadores de calidad para el servicio de datos móviles 4G.
Cuando un Operador Móvil de Red no alcance o exceda, según corresponda, el valor objetivo de cualquiera de los indicadores de calidad definidos en el artículo 5.1.3.2 de la presente resolución o el que lo modifique, adicione o sustituya, en un trimestre coincidente con la periodicidad de reporte del Formato T.2.6. de la presente resolución, deberá garantizar la atención física a sus usuarios en la ciudad capital que esté incluida en el ámbito geográfico de la medición en el que no alcanzó o excedió el valor objetivo, según corresponda. Para asegurar dicha atención física, el Operador Móvil de Red deberá disponer de al menos una oficina física en la mencionada ciudad capital o celebrar acuerdos con otros operadores que puedan proporcionar dicha atención. Para cumplir con esta obligación el Operador Móvil de Red tendrá un plazo de un (1) mes, contado a partir del día siguiente al vencimiento del plazo para presentar el reporte del Formato T.2.6 de la presente resolución.
Para que cese la obligación de garantizar la atención física a los usuarios en la ciudad capital que esté incluida en el ámbito geográfico de la medición en el que no alcanzó o excedió el valor objetivo, según corresponda, en los términos previamente señalados, el Operador Móvil de Red deberá garantizar los valores objetivo de todos los indicadores establecidos para los servicios de datos móviles 4G, durante tres (3) trimestres consecutivos coincidentes con la periodicidad de reporte del Formato T.2.6. de la presente resolución.
El operador deberá informar a dichos usuarios, a través de todos los medios de atención disponibles, acerca del cese de la atención física con cinco (5) días de antelación, y continuar proporcionando esta información durante los 30 días calendario posteriores a este evento.
ARTÍCULO 2.1.25.3. LÍNEA TELEFÓNICA. <Artículo modificado por el artículo 34 de la Resolución 7811 de 2025. El nuevo texto es el siguiente:> El usuario podrá presentar cualquier PQR (Petición, Queja/Reclamo o recurso) a través de la línea telefónica gratuita del operador, la cual debe estar disponible de 5:00 a 0:00 horas, los 7 días de la semana. Cuando la PQR esté relacionada con: i) el reporte de hurto o extravío de un equipo terminal móvil; ii) activaciones de recargas; y iii) fallas en la prestación del servicio, este servicio estará disponible las 24 horas del día, todos los días de la semana.
En la factura y en los diferentes medios de atención, el operador deberá informar al usuario el número telefónico al que puede llamar para acceder a la atención telefónica. La opción relacionada con la presentación de PQR debe estar entre las tres primeras del menú.
El usuario puede utilizar este medio de atención, incluso si su servicio está suspendido o no tiene saldo.
El operador deberá grabar todas las PQR que sean recibidas por medio de la línea telefónica y tiene la obligación de almacenar las grabaciones por un período mínimo de seis (6) meses a partir de la fecha de la comunicación de la respuesta definitiva a la PQR.
PARÁGRAFO. Los operadores del servicio de Internet fijo que cumplan con las condiciones definidas en el Anexo 2.10. del Título ANEXOS TITULO II de la presente resolución; podrán atender las PQR que sean presentadas a través de la línea telefónica sin contar con personal humano, cuando la totalidad de las interacciones en la línea telefónica sean digitalizadas. En caso de no haber migrado a la digitalización, deberán permitir que el usuario presente cualquier PQR a través de dicho medio de atención, el cual deberá estar disponible entre las 5:00 y 0:00 horas, los 7 días de la semana.
Lo establecido en el presente parágrafo solo será aplicable en los municipios identificados a partir del mencionado anexo.
ARTÍCULO 2.1.25.4. PÁGINA WEB. <Artículo modificado por el artículo 4 de la Resolución 6755 de 2022. El nuevo texto es el siguiente:> El usuario podrá presentar cualquier PQR (petición, queja/reclamo o recurso) a través de la página web del operador. El formato dispuesto en el Anexo 2.2. del Título "ANEXOS TÍTULO II" de la presente Resolución, podrá ser empleado por el operador. Si no lo hace deberá como mínimo requerir al usuario la siguiente información: nombre completo del usuario, número de identificación, correo electrónico y el motivo de la solicitud (PQR) que desea presentar. El operador le responderá a través del correo electrónico que el usuario le suministre al momento de la presentación de dicha PQR.
A más tardar dentro del día hábil siguiente el usuario recibirá el CUN en su correo electrónico.
PARÁGRAFO. <Parágrafo modificado por el artículo 35 de la Resolución 7811 de 2025. El nuevo texto es el siguiente:> Los operadores del servicio de Internet fijo que cumplan con las condiciones definidas en el Anexo 2.10. del "Título ANEXOS TITULO II" de la presente resolución; no estarán obligados a cumplir con la obligación señalada en el presente artículo cuando hayan dispuesto la posibilidad de recibir PQR a través de las redes sociales.
Cuando el operador decida desactivar el medio de atención de que trata el presente artículo, deberá con una antelación no menor a 10 días hábiles, informar a sus usuarios a través de los distintos medios de atención, y remitir una comunicación informando esta situación a la CRC y a la Superintendencia de Industria y Comercio (SIC) con una antelación no menor a 15 días hábiles.
ARTÍCULO 2.1.25.5. RED SOCIAL. <Artículo derogado por el artículo 137 de la Resolución 7811 de 2025>
ARTÍCULO 2.1.25.6. CALIDAD EN LA ATENCIÓN. <Artículo modificado por el artículo 1 de la Resolución 5111 de 2017. El nuevo texto es el siguiente:> Los operadores deben dar cumplimiento a los siguientes indicadores en la atención a sus usuarios:
– Para las oficinas físicas: Mensualmente el 80% de los usuarios debe recibir atención personalizada en un tiempo de espera inferior a 15 minutos, contados a partir de la asignación del turno.
– Para la línea telefónica: Mensualmente los operadores deben garantizar que al menos el 95% de los intentos de llamadas realizadas por los usuarios sean completados exitosamente.
ARTÍCULO 2.1.25.7. INDICADORES DE CALIDAD EN LA ATENCIÓN. <Artículo modificado por el artículo 1 de la Resolución 5111 de 2017. El nuevo texto es el siguiente:> Los operadores deben medir y publicar mensualmente a través de los distintos medios de atención los siguientes indicadores:
2.1.25.7.1. Quejas más frecuentes presentadas por los usuarios.
2.1.25.7.2. Para las oficinas físicas.
a) Porcentaje de solicitudes de atención en las oficinas físicas, en que el tiempo de espera en la atención es inferior a 15 minutos, correspondiendo el tiempo de espera, al tiempo entre la asignación del turno y la atención personalizada;
b) Porcentaje de los usuarios a los que les fue asignado un turno, pero antes de ser atendidos desistieron de ser atendidos.
2.1.25.7.3. Para la línea telefónica.
a) El porcentaje de intentos de llamada, enrutados hacia la línea telefónica completados exitosamente;
b) El porcentaje de usuarios que accede al servicio automático de respuesta, opta por atención personalizada, y recibe atención personalizada en menos de 30 segundos;
c) El porcentaje de los usuarios que seleccionaron una opción del menú, pero antes de ser atendidos, terminaron la llamada.
2.1.25.7.4. Indicador de satisfacción en la atención al usuario. <Numeral modificado por el artículo 36 de la Resolución 7811 de 2025. El nuevo texto es el siguiente:> Los resultados de la medición del nivel de satisfacción al usuario a la que hace referencia el Literal C del Formato T.4.3. respecto de cada uno de los medios de atención, deben contar con la certificación de un auditor externo. La medición debe realizarse sobre una muestra estadísticamente representativa, con un nivel de confianza del 95% y un margen de error del 3%.
Esta medición se hará dentro de las 24 horas siguientes a que el usuario haya recibido la atención, preguntando al mismo ¿Cuál es su nivel de satisfacción general con la atención recibida en este medio de atención? La calificación debe tener una escala de 1 a 5, donde 1 es "muy insatisfecho" y 5 "muy satisfecho".
Una vez dada la calificación, el nivel de satisfacción a reportar corresponde a:
| Calificación | 1 | 2 | 3 | 4 | 5 |
| Identificación | Muy Insatisfecho | Insatisfecho | Ni insatisfecho ni satisfecho | Satisfecho | Muy satisfecho |
SERVICIOS DE TELEVISIÓN COMUNITARIA E INTERNET COMUNITARIO FIJO SIN ÁNIMO DE LUCRO.
<Sección modificada por el artículo 3 de la Resolución 7712 de 2025>
ARTÍCULO 2.1.26.1. DERECHOS GENERALES DE LOS ASOCIADOS O USUARIOS DE LOS SERVICIOS DE TELEVISIÓN COMUNITARIA E INTERNET COMUNITARIO FIJO. <Artículo modificado por el artículo 3 de la Resolución 7712 de 2025. El nuevo texto es el siguiente:> Los principales derechos de los asociados o usuarios de los servicios de televisión comunitaria e Internet comunitario fijo son:
2.1.26.1.1. Recibir el servicio de televisión o Internet fijo de manera continua.
2.1.26.1.2. Conocer previamente a la afiliación el valor de los aportes definidos por la comunidad organizada o por el Proveedor del Servicio de Internet Comunitario Fijo por concepto de la prestación del servicio.
2.1.26.1.3. Exigir que la comunidad organizada o el Proveedor del Servicio de Internet Comunitario Fijo le mantenga las condiciones fijadas en los estatutos al momento de su vinculación y ser informado de manera previa de cualquier modificación.
2.1.26.1.4. Estar informado en relación con sus derechos y las condiciones de prestación del servicio de televisión o de Internet fijo.
2.1.26.1.5. Ser atendido por parte de la comunidad organizada o por el Proveedor del Servicio de Internet Comunitario Fijo, ágilmente y con calidad cuando así lo requiera a través del medio de atención al usuario previsto en el presente Régimen.
2.1.26.1.6. Presentar fácilmente y sin requisitos innecesarios PQR (Peticiones, Quejas o Reclamos) ante la comunidad organizada o el Proveedor del Servicio de Internet Comunitario Fijo, y además recibir atención integral y respuesta oportuna frente a cualquier clase de solicitud.
2.1.26.1.7. Recibir oportunamente la factura o documento equivalente de los aportes ordinarios a la comunidad organizada o el Proveedor del Servicio de Internet Comunitario Fijo, por la prestación del servicio, a través del medio que haya elegido, esto es físico o medio electrónico.
2.1.26.1.8. Conocer el nombre de los miembros que conforman el Órgano Directivo de la comunidad organizada, así como su identificación y datos de contacto.
2.1.26.1.9. Exigir, en cualquier momento, prueba del cumplimiento de las obligaciones legales de la comunidad organizada o el Proveedor del Servicio de Internet Comunitario Fijo relacionadas con las condiciones de la prestación del servicio.
2.1.26.1.10. Terminar en cualquier momento su vinculación con la comunidad organizada o con el Proveedor del Servicio de Internet Comunitario.
PARÁGRAFO. El Proveedor del Servicio de Internet Comunitario Fijo podrá dar cumplimiento a lo establecido en el numeral 2.1.26.1.3., mediante estatutos o el documento que la comunidad disponga para tal fin, de conformidad con lo dispuesto en el artículo 2.1.26.8. de la presente resolución.
ARTÍCULO 2.1.26.2. DERECHOS DE LOS USUARIOS DEL SERVICIO DE TELEVISIÓN COMUNITARIA SIN ÁNIMO DE LUCRO. <Artículo modificado por el artículo 3 de la Resolución 7712 de 2025. El nuevo texto es el siguiente:> Además de los derechos señalados en el artículo 2.1.26.1., son derechos del usuario del servicio de televisión comunitaria:
2.1.26.2.1. Producir contenidos de manera independiente para ser emitidos a través del canal de producción propia de la comunidad organizada.
2.1.26.2.2. Participar en la definición de los contenidos de la programación.
ARTÍCULO 2.1.26.3. DERECHOS DE LOS ASOCIADOS O USUARIOS DEL SERVICIO DE INTERNET COMUNITARIO FIJO. <Artículo modificado por el artículo 3 de la Resolución 7712 de 2025. El nuevo texto es el siguiente:> Además de los derechos señalados en el artículo 2.1.26.1. el usuario del servicio de Internet fijo tiene derecho a que se proteja la información que cursa por medio de la red del Proveedor del Servicio de Internet Comunitario Fijo, quien debe garantizar la inviolabilidad de las comunicaciones.
ARTÍCULO 2.1.26.4. OBLIGACIONES GENERALES DE LOS USUARIOS DEL SERVICIO DE TELEVISIÓN COMUNITARIA E INTERNET COMUNITARIO FIJO. <Artículo modificado por el artículo 3 de la Resolución 7712 de 2025. El nuevo texto es el siguiente:>
2.1.26.4.1. Conocer y cumplir los estatutos y demás reglamentos que expida la comunidad organizada o los documentos que hagan sus veces en el caso del Proveedor del Servicio de Internet Comunitario Fijo.
2.1.26.4.2. Abstenerse de comercializar a cualquier título la señal de televisión o el servicio de Internet fijo que recibe.
2.1.26.4.3. Abstenerse de ceder sus derechos como asociado o usuario.
2.1.26.4.4. Pagar oportunamente los aportes por concepto del servicio de televisión o Internet fijo a la comunidad organizada o al Proveedor del Servicio de Internet Comunitario Fijo.
2.1.26.4.5. Informar a la comunidad organizada o al Proveedor del Servicio de Internet Comunitario Fijo sobre cualquier interrupción, deficiencia o daño ocurrido en las instalaciones o infraestructura del servicio de televisión o Internet fijo, sobre los cuales tuviere conocimiento, y adoptar las decisiones sugeridas por la comunidad organizada o por el Proveedor del Servicio de Internet Comunitario Fijo con el fin de preservar la seguridad de la red y del servicio.
ARTÍCULO 2.1.26.5. OBLIGACIONES DE LOS ASOCIADOS O USUARIOS DEL SERVICIO DE INTERNET COMUNITARIO FIJO. <Artículo modificado por el artículo 3 de la Resolución 7712 de 2025. El nuevo texto es el siguiente:> Además de las obligaciones señaladas en el artículo 2.1.26.4. son obligaciones de los asociados o usuarios de los Proveedores del Servicio de Internet Comunitario Fijo:
2.1.26.5.1. Hacer uso adecuado y de forma respetuosa de los medios de atención dispuestos por el Proveedor del Servicio de Internet Comunitario Fijo.
2.1.26.5.2. Hacer uso adecuado de su derecho a presentar PQR y en consecuencia abstenerse de presentar solicitudes reincidentes, por hechos que ya han sido objeto de decisión por parte del Proveedor del Servicio de Internet Comunitario Fijo, excepto cuando correspondan a la presentación de un recurso.
2.1.26.5.3. Informar con la antelación definida por el Proveedor del Servicio de Internet Comunitario Fijo su decisión de terminar su vinculación con este.
2.1.26.5.4. Hacer uso responsable del servicio de Internet fijo, absteniéndose de realizar actividades que afecten la calidad del servicio para otros asociados o usuarios del Proveedor del Servicio de Internet Comunitario Fijo, incluyendo el uso excesivo, continuo o no autorizado de la red o cualquier conducta que contravenga los fines comunitarios del servicio.
2.1.26.5.5. Devolver los elementos o equipos que le fueron entregados por el Proveedor del Servicio de Internet Comunitario Fijo para la prestación del servicio, al momento de terminar su vinculación con este.
ARTÍCULO 2.1.26.6. INFORMACIÓN POR PARTE DE LA COMUNIDAD ORGANIZADA O EL PROVEEDOR DEL SERVICIO DE INTERNET COMUNITARIO FIJO. <Artículo modificado por el artículo 3 de la Resolución 7712 de 2025. El nuevo texto es el siguiente:> El asociado o usuario tiene derecho a recibir información clara, cierta, completa, oportuna y gratuita en todo momento por parte de la comunidad organizada o del Proveedor del Servicio de Internet Comunitario Fijo. En consecuencia:
2.1.26.6.1 Recibirá copia escrita de los estatutos de la comunidad organizada o del Proveedor del Servicio de Internet Comunitario Fijo.
2.1.26.6.2. Recibirá copia escrita del documento por medio del cual se afilió a la comunidad organizada o al Proveedor del Servicio de Internet Comunitario Fijo para la prestación del servicio.
2.1.26.6.3. Recibirá información en relación con los riesgos relativos a la red y al servicio, los cuales incluyen los mecanismos de seguridad implementados por la comunidad organizada o por el Proveedor del Servicio de Internet Comunitario Fijo, para evitar que ocurran, y sobre las acciones que el asociado o usuario debe tomar al respecto.
2.1.26.6.4. En el servicio de televisión comunitaria, en la página web de la comunidad organizada, el usuario encontrará la siguiente información actualizada:
a) Dirección y teléfono de la(s) oficina(s) de atención al usuario;
b) Línea telefónica gratuita de atención;
c) Valores de los distintos aportes a su cargo (instalación, ordinarios y extraordinarios);
d) Condiciones del servicio;
e) Dirección, teléfono, correo electrónico y página web de la Superintendencia de Industria y Comercio (SIC).
f) Canales incluidos en la parrilla, indicando si son señales incidentales o codificadas.
2.1.26.6.5. El Proveedor del Servicio de Internet Comunitario Fijo deberá informar a los asociados o usuarios al momento de su vinculación para la prestación del servicio, ya sea de forma física o electrónica, como ante cualquier cambio o novedad los siguientes aspectos:
a. Los canales de atención disponibles para el asociado o usuario.
b. Cualquier valor adicional a los aportes por concepto del servicio de Internet, incluyendo costos de instalación del servicio.
c. Condiciones de servicio.
d. Dirección, teléfono, correo electrónico y página web de la Superintendencia de Industria y Comercio (SIC).
PARÁGRAFO. El Proveedor del Servicio de Internet Comunitario Fijo podrá dar cumplimiento a lo establecido en el numeral 2.1.26.6.1., mediante estatutos o el documento que la comunidad disponga para tal fin, de conformidad con lo dispuesto en el artículo 2.1.26.8. de la presente resolución.
ARTÍCULO 2.1.26.7. CONTENIDO MÍNIMO DEL DOCUMENTO DE AFILIACIÓN. <Artículo modificado por el artículo 3 de la Resolución 7712 de 2025. El nuevo texto es el siguiente:> El documento por medio del cual el asociado o usuario se afilia a la comunidad organizada o al Proveedor del Servicio de Internet Comunitario Fijo, debe incluir como mínimo la siguiente información:
a) Nombre e identificación de la comunidad organizada o del Proveedor del Servicio de Internet Comunitario Fijo y del asociado o usuario;
b) Dirección de domicilio y teléfono de la comunidad organizada o del Proveedor del Servicio de Internet Comunitario Fijo y del asociado o usuario;
c) Fecha de la afiliación;
d) Dirección en la cual le será prestado el servicio al asociado o usuario;
e) Valor de los aportes ordinarios por concepto del servicio que el asociado o usuario debe pagar;
f) Manifestación expresa del asociado o usuario de someterse a los estatutos de la comunidad organizada o el documento que lo sustituya de conformidad con lo establecido en el parágrafo del artículo 2.1.26.8. de la presente resolución.
ARTÍCULO 2.1.26.8. CONTENIDO DE LOS ESTATUTOS. <Artículo modificado por el artículo 3 de la Resolución 7712 de 2025. El nuevo texto es el siguiente:> Los estatutos de la comunidad organizada o del Proveedor del Servicio de Internet Comunitario Fijo, incluirán la siguiente información:
a) Valor de los aportes que los asociados o usuarios deben realizar por la prestación del servicio y la periodicidad de los mismos;
b) Derechos de los asociados o usuarios frente a la prestación del servicio;
c) Obligaciones de los asociados o usuarios frente a la prestación del servicio;
d) Condiciones del servicio;
e) Condiciones para dar por terminada la afiliación a la comunidad organizada o al Proveedor del Servicio de Internet Comunitario Fijo;
f) Trámite de PQR (Petición, Queja o Reclamo);
g) Medios de atención al asociado o usuario;
h) Área de cubrimiento del servicio;
i) Condiciones para el traslado del servicio a otro domicilio, cuando este se encuentre dentro del área de cubrimiento de la comunidad organizada o del Proveedor del Servicio de Internet Comunitario Fijo.
j) El título bajo el cual el Proveedor del Servicio de Internet Comunitario Fijo entrega los equipos para la prestación del servicio de Internet, sea comodato, compraventa o arrendamiento.
PARÁGRAFO. El Proveedor del Servicio de Internet Comunitario Fijo podrá dar cumplimiento a lo establecido en el presente artículo, mediante estatutos o el documento que la comunidad disponga para tal fin, siempre que esté firmado por el representante o presidente de la Comunidad Organizada de Conectividad.
ARTÍCULO 2.1.26.9. MEDIOS DE ATENCIÓN EN EL SERVICIO DE TELEVISIÓN COMUNITARIA SIN ÁNIMO DE LUCRO. <Artículo modificado por el artículo 3 de la Resolución 7712 de 2025. El nuevo texto es el siguiente:> La comunidad organizada dispondrá de los siguientes medios de atención:
2.1.26.9.1. Oficina física. En esta oficina recibirá, atenderá y responderá las PQR (petición, queja o reclamo). La información de dicha oficina se encontrará en su documento de afiliación y en la página web de la comunidad organizada.
La comunidad organizada no está en la obligación de disponer de estas oficinas, si garantiza la recepción y atención de cualquier tipo de PQR presentada por el usuario a través de los siguientes medios de atención: página web, línea telefónica, y cualquier mecanismo digital idóneo dispuesto para tal fin.
2.1.26.9.2. Línea telefónica. El usuario podrá presentar PQR (petición, queja o reclamo) a través de la línea telefónica de la comunidad organizada, la cual estará disponible de lunes a viernes en el horario comprendido entre las 8 de la mañana y las 6 de la tarde.
En el documento de afiliación se encontrará el número de la línea telefónica de la comunidad organizada, toda la información suministrada por este medio la hace responsable. La comunidad organizada tiene la obligación de almacenar las grabaciones por un término de por lo menos 6 meses siguientes a la fecha de la notificación de la respuesta definitiva a la PQR.
2.1.26.9.3. Página web. El usuario podrá presentar cualquier PQR (petición, queja o reclamo) a través de la página web de la comunidad organizada. El formato dispuesto en el Anexo 2.2. del Título "ANEXOS TÍTULO II" de la presente resolución, podrá ser empleado por la comunidad organizada, si no lo hace deberá como mínimo requerir al usuario la siguiente información: nombre completo del usuario, número de identificación, correo electrónico y el motivo de la solicitud (PQR) que desea presentar. La respuesta a la PQR será enviada al correo electrónico que el usuario suministre al momento de su presentación. A más tardar dentro del día hábil siguiente el usuario recibirá en su correo electrónico el número de radicado de la PQR.
ARTÍCULO 2.1.26.10. MEDIOS DE ATENCIÓN A LOS ASOCIADOS O USUARIOS DEL SERVICIO DE INTERNET COMUNITARIO FIJO. <Artículo modificado por el artículo 3 de la Resolución 7712 de 2025. El nuevo texto es el siguiente:> El Proveedor del Servicio de Internet Comunitario Fijo deberá establecer y mantener como mínimo un canal de atención accesible para todos los asociados o usuarios. Este canal podrá consistir en una oficina física, una línea telefónica, una red social o una página web. A través de este medio, se garantizará la recepción y atención oportuna de cualquier tipo de PQR presentada por los asociados o usuarios. Este canal, junto con el horario de atención, deberá ser informado al asociado o usuario en el documento de vinculación.
ARTÍCULO 2.1.26.11. TRÁMITE DE PETICIONES, QUEJAS Y RECLAMOS (PQR) PARA LOS SERVICIOS COMUNITARIOS. <Artículo modificado por el artículo 3 de la Resolución 7712 de 2025. El nuevo texto es el siguiente:>
2.1.26.11.1. Presentación PQR. El asociado o usuario tiene derecho a presentar una PQR (petición, queja o reclamo) ante la comunidad organizada o ante el Proveedor del Servicio de Internet Comunitario Fijo a través de los medios de atención, los cuales en ningún caso requieren la intervención de un abogado o de presentación personal, aunque el usuario autorice a otra persona para la presentación de dicha PQR, así como tampoco documentos autenticados.
Cuando asociado o usuario presente una PQR de forma verbal, basta con que informe su nombre completo, el número de su identificación y el motivo de su solicitud.
Cuando el asociado o usuario presente una PQR de forma escrita, debe contener su nombre completo, el número de su identificación, su dirección de notificación, correo electrónico en caso de contar con uno, y el motivo en que se fundamenta su solicitud.
En el momento de la presentación de la PQR, la comunidad organizada o el Proveedor del Servicio de Internet Comunitario Fijo le asignará un número de radicado, el cual será el número que identifica todo el trámite.
2.1.26.11.2. Respuesta PQR. La comunidad organizada o el Proveedor del Servicio de Internet Comunitario Fijo dará respuesta a la PQR (Petición, Queja o Reclamo) dentro de los 15 días hábiles siguientes a su presentación. En caso de que deba practicar pruebas, le comunicará esta situación al asociado o usuario, argumentando las razones, caso en el cual tendrá quince (15) días hábiles adicionales para dar respuesta a su PQR.
Si el asociado o usuario no recibe respuesta dentro de este término, se entiende que la PQR ha sido resuelta a su favor (esto se llama Silencio Administrativo Positivo). Ocurrido lo anterior, la comunidad organizada o el Proveedor del Servicio de Internet Comunitario Fijo debe hacer efectivo lo que el usuario ha solicitado dentro de las 72 horas siguientes. Sin embargo, el asociado o usuario puede exigir de inmediato que la comunidad organizada o el Proveedor del Servicio de Internet Comunitario Fijo materialice los efectos de dicho silencio.
2.1.26.11.3. Contenido de las decisiones. Cuando la comunidad organizada o el Proveedor del Servicio de Internet Comunitario Fijo resuelva la PQR (petición, queja o reclamo), la decisión deberá contener:
a) El resumen de los hechos en que se soporta la PQR;
b) La descripción de las acciones adelantadas por la comunidad o por el Proveedor del Servicio de Internet Comunitario Fijo para verificar los hechos presentados por el asociado o usuario;
c) Las razones jurídicas, técnicas o económicas en que se apoya su decisión.
La decisión de la comunidad organizada o del Proveedor del Servicio de Internet Comunitario Fijo en relación con la PQR, le será notificada a través del mismo medio por el cual se presentó la PQR, salvo que asociado o usuario indique que desea ser notificado a través de un medio distinto.
2.1.26.11.4. Seguimiento de las PQR. Cuando el asociado o usuario haya presentado una PQR (Petición, Queja o Reclamo) tiene derecho a consultar el trámite en el cual se encuentra, a través de cualquiera de los medios de atención, suministrando el radicado que le fue asignado al momento de la presentación de la PQR.
DISPOSICIONES FINALES.
ARTÍCULO 2.1.27.1. PROHIBICIÓN DE LIMITACIÓN A LA APLICACIÓN DE ESTE RÉGIMEN. <Artículo modificado por el artículo 1 de la Resolución 5111 de 2017. El nuevo texto es el siguiente:> En ningún caso los operadores pueden limitar la aplicación y/o el cumplimiento de las disposiciones de este régimen.
ARTÍCULO 2.1.27.2. DIVULGACIÓN DE ESTE RÉGIMEN. <Artículo modificado por el artículo 36 de la Resolución 6242 de 2021. El nuevo texto es el siguiente:> Los operadores deberán divulgar el presente Régimen de Protección de los Derechos de los Usuarios de Servicios de Comunicaciones, siguiendo los siguientes criterios:
2.1.27.2.1. Canales de divulgación: página web del operador, redes sociales (Facebook y Twitter).
2.1.27.2.2. Divulgación a través de página web: Los operadores deben incluir en su página web un banner estático, que ocupe un 80% de ancho de la misma, ubicado en la parte superior de su footer, el cual sea embebido desde el siguiente enlace: https://www.crcom.gov.co/pp/bannerO.gif; y que a su vez redireccione al siguiente enlace: https://www.crcom.gov.co/pagina/regimen-proteccion-usuario.
2.1.27.2.3. Divulgación a través de redes sociales: De acuerdo con sus indicadores de quejas del trimestre inmediatamente anterior, cada operador deberá publicar cada día de forma rotativa, la información correspondiente a las 5 temáticas respecto de las cuales se presentaron más quejas o consultas.
ARTÍCULO 2.1.27.3. ANEXOS. <Artículo modificado por el artículo 37 de la Resolución 6242 de 2021. El nuevo texto es el siguiente:> Hacen parte integral del presente Régimen los siguientes anexos:
– ANEXO 2.1 del Título "Anexos Título II" de la Resolución CRC 5050 de 2016: "CONDICIONES PARA LA DETERMINACIÓN DE LA COMPENSACIÓN AUTOMÁTICA POR FALTA DE DISPONIBILIDAD DE LOS SERVICIOS DE TELEFONÍA E INTERNET".
– ANEXO 2.2 del Título "Anexos Título II" de la Resolución CRC 5050 de 2016: "FORMATO PARA PRESENTACIÓN DE PQR".
– ANEXO 2.3 del Título "Anexos Título II" de la Resolución CRC 5050 de 2016: "FORMATOS DE LOS CONTRATOS ÚNICOS DE PRESTACIÓN DE SERVICIOS DE COMUNICACIONES".
– FORMATO 4.3 Y FORMATO 4.4. del Anexo 1 de la Resolución CRC 5076 de 2016 <Formato T.4.2*> <Formato T.4.3*>. "FORMATOS DE LOS CONTRATOS ÚNICOS DE PRESTACIÓN DE SERVICIOS DE COMUNICACIONES".
TELÉFONOS PÚBLICOS.
ARTÍCULO 2.1.28.1. DERECHOS DE LOS USUARIOS DE TELÉFONOS PÚBLICOS. <Artículo derogado por el artículo 80 de la Resolución 5586 de 2019>
ARTÍCULO 2.1.28.2. CALIDAD DEL SERVICIO. <Artículo derogado por el artículo 80 de la Resolución 5586 de 2019>
RÉGIMEN DE PROTECCIÓN DE LOS DERECHOS DE LOS USUARIOS DE LOS SERVICIOS POSTALES.
DISPOSICIONES GENERALES
ARTÍCULO 2.2.1.1. ÁMBITO DE APLICACIÓN. El presente régimen aplica a las relaciones surgidas entre los operadores y los usuarios de los servicios postales, en virtud del ofrecimiento y prestación de esta clase de servicios.
PARÁGRAFO 1. Los operadores postales habilitados con el régimen anterior a la expedición de la Ley 1369 de 2009, deberán dar pleno cumplimiento a lo dispuesto en el CAPÍTULO 2 del TÍTULO II.
PARÁGRAFO 2. El CAPÍTULO 2 del TÍTULO II no es aplicable a los casos en que se prestan servicios postales en los que las características del servicio y la totalidad de las condiciones, técnicas, económicas y jurídicas han sido negociadas y pactadas de mutuo acuerdo entre las partes del contrato y, por lo tanto, son el resultado del acuerdo particular y directo entre ellas.
(Resolución CRC 3038 de 2011, artículo 1)
ARTÍCULO 2.2.1.2. PRINCIPIOS ORIENTADORES. El CAPÍTULO 2 del TÍTULO II se aplicará con estricta sujeción a los principios legalmente previstos en el artículo 24 de la Ley 1369 de 2009. Igualmente, se consideran principios orientadores del régimen de protección de los derechos de los usuarios de los servicios postales los siguientes:
2.2.1.2.1. FAVORABILIDAD DE LOS USUARIOS. Toda duda en la interpretación de las cláusulas contractuales dentro de la relación entre el operador y el usuario de los servicios postales, cuando medie un contrato de adhesión, será decidida a favor de estos últimos, de manera que prevalezcan sus derechos.
2.2.1.2.2. SUMINISTRO DEL SERVICIO. Los operadores de servicios postales deben prestar los servicios en forma eficiente, óptima y oportuna, cumpliendo con las normas de calidad establecidas para los mismos, atendiendo los principios de igualdad y no discriminación, y de libre competencia.
2.2.1.2.3. LIBERTAD DE ELECCIÓN. La elección del operador de los servicios postales corresponde, sin perjuicio de los servicios que de conformidad con lo dispuesto en la Ley 1369 de 2009 debe proveer de manera exclusiva el operador postal oficial o concesionario de correo, de manera exclusiva al usuario. Ni los operadores, ni persona alguna con poder de decisión, pueden oponer acuerdos de exclusividad, ni limitar, condicionar o suspender el derecho a la libre elección que le asiste a los usuarios de los servicios postales.
2.2.1.2.4. RECIPROCIDAD. Los usuarios y los operadores de los servicios postales, deben respetar los derechos y obligaciones que se derivan para cada una de las partes como consecuencia del contrato de prestación del servicio, con sujeción a las condiciones contractuales y de acuerdo con lo establecido en la Ley y la regulación.
(Resolución CRC 3038 de 2011, artículo 2)
PRESTACIÓN DEL SERVICIO.CONTRATACIÓN DE LOS SERVICIOS POSTALES
ARTÍCULO 2.2.2.1. DEBER DE INFORMACIÓN. <Artículo modificado por el artículo 1 de la Resolución 5587 de 2019. El nuevo texto es el siguiente:> Previa celebración del contrato, y en todo momento durante su ejecución, los operadores postales y sus aliados suministrarán a los usuarios información clara, veraz, suficiente, precisa, completa, oportuna y gratuita, acerca de las características del servicio ofrecido, sus condiciones de prestación, haciendo referencia específica a su calidad y a las tarifas ofrecidas, con el fin de que los usuarios formen su consentimiento de manera libre y con todos los elementos necesarios para tomar la decisión de contratar los servicios ofrecidos por el operador postal.
Los operadores de servicios postales y sus aliados cumplirán este deber de información de acuerdo con las siguientes condiciones:
2.2.2.1.1 Para los puntos de atención a usuarios y puntos de prestación del servicio.
Los Operadores de Servicios Postales y sus aliados deberán divulgar a través de medio(s) físico(s) o digital(es) en todos los puntos de atención a usuarios y de prestación de servicios, la siguiente información, de forma clara y legible para los usuarios:
a) El contenido del contrato de prestación de servicios que rige el servicio postal contratado o el lugar de la página web del operador donde se pueda acceder a este;
b) Los parámetros y niveles de calidad del servicio en términos de cobertura, frecuencia y/o tiempos de entrega, entre otros;
c) La tarifa total del servicio, incluyendo los impuestos, tasas, contribuciones o cualquier otro cargo que tenga lugar;
d) Los derechos y deberes de los usuarios y Operadores de Servicios Postales;
e) La lista de los objetos postales prohibidos, de conformidad con lo establecido en el numeral 2.2.4.2.3 del ARTÍCULO 2.2.4.2 del TÍTULO II;
f) Las direcciones y teléfonos de las oficinas y líneas de atención al usuario y página web del operador;
g) El procedimiento y trámite de PQR así como de las solicitudes de indemnización;
h) Las metas y mediciones de los indicadores de los procesos de atención al usuario de conformidad con lo dispuesto en el ARTÍCULO 2.2.7.15 del TÍTULO II;
i) Las condiciones y restricciones de todas las promociones u ofertas vigentes;
j) La dirección, teléfono, correo electrónico y página web de la Superintendencia de Industria y Comercio.
<Inciso adicionado por el artículo 37 de la Resolución 7811 de 2025. El nuevo texto es el siguiente:> El deber de divulgación establecido en este numeral podrá ser cumplido mediante la puesta a disposición de un código QR, o cualquier mecanismo equivalente, en el punto de atención a usuarios o de prestación de servicios, que permita a cualquier persona acceder a la información de que trata este numeral.
2.2.2.1.2 Para la página web y aplicaciones.
Los Operadores de Servicios Postales deberán divulgar en la página principal de su página web y en las aplicaciones (si cuenta con este desarrollo para la prestación de sus servicios), en lugar visible y de fácil acceso al usuario o aplicaciones la siguiente información:
a) El contenido del contrato de prestación de servicios, que rige el servicio postal contratado, incluyendo las condiciones económicas, técnicas, jurídicas y comerciales que rigen el suministro del servicio;
b) El Régimen de Protección de los Derechos de los Usuarios de los Servicios Postales;
c) Los parámetros y niveles de calidad del servicio en términos de cobertura, frecuencia y/o tiempos de entrega, entre otros;
d) La tarifa total del servicio, incluyendo los impuestos, tasas, contribuciones o cualquier otro cargo que tenga lugar;
e) La lista de los objetos postales prohibidos, de conformidad con lo establecido en el numeral 2.2.4.2.3 del ARTÍCULO 2.2.4.2 del TÍTULO II;
f) Las direcciones y teléfonos de las oficinas y líneas de atención al usuario y página web del operador;
g) El procedimiento y trámite de PQR, así como de las solicitudes de indemnización;
h) Las metas y mediciones de los indicadores de los procesos de atención al usuario de conformidad con lo dispuesto en el ARTÍCULO 2.2.7.15 del TÍTULO II;
i) Las condiciones y restricciones de todas las promociones u ofertas vigentes;
j) La dirección, teléfono, correo electrónico y página web de la Superintendencia de Industria y Comercio.
PARÁGRAFO 1o. Los textos de los contratos y cualquier otra información suministrada por escrito por el operador sobre las condiciones a que se sujeten los servicios postales prestados, deben ser elaborados con letra no inferior a cinco (5) milímetros, de tal manera que sea fácilmente legible y visible por parte del usuario.
PARÁGRAFO 2o. Los operadores de servicios postales se abstendrán de hacer uso de marcas, leyendas y/o propaganda comercial que no correspondan a la realidad y que puedan llegar a inducir a error al usuario, en relación con el precio, las características, las propiedades, la calidad y/o idoneidad del servicio ofrecido.
ARTÍCULO 2.2.2.2. LINEA DE ATENCIÓN Y DIRECCIÓN DE CORREO ELECTRÓNICO DE ATENCIÓN A LOS USUARIOS. Los operadores de los servicios postales deberán ofrecer un número o números telefónicos de información a los usuarios y una dirección de correo electrónico, los cuales serán informados a los usuarios, al momento de la recepción del objeto postal. Lo anterior sin perjuicio que los operadores postales decidan implementar una línea de atención telefónica para sus usuarios sin costo alguno.
Así mismo, cuando el servicio postal prestado requiera de guía o prueba de admisión, dicha información debe aparecer impresa y en forma visible en las guías o pruebas de admisión que se entreguen al usuario al momento de recepción del objeto postal.
(Resolución CRC 3038 de 2011, artículo 5)
ARTÍCULO 2.2.2.3. CONTENIDO DEL CONTRATO. Los contratos de prestación de servicios postales deben contener como mínimo, la siguiente información:
a. Partes.
b. Servicio postal contratado.
c. Precio y forma de pago.
d. Plazo máximo y condiciones para la entrega de los envíos postales.
e. Obligaciones del operador.
f. Obligaciones del usuario.
g. Derechos del usuario en relación con el servicio postal contratado.
h. Causales de incumplimiento del operador postal.
i. Consecuencias del incumplimiento del operador postal.
j. Causales de exención de responsabilidad del operador postal.
k. Trámite de PQRs y solicitudes de indemnización.
PARÁGRAFO. Se excluye del cumplimiento del presente artículo a aquéllos servicios postales que tengan como objeto la recepción, clasificación, transporte y entrega de objetos postales hacia otros países o con recepción desde el exterior.
(Resolución CRC 3038 de 2011, artículo 6)
ARTÍCULO 2.2.2.4. CLÁUSULAS PROHIBIDAS. En los contratos de prestación de servicios postales, no pueden incluirse cláusulas que:
a. Excluyan o limiten la responsabilidad que corresponde a los operadores, por la prestación del servicio postal, de conformidad con el régimen jurídico aplicable y, en especial, con el régimen de protección de los derechos de los usuarios de servicios postales.
b. Limiten el derecho del usuario a solicitar indemnización de perjuicios, en caso de incumplimiento del operador postal.
c. Limiten los derechos y deberes consagrados en el régimen de protección de los derechos de los usuarios de servicios postales, en el contrato o en la Ley.
d. Hagan que el usuario renuncie a los derechos que expresamente le han sido conferidos.
(Resolución CRC 3038 de 2011, artículo 7)
ARTÍCULO 2.2.2.5. RÉGIMEN DE MODIFICACIONES. Los operadores de servicios postales, no pueden modificar, en forma unilateral, las condiciones previstas en el contrato. Tampoco pueden imponer ni cobrar servicios que no hayan sido previamente aceptados por el usuario.
La modificación en las tarifas de los servicios postales, entrarán a regir una vez sean debidamente informadas a los usuarios, de conformidad con el procedimiento establecido en el ARTÍCULO 2.2.2.1 del TÍTULO II.
(Resolución CRC 3038 de 2011, artículo 8)
PRESTACIÓN DEL SERVICIO.NORMAS RELATIVAS A LA EJECUCIÓN DEL CONTRATO DE SERVICIOS POSTALES
ARTÍCULO 2.2.3.1. SEGURIDAD DE LA RED POSTAL E INVIOLABILIDAD DE LOS ENVÍOS POSTALES. Los operadores postales deben garantizar la seguridad de la red postal con el fin de asegurar la inviolabilidad de los envíos postales de los usuarios, la información que curse a través de ella y los datos personales de los usuarios.
Salvo las excepciones previstas en el artículo 15 de la Constitución Política, los operadores postales no permitirán, ni por acción ni por omisión, la interceptación o violación de los envíos postales que cursen por sus redes. Si la violación proviene de un tercero, y el operador postal tiene conocimiento de dicha violación, debe tomar de inmediato las medidas necesarias para que la conducta cese, e informar a las autoridades. Para ello, cada operador postal deberá implementar procesos formales de tratamiento de incidentes de seguridad de la red postal e inviolabilidad de los envíos postales.
PARÁGRAFO. Cualquier forma de violación a la libertad y confidencialidad de los envíos postales, será considerada una infracción postal muy grave y será sancionada de conformidad a lo dispuesto en el Título VII de la Ley 1369 de 2009.
(Resolución CRC 3038 de 2011, artículo 9)
ARTÍCULO 2.2.3.2. INTERCEPTACIÓN DE LOS ENVÍOS POSTALES. Los envíos postales sólo podrán ser interceptados y abiertos, cuando medie una orden motivada proveniente de autoridad competente.
Lo anterior se aplicará sin perjuicio de los controles sanitarios efectuados sobre los envíos postales procedentes de otros países.
(Resolución CRC 3038 de 2011, artículo 10)
ARTÍCULO 2.2.3.3. SEGURIDAD DE LOS DATOS E INFORMACIONES. <Artículo modificado por el artículo 7 de la Resolución 5586 de 2019. El nuevo texto es el siguiente:> Los operadores de servicios postales adoptarán mecanismos que garanticen el manejo confidencial, la integridad y disponibilidad de los datos de sus usuarios, los cuales solo podrán ser requeridos por autoridad judicial, tal y como lo prevé el artículo 51 de la Ley 1369 de 2009.
Los datos suministrados por los usuarios para efectos de la adquisición de servicios o la atención de PQRs y/o solicitudes de indemnización no pueden ser usados por los operadores de servicios postales para la elaboración de bases de datos con fines comerciales o publicitarios, distintos a los directamente relacionados con los servicios ofrecidos por el operador, salvo que medie autorización expresa y escrita del usuario.
ARTÍCULO 2.2.3.4. PROMOCIONES Y OFERTAS. De conformidad con lo dispuesto en el Código de Comercio, los términos de las promociones y las ofertas obligan a quien las realiza. De no indicarse la fecha de la iniciación de la promoción u oferta, se entenderá que rige a partir del momento en que fue puesta en conocimiento de los potenciales usuarios.
La omisión de información relacionada con la fecha hasta la cual está vigente la promoción o de condiciones que dan término a su vigencia, hará que la promoción se entienda válida por tiempo indefinido hasta que se dé a conocer la revocatoria de la misma, por los mismos medios e intensidad con que se haya dado a conocer originalmente.
Sin perjuicio del cumplimiento de las normas especiales vigentes, las condiciones y restricciones de las promociones y ofertas publicitadas por los operadores de servicios postales, deben ser claramente identificables por los potenciales usuarios, independientemente del medio a través del cual se divulguen. Cuando el usuario adquiera una promoción u oferta, el operador deberá informarle sobre las condiciones y restricciones en que éstas operan, y almacenar el soporte de la información suministrada por un término de seis (6) meses contados a partir del momento del suministro de dicha información.
En todo caso, la empresa deberá almacenar las evidencias de la publicidad efectuada sobre las condiciones y restricciones de las promociones y ofertas por un término de seis (6) meses contados a partir de la expiración de éstas.
Las condiciones de las promociones y ofertas, informadas a los usuarios, a través de cualquiera de los mecanismos de atención dispuesto por el operador, lo vinculan jurídicamente. El operador no podrá excusarse en el error, para proceder al cobro de servicios y valores no informados al momento de la adquisición de la promoción u oferta por parte del usuario.
(Resolución CRC 3038 de 2011, artículo 12)
OBLIGACIONES DE LOS USUARIOS
ARTÍCULO 2.2.4.1. OBLIGACIONES GENERALES DE LOS USUARIOS. Sin perjuicio de las que por vía general les imponen las normas y los contratos de prestación del servicio, son obligaciones de los usuarios de los servicios postales las siguientes:
2.2.4.1.1. Hacer uso adecuado de la red postal y del servicio postal a contratar, de acuerdo con lo establecido en la normatividad vigente aplicable.
2.2.4.1.2. Cumplir cabalmente los compromisos contractuales adquiridos.
2.2.4.1.3. Hacer uso de la información suministrada por los operadores postales para la correcta ejecución del contrato y la prestación del servicio.
2.2.4.1.4. Verificar con el operador postal si el objeto postal a enviar requiere de un embalaje especial.
2.2.4.1.5. Identificarse ante el respectivo operador postal con su tarjeta de identidad, cédula de ciudadanía, cédula de extranjería ó pasaporte como requisito previo a la expedición de la prueba de admisión, de la prueba de entrega o de la guía.
(Resolución CRC 3038 de 2011, artículo 13)
ARTÍCULO 2.2.4.2. OBLIGACIONES ESPECIALES PARA LOS USUARIOS REMITENTES. En atención a lo dispuesto en el artículo 28 de la Ley 1369 de 2009, los usuarios remitentes de los servicios postales, frente a la contratación de esta clase de servicios, tienen las siguientes obligaciones:
2.2.4.2.1. Pagar la tarifa del servicio postal contratado.
2.2.4.2.2. Cumplir las condiciones de prestación del servicio postal divulgadas amplia y expresamente por el operador de servicios postales, tal y como así lo prevé el ARTÍCULO 2.2.2.1 del TÍTULO II.
2.2.4.2.3. Abstenerse de enviar objetos prohibidos o peligrosos, de acuerdo con las normas vigentes. Para estos efectos se consideran como objetos postales prohibidos los siguientes:
a. Objetos cuyo trasporte esté prohibido por la Ley.
b. Objetos cuya importación o circulación esté prohibida en el país de destino.
c. Objetos que por su naturaleza o embalaje pongan en peligro a los empleados de los servicios postales o al público en general, o que puedan ensuciar o dañar otros objetos postales, o los equipos del operador.
d. Animales vivos.
e. El envío de papel moneda, títulos valores de cualquier tipo pagaderos al portador, platino, oro, plata, piedras preciosas, joyas y otros objetos de valor de similar naturaleza, que no se envíen asegurados. La prohibición del envío de papel moneda no opera en la admisión de dinero por parte del operador de servicios postales de pago que suministre esta clase de servicios a sus usuarios.
f. Los objetos cuyo tráfico sea constitutivo de un delito.
g. Los objetos que se determinen en convenios internacionales de los cuales Colombia sea signataria.
Las anteriores prohibiciones se aplicarán en consonancia con lo establecido en los reglamentos de la Unión Postal Universal y conforme a las excepciones allí propuestas.
2.2.4.2.4. Abstenerse de utilizar los servicios postales prestados por terceros que no se encuentren inscritos en el Registro de Operadores Postales.
PARÁGRAFO. El usuario remitente de un objeto postal será responsable por los daños ocasionados a otros objetos postales cuando se trate de envíos cuyo transporte está prohibido por la Ley, por los reglamentos de la Unión Postal Universal, o por no haber cumplido con las condiciones de despacho de sustancias riesgosas, salvo que se compruebe la culpa exclusiva del Operador Postal.
(Resolución CRC 3038 de 2011, artículo 14)
ARTÍCULO 2.2.4.3. TRATAMIENTO DE LOS OBJETOS POSTALES PROHIBIDOS. Cuando un operador postal sospeche de manera fundada que un envío presentado en su oficina de admisión contiene algún objeto cuya circulación se encuentre prohibida, o que no corresponda al contenido declarado, se invitará al usuario remitente a que lo abra, y si éste se resistiere a hacerlo, se denegará su admisión.
De ser previsible la comisión de un delito se acudirá inmediatamente a las autoridades de policía o a la Fiscalía General de la Nación, de conformidad con lo dispuesto en el ARTÍCULO 2.2.3.2 del TÍTULO II.
Cuando el operador tenga fundada sospecha de que alguno de los envíos ya admitidos, contiene un objeto prohibido, y en caso de que el mismo no implique la comisión de un delito, deberá contactar al usuario remitente o en su defecto al usuario destinatario con el fin de solicitar su autorización para abrir el objeto postal.
En caso de que el usuario contactado se negare a la solicitud, el operador postal no está obligado a cursar dicho envío a través de la red postal, con el fin de preservar la seguridad de la misma.
Transcurridos los tres (3) meses de que trata el artículo 52 de la Ley 1369 de 2009, sin que haya sido posible contactar al usuario u obtener su autorización para abrir el objeto postal ya admitido, el operador postal podrá abrir el objeto postal y verificar si el mismo corresponde a un objeto postal prohibido, de conformidad con lo dispuesto en el numeral 2.2.4.2.3 del TÍTULO II.
De tratarse de un objeto prohibido, el operador podrá disponer del bien con estricta sujeción al procedimiento que para tales efectos señale el Ministerio de Tecnologías de la Información y las Comunicaciones en virtud de lo dispuesto en el mencionado artículo 52.
En caso de que el objeto postal no constituya un objeto prohibido, el operador deberá entregar el objeto al usuario destinatario o devolverlo al usuario remitente en el mismo término del servicio inicialmente contratado.
El operador dejará constancia de las gestiones llevadas a cabo para contactar al usuario remitente o en su defecto al usuario destinatario, así como de la verificación acerca de si el objeto postal constituye o no un objeto prohibido. Las constancias se conservarán en los términos previstos en el artículo 35 de la Ley 1369 de 2009.
(Resolución CRC 3038 de 2011, artículo 15)
OBLIGACIONES DE LOS OPERADORES POSTALES
ARTÍCULO 2.2.5.1. OBLIGACIONES DE LOS OPERADORES DE LOS SERVICIOS POSTALES. <Artículo modificado por el artículo 8 de la Resolución 5586 de 2019. El nuevo texto es el siguiente:> Sin perjuicio de las demás obligaciones contractuales y legales, y aquellas previstas en el ARTÍCULO 2.2.2.1 del TÍTULO II, los operadores postales tendrán las siguientes obligaciones frente a los usuarios:
2.2.5.1.1. Suministrar información precisa y actualizada acerca de los servicios que presta y, en particular, de las condiciones de acceso, tarifas, cobertura, frecuencia, tiempo de entrega del objeto postal, niveles de calidad, y procedimiento para la atención y trámite de las PQRs y las solicitudes de indemnización.
2.2.5.1.2. Establecer, de manera clara, simple y gratuita, los procedimientos internos para el trámite de las PQRs, así como de las solicitudes de indemnización con sujeción a lo previsto en el artículo 32 de la Ley 1369 de 2009 y lo dispuesto en el presente régimen. Estos procedimientos deberán ser congruentes con las disposiciones relativas al derecho de petición y a las actuaciones administrativas, consagradas en la Parte Primera del Código de Procedimiento Administrativo y de lo Contencioso Administrativo o en las normas que lo sustituyan.
2.2.5.1.3. Prestar el Servicio Postal, sin discriminación alguna entre los usuarios que se encuentren en condiciones análogas.
2.2.5.1.4. Reparar a los usuarios en los casos de pérdida, expoliación o avería, de conformidad con lo previsto en el artículo 25 de la Ley 1369 de 2009.
2.2.5.1.5. Prestar el servicio bajo el cumplimiento de las condiciones ofrecidas y las características inherentes o propias de cada servicio.
2.2.5.1.6. Prestar los servicios postales con calidad e idoneidad, de conformidad a las habilitaciones que los facultan para operar y con los requisitos y condiciones dispuestos en el CAPÍTULO 2 del TÍTULO II y demás normas técnicas vigentes.
2.2.5.1.7. Informar al usuario el tipo de embalaje requerido para el envío del objeto postal.
2.2.5.1.8. Los operadores postales deberán establecer mecanismos de atención preferencial a infantes, personas con algún tipo de discapacidad, mujeres gestantes, adultos mayores y veteranos de la Fuerza Pública, quienes tendrán prelación en el turno sobre cualquier otra.
DERECHOS DE LOS USUARIOS
ARTÍCULO 2.2.6.1. DERECHOS DE LOS USUARIOS. De conformidad con lo previsto en la Ley 1369 de 2009, y sin perjuicio de lo dispuesto en el Decreto 3466 de 1982 y el ejercicio de las acciones judiciales pertinentes, los operadores postales deben asegurar a sus usuarios los siguientes derechos:
2.2.6.1.1. El secreto e inviolabilidad de las comunicaciones postales.
2.2.6.1.2. El respeto a la intimidad.
2.2.6.1.3. La neutralidad y confidencialidad de los servicios postales.
2.2.6.1.4. La igualdad de trato a los usuarios de los Servicios Postales que estén en condiciones análogas.
2.2.6.1.5. La prestación del servicio libre de cualquier tipo de discriminación, especialmente derivadas de consideraciones políticas, religiosas, ideológicas, étnicas, etcétera.
2.2.6.1.6. La amplia divulgación de las condiciones de prestación de los servicios postales, en especial las que se refieren a cobertura, frecuencia, tiempo de entrega, tarifas y trámite de las peticiones y reclamaciones.
2.2.6.1.7. La indemnización por pérdida, expoliación o avería de los objetos postales.
2.2.6.1.8. La devolución al remitente de los objetos postales que no hayan sido entregados al destinatario y la modificación de la dirección para una nueva remisión del envío mediante el pago de las tarifas correspondientes, siempre que las condiciones en relación con la cobertura fijadas por el operador postal para la prestación del servicio lo permitan.
2.2.6.1.9. La prestación permanente de los servicios postales.
2.2.6.1.10. La prestación del servicio contratado de conformidad con las condiciones ofrecidas.
2.2.6.1.11. La identificación de todos los operadores postales que intervienen en la prestación del servicio postal solicitado por el usuario, a medida que éstos se vayan identificando en el tránsito del objeto postal.
2.2.6.1.12. Los contemplados en los acuerdos y convenios internacionales vigentes ratificados por Colombia.
(Resolución CRC 3038 de 2011, artículo 17)
ARTÍCULO 2.2.6.2. DERECHOS DE LOS USUARIOS REMITENTES. <Artículo modificado por el artículo 9 de la Resolución 5586 de 2019. El nuevo texto es el siguiente:> De conformidad con lo previsto en la Ley 1369 de 2009, y sin perjuicio de lo dispuesto en el Decreto 3466 de 1982 y el ejercicio de las acciones judiciales pertinentes, los operadores postales deben asegurar a sus usuarios remitentes los siguientes derechos:
2.2.6.2.1. La propiedad sobre los objetos postales, hasta tanto no sean entregados al usuario destinatario.
2.2.6.2.2. Obtener la devolución de los envíos que no hayan sido entregados a los usuarios destinatarios.
2.2.6.2.3. Solicitar la reexpedición de sus envíos a distinto lugar del inicialmente indicado, previo el pago de la tarifa que genera dicha reexpedición.
2.2.6.2.4. Solicitar las indemnizaciones en los casos de avería, expoliación y pérdida, en concordancia con lo previsto en el artículo 25 de la Ley 1369 de 2009.
2.2.6.2.5. Solicitar al operador la reparación de los perjuicios que se generen con ocasión del incumplimiento de las condiciones que rigen la prestación del servicio.
Tan pronto como el usuario presente la solicitud de reexpedición del envío postal, el operador deberá informarle la tarifa a pagar y las condiciones de prestación de este servicio, tarifa y condiciones que en todo caso deben observar los mismos parámetros tenidos en cuenta en la fijación del servicio inicialmente contratado, de manera tal que el usuario pueda tomar la decisión de desistir o no de tal solicitud.
Cuando se trate de reexpediciones internacionales, se deberán tener en cuenta las disposiciones aduaneras aplicables.
(Resolución CRC 3038 de 2011, artículo 19)
ARTÍCULO 2.2.6.4. DERECHOS DE LOS USUARIOS DESTINATARIOS. De conformidad con lo previsto en la Ley 1369 de 2009, y sin perjuicio de lo dispuesto en el Decreto 3466 de 1982 y el ejercicio de las acciones judiciales pertinentes, los operadores postales deben asegurar a sus usuarios destinatarios los siguientes derechos:
2.2.6.4.1. Recibir los objetos postales enviados por el remitente, con el cumplimiento de todas las condiciones del servicio divulgadas por el Operador Postal.
2.2.6.4.2. Obtener información acerca de los envíos registrados a su nombre. En los servicios de correo sólo aplicara a los envíos certificados.
2.2.6.4.3. Rechazar los envíos, aún cuando vengan a su nombre, para lo cual deberá dejar constancia por escrito del rechazo y los motivos.
2.2.6.4.4. Presentar, dentro de los cinco (5) días hábiles siguientes al recibo del objeto postal, reclamaciones cuando descubra averías en el objeto con posterioridad a la entrega.
2.2.6.4.5. Percibir las indemnizaciones a que tiene derecho el usuario remitente, siempre y cuando éste le ceda de manera expresa ese derecho.
(Resolución CRC 3038 de 2011, artículo 20)
ATENCIÓN AL USUARIO, PQR Y SOLICITUDES DE INDEMNIZACIÓN
ARTÍCULO 2.2.7.1. PQR. Los usuarios de los servicios postales tienen derecho a presentar pqrs relacionados con la prestación del servicio postal contratado.
Por su parte, los operadores postales tienen la obligación de recibir, atender, tramitar y responder las PQRs presentadas por sus usuarios.
El trámite de las PQR se regirá por las normas relativas al derecho de petición, consagradas en el Código de Procedimiento Administrativo y de lo Contencioso Administrativo.
Contra las decisiones que resuelvan las PQR de los usuarios, proceden los recursos de reposición y, en subsidio, de apelación dentro de los diez (10) días hábiles siguientes a la notificación de las mismas y deberán ser tramitados y resueltos de conformidad con las reglas del Código de Procedimiento Administrativo y de lo Contencioso Administrativo.
(Resolución CRC 3038 de 2011, artículo 21 - modificado por la Resolución CRC 3985 de 2012)
ARTÍCULO 2.2.7.2. SOLICITUDES DE INDEMNIZACIÓN. <Artículo modificado por el artículo 10 de la Resolución 5586 de 2019. El nuevo texto es el siguiente:> Los usuarios de los servicios postales tienen derecho a presentar solicitudes para el reconocimiento y pago de las indemnizaciones, en concordancia con lo previsto en el numeral 3 del artículo 25 de la Ley 1369 de 2009.
Ante la inconformidad del usuario respecto de la decisión que fija el monto de la indemnización o niega el reconocimiento de la misma, procede el recurso de reposición y, en subsidio, de apelación dentro de los diez (10) días hábiles siguientes a la notificación de dicha decisión y deberán ser tramitados y resueltos de conformidad con las reglas del Código de Procedimiento Administrativo y de lo Contencioso Administrativo.
En todo caso, el pago de la indemnización solicitada, en caso de ser procedente, debe hacerse dentro de los treinta (30) días hábiles siguientes a la presentación de dicha solicitud cuando no se hayan interpuesto recursos por parte del usuario. En caso de ser interpuestos los recursos, el pago de la indemnización debe hacerse dentro de los sesenta (60) días hábiles siguientes a la presentación de la solicitud.
ARTÍCULO 2.2.7.3. FORMA DE PRESENTACIÓN. <Ver SUSPENSIÓN parcial de este artículo en Notas de Vigencia> Los usuarios de los servicios postales pueden presentar las PQR y las solicitudes de indemnización en forma verbal, escrita o mediante cualquier medio tecnológico o electrónico dispuesto para tal fin por los operadores postales.
Para efectos de la presentación de las PQR y de las solicitudes de indemnización, los usuarios deberán indicar, independientemente de la forma en que éstas sean presentadas, su nombre e identificación, la fecha de imposición del objeto postal, el nombre y dirección del remitente y del destinatario y los hechos en que se fundamenta la PQR o la solicitud de indemnización.
Los operadores de los servicios postales deberán tener disponibles formatos de presentación de PQR y solicitudes de indemnización en todos los puntos de atención al usuario y en su página web. En dichos formatos deberá constar únicamente la información prevista en el inciso anterior, sin que el operador pueda solicitar información adicional a la indicada anteriormente. Lo anterior sin perjuicio del derecho que le asiste al usuario de presentar la PQR y la solicitud de indemnización en cualquier forma.
En las solicitudes de indemnización el usuario acompañará dicha solicitud de la copia de su documento de identificación, copia simple y legible de la guía, prueba de admisión, o prueba de entrega, salvo en los servicios postales que no requieran las anteriores exigencias. En los casos en los que el usuario no conserve el documento a que se refiere el presente inciso y así lo manifieste en la solicitud de indemnización, el operador postal está obligado a agregar al respectivo expediente la copia correspondiente. Los operadores postales no podrán exigir la presentación de documentos adicionales.
Cuando se presenten PQR y solicitudes de indemnización en forma verbal, el operador postal se encuentra facultado para resolverlas verbalmente, entregando al usuario una constancia de su presentación.
La respuesta por parte del operador postal, puede darse en el momento mismo de la presentación, o con posterioridad en caso de requerirse la práctica de pruebas para esclarecer los hechos, atendiendo los términos establecidos por Ley.
El operador postal deberá entregar al usuario, por cualquier medio idóneo constancia de la presentación de la PQR o solicitud de indemnización, y el respectivo Código Único Numérico asignado, sin importar si la presentación se surtió de forma verbal o escrita. En caso de ser escrita se hará constar adicionalmente la fecha de radicación.
(Resolución CRC 3038 de 2011, artículo 23)
ARTÍCULO 2.2.7.4. FORMALIDADES. <Ver SUSPENSIÓN parcial de este artículo en Notas de Vigencia> Con el fin de garantizar el derecho de los usuarios a presentar PQR y solicitudes de indemnización, los operadores de los servicios postales observarán las siguientes formalidades:
2.2.7.4.1. Las PQR y solicitudes de indemnización serán tramitadas de conformidad con las normas vigentes sobre el derecho de petición.
2.2.7.4.2. Los operadores postales deben informar a los usuarios, sobre su derecho a presentar PQR y solicitudes de indemnización, a través de su página web, su línea o líneas telefónicas y en todos sus puntos de atención, de conformidad con lo dispuesto en el ARTÍCULO 2.2.2.1 del TÍTULO II.
2.2.7.4.3. Cuando el operador postal decida una PQR o solicitud de indemnización presentada por un usuario, deberá informar a este último los recursos que proceden contra dicha decisión, los plazos para interponerlos y la autoridad ante la cual pueden presentarse.
(Resolución CRC 3038 de 2011, artículo 24)
ARTÍCULO 2.2.7.5. TÉRMINO PARA PRESENTAR LAS PQR Y SOLICITUDES DE INDEMNIZACIÓN. Los usuarios de los servicios postales podrán presentar PQR en cualquier momento.
Las solicitudes de indemnización por la pérdida, expoliación o avería, deberán ser presentadas por el remitente dentro de los diez (10) días calendario siguientes a la recepción del objeto postal cuando se trate de servicios nacionales, y seis (6) meses cuando se trate de servicios internacionales.
Las solicitudes de indemnización por expoliación o avería deberán ser presentadas por el usuario destinatario, dentro de los cinco (5) días hábiles siguientes al recibo del objeto postal.
El operador postal no se encuentra obligado a indemnizar al usuario por las solicitudes que sean presentadas por fuera de los términos dispuestos en el presente artículo.
PARÁGRAFO. Cuando el tiempo de entrega contratado del objeto postal para servicios nacionales sea mayor a diez (10) días hábiles, el usuario remitente sólo podrá presentar la solicitud de indemnización una vez haya transcurrido dicho tiempo contratado.
(Resolución CRC 3038 de 2011, artículo 25)
ARTÍCULO 2.2.7.6. REGISTRO DE PQR Y SOLICITUDES DE INDEMNIZACIÓN. Los operadores postales deben llevar de manera electrónica o por cualquier otro medio, un registro debidamente actualizado de las PQR y solicitudes de indemnización presentadas por los usuarios, en el cual se identifique: el nombre, identificación y la dirección del usuario; la fecha de presentación; el Código Único Numérico asignado; el motivo de la PQR o solicitud de indemnización; la fecha en que el operador dio respuesta y un resumen de dicha respuesta.
PARÁGRAFO 1. Los operadores deben entregar al usuario, por cualquier medio idóneo, un Código Único Numérico -CUN- que identifique la PQR o solicitud de indemnización presentada el cual deberá mantenerse durante todo el trámite, incluido el recurso de apelación ante la Superintendencia de Industria y Comercio. En el caso de PQRs presentadas por escrito, el operador deberá entregar adicionalmente una constancia que incluya la fecha de radicación.
PARÁGRAFO 2. Los rangos de numeración de los Códigos Únicos Numéricos, serán administrados y asignados a los operadores postales por la Superintendencia de Industria y Comercio, de conformidad con los términos que dicha Entidad establezca.
(Resolución CRC 3038 de 2011, artículo 26)
ARTÍCULO 2.2.7.7. SEGUIMIENTO DE PQR Y SOLICITUDES DE INDEMNIZACIÓN. Los usuarios que hayan presentado PQR o solicitudes de indemnización, tienen derecho a consultar y obtener información precisa, en cualquier momento, acerca del estado del trámite de las mismas, mediante la utilización del Código Único Numérico suministrado por el operador al momento de la presentación de la acción. Los operadores deben establecer mecanismos que permitan dicha consulta, haciendo uso de su página web y de la línea o líneas de atención al usuario.
(Resolución CRC 3038 de 2011, artículo 27)
ARTÍCULO 2.2.7.8. CONTENIDO DE LAS DECISIONES. Las decisiones proferidas por los operadores postales en relación con las PQR y solicitudes de indemnización presentadas por los usuarios, deben contener como mínimo los siguientes aspectos:
a. Resumen de los hechos en que se fundamenta la PQR o solicitud de indemnización.
b. La descripción detallada de las acciones adelantadas por el operador para la verificación de los hechos.
c. Los fundamentos jurídicos, técnicos y/o económicos de la decisión.
d. Recursos que proceden contra la decisión.
e. Forma y plazo para interposición de recursos.
(Resolución CRC 3038 de 2011, artículo 28)
ARTÍCULO 2.2.7.9. NOTIFICACIÓN DE LAS DECISIONES. <Ver SUSPENSIÓN parcial de este artículo en Notas de Vigencia> <Artículo modificado por el artículo 2 de la Resolución 5587 de 2019. El nuevo texto es el siguiente:> Las decisiones adoptadas por los operadores dentro del trámite de una PQR o solicitud de indemnización, serán notificadas de conformidad con lo dispuesto en los artículos 67, 68 y 69 del Código de Procedimiento Administrativo y de lo Contencioso Administrativo o en las normas que lo modifiquen, complementen o sustituyan.
Los operadores postales podrán determinar como mecanismos alternos de notificación, el servicio de mensajería expresa, la notificación en línea a través de internet y las notificaciones por medio de correo electrónico, los cuales deben garantizar de manera efectiva el conocimiento de la decisión por parte del usuario. Dichos mecanismos deberán cumplir los requisitos que para tales efectos determine la Superintendencia de Industria y Comercio (SIC).
En relación con las notificaciones electrónicas, se entenderán surtidas a partir de la fecha y hora en que el usuario acceda electrónicamente al contenido de la decisión, que debe ser certificada por el operador, de conformidad con lo previsto en el artículo 56 del Código de Procedimiento Administrativo y de lo Contencioso Administrativo o la norma que la modifique, complemente o sustituya.
Las notificaciones personales se surtirán en la misma oficina donde se presentó la PQR o la solicitud de indemnización. En caso de haber sido formulada verbalmente la PQR o solicitud de indemnización, y el operador requiera dar respuesta por escrito, la notificación se hará en la oficina de atención al usuario más cercana a la dirección suministrada por el usuario para dicho efecto.
ARTÍCULO 2.2.7.10. TÉRMINO PARA RESPONDER LAS PQR Y LAS SOLICITUDES DE INDEMNIZACIÓN. Los operadores deberán resolver la PQR o solicitud de indemnización presentada, dentro de los quince (15) días hábiles siguientes a su recibo. Este término podrá ampliarse si hay lugar a la práctica de pruebas, situación que deberá ser informada al usuario, de conformidad con lo establecido en el Código de Procedimiento Administrativo y de lo Contencioso Administrativo.
Contra estas decisiones proceden los recursos de reposición y en subsidio de apelación. El recurso de apelación será atendido por la Superintendencia de Industria y Comercio como autoridad encargada de la protección de los usuarios y consumidores.
Transcurrido el término para resolver la petición, queja, recurso de reposición (PQR) o solicitud de indemnización sin que se hubiere resuelto de fondo y notificado dicha decisión, operará de pleno derecho el silencio administrativo positivo y se entenderá que la PQR o solicitud de indemnización ha sido resuelta en forma favorable al usuario, sin perjuicio de las sanciones a que haya lugar, de conformidad con el artículo 79 de la Ley 1480 de 2011, sin que sea necesario llevar a cabo el procedimiento señalado en el artículo 85 del Código de Procedimiento Administrativo y de lo Contencioso Administrativo.
(Resolución CRC 3038 de 2011, artículo 30 - modificado por la Resolución CRC 3985 de 2012)
ARTÍCULO 2.2.7.11. RECURSOS. La interposición de recursos se regirá por las siguientes reglas:
2.2.7.11.1. Recurso de reposición. El recurso de reposición deberá interponerse dentro de los diez (10) días hábiles siguientes a la fecha en que se surta la notificación de la decisión al usuario, ante el mismo funcionario que haya proferido la decisión, por cualquiera de los medios mencionados en el numeral 2.2.7.4.2 del ARTÍCULO 2.2.7.4 del TÍTULO II. Dicho recurso será radicado en la Oficina de Atención al Usuario o mediante cualquier medio tecnológico dispuesto por el operador para el efecto.
Cualquier manifestación de inconformidad respecto de la decisión proferida por el operador, dentro del término y en las condiciones mencionadas previamente, será atendida y tramitada como recurso de reposición.
El operador postal tendrá quince (15) días hábiles para resolver el recurso de reposición y notificar la decisión adoptada, término que podrá ampliarse, mediante decisión motivada, hasta por uno igual si hay lugar a la práctica de pruebas, situación que deberá ser comunicada al usuario de conformidad con lo establecido en el Código de Procedimiento Administrativo y de lo Contencioso Administrativo.
2.2.7.11.2. Recurso de apelación. Al momento de la interposición del recurso de reposición por parte del usuario, el operador deberá informarle, siempre en forma expresa y verificable, el derecho que tiene a interponer el recurso de apelación, en virtud del cual, en caso de que la respuesta del operador al recurso de reposición sea desfavorable a sus solicitudes, este último remitirá dentro de los cinco (5) días siguientes el expediente a la Superintendencia de Industria y Comercio para que ésta resuelva el mismo.
En la presentación de los recursos se tendrán en cuenta las siguientes reglas:
a. Cuando el recurso sea formulado por escrito, esto es, a través de medio impreso o electrónico, según la elección del usuario, el operador le entregará dicha información a través de documento escrito e impreso en cuyo formato se incluirán casillas que le permitan escoger entre la interposición o no del recurso de apelación, documento que una vez diligenciado por el usuario, debe ser anexado por el operador al escrito de reposición.
b. Cuando el recurso sea formulado de manera verbal, la información antes señalada y la opción de escoger entre la interposición o no del recurso de apelación, deberá entregarse por el mismo medio y el operador almacenará evidencia de la respuesta del usuario por un término de por lo menos seis (6) meses.
(Resolución CRC 3038 de 2011, artículo 31 - modificado por la Resolución CRC 3985 de 2012)
ARTÍCULO 2.2.7.12. OFICINAS DE ATENCIÓN AL USUARIO: Los operadores postales deben disponer de oficinas de atención al usuario en los diferentes municipios en que presten sus servicios o de mecanismos tecnológicos idóneos que permitan recibir, atender, tramitar y responder las pqr y solicitudes de indemnización presentadas por sus usuarios. para tal fin, los operadores de servicios postales deben informar a los usuarios la existencia de dichos medios de atención, los cuales podrán en todo caso prestarse, entre otras, mediante convenios con sus distribuidores comerciales o con otros operadores postales, puntos virtuales de atención o cualquier otro medio idóneo.
(Resolución CRC 3038 de 2011, artículo 32)
ARTÍCULO 2.2.7.13. LÍNEA DE ATENCIÓN AL USUARIO. Para la presentación de PQR y solicitudes de indemnización, a través del número o números telefónicos de atención al usuario, se debe programar la primera opción del menú. La información suministrada a través de dicho mecanismo, hace responsable por lo allí manifestado al operador.
(Resolución CRC 3038 de 2011, artículo 33)
ARTÍCULO 2.2.7.14. SUMINISTRO Y RECUPERACIÓN DE LA INFORMACIÓN. Los operadores postales deberán almacenar y mantener disponible para consulta de sus usuarios y de las autoridades de inspección, control y vigilancia las respuestas dadas a las PQR y solicitudes de indemnización, así como todos los documentos que utilicen para la prestación del servicio, por un lapso de tres (3) años contados desde la fecha de expedición de los mismos. Vencido el mencionado plazo estos documentos podrán ser destruidos siempre que por cualquier medio técnico adecuado se garantice su reproducción exacta.
(Resolución CRC 3038 de 2011, artículo 34)
ARTÍCULO 2.2.7.15. CALIDAD EN LA ATENCIÓN AL USUARIO. Los operadores de servicios postales deberán hacer públicas, a través de los mecanismos mencionados en el ARTÍCULO 2.2.2.1 del TÍTULO II, las metas y mediciones de los indicadores de los procesos de atención al usuario que se enuncian a continuación:
2.2.7.15.1. Los parámetros para disminuir los niveles de inconformidad en la atención a los usuarios, de acuerdo con lo que defina la Superintendencia de Industria y Comercio.
2.2.7.15.2. Las quejas más frecuentes presentados por sus usuarios, de acuerdo con los términos y tipología que para tales efectos defina la Superintendencia de Industria y Comercio.
PARÁGRAFO. La Superintendencia de Industria y Comercio impartirá las instrucciones que considere pertinentes, con el fin de que los operadores de servicios postales adopten las medidas necesarias para mejorar los procesos de atención al usuario, de conformidad con los hallazgos identificados por parte de dicha Entidad a partir del análisis de la información publicada con fundamento en el presente artículo. El incumplimiento de dichas instrucciones se considerará una violación al régimen postal y acarreará las sanciones contempladas por la Ley.
(Resolución CRC 3038 de 2011, artículo 35 - modificado por la Resolución CRC 3985 de 2012)
ARTÍCULO 2.2.7.16. DEFENSOR DEL USUARIO DE SERVICIOS PERTENECIENTES AL SERVICIO POSTAL UNIVERSAL. <Artículo adicionado por el artículo 1 de la Resolución 6128 de 2020. El nuevo texto es el siguiente:> Además de las obligaciones de protección de los derechos de los usuarios de servicios postales que establece el Capítulo 2 del Título II de la presente resolución, el Operador Postal Oficial deberá establecer un defensor del usuario, como una figura independiente, imparcial, autónoma y autocompositiva y como medio válido y eficiente de solución de controversias relacionadas con la prestación de los servicios pertenecientes al Servicio Postal Universal (SPU).
ARTÍCULO 2.2.7.17. DISPONIBILIDAD DE LOS PUNTOS DE ATENCIÓN AÑ PÚBLICO EL OPERADOR POSTAL OFICIAL. <Entrará en vigencia el 1 de septiembre de 2021> <Artículo adicionado por el artículo 2 de la Resolución 6128 de 2020. El nuevo texto es el siguiente:> Para la prestación de los servicios pertenecientes al Servicio Postal Universal, todos los puntos de atención al público del Operador Postal Oficial (OPO) deben estar disponibles para cualquier persona como mínimo ocho (8) horas diarias, de lunes a viernes excluyendo los días festivos, para lo cual debe cumplir los siguientes requisitos:
a) El horario de atención al público debe estar comprendido entre las 7:00 a.m. y las 9:00 p.m.
b) El OPO deberá publicar en su página web los horarios de atención al público, en un lugar visible.
c) El OPO deberá publicar en un lugar visible en todos sus puntos su horario de atención al público.
d) Cuando por caso fortuito o fuerza mayor no se pueda cumplir el mínimo de ocho (8) horas diarias de disponibilidad o el horario de atención del literal a), el OPO debe informar al público mediante un aviso en un lugar visible del punto de atención al público y guardar la evidencia que permita justificar dichas circunstancias ante las autoridades de inspección, vigilancia y control.
Adicionalmente, los puntos de atención al público del Operador Postal Oficial deben estar plenamente identificados y ubicarse en sitios de fácil acceso a la población, preferiblemente en zonas comerciales y de alto tránsito peatonal.
RÉGIMEN INDEMNIZATORIO
ARTÍCULO 2.2.8.1. RESPONSABILIDAD DEL OPERADOR. <Artículo derogado por el artículo 80 de la Resolución 5586 de 2019>
ARTÍCULO 2.2.8.2. EXONERACIÓN DE RESPONSABILIDAD. <Artículo derogado por el artículo 80 de la Resolución 5586 de 2019>
ARTÍCULO 2.2.8.3. INDEMNIZACIONES. <Artículo derogado por el artículo 80 de la Resolución 5586 de 2019>
ARTÍCULO 2.2.8.4. DEVOLUCIÓN DE LA INDEMNIZACIÓN. <Artículo derogado por el artículo 80 de la Resolución 5586 de 2019>
DISPOSICIONES FINALES
ARTÍCULO 2.2.9.1. PROHIBICIÓN DE LIMITACIÓN A LA APLICACIÓN DEL RÉGIMEN DE PROTECCIÓN DE USUARIOS. En ningún evento y bajo ninguna circunstancia, ni los operadores postales ni los usuarios pueden limitar la aplicación o el cumplimiento de las disposiciones previstas en las Leyes aplicables y las previstas en el CAPÍTULO 2 del TÍTULO II. Las limitaciones no serán oponibles a los usuarios.
(Resolución CRC 3038 de 2011, artículo 40)
ARTÍCULO 2.2.9.2. SANCIONES. El incumplimiento de lo establecido en el CAPÍTULO 2 del TÍTULO II se considerará una violación al régimen de los servicios postales y acarreará las sanciones contempladas por la Ley, las cuales deberán ser impuestas por la Superintendencia de Industria y Comercio en ejercicio de su competencia de protección de los derechos de los usuarios de los servicios postales, y por el Ministerio de Tecnologías de la Información y las Comunicaciones en los eventos relacionados con la violación al régimen de los servicios postales, según corresponda.
(Resolución CRC 3038 de 2011, artículo 41)
ARTÍCULO 2.2.9.3. TIEMPO DE IMPLEMENTACIÓN. <Artículo derogado por el artículo 80 de la Resolución 5586 de 2019>
COMPENSACIÓN AUTOMÁTICA
DISPOSICIONES GENERALES
ARTÍCULO 2.3.1.1. OBJETO. <Capítulo derogado por el artículo 19 de la Resolución 5929 de 2020>
ARTÍCULO 2.3.1.2. DERECHO DEL USUARIO A RECIBIR LA COMPENSACIÓN AUTOMÁTICA. <Capítulo derogado por el artículo 19 de la Resolución 5929 de 2020>
ARTÍCULO 2.3.1.3. OBLIGACIÓN DE COMPENSACIÓN AUTOMÁTICA POR DEFICIENTE PRESTACIÓN DEL SERVICIO DE VOZ A TRAVÉS DE REDES MÓVILES. <Capítulo derogado por el artículo 19 de la Resolución 5929 de 2020>
TIPOS DE COMPENSACIÓN
ARTÍCULO 2.3.2.1. TIPOS DE COMPENSACIÓN AUTOMÁTICA POR DEFICIENTE PRESTACIÓN DEL SERVICIO DE VOZ A TRAVÉS DE REDES MÓVILES. <Capítulo derogado por el artículo 19 de la Resolución 5929 de 2020>
ARTÍCULO 2.3.2.2. APLICACIÓN ALTERNATIVA DE LA COMPENSACIÓN AUTOMÁTICA PROMEDIO. <Artículo derogado por el artículo 80 de la Resolución 5586 de 2019>
ARTÍCULO 2.3.2.3. DEBER DE INFORMACIÓN DEL MECANISMO DE COMPENSACIÓN AUTOMÁTICA POR DEFICIENTE PRESTACIÓN DE SERVICIOS DE VOZ A TRAVÉS DE REDES MÓVILES. <Artículo derogado por el artículo 80 de la Resolución 5586 de 2019>
ARTÍCULO 2.3.2.4. PLAZO DE IMPLEMENTACIÓN DE LA COMPENSACIÓN AUTOMÁTICA. <Artículo derogado por el artículo 80 de la Resolución 5586 de 2019>
CLÁUSULAS DE PERMANENCIA
CLÁUSULAS DE PERMANENCIA MÍNIMA PARA SERVICIOS DE COMUNICACIONES MÓVILES
ARTÍCULO 2.4.1.1. CLÁUSULAS DE PERMANENCIA MÍNIMA VIGENTES. <Artículo derogado por el artículo 80 de la Resolución 5586 de 2019>
ARTÍCULO 2.4.1.2. MONITOREO. <Artículo derogado por el artículo 137 de la Resolución 7811 de 2025>
CLÁUSULAS DE PERMANENCIA MÍNIMA PARA SERVICIOS DE COMUNICACIONES FIJAS Y TELEVISIÓN POR SUSCRIPCIÓN
ARTÍCULO 2.4.2.1. CLÁUSULAS DE PERMANENCIA MÍNIMA VIGENTES. <Artículo derogado por el artículo 137 de la Resolución 7811 de 2025>
ARTÍCULO 2.4.2.2. MONITOREO. <Artículo derogado por el artículo 137 de la Resolución 7811 de 2025>
MODELOS DEL CONTRATO ÚNICO.
<Capítulo modificado por el artículo 38 de la Resolución 7811 de 2025>
CONTRATOS ÚNICOS PARA LA PRESTACIÓN DE SERVICIOS.
ARTÍCULO 2.5.1.1. OBJETO. <Artículo modificado por el artículo 38 de la Resolución 7811 de 2025. El nuevo texto es el siguiente:> La Sección 1 del Capítulo 5 tiene por objeto regular el contenido y formato de los contratos de servicios de telecomunicaciones, a fin de garantizar que los mismos constituyan una herramienta efectiva a disposición del usuario para entender, consultar y hacer respetar sus derechos.
Los formatos adoptados mediante el presente capítulo recogen los principales aspectos de la relación proveedor-usuario, respetando la autonomía de la voluntad de las partes, en cuanto a la posibilidad de establecer los elementos esenciales del contrato y las condiciones particulares del servicio, las cuales pueden ser elegidas por el usuario y ofrecidas libremente por el proveedor de acuerdo con la ley y la regulación.
ARTÍCULO 2.5.1.2. ÁMBITO DE APLICACIÓN. <Artículo modificado por el artículo 38 de la Resolución 7811 de 2025. El nuevo texto es el siguiente:> Las obligaciones contenidas en el presente capítulo serán aplicables a los proveedores de redes y servicios de telecomunicaciones, tanto móviles como fijos, así como aquellos que ofrezcan servicios convergentes, quienes deberán implementar según aplique los modelos contractuales incluidos en el ANEXO 2.3. del TÍTULO DE ANEXOS.
PARÁGRAFO. Las modificaciones que se realizan al régimen de protección de los usuarios de servicios de comunicaciones contenido en el Capítulo 1 del Título II, con ocasión de lo previsto en el presente Capítulo, deberán ser acogidas por todos los proveedores de redes y servicios de telecomunicaciones, en lo que les resulte aplicable.
ARTÍCULO 2.5.1.3. CONDICIONES PARA LA IMPLEMENTACIÓN. <Artículo modificado por el artículo 38 de la Resolución 7811 de 2025. El nuevo texto es el siguiente:> Los proveedores de redes y servicios de telecomunicaciones deberán adoptar los formatos de los contratos de servicios provistos a través de sus redes, teniendo en cuenta las obligaciones previstas en el Capítulo 1 del Título II en los siguientes términos:
2.5.1.3.1. Para nuevos usuarios de servicios móviles.
2.5.1.3.2. Para nuevos usuarios de servicios fijos de telefonía, internet o televisión por suscripción.
2.5.1.3.3. Para nuevos usuarios de servicios convergentes o empaquetados.
2.5.1.3.4. Para los casos de contratos vigentes, siempre que se presenten situaciones que modifiquen la relación jurídica o comercial entre las partes, tales como: i) cambios de plan; ii) renovaciones automáticas por expiración o cumplimiento de la vigencia pactada; y iii) cualquier acto que implique la novación de las obligaciones contractuales.
OPERACIÓN DE LA PORTABILIDAD NUMÉRICA MÓVIL.
DISPOSICIONES GENERALES
ARTÍCULO 2.6.1.1. OBJETO. <Artículo modificado por el artículo 7 de la Resolución 5929 de 2020. El nuevo texto es el siguiente:> El objeto del presente Capítulo en el marco de lo previsto en la Ley 1245 de 2008, es establecer las condiciones regulatorias y reglas generales aplicables a la operación de la Portabilidad Numérica para la telefonía móvil en Colombia. Las disposiciones establecidas en el presente Capítulo aplican a todos los Proveedores de Redes y Servicios de Telecomunicaciones que sean asignatarios directos de recursos de Numeración No Geográfica de acuerdo con el Plan Nacional de Numeración, así como a los demás agentes involucrados en las comunicaciones con destino a números portados, a aquéllos que sean responsables del enrutamiento de dichas comunicaciones, y a los usuarios de números portados, de acuerdo con el ámbito de aplicación contemplado en el Capítulo 6 del Título II
ARTÍCULO 2.6.1.2. CATEGORÍAS DE PORTABILIDAD NUMÉRICA. Los <Artículo modificado por el artículo 12 de la Resolución 5586 de 2019. El nuevo texto es el siguiente:> Los Proveedores de Redes y Servicios de Telecomunicaciones asignatarios directos de Numeración No Geográfica ofrecerán a los usuarios la posibilidad de portar su número respecto de las siguientes categorías, así:
2.6.1.2.1. Portabilidad de Numeración de Redes: A los Proveedores de Redes y Servicios de Telecomunicaciones asignatarios de numeración de redes a nivel nacional, que sea utilizada en una Red Móvil Terrestre Pública.
2.6.1.2.2. Portabilidad de Numeración de Servicios: A los Proveedores de Redes y Servicios de Telecomunicaciones que hacen uso de numeración de servicios.
2.6.1.2.3. Portabilidad de Numeración UPT: A los Proveedores de Redes y Servicios de Telecomunicaciones asignatarios de numeración UPT (Universal Personal Telecommunications), conforme a las recomendaciones de la UIT sobre la materia.
La portación se aplicará al Número Nacional Significativo N(S)N al que hace referencia el artículo 2.2.12.2.1.4 del Decreto 1078 de 2015, conformado por el NDC y el número de abonado, de acuerdo con la estructura definida en el Plan Nacional de Numeración, aplicándose de forma intramodal en cada una de las categorías
ASPECTOS GENERALES
ARTÍCULO 2.6.2.1. PRINCIPIOS DE LA PORTABILIDAD NUMÉRICA. Son principios de la Portabilidad Numérica los siguientes:
2.6.2.1.1. Eficiencia. La implementación y operación de la Portabilidad Numérica por parte de los Proveedores de Redes y Servicios de Telecomunicaciones y del ABD deberá obedecer a criterios de eficiencia técnica y económica.
2.6.2.1.2. Igualdad. La atención a las Solicitudes de Portación se llevará a cabo en las mismas condiciones aplicadas a todos los Proveedores de Redes y Servicios de Telecomunicaciones.
2.6.2.1.3. Neutralidad tecnológica. Los Proveedores de Redes y Servicios de Telecomunicaciones podrán adoptar libremente la tecnología a emplear para la prestación efectiva de la Portabilidad Numérica, debiendo en todo caso atender los requerimientos formulados por la CRC, en los términos previstos en la Ley 1245 de 2008.
2.6.2.1.4. Transparencia. La información referente a la Portabilidad Numérica, y en especial los actos derivados de la implementación y gestión de la misma, tendrán carácter público, salvo que se trate de información que por disposición legal tenga el carácter de confidencial o reservada.
2.6.2.1.5. No discriminación. Todos los agentes que participen en el Proceso de Portación están obligados a dar un tratamiento no discriminatorio a los demás agentes involucrados, en relación con los trámites que se realicen con ocasión del mismo. En particular, los Proveedores de Redes y Servicios de Telecomunicaciones están obligados a enrutar, en condiciones no discriminatorias, las comunicaciones que se realicen hacia números portados y no portados.
2.6.2.1.6. Promoción de la competencia. La Portabilidad Numérica se implementará en un escenario de libre y leal competencia, que incentive la inversión actual y futura en el sector, permitiendo la concurrencia de los diferentes proveedores al mercado, bajo la observancia del régimen de competencia en condiciones de igualdad.
2.6.2.1.7. Eficacia. Los agentes que intervienen en el Proceso de Portación deben adelantar todas las acciones necesarias relativas al mismo, de tal forma que contribuyan a maximizar el nivel de portaciones exitosas.
(Resolución CRC 2355 de 2010, artículo 4)
ARTÍCULO 2.6.2.2. DERECHOS DE LOS USUARIOS RESPECTO DE LA PORTABILIDAD NUMÉRICA. <Artículo modificado por el artículo 13 de la Resolución 5586 de 2019. El nuevo texto es el siguiente:> Sin perjuicio de los derechos generales previsto en el CAPÍTULO 1, del TÍTULO II son derechos de los Usuarios de los servicios a los que hace referencia el ARTÍCULO 2.6.1.2 del TÍTULO II asociados a la Portabilidad Numérica los siguientes:
2.6.2.2.1 <Numeral modificado por el artículo 8 de la Resolución 5929 de 2020. El nuevo texto es el siguiente:> Solicitar la Portación de su número. En consecuencia, la portación del número se efectuará sin perjuicio del derecho del Proveedor Donante a perseguir el cobro de las obligaciones insolutas y la devolución de equipos, cuando aplique, y los demás cargos a que haya lugar. Al solicitar la portación del número se entenderá que el usuario ha solicitado la terminación del contrato con el Proveedor Donante y dará lugar a la celebración de un nuevo contrato con el Proveedor Receptor
2.6.2.2.2. Recibir información de su Proveedor de Servicios de Telecomunicaciones respecto del derecho de portar su número.
2.6.2.2.3. Tener garantía de privacidad de la información suministrada en su Solicitud de Portación.
2.6.2.2.4. Estar informado acerca del Proceso de Portación y del estado del trámite de su Solicitud de Portación, por parte del Proveedor Receptor.
2.6.2.2.5. <Numeral modificado por el artículo 7 de la Resolución 7285 de 2024. El nuevo texto es el siguiente:> Elegir el día calendario a partir del cual se hará efectiva la portación, de conformidad con los plazos y condiciones previstos en el Artículo 2.6.4.1 de la presente resolución.
ARTÍCULO 2.6.2.3. OBLIGACIONES DE LOS USUARIOS RESPECTO DE LA PORTABILIDAD NUMÉRICA. <Artículo modificado por el artículo 1 de la Resolución 7151 de de 2023. El nuevo texto es el siguiente:> Son obligaciones de los Usuarios de los servicios de telecomunicaciones a los que hace referencia el artículo 2.6.1.2 del CAPÍTULO 6 del TÍTULO II las siguientes:
2.6.2.3.1. Cumplir con sus obligaciones contractuales asociadas al Proveedor Donante y al Proveedor Receptor, incluidos los cargos que se puedan generar hasta la activación de la ventana de cambio, o cualquier otra a su cargo de acuerdo con el contrato suscrito con el Proveedor Donante.
2.6.2.3.2. Seguir los procedimientos definidos para adelantar el Proceso de Portación del número.
2.6.2.3.3. Abstenerse de iniciar nuevas solicitudes de portación para un número, cuando exista un Proceso de Portación en trámite respecto del mismo.
ARTÍCULO 2.6.2.4. DERECHOS DE LOS PROVEEDORES DE REDES Y SERVICIOS DE TELECOMUNICACIONES. Para efectos de la Portabilidad Numérica, son derechos de los Proveedores de Redes y Servicios de Telecomunicaciones a los que hace referencia el ARTÍCULO 2.6.1.2 del TÍTULO II los siguientes:
2.6.2.4.1. Recibir Usuarios provenientes de otros Proveedores de Redes y Servicios de Telecomunicaciones en razón del Proceso de Portación del número a partir de la Fecha de Implementación de la Portabilidad Numérica, en los términos de la Ley 1245 de 2008 y de conformidad con lo dispuesto en el ARTÍCULO 2.6.1.2 del TÍTULO II.
2.6.2.4.2. Efectuar el cobro del servicio de portación a los Usuarios, de conformidad con lo previsto en el ARTÍCULO 2.6.5.5 del TÍTULO II, a partir de la Fecha de Implementación de la Portabilidad Numérica.
2.6.2.4.3. Recibir trato no discriminatorio de parte de todos los agentes que participen del Proceso de Portación.
2.6.2.4.4. <Numeral modificado por el artículo 15 de la Resolución 7684 de 2025. El nuevo texto es el siguiente:> Realizar gestiones comerciales tendientes a recuperar al cliente portado, una vez se haya finalizado el Proceso de Portación, en los términos del artículo 2.6.4.1 de la presente resolución. Los Operadores Móviles de Red (OMR) deberán abstenerse de contactar a los usuarios que se hayan portado de su red durante el proceso de Portación de que trata el artículo 2.6.4.1 de la presente resolución y durante los tres meses siguientes a su finalización.
(Resolución CRC 2355 de 2010, artículo 7)
ARTÍCULO 2.6.2.5. OBLIGACIONES DE LOS PROVEEDORES DE REDES Y SERVICIOS DE TELECOMUNICACIONES. <Artículo modificado por el artículo 9 de la Resolución 5929 de 2020. El nuevo texto es el siguiente:> En los términos del artículo 2.6.1.2 del Título II, los Proveedores de Redes y Servicios de Telecomunicaciones que sean asignatarios directos de Numeración No Geográfica, están obligados a hacer efectivo el derecho a la Portabilidad Numérica de los usuarios al que hace referencia la Ley 1245 de 2008, a partir de la fecha de implementación de la Portabilidad Numérica. Para tal efecto, son obligaciones de dichos Proveedores las siguientes:
2.6.2.5.1. Obligaciones frente a la operación de la Portabilidad Numérica:
2.6.2.5.1.1. Realizar la adecuación de sus redes y sistemas, y asumir los costos de la misma, garantizando su adecuado desempeño conforme a los estándares y normas técnicas aplicables.
2.6.2.5.1.2. Definir conjuntamente las condiciones para la contratación del ABD teniendo en cuenta los criterios de eficiencia y maximización del beneficio para los usuarios.
2.6.2.5.1.3. <Numeral modificado por el artículo 39 de la Resolución 7811 de 2025. El nuevo texto es el siguiente:> Suscribir el respectivo contrato con el administrador de la BDA seleccionado.
2.6.2.5.1.6. Incluir en su Oferta Básica de Interconexión, cuando se preste el servicio de tercerización de la consulta a la BDO, las condiciones aplicables al mismo, de conformidad con lo previsto en el artículo 4.1.6.1 del Capítulo 1 del Título IV, o aquella norma que la modifique, adicione o sustituya.
2.6.2.5.1.7. Enrrutar, en condiciones no discriminatorias, las comunicaciones que se realicen hacia y desde números portados.
2.6.2.5.1.8. Cuando un proveedor asignatario de numeración geográfica manifieste su intención de implementación o migración al esquema de enrutamiento ACQ en las llamadas fijo-móvil, facilitar y coordinar con dicho proveedor los procesos necesarios para tal fin, sin realizar ningún tipo de dilación injustificada o trato discriminatorio.
2.6.2.5.2. Obligaciones generales frente al Proceso de Portación:
2.6.2.5.2.1. Suministrar en todo momento a los usuarios, a través de las oficinas de atención al cliente, páginas web y líneas de atención telefónica, información clara, veraz, suficiente, precisa y oportuna sobre el derecho de acceder a la Portabilidad Numérica.
2.6.2.5.2.2. Abstenerse de utilizar las obligaciones contractuales como una barrera para el desarrollo efectivo del Proceso de Portación. En consecuencia, la portación del número se efectuará sin perjuicio del derecho del Proveedor Donante a perseguir el cobro de las obligaciones insolutas, la devolución de equipos, cuando aplique y los demás cargos a que haya lugar, de acuerdo con lo previsto en el numeral 2.6.2.3.1 del Título II.
2.6.2.5.2.3. Acatar los plazos máximos previstos en la regulación para adelantar las actividades a su cargo dentro del Proceso de Portación.
2.6.2.5.2.4. Suministrar directamente o a través del ABD la información requerida por la CRC en los términos solicitados, incluyendo los reportes estadísticos del Proceso de Portación.
2.6.2.5.2.5. Respetar la fecha elegida por el usuario para hacer efectiva la portación, de conformidad con los plazos previstos en el Capítulo 6 del Título II.
2.6.2.5.2.6. Asignar el número único de identificación de la Solicitud de Portación y establecer e implementar conjuntamente un mecanismo que permita la identificación del orden consecutivo de los números asignados, de manera que a través de dicho consecutivo se identifique tanto el Proveedor Receptor como la solicitud en sí misma. Los Proveedores deben garantizar que los números únicos de identificación de la Solicitud de Portación no se dupliquen entre los que sean asignados por los diferentes proveedores, garantizando a la vez la posibilidad de ingreso de nuevos proveedores.
2.6.2.5.2.7 <Numeral adicionado por el artículo 2 de Resolución 7151 de 2023. El nuevo texto es el siguiente:> Realizar campañas informativas, pedagógicas y permanentes en las oficinas físicas (salvo que la respectiva interacción haya migrado a la digitalización y se le haya informado previamente al usuario) y virtuales de atención al usuario (página web del proveedor), dirigidas a sus usuarios relacionadas con la prevención del fraude y los pasos a seguir para impedir un proceso de portación no solicitado.
2.6.2.5.3. Obligación del Proveedor Donante:
2.6.2.5.3.1. Autorizar la Solicitud de Portación, o rechazarla según las condiciones establecidas en la regulación, de manera eficiente y eficaz.
2.6.2.5.3.2. <Numeral modificado por el artículo 16 de la Resolución 7684 de 2025. El nuevo texto es el siguiente:> Abstenerse de realizar prácticas de recuperación de los usuarios solicitantes durante el Proceso de Portación de que trata el artículo 2.6.4.1 de la presente resolución. Los Operadores Móviles de Red (OMR) deberán abstenerse de contactar a los usuarios que se hayan portado de su red durante el proceso de Portación de que trata el artículo 2.6.4.1 de la presente resolución y durante los tres meses siguientes a su finalización.
2.6.2.5.3.3. Suministrar de manera ágil información veraz relativa al cumplimiento de las obligaciones de pago del usuario de acuerdo con lo previsto en el numeral 2.6.2.3.1 del Título II.
2.6.2.5.3.4. Tratándose de usuarios bajo la modalidad pospago, devolver a través de los mismos mecanismos que ha previsto para el pago de estos usuarios y a elección de este, los saldos no consumidos, entendidos estos como aquellos resultantes a favor del usuario una vez descontados los cargos y consumos facturados por el PRST de todos los pagos realizados por el usuario.
La devolución de estos saldos por parte del PRST deberá hacerse a más tardar el décimo día hábil posterior a la finalización del período de facturación siguiente a aquel en el cual el PRST donante haya determinado la totalidad de los cargos correspondientes a la prestación del servicio, de acuerdo con los tiempos previstos sobre el particular en el Capítulo 1.
En aquellos casos en los cuales los consumos no sean determinables, los PRST deberán prorratear el saldo a favor del usuario, conforme a los días transcurridos entre el inicio del periodo de facturación y la fecha de activación de la ventana de cambio.
2.6.2.5.4. Obligaciones del Proveedor Receptor:
2.6.2.5.4.1. Diligenciar la Solicitud de Portación y tramitarla ante el ABD a partir de la información y los documentos presentados por el usuario.
2.6.2.5.4.2. Mantener informado al usuario que ha iniciado un Proceso de Portación sobre el estado del mismo, en especial respecto de la fecha y hora de activación de su número en su red.
2.6.2.5.4.3. Informar claramente al usuario que solicite la portación de su número:
2.6.2.5.4.3.1. Las condiciones del plan a contratar.
2.6.2.5.4.3.2. La finalización de su contrato con el Proveedor Donante, el deber de dar cumplimiento a las obligaciones insolutas, así como el derecho que tiene de recuperar los saldos no consumidos, si se trata de planes pospago.
2.6.2.5.4.3.3. La existencia de posibles limitaciones tecnológicas, relativas, entre otros aspectos, a los equipos terminales o a las condiciones del servicio ofrecido por el Proveedor Donante, en caso que las mismas apliquen.
2.6.2.5.4.3.4. Tratándose de usuarios bajo la modalidad prepago, la imposibilidad de transferir saldos no consumidos, en la medida que dicha transferencia solo es aplicable en la adquisición de una recarga del mismo proveedor, así como también sobre los plazos para adelantar el trámite de portación en los términos del artículo 2.6.4.1 del Título II, para facilitar la administración del saldo por parte del usuario.
2.6.2.5.4.4. Asignar el número único de identificación de la Solicitud de Portación e informar el mismo al ABD.
PARÁGRAFO. Los Proveedores de Redes y Servicios de Telecomunicaciones que sean asignatarios directos de Numeración No Geográfica de servicios, y que hagan uso exclusivo de dicha numeración como soporte para la prestación de sus propios servicios, no están obligados a hacer efectivo el derecho a la Portabilidad Numérica de los usuarios al que hace referencia la Ley 1245 de 2008. En aquellas situaciones en las que la numeración no geográfica de servicios asignada sea proporcionada por un proveedor a un usuario final, ya sea un cliente corporativo o un cliente residencial, dicha excepción no le será aplicable a los proveedores en cuestión.
ARTÍCULO 2.6.2.6. DEBER DE INFORMACIÓN DE LOS PROVEEDORES DE REDES Y SERVICIOS DE TELECOMUNICACIONES. <Artículo derogado por el artículo 80 de la Resolución 5586 de 2019>
ESPECIFICACIONES TÉCNICAS PARA LA OPERACIÓN DE LA PORTABILIDAD NUMÉRICA.
ARTÍCULO 2.6.3.1. SOLUCIÓN TÉCNICA PARA LA OPERACIÓN DE LA PORTABILIDAD NUMÉRICA. <Artículo modificado por el artículo 11 de la Resolución 5929 de 2020. El nuevo texto es el siguiente:> La operación de la Portabilidad Numérica será adelantada por los Proveedores de Redes y Servicios de Telecomunicaciones a los que hace referencia el artículo 2.6.1.2 del Título II mediante el esquema All Call Query (ACQ) de dos niveles, en el que se utiliza la Base de Datos Administrativa centralizada, y se dispone de Bases de Datos Operativas a cargo de dichos Proveedores.
Para tal efecto se deberán seguir los siguientes lineamientos:
2.6.3.1.1. Los Proveedores a los que hace referencia el numeral 2.6.1.2.1 del artículo 2.6.1.2 del Título II y los Proveedores de Larga Distancia Internacional cuando se trate de comunicaciones de larga distancia internacional entrantes, deberán, en ambos casos, enrutar las comunicaciones con destino a Números No Geográficos de Redes, de conformidad con el esquema ACQ.
2.6.3.1.2. El enrutamiento de las llamadas provenientes de Números Geográficos con destino a Números No Geográficos de Redes de que trata el numeral 2.6.1.2.1 del artículo 2.6.1.2 se realizará conforme al esquema de enrutamiento de preferencia del proveedor fijo, ya sea Onward Routing (OR) o ACQ, siempre y cuando aplique el mismo esquema en todas sus relaciones de interconexión.
2.6.3.1.3. El enrutamiento de los mensajes cortos de texto (SMS) provenientes de Carriers Internacionales con destino a Números No Geográficos de Redes de que trata el numeral 2.6.1.2.1 del artículo 2.6.1.2 se realizará conforme al esquema enrutamiento indirecto, mediante el cual se enruta cada SMS con base en el número de destino hacia el PRST asignatario de dicho número, el cual a su vez deberá consultar la BDO para determinar la red correcta de destino y enrrutarlo a números móviles portados hacia la red receptora, en el evento que el número de destino haya sido portado.
PARÁGRAFO 1. El enrutamiento de las llamadas con destino a Números No Geográficos de Servicios y UPT de que tratan los numerales 2.6.1.2.2 y 2.6.1.2.3 del artículo 2.6.1.2 se realizará conforme al esquema técnico adoptado por los proveedores asignatarios de este tipo de numeración en cumplimiento del artículo 2.2.12.2.3.1 del Decreto 1078 de 2015. En todo caso, los mismos podrán migrar su esquema técnico a ACQ.
PARÁGRAFO 2. Cuando un proveedor fijo opte por cambiar el esquema de enrutamiento, según lo indicado en el numeral 2.6.3.1.2., del presente artículo, deberá realizar la migración en un periodo no mayor a un año contado a partir del momento en que informe su intención de migración a al menos uno de los proveedores móviles con los que tiene interconexión.
ARTÍCULO 2.6.3.2. ASPECTOS TÉCNICOS. <Artículo derogado por el artículo 80 de la Resolución 5586 de 2019>
ARTÍCULO 2.6.3.3. RESPONSABILIDADES TÉCNICAS DE LOS PROVEEDORES DE REDES Y SERVICIOS DE TELECOMUNICACIONES. <Artículo modificado por el artículo 12 de la Resolución 5929 de 2020. El nuevo texto es el siguiente:> A nivel técnico, cada uno de los Proveedores de Redes y Servicios de Telecomunicaciones tendrá las siguientes responsabilidades:
2.6.3.3.1. Responsabilidad técnica de carácter general. Los Proveedores de Redes y Servicios de Telecomunicaciones a los que hace referencia el artículo 2.6.1.1 del Título II, serán responsables de realizar todas las adecuaciones necesarias al interior de su red para garantizar la implementación de la Portabilidad Numérica.
2.6.3.3.2. Responsabilidades técnicas de carácter particular. Los Proveedores de Redes y Servicios de Telecomunicaciones a los que hace referencia el artículo 2.6.1.2 del Título II, serán responsables de:
2.6.3.3.2.1. Garantizar el enrutamiento de las comunicaciones originadas en su red hacia números portados, y cuando aplique, de aquellas originadas por otros proveedores en los términos del artículo 2.6.3.1 del Título II.
2.6.3.3.2.2. Disponer de los equipos y medios de transmisión necesarios y suficientes para la comunicación con la BDA, o con la BDO de otro proveedor con el que se haya establecido acuerdo de tercerización de consultas, atendiendo condiciones de disponibilidad, confiabilidad y seguridad.
2.6.3.3.2.3. Mantener actualizada la BDO, a partir de la información contenida en la BDA.
2.6.3.3.2.4. Garantizar la integridad de la información contenida en la BDO y el adecuado funcionamiento de las interfaces para el intercambio de información con la BDA.
2.6.3.3.2.5. Contar con mecanismos de respaldo y recuperación de la información, tanto de la BDO como de los medios de transmisión y equipos involucrados en la comunicación con la BDA.
2.6.3.3.2.6. En el caso de proveedores que ofrezcan a terceros la opción de consulta de BDO, garantizar la entrega de información de enrutamiento actualizada en condiciones no discriminatorias, así como el intercambio de información requerido con la BDA dentro del Proceso de Portación de un número, hacia o desde el Proveedor que contrata la tercerización.
2.6.3.3.2.7. Será responsabilidad del PRST asignatario proveer la información suficiente a los Carriers Internacionales, a los Proveedores de Contenido, a los PRST de Telefonía Fija y a los Proveedores de Acceso a Internet, de tal forma que los mismos tengan conocimiento de las restricciones y condiciones aplicables en ambiente de portabilidad numérica móvil.
ARTÍCULO 2.6.3.4. MECANISMO PARA LA CONTENCIÓN DE LOS COSTOS DE INCERTIDUMBRE. <Artículo derogado por el artículo 19 de la Resolución 5929 de 2020>
ARTÍCULO 2.6.3.5. CAMPAÑAS EDUCATIVAS RELATIVAS A MECANISMOS DE CONTENCIÓN DE COSTOS DE INCERTIDUMBRE. <Artículo derogado por el artículo 80 de la Resolución 5586 de 2019>
ESPECIFICACIONES OPERATIVAS DE LA PORTABILIDAD NUMÉRICA
ARTÍCULO 2.6.4.1. PROCESO DE PORTACIÓN. <Artículo modificado por el artículo 40 de la Resolución 7811 de 2025. El nuevo texto es el siguiente:> El Proceso de Portación incluirá las siguientes etapas: (i) Solicitud del NIP por parte del usuario; (ii) Generación y envío del NIP de Confirmación;(iii) Solicitud de Portación formal; (iv) Verificación de la Solicitud por parte del ABD; (v) Aceptación o Rechazo de la Solicitud de Portación por parte del Proveedor Donante; (vi) Planeación de la Ventana de Cambio; y (vii) Activación del Número Portado.
El tiempo que dure cada una de estas etapas será acordado por los Proveedores de Redes y Servicios de Telecomunicaciones Móviles directamente, de tal forma que se dé cumplimiento al término máximo del trámite de portación dispuesto en el artículo 2.1.17.3 de la presente resolución.
PARÁGRAFO 1o. Todas aquellas solicitudes de portación registradas con posterioridad a la franja horaria de portabilidad se entenderán presentadas en el siguiente día calendario. En todo caso, el tiempo de portación no podrá superar los plazos contemplados en el Capítulo 6 del Título II de la presente resolución.
PARÁGRAFO 2o. La ventana de cambio podrá efectuarse fuera del tiempo máximo aquí señalado, en aquellos casos en los que el usuario que solicita la portación elija una fecha posterior a dicho plazo, el cual podrá corresponder a cualquier día de la semana. La fecha indicada en la Solicitud de Portación por parte del usuario para que se efectúe la Ventana de Cambio, no podrá ser mayor a treinta (30) días calendario contados a partir de la fecha de la Solicitud de Portación.
Para lo anterior, los Proveedores Donante y Receptor deben adelantar las gestiones necesarias para que la ventana de cambio se realice de manera tal que se lleve a cabo en las condiciones antes señaladas.
No obstante lo anterior, las demás etapas del proceso de portación deberán surtirse dentro de los términos establecidos por la regulación.
ARTÍCULO 2.6.4.2. NIP DE CONFIRMACIÓN. <Artículo modificado a partir del 1 de septiembre de 2026 por el artículo 11 de la Resolución 8171 de 2026. El texto vigente hasta esta fecha es el siguiente:> <Artículo modificado por el artículo 41 de la Resolución 7811 de 2025. El nuevo texto es el siguiente:> El Proveedor Receptor deberá solicitar al ABD el Número de Identificación Personal (NIP) de Confirmación, el cual se constituirá en un requisito indispensable para autenticar la condición de Usuario del número a ser portado.
El ABD deberá enviar el NIP de confirmación al usuario, o a quien esté autorizado en el contrato, a través de un mensaje corto de texto (SMS), en un lapso no mayor a cinco (5) minutos desde el momento en que se ha solicitado su envío en el noventa y cinco por ciento (95%) de los casos, y en ningún evento podrá ser superior a diez (10) minutos. El contenido del mensaje deberá ser el siguiente:
"Su Código NIP es xxxxx y es personal. Se usará para pasar su línea xxxxxxxxxx a (nombre comercial del PRST receptor). Si no solicitó este cambio, contacte a su proveedor de inmediato".
Durante la vigencia del NIP, este solo podrá ser utilizado para procesos de portación hacia el proveedor receptor por medio del cual se solicitó y que está indicado en el mensaje que contiene el NIP.
El ABD deberá mantener, al menos por seis (6) meses a partir de su emisión, un registro de los NIP de Confirmación enviados y sus correspondientes números asociados.
PARÁGRAFO. Únicamente en aquellos casos en que se presenten rechazos de la solicitud de portación según lo establecido en los artículos 2.6.4.6. y 2.6.4.7. de la presente resolución, será posible iniciar más de un trámite de portación con el mismo NIP, siempre y cuando este se encuentre vigente, a excepción de que se trate de rechazos con ocasión de la causal establecida en el numeral 2.6.4.7.1. del artículo 2.6.4.7 de la presente resolución, caso en el cual se deberá solicitar un nuevo NIP para iniciar una nueva solicitud de portación.
ARTÍCULO 2.6.4.3. SOLICITUD DE PORTACIÓN. <Artículo modificado por el artículo 4 de la Resolución 7151 de de 2023. El nuevo texto es el siguiente:> El Proceso de Portación se inicia con la entrega de la Solicitud de Portación por parte del Usuario al Proveedor Receptor. La Solicitud de Portación puede hacerse por escrito, personalmente o a través de la línea telefónica de atención al cliente, o por cualquier otro medio que determine o convalide la Comisión.
En la Solicitud de Portación, el Usuario deberá proveer únicamente la siguiente información:
2.6.4.3.1. Para las personas naturales:
2.6.4.3.1.1. Nombre completo, que incluirá los dos nombres (cuando aplique) y los dos apellidos (cuando aplique).
2.6.4.3.1.2. Tipo de documento de identificación, número del documento y fecha de expedición del mismo.
2.6.4.3.1.3. Autorización del titular de la línea y copia del documento de identidad, en caso de que la solicitud no sea presentada por el mismo.
2.6.4.3.1.4. Número(s) telefónico(s) asociado(s) a la portación solicitada.
2.6.4.3.1.5. Proveedor Donante.
2.6.4.3.1.6. NIP de Confirmación para los Usuarios de Servicios Móviles, el cual ha sido enviado previamente por el ABD al Usuario a través de un mensaje corto de texto (SMS).
2.6.4.3.2. Para las personas jurídicas:
2.6.4.3.2.1. Razón social.
2.6.4.3.2.2. Número de Identificación Tributaria (NIT).
2.6.4.3.2.3. <Numeral modificado por el artículo 42 de la Resolución 7811 de 2025. El nuevo texto es el siguiente:> Copia del Certificado de Existencia y Representación Legal emitido por la Cámara de Comercio con fecha de expedición no superior a treinta (30) días, o del documento equivalente que pruebe la existencia y representación legal de las personas jurídicas a quienes no aplique la inscripción en el registro mercantil.
2.6.4.3.2.4. Tipo de documento de identificación del representante legal, número del documento y fecha de expedición del mismo.
2.6.4.3.2.5. Autorización del representante legal y copia del documento de identidad, en caso de que la solicitud no sea presentada por el mismo.
2.6.4.3.2.6. Número(s) telefónico(s) asociado(s) a la portación solicitada.
2.6.4.3.2.7. Proveedor Donante.
2.6.4.3.2.8. NIP de Confirmación para los Usuarios de Servicios Móviles, el cual ha sido enviado previamente por el ABD a través de un mensaje corto de texto (SMS) a la línea de la persona autorizada en el contrato.
ARTÍCULO 2.6.4.4. INTERCAMBIO DE INFORMACIÓN. <Inciso modificado por el artículo 43 de la Resolución 7811 de 2025. El nuevo texto es el siguiente:> El intercambio de información entre los Proveedores Donante y Receptor y el ABD debe ser automatizado mediante sistemas informáticos y a través de medios electrónicos, de forma tal que se garantice rapidez, integridad y seguridad en desarrollo del Proceso de Portación. El contenido de los formatos electrónicos será determinado por la CRC.
Una vez recibida la solicitud del Usuario por el Proveedor Receptor, y previa verificación de su disponibilidad técnica para prestar sus servicios, dentro de los plazos establecidos en el ARTÍCULO 2.6.4.1 del TÍTULO II éste procederá a enviar la Solicitud de Portación al ABD, asignándole un número que la identifique, el cual debe ser único para cada Proceso de Portación y ser emitido de manera secuencial en su red, por cada Proveedor Receptor. El Proveedor Receptor suministrará dicho número al Usuario para identificación de su Solicitud de Portación.
La asignación del numero único de identificador del proceso por parte del Proveedor Receptor no exime al ABD de sus responsabilidades en el intercambio de información, el control de los procesos de portación y la información que debe proveer a la CRC, en los términos del ARTÍCULO 2.6.7.3 del TÍTULO II.
En ningún caso, el ABD en el proceso de portación, con ocasión del intercambio de información, podrá verificar el cumplimiento de las obligaciones contractuales del Proveedor Donante y el usuario, en la medida que dicha verificación es potestad de las partes o del juez del contrato.
(Resolución CRC 2355 de 2010, artículo 17 - modificado por la Resolución CRC 3069 de 2011)
ARTÍCULO 2.6.4.5. VERIFICACIÓN DE LA SOLICITUD POR PARTE DEL ABD. <Artículo modificado por el artículo 5 de la Resolución 7151 de de 2023. El nuevo texto es el siguiente:> Para efectos de aceptar o rechazar la Solicitud de Portación el ABD, una vez reciba la misma, deberá validar los siguientes aspectos:
2.6.4.5.1. NIP de Confirmación y su concordancia con el Número No Geográfico de Redes objeto de portación.
2.6.4.5.2. Existencia de Solicitudes de Portación previas en trámite para el número a portarse.
2.6.4.5.3. Correspondencia de (los) Número(s) Telefónico(s) con los bloques de numeración autorizados por el administrador de los recursos de identificación para uso del Proveedor Donante.
ARTÍCULO 2.6.4.6. ACEPTACIÓN O RECHAZO DE LA SOLICITUD DE PORTACIÓN POR PARTE DEL ABD. <Artículo modificado por el artículo 14 de la Resolución 5929 de 2020. El nuevo texto es el siguiente:> El incumplimiento de cualquiera de los requisitos que deberá validar el ABD en los términos del artículo 2.6.4.5 originará el rechazo de la solicitud de Portación de que se trate, dando por finalizado el Proceso de Portación respectivo. El ABD informará al Proveedor Receptor el rechazo de la Solicitud de Portación, indicando la causa respectiva, en un tiempo máximo de sesenta (60) minutos a partir de la presentación de la solicitud.
Si la solicitud de Portación es aceptada por parte del ABD, este enviará al Proveedor Donante la solicitud de Portación, y simultáneamente informará al Proveedor Receptor que la misma fue aceptada.
ARTÍCULO 2.6.4.7. ACEPTACIÓN O RECHAZO POR PARTE DEL PROVEEDOR DONANTE. <Artículo modificado por el artículo 44 de la Resolución 7811 de 2025. El nuevo texto es el siguiente:> Si en el plazo acordado entre los Proveedores de Redes y Servicios de Telecomunicaciones Móviles, para que el Proveedor Donante acepte o rechace la solicitud de Portación el ABD no recibe respuesta, se entenderá aceptada la solicitud de Portación y se continuará el Proceso de Portación.
El Proveedor Donante solamente podrá rechazar la solicitud de Portación en los siguientes casos:
2.6.4.7.1. Cuando el tipo de documento de identificación, la fecha de expedición y el número del documento del solicitante, sea persona natural o jurídica, no coincida con el del titular de la línea.
Sin embargo, cuando la línea móvil prepago esté registrada en las bases de datos del Proveedor Donante a nombre de un distribuidor o comercializador con el cual el Proveedor Donante mantenga o haya mantenido relaciones comerciales, o a un tercero con el que dicho comercializador mantenga o haya mantenido vínculos comerciales, la solicitud no podrá ser rechazada.
El Proveedor Receptor, una vez active la línea, deberá, de inmediato, incorporar en sus bases los datos de identidad del solicitante de la portación.
El Proveedor Donante deberá contar con una base relacional que contenga, como mínimo, los siguientes datos de las personas naturales y jurídicas que distribuyan y comercialicen sus SIM:
a) Nombre o razón social (en caso de que se trate de una persona jurídica).
b) Nombre del representante legal (en caso de que se trate de una persona jurídica).
c) Número y tipo de documento de identificación.
d) ICCID (Integrated Circuit Card Identifier) de las SIM entregadas por el operador al distribuidor, comercializador o al tercero con el que el comercializador tenga o haya tenido a su vez algún vínculo comercial.
e) El MSISDN (Mobile Subscriber ISDN) de las SIM entregadas al distribuidor o comercializador.
Asimismo, el operador deberá permitir el acceso de la autoridad de vigilancia, inspección y control, a la base relacional, cuando esta autoridad lo requiera.
2.6.4.7.2. Cuando se trate de solicitudes de portación de línea(s) que se encuentre(n) en alguno de los siguientes estados:
2.6.4.7.2.1. Desactivada(s) previamente a la solicitud del NIP por los siguientes motivos: orden judicial, terminación de contrato o porque en modalidad prepago la(s) línea(s) fue desactivada de conformidad con el artículo 2.1.16.2. de la presente resolución.
2.6.4.7.2.2. Suspendida(s) por solicitud del usuario en los términos de la Sección 8 del Capítulo 1 del Título II de la presente resolución.
2.6.4.7.2.3. Aquellas que correspondan a numeración implementada en la red del Proveedor Donante que no ha sido asignada efectivamente a usuarios finales a que hace referencia el numeral 6.2.2.1.6 del artículo 6.2.2.1. de la presente resolución.
2.6.4.7.2.4. Aquellas que correspondan a numeración que no ha sido implementada en la red del Proveedor Donante a que hace referencia el numeral 6.2.2.2.4. del artículo 6.2.2.2. de la presente resolución.
2.6.4.7.3. Cuando el titular de la línea manifieste al Proveedor Donante que no solicitó el proceso de portación. En este caso el proceso de portación deberá detenerse sin importar en qué etapa se encuentre, con lo cual el Proveedor Donante deberá informar al ABD, y a su vez este al Proveedor Receptor la ocurrencia de este hecho. En el caso que el proceso de portación haya culminado, el Proveedor Receptor deberá proceder con el bloqueo de la línea de manera inmediata y deberá reversar la portación. La manifestación del titular de la línea deberá presentarse a más tardar el mismo día en el que se efectué la ventana de cambio.
2.6.4.7.4. Cuando un usuario en modalidad prepago no presente actividad en la red, lo cual se deriva de la no evidencia de intercambio de señalización entre la red del Proveedor Donante y el equipo terminal móvil del usuario por un periodo de 30 días calendario, previo a la solicitud del NIP por parte del usuario.
La aceptación o rechazo de la Solicitud de Portación debe ser enviada por el Proveedor Donante al Proveedor Receptor, por medio del ABD, el cual a su vez la reenviará al Proveedor Receptor. En caso de rechazo de la Solicitud de Portación, el Proveedor Donante deberá remitir al ABD la justificación y prueba de este. El ABD deberá constatar la validez del rechazo a través de los soportes aportados, y remitir dicha justificación y prueba al Proveedor Receptor para su conocimiento. A su vez, el Proveedor Receptor deberá informar del rechazo y su justificación al usuario, en un plazo no mayor a tres (3) horas hábiles, contado a partir de la recepción de la respectiva comunicación.
El Proveedor Donante remitirá al ABD como soporte del rechazo de la solicitud, en formato electrónico, los siguientes soportes, según corresponda:
i) Cuando se trate de la causal de rechazo establecida en el numeral 2.6.4.7.1. de este artículo, la prueba mediante la cual se verificó que el documento de identificación del solicitante no coincide con el del titular de la línea. En caso de ser una línea en modalidad pospago adicionalmente se deberá incluir la última factura expedida por el Proveedor Donante. En caso de que no haya transcurrido un ciclo de facturación, se deberá anexar archivo plano o en PDF con los datos del cliente que tiene activa la línea, indicando la fuente o sistema de donde se extrajo la información.
ii) Cuando se trate de solicitudes de portación de línea(s) que se encuentre(n) dentro de los estados del numeral 2.6.4.7.2 del presente artículo, los reportes o imágenes de los sistemas de gestión, de información o de red de cada operador, de conformidad con las características propias de su operación, y en los mismos deberá constar, por lo menos la siguiente información:
a) La identificación del sistema de gestión, de información o de red que corresponda, de conformidad con las características propias de la operación de cada proveedor, y la fecha de consulta y extracción de la información por parte del Proveedor Donante.
b) El número de la línea involucrada en la solicitud de la portación.
Adicionalmente, para cada uno de los eventos señalados en los numerales 2.6.4.7.2.1 a 2.6.4.7.2.4. se deberá contar con la siguiente información según corresponda:
c) En el evento de que se trate de una línea desactivada antes de la solicitud del NIP, la indicación del estado de la línea, la fecha y hora en la cual fue desactivada y la indicación precisa y completa del motivo de la desactivación.
d) En el evento de que se trate de una línea suspendida por solicitud del usuario, la indicación del estado de la línea, la fecha y hora en la cual la línea fue suspendida, la fecha en que el usuario solicitó la suspensión y la indicación precisa y completa del motivo de la suspensión. En este caso deberá anexarse la prueba que evidencie la solicitud de suspensión del usuario en donde conste el CUN, en los términos de la Circular Única de la Superintendencia de Industria y Comercio, asignado al momento de la presentación de esta.
e) En el evento de que se trate de una línea con numeración no implementada en la red del Proveedor Donante, la indicación del estado de la línea como no implementada o no programada en la red.
f) En el evento de que se trate de una línea con numeración implementada en la red del Proveedor Donante, pero no asignada a un usuario, la indicación de la fecha de implementación o programación en la red del Proveedor Donante de la numeración correspondiente a la línea cuya portación se solicita y la indicación del estado de la línea que refleja que no ha sido asignada a un usuario.
iii) Cuando se trate de la causal 2.6.4.7.3. del presente artículo, copia de la manifestación del usuario asociada al CUN, en los términos de la Circular Única de la Superintendencia de Industria y Comercio, asignado al momento de la presentación de la solicitud del usuario.
iv) Cuando se trate de la causal de rechazo establecida en el numeral 2.6.4.7.4 del presente artículo, el reporte o imagen de los sistemas de gestión, de información o de red de cada operador, de conformidad con las características propias de su operación, y en el mismo deberá constar, por lo menos, la siguiente información:
a) La identificación del sistema de gestión, de información o de red que corresponda, de conformidad con las características propias de la operación de cada proveedor, y la fecha de consulta y extracción de la información por parte del Proveedor Donante.
b) El número de la línea involucrada en la solicitud de la portación.
c) La indicación de que no se ha reportado intercambio de señalización entre la red del Proveedor Donante y el equipo terminal del usuario.
Los proveedores deberán garantizar la auditabilidad de los soportes antes referidos y de la información que en ellos se consigne, a través de los sistemas de gestión de información o de red utilizados.
En caso de que no se adjunten los referidos soportes, el rechazo se considerará injustificado y por lo tanto inválido, por lo que, en consecuencia, el ABD deberá dar curso a la portación.
PARÁGRAFO. Para los casos de solicitudes de portación múltiple, si el Proveedor Donante determinara que debe rechazar dicha solicitud en razón a que uno o varios de los números se encuentran incursos en alguna de las causales de rechazo enunciadas en el presente artículo, podrá denegar por una sola vez la solicitud de portación de la totalidad de los números contenidos en la misma. En este caso, el Proveedor Donante deberá informar en un único mensaje al Proveedor Receptor a través del ABD los números del grupo en cuestión que se encuentran incursos de causal de rechazo, junto con la justificación y prueba correspondiente para cada uno de ellos.
Una vez el usuario aclare o subsane a través del Proveedor Receptor las causales de rechazo señaladas por el Proveedor Donante en la solicitud inicial, este último no podrá alegar nuevas causales de rechazo para denegar la misma. En la solicitud de portación subsanada no deben incluirse los números que han sido debidamente rechazados según las causales expuestas en el presente artículo.
En caso de que el usuario expresamente haga la solicitud de que varios números en los que este sea titular se haga de manera conjunta, el Proveedor Donante le dará aplicación a lo establecido en el presente artículo para portaciones múltiples. En todo caso, el usuario a su elección siempre puede portar su número de manera individual, sin perjuicio de las modificaciones contractuales a que haya lugar frente a los demás números no portados.
ARTÍCULO 2.6.4.8. PLANEACIÓN DE LA VENTANA DE CAMBIO. <Artículo modificado por el artículo 9 de la Resolución 7285 de 2024. El nuevo texto es el siguiente:> Los Proveedores Donante y Receptor, a través del ABD, deben acordar la fecha y hora de la ventana de cambio en la cual se dará de baja el Número Portado en el Proveedor Donante y se activará el mismo en el Proveedor Receptor. Durante este período el Usuario no tendrá servicio.
Para efectos de facilitar el proceso de planeación de la ventana de cambio, los Proveedores acordarán la reserva, por parte de cada uno, de una cantidad predeterminada de números a ser portados cada día calendario, de manera que se simplifique el proceso de negociación y se garantice rapidez en la respuesta al usuario. En todo caso, dicha cantidad deberá ajustarse regularmente de manera tal que se garantice el cumplimento de los plazos dados en el artículo 2.6.4.1 de la presente resolución. Para ello, los Proveedores Donante y Receptor deberán ajustar conjuntamente la cantidad máxima de números a ser portados cada día calendario cuando se supere el 80% del cupo previamente establecido.
En desarrollo de este proceso, el Proveedor Receptor informará al ABD, previa verificación de disponibilidad suministrada por este último, la fecha y hora de la Ventana de Cambio en la que se efectuará la portación. A partir de lo anterior, el ABD confirmará la reserva de la ventana de cambio para la solicitud en cuestión al Proveedor Receptor, e informará de la misma al Proveedor Donante.
Una vez que la fecha y horario de la Ventana de Cambio estén confirmados, el Proveedor Receptor será responsable de informar al Usuario sobre el estado del Proceso de Portación y la fecha y hora en que ha sido programada la Ventana de Cambio, por medio telefónico o Mensaje Corto de Texto (SMS).
ARTÍCULO 2.6.4.9. ACTIVACIÓN DEL NÚMERO PORTADO. La Ventana de Cambio tendrá una duración máxima de dos (2) horas y deberá ser programada en el período que transcurre entre las 00:00 horas y las 6:00 horas, de acuerdo con los siguientes períodos:
- De 00:00 horas a 02:00 horas
- De 02:01 horas a 04:00 horas
- De 04:01 horas a 06:00 horas
El Proveedor Donante dispondrá de un tiempo máximo de una (1) hora desde el inicio de la Ventana de Cambio para realizar la desactivación de los números programados en su red, y una vez finalizada la misma, informará de este hecho al Proveedor Receptor por intermedio del ABD. El Proveedor Receptor realizará en la segunda mitad del tiempo de la Ventana de Cambio la activación de dichos números en su red, y al finalizar este proceso informará al ABD.
Al finalizar cada uno de los tres períodos de Ventana de Cambio definidos en el presente artículo, el ABD comunicará a todos los proveedores con Bases de Datos Operativas la finalización de la Ventana de Cambio para la actualización y sincronización de las tablas de enrutamiento por parte de los mismos.
El Proveedor Receptor informará al Usuario la activación del servicio, finalizando de esta manera el Proceso de Portación.
Con la activación del servicio por parte del Proveedor Receptor se da inicio a la nueva relación contractual con el usuario, dando con ello por terminado el contrato con el Proveedor Donante. Lo anterior, sin perjuicio del derecho del operador a perseguir el cobro de las obligaciones insolutas, la devolución de equipos, cuando aplique y los demás cargos a que haya lugar, de acuerdo con lo establecido en el ARTÍCULO 2.1.8.1 del CAPÍTULO 1 del TÍTULO II.
(Resolución CRC 2355 de 2010, artículo 22 - modificado por la Resolución 2596 de 2010)
ARTÍCULO 2.6.4.10. CANCELACIÓN DEL SERVICIO DE UN NÚMERO PORTADO. <Artículo modificado por el artículo 16 de la Resolución 5929 de 2020. El nuevo texto es el siguiente:> Cuando el usuario de un Número Portado cancele el servicio con el Proveedor Receptor, cambie de número, o sea dado de baja por el Proveedor Receptor sin realizar una nueva Solicitud de Portación, será responsabilidad de este último el retornar dicho número al Proveedor Asignatario de la numeración, de conformidad con el proceso descrito a continuación:
2.6.4.10.1. El Proveedor Receptor, deberá enviar al ABD en un plazo máximo de treinta (30) días calendarios posteriores a la fecha de la cancelación del servicio, la comunicación del cambio del número o de la baja que contenga la información del número que será eliminado de la BDA.
2.6.4.10.2. El ABD verificará que el Proveedor Receptor que solicita la eliminación del número de la Base de Datos Administrativa, sea efectivamente el último Proveedor que le prestó servicios a ese número.
2.6.4.10.3. <Numeral modificado por el artículo 10 de la Resolución 7285 de 2024. El nuevo texto es el siguiente:> El ABD deberá generar la información diaria de eliminación de números portados de la BDA que regresan al Proveedor Asignatario, a más tardar el día calendario siguiente al recibo del mensaje enviado por el Proveedor Receptor, y ponerla a disposición de todos los Proveedores de Redes y Servicios de Telecomunicaciones.
PARÁGRAFO. El ABD deberá adelantar el procedimiento establecido en los numerales 2.6.4.10.2 y 2.6.4.10.3 del presente artículo, sin que se requiera aviso del Proveedor Receptor, con respecto a los números que aparezcan registrados en la Base de Datos Administrativa como portados a un proveedor que ha sido desconectado o ha salido del mercado, de manera que tales números sean eliminados de la Base de Datos Administrativa y retornen al proveedor asignatario.
ASPECTOS ECONÓMICOS DE LA PORTABILIDAD NUMÉRICA
ARTÍCULO 2.6.5.1. RESPONSABILIDAD SOBRE LAS INVERSIONES Y LOS COSTOS. En los términos dispuestos en el artículo 2° de la Ley 1245 de 2008, los costos derivados de la adecuación de las redes y de los sistemas para implementar la Portabilidad Numérica, serán sufragados por los Proveedores de Redes y Servicios de Telecomunicaciones a los que se refiere el ARTÍCULO 2.6.1.1 del TÍTULO II, y de acuerdo con las obligaciones establecidas para los diferentes Proveedores en este acto administrativo. Los costos de que trata el citado artículo 2º Ley 1245 de 2008, incluyen aquéllos relativos a la comunicación entre la Base de Datos Operativa y la Base de Datos Administrativa, y en ningún caso podrán ser trasladados a los Usuarios.
(Resolución CRC 2355 de 2010, artículo 24)
ARTÍCULO 2.6.5.2. ESQUEMA DE REMUNERACIÓN DEL ABD. Los costos de implementación, gestión, operación y mantenimiento de la Base de Datos Administrativa serán remunerados al ABD por parte de los Proveedores de Redes y Servicios de Telecomunicaciones asignatarios directos de numeración no geográfica que deban implementar el esquema de enrutamiento ACQ o migren a éste, aplicando el principio de orientación a costos más utilidad razonable, atendiendo en todo caso los lineamientos que para el efecto formule la CRC.
(Resolución CRC 2355 de 2010, artículo 25)
ARTÍCULO 2.6.5.3. CARGO POR PORTACIÓN. Sin perjuicio de lo previsto en el artículo anterior, el ABD cobrará a los Proveedores un valor por el trámite de cada Solicitud de Portación.
(Resolución CRC 2355 de 2010, artículo 26)
ARTÍCULO 2.6.5.4. RESPONSABILIDAD DEL PAGO DEL CARGO POR PORTACIÓN. Los Proveedores serán responsables del pago del cargo por portación según los siguientes escenarios:
2.6.5.4.1. Portación Exitosa - Una Solicitud de Portación que resulte en el cambio de Proveedor será sufragada por el Proveedor Receptor.
2.6.5.4.2. Portación rechazada sin justa causa - En caso que el Proveedor Donante rechace la Solicitud de Portación sin una razón justificada según las causales de rechazo establecidas en el CAPÍTULO 6 del TÍTULO II, será éste quien sufrague los pagos a los que hubiere lugar. Lo anterior, sin perjuicio de las sanciones que por este comportamiento, le sean impuestas por las autoridades de control y vigilancia.
2.6.5.4.3. Portación rechazada con justa causa - Una Solicitud de Portación rechazada con justa causa será sufragada por el Proveedor Receptor.
(Resolución CRC 2355 de 2010, artículo 27)
ARTÍCULO 2.6.5.5. TARIFA POR PORTACIÓN. El Proveedor Receptor podrá cobrar al Usuario una tarifa por el servicio de portación, que corresponde a los costos de operación y administración derivados del Proceso de Portación, la cual podrá ser asumida por dicho Proveedor.
Esta tarifa en ningún caso incluirá los costos derivados de la adecuación de las redes y de los sistemas para implementar la Portabilidad Numérica a los que hace referencia el artículo 2 de la Ley 1245 de 2008, los cuales contemplan, entre otros, los costos de implementación del ABD, debiendo en todo caso estar orientada a costos.
El Proveedor Receptor tendrá en cuenta para la definición de esta tarifa las recomendaciones adicionales que la CRC haga al respecto conforme lo previsto en el numeral 7 del artículo 2° de la Ley 1245 de 2008.
(Resolución CRC 2355 de 2010, artículo 28)
ARTÍCULO 2.6.5.6. ENRUTAMIENTO Y ASIGNACIÓN DE COSTOS DE CONSULTA Y TRANSPORTE. <Artículo modificado por el artículo 5 de la Resolución 5322 de 2018. El nuevo texto es el siguiente:> Los costos de consulta a la BDO para enrutar cada comunicación y los costos adicionales por transporte a través de la red de un tercero, cuando apliquen, se asignarán de acuerdo con los siguientes criterios:
2.6.5.6.1. En el esquema de enrutamiento ACQ, los costos de consulta a la BDO serán asumidos por el proveedor que origine la comunicación. En el caso relativo a comunicaciones de larga distancia internacional entrantes, el proveedor de larga distancia internacional responsable de entregar la comunicación en el destino, será considerado como el proveedor que origina la comunicación.
2.6.5.6.2. <Numeral modificado por el artículo 45 de la Resolución 7811 de 2025. El nuevo texto es el siguiente:> En el esquema de enrutamiento OR, el proveedor fijo responsable de la llamada reconocerá al proveedor móvil al que enrutó la llamada, y con el cual tiene suscrito un acuerdo de interconexión, los costos de consulta a la BDO y los costos de transporte en los que incurre este último por las llamadas provenientes de Números Geográficos con destino a Números No Geográficos de Redes portados.
2.6.5.6.3. En el esquema de enrutamiento indirecto de mensajes cortos de texto (SMS) al que hace referencia el numeral 2.6.3.1.3 del artículo 2.6.3.1 del Título II, los costos de consulta a la BDO y los costos de transporte derivados del enrutamiento de dichos mensajes serán asumidos por el proveedor asignatario del número de destino. La remuneración de otros costos, en caso de resultar aplicables, deberá darse por acuerdo directo entre las partes involucradas.
PARÁGRAFO. Teniendo en cuenta que los PRST a los que hace referencia el numeral 2.6.1.2.1 del artículo 2.6.1.2 del Título II actúan simultáneamente como Proveedor Receptor y Proveedor Donante, no habrá lugar al pago de los costos derivados del transporte de mensajes cortos de texto (SMS), referidos en el numeral 2.6.5.6.3 del presente artículo.
COMITÉ TÉCNICO DE PORTABILIDAD
ARTÍCULO 2.6.6.1. NATURALEZA DEL COMITÉ TÉCNICO DE PORTABILIDAD - CTP. <Artículo derogado por el artículo 80 de la Resolución 5586 de 2019>
ARTÍCULO 2.6.6.2. CONFORMACIÓN DEL COMITÉ TÉCNICO DE PORTABILIDAD. <Artículo derogado por el artículo 80 de la Resolución 5586 de 2019>
ARTÍCULO 2.6.6.3. SESIÓN DE CONSTITUCIÓN DEL CTP. <Artículo derogado por el artículo 80 de la Resolución 5586 de 2019>
ARTÍCULO 2.6.6.4. DE LAS SESIONES DEL CTP. <Artículo derogado por el artículo 80 de la Resolución 5586 de 2019>
ARTÍCULO 2.6.6.5. MAYORÍA DECISORIA. <Artículo derogado por el artículo 80 de la Resolución 5586 de 2019>
ARTÍCULO 2.6.6.6. ATRIBUCIONES DEL COMITÉ TÉCNICO DE PORTABILIDAD. <Artículo derogado por el artículo 80 de la Resolución 5586 de 2019>
ADMINISTRADOR DE LA BASE DE DATOS
ARTÍCULO 2.6.7.1. ADMINISTRACIÓN DE LA BASE DE DATOS. <Artículo modificado por el artículo 18 de la Resolución 5586 de 2019. El nuevo texto es el siguiente:> La implementación, operación, seguridad, mantenimiento e integridad de la Base de Datos Administrativa, la comunicación de los cambios de Proveedor de Redes y Servicios de Telecomunicaciones por parte de los Usuarios, la coordinación de la sincronía para la actualización de las BDO, y el cumplimiento de las especificaciones técnicas y operativas detalladas definidas por la CRC, estará en cabeza del Administrador de Base de Datos, el cual debe ser un tercero neutral e independiente de los Proveedores de Redes y Servicios de Telecomunicaciones a los que hace referencia el ARTÍCULO 2.6.1.2 del TÍTULO II.
El Administrador de la Base de Datos será seleccionado conjuntamente por los Proveedores de Redes y Servicios de Telecomunicaciones que en los términos del CAPÍTULO 6 del TÍTULO II implementen el esquema de enrutamiento ACQ, teniendo en cuenta criterios de eficiencia y maximización del beneficio para los Usuarios.
ARTÍCULO 2.6.7.2. REQUISITOS MÍNIMOS DEL ABD. El Administrador de la Base de Datos deberá cumplir los siguientes requisitos mínimos, los cuales deberán hacer parte de las condiciones establecidas por parte de los Proveedores de Redes y Servicios de Telecomunicaciones para su selección:
- Ser persona jurídica legalmente capaz, establecida o constituida de acuerdo con lo previsto en el Código de Comercio.
- No tener participación accionaria o de capital de los Proveedores de Redes y Servicios de Telecomunicaciones responsables de implementar la portabilidad numérica de acuerdo con el ARTÍCULO 2.6.1.1 del TÍTULO II, o de sus vinculadas, controladas, matrices y subordinadas. Estas mismas condiciones aplicarán para cualquier empresa que pueda llegar a contratar el ABD para la operación de la BDA.
- Los empleados del ABD no deben proveer servicios o tener vínculo laboral con ninguno de los Proveedores de Redes y Servicios de Telecomunicaciones responsables de implementar la Portabilidad Numérica.
(Resolución CRC 2355 de 2010, artículo 37)
ARTÍCULO 2.6.7.3. OBLIGACIONES DEL ADMINISTRADOR DE LA BASE DE DATOS. <Artículo modificado por el artículo 19 de la Resolución 5586 de 2019. El nuevo texto es el siguiente:> En el proceso de selección del ABD se incluirá un modelo de contrato a ser suscrito entre este y los Proveedores de Redes y Servicios de Telecomunicaciones que, en los términos del CAPÍTULO 6 TÍTULO II, implementen el esquema de enrutamiento ACQ. Dicho modelodeberá contemplar, entre otras, las siguientes obligaciones:
- Ser responsable por el dimensionamiento, contratación, planeación de los equipos y sistemas necesarios para la implementación y operación de la Base de Datos Administrativa, de conformidad con las especificaciones técnicas y operativas definidas por la CRC.
- Mantener la confidencialidad de las informaciones de los procesos de portación, cuando dicha información por disposición legal tenga carácter confidencial o reservado.
- Garantizar en todo momento la reserva de la información de la Base de Datos Administrativa. Dicha información sólo podrá ser utilizada para los fines específicos asociados a la portabilidad numérica.
- Garantizar los intercambios de informaciones entre los Proveedores de Redes y Servicios de Telecomunicaciones por medio de interfaces abiertas y protocolos comunes.
- Garantizar, sin costos adicionales, la disponibilidad de la información necesaria para el enrutamiento de comunicaciones hacia números portados a los Proveedores a los que hace referencia el numeral 2.6.1.2.1 del artículo 2.6.1.2 del Título II; a los Proveedores de Larga Distancia Internacional que cursen tráfico con las redes de dichos proveedores; y a los Proveedores Fijos que implementen el esquema de enrutamiento ACQ. La disponibilidad de esta información debe ofrecerse en un servidor electrónico, permitiendo su acceso a través de Internet en forma segura.
- Adelantar en los tiempos definidos en la regulación todas las comunicaciones y actividades necesarias para llevar a cabo los Procesos de Portación. Dichas comunicaciones se realizarán mediante mensajes electrónicos con todos los proveedores involucrados en el proceso.
- Mantener la Base de Datos Administrativa actualizada y coordinar la sincronía de la actualización de las Bases de Datos Operativas, garantizando la consistencia e integridad de la información contenida en las mismas.
- Mantener el registro histórico de números portados por un período no inferior a cinco (5) años, y una vez finalizado el (los) contrato(s), hacer entrega de dicho registro a los respectivos Proveedores de Redes y/o Servicios de Telecomunicaciones, teniendo en cuenta para el efecto las condiciones de confidencialidad aplicables.
- Controlar los procesos de portación, garantizando su eficacia y eficiencia.
- Establecer un sistema de administración de cupos para reserva de portaciones dentro de las ventanas de cambio, cuya información deberá estar actualizada y disponible para los Proveedores a los que hace referencia el numeral 2.6.1.2.1 del ARTÍCULO 2.6.1.2 del TÍTULO II.
- Asignar el NIP a Usuarios de servicios móviles y realizar la verificación de la Solicitud de Portación.
- Disponer en la BDA de mecanismos de redundancia y contingencia para garantizar la operación continua de la Portabilidad Numérica.
- Resolver las fallas que se presenten asociadas a la operación de la Portabilidad Numérica.
- Proveer en tiempo real la información requerida por la CRC, incluyendo entre otros los siguientes elementos:
- Solicitudes de Portación iniciadas y finalizadas, incluyendo los plazos de las mismas, discriminadas por proveedor.
- Solicitudes de Portación rechazadas y discriminadas por Proveedor y causa.
- Registro de fallas, con sus causas, procedimientos y tiempos de solución.
ARTÍCULO 2.6.7.4. CONTENIDO DEL CONTRATO DEL ADMINISTRADOR DE LA BASE DE DATOS. <Artículo modificado por el artículo 20 de la Resolución 5586 de 2019. El nuevo texto es el siguiente:> El modelo de contrato a ser suscrito entre el ABD y los Proveedores de Redes y Servicios de Telecomunicaciones que en los términos del CAPÍTULO 6 del TÍTULO II implementen el esquema de enrutamiento ACQ, deberá contener como mínimo lo siguiente:
- Especificaciones técnicas y operativas.
- Nivel de calidad y disponibilidad.
- Mecanismos de seguridad.
- Garantías.
- Duración del contrato.
- Esquemas de remuneración, incluyendo la discriminación de los componentes relativos a inversiones iniciales de implementación y los correspondientes a gastos recurrentes derivados de la operación.
- Procedimientos de intercambio de información.
- Servicio de atención y soporte.
- Mecanismos de solución de controversias entre los Proveedores y el ABD.
- Multas y sanciones.
ARTÍCULO 2.6.7.5. PLAZO PARA LA SUSCRIPCIÓN DEL CONTRATO. <Artículo derogado por el artículo 80 de la Resolución 5586 de 2019>
CRONOGRAMA DE IMPLEMENTACIÓN DE LA PORTABILIDAD NUMÉRICA
ARTÍCULO 2.6.8.1. CRONOGRAMA DE IMPLEMENTACIÓN DE LA PORTABILIDAD NUMÉRICA. <Artículo derogado por el artículo 80 de la Resolución 5586 de 2019>
SECCIÓN 9. RÉGIMEN SANCIONATORIO
ARTÍCULO 2.6.9.1. SANCIONES. <Artículo derogado por el artículo 80 de la Resolución 5586 de 2019>
SECCIÓN 10. DISPOSICIONES TRANSITORIAS Y FINALES
ARTÍCULO 2.6.10.1. DEBER DE DIVULGACIÓN. <Artículo derogado por el artículo 80 de la Resolución 5586 de 2019>
ARTÍCULO 2.6.10.2. NÚMEROS DE SERVICIOS PORTADOS. <Artículo derogado por el artículo 80 de la Resolución 5586 de 2019>
SECCIÓN 11. CONTINUIDAD DEL SERVICIO
ARTÍCULO 2.6.11.1. CONTINUIDAD DEL SERVICIO. Los Proveedores de Redes y Servicios obligados a la implementación de la portabilidad numérica deben garantizar la continuidad del servicio de portabilidad numérica así como la no afectación de las comunicaciones, de manera que los respectivos usuarios puedan ejercer continua y permanentemente su derecho legal a portar su número.
(Resolución CRC 2566 de 2010, artículo 1)
ARTÍCULO 2.6.11.2. MEDIDAS PARA GARANTIZAR LA CONTINUIDAD DE LA PORTABILIDAD NUMÉRICA. Ninguna controversia, conflicto o incumplimiento del Administrador de la Base de Datos o de los proveedores de redes y servicios, podrá dar lugar a la suspensión, interrupción o limitación del servicio de portabilidad numérica, y por lo tanto las condiciones de prestación de dicho servicio deben mantenerse bajo la responsabilidad de dichos proveedores.
Ante la existencia de cualquier circunstancia que pueda conllevar a la suspensión, interrupción o limitación de la portabilidad numérica, los Proveedores de Redes y Servicios de telecomunicaciones obligados a la implementación de la misma bajo el esquema ACQ, deberán adoptar todas las previsiones necesarias con el fin de evitar dichos eventos, de manera que se garantice no sólo la continuidad del mismo sino el ejercicio permanente del derecho legal de los usuarios a la portabilidad numérica y a las comunicaciones.
Las medidas o previsiones a adoptar en todo caso deberán ser autorizadas por la Comisión de Regulación de las Comunicaciones, y mientras no se produzca dicha autorización, las condiciones de la prestación del servicio de portabilidad numérica deben mantenerse, so pena de que quién ejecutó, motivó o patrocinó la conducta, incurra en las sanciones previstas para el efecto en las normas correspondientes.
(Resolución CRC 2566 de 2010, artículo 2)
ARTÍCULO 2.6.11.3. SEGUIMIENTO Y ACOMPAÑAMIENTO DEL PROCESO DE PORTABILIDAD NUMÉRICA. <Artículo derogado por el artículo 80 de la Resolución 5586 de 2019>
ARTÍCULO 2.6.11.4. NUEVOS PROVEEDORES DE REDES Y SERVICIOS. <Artículo modificado por el artículo 7 de la Resolución 5322 de 2018. El nuevo texto es el siguiente:> El Administrador de la Base de Datos y los Proveedores de Redes y Servicios de Telecomunicaciones siempre deberán permitir el acceso al servicio de administración de la base de datos de la portabilidad numérica a otros Proveedores de Redes y Servicios. Para efectos de lo anterior, el acuerdo entre el ABD con nuevos Proveedores de Redes y Servicios asignatarios directos de numeración geográfica o no geográfica, que deban implementar el esquema de enrutamiento ACQ conforme al Capítulo 6 del Título II y la Ley 1245 de 2008, o migren a este, siempre estará sujeto al principio de no discriminación.
ARTÍCULO 2.6.12.1. DETERMINACIÓN DEL NRN. <Artículo derogado por el artículo 13 de la Resolución 5968 de 2020>
ARTÍCULO 2.6.12.2. CODIFICACIÓN DEL PARÁMETRO NOA. Para un número portado, la codificación del campo del parámetro NoA seguirá la siguiente codificación:
Valor NoA = 0000011 "número nacional (significativo)"; correspondiente a una llamada a un número no portado.
Valor NoA = 0001000 "número de encaminamiento de red concatenado con el número de directorio llamado"; correspondiente a una llamada a un número portado.
(Resolución CRC 2948 de 2010, artículo 3)
ARTÍCULO 2.6.12.3. ASIGNACIÓN DEL NRN. <Artículo subrogado por el artículo 6 de la Resolución 5968 de 2020. El nuevo texto es el siguiente:> El Administrador de los Recursos de Identificación asignará a solicitud de parte el número de enrutamiento de red – NRN de conformidad con las disposiciones contenidas en la SECCIÓN 2 del CAPÍTULO 9 del TÍTULO VI de la Resolución CRC 5050 de 2016.
ARTÍCULO 2.6.12.4. CONFIGURACIÓN DE LOS CAMPOS DEL IAM. Para las adecuaciones de la señalización en ambiente de Portabilidad Numérica los Proveedores de Redes y Servicios deben configurar los siguientes campos del IAM, en lo referente al campo de dirección del número llamado (Numero B), así:
| - | 3 dígitos | 10 dígitos |
| Números móviles no portados | - | DN = N(S)N |
| Números móviles portados | NRN | DN = Ñ(S)N |
- El número de directorio (DN) en Colombia es el Número Nacional Significativo N(S)N, conformado por el indicativo nacional de destino (NDC) y el número de abonado (SN).
o El NDC para numeración no geográfica tiene tres dígitos de longitud.
o El número de abonado SN tiene una longitud de siete dígitos.
- EL NRN corresponde al número de enrutamiento de red, el cual será de 3 dígitos para Colombia y corresponderá al código definido para cada proveedor de redes y servicios de telecomunicaciones móviles en el ARTÍCULO 2.6.12.3 del TÍTULO II.
(Resolución CRC 2948 de 2010, artículo 5)
ARTÍCULO 2.6.12.5. REGISTROS CDR. Para efectos de la adecuada operación de los procedimientos de tasación, tarificación, facturación, recaudo y conciliación, en ambiente de portabilidad numérica, los registros CDR de tasación detallada deben incluir el NRN, además de los identificadores de las redes origen y destino en cada llamada que se realice. Este procedimiento aplica en la originación, terminación, interconexión directa o indirecta, y tránsito de las comunicaciones con los PRS de telefonía móvil.
(Resolución CRC 2948 de 2010, artículo 6)
ARTÍCULO 2.6.12.6. VALOR DE CAUSA. Para efectos del tratamiento de errores de enrutamiento en la interconexión de redes en ambiente de portabilidad numérica, el valor de causa a utilizar será el N° 112, el cual deberá asociarse a un mensaje de voz o tono existente, tanto para llamadas nacionales como para llamadas internacionales entrantes, que indique la existencia de un error de enrutamiento en la llamada a un número portado.
(Resolución CRC 2948 de 2010, artículo 7)
SECCIÓN 13. CARGOS DE ACCESO Y DE TRANSPORTE
ARTÍCULO 2.6.13.1. TRANSFERENCIA DE CARGOS DE ACCESO EN LLAMADAS FIJO-MÓVIL EN PORTABILIDAD NUMÉRICA MÓVIL. <Artículo modificado por el artículo 46 de la Resolución 7811 de 2025. El nuevo texto es el siguiente:> En las relaciones de interconexión entre proveedores fijos y móviles para la remuneración de llamadas fijo-móvil hacia números portados bajo el esquema de enrutamiento Onward Routing (OR) se tendrán en cuenta las siguientes condiciones:
2.6.13.1.1. El proveedor de redes y servicios de telefonía fija que sea responsable de la comunicación reconocerá al proveedor móvil en cuya red termina la llamada fijo-móvil el valor del cargo de acceso a redes móviles. Para tal fin, el proveedor fijo transferirá dichos cargos al proveedor móvil que realizó la intermediación de la comunicación, el cual a su vez está obligado a transferirlos al proveedor receptor destinatario final de la comunicación.
2.6.13.1.2. El proveedor que sea responsable de la llamada fijo-móvil reconocerá al proveedor móvil al que enrutó la llamada y con el cual tiene suscrito un acuerdo de interconexión, el valor del cargo de intermediación por concepto de llamadas hacia números portados. El valor del cargo de intermediación no se reconocerá en aquellos casos en que la llamada termine dentro de la misma red móvil en la que se encuentra el proveedor asignatario de la numeración con ocasión de un acuerdo comercial de acceso de operación móvil virtual.
PARÁGRAFO. Todos los proveedores de redes y servicios de telecomunicaciones móviles deberán suministrar sin costo alguno a los proveedores fijos que cuenten con el esquema de enrutamiento Onward Routing, la información de los registros CDR necesaria para realizar las actividades de conciliación, tarificación y facturación del tráfico de llamadas fijo-móvil. Esta información deberá ser proporcionada a solicitud del proveedor fijo y en las condiciones establecidas en el artículo 2.6.12.5. de la presente resolución.
ARTÍCULO 2.6.13.2. ADECUACIONES A PROCESOS ENTRE PROVEEDORES. <Artículo derogado por el artículo 80 de la Resolución 5586 de 2019>
ENTRADA DE NUEVOS PROVEEDORES DE REDES Y SERVICIOS EN AMBIENTE DE PORTABILIDAD NUMÉRICA MÓVIL EN COLOMBIA
ARTÍCULO 2.6.14.1. ÁMBITO DE APLICACIÓN. En ambiente de Portabilidad Numérica Móvil, todos los Proveedores de Redes y Servicios, entre los cuales se encuentran los Proveedores de Redes y Servicios de Telecomunicaciones Móviles (PRSTM) y Móviles Virtuales (OMV), de larga distancia (LDI), de telefonía local (TPBCL) y local extendida (TPBCLE), Proveedores de Servicios, de Contenidos y Aplicaciones (PCA), y demás agentes que vayan a dar inicio a sus operaciones, deberán dar previo cumplimiento al protocolo de pruebas dispuesto en el ARTÍCULO 2.6.14.2 del TÍTULO II.
PARÁGRAFO. <Parágrafo adicionado por el artículo 9 de la Resolución 5322 de 2018. El nuevo texto es el siguiente:> El ámbito de aplicación del presente artículo incluye a los proveedores asignatarios de numeración geográfica que implementen o migren al esquema de enrutamiento ACQ en las llamadas fijo-móvil, por lo que el protocolo de pruebas coordinadas por el ABD, de procesos y de comunicaciones a las que hacen referencia los numerales 2.6.15.3.1.1, 2.6.15.3.1.2, 2.6.15.3.2 y 2.6.15.3.3, las cuales se encuentran detalladas en el Anexo 2.4 del Título de anexos, deberán ser realizadas por estos proveedores de manera previa a la implementación efectiva del esquema enrutamiento ACQ sobre uno o más de sus nodos o centrales de red siempre que sea pertinente de acuerdo con su tipo de operación.
(Resolución CRC 3086 de 2011, artículo 1)
ARTÍCULO 2.6.14.2. PLAN DE PRUEBAS PARA LA ENTRADA DE NUEVOS AGENTES EN AMBIENTE DE PORTABILIDAD NUMÉRICA MÓVIL. Previo a la entrada en operación, los nuevos Proveedores de Redes y Servicios, de acuerdo con su tipo de operación, deberán realizar como mínimo, las pruebas necesarias, con los actores que se indican en el ANEXO 2.4 del TÍTULO DE ANEXOS, a efectos de garantizar su correcta operación en ambiente de portabilidad numérica móvil, tomando para el efecto como referencia al menos las categorías allí relacionadas.
(Resolución CRC 3086 de 2011, artículo 2)
ARTÍCULO 2.6.14.3. RESPONSABILIDAD DE LAS PRUEBAS. El desarrollo de las pruebas de que trata la SECCIÓN 14, del CAPÍTULO 6 del TÍTULO II será coordinado de la siguiente manera:
Las pruebas correspondientes al intercambio de información con el ABD, deberán ser coordinadas por este último, previa solicitud del PRS entrante.
Las pruebas restantes serán coordinadas por el nuevo agente con los demás PRS con los cuales tenga acuerdos de interconexión y acceso. Estas pruebas serán lideradas por el nuevo agente.
De conformidad con lo anterior, todos los PRS involucrados y el ABD deben disponer de los recursos necesarios para adelantar las pruebas relacionadas en el ARTÍCULO 2.6.14.2 del TÍTULO II.
(Resolución CRC 3086 de 2011, artículo 3)
ARTÍCULO 2.6.14.4. REPORTE DE PRUEBAS. Al finalizar el Plan de Pruebas de que trata el ARTÍCULO 2.6.14.2 del TÍTULO II, se generará un reporte detallado de las mismas por parte del nuevo agente que requiere ingresar a operar y se determinará el resultado obtenido en cada una de las pruebas. Este reporte deberá ser firmado por los responsables delegados para adelantar las pruebas por parte del nuevo agente y por cada uno de los PRS móviles y el ABD.
(Resolución CRC 3086 de 2011, artículo 4)
PRUEBAS EN AMBIENTE DE PORTABILIDAD NUMÉRICA MÓVIL EN COLOMBIA
ARTÍCULO 2.6.15.1. REQUISITOS PREVIOS PARA EL INICIO DE LAS PRUEBAS. Los nuevos agentes, antes de iniciar pruebas, deben celebrar con los diferentes Proveedores de Redes y Servicios ya establecidos y conforme a su tipo de operación, los acuerdos de interconexión, acceso, uso o acuerdos comerciales para el uso de la infraestructura de terceros, según corresponda, y de conciliación y/o recaudo necesarios para la operación de sus redes y plataformas tecnológicas en ambiente de portabilidad numérica móvil, atendiendo los términos dispuestos en los artículos 42 y 43 de la Ley 1341 de 2009.
(Resolución CRC 3100 de 2011, artículo 1)
ARTÍCULO 2.6.15.2. INICIO DE LA EJECUCIÓN DE PRUEBAS. Una vez cumplidas las condiciones establecidas en el ARTÍCULO 2.6.15.1 del TÍTULO II en lo que apliquen para cada caso, se deberá dar inicio a la ejecución de las pruebas dispuestas en la SECCIÓN 14 del CAPÍTULO 6 del TÍTULO II, dentro de un término no superior a quince (15) días calendario.
(Resolución CRC 3100 de 2011, artículo 2)
ARTÍCULO 2.6.15.3. DURACIÓN DE LA EJECUCIÓN DE LAS PRUEBAS. El plazo máximo de ejecución de las pruebas relacionadas en el ANEXO 2.4 del TÍTULO DE ANEXOS, para los nuevos agentes, en ambiente de Portabilidad Numérica Móvil será el siguiente:
2.6.15.3.1. PRUEBAS COORDINADAS POR EL ABD Y DE RESPONSABILIDAD DE TODOS LOS AGENTES:
2.6.15.3.1.1. PRUEBAS ENTRE ABD Y OTROS AGENTES INVOLUCRADOS
| - Pruebas Unitarias | (ABD - Nuevo PRSTM, nuevo OMV) |
| - Pruebas Integradas | (ABD - Nuevo PRSTM, nuevo OMV, PRSTM y OMV existentes) |
| - Pruebas de Carga | (ABD - Nuevo PRSTM) |
| - Contingencia | (ABD - Nuevo PRSTM) |
La duración máxima de este conjunto de pruebas será de quince (15) días calendario.
2.6.15.3.1.2. PRUEBAS DE DESCARGA DE ARCHIVOS A TRAVÉS DE SFTP CON EL ABD
| - Pruebas de configuración y conexión | (PRS LDI, PCA CON ABD) |
| - Pruebas de acceso USUARIO Y CONTRASEÑA | (PRS LDI, PCA CON ABD) |
| - Pruebas de descarga de archivos | (PRS LDI, PCA CON ABD) |
| - Pruebas de soporte y aseguramiento | (PRS LDI, PCA CON ABD) |
La duración máxima de este conjunto de pruebas será de cinco (5) días calendario.
2.6.15.3.2. PRUEBAS DE PROCESOS
RESPONSABILIDAD DE TODOS LOS AGENTES INVOLUCRADOS
La duración máxima de este conjunto de pruebas será de quince (15) días calendario.
2.6.15.3.3. PRUEBAS DE COMUNICACIONES
RESPONSABILIDAD DE TODOS LOS AGENTES INVOLUCRADOS
La duración máxima de este conjunto de pruebas será de quince (15) días calendario.
PARÁGRAFO 1. Cada uno de los conjuntos de las pruebas previstas en los numerales 2.6.15.3.1.1, 2.6.15.3.1.2, 2.6.15.3.2 y 2.6.15.3.3 anteriores se pueden realizar simultáneamente, por lo cual el tiempo mínimo de ejecución de la totalidad de las pruebas será de quince (15) días calendario.
PARÁGRAFO 2. Sin perjuicio de lo establecido en el parágrafo 1 anterior, el plazo máximo para el desarrollo de todas las pruebas relacionadas en el CAPÍTULO 6 del TÍTULO II no podrá ser superior a un término de treinta (30) días calendario, respetando en todo caso el plazo individual para cada conjunto de pruebas previstos en el presente artículo.
(Resolución CRC 3100 de 2011, artículo 3)
INDICADORES DE EFECTIVIDAD EN LA ENTREGA Y EN EL USO DE NÚMEROS DE IDENTIFICACIÓN PERSONAL (NIP) DE CONFIRMACIÓN PARA LA PORTABILIDAD NUMÉRICA MÓVIL
ARTÍCULO 2.6.16.1. INDICADOR DE EFECTIVIDAD EN EL USO DE NIP (EFU). <Artículo subrogado por el artículo 1 de la Resolución 6333 de 2021. El nuevo texto es el siguiente:> Los proveedores de redes y servicios móviles -PRSTM-, deberán adoptar las adecuaciones en sistemas y procesos, así como también las acciones necesarias para efectuar la medición mensual del indicador de efectividad del uso de los NIP generados en su calidad de proveedor donante en el proceso de portación, de acuerdo con lo establecido en el CAPÍTULO 6 del TÍTULO II.
ARTÍCULO 2.6.16.2. MEDICIÓN DEL EFU. <Artículo subrogado por el artículo 2 de la Resolución 6333 de 2021. El nuevo texto es el siguiente:> El cálculo del Indicador de Efectividad en el uso de NIP se realizará con base en la siguiente fórmula:
EFU = (PEX + RAB + RPD + SIE) / (NTN)
Donde:
| EFU: | Efectividad del Uso del NIP |
| PEX: | Portaciones Exitosas dentro del mes a reportar (t) |
| RAB: | Portaciones Rechazadas por el ABD, de acuerdo con las causales establecidas en la regulación, dentro del mes a reportar (t) |
| RPD: | Rechazos por el PRSTM Donante, acordes con las causales establecidas en la regulación vigente, dentro del mes a reportar (t) |
| SIE: | Mensajes cortos de texto (SMS) no entregados por el proveedor donante al usuario, por causales asociadas a: (i) equipo terminal móvil apagado, (ii) equipo terminal fuera del área de cobertura, o (iii) equipo terminal con memoria insuficiente para recibir tales mensajes, dentro del mes a reportar (t) |
| NTN: | Número Total de NIPs enviados por el ABD al proveedor donante para su remisión al usuario y con confirmación de recibo de dicho proveedor, calculado a partir de la siguiente fórmula: NTN = N(t) + Nv(t-1) - Nv(t+1) - Np(t-1) - Np(t) Donde: - N(t) = NIPs generados en el mes a reportar (t) - Nv(t-1) = NIPs generados en el mes anterior (t-1) y vigentes al inicio del mes a reportar (t) - Nv(t+1) = NIPs generados en el mes a reportar (t) y vigentes al inicio del mes siguiente (t+1) - Np(t-1) = NIPs generados en el mes anterior (t-1), vigentes al inicio del mes a reportar (t) y cuya ventana de cambio haya sido programada para el mes siguiente (t+1) - Np(t) = NIPs generados en el mes a reportar (t) y cuya ventana de cambio haya sido programada para el mes siguiente (t+1) |
La información correspondiente a PEX, RAB, RPD y NTN, será suministrada por el ABD a los PRSTM. Está información, junto con el valor y los soportes de la información correspondientes al parámetro SIE deberán estar disponibles para consulta inmediata y en cualquier momento por parte de la CRC y de las entidades de control y vigilancia, de tal forma que se pueda efectuar el cálculo del indicador EFU de, al menos, los doce (12) meses previos a la fecha en que se realiza la consulta.
PARÁGRAFO. Los PRSTM, en su condición de donantes y a solicitud de envío de mensaje corto de texto (SMS) recibido del ABD como resultado de una solicitud de portación del usuario a través del PRSTM receptor, deben efectuar al menos tres (3) intentos de envío de cada mensaje con el NIP al usuario, dentro del plazo establecido en el inciso segundo del artículo 2.6.4.2 de la SECCIÓN 4 del CAPÍTULO 6 del TÍTULO II.
ARTÍCULO 2.6.16.3. VALOR MÍNIMO DEL INDICADOR DE EFECTIVIDAD EN EL USO DE NIP (EFU). <Artículo derogado por el artículo 23 de la Resolución 6333 de 2021>
ARTÍCULO 2.6.16.4. INDICADOR DE EFECTIVIDAD DE ENTREGA DE NIP (EFE). El Administrador de la Base de Datos -ABD- deberá adoptar las adecuaciones en sistemas y procesos así como también las acciones necesarias para efectuar la medición mensual del indicador de Efectividad de entrega de los NIP de cada proveedor donante en el proceso de portación. Así mismo, deberá coordinar lo pertinente con cada uno de los Proveedores de Redes y Servicios Móviles para dar cumplimiento al valor mínimo de dicho indicador, de acuerdo con lo establecido en la SECCIÓN 16 del CAPÍTULO 6 del TÍTULO II.
(Resolución CRC 3477 de 2011, artículo 4)
ARTÍCULO 2.6.16.5. MEDICIÓN DEL EFE. <Artículo subrogado por el artículo 3 de la Resolución 6333 de 2021. El nuevo texto es el siguiente:> El cálculo del Indicador de Efectividad de Entrega de NIP se realizará con base en la siguiente fórmula:
EFE = Nc / Ne
Donde:
EFE = Efectividad de entrega de NIP entre el ABD y el proveedor donante
Nc = NIPs confirmados como recibidos por el proveedor donante al ABD
Ne = Total NIPs enviados por el ABD al proveedor donante
El ABD deberá adelantar mediciones mensuales del indicador EFE para cada uno de los PRSTM en su calidad de donante. El valor obtenido correspondiente al mes inmediatamente anterior deberá estar disponible para consulta por parte de la CRC, dentro de los cinco (5) primeros días hábiles de cada mes, especificando los parámetros a partir de los cuales se efectúa dicha medición.
ARTÍCULO 2.6.16.6. VALOR MÍNIMO DEL INDICADOR DE EFECTIVIDAD DE ENTREGA DE NIP (EFE). El Indicador de Efectividad de entrega de NIP definido en el ARTÍCULO 2.6.16.4 del TÍTULO II y medido para cada uno de los Proveedores de Redes y Servicios Móviles en su calidad de donante, deberá ser igual o superior al 97% en cada medición mensual.
(Resolución CRC 3477 de 2011, artículo 6)
REGLAMENTO INTERNO DEL COMITÉ TÉCNICO DE PORTABILIDAD -CTP
ARTÍCULO 2.6.17.1. OBJETO DEL COMITÉ TÉCNICO DE PORTABILIDAD -CTP-. <Artículo derogado por el artículo 80 de la Resolución 5586 de 2019>
ARTÍCULO 2.6.17.2. ALCANCE. <Artículo derogado por el artículo 80 de la Resolución 5586 de 2019>
ARTÍCULO 2.6.17.3. CONFORMACIÓN DEL COMITÉ TÉCNICO DE PORTABILIDAD -CTP-. <Artículo derogado por el artículo 80 de la Resolución 5586 de 2019>
ARTÍCULO 2.6.17.4. MIEMBROS DEL COMITÉ TÉCNICO DE PORTABILIDAD -CTP- CON CAPACIDAD DE VOTO. <Artículo derogado por el artículo 80 de la Resolución 5586 de 2019>
ARTÍCULO 2.6.17.5. FUNCIONES DEL COMITÉ TÉCNICO DE PORTABILIDAD -CTP-. <Artículo derogado por el artículo 80 de la Resolución 5586 de 2019>
ARTÍCULO 2.6.17.6. FUNCIONES DE LA PRESIDENCIA DEL CTP. <Artículo derogado por el artículo 80 de la Resolución 5586 de 2019>
ARTÍCULO 2.6.17.7. FUNCIONES DE LA SECRETARÍA DEL CTP. <Artículo derogado por el artículo 80 de la Resolución 5586 de 2019>
ARTÍCULO 2.6.17.8. CONVOCATORIA PARA LA CELEBRACIÓN DE SESIONES. <Artículo derogado por el artículo 80 de la Resolución 5586 de 2019>
ARTÍCULO 2.6.17.9. SESIONES. <Artículo derogado por el artículo 80 de la Resolución 5586 de 2019>
ARTÍCULO 2.6.17.10. ACTAS. <Artículo derogado por el artículo 80 de la Resolución 5586 de 2019>
ARTÍCULO 2.6.17.11. PUBLICIDAD DE LAS ACTAS Y LOS DOCUMENTOS DEL COMITÉ TÉCNICO DE PORTABILIDAD -CTP-. <Artículo derogado por el artículo 80 de la Resolución 5586 de 2019>
ARTÍCULO 2.6.17.12. VIGENCIA DEL COMITÉ TÉCNICO DE PORTABILIDAD -CTP-. <Artículo derogado por el artículo 80 de la Resolución 5586 de 2019>
ARTÍCULO 2.7.1.1. OBJETO Y ÁMBITO DE APLICACIÓN. El presente CAPÍTULO establece el marco regulatorio que tiene por objeto la restricción de la operación en las redes de telecomunicaciones móviles de los equipos terminales móviles reportados como hurtados y/o extraviados, en cumplimiento de lo dispuesto en el TÍTULO 11 del Decreto 1078 de 2015 y los artículos 105 y 106 de la Ley 1453 de 2011.
Las disposiciones previstas en el CAPÍTULO 7 de TÍTULO II aplican a los Proveedores de Redes y Servicios de Telecomunicaciones Móviles y al Administrador de la Base de Datos, de conformidad con lo previsto en el presente CAPÍTULO, así como a todos los usuarios de servicios prestados por los Proveedores de Redes y Servicios de Telecomunicaciones Móviles.
Se exceptúan del CAPÍTULO 7 TÍTULO II, los usuarios que se encuentren realizando Roaming Internacional (o Itinerancia Internacional) en las redes de los Proveedores de Redes y Servicios de Telecomunicaciones Móviles que operan en el país.
(Resolución CRC 3128 de 2011, artículo 1)
ARTÍCULO 2.7.2.1. OBLIGACIONES DE LOS PRSTM. <Artículo modificado por el artículo 47 de la Resolución 7811 de 2025. El nuevo texto es el siguiente:> El presente artículo contiene las principales obligaciones técnicas y operativas a las cuales deberán dar cumplimiento los Proveedores de Redes y Servicios de Telecomunicaciones Móviles (PRSTM). Estas obligaciones serán aplicables a los proveedores que utilicen sistemas de acceso troncalizado (trunking) cuando los equipos terminales usados para la provisión de dichos servicios puedan ser utilizados en las redes de los PRSTM.
2.7.2.1.1. Definir las condiciones y realizar el proceso para la contratación del Administrador de la BDA teniendo en cuenta las disposiciones contenidas en el CAPÍTULO 7 del TÍTULO II, en particular los criterios definidos en artículo 2.7.2.2.
2.7.2.1.2. Realizar todas las adecuaciones necesarias al interior de sus redes y sistemas para garantizar que se realice la consulta a las bases de datos positivas y negativas, en el proceso de registro de un equipo terminal móvil, y la entrega de información de CDR para el proceso que permita identificar y controlar la actividad de los ETM con IMEI sin formato, los duplicados, los inválidos y los no registrados, que cursan tráfico en la red.
2.7.2.1.3. Contar con la capacidad técnica suficiente para garantizar la comunicación permanente con la BDA.
2.7.2.1.4. Asumir los costos de implementación, administración, operación y mantenimiento de la BDA, así como los costos asociados a las adecuaciones requeridas en sus redes y sistemas para el intercambio de información entre las BDO y las BDA. Tales costos no podrán ser trasladados en modo alguno al usuario.
2.7.2.1.5. Definir las condiciones técnicas y operativas aplicables a los procesos de cargue y actualización de la información a las BDA y las BDO, con observancia de las disposiciones regulatorias establecidas en el Capítulo 7 del Título II de la presente resolución.
2.7.2.1.6. Mantener actualizada la información existente en todas las bases de datos, y garantizar correspondencia de la información contenida en las BDA y las BDO. Para el caso de la BDA negativa y las BDO negativas, el PRSTM debe implementar los procedimientos y controles de confirmación y reproceso que se deben adelantar diariamente para que todos los registros, tanto enviados como recibidos hacia o desde el ABD queden efectivamente incluidos en la BDA negativa y las BDO negativas.
2.7.2.1.7. Disponer de los medios físicos y electrónicos que permitan la presentación de información que soporte la adquisición legal del equipo, en aquellos casos en que el ETM de un usuario resulte detectado y/o bloqueado con un IMEI duplicado.
2.7.2.1.8. La verificación de IMEI inválido se deberá realizar de conformidad con las especificaciones 3GPP TS 22.016 y TS 23.003 y el procedimiento de la GSMA TS.06 IMEI Allocation and Approval Process, u otros procedimientos aplicables, en relación con lo dispuesto en el numeral 2.7.2.1.20. del presente artículo.
2.7.2.1.9. Mantener en la BDO Positiva y la BDA Positiva, los IMEI de los equipos terminales móviles que fueron registrados en cumplimiento del artículo 2.7.3.4. de la presente resolución.
2.7.2.1.10. Mantener actualizada la BDO negativa con los datos de los ETM reportados como hurtados y/o extraviados tanto en Colombia como en el exterior.
2.7.2.1.11. Proporcionar la información que respecto de las bases de datos positivas o negativas soliciten las autoridades competentes mediante orden judicial para el cumplimiento de lo dispuesto en el artículo 105 de la Ley 1453 de 2011, a solicitud de la CRC o de las mismas autoridades judiciales.
2.7.2.1.12. Desactivar todos los servicios de voz y datos una vez realizado el reporte de hurto y/o extravío del equipo terminal móvil por parte del propietario o el propietario autorizado por este.
2.7.2.1.13. Habilitar canales de atención a usuarios para que en cualquier momento se reciban y procesen de inmediato los bloqueos sobre equipos reportados como hurtados o extraviados. Para proceder a la recepción del reporte por parte del usuario y al bloqueo del equipo reportado como hurtado o extraviado, los PRSTM no podrán definir condiciones, requisitos o trámites previos relacionados con el equipo terminal móvil objeto de reporte. Para el caso de autoridades policivas o judiciales, el reporte y bloqueo de IMEI podrá ser solicitado siempre y cuando obre prueba de que dichos equipos fueron decomisados por la autoridad respectiva, para lo cual dichas autoridades deberán aportar los respectivos soportes que sirvan de sustento legal para la acción a tomar por parte del PRSTM.
2.7.2.1.14. Realizar el bloqueo de la SIM y del IMEI, que reportaba actividad en la red, en la fecha y hora del hurto o extravío, una vez se realice el respectivo reporte del equipo terminal móvil, solicitando durante el reporte el nombre, tipo y número de identificación de la persona que realiza el reporte, y la fecha, hora y ubicación del sitio donde se produjo el hurto o extravío del ETM. Para el caso de reporte de hurto, además se debe solicitar información que indique si la víctima fue un menor de edad, si se empleó violencia durante el robo, si se utilizaron armas (blanca, de fuego, otra) y la dirección de correo electrónico del usuario que realiza el reporte de hurto, de manera tal que esta información contribuya a los procesos investigativos de las autoridades respectivas. La información citada solo podrá ser recolectada luego de informar al usuario que la misma será puesta en conocimiento de la Fiscalía General de la Nación, y que el proceso de reporte no constituye una denuncia.
Los PRSTM deberán realizar preguntas de validación, ya sea sobre sus datos biográficos o sobre la actividad asociada a la línea que se reporta, a quien realice el reporte, a fin de determinar que era el usuario del terminal reportado y será su responsabilidad la identificación del equipo reportado como hurtado o extraviado. Al finalizar el reporte por parte del usuario, el PRSTM deberá entregarle al usuario un código o clave que obre como constancia del mismo. Para la entrega de la clave se deberán observar las medidas de seguridad dirigidas a evitar que la clave sea conocida o divulgada a terceros, y su entrega al usuario puede realizarse por medio de atención telefónica, correo electrónico o SMS a otra línea que esté a nombre del usuario, si aplica.
2.7.2.1.15. Implementar un proceso de identificación y validación del usuario para que cuando este solicite el desbloqueo de un equipo que fue reportado inicialmente como hurtado o extraviado, el PRSTM asegure que el usuario que realizó el reporte del equipo sea el único que puede solicitar su desbloqueo. Para este proceso de validación y como requisito previo para el desbloqueo del equipo, el PRSTM debe validar la identidad del usuario, para lo cual debe realizar alguno de los siguientes métodos de verificación: i) requerir el código o clave que fue entregado al usuario durante el proceso de reporte, o ii) requerir la presentación personal del usuario con el equipo recuperado, o iii) autenticar la identidad del usuario titular de la línea a través de los sistemas y aplicativos que para tal fin disponen las centrales de riesgo, o a través de medios biométricos, o realizando preguntas relacionadas con la actividad de la línea a reactivar.
En todo caso, el procedimiento de retiro de un IMEI de las bases de datos negativas deberá ser realizado por personal del PRSTM y no podrá delegarse a terceros, debiendo observar las medidas de seguridad dirigidas a evitar retiros no autorizados, fraudulentos o sin el cumplimiento de los requisitos de que trata el presente numeral.
2.7.2.1.16. Establecer el intercambio de las bases de datos negativas con proveedores de redes y servicios de telecomunicaciones móviles de otros países a través de la GSMA (Asociación de Operadores de GSM), o cuando el Gobierno de Colombia a través del Ministerio de Tecnologías de la Información y las Comunicaciones establezca acuerdos con otros países. Los IMEI que deben intercambiarse son aquellos que hayan sido reportados con tipo hurto, tipo extravío o tipo administrativo.
2.7.2.1.17. Cargar en sus BDO negativas, a solicitud de la Comisión de Regulación de Comunicaciones, la información de IMEI con reporte de hurto y/o extravío proveniente de otros países.
2.7.2.1.18. Informar a la GSMA sobre la vulneración de la seguridad en la programación del IMEI de los equipos terminales móviles que pueda identificar durante su operación.
2.7.2.1.19. En los acuerdos comerciales que realicen los PRSTM con Operadores Móviles virtuales se deberán incluir las condiciones en que el OMV obtendrá la información correspondiente al IMEI de los equipos terminales móviles que le sean reportados como hurtados o extraviados, de tal forma que el OMV pueda cumplir con la obligación de bloqueo de IMEI de que trata el numeral 2.7.2.1.14. del presente artículo.
En los casos que el PRSTM sea quien suministra al OMV la información del IMEI que debe ser registrado en la BD Negativa, el PRSTM deberá proveer al OMV una consulta en línea de los IMEI asociados a las SIMCARD de usuarios del OMV, la cual permita al OMV conocer el IMEI que reportaba actividad en la red, en la fecha y hora del hurto o extravío informado por el usuario.
2.7.2.1.20. Tener operativo un proceso de verificación que permita la detección de IMEI sin formato, duplicados, inválidos y no registrados en la BDA Positiva, con base en el análisis de la información de los CDR de todas las redes móviles del país. Es obligación de los PRSTM, que alojan en su red OMV o brindan a otros PRST acceso a Roaming Automático Nacional (RAN), la entrega de la totalidad de información de CDR necesarios para la ejecución del ciclo inter red de la etapa de verificación de equipos terminales móviles.
2.7.2.1.21. A efectos de autorizar el servicio a las parejas IMEI-IMSI que hagan uso de equipos con IMEI duplicado de conformidad con lo dispuesto en el Artículo 2.7.3.12 del CAPÍTULO 7 del TÍTULO II, los PRSTM, excluyendo a los Operadores Móviles Virtuales y los Proveedores de Red de Origen que hacen uso del Roaming Automático Nacional, deberán tener en operación una funcionalidad a nivel de la red móvil tal que permita realizar la validación en el EIR de la pareja IMEI-IMSI.
ARTÍCULO 2.7.2.2. OBLIGACIONES DEL ADMINISTRADOR DE LA BDA. <Artículo modificado por el artículo 48 de la Resolución 7811 de 2025. El nuevo texto es el siguiente:> Dentro de las condiciones que sean acordadas entre los PRSTM y el Administrador de la BDA, deberán tenerse en cuenta, como mínimo, las siguientes obligaciones para el Administrador de la BDA:
2.7.2.2.1. Responsabilizarse por el dimensionamiento, provisión y planeación de los equipos y sistemas necesarios para la implementación y operatividad de la base de datos centralizada, acogiendo las disposiciones regulatorias contenidas en el Capítulo 7 del Título II, en particular las definidas en la Sección 3.
2.7.2.2.2. Implementar la infraestructura técnica de la base de datos, en cumplimiento del mandato previsto en la Ley 1453 de 2011.
2.7.2.2.3. Asegurar la correcta implementación y operación de la BDA.
2.7.2.2.4. Garantizar el intercambio continuo de información entre la BDA y las BDO de cada PRSTM, y la BDA y el Ministerio de TIC, empleando interfaces y sistemas de soporte de arquitecturas abiertas con protocolos comunes estandarizados.
2.7.2.2.5. Actualizar diariamente la información de IMEI contenida en la BDA, con la información desagregada de los IMEI de los equipos que son importados legalmente al país, de acuerdo con lo establecido en el Decreto 2025 de 2015 o el que lo sustituya, adicione o modifique.
2.7.2.2.6. Verificar contra la BDA positiva y BDA negativa los IMEI que remita el Ministerio de TIC como parte del proceso de validación de que trata el artículo 4o del Decreto 2025 de 2015 o el que lo sustituya, adicione o modifique, e informar a dicho Ministerio respecto de cada uno de los IMEI, si se encuentran o no registrados en dichas BDA.
2.7.2.2.7. Responsabilizarse de dimensionar y suministrar la infraestructura de hardware y software necesarios para el almacenamiento, planificación y administración de las estructuras de hardware y software requeridos para la implementación, funcionamiento y accesibilidad de la base de datos centralizada.
2.7.2.2.8. Responsabilizarse de la administración, monitoreo, operación, mantenimiento y control de calidad de la BDA.
2.7.2.2.9. Proporcionar los estándares, guías de manejo, seguridad, procedimientos de acceso y control de toda la documentación necesaria para garantizar el acceso a la BDA, así como su actualización y disponibilidad permanente.
2.7.2.2.10. Garantizar que la BDA pueda ser accedida de manera permanente y simultánea desde cualquier PRSTM, por lo que deberá definir un sistema de concurrencias acorde con dicho requerimiento, e informar a la Dirección de Vigilancia y Control del Ministerio de TIC (vigilanciaycontrol@mintic.gov.co) y a la CRC las fallas, novedades, contingencias o inconsistencias relacionadas con la información de los IMEI que son incluidos o retirados de las bases de datos positiva y negativa.
2.7.2.2.11. Garantizar que el acceso a la información almacenada en la BDA se encuentre disponible los siete (7) días a la semana, las veinticuatro (24) horas al día.
2.7.2.2.12. Definir e implementar políticas de respaldo de la información, de tal manera que se minimice el riesgo de daño o pérdida de la misma.
2.7.2.2.13. Garantizar la protección de los datos personales almacenados en la BDA, los cuales podrán ser utilizados únicamente para los fines establecidos en el Capítulo 7 del Título II y no podrán ser divulgados, ni compartidos, ni utilizados para otros fines.
2.7.2.2.14. Disponer de mecanismos que permitan tener trazas de auditoría completas y automáticas relacionadas con el acceso a la BDA y las actividades de actualización o manipulación de la información, incluyendo la capacidad de generar alertas a efectos de mitigar los riesgos asociados con el manejo inadecuado de la información, apoyar el cumplimiento de las disposiciones regulatorias aplicables y satisfacer los requerimientos de auditoría.
2.7.2.2.15. Suministrar las herramientas e interfaces adecuadas para la realización de consultas en línea, registro a registro, por parte del Ministerio de Tecnologías de la Información y las Comunicaciones, la CRC y demás organismos autorizados para acceder a la BDA. Así mismo, poner a disposición del público una consulta vía web registro a registro, de los IMEI que se encuentren incluidos en la base de datos negativa.
2.7.2.2.16. Realizar y entregar a la CRC mensualmente, a más tardar el tercer día hábil de cada mes, un reporte en el cual se especifique la siguiente información discriminada por PRSTM, Importador, Exportador u otro agente involucrado: i) Número total de registros incluidos en la BDA Positiva; ii) Número total de registros incluidos en la BDA Negativa, así como los excluidos en el mismo período.
El reporte deberá ser entregado en medio electrónico y deberá estar disponible en línea para ser generado por la CRC en diferentes formatos (Excel, CSV o PDF) a través del acceso disponible por el ABD para tal fin.
2.7.2.2.17. Retirar de la BDA negativa los IMEI con reporte de hurto, extravío, inválido o no registro en Colombia, una vez cumplidos los tiempos mínimos de permanencia en las bases de datos negativas establecidos en el Artículo 2.7.3.3 del CAPÍTULO 7 del TÍTULO II y replicar dicha instrucción hacia las BDO. El ABD deberá conservar el registro histórico de los IMEI retirados y de toda la información asociada a estos y reflejar en la consulta pública de que trata el numeral 2.7.2.2.15 el último reporte obtenido.
2.7.2.2.18. Garantizar los mecanismos tecnológicos necesarios y las interfaces de integración requeridos para que puedan ser consultados en la BDA Positiva y Negativa todos los IMEI que sean detectados durante la verificación centralizada de equipos terminales móviles, en los términos del Capítulo 7 del Título II.
SECCIÓN 3. ASPECTOS TÉCNICOS Y OPERATIVOS RELACIONADOS CON LAS BASES DE DATOS
ARTÍCULO 2.7.3.1. DESCRIPCIÓN TÉCNICA DE LAS BASES DE DATOS. <Artículo modificado por el artículo 49 de la Resolución 7811 de 2025. El nuevo texto es el siguiente:> La configuración técnica para el funcionamiento de las bases de datos positiva y negativa constará de una Base de Datos centralizada (BDA) interconectada con bases de datos operativas (BDO) de propiedad de los PRSTM. La función de las Bases de Datos Positivas es identificar y llevar un registro de los equipos terminales móviles que son importados legalmente al país de conformidad con lo establecido en el Decreto 2025 de 2015 o aquel que lo sustituya o modifique, y de aquéllos que pueden ser habilitados en las redes de los PRSTM. La función de las Bases de Datos Negativas es llevar un registro de los equipos terminales móviles que no pueden ser habilitados en las redes de los PRSTM por haber sido reportados como hurtados o extraviados por parte del propietario del equipo terminal móvil o el propietario autorizado por este.
ARTÍCULO 2.7.3.2. CONTENIDO DE LA BASE DE DATOS ADMINISTRATIVA -BDA. <Artículo modificado por el artículo 50 de la Resolución 7811 de 2025. El nuevo texto es el siguiente:> La BDA Positiva contendrá:
i) Los IMEI de todos los equipos terminales móviles que ingresen importados legalmente al país, de acuerdo con lo establecido en el artículo 4o del Decreto 2025 de 2015 o el que lo sustituya, adicione o modifique;
ii) Los IMEI cuyos usuarios realizaron el registro, dando cumplimiento al proceso de registro de IMEI dispuesto en el artículo 2.7.3.4 de la presente resolución.
iii) Los IMEI que hasta el 30 de noviembre de 2015 fueron cargados directamente por los PRSTM luego del proceso de importación al país.
La BDA Negativa contendrá:
i) Los IMEI de los equipos terminales móviles que han sido reportados como hurtados o extraviados a cualquier PRSTM que opere en el país, asociados a los datos de que trata el numeral 2.7.2.1.14. del artículo 2.7.2.1 de la presente resolución.
ii) Los IMEI bloqueados por no registro en la BD Positiva.
iv) Los IMEI que sean detectados como duplicados o inválidos.
v) Los IMEI reportados por el PRSTM con tipo de bloqueo -reincidente-, como resultado del proceso establecido en el parágrafo 1 del artículo 2.7.3.3 de la presente resolución.
vi) Los IMEI reportados por el PRSTM como resultado de procedimientos de detección y control de fraudes en la suscripción del servicio, o por pérdida de equipos en inventarios o instalaciones que aún no han sido vendidos, los cuales deben ser incluidos como tipo de bloqueo - administrativo-. El PRSTM que incluya estos IMEI en la base de datos negativa deberá contar con los respectivos soportes que evidencien el fraude o la pérdida de los equipos.
PARÁGRAFO 1o. El tipo de reporte por el que fue ingresado el IMEI a la base de datos negativa constituye un campo mandatorio, y en ausencia del cual la solicitud de registro en la BDA negativa será rechazado, y deberá ser tramitada nuevamente por el respectivo PRSTM en máximo las siguientes doce (12) horas.
PARÁGRAFO 2o. En todo caso, la BDA Negativa deberá identificar el PRSTM que realizó el registro del IMEI.
La BDA positiva deberá identificar al PRSTM o Importador responsable del registro.
ARTÍCULO 2.7.3.3. CONTENIDO DE LA BDO. <Artículo modificado por el artículo 51 de la Resolución 7811 de 2025. El nuevo texto es el siguiente:> La BDO Positiva contendrá la información correspondiente a IMEI-IMSI-MSISDN de los equipos terminales móviles registrados dando cumplimiento al proceso de registro de IMEI dispuesto en el artículo 2.7.3.4 de la presente resolución.
La BDO Negativa contendrá:
i) Los IMEI de los equipos terminales móviles que han sido reportados como hurtados o extraviados a cualquier PRSTM que opere en el país.
ii) Los IMEI de los equipos bloqueados por no registro en la BD Positiva.
iii) Los IMEI que sean detectados como duplicados o inválidos.
iv) Los IMEI con reporte de hurto o extravío descargados de la base de datos de la GSMA y provenientes de proveedores de servicios de telecomunicaciones de otros países.
v) Los IMEI reportados por el PRSTM con tipo de bloqueo -reincidente-, como resultado del proceso establecido en el parágrafo 1 del artículo 2.7.3.3 de la presente resolución, y
vi) Los IMEI reportados por el PRSTM como resultado de procedimientos de detección y control de fraudes en la suscripción del servicio o pérdida de equipos en inventarios o instalaciones que aún no han sido vendidos, los cuales deben ser incluidos como tipo de bloqueo -administrativo-.
El PRSTM que incluya estos IMEI en la base de datos negativa deberá contar con los respectivos soportes que evidencien el fraude a la suscripción o pérdida de los equipos. En ningún caso se podrán incluir en la base de datos negativa los IMEI pertenecientes a los equipos que habiendo sido adquiridos por el usuario a través de financiación o créditos, incurran en mora, cese o falta de pago total o parcial del equipo.
Los registros de los IMEI con reporte de hurto o extravío en Colombia, deberán contener la identificación completa del terminal (IMEI), la tecnología del mismo, el nombre del PRSTM ante el cual el usuario reportó el hurto o extravío del equipo terminal móvil, los datos del usuario que originó el reporte y la fecha, hora y ubicación (departamento, ciudad o municipio según la codificación del DANE y la dirección aproximada) del sitio en que se produjo el hurto o extravío del equipo terminal móvil.
Además, para los casos en los que se reporta el hurto de un ETM deberá también almacenarse la información entregada por el usuario que reporta el hurto de acuerdo con lo establecido en el numeral 2.7.2.1.14. del artículo 2.7.2.1 de la presente resolución. En los casos en que el usuario no quiera que se almacene la información citada, el PRSTM deberá conservar prueba de la manifestación expresa del usuario en este sentido.
Los registros de los IMEI con reporte de hurto o extravío provenientes de otros países, deberán estar asociados al país y operador que originó el reporte y la fecha en que fue descargada dicha información.
Los PRSTM deberán bloquear y mantener por un tiempo mínimo de tres (3) años en sus BD Negativas y dispositivos EIR los registros de los IMEI con reporte de hurto, extravío, inválido, o no registro en Colombia, y por un tiempo mínimo de un año los IMEI con reporte de hurto o extravío provenientes de otros países.
PARÁGRAFO 1o. La totalidad de los IMEI que han sido retirados de la BDA Negativa, luego de cumplido su tiempo mínimo de permanencia, y los cuales deberán ser conservados en el registro histórico de que trata el numeral 2.7.2.2.17. del artículo 2.7.2.2 de la presente resolución, serán remitidos cada seis (6) meses por el ABD, entre el 1 y el 15 de julio y entre el 1 y el 15 de enero de cada año a todos los PRSTM, excluyendo a los Operadores Móviles Virtuales (OMV) y los Proveedores de Red de Origen (PRO) que hacen uso del Roaming Automático Nacional, para que se verifique durante los meses de agosto y febrero de cada año, que dichos IMEI no están generando tráfico en la red. En los casos en que el PRSTM encuentre que alguno de los IMEI retirados de la BDA Negativa se encuentra cursando tráfico, deberá proceder de manera inmediata al bloqueo del mismo en su EIR y envío a la BDA Negativa con tipo de bloqueo - reincidente-. Los PRSTM deberán reportar un IMEI con tipo reincidente por fuera del proceso antes indicado, siempre y cuando se trate de un IMEI que ha sido retirado por tiempo mínimo de permanencia y que haya sido identificado dentro del proceso de detección y control recurrente de equipos terminales móviles de que trata el artículo 2.7.3.12 de la presente resolución.
PARÁGRAFO 2o. Solo aquel OMV que utilice un EIR propio, tendrá la obligación de contener en su BDO Negativa los IMEI de los equipos terminales móviles que han sido reportados como hurtados o extraviados a otros PRSTM.
ARTÍCULO 2.7.3.4. PROCEDIMIENTO DE REGISTRO DE IMEI. <Artículo modificado por el artículo 52 de la Resolución 7811 de 2025. El nuevo texto es el siguiente:> El registro en la BDA positiva del IMEI de los equipos importados se realizará durante el proceso de aduana y nacionalización de los ETM de conformidad con lo establecido en el Decreto 2025 de 2015 o aquel que lo sustituya o modifique.
Para el caso de los IMEI de ETM que hayan sido adquiridos en el exterior e ingresados al país en la modalidad de viajeros o tráfico postal, corresponderá al usuario realizar el registro del IMEI ante el PRST con quien tiene contratados los servicios de telecomunicaciones; en estos casos los PRSTM deberán atender y tramitar de forma inmediata el registro de IMEI de sus usuarios a través de los mecanismos obligatorios de atención al usuario. Para el caso de las oficinas virtuales, los PRSTM dispondrán de una opción denominada "REGISTRE SU EQUIPO" como opción de primer nivel desplegada en el menú principal de la página de inicio de los sitios web oficiales de los PRSTM. Para el caso de las oficinas físicas, los PRSTM deberán disponer de personal de atención al cliente para que asista al usuario en el proceso de registro. Por su parte, para la atención telefónica, los PRSTM deberán disponer en el menú principal, la opción: "REGISTRE SU EQUIPO".
Para el procedimiento de registro de IMEI de los ETM que hayan sido adquiridos en el exterior e ingresados al país en la modalidad de viajeros o tráfico postal, deberá darse cabal cumplimiento de lo siguiente:
a) Activación del equipo con la SIM: Al momento de la solicitud de registro por parte del usuario, el PRSTM le informará al usuario la necesidad de contar con la SIM en el ETM a registrar y de suministrar el número de la línea que se encuentra utilizando;
b) Verificación de la tenencia del ETM: Con el fin de verificar la propiedad o posesión del ETM, el PRSTM identificará al usuario y sus equipos terminales móviles asociados a través de sus sistemas de información de relación con el cliente. En caso de no hacerlo así, el PRSTM de forma inmediata debe enviar un SMS con un código de verificación al número de la línea suministrado por el usuario. Para continuar con el proceso de registro, el PRSTM debe solicitar al usuario que suministre el código recibido, confirmando así que se encuentra haciendo uso de la línea con la que utiliza el ETM;
c) Identificación del IMEI: El PRSTM debe identificar en la red el IMEI del equipo en proceso de registro y validar su consistencia, para de esta forma suministrar inmediatamente al usuario el IMEI detectado;
d) Confirmación y actualización de los datos de usuario: El PRSTM debe solicitar al usuario la confirmación del IMEI identificado;
e) Confirmación de Registro: El PRSTM debe confirmar al usuario el registro satisfactorio del equipo en la BDA Positiva y permitir la consulta de dichos datos.
ARTÍCULO 2.7.3.5. REGISTRO DE IMEI EN LA BDA PARA EQUIPOS TERMINALES MÓVILES IMPORTADOS CON DESTINO A PRUEBAS. <Artículo modificado por el artículo 53 de la Resolución 7811 de 2025. El nuevo texto es el siguiente:> Cuando se presenten casos de ingreso al país de equipos terminales móviles con destino a pruebas en las redes móviles por parte de los fabricantes, y que tales equipos no requieran presentar carta de homologación ante la DIAN, será el ABD, a solicitud de los fabricantes, quien adelante el proceso de registro del IMEI del equipo terminal móvil en la BDA Positiva. Lo anterior, se debe realizar a través del siguiente procedimiento:
2.7.3.5.1. Identificación del fabricante: se realizará por una única vez, como requisito previo para solicitar la inclusión de IMEI de equipos de prueba en la BDA Positiva.
2.7.3.5.1.1 Previo a cualquier solicitud de registro de IMEI de equipos de prueba en la BDA Positiva, el fabricante debe identificarse ante el ABD, indicando los PRTSM con los cuales va a realizar las pruebas en sus redes móviles, así como los nombres y correos electrónicos de las personas del fabricante que serán las autorizadas para enviar la solicitud al ABD.
2.7.3.5.1.2. El ABD debe verificar con los PRSTM si el fabricante está realizando o realizará pruebas en sus redes móviles.
2.7.3.5.1.3. Si al menos un PRSTM responde de manera positiva, el ABD debe indicarle al fabricante que ha sido identificado de manera correcta, y por lo tanto puede solicitar el registro de IMEI de equipos de prueba en la BDA Positiva.
2.7.3.5.1.4. Si ninguno de los PRSTM responde de manera positiva, el ABD deberá indicarle al fabricante que no ha sido identificado para la realización de pruebas en las redes móviles, y por lo tanto no puede solicitar el registro de IMEI de equipos de prueba en la BDA Positiva.
2.7.3.5.1.5. El ABD deberá dar respuesta al fabricante en un tiempo no mayor a 15 días hábiles, contados a partir de la solicitud realizada por este último.
2.7.3.5.2. Inclusión de IMEI de equipos de prueba en la BDA Positiva:
2.7.3.5.2.1. El fabricante envía al ABD el listado de IMEI de equipos de prueba.
2.7.3.5.2.2. El ABD debe adoptar las medidas de seguridad necesarias para garantizar la validez y procedencia.
2.7.3.5.2.3. El ABD debe cargar y registrar los IMEI en la BDA Positiva, independientemente que los equipos no estén homologados ante la CRC. No podrán ser objeto de este procedimiento los IMEI que se encuentren incluidos en las bases de datos positiva o negativa.
2.7.3.5.2.4. Previo al registro del IMEI en la BDA Positiva, el ABD debe eliminar cualquier bloqueo de IMEI no homologado en la BDA, en caso de tenerlo, y enviar la respectiva actualización a las BDO de los PRSTM.
2.7.3.5.2.5. El ABD deberá informar al fabricante el resultado del proceso de registro de IMEI en la BDA Positiva en un tiempo no mayor a 15 días hábiles, contados a partir de la solicitud.
2.7.3.5.3. Retiro de IMEI de equipos de prueba de la BDA Positiva:
2.7.3.5.3.1 El ABD deberá eliminar los registros de los IMEI de equipos de prueba en la BDA Positiva luego de 1 año de haber sido registrados.
2.7.3.5.3.2 El ABD deberá informar al fabricante cada vez que se retire el registro de un IMEI en la BDA Positiva.
2.7.3.5.3.3 El fabricante podrá solicitar nuevamente el registro del IMEI del equipo de prueba en la BDA Positiva, en caso de considerarlo necesario.
ARTÍCULO 2.7.3.6. AUTORIZACIÓN PARA EL ACCESO A LA BDA. Las autoridades administrativas tales como el Ministerio de Tecnologías de la Información y las Comunicaciones, la Superintendencia de Industria y Comercio y la CRC, así como las autoridades policivas y judiciales, podrán consultar en línea la información consignada en la Base de Datos Negativa y en la Base de Datos Positiva, en forma exacta y actualizada, registro a registro. En lo que se refiere al Ministerio de Tecnologías de la Información y las Comunicaciones y la CRC, éstos podrán consultar en línea toda la información consignada en la Base de Datos Negativa y en la Base de Datos Positiva, en forma exacta y actualizada, tal acceso será permitido también por parte de los PRSTM, especialmente para el cumplimiento de las competencias legales previstas en la Ley 1341 de 2009.
(Resolución CRC 3128 de 2011, artículo 9)
ARTÍCULO 2.7.3.7. PROCEDIMIENTO PARA INCLUIR UN IMEI EN LAS BASES DE DATOS NEGATIVAS. <Artículo modificado por el artículo 54 de la Resolución 7811 de 2025. El nuevo texto es el siguiente:> A efectos de ingresar en las bases de datos negativas un IMEI que se reporta como hurtado o extraviado, debe haber constancia en el PRSTM del reporte de hurto o extravío por parte de un usuario, autoridad de policía, judicial o administrativa. A partir de lo anterior, el PRSTM incluirá en la BDO negativa, a efectos de bloquear cualquier intento de uso en las redes móviles, el IMEI del equipo terminal móvil asociado a los datos de que trata el numeral 2.7.2.1.14. del artículo de la presente resolución.
Para los IMEI que se reportan como hurtados o extraviados en otros países, los PRSTM deberán cargar en sus bases de datos negativas y dispositivos EIR, con periodicidad diaria y dentro de un plazo máximo de 48 horas siguientes a la fecha en que el IMEI de un operador contribuyente sea puesto en el directorio público de la GSMA, los IMEI con reporte de hurto o extravío de los países con los cuales se establezca el intercambio de las bases de datos negativas a través de la GSMA (Asociación de Operadores de GSM), o producto del intercambio de información de los IMEI con las Bases de Datos Centralizadas de otros países.
Para la actualización de los datos de las BDO negativas con la BDA negativa y el bloqueo del equipo terminal móvil en las demás redes, los PRSTM y el ABD deberán proceder de manera tal que tanto en la actualización de la información a la BDA por parte del PRSTM que recibió el reporte de hurto o extravío, como la actualización que debe realizar la BDA hacia las BDO de los demás PRSTM y el bloqueo del equipo, se realice en un tiempo máximo de veinticinco (25) minutos contados a partir del momento en que el usuario realizó el reporte de hurto o extravío del ETM..
ARTÍCULO 2.7.3.8. CONDICIONES PARA EL DESARROLLO DE LA ETAPA DE VERIFICACIÓN DE EQUIPOS TERMINALES MÓVILES. <Artículo modificado por el artículo 55 de la Resolución 7811 de 2025. El nuevo texto es el siguiente:> La etapa de verificación, que está conformada por los ciclos intra red e inter red, permitirá la detección de los IMEI sin formato, los duplicados, los inválidos y los no registrados en la BDA Positiva, a partir del análisis de la información proveniente de los CDR de voz de las llamadas originadas y terminadas, de cada uno de los PRSTM.
2.7.3.8.1. Para el ciclo intra red: Cada PRSTM analizará diariamente sus CDR y los CDR de sus Operadores Móviles Virtuales (OMV) y Proveedores de Red de Origen (PRO), e identificará en su propia red todos los IMEI sin formato, los inválidos, los duplicados y los no registrados, de acuerdo con los criterios definidos en el numeral 2.7.3.9.1 del artículo 2.7.3.9 de la presente resolución.
2.7.3.8.2. Cada PRSTM encargado del ciclo intra red de que trata el numeral 2.7.3.8.1 del artículo 2.7.3.8, deberá generar diariamente el siguiente reporte, el cual deberá estar disponible para la CRC y el Ministerio de TIC vía SFTP al día calendario siguiente a la identificación de los IMEI en el ciclo de detección intra red:
GRUPO SEGÚN ESTADO DEL IMEI
Total de IMEI únicos en la red.
Total de IMEI inválidos.
Total de IMEI sin formato.
Total de IMEI duplicados.
Total de IMEI no registrados en la BDA positiva
Total de IMEI válidos.
Lo anterior, sin perjuicio que por requerimientos de información específicos se puedan solicitar agrupaciones o discriminaciones adicionales de los diferentes tipos de IMEI.
Adicionalmente, cada PRSTM deberá incluir en el reporte, de manera separada, la información de sus Operadores Móviles Virtuales y Proveedores de Red de Origen.
2.7.3.8.3. Cada PRSTM que identifique en su red IMEI sin formato, inválidos, no registrados, o duplicados, que correspondan a usuarios de Operadores Móviles Virtuales (OMV) o de Proveedores de Red de Origen (PRO) que hacen uso del Roaming Automático Nacional, deberán remitir dicha información a aquellos, junto con las IMSI con la cual cada IMEI fue utilizado, a más tardar a los dos (2) días calendario siguientes a la detección.
2.7.3.8.4. Para el ciclo inter red: Para proceder con la identificación de los IMEI duplicados entre las redes móviles de uno o más PRSTM, los PRSTM encargados del proceso intra red que trata el numeral 2.7.3.8.1 del presente artículo, deberán entregar al proceso de identificación de IMEI duplicados entre las redes móviles de los PRSTM, la siguiente información con la periodicidad descrita:
2.7.3.8.4.1. A más tardar al tercer (3er) día hábil de cada mes, remitir todos los IMEI que tuvieron actividad en sus redes en el mes inmediatamente anterior, de acuerdo con los criterios definidos en el artículo 2.7.3.9.
2.7.3.8.4.2. Remitir a requerimiento del proceso de detección de los IMEI duplicados entre las redes móviles de los PRSTM, para los IMEI identificados como repetidos en dos o más redes, los siguientes campos de los CDR de voz, discriminando el tipo de CDR (llamadas originadas y llamadas terminadas):
2.7.3.8.4.2.1. Hora inicio y hora de fin de cada llamada.
2.7.3.8.4.2.2. IMEI (Número identificador del equipo móvil terminal).
2.7.3.8.4.2.3. IMSI (International Mobile Subscriber Identity).
2.7.3.8.4.2.4. Coordenadas geográficas (latitud y longitud) de la celda de inicio y de fin de cada llamada.
2.7.3.8.4.3. Los CDR que remitirá el PRSTM según indica el numeral 2.7.3.8.4.2, deberán corresponder al tráfico cursado, tanto de llamadas originadas como terminadas, por dichos IMEI en el mes en que tuvieron actividad, de acuerdo con lo definido en el numeral 2.7.3.8.4.1.
2.7.3.8.5. Los PRSTM de manera conjunta deberán tener habilitado el acceso de la CRC y del Ministerio TIC a la información resultante del ciclo inter red del proceso de verificación ya sea a nivel de SFTP, SQL o Web, a fin de consultar la siguiente información:
GRUPO SEGÚN ESTADO DEL IMEI
Total mensual de IMEI recibidos de todos los PRSTM, discriminados por PRSTM.
Total mensual consolidado de IMEI únicos entre todas las redes
Total mensual de IMEI repetidos entre redes (identificados en dos o más redes).
Total mensual de IMEI detectados duplicados
Total mensual de IMEI detectados duplicados por simultaneidad de llamadas.
Total mensual de IMEI detectados duplicados por conflictos de tiempo y distancia.
Lo anterior, sin perjuicio que por requerimientos de información específicos se puedan solicitar listados, agrupaciones o discriminaciones adicionales de los diferentes tipos de IMEI.
La información obtenida de dicha verificación será utilizada por la CRC para la realización y publicación de informes, y para la definición de medidas de ajuste y control a implementar de manera posterior por parte de los PRSTM.
PARÁGRAFO. El proceso de verificación de IMEI, conformado por los ciclos intra red e inter red, deberá disponer de las condiciones necesarias para que la información correspondiente al total de los IMEI detectados como duplicados, sin formato, inválidos y como no registrados, estén disponibles para consulta por un periodo mínimo de seis (6) meses posteriores a su identificación. Pasado este periodo, dicha información deberá almacenarse por un período mínimo de un año.
ARTÍCULO 2.7.3.9. CRITERIOS PARA LA VERIFICACIÓN DE EQUIPOS TERMINALES MÓVILES. <Artículo modificado por el artículo 56 de la Resolución 7811 de 2025. El nuevo texto es el siguiente:> Para detectar diariamente los IMEI sin formato, los inválidos, los duplicados y los no registrados en la BDA Positiva, de manera diaria en el ciclo intra red y de manera mensual en el ciclo inter red, los PRST deberán tener en operación, un proceso de verificación conformado por los ciclos intra red e inter red.
2.7.3.9.1. En el ciclo intra red, el análisis de información de los CDR para el proceso de detección de IMEI estará a cargo de cada PRSTM (exceptuando los OMV y los PRO), quienes deberán dar cumplimiento a los siguientes criterios:
2.7.3.9.1.1. Inválidos: Realizar la confirmación de la validez del IMEI, a partir de la verificación de la existencia del TAC de cada IMEI en la lista de TAC de la GSMA o la lista de TAC de marcas y modelos homologados por la CRC;
2.7.3.9.1.2. Sin formato: Realizar la identificación de los IMEI sin formato, verificando su consistencia en relación con los estándares de la industria 3GPP TS 22.016 y TS 23.003, identificando IMEI que tengan una longitud diferente a 14 dígitos (sin incluir el dígito de chequeo -CD-, ni el dígito de reserva -SD-, ni el número de versión de software-VN) o que en su composición tenga al menos un carácter alfabético;
2.7.3.9.1.3. No registrados: identificar IMEI no registrados, a partir de la verificación de la existencia del IMEI en la BDA Positiva.
2.7.3.9.1.4. Duplicados: Detectar IMEI duplicados en la red de cada PRSTM, aplicando:
2.7.3.9.1.4.1. Criterio de simultaneidad de llamadas: IMSI diferentes haciendo uso de un mismo IMEI, cursando llamadas que se traslapan en el tiempo, y
2.7.3.9.1.4.2. Conflicto tiempo distancia: IMSI diferentes haciendo uso de un mismo IMEI, que en un periodo de tiempo menor o igual a T (minutos) cursan llamadas a una distancia D (km) o más. Los valores de tiempo y distancia están definidos en la siguiente tabla:
| No. Parámetro | Tiempo | Distancia |
| 1 | 0,8 min | 2 km |
| 2 | 2 min | 5 km |
| 3 | 2,8 min | 7 km |
| 4 | 4 min | 10 km |
| 5 | 5,6 min | 14 km |
| 6 | 7,2 min | 18 km |
| 7 | 10 min | 25 km |
| 8 | 14 min | 35 km |
| No. Parámetro | Tiempo | Distancia |
| 9 | 18 min | 45 km |
| 10 | 60 min | 150 km |
2.7.3.9.1.4.3. Como criterio de consistencia entre el IMEI de un equipo terminal móvil y su tipo de conexión a la red de acceso, a efectos de apoyar el análisis que permita identificar los equipos con IMEI duplicado, el PRSTM puede hacer uso de campos adicionales del CDR, tales como el Mobile Station Classmark, para identificar los equipos que muestran características de operación que no son acordes con las que su identificación arroja (verificación de TAC).
2.7.3.9.2. En el ciclo inter red, el proceso de detección de los IMEI duplicados entre las redes móviles de los PRSTM realizado de manera conjunta por todos ellos, deberá tener en cuenta los siguientes criterios, los cuales deberán aplicar a los IMEI que remita cada PRSTM:
2.7.3.9.2.1. A más tardar al quinto (5) día hábil de cada mes, se deben consolidar los IMEI recibidos de los PRSTM, realizar el cruce de dichos IMEI, para identificar cuáles de estos se encuentran repetidos en dos o más redes, y solicitar a cada PRSTM encargado del ciclo intra red, el envío de los CDR de acuerdo con las condiciones definidas en los subnumerales 2.7.3.8.4.2. y 2.7.3.8.4.3. del numeral 2.7.3.8.7. del artículo 2.7.3.8. de la presente resolución.
2.7.3.9.2.2. A más tardar al séptimo (7) día hábil de cada mes, los PRSTM identificarán los CDR de los IMEI que fueron remitidos de acuerdo con las condiciones del literal anterior y enviarán la información de los respectivos CDR al proceso de detección de IMEI duplicados entre las redes móviles de los PRSTM.
2.7.3.9.2.3. A más tardar al decimosegundo (12) día hábil de cada mes, se debe proceder a detectar los IMEI duplicados entre las redes de los PRSTM.
Para la detección de IMEI duplicados entre las redes de los PRSTM, se deberá aplicar:
a) Criterio de simultaneidad de llamadas: IMSI diferentes haciendo uso de un mismo IMEI, cursando llamadas que se traslapan en el tiempo, y
b) Conflictos de tiempo y distancia entre llamadas cursadas con un mismo IMEI haciendo uso de diferentes IMSI a nivel nacional, atendiendo los siguientes criterios.
b.1) El proceso de detección debe configurarse con la ubicación (coordenadas de longitud y latitud) de todos los sectores de estaciones base a nivel nacional.
b.2) Para las llamadas en el periodo bajo análisis, cursadas con un mismo IMEI utilizando diferentes IMSI de una o varias redes, deberá determinarse que las mismas se realizaron en un periodo de tiempo menor o igual a T (minutos) a una distancia D (km) o más. Los valores de tiempo y distancia están definidos en la siguiente tabla:
| No. Parámetro | Tiempo | Distancia |
| 1 | 0,4 min | 1 km |
| 2 | 0,8 min | 2 km |
| 3 | 1,2 min | 3 km |
| 4 | 1,6 min | 4 km |
| 5 | 2 min | 5 km |
| 6 | 2,4 min | 6 km |
| 7 | 2,8 min | 7 km |
| 8 | 3,2 min | 8 km |
| 9 | 3,6 min | 9 km |
| 10 | 4 min | 10 km |
| 11 | 4,8 min | 12 km |
| 12 | 5,6 min | 14 km |
| 13 | 6,4 min | 16 km |
| 14 | 7,2 min | 18 km |
| 15 | 8 min | 20 km |
| 16 | 10 min | 25 km |
| 17 | 14 min | 35 km |
| 18 | 16 min | 40 km |
| 19 | 18 min | 45 km |
| 20 | 60 min | 150 km |
2.7.3.9.2.4. A más tardar al decimosegundo (12) día hábil de cada mes, deberá remitirse a todos los PRSTM el reporte con el listado de todos los IMEI, identificando si se encuentra duplicado y el nombre de los PRSTM donde tuvo tráfico, de tal forma que el PRSTM pueda adelantar las acciones de control pertinentes.
ARTÍCULO 2.7.3.10. PRIORIZACIÓN DE LAS MEDIDAS PARA EL CONTROL DE EQUIPOS TERMINALES MÓVILES. <Artículo modificado por el artículo 57 de la Resolución 7811 de 2025. El nuevo texto es el siguiente:> Las medidas continuas de control de ETM permitirán la depuración de los IMEI sin formato, los duplicados, los inválidos y los no registrados en la BDA Positiva, a partir de los IMEI detectados en la etapa de verificación de equipos terminales móviles.
Para aplicar las medidas de control, los PRSTM deberán clasificar diariamente todos los IMEI identificados con actividad en la red para lo cual deberán tener en cuenta los siguientes criterios, los cuales son excluyentes. La clasificación deberá ser realizada en el siguiente orden de priorización teniendo en cuenta las definiciones contenidas en el Título I:
2.7.3.10.1. Control de IMEI sin formato: Incluye los IMEI sin formato correcto. 2.7.3.10.2. Control de IMEI inválidos. Incluye los IMEI con las siguientes características:
- Son IMEI inválidos.
- Tienen el formato correcto.
- No están registrados en la BDA positiva.
2.7.3.10.3. Control de IMEI duplicados. Incluye los IMEI con las siguientes características:
- Son IMEI duplicados.
- Tienen el formato correcto.
- Cumplen una de las siguientes condiciones:
- El TAC del IMEI está en la lista de equipos terminales homologados ante la CRC.
- Son IMEI inválidos registrados en la BDA positiva.
- Son IMEI no homologados registrados en la BDA positiva.
2.7.3.10.4. Control de IMEI no registrados en la BDA positiva. Incluye los IMEI con las siguientes características:
- Son IMEI no registrados en la BDA positiva.
- Tienen el formato correcto.
- El TAC está en la lista de equipos terminales homologados ante la CRC.
Los IMEI que sean clasificados en un día en alguna de estas categorías de Control de IMEI, no deben ser incluidos en días posteriores, mientras estén siendo sometidos a los respectivos procedimientos de control. Los IMEI que no sean clasificados en ninguno de los criterios de control, deberán reingresar a la etapa de verificación de equipos terminales móviles en días posteriores, siempre que presenten actividad en las redes.
ARTÍCULO 2.7.3.11. CRITERIOS PARA LA DETECCIÓN Y CONTROL INICIAL DE EQUIPOS TERMINALES MÓVILES. <Artículo derogado por el artículo 80 de la Resolución 5586 de 2019>
ARTÍCULO 2.7.3.12. CRITERIOS PARA LA DETECCIÓN Y CONTROL RECURRENTE DE EQUIPOS TERMINALES MÓVILES. <Artículo modificado por el artículo 58 de la Resolución 7811 de 2025. El nuevo texto es el siguiente:> De acuerdo con la clasificación de que trata el artículo 2.7.3.10 de la presente resolución, los PRSTM deberán iniciar la detección y control de ETM de manera diaria para el ciclo intra red y mensual para el ciclo inter red.
Las actividades que deben desarrollar los PRSTM para cada uno de los IMEI identificados son las siguientes:
2.7.3.12.1. Actividades asociadas con el control de IMEI sin formato:
2.7.3.12.1.2. El PRSTM deberá implementar en su red las funcionalidades necesarias para impedir la operación de los IMEI sin formato. Para el caso de los OMV y PRO, será el proveedor de red quien deberá implementar esta funcionalidad.
2.7.3.12.2. Actividades asociadas con el control de IMEI inválidos:
2.7.3.12.2.1. A más tardar a los dos (2) días calendario siguientes a la identificación del IMEI inválido, el PRSTM debe enviar un mensaje SMS a los usuarios asociados con las IMSI con las cuales fue identificado dicho IMEI.
El mensaje que debe enviar el PRSTM a los usuarios es el siguiente:
"Su equipo posee un IMEI inválido y será bloqueado definitivamente en 48 horas. Si lo compró en Colombia, reclame ante el vendedor del equipo".
2.7.3.12.2.2. El PRSTM deberá incluir en la BDA Negativa el IMEI con tipo "inválido", luego de cumplido el plazo otorgado al usuario al que hace referencia el numeral 2.7.3.12.2.1.
2.7.3.12.3. Actividades asociadas con el control de IMEI duplicados en los ciclos intra e inter red:
2.7.3.12.3.1. Posterior a la identificación del IMEI duplicado, el PRSTM debe enviar a los usuarios asociados con las IMSI con las cuales fue identificado dicho IMEI teniendo actividad en los 30 días inmediatamente anteriores a la detección para el ciclo intra, o del mes inmediatamente anterior al mes de actividad para el ciclo inter, un mensaje SMS con el siguiente contenido:
"El IMEI de su equipo está duplicado y podría ser bloqueado. Presente a su operador los soportes de adquisición dentro de los siguientes 30 días calendario".
Para los IMEI detectados en el ciclo intra red, el mensaje SMS debe ser enviado a los usuarios a más tardar a los dos (2) días calendario siguientes a la identificación del IMEI duplicado. Para los IMEI detectados en el ciclo inter red, el mensaje SMS debe ser enviado a más tardar el último día calendario del mes de identificación del IMEI duplicado por dicho ciclo.
2.7.3.12.3.2. Los usuarios notificados deberán presentar su documento de identificación y, en caso de tenerlos, los soportes de adquisición del equipo o cualquier otro insumo que permita evidenciar que el equipo es genuino y que no ha sufrido ningún tipo modificación en su IMEI. En todos los casos deberá presentar el formato del Anexo 2.6. del Título de Anexos, debidamente diligenciado, a través de los medios de atención al cliente físicos o virtuales.
El Anexo 2.6. se solicita con el fin de poner en conocimiento de las autoridades competentes los casos detectados con IMEI duplicado y no implica que los usuarios que lo diligencien vayan a tener servicio con el equipo que hace uso del IMEI duplicado.
Con el objeto de identificar que el equipo terminal, cuyo IMEI haya sido identificado como duplicado, no ha sufrido alteración del IMEI, el PRSTM deberá validar el número de documento de identificación del usuario en sus bases de datos internas de suscriptores, en conjunto con todos los soportes suministrados por los usuarios, el Anexo 2.6. del Título de Anexos diligenciado, así como cualquier otro insumo que permita evidenciar que el equipo terminal móvil no ha sido alterado.
En caso de que el usuario presente una factura de compra suministrada en un establecimiento nacional, la factura o documentos que soporten la adquisición legal del dispositivo, deberán relacionar los datos del Vendedor Autorizado por el Ministerio TIC para tal efecto.
2.7.3.12.3.3. El PRSTM, al momento de identificar el usuario del equipo duplicado que no demuestre evidencia de alteración de acuerdo con las verificaciones establecidas en el numeral 2.7.3.12.3.2., debe informarle que el equipo solo será autorizado a funcionar con las líneas que el usuario informe, y que cualquier cambio de línea o de operador lo debe informar al respectivo proveedor de servicios de su elección, a efectos que este último valide la condición de IMEI duplicado en la BDA negativa y procedan a configurar en sus EIR el IMEI junto con las IMSI de las líneas que el usuario solicite, previa verificación de los datos del usuario del equipo terminal móvil con los PRSTM que reportaron el IMEI duplicado a la BDA negativa. Asimismo, deberá informar a los demás usuarios que se presentaron a raíz de la notificación y cuya alteración sea demostrada de acuerdo con las verificaciones establecidas en el numeral 2.7.3.12.3.2., que el equipo del cual están haciendo uso no tendrá servicio al final del plazo informado.
2.7.3.12.3.4. A los treinta (30) días calendario, contados a partir de la notificación a los usuarios del IMEI duplicado, el proveedor de red procederá a incluir en su EIR el IMEI duplicado asociándolo con la IMSI de la línea que usaba dicho IMEI y cuyo titular corresponda al del equipo duplicado que no demuestre evidencia de alteración de acuerdo con las verificaciones establecidas en el numeral 2.7.3.12.3.2. Para el caso de los OMV y PRO, y a menos que acuerden algo diferente, será el proveedor de red quien deberá incluir en su EIR la pareja IMEI-IMSI que estos le soliciten de conformidad con el numeral 2.7.3.12.3.
2.7.3.12.3.5. A los treinta (30) días calendario, contados a partir de la notificación de que trata el numeral 2.7.3.12.3.1., el PRSTM deberá incluir en la BDA Negativa el IMEI con tipo "duplicado". Los PRSTM que reciban el reporte de IMEI duplicado a través del ABD, deberán incluir el IMEI en sus BDO Negativa sin asociarlo a una IMSI específica en el EIR. El registro en la BDA positiva correspondiente al IMEI duplicado debe conservarse.
2.7.3.12.3.6. Luego del vencimiento del plazo para que el usuario allegue sus soportes, el PRSTM procederá a poner en conocimiento de las autoridades competentes de los casos relacionados con los IMEI detectados duplicados, adjuntando como mínimo y sin limitarlo a ello la siguiente información:
2.7.3.12.3.6.1. Soportes técnicos de la detección del IMEI duplicado y la relación de las IMSI que fueron identificadas haciendo uso del IMEI junto con los datos de los usuarios asociados a las mismas.
2.7.3.12.3.6.2. Información respecto de la marca y modelo correspondiente al TAC del IMEI duplicado.
2.7.3.12.3.6.3. Formatos del Anexo 2.6. del Título de Anexos, debidamente diligenciados por los usuarios de los equipos cuyo IMEI está duplicado.
2.7.3.12.3.6.4. Información del IMEI interno (obtenido mediante la marcación *#06#) y el IMEI externo (impreso en el ETM), para los casos en que el usuario haya presentado físicamente el equipo.
2.7.3.12.3.7. Cuando la autoridad competente informe al PRSTM que se ha determinado que un equipo con IMEI duplicado fue efectivamente manipulado, reprogramado, remarcado, o modificado, y dicho equipo corresponde al cual fue autorizado el uso de una o varias IMSI, el PRSTM deberá eliminar en el EIR la asociación del IMEI duplicado con las IMSI relacionadas con dicho terminal en un término de 24 horas a partir de la recepción de dicha información. Así mismo, procederá a eliminar el registro en la BDA positiva y en caso de que se determine el usuario del equipo genuino por parte de la autoridad competente, se procederá a registrarlo en la BDA positiva y a programar su IMSI (o IMSIs) en el EIR del PRSTM.
2.7.3.12.3.8. Cuando un IMEI incluido en las bases de datos negativas con tipo "duplicado" sea objeto de reporte por hurto o extravío, se deberá proceder a retirar del EIR la IMSI correspondiente a la línea que realiza el reporte y cargar el IMEI en la base de datos de la GSMA, marcándolo como duplicado de acuerdo a los procedimientos y códigos utilizados para tal fin en dicha base de datos.
2.7.3.12.3.9. En caso de que ninguno de los usuarios de los equipos con el IMEI duplicado objeto de notificación se presente por alguno de los canales definidos para tal fin, el PRSTM procederá a bloquear el IMEI en las bases de datos negativas con el tipo "duplicado". Si como producto del bloqueo se presentan usuarios de equipos con el IMEI duplicado objeto de notificación, el PRSTM deberá proceder de conformidad con lo dispuesto en los numerales 2.7.3.12.3.2. al 2.7.3.12.3.5.
2.7.3.12.4. Actividades asociadas con el control de IMEI no registrados en la BDA positiva:
2.7.3.12.4.1. A más tardar a los dos (2) días calendario siguientes a la identificación del IMEI no registrado en la BDA positiva, y previa verificación de la validez del formato del IMEI, el PRSTM debe enviar a los usuarios asociados con las IMSI con las cuales fue identificado dicho IMEI, un mensaje SMS informando sobre las medidas que adoptará el PRSTM en caso de que el usuario no registre en un plazo de veinte (20) días calendario el ETM detectado, y la opción que tiene de registrar el ETM a través de los distintos medios de atención al cliente establecidos en Capítulo 1 del Título II de la presente resolución.
2.7.3.12.4.2. Durante los veinte (20) días calendario siguientes contados a partir de la notificación de que trata el numeral 2.7.3.12.5.1, el PRTSM podrá utilizar cualquier mecanismo que tenga disponible para realizar notificaciones adicionales a los usuarios, de acuerdo con lo establecido en el parágrafo 1 del presente artículo.
2.7.3.12.4.3. Si dentro de los veinte (20) días calendario contados a partir de la notificación de que trata el numeral 2.7.3.12.4.1, no se ha producido el registro del ETM, el PRSTM deberá incluir en la BDA Negativa dicho IMEI con tipo "No registrado".
PARÁGRAFO 1o. Con el fin de maximizar la probabilidad de recepción de información por parte de los usuarios, los PRTSM podrán utilizar mecanismos adicionales a los establecidos en el presente artículo, los cuales incluyen SMS flash, USSD, mensajes en banda, enrutamiento a IVR o sistemas de atención al cliente, llamadas telefónicas, entre otros, a fin de recordar al usuario sobre la condición del IMEI de su ETM y las acciones a tomar.
Los mensajes que sean remitidos a través de dichos mecanismos adicionales, siempre deberán contener el problema identificado respecto del equipo del usuario (esto es si es IMEI sin formato, equipo no registrado, IMEI duplicado o IMEI inválido) así como la consecuencia que tendrá dicha situación, indicando si procede alguna acción por parte del usuario (esto es el registro o la presentación de los soportes de adquisición, según corresponda en cada caso).
PARÁGRAFO 2o. Las actividades de control de que trata el presente artículo serán iniciadas por los Operadores Móviles Virtuales (OMV) y los Proveedores de Red de Origen (PRO) que hacen uso del Roaming Automático Nacional, a más tardar a los dos (2) días siguientes del recibo de información por parte del PRSTM en cuya red fue realizada la detección de IMEI.
ARTÍCULO 2.7.3.13. En el proceso de portación de número, cuando el proveedor donante reciba una solicitud de portación en la cual la IMSI del usuario que se desea portar esté asociada a un equipo con IMEI duplicado en el EIR utilizado por dicho proveedor, éste deberá enviarle un mensaje de texto al usuario, indicándole que debe solicitar a su nuevo proveedor la asociación de su nueva SIMCARD al IMEI duplicado.
El proveedor donante deberá enviar este mensaje de texto dentro del tiempo que tiene para aceptar la solicitud de portación por parte del ABD, y que está definido en el numeral 2.6.4.7.4 del ARTÍCULO 2.6.4.7 del CAPÍTULO 6 del presente título, o aquella norma que modifique o sustituya.
Luego de realizado el proceso de portación, el proveedor donante deberá eliminar del EIR, la IMSI del usuario portado de la lista de IMSI asociadas al IMEI duplicado en su red.
Para realizar la asociación de la pareja IMEI-IMSI en el EIR, el proveedor receptor deberá validar en la BDA Negativa que el IMEI esté reportado como duplicado.
(Resolución CRC 3128 de 2011, artículo 10f, adicionado por la Resolución CRC 5038 de 2016)
Nota Editor: (La presente disposición tendrá efectos a partir del 1° de febrero de 2017, de conformidad con la resolución CRC 5038 de 2016)
ARTÍCULO 2.7.3.14. PROCEDIMIENTO PARA RETIRAR UN IMEI DE LA BASE DE DATOS NEGATIVA. <Artículo modificado por el artículo 59 de la Resolución 7811 de 2025. El nuevo texto es el siguiente:> Todo equipo terminal móvil que haya sido reportado como hurtado o extraviado, podrá ser excluido de las Bases de Datos Negativas previo recibo del reporte de recuperación del equipo, actividad que podrá realizar únicamente el PRSTM que incluyó dicho reporte en la base de datos negativa, dando cumplimento a lo establecido en el numeral 2.7.2.1.15. del artículo 2.7.2.1. de la presente resolución.
Los equipos terminales móviles que hayan sido bloqueados con tipo -no registro-, podrán ser excluidos de las Bases de Datos Negativas y registrados en las Bases de Datos Positivas, para lo cual el PRSTM tendrá un plazo máximo de 60 horas continuas contadas a partir de que el usuario adelante el procedimiento contenido en el artículo 2.7.3.4. de la presente resolución.
Los equipos terminales móviles que hayan sido bloqueados con tipo -inválido-, no podrán ser excluidos de las Bases de Datos Negativas.
Los equipos terminales móviles que hayan sido bloqueados con tipo -duplicado-, no podrán ser excluidos de las Bases de Datos Negativas.
Respecto del retiro de un equipo terminal móvil de las bases de datos negativas, los datos en las BDO de los PRSTM deberán ser actualizados de conformidad con la novedad de retiro del IMEI de la BDA negativa.
Para el reporte de retiro del IMEI de las BDO y la BDA negativas, el PRSTM y el ABD deberán proceder de manera inmediata con la actualización de la información en la BDA negativa por parte del PRSTM que recibió el reporte de recuperación del equipo o, una vez haya finalizado el procedimiento de registro. De igual forma, el PRSTM y el ABD deberán proceder con la actualización de la BDA negativa hacia las BDO negativas de los demás PRSTM, para que el desbloqueo del equipo terminal móvil se realice en un tiempo máximo de veinticinco (25) minutos contados a partir del momento en que el PRSTM informó a la BDA sobre el retiro del ETM. En los casos en los que se reciban varios reportes sobre un mismo IMEI provenientes de diferentes PRSTM, el retiro de las bases de datos negativas no se producirá hasta tanto no se reciba el reporte de recuperación en todos los PRSTM donde el IMEI haya sido reportado por hurto o extravío.
ARTÍCULO 2.7.3.15. PROCEDIMIENTO PARA ACTUALIZAR LA BDA POSITIVA. <Artículo derogado por el artículo 137 de la Resolución 7811 de 2025>
SECCIÓN 4. CONDICIONES OPERATIVAS PARA LOS PRSTM
ARTÍCULO 2.7.4.1. CONDICIONES PARA LA ALIMENTACIÓN DE LA BDA. <Artículo derogado por el artículo 80 de la Resolución 5586 de 2019>
ARTÍCULO 2.7.4.2. CONDICIONES PARA LA IDENTIFICACIÓN DE IMEI QUE OPERAN EN LAS REDES DE LOS PRSTM. <Artículo derogado por el artículo 80 de la Resolución 5586 de 2019>
ARTÍCULO 2.7.4.3. CONDICIONES PARA LA DEPURACIÓN DE IMEI QUE OPERAN EN LAS REDES DE LOS PRSTM. <Artículo derogado por el artículo 80 de la Resolución 5586 de 2019>
SECCIÓN 5. DISPOSICIONES FINALES
ARTÍCULO 2.7.5.1. DEBER DE DIVULGACIÓN. <Artículo modificado por el artículo 32 de la Resolución 5586 de 2019. El nuevo texto es el siguiente:> Los PRSTM deberán realizar campañas informativas y permanentes en las oficinas físicas y virtuales de atención al usuario (página web del proveedor), dirigidas a sus usuarios sobre la importancia y necesidad de reportar ante su PRSTM y denunciar ante las autoridades competentes el hurto y/o extravío de sus equipos terminales móviles. Además, deberán informar por los mismos medios y al momento de la activación, venta o reposición de equipos terminales móviles, sobre las aplicaciones que permitan la protección de los datos a través de su bloqueo o eliminación en forma remota, mientras que sea técnicamente posible.
Así mismo deberán gestionar campañas de educación pública para los usuarios sobre cómo proteger sus equipos contra el hurto y cómo proteger sus datos, resaltando la necesidad e importancia de utilizar claves de acceso a sus dispositivos y equipos terminales móviles, y el uso de aplicaciones que permitan el bloqueo y/o eliminación de datos en forma remota de los equipos terminales móviles hurtados y/o extraviados.
ARTÍCULO 2.7.5.2. TIEMPOS DE IMPLEMENTACIÓN. <Artículo derogado por el artículo 80 de la Resolución 5586 de 2019>
ARTÍCULO 2.7.5.3. CREACIÓN DEL COMITÉ TÉCNICO DE SEGUIMIENTO (CTS). <Artículo modificado por el artículo 33 de la Resolución 5586 de 2019. El nuevo texto es el siguiente:> Créase una instancia permanente de carácter consultivo denominada Comité Técnico de Seguimiento, en adelante CTS, integrada por todos los Proveedores de Redes y Servicios de Telecomunicaciones Móviles obligados a la implementación de las Bases de Datos Positiva y Negativa de que trata la Ley 1453 de 2011.
Cuando la CRC a través de esta instancia requiera información a los Proveedores de Redes y Servicios de Telecomunicaciones Móviles, los términos, condiciones y suministro de dicha información serán de obligatorio cumplimiento para tales proveedores, so pena de que la CRC dé inicio a la actuación administrativa sancionatoria dispuesta en el numeral 19 del artículo 22 de la Ley 1341 de 2009. Tales requerimientos serán incluidos por parte de la CRC en el Acta sin que haya lugar a votación para su inclusión.
Es obligación de los Proveedores de Redes y Servicios de Telecomunicaciones Móviles obligados a la implementación de las Bases de Datos Positiva y Negativa de que trata la Ley 1453 de 2011 hacer parte del CTS, así como asistir a las sesiones del mismo, a través de representante legal o un apoderado plenamente facultado para votar y comprometerse con las propuestas que queden plasmadas en el Acta que se levante en cada sesión del CTS.
El CTS estará conformado de la siguiente manera: (i) Presidido por un representante de la CRC, el cual podrá estar acompañado de un delegado del Ministerio de Tecnologías de la Información y las Comunicaciones en su condición de organismo de control y vigilancia; (ii) Los Proveedores de Redes y Servicios de Telecomunicaciones Móviles serán representados en el CTS por el representante legal o por un apoderado del proveedor respectivo, con poderes amplios y suficientes para representar al proveedor que lo ha designado, o sus suplentes. En caso de que el proveedor no asista a las sesiones del CTS o su representante legal no tenga poder suficiente, dicho proveedor no será considerado dentro del quórum decisorio para la inclusión de las propuestas que queden en las actas que se levanten por cada sesión.
Lo anterior, sin perjuicio de las sanciones que sean procedentes por el incumplimiento de lo dispuesto en el CAPÍTULO 7 del TÍTULO II por parte del Proveedor de Redes y Servicios de Telecomunicaciones.
Las propuestas que queden consignadas en las actas que se levanten con ocasión de cada sesión del CTS, serán estudiadas por la CRC para la construcción y elaboración de los actos administrativos que de manera posterior modifiquen el CAPÍTULO 7 del TÍTULO II. Las propuestas señaladas en tales actas se incluirán con el voto de la mayoría simple de los PRSTM o sus representantes legales con derecho a voto asistentes a la sesión, y solo se tendrá en cuenta un voto por cada PRSTM. En todo caso la CRC, considerará la pertinencia técnica de estudiar las propuestas sobre las cuales no se obtenga la mayoría de votación.
ARTÍCULO 2.7.5.4. DELEGACIÓN. <Artículo derogado por el artículo 80 de la Resolución 5586 de 2019>
ARTÍCULO 2.7.5.5. CONTROL Y VIGILANCIA. <Artículo derogado por el artículo 80 de la Resolución 5586 de 2019>
ARTÍCULO 2.7.5.6. SANCIONES. <Artículo derogado por el artículo 80 de la Resolución 5586 de 2019>
SECCIÓN 6. REGLAMENTO INTERNO DEL COMITÉ TÉCNICO DE SEGUIMIENTO -CTS-
ARTÍCULO 2.7.6.1. OBJETO DEL COMITÉ TÉCNICO DE SEGUIMIENTO -CTS-. <Artículo modificado por el artículo 34 de la Resolución 5586 de 2019. El nuevo texto es el siguiente:> El Comité Técnico de Seguimiento (CTS) es la instancia permanente de carácter consultivo, mediante la cual la Comisión de Regulación de Comunicaciones (CRC) realizará el seguimiento de las bases de datos positiva y negativa a que hace referencia el artículo 105 y 106 de la Ley 1453 de 2011. Lo anterior, sin perjuicio de que los miembros del CTS amplíen el objeto del mismo para el cumplimiento de las obligaciones a su cargo, previstas en el TÍTULO 11 del Decreto 1078 de 2015 y el CAPÍTULO 7 y el CAPÍTULO 8 del TÍTULO II o aquellas que las modifiquen, sustituyan o complementen.
ARTÍCULO 2.7.6.2. ALCANCE. La estructura y operación del CTS estará sujeta a las disposiciones previstas en el presente Reglamento, de conformidad con lo previsto en el CAPÍTULO 7 y el CAPÍTULO 8 del TÍTULO II y las disposiciones que las modifiquen, sustituyan o complementen.
(Resolución CRC 3617 de 2012, artículo 2)
ARTÍCULO 2.7.6.3. CONFORMACIÓN DEL COMITÉ TÉCNICO DE SEGUIMIENTO -CTS-. El Comité Técnico de Seguimiento -CTS- estará conformado por los proveedores de redes y servicios de telecomunicaciones móviles obligados a la implementación de las bases de datos positiva y negativa de que trata la Ley 1453 de 2011.
PARÁGRAFO. La CRC, conforme al ARTÍCULO 2.7.5.3 del CAPÍTULO 7 del TÍTULO II, presidirá dicho Comité y podrá contar con el acompañamiento de un delegado del Ministerio de Tecnologías de la Información y las Comunicaciones en su condición de organismo de control y vigilancia.
(Resolución CRC 3617 de 2012, artículo 4)
ARTÍCULO 2.7.6.4. MIEMBROS DEL COMITÉ TÉCNICO DE SEGUIMIENTO -CTS- CON CAPACIDAD DE VOTO. Tendrán derecho a asistir a las sesiones y votar en ellas, todos los Proveedores de Redes y Servicios de Telecomunicaciones Móviles -PRSTM- que al momento de su ingreso al CTS, cumplan con los siguientes requisitos: i) Tengan conforme al ARTÍCULO 2.2.11.5 del Decreto 1078 de 2015 y al ARTÍCULO 2.7.2.1 del CAPÍTULO 7 del TÍTULO II, la obligación de implementar, administrar, operar y mantener un sistema centralizado que soporte las bases de datos positiva y negativa, ii) Cuenten con el Registro de TIC ante el Ministerio de Tecnologías de la Información y las Comunicaciones, con el cual adquieran la calidad de PRSTM, y iii) Tengan infraestructura de red de telecomunicaciones móviles propia o, al menos, un acuerdo comercial vigente con otro PRSTM que le provea dicha infraestructura.
En todo caso, podrán ser invitados los demás PRST que actualmente no se encuentren obligados a la implementación de la base de datos centralizada, pero que eventualmente llegasen a estar obligados, en calidad de observadores y sin derecho a voto, a las sesiones en las que resulte de interés su participación, ya sea por sugerencia de cualquiera de los miembros del CTS con derecho a voto, o por decisión del Presidente del mismo. Así mismo, la CRC podrá invitar otras Autoridades que considere, con estas mismas condiciones de participación.
PARÁGRAFO. La CRC, en ejercicio de sus funciones relacionadas con el CTS, realizará la coordinación de las acciones a ser adelantadas por los miembros de dicho Comité en cumplimiento de la regulación.
(Resolución CRC 3617 de 2012, artículo 5)
ARTÍCULO 2.7.6.5. FUNCIONES DEL COMITÉ TÉCNICO DE SEGUIMIENTO -CTS-. Son funciones del CTS, en la medida en que la CRC identifique la necesidad del ejercicio de las mismas, las siguientes:
2.7.6.5.1. Emitir propuestas no vinculantes respecto de la implementación y operación de las bases de datos positiva y negativa y demás medidas para combatir el hurto de equipos terminales móviles, entre otros aspectos.
2.7.6.5.2. Facilitar el cumplimiento de las obligaciones a cargo de los PRSTM, respecto de la implementación y operación de las Bases de Datos Positivas y Negativas, y en general, de todas las obligaciones establecidas en el CAPÍTULO 7 y el CAPÍTULO 8 del TÍTULO II, y las disposiciones que las modifiquen, sustituyan o complementen.
2.7.6.5.3. Buscar modelos eficientes para la implementación de las medidas regulatorias, de tal forma que permitan el máximo aprovechamiento de recursos requeridos por parte de los PRSTM.
2.7.6.5.4. Hacer seguimiento a los resultados obtenidos, de acuerdo con las medidas establecidas, con el fin de tomar las acciones necesarias que permitan lograr el cumplimiento de lo establecido en materia de regulación de la CRC.
2.7.6.5.5. Presentar y relacionar la documentación de antecedentes y soportes técnicos sustentados por los PRSTM, como base para la presentación de propuestas.
2.7.6.5.6. Las demás que de acuerdo con su naturaleza le otorgue la CRC o los miembros del CTS, dentro del marco de las medidas para combatir el hurto de los equipos terminales móviles de acuerdo con lo previsto en el el TÍTULO 11 del Decreto 1078 de 2015.
(Resolución CRC 3617 de 2012, artículo 6)
ARTÍCULO 2.7.6.6. FUNCIONES DE LA PRESIDENCIA DEL CTS. Son funciones de la Presidencia del CTS las siguientes:
2.7.6.6.1. Presidir las sesiones del CTS
2.7.6.6.2. Proponer el orden del día a la sesión del CTS.
2.7.6.6.3. Facilitar y dar por terminada la discusión de los temas tratados en las sesiones de CTS.
2.7.6.6.4. Proponer al CTS la conformación y realización de mesas de trabajo.
2.7.6.6.5. Invitar a participar en estas sesiones a cualquier otra Autoridad, para efectos de tratar diferentes asuntos de interés del CTS. Igualmente, podrá acoger las propuestas que en ese sentido hagan los miembros del CTS, siempre y cuando no se vean afectados los tiempos establecidos en el CAPÍTULO 7 y el CAPÍTULO 8 del TÍTULO II, y las disposiciones que las modifiquen, sustituyan o complementen.
2.7.6.6.6. Las demás que de acuerdo con su naturaleza le otorgue el CTS, dentro del marco previsto en la Ley 1453 de 2011 de 2008 y el Título 11 del Decreto 1078 de 2015.
(Resolución CRC 3617 de 2012, artículo 7)
ARTÍCULO 2.7.6.7. FUNCIONES DE LA SECRETARÍA DEL CTS. Son funciones de la Secretaría del Comité Técnico de Seguimiento las siguientes:
2.7.6.7.1. Convocar a las sesiones del CTS y cuando sea el caso, remitir la documentación que será estudiada en el marco del CTS.
2.7.6.7.2. Verificar la asistencia a las sesiones del CTS de los representantes de los PRSTM y si éstos actúan o no en calidad de representantes legales o apoderados.
2.7.6.7.3. Consultar específicamente a los representantes de los miembros del CTS con derecho a voto el sentido de su decisión respecto a cada materia sometida a votación.
2.7.6.7.4. Levantar las actas de cada sesión, así como llevar el registro y control de las modificaciones y firma de las mismas por parte de los miembros del CTS.
2.7.6.7.5. Llevar el registro y control de toda la documentación que se genere o recopile por efectos del normal funcionamiento del CTS.
2.7.6.7.6. Llevar registro de la información de contacto de los miembros del CTS.
2.7.6.7.7. Recibir peticiones para la convocatoria a sesiones por parte de miembros del CTS, o provenientes de iniciativas surgidas en las mesas de trabajo.
2.7.6.7.8. Las demás que de acuerdo con su naturaleza le otorgue el CTS, dentro del marco previsto en la Ley 1453 de 2011 y el Título 11 del Decreto 1078 de 2015.
(Resolución CRC 3617 de 2012, artículo 8)
ARTÍCULO 2.7.6.8. CONVOCATORIA PARA LA CELEBRACIÓN DE SESIONES. <Artículo modificado por el artículo 35 de la Resolución 5586 de 2019. El nuevo texto es el siguiente:> El Secretario del CTS remitirá, cuando sea el caso, la documentación convocará, para la celebración de las sesiones mediante comunicación escrita o correo electrónico a: i) los representantes de los PRSTM a los que hace referencia el inciso primero del ARTÍCULO 2.7.6.4 de la presente SECCIÓN y ii) Cuando sea el caso, al representante del Ministerio de Tecnologías de la Información y las Comunicaciones, al representante del Administrador de la Base de Datos u otras Autoridades en los términos del numeral 2.7.6.6.5 del ARTÍCULO 2.7.6.6 de la presente SECCIÓN.
Dicha convocatoria se deberá realizar, con al menos dos (2) días hábiles de antelación a la fecha señalada para su realización.
ARTÍCULO 2.7.6.9. SESIONES. Las sesiones del CTS se iniciarán con la verificación de los miembros del Comité asistentes a la sesión correspondiente, para lo cual se verificarán las facultades de los Representantes. Una vez validados los miembros asistentes se dará lectura al orden del día, y la sesión se desarrollará de acuerdo con los temas incluidos en el mismo.
Respecto de los temas puestos a consideración a los miembros del CTS, los mismos serán puestos en conocimiento de sus miembros al menos dos (2) días hábiles antes de la respectiva sesión, a efectos de ser incluidos en el orden del día.
Cuando la Presidencia considere que la discusión de un tema ha sido agotada, se someterá a votación dicho tema entre los miembros asistentes de acuerdo con las mayorías previstas en el ARTÍCULO 2.7.5.3 del CAPÍTULO 7 del TÍTULO II.
En el acta de cada Sesión se incluirán las propuestas que hayan obtenido el voto de la mayoría simple de los PRSTM asistentes en el momento de la votación y con derecho a voto, y sólo se tendrá en cuenta un voto por cada PRSTM, y en todo caso teniendo en cuenta el carácter consultivo del Comité, para lo cual previamente se verificarán los asistentes con derecho a voto presentes al momento de la votación, a efectos de considerar la aplicación de la mayoría decisoria, en los términos del citado ARTÍCULO 2.7.5.3 del CAPÍTULO 7 del TÍTULO II.
La Secretaría preguntará a los Representantes sobre la materia sometida a votación, el cual podrá ser a favor, en contra o abstención, y con base en lo anterior, contará los votos e incluirá en el acta el respectivo resultado. En el caso que el producto de la votación no sea unánime, la Secretaría deberá incluir los argumentos y la respectiva votación de los miembros del Comité en el acta correspondiente.
Los votos de abstención sólo se contabilizarán para efectos de registro y no podrán sumarse a ninguna de las opciones.
Las posturas cuya votación se encuentre empatada quedarán incluidas en el acta junto con los argumentos y posibles efectos de cada postura.. Los documentos aportados por los PRSTM en desarrollo de cada Sesión del CTS podrán ser anexados al acta.
El cierre del acta de la sesión se dará con la lectura de la misma y la firma de los Representantes presentes durante dicha sesión; en caso de falta de firma de algún Representante, la Secretaría dejará constancia del hecho, y de ser el caso, se indicarán las razones, sin que esto signifique la nulidad del acta o de cualquier votación alcanzada en la sesión, en todo caso teniendo en cuenta el carácter consultivo del CTS.
(Resolución CRC 3617 de 2012, artículo 10)
ARTÍCULO 2.7.6.10. ACTAS. <Artículo modificado por el artículo 36 de la Resolución 5586 de 2019. El nuevo texto es el siguiente:> De cada sesión se levantará un acta en la cual se especificarán como mínimo: fecha, hora, lugar de reunión, orden del día, temas tratados y resultados. La conservación de las actas se llevará en un archivo de libre consulta para los miembros del CTS, que reposará en la CRC. En todo caso, la información que cuente con carácter de confidencial y reservado se mantendrá en archivo independiente.
ARTÍCULO 2.7.6.11. DISPONIBILIDAD DE LAS ACTAS Y LOS DOCUMENTOS DEL COMITÉ TÉCNICO DE SEGUIMIENTO -CTS-. <Artículo modificado por el artículo 37 de la Resolución 5586 de 2019. El nuevo texto es el siguiente:> Para efectos de consulta por parte de los miembros del CTS, las actas y documentos estarán disponibles en la CRC.
ARTÍCULO 2.7.6.12. VIGENCIA DEL COMITÉ TÉCNICO DE SEGUIMIENTO -CTS-. <Artículo derogado por el artículo 80 de la Resolución 5586 de 2019>
SECCIÓN 7. MEDIDAS DE IDENTIFICACIÓN DE EQUIPOS TERMINALES MÓVILES
ARTÍCULO 2.7.7.1. OBJETO. <Artículo derogado por el artículo 80 de la Resolución 5586 de 2019>
ARTÍCULO 2.7.7.2. ÁMBITO DE APLICACIÓN. <Artículo derogado por el artículo 80 de la Resolución 5586 de 2019>
ARTÍCULO 2.7.7.3. OBLIGACIONES DE VALIDACIÓN, VERIFICACIÓN Y CONTROL DE EQUIPOS TERMINALES MÓVILES. <Artículo derogado por el artículo 80 de la Resolución 5586 de 2019>
ARTÍCULO 2.7.7.4. DESARROLLO DE LA ETAPA DE VALIDACIÓN Y DIAGNÓSTICO PRELIMINAR DE EQUIPOS TERMINALES MÓVILES EN COLOMBIA. <Artículo derogado por el artículo 80 de la Resolución 5586 de 2019>
ARTÍCULO 2.7.7.5. INFORMACIÓN PARA VIGILANCIA Y CONTROL. <Artículo modificado por el artículo 38 de la Resolución 5586 de 2019. El nuevo texto es el siguiente:> Los proveedores de redes y servicios de telecomunicaciones móviles y el Administrador de la Base de Datos (ABD), deberán disponer de todos los recursos técnicos y operativos que permitan el acceso directo del Ministerio de TIC a las BDO y BDA, Positivas y Negativas, para el ejercicio de sus funciones de vigilancia y control, así como a toda aquella base de datos o sistema de información que como resultado de la presente medida regulatoria sea implementada por dichos proveedores o administradores.
Para el efecto de lo anterior, los PRSTM acogerán los términos de cumplimiento, así como también los requerimientos técnicos y logísticos presentados por el Ministerio de TIC, a través de la Dirección de Vigilancia y Control, que sean necesarios para lograr el acceso dispuesto en el presente artículo. Lo anterior, conforme a lo establecido en la Ley 1581 de 2012 respecto a la protección de datos personales.
ARTÍCULO 2.7.7.6. DEBER DE DIVULGACIÓN. <Artículo derogado por el artículo 80 de la Resolución 5586 de 2019>
CAPÍTULO 8. AUTORIZACIÓN PARA LA VENTA DE EQUIPOS TERMINALES MÓVILES
ARTÍCULO 2.8.1.1. ÁMBITO DE APLICACIÓN. <Artículo modificado por el artículo 39 de la Resolución 5586 de 2019. El nuevo texto es el siguiente:> El presente CAPÍTULO establece el marco regulatorio que contiene las reglas asociadas a la autorización de personas naturales o jurídicas para la venta de los equipos terminales móviles en Colombia, en cumplimiento de lo dispuesto en la Ley 1453 de 2011 y el TÍTULO 11 del Decreto 1078 de 2015.
Las disposiciones previstas en el presente CAPÍTULO aplican al trámite que en materia de autorización para la venta de equipos terminales móviles realice el Ministerio de TIC; a todas las personas naturales o jurídicas que ofrezcan o quieran ofrecer para la venta al público equipos terminales móviles; a los Proveedores de redes y Servicios de Telecomunicaciones Móviles autorizados para la venta de equipos terminales móviles de acuerdo con lo dispuesto por el ARTÍCULO 2.2.11.3 del Decreto 1078 de 2015; a los importadores de equipos terminales móviles que ingresen equipos para la venta al público en Colombia; y a todos los usuarios de servicios de telecomunicaciones móviles.
SECCIÓN 2. AUTORIZACIÓN PARA LA VENTA DE EQUIPOS TERMINALES MÓVILES
ARTÍCULO 2.8.2.1. SOLICITUD DE AUTORIZACIÓN. Las personas naturales o jurídicas que ofrezcan o quieran ofrecer para la venta al público ETM, deben contar con una autorización para ello, la cual deben tramitar únicamente ante el Ministerio de TIC. La persona natural o jurídica que no cuente con dicha autorización, no puede ofrecer ETM para venta al público.
No se entenderá cumplida la obligación de ser persona autorizada para la venta de ETM con la simple presentación de la solicitud de que trata el presente artículo, sino que es necesario contar con la respectiva decisión de autorización expedida por el Ministerio de TIC.
Para presentar solicitudes de autorización para la venta de ETM ante el Ministerio de TIC, en procura de la economía y celeridad del trámite administrativo de autorización para la venta de ETM, dicho Ministerio pondrá a disposición de las personas naturales o jurídicas interesadas la opción de presentar la solicitud a través de asociaciones, corporaciones, fundaciones o demás entidades sin ánimo de lucro, debidamente registradas ante la Cámara de Comercio, y en cuyas actividades descritas en su objeto social se encuentre la de servir como agremiación de comerciantes de equipos terminales móviles.
Dicha opción estará disponible para las mencionadas entidades sin ánimo de lucro, siempre y cuando éstas sean comprendidas por un número igual o superior a cien (100) asociados o miembros, con lo cual, la Decisión de Autorización se extendida automáticamente a todos los miembros o asociados de la persona autorizada.
PARÁGRAFO. <Parágrafo modificado por el artículo 9 de la Resolución 5292 de 2017. El nuevo texto es el siguiente:> Para las compraventas o actos de enajenación de ETM o donaciones de ETM entre usuarios o personas naturales no comerciantes, no se requiere de autorización para la venta de equipos terminales móviles. Sin embargo, el vendedor del ETM deberá entregar al comprador el formato contenido en el ANEXO 2.8 del TÍTULO DE ANEXOS debidamente diligenciado por ambas partes, con la respectiva fotocopia del documento de identidad del vendedor.
(Resolución CRC 4584 de 2014, artículo 3)
ARTÍCULO 2.8.2.2. CONTENIDO DE LA SOLICITUD DE AUTORIZACIÓN. <Artículo modificado por el artículo 60 de la Resolución 7811 de 2025. El nuevo texto es el siguiente:> Las personas naturales o jurídicas solicitantes de la autorización para la venta al público de ETM deben registrar su solicitud a través de los mecanismos digitales que disponga el Ministerio de TIC, informados a través de las páginas web de dicho Ministerio, cumpliendo con el lleno de los siguientes requisitos, de acuerdo con la naturaleza del solicitante:
2.8.2.2.1. Cuando el solicitante de la autorización sea una asociación, corporación, fundación o demás entidades sin ánimo de lucro debidamente registrada ante la Cámara de Comercio, y en cuyas actividades descritas en su objeto social se encuentre la de servir como agremiación de comerciantes de equipos terminales móviles, el solicitante deberá contar con un número mínimo de cien (100) asociados o miembros, quienes para todos los efectos deberán individualmente tener registrado en su RUT como actividad económica la de comercio al por menor de equipos de informática y de comunicaciones, en establecimientos especializados. El interesado en este caso registrará en su solicitud la siguiente información:
a) Nombre de la asociación, corporación, fundación o entidad sin ánimo de lucro registrada ante la Cámara de Comercio.
b) Número de Matrícula Mercantil, tal y como aparece en el Certificado de Existencia y Representación Legal.
c) Número de Identificación Tributario (NIT), tal y como aparece en el Registro Único Tributario.
d) Nombre, apellidos, tipo de identificación y número de identificación del representante legal de la asociación, corporación, fundación o entidad sin ánimo de lucro registrado ante la Cámara de Comercio, tal y como aparece en el Certificado de Existencia y Representación Legal.
e) Dirección de notificaciones registrada ante la Cámara de Comercio, tal y como aparece en el Certificado de Existencia y Representación Legal, así como ciudad, correo electrónico y teléfono de contacto.
f) Nombre de las personas naturales o jurídicas registradas ante la Cámara de Comercio que son asociadas o miembros de la asociación, corporación, fundación o entidad sin ánimo de lucro.
g) Número de Identificación Tributario (NIT), tal y como aparece en el Registro Único Tributario de cada uno de los asociados o miembros de la asociación, corporación, fundación o entidad sin ánimo de lucro.
h) Nombre, apellido y tipo de documento de identidad con el respectivo número de identificación del representante legal de cada uno de los asociados o miembros de la asociación, corporación, fundación o entidad sin ánimo de lucro, registrada ante la Cámara de Comercio.
i) Nombre o denominación del (los) establecimiento (s) de comercio de cada uno de los asociados o miembros de la asociación, corporación, fundación o entidad sin ánimo de lucro, registrada ante la Cámara de Comercio. Lo anterior, relacionando en una lista el total de los establecimientos de comercio de cada asociado o miembro en su calidad de persona jurídica o natural.
j) Dirección del (los) establecimiento (s) de comercio de las personas naturales o jurídicas registradas ante la Cámara de Comercio que son asociadas o miembros de la asociación, corporación, fundación o entidad sin ánimo de lucro, ciudad, así como el teléfono de contacto.
El solicitante deberá consignar en la solicitud la información relacionada en el presente numeral de manera idéntica a la que aparece en el Certificado de Existencia y Representación Legal y en el Registro Único Tributario de cada uno de sus asociados o miembros.
Para el efecto, el Representante Legal de la asociación, corporación, fundación o entidad sin ánimo de lucro deberá verificar rigurosamente, previa presentación de la solicitud de autorización, la información requerida en los numerales 2.8.2.2.2. y 2.8.2.2.3. del presente artículo, respecto de sus asociados o miembros, contra los documentos de cada uno de ellos expedidos por las autoridades respectivas, cuya vigencia no sea superior a tres (3) meses a la fecha de presentación de su solicitud. Para tal efecto, el representante legal en comento, aportara una certificación donde conste que este realizó debidamente la verificación del cumplimiento de requisitos dispuestos en el presente artículo a todos sus asociados o miembros, así como que también realizó una visita a cada uno de los establecimientos de comercio que serán objeto de la autorización.
El Representante Legal de la asociación, corporación, fundación o demás entidades sin ánimo de lucro será responsable de la información certificada y cualquier inconsistencia o error en dicha información, será remitida a la Superintendencia de Industria y Comercio (SIC), entidad que en ejercicio de sus competencias adelantará la investigación a que hubiere lugar.
Los documentos a que se ha hecho referencia no serán presentados al Ministerio de TIC dentro del trámite de autorización, ya que los mismos sólo serán parte de la verificación que realiza el Representante Legal de la asociación, corporación, fundación o entidad sin ánimo de lucro.
2.8.2.2.2. Cuando el solicitante de la autorización sea una persona natural, esta debe estar debidamente registrada ante la Cámara de Comercio y su actividad económica en el RUT debe ser la de comercio al por menor de equipos de informática y de comunicaciones, en establecimientos especializados o comercio al por menor en establecimientos no especializados, y deberá diligenciar en su solicitud la siguiente información:
a) Nombre de la persona natural, tal y como aparece en el Registro de Matrícula Mercantil.
b) Tipo de documento de identidad con el respectivo número de identificación de la persona natural registrada ante la Cámara de Comercio.
c) Número de Matrícula Mercantil, tal y como aparece en el Registro de dicha matrícula.
d) Número de Identificación Tributario (NIT), tal y como aparece en el Registro Único Tributario.
e) Dirección de notificaciones, ciudad, así como correo electrónico y teléfono de contacto.
f) Nombre del (los) establecimiento (s) de comercio del solicitante.
g) Dirección del (los) establecimiento (s) de comercio del solicitante, ciudad y teléfono de contacto.
2.8.2.2.3. Cuando el solicitante de la autorización sea una persona jurídica, esta debe estar debidamente registrada ante la Cámara de Comercio y su actividad económica en el RUT debe ser la de comercio al por menor de equipos de informática y de comunicaciones, en establecimientos especializados o comercio al por menor en establecimientos no especializados, y deberá diligenciar en su solicitud la siguiente información:
a) Razón social o denominación social de la sociedad registrada ante la Cámara de Comercio.
b) Número de Matrícula Mercantil, tal y como aparece en el Certificado de Existencia y Representación Legal.
c) Número de Identificación Tributario (NIT), tal y como aparece en el Registro Único Tributario.
d) Nombres, apellidos y tipo de documento de identidad con el respectivo número de identificación del representante legal, registrado ante la Cámara de Comercio.
e) Dirección de notificaciones, ciudad, correo electrónico y el teléfono de contacto.
f) Nombre del (los) establecimiento (s) de comercio del solicitante.
g) Dirección del (los) establecimiento (s) de comercio del solicitante, ciudad y teléfono de contacto.
PARÁGRAFO 1o. El Ministerio de TIC consultará directamente con las entidades respectivas, el Certificado de Existencia y Representación Legal y el Certificado de Matricula Mercantil de las personas que solicitan autorización, pero en caso de que dichos documentos no se encuentren actualizados en los sistemas de información de que disponga la Cámara de Comercio, excepcionalmente, el Ministerio de TIC podrá solicitar directamente al interesado en el trámite, la complementación de información, señalando esta motivación en su requerimiento.
En todo caso, el interesado deberá aportar dentro del trámite de solicitud de autorización el Registro Único Tributario.
PARÁGRAFO 2o. Conforme a la naturaleza jurídica del solicitante, el objeto social del Certificado de Existencia y Representación Legal o Registro de Matrícula Mercantil, según aplique, debe incluir entre sus actividades descritas la venta de equipos terminales móviles.
ARTÍCULO 2.8.2.3. SOLICITUDES DE AUTORIZACIÓN INCOMPLETAS. <Artículo modificado por el artículo 61 de la Resolución 7811 de 2025. El nuevo texto es el siguiente:> El Ministerio de TIC requerirá por una sola vez al interesado, al constatar que una solicitud de autorización ya radicada está incompleta, en los siguientes eventos: cuando no cumple con el lleno de requisitos exigidos por la regulación de la CRC, cuando alguno de los documentos requeridos sea ilegible o cuando se encuentren inconsistencias entre la información suministrada en la solicitud y la información verificada por parte del Ministerio de TIC. Lo anterior, por medio de los mecanismos digitales que disponga el Ministerio TIC y dentro de los diez (10) días hábiles siguientes a la fecha de radicación, para que el solicitante proceda con la complementación de la información en el término máximo de un mes. A partir del día siguiente en que el interesado aporte la información requerida comenzará a correr el término para expedir la autorización. El requerimiento de complementación interrumpirá los términos establecidos dentro del trámite de autorización.
Si la respuesta de complementación de información del interesado hacia el Ministerio de TIC nuevamente sigue incompleta o presenta inconsistencias, el Ministerio de TIC procederá con el rechazo de la solicitud. Si transcurrido el término de un mes el interesado no ha aportado la información, se entenderá que este ha desistido tácitamente de su solicitud y se procederá con el archivo de la solicitud. En todo caso el interesado podrá presentar nuevamente su solicitud y se dará inicio a un nuevo trámite.
ARTÍCULO 2.8.2.4. CAUSALES DE RECHAZO DE LA AUTORIZACIÓN. Una vez llevada a cabo la verificación del cumplimiento de los requisitos de la solicitud, el Ministerio de TIC rechazará la solicitud de autorización en los siguientes casos:
a. Cuando un miembro o asociado de una asociación, corporación, fundación o demás entidades sin ánimo de lucro inicie de manera individual el trámite, y éste además sea solicitado por la asociación, corporación, fundación o demás entidades sin ánimo de lucro de la cual hace parte, caso en el cual se rechazará la solicitud tramitada de manera individual por aquella persona miembro o asociado.
b. Cuando una persona natural o jurídica ya se encuentre autorizada y dicha persona sea incluida dentro de la solicitud que adelante una asociación, corporación, fundación o demás entidades sin ánimo de lucro, se rechazará la solicitud tramitada por esta última;
c. Cuando al interesado se le hubiera cancelado su autorización para la venta de ETM por la ocurrencia de cualquiera de las causales establecidas en el ARTÍCULO 2.8.2.8 del TÍTULO II, sin que a la fecha de presentación de la solicitud hayan transcurrido los seis (6) años de que trata dicho artículo.
d. Cuando el interesado dé respuesta incompleta o con inconsistencias al único requerimiento de complementación de información que le elevó el Ministerio de TIC conforme a lo señalado por el artículo 17 de la Código de Procedimiento Administrativo y de lo Contencioso Administrativo.
Lo anterior, no obsta para que el solicitante pueda presentar nuevamente la solicitud cuando supere las causales de rechazo. Tal rechazo será manifestado por parte del Ministerio de TIC, dentro del mismo término de la actuación administrativa de autorización, mediante un acto administrativo por el cual se exprese el rechazo de la solicitud con su respectiva motivación.
Contra la decisión proferida por el Ministerio de TIC procede el recurso de reposición, en los términos establecidos en el Código de Procedimiento Administrativo y de lo Contencioso Administrativo.
(Resolución CRC 4584 de 2014, artículo 6)
ARTÍCULO 2.8.2.5. TRÁMITE DE AUTORIZACIÓN. <Artículo modificado por el artículo 62 de la Resolución 7811 de 2025. El nuevo texto es el siguiente:> La solicitud deberá presentarse por medio de los mecanismos digitales dispuestos por el Ministerio TIC. Para tal efecto el interesado es responsable de la veracidad de la información suministrada en el diligenciamiento de dicha solicitud.
El Ministerio de TIC decidirá dentro del término de quince (15) días hábiles contados a partir del día siguiente de la radicación completa de la solicitud de autorización. Antes de que venza dicho término, el Ministerio de TIC notificará la Decisión de Autorización al interesado, lo cual podrá realizar conforme a las reglas establecidas en el Capítulo IV del Código de Procedimiento y Administrativo y de lo Contencioso Administrativo.
Dicha autorización deberá expedirse a través del formato establecido en el ANEXO 2.6. del TÍTULO DE ANEXOS y deberá contener un Número Único de Verificación, el cual será asignado al momento de su expedición de conformidad con las reglas previstas en el artículo 2.8.2.6. de la presente resolución.
Antes de expedir la autorización, el Ministerio de TIC revisará el Sistema de Información Integral de Autorizados (SIIA), con el objeto de evitar la doble autorización.
PARÁGRAFO. El Ministerio de TIC dentro del trámite de expedición de la Decisión de Autorización, podrá realizar visitas a los establecimientos de comercio cuando lo considere necesario, a efectos de verificar la información suministrada por el solicitante. Las referidas visitas podrán ser realizadas directamente por el Ministerio de TIC o por un tercero designado por dicho Ministerio.
ARTÍCULO 2.8.2.6. DECISIÓN DE AUTORIZACIÓN. La autorización expedida por el Ministerio de TIC se materializará en la Decisión de Autorización para la venta al público de ETM, y la información contenida en dicha decisión será registrada por el Ministerio de TIC en el SIIA. La Decisión de Autorización se constituye en un acto administrativo expedido por el Ministerio de TIC como consecuencia del ejercicio del derecho de petición de que trata el Código de Procedimiento Administrativo y de lo Contencioso Administrativo, por lo que le son aplicables todas las reglas y recursos de que trata dicha legislación.
En caso de que la persona autorizada sea una asociación, corporación, fundación o demás entidades sin ánimo de lucro, el Ministerio de TIC registrará de manera expresa en la Decisión de Autorización, además de la información exigida en el ANEXO 2.6 del TÍTULO DE ANEXOS, el listado total de los establecimientos de comercio que están a cargo de cada asociado o miembro en su calidad de persona jurídica o natural. El representante legal de la asociación, corporación, fundación o demás entidades sin ánimo de lucro deberá entregar copia de la Decisión de Autorización a cada uno de sus asociados o miembros.
Toda Decisión de Autorización deberá contener un Número Único de Verificación que la individualice. Para la creación y asignación de dicho número, se debe dar cumplimiento a las siguientes reglas:
2.8.2.6.1. El número debe constar de 10 dígitos.
2.8.2.6.2. Los primeros dos (2) dígitos (de izquierda a derecha) corresponden a la identificación del Ministerio de TIC en calidad de Entidad que expide la Decisión de Autorización; y de los PRTSM como personas autorizadas en virtud de lo previsto en el ARTÍCULO 2.2.11.3 del Decreto 1078 de 2015, así:
- De 00 a 20 y de 41 a 99: Ministerio de TIC.
- De 21 a 40: rango utilizado por los PRSTM con anterioridad a la fecha de exigibilidad de CAPÍTULO 7 TÍTULO II.
2.8.2.6.3. Los siguientes dos (2) dígitos (de izquierda a derecha) corresponden a la identificación de la naturaleza de la persona autorizada, así:
- De 00 a 30: Persona Natural.
- De 31 a 60: Persona Jurídica.
- De 61 a 99: Asociación, corporación, fundación o entidad sin ánimo de lucro.
2.8.2.6.4. Los siguientes seis (6) dígitos (de izquierda a derecha) serán asignados por el Ministerio de TIC, y corresponden al número consecutivo que individualiza a la persona autorizada.
PARÁGRAFO. <Parágrafo modificado por el artículo 63 de la Resolución 7811 de 2025. El nuevo texto es el siguiente:> En virtud de la autorización dada por el Artículo 2.2.11.3 del Decreto 1078 de 2015, los PRSTM no requerirán de una Decisión de Autorización expedida por el Ministerio de TIC. Para los casos en que un PRTSM no tenga asignado un Número Único de Verificación, este deberá solicitar la asignación de dicho número mediante comunicación dirigida al Ministerio de TIC, Entidad que dentro de los quince (15) días hábiles siguientes dará respuesta al PRTSM con la respectiva asignación.
(Resolución CRC 4584 de 2014, artículo 8)
ARTÍCULO 2.8.2.7. VIGENCIA Y RENOVACIÓN DE LA AUTORIZACIÓN. <Artículo modificado por el artículo 40 de la Resolución 5586 de 2019. El nuevo texto es el siguiente:> La vigencia de la Decisión de Autorización para la venta al público de ETM en el país será de tres (3) años contados a partir de la fecha de ejecutoria del acto administrativo que contiene la Decisión de Autorización expedida por el Ministerio de TIC.
Como mínimo, con un (1) mes de antelación al vencimiento de la Decisión de Autorización, toda persona autorizada por el Ministerio de TIC, interesada en mantener la autorización, deberá solicitar el trámite de renovación ante el Ministerio de TIC, dando cumplimiento a lo dispuesto en el ARTÍCULO 2.8.2.2 del TÍTULO II. En caso de que el interesado no solicite la renovación de la autorización dentro del término antes señalado, deberá surtirse el trámite de una nueva autorización para la venta de equipos terminales móviles.
Una vez solicitado el trámite de renovación dentro del plazo inmediatamente indicado, la autorización vigente al momento de la presentación de la renovación se entenderá prorrogada hasta tanto quede en firme dicha Decisión, la cual conservará el Número Único de Verificación que fue asignado en la Decisión de Autorización inicial.
De no solicitar el trámite de renovación en el plazo en comento, la persona perderá la calidad de persona autorizada y el Ministerio de TIC procederá a registrar en el SIIA que la Decisión de Autorización se encuentra vencida, lo cual además conlleva a la pérdida del Número Único de Verificación asignado en la Decisión de Autorización inicial.
Lo anterior significa que para ofrecer ETM para venta al público quien perdió la calidad de autorizado no podrá ejercer dicha actividad, hasta tanto surta nuevamente el trámite de autorización como si fuera por primera vez y le sea expedida la nueva Decisión de Autorización con un nuevo Número Único de Verificación.
ARTÍCULO 2.8.2.8. CANCELACIÓN DE LA AUTORIZACIÓN. Sin perjuicio de las sanciones que pueda imponer la Superintendencia de Industria y Comercio y las de carácter penal a que haya lugar, el Ministerio de TIC cancelará de oficio la autorización para la venta de ETM, cuando se presente alguna de las siguientes causales:
a. Cuando las alcaldías municipales o distritales, en ejercicio de sus competencias legales, avisen al Ministerio de TIC sobre cualquier incumplimiento de la regulación que se presente por parte de personas autorizadas para la venta de ETM;
b. Cuando exista sentencia judicial debidamente ejecutoriada, en contra de una persona autorizada, por configurarse el tipo penal de manipulación de ETM previsto en el artículo 105 de la Ley 1453 de 2011;
c. Cuando en ejercicio de sus competencias legales, la Dirección de Impuestos y Aduanas Nacionales -DIAN- encuentre mercancía respecto de la cual la persona autorizada no pueda acreditar su importación legal, e informe de este hecho al Ministerio de TIC; y
d. Cuando las autoridades policivas o judiciales en ejercicio de sus competencias legales informen al Ministerio de TIC sobre la venta de ETM o partes de los mismos, cuya propiedad o procedencia legal no haya podido verificarse.
En el evento en que uno de los asociados o miembros de una asociación, corporación, fundación o entidad sin ánimo de lucro que haya sido autorizada por el Ministerio de TIC incurra en alguna de las causales señaladas en el inciso anterior, dicho Ministerio procederá a la cancelación individualizada de la persona natural o jurídica que estando comprendida dentro de la autorización, incurrió en la causal de cancelación. Para tal efecto, el Ministerio de TIC expedirá y notificará una nueva Decisión de Autorización en la cual señalará de manera expresa e individualizada el nombre o denominación de la (s) persona (s) natural (les) o jurídica (s) determinada (s) a la (s) que le (s) cancela la autorización. Adicionalmente, en la nueva Decisión de Autorización el Ministerio de TIC indicará expresamente el total de los establecimientos de comercio de cada asociado o miembro en su calidad de persona jurídica o natural que continúan con la autorización, conservando el Número Único de Verificación que fue asignado en la Decisión de Autorización inicial.
No se otorgará nuevamente autorización a los interesados que hayan incurrido en alguna de las causales de cancelación referidas en el presente artículo, ni a las personas naturales que hayan sido representantes legales de las personas a quienes por cualquiera de las causales de cancelación se les hubiese cancelado la autorización, ni tampoco a las asociaciones, corporaciones, fundaciones o demás entidades sin ánimo de lucro a las cuales se les haya cancelado la autorización.
Esta imposibilidad de otorgar autorización se extenderá por un término de seis (6) años, contados a partir de la fecha de ejecutoria de la cancelación de la autorización.
(Resolución CRC 4584 de 2014, artículo 10)
ARTÍCULO 2.8.2.9. SISTEMA DE INFORMACIÓN INTEGRAL DE AUTORIZACIONES. Al Ministerio de TIC corresponde administrar, consolidar, publicar y actualizar el Sistema de Información Integral de Autorizaciones -SIIA- para la Venta de ETM, con base en la información contenida en las Decisiones de Autorización expedidas por éste y, en su oportunidad, previo a la fecha de exigibilidad del CAPÍTULO 8 TÍTULO II, expedidas por los PRSTM respectivos.
El SIIA tiene por objeto permitir a la ciudadanía en general la consulta pública de las personas y lugares autorizados para la venta al público de ETM en Colombia, a través de la página Web del Ministerio de TIC, en la cual no se publican datos personales o información confidencial, de acuerdo con la normatividad vigente en materia de protección de datos personales. El SIIA deberá estar disponible de manera permanente, y contener como mínimo la siguiente información:
a. Nombre de la persona autorizada y del establecimiento de comercio o de los establecimientos de comercio a su cargo.
b. Nombre de los establecimientos de comercio de las personas naturales o jurídicas, o de los asociados o miembros de una asociación, corporación, fundación o demás entidades sin ánimo de lucro a las cuales se extiende la Autorización, cuando aplique.
c. Nombre de quien expidió la autorización, bien sea el Ministerio de TIC o del PRSTM respectivo, quien en su oportunidad, previo a la fecha de exigibilidad del CAPÍTULO 8 TÍTULO II expidió la autorización.
d. Dirección (es), ciudad (es), correo electrónico de contacto del (los) establecimiento (s) de comercio en donde se ofrecerán ETM para la venta al público.
e. Número Único de Verificación para la venta de ETM y fecha de ejecutoria de la Decisión de Autorización inicial o de la renovación.
f. Nombre de la persona a la cual se le canceló la autorización, tal y como aparecía en la Decisión de Autorización; Número Único de Verificación correspondiente; fecha de ejecutoria de la decisión de cancelación; y nombre del establecimiento de comercio o de los establecimientos de comercio de la persona a quien le fue cancelada la autorización, dirección y ciudad del (los) establecimiento (s) de comercio a su cargo.
g. Estado de la Decisión de Autorización: Vigente, vencida o cancelada.
El SIIA deberá permitir la búsqueda de cada uno de los establecimientos de comercio de todas las personas que han sido autorizadas para la venta al público de ETM en el país, al menos por departamento y municipio o ciudad.
PARÁGRAFO. En relación con los PRSTM autorizados para la venta de equipos terminales móviles de acuerdo con lo establecido en el ARTÍCULO 2.2.11.3 del Decreto 1078 de 2015, corresponde a cada PRSTM dentro de los cinco (5) días hábiles en que ocurran novedades respecto de sus establecimientos de comercio, informar al Ministerio de TIC sobre la actualización de información en el SIIA relacionada con los establecimientos de comercio de su propiedad, a través del mecanismo que dicho Ministerio determine. El Ministerio de TIC actualizará el SIIA de inmediato con base en la información que reciba por parte de los PRTSM.
(Resolución CRC 4584 de 2014, artículo 11)
ARTÍCULO 2.8.2.10. MODIFICACIÓN DE INFORMACIÓN DE LA DECISIÓN DE AUTORIZACIÓN Y DEL SIIA. <Artículo modificado por el artículo 41 de la Resolución 5586 de 2019. El nuevo texto es el siguiente:> Las personas autorizadas para la venta al público de ETM por el Ministerio de TIC deberán informar a dicho Ministerio acerca de cualquier modificación o actualización que se produzca respecto de la información consignada en la Decisión de Autorización y en el SIIA, dentro de los cinco (5) días hábiles siguientes al día en que estas se produzcan.
El Ministerio de TIC dentro de los quince (15) días hábiles siguientes al conocimiento de la solicitud de modificación de encontrarlo viable, procederá a la expedición y notificación de una nueva Decisión de Autorización actualizada conservando el mismo Número Único de Verificación y la vigencia.
ARTÍCULO 2.8.2.11. RETIRO VOLUNTARIO DE LA PERSONA AUTORIZADA DEL SIIA. <Artículo modificado por el artículo 42 de la Resolución 5586 de 2019. El nuevo texto es el siguiente:> A solicitud de parte, el Ministerio de TIC retirará del SIIA a la persona autorizada que así lo solicite, en los siguientes casos:
a) Cuando se presente imposibilidad de cumplir con el propósito de la autorización;
b) Por disolución de la persona jurídica;
c) Por liquidación obligatoria de la persona jurídica;
d) Cuando se informe del cierre de todos los establecimientos de comercio inscritos en el SIIA;
e) Por terminación de la asociación, corporación, fundación o demás entidades sin ánimo de lucro.
Respecto de las personas autorizadas por el PRSTM respectivo, quien en su oportunidad, previo a la fecha de exigibilidad del CAPÍTULO 8 del TÍTULO II expidió la autorización, el retiro también operará cuando se termine la relación comercial entre el PRSTM y la persona autorizada, o por el cierre del (los) establecimiento(s) de comercio de la persona autorizada por parte del PRSTM.
El representante legal de las asociaciones, corporaciones, fundaciones o demás entidades sin ánimo de lucro que han sido autorizadas, tienen la obligación de informar al Ministerio de TIC sobre la existencia de cualquiera de las causales previstas en el presente artículo en que incurra cualquier persona natural o jurídica en su calidad de asociado o miembro de dicha persona autorizada, a más tardar al día hábil siguiente al conocimiento del hecho. Este mismo término aplicará a las personas jurídicas y naturales que han sido autorizadas.
ARTÍCULO 2.8.3.1. OBLIGACIONES DE LOS IMPORTADORES DE EQUIPOS TERMINALES MÓVILES. Los importadores de equipos terminales móviles deben dar cumplimiento a las siguientes reglas, en el proceso de ingreso de dichos equipos al país, así:
2.8.3.1.1. Presentar ante la DIAN -Dirección de Impuestos y Aduanas Nacionales-, toda la documentación que soporte la importación legal de equipos terminales móviles que van a ingresar al país, de conformidad con las normas aduaneras vigentes aplicables a la materia.
2.8.3.1.2. Reportar a la DIAN, de manera desagregada los IMEI o números de identificación de todos los equipos terminales móviles que ingresen al país, los cuales serán introducidos al sistema informático que la DIAN utilice para tales efectos.
2.8.3.1.3. Presentar a las autoridades aduaneras la factura comercial legalmente expedida en el exterior, la cual permita verificar la procedencia legal de los equipos terminales móviles que ingresan al país, de acuerdo con las normas aduaneras vigentes aplicables a la materia.
2.8.3.1.4. Presentar a las autoridades aduaneras el certificado de homologación expedido por la CRC, respecto de las marcas y los modelos de equipos terminales móviles a ingresar, salvo en los casos en que el fabricante o sus centros de reparación autorizados importen equipos terminales móviles de pruebas y dicha condición pueda ser demostrada con la presentación de una carta expedida por el fabricante. Lo anterior, de acuerdo con lo que para el efecto se establezca a través de las normas aduaneras.
2.8.3.1.5. Las demás que consideren necesarias la DIAN o el Ministerio de Comercio, Industria y Turismo para autorizar, de manera previa, el ingreso y salida de equipos terminales móviles hacia y desde el país.
(Resolución CRC 4584 de 2014, artículo 14)
ARTÍCULO 2.8.3.2. OBLIGACIONES DE LAS PERSONAS AUTORIZADAS. <Artículo modificado por el artículo 43 de la Resolución 5586 de 2019. El nuevo texto es el siguiente:> Las personas autorizadas para la venta al público de ETM, deberán dar estricto cumplimiento a las siguientes obligaciones, en consonancia con lo dispuesto en el ARTÍCULO 2.2.11.4 del Decreto 1078 de 2015:
2.8.3.2.1. Cumplir con las reglas sobre funcionamiento de los establecimientos comerciales, dispuestas en la Ley 232 de 1995, y dar cabal cumplimiento a la normatividad comercial, tributaria y aduanera, según el caso.
2.8.3.2.2. Exhibir en lugar visible la Decisión de Autorización que acredite su calidad de autorizado para la venta al público de ETM.
2.8.3.2.3. Generar al momento de la venta de cada ETM o de la distribución a sus establecimientos de comercio autorizados, desde la página web dispuesta por la CRC, el certificado de homologación respectivo. Para tal fin, la persona autorizada que se encuentre registrada en el SIIA administrado por el Ministerio y le haya sido asignado un número único de verificación, podrá ingresar al aplicativo dispuesto por la CRC para tal efecto.
2.8.3.2.4. Suministrar al comprador la dirección desde la cual puede descargar la copia del certificado de homologación de que trata el numeral 2.8.3.2.3 del ARTÍCULO 2.8.3.2 del TÍTULO II, o hacer entrega del original del mismo, ya sea en medio físico o electrónico, a elección del comprador.
2.8.3.2.5. Ofrecer para la venta al público, únicamente, ETM homologados, para lo cual deberá consultar la lista que de los mismos se publica en la página web de la CRC.
2.8.3.2.6. La factura o el comprobante, sin perjuicio del cumplimiento de requisitos de conformidad con la normatividad colombiana sobre la materia, debe además incluir el IMEI del ETM adquirido.
2.8.3.2.7. Para la venta de equipos terminales móviles realizada por aquellos comercializadores autorizados que expiden la factura a través del sistema POS de la caja registradora, la persona autorizada que actúa en calidad de vendedor deberá entregar al comprador, adicional a la factura de venta, un documento que deberá estar asociado a ella, el cual incluirá el número de factura, que deberá ir con un tamaño no inferior a cinco (5) milímetros y en todo caso deberá contener, como mínimo, la siguiente información:
i. Razón social o nombre del vendedor autorizado, tal y como aparece en la Decisión de Autorización para la venta de equipos terminales móviles.
ii. Número de Identificación Tributario (NIT) del vendedor autorizado, tal y como aparece en la Decisión de Autorización.
iii. Fecha de compra del (los) equipo(s) terminal (es) móvil (es).
iv. Número de factura.
v. Descripción del (los) equipo(s) terminal (es) móvil (es), la cual debe incluir marca, modelo e IMEI del (los) equipo(s).
vi. Nombre del comprador.
vii. Tipo de documento y número de identificación del comprador.
2.8.3.2.8. El personal de venta que se encuentre vinculado con algún Punto de Venta de un PRSTM, para poder comercializar equipos terminales móviles fuera de él, deberá contar con los siguientes documentos de acreditación: i) Copia de la "Decisión de Autorización" otorgada a la Persona Autorizada con el cual se encuentra vinculado; ii) Listado del inventario recibido por parte de la Persona Autorizada; y iii) Acreditación del vínculo laboral o de prestación de servicios con la persona autorizada.
2.8.3.2.9. Toda persona autorizada para la venta de ETM y que dentro de su establecimiento de comercio ofrezca también para la venta al público ETM usados, deberá estar en capacidad de demostrar a las autoridades o a los ciudadanos que así lo requieran, la transferencia de dominio o la procedencia legal de tales equipos, a través de cualquiera de los siguientes documentos: i) Factura de venta o comprobante de pago del régimen simplificado; o ii) Formato contenido en el ANEXO 2.7 del TÍTULO DE ANEXOS debidamente diligenciado por el vendedor del equipo usado y el comprador del mismo, el cual deberá tener como anexo en todo caso la fotocopia de los documentos de identidad de cada una de las partes (comprador y vendedor).
2.8.3.2.10. Para la venta al público de ETM, el régimen de garantías aplicable en Colombia será el dispuesto por las normas previstas en el Estatuto del Consumidor vigente. De acuerdo con lo dispuesto en el artículo 8o de la Ley 1480 de 2011, el término de la garantía legal de los ETM nuevos al no indicarse expresamente por el productor y/o proveedor será de un año. Mientras que tratándose de ETM usados en los que haya expirado el término de la garantía legal, estos podrán ser vendidos sin garantía solo que en este caso el vendedor debe informar tal situación al comprador y el comprador debe aceptarla por escrito, en caso contrario ante el silencio del vendedor se entenderá que el ETM usado tiene garantía de tres (3) meses.
SECCIÓN 4. DISPOSICIONES FINALES
ARTÍCULO 2.8.4.1. DISPOSICIÓN FINAL DE EQUIPOS TERMINALES MÓVILES DECOMISADOS. Los ETM que han sido decomisados por las autoridades policivas, judiciales y aduaneras, y sobre los cuales no se identifique el propietario en un plazo máximo de seis (6) meses para proceder a su devolución, no podrán ser utilizados en la operación del servicio móvil prestado por los PRSTM, así como tampoco sus partes podrán ser utilizadas en la prestación de servicios de soporte técnico.
Para la destinación final de dichos equipos, las autoridades policivas, judiciales y aduaneras deberán proceder de acuerdo con la política ambiental prevista en la Ley 1672 de 2013 y demás normas nacionales y supranacionales relativas a la protección del medio ambiente y el adecuado manejo de los residuos eléctricos y electrónicos.
(Resolución CRC 4584 de 2014, artículo 16)
ARTÍCULO 2.8.4.2. SANCIONES. <Artículo derogado por el artículo 80 de la Resolución 5586 de 2019>
CAPÍTULO 9. NEUTRALIDAD EN INTERNET
ARTÍCULO 2.9.1.1. ÁMBITO DE APLICACIÓN. El presente CAPÍTULO aplica a los proveedores de redes y servicios de telecomunicaciones que prestan el servicio de acceso a Internet, y a otros proveedores o usuarios que hagan uso de dicho acceso, de acuerdo con lo dispuesto en el artículo 56 de la Ley 1450 de 2011 y la Ley 1341 de 2009.
(Resolución CRC 3502 de 2011, artículo 1)
ARTÍCULO 2.9.1.2. OBJETO. El CAPÍTULO 9 del TÍTULO II define los términos y condiciones que deberán cumplir los proveedores de redes y servicios de telecomunicaciones que prestan el servicio de acceso a Internet relativas a la Neutralidad en Internet, en cumplimiento de lo establecido en el artículo 56 de la Ley 1450 de 2011.
(Resolución CRC 3502 de 2011, artículo 2)
2.9.1.3.1. LIBRE ELECCIÓN. El usuario podrá libremente utilizar, enviar, recibir u ofrecer cualquier contenido, aplicación o servicio a través de Internet, salvo en los casos en que por disposición legal u orden judicial estén prohibidos o su uso se encuentre restringido.
Adicionalmente, el usuario podrá libremente utilizar cualquier clase de instrumentos, dispositivos o aparatos en la red, siempre que sean legales y que los mismos no dañen o perjudiquen la seguridad de la red o la calidad del servicio.
2.9.1.3.2. NO DISCRIMINACIÓN. En todo momento, los proveedores de redes y servicios de telecomunicaciones que prestan el servicio de acceso a Internet brindarán un trato igualitario a los contenidos, aplicaciones y servicios, sin ningún tipo de discriminación arbitraria, en especial en razón al origen o propiedad de los mismos. En todo caso, conforme lo previsto en el artículo 56 de la Ley 1450 de 2011, los proveedores de redes y servicios de telecomunicaciones que prestan el servicio de acceso a Internet podrán hacer ofertas según las necesidades de los segmentos de mercado o de sus usuarios de acuerdo con sus perfiles de uso y consumo, lo cual no se entenderá como discriminación.
2.9.1.3.3. TRANSPARENCIA. Los proveedores de redes y servicios de telecomunicaciones que prestan el servicio de acceso a Internet deben revelar sus políticas de gestión de tráfico a los usuarios y a otros proveedores que tengan acceso a su red.
2.9.1.3.4. INFORMACIÓN. Los proveedores de redes y servicios de telecomunicaciones que prestan el servicio de acceso a Internet deben suministrar al usuario toda la información asociada a las condiciones de prestación del servicio incluida velocidad, calidad, prácticas de gestión de tráfico relativas a cada plan ofrecido o acordado, en los términos dispuestos en el CAPÍTULO 1 del TÍTULO II.
(Resolución CRC 3502 de 2011, artículo 3)
ARTÍCULO 2.9.2.1. INDICADORES DE CALIDAD DEL SERVICIO DE ACCESO A INTERNET. <Artículo derogado por el artículo 137 de la Resolución 7811 de 2025>
ARTÍCULO 2.9.2.2. BLOQUEO DE CONTENIDOS. Los proveedores de redes y servicios de telecomunicaciones que prestan el servicio de acceso a Internet no podrán bloquear, interferir, discriminar, ni restringir el derecho del usuario para utilizar, enviar, recibir u ofrecer cualquier contenido, aplicación o servicio a través de Internet, sin el consentimiento expreso del usuario.
Los proveedores de redes y servicios de telecomunicaciones que prestan el servicio de acceso a Internet deben poner a disposición de sus usuarios servicios de controles parentales para el bloqueo de contenidos e informar en todo momento al usuario, previa celebración del contrato y durante su ejecución, de manera suficiente, clara y precisa, las características de dichos servicios y los mecanismos para que el usuario haga uso de los mismos.
(Resolución CRC 3502 de 2011, artículo 5)
ARTÍCULO 2.9.2.3. SEGURIDAD DE LA RED. Los proveedores de redes y servicios de telecomunicaciones que prestan el servicio de acceso a Internet deben informar al usuario, en todo momento, previa celebración del contrato y durante su ejecución, los riesgos relativos a la seguridad de la red en cuanto al servicio de acceso a Internet contratado y las acciones que debe adelantar el usuario para preservar la seguridad de la red.
Los proveedores de redes y servicios de telecomunicaciones que prestan el servicio de acceso a Internet deberán utilizar los recursos técnicos y logísticos tendientes a garantizar y preservar la seguridad de la red, la inviolabilidad de las comunicaciones, la protección contra virus y la integridad del servicio, utilizando las herramientas tecnológicas disponibles y modelos de seguridad, de acuerdo con las características y necesidades propias de su red de acceso, de conformidad con lo definido por la UIT en las recomendaciones de la serie X.800, en relación con la autenticación, acceso, no repudio, confidencialidad de datos, integridad de datos y disponibilidad, lo anterior en los términos previstos en el ARTÍCULO 5.1.2.3 del CAPÍTULO I del TÍTULO V o aquella norma que la modifique, adicione o sustituya.
Los proveedores de redes y servicios de telecomunicaciones que prestan el servicio de acceso a Internet a través de redes móviles deberán implementar modelos de seguridad que eviten el acceso no autorizado, la interrupción, el repudio o la interferencia deliberada de la comunicación, utilizando modelos cifrados, firmas digitales y controles de acceso descritos en las recomendaciones UIT X.1121 y X.1122, en los términos del ARTÍCULO 5.1.2.3 del CAPÍTULO I del TÍTULO V o aquella norma que la modifique, adicione o sustituya.
(Resolución CRC 3502 de 2011, artículo 6)
ARTÍCULO 2.9.2.4. PRÁCTICAS DE GESTIÓN DE TRÁFICO. <Artículo subrogado por el artículo 1 de la Resolución 5969 de 2020. El nuevo texto es el siguiente:> Los proveedores de redes y servicios de telecomunicaciones que prestan el servicio de acceso a Internet podrán implementar medidas de gestión de tráfico que sean razonables y no discriminatorias respecto de algún proveedor, servicio, contenido o protocolo específico.
Las prácticas de gestión de tráfico se considerarán razonables cuando estén destinadas a:
2.9.2.4.1. Reducir o mitigar los efectos de la congestión sobre la red;
2.9.2.4.2. Asegurar la seguridad e integridad de las redes;
2.9.2.4.3. Asegurar la calidad del servicio a los usuarios;
2.9.2.4.4. Priorizar tipos o clases genéricas de tráfico en función de los requisitos de calidad de servicio (QoS) propias de dicho tráfico, tales como latencia y retardo de los mismos.
2.9.2.4.5. Proporcionar servicios o capacidades de acuerdo con la elección de los usuarios, que atiendan los requisitos técnicos, estándares o mejores prácticas adoptadas por iniciativas de gobernanza de Internet u organizaciones de estandarización.
En todo caso, los proveedores del servicio de acceso a Internet deben aplicar únicamente prácticas de gestión de red que cumplan con lo previsto en la recomendación UIT-T X.700 y aquéllas que la complementen, modifiquen o sustituyan.
<Ver Notas del Editor> Los proveedores de redes y servicios de acceso a Internet durante la ocurrencia de pandemias declaradas por la Organización Mundial de la Salud con incidencia en Colombia, en los términos de lo previsto en el parágrafo segundo del artículo 56 de la Ley 1450 de 2011, adicionado por el Decreto 555 de 2020, concordado con el Decreto 417 de 2020, podrán priorizar el tráfico, para garantizar el acceso del usuario a contenidos o aplicaciones relacionados con los servicios de salud, las páginas gubernamentales y el sector público, el desarrollo de actividades laborales, de educación y el ejercicio de derechos fundamentales, con arreglo a lo dispuesto en el el ANEXO 2.9 DEL TÍTULO DE ANEXOS DE LA RESOLUCIÓN CRC 5050 DE 2016.
ARTÍCULO 2.9.2.5. PRIORIZACION DE TRÁFICO. Los proveedores de redes y servicios de telecomunicaciones que prestan el servicio de acceso a Internet no pueden llevar a cabo conductas de priorización, degradación o bloqueo que contravengan lo previsto en el CAPÍTULO 9 del TÍTULO II.
(Resolución CRC 3502 de 2011, artículo 8)
SECCIÓN 3. INFORMACIÓN A USUARIOS
ARTÍCULO 2.9.3.1. PLANES DE ACCESO A INTERNET. En cumplimiento de los principios establecidos en el ARTÍCULO 2.9.1.3 del TÍTULO II, los proveedores de redes y servicios de telecomunicaciones podrán ofrecer planes de acceso a Internet donde se limite el acceso a tipos genéricos de servicios, contenidos o aplicaciones, según las necesidades de los segmentos de mercado o de sus usuarios de acuerdo con sus perfiles de uso y consumo, garantizando en todo momento el derecho del usuario a elegir al proveedor específico del contenido, aplicación o servicio.
En todo caso, los proveedores de redes y servicios de telecomunicaciones deberán siempre poner a disposición de sus usuarios, una alternativa o plan tarifario que no contemple limitación alguna respecto de los servicios, contenidos o aplicaciones a los cuales puede acceder el usuario. En esta medida, dicha alternativa deberá ofrecer condiciones equivalentes en todos los demás aspectos al plan con limitaciones respecto del tipo de contenidos, aplicaciones o servicios a los cuales puede acceder el usuario.
(Resolución CRC 3502 de 2011, artículo 9)
CAPÍTULO 10. CONSUMO BÁSICO DE SUBSISTENCIA
ARTÍCULO 2.10.1.1. ÁMBITO DE APLICACIÓN. <Artículo derogado por el artículo 80 de la Resolución 5586 de 2019>
ARTÍCULO 2.10.1.2. CONSUMO BÁSICO DE SUBSISTENCIA. <Artículo derogado por el artículo 80 de la Resolución 5586 de 2019>
--------------------------------------------------------------------------------
[1] Período comprendido entre las 8:00:00 a.m. y las 4:00:00 p.m de los días lunes a viernes sin incluir festivos.
[2] Departamento, ciudad o municipio según la codificación del DANE y la dirección aproximada.
[3] 3GPP TS 23.003 V13.2.0 (2015-06)
MERCADOS RELEVANTES.
<Título modificado por el artículo 64 de la Resolución 7811 de 2025>
CRITERIOS Y CONDICIONES PARA DETERMINAR MERCADOS RELEVANTES, MERCADOS RELEVANTES SUSCEPTIBLES DE REGULACIÓN EX ANTE Y LA EXISTENCIA DE POSICIÓN DOMINANTE EN DICHOS MERCADOS.
PRINCIPIOS GENERALES.
ARTÍCULO 3.1.1.1. OBJETO. <Artículo modificado por el artículo 64 de la Resolución 7811 de 2025. El nuevo texto es el siguiente:> El Capítulo 1 del Título III establece las condiciones, metodologías y criterios para llevar a cabo lo siguiente:
a) La definición de los mercados relevantes de los servicios postales y servicios de telecomunicaciones, incluidos los servicios de televisión abierta radiodifundida y de radiodifusión sonora.
b) La identificación de las condiciones de competencia de los mercados relevantes definidos;
c) La determinación de la existencia de posición dominante dichos mercados; y,
d) La determinación de las medidas regulatorias aplicables a estos mercados relevantes, las cuales deberán fundamentarse en el análisis de las condiciones de competencia de tales mercados.
ARTÍCULO 3.1.1.2. ÁMBITO DE APLICACIÓN. <Artículo modificado por el artículo 64 de la Resolución 7811 de 2025. El nuevo texto es el siguiente:> El Capítulo 1 del Título III se aplica a todos los servicios respecto de los cuales la CRC ejerce sus competencias regulatorias, de conformidad con lo establecido en la Constitución y la Ley.
ARTÍCULO 3.1.1.3. PRINCIPIOS DE LA REGULACIÓN POR MERCADOS RELEVANTES. <Artículo modificado por el artículo 64 de la Resolución 7811 de 2025. El nuevo texto es el siguiente:> El propósito fundamental de la regulación por mercados relevantes expedida por la CRC es promover la competencia, proteger los derechos de los usuarios, fomentar la inversión y garantizar la prestación eficiente y continua de los servicios, tanto en términos de calidad como de cobertura. Todo esto se realiza con el objetivo de mejorar el bienestar social y la calidad de vida de los habitantes del territorio nacional. En este sentido, las medidas deben ser temporales y proporcionales al nivel de competencia que se logre alcanzar.
CRITERIOS Y CONDICIONES PARA DETERMINAR MERCADOS RELEVANTES.
ARTÍCULO 3.1.2.1. ANÁLISIS DE SUSTITUIBILIDAD. <Artículo modificado por el artículo 64 de la Resolución 7811 de 2025. El nuevo texto es el siguiente:> Para llevar a cabo la definición de mercados relevantes, la CRC realizará un análisis de sustituibilidad de la demanda. Este análisis se basará en evidencia, tanto cuantitativa como también cualitativa, y en él se evaluará la reacción de los consumidores ante variaciones en los precios o cambios en las características de los productos o servicios, la entrada de nuevos oferentes, la oferta de nuevos productos o servicios o cambios en la calidad con la que se proveen.
Dentro de la evidencia mencionada se podrán incluir estudios sobre las características y usos de los productos o servicios, la estimación de funciones de demanda, el análisis de la relación estadística entre los precios, la consolidación de resultados de encuestas, el análisis de información cualitativa o histórica sobre el comportamiento de prestadores del servicio y usuarios, así como también la estimación de los costos asociados al cambio en la demanda de los usuarios (switching costs), entre otros y según corresponda.
Por otra parte, la CRC podrá llevar a cabo análisis de sustituibilidad de la oferta en el proceso de definición de mercados relevantes siempre que sea metodológicamente correcto y permita la adecuada especificación de las dimensiones producto y geográfica del mercado relevante correspondiente.
ARTÍCULO 3.1.2.2. IDENTIFICACIÓN DE LOS MERCADOS RELEVANTES. <Artículo modificado por el artículo 64 de la Resolución 7811 de 2025. El nuevo texto es el siguiente:> Con base en el análisis descrito en el artículo anterior, la CRC procederá a definir los mercados relevantes, tanto minoristas como también mayoristas, con el fin de determinar los servicios que los componen.
Para lo anterior, la CRC podrá utilizar la prueba del monopolista hipotético, siempre que sea metodológicamente adecuado y viable según la información disponible.
En el caso de que un mercado relevante sea de dos o más lados, en el proceso de definición de este mercado, la CRC verificará la existencia de las externalidades de red propias de dicha estructura de mercado, siempre que la disponibilidad de información lo permita.
Por su parte, el límite geográfico de los mercados relevantes se definirá en función de la homogeneidad de la competencia a lo largo de un territorio, donde la distribución de los consumidores dentro de este será el primer indicio, tanto cualitativo como cuantitativo, de dicho límite geográfico.
ARTÍCULO 3.1.2.3. CRITERIOS PARA DETERMINAR MERCADOS RELEVANTES SUSCEPTIBLES DE REGULACIÓN EX ANTE. <Artículo modificado por el artículo 64 de la Resolución 7811 de 2025. El nuevo texto es el siguiente:> Para determinar los mercados relevantes susceptibles de regulación ex ante, se analizará lo siguiente:
a) Condiciones actuales de competencia en el mercado relevante. Con el fin de caracterizar el nivel de competencia en el mercado relevante, la CRC estudiará las cuotas de mercado, la concentración, las economías de escala, las economías de alcance, así como las barreras de entrada y salida, ya sean técnicas, económicas o normativas, según corresponda. Adicionalmente, la CRC analizará el ámbito geográfico para agrupar los municipios que tienen condiciones de competencia comunes. En caso de evidenciarse la existencia de fallas de mercado a nivel minorista, la CRC incluirá en el análisis el comportamiento de los mercados de insumos (mayoristas) dentro de la cadena de valor del mercado relevante que está siendo analizado.
En caso de que el mercado relevante respectivo haga parte de una estructura caracterizada por la presencia de dos o más lados, el análisis de las condiciones actuales de competencia por parte de la CRC podrá incluir elementos como: la existencia de externalidades de red indirectas que conectan las demandas de los diferentes lados del mercado, la estructura de precios establecida en cada uno de los lados que lo conforman, las interacciones de los grupos de usuarios de cada lado del mercado y los costos asociados al cambio en la demanda de los consumidores (switching costs).
b) Competencia potencial en el corto y mediano plazo. Dada la rápida evolución tecnológica y la expansión de coberturas en los mercados relevantes, la CRC adelantará un estudio desde la perspectiva de la sustituibilidad de la oferta y competencia potencial con el propósito de identificar si se espera que se intensifique la competencia en el mercado relevante. Para efectos de lo anterior, se analizará si existen productos o servicios diferentes a la provisión de redes y servicios de telecomunicaciones y postales que pudieran tener influencia o incidencia en los mercados identificados como relevantes. En los mercados de dos o más lados, el análisis involucrará todos los lados del mercado.
c) Efectividad de la aplicación del derecho de competencia. La CRC estudiará la efectividad de la aplicación del derecho de competencia para corregir fallas de mercado mediante regulación ex post en el mercado relevante analizado.
ARTÍCULO 3.1.2.4. LISTA DE MERCADOS RELEVANTES. <Artículo modificado por el artículo 64 de la Resolución 7811 de 2025. El nuevo texto es el siguiente:> En el Anexo 3.1. y Anexo 3.3. del Título de Anexos se relacionan los mercados relevantes de telecomunicaciones y postal, respectivamente, identificados por la CRC.
ARTÍCULO 3.1.2.5. MERCADOS RELEVANTES SUSCEPTIBLES DE REGULACIÓN EX ANTE. <Artículo modificado por el artículo 64 de la Resolución 7811 de 2025. El nuevo texto es el siguiente:> La CRC, con base en la verificación del cumplimiento simultáneo de los tres criterios descritos en el artículo 3.1.2.3. de la presente resolución determinará los mercados relevantes susceptibles de regulación ex ante, partiendo de los mercados relacionados en artículo 3.1.2.4. de la presente resolución.
PARÁGRAFO 1o. En el Anexo 3.2. y Anexo 3.4. del Título de Anexos se relacionan los mercados relevantes susceptibles de regulación ex ante de telecomunicaciones y postal, respectivamente, identificados por la CRC.
PARÁGRAFO 2o. En un período no inferior a dos años, la CRC revisará las condiciones de competencia en los mercados susceptibles de regulación ex ante. Los operadores interesados podrán solicitar esta revisión antes de que se cumpla dicho periodo, siempre que demuestren de manera fundada y razonable ante la CRC la necesidad de realizarla.
Para tal efecto, el operador interesado deberá adjuntar a su solicitud un sustento técnico y económico, aportando evidencia que permita a la CRC determinar si el problema previamente identificado ha sido corregido.
CRITERIOS PARA LA DEFINICIÓN DE POSICIÓN DOMINANTE EN MERCADOS RELEVANTES SUJETOS A REGULACIÓN EX ANTE.
ARTÍCULO 3.1.3.1. OPERADORES CON POSICIÓN DOMINANTE. <Artículo modificado por el artículo 64 de la Resolución 7811 de 2025. El nuevo texto es el siguiente:> Para identificar a los operadores que ostentan posición dominante en un mercado relevante susceptible de regulación ex ante, la CRC realizará un análisis de competencia en el cual se tenga en cuenta, entre otros criterios, los indicadores de concentración y de participación de los operadores en el mercado, así como un análisis prospectivo de la evolución del mercado.
USO E INTERCONEXIÓN DE REDES DE TELECOMUNICACIONES
RÉGIMEN DE ACCESO, USO E INTERCONEXIÓN
DISPOSICIONES GENERALES
ARTÍCULO 4.1.1.1. ÁMBITO DE APLICACIÓN. El CAPÍTULO 1 del TÍTULO IV aplica a los proveedores de redes y servicios de telecomunicaciones y a aquellos proveedores que hacen uso de dichas redes ya sea a través del acceso y/o la interconexión, para prestar servicios de conformidad con lo dispuesto en la Ley 1341 de 2009.
Las disposiciones del presente capítulo no se aplicarán a las redes de telecomunicaciones que no se utilicen para suministrar servicios al público.
(Resolución CRC 3101 de 2011, artículo 1)
ARTÍCULO 4.1.1.2. OBJETO. El CAPÍTULO 1 del TÍTULO IV tiene por objeto desarrollar el régimen de acceso, uso e interconexión de las redes de telecomunicaciones en un ambiente de convergencia tecnológica.
(Resolución CRC 3101 de 2011, artículo 2)
ARTÍCULO 4.1.1.3. PRINCIPIOS Y OBLIGACIONES DEL ACCESO Y DE LA INTERCONEXIÓN. El acceso y la interconexión de las redes de los proveedores de redes y servicios de telecomunicaciones se regirán conforme a los siguientes principios y obligaciones:
4.1.1.3.1. Libre y leal competencia: El acceso y la interconexión deberán propiciar escenarios de libre y leal competencia que incentiven la inversión actual y futura en el sector de TIC y que permitan la concurrencia al mercado, con observancia del régimen de competencia, bajo precios de mercado y en condiciones de igualdad.
4.1.1.3.2. Trato no discriminatorio con Acceso Igual - Cargo Igual. Los proveedores de redes y servicios de telecomunicaciones deberán dar igual trato a todos los proveedores y no podrán otorgar condiciones menos favorables que las que se otorgan a sí mismos o a algún otro proveedor. Las condiciones de acceso e interconexión no deben ser menos favorables que las que utilice para sí mismo dicho proveedor o a las ofrecidas a otros proveedores que se encuentren en las mismas circunstancias técnicas de acceso e interconexión y a las que otorgan a empresas matrices, subordinadas, subordinadas de las matrices o empresas en las que sea socio el proveedor correspondiente o a las que utilice para sí mismo dicho proveedor.
Los proveedores de redes y servicios de telecomunicaciones deberán otorgar iguales ó similares condiciones de remuneración de su red, cuando de por medio se presentan condiciones de acceso e interconexión similares.
4.1.1.3.3. Remuneración orientada a costos eficientes. La remuneración por el acceso y/o la interconexión a las redes de los proveedores de redes y servicios de telecomunicaciones debe estar orientada a costos eficientes. Se entiende por costos eficientes como aquellos costos incurridos en el proceso de producción de un bien o servicio de telecomunicaciones que correspondan a una situación de competencia y que incluya todos los costos de oportunidad del proveedor de redes y servicios de telecomunicaciones, lo cual implica la obtención de una utilidad razonable.
4.1.1.3.4. Separación de costos por elementos de red. Los costos para la provisión de los elementos, funciones y servicios necesarios para efectuar el acceso y/o la interconexión, deben estar separados en forma suficiente y adecuada, de tal manera que los proveedores involucrados en la relación de acceso y/o interconexión no deban pagar por elementos o instalaciones de la red que no necesiten para la prestación de sus servicios, lo anterior con el fin de garantizar la transparencia en la remuneración por el acceso y/o la interconexión.
4.1.1.3.5. Publicidad y Transparencia. Los proveedores deben suministrar la información técnica, operativa y de costos asociados, que requieran los demás proveedores con motivo de la relación de acceso y/o de interconexión.
4.1.1.3.6. Buena Fe. Los proveedores tienen el derecho y la correspondiente obligación de adelantar de buena fe la celebración y ejecución de los acuerdos referidos al acceso y a la interconexión a redes de otros proveedores.
Se tendrá como indicio en contra de la buena fe, la demora injustificada y la obstrucción de las negociaciones tendientes a lograr acuerdos de acceso y/o interconexión, así como el entorpecimiento, por acción o por omisión, de su celebración, de su ejecución, de la aplicación de actos de fijación de condiciones de acceso, uso e interconexión, de servidumbres de interconexión, así como de los otros actos expedidos por la CRC que determinen la interoperabilidad de plataformas, servicios y/o aplicaciones, y el interfuncionamiento de redes.
4.1.1.3.7. Eficiencia. Los proveedores de redes y servicios de telecomunicaciones deben proveer el acceso y la interconexión a otros proveedores en condiciones eficientes en términos de oportunidad, recursos, especificaciones técnicas, entre otros.
4.1.1.3.8. Neutralidad tecnológica. Los proveedores podrán utilizar cualquier tecnología que elijan para la prestación de sus servicios, siempre que se preserve la interoperabilidad de plataformas, servicios y/o aplicaciones y el interfuncionamiento de redes.
4.1.1.3.9. No restricción. Los proveedores de redes y servicios de telecomunicaciones se abstendrán de imponer restricciones a cualquier servicio de telecomunicaciones, aplicación o contenido de otros proveedores, salvo en aquellos casos que por disposición legal, reglamentaria, o regulatoria éstos estén prohibidos o restringidos.
(Resolución CRC 3101 de 2011, artículo 4)
RÉGIMEN DE INTERCONEXIÓN. GENERALIDADES
ARTÍCULO 4.1.2.1. OBJETO DE LA INTERCONEXIÓN. La interconexión tiene por objeto hacer posible el ejercicio del derecho de los usuarios de redes y servicios de telecomunicaciones a comunicarse con otros usuarios, ya sea de Colombia o del exterior, así como a disfrutar de las facilidades y servicios de la red sobre la cual se prestan, sin distinción del proveedor de redes y servicios de telecomunicaciones, de conformidad con la ley y la regulación.
La CRC podrá de oficio o a solicitud de parte, adelantar las actividades necesarias para garantizar este derecho.
(Resolución CRC 3101 de 2011, artículo 5)
ARTÍCULO 4.1.2.2. DERECHO Y DEBER DE LA INTERCONEXIÓN. Todos los proveedores de redes y servicios de telecomunicaciones tienen el derecho a solicitar y a que se les otorgue interconexión a las redes de otros proveedores de redes y servicios de telecomunicaciones requerida para el interfuncionamiento de redes y la interoperabilidad de plataformas, servicios y/o aplicaciones.
La solicitud de interconexión debe ser adecuada a las necesidades de tráfico y a las características de los servicios que se pretende prestar, de manera que no se cause un agravio injustificado al proveedor de redes y servicios de telecomunicaciones que debe proporcionarla.
Los proveedores de redes y servicios de telecomunicaciones tienen derecho a recuperar los costos eficientes en los que incurran por el uso de su infraestructura y por la prestación de servicios a otros proveedores con motivo de la interconexión, de conformidad con lo previsto en la regulación vigente.
(Resolución CRC 3101 de 2011, artículo 6)
ARTÍCULO 4.1.2.3. OBLIGACIÓN DE PERMITIR LA INTERCONEXIÓN. Los proveedores de redes y servicios de telecomunicaciones están obligados a permitir la interconexión, ya sea directa o indirecta, a otro proveedor de redes y servicios de telecomunicaciones que se lo solicite de acuerdo con lo dispuesto en este capítulo. En ningún caso, los proveedores de redes y servicios de telecomunicaciones podrán exigir para la interconexión, requisitos adicionales a los establecidos en CAPÍTULO 1 del TÍTULO IV.
La garantía de interconexión de las redes, conlleva el deber de los proveedores de redes y servicios de telecomunicaciones de mantener disponible una capacidad de los recursos requeridos para la interconexión que sea suficiente para cumplir con esta obligación, de conformidad con los requisitos definidos en el ARTÍCULO 4.1.3.2 del CAPÍTULO 1 del TÍTULO IV.
Los proveedores de redes y servicios de telecomunicaciones entrantes serán los responsables de solicitar la interconexión a las redes ya establecidas de otros proveedores de redes y servicios de telecomunicaciones.
(Resolución CRC 3101 de 2011, artículo 7)
ARTÍCULO 4.1.2.4. COSTOS DE INTERCONEXION. <Artículo subrogado por el artículo 6 de la Resolución 6522 de 2022. El nuevo texto es el siguiente:> Los proveedores de redes y servicios de telecomunicaciones podrán negociar libremente los costos de interconexión entre sus nodos. Cada proveedor de redes y servicios de telecomunicaciones deberá asumir el valor de los costos necesarios al interior de su red para garantizar la interconexión e interoperabilidad de plataformas, servicios o aplicaciones.
En la relación de interconexión directa, a falta de acuerdo, los costos de interconexión asociados a los medios y enlaces de transmisión de ámbito local entre los nodos de estos proveedores se distribuirán de la siguiente manera:
a. Cuando la interconexión involucre rutas con enlaces unidireccionales, cada proveedor será responsable por la totalidad de los costos asociados a los enlaces que utilice para gestionar el tráfico originado en su propia red.
b.Cuando la configuración de la interconexión involucre enlaces bidireccionales, los proveedores interconectados asumirán estos costos de manera conjunta y en partes iguales.
Los demás costos deberán ser asumidos por el proveedor que solicita la interconexión. Dichos costos corresponderán a la oferta económica más baja presentada por cualquiera de las partes, atendiendo en todo momento a criterios de eficiencia técnica y económica.
Sin perjuicio de lo anterior, en el caso de requerirse elementos de red tales como pasarelas de medios o de señalización, según se requiera, a efectos de garantizar la interoperabilidad en la interconexión, cualquiera de las partes podrá proveerlos y podrá exigir de la otra parte, la compartición de los costos por la utilización de dichos elementos en la interconexión.
ARTÍCULO 4.1.2.5. INTERCONEXIÓN INDIRECTA. En la interconexión indirecta, los proveedores de redes y servicios de telecomunicaciones deben observar las siguientes reglas:
4.1.2.5.1. Cada proveedor de redes y servicios de telecomunicaciones involucrado en la interconexión indirecta, es responsable por la calidad y grado de servicio de su red, según lo establecido por la regulación.
4.1.2.5.2. El proveedor de redes y servicios de telecomunicaciones que servirá de tránsito será seleccionado por el proveedor de redes y servicios de telecomunicaciones que solicita la interconexión, a este último en todos los casos corresponde remunerar el uso de la red del proveedor de redes y servicios de telecomunicaciones de tránsito en virtud del transporte del tráfico y demás cargos que asume, derivados de la interconexión indirecta. La única condición para actuar como proveedor de redes y servicios de telecomunicaciones de tránsito, es tener una interconexión directa con el proveedor de redes y servicios de telecomunicaciones que solicita la interconexión y tener operativa la interconexión hacia la red del proveedor de redes y servicios de telecomunicaciones de quien se requiere la interconexión.
4.1.2.5.3. La solicitud de interconexión indirecta ante el proveedor de redes y servicios de telecomunicaciones con el que se pretende interconectar el proveedor de redes y servicios de telecomunicaciones que solicita la interconexión, la presentará éste o el proveedor de redes y servicios de telecomunicaciones de tránsito seleccionado por aquél. En la solicitud se deberá informar el tipo de tráfico que se cursará así como las demás condiciones, requerimientos técnicos y adecuaciones que sean necesarios para cursar el tráfico del proveedor de redes y servicios de telecomunicaciones que solicita la interconexión.
Cuando la solicitud la presente el proveedor de redes y servicios de telecomunicaciones de tránsito, éste deberá manifestar la existencia de una relación de interconexión con el proveedor de redes y servicios de telecomunicaciones que requiere la interconexión indirecta así como su calidad de proveedor de redes y servicios de telecomunicaciones de tránsito seleccionado para los fines de dicha interconexión.
En caso que la solicitud sea presentada por el proveedor de redes y servicios de telecomunicaciones que solicita la interconexión, éste deberá manifestar la existencia de una relación de interconexión con el proveedor de redes y servicios de telecomunicaciones de tránsito y la aceptación de éste de obrar como tal.
4.1.2.5.4. El proveedor de redes y servicios de telecomunicaciones respecto del cual se solicita la interconexión indirecta, podrá exigir al proveedor de redes y servicios de telecomunicaciones de tránsito la modificación en las condiciones y requerimientos técnicos de la interconexión indirecta que le han sido informadas, cuando demuestre que la interconexión planteada puede llegar a degradar la calidad de la interconexión directa existente con el proveedor de redes y servicios de telecomunicaciones de tránsito, causar daños a su red, a sus operarios o perjudicar los servicios prestados a través de la interconexión.
4.1.2.5.5. El proveedor de redes y servicios de telecomunicaciones que sirve de tránsito es el responsable de pagar al proveedor de redes y servicios de telecomunicaciones de quien se requiere la interconexión todos los cargos de acceso y demás costos asociados con el uso de otras instalaciones que se causen con ocasión de la interconexión indirecta, según las reglas vigentes en materia de remuneración de redes.
4.1.2.5.6. El proveedor de redes y servicios de telecomunicaciones a quien se solicita la interconexión indirecta, deberá hacer extensibles al proveedor de redes y servicios de telecomunicaciones que solicita la interconexión, las condiciones económicas pactadas en materia de facturación, distribución y recaudo y gestión operativa de reclamos con el proveedor de redes y servicios de telecomunicaciones de tránsito. No obstante lo anterior, el proveedor de redes y servicios de telecomunicaciones que solicita la interconexión indirecta se encuentra en libertad de adherirse a dichas condiciones o pactar directamente condiciones particulares.
PARÁGRAFO. La sola provisión de funcionalidades en la capa de transporte entre dos redes no se considera interconexión indirecta, lo cual no impide que un proveedor de servicios de transporte pueda ser elegido a su vez como proveedor de redes y servicios de telecomunicaciones de tránsito.
(Resolución CRC 3101 de 2011, artículo 9)
ARTÍCULO 4.1.2.6. OPOSICIÓN A LA INTERCONEXIÓN. <Artículo modificado por el artículo 65 de la Resolución 7811 de 2025. El nuevo texto es el siguiente:> Los proveedores de redes y servicios de telecomunicaciones sólo podrán negarse u oponerse a otorgar la interconexión solicitada cuando demuestren fundada y razonablemente ante la CRC, en un plazo no mayor de quince (15) días calendario, contados a partir de la respectiva solicitud, que la interconexión causaría alguno de las siguientes consecuencias:
4.1.2.6.1. Daños a la red.
4.1.2.6.2. Perjuicio o riesgo para los operarios.
4.1.2.6.3. Afectaciones a los servicios prestados por el proveedor a quien se solicita la interconexión.
El proveedor de redes y servicios de telecomunicaciones que se niegue a otorgar la interconexión está obligado a presentar, en su argumentación ante la CRC, las alternativas para evitar los daños alegados y los responsables sugeridos para adelantar tales acciones.
En caso de no llegarse a un acuerdo entre las partes afectadas, estas podrán acudir ante la CRC para iniciar un trámite administrativo de solución de controversias sobre los puntos en desacuerdo. Lo resuelto por la CRC será de obligatorio acatamiento por las partes, sin perjuicio de las acciones que puedan iniciarse ante otras autoridades y de las sanciones por incumplimientos regulatorios a que haya lugar.
ARTÍCULO 4.1.2.7. INTERRUPCIÓN DE TRÁFICO EN LA INTERCONEXIÓN. La interrupción de tráfico que se cursa a través de la interconexión con ocasión de la realización de mantenimiento, pruebas y otras circunstancias razonables tendientes a garantizar la calidad del servicio, debe programarse durante los períodos de baja utilización de la red por parte de los usuarios, buscando siempre que el impacto sobre el servicio sea el mínimo y su duración sea la de menor tiempo posible. Las interrupciones programadas, cuya duración estimada sea superior a treinta (30) minutos, requieren autorización del Comité de Comisionados de la CRC y deben ser solicitadas con diez (10) días calendario de antelación por parte del proveedor de redes y servicios de telecomunicaciones que requiera la interrupción. De esta circunstancia deben ser informados los usuarios afectados con tres (3) días calendario de anticipación en los términos previstos en el Régimen de Protección de los Derechos de los Usuarios de los Servicios de Comunicaciones a que hace referencia el CAPÍTULO I DEL TÍTULO II, por parte del proveedor de red que proporciona acceso a dichos usuarios.
Sólo en casos de emergencia, seguridad nacional o caso fortuito, la interconexión puede ser interrumpida sin que medie autorización previa por parte de la CRC, caso en el cual el proveedor de redes y servicios de telecomunicaciones que haya dado lugar a la interrupción, dentro de los tres (3) días calendario siguientes al de la interrupción que se haya producido por cualquiera de estas causas, deberá informar a la CRC sobre el evento acaecido, así como sobre las medidas tomadas para restablecer la interconexión y la fecha prevista para el restablecimiento del servicio.
(Resolución CRC 3101 de 2011, artículo 11)
ARTÍCULO 4.1.2.8. SUSPENSIÓN DE LA INTERCONEXIÓN. <Artículo modificado por el artículo 66 de la Resolución 7811 de 2025. El nuevo texto es el siguiente:> Cuando la interconexión directa o indirecta ocasione grave perjuicio a la red de un proveedor de redes y servicios de telecomunicaciones o no cumpla con los requisitos técnicos de interconexión, el proveedor informará dicha situación a la CRC y podrá solicitarle autorización para la suspensión temporal de la interconexión. La CRC podrá autorizar la suspensión temporal de la interconexión, ordenar las medidas que los proveedores de redes y servicios de telecomunicaciones deben tomar para que esta sea restablecida en las condiciones apropiadas, o autorizar la desconexión definitiva, según sea el caso, conforme lo dispuesto en el artículo 4.1.7.5 del de la presente resolución.
Sólo en casos de emergencia, seguridad nacional o caso fortuito, la interconexión puede ser suspendida sin que medie autorización previa por parte de la CRC. En estos casos, el proveedor que procedió a suspender la interconexión debe informar de ello a la CRC a más tardar el día hábil siguiente al de la suspensión, exponiendo en detalle las razones que le condujeron a tomar la decisión.
ARTÍCULO 4.1.2.9. INCUMPLIMIENTO DEL CRONOGRAMA DE INTERCONEXIÓN. Cuando la interconexión no se encuentre operativa total o parcialmente en los plazos previstos en el cronograma de interconexión, ya sean acordados por las partes o fijados por la CRC mediante acto administrativo y, por lo tanto, se haga imposible entregar el tráfico de interconexión, se debe garantizar el enrutamiento del tráfico, para lo cual se pueden utilizar esquemas alternos tal como se indica en el presente artículo.
Para interconexiones que se encuentren parcialmente operativas, es decir que no se haya culminado su implementación respecto de todos los nodos de interconexión definidos o acordados, el tráfico podrá enrutarse a través de cualquier otra ruta de interconexión existente con el proveedor de redes y servicios de telecomunicaciones que ofrece la interconexión.
Si no se ha logrado la interconexión en ninguno de los nodos, o de ser imposible cursar el tráfico a través de los nodos ya interconectados, podrá enrutarse el tráfico a través de un tercer proveedor de redes y servicios de telecomunicaciones que manifieste su acuerdo para cursar dicho tráfico. Esta situación deberá ser informada a la CRC dentro de las cuarenta y ocho (48) horas siguientes al inicio de dicho enrutamiento.
El proveedor de redes y servicios de telecomunicaciones que incumplió los plazos previstos en el cronograma recibirá únicamente el valor del cargo de acceso a que tendría derecho si se hubiere dado la interconexión y deberá asumir los costos de transporte de la comunicación. En estos casos, el proveedor de redes y servicios de telecomunicaciones afectado, únicamente podrá enrutar el tráfico hasta cuando la interconexión en los nodos acordados por las partes o fijados por la CRC esté operativa.
(Resolución CRC 3101 de 2011, artículo 13)
ARTÍCULO 4.1.2.10. TERMINACIÓN DE LOS ACUERDOS DE INTERCONEXIÓN. <Artículo modificado por el artículo 67 de la Resolución 7811 de 2025. El nuevo texto es el siguiente:> Previa autorización de la CRC, los acuerdos de interconexión podrán terminarse en los siguientes casos:
4.1.2.10.1. Cumplimiento del plazo contractual o de sus prórrogas.
4.1.2.10.2. Extinción de la calidad de proveedor de redes y servicios de telecomunicaciones de cualquiera de las partes.
4.1.2.10.3. Imposibilidad de cualquiera de las partes para continuar ejerciendo su objeto social.
4.1.2.10.4. Incumplimiento de la obligación de transferir los saldos netos provenientes de la remuneración de la interconexión de acuerdo con lo establecido en el Artículo 4.1.7.6 de la presente resolución.
4.1.2.10.5. Mutuo acuerdo entre las partes.
4.1.2.10.6. Daño a la red, perjuicio para los operarios y afectaciones a los servicios prestados por el proveedor otorgante de la interconexión.
En los casos en que la terminación de la relación de acceso o interconexión sea de mutuo acuerdo, los proveedores solamente deberán informar y acreditar dicha circunstancia ante la CRC, junto con las medidas implementadas para minimizar el impacto de la terminación en los usuarios, con una antelación de al menos un (1) mes previo a la fecha en que se acordó cesar los efectos de la relación. En estos casos, con la respuesta mediante la cual la CRC acuse el recibo de la comunicación de los proveedores se entenderá autorizada la terminación, salvo que, en ejercicio de sus funciones, la CRC, de oficio o a solicitud de parte, solicite información adicional sobre la terminación de la relación. En este último caso, no se podrá terminar la relación hasta tanto la CRC la autorice luego de haber recibido la información adicional y siempre que se acredite que la afectación a los usuarios será mínima.
REGIMEN DE INTERCONEXIÓN. ASPECTOS TÉCNICOS GENERALES
ARTÍCULO 4.1.3.1. REGLAS DE INTERCONEXIÓN DE REDES. A efectos de llevar a cabo la interconexión entre las redes de los proveedores de redes y servicios de telecomunicaciones, cada proveedor debe suministrar la interconexión en cualquier punto de la red en que sea técnica y económicamente viable, y no puede exigir que dicha interconexión se lleve a cabo en un número de nodos de interconexión superior al que sea necesario para garantizar la eficiencia y calidad de los servicios involucrados.
Los proveedores de redes y servicios de telecomunicaciones pueden acordar libremente la cantidad de nodos de interconexión, que en todo caso no podrá ser superior al número de nodos de interconexión aprobados en la OBI y debe atender a las necesidades de cada relación de interconexión.
En el caso de redes de cobertura local, cuando el proveedor de quien se requiere la interconexión no cuente con un nodo de interconexión en el ámbito geográfico donde se prestará el servicio, dicho proveedor deberá ofrecer una alternativa de interconexión que no represente cargos por transporte al proveedor que solicita la interconexión.
(Resolución CRC 3101 de 2011, artículo 15)
ARTÍCULO 4.1.3.2. CARACTERÍSTICAS DE LOS NODOS DE INTERCONEXIÓN. <Artículo modificado por el artículo 44 de la Resolución 5586 de 2019. El nuevo texto es el siguiente:> Los nodos de interconexión deben estar relacionados en la OBI que se encuentre aprobada por la CRC y deben corresponder a nodos de conmutación digital con las siguientes características:
4.1.3.2.1. Deben tener la capacidad requerida para cursar el tráfico de interconexión con otras redes, así como contar en todo momento con la capacidad de ampliación para soportar los crecimientos de tráfico que se presenten. Para tales efectos, la capacidad de cada nodo debe responder a la proyección mensual de la variación de tráfico según los datos del último año de todas las interconexiones operativas en dicho nodo. En el caso de nuevos nodos de interconexión, la capacidad mínima para el primer año será el 10% de la capacidad inicial instalada y luego aplicará la regla anterior.
4.1.3.2.2. Deben tener los recursos técnicos necesarios para llevar registros detallados del tráfico entrante y saliente, así como para supervisar la calidad y gestión de servicio al nivel de rutas de interconexión.
4.1.3.2.3. Deben cumplir con las especificaciones técnicas definidas por la CRC respecto de la interconexión.
4.1.3.2.4. Deben tener esquemas de redundancia que minimicen la probabilidad de fallas absolutas de servicio, y que garanticen un tiempo medio entre fallas (MTBF) mayor a 61.320 horas y una disponibilidad mayor a 99,95%.
4.1.3.2.5. <Numeral modificado por el artículo 7 de la Resolución 6522 de 2022. El nuevo texto es el siguiente:> Deben soportar el establecimiento de comunicaciones empleando múltiples protocolos de la UIT y los organismos internacionales que expresamente establezca la regulación. De manera particular, deben tener como mínimo la capacidad para manejar todos los protocolos de señalización definidos en el artículo 4.1.3.6. de la presente resolución. Lo dispuesto en este numeral será exigible para el registro de nuevos nodos de interconexión.
ARTÍCULO 4.1.3.3. DEFINICIÓN DE NÚMERO DE NODOS DE INTERCONEXIÓN. <Artículo modificado por el artículo 8 de la Resolución 6522 de 2022. El nuevo texto es el siguiente:> Para la aprobación del número de nodos de interconexión por parte de la CRC, cada proveedor de redes y servicios de telecomunicaciones deberá entregar al momento del registro de la OBI, información técnica que permita la verificación del número de nodos presentado, incluyendo al menos, características técnicas de cada nodo, distribución de tráfico on-net y off-net por nodo y tráfico promedio por usuario, entre otros.
Para el registro de nodos no se aceptará la definición de más de un nodo de interconexión en una misma dirección. La existencia de múltiples equipos de conmutación en una misma dirección se entenderá como un único nodo de interconexión.
Cualquier nodo de los aprobados en la OBI deberá estar en capacidad de soportar interconexiones dentro del ámbito de cobertura del proveedor de redes y servicios de telecomunicaciones. Para efectos de su aprobación, no será posible segmentar la red en áreas de cobertura.
En el acto administrativo de aprobación de OBI, la CRC podrá determinar un número inferior de nodos de interconexión a los presentados por el proveedor de redes y servicios de telecomunicaciones, de acuerdo con el análisis de la información presentada y los criterios definidos en el CAPÍTULO 1 del TÍTULO IV, particularmente en el ANEXO 4.1 del TÍTULO DE ANEXOS.
ARTÍCULO 4.1.3.4. ENRUTAMIENTO ALTERNATIVO Y DESBORDE. En la interconexión se deben prever la existencia de rutas alternativas y procedimientos que permitan asegurar que el enrutamiento de la comunicación se realiza bajo criterios de eficiencia.
En redes de conmutación de circuitos, el orden de selección de las rutas alternativas se debe basar en los criterios técnico económicos más eficientes y no puede encaminarse una comunicación por un nodo de tránsito ya atravesado, siguiendo los lineamientos de la recomendación UIT-T E.170. Los proveedores podrán habilitar rutas de desborde de acuerdo a las recomendaciones UIT-T E.521 y E.522, según se requiera.
En redes de conmutación de paquetes, las condiciones de enrutamiento alternativo se ceñirán a las disposiciones de la Recomendación UIT-T Y.2201.
(Resolución CRC 3101 de 2011, artículo 18)
ARTÍCULO 4.1.3.5. SEÑALIZACIÓN. <Artículo subrogado por el artículo 9 de la Resolución 6522 de 2022. El nuevo texto es el siguiente:> Los proveedores de redes y servicios de telecomunicaciones podrán negociar libremente el protocolo de señalización que se utilice en la interconexión, siempre y cuando el mismo esteí basado en un estándar internacional así como en las especificaciones nacionales cuando estas existan que garanticen el interfuncionamiento de las redes y la interoperabilidad de plataformas, servicios o aplicaciones.
El diseño de la red de señalización en la interconexión, en particular su dimensionamiento y topología, deberáí realizarse con base en criterios de confiabilidad y seguridad. Siempre que sea posible deberáí establecerse redundancia en los enlaces que manejen señalización.
Cada proveedor de redes y servicios de telecomunicaciones debe poner a disposición de otros proveedores de redes y servicios cuando menos las opciones de señalización que utilice o haya ofrecido o puesto a disposición de otros proveedores de redes y servicios ya interconectados, así como las opciones de señalización que utilice al interior de su propia red, en este último supuesto, cuando se refiera a los protocolos establecidos en el artículo 4.1.3.6. de la presente resolución.
En caso de que existan diferencias, entre la versión del protocolo SIP que es utilizada por el proveedor de redes y servicios de telecomunicaciones solicitante y la versión que es utilizada por el proveedor de redes y servicios de telecomunicaciones que pone a disposición sus recursos de señalización, tales que para garantizar la interoperabilidad o el interfuncionamiento de la interconexión, requieran del uso de elementos de red como pasarelas de medios o de señalización, se dará aplicación al artículo 4.1.2.4. de la presente resolución.
ARTÍCULO 4.1.3.6. PROTOCOLOS DE SEÑALIZACIÓN EN LA INTERCONEXIÓN. <Artículo subrogado por el artículo 10 de la Resolución 6522 de 2022. El nuevo texto es el siguiente:> Los proveedores de redes y servicios de telecomunicaciones podrán hacer uso en la interconexión de los protocolos de señalización SS7 y SIP, de acuerdo con lo definido en las recomendaciones y estándares expedidos por la UIT, ETSI, IETF y 3GPP o las normas nacionales cuando apliquen.
PARÁGRAFO 1. Para el caso del protocolo SS7, los proveedores de redes y servicios de telecomunicaciones pueden separar su red mediante el uso en el octeto de información de servicio, campo de subservicio, del parámetro de indicador de red definido en la Recomendación UIT Q.704, en cuyo caso deberán utilizar el código binario (11). Cuando el proveedor separe su red puede manejar al interior de la misma el esquema de señalización que más le convenga y administrar sus códigos de puntos de señalización. En caso de no optar por separar redes y para efectos de la señalización en los nodos de interconexión, debe usarse el código binario de red nacional (10). Para el establecimiento de parámetros de calidad en el protocolo SS7, Colombia se considera un país de mediana extensión.
PARÁGRAFO 2. Sin perjuicio de lo dispuesto en el artículo 4.1.3.5. respecto del trato no discriminatorio en materia de protocolos de señalización, para el caso del protocolo SIP, los proveedores de redes y servicios de telecomunicaciones en caso de no acuerdo en el marco de la libre negociación del protocolo de señalización a utilizar, adoptarán el protocolo SIP acogiendo los lineamientos contenidos en el documento IETF RFC 3261 y los desarrollos complementarios del IETF que resulten pertinentes dependiendo del tipo de redes y servicios que requieren la interconexión.
PARÁGRAFO 3. A efectos del enrutamiento y señalización para la implementación y operación de la portabilidad numérica móvil de que trata la Sección 12 del Capítulo 6 del Título II de la presente resolución, el transporte de información relacionada con la portabilidad numérica cuando en la interconexión se haga uso del protocolo SIP se realizará acogiendo los lineamientos establecidos en el documento IETF RFC 4694.
ARTÍCULO 4.1.3.7. INFORMACIÓN INTERCAMBIADA A TRAVÉS DE LA SEÑALIZACIÓN. En la interconexión, los proveedores de redes y servicios de telecomunicaciones deben intercambiar como mínimo la siguiente información de señalización:
1. La identificación de origen y destino de la comunicación.
2. La información necesaria para el enrutamiento de la comunicación.
3. Las causas de terminación de la comunicación.
4. La información que las partes involucradas en la interconexión consideren relevante para la tasación y tarificación de las comunicaciones.
(Resolución CRC 3101 de 2011, artículo 21)
ARTÍCULO 4.1.3.8. TRANSMISIÓN. Los proveedores de redes y servicios de telecomunicaciones deberán, independientemente de la tecnología utilizada, garantizar en todo momento una adecuada calidad de funcionamiento de la transmisión de extremo a extremo.
Para la interconexión de redes se adoptan los lineamientos de transmisión establecidos en la Recomendación UIT-T G.101 y se adoptan además las siguientes recomendaciones internacionales expedidas por la UIT:
1. Calidad de servicio: Recomendaciones UIT-T G.1000 y UIT-T G.1010.
2. Parámetros de transmisión: Recomendaciones UIT-T Q.551 a Q.552, UIT-T G.712, UIT-T G.168, UIT-T G.113, UIT-T G.820, UIT-T P.310, UIT-T P.311 y UIT-T P.341.
3. Transmisión de servicios de voz: Recomendaciones UIT-T P.11, UIT-T G.107, UIT-T G.109 y UIT-T G.114.
4. Transmisión en redes IP: Recomendaciones UIT-T Y.1540 y UIT-T Y.1541.
5. En caso de que las redes a interconectar requieran de sincronización, se permite libertad en el método de selección de la misma, pero sujeta al cumplimiento de la recomendación UIT-T G.822, con uso de relojes primarios que mantengan conformidad con la Recomendación UIT-T G.811.
Los proveedores de redes y servicios de telecomunicaciones interconectados aplicarán las recomendaciones correspondientes a cada tipo de tráfico cursado.
El reparto de las degradaciones asociadas a los diferentes parámetros de transmisión que se mencionen en las recomendaciones previamente citadas se realizará por partes iguales entre los proveedores de redes y servicios de telecomunicaciones.
(Resolución CRC 3101 de 2011, artículo 22)
ARTÍCULO 4.1.3.9. CODECS. Los proveedores de redes y servicios de telecomunicaciones, cuando el servicio lo requiera, tienen libertad de negociación de Códecs en la interconexión, garantizando la posibilidad de emplear, al menos, el códec definido en la Recomendación UIT-T G.711. De cualquier modo, los códecs empleados en la interconexión deben estar incluidos en la lista definida por la UIT en la Recomendación UIT-T Q.3401, lo cual en todo caso no puede comprometer la calidad extremo a extremo del servicio prestado a los usuarios.
De conformidad con la Recomendación UIT-T G.101, los proveedores de redes y servicios de telecomunicaciones deberán evitar la transcodificación entre redes interconectadas.
(Resolución CRC 3101 de 2011, artículo 23)
ARTÍCULO 4.1.3.10. CALIDAD DEL SERVICIO. Los proveedores de redes y servicios de telecomunicaciones deberán cumplir las metas de calidad contenidas en las normas internacionales a las que se refiere el ARTÍCULO 4.1.3.8 del CAPÍTULO 1 del TÍTULO IV, en relación con los siguientes parámetros:
1. Tiempos de establecimiento de las conexiones.
2. Índices de retardo.
3. Índices de comunicaciones completadas.
4. Índices de disponibilidad de los enlaces de interconexión.
5. Índices de causas de fracaso de las comunicaciones.
Para la interconexión de redes IP, se acogen los siguientes parámetros de calidad de funcionamiento de la Recomendación UIT-T Y.1540, los cuales serán de aplicación para las clases de servicio previstas en el Cuadro 1 de la Recomendación UIT-T Y.1541:
1. Tasa de error de bits.
2. Retardo medio de transferencia de paquetes.
3. Variación de retardos de paquetes.
4. Tasa de pérdida de paquetes.
La calidad en la interconexión de redes IP que transportan servicios de voz deberá ser verificada a través de la medición del índice de transmisión R especificado en la Recomendación UIT-T G.107, con una meta de valor del índice R mayor a 80. Para efectos de su cálculo, se define la utilización de los contornos del factor de determinación de índices R adoptados por la enmienda 1 de la Recomendación UIT-T Rec. G.109, los cuales establecen en redes conmutadas de paquetes y para diferentes tipos de códecs, la relación entre el factor R, el retardo absoluto y la probabilidad de pérdida de paquetes.
La calidad de servicio de una red de voz interconectada mediante protocolo SS7 deberá ser gestionada de acuerdo con los lineamientos definidos por la Unión Internacional de Telecomunicaciones, particularmente en las Recomendaciones UIT-T E.411, UIT-T E.420, UIT-T E.421, UIT-T E.422, UIT-T E.425 y UIT-T E.426.
(Resolución CRC 3101 de 2011, artículo 24)
ARTÍCULO 4.1.3.11. SEGURIDAD. <Artículo subrogado por el artículo 11 de la Resolución 6522 de 2022. El nuevo texto es el siguiente:> Los proveedores de redes y servicios de telecomunicaciones deben utilizar los recursos técnicos que establezca la regulación y los demás que estén a su alcance para que las redes interconectadas cuenten con condiciones de seguridad razonables.
Para el efecto, deberán establecerse medidas en la interconexión en relación con control de acceso, autenticación, confidencialidad e integridad de datos, seguridad de comunicación, disponibilidad y privacidad, de conformidad con las recomendaciones UIT-T X.805 y UIT-T Y.2701.
De igual manera, para la interconexión basada en protocolos de señalización para voz IP la conexión será directa a través de canales de datos dedicados punto a punto y las direcciones IP de los elementos de red interconectados no se anunciarán en Internet, y solo podrán utilizarse para transportar tráfico de voz.
ARTÍCULO 4.1.3.12. NUMERACIÓN Y DENOMINACIÓN EN REDES NGN. Las redes NGN deben soportar condiciones asociadas a aspectos de numeración, denominación y enrutamiento, tales que permitan garantizar la interoperabilidad e interfuncionamiento de la interconexión independientemente del medio de acceso utilizado.
Los esquemas de numeración estarán circunscritos al ámbito de la Recomendación UIT-T E.164. Así mismo, los distintos usuarios pueden ser identificados por nombres/números -URI- utilizando un sistema de traducción capaz de convertir un determinado nombre/número en una dirección válida para establecer una comunicación, según se ha establecido en la recomendación UIT-T Y.2001, tales como ENUM.
(Resolución CRC 3101 de 2011, artículo 26)
ARTÍCULO 4.1.3.13. CONFIGURACIÓN DE ENLACES DE TRANSMISIÓN. <Artículo adicionado por el artículo 12 de la Resolución 6522 de 2022. Rigirá a partir del 1 de julio de 2023. El nuevo texto es el siguiente:> Las partes podrán definir libremente la configuración de los enlaces en función de su direccionalidad, a través de los cuales se implementa la interconexión. Ante la ausencia de acuerdo, estos enlaces serán unidireccionales.
ARTÍCULO 4.1.3.14. TRATO NO DISCRIMINATORIO Y TRANSPARENCIA EN LA INTERCONEXIÓN PARA COMUNICACIONES DE VOZ MÓVIL SOBRE REDES LTE. <Artículo adicionado por el artículo 13 de la Resolución 6522 de 2022. El nuevo texto es el siguiente:> Los proveedores de redes y servicios de telecomunicaciones móviles que presten servicios de voz sobre redes de conmutación de paquetes LTE (VoLTE) a sus propios usuarios deberán:
4.1.3.14.1 Permitir a través de la interconexión, el curso de comunicaciones de voz sobre redes de paquetes LTE (VoLTE), a los otros proveedores de redes y servicios de telecomunicaciones móviles que así lo requieran, así como a los operadores móviles virtuales que presten servicios de voz sobre redes de paquetes LTE (VoLTE) y estén alojados en las redes del proveedor de redes y servicios de telecomunicaciones móviles solicitante.
Para la interconexión VoLTE extremo a extremo deberán acogerse los lineamientos que resulten aplicables de la especificación técnica 3GPP TS 29.165 y 3GPP TS 33.210.
4.1.3.14.2 Incluir como parte del contenido de la OBI de que trata el artículo 4.1.6.2. como mínimo un nodo de interconexión con estas capacidades.
PARÁGRAFO. La obligación de prestar la interconexión para comunicaciones de voz móvil sobre redes de conmutación de paquetes LTE (VoLTE) a la que hace referencia el presente artículo, aplicará a aquellos proveedores de redes y servicios de telecomunicaciones móviles que ofrezcan o hayan ofrecido comercialmente a sus usuarios este tipo de comunicaciones al interior de sus redes, en virtud del principio de trato no discriminatorio.
RÉGIMEN DE ACCESO
ARTÍCULO 4.1.4.1. DERECHO DE ACCESO A REDES DE TELECOMUNICACIONES. Con el objeto de proveer redes y/o servicios de telecomunicaciones, aplicaciones y/o contenidos, cualquier proveedor tiene derecho al acceso a las instalaciones esenciales de los proveedores de redes y servicios de telecomunicaciones, definidas en el numeral 4.1.5.2.1 del ARTÍCULO 4.1.5.2 del presente CAPÍTULO 1 del TÍTULO IV.
Lo anterior, sin perjuicio de las obligaciones de interconexión a cargo de los proveedores de redes y servicios de telecomunicaciones en los términos previstos en el presente régimen.
(Resolución CRC 3101 de 2011, artículo 27)
ARTÍCULO 4.1.4.2. ESTABLECIMIENTO DE CONDICIONES DE INTEROPERABILIDAD EN EL ACCESO. Cuando una relación de acceso involucre el uso de plataformas tecnológicas, los proveedores deberán establecer las condiciones necesarias para garantizar la interoperabilidad con las plataformas de otros proveedores, para lo cual garantizarán, entre otros aspectos, una disponibilidad mínima de interfaces abiertas y la prestación de servicios, aplicaciones y/o contenidos a usuarios de cualquier red.
Lo anterior, sin perjuicio que la CRC, de oficio o a solicitud de parte, pueda fijar dichas condiciones.
(Resolución CRC 3101 de 2011, artículo 28)
INSTALACIONES ESENCIALES PARA ACCESO Y/O INTERCONEXIÓN
ARTÍCULO 4.1.5.1. DISPONIBILIDAD DE INSTALACIONES ESENCIALES. Los proveedores de redes y servicios de telecomunicaciones, que tengan la propiedad, la posesión, la tenencia, o que a cualquier título ejerzan derechos sobre un bien o control sobre la prestación de un recurso que pueda ser considerado como una instalación esencial, de tal manera que les permita disponer de los mismos, deben poner a disposición de otros proveedores que así lo soliciten, a título de arrendamiento, las instalaciones esenciales definidas por la CRC para facilitar el acceso y/o la interconexión, y permitir su adecuado funcionamiento. La remuneración por el arrendamiento de las instalaciones esenciales se establecerá de conformidad con el criterio de costos eficientes.
El proveedor de redes y servicios de telecomunicaciones no puede exigir al proveedor que solicita el acceso y/o la interconexión, la financiación de las obras, equipos u otros elementos necesarios para adecuar las instalaciones esenciales, sin perjuicio que éste último voluntariamente se ofrezca a financiarlos.
(Resolución CRC 3101 de 2011, artículo 29)
ARTÍCULO 4.1.5.2. INSTALACIONES ESENCIALES.
4.1.5.2.1. Se consideran instalaciones esenciales para efectos del acceso y/o la interconexión, las siguientes:
1. Los sistemas de apoyo operacional necesarios para facilitar, gestionar y mantener las comunicaciones.
2. Los elementos de infraestructura civil que puedan ser usados por ambas partes al mismo tiempo, siempre y cuando sea factible técnica y económicamente, tales como derechos de vía, ductos, postes, torres, energía e instalaciones físicas en general.
3. La facturación, distribución y recaudo, así como toda aquella información necesaria para poder facturar y cobrar a los usuarios.
4. El espacio físico y servicios adicionales necesarios para la colocación de equipos y elementos necesarios para el acceso y/o la interconexión.
5. Cabezas de cable submarino.
6. La base de datos administrativa -BDA- requerida para el correcto enrutamiento de comunicaciones en un ambiente de Portabilidad Numérica de acuerdo con la regulación aplicable en la materia.
4.1.5.2.2. Se consideran instalaciones esenciales a efectos de la interconexión, las siguientes:
1. Conmutación.
2. Señalización.
3. Transmisión entre nodos.
4. Servicios de asistencia a los usuarios, tales como emergencia, información, directorio, operadora, servicios de red inteligente.
5. El roaming automático entre proveedores de redes móviles, cuando sus interfaces de aire así lo permitan.
(Resolución CRC 3101 de 2011, artículo 30)
ARTÍCULO 4.1.5.3. DECLARATORIA DE NUEVAS INSTALACIONES ESENCIALES. La CRC, de oficio o a solicitud de parte, podrá declarar como instalación esencial recursos físicos y/o lógicos así como de soporte, de las redes de los proveedores de redes y servicios de telecomunicaciones, cuando determine que dichos recursos cumplen con los criterios establecidos para definir una instalación esencial, ya sea a nivel general o particular.
(Resolución CRC 3101 de 2011, artículo 31)
ARTÍCULO 4.1.5.4. REMUNERACIÓN POR CONCEPTO DEL ACCESO A INSTALACIONES ESENCIALES. Los proveedores de redes y servicios de telecomunicaciones tendrán libertad para fijar la remuneración por concepto del acceso a las instalaciones esenciales, la cual deberá estar orientada a costos eficientes y estará sujeta a las metodologías y/o valores que defina esta Comisión.
(Resolución CRC 3101 de 2011, artículo 32)
ARTÍCULO 4.1.5.5. ACCESO A INSTALACIONES NO ESENCIALES. Los proveedores negociarán libremente el acceso a las instalaciones no esenciales, para lo cual deberán considerar los principios contenidos en el CAPÍTULO 1 del TÍTULO IV. En el caso de oferta conjunta de instalaciones no esenciales y esenciales, se aplicará para su remuneración la metodología y/o valores definidos por la CRC.
(Resolución CRC 3101 de 2011, artículo 33)
OFERTA BÁSICA DE INTERCONEXIÓN Y SOLICITUDES DE ACCESO E INTERCONEXIÓN
ARTÍCULO 4.1.6.1. OFERTA BÁSICA DE INTERCONEXIÓN. Los proveedores de redes y servicios de telecomunicaciones asignatarios directos de numeración de acuerdo con el Plan Nacional de Numeración, aquéllos que provean interconexión a otros proveedores de redes y servicios de telecomunicaciones y aquéllos que dispongan de instalaciones esenciales de acuerdo con lo establecido en el numeral 4.1.5.2.1 del ARTÍCULO 4.1.5.2 del CAPÍTULO 1 del TÍTULO IV, deberán contar con una Oferta Básica de Interconexión.
Los proveedores de redes y servicios de telecomunicaciones en la OBI definirán la totalidad de elementos mínimos necesarios, incluidos los precios, para que con su simple aceptación por parte de un proveedor se genere un acuerdo de acceso y/o de interconexión. Dicha OBI debe someterse a revisión y aprobación de la CRC.
PARÁGRAFO 1. Con el fin mantener actualizada la OBI, los proveedores de redes y servicios de telecomunicaciones deberán registrar cualquier modificación para revisión y aprobación por parte de la CRC, para lo cual deberán adjuntar los respectivos soportes y justificaciones técnicas y económicas que permitan sustentar las condiciones y valores señalados en la OBI, de acuerdo con lo previsto en el artículo 51 de la Ley 1341 de 2009.
PARÁGRAFO 2. Los proveedores de redes y servicios de telecomunicaciones deberán incluir expresamente como parte del contenido de su OBI la siguiente redacción: "La presente OBI fue aprobada mediante Resolución CRC [indicando el número y fecha del acto administrativo correspondiente], por lo tanto, con su simple aceptación por parte del proveedor que solicita el acceso y/o la interconexión se genera el acuerdo de acceso y/o interconexión".
PARÁGRAFO 3. Los proveedores de redes y servicios de telecomunicaciones que no estén obligados a contar con una OBI deberán informar y justificar por escrito a la CRC este hecho, al momento de su entrada en operación.
(Resolución CRC 3101 de 2011, artículo 34)
ARTÍCULO 4.1.6.2. CONTENIDO DE LA OBI. <Artículo subrogado por el artículo 14 de la Resolución 6522 de 2022. El nuevo texto es el siguiente:> La Oferta Básica de Interconexión -OBI-, debe contener los siguientes aspectos:
4.1.6.2.1. Parte General: <Ver Notas de Vigencia> <Numeral modificado por el artículo 68 de la Resolución 7811 de 2025. El nuevo texto es el siguiente:>
1. Descripción de la(s) red(es) de telecomunicaciones, o de los recursos susceptibles de acceso por parte de otro proveedor.
2. Identificación de recursos físicos y lógicos sobre los que recae el acceso o la interconexión.
3. Cronograma de actividades necesarias para habilitar el acceso o la interconexión, el cual no podrá ser superior a 30 días.
4. Plazo sugerido del acuerdo.
5. Procedimiento para revisar el acuerdo de acceso o de interconexión.
6. Causales de suspensión o terminación del acuerdo.
7. Mecanismos para la resolución de controversias relacionadas con el acceso y la interconexión.
8. Mecanismos para garantizar la privacidad de las comunicaciones y la información.
9. Procedimientos y mecanismos para garantizar el adecuado funcionamiento de las redes y servicios a prestar, incluyendo políticas de seguridad que deben aplicarse.
10. Los diferentes instrumentos de garantía aceptados por el operador para amparar el cumplimiento de las obligaciones derivadas del acuerdo. Como alternativa a la constitución de garantías, el solicitante podrá elegir entre las siguientes opciones:
a) Pago anticipado o prepago de las obligaciones derivadas del acuerdo y del valor correspondiente al tiempo estimado necesario para que, en caso de impagos, el otorgante del acceso o interconexión pueda proceder con la suspensión provisional y la desconexión definitiva;
b) Pago anticipado o prepago de las obligaciones derivadas del acuerdo y, en adición, la constitución de una garantía por el valor correspondiente al tiempo estimado necesario para que, en caso de impagos, el otorgante del acceso o interconexión pueda proceder con la suspensión provisional y la desconexión definitiva.
4.1.6.2.2. Aspectos Financieros:
1. Descripción de procedimientos, responsables y plazos para el intercambio de cuentas, aprobación y pago de las mismas.
2. Cargos de acceso de la red indicando los sistemas de medición y las bases para la liquidación de los mismos.
3. La remuneración por concepto de instalaciones esenciales requeridas para el acceso y/o la interconexión.
4. La remuneración por utilización de instalaciones no esenciales ofertadas.
4.1.6.2.3. Aspectos Técnicos
Los proveedores de redes y servicios de telecomunicaciones que dispongan de instalaciones esenciales de acuerdo con lo establecido en el numeral 4.1.5.2.1 del ARTÍCULO 4.1.5.2 del CAPÍTULO 1 del TÍTULO IV, deberán incluir la siguiente información:
- Acceso:
1. Unidades o capacidades que se ofrecen en cada recurso identificado como instalación esencial a efectos del acceso, según su naturaleza,
2. Características del elemento,
3. Especificaciones técnicas de las interfaces abiertas físicas y/o lógicas del recurso ofrecido.
4. Instalaciones no esenciales ofertadas, indicando unidades o capacidades aplicables, según su naturaleza.
Los proveedores de redes y servicios de telecomunicaciones asignatarios directos de numeración, y aquéllos que provean interconexión a otros proveedores, deberán incluir la siguiente información:
- Interconexión:
1. Identificación de nodos de interconexión, indicando características técnicas, ubicación geográfica, zona de cobertura,
2. Especificaciones técnicas de las interfaces,
3. Instalaciones esenciales que se requieran para la interconexión, indicando unidades o capacidades que se ofrecen, según su naturaleza
4. Instalaciones no esenciales ofertadas, indicando unidades o capacidades aplicables, según su naturaleza
5. Diagramas de interconexión de las redes,
6. Definición de indicadores técnicos de calidad con sus valores objetivos.
PARÁGRAFO 1. Los proveedores no podrán incluir en la OBI condiciones adicionales a las señaladas en el presente artículo.
PARÁGRAFO 2. El acuerdo entre las partes deberá contener como mínimo los elementos que hacen parte de la OBI.
ARTÍCULO 4.1.6.3. SOLICITUD DE ACCESO Y/O DE INTERCONEXIÓN. Para dar inicio a la etapa de negociación directa tendiente a establecer un acuerdo de acceso y/o de interconexión, según aplique, únicamente será necesaria la manifestación de la voluntad de celebrar el acuerdo, para lo cual el proveedor que solicita el acceso y/o la interconexión deberá indicar los aspectos en los que se aparte de la OBI del proveedor de redes y servicios de telecomunicaciones a quien le presenta la solicitud, los cuales serán objeto de revisión de las partes en la negociación de las condiciones del acuerdo.
El proveedor de redes y servicios de telecomunicaciones que solicite a otro proveedor establecer una interconexión entre sus redes, deberá anexar a la solicitud una copia del Registro de Proveedores de Redes y Servicios de Telecomunicaciones del Ministerio de Tecnologías de la Información y las Comunicaciones, de conformidad con lo dispuesto en el artículo 15 de la Ley 1341 de 2009.
Durante la negociación, las partes deberán abordar los diferentes aspectos requeridos para materializar el acuerdo, en temas tales como identificación de recursos, capacidad, índices de calidad asociados, nodos a interconectar, entre otros.
El proveedor de redes y servicios de telecomunicaciones al cual se le solicita acceso y/o interconexión, podrá solicitar información adicional, sin que dicha información pueda ser considerada como un requisito para dar inicio a la negociación del acuerdo.
(Resolución CRC 3101 de 2011, artículo 36)
APLICACION DE LAS OBLIGACIONES DERIVADAS DEL ACCESO Y/O INTERCONEXIÓN
ARTÍCULO 4.1.7.1. COMITÉ MIXTO DE INTERCONEXIÓN Y/O ACCESO (CMI). <Artículo modificado por el artículo 69 de la Resolución 7811 de 2025. El nuevo texto es el siguiente:> En los acuerdos de acceso o interconexión, en los actos administrativos de imposición de servidumbre de acceso, uso e interconexión, o de fijación de condiciones de acceso, uso e interconexión, se deberá conformar un CMI. El CMI tendrá la función de vigilar el desarrollo de la relación de acceso o de interconexión y de servir de mecanismo de arreglo directo de conflictos. El CMI estará compuesto paritariamente por representantes de ambos proveedores.
Cuando un proveedor convoque al CMI para discutir un determinado requerimiento, este deberá discutirse en el CMI dentro de un plazo de treinta (30) días calendario contados a partir de la fecha de la convocatoria. Si en dicho plazo los proveedores no llegan a un acuerdo directo en el CMI, los proveedores podrán solicitar el inicio de un trámite administrativo de solución de controversias. En cada reunión del CMI de que trata este artículo, se levantará un acta sobre los temas tratados.
ARTÍCULO 4.1.7.2. TRANSFERENCIA DE SALDOS. <Artículo modificado por el artículo 70 de la Resolución 7811 de 2025. El nuevo texto es el siguiente:> Los proveedores podrán acordar el plazo para realizar la conciliación de cuentas y la transferencia de las sumas recaudadas, a menos que entre ellos se haya pactado que la transferencia se haga sobre las sumas facturadas.
Si no hay acuerdo entre las partes, el proveedor que recaude debe realizar las transferencias al proveedor beneficiario en un plazo no superior a cuarenta (40) días calendario, contados a partir de la fecha límite estipulada en el contrato, la servidumbre o las condiciones impuestas por la CRC, para la recepción de la información requerida para facturar a los usuarios.
Si la transferencia no se efectúa en los plazos previstos, se reconocerán al proveedor beneficiario intereses de mora sobre las sumas dejadas de transferir, sin perjuicio de las acciones de orden sancionatorio que puedan adelantar las entidades de control y vigilancia correspondientes con ocasión de posibles incumplimientos de la regulación.
ARTÍCULO 4.1.7.3. MODIFICACIÓN FORZADA DE LOS ACUERDOS DE ACCESO Y/O INTERCONEXIÓN Y DE LOS ACTOS ADMINISTRATIVOS DE IMPOSICIÓN DE SERVIDUMBRE Y FIJACIÓN DE CONDICIONES. Durante el período de ejecución del acuerdo de acceso y/o de interconexión, o la vigencia del acto administrativo que impuso la servidumbre o la fijación de condiciones, la CRC, de oficio o a petición de parte de conformidad con lo previsto en el Título V de la Ley 1341 de 2009, puede revisar o modificar las condiciones existentes e imponer nuevas obligaciones a las partes.
(Resolución CRC 3101 de 2011, artículo 39)
ARTÍCULO 4.1.7.4. RENUNCIA O TERMINACIÓN DE LA RELACIÓN DE ACCESO, USO E INTERCONEXIÓN ORIGINADA EN LA IMPOSICIÓN DE UNA SERVIDUMBRE O EN LA FIJACIÓN DE CONDICIONES DE ACCESO Y/O DE INTERCONEXIÓN. <Artículo modificado por el artículo 71 de la Resolución 7811 de 2025. El nuevo texto es el siguiente:> Cuando la relación de acceso, uso e interconexión, originada ya sea en la imposición de servidumbre por parte de la CRC o en un contrato celebrado para tal fin, no se encuentre operativa, el proveedor que solicitó el acceso, uso e interconexión o el proveedor que lo otorgó podrán renunciar a la relación, previa autorización de la CRC, caso en el cual la relación de acceso, uso e interconexión dejará de tener efectos.
En estos casos, la CRC deberá verificar que la renuncia o solicitud de terminación se haga de buena fe, sin que implique abuso del derecho, en forma tal que no perjudique indebidamente al otro proveedor y no afecte a los usuarios o al servicio.
ARTÍCULO 4.1.7.5. PROHIBICIÓN DE DESCONEXIÓN. <Artículo modificado por el artículo 72 de la Resolución 7811 de 2025. El nuevo texto es el siguiente:> Ninguna controversia, conflicto o incumplimiento de los acuerdos de acceso y/o de interconexión, podrá dar lugar a la desconexión de los proveedores, salvo que la CRC así lo autorice, en cuyo caso deberá dictar las medidas previas que se aplicarán con la finalidad de minimizar los efectos para los usuarios.
Mientras no se otorgue esta autorización, las condiciones del acceso o la interconexión deben mantenerse. En consecuencia, no se podrán limitar, suspender o terminar tales acuerdos, so pena de que quien ejecutó, motivó o patrocinó esta conducta sea objeto de acciones sancionatorias a cargo de las autoridades de inspección, vigilancia y control correspondientes.
ARTÍCULO 4.1.7.6. DESCONEXIÓN POR LA NO TRANSFERENCIA OPORTUNA DE SALDOS NETOS. <Artículo modificado por el artículo 73 de la Resolución 7811 de 2025. El nuevo texto es el siguiente:> Cuando en el seno del CMI el proveedor de redes y servicios de telecomunicaciones constate que durante dos (2) períodos consecutivos de conciliación no se han llevado a cabo, dentro de los plazos acordados o fijados por la CRC, la transferencia total de los saldos provenientes de la remuneración del acceso o interconexión, el proveedor de redes y servicios de telecomunicaciones procederá a la desconexión provisional del otro proveedor, hasta tanto se supere la situación que generó la desconexión. Para el efecto, cada proveedor deberá informar previamente a la CRC y a la Superintendencia de Industria y Comercio sobre las medidas que cada uno adoptará respecto de sus usuarios con la finalidad de minimizar los efectos de tal desconexión. Lo anterior sin perjuicio de que la CRC en ejercicio de sus funciones, de oficio o a solicitud de parte, solicite información adicional para efectos de hacer un seguimiento a la desconexión informada.
La reconexión se dará inmediatamente en el momento en que cese completamente la situación que generó dicha desconexión provisional y bajo las mismas condiciones que estaban en operación al momento de esta.
Si la falta de transferencia de los saldos totales provenientes de la remuneración de la relación de acceso y/o interconexión en los plazos acordados o fijados por la CRC, se mantiene después de tres (3) periodos consecutivos de conciliación, el proveedor de redes y servicios de telecomunicaciones podrá proceder a la terminación de la relación de acceso y/o interconexión, previa autorización por parte de la CRC, siempre que garantice la mínima afectación a los usuarios.
Si antes de que la CRC autorice la terminación definitiva de la relación se lleva a cabo el pago de los saldos totales a que hace referencia el inciso anterior, no podrá autorizarse la terminación definitiva.
PARÁGRAFO. Para efectos de garantizar la celebración del CMI de que trata el presente artículo, el proveedor deberá asegurarse de que los mecanismos utilizados para su convocatoria resulten idóneos y efectivos. En consecuencia, ante la no comparecencia al CMI del proveedor que no ha llevado a cabo la transferencia de los saldos o ante la falta de colaboración en la constatación de las condiciones de la transferencia de los saldos, el proveedor afectado podrá aplicar lo dispuesto en el presente artículo.
ARTÍCULO 4.1.7.7. OBLIGACIÓN DE ACTUALIZACIÓN DE LA GARANTÍA O MECANISMO PARA ASEGURAR EL PAGO Y CRITERIOS DE ACTUALIZACIÓN. <Artículo modificado por el artículo 74 de la Resolución 7811 de 2025. El nuevo texto es el siguiente:> Cuando hayan sido requeridos por el proveedor que otorga el acceso, uso o interconexión a sus redes, los proveedores de redes y servicios de telecomunicaciones y los proveedores de contenidos y aplicaciones que requieran acceso, uso e interconexión a las redes de otros proveedores, deberán mantener vigentes y actualizados los instrumentos que contengan las garantías o estar al día con el pago anticipado de las obligaciones derivadas de la relación de acceso, uso o interconexión, según aplique.
La renovación de los instrumentos que contengan las garantías deberá realizarse al menos con un mes de antelación a la fecha de su vencimiento.
Las partes deberán definir de común acuerdo la periodicidad y los criterios a ser tenidos en cuenta al momento de determinar el monto a ser garantizado. Ante la falta de acuerdo, esta actualización se realizará semestralmente, para lo cual se deberán tener en cuenta las proyecciones de tráfico esperado para el período de un año. En los casos en los que ya exista historial de tráfico, la estimación del tráfico esperado para el periodo de un (1) año deberá tener en cuenta el tráfico efectivamente cursado el año anterior.
La actualización a la que hace referencia el presente artículo será tanto para aumentar el monto a garantizar, como para disminuirlo, según lo determinen las proyecciones de tráfico correspondientes.
Le corresponde al proveedor de redes y servicios de telecomunicaciones o al proveedor de contenidos y aplicaciones que requieran el acceso, uso e interconexión elegir entre los instrumentos que contengan las garantías o el mecanismo de aseguramiento de los pagos para garantizar el pago de las obligaciones derivadas de la relación existente entre las partes, previstos dentro de la OBI del proveedor que brinda la interconexión o el acceso que haya sido aprobada por la CRC.
PARÁGRAFO 1o. El monto a ser cubierto deberá calcularse en lo relacionado con los costos variables y fijos considerando los tiempos asociados a los procesos de conciliación pactados entre las partes asociados al periodo de conciliación, tiempo límite de recepción de información, tiempo para la transferencia de saldos, tiempo para la citación y realización del CMI al que se refiere el artículo 4.1.7.6 de la presente resolución y el plazo previsto para que pueda aplicarse la suspensión provisional a la que hace referencia el citado artículo. Con relación a la contabilización de los costos fijos, en adición al plazo anteriormente definido, se deberá considerar un estimativo del tiempo que debe trascurrir para que la CRC autorice la desconexión definitiva de que trata el artículo 4.1.7.6. mencionado.
PARÁGRAFO 2o. En el marco de una relación de interconexión, el solicitante también podrá exigir al otorgante de la interconexión la constitución de garantías para el cumplimiento de las obligaciones a su cargo derivadas del acuerdo. En este caso, para amparar el cumplimiento de sus obligaciones derivadas del acuerdo, el otorgante del acceso o interconexión podrá elegir entre los instrumentos de garantías contenidos en la OBI del solicitante o entre las siguientes opciones:
a) Pago anticipado o prepago de las obligaciones derivadas del acuerdo y del valor correspondiente al tiempo estimado necesario para que, en caso de impagos, el otorgante del acceso o interconexión pueda proceder con la suspensión provisional y la desconexión definitiva;
b) Pago anticipado o prepago, de las obligaciones derivadas del acuerdo y, en adición, la constitución de una garantía por el valor correspondiente al tiempo estimado necesario para que, en caso de impagos, el otorgante del acceso o interconexión pueda proceder con la suspensión provisional y la desconexión.
Si se llegase a identificar que una de las partes de la relación de interconexión es el receptor de los saldos netos, en tanto dicha situación continue en el tiempo, no deberá constituir una garantía en favor de la otra parte.
OBLIGACIONES DE INFORMACIÓN
ARTÍCULO 4.1.8.1. PUBLICIDAD DE LOS ACUERDOS DE ACCESO Y/O INTERCONEXIÓN. Los acuerdos de acceso y/o interconexión, así como los actos de imposición de servidumbre o de fijación de condiciones de acceso, uso e interconexión son públicos. Forman parte de ellos los anexos y demás documentos donde se definan condiciones legales, técnicas, comerciales o financieras que rijan las relaciones derivadas de la interconexión.
PARÁGRAFO. En caso que el acceso y/o la interconexión requiera del manejo de información a la cual la Ley le haya conferido el carácter de confidencial, ésta debe ser reportada en documento separado y quedará sujeta a tratamiento reservado. En todo caso, la información sobre precios de interconexión no puede ser considerada como confidencial por los proveedores de redes y servicios de telecomunicaciones.
(Resolución CRC 3101 de 2011, artículo 43)
ARTÍCULO 4.1.8.2. PUBLICIDAD DE LA OFERTA BÁSICA DE INTERCONEXIÓN -OBI-. Los proveedores de redes y servicios de telecomunicaciones deben poner a disposición y mantener publicada en su página Web la Oferta Básica de Interconexión -OBI- aprobada por la CRC para ser consultada por cualquier persona.
(Resolución CRC 3101 de 2011, artículo 44)
ARTÍCULO 4.1.8.3. PROVISIÓN DE LA INFORMACIÓN NECESARIA. Los proveedores de redes y servicios de telecomunicaciones deben proporcionar a otros proveedores, acceso eficaz y oportuno a la información técnica y a la comercialmente relevante, que resulte necesaria para permitir o facilitar el acceso y/o interconexión, así como el funcionamiento eficiente de los servicios, aplicaciones o contenidos.
Una vez operativa la relación de acceso y/o interconexión, los proveedores se informarán mutuamente, con la debida antelación, cuando vayan a realizar alteraciones o modificaciones a sus equipos, plataformas o elementos que puedan impactar la relación establecida.
PARÁGRAFO. Los proveedores se abstendrán de utilizar la información adquirida dentro de la relación de acceso y/o interconexión cuando su utilización tenga por objeto o como efecto disminuir la competencia en el respectivo mercado.
(Resolución CRC 3101 de 2011, artículo 45)
ARTÍCULO 4.1.8.4. INFORMACIÓN SOBRE TRÁFICO PARA LA PLANEACIÓN Y MANTENIMIENTO DE LA INTERCONEXIÓN. Los proveedores de redes y servicios de telecomunicaciones deben mantener disponible y suministrarse la información relacionada con los estimativos de tráfico para el lapso de un año, la cual es necesaria para dimensionar la interconexión de manera tal que la misma responda en todo momento a las necesidades de tráfico de la interconexión.
(Resolución CRC 3101 de 2011, artículo 46)
ARTÍCULO 4.1.8.5. ENTREGA DE INFORMACIÓN DE LOS USUARIOS. <Artículo derogado por el artículo 80 de la Resolución 5586 de 2019>
DISPOSICIONES FINALES.
<Sección derogada por el artículo 80 de la Resolución 5586 de 2019>
ACCESO MAYORISTA PARA LA PROVISIÓN DEL SERVICIO DE INTERNET COMUNITARIO FIJO.
ARTÍCULO 4.1.9.1. CONDICIONES MÍNIMAS DE LA OFERTA O DEL CONTRATO PARA LA PROVISIÓN DEL SERVICIO DE INTERNET A PROVEEDORES DEL SERVICIO DE INTERNET COMUNITARIO FIJO. <Artículo adicionado por el artículo 7 de la Resolución 7712 de 2025. El nuevo texto es el siguiente:> Los Proveedores de Redes y Servicios de Telecomunicaciones (PRST) que pretendan suministrar servicios mayoristas a los Proveedores del Servicio de Internet Comunitario Fijo (PSICF), deberán incluir en la oferta o en el contrato, como mínimo lo siguiente:
4.1.9.1.1. Descripción clara y detallada de las características del servicio ofrecido, especificando los recursos físicos y lógicos disponibles, la capacidad, velocidad de subida, velocidad de bajada, el punto de presencia del PRST en el que se realizará la conexión para la prestación del servicio, los esquemas de redundancia y cualquier otro elemento técnico relevante.
4.1.9.1.2. La fecha o el plazo máximo para la habilitación del servicio a partir de la suscripción del acuerdo, especificando las actividades necesarias para su implementación.
4.1.9.1.3. Las tarifas del servicio, especificando la unidad de medida, la periodicidad de pago y los criterios de ajuste aplicables.
4.1.9.1.4. Las condiciones de facturación y pago, incluyendo los plazos, los mecanismos habilitados para el pago y cualquier otra condición relevante.
4.1.9.1.5. La duración del contrato, así como las condiciones para su renovación, especificando si esta será automática o requerirá una manifestación expresa de las partes con una antelación mínima previamente establecida.
4.1.9.1.6. Las causales de suspensión o terminación del contrato, así como las responsabilidades de las partes en caso de desconexión del servicio, acorde con lo dispuesto en el artículo 4.1.9.2. de la presente resolución.
4.1.9.1.7. Los compromisos en materia de calidad del servicio, estableciendo indicadores mínimos de disponibilidad, así como los procedimientos para su medición, reporte y verificación.
4.1.9.1.8. Las condiciones de atención a fallas, incluyendo los tiempos máximos para diagnóstico y solución, los horarios de atención y los canales disponibles para la gestión de incidentes reportados por el PSICF.
4.1.9.1.9. Las disposiciones sobre la confidencialidad de la información y la protección de datos personales, asegurando el cumplimiento de la normativa vigente en materia de privacidad y seguridad de las comunicaciones, y evitando la exigencia de información innecesaria por parte del PRST al PSICF.
4.1.9.1.10. Todas aquellas condiciones técnicas, económicas y jurídicas que requiera para la suscripción de la oferta o contrato, siempre que estas no sean contrarias a lo dispuesto en la regulación general, ni impongan requisitos que dificulten injustificadamente el acceso del PSICF al servicio.
PARÁGRAFO. En todo caso, el PRST será responsable de garantizar la seguridad de la red en los términos del artículo 2.9.2.3 de la presente resolución. Dicha responsabilidad se extenderá, como mínimo, hasta el punto de presencia en el cual se efectúe la conexión para la prestación del servicio al PSICF.
ARTÍCULO 4.1.9.2. EXCEPCIÓN A LA PROHIBICIÓN DE DESCONEXIÓN ANTE EL INCUMPLIMIENTO DE PAGO EN ACUERDOS MAYORISTAS ENTRE PRST Y PSICF. <Artículo adicionado por el artículo 7 de la Resolución 7712 de 2025. El nuevo texto es el siguiente:> En el desarrollo de los acuerdos mayoristas de acceso a Internet fijo, los Proveedores de Redes y Servicios de Telecomunicaciones (PRST) están exceptuados de la obligación establecida en el artículo 4.1.7.6 de la presente resolución, en los casos que el Proveedor del Servicio de Internet Comunitario Fijo (PSICF) incumpla con el pago del servicio en los tiempos pactados.
En ese sentido, el PRST podrá proceder con la desconexión del servicio al PSICF cuando este último incurra en el incumplimiento del pago por un periodo superior a un mes y no subsane esta situación. Para esto, el PRST deberá notificar al PSICF, con una antelación mínima de treinta (30) días calendario, la fecha en la que llevará a cabo la desconexión.
Una vez reciba dicha notificación, el PSICF estará obligado a informar a sus usuarios sobre la fecha de suspensión del servicio, con una antelación mínima de quince (15) días calendario previos a la fecha en que el PRST efectuará la desconexión.
Si el PSICF regulariza su situación financiera y realiza el pago de las obligaciones pendientes antes de la fecha establecida para la desconexión, el PRST deberá abstenerse de efectuarla.
La reconexión del servicio se efectuará inmediatamente una vez el PSICF haya realizado el pago de las sumas adeudadas y bajo las condiciones contractuales que estaban vigentes con anterioridad a la desconexión.
CONDICIONES DE ACCESO POR PARTE DE PROVEEDORES DE CONTENIDOS Y APLICACIONES
SECCIÓN 1. DISPOSICIONES GENERALES
ARTÍCULO 4.2.1.1. OBJETO. <Artículo modificado por el artículo 45 de la Resolución 5586 de 2019. El nuevo texto es el siguiente:> El CAPÍTULO 2 del TÍTULO IV establece los principios, criterios, condiciones y procedimientos para la provisión de contenidos y aplicaciones a través de mensajes cortos de texto (SMS) y el Servicio Suplementario de Datos no Estructurados (USSD) sobre redes de telecomunicaciones de servicios móviles.
ARTÍCULO 4.2.1.2. ÁMBITO DE APLICACIÓN. El CAPÍTULO 2 del TÍTULO IV aplica a los proveedores de redes y servicios de telecomunicaciones, proveedores de contenidos y aplicaciones e integradores tecnológicos, cada uno de los cuales puede tener al mismo tiempo una o más de tales calidades, sin perjuicio de las responsabilidades que les son propias a cada uno de ellos.
(Resolución CRC 3501 de 2011, artículo 2)
OBLIGACIONES DE LOS AGENTES QUE PARTICIPAN EN LA PROVISIÓN DE CONTENIDOS Y APLICACIONES EN LAS REDES DE SERVICIOS MÓVILES A TRAVÉS DE SMS/USSD.
ARTÍCULO 4.2.2.1. OBLIGACIONES DE LOS PRST. <Artículo modificado por el artículo 75 de la Resolución 7811 de 2025. El nuevo texto es el siguiente:> Son obligaciones de los proveedores de redes y servicios de telecomunicaciones móviles respecto del acceso a sus redes para la provisión de contenidos y aplicaciones a través de SMS/USSD las siguientes:
4.2.2.1.1. Sujetarse a las condiciones del acuerdo de acceso según lo previsto en el Capítulo 1 del Título IV, en las disposiciones del Capítulo 2 del Título IV, o en las normas que las adicionen, modifiquen o sustituyan.
4.2.2.1.2. Permitir el acceso a sus redes por parte de los Proveedores de Contenidos y Aplicaciones (PCA) e integradores tecnológicos (IT) siempre que sea técnica y económicamente viable y en ningún caso podrán cobrar a dichos agentes por considerar o tramitar su solicitud de acceso. De acuerdo con lo anterior, los PRST solo podrán oponerse al acceso solicitado de conformidad con lo dispuesto en el artículo 4.1.2.6. del CAPÍTULO 2 del TÍTULO IV,
4.2.2.1.3. Dar aplicación a las reglas de remuneración previstas en el CAPÍTULO 2 del TÍTULO IV.
4.2.2.1.4. Garantizar a los PCA o IT la calidad acordada en la prestación del servicio de telecomunicaciones, cumpliendo al menos con los niveles de calidad mínimos establecidos en la regulación.
4.2.2.1.5. Habilitar en su red la numeración de códigos cortos conforme a la estructura definida en el CAPÍTULO 2 del TÍTULO IV, para lo cual contarán con veinte (20) días hábiles. Las demoras en la activación de los códigos cortos atribuibles a los PCA o IT no serán contabilizadas dentro del plazo anteriormente señalado. En ningún caso, los PRST podrán cobrar a los PCA por la activación de los códigos cortos en sus redes, incluidas todas las actividades que lo anterior comporte.
4.2.2.1.6. Dar traslado a los PCA e IT de las solicitudes de los usuarios relativas a la provisión de contenidos y aplicaciones cuando las mismas no se refieran a los servicios de telecomunicaciones que soportan dicha provisión. En caso de que se cobre el traslado de dichas solicitudes, el precio del traslado debe estar orientado a costos eficientes. Lo anterior sin perjuicio de los acuerdos que puedan celebrar los PCA, IT y PRST, respecto de la atención de solicitudes referidas a la provisión de contenidos y aplicaciones.
4.2.2.1.7. Abstenerse de imponer condiciones o limitaciones discriminatorias a los PCA o IT que accedan a su red.
4.2.2.1.8. Abstenerse de exigir a los PCA o IT información relativa a sus clientes como requisito para proporcionar el acceso a sus redes.
4.2.2.1.9. Abstenerse de exigir a los PCA o IT condiciones referidas al contenido, calidad, clientes, publicidad o cualquier otro aspecto relativo a la provisión de contenidos y aplicaciones, diferentes a las necesarias para garantizar la seguridad de las redes o aquella información que resulte necesaria para el cumplimiento de las disposiciones previstas en la SECCIÓN del CAPÍTULO 2 del TÍTULO II y, en especial, de las reglas previstas en el Artículo 2.1.18.4. del citado título respecto del envío de mensajes cortos de texto (SMS) o mensajes a través de USSD con fines comerciales y/o publicitarios, o en las normas que las adicionen, modifiquen o sustituyan. Dicha información, de acuerdo con los principios de leal competencia y buena fe, en ningún caso podrá ser utilizada por los PRST para un fin diferente que el previsto en el presente numeral.
4.2.2.1.10. Garantizar los volúmenes de tráfico requeridos por los PCA e IT en las proyecciones presentadas, siempre que sea técnica y económicamente viable, en concordancia con lo señalado en numeral 4.2.2.1.2 del Artículo 4.2.2.1 del CAPÍTULO 2 del TÍTULO IV. Adicionalmente, el PRST debe velar por una adecuada gestión del tráfico de los mensajes de texto a ser enviados, teniendo en cuenta la implementación de colas para dicho tráfico, entre otras medidas, para evitar el rechazo de los mismos.
4.2.2.1.11. Abstenerse de limitar la comercialización de redes y/o servicios por parte de IT y PCA.
4.2.2.1.12. Abstenerse de imponer cláusulas o condiciones de exclusividad a los PCA para la provisión de sus servicios a través de su red.
4.2.2.1.13. Establecer de mutuo acuerdo apremios conforme a los criterios de proporcionalidad y razonabilidad.
4.2.2.1.14. Habilitar en su red los códigos cortos a solicitud del PCA o IT asignatario, o por solicitud del IT que el PCA haya seleccionado. Para este último caso, bastará la manifestación expresa por escrito del PCA señalando el IT que ha elegido, a través de cualquier documento o soporte en el que conste tal hecho. En todo caso, los IT deberán implementar procesos de verificación de identidad de los PCA que los seleccionen o elijan, con el fin de evitar la suplantación de identidad.
4.2.2.1.15. Establecer de mutuo acuerdo, conforme a criterios de proporcionalidad y razonabilidad, el uso de herramientas tecnológicas a cargo de cada parte para prevenir fraudes a través de sus respectivas redes, plataformas o sistemas y efectuar controles periódicos respecto de la efectividad de los mecanismos dispuestos para tal fin.
4.2.2.1.16. Desactivar el código o los códigos cortos correspondientes, previa información a la CRC, cuando exista sentencia ejecutoriada en la que se establezca que se cometió un delito que involucre el uso de códigos cortos. El PRST deberá entregar a la Comisión una copia de la sentencia mencionada.
ARTÍCULO 4.2.2.2. OBLIGACIONES DE LOS PCA. <Artículo modificado por el artículo 76 de la Resolución 7811 de 2025. El nuevo texto es el siguiente:> Son obligaciones de los PCA respecto del acceso a las redes de telecomunicaciones de servicios móviles para la provisión de contenidos y aplicaciones prestados a través del envío de SMS/USSD las siguientes:
4.2.2.2.1. Sujetarse a las condiciones del acuerdo de acceso según lo previsto en el Capítulo 1 del Título IV, en las disposiciones del Capítulo 2 del Título IV, o en las normas que las adicionen, modifiquen o sustituyan.
4.2.2.2.2. Presentar al PRST las proyecciones de tráfico esperado del servicio que se pretende activar en concordancia con lo previsto en los numerales 4.2.2.1.2 y 4.2.2.1.10 del Artículo 4.2.2.1 del Capítulo 2 del Título IV.
4.2.2.2.3. Suministrar al PRST la información necesaria para el cumplimiento de las disposiciones previstas en la SECCIÓN 6 del CAPÍTULO 1 del TÍTULO I y en especial de las reglas previstas en el Artículo 2.1.13.5 del citado título respecto del envío de mensajes cortos de texto (SMS) y/o mensajes a través de USSD con fines comerciales y/o publicitarios, o en las normas que las adicionen, modifiquen o sustituyan.
4.2.2.2.4. Establecer de mutuo acuerdo apremios conforme a los criterios de proporcionalidad y razonabilidad.
4.2.2.2.5. Efectuar el Registro de Proveedores de Contenidos y Aplicaciones e Integradores Tecnológicos para solicitar la asignación de códigos cortos.
4.2.2.2.6. Dar aplicación a las reglas de remuneración previstas en el Capítulo 2 del Título IV.
4.2.2.2.7. Abstenerse de enviar mensajes a través de USSD en modo -push- a aquellos usuarios que no hayan solicitado expresamente la remisión de este tipo de mensajes.
4.2.2.2.8. Abstenerse de solicitar al PRST, de forma directa o a través de los Integradores Tecnológicos, la habilitación de un código corto que ya se encuentra previamente habilitado en la red de ese PRST. La obligación del PCA aplica únicamente respecto a la red del mismo PRST, permitiendo que el código corto sea habilitado en otras redes donde existan relaciones de acceso independientes.
ARTÍCULO 4.2.2.3. CLÁUSULAS PROHIBIDAS. En los contratos o acuerdos que se celebren entre PRST y PCA no pueden incluirse cláusulas que:
4.2.2.3.1. Excluyan o limiten la responsabilidad de los PRST y los PCA para la prestación de los servicios de acuerdo con la normatividad vigente y, en especial, de conformidad con el régimen de protección de los derechos de los usuarios de los servicios de comunicaciones contenido en el CAPÍTULO 1 del TÍTULO II.
4.2.2.3.2. Obliguen al PCA a recurrir al PRST o a otra persona determinada para adquirir cualquier bien o servicio que no tenga relación directa con el objeto del contrato, o limiten su libertad para elegir el(os) PRST que le preste(n) el acceso, u obliguen a comprar, adquirir o mantener disponibles más de los bienes o servicios que el PCA necesite.
4.2.2.3.3. Den a los PRST la facultad de unilateralmente terminar el contrato, cambiar sus condiciones o suspender su ejecución, por razones distintas al incumplimiento de las obligaciones del PCA, caso fortuito, fuerza mayor y las demás que establezca la Ley.
4.2.2.3.4. Impongan al PCA una renuncia anticipada a cualquiera de los derechos que el contrato, la regulación o la Ley le conceden.
4.2.2.3.5. Impidan a los PCA ejercer control sobre los precios de sus servicios.
En todo caso, de acuerdo con lo anterior, si alguna de estas cláusulas se prevé en el acuerdo o contrato o cualquier otro documento que deban suscribir los PRST y los PCA, éstas no surtirán efectos jurídicos y se tendrán por no escritas.
(Resolución CRC 3501 de 2011, artículo 6)
REGISTRO DE PROVEEDORES DE CONTENIDOS Y APLICACIONES E INTEGRADORES TECNOLÓGICOS (RPCAI)
ARTÍCULO 4.2.3.1. OBLIGACIÓN DE REGISTRO. <Artículo modificado por el artículo 77 de la Resolución 7811 de 2025. El nuevo texto es el siguiente:> Los proveedores de contenidos y aplicaciones basados en el envío de SMS/USSD y los integradores tecnológicos deberán tramitar su inscripción dentro del Registro de Proveedores de Contenidos y Aplicaciones e Integradores Tecnológicos (RPCAI) a través del mecanismo dispuesto para el efecto por la CRC, como requisito administrativo para la asignación de códigos cortos. Esa información estará disponible para consulta en la página que la CRC disponga para ello.
ARTÍCULO 4.2.3.2. ACTUALIZACIÓN DEL REGISTRO. Es responsabilidad y obligación de los proveedores de contenidos y aplicaciones y de los integradores tecnológicos mantener constantemente actualizada la información en el Registro.
Cualquier PCA registrado que deje de proveer servicios de contenidos y aplicaciones podrá darse de baja en dicho registro, sin perjuicio de que la CRC conserve los datos para el ejercicio de sus funciones.
(Resolución CRC 3501 de 2011, artículo 8)
ARTÍCULO 4.2.3.3. REGISTRO DE PCA E INTREGRADOS TECNOLÓGICOS. Los PCA y los integradores tecnológicos al momento de inscribirse en el RPCAI deberán suministrar la siguiente información a la CRC:
Datos del PCA o Integrador Tecnológico
Tipo de agente: PCA y/o Integrador
Razón social:
Documento de identificación:
Nombre Comercial:
Dirección:
Teléfono:
Correo electrónico:
Medios de atención al cliente: (página web, correo electrónico, línea gratuita, chat, redes sociales, etc.)
Respecto de la representación legal del PCA o el integrador tecnológico deberán suministrar la siguiente información:
Detalle del representante legal
Nombre y Apellido:
Documento de identificación:
Teléfono:
Correo electrónico:
Como soporte del registro, cuando el solicitante sea una persona natural deberá aportarse copia del documento de identidad, y en caso de tratarse de una persona jurídica el certificado de existencia y representación legal, o el documento que haga sus veces cuando el solicitante sea una persona jurídica extranjera. En tales documentos debe constar la información que se registra respecto de la representación legal.
(Resolución CRC 3501 de 2011, artículo 9)
NUMERACIÓN DE CÓDIGOS CORTOS PARA LA PROVISIÓN DE CONTENIDOS Y APLICACIONES A TRAVÉS DE SMS/USSD.
ARTÍCULO 4.2.4.1. SUJETO DE ASIGNACIÓN DE CÓDIGOS CORTOS. <Artículo derogado por el artículo 13 de la Resolución 5968 de 2020>
ARTÍCULO 4.2.4.2. ASIGNACIÓN DE NUMERACIÓN Y RPCAI. <Artículo derogado por el artículo 13 de la Resolución 5968 de 2020>
ARTÍCULO 4.2.4.3. COSTOS DE LA GESTIÓN Y ASIGNACIÓN DE CÓDIGOS CORTOS. <Artículo derogado por el artículo 13 de la Resolución 5968 de 2020>
ARTÍCULO 4.2.4.4. SOLICITUD DE CODIGOS CORTOS. <Artículo derogado por el artículo 13 de la Resolución 5968 de 2020>
ARTÍCULO 4.2.4.5. OBLIGACIÓN DE USO DE LOS CÓDIGOS CORTOS. <Artículo derogado por el artículo 13 de la Resolución 5968 de 2020>
ARTÍCULO 4.2.4.6. MECANISMO DE ASIGNACIÓN DE CÓDIGOS CORTOS. <Artículo derogado por el artículo 13 de la Resolución 5968 de 2020>
ARTÍCULO 4.2.4.7. RECUPERACIÓN DE CÓDIGOS CORTOS. <Artículo derogado por el artículo 13 de la Resolución 5968 de 2020>
ARTÍCULO 4.2.4.8. CRITERIOS DE USO DE LOS CÓDIGOS CORTOS. <Artículo derogado por el artículo 13 de la Resolución 5968 de 2020>
ARTÍCULO 4.2.4.9. CAUSALES DE RECUPERACION DE CÓDIGOS CORTOS. <Artículo derogado por el artículo 13 de la Resolución 5968 de 2020>
ARTÍCULO 4.2.4.10. PERIODO DE CUARENTENA DE LOS CÓDIGOS CORTOS RECUPERADOS. <Artículo derogado por el artículo 13 de la Resolución 5968 de 2020>
ARTÍCULO 4.2.4.11. ESTADOS DE LA NUMERACIÓN DE CÓDIGOS CORTOS. <Artículo derogado por el artículo 13 de la Resolución 5968 de 2020>
ARTÍCULO 4.2.4.12. CRITERIOS DE LA ESTRUCTURA Y CLASIFICACIÓN DE CÓDIGOS CORTOS PARA LA PRESTACIÓN DE CONTENIDOS Y APLICACIONES. <Artículo derogado por el artículo 13 de la Resolución 5968 de 2020>
ARTÍCULO 4.2.4.13. ESTRUCTURA Y CLASIFICACIÓN DE CÓDIGOS CORTOS PARA LA PRESTACIÓN DE CONTENIDOS Y APLICACIONES. <Artículo derogado por el artículo 13 de la Resolución 5968 de 2020>
ARTÍCULO 4.2.4.14. PROCESO DE TRANSICIÓN PARA LA NUMERACIÓN. <Artículo derogado por el artículo 80 de la Resolución 5586 de 2019>
ARTÍCULO 4.2.4.15. PUBLICIDAD DE LA INFORMACIÓN DE CÓDIGOS CORTOS. <Artículo derogado por el artículo 13 de la Resolución 5968 de 2020>
REPORTES DE INFORMACIÓN
ARTÍCULO 4.2.5.1. REPORTES DE INFORMACIÓN A CARGO DE LOS INTEGRADORES TECNOLÓGICOS. <Artículo derogado por el artículo 80 de la Resolución 5586 de 2019>
DISPOSICIONES RELATIVAS A LA PROVISIÓN DE CONTENIDOS Y APLICACIONES A TRAVÉS DE SMS/MMS/USSD
ARTÍCULO 4.2.6.1. DEBER DE INFORMACIÓN Y CONTROL DE CONSUMO. <Artículo derogado por el artículo 12 de la Resolución 5111 de 2017>
ARTÍCULO 4.2.6.2. INFORMACIÓN PREVIA A LA PRESTACIÓN DEL SERVICIO. <Artículo derogado por el artículo 12 de la Resolución 5111 de 2017>
ARTÍCULO 4.2.6.3. INFORMACIÓN DURANTE LA PRESTACIÓN DEL SERVICIO DE SUSCRIPCIÓN. <Artículo derogado por el artículo 12 de la Resolución 5111 de 2017>
ARTÍCULO 4.2.6.4. MANIFESTACIÓN DE LA VOLUNTAD DEL USUARIO DE CONTRATAR EL SERVICIO. <Artículo derogado por el artículo 12 de la Resolución 5111 de 2017>
ARTÍCULO 4.2.6.5. NO PROVISIÓN DEL SERVICIO. <Artículo derogado por el artículo 12 de la Resolución 5111 de 2017>
ARTÍCULO 4.2.6.6. FACTURACIÓN. <Artículo derogado por el artículo 12 de la Resolución 5111 de 2017>
ARTÍCULO 4.2.6.7. ESTANDARIZACIÓN DE LOS PROCEDIMIENTOS. <Artículo derogado por el artículo 12 de la Resolución 5111 de 2017>
ARTÍCULO 4.2.6.8. PROCEDIMIENTOS PARA LA PRESTACIÓN DE SERVICIOS DE SUSCRIPCIÓN DE TARIFA CON PRIMA BASADOS EN EL ENVÍO DE MENSAJES SMS Y/O MMS O MENSAJES A TRAVÉS DE USSD. <Artículo derogado por el artículo 12 de la Resolución 5111 de 2017>
ARTÍCULO 4.2.6.9. SOLICITUD DE CANCELACIÓN DE UN SERVICIO DE SUSCRIPCIÓN. <Artículo derogado por el artículo 12 de la Resolución 5111 de 2017>
CONDICIONES DE REMUNERACIÓN DE LAS REDES DE SERVICIOS MÓVILES ASOCIADAS A LA PROVISIÓN DE CONTENIDOS Y APLICACIONES A TRAVÉS DE SMS/USSD.
ARTÍCULO 4.2.7.1. REMUNERACIÓN DE LAS REDES DE SERVICIOS MÓVILES CON OCASIÓN DE SU UTILIZACIÓN A TRAVÉS DE MENSAJES CORTOS DE TEXTO (SMS) DE APLICACIÓN A PERSONA (A2P). <Artículo modificado por el artículo 1 de la Resolución 8183 de 2026. El nuevo texto es el siguiente:> Todos los proveedores de redes y servicios de telecomunicaciones móviles (PRSTM) deberán ofrecer a los integradores tecnológicos (IT) y proveedores de contenidos y aplicaciones (PCA), para efectos de remunerar la utilización de su red en relación con la provisión de mensajes cortos de texto (SMS) de Aplicación a Persona (A2P), tanto en sentido entrante como saliente del tráfico, el valor de cargo de acceso máximo equivalente a:
Cargo de acceso para mensajes Aplicación a Persona (A2P)
| (Pesos/SMS) | 1,00 |
Nota: Valor expresado en pesos constantes de enero de 2022. La actualización de los pesos constantes a pesos corrientes se realizará a partir del 1 de enero de 2023, conforme al numeral 1 del Anexo 4.2 del Título de Anexos.
Esta remuneración corresponde a los mensajes cortos de texto (SMS) cursados bajo condiciones normales de carga de la red, las cuales se estiman mediante la aplicación de la metodología de dimensionamiento establecida en el numeral 4.3.2.15.2 del artículo 4.3.2.15 de la presente resolución.
PARÁGRAFO 1o. La remuneración por la utilización de las redes bajo las condiciones a las que hace referencia el presente artículo deberá aplicarse desde la solicitud que en tal sentido realice el IT o PCA solicitante de la interconexión o el acceso, al respectivo PRSTM.
PARÁGRAFO 2o. Los PRSTM, IT y PCA, a los que hace referencia el presente artículo, podrán establecer de mutuo acuerdo esquemas de remuneración distintos a los aquí previstos, siempre y cuando tales acuerdos se ajusten a las obligaciones y principios regulatorios y no superen el tope establecido para este tipo de remuneración.
Sin perjuicio de las reglas definidas en el presente artículo, el tope regulatorio al que hace referencia el anterior inciso no será aplicable, cuando a petición del proveedor de contenidos y aplicaciones o del integrador tecnológico se apliquen condiciones diferenciales en el tratamiento de determinadas porciones de tráfico de SMS.
La prestación de estos servicios adicionales en el marco de la relación de acceso se someterá a las siguientes reglas:
a) Su ofrecimiento por parte del PRST será facultativo, y se prestarán en condiciones no discriminatorias a los PCA o IT que los soliciten, sujeto a la capacidad técnica de la red del PRST en concordancia con lo señalado en el numeral 4.2.2.1.2 del artículo 4.2.2.1 de la presente resolución.
b) Se prestarán respecto de porciones de tráfico que determine el PCA o IT. Este pacto, no supondrá que todo el tráfico a ser cursado en la relación de acceso migre a este esquema, salvo que el PCA o IT así lo requiera.
c) Las condiciones de remuneración de estos servicios adicionales dentro de la relación de acceso serán definidas de manera negociada por las partes para dicho tráfico.
d) La implementación de estos servicios implicará un aumento en la capacidad o el dimensionamiento previamente acordados en la relación de acceso mientras así lo requiera el PCA o IT.
e) En ningún caso estos acuerdos podrán suponer una degradación del servicio o servicios no sujetos al esquema de servicios adicionales.
PARÁGRAFO 3o. El PRSTM no podrá generar cargos al usuario por uso de su propia red que ya se encuentren remunerados a través de los cargos de acceso a los que hace referencia el Capítulo 2 del Título IV
ARTÍCULO 4.2.7.2. REMUNERACIÓN DE LAS REDES DE SERVICIOS MÓVILES CON OCASIÓN DE SU UTILIZACIÓN A TRAVÉS DE MENSAJES A TRAVÉS DEL SERVICIO SUPLEMENTARIO DE DATOS NO ESTRUCTURADOS (USSD). <Artículo modificado por el artículo 54 de la Resolución 5586 de 2019. El nuevo texto es el siguiente:> La remuneración por el acceso a las redes de servicios móviles con ocasión de la provisión de contenidos y aplicaciones a través de mensajes a través del servicio suplementario de datos no estructurados (USSD) será definida de mutuo acuerdo y bajo el principio de costos eficientes entre los proveedores de redes y servicios móviles y los integradores tecnológicos y/o proveedores de contenidos y aplicaciones.
DISPOSICIONES FINALES
ARTÍCULO 4.2.8.1. FORMATOS DE REPORTE DE INFORMACIÓN. <Artículo derogado por el artículo 80 de la Resolución 5586 de 2019>
REGLAS SOBRE CARGOS DE ACCESO Y USO A REDES FIJAS Y MÓVILES
GENERALIDADES
ARTÍCULO 4.3.1.1. OBLIGACIONES GENERALES. Todos los proveedores de telecomunicaciones deben cumplir las siguientes obligaciones generales, aplicables a los cargos de acceso:
4.3.1.1.1. OBLIGACIÓN DE TRATO NO DISCRIMINATORIO. Todos los proveedores de telecomunicaciones deberán ofrecer a otro proveedor de telecomunicaciones interconectado a su red o por interconectarse, los mismos cargos y condiciones de originación, terminación, tránsito o transporte de llamadas y de mensajes cortos de texto (SMS), que hayan ofrecido o acordado con sus matrices, filiales, subsidiarias o con cualquier otro proveedor o que se haya otorgado a sí mismo, en condiciones no discriminatorias.
4.3.1.1.2. OBLIGACIÓN DE TRANSPARENCIA DE LOS CARGOS DE ACCESO. Todos los proveedores de telecomunicaciones deberán informar a sus usuarios los cargos de acceso que se pagan a otras redes. Esta información debe ser reportada al Sistema Integral de Información (SII) Colombia TIC.
4.3.1.1.3. OBLIGACIÓN DE OFRECER CARGOS DE ACCESO ORIENTADOS A COSTOS. Todos los proveedores de telecomunicaciones deberán ofrecer cargos de acceso que estén orientados a costos eficientes y que estén suficientemente desagregados para que el proveedor que solicita la interconexión no tenga que pagar por componentes o instalaciones de la red que no se requieran para el suministro del servicio.
(Resolución CRT 1763 de 2007, artículo 1)
CARGOS DE ACCESO
<Sección subrogada por el artículo 4 de la Resolución 5826 de 2019> <Notas de Vigencia>
ARTÍCULO 4.3.2.1. CARGOS DE ACCESO A REDES FIJAS. <Artículo modificado a partir del 1 de julio por el artículo 1 de la Resolución 8144 de 2026. El texto vigente hasta esta fecha es el siguiente:> <Artículo modificado por el artículo 1 de la Resolución 7713 de 2025. El nuevo texto es el siguiente:> Todos los proveedores de redes y servicios de telecomunicaciones fijos, deberán ofrecer a los demás proveedores de redes y servicios de telecomunicaciones por lo menos los siguientes dos esquemas de cargos de acceso para remunerar el uso de su red con ocasión de la interconexión de los servicios de voz, sin perjuicio de lo dispuesto en el artículo 4.3.2.4 del Capítulo 3 del Título IV:
| Cargo de Acceso | A partir del 1 de abril de 2025 |
| Minuto (uso) | $7,68 |
| Capacidad (E1) | $2.691.241 |
Nota: Valores expresados en pesos constantes de 2025. La actualización de los pesos constantes a pesos corrientes se realizará, a partir del 1 de enero de 2026, conforme al numeral 1 del Anexo 4.2 del Título de Anexos. Corresponde al valor de los cargos de acceso que los proveedores de redes y servicios fijos reciben de otros proveedores de redes y servicios, cuando estos hacen uso de sus redes, tanto en sentido entrante como saliente. Los valores que contempla la opción de uso corresponden a la remuneración por minuto real, y la opción de capacidad corresponde a la remuneración mensual por enlaces de 2.048 Kbps (E1), o su equivalente, que se encuentren operativos en la interconexión.
PARÁGRAFO 1o. Los proveedores de redes y servicios de telecomunicaciones, a los que hace referencia el presente artículo, podrán establecer de mutuo acuerdo esquemas de remuneración distintos a los dos esquemas de cargos de acceso previstos en el presente artículo, siempre y cuando tales acuerdos se ajusten a las obligaciones y principios regulatorios.
PARÁGRAFO 2o. Los proveedores de redes y servicios que hagan uso de la red de acceso fija podrán elegir libremente, para cada una de las interconexiones, entre las opciones de cargos de acceso a las que hace referencia el presente artículo. La respectiva interconexión será remunerada bajo la opción de cargos de acceso escogida, a partir de la fecha en la que se le informe al proveedor de redes y servicios fijos sobre su elección.
En el caso que se presente un conflicto, el proveedor de redes y servicios fijos debe suministrar de inmediato la interconexión a los valores que se encuentran en el presente artículo a la opción de cargos de acceso elegida, mientras se logra un acuerdo entre las partes, o la CRC define los puntos de divergencia.
PARÁGRAFO 3o. En todo caso los proveedores de redes y servicios que hagan uso de la red de acceso fija podrán exigir la opción de cargos de acceso por capacidad, caso en el cual, el proveedor de redes y servicios fijos podrá requerir un período de permanencia mínima, que sólo podrá extenderse el tiempo necesario para recuperar la inversión que se haya efectuado para adecuar la interconexión. Dicho período de permanencia mínima en ningún caso podrá ser superior a 1 año.
ARTÍCULO 4.3.2.2. CARGO POR TRÁNSITO. <Artículo modificado a partir del 1 de julio por el artículo 2 de la Resolución 8144 de 2026. El texto vigente hasta esta fecha es el siguiente:> <Artículo modificado por el artículo 2 de la Resolución 7713 de 2025. El nuevo texto es el siguiente:> La interconexión entre proveedores de redes y servicios fijos podrá ser realizada de manera indirecta a elección del proveedor que origina la llamada, caso en el cual, el proveedor que realice el tránsito de la comunicación tendrá derecho a una remuneración por dicho tránsito del 25% del valor del cargo de acceso establecido en el artículo 4.3.2.1. y, en ningún caso, podrá ser superior a este porcentaje.
El proveedor que tenga interconexión tanto con la red en la que se origina la comunicación como con la red de destino deberá ofrecer el tránsito de la llamada. El valor de dicho tránsito no podrá ser superior al porcentaje del cargo de acceso indicado.
ARTÍCULO 4.3.2.3. CARGOS DE ACCESO ENTRE REDES FIJAS EN UN MISMO MUNICIPIO O GRUPO DE MUNICIPIOS. <Artículo derogado a partir del 1 de julio por el artículo 1 de la Resolución 8144 de 2026. El texto vigente hasta esta fecha es el siguiente:> <Artículo subrogado por el artículo 4 de la Resolución 5826 de 2019. El nuevo texto es el siguiente:> La remuneración a los proveedores de redes y servicios fijos por parte de otros proveedores de redes y servicios fijos en un mismo municipio o grupo de municipios, por concepto de la utilización de sus redes, se realizará bajo el mecanismo en el que cada proveedor conserva la totalidad del valor recaudado de sus usuarios y se responsabiliza de todo lo concerniente al proceso de facturación.
Todo lo anterior, sin perjuicio de que los proveedores acuerden otros mecanismos alternativos para la remuneración de las redes.
PARÁGRAFO. A efectos de la aplicación del mecanismo de remuneración al que hace referencia el presente artículo, se entenderá que existe un grupo de municipios dentro de un mismo departamento, cuando el proveedor de redes y servicios fijos no aplique a sus usuarios cobros diferentes a los que tendría una llamada dentro de un mismo municipio.
ARTÍCULO 4.3.2.4. CARGOS DE ACCESO PARA REMUNERAR LA RED FIJA POR PARTE DE LOS PROVEEDORES DE LARGA DISTANCIA INTERNACIONAL QUE SEAN FILIALES, SUBORDINADAS O SUBSIDIARIAS DE PROVEEDORES DE REDES Y SERVICIOS FIJOS O QUE AL MISMO TIEMPO PRESTEN LOS SERVICIOS TANTO DE LARGA DISTANCIA INTERNACIONAL COMO DE TELEFONÍA FIJA O QUE HAGAN PARTE DEL MISMO GRUPO EMPRESARIAL. <Artículo derogado por el artículo 137 de la Resolución 7811 de 2025>
ARTÍCULO 4.3.2.5. CARGOS DE ACCESO A REDES MÓVILES EN LLAMADAS FIJO-MÓVIL. <Artículo derogado por el artículo 13 de la Resolución 7007 de 2022>
ARTÍCULO 4.3.2.6. VALOR DEL CARGO DE INTERMEDIACIÓN EN LLAMADAS FIJO-MÓVIL. <Artículo subrogado por el artículo 4 de la Resolución 5826 de 2019. El nuevo texto es el siguiente:> Todos los proveedores de redes y servicios móviles deberán ofrecer a los otros proveedores, en las llamadas fijo-móvil hacia números portados, el cargo de intermediación definido en el Título I. Definiciones de la presente resolución, el cual no podrá ser superior al 20,06% del cargo de acceso por uso establecido en el artículo 4.3.2.8 del presente Título.
ARTÍCULO 4.3.2.7. CARGOS DE ACCESO A REDES MÓVILES DE PROVEEDORES QUE HAYAN OBTENIDO POR PRIMERA VEZ PERMISOS PARA EL USO Y EXPLOTACIÓN DE ESPECTRO UTILIZADO PARA IMT. <Artículo derogado por el artículo 13 de la Resolución 7007 de 2022>
ARTÍCULO 4.3.2.8. CARGOS DE ACCESO PARA LA TERMINACIÓN DE LLAMADAS EN REDES MÓVILES. <Artículo modificado por el artículo 2 de la Resolución 8183 de 2026. El nuevo texto es el siguiente:>
4.3.2.8.1. Todos los proveedores de redes y servicios móviles deberán ofrecer a los proveedores de redes y servicios de telecomunicaciones por lo menos los siguientes dos esquemas de cargos de acceso:
(i) Por uso: $1,08 (pesos / minuto)
(ii) Por capacidad: $1.835.002,56 (pesos / E1) y $494.672.109,72 (pesos / GbE).
Nota: Valores expresados en pesos constantes de enero de 2026. La actualización de los pesos constantes a pesos corrientes se realizará, a partir del 1 de enero de 2027, conforme al numeral 1 del Anexo 4.2 del Título de Anexos. Los proveedores de redes y servicios de Larga Distancia Internacional pagarán cargos de acceso por originación y por terminación en las redes móviles. Los valores que contempla la opción de uso corresponden a la remuneración por minuto real, y la opción de capacidad corresponde a la remuneración mensual por enlaces de 2.048 Kbps (E1), o 1.024 Mbps (GbE) o su equivalente que se encuentren operativos en la interconexión.
4.3.2.8.2. La remuneración a los proveedores de redes y servicios móviles por parte de otros proveedores de redes y servicios móviles, por concepto de la utilización de sus redes para la terminación de llamadas del servicio de voz móvil, se realizará bajo el mecanismo en el que cada proveedor conserva la totalidad del valor recaudado de sus usuarios y se responsabiliza de todo lo concerniente al proceso de facturación.
En caso de que exista un desbalance identificado en la conciliación del tráfico entrante y saliente cursado por los proveedores de redes y servicios móviles, estos podrán acordar un mecanismo para compensar dicho desbalance.
En el evento en que no exista acuerdo entre las partes, los proveedores de redes y servicios móviles podrán acudir a la CRC con el fin de que, en ejercicio de su función de controversias, dirima la diferencia. Para estos efectos, únicamente se reconocerá como desbalance compensable aquel en el que la proporción del tráfico entrante de un proveedor, respecto del total del tráfico bilateral cursado se sitúe por fuera del intervalo, comprendido entre el cuarenta y cinco por ciento (45%) y el cincuenta y cinco por ciento (55%), lo cual implica una diferencia superior al cinco por ciento (5%) respecto del punto de equilibrio.
En cualquiera de los casos, la remuneración aplicable al tráfico que exceda el desbalance acordado por las partes o determinado por la CRC deberá realizarse conforme a alguno de los esquemas previstos en el numeral 4.3.2.8.1. del presente artículo -ya sea por minuto o por capacidad- y en ningún caso podrá exceder el valor máximo allí establecido para el esquema correspondiente.
PARÁGRAFO 1o. Los proveedores de redes y servicios de telecomunicaciones a los que hace referencia el numeral 4.3.2.8.1. del presente artículo podrán establecer de mutuo acuerdo esquemas de remuneración distintos a los dos esquemas de cargos de acceso previstos en dicho numeral, siempre y cuando tales acuerdos se ajusten a las obligaciones y principios regulatorios.
PARÁGRAFO 2o. Los proveedores de redes y servicios de telecomunicaciones a los que hace referencia el numeral 4.3.2.8.1. del presente artículo podrán exigir la opción de cargos de acceso por capacidad, caso en el cual el proveedor a quien se le demande dicha opción podrá requerir un período de permanencia mínima, que solo podrá extenderse el tiempo necesario para recuperar la inversión que se haya efectuado para adecuar la interconexión. Dicho período de permanencia mínima en ningún caso podrá ser superior a un (1) año.
En el caso de que se presente un conflicto, el proveedor de redes y servicios móviles debe suministrar de inmediato la interconexión a los valores previstos en el numeral mencionado, correspondientes a la opción de cargos de acceso elegida por el otro proveedor, mientras se logra un acuerdo entre las partes o la CRC resuelve el conflicto en caso de que el mismo se presente a su consideración.
PARÁGRAFO 3o. La liquidación de los cargos de acceso a los que hace referencia el numeral 4.3.2.8.1. del presente artículo se realiza de manera mensual tomando la unidad asociada al esquema elegido, es decir, minutos mensuales cursados bajo la opción de cargos de acceso por uso, o enlaces operativos en la interconexión bajo la opción de cargos de acceso por capacidad.
PARÁGRAFO 4o. En el esquema de remuneración mediante la opción de cargos de acceso por capacidad a los que hace referencia el numeral 4.3.2.8.1. del presente artículo, cuando el tráfico ofrecido sobrepase la capacidad dimensionada de la interconexión, deberá ser enrutado a través de rutas específicas de desborde. Dicho tráfico de desborde será remunerado por minuto cursado al doble del valor del cargo de acceso por uso establecido en el numeral 4.3.2.8.1. del presente artículo, siempre y cuando dicho tráfico no se haya generado por retrasos en la ampliación de las rutas por parte del proveedor de redes y servicios de telecomunicaciones que recibe los cargos de acceso. La ampliación del número de enlaces requeridos para el óptimo funcionamiento de la interconexión debe llevarse a cabo de conformidad con lo dispuesto en el artículo 4.3.2.15. de la presente resolución.
ARTÍCULO 4.3.2.9. CARGOS DE ACCESO PARA REMUNERAR LA RED MÓVIL POR PARTE DE LOS PROVEEDORES DE LARGA DISTANCIA INTERNACIONAL QUE SEAN FILIALES, SUBORDINADAS O SUBSIDIARIAS DE PROVEEDORES DE REDES Y SERVICIOS MÓVILES O QUE AL MISMO TIEMPO PRESTEN LOS SERVICIOS TANTO DE LARGA DISTANCIA INTERNACIONAL COMO DE SERVICIOS MÓVILES O QUE HAGAN PARTE DEL MISMO GRUPO EMPRESARIAL. <Artículo derogado por el artículo 137 de la Resolución 7811 de 2025>
ARTÍCULO 4.3.2.10. CARGOS DE ACCESO PARA TERMINACIÓN DE MENSAJES CORTOS DE TEXTO (SMS) DE PERSONA A PERSONA (P2P). <Artículo modificado por el artículo 3 de la Resolución 8183 de 2026. El nuevo texto es el siguiente:>
4.3.2.10.1. Todos los proveedores de redes y servicios móviles deberán ofrecer a los demás proveedores de redes y servicios móviles un cargo de acceso para la terminación de mensajes cortos de texto (SMS) de Persona a Persona (P2P) en sus redes, que no podrá ser superior a:
Cargo de acceso para mensajes Persona a Persona (P2P)
| (pesos/SMS) | 0,03 |
Nota: Valor expresado en pesos constantes de enero de 2026. La actualización de los pesos constantes a pesos corrientes se realizará a partir del 1 de enero de 2027, conforme al numeral 1 del Anexo 4.2 del Título de Anexos.
Para el pago de este cargo de acceso, los proveedores de redes y servicios móviles deberán considerar única y exclusivamente los mensajes cortos de texto (SMS) entregados a la plataforma de administración de mensajes cortos de texto (SMSC) del proveedor destino. Lo anterior, en concordancia con lo establecido en el régimen de protección de los derechos de los usuarios de los servicios de comunicaciones sobre la materia.
4.3.2.10.2. La remuneración a los proveedores de redes y servicios móviles por parte de otros proveedores de redes y servicios móviles, por concepto de la utilización de sus redes para la terminación de mensajes cortos de texto, se realizará bajo el mecanismo en el que cada proveedor conserva la totalidad del valor recaudado de sus usuarios y se responsabiliza de todo lo concerniente al proceso de facturación.
En caso de que exista un desbalance identificado en la conciliación del tráfico entrante y saliente cursado por los proveedores de redes y servicios móviles, estos podrán acordar un mecanismo para compensar dicho desbalance.
En el evento en que no exista acuerdo entre las partes, los proveedores de redes y servicios móviles podrán acudir a la CRC con el fin de que, en ejercicio de su función de controversias, dirima la diferencia. Para estos efectos, únicamente se reconocerá como desbalance compensable aquel en el que la proporción del tráfico entrante de un proveedor, respecto del total del tráfico bilateral cursado se sitúe por fuera del intervalo, comprendido entre el cuarenta y cinco por ciento (45%) y el cincuenta y cinco por ciento (55%), lo cual implica una diferencia superior al cinco por ciento (5%) respecto del punto de equilibrio.
En cualquiera de los casos, la remuneración aplicable al tráfico que exceda el desbalance acordado por las partes o determinado por la CRC en ningún caso podrá exceder el valor máximo previsto en el numeral 4.3.2.10.1 del presente artículo.
PARÁGRAFO. Lo dispuesto en el numeral 4.3.2.10.2 del presente artículo no será aplicable a la remuneración de las redes móviles con ocasión de su utilización a través de SMS para el tráfico de Aplicación a Persona (A2P) por parte de proveedores de redes y servicios de telecomunicaciones móviles (PRSTM), los integradores tecnológicos (IT) y proveedores de contenidos y aplicaciones (PCA).
ARTÍCULO 4.3.2.11. CARGOS DE ACCESO PARA TERMINACIÓN DE MENSAJES CORTOS DE TEXTO (SMS) DE LARGA DISTANCIA INTERNACIONAL. <Artículo adicionado por el artículo 4 de la Resolución 8183 de 2026. El nuevo texto es el siguiente:> Todos los proveedores de redes y servicios móviles deberán ofrecer a los proveedores de redes y servicios de larga distancia internacional, para efectos de remunerar la utilización de su red en relación con la provisión de mensajes cortos de texto (SMS), tanto en sentido entrante como saliente del tráfico, el valor de cargo de acceso máximo equivalente a:
Cargo de acceso para mensajes
| (pesos/SMS) | 1,00 |
Nota: Valor expresado en pesos constantes de enero de 2022. La actualización de los pesos constantes a pesos corrientes se realizará a partir del 1 de enero de 2023, conforme al numeral 1 del Anexo 4.2. del Título de Anexos.
ARTÍCULO 4.3.2.11. NO APLICACIÓN DE LA REGLA MAYORISTA. <Artículo derogado por el artículo 137 de la Resolución 7811 de 2025>
ARTÍCULO 4.3.2.12. CARGOS DE ACCESO DE LAS REDES ENTRE PROVEEDORES DE TELECOMUNICACIONES PARA LA MARCACIÓN 1XY DE LA MODALIDAD 1 DEL ARTÍCULO 2.2.12.2.1.14 DEL DECRETO NÚMERO 1078 DE 2015. <Artículo subrogado por el artículo 4 de la Resolución 5826 de 2019. El nuevo texto es el siguiente:> No habrá lugar al pago de cargos de acceso y uso de redes entre los proveedores de telecomunicaciones para las llamadas realizadas cuando se accede a los servicios con numeración 1XY, de que trata la modalidad 1 del Anexo 6.3 del Título de anexos, o aquella que la modifique, adicione, sustituya o derogue.
PARÁGRAFO. Los proveedores de redes y servicios de telecomunicaciones deberán entregar las llamadas a números 1XY de la modalidad 1 del Anexo 6.3 del Título de anexos, o aquella que la modifique, adicione, sustituya o derogue, al proveedor de redes y servicios en el municipio en donde preste servicio a los centros de atención de las entidades contempladas con la modalidad 1 más cercano al sitio de origen de la llamada.
ARTÍCULO 4.3.2.13. CARGOS DE ACCESO DE LAS REDES ENTRE PROVEEDORES DE TELECOMUNICACIONES PARA LA MARCACIÓN 1XY DE LAS MODALIDADES 3 Y 4 DEL ARTÍCULO 2.2.12.2.1.14 DEL DECRETO NÚMERO 1078 DE 2015. <Artículo subrogado por el artículo 4 de la Resolución 5826 de 2019. El nuevo texto es el siguiente:> Sin perjuicio de lo establecido en el artículo 4.3.2.14, el cobro de los cargos de acceso y uso de redes entre los proveedores de telecomunicaciones, para las llamadas realizadas cuando se accede a los servicios con numeración 1XY definidos en las modalidades 3 y 4 de que trata el artículo 2.2.12.2.1.14 del Decreto número 1078 de 2015, se regirá por lo establecido en el Capítulo 3 del Título IV, o por las normas que los sustituyan, modifiquen o deroguen.
ARTÍCULO 4.3.2.14. REMUNERACIÓN POR LLAMADAS DE COBRO REVERTIDO O SUFRAGADAS POR LOS PRESTADORES DE SERVICIOS DE INTERÉS SOCIAL, SIN COSTO PARA EL USUARIO. <Artículo adicionado por el artículo 4 de la Resolución 5826 de 2019. El nuevo texto es el siguiente:> La remuneración de las redes por concepto de la originación de las llamadas realizadas sin costo para el usuario podrá ser definida de mutuo acuerdo por los proveedores de redes y servicios de telecomunicaciones que intervienen en la comunicación, siempre que no superen los topes a los cuales hace referencia el presente artículo, para los siguientes casos:
- Llamadas realizadas para acceder a los servicios prestados a través numeración de cobro revertido con marcación 01800;
- Llamadas realizadas para acceder a los servicios prestados a través de numeración para los servicios semiautomáticos y especiales con marcación 1XY de las modalidades 2 y 3, en el caso en el que la empresa y/o entidad que preste servicios de esta última modalidad haya optado por cubrir la totalidad de los costos de las llamadas conforme a lo previsto en la parte final del numeral 3 del artículo 2.2.12.2.1.14. del Decreto número 1078 de 2015.
En caso que los proveedores no lleguen a un acuerdo, el proveedor que sea asignatario de la numeración de cobro revertido con marcación 01800, o cuya red preste el servicio de recepción de llamadas a los centros de atención de las empresas y entidades encargadas de la prestación de los servicios de interés social de las modalidades 2 y 3 a las que hace referencia el anterior inciso, deberá pagar al proveedor de la red en la que se origine la comunicación, como máximo, un cargo equivalente al fijado para el cargo de acceso por uso que corresponda a la red de acceso en la que se origine la comunicación, conforme a lo establecido en el Capítulo 3 del Título IV de la presente resolución, o por las normas que los sustituyan, modifiquen o deroguen.
ARTÍCULO 4.3.2.15. REGLAS DE DIMENSIONAMIENTO EFICIENTE. <Artículo modificado por el artículo 5 de la Resolución 8183 de 2026. El nuevo texto es el siguiente:> La capacidad dimensionada de la interconexión y el acceso debe responder en todo momento a las necesidades de tráfico de los proveedores interconectados.
4.3.2.15.1. Dimensionamiento eficiente de la interconexión. Para efectos del dimensionamiento eficiente de las interconexiones, los proveedores a través del Comité Mixto de Interconexión (CMI) deberán aplicar la siguiente metodología:
a) Identificación y análisis de tráfico de carga elevada y normal mensual, de cada una de las rutas de interconexión activas, para los doce (12) meses previos, valor representativo anual, conocido por su sigla en inglés (YRV), de que trata la Recomendación UIT-T E.492 y E.500.
b) Utilización del Grado de Servicio del 1% de bloqueo medio para la hora de mayor tráfico, o aquel más exigente que hayan acordado las partes.
c) Aplicación de la fórmula de Erlang B utilizando los datos anteriores, para determinar el número de enlaces requeridos en cada ruta. En el caso de evidenciarse una tendencia decreciente del tráfico de una ruta se utilizará para el cálculo de enlaces el dato de tráfico de carga normal en lugar del tráfico de carga elevada.
Teniendo en cuenta lo anterior, salvo que se acuerde algo distinto, los proveedores deberán analizar por lo menos mensualmente el comportamiento de la interconexión, para efectos de identificar la necesidad de incorporar o no ajustes en la misma, considerando la siguiente metodología y criterios, de lo cual deberá quedar constancia por escrito, a través de medios físicos o digitales:
a) Previo a la realización del CMI, cada PRST analizará el porcentaje de ocupación promedio de tráfico en Erlangs de cada una de las rutas de interconexión durante el mes inmediatamente anterior; este porcentaje es la relación existente entre el promedio de los valores de tráfico pico de carga elevada registrado en una ruta determinada, con respecto al umbral de tráfico de dicha ruta. Este análisis deberá ser remitido a la otra parte con al menos cinco (5) días de anterioridad a la celebración del CMI, a efectos de permitir que durante su realización se adopten las decisiones a que haya lugar;
b) Criterio de subdimensionamiento: Cuando una ruta registre un porcentaje de ocupación promedio de tráfico superior al 85%, calculado tal como se indicó en el literal anterior, el proveedor afectado presentará en el CMI una proyección de crecimiento de dicha ruta para los seis (6) meses subsiguientes. Las proyecciones contemplarán previsiones para procurar que la ruta objeto de ampliación no supere el 80% de ocupación dentro de los seis meses siguientes a la fecha de la ampliación;
c) Criterio de sobredimensionamiento: Cuando una ruta registre un porcentaje de ocupación promedio de tráfico en Erlangs inferior al 60%, calculado como se señaló previamente, se procederá a disminuir la cantidad de enlaces de interconexión de dicha ruta de manera tal que la ruta pase a un nivel de ocupación promedio del 80% y cumpla el grado de servicio definido, salvo que se utilice la capacidad mínima por ruta correspondiente a un (1) E1 de interconexión.
Si de la aplicación de los parámetros antes definidos se evidencia la necesidad de aumentar o disminuir el número de enlaces activos requeridos para el óptimo funcionamiento de la interconexión, las partes deberán proceder a la implementación efectiva de dichos ajustes dentro de los cinco (5) días siguientes a la celebración del respectivo CMI en el que debe tener lugar el análisis del comportamiento de la interconexión dentro de la periodicidad definida en la presente disposición. En caso de presentarse sobredimensionamiento de la interconexión, y vencido el plazo antes indicado, el proveedor que remunera el uso de la red podrá proceder de manera unilateral a la desconexión de los enlaces de interconexión que generan el sobredimensionamiento.
Sin perjuicio del dimensionamiento eficiente del tráfico de que trata el presente numeral relativo a enlaces E1, los PRST podrán adoptar cualquier otro tipo de interfaz de transmisión.
4.3.2.15.2. Dimensionamiento eficiente para el envío de contenidos y aplicaciones mediante mensajes cortos de texto (SMS). Para efectos del dimensionamiento eficiente para el envío de contenidos y aplicaciones mediante mensajes cortos de texto SMS, los Proveedores de Redes y Servicios de Telecomunicaciones Móviles (PRSTM), los Integradores Tecnológicos (IT) y los Proveedores de Contenidos y Aplicaciones (PCA), a través del Comité Mixto de Acceso (CMA), deberán aplicar la siguiente metodología:
a) Se deberá obtener la totalidad de las mediciones del promedio de Transacciones por Segundo (TPS) para los periodos de lectura de 15 minutos durante todo el día, dentro del periodo de referencia del mes inmediatamente anterior.
b) Se deberá aplicar la metodología de cálculo para la estimación del factor de irregularidad Z a todas las muestras obtenidas, a fin de determinar su estacionalidad, teniendo en cuenta la siguiente fórmula:
![]()
Donde:
es la varianza del tráfico asociada con la iésima medición, que se calcula como
![]()
es la media artimética de los valores de la muestra asociada con la i-ésima medición, que se calcula como ![]()
es el valor indiviual de cada muestra, que corresponde a la suma de los TPS ofrecidos por el ESME (External Short Messaging Entity) al SMSC (Short Message Service Center). En ese caso el valor de
corresponde a la suma de todos los TPS ofrecidos durante los 15 minutos asociados al periodo de lectura del tiempo tj.
N: Es el número de valores en la muestra.
c: Se deberán eliminar del análisis todas las mediciones que tengan un Z>1 y sólo se considerarán válidas todas aquellas que arrojen un ![]()
d: Se deben ordenar todas las muestras válidas de mayor a menor con el fin de identificar los picos de tráfico.
e: Se debe seleccionar el sexto mayor pico para asociarlo con el tráfico de carga normal.
Teniendo en cuenta lo anterior, salvo que se acuerde algo distinto, los proveedores deberán analizar por lo menos mensualmente el comportamiento de los volúmenes de tráfico, para efectos de identificar la necesidad de incorporar o no ajustes en el dimensionamiento del acceso, considerando la siguiente metodología y criterios, de lo cual deberá quedar constancia por escrito, a través de medios físicos o digitales:
a) Previo a la realización del CMA, cada PRSTM, IT o PCA analizará el número de TPS correspondiente al sexto mayor pico para asociarlo con el tráfico de carga normal del mes inmediatamente anterior. Este análisis deberá ser remitido a la otra parte con al menos cinco (5) días de anterioridad a la celebración del CMA, a efectos de permitir que durante su realización se adopten las decisiones a que haya lugar;
b) Criterio de subdimensionamiento: Se determinará que existe subdimensionamiento si el tráfico de carga normal es superior al 90% del valor base de TPS, que corresponde a los TPS configurados para la relación de acceso al momento del análisis. En tal caso, se deberá ampliar la capacidad de TPS de manera que sea al menos igual al número entero más próximo a la cantidad de TPS medidos de carga normal. En ese caso, este nuevo valor se convertirá en el valor base de TPS.
c) Criterio de sobredimensionamiento: Se determinará que existe sobredimensionamiento si el tráfico de carga normal es inferior al 80% del valor base de TPS. En tal caso, se deberá disminuir la capacidad de TPS de manera que sea al menos igual al número entero más próximo a la cantidad de TPS medidos de carga normal, más un límite de holgura del 10% sobre dicha carga normal.
d) Si no se evidencia ni subdimensionamiento ni sobredimensionamiento, el valor base de TPS no deberá cambiar.
Si de la aplicación de los parámetros antes definidos se evidencia la necesidad de aumentar o disminuir el número de TPS requeridos para el óptimo funcionamiento de la interconexión, las partes deberán proceder a la implementación efectiva de dichos ajustes dentro de los cinco (5) días siguientes a la celebración del respectivo CMA en el que debe tener lugar el análisis del comportamiento de los volúmenes de tráfico dentro de la periodicidad definida en la presente disposición. En caso de presentarse sobredimensionamiento, y vencido el plazo antes indicado, el proveedor que remunera el uso de la red podrá proceder a la disminución de manera unilateral de los TPS excedentes que generan el sobredimensionamiento.
Los SMS enviados dentro del rango de capacidad (TPS) definido como valor base en la metodología serán cursados normalmente por el PRSTM, sin rechazo ni encolamiento, dado que dicho valor corresponde al nivel eficiente necesario para soportar el tráfico de carga normal.
ARTÍCULO 4.3.2.16. PRUEBA DE IMPUTACIÓN PARA CARGOS DE ACCESO. <Artículo adicionado por el artículo 4 de la Resolución 5826 de 2019. El nuevo texto es el siguiente:> Con el fin de promover la competencia, proteger los derechos de los usuarios y garantizar el cumplimiento de los principios y obligaciones regulatorias establecidas en el artículo 4.3.1.1 del Capítulo 3 del Título IV, la CRC de oficio o a solicitud de parte, adelantará una actuación administrativa según las reglas de Código de Procedimiento Administrativo y de lo Contencioso Administrativo, en la cual se aplicará una prueba de imputación cuyos resultados serán de obligatorio cumplimiento. Con este fin, la CRC en cualquier momento podrá solicitar información a todos los proveedores de telecomunicaciones.
ARTÍCULO 4.3.2.17. DEFINICIÓN DE PRUEBA DE IMPUTACIÓN PARA CARGOS DE ACCESO. <Artículo subrogado por el artículo 4 de la Resolución 5826 de 2019. El nuevo texto es el siguiente:> La prueba de imputación es el mecanismo mediante el cual el regulador constata que los proveedores de telecomunicaciones ofrecen a otros proveedores las mismas condiciones que se imputan a sí mismos, de manera que se garanticen los principios y obligaciones regulatorias establecidas en el artículo 4.3.1.1 del Capítulo 3 del Título IV.
ARTÍCULO 4.3.2.18. <Artículo derogado por el artículo 4 de la Resolución 5826 de 2019>
ARTÍCULO 4.3.2.19. <Artículo derogado por el artículo 4 de la Resolución 5826 de 2019>
ARTÍCULO 4.3.2.20. <Artículo derogado por el artículo 4 de la Resolución 5826 de 2019>
ARTÍCULO 4.3.2.21. <Artículo derogado por el artículo 80 de la Resolución 5586 de 2019>
SECCIÓN 3. OTRAS DISPOSICIONES
ARTÍCULO 4.3.3.1. IMPLEMENTACIÓN DE DESBORDES. <Artículo derogado por el artículo 80 de la Resolución 5586 de 2019>
ARTÍCULO 4.3.3.2. MONITOREO. la CRC monitoreará las cifras base para el cálculo de la regla de precio mayorista tanto por uso como por capacidad, con el fin de hacer seguimiento a las condiciones de competencia en el mercado de terminación de llamadas de larga distancia internacional entrante en todo el territorio nacional, para efectos de determinar si se hace necesario adoptar medidas regulatorias adicionales o complementarias. En caso de encontrarse presuntas inconsistencias en dichas cifras, esta Comisión podrá solicitar información aclaratoria y, de ser el caso, remitirá a la autoridad de inspección, vigilancia y control para lo de su competencia.
(Resolución CRC 2585 de 2010, artículo 9)
ARTÍCULO 4.3.3.3. MEDIDAS REGULATORIAS PARTICULARES. <Artículo derogado por el artículo 80 de la Resolución 5586 de 2019>
ARTÍCULO 4.3.3.4. TRASLADO DE EFICIENCIAS Y BENEFICIOS AL USUARIO. <Artículo derogado por el artículo 9 de la Resolución 5108 de 2017>
ARTÍCULO 4.3.3.5. MEDIDAS REGULATORIAS EN EL MERCADO MINORISTA. La CRC monitoreará el comportamiento de los proveedores de redes y servicios que participan del mercado "Voz Saliente Móvil", así como el impacto de las medidas establecidas a través de la presente resolución (Resolución CRC 3136 de 2011). En caso de no encontrar efectos positivos de esta intervención mayorista sobre la falla de mercado generada a partir de la diferenciación de precios, o en caso de evidenciarse que los proveedores profundizan los diferenciales de precios off-net/on-net, o en caso que no se transfieran a los usuarios los beneficios y eficiencias que se generan con lo previsto en el presente acto administrativo (Resolución CRC 3136 de 2011), la CRC procederá al análisis de la viabilidad de implementar medidas regulatorias relacionadas con regulación de precios en el mercado "Voz Saliente Móvil".
(Resolución CRC 3136 de 2011, artículo 11)
ARTÍCULO 4.3.3.6. REPORTE DE INFORMACIÓN REGULATORIA Y DEL DESPLIEGUE DE INFRAESTRUCTURA. <Artículo derogado por el artículo 80 de la Resolución 5586 de 2019>
TARIFAS MINORISTAS
TARIFA PARA LLAMADAS FIJO A MÓVIL
ARTÍCULO 4.4.1.1. TOPE TARIFARIO PARA LAS LLAMADAS ORIGINADAS EN REDES FIJAS CON TERMINACIÓN EN REDES MÓVILES. <Artículo derogado por el artículo 137 de la Resolución 7811 de 2025>
ACUERDOS DE LOS SERVICIOS DE CORREO O DE MENSAJERÍA EXPRESA CON EL FIN DE DISTRIBUIR OBJETOS POSTALES MASIVOS.
DISPOSICIONES GENERALES.
ARTÍCULO 4.5.1.1. OBJETO. <Artículo modificado por el artículo 1 de la Resolución 7380 de 2024. El nuevo texto es el siguiente:> Este capítulo tiene por objeto fijar los criterios aplicables a los acuerdos de los servicios de correo o de mensajería expresa con el fin de distribuir objetos postales masivos.
ARTÍCULO 4.5.1.2. CRITERIOS GENERALES PARA INTERCONEXIÓN POSTAL. <Artículo modificado por el artículo 1 de la Resolución 7380 de 2024. El nuevo texto es el siguiente:> En la interconexión entre operadores para la prestación de servicios postales se deberán observar los siguientes criterios:
4.5.1.2.1. ORIENTACIÓN A COSTOS. Las tarifas de interconexión deberán estar orientadas a costos eficientes más utilidad razonable.
4.5.1.2.2. TRATO NO DISCRIMINATORIO. Los operadores de servicios postales deberán ofrecer a cualquier otro operador de servicios postales condiciones legales, técnicas, operativas y económicas no menos favorables a las ofrecidas a sus matrices, filiales, subsidiarias o a sí mismos, o a cualquier otro operador de servicios postales en condiciones no discriminatorias. En todo caso, los operadores de servicios postales deberán abstenerse de aplicar condiciones discriminatorias en la tarifa para operaciones equivalentes, que pongan a uno o varios operadores en situación desventajosa frente a otro operador de condiciones análogas.
4.5.1.2.3. PUBLICIDAD Y TRANSPARENCIA. La totalidad de las condiciones legales, técnicas, operativas y económicas bajo las cuales los operadores postales prestarán la interconexión postal serán públicas.
4.5.1.2.4. BUENA FE. Los operadores de servicios postales tienen el derecho y la correspondiente obligación de adelantar de buena fe la celebración y ejecución de los acuerdos referidos a las tarifas de interconexión para la prestación de los servicios de Correo o de Mensajería Expresa que tengan como fin la distribución de objetos postales masivos.
Se tendrá como indicio en contra de la buena fe, la demora injustificada y la obstrucción de las negociaciones tendientes a lograr acuerdos mencionados, así como el entorpecimiento, por acción o por omisión, de su celebración y de su ejecución.
4.5.1.2.5. LIBRE Y LEAL COMPETENCIA. Se deberán promover escenarios de libre y leal competencia que permitan la concurrencia al mercado, con observancia del régimen de competencia, bajo precios de mercado y en condiciones de igualdad.
ARTÍCULO 4.5.1.3. CRITERIOS APLICABLES A LA NEGOCIACIÓN DE LOS ACUERDOS MINORISTAS. <Artículo modificado por el artículo 1 de la Resolución 7380 de 2024. El nuevo texto es el siguiente:> Los operadores postales que presten los servicios de Correo o de Mensajería Expresa con el fin de distribuir objetos postales masivos podrán acordar libremente con sus usuarios las tarifas por la prestación de dichos servicios, para lo cual deberán tener en cuenta los siguientes criterios:
4.5.1.3.1 ORIENTACIÓN A COSTOS. Las tarifas de estos servicios deberán estar orientadas a costos eficientes más utilidad razonable.
4.5.1.3.2 BUENA FE. Los operadores de servicios postales tienen el derecho y la correspondiente obligación de adelantar de buena fe la celebración y ejecución de los acuerdos referidos a las tarifas de los servicios de Correo o de Mensajería Expresa que tengan como fin la distribución de objetos postales masivos.
Se tendrá como indicio en contra de la buena fe, la demora injustificada y la obstrucción de las negociaciones tendientes a lograr los acuerdos mencionados, así como el entorpecimiento, por acción o por omisión, de su celebración y de su ejecución.
4.5.1.3.3 LIBRE Y LEAL COMPETENCIA. Siempre se deberán promover escenarios de libre y leal competencia que permitan la concurrencia al mercado, con observancia del régimen de competencia, bajo precios de mercado y en condiciones de igualdad.
TARIFA MÍNIMA DEL SERVICIO DE MENSAJERÍA ESPECIALIZADA QUE TENGA COMO FIN LA DISTRIBUCIÓN DE OBJETOS POSTALES MASIVOS Y SU INTERCONEXIÓN ENTRE OPERADORES
DISPOSICIONES GENERALES
ARTÍCULO 4.6.1.1. ÁMBITO Y OBJETO DE APLICACIÓN. <Artículo derogado por el artículo 80 de la Resolución 5586 de 2019>
TARIFA E INTERCONEXIÓN
ARTÍCULO 4.6.2.1. TARIFA MÍNIMA PARA LOS SERVICIOS DE MENSAJERÍA ESPECIALIZADA MASIVA. <Artículo derogado por el artículo 80 de la Resolución 5586 de 2019>
ARTÍCULO 4.6.2.2. TARIFA MÍNIMA PARA LA INTERCONEXIÓN ENTRE OPERADORES DE MENSAJERÍA ESPECIALIZADA MASIVA. <Artículo derogado por el artículo 80 de la Resolución 5586 de 2019>
ARTÍCULO 4.6.2.3. ACTUALIZACIÓN TARIFARIA. <Artículo derogado por el artículo 80 de la Resolución 5586 de 2019>
ARTÍCULO 4.6.2.4. REVISIÓN DE LAS TARIFAS MÍNIMAS. <Artículo derogado por el artículo 80 de la Resolución 5586 de 2019>
CONDICIONES GENERALES PARA LA PROVISIÓN DE LA INSTALACIÓN ESENCIAL DE ROAMING AUTOMÁTICO NACIONAL
DISPOSICIONES GENERALES
ARTÍCULO 4.7.1.1. OBJETO Y ÁMBITO Y DE APLICACIÓN. El CAPÍTULO 7 del TÍTULO IV aplica a todos los proveedores de redes y servicios de telecomunicaciones asignatarios del espectro radioeléctrico destinado a servicios móviles terrestres, y tiene por objeto definir las condiciones generales de la provisión de la instalación esencial de roaming automático nacional, establecida en el subnumeral 4 del numeral 4.1.5.2.2 del ARTÍCULO 4.1.5.2 del CAPÍTULO 1 del TÍTULO IV.
Los proveedores de redes móviles a los que hace referencia el presente artículo deberán contar con elementos de red susceptibles de interconectar y espectro radioeléctrico asignado, por lo tanto no cobija a operadores móviles virtuales que no cuenten con dichos elementos.
(Resolución CRC 4112 de 2013, artículo 1)
(Resolución CRC 4112 de 2013, artículo 3)
OBLIGACIONES
ARTÍCULO 4.7.2.1. OBLIGACIÓN DE PROVEER ROAMING AUTOMÁTICO NACIONAL. Sin perjuicio de lo previsto en el CAPÍTULO 1 de TÍTULO IV, los proveedores de redes y servicios de telecomunicaciones móviles asignatarios de espectro en bandas IMT definidas por la UIT-R y atribuidas en Colombia de acuerdo con el Cuadro Nacional de Atribución de Bandas de Frecuencias adoptado por la Resolución MINTIC 129 de 2010, o aquellas normas que lo modifiquen, adicionen o sustituyan, deberán poner a disposición de otros proveedores de redes y servicios de telecomunicaciones móviles que así lo soliciten, la instalación esencial de roaming automático nacional para la prestación de servicios, incluidos voz, SMS y datos, a los usuarios en aquellas áreas geográficas donde el solicitante no cuente con cobertura propia, de acuerdo con las condiciones dispuestas en el ARTÍCULO 4.7.2.2 y el ARTÍCULO 4.7.2.3 del CAPÍTULO 7 del TÍTULO IV.
(Resolución CRC 4112 de 2013, artículo 4)
ARTÍCULO 4.7.2.2. OBLIGACIONES DEL PROVEEDOR DE LA RED VISITADA. <Artículo modificado por el artículo 78 de la Resolución 7811 de 2025. El nuevo texto es el siguiente:> Para la provisión de la instalación esencial de roaming automático nacional, serán obligaciones del proveedor de redes y servicios de telecomunicaciones móviles de la red visitada las siguientes:
4.7.2.2.1. Realizar las adecuaciones requeridas al interior de su red para soportar los requerimientos de tráfico proveniente de usuarios a ser atendidos mediante roaming automático nacional.
4.7.2.2.2. Realizar la autenticación automática de los usuarios de la red origen e implementar medidas que garanticen su traspaso a la red origen sin demoras injustificadas cuando sale de su zona de cobertura.
4.7.2.2.3. Asegurar la interoperabilidad de los servicios prestados de voz, SMS y datos, y de aquellos servicios complementarios que sean factibles desde el punto de vista técnico, así como el nivel de calidad asociado, de acuerdo con las condiciones ofrecidas en su propia red y dando cumplimiento a los niveles de calidad definidos en la regulación.
4.7.2.2.4. Garantizar que se realice de forma automática el registro y activación de un usuario en roaming cuando cambia de zona de cobertura entre la red origen y la red visitada, sin que esto implique una exigencia de continuidad en las comunicaciones activas al momento de cambio de red.
4.7.2.2.5. Entregar al Proveedor de la red origen la información mensual de tráfico cursado de manera detallada, relacionando al menos el nodo y la ubicación geográfica, necesaria para la conciliación del pago de la instalación esencial.
4.7.2.2.6. Entregar dentro de los quince (15) días siguientes a la finalización de cada mes a la CRC, a través mecanismo de reporte que esta determine, y al Proveedor de Red Origen a través del medio que acuerden el Proveedor de Red Visitada y el Proveedor de Red Origen, el tráfico de voz, SMS y datos cursado por usuarios que se encuentran en RAN. Dicha información deberá ser reportada a nivel de estación base identificada con el nombre determinado en la variable número 13 del formato 3 de la Resolución MinTIC 175 de 2021 o de aquella que la modifique, adicione o sustituya, incluyendo su ubicación geográfica (latitud, longitud) en coordenadas WGS84 expresadas en grados decimales con seis cifras decimales, para cada día del mes.
4.7.2.2.7. Informar al Proveedor de la Red de Origen el esquema de conexión para el acceso a la instalación esencial de Roaming Automático Nacional. Cuando el Proveedor de Red Origen y el Proveedor de Red Visitada no lleguen a un acuerdo sobre el esquema de conexión, deberá implementarse el esquema de conexión denominado "Home Routing" para el acceso a la instalación esencial de Roaming Automático Nacional, para servicios de voz.
4.7.2.2.8. Informar al Proveedor de la Red de Origen el esquema de conexión para el acceso a la instalación esencial de Roaming Automático Nacional para servicios de datos. Cuando el Proveedor de Red Origen y el Proveedor de Red Visitada no lleguen a un acuerdo sobre el esquema de conexión, deberá implementarse un esquema de conexión directa que garantice las condiciones de seguridad requeridas en el marco del acceso a la instalación esencial de Roaming Automático Nacional, el cual deberá incluir como mínimo:
4.7.2.2.8.1. El establecimiento de un protocolo de túnel que cumpla con la especificación técnica 3GPP TS 29.060, y
4.7.2.2.8.2. El establecimiento de los mecanismos de seguridad definidos en la especificación técnica 3GPP TS 33.210, garantizando que su implementación permita adoptar medidas de estrategias de filtrado de paquetes (como mínimo, uso de direcciones de origen IP válidas y de rutas que estén dentro de los rangos de subred declarados). El Proveedor de Red Visitada debe asumir los costos propios a que haya lugar al interior de su red en virtud de la presente obligación.
4.7.2.2.9. Ofrecer y suministrar, en condiciones no discriminatorias, la instalación esencial de Roaming Automático Nacional únicamente en la zona geográfica especificada de acuerdo con las necesidades y la solicitud del Proveedor de Red Origen. En caso de que no sea posible limitar la cobertura del Roaming Automático Nacional únicamente a las zonas solicitadas, el Proveedor de la Red Visitada deberá:
(i) Informar al Proveedor de la Red de Origen, previo a la provisión de Roaming Automático Nacional, las zonas cercanas o aledañas a las zonas solicitadas en donde no sea posible limitar la cobertura del Roaming Automático Nacional; y
(ii) Demostrar fundada y detalladamente ante el Proveedor de la Red de Origen, para cada zona cercana o aledaña a las zonas solicitadas, las razones de orden técnico que impiden limitar la cobertura del Roaming Automático Nacional.
En el evento en que el Proveedor de Red de Origen requiera el acceso a la instalación esencial en un nivel de desagregación geográfica mayor al municipal, el Proveedor de Red Visitada deberá suministrársela, a menos que demuestre fundada y detalladamente que existen restricciones técnicas o de disponibilidad que impidan otorgar el acceso a dicha instalación esencial en ese nivel de desagregación, evento en el cual, deberá suministrar la instalación al menos a nivel municipal.
Para efectos de lo señalado en este numeral, el Proveedor de la Red Visitada deberá en todo caso actuar en forma diligente y de buena fe y deberá suministrarle al Proveedor de la Red de Origen toda la información necesaria para verificar la imposibilidad de limitar la cobertura del Roaming Automático Nacional a las zonas solicitadas.
ARTÍCULO 4.7.2.3. OBLIGACIONES DEL PROVEEDOR DE LA RED ORIGEN. <Artículo modificado por el artículo 79 de la Resolución 7811 de 2025. El nuevo texto es el siguiente:> Para el acceso y uso de la instalación esencial de roaming, serán obligaciones del proveedor de redes y servicios de telecomunicaciones móviles de la red origen, las siguientes:
4.7.2.3.1. Solicitar el Roaming Automático Nacional directamente al proveedor o proveedores de redes y servicios móviles, informando las proyecciones de tráfico a un (1) año, diferenciadas de acuerdo con el servicio a ser soportado y las zonas geográficas requeridas, identificadas al menos a nivel de municipio o en una mayor desagregación geográfica de acuerdo con las necesidades del Proveedor de Red Origen. Dichas proyecciones serán revisadas, en conjunto por los dos proveedores involucrados, al menos cada tres (3) meses, con el objeto de revisar el comportamiento del tráfico de cada zona geográfica.
4.7.2.3.2. Garantizar que los terminales que sean comercializados por el Proveedor de Red Origen, soporten el Roaming Automático Nacional, y sean compatibles con las bandas de frecuencia de la red visitada.
4.7.2.3.3. Pagar el valor acordado por concepto de la remuneración por el acceso y uso de la instalación esencial de Roaming Automático Nacional, así como los cargos de acceso que resulten aplicables a los servicios prestados. De conformidad con lo dispuesto en el numeral 4.7.2.2.9. del artículo 4.7.2.2. de la presente resolución, en caso de que el Proveedor de la Red Visitada explique y demuestre la imposibilidad de limitar la cobertura del Roaming Automático Nacional únicamente a las zonas solicitadas, el Proveedor de la Red de Origen deberá remunerar el Roaming Automático Nacional provisto en las zonas cercanas o aledañas a las zonas solicitadas, de conformidad con lo establecido en la Sección 4 del Capítulo 7 del TÍTULO IV de la presente resolución.
4.7.2.3.4. Informar a sus usuarios el tipo de terminales móviles aptos para realizar roaming automático nacional, las zonas de cobertura propias y en roaming, para los diferentes servicios ofrecidos, los servicios/funcionalidades que no se encuentran incluidos cuando su servicio sea ofrecido a través de roaming, tarifas aplicables, y todas aquellas condiciones necesarias de conformidad con el régimen de protección a usuarios contenido en el CAPÍTULO I del TÍTULO II o aquella norma que la adicione, modifique o sustituya.
4.7.2.3.5. Informar a la red visitada aquellas zonas donde no requiera más hacer uso del roaming automático nacional para uno o más servicios, dado que cuenta con cobertura propia para atender tales servicios. La información deberá actualizarse al menos una vez cada trimestre.
4.7.2.3.6. Informar al Proveedor de la Red Visitada el esquema de conexión para el acceso a la instalación esencial de Roaming Automático Nacional, para servicios de voz, SMS y datos.
4.7.2.3.7. Asumir los costos a que haya lugar, para garantizar las condiciones de seguridad requeridas en el marco del acceso a la instalación esencial de Roaming Automático Nacional, cuando se opte por una conexión directa para servicios de datos. Dichos costos son aquellos asociados al establecimiento de un protocolo de túnel entre el GGSN del Proveedor de Red Origen y el SGSN del Proveedor de Red Visitada mediante una interfaz Gp que cumpla con la especificación técnica 3GPP TS 29.060, y los mecanismos de seguridad definidos en la especificación técnica 3GPP TS 33.210 que sean requeridos al interior de la red del Proveedor de Red Origen.
CONTENIDO DE LA OFERTA DE LA INSTALACIÓN ESENCIAL DE RAN
ARTÍCULO 4.7.3.1. CONTENIDO DE LA OFERTA. <Artículo modificado por el artículo 56 de la Resolución 5586 de 2019. El nuevo texto es el siguiente:> Todos los proveedores de redes y servicios de telecomunicaciones móviles asignatarios de espectro en bandas IMT definidas por la UIT-R, deberán establecer en su Oferta Básica de Interconexión (OBI), de que trata el CAPÍTULO 1 del TÍTULO IV, las condiciones de la oferta de la instalación esencial de roaming automático nacional con observancia del Régimen de acceso, uso e interconexión de redes de telecomunicaciones contenidos en el citado capítulo, las cuales deberán incluir al menos:
4.7.3.1.1. Especificaciones técnicas particulares requeridas para que a través de la interconexión con la red de origen se pueda hacer uso del roaming automático nacional, tales como:
4.7.3.1.1.1. Zonas de cobertura discriminadas por municipio, indicando área total cubierta (urbano/rural) y tecnología.
4.7.3.1.1.2. Relación de zonas de cobertura atendidas por nodo de interconexión.
4.7.3.1.1.3. Identificación de los equipos utilizados para realizar la interconexión, tales como MSC y gateways, indicando para cada uno las interfaces, protocolos y capacidades disponibles discriminadas por tipo de servicio (voz, sms, datos) y nodo.
4.7.3.1.2. El valor por el acceso y uso de la instalación esencial, así como las unidades de cobro de la misma, teniendo en consideración criterios de costos eficientes para cada servicio soportado en su red, el cual en ningún caso podrá exceder los topes previstos en el artículo 4.7.4.1. y el artículo 4.7.4.2. del Capítulo 7 Título IV, o aquel que los modifique o sustituya.
4.7.3.1.3. Las actividades y sus plazos, requeridos para que el acceso a la instalación esencial de Roaming Automático Nacional se materialice. La sumatoria de los plazos asociados a dicho acceso, en ningún caso podrá superar los cuatro (4) meses, contados a partir de la presentación de la solicitud de acceso al Proveedor de Red Visitada".
REMUNERACIÓN DE LA INSTALACIÓN ESENCIAL DE ROAMING AUTOMÁTICO NACIONAL.
ARTÍCULO 4.7.4.1. REMUNERACIÓN DE LA INSTALACIÓN ESENCIAL DE ROAMING AUTOMÁTICO NACIONAL PARA SERVICIOS DE VOZ Y SMS. <Artículo modificado por el artículo 6 de la Resolución 8183 de 2026. El nuevo texto es el siguiente:>
4.7.4.1.1. El valor de remuneración por el uso del Roaming Automático Nacional para el servicio de voz no podrá ser superior al valor establecido en la siguiente tabla:
| Remuneración | A partir del 1 de abril de 2026 |
| Minuto (uso) | 1,08 |
Nota: Valor expresado en pesos constantes de enero de 2026. La actualización de los pesos constantes a pesos corrientes se realizará a partir del 1 de enero de 2027, conforme al numeral 1 del Anexo 4.2 del Título de Anexos.
4.7.4.1.2. El valor de remuneración por el uso del Roaming Automático Nacional para el servicio de SMS de Persona a Persona (P2P) no podrá ser superior al valor establecido en la siguiente tabla:
| Remuneración | A partir del 1 de abril de 2026 |
| SMS (por unidad) | 0,03 |
Nota: Valor expresado en pesos constantes de enero de 2026. La actualización de los pesos constantes a pesos corrientes se realizará a partir del 1 de enero de 2027, conforme al numeral 1 del Anexo 4.2 del Título de Anexos.
4.7.4.1.3. En los casos en que los proveedores de redes y servicios de telecomunicaciones móviles que hagan uso del Roaming Automático Nacional para el servicio de SMS cursen tráfico asociado a: (i) servicios de larga distancia internacional, en virtud de acuerdos con proveedores de redes y servicios de larga distancia internacional, o (ii) servicios de mensajería de Aplicación a Persona (A2P) cuando actúen como proveedores de contenidos y aplicaciones o en el marco de relaciones de acceso con integradores tecnológicos (IT) o con otros proveedores de contenidos y aplicaciones, deberán reconocer un valor de remuneración que no podrá ser superior al establecido en la siguiente tabla:
| Remuneración | A partir del 1 de abril de 2026 |
| SMS (por unidad) | 1,00 |
Nota: Valor expresado en pesos constantes de enero de 2026. La actualización de los pesos constantes a pesos corrientes se realizará a partir del 1 de enero de 2027, conforme al numeral 1 del Anexo 4.2 del Título de Anexos.
ARTÍCULO 4.7.4.2. REMUNERACIÓN DE LA INSTALACIÓN ESENCIAL DE ROAMING AUTOMÁTICO NACIONAL PARA SERVICIOS DE DATOS. <Artículo modificado por el artículo 7 de la Resolución 8183 de 2026. El nuevo texto es el siguiente:> Los valores de remuneración por el uso del Roaming Automático Nacional para el servicio de datos, se sujetarán a las siguientes reglas:
4.7.4.2.1. En los municipios que conforman la Zona transitoria y la Zona permanente de las que trata el Anexo 4.8 de la presente resolución, o aquella disposición que lo adicione, modifique o sustituya, no podrán ser superiores a los valores establecidos en la siguiente tabla:
| Zona geográfica | Remuneración Datos (Megabyte) |
| Zona transitoria | $ 0,94 |
| Zona permanente | $ 0,88 |
Nota: Valores expresados en pesos constantes de enero de 2026. La actualización de los pesos constantes a pesos corrientes se realizará a partir del 1 de enero de 2027, conforme al numeral 1 del Anexo 4.2 del Título de Anexos.
A partir del 1 de enero de 2031 el valor de remuneración por el uso del Roaming Automático Nacional para el servicio de datos en la Zona transitoria no podrá ser superior al valor resultante de la aplicación de la siguiente fórmula:

Donde:
corresponde a la tarifa establecida para la Zona transitoria en el presente numeral, actualizada a pesos corrientes del año en que se aplique.
corresponde al tráfico de RAN de datos cursado por el PRO en la zona transitoria a través del PRV con el cual se adelanta la conciliación, medido para el mes t.
corresponde el tráfico total de datos cursado por el PRO en la Zona transitoria en el mes t.
Para efectos de la aplicación de la anterior fórmula y como parte del proceso de conciliación de cuentas, el PRSTM que haga las veces de PRO deberá entregar al PRV la información de su tráfico total de datos cursado en la Zona transitoria desagregando, como mínimo, las siguientes variables: año, trimestre, mes, y tráfico total de datos cursado en su red propia en la Zona transitoria, expresado en MB.
Esta información, incluyendo el nombre del municipio y código DANE del municipio en el que el PRO cursó el tráfico total de datos, deberá estar disponible en todo momento en caso de que la CRC o el MinTIC requiera al PRO.
4.7.4.2.2. En los municipios que conforman la Zona 1 de la que trata el Anexo 4.8 de la presente resolución, o aquella disposición que lo adicione, modifique o sustituya, no podrá ser superior a los valores establecidos en la siguiente tabla:
| Remuneración Zona 1 | A partir del 1° de abril de 2026 | A partir del 1° de enero de 2027 | A partir del 1° de enero de 2028 | A partir del 1° de enero de 2029 | A partir del 1° de enero de 2030 |
| Datos (Megabyte) | $1,05 | $1,06 | $1,08 | $1,13 | $1,21 |
Nota: Valores expresados en pesos constantes de enero de 2026. La actualización de los pesos constantes a pesos corrientes se realizará a partir del 1 de enero de 2027, conforme al numeral 1 del Anexo 4.2 del Título de Anexos.
En el o los periodos en los que el tráfico de datos cursado por el PRO en RAN supere el 15% del tráfico total de datos cursado por el PRO en la Zona 1, el valor de remuneración por el uso del RAN para el servicio de datos no podrá ser superior al valor resultante de la aplicación de la siguiente fórmula:

Donde:
corresponde al valor regulado para el año correspondiente según los valores indicados en la tabla del presente numeral.
corresponde al tráfico de RAN de datos cursado por el PRO en la Zona 1 a través del PRV con el cual se adelanta la conciliación, medido para el mes t.
corresponde al tráfico total de datos cursado por el PRO en la Zona 1 medido para el mes t.
Corresponde a la tarifa establecida para la Zona 1 en el año 1, actualizada a pesos corrientes del año en que se aplique.
Para efectos de la aplicación de la anterior fórmula y como parte del proceso de conciliación de cuentas, el PRSTM que haga las veces de PRO deberá entregar al PRV la información de su tráfico total de datos cursado en la Zona 1 desagregando, como mínimo, las siguientes variables: año, trimestre, mes, y tráfico total de datos cursado en su red propia en la Zona transitoria, expresado en MB.
4.7.4.2.3. El valor de remuneración por el uso del Roaming Automático Nacional para el servicio de datos para los proveedores de redes y servicios de telecomunicaciones móviles que sean asignatarios por primera vez de permisos para el uso y explotación del espectro radioeléctrico para la prestación de servicios móviles terrestres en bandas utilizadas en Colombia para las IMT, no podrá ser superior al valor establecido en la siguiente tabla:
| Remuneración | A partir del 1 de abril de 2026 |
| Datos (Pesos/MB) | 0,68 |
Nota: Valor expresado en pesos constantes de enero de 2026. La actualización de los pesos constantes a pesos corrientes se realizará a partir del 1 de enero de 2027, conforme al numeral 1 del Anexo 4.2 del Título de Anexos.
La remuneración a que hace referencia el presente numeral tendrá aplicación por cinco años, en todo el territorio nacional, los cuales serán contados desde la fecha en que quedó en firme el acto administrativo mediante el cual le fue asignado el primer permiso para uso y explotación del espectro radioeléctrico para la prestación de servicios móviles terrestres en bandas utilizadas en Colombia para las IMT.
PARÁGRAFO. Cuando el valor del ingreso promedio por megabyte (MB) exceda en menos de un veinte por ciento (20%) el valor de remuneración de roaming automático nacional por megabyte (MB) establecido para la Zona transitoria en el numeral 4.7.4.2.1 del presente artículo, dicho valor será sustituido por el valor previsto para la Zona permanente en la tabla contenida en el citado numeral, debidamente actualizado a pesos corrientes.
Para efectos de lo dispuesto en el presente parágrafo, el ingreso promedio por megabyte (MB) corresponde al ingreso promedio que perciben los PRSTM por la prestación del servicio de datos, expresado en pesos por megabyte (MB).
Este indicador se calculará trimestralmente como el cociente entre los ingresos totales del servicio y el tráfico total cursado, con base en la información reportada por los PRSTM a través del Formato T.1.5 "Acceso a Internet Móvil" del TÍTULO "REPORTES DE INFORMACIÓN" de la presente resolución, o aquel que lo modifique o sustituya.
Una vez se verifique la condición prevista en el inciso primero del presente parágrafo, la Comisión deberá adelantar la revisión de los valores regulados.
OTRAS DISPOSICIONES
ARTÍCULO 4.7.5.1. ACTUALIZACIÓN DE LA OBI. <Artículo derogado por el artículo 80 de la Resolución 5586 de 2019>
ARTÍCULO 4.7.5.2. REPORTE DE INFORMACIÓN. <Artículo derogado por el artículo 80 de la Resolución 5586 de 2019>
ARTÍCULO 4.7.5.3. ACTUALIZACIÓN DE ACUERDOS DE ROAMING AUTOMÁTICO NACIONAL. <Artículo derogado por el artículo 80 de la Resolución 5586 de 2019>
CONDICIONES RELATIVAS AL ACCESO A LAS CABEZAS DE CABLE SUBMARINO
DISPOSICIONES GENERALES
ARTÍCULO 4.8.1.1. PRINCIPIOS DE ACCESO A LAS CABEZAS DE CABLE SUBMARINO. El acceso a las cabezas de cable submarinos deberá efectuarse en condiciones no discriminatorias y de transparencia. Los operadores de cabezas de cable submarino tendrán libertad para fijar los cargos por concepto del acceso a estos bienes conforme a la normatividad vigente.
(Resolución CRC <sic, CRT> 2065 de 2009, artículo 2)
ARTÍCULO 4.8.1.2. OFERTA COMERCIAL DE ACCESO A LAS CABEZAS DE CABLE SUBMARINO. <Artículo modificado por el artículo 57 de la Resolución 5586 de 2019. El nuevo texto es el siguiente:> Los operadores de cabezas de cable submarino instaladas en el territorio colombiano deberán poner a disposición de los interesados, una oferta comercial actualizada que debe ser publicada en su página web.
ARTÍCULO 4.8.1.3. CONTENIDO DE LA OFERTA DE ACCESO A LAS CABEZAS DE CABLE SUBMARINO. La oferta de acceso a las cabezas de cable submarino, deberá contener como mínimo la siguiente información:
l. GENERALIDADES
a. Descripción general de los servicios ofrecidos
b. Duración del Contrato
c. Obligaciones y responsabilidades de las partes
d. Tiempos de desarrollo de tareas
e. Procedimientos operativos
f. Causales de terminación
g. Medidas de seguridad aplicables
h. Mecanismos de resolución de disputas
II. CONDICIONES TÉCNICAS
a. Repartidores y transconexiones ópticas o digitales (ODF/DDF) disponibles
b. Diagramas y puntos de interconexión
c. Capacidades ofrecidas
d. Servicios soporte ofrecidos
I. Coubicación
II. Otros.
e. Interfaces
f. Procedimientos para
I. Pruebas
II. Activación
IIl. Desactivación
IV. Modificaciones y cambios
g. Índices de disponibilidad de los servicios
h. Condiciones de mantenimiento
i. Manejo de incidentes y tiempos de respuesta
III. CONDICIONES ECONÓMICAS.
a. Tarifas
i. Pruebas
ii. Operación
iii. Mantenimiento
iv. Activación
v. Desactivación
vi. Reconexión
b. Otras aplicables
c. Fechas de pago
(Resolución CRC <sic, CRT> 2065 de 2009, artículo 4)
ARTÍCULO 4.8.1.4. REGISTRO DE LA OFERTA DE ACCESO A LAS CABEZAS DE CABLE SUBMARINO. <Artículo derogado por el artículo 11 de la Resolución 3496 de 2011>
OTRAS DISPOSICIONES
ARTÍCULO 4.8.2.1. PRUEBA DE IMPUTACIÓN. Para garantizar la efectiva aplicación de los principios establecidos en el ARTÍCULO 4.8.1.1 del CAPÍTULO 8 del TÍTULO IV, la CRC, de oficio o a petición de parte, adelantará una prueba de imputación respecto de las condiciones de acceso a las cabezas de cables submarinos, para lo cual podrá solicitar la información adicional que se requiera sobre el particular.
(Resolución CRC <sic, CRT> 2065 de 2009, artículo 6)
INSTALACIÓN ESENCIAL DE FACTURACIÓN, DISTRIBUCIÓN Y RECAUDO.
DISPOSICIONES GENERALES
ARTÍCULO 4.9.1.1. DETERMINACIÓN DE LOS TOPES REGULATORIOS PARA LA OBI. <Artículo modificado por el artículo 2 de la Resolución 7265 de 2023. El nuevo texto es el siguiente:> Los proveedores de redes y servicios de telecomunicaciones que provean a terceros la instalación esencial de facturación, distribución y recaudo, así como el servicio adicional de gestión operativa de reclamos, deberán establecer en su Oferta Básica de Interconexión (OBI) los valores asociados a su remuneración teniendo en consideración criterios de costos eficientes.
En ningún caso, el valor de remuneración asociado a la instalación esencial de facturación, distribución y recaudo podrá ser superior a mil diez pesos con dos centavos ($1.010,02) por factura, precio antes de IVA que incluye la remuneración de tal instalación esencial, así como su respectiva utilidad. Este valor se encuentra expresado en pesos para el año 2017.
En aquellos casos en los que se fije un valor de remuneración conjunto para la instalación esencial de facturación, distribución, recaudo y para el servicio de gestión operativa de reclamos, dicho valor no podrá ser superior a mil ciento noventa y ocho pesos con diecinueve centavos ($1.198,19) por factura, precio antes de IVA que incluye la remuneración de la instalación esencial y el servicio adicional mencionado, así como su respectiva utilidad. Este valor se encuentra expresado en pesos para el año 2017.
Los valores establecidos en el presente artículo podrán ser actualizados anualmente haciendo uso de la variación anual del promedio aritmético de los últimos 12 meses, a diciembre del año anterior, del índice de actualización tarifaria establecido en el numeral 2 del Anexo 4.2. de la presente resolución
OTRAS DISPOSICIONES
ARTÍCULO 4.9.2.1. MONITOREO. La CRC podrá revisar los valores correspondientes a la remuneración de la instalación esencial de facturación, distribución y recaudo, así como del servicio adicional de gestión operativa de reclamos, reportados en las Ofertas Básicas de Interconexión, o en los contratos de acceso, uso e interconexión, de oficio o a solicitud de parte.
(Resolución CRC 3096 de 2011, artículo 3)
CONDICIONES DE ACCESO A INFRAESTRUCTURA ELEGIBLE PARA EL DESPLIEGUE DE REDES Y SERVICIOS DE TELECOMUNICACIONES.
CONDICIONES GENERALES.
.ARTÍCULO 4.10.1.1. OBJETO. <Artículo subrogado por el artículo 2 de la Resolución 7120 de 2023. El nuevo texto es el siguiente:> El CAPÍTULO 10 del TÍTULO IV tiene por objeto definir condiciones de acceso, uso y remuneración de los postes y canalizaciones de todos los proveedores de redes y servicios de telecomunicaciones, así como de los elementos pertenecientes a las infraestructuras y redes de otros servicios susceptibles de ser compartidas para el despliegue de redes o la prestación de servicios de telecomunicaciones que hayan sido catalogadas como elegibles de conformidad con lo previsto en el presente capítulo.
Para todos los efectos de la utilización de las infraestructuras de que trata el presente capítulo, la provisión de redes y servicios de telecomunicaciones incluye la provisión del servicio de televisión abierta radiodifundida y todas las demás modalidades del servicio de televisión, así como el servicio de radiodifusión sonora.
ARTÍCULO 4.10.1.2. ÁMBITO DE APLICACIÓN. <Artículo subrogado por el artículo 2 de la Resolución 7120 de 2023. El nuevo texto es el siguiente:> El CAPÍTULO 10 del TÍTULO IV resulta aplicable a los postes y canalizaciones de propiedad de los proveedores de redes y servicios de telecomunicaciones, así como a los elementos pertenecientes a las infraestructuras y redes de otros servicios, susceptibles de ser utilizados de manera compartida como soporte físico para el despliegue de redes o la prestación de servicios de telecomunicaciones, a los que hace referencia el artículo 4.10.1.3.
De igual forma, resulta aplicable a cualquier persona natural o jurídica, de naturaleza pública o privada, que tenga el control, la propiedad, la posesión, la tenencia, o que a cualquier título ejerza derechos sobre dichos bienes. Para los efectos del CAPÍTULO 10 del TÍTULO IV los anteriores sujetos se consideran proveedores de infraestructura elegible. En la aplicación de las disposiciones del presente régimen prevalecerá el criterio de titularidad de la propiedad de la infraestructura elegible, teniendo en cuenta las excepciones especificas expresamente señaladas.
También se aplica a los proveedores de redes o servicios de telecomunicaciones que requieran acceder y hacer uso de las infraestructuras a las que se refiere el presente capítulo para la prestación de sus servicios.
PARÁGRAFO. Lo dispuesto en el CAPÍTULO 10 del TÍTULO IV se aplicará sin perjuicio del cumplimiento de las normas vigentes sobre ordenamiento urbano y medio ambiente.
ARTÍCULO 4.10.1.3. SECTORES CON INFRAESTRUCTURA ELEGIBLE Y ELEMENTOS SUSCEPTIBLES DE COMPARTICIÓN. <Artículo subrogado por el artículo 2 de la Resolución 7120 de 2023. El nuevo texto es el siguiente:> Para los efectos de lo dispuesto en el CAPÍTULO 10 del TÍTULO IV se consideran susceptibles de compartición para el despliegue de redes y la prestación de servicios de telecomunicaciones los siguientes elementos:
| SECTORES CON INFRAESTRUCTURA ELEGIBLE | ELEMENTOS |
| Sector de telecomunicaciones | Postes, canalizaciones (ductos, cámaras y cajas de revisión). |
| Sector de distribución y transmisión de energía eléctrica | Postes, torres y canalizaciones (ductos cámaras y cajas de revisión) de las redes de transmisión y distribución de energía eléctrica. |
| Sector de sistemas de transporte masivo | Espacio en estaciones de sistemas de transporte masivo y canalizaciones. |
| Sector de red vial de carreteras | Postes, canalizaciones (ductos, cámaras y cajas) de las redes viales de carreteras, fajas o zonas de reserva en los términos de lo previsto en la Ley 1228 de 2008 o aquella que la modifique, adicione, sustituya o derogue. |
| Sector de mobiliario urbano | Postes de alumbrado público, infraestructura de semaforización y paraderos de sistema de transporte. |
Para efectos de la aplicación de las disposiciones del CAPÍTULO 10 del TÍTULO IV, se denominará infraestructura elegible a aquellas infraestructuras listadas en el presente artículo, en conjunto con los elementos que sean técnicamente necesarios para materializar el acceso a la misma.
ARTÍCULO 4.10.1.4. PRINCIPIOS Y OBLIGACIONES GENERALES APLICABLES. <Artículo subrogado por el artículo 2 de la Resolución 7120 de 2023. El nuevo texto es el siguiente:> En el acceso y uso de la infraestructura elegible para el despliegue de redes o la prestación de servicios de telecomunicaciones se deberán observar los siguientes principios y obligaciones generales:
4.10.1.4.1. Uso eficiente de la infraestructura y de los recursos escasos: El acceso a la infraestructura elegible deberá proveerse en condiciones eficientes en términos de oportunidad, recursos y especificaciones técnicas, entre otros.
4.10.1.4.2. Libre y leal competencia: El acceso a la infraestructura elegible deberá propiciar escenarios de libre y leal competencia que permitan la concurrencia al mercado, con observancia del régimen de competencia, bajo precios de mercado y en condiciones de igualdad.
4.10.1.4.3. Trato no discriminatorio: El proveedor de infraestructura elegible deberá dar igual trato a todos los proveedores de redes o servicios de telecomunicaciones beneficiarios de la presente regulación, y no podrá otorgar condiciones menos favorables que las que se otorga a sí mismo o a algún otro proveedor que se encuentre en las mismas circunstancias técnicas de acceso o las que se otorgan a empresas matrices, subordinadas, subordinadas de las matrices o empresas en las que sea socio o a las que se brinde a sí mismo. Se deberán otorgar iguales o similares condiciones de remuneración por dicha infraestructura, cuando de por medio se presentan condiciones de acceso similares.
4.10.1.4.4. Remuneración orientada a costos eficientes: La remuneración por el acceso y uso de la infraestructura elegible debe estar orientada a costos eficientes, entendidos estos como aquellos en los que se incurre en el proceso de producción de un bien o servicio que correspondan a una situación de competencia, y que incluyan todos los costos de oportunidad, lo cual implica la obtención de una utilidad razonable.
4.10.1.4.5. Separación de costos por elementos de red: Los costos para la provisión de los elementos, funciones y servicios necesarios para efectuar la compartición de la infraestructura elegible deben estar separados en forma suficiente y adecuada, de tal manera que los proveedores de redes o servicios de telecomunicaciones no deban pagar por elementos o instalaciones de la red que no necesiten para la prestación de sus servicios, lo anterior con el fin de garantizar la transparencia en la remuneración por acceso y uso de dicha infraestructura.
4.10.1.4.6. Publicidad y Transparencia. El proveedor de infraestructura elegible y el proveedor de redes o servicios de telecomunicaciones deben proveerse la información técnica, operativa y de costos asociados que se requiera con motivo de la relación de compartición de dicha infraestructura.
4.10.1.4.7. Uso adecuado de la infraestructura y no degradación del servicio del propietario de la infraestructura elegible: En todo momento, el acceso y uso de la infraestructura elegible por parte de los proveedores de telecomunicaciones deberá cumplir con las condiciones técnicas para la compartición de infraestructura elegible vigentes, de forma tal que se dé un adecuado uso de la infraestructura objeto de compartición, no ponga en riesgo la seguridad de los operarios, de los usuarios o de la infraestructura y no se degrade la calidad del servicio que el propietario de la infraestructura o red presta.
ARTÍCULO 4.10.1.5. DERECHO AL ACCESO Y USO DE LA INFRAESTRUCTURA SUSCEPTIBLE DE COMPARTICIÓN. <Artículo subrogado por el artículo 2 de la Resolución 7120 de 2023. El nuevo texto es el siguiente:> Todos los proveedores de redes o servicios de telecomunicaciones tienen el derecho a solicitar y a que se les otorgue el acceso y uso de la infraestructura elegible para el despliegue de redes o la prestación de servicios de telecomunicaciones, de conformidad con las reglas previstas en el CAPÍTULO 10 del TÍTULO IV.
Todas las personas naturales o jurídicas, de naturaleza pública o privada, que tengan el control, la propiedad, la posesión, la tenencia, o que a cualquier título ejerzan derechos sobre la infraestructura de que trata el CAPÍTULO 10 del TÍTULO IV, deben permitir el acceso y uso a los proveedores de redes o servicios de telecomunicaciones, cuando estos así lo soliciten para la prestación de sus servicios, salvo que acrediten debidamente la falta de disponibilidad correspondiente, no sea técnicamente viable o se degrade la calidad del servicio del propietario de la infraestructura elegible.
En ningún caso, los sujetos mencionados en el inciso anterior podrán imponer a los proveedores de redes o servicios de telecomunicaciones, condiciones para el acceso y uso distintas a las contempladas en la normatividad vigente, ni podrán exigir la financiación de las obras, equipos u otros elementos necesarios para adecuar la infraestructura elegible, sin perjuicio de que los proveedores de redes o servicios de telecomunicaciones voluntariamente se ofrezcan a financiarlos.
PARÁGRAFO 1o. La provisión del acceso a la infraestructura elegible debe hacerse de acuerdo con el orden de llegada de las solicitudes presentadas por los proveedores de redes o servicios de telecomunicaciones ante el proveedor de la infraestructura.
PARÁGRAFO 2o. El proveedor de infraestructura elegible sólo podrá negarse u oponerse a otorgar el acceso solicitado cuando se demuestre fundada y detalladamente al proveedor de redes o servicios de telecomunicaciones que el uso compartido de la infraestructura degrada la calidad del servicio que el propietario de la infraestructura o red presta, o que existen restricciones técnicas o de disponibilidad que impiden dicho acceso. El proveedor de redes o servicios de telecomunicaciones podrá presentar alternativas para que el acceso pueda producirse.
En todo caso, se deberá otorgar siempre el acceso respecto de aquella infraestructura contenida en la solicitud que no presente restricciones técnicas o de disponibilidad. La negación injustificada de la solicitud de acceso dará lugar a las sanciones o acciones previstas en la Ley.
ARTÍCULO 4.10.1.6. SOLICITUDES DE ACCESO Y USO. <Artículo subrogado por el artículo 2 de la Resolución 7120 de 2023. El nuevo texto es el siguiente:> Para dar inicio a la etapa de negociación directa tendiente a la celebración de un acuerdo que tenga como objeto regular las condiciones que han de regir la utilización de la infraestructura elegible, el proveedor de redes o servicios de telecomunicaciones deberá dirigir una solicitud al proveedor de dicha infraestructura, la cual debe contener como mínimo la siguiente información:
1. Identificación de las características y ubicación geográfica de los elementos pertenecientes a la infraestructura elegible que requiere utilizar.
2. Características de los elementos a instalar incluyendo su peso y el modo de fijación del elemento en la estructura cuando ello aplique.
3. Cantidad de elementos a ser instalados en cada punto.
4. Cronograma según el cual el solicitante requiere disponer del acceso y uso de la infraestructura elegible.
5. Descripción de servicios adicionales que requieran para el acceso a la infraestructura elegible que se propone utilizar. Se considerarán servicios adicionales todos aquellos servicios conexos o relacionados con la compartición de infraestructura, los cuales pueden contratarse por separado, tales como la alimentación de energía y la adecuación ambiental, entre otros.
6. Término de duración del acuerdo.
El solicitante deberá manifestar en su solicitud escrita que se encuentra inscrito en el Registro Único TIC a cargo del Ministerio de Tecnologías de la Información y las Comunicaciones.
El proveedor de infraestructura elegible podrá requerir, a su juicio, información adicional a la enunciada en el presente artículo, siempre y cuando sea relevante para la compartición de la infraestructura. En ningún evento dicha información adicional se considerará como requisito previo para estudiar y dar trámite a la solicitud presentada.
PARÁGRAFO 1o. La solicitud que presente el proveedor de redes o servicios de telecomunicaciones podrá ser negada, si existiendo disponibilidad y viabilidad técnica de la infraestructura elegible solicitada, esta se encuentra comprometida en planes de expansión que puedan impedir la efectiva compartición. Lo anterior, siempre y cuando dichos planes hayan sido previstos con anterioridad a la solicitud y programados para ser ejecutados dentro de un término no superior a un (1) año para postes y torres, y de dos (2) años para ductos.
Cuando se prevea que los programas de expansión a los que hace referencia el anterior inciso se ejecutarán con posterioridad a los términos establecidos anteriormente, la solicitud podrá ser atendida temporalmente. En este caso, se podrá exigir al proveedor de redes o servicios de telecomunicaciones que desmonte sus activos en un plazo de seis (6) meses posteriores a la comunicación por escrito del requerimiento.
PARÁGRAFO 2o. El proveedor de infraestructura elegible podrá dentro de los quince (15) días calendario siguientes a la fecha del recibo de la solicitud, requerir al solicitante por una sola vez y de manera precisa, para que aclare, modifique o complemente la información necesaria para dar respuesta a la solicitud de acceso y uso a la que se refiere el presente artículo.
En todo caso, el proveedor de infraestructura elegible y el proveedor de redes y/o servicios de telecomunicaciones solicitante contarán, de conformidad con lo establecido en el artículo 42 de la Ley 1341 de 2009, con un plazo de treinta (30) días calendario desde la fecha de la presentación de la solicitud con los requisitos exigidos en el presente artículo para llegar a un acuerdo directo.
Una vez vencido dicho plazo y en caso de que las partes no logren llegar a un acuerdo sobre las condiciones que han de regir la utilización de la infraestructura solicitada, cualquiera de las partes podrá solicitar a la CRC que inicie, de acuerdo con lo contemplado en el artículo 43 de la Ley 1341 de 2009, el trámite administrativo correspondiente para dirimir la controversia surgida.
PARÁGRAFO 3o. <Parágrafo adicionado por el artículo 80 de la Resolución 7811 de 2025. El nuevo texto es el siguiente:> En aquellos casos en que un proveedor de redes y servicios de telecomunicaciones haya accedido y se encuentre utilizando la infraestructura elegible de otro proveedor, este último podrá solicitarle al primero la formalización de la relación de acceso y uso. Esta solicitud deberá contener como mínimo la información a que hacen referencia los numerales 1, 2, 3 y 6 en lo relacionado con la infraestructura elegible que se está utilizando y con los elementos instalados en dicha infraestructura.
ARTÍCULO 4.10.1.7. OPERACIÓN Y MANTENIMIENTO. <Artículo subrogado por el artículo 2 de la Resolución 7120 de 2023. El nuevo texto es el siguiente:> El proveedor de infraestructura elegible tendrá dos (2) días hábiles contados a partir del día siguiente del recibo de la solicitud de intervención de la red para otorgar autorización escrita al solicitante, cuando la solicitud tenga como fin la instalación de nuevos usuarios o la realización de mantenimientos correctivos (daños) de una red ya instalada.
Los proveedores de redes y servicios de telecomunicaciones que requieran ampliación o mantenimiento preventivo de las redes, deberán notificar con quince (15) días hábiles de anticipación al proveedor de infraestructura elegible quien contará con cinco (5) días hábiles para autorizar la misma.
En caso de que el proveedor de infraestructura elegible no otorgue respuesta a la solicitud en los plazos antes señalados se entenderá autorizada la intervención en la red.
PARÁGRAFO 1o. Los proveedores de infraestructura eléctrica deberán dar respuesta a las solicitudes de intervención que presenten los proveedores de redes y servicios de telecomunicaciones, según los plazos y de acuerdo con las condiciones establecidas en el Artículo 7o de la Resolución CREG 063 de 2013, o en aquella que la sustituya, modifique o adicione.
PARÁGRAFO 2o Los plazos a los que hace referencia el presente artículo no resultan aplicables a la infraestructura del sector de red vial de carreteras. Para dicho sector, se deberá dar cumplimiento a lo previsto en el Artículo 7o de la Resolución ANI 716 de 2015 o en aquella que la sustituya, modifique o adicione, así como en la demás normatividad aplicable a este sector.
ARTÍCULO 4.10.1.8. PROHIBICIÓN DE CLÁUSULAS DE EXCLUSIVIDAD. <Artículo subrogado por el artículo 2 de la Resolución 7120 de 2023. El nuevo texto es el siguiente:> Los acuerdos de compartición de la infraestructura elegible de que trata el CAPÍTULO 10 del TÍTULO IV no podrán incluir cláusulas de exclusividad o de limitación de la prestación de servidos soportados sobre dicha infraestructura, de conformidad con los principios previstos en el ARTÍCULO 4.10.1.4. del CAPÍTULO 10 del TÍTULO IV.
ARTÍCULO 4.10.1.9. ESTRUCTURACIÓN DE GARANTÍAS. <Artículo modificado por el artículo 81 de la Resolución 7811 de 2025. El nuevo texto es el siguiente:> El proveedor de infraestructura elegible podrá exigir al proveedor de redes o servicios de telecomunicaciones solicitante la constitución de instrumentos de garantía, bajo principios de proporcionalidad y razonabilidad, del cumplimiento de las obligaciones estipuladas en el acuerdo o que se deriven de los actos de fijación de condiciones de acceso y uso que expida la CRC, sin perjuicio de que las partes pacten otros objetos de amparo.
PARÁGRAFO. En la compartición de infraestructura de telecomunicaciones, será aplicable lo dispuesto en los artículos 4.1.6.2 y 4.1.7.7. del TÍTULO IV en materia de instrumentos de garantía o pago anticipado como alternativa o complemento de la garantía del pago de obligaciones derivadas de la relación de acceso.
ARTÍCULO 4.10.1.10. DIVULGACIÓN DE CONDICIONES PARA LA COMPARTICIÓN DE INFRAESTRUCTURA ELEGIBLE. <Artículo subrogado por el artículo 2 de la Resolución 7120 de 2023. El nuevo texto es el siguiente:> Los proveedores de infraestructura elegible deberán publicar las condiciones para la compartición de dicha infraestructura, cumpliendo los parámetros de información dispuestos en el presente artículo.
4.10.1.10.1. Aspectos generales:
i. Descripción de la infraestructura elegible susceptible de compartición, desagregada como mínimo a nivel municipal, así como de los servicios adicionales que se puedan proveer. El proveedor de infraestructura elegible optativamente podrá publicar la información asociada al inventario de la infraestructura disponible, así como su ubicación exacta.
ii. Cronograma de actividades necesarias para habilitar el acceso a la infraestructura elegible.
iii. Procedimientos técnicos y mecanismos para garantizar la adecuada compartición de la infraestructura elegible.
4.10.1.10.2. Aspectos Financieros:
i. Descripción de procedimientos, responsables y plazos para el intercambio de cuentas, aprobación y pago de las mismas.
ii. Valor de remuneración mensual por punto de apoyo aplicable al uso de componentes de infraestructura, discriminado por tipo de infraestructura susceptible de compartición. El propietario de infraestructura elegible optativamente podrá publicar la información a la que se refiere este numeral. Para el caso de la infraestructura eléctrica, los proveedores de este tipo de infraestructura deberán indicar que los precios tope se encuentran contemplados en el artículo 4.10.3.1. del CAPÍTULO 10 del TÍTULO IV.
4.10.1.10.3. Aspectos Técnicos:
i. Características técnicas de los elementos de infraestructura elegible susceptible de compartición.
ii. Normatividad técnica aplicable para el acceso y operación de los elementos de compartición de la infraestructura elegible.
PARÁGRAFO 1o. Además de su publicación en la página Web, cada proveedor de infraestructura elegible, deberá reportar sus condiciones de compartición a la CRC. Adicionalmente deberá mantener actualizada dicha información y remitir a la CRC cualquier modificación o actualización que se introduzca a la misma dentro de los 15 días hábiles siguientes al momento en que cualquiera de estas se produzca.
PARÁGRAFO 2o. En relación con el asunto regulado por la presente disposición, la infraestructura de postes y canalizaciones de telecomunicaciones seguirá rigiéndose por lo establecido en los artículos 4.1.6.1. y 4.1.6.2. del CAPÍTULO I TITULO IV.
ASPECTOS TÉCNICOS COMUNES.
ARTÍCULO 4.10.2.1. MARCACIÓN EN POSTES Y CANALIZACIONES. <Artículo subrogado por el artículo 2 de la Resolución 7120 de 2023. El nuevo texto es el siguiente:> Todos los elementos afectos a la prestación de servicios de telecomunicaciones que sean instalados y apoyados directamente en la infraestructura elegible deberán estar debidamente marcados con el fin de identificar al responsable de los mismos. La obligación de marcación de estos elementos recaerá exclusivamente en el proveedor de redes o servicios de telecomunicaciones.
Los elementos que sean instalados por los proveedores de redes o servicios de telecomunicaciones deberán estar marcados con el nombre del respectivo proveedor, de conformidad con los siguientes lineamientos:
4.10.2.1.1. Marcación en postes:
- Para los cables instalados sobre postes, la marcación deberá realizarse sobre el cable utilizando una placa asegurada al mismo. Esta marcación se colocará como máximo cada 200 metros de recorrido de postes o donde haya transiciones o cambios de la red canalizada a aérea y viceversa, así como donde se ubiquen los bucles de reserva.
- Para los demás elementos, tales como fuentes de poder, amplificadores, antenas u otros equipos, la marcación deberá realizarse sobre el respectivo elemento, utilizando una placa asegurada al mismo.
4.10.2.1.2. Marcación en canalizaciones:
- Los cables instalados en los ductos deberán estar marcados cuando estos cruzan por cámaras subterráneas, utilizando una placa asegurada al cable.
La marcación en postes y canalizaciones debe resistir el ataque de agentes químicos tales como solventes, grasas, hidrocarburos ácidos y sales.
PARÁGRAFO. La marcación de elementos sobre torres de energía de redes del Sistema de Transmisión Regional (STR) y del Sistema de Transmisión Nacional (STN) no será obligatoria.
ARTÍCULO 4.10.2.2. RETIRO DE ELEMENTOS NO MARCADOS O EN DESUSO CUANDO SE IDENTIFIQUE AL PROVEEDOR DE REDES O SERVICIOS DE TELECOMUNICACIONES. <Artículo subrogado por el artículo 2 de la Resolución 7120 de 2023. El nuevo texto es el siguiente:> En todo momento, el proveedor de infraestructura elegible podrá retirar los elementos o equipos instalados y apoyados directamente en su infraestructura que no estén marcados o se encuentren en desuso. Siempre y cuando sea factible identificar al correspondiente proveedor de redes o servicios de telecomunicaciones, el proveedor de infraestructura elegible concederá un plazo de treinta (30) días hábiles contados a partir de la solicitud que en tal sentido realice, para que el proveedor de redes o servicios de telecomunicaciones lleve a cabo la respectiva marcación o retire los mencionados elementos o equipos, antes de que el proveedor de infraestructura elegible proceda directamente a retirarlos. Vencido este plazo sin que se haya procedido con la marcación o el retiro de los elementos, según aplique, el proveedor de infraestructura elegible podrá retirarlos y los costos involucrados, incluyendo su almacenamiento y custodia, podrán ser cobrados al proveedor de redes o servicios de telecomunicaciones.
PARÁGRAFO: A efectos de la aplicación de lo previsto en el presente artículo, se entenderá que son elementos en desuso los cables o conductores y los elementos distintos a cables ubicados en la infraestructura elegible, que no estén cumpliendo la función para la cual sirve su instalación.
No se considerarán elementos en desuso los bucles de reserva, siempre y cuando su ubicación haya sido autorizada por el proveedor de infraestructura.
ARTÍCULO 4.10.2.3. RETIRO DE ELEMENTOS NO AUTORIZADOS CUANDO SE IDENTIFIQUE AL PROVEEDOR DE REDES O SERVICIOS DE TELECOMUNICACIONES. <Artículo subrogado por el artículo 2 de la Resolución 7120 de 2023. El nuevo texto es el siguiente:> En cualquier momento, el proveedor de infraestructura elegible podrá retirar cualquier elemento no autorizado que se encuentre en su infraestructura, así como todos aquellos equipos instalados por un proveedor de telecomunicaciones cuando pongan en riesgo la seguridad de los operarios, de los usuarios y/o de la infraestructura. En este caso, el proveedor de infraestructura elegible podrá reclamar al proveedor de telecomunicaciones que asuma los costos que se originen por estas labores y los daños o perjuicios derivados por esta conducta de conformidad con lo previsto en la ley.
En los demás casos, en los que no se encuentre en riesgo la infraestructura pero que estén instalados elementos no autorizados en la misma, el proveedor de infraestructura elegible concederá para el retiro de los elementos y/o equipos antes mencionados, un plazo de cinco (5) días hábiles contados a partir de la solicitud que en tal sentido realice, siempre y cuando sea factible identificar al correspondiente Proveedor de Telecomunicaciones. Vencido este plazo sin que se haya procedido con el retiro de los elementos, el proveedor de infraestructura elegible podrá retirarlos y los costos involucrados, incluyendo su almacenamiento y custodia, podrán ser cobrados por el proveedor de infraestructura al proveedor de telecomunicaciones.
PARÁGRAFO: Respecto del asunto regulado por la presente disposición, los proveedores de infraestructura eléctrica se regirán por lo dispuesto en el Artículo 5o de la Resolución CREG 063 de 2013 o en aquella que la sustituya modifique o adicione.
ARTÍCULO 4.10.2.4. PROCEDIMIENTO FRENTE A ELEMENTOS SIN MARCAR, EN DESUSO O NO AUTORIZADOS CUANDO NO SE IDENTIFIQUE AL PROVEEDOR DE REDES O SERVICIOS DE TELECOMUNICACIONES. <Artículo subrogado por el artículo 2 de la Resolución 7120 de 2023. El nuevo texto es el siguiente:> Cuando un proveedor de infraestructura elegible, identifique elementos o equipos instalados y apoyados directamente en su infraestructura que se encuentren en las circunstancias a las que se refieren los artículos 4.10.2.2. y 4.10.2.3. y no sea factible identificar al proveedor de redes o servicios de telecomunicaciones que los utiliza, enviará una comunicación escrita a los proveedores de redes o servicios de telecomunicaciones con los cuales tiene un acuerdo vigente y que tengan redes desplegadas en la zona en donde fueron identificados dichos elementos, quienes deberán manifestar expresamente si dichos elementos y/o equipos forman parte de su red, o si por el contrario son ajenos a la misma. Los mencionados proveedores de redes o servicios de telecomunicaciones deberán dar respuesta a la comunicación recibida en un plazo máximo de diez (10) días hábiles.
En caso de identificarse al proveedor de redes o servicios de telecomunicaciones responsable de los elementos o equipos que se encuentren sin marcar, en desuso o sin autorizar, se dará aplicación a lo previsto en los artículos 4.10.2.2. y 4.10.2.3. respectivamente. En caso de que no se logre identificar al proveedor de redes o servicios de telecomunicaciones correspondiente, el proveedor de la infraestructura elegible podrá proceder directamente con el desmonte de los mencionados elementos o equipos y los costos involucrados, incluyendo su almacenamiento y custodia, podrán ser cobrados por el proveedor de infraestructura elegible al proveedor de telecomunicaciones en caso de llegar a ser identificado posteriormente.
Complementariamente, el proveedor de infraestructura elegible podrá recurrir a los mecanismos de publicidad que considere pertinentes para anunciar el hallazgo de los elementos o equipos a los que se refiere el inciso anterior y convocar a la normalización del uso de su infraestructura por parte de quien se considere responsable de dichos elementos o equipos.
PARÁGRAFO: En lo referente al retiro de elementos no autorizados de la infraestructura eléctrica, deberá aplicarse lo dispuesto en el Artículo 5o de la Resolución CREG 063 de 2013 o en aquella que la sustituya, modifique o adicione.
ASPECTOS ECONÓMICOS.
ARTÍCULO 4.10.3.1. REMUNERACIÓN POR LA UTILIZACIÓN DE LA INFRAESTRUCTURA ELÉCTRICA Y DE TELECOMUNICACIONES. <Artículo subrogado por el artículo 2 de la Resolución 7120 de 2023. El nuevo texto es el siguiente:> La remuneración a reconocer por parte del proveedor de redes o servicios de telecomunicaciones al proveedor de infraestructura elegible por concepto de la utilización de elementos pertenecientes a su infraestructura para el despliegue de redes o la prestación de servicios de telecomunicaciones no podrá ser superior al valor mensual por punto de apoyo en el elemento respectivo incluido en la siguiente tabla:


Nota: Los valores están expresados en pesos constantes del año 2023. El valor tope corresponde a la remuneración por punto de apoyo.
En tendidos aéreos, el punto de apoyo debe entenderse como el mecanismo de fijación de un cable/conductor o conjunto de cables/conductores agrupados con un diámetro total no superior a los 25,4 mm. Cuando se supere dicho diámetro, se remunerará según el cociente redondeado hacia la siguiente unidad que resulte de dividir el diámetro total del cable/conductor o conjunto de cables/conductores por 25,4 mm.
Para la contabilización de apoyos en tendidos subterráneos, el punto de apoyo corresponde a un solo cable o conductor instalado en la infraestructura, con independencia del mecanismo de fijación utilizado.
La remuneración de canalizaciones incluye el uso de cámaras de paso y cajas de revisión.
La remuneración incluye la utilización de tubos bajantes y puestas a tierra adosados al poste u otros elementos técnicamente necesarios y relacionados con el apoyo en el poste o con el cable en el ducto para materializar el acceso a la infraestructura. En caso de no haber disponibilidad de los mencionados elementos o de capacidad en los mismos, deberá permitirse su instalación por parte del PRST, teniendo en cuenta que el uso del espacio que estos ocupen en la infraestructura se encuentra comprendido en la remuneración por apoyo en poste o en canalización.
La remuneración por elementos distintos a conductores o cables tendidos que estén instalados sobre el cable/conductor autosoportado o cable mensajero soportado en el poste, se encuentra incluida dentro del valor tope por punto de apoyo.
Para elementos distintos a conductores o cables tendidos que, por su peso, volumen o funcionalidad o por solicitud del PRST, deban ser instalados directamente en el poste, la utilización de la infraestructura se remunerará según el número de puntos de apoyo correspondiente al cociente redondeado hacia la siguiente unidad que resulte de dividir la longitud total de la cara del elemento apoyada en el poste por 15 cm.
Para la compartición de postes y torres en el STR y STN, el punto de apoyo corresponderá al soporte en poste o torre del cable de guarda.
PARÁGRAFO 1o. <Suspendido mientras se encuentre vigente el parágrafo del artículo 148 de la Ley 2294 de 2023. Mientras esta suspendido regirá lo dispuesto en el parágrafo 1A de este artículo> <Parágrafo modificado por el artículo 1 de la Resolución 7242 de 2023. El nuevo texto es el siguiente:> Los topes tarifarios definidos en el presente artículo no incluyen el Impuesto al Valor Agregado (IVA), ni otros impuestos, y se ajustarán el primero de enero de cada año de acuerdo con el promedio entre la variación anual del año inmediatamente anterior del Índice de Precios al Consumidor de Servicios y la variación anual del año inmediatamente anterior del Índice de Costos de Construcción de Obras Civiles (ICOCIV) subclase CPC V2 AC 53242, si se trata de infraestructura del sector de telecomunicaciones, o el ICOCIV subclase CPC V2 AC 53252, si se trata de infraestructura del sector eléctrico, determinadas por el Departamento Administrativo Nacional de Estadística (DANE).
PARÁGRAFO 1A. <Parágrafo adicionado por el artículo 4 de la Resolución 7242 de 2023 -vigente mientras esta suspendído el parágrafo 1-. El nuevo texto es el siguiente:> Los topes tarifarios definidos en el presente artículo no incluyen el Impuesto al Valor Agregado (IVA), ni otros impuestos, y se ajustarán el primero de enero de cada año de acuerdo con la siguiente fórmula:
![]()
Donde:
TechoMaxtS: Techo máximo al incremento tarifario anual para el año t del sector s al que corresponda la infraestructura;
:Corresponde al mecanismo de indexación tarifaria con el cual se ajustan las tarifas cada año; el valor de referencia es el promedio entre la variación anual del año inmediatamente anterior del Índice de Precios al Consumidor de Servicios y la variación anual del año inmediatamente anterior del Índice de Costos de Construcción de Obras Civiles (ICOCIV) subclase CPC V2 AC 53242, si se trata de infraestructura del sector de telecomunicaciones, o el ICOCIV subclase CPC V2 AC 53252, si se trata de infraestructura del sector eléctrico, determinadas por el Departamento Administrativo Nacional de Estadística (DANE).
Es decir:

Es el factor de descuento aplicable a cada sector al que corresponda la infraestructura, siempre que
sea mayor a cero (0), así:

Es la proporción del descuento aplicable siempre que
sea mayor a cero (0), el cual está en función del desempeño del municipio, así:

Siendo desempeñom el clúster al que pertenece el municipio de acuerdo con el Anexo 4.9 del TÍTULO ANEXOS TÍTULO IV de la presente resolución.
Para los municipios del clúster bajo y limitado, el incremento se aplicará así:
![]()
En los municipios pertenecientes al clúster alto, moderado e incipiente el incremento se aplicará así:
![]()
PARÁGRAFO 2o. El proveedor de redes o servicios de telecomunicaciones y el proveedor de la infraestructura a la que se refiere el presente artículo podrán establecer de mutuo acuerdo la remuneración por el uso de la misma, siempre y cuando tales acuerdos se ajusten a las obligaciones y principios contemplados en el ARTÍCULO 4.10.1.4 del CAPÍTULO 10 del TÍTULO IV y no superen los topes regulatorios establecidos para este tipo de remuneración.
A falta de acuerdo, las partes directamente y dentro de los cinco (5) días siguientes a la finalización de la etapa de negociación directa de que trata el Artículo 42 de la Ley 1341 de 2009 deberán aplicar los topes a los que hace referencia el presente artículo.
ARTÍCULO 4.10.3.2. REMUNERACIÓN POR EL USO DE INFRAESTRUCTURA ELEGIBLE DE OTROS SECTORES. <Artículo subrogado por el artículo 2 de la Resolución 7120 de 2023. El nuevo texto es el siguiente:> Sin perjuicio de lo establecido en el artículo 4.10.3.1 del CAPÍTULO 10 del TÍTULO IV, la remuneración por el uso de la infraestructura de los demás sectores a los que hace referencia el artículo 4.10.1.3 del CAPÍTULO 10 del TÍTULO IV será definida de mutuo acuerdo y bajo el principio de costos eficientes entre los proveedores de redes y servicios de telecomunicaciones y los proveedores de infraestructura elegible.
PARÁGRAFO: Con el fin de promover la celebración de acuerdos respecto de la infraestructura elegible a la que hace referencia el presente artículo, la CRC podrá poner a disposición de los proveedores de infraestructura y de los PRST solicitantes, lineamientos metodológicos no vinculantes a efectos de facilitar las negociaciones entre las partes.
ARTÍCULO 4.10.3.3. TRANSFERENCIAS DE PAGOS POR CONCEPTO DE REMUNERACIÓN POR LA UTILIZACIÓN DE LA INFRAESTRUCTURA ELEGIBLE. <Artículo subrogado por el artículo 2 de la Resolución 7120 de 2023. El nuevo texto es el siguiente:> El proveedor de infraestructura elegible y el proveedor de redes o servicios de telecomunicaciones acordarán la periodicidad de los pagos por concepto de remuneración a favor del primero de estos y el plazo máximo para realizar la transferencia de los mismos.
En caso de no existir acuerdo entre las partes respecto de la periodicidad de los pagos, la misma será mensual. Cuando el desacuerdo verse sobre la fecha de transferencia del pago, el proveedor de redes o servicios de telecomunicaciones deberá realizar dicho pago al proveedor de infraestructura elegible en un plazo no superior a treinta (30) días calendario, contados a partir del vencimiento de la periodicidad de los pagos definida en el acuerdo o en el presente artículo.
ARTÍCULO 4.10.3.4. SUSPENSIÓN DEL ACCESO Y RETIRO DE ELEMENTOS POR LA NO TRANSFERENCIA OPORTUNA DE PAGOS. <Artículo subrogado por el artículo 2 de la Resolución 7120 de 2023. El nuevo texto es el siguiente:> Cuando el proveedor de infraestructura elegible constate que durante dos (2) períodos consecutivos no se ha llevado a cabo, dentro de los plazos acordados o fijados por la CRC conforme a lo previsto en el ARTÍCULO 4.10.3.3. de la presente resolución, la transferencia total del pago asociado a la remuneración por concepto de la utilización de la infraestructura podrá suspender provisionalmente el acceso y uso de la infraestructura, previo aviso a la CRC y al proveedor de redes o servicios de telecomunicaciones con no menos de (15) quince días hábiles de anticipación, y hasta tanto se supere la situación que generó la suspensión. Lo anterior sin perjuicio de que la CRC en ejercicio de sus funciones, de oficio o a solicitud de parte, solicite información adicional para efectos de hacer un seguimiento a la suspensión informada.
Durante la etapa de suspensión provisional a la que hace referencia el anterior inciso el proveedor de infraestructura únicamente podrá:
a. Suspender los servicios adicionales que se estén suministrando. Dichos servicios se podrán cobrar mientras no sean suspendidos. Cuando aplique un valor por reconexión, este solo podrá ser cobrado cuando efectivamente el servicio haya sido suspendido y corresponderá estrictamente a los costos asociados a la operación de reconexión. Cuando el servicio de energía sea provisto al PRST directamente por un prestador de este servicio público, la suspensión se llevará acabo de conformidad con lo dispuesto en la normatividad específica aplicable.
b. Limitar el acceso del proveedor de redes o servicios de telecomunicaciones para efectuar cualquier intervención en la infraestructura.
Las actuaciones descritas en el literal a y b del presente artículo se podrán mantener hasta tanto se supere la situación de impagos que la ocasionó.
El acceso a la infraestructura se reanudará en el momento en el que cese completamente la situación de impagos que generó dicha suspensión y bajo las mismas condiciones que estaban en operación al momento de esta.
Si la falta de transferencia de los saldos totales asociados a la remuneración de la relación de acceso en los plazos acordados o fijados por la CRC en el ARTÍCULO 4.10.3.3., se mantiene después de cuatro (4) períodos consecutivos, el proveedor de infraestructura elegible podrá retirar definitivamente cualquier elemento o equipo que se encuentre instalado en la infraestructura. Para efectos de lo anterior, el proveedor de infraestructura elegible informará a la CRC y al proveedor de redes o servicios de telecomunicaciones con una antelación no inferior a quince (15) días hábiles con respecto al momento de dicho retiro. Si el proveedor de redes o servicios de telecomunicaciones dentro del plazo anteriormente mencionado no procede con el retiro de los elementos, el proveedor de infraestructura elegible podrá retirarlos y los costos involucrados, incluyendo su almacenamiento y custodia, podrán ser cobrados por el proveedor de infraestructura al proveedor de redes o servicios de telecomunicaciones.
PARÁGRAFO: No podrá suspenderse o terminarse el acceso y uso de la infraestructura si se encuentra en curso una actuación administrativa de solución de controversias referida a aspectos que versen sobre las condiciones de remuneración por su utilización.
DISPOSICIONES APLICABLES AL ACCESO A INFRAESTRUCTURA DE TELECOMUNICACIONES.
ARTÍCULO 4.10.4.1. OBLIGACIÓN DE CAPACIDAD DE RESERVA PARA NUEVOS DUCTOS. <Artículo subrogado por el artículo 2 de la Resolución 7120 de 2023. El nuevo texto es el siguiente:> En la instalación de nuevos ductos o canalizaciones en vías públicas sobre las cuales se establezcan restricciones por un tiempo determinado para la construcción e instalación de redes de servicios públicos, los proveedores de redes y servicios de telecomunicaciones, al momento de concluir la obra respectiva, deberán garantizar una capacidad de por lo menos un treinta por ciento (30%) de la total instalada con el fin que esté disponible para su utilización por parte de futuros solicitantes.
Dicha capacidad de reserva podrá ser utilizada por el operador que la instaló solamente con la autorización previa de la CRC cuando se demuestre que esta capacidad se requiere para garantizar la continuidad, calidad y la eficiencia en la prestación del servicio.
ARTÍCULO 4.10.4.2. EXCLUSIÓN DE OBLIGACIONES. <Artículo subrogado por el artículo 2 de la Resolución 7120 de 2023. El nuevo texto es el siguiente:> Los postes y canalizaciones utilizados en la prestación de los servicios de telecomunicaciones, que son instalaciones esenciales, podrán ser excluidos de esta clasificación cuando, por solicitud de parte, se demuestre ante la CRC que existe una oferta de esos elementos amplia, pública, abierta y que garantice la competencia.
DISPOSICIONES APLICABLES AL ACCESO A LA INFRAESTRUCTURA ELÉCTRICA.
ARTÍCULO 4.10.5.1. TRATO NO DISCRIMINATORIO Y TRANSPARENCIA EN LAS CONDICIONES TÉCNICAS DE SUJECIÓN Y AGRUPAMIENTO. <Artículo subrogado por el artículo 2 de la Resolución 7120 de 2023. El nuevo texto es el siguiente:> En el marco de lo dispuesto en el artículo 10 de la Resolución CREG 063 de 2013 o aquellas normas que lo modifiquen, complementen o sustituyan, el proveedor de infraestructura eléctrica no podrá requerir condiciones para los mecanismos de sujeción o de agrupamiento de cables que vayan más allá de la exigencias contempladas en normatividad técnica aplicable ni las estrictamente necesarias para hacer uso de la infraestructura aérea o subterránea en condiciones de seguridad y sin afectar la adecuada prestación del servicio de energía eléctrica. En ningún caso el proveedor de infraestructura eléctrica podrá requerir la implementación de especificaciones técnicas más exigentes que las que emplea para el despliegue de sus propios tendidos o que las exigidas a otro PRST que se encuentre en las mismas circunstancias técnicas de acceso a la infraestructura.
INFRAESTRUCTURA ELÉCTRICA.
<Capítulo derogado por el artículo 5 de la Resolución 7120 de 2023>
CONDICIONES REGULATORIAS PARA FACILITAR EL DESPLIEGUE DE REDES Y LA PRESTACIÓN DE SERVICIOS DE TELECOMUNICACIONES MÓVILES.
CONDICIONES GENERALES.
ARTÍCULO 4.11.1.1. OBJETO. <Artículo adicionado por el artículo 15 de la Resolución 7285 de 2024. El nuevo texto es el siguiente:> El CAPÍTULO 11 del TÍTULO IV tiene por objeto establecer condiciones regulatorias para facilitar el despliegue de redes y la prestación de servicios de telecomunicaciones móviles a través del uso compartido de la infraestructura pasiva empleada por los Proveedores de Redes y Servicios de Telecomunicaciones Móviles (PRSTM).
ARTÍCULO 4.11.1.2. ÁMBITO DE APLICACIÓN. <Artículo adicionado por el artículo 15 de la Resolución 7285 de 2024. El nuevo texto es el siguiente:> El Capítulo 11 del TÍTULO IV resulta aplicable a los PRSTM que ostenten la propiedad, la posesión o la tenencia de infraestructura susceptible de ser utilizada de manera compartida como soporte físico para el despliegue de redes móviles a la que se refiere el presente capítulo.
Para los efectos del presente capítulo, se considera infraestructura pasiva las torres, mástiles, monopolos (incluyendo espacio en piso y servicios adicionales) empleados por los PRSTM para el despliegue de redes y la prestación de servicios de telecomunicaciones móviles.
De igual forma, resulta aplicable a cualquier persona natural o jurídica a quien los PRSTM a los que se refiere el artículo 4.11.2.1 de la presente resolución transfieran o hubieran transferido, a cualquier título, la propiedad, posesión, tenencia o control de la infraestructura pasiva sobre la que recaen las obligaciones aquí previstas.
También se aplica a los PRSTM que requieran acceder y hacer uso de la infraestructura pasiva a la que se ha hecho referencia para la prestación de servicios móviles.
ARTÍCULO 4.11.1.3. OBLIGACIÓN DE REPORTAR INFORMACIÓN A LA CRC SOBRE INFRAESTRUCTURA PASIVA. <Artículo derogado por el artículo 137 de la Resolución 7811 de 2025>
CONDICIONES APLICABLES A PROVEEDORES CON POSICIÓN DOMINANTE, INDIVIDUAL O CONJUNTA, EN EL MERCADO "SERVICIOS MÓVILES".
ARTÍCULO 4.11.2.1. OBLIGACIÓN DE DISPONER DE CONDICIONES DE REFERENCIA PARA LA COMPARTICIÓN DE INFRAESTRUCTURA PASIVA. <Artículo adicionado por el artículo 15 de la Resolución 7285 de 2024. El nuevo texto es el siguiente:> Los PRSTM que tengan posición dominante, individual o conjunta, en el mercado "Servicios Móviles", deberán publicar en su página web las torres, mástiles, monopolos, espacio en piso y servicios adicionales sobre la cual tengan la propiedad, posesión, o control del acceso a cualquier título.
A igual obligación se sujetará la persona natural o jurídica, a quien, el o los PRSTM mencionados en el inciso anterior, le transfiera o le hubiera transferido dentro de los seis (6) meses anteriores a la entrada en vigencia de la presente disposición, a cualquier título, la propiedad, la posesión, la tenencia, el control o los derechos ejercidos sobre la infraestructura pasiva objeto de la obligación acá prevista. Así mismo, no se podrá contemplar disposición alguna que tenga por objeto o como efecto el acceso exclusivo por parte de dichos PRSTM o que comporte una limitación de la prestación de servicios soportados sobre la infraestructura pasiva.
La capacidad excedente de toda la infraestructura pasiva (espacio en torre, mástil, monopolo, espacio en piso que no se encuentren ocupados por ningún equipo), así como los servicios adicionales, que son objeto de la obligación acá prevista, deberán estar disponibles y otorgarse a los otros PRSTM sobre bases no discriminatorias, sin ningún derecho de exclusividad y sin condicionamientos que aten su acceso y uso a la contratación de otros bienes y servicios adicionales a los solicitados.
ARTÍCULO 4.11.2.2. CONDICIONES DE REFERENCIA PARA LA COMPARTICIÓN DE INFRAESTRUCTURA PASIVA. <Artículo adicionado por el artículo 15 de la Resolución 7285 de 2024. El nuevo texto es el siguiente:> Los PRSTM que cumplan las condiciones definidas en el artículo 4.11.2.1. de la presente resolución, o sus sucesores en la propiedad, posesión, tenencia, o a cualquier título en el control de la infraestructura pasiva, deberán publicar las condiciones de referencia para la compartición de dicha infraestructura, cumpliendo los parámetros de información dispuestos en el presente artículo.
4.11.2.2.1. Aspectos generales:
i. Descripción de la infraestructura pasiva susceptible de compartición, especificando para cada una de las torres, mástiles y monopolos, entre otros, el código y el nombre con el que el PRSTM identifica el sitio donde se encuentra instalada la infraestructura pasiva de que trata el presente capítulo, el código del municipio de acuerdo con la División Político-Administrativa de Colombia (DIVIPOLA) presente en el sistema de consulta del Dane.
ii. Y el nombre del municipio en el cual se encuentra instalada, la latitud y longitud geográfica de ubicación; y la capacidad excedente.
iii. Cronograma de actividades necesarias para habilitar el acceso a la infraestructura pasiva.
iv. Procedimientos técnicos y mecanismos para garantizar la adecuada compartición de la infraestructura pasiva.
4.11.2.2.2. Aspectos financieros:
i. Descripción de procedimientos, responsables y plazos para el intercambio de cuentas, aprobación y pago de las mismas.
ii. Precios de referencia para determinar las contraprestaciones aplicables a todos los servicios de acceso y uso de la infraestructura pasiva, así como de los servicios complementarios; los cuales deberán estar orientados a costos eficientes.
4.11.2.2.3. Aspectos técnicos:
i. Características técnicas de los elementos de infraestructura pasiva susceptible de compartición.
ii. Normatividad técnica de la infraestructura pasiva susceptible de compartición.
iii. Procedimientos detallados (con sus correspondientes diagramas de flujo), que deben seguir los otros PRSTM para solicitar servicios, realizar mantenimientos programados, reparar averías y gestionar incidencias, incluyendo los niveles de escalamiento.
iv. Parámetros de calidad y Acuerdos de Nivel de Servicio (SLA) (incluyendo los plazos máximos para la prestación de todos los servicios complementarios mencionados previamente).
v. Procedimientos detallados para todos los servicios complementarios tales como visita técnica, análisis de factibilidad, adecuación de sitio, recuperación de espacio, verificación de colocación y gestión de proyectos de nuevas obras civiles.
PARÁGRAFO 1o. Para el caso de los PRSTM que cumplan con los supuestos definidos en el artículo 4.11.2.1. de la presente resolución, las condiciones aquí referidas estarán sujetas a aprobación de la CRC, las cuales deberán publicarse y mantenerse actualizadas en la página Web del PRSTM una vez surtido el trámite de aprobación correspondiente.
Para el caso de las personas naturales o jurídicas a las que se refiere el inciso segundo del artículo 4.11.2.1., deberán publicar y mantener actualizadas en su página web las condiciones de referencia para la compartición de la infraestructura pasiva objeto de la obligación acá prevista.
PARÁGRAFO 2o. Los PRSTM que cumplan las condiciones definidas en el artículo 4.11.2.1. de la presente resolución, o sus sucesores en la propiedad, posesión, tenencia, o el control de la infraestructura pasiva deberán mantener actualizado el listado de torres susceptibles de compartición junto con su capacidad disponible, incluyendo la información a la que hace referencia el ordinal (i) del numeral 4.11.2.2.1., del artículo 4.11.2.2. El respectivo listado deberá incorporar todos los sitios que se encuentren operativos en la red del PRSTM. En caso de nuevos sitios, estos deberán incluirse en el listado a más tardar veinte (20) días después de que estén operativos.
CONDICIONES APLICABLES A LOS SERVICIOS MAYORISTAS DE TELECOMUNICACIONES.
<Capítulo subrogado por el artículo 2 de la Resolución 7714 de 2025>
CONDICIONES GENERALES APLICABLES A LA PRESTACIÓN DEL SERVICIO PORTADOR.
ARTÍCULO 4.12.1.1. OBJETO Y ÁMBITO DE APLICACIÓN. <Artículo subrogado por el artículo 2 de la Resolución 7714 de 2025. El nuevo texto es el siguiente:> La presente sección tiene como objeto definir las condiciones necesarias para que las ofertas en el mercado de transporte entre los diferentes municipios del país sean suministradas de manera pública y transparente.
Las disposiciones previstas en la presente sección aplican a los proveedores de redes y servicios de telecomunicaciones que tengan el control, la propiedad, la posesión, la tenencia, o que a cualquier título ejerzan derechos sobre las redes de transporte entre los diferentes municipios del país.
ARTÍCULO 4.12.1.2. OBLIGACIÓN DE REPORTE DE INFORMACIÓN DE REDES DE TRANSPORTE. <Artículo subrogado por el artículo 2 de la Resolución 7714 de 2025. El nuevo texto es el siguiente:> Los proveedores de redes y servicios de telecomunicaciones que tengan el control, la propiedad, la posesión, la tenencia, o que a cualquier título ejerzan derechos sobre las redes de transporte que conectan municipios o faciliten dicha infraestructura a terceros, deberán reportar a la CRC la información de su red de transporte por medio del mecanismo, formato, parámetros y atributos que esta autoridad establezca mediante circular administrativa. El reporte de la información se deberá realizar dentro de los treinta (30) días siguientes a la terminación de cada semestre del año.
Adicionalmente, dichos proveedores deberán insertar en su portal, en un lugar visible y de fácil acceso, un botón enlazado a la página web que determine la CRC mediante circular administrativa para publicar los mapas y atributos de las redes de transporte. Este botón deberá ser ubicado en el home de la página web de cada operador.
CONDICIONES PARA LA PROVISIÓN DE SERVICIOS MAYORISTAS DE TELECOMUNICACIONES A PROVEEDORES DE INTERNET FIJO RESIDENCIAL.
ARTÍCULO 4.12.2.1. CONDICIONES MÍNIMAS DE LOS ACUERDOS PARA LA PROVISIÓN DE LOS SERVICIOS MAYORISTAS DE TELECOMUNICACIONES A PROVEEDORES DE INTERNET FIJO RESIDENCIAL. <Artículo adicionado por el artículo 2 de la Resolución 7714 de 2025. El nuevo texto es el siguiente:> Todos los acuerdos que se celebren entre los PRST que suministren servicios de telecomunicaciones mayoristas y otros PRST que presten el servicio de Internet fijo residencial deberán constar por escrito y suscribirse por ambas partes.
Estos acuerdos deberán incluir expresamente, al menos, las siguientes condiciones:
4.12.2.1.1. Objeto del contrato: Descripción clara y suficiente del objeto del contrato.
4.12.2.1.2. Tipo de servicio mayorista contratado: Especificación de los elementos físicos y lógicos que componen el servicio de telecomunicaciones mayorista que se contrate. De los elementos físicos se deberá indicar, al menos, el medio de transmisión, la redundancia, los elementos de red utilizados para la entrega y el punto de entrega del servicio. Sobre los elementos lógicos se deberá especificar, por lo menos, la capacidad contratada y garantizada, los protocolos de transporte y el direccionamiento IP (en caso de que aplique).
4.12.2.1.3. Servicios adicionales: Relación de todos los servicios adicionales que se contraten, distintos al servicio de telecomunicaciones mayorista descrito en el numeral anterior.
4.12.2.1.4. Duración del contrato: Período durante el cual se proveerá el (los) servicio(s) contratado(s).
4.12.2.1.5. Valor del contrato: Precio o tarifa de remuneración por la provisión del (los) servicio(s) contratado(s) de manera desagregada. Este valor deberá ser pactado de mutuo acuerdo entre las partes.
4.12.2.1.6. Acuerdos de Nivel de Servicio (ANS): Hace referencia a los compromisos de calidad que se garantizarán durante la provisión del (los) servicio(s) contratado(s). Los acuerdos que se celebren deberán incluir, por lo menos, las siguientes Condiciones de Calidad:
- Indicadores de calidad: Definición de los indicadores de calidad del servicio mayorista de telecomunicaciones que se contrate, estableciendo los procedimientos para su medición, reporte y verificación. Como mínimo, el PRST que suministre el servicio mayorista de telecomunicaciones deberá establecer un indicador de disponibilidad que incluya una meta con su respectivo periodo de cumplimiento.
En aquellos casos en los que el indicador de disponibilidad del servicio mayorista de telecomunicaciones contratado y su umbral de cumplimiento se encuentre regulado, no podrá ser inferior al establecido en la regulación vigente.
- Mecanismos de información de incidentes de calidad: Se deberán definir los mecanismos por medio de los cuales el PRST que provea el servicio mayorista de telecomunicaciones informará al PRST que presta el servicio de Internet fijo residencial, la ocurrencia de los incidentes que sucedan en su red y que generen una afectación a la provisión del servicio minorista.
Para tal fin, el PRST que suministre el servicio mayorista de telecomunicaciones deberá establecer el tiempo máximo en el que cumplirá con la obligación de informar el acaecimiento de las fallas. En caso de que no se defina un medio más eficaz, el PRST que provea el servicio mayorista de telecomunicaciones informará la ocurrencia de las fallas a la dirección de correo electrónico o por mensaje de texto al número de teléfono de contacto suministrados por el PRST que preste el servicio de Internet fijo residencial, al momento de la suscripción del contrato.
- Atención de reporte de fallas: Las partes deberán establecer de mutuo acuerdo las condiciones con las que el PRST del servicio mayorista de telecomunicaciones recibirá los reportes de fallas por parte del PRST que preste el servicio de Internet fijo residencial. Dichas condiciones deberán incluir como mínimo: (i) el horario de atención, especificando los días de la semana y el horario en que se recibirán solicitudes o reportes de fallas; y (ii) los medios de atención disponibles. Como mínimo se deberá garantizar la disponibilidad de una línea de atención telefónica o un correo electrónico.
Para la atención de reporte de fallas, el PRST responsable de la recepción deberá numerar cada una de las solicitudes que presenten los PRST que suministren el servicio de Internet fijo residencial y generar un número de registro (ticket) sobre cada caso reportado, el cual deberá ser informado al PRST que reporte la falla, para su seguimiento.
Finalmente, el PRST que suministre el servicio mayorista de telecomunicaciones deberá definir una matriz de atención de las fallas en la que se indiquen las condiciones de atención de las fallas que reporten los PRST que presten el servicio de Internet fijo residencial, la cual deberá contener al menos la siguiente información:
-- Tiempo máximo de atención: Hace referencia a la cantidad máxima de tiempo en la que el PRST mayorista atenderá la solicitud del PRST que preste el servicio de Internet fijo residencial.
-- Tiempo máximo de solución: Hace referencia a la cantidad máxima de tiempo en la que el PRST mayorista solucionará la falla identificada e informará su solución al PRST que preste el servicio de Internet fijo residencial que la reportó. Este tiempo puede ser discriminado dependiendo del tipo de criticidad de la falla.
-- Niveles de escalamiento: Hace referencia al procedimiento que se aplicará en aquellos casos en los que no se cumplan los tiempos definidos para la atención y solución de la falla reportada.
Esta matriz deberá hacer parte integral del acuerdo que suscriban las partes.
4.12.2.1.7. Mecanismos de negociación directa: Las partes deberán establecer de mutuo acuerdo los mecanismos de negociación directa que agotarán antes de acudir a la CRC para el trámite de solución de controversias.
Adicionalmente, los acuerdos deberán indicar de manera expresa que la regulación expedida por la CRC en materia de acceso a las redes de telecomunicaciones es aplicable a la relación contractual. En el mismo sentido, en el texto del acuerdo se deberá establecer que aquellas controversias que surjan durante la ejecución del contrato que no puedan ser resueltas de manera directa entre las partes, versen sobre asuntos de orden público y se encuentren enmarcados en las competencias legales de la CRC, le son aplicables las reglas de solución de controversias de que trata el Título V de la Ley 1341 de 2009.
PARÁGRAFO. Los acuerdos que se suscriban podrán contener condiciones adicionales propias de la prestación de los servicios de telecomunicaciones mayoristas, siempre que estas no sean contrarias a la regulación aplicable ni impongan requisitos que dificulten injustificadamente el acceso a los PRST de Internet fijo residencial.
CONDICIONES GENERALES PARA LA PROVISIÓN DE INFRAESTRUCTURA DE LAS REDES DE TELEVISIÓN ABIERTA RADIODIFUNDIDA
DISPOSICIONES GENERALES
ARTÍCULO 4.13.1.1. OBJETO. El CAPÍTULO 13 del TÍTULO IV tiene por objeto complementar y modificar las condiciones generales para la provisión de infraestructura en las redes de televisión abierta radiodifundida nacionales, regionales y locales.
(Resolución CRC 4841 de 2015, artículo 1)
ARTÍCULO 4.13.1.2. ÁMBITO DE APLICACIÓN. El CAPÍTULO 13 del TÍTULO IV aplica a los operadores de televisión abierta radiodifundida, del ámbito nacional, regional y local, con y sin ánimo de lucro y a cualquier otro agente que ostente el control, la propiedad, la posesión, la tenencia o que a cualquier título ejerza derechos sobre la infraestructura destinada a la prestación del servicio de televisión abierta radiodifundida.
(Resolución CRC 4841 de 2015, artículo 2)
ARTÍCULO 4.13.1.3. PRINCIPIOS DE ACCESO Y USO A LA INFRAESTRUCTURA DE TELEVISIÓN ABIERTA RADIODIFUNDIDA. El acceso y uso de las instalaciones de los proveedores de la infraestructura y los operadores solicitantes se regirán conforme a los siguientes principios y obligaciones:
4.13.1.3.1. Libre y leal competencia. El acceso y uso de las instalaciones deberán propiciar escenarios de libre y leal competencia que incentiven la inversión actual y futura en el sector de TIC y que permitan la concurrencia al mercado, con observancia del régimen de competencia, bajo precios de mercado y en condiciones de igualdad.
4.13.1.3.2. Trato no discriminatorio con Acceso Igual - Cargo Igual. Los proveedores de la infraestructura deberán dar igual trato a todos los operadores y no podrán otorgar condiciones menos favorables que las que se otorgan a sí mismos o a algún otro operador. Las condiciones de acceso no deben ser menos favorables que las que utilice para sí mismo o a las ofrecidas a otros que se encuentren en las mismas circunstancias técnicas de acceso y a las que otorgan a empresas matrices, subordinadas, subordinadas de las matrices o empresas en las que sea socio el proveedor correspondiente o a las que utilice para sí mismo dicho proveedor.
Los proveedores de la infraestructura deberán otorgar iguales o similares condiciones de remuneración por el acceso y uso a la instalación, cuando de por medio se presentan condiciones de acceso y uso similares.
4.13.1.3.3. Remuneración orientada a costos eficientes. La remuneración del acceso y uso de las instalaciones por parte de los operadores debe estar orientada a costos eficientes y sujetos a los principios y la metodología definida en el ANEXO 4.7 del TÍTULO DE ANEXOS.
4.13.1.3.4. Separación de costos por elementos de red. Los costos para la provisión de los elementos, funciones y servicios necesarios para efectuar el acceso y/o uso, deben estar separados en forma suficiente y adecuada, de tal manera que los operadores involucrados en la relación de acceso no deban pagar por elementos o instalaciones que no necesiten para la prestación de sus servicios, lo anterior con el fin de garantizar la transparencia en la remuneración por el acceso y/o uso.
4.13.1.3.5. Publicidad y Transparencia. Los proveedores de la infraestructura deben suministrar la información técnica, operativa y de costos asociados, que requieran los demás operadores o proveedores con motivo de la relación de acceso y/o de uso.
4.13.1.3.6. Buena fe. Los proveedores de la infraestructura tienen el derecho y la correspondiente obligación de adelantar de buena fe la celebración y ejecución de los acuerdos referidos al acceso a redes de otros proveedores.
Se tendrá como indicio en contra de la buena fe, la demora injustificada y la obstrucción de las negociaciones tendientes a lograr acuerdos de acceso y uso, así como el entorpecimiento, por acción o por omisión, de su celebración, de su ejecución, de la aplicación de actos de fijación de condiciones de acceso y uso, así como de los otros actos expedidos por la CRC que determinen el uso y acceso de la infraestructura.
4.13.1.3.7. Uso razonable y eficiente: El acceso a la instalación esencial es un derecho. Por ésta razón deberá garantizarse el acceso en condiciones eficientes.
4.13.1.3.8. No restricción. Los proveedores de la infraestructura se abstendrán de imponer restricciones a cualquier servicio de televisión abierta, de otros operadores de televisión abierta, salvo en aquellos casos que por disposición legal, reglamentaria, judicial o regulatoria estos estén prohibidos o restringidos.
(Resolución CRC 4841 de 2015, artículo 4)
INSTALACIONES ESENCIALES
ARTÍCULO 4.13.2.1. INSTALACIONES ESENCIALES. Las instalaciones esenciales a las que se hace referencia en CAPÍTULO 13 del TÍTULO IV son aquellas definidas en el Anexo 1 del Acuerdo CNTV 005 de 2010 y se listan a continuación:
1. Sistemas de Energía y Protecciones Eléctricas.
1.1 Subestaciones Eléctricas.
1.2 Plantas de Emergencia.
1.3 Unidades de Potencia Ininterrumpida (UPS).
1.4 Sistemas de Puesta a Tierra y Sistema Integrado de Protección Contra Descargas
Atmosféricas.
2. Área y Obra Civil.
2.1 Área Lote.
2.2 Área Caseta.
2.3 Área Torre.
3. Servicios.
3.1 Energía.
3.2 Acueducto y Alcantarillado.
3.4 Manejo Ambiental.
3.5 Vigilancia.
(Resolución CRC 4841 de 2015, artículo 5)
ARTÍCULO 4.13.2.2. ACCESO Y USO DE INSTALACIONES ESENCIALES. Los proveedores de la infraestructura deberán poner a disposición de los operadores de televisión abierta que así lo soliciten, las instalaciones esenciales definidas en el Anexo 1 del Acuerdo CNTV 005 de 2010.
La solicitud de acceso y uso debe ser adecuada a las necesidades y características del servicio a prestar, por lo que el operador solicitante deberá presentar detallada y justificadamente las instalaciones esenciales que requiere y el proveedor de la infraestructura que ostenta el control de dichas instalaciones no podrá imponer el acceso a instalaciones diferentes a las solicitadas.
Los proveedores de la infraestructura que faciliten la misma tienen el derecho a recuperar los costos eficientes en los que incurran por el uso de dicha infraestructura y por la prestación de servicios a operadores de televisión abierta radiodifundida con ocasión del acceso y uso, bajo las reglas aquí previstas.
(Resolución CRC 4841 de 2015, artículo 6)
OBLIGACIONES GENERALES
ARTÍCULO 4.13.3.1. OBLIGACIONES DEL PROVEEDOR DE LA INFRAESTRUCTURA. Para la provisión de la infraestructura serán obligaciones del proveedor de la misma las siguientes:
4.13.3.1.1. Presentar para validación de la CRC, la Oferta Básica de Acceso y Uso de Infraestructura a la que hace referencia el ARTÍCULO 4.13.3.3 del CAPÍTULO 13 del TÍTULO IV. La oferta deberá actualizarse cada vez que se efectúe una modificación a la misma, la cual deberá someterse a validación de la CRC.
4.13.3.1.2. Publicar en su página web la Oferta Básica de Acceso y Uso de Infraestructura dentro de los tres (3) días hábiles siguientes a la validación efectuada por la CRC.
4.13.3.1.3. Poner a disposición de los operadores solicitantes las instalaciones esenciales definidas en el Anexo 1 del Acuerdo CNTV 005 de 2010 y aquellas que sean definidas por la regulación.
4.13.3.1.4. Incluir dentro de la Oferta Básica de Acceso y Uso de Infraestructura, los precios desagregados por cada uno de los elementos que conforman su infraestructura, siendo posible la estructuración de paquetes por el acceso y uso de los mismos, en los términos del ítem 4.13.3.4.2.2 del numeral 4.13.3.4.2 del ARTÍCULO 4.13.3.4.
4.13.3.1.5. Cobrar bajo el criterio de orientación a costos eficientes por el acceso y uso de la infraestructura compartida los precios que se acuerden para tal fin.
4.13.3.1.6. Establecer el esquema de remuneración por el acceso y uso de la infraestructura, consistente en el pago periódico por dicho acceso, en los términos del ítem 4.13.3.4.2.4 del numeral 4.13.3.4.2 del ARTÍCULO 4.13.3.4 del CAPÍTULO 13.
4.13.3.1.7. Garantizar al operador solicitante del acceso, el ingreso a los sitios y toda la información necesaria para que éste realice los estudios necesarios de viabilidad técnica y gestione los permisos y trámites administrativos pertinentes para adelantar las adecuaciones en caso de ser necesarias, para poner en funcionamiento sus equipos.
4.13.3.1.8. Publicar en su página Web la totalidad de estaciones de radiodifusión de televisión analógica sobre las que no se presenta OBA. Indicando: i) nombre de la estación, ii) descripción de la estación (altura de la torre, tamaño de la caseta en m2 y tamaño del lote en m2), iii) municipio en el cual se encuentra la estación (código DANE), iv) coordenadas geográficas de la estación, v) si el terreno donde está ubicada la estación es propio o de un tercero, en cuyo caso se deberá incluir la vigencia y naturaleza del contrato respectivo, y vi) el listado de los municipios cubiertos desde la estación.
4.13.3.1.9. Informar oportunamente al operador solicitante cualquier daño ocasionado en las instalaciones en desarrollo de las actividades propias del proveedor de la infraestructura y que puedan alterar la correcta operación del operador solicitante.
(Resolución CRC 4841 de 2015, artículo 7, Modificado por la Resolución CRC 5029 de 2016)
ARTÍCULO 4.13.3.2. OBLIGACIONES DEL OPERADOR SOLICITANTE DEL ACCESO Y USO. <Artículo subrogado por el artículo 8 de la Resolución 6333 de 2021. El nuevo texto es el siguiente:> Para el acceso y uso a las instalaciones esenciales, serán obligaciones del operador de televisión abierta radiodifundida que las solicite las siguientes:
4.13.3.2.1. Solicitar el acceso y uso directamente al proveedor de la infraestructura, informando las estaciones a las que requiere el acceso y el detalle de la infraestructura a ser utilizada, señalando entre otros, los metros cuadrados de lote que requiere, el espacio requerido en caseta, los metros lineales de torre a utilizar, los servicios públicos a utilizar y el servicio de vigilancia.
4.13.3.2.2. Presentar al proveedor de infraestructura la información detallada de las adecuaciones para poner en funcionamiento sus equipos, tales como: estudios técnicos, cronogramas de trabajo, áreas a intervenir, entre otros.
4.13.3.2.3. Elaborar los estudios que se requieran para definir las adecuaciones necesarias para el acceso a la infraestructura.
4.13.3.2.4. Gestionar los permisos y trámites administrativos pertinentes para adelantar las adecuaciones en las estaciones de televisión, en caso de ser necesarios.
4.13.3.2.5. Pagar oportunamente los cánones de arrendamiento acordados por concepto de acceso y uso de instalaciones esenciales y no esenciales ofertadas.
4.13.3.2.6. Informar oportunamente al proveedor de la infraestructura cualquier daño ocasionado en las instalaciones arrendadas en desarrollo de las actividades propias del operador solicitante.
4.13.3.2.7. Una vez suscrito el Acuerdo o con la firmeza del acto administrativo que resuelva la controversia y defina las condiciones de acceso a la instalación esencial y hasta tanto se materialice el acceso, remitir a la Autoridad de Vigilancia y Control con copia a la CRC, con una periodicidad mensual, un informe detallado del avance de las actividades definidas para hacer efectivo el acceso y uso de la infraestructura.
ARTÍCULO 4.13.3.3. OFERTA BÁSICA DE ACCESO Y USO DE INFRAESTRUCTURA. <Artículo modificado por el artículo 61 de la Resolución 5586 de 2019. El nuevo texto es el siguiente:> Los proveedores de la infraestructura deberán contar con una Oferta Básica de Acceso y Uso de Infraestructura, en la cual definirán la totalidad de elementos mínimos necesarios para el acceso a la misma, tomando como referencia las instalaciones esenciales definidas en el Anexo 1 del Acuerdo CNTV 005 de 2010. Para tal efecto, deberán incluir en su oferta los precios de los servicios de compartición actualizados considerando lo dispuesto en el ANEXO 4.7 del TÍTULO DE ANEXOS, para que con su simple aceptación por parte de un operador solicitante se genere un acuerdo de acceso y uso de infraestructura. Esta oferta deberá ser remitida a la CRC, quien validará el contenido de la misma y procederá al respectivo registro.
La validación por parte de la CRC de la Oferta Básica de Acceso y Uso de Infraestructura no comporta una aprobación de aspectos tales como: los precios de los servicios de compartición, costos y características técnicas, cronograma de actividades y plazos, entre otros.
PARÁGRAFO 1o. Los proveedores de la infraestructura, en relación con las estaciones que se desplieguen para operación en tecnología digital, deberán presentar sus Ofertas Básicas de Acceso y Uso de Infraestructura ante la CRC, dentro de los cuatro (4) meses siguientes a la fecha de inicio de operación de cada estación. En el caso de las estaciones que estén operando en tecnología analógica, las Ofertas Básicas de Acceso y Uso de Infraestructura deberán ser presentadas ante la CRC, dentro de los cuatro (4) meses siguientes a la fecha en que se reciba una solicitud de acceso y uso de la infraestructura por parte de cualquier operador solicitante. Asimismo, con el fin de mantener actualizada la Oferta Básica de Acceso y Uso de Infraestructura, los proveedores deberán presentar cualquier modificación ante la CRC conforme a lo dispuesto en el numeral 4.13.3.1.1 del ARTÍCULO 4.13.3.1 del CAPÍTULO 13 del TÍTULO IV. El incumplimiento de lo aquí dispuesto dará lugar a las sanciones pertinentes.
PARÁGRAFO 2o. Los proveedores de la infraestructura deberán incluir expresamente como parte del contenido de su oferta la siguiente redacción: "La presente Oferta Básica de Acceso y Uso de Infraestructura fue validada mediante Resolución CRC [indicando el número y fecha del acto administrativo correspondiente], por lo tanto, con su simple aceptación por parte del operador de televisión abierta radiodifundida que solicita el acceso y uso se genera el acuerdo.
ARTÍCULO 4.13.3.4. CONTENIDO DE LA OFERTA BÁSICA DE ACCESO Y USO DE INFRAESTRUCTURA. La Oferta Básica de Acceso y Uso de Infraestructura, debe contener los siguientes aspectos:
4.13.3.4.1. Parte General:
4.13.3.4.1.1. Descripción de la red o infraestructura de televisión, incluyendo las instalaciones esenciales y aquellas no esenciales que sean ofertadas para el acceso por parte del operador solicitante, y que tengan disponibilidad.
4.13.3.4.1.2.Identificación de cada una de las estaciones de televisión y de la infraestructura que las componen, junto con la descripción de las características particulares de las mismas, tales como: el título bajo el cual ostenta la tenencia del bien, la vigencia de contratos de arrendamiento suscritos, permisos asociados a la operación de la estación, entre otros.
4.13.3.4.1.3.Cronograma de actividades necesarias para habilitar el acceso y uso de infraestructura.
4.13.3.4.1.4.Plazo del acuerdo de acceso y uso de infraestructura.
4.13.3.4.1.5.Causales de suspensión o terminación del acuerdo de acceso y uso de infraestructura.
4.13.3.4.1.6.Mecanismos para la resolución de controversias relacionadas con el acceso y uso de infraestructura.
4.13.3.4.1.7.Procedimientos y mecanismos para garantizar el adecuado funcionamiento de la infraestructura y servicios a prestar, incluyendo las normas técnicas y de seguridad que deben aplicarse.
4.13.3.4.1.8.Establecer las condiciones técnicas y características mínimas de las obras civiles y adecuaciones sobre la infraestructura, que deba realizar el operador solicitante del acceso.
4.13.3.4.1.9.Procedimiento para solicitar el ingreso a los sitios en los que se requiera realizar estudios de viabilidad técnica para adelantar adecuaciones de la infraestructura.
4.13.3.4.1.10.Los instrumentos que contengan las garantías razonables de que trata el ARTÍCULO 4.13.3.5 del CAPÍTULO 13.
4.13.3.4.2. Aspectos Financieros:
4.13.3.4.2.1. Descripción de procedimientos, responsables y plazos para el envío de cuentas de cobro por el arrendamiento y pago de las mismas.
4.13.3.4.2.2.La remuneración por concepto de las instalaciones esenciales requeridas para el acceso y uso, considerando lo dispuesto en el ANEXO 4.7 del TÍTULO DE ANEXOS y por cada estación de radiodifusión de televisión, así:
1. Precios por mes por metro cuadrado en caseta.
2. Precios por mes por metro en torre.
3. Precios por mes por capacidad de energía en kW.
4. Precios por mes por metro cuadrado en lote.
4.13.3.4.2.3.Esquema de remuneración por el acceso y uso de la infraestructura bajo la modalidad de Pagos periódicos: Corresponde a la remuneración periódica mensual por el acceso y uso de las instalaciones esenciales requeridas, una vez dicho acceso sea efectivo.
4.13.3.4.2.4.La remuneración por utilización de instalaciones no esenciales ofertadas.
El proveedor de la infraestructura determinará los precios de arrendamiento con base en la disponibilidad en cada estación al momento de presentación de la OBA o de su modificación.
4.13.3.4.3. Aspectos Técnicos
4.13.3.4.3.1. Información de las estaciones de televisión, incluyendo para cada sitio su ubicación (municipio, departamento y coordenadas WGS84), elevación, planos de la estación en formato pdf, donde se identifiquen los espacios en lote, caseta y torre, áreas totales y disponibles en lote y caseta, altura de la torre y espacios ocupados y disponibles en la torre, capacidad disponible para compartición en cada estación expresados en metros cuadrados (m2) en lote y caseta, metros (m) en torre y kW de energía, potencia radiada aparente, potencia consumida en la estación, capacidad de potencia máxima de la estación y listado de los municipios cubiertos desde la estación con el transmisor digital de mayor potencia.
4.13.3.4.3.2. Discriminar todos los servicios que se ofrecen en cada estación de televisión, tomando como referencia las instalaciones esenciales definidas en el Anexo 1 del Acuerdo CNTV 005 de 2010.
4.13.3.4.3.3.Capacidades de los sistemas de energía y características técnicas de potencia incluyendo, en caso de existir, la subestación eléctrica, los sistemas de aseguramiento como grupo electrógeno, UPS y baterías, así como la capacidad de la red eléctrica y los dispositivos de alta tensión.
4.13.3.4.3.4. Características estructurales de la torre y las construcciones, y en el caso de elementos ofertados que no están definidos como instalación esencial, sus potencias de operación, anchos de banda, capacidad de multiplexación en RF y toda aquella información que pueda ser relevante desde el punto de vista técnico para la compartición de la infraestructura.
4.13.3.4.4. Procedimiento para revisar el acuerdo de acceso y uso de infraestructura. El procedimiento debe involucrar las actividades detalladas necesarias para analizar los requerimientos de la solicitud y ajustar la oferta para el caso en el que la solicitud de acceso difiera en términos de capacidades o características técnicas respecto de lo dispuesto en la Oferta Básica de Acceso y Uso de Infraestructura (Ej: Site Survey o diseños), o en la definición de obras requeridas para la adecuación del sitio. En todo caso, estas actividades deberán adelantarse dentro del plazo al que se refiere el ARTÍCULO 4.13.3.9 del CAPÍTULO 13.
PARÁGRAFO 1. Los proveedores de la infraestructura no podrán incluir en la oferta condiciones adicionales a las señaladas en este artículo.
PARÁGRAFO 2. Los proveedores de la infraestructura deberán contar con los soportes y justificaciones técnicas y económicas debidamente certificadas por su Representante Legal que sustenten los precios definidos en el ítem 4.13.3.4.2.2 del numeral 4.13.3.4.2 del presente artículo, de conformidad con la metodología definida en el ANEXO 4.7 del TÍTULO DE ANEXOS.
(Resolución CRC 4841 de 2015, artículo 10, Modificado por la Resolución CRC 5029 de 2016)
ARTÍCULO 4.13.3.5. GARANTÍAS. El proveedor de la infraestructura podrá exigir garantías razonables que aseguren el cumplimiento de las obligaciones que se deriven de la provisión del acceso a las instalaciones esenciales, así como por los posibles daños que puedan ocasionarse a los elementos de los operadores instalados en la misma infraestructura.
PARÁGRAFO 1. Las garantías a las que hace alusión el presente artículo deberán asociarse de manera preferente a pólizas de seguro. En su defecto, podrán constituirse otras garantías que permitan amparar los riesgos derivados, siempre que las mismas de ninguna manera se tornen irrazonables o puedan constituirse como restricciones al acceso a la infraestructura.
PARÁGRAFO 2. El operador solicitante podrá exigir las garantías razonables de que trata este artículo, en relación con las obligaciones establecidas en el acuerdo.
(Resolución CRC 4841 de 2015, artículo 11, Modificada por la Resolución CRC 5029 de 2016)
ARTÍCULO 4.13.3.6. SOLICITUD DE ACCESO Y USO DE LA INFRAESTRUCTURA. Para dar inicio a la etapa de negociación directa, tendiente a establecer un acuerdo de acceso y uso de la infraestructura, únicamente será necesaria la manifestación de la voluntad de celebrar el acuerdo, para lo cual el operador solicitante deberá indicar los aspectos en los que se aparta de la Oferta Básica de Acceso y Uso de Infraestructura del proveedor de la infraestructura a quien le presenta la solicitud, los cuales serán objeto de revisión de las partes en la negociación de las condiciones del acuerdo.
El operador solicitante deberá anexar a la solicitud una copia del título habilitante para la prestación del servicio de televisión abierta, según sea el caso.
Durante la negociación, las partes deberán abordar los diferentes aspectos requeridos para materializar el acuerdo, en temas tales como: la identificación de recursos, capacidades, modificaciones o reforzamientos requeridos, servicios adicionales, entre otros.
El proveedor de la infraestructura, al cual se le requiere el acceso y uso a la misma, podrá solicitar información adicional, sin que dicha información pueda ser considerada como un requisito para dar inicio a la negociación del acuerdo.
(Resolución CRC 4841 de 2015, artículo 12, Modificada por la Resolución CRC 5029 de 2016)
ARTÍCULO 4.13.3.7. COMITÉ MIXTO DE ACCESO. En los acuerdos de acceso y uso a su infraestructura, así como en los actos administrativos de imposición de servidumbre de acceso y uso, o de fijación de condiciones de acceso y uso, se establecerá la conformación de un Comité Mixto de Acceso que tendrá la función de vigilar el desarrollo de la relación de acceso y uso y servir de mecanismo de arreglo directo de conflictos. Este Comité estará compuesto paritariamente por representantes del proveedor de la infraestructura y el operador solicitante.
En cada reunión del Comité Mixto de Acceso de que trata este artículo, se levantará un acta sobre los temas tratados. Solo cuando dicho Comité no llegue a acuerdos directos, los cuales deben discutirse dentro de un plazo de treinta (30) días calendario siguientes a la fecha de presentación del requerimiento a la otra parte, los representantes legales del proveedor de la infraestructura o del operador solicitante pueden solicitar la intervención de la CRC.
(Resolución CRC 4841 de 2015, artículo 13)
ARTÍCULO 4.13.3.8. ESQUEMAS DE REMUNERACIÓN POR EL ACCESO Y USO DE LA INFRAESTRUCTURA. El operador solicitante al aceptar la Oferta Básica de Acceso y Uso a la Infraestructura podrá optar por el pago periódico. En todo caso, las partes de común acuerdo podrán definir un esquema distinto de remuneración por el acceso y uso de la infraestructura, siempre dentro de los treinta (30) días que trata el ARTÍCULO 4.13.3.4. del CAPÍTULO 13 del TÍTULO IV.
(Resolución CRC 4841 de 2015, artículo 14, Modificada por la Resolución CRC 5029 de 2016)
ARTÍCULO 4.13.3.9. ACTUACIONES DE LA CRC. De conformidad con las funciones asignadas a la CRC por el artículo 22 de la Ley 1341 de 2009, en el evento en que el proveedor de la infraestructura y el operador solicitante no lleguen a un acuerdo definitivo respecto a la Oferta Básica de Acceso y Uso de Infraestructura, o respecto de cualquier asunto relacionado con la solicitud de acceso y uso de infraestructura, dentro de un plazo de treinta (30) días calendario siguientes a la fecha de presentación de la solicitud de acceso y uso de la infraestructura, la CRC, previa solicitud de parte, iniciará el trámite administrativo para dirimir en sede administrativa la controversia surgida.
La CRC, para definir las condiciones de acceso y uso de las instalaciones esenciales deberá tener en cuenta en su decisión los criterios de proporcionalidad y eficiencia.
Contra las decisiones que adopte la CRC sólo cabe el recurso de reposición ante la misma entidad, sin perjuicio de las acciones jurisdiccionales previstas en la ley colombiana.
(Resolución CRC 4841 de 2015, artículo 15, Modificada por la Resolución CRC 5029 de 2016)
ARTÍCULO 4.13.3.10. SUSPENSIÓN Y TERMINACIÓN DE LOS ACUERDOS DE ACCESO Y USO. Previa autorización de la CRC, los acuerdos de acceso y uso de infraestructura pueden terminarse por el cumplimiento del plazo o de sus prórrogas, por la extinción de la calidad de operador de televisión abierta del solicitante, por la imposibilidad de cualquiera de las partes para continuar ejerciendo su objeto social o por la mora superior a los sesenta (60) días en los respectivos pagos.
Si las partes desean terminar el acuerdo de acceso y uso por mutuo consentimiento, deberán solicitar a la CRC su autorización con no menos de tres (3) meses de anticipación, empleando su mejor esfuerzo orientado a garantizar que no se afectarán los derechos de los televidentes de los servicios involucrados.
(Resolución CRC 4841 de 2015, artículo 16)
ARTÍCULO 4.13.3.11. MODIFICACIÓN FORZADA DE LOS ACUERDOS DE ACCESO Y USO Y DE LOS ACTOS ADMINISTRATIVOS DE IMPOSICIÓN DE SERVIDUMBRE Y FIJACIÓN DE CONDICIONES. Durante el período de ejecución del acuerdo de acceso y uso, o la vigencia del acto administrativo que impuso la servidumbre o la fijación de condiciones, la CRC, de oficio o a petición de parte, de conformidad con lo previsto en el Título V de la Ley 1341 de 2009, podrá revisar o modificar las condiciones existentes e imponer nuevas obligaciones a las partes.
(Resolución CRC 4841 de 2015, artículo 17)
ARTÍCULO 4.13.3.12. RENUNCIA O TERMINACIÓN A LA SERVIDUMBRE O A LA FIJACIÓN DE CONDICIONES DE ACCESO Y USO. Cuando la servidumbre de acceso y uso impuesta por la CRC no se encuentre operativa o cuando las partes acuerden directamente las condiciones que regirán la relación de acceso y uso, la parte que solicitó la intervención de la Comisión puede renunciar a la servidumbre o a la fijación de condiciones que ha sido impuesta, previa autorización de la CRC, caso en el cual la servidumbre dejará de tener efecto. La renuncia debe hacerse de buena fe, sin que implique abuso del derecho, en forma tal que no perjudique indebidamente a la otra parte y no afecte a los televidentes o al servicio.
(Resolución CRC 4841 de 2015, artículo 18)
ARTÍCULO 4.13.3.13. PROHIBICIÓN DE LIMITAR EL ACCESO Y USO. Ninguna controversia, conflicto o incumplimiento de los acuerdos de acceso y uso, podrá dar lugar a limitar o restringir el uso de las instalaciones convenidas, salvo que la CRC así lo autorice, en cuyo caso deberá dictar las medidas previas que se aplicarán con la finalidad de minimizar los efectos para los televidentes.
Mientras no se produzca esta autorización, las condiciones del acceso y uso deben mantenerse y, por lo tanto, no puede limitarse, suspenderse o terminarse, so pena de que quien ejecutó, motivó o patrocinó la conducta, incurra en las sanciones previstas para el efecto en las normas correspondientes.
(Resolución CRC 4841 de 2015, artículo 19)
ARTÍCULO 4.13.3.14. PUBLICIDAD. Los acuerdos de acceso y uso vigentes al momento de expedición de esta resolución (Resolución CRC 4841 de 2015), como los actos de imposición de servidumbre o de fijación de condiciones de acceso y uso, o los que se celebren con posterioridad a la expedición de la presente resolución (Resolución CRC 4841 de 2015) son públicos. Forman parte de ellos los anexos y demás documentos donde se definan condiciones legales, técnicas, comerciales o financieras que rijan las relaciones derivadas del acceso.
PARÁGRAFO 1. En caso que el acceso y uso requiera del manejo de información a la cual la Ley le haya conferido el carácter de confidencial, esta debe ser reportada en documento separado y quedará sujeta a tratamiento reservado. En todo caso, la información sobre precios de acceso y uso no puede ser considerada como confidencial por los proveedores de la infraestructura.
PARÁGRAFO 2. Los proveedores de la infraestructura deben poner a disposición y mantener actualizada a través del mecanismo que la Comisión disponga para tal fin la Oferta Básica de Acceso y Uso de Infraestructura cuyo contenido haya sido validado por la CRC para ser consultada por cualquier persona.
(Resolución CRC 4841 de 2015, artículo 20)
ARTÍCULO 4.13.3.15. PROVISIÓN DE INFORMACIÓN E INGRESO A LAS ESTACIONES DE RADIODIFUSIÓN. Los proveedores de la infraestructura deben proporcionar, a los operadores de televisión abierta radiodifundida, ingreso oportuno a los sitios y acceso a la información que resulte necesaria para permitir o facilitar el acceso y uso de las instalaciones esenciales a las que hace referencia la presente resolución (Resolución CRC 4841 de 2015), así como el funcionamiento eficiente de los servicios que las soportan. Tanto el proveedor de infraestructura como el operador solicitante asumirán sus propios costos, asociados al desplazamiento al sitio donde se encuentra ubicada la infraestructura.
Una vez operativa la relación de acceso y uso, los proveedores de la infraestructura y los operadores solicitantes se informarán mutuamente, con la debida antelación y precauciones para no afectar la operación de la contraparte, cuando vayan a realizar alteraciones o modificaciones a sus equipos, plataformas o elementos que puedan impactar la relación establecida.
(Resolución CRC 4841 de 2015, artículo 21, Modificada por la Resolución CRC 5029 de 2016)
ARTÍCULO 4.13.3.16. REGISTRO DE ACUERDOS DE ACCESO Y USO. <Artículo modificado por el artículo 62 de la Resolución 5586 de 2019. El nuevo texto es el siguiente:> El proveedor de la infraestructura que proporciona acceso y uso a sus instalaciones esenciales o no esenciales ofertadas deberá registrar ante la CRC los acuerdos suscritos y sus modificaciones en un plazo no mayor a treinta (30) días hábiles contabilizados desde el perfeccionamiento del acuerdo.
Como parte de este registro, dicho proveedor deberá reportar y mantener actualizados los precios acordados por el uso de las instalaciones arrendadas. Dicho registro deberá realizarse a través del mecanismo que la Comisión disponga para tal fin.
ARTÍCULO 4.13.3.17. ACCESO A INSTALACIONES NO ESENCIALES. Los proveedores de la infraestructura y los operadores de televisión negociarán libremente el acceso a las instalaciones no esenciales, para lo cual deberán considerar los principios contenidos en el CAPÍTULO 13 del TÍTULO IV.
(Resolución CRC 4841 de 2015, artículo 23)
ARTÍCULO 4.13.3.18. DEFINICIÓN DE NUEVAS INSTALACIONES ESENCIALES. La CRC, de oficio o a solicitud de parte, podrá declarar como instalación esencial recursos físicos y/o lógicos, así como de soporte, de los proveedores de la infraestructura, cuando determine que dichos recursos cumplen con los criterios establecidos para definir una instalación esencial, ya sea a nivel general o particular.
(Resolución CRC 4841 de 2015, artículo 24)
REGLAS, LINEAMIENTOS Y OBLIGACIONES DE LOS PRST FRENTE AL SISTEMA NACIONAL DE TELECOMUNICACIONES DE EMERGENCIAS (SNTE) EN COLOMBIA
GENERALIDADES
ARTÍCULO 4.14.1.1. ÁMBITO DE APLICACIÓN. El CAPÍTULO 14 del TÍTULO IV aplica a los Proveedores de Redes y Servicios de Telecomunicaciones (en adelante PRST), y sus redes, como integrantes del Sistema Nacional de Telecomunicaciones de Emergencia (en adelante SNTE).
PARÁGRAFO. Los Operadores Móviles Virtuales (en adelante OMV) y los Operadores Móviles de Red (en adelante OMR) dentro de sus respectivas relaciones de acceso, deberán pactar las condiciones en que el OMV dará cumplimiento a las obligaciones regulatorias exigibles y principios orientadores del marco de la política nacional de gestión del riesgo de desastres, del SNTE y de las obligaciones derivadas del artículo 8 de la Ley 1341 de 2009.
De igual forma, es obligación de los Proveedores de Red de Origen (en adelante PRO) y los Proveedores de Red visitada (en adelante PRV) en el marco de sus relaciones de acceso de Roaming Automático Nacional, pactar las condiciones en que ambos PRST darán cumplimiento a las obligaciones regulatorias exigibles y principios orientadores del marco de la política nacional de gestión del riesgo de desastres, del SNTE y de las obligaciones derivadas del artículo 8 de la Ley 1341 de 2009.
(Resolución CRC 4972 de 2016, artículo 1.1)
ARTÍCULO 4.14.1.2. OBJETO. El CAPÍTULO 14 del TÍTULO IV tiene por objeto el establecimiento de reglas, lineamientos y obligaciones de los PRST frente al desarrollo e implementación del SNTE, con el fin de contribuir a la interoperabilidad de redes que conforman el SNTE, y promover la continua prestación de servicios de comunicación, en el marco de las situaciones descritas en el artículo 8 de la Ley 1341 de 2009.
(Resolución CRC 4972 de 2016, artículo 1.2)
ARTÍCULO 4.14.1.3. IMPOSICIÓN DE SERVIDUMBRE PROVISIONAL DE ACCESO Y USO EN SITUACIONES DE DESASTRE. La Comisión de Regulación de Comunicaciones, tanto a solicitud de parte como de oficio, en cumplimiento del Artículo 82 de la Ley 1523 de 2012 y en el marco de la Ley 1341 de 2009, ante la negativa del PRST respectivo, podrá imponer una servidumbre provisional de acceso, uso e interconexión en forma inmediata y respecto de cualquier red o infraestructura, con el fin de atender las necesidades de comunicación relacionadas con la declaratoria de situación de desastre para garantizar la continuidad en la provisión de los servicios y redes de telecomunicaciones.
Para tal efecto, la parte interesada deberá manifestar de manera expresa a la CRC su solicitud en la que se demuestre la negativa por parte del PRST respectivo, enviando la misma con la indicación de la infraestructura o elementos de red requeridos para tal propósito, así como copia del acto administrativo de la declaratoria de desastre expedido por autoridad competente. Asimismo, la parte interesada podrá presentar su solicitud sin agotar el periodo mínimo de negociación de que trata el inciso primero del artículo 49 de la Ley 1341 de 2009.
La CRC, una vez recibidos tales documentos, actuando en el marco de los principios de oportunidad, celeridad y coordinación que rigen las actuaciones administrativas, y de conformidad con los incisos segundo y tercero del artículo 49 de la Ley 1341 de 2009, procederá a expedir en acto administrativo debidamente motivado la servidumbre provisional. La duración de la servidumbre provisional será hasta la finalización de la declaratoria del desastre.
(Resolución CRC 4972 de 2016, artículo 1.4)
ARTÍCULO 4.14.1.4. INSTALACIONES ESENCIALES PARA ACCESO, USO E INTERCONEXIÓN EN CASOS DE ATENCIÓN DE EMERGENCIA, CONMOCIÓN INTERNA Y EXTERNA, DESASTRES O CALAMIDAD PÚBLICA. En desarrollo de lo dispuesto en los numerales 2 y 3 del artículo 2.2.14.7.3 del Decreto Único Reglamentario del sector de Tecnologías de la Información y las Comunicaciones No. 1078 de 2015, los PRST brindarán acceso, uso e interconexión a sus redes e infraestructura relacionadas con las instalaciones esenciales en los términos dispuestos en el CAPÍTULO 1 del TÍTULO IV. El acceso, uso e interconexión a dichas instalaciones por parte de las autoridades de gestión del riesgo de desastres se dará bajo condiciones de gratuidad, siempre y cuando la instalación esencial objeto de la solicitud sea necesaria para soportar comunicaciones durante la atención de emergencias, conmoción interna o externa, desastres o calamidad pública, en el marco de los principios orientadores que rigen la Política nacional de gestión de riesgo de desastres conforme el artículo 3 de la Ley 1523 de 2012, el SNTE y el artículo 2 y 8 de la Ley 1341 de 2009.
(Resolución CRC 4972 de 2016, artículo 1.5)
ARTÍCULO 4.14.1.5. EXCEPCIÓN DE CUMPLIMIENTO DE INDICADORES DE CALIDAD. <Artículo subrogado por el artículos 2 de la Resolución 6890 de 2022. El nuevo texto es el siguiente:> Cuando en el marco de la atención de emergencias, situaciones declaradas de conmoción interna o externa, desastres o calamidad pública, la autoridad competente adopte medidas que restrinjan la libre circulación de personas o bienes que le impidan o dificulten al proveedor realizar actividades preventivas, correctivas y de mantenimiento y soporte de sus redes y servicios de telecomunicaciones, no se exigirá el cumplimiento de los indicadores de calidad en los servicios de telecomunicaciones prestados por los PRST, incluidos los operadores del servicio de televisión, en las zonas afectadas, durante la vigencia de estas medidas.
OBLIGACIONES DE LOS PRST
ARTÍCULO 4.14.2.1. PRIORIZACIÓN DE COMUNICACIÓN AUTORIDAD - AUTORIDAD. En el marco de los principios orientadores que rigen la Política nacional de gestión del riesgo de desastres conforme el artículo 3 de la Ley 1523 de 2012, el SNTE y el artículo 2 y 8 de la Ley 1341 de 2009, los proveedores de servicios de telefonía fija y móvil deberán:
4.14.2.1.1. Implementar los mecanismos técnicos necesarios para priorizar al nivel más alto las comunicaciones que se realicen entre los números de abonado o usuario autorizados por la Unidad Nacional para la Gestión del Riesgo de Desastres - UNGRD, pertenecientes a las entidades autorizadas que hacen parte del Sistema Nacional de Gestión del Riesgo de Desastres. Para cumplir tal propósito, en caso de ser necesario, al no contar con canal o circuito disponible, finalizará cualquier comunicación establecida que tenga un nivel de prioridad inferior, para liberar recursos y así atender una nueva petición de comunicación originada o terminada de dichos usuarios. La priorización se dará desde el inicio hasta la finalización de la comunicación, de manera tal que no se presente interrupción.
4.14.2.1.2. Priorizar las comunicaciones de Entidades autorizadas siguiendo las Recomendaciones UIT-T E.106 y UIT-T E.107.
4.14.2.1.3. Adelantar los procedimientos que se requieran para permitir la priorización de las comunicaciones de los números de abonado o usuario una vez la UNGRD haya hecho modificaciones al listado de usuarios autorizados, en un plazo máximo de 24 horas contadas a partir de la recepción de la solicitud, para hacer efectiva la aplicación de priorización a los nuevos números reportados.
(Resolución CRC 4972 de 2016, artículo 2.1)
ARTÍCULO 4.14.2.2. GRATUIDAD COMUNICACIÓN AUTORIDAD - AUTORIDAD. De conformidad con el artículo 8 de la Ley 1341 de 2009, el numeral 8 del artículo 2.2.14.7.3 del Decreto 1078 y teniendo en cuenta los principios orientadores del artículo 3 de la Ley 1523 de 2012, los PRST garantizarán que las comunicaciones priorizadas entre los números de abonado o usuarios de entidades autorizadas, no generarán costos para aquellos usuarios durante la atención de emergencias, y declaratorias de conmoción interna o externa, desastres o calamidad pública.
(Resolución CRC 4972 de 2016, artículo 2.2)
ARTÍCULO 4.14.2.3. LLAMADAS TELÉFONICAS INDIVIDUO - AUTORIDAD. <Artículo modificado por el artículo 63 de la Resolución 5586 de 2019. El nuevo texto es el siguiente:> Los PRST deberán garantizar en todo momento desde cualquier terminal habilitado la comunicación de los usuarios de servicios de telecomunicaciones con los Centros de Atención de Emergencia (CAE) a través del número único de emergencias, donde este se encuentre habilitado, y hacia los otros números con estructura 1XY de que trata la modalidad 1 del Anexo 6.3 TÍTULO DE ANEXOS relacionados con servicios de urgencia y/o emergencia.
Para esto se tendrá en cuenta que:
4.14.2.3.1. En los términos del Régimen de Protección a Usuarios, se garantizará en todo momento las comunicaciones de los usuarios realizadas, aun cuando el usuario haya incurrido en causal de suspensión del servicio. La comunicación y enrutamiento a las líneas de emergencia será gratuito en todo momento, desde la red de origen y hasta el destino, incluyendo los tramos de interconexión que sean necesarios.
4.14.2.3.2. Se deben establecer procedimientos o sistemas de respaldo para asegurar la continuidad de la comunicación de sus usuarios al CAE a través del Número Único de Emergencias.
4.14.2.3.3. En todo momento se enrutará la llamada de emergencia al CAE más cercano, o en su defecto, conforme los criterios y condiciones de integración y articulación de los CAE al SNTE que sean definidos conforme al artículo 2.2.14.5.2 del Decreto 1078 de 2015.
4.14.2.3.4. Se deben priorizar las llamadas hacia números de atención de emergencias, sobre las otras llamadas realizadas por los usuarios.
ARTÍCULO 4.14.2.4. NÚMERO ÚNICO NACIONAL DE EMERGENCIAS. El número único nacional de emergencias que hace uso de la marcación 1XY, es el 123, el cual puede ser utilizado por la entidad territorial que lo solicite, según lo previsto en el Decreto 25 de 2002, o las normas que los adicionen, modifiquen o sustituyan.
En los municipios, grupos de municipios o áreas metropolitanas donde se haya establecido un Centro de Atención de Emergencias "CAE", los proveedores de redes y servicios de telecomunicaciones deben atender lo establecido en el artículo 6.1.7.5 del TÍTULO VI, o las normas que la adicionen, modifiquen o sustituyan.
(Resolución CRC 4972 de 2016, artículo 2.4)
ARTÍCULO 4.14.2.5. IDENTIFICACIÓN Y LOCALIZACIÓN DE TERMINALES FIJOS A TRAVÉS DE LOS CUALES SE REALIZAN LLAMADAS AL NÚMERO ÚNICO NACIONAL DE EMERGENCIAS. Los proveedores de redes y servicios de telefonía fija, con respecto a la ubicación de las líneas desde las que se realizan llamadas a través de sus redes al número único nacional de emergencias, deberán entregar a los CAE la información en formato electrónico que contenga la dirección geográfica o nomenclatura vial asociada a todos los números de líneas activas en dicha red. Asimismo, deberán actualizarse y enviarse a los CAE los cambios en los datos de ubicación de una línea telefónica fija con una periodicidad mensual.
La identificación de abonado se dará conforme a lo establecido en los artículos 2.1.10.8, 2.1.10.9 y 2.1.10.11 del TÍTULO II, o aquella norma que la modifique o sustituya.
(Resolución CRC 4972 de 2016, artículo 2.5)
ARTÍCULO 4.14.2.6. IDENTIFICACIÓN Y LOCALIZACIÓN DE TERMINALES MÓVILES A TRAVÉS DE LOS CUALES SE REALIZAN COMUNICACIONES AL NUMERO ÚNICO NACIONAL DE EMERGENCIAS. Los proveedores de servicios de telefonía móvil deberán prestar en forma gratuita los servicios de identificación y localización, a través de la entrega de la información disponible de identificación del número que origina la comunicación y de localización del equipo terminal móvil desde el cual se origina la comunicación, a los CAE para la atención de las emergencias.
4.14.2.6.1. El sistema de localización deberá cumplir con las siguientes condiciones técnicas:
4.14.2.6.1.1. La localización geográfica del terminal móvil debe ser implementada en todo el territorio nacional en donde se tenga desplegadas las redes móviles de comunicaciones.
4.14.2.6.1.2. La información de la localización geográfica del terminal móvil debe expresarse según los parámetros del Sistema de Referencia Espacial, en coordenadas geográficas de longitud y latitud y Datum WGS84 (World Geodetic System 84).
4.14.2.6.1.3. Los parámetros de localización que deben enviar los proveedores de servicios de telefonía móvil son los definidos en los estándares 3GPP TS 23.032 y OMA-TS-MLP-V3_2-20051124-C.
4.14.2.6.1.4. La solución de localización geográfica de los terminales móviles debe tener una precisión y rendimiento, definidas para áreas densamente urbanas, urbanas, suburbanas, rurales y remotas, de acuerdo con la distancia media entre Estaciones Base, tal como se define en la siguiente tabla:

El rendimiento corresponde al porcentaje de llamadas del servicio móvil que se localizarán con el nivel de precisión establecido en la tabla anterior.
Las precisiones y los rendimientos indicados en la tabla anterior deberán ser cumplidos después del primer año, contado a partir de la finalización de la instalación y puesta en producción de la solución.
4.14.2.6.2. El sistema de localización deberá tener las siguientes características:
4.14.2.6.2.1.La información de la localización geográfica del terminal móvil será entregada en las instalaciones de los CAE o en donde éstos definan, siempre y cuando estén técnicamente preparados para recibir los datos, de acuerdo con la cobertura geográfica de cada uno de ellos. Para los demás CAE que se habiliten en el futuro, dentro de los dos meses siguientes al momento en que el CAE informe que se encuentra listo para recibir la información, se debe habilitar la conexión y envío de información.
4.14.2.6.2.2.Capacidad de operar en redes con tecnologías 2G, 3G y 4G, para servicios basados en localización, utilizando interfaces estándares 3GPP.
4.14.2.6.2.3.Capacidad de reconocer cambios o inserciones de nuevas celdas en las redes celulares y adaptarse en forma dinámica.
4.14.2.6.2.4.Tiempo máximo de localización del terminal móvil es de 30 segundos, transcurridos desde el momento de la solicitud de localización, hasta la entrega de la información de localización en la interfaz convenida.
4.14.2.6.2.5.Capacidad mínima de procesamiento de 10 TPS - Transacciones por Segundo iniciales y capacidad de crecimiento modular que se incrementará anualmente, de ser necesario, en función del crecimiento de tráfico que se curse en la red.
4.14.2.6.2.6.Garantizar una disponibilidad de la solución de ubicación implementada de al menos 99,9%.
4.14.2.6.2.7.Enviar automáticamente la información de la localización del terminal que establece la comunicación con el Número Único Nacional de Emergencias, en el momento de establecimiento de la comunicación. A petición del CAE, actualizar la información de localización durante el transcurso de la llamada, cuando el evento así lo requiera.
4.14.2.6.2.8.La conexión del sistema de localización geográfica de los terminales móviles con los CAE, debe ser realizada a través de la interface estándar Le - definida por 3GPP - 3rd Generation Partnership Project, y OMA MLP V3.1 o versión superior (Open Mobile Alliance - Mobile Location Protocol).
4.14.2.6.2.9.La información de localización geográfica de los terminales móviles debe ser entregada por el PRSTM en las instalaciones del CAE que haga uso del Número Único Nacional de Emergencias mediante un canal seguro, y deben tenerse mecanismos de redundancia.
4.14.2.6.2.10.Debe ser flexible y escalable para integrar futuras tecnologías que puedan llegar a ser implementadas en las redes de los Proveedores de Red y Servicios de Telecomunicaciones móviles.
4.14.2.6.2.11.No debe implicar para el usuario la necesidad de cambiar su equipo terminal móvil.
4.14.2.6.2.12.La solución debe tener la capacidad de localizar cualquier tipo de terminal móvil que tenga una llamada establecida con un CAE, en cualquier medioambiente interior o exterior.
4.14.2.6.3. El Proveedor de Redes y Servicios de Telecomunicaciones desarrollará las pruebas respecto de las condiciones de precisión y confiabilidad del sistema implementado de acuerdo con las condiciones definidas para tal fin por el Ministerio de Tecnologías de la Información y las Comunicaciones, quien estará a cargo de la verificación del cumplimiento de dichas disposiciones técnicas. En razón a los adelantos tecnológicos, el Ministerio de Tecnologías de la Información y las Comunicaciones en conjunto con la Comisión de Regulación de Comunicaciones podrán revisar las características de precisión anteriormente definidas, a fin de realizar los ajustes a que haya lugar, atendiendo principios de razonabilidad técnica y económica, propendiendo siempre por el bienestar de los usuarios.
4.14.2.6.4. La identificación de abonado se dará conforme a lo establecido en los artículos 2.1.10.8, 2.1.10.9 y 2.1.10.11 del TÍTULO II, o aquella que lo modifique o sustituya.
(Resolución CRC 4972 de 2016, artículo 2.6)
ARTÍCULO 4.14.2.7. PRELACIÓN PARA COMUNICACIÓN INDIVIDUO - INDIVIDUO EN REDES MÓVILES. En la atención de emergencias, situaciones declaradas de conmoción interna o externa, desastres o calamidad pública, los proveedores de redes y servicios de telecomunicaciones móviles darán prelación al envío y recepción a sus usuarios de mensajes cortos de texto (SMS) o mensajería instantánea en caso de contingencias relacionadas con la congestión de redes o no disponibilidad del servicio de voz, de acuerdo con los recursos de red que estén disponibles.
(Resolución CRC 4972 de 2016, artículo 2.7)
DISPOSICIONES FINALES
ARTÍCULO 4.14.3.1. PLAZO DE IMPLEMENTACIÓN. <Artículo derogado por el artículo 80 de la Resolución 5586 de 2019>
<ARTÍCULO> 4.14.3.1.1. <Artículo derogado por el artículo 80 de la Resolución 5586 de 2019>
ARTÍCULO 4.14.3.2. <sic, 4.14.3.1.2>. <Artículo derogado por el artículo 80 de la Resolución 5586 de 2019>
CONDICIONES DE GESTIÓN Y OPERACIÓN DE MÚLTIPLEX DIGITALES PARA TELEVISIÓN DIGITAL TERRESTRE
GENERALIDADES
ARTÍCULO 4.15.1.1. OBJETO Y ÁMBITO DE APLICACIÓN. El CAPÍTULO 15 del TÍTULO IV resolución tiene como objeto definir las condiciones generales para la implementación, el acceso, uso, operación y explotación eficiente de los múltiplex digitales por parte de los operadores del servicio de televisión radiodifundida digital terrestre -TDT-, garantizando condiciones competitivas en el sector y la interoperabilidad de la TDT en el país.
Para lo anterior, las disposiciones El CAPÍTULO 15 del TÍTULO IV están dirigidas a los operadores de televisión radiodifundida digital terrestre, así como a los agentes designados, en caso que así lo determinen dichos operadores, para la gestión de elementos de red asociados al múltiplex digital.
OBLIGACIONES
ARTÍCULO 4.15.2.1. RESPONSABILIDAD DE GESTIÓN DEL MÚLTIPLEX DIGITAL. Los operadores del servicio de televisión radiodifundida digital terrestre serán responsables directamente de la gestión del múltiplex digital, sin perjuicio de que dicha labor se realice directamente por parte de los mismos o a través de un tercero.
ARTÍCULO 4.15.2.2. ACTIVIDADES DE CARÁCTER TÉCNICO ASOCIADAS A LA GESTIÓN DEL MÚLTIPLEX DIGITAL. La gestión del múltiplex digital de TDT involucrará al menos las siguientes actividades:
4.15.2.2.1. Administración, operación y mantenimiento de las redes de contribución, transporte y difusión de señales de TDT para las distintas zonas de servicio, en función del ámbito de cobertura de las concesiones o títulos habilitantes de los canales que integran el múltiplex digital. Las actividades de contribución, transporte y difusión de la señal TDT pueden ser inherentes a la operación misma del canal, por lo cual pueden no ser efectuadas por parte del gestor, en el caso que éste sea un tercero.
4.15.2.2.2. Coordinación con otros operadores del servicio de televisión radiodifundida digital terrestre, así como con los agentes designados por éstos, para la administración, operación y mantenimiento de las instalaciones técnicas requeridas para la codificación y multiplexación de las componentes de video, audio y datos, incluidos los correspondientes a los servicios interactivos provenientes de los operadores que comparten o acceden a un múltiplex digital.
4.15.2.2.3. Suministro de los medios técnicos necesarios para la inserción en el múltiplex digital de la información de servicio de carácter común, la de carácter particular de los canales digitales de cada uno de los operadores que lo comparten o acceden al múltiplex digital, y de los servicios de actualización del software de los receptores de TDT.
4.15.2.2.4. En los casos en que sea acordado por los operadores que comparten o acceden a un múltiplex digital, suministrar los medios técnicos necesarios para realizar una multiplexación estadística de las señales de video, entendida ésta como la transmisión de varias señales independientes en un único flujo de transporte de señales digitales de televisión con una compresión de video con una tasa de datos variable.
4.15.2.2.5. Suministro de los medios técnicos necesarios para detectar los errores o deficiencias, y mantener los parámetros de calidad de la señal del operador o del conjunto de operadores que comparten o acceden a un múltiplex digital, en función de los parámetros definidos en la regulación vigente y sus futuras modificaciones para el servicio de televisión radiodifundida en tecnología digital.
4.15.2.2.6. Asegurar un trato equitativo y transparente en las labores de Administración, Operación y Mantenimiento a todos quienes comparten o acceden a un múltiplex digital.
Lo anterior, sin perjuicio de la distribución de actividades o de condiciones adicionales que sean pactadas directamente entre quien desarrolle las funciones de gestión de múltiplex digital y los operadores del servicio de televisión abierta radiodifundida digital terrestre asociados al mismo.
ARTÍCULO 4.15.2.3. CONFIGURACIÓN DE MÚLTIPLEX DIGITAL PARA OPERADORES LOCALES SIN ÁNIMO DE LUCRO. <Artículo derogado por el artículo 137 de la Resolución 7811 de 2025>
ARTÍCULO 4.15.2.4. ACCESO AL MÚLTIPLEX DIGITAL. Dentro del ámbito de las condiciones establecidas en sus respectivas concesiones o títulos habilitantes, los operadores del servicio de televisión radiodifundida digital terrestre podrán brindar acceso al múltiplex digital a otro operador del servicio, siempre y cuando se garantice la calidad de los servicios transmitidos establecida en regulación vigente y sus futuras modificaciones; lo anterior, siempre y cuando se respeten: i) las obligaciones de cubrimiento establecidas en la respectiva habilitación, y ii) la planificación de frecuencias establecida en el Plan Técnico de Televisión.
PARÁGRAFO. En todo caso el operador que solicita el acceso deberá contar con las respectivas autorizaciones de las autoridades competentes de acuerdo con lo establecido en las Leyes 182 de 1995, 1507 de 2012 o aquella que la modifique.
ARTÍCULO 4.15.2.5. COSTO POR LA COMPARTICIÓN DEL MÚLTIPLEX DIGITAL POR PARTE DE LOS OPERADORES LOCALES SIN ÁNIMO DE LUCRO. La distribución de los costos asociados a la compartición del múltiplex digital para los operadores locales sin ánimo de lucro del servicio de televisión radiodifundida digital terrestre, se basará en el porcentaje de utilización de este múltiplex digital calculado a partir de las tasas de transmisión asociadas a cada operador, obedeciendo en todo caso al criterio de costos eficientes.
--------------------------------------------------------------------------------
[1] Valor calculado por la CRC en los estudios llevados a cabo para la elaboración del modelo de costos de redes fijas HCMCRFIX.
[2] Dichos E1's entrantes serán calculados teniendo en cuenta la proporción que representa la cantidad de tráfico entrante dentro del total de tráfico que sea reportado para cada uno de los enlaces.
[3] Dichos E1's entrantes serán calculados teniendo en cuenta la proporción que representa la cantidad de tráfico entrante dentro del total de tráfico que sea reportado para cada uno de los enlaces.
CONFIGURACIÓN DEL MÚLTIPLEX DIGITAL.
ARTÍCULO 4.15.3.1 OBJETO. <Artículo adicionado por el artículo 2 de la Resolución 6383 de 2021. El nuevo texto es el siguiente:> La presente sección tiene por objeto establecer las condiciones básicas para la prestación del servicio de Televisión Abierta Radiodifundida Digital Terrestre (TDT).
<Acuerdo CNTV 2 de 2012; Art. 1>
ARTÍCULO 4.15.3.2 ÁMBITO DE APLICACIÓN. <Artículo adicionado por el artículo 2 de la Resolución 6383 de 2021. El nuevo texto es el siguiente:> La presente sección se aplicará a concesionarios de espacios de televisión y operadores del servicio público de televisión abierta radiodifundida.
<Acuerdo CNTV 2 de 2012; Art. 2>
ARTÍCULO 4.15.3.3 CONFIGURACIÓN DE CADA MÚLTIPLEX DIGITAL. <Artículo adicionado por el artículo 2 de la Resolución 6383 de 2021. El nuevo texto es el siguiente:> Para la configuración de cada múltiplex digital los operadores deben tener en cuenta las siguientes disposiciones:
a) El operador público nacional dispondrá del múltiplex, con la facilidad y capacidad para transmitir las señales públicas de televisión en la configuración que considere pertinente, sin perjuicio de asignaciones adicionales posteriores que resulten viables de acuerdo con la oferta de programación que desarrolle el operador público nacional.
b) Cada operador público regional dispondrá del múltiplex, con la facilidad y capacidad para transmitir sus señales en la configuración que considere pertinente.
c) Cada operador nacional privado dispondrá del múltiplex, con la facilidad y capacidad para transmitir sus señales en la configuración que considere pertinente.
d) Cada operador local con ánimo de lucro dispondrá del múltiplex, con la facilidad y capacidad para transmitir sus señales en la configuración que considere pertinente.
e) Para la configuración de cada múltiplex digital los operadores locales sin ánimo de lucro deberán acordar entre ellos: (i) la conformación de grupos de operadores dependiendo de la planificación de frecuencias y; (ii) el modo de transmisión de TDT DVB-T2 acorde con la ocupación del múltiplex y el área geográfica a cubrir.
PARÁGRAFO. En caso de que los operadores locales sin ánimo de lucro no lleguen a ningún acuerdo sobre estos temas podrán acudir a los mecanismos de solución de controversias establecidos en la Ley 1341 de 2009 que dirime la CRC.
<Acuerdo CNTV 2 de 2012; Art. 6>
GESTIÓN DEL MÚLTIPLEX DIGITAL.
ARTÍCULO 4.15.4.1 GESTIÓN DE UN MÚLTIPLEX DIGITAL POR PARTE DE LOS OPERADORES LOCALES SIN ÁNIMO DE LUCRO. <Artículo adicionado por el artículo 2 de la Resolución 6383 de 2021. El nuevo texto es el siguiente:> Los operadores locales sin ánimo de lucro que compartan un múltiplex digital, sin perjuicio del derecho exclusivo a su utilización en la porción que se les asigne, podrán acordar entre sí, las condiciones para su gestión y operación técnica a través de un gestor.
PARÁGRAFO 1o. Para efectos de los acuerdos que logren los operadores, por cada múltiplex objeto de compartición se conformará un Comité de Operación Conjunta, el cual tendrá la función de establecer el reglamento con sujeción al cual se efectuará la administración y uso del múltiplex.
PARÁGRAFO 2o. La Comisión de Regulación de Comunicaciones, establecerá las condiciones y requisitos para los gestores de la operación y gestión técnica del múltiplex digital en el servicio de televisión abierta radiodifundida en tecnología digital terrestre TDT, con el objeto de garantizar la interoperabilidad de los servicios de televisión, transmisión de datos y servicios de interactividad, la puesta a disposición de estos servicios a los usuarios o televidentes, así como el uso y explotación eficiente del ancho de banda del múltiplex digital.
PARÁGRAFO 3o. La Comisión de Regulación de Comunicaciones, realizará los ajustes o modificaciones a los que haya lugar en la administración del múltiplex como consecuencia de la implementación del estándar tecnológico en las condiciones definidas por esta entidad.
<Acuerdo CNTV 2 de 2012; Art. 13>
EXPLOTACIÓN DEL MÚLTIPLEX DIGITAL.
ARTÍCULO 4.15.5.1 EXPLOTACIÓN DEL MÚLTIPLEX DIGITAL. <Artículo adicionado por el artículo 2 de la Resolución 6383 de 2021. El nuevo texto es el siguiente:> La capacidad de transmisión del múltiplex digital se podrá utilizar para prestar los servicios adicionales a los de televisión que el operador determine, con sujeción al régimen jurídico aplicable a cada servicio.
No se podrá utilizar más del quince por ciento (15%) de la capacidad de transmisión del múltiplex digital para la prestación de estos servicios adicionales. No obstante, en función del desarrollo de los servicios interactivos y de los asociados a la televisión digital terrestre, la Comisión de Regulación de Comunicaciones hacer modificación de dicho porcentaje.
<Acuerdo CNTV 2 de 2012; Art. 12>
OPERACIÓN MÓVIL VIRTUAL.
OBLIGACIONES.
ARTÍCULO 4.16.1.1. OBLIGACIÓN DE PROVEER ACCESO A OPERADORES MÓVILES VIRTUALES. <Artículo modificado por el artículo 82 de la Resolución 7811 de 2025. El nuevo texto es el siguiente:> Los OMR (Operadores Móviles de Red) deberán poner a disposición de los proveedores de redes y servicios de telecomunicaciones móviles catalogados como Operadores Móviles Virtuales (OMV) el acceso a sus redes bajo la figura de Operación Móvil Virtual para la prestación de servicios a los usuarios, incluidos voz, SMS, datos y los servicios complementarios inherentes a la red de que disponga, de acuerdo con las condiciones establecidas en el presente capítulo. Para el cumplimiento de la presente obligación podrá usarse la infraestructura propia del OMR y la infraestructura de terceros con quien el OMR tenga relaciones de acceso, uso e interconexión.
ARTÍCULO 4.16.1.2. OBLIGACIONES DEL OMR. <Artículo adicionado por el artículo 8 de la Resolución 5108 de 2017. El nuevo texto es el siguiente:> Para la provisión de servicios bajo la figura de Operación Móvil Virtual, el OMR tendrá las siguientes obligaciones con el fin de garantizar el acceso a sus redes móviles:
4.16.1.2.1. Suministrar el acceso a la red al OMV, en un término que no puede superar los cuatro (4) meses, contados a partir de la fecha en que el OMV presente su solicitud al OMR. Las actividades requeridas para materializar la relación de acceso no pueden implicar dilaciones que retrasen de manera injustificada la implementación.
4.16.1.2.2. Realizar las adecuaciones requeridas al interior de su red dentro del término previsto en el numeral 4.16.1.2.1., conforme el crecimiento de tráfico del OMV, a efectos de soportar los requerimientos de los servicios y de tráfico proveniente de usuarios a ser atendidos mediante la figura de Operación Móvil Virtual.
4.16.1.2.3. Asegurar la interoperabilidad de los servicios de voz, SMS y datos, y de aquellos servicios complementarios, así como el nivel de calidad de cada uno de estos servicios para los usuarios del OMV, en las mismas condiciones ofrecidas a sus propios usuarios y dando cumplimiento a los niveles de calidad definidos en la regulación.
4.16.1.2.4. Implementar en un término máximo de un mes los recursos de identificación que sean asignados por la CRC al OMV; dicho plazo en todo caso estará comprendido dentro del término de cuatro meses dispuesto en el numeral 4.16.1.2.1.
4.16.1.2.5. Proveer al OMV toda la información que este último requiera para atender las PQR de sus usuarios y poder dar cumplimiento a la regulación que le aplique. En caso que el operador de red pruebe que el suministro de la información requiere inversiones adicionales, el OMV deberá asumir la proporción que le corresponda bajo criterios de costos eficientes.
4.16.1.2.6. Entregar al OMV la información necesaria para la conciliación del pago de las sumas asociadas al acceso a la red, así como la que requiera el OMV para efectuar la facturación a sus usuarios.
4.16.1.2.7. Abstenerse de establecer restricciones para el uso de terminales, distinta a que estos se encuentren homologados por la CRC. El OMR debe asegurar que los terminales que sean homologados por la CRC operen adecuadamente en sus redes.
4.16.1.2.8. <Numeral modificado por el artículo 8 de la Resolución 8183 de 2026. El nuevo texto es el siguiente:> Abstenerse de establecer restricción que impida a los OMV contratar la prestación de servicios bajo la figura de Operación Móvil Virtual con otros OMR, ya sea de forma separada o conjunta, alterna o simultánea. La presente obligación no implica la activación simultánea de un mismo usuario en múltiples OMR. El OMR no podrá de manera directa o indirecta exigir al OMV la utilización de un facilitador y/o agregador de red (MVNE/MVNA) específico.
Cualquier estipulación que desincentive o penalice la contratación con otros OMR se considerará contraria al presente numeral.
4.16.1.2.9. Prestar al OMV todos los servicios que sean provistos por el mismo OMR a otros proveedores o sus usuarios, sin que los mismos puedan ser establecidos en su oferta como "servicios excluidos".
4.16.1.2.10. Abstenerse de imponer cualquier tipo de restricciones a cualquier servicio de telecomunicaciones, aplicación o contenido de otros proveedores, salvo en aquellos casos que, por disposición legal, reglamentaria o regulatoria, estén prohibidos o restringidos.
4.16.1.2.11. Dar cumplimiento a las obligaciones relativas a la portabilidad numérica móvil y a las medidas para contrarrestar el hurto de equipos terminales móviles, de conformidad con las disposiciones expedidas por la CRC sobre la materia.
4.16.1.2.12. Establecer conjuntamente con el OMV, la forma en que este último asumirá los costos de las medidas establecidas o que se establezcan en la regulación vigente que impliquen gestión, operación e inversiones de manera centralizada y/o conjunta por parte del OMR. En caso de desacuerdo, se asignarán los costos en función de la participación de mercado a nivel de ingresos de servicios móviles de cada cual.
4.16.1.2.13. Actualizar, al menos con periodicidad trimestral, el mapa de cobertura dispuesto en su página web, incluyendo la cobertura con infraestructura propia y de terceros a efectos de su consulta por parte del OMV en los términos del artículo 5.1.3.9 del CAPÍTULO 1 TÍTULO V.
4.16.1.2.14. <Numeral adicionado por el artículo 8 de la Resolución 7007 de 2022. Rige a partir del 1 de enero de 2023 El nuevo texto es el siguiente:> Ofrecer al OMV la misma cobertura que suministra el OMR a sus usuarios con su propia infraestructura y a través de los acuerdos de acceso RAN suscritos con otros proveedores de red.
ARTÍCULO 4.16.1.3. OBLIGACIONES DEL OMV. <Artículo adicionado por el artículo 8 de la Resolución 5108 de 2017. El nuevo texto es el siguiente:> Para la provisión de servicios bajo la figura de Operación Móvil Virtual, el OMV tendrá las siguientes obligaciones con el fin de garantizar la implementación efectiva del acceso a la red móvil del OMR:
4.16.1.3.1. Solicitar el acceso a la red móvil directamente al proveedor de redes y servicios de telecomunicaciones móviles que lo suministrará, informando al OMR el tipo de Operación Móvil Virtual, los recursos físicos y/o lógicos con los que cuenta, y las facilidades que requiere de este.
4.16.1.3.2. Informar las proyecciones de crecimiento de usuarios y tráfico mensual para los primeros doce (12) meses, discriminadas de acuerdo con el servicio a ser soportado. Tales proyecciones constituyen un referente para que el OMR identifique las adecuaciones requeridas de su red. Dichas proyecciones serán revisadas por los proveedores como mínimo cada tres (3) meses, en virtud de la participación real del OMV en el mercado, y que le permita al OMR efectuar las adecuaciones en su red, conforme el crecimiento de tráfico del OMV.
4.16.1.3.3. Gestionar adecuadamente los diferentes recursos de identificación, como numeración, señalización, direcciones IP, entre otros, requeridos para la provisión de servicios a sus usuarios bajo la figura de OMV, salvo que exista un acuerdo diferente con el OMR.
4.16.1.3.4. Dar cumplimiento a las obligaciones regulatorias orientadas a atender situaciones de emergencia, así como también las relativas a la portabilidad numérica móvil y medidas para contrarrestar el hurto de equipos terminales móviles, de conformidad con las disposiciones expedidas por la CRC sobre la materia.
4.16.1.3.5. Pagar de manera oportuna los valores correspondientes al acceso a la red móvil para la Operación Móvil Virtual, de acuerdo con los servicios prestados.
4.16.1.3.6. Constituir garantías en favor del OMR, atendiendo criterios asociados a la proyección de tráfico del OMV, y según las condiciones que para el efecto sean aprobadas en la OBI del OMR.
4.16.1.3.7. Garantizar que los terminales móviles a ser comercializados por el OMV estén homologados en Colombia según las reglas que para el efecto se encuentren definidas por parte de la CRC, y que sean compatibles con la red del OMR.
4.16.1.3.8. Informar a sus usuarios el tipo de terminales móviles aptos para acceder a los servicios móviles, las zonas de cobertura para los diferentes servicios ofrecidos, las funcionalidades y/o servicios que no se encuentran incluidos en la oferta comercial, tarifas aplicables, y todas aquellas condiciones necesarias de conformidad con el régimen de protección a usuarios contenido en la Resolución CRC 5050 de 2016 o aquella norma que la adicione, modifique o sustituya.
REMUNERACIÓN DEL ACCESO A LAS REDES MÓVILES.
ARTÍCULO 4.16.2.1. REMUNERACIÓN POR EL ACCESO A LAS REDES MÓVILES BAJO LA FIGURA DE OPERACIÓN MÓVIL VIRTUAL. <Artículo modificado por el artículo 9 de la Resolución 8183 de 2026. El nuevo texto es el siguiente:> La remuneración del acceso a las redes móviles bajo la figura de operación móvil virtual se definirá de la siguiente manera:
4.16.2.1.1 La remuneración a reconocer por parte del OMV al OMR por concepto de la utilización de su red bajo la figura de operación móvil virtual no podrá ser superior al valor del respectivo servicio incluido en la siguiente tabla:
| Servicio | Tope tarifario (A partir del 1 de abril de 2026) |
| Voz (Pesos / Minuto) | 1,08 |
| Datos (Pesos/ MB) | 0,68 |
| SMS (Pesos/SMS) | 0,06 |
Nota: Valor expresado en pesos constantes de enero de 2026. La actualización de los pesos constantes a pesos corrientes se realizará a partir del 1 de enero de 2027, conforme al numeral 1 del Anexo 4.2 del Título de Anexos.
El tráfico entrante de voz y SMS no generará ni ingresos ni costos para el OMV comprador de la oferta mayorista.
Cuando el OMV se beneficie de los acuerdos de acceso RAN del OMR deberá reconocer, en caso de que exista, el valor diferencial entre la tarifa de acceso del OMV y la tarifa de acceso RAN correspondiente, siempre que esta última sea mayor.
4.16.2.1.2 En todo caso, los OMR y OMV podrán establecer de mutuo acuerdo esquemas de remuneración distintos a los previstos en el numeral anterior, siempre y cuando tales acuerdos se ajusten a las obligaciones y principios regulatorios y no superen los valores máximos regulados por servicio establecidos en dicho numeral.
Asimismo, las estipulaciones contractuales no podrán estructurarse de forma que, directa o indirectamente, eludan los topes tarifarios mencionados.
4.16.2.1.3 En aplicación del principio de trato no discriminatorio, el OMR deberá poner a disposición del OMV, además del esquema remuneratorio contemplado en la regulación, aquellos esquemas remuneratorios que haya ofrecido, acordado o aplique a otros OMV en condiciones técnicas y económicas equivalentes, sin que pueda negar injustificadamente la adopción de dichos esquemas.
Los OMV tendrán derecho a elegir el esquema remuneratorio aplicable a su relación de acceso bajo la figura de operación móvil virtual, presente o futura, entre los esquemas a que hace referencia el anterior inciso.
El OMV podrá solicitar la modificación del esquema remuneratorio hasta una (1) vez por cada período de doce (12) meses, mediante solicitud presentada al OMR con una antelación mínima de tres (3) meses.
En el marco de lo previsto en la presente disposición, el OMR en ningún caso podrá imponer unilateralmente la modificación del esquema remuneratorio cuando dicha modificación implique condiciones económicas menos favorables para el OMV.
PARÁGRAFO. En ningún caso podrán incluirse, dentro de las condiciones de remuneración por el acceso a las redes móviles para la provisión de servicios por parte del OMR al OMV, disposiciones que tengan por objeto o como efecto imponer obligaciones de pago adicionales, penalidades o efectuar ajustes de facturación al OMV con base en el comportamiento de los precios minoristas que este ofrezca a los usuarios finales.
Las estipulaciones contractuales que contravengan lo previsto en el presente parágrafo se tendrán por no escritas y no producirán efecto alguno.
Lo anterior se entiende sin perjuicio de los esquemas de remuneración que, por acuerdo entre las partes, utilicen referencias de precios minoristas como base para la determinación inicial del valor mayorista, siempre que tales esquemas no limiten, directa o indirectamente, la autonomía del OMV para fijar libremente sus precios al usuario final.
CONTENIDO DE LA OFERTA DE ACCESO A LA RED MÓVIL.
ARTÍCULO 4.16.3.1. CONTENIDO DE LA OFERTA DE ACCESO A LA RED MÓVIL PARA LA PROVISIÓN DE SERVICIOS POR PARTE DE OMV. <Artículo adicionado por el artículo 8 de la Resolución 5108 de 2017. El nuevo texto es el siguiente:> Todos los OMR deberán establecer en su Oferta Básica de Interconexión (OBI), de que tratan los artículos 4.1.6.2.1. a 4.1.6.2.3. del CAPÍTULO 1 TÍTULO IV, las condiciones de la oferta para acceder a las redes móviles bajo la figura de Operación Móvil Virtual, con observancia del Régimen de acceso, uso e interconexión de redes de telecomunicaciones contenidos en la citada resolución, las cuales deberán incluir al menos:
4.16.3.1.1. Especificaciones técnicas particulares requeridas para que el OMV pueda prestar servicios usando la infraestructura puesta a su disposición, incluyendo condiciones para la utilización de elementos de red de acceso, red de transporte y red central, de acuerdo con la modalidad de Operación Móvil Virtual a ser implementada por el solicitante, considerando al menos las de OMV Revendedor, OMV Completo, OMV Híbrido y OMV facilitador y/o agregador de red (MVNE/MVNA).
4.16.3.1.2. Servicios y/o facilidades adicionales ofrecidas, tales como gestión operativa de reclamos, soporte técnico, entre otros, y las condiciones de uso de dichas facilidades.
4.16.3.1.3. Descripción específica de las actividades requeridas para la materialización del acuerdo, las cuales deben reflejarse en el cronograma de la OBI, con sus respectivos plazos, que deben observar el plazo total que haya sido aprobado por la CRC para la OBI del OMR, el cual no podrá superar el término de cuatro (4) meses establecido en el numeral 4.16.1.2.1. del artículo 4.16.1.2 del CAPÍTULO 16 TÍTULO IV.
4.16.3.1.4. Las condiciones aplicables a la definición del valor por la provisión de la Operación Móvil Virtual, así como las unidades de cobro, teniendo en consideración criterios de costos eficientes para cada servicio soportado en su red, en observancia de las reglas definidas en el artículo 4.16.2.1 del CAPÍTULO 16 TÍTULO IV.
4.16.3.1.5. Los instrumentos que contengan las garantías para el cumplimiento de las obligaciones dinerarias a cargo del OMV, derivadas de la relación de acceso.
PARÁGRAFO. En todo caso, la OBI del OMR debe contener las reglas mínimas necesarias para posibilitar la materialización de la relación de acceso con el OMV, dando cumplimiento a las obligaciones de que trata el artículo 4.16.1.2 del CAPÍTULO 16 TÍTULO IV. Adicionalmente, no podrá limitarse la posibilidad de que el usuario acceda al servicio en la totalidad de áreas de cobertura del OMR -propia o de terceros-.
ARTÍCULO 4.16.3.2. ACTUALIZACIÓN DE LA OBI. <Artículo derogado por el artículo 80 de la Resolución 5586 de 2019>
ARTÍCULO 4.16.3.3. ACTUALIZACIÓN DE ACUERDOS PARA ACCESO A REDES MÓVILES PARA LA PROVISIÓN DE SERVICIOS BAJO LA FIGURA DE OMV. <Artículo derogado por el artículo 80 de la Resolución 5586 de 2019>
RÉGIMEN DE CALIDAD PARA LOS SERVICIOS DE COMUNICACIONES.
INDICADORES DE CALIDAD PARA LOS SERVICIOS DE TELECOMUNICACIONES.
OBLIGACIONES GENERALES.
ARTÍCULO 5.1.1.1. ÁMBITO DE APLICACIÓN. <Artículo subrogado por el artículo 3 de la Resolución 6890 de 2022. El nuevo texto es el siguiente:> El régimen de calidad definido en el CAPÍTULO 1 del TÍTULO V aplica para todos los Proveedores de Redes y Servicios de Telecomunicaciones (PRST) que presten servicios al público.
El presente régimen no es aplicable a los casos en que se prestan servicios de telecomunicaciones en los cuales las características del servicio, de la red y la totalidad de las condiciones, técnicas, económicas y jurídicas han sido negociadas y pactadas por mutuo acuerdo entre las partes del contrato, y, por lo tanto, son el resultado del acuerdo particular y directo entre ellas, siempre que tal inaplicación sea estipulada expresamente en el respectivo contrato.
En todo caso, dicha excepción no exime al PRST de reportar los indicadores asociados a los elementos de red utilizados para la prestación del servicio a sus usuarios.
No se podrá pactar la inaplicación del presente régimen respecto de usuarios micro o pequeñas empresas, cuando se cumplan los siguientes dos requisitos: (i) cuando el contrato no incluya la provisión de soluciones técnicas desarrolladas a la medida del cliente para la prestación de los servicios de telecomunicaciones; y (ii) cuando el contrato sea suscrito por una micro o pequeña empresa, en los términos definidos en la Ley 590 de 2000 o en las normas que la modifiquen o sustituyan y reglamenten.
PARÁGRAFO. Los PRST, con el objetivo de incentivar el incremento de la penetración de servicios TIC, no estarán sujetos al cumplimiento de los indicadores establecidos en los artículos 5.1.3.1, 5.1.3.2, 5.1.4.1, 5.1.6.1 de la presente resolución, en los municipios identificados en el Anexo 5.7 del Título ANEXOS, conforme con las condiciones dispuestas en el artículo 5.1.1.6. de la presente resolución.
ARTÍCULO 5.1.1.2. OBJETO. <Artículo subrogado por el artículo 3 de la Resolución 6890 de 2022. El nuevo texto es el siguiente:> El régimen de calidad definido en el CAPÍTULO I TÍTULO V establece: i) los requisitos de calidad aplicables a la prestación de los servicios de telecomunicaciones, los cuales deben ser medidos y reportados por parte de los PRST, ii) las condiciones para incentivar la mejora continua de la calidad del servicio ofrecida a los usuarios, y iii) la metodología para la realización de mediciones técnicas orientadas a conocer la calidad del servicio experimentada por el usuario.
ARTÍCULO 5.1.1.3. OBLIGACIONES DE LOS PRST. <Artículo subrogado por el artículo 3 de la Resolución 6890 de 2022. El nuevo texto es el siguiente:> Todos los PRST deben:
5.1.1.3.1. Suministrar los servicios con base en los principios de trato igualitario, no discriminatorio y transparencia.
5.1.1.3.2. Acordar con operadores o proveedores nacionales e internacionales, las condiciones de calidad a ser garantizadas por estos últimos.
5.1.1.3.3. Suministrar las mismas condiciones de calidad que ofrecen a sus usuarios, tanto a otros PRST que accedan a su red, como a los respectivos usuarios de éstos.
5.1.1.3.4. Garantizar la interoperabilidad de todos los servicios que sean provistos empleando su infraestructura, cuando se hace uso de la instalación esencial de Roaming Automático Nacional.
5.1.1.3.5. Suministrar la información que sea indispensable para que otros PRST puedan cumplir con las obligaciones contenidas en el CAPÍTULO 1 TÍTULO V, cuando se tienen acuerdos de Operación Móvil Virtual (OMV) o se accede a la instalación esencial de RAN.
5.1.1.3.6. Publicar en su página Web, las condiciones de calidad de los servicios ofrecidos a los usuarios, así como la información de cobertura.
5.1.1.3.7. Realizar el cálculo de los indicadores establecidos en el CAPÍTULO 1 TÍTULO V, así como su reporte a través de los formatos definidos para ello.
5.1.1.3.8. Cuando las condiciones del servicio ameriten una migración tecnológica por parte del proveedor, y dicha migración requiera la actualización de terminales que sean compatibles con la nueva tecnología, los operadores deben haber advertido con por lo menos seis meses de anticipación a los usuarios que el servicio en la única red que soporta su equipo será apagada, y ofrecer opciones para la sustitución de equipos terminales. Si el usuario no cambia o sustituye el equipo, ante la imposibilidad de la prestación del servicio, el contrato se dará por terminado al cumplirse dicho plazo.
ARTÍCULO 5.1.1.4. ACRÓNIMOS. <Artículo subrogado por el artículo 3 de la Resolución 6890 de 2022. El nuevo texto es el siguiente:> Se listan los siguientes acrónimos, a efectos de su aplicación en el CAPÍTULO I del TÍTULO V:
E-UTRAN: Acceso de radio terrestre universal evolucionado (Evolved Terrestrial Radio Access Network). Generalmente se refiere a las redes de tecnología 4G.
FTP: Protocolo de Transferencia de Archivos (File Transfer Protocol).
HTTP: Protocolo de Transferencia de Hipertexto (Hypertext Transfer Protocol).
LTE: Long Term Evolution. Generalmente se refiere a las redes de tecnología 4G.
UTRAN: Red de Acceso Radio Terrestre UMTS (UMTS Terrestrial Radio Access Network). Generalmente se refiere a las redes de tecnología 3G.
ARTÍCULO 5.1.1.5. MEDICIONES TÉCNICAS PARA CONOCER LA EXPERIENCIA DEL USUARIO. <Artículo subrogado por el artículo 3 de la Resolución 6890 de 2022. El nuevo texto es el siguiente:> La CRC podrá realizar mediciones comparativas de calidad (benchmarking) para los servicios de telecomunicaciones prestados a través de redes móviles y redes fijas, orientadas a reflejar la experiencia objetiva desde el punto de vista de los usuarios, con el propósito de entregar al usuario información sobre la calidad de los servicios de telecomunicaciones contratados.
Las condiciones mínimas aplicables para la realización de dichas mediciones serán definidas de acuerdo con las necesidades de información que sean identificadas por la CRC y teniendo en cuenta las características de las ofertas disponibles en el mercado para esta clase de mediciones.
ARTÍCULO 5.1.1.6. EXCEPCIÓN APLICABLE A LOS MUNICIPIOS DEL ANEXO 5.7. <Artículo subrogado por el artículo 3 de la Resolución 6890 de 2022. El nuevo texto es el siguiente:> Los PRST deberán realizar la medición, cálculo y reporte de los indicadores de acuerdo con las condiciones dispuestas en el presente Capítulo y la metodología establecida en el Anexo 5.1, Anexo 5.2 y Anexo 5.3 del Título de Anexos. En todo caso, la verificación de cumplimiento de los indicadores y presentación de planes de mejora no será aplicable para el reporte individual de alguno de los municipios de que trata el Anexo 5.7, ni para el reporte que corresponde al ámbito geográfico del resto de cada departamento.
La CRC, en el marco de sus competencias y teniendo en cuenta el objetivo de incentivar el incremento de la penetración de servicios TIC, conforme con lo dispuesto en el parágrafo del artículo 5.1.1.1 de la Sección 1 del Capítulo 1 del Título V de la presente resolución, monitoreará su aplicación quedando a su discreción la determinación de levantarla o efectuar modificaciones y ajustes a la misma respecto de su vigencia, alcance y condicionamientos.
OBLIGACIONES DE CALIDAD PARA EL SERVICIO DE ACCESO A INTERNET.
ARTÍCULO 5.1.2.1. ALCANCE. <Artículo subrogado por el artículo 3 de la Resolución 6890 de 2022. El nuevo texto es el siguiente:> El alcance de las obligaciones de calidad para el servicio de acceso a Internet está limitado al acceso mismo entre el usuario y el proveedor del servicio, incluyendo las redes que éste último utiliza para el acceso de sus usuarios y las redes de transporte nacional e internacional.
ARTÍCULO 5.1.2.2. LIMITACIONES AL ACCESO. <Artículo subrogado por el artículo 3 de la Resolución 6890 de 2022. El nuevo texto es el siguiente:> Los PRST que presten el servicio de acceso a Internet no podrán bloquear el acceso a páginas Web o el uso de aplicaciones en la red, sin el consentimiento expreso del usuario, salvo en aquellos casos en que por disposición legal o reglamentaria estén prohibidas o su acceso sea restringido.
ARTÍCULO 5.1.2.3. GESTIÓN DE SEGURIDAD DE LA INFORMACIÓN EN REDES DE TELECOMUNICACIONES. <Artículo subrogado por el artículo 3 de la Resolución 6890 de 2022. El nuevo texto es el siguiente:> Los PRST deben atender los siguientes criterios en los procesos de gestión de seguridad de sus redes:
5.1.2.3.1. Políticas de seguridad de la información: Los PRST deberán adoptar una Política de Seguridad de la Información que implemente un Sistema de Gestión de Seguridad de la Información (SGSI), tendiente a garantizar la confidencialidad, la integridad, la disponibilidad de los servicios de comunicaciones y la información manejada, procesada o almacenada durante la prestación de los mismos, siguiendo para ello la familia de estándares ISO/IEC 27000.
En la implementación de dicho SGSI, los PRST podrán, de manera autónoma, determinar el alcance y las condiciones de funcionamiento del SGSI, teniendo en cuenta las características propias de su red, su contexto de operación y sus riesgos.
La política adoptada deberá ser compatible con la identificación, almacenamiento y reporte de información de incidentes de seguridad de la información de que tratan los numerales 5.1.2.3.2. y 5.1.2.3.3. del presente artículo.
5.1.2.3.2. Incidentes de seguridad de la información. Los PRST deberán identificar, almacenar como mínimo por un año y tener a disposición de las autoridades pertinentes la información sobre los incidentes de seguridad de la información.
La información sobre el Incidente de Seguridad de la Información debe incluir:
| Fecha del Incidente | Servicio afectado | Número de usuarios afectados | Duración | Categoría del incidente | Nivel de severidad del incidente |
1. Fecha del incidente: En este campo deberá indicarse la fecha de inicio del incidente.
2. Servicio afectado: En este campo deberá indicarse el o los servicios afectados por el incidente de indisponibilidad:
a) Internet Fijo.
b) Internet Móvil.
c) Telefonía fija.
d) Telefonía Móvil.
3. Número de usuarios externos afectados: En este campo, para telefonía fija e Internet fijo, debe indicarse el número de suscriptores afectados.
Para Internet y telefonía móvil, deberá indicarse el número potencial de usuarios afectados de acuerdo con el uso normal de la infraestructura afectada.
4. Duración: En este campo debe indicarse el tiempo en horas de duración del incidente de seguridad de la información.
5. Categoría del incidente: En este campo debe indicarse la categoría del incidente de seguridad de la información, el operador debe indicar una de las siguientes categorías de causas raíz:
a) Denegación de servicio: Denegación de servicio (DoS) y Denegación de servicio distribuida (DDoS) son una categoría amplia de incidentes con características en común. Estos incidentes causan que un sistema, servicio o red no opere a su capacidad prevista, usualmente causando la denegación completa del acceso a los usuarios legítimos.
b) Acceso no autorizado: esta categoría de incidentes consiste en intentos no autorizados para acceder o hacer un mal uso de un sistema, servicio o red.
c) Malware: esta categoría identifica un programa o parte de un programa insertado en otro con la intención de modificar su comportamiento original, generalmente para realizar actividades maliciosas como robo de información, robo de identidad, destrucción de información y recursos, denegación de servicio, correo no deseado, etc.
d) Abuso: esta categoría de incidentes identifica la violación de las políticas de seguridad del sistema de información de una organización.
No son ataques en el sentido estricto de la palabra, pero a menudo se informan como incidentes y requieren ser gestionados.
e) Recopilación de información de sistema: esta categoría de incidentes incluye las actividades asociadas con la identificación de objetivos potenciales y el análisis de los servicios que se ejecutan en esos objetivos (ej. probing, ping, scanning).
6. Nivel de severidad de incidente: En este campo, debe indicarse el nivel de severidad del incidente de seguridad de la información, teniendo en cuenta la importancia del sistema de información involucrado, las potenciales pérdidas de negocio y el posible impacto social, según lo dispuesto en el Anexo 5.8 de la presente resolución:
a) Muy Serio (Clase IV)
b) Serio (Clase III)
c) Menos serio (Clase II)
d) Pequeño (Clase I)
5.1.2.3.3 Reporte de incidentes de seguridad de la información a las autoridades. Cuando se presenten incidentes de seguridad de la información, los PRST deberán enviar por medios electrónicos, después del cierre del incidente, esto es después de su contención, erradicación o recuperación, un reporte al Grupo de Respuesta a Emergencias Cibernéticas de Colombia (colCERT), o quien haga sus veces, que incluya los elementos descritos en el numeral 5.1.2.3.2 del presente artículo, (fecha del incidente, servicio afectado, número de usuarios afectados, duración, categoría de incidente) y una descripción del incidente, así como de las acciones llevadas a cabo por el proveedor para mitigar o resolver el incidente, en todo caso el tiempo para el envío del reporte no podrá exceder los tres (3) meses, subsecuentes a la fecha de detección del incidente.
Si el incidente fuera clasificado de severidad clase III "Serio" o severidad clase IV "Muy Seria", según lo dispuesto en el Anexo 5.8 de la presente resolución, esto es, si el incidente actúa sobre sistemas de información importantes, resulta en pérdidas graves para la organización, o implica pérdidas sociales importantes, los PRST deberán enviar un reporte al Grupo de Respuesta a Emergencias Cibernéticas de Colombia (colCERT), o quien haga sus veces, dentro de las 24 horas hábiles subsecuentes a la detección del incidente, con la información disponible al momento del reporte.
De manera voluntaria los PRST podrán entregar información adicional requerida por colCERT, o quien haga sus veces, para la gestión del incidente.
CONDICIONES DE CALIDAD PARA SERVICIOS MÓVILES.
ARTÍCULO 5.1.3.1. INDICADORES DE CALIDAD PARA SERVICIOS DE TELEFONÍA MÓVIL. <Artículo modificado por el artículo 84 de la Resolución 7811 de 2025. El nuevo texto es el siguiente:> Los proveedores de redes y servicios de telecomunicaciones móviles (PRSTM), deberán medir y reportar los siguientes indicadores de calidad para redes de acceso móviles de cuarta generación o 4G (EUTRAN):
- Porcentaje de intentos de llamada (VoLTE) no exitosos en la red de acceso para 4G.
- Porcentaje total de llamadas (VoLTE) caídas en 4G.
Los procedimientos para medición y cálculo, y los valores objetivo para los indicadores asociados al servicio de voz provisto a través de redes móviles, están consignados en el ANEXO 5.1-A del TÍTULO DE ANEXOS. Para la verificación del cumplimiento de indicadores deberá darse aplicación a la metodología contenida en dicho anexo.
PARÁGRAFO. Los PRSTM que brindan servicio a través de acuerdos de Roaming Automático Nacional y los Operadores Móviles Virtuales no tendrán la obligación de medir y reportar los indicadores de que trata el presente artículo para las comunicaciones que se cursen bajo alguna de estas modalidades.
ARTÍCULO 5.1.3.2. INDICADORES DE CALIDAD PARA EL SERVICIO DE DATOS MÓVILES. <Artículo modificado por el artículo 1 de la Resolución 7777 de 2025. El nuevo texto es el siguiente:> Los PRSTM deberán medir y reportar los siguientes indicadores de calidad para el servicio de acceso a Internet extremo a extremo basados en mediciones externas para 4G y 5G:
5.1.3.2.1. Latencia.
5.1.3.2.2. Velocidad de carga.
5.1.3.2.3. Velocidad de descarga.
5.1.3.2.4. Fluctuación de fase (Jitter).
5.1.3.2.5. Tasa de pérdida paquetes.
Los procedimientos para medición y cálculo, y los valores objetivo para los indicadores basados en mediciones externas realizadas por los PRSTM a través de información capturada con el método Crowdsourcing, están consignados en el ANEXO 5.3 del TÍTULO DE ANEXOS de la presente resolución.
Los indicadores para datos móviles 5G se deben medir y reportar de manera informativa, conforme lo establecido en el ANEXO 5.3 del TÍTULO DE ANEXOS de la presente resolución, y no estarán sujetos a verificación de cumplimiento de valores objetivo.
PARÁGRAFO. Los PRSTM que brindan servicio a través de acuerdos de Roaming Automático Nacional (RAN) y los proveedores que presten el servicio de datos como Operador Móvil Virtual no tendrán la obligación de medir y reportar los indicadores basados en mediciones externas, mientras que no tengan elementos propios de la red de acceso que les permitan ofrecer servicios de datos en la tecnología 4G o 5G.
ARTÍCULO 5.1.3.3. DOCUMENTACIÓN DEL SISTEMA DE MEDICIÓN DE INDICADORES. <Artículo modificado por el artículo 3 de la Resolución 6890 de 2022. El nuevo texto es el siguiente:> Los PRSTM deben mantener documentado el sistema de medida (recolección de datos) utilizado para la generación de los indicadores de calidad definidos en el ARTÍCULO 5.1.3.1 identificando de manera precisa los diferentes proveedores de equipos, las versiones de software, los contadores utilizados con su respectiva descripción y las fórmulas aplicables por cada proveedor de equipos. El documento con la información mencionada deberá ser remitido al MinTIC durante los primeros quince días del mes de julio de cada año o cuando se presenten modificaciones en dicho sistema de medida, a través de los formatos o mecanismos que ese Ministerio determine. El MinTIC podrá solicitar aclaraciones, complementos, precisiones o modificaciones respecto de su contenido.
ARTÍCULO 5.1.3.4. INFORMACIÓN DE CONTADORES DE RED. <Artículo modificado por el artículo 2 de la Resolución 7777 de 2025. El nuevo texto es el siguiente:> Los PRSTM deberán disponer de las condiciones necesarias para que el MinTIC pueda acceder a la información de los contadores utilizados para el cálculo de los indicadores de calidad, así como también a los indicadores calculados a partir de estos contadores, de acuerdo con los parámetros y el formato o mecanismo que determine dicha entidad.
ARTÍCULO 5.1.3.5. OBLIGACIÓN DE ACCESO A LOS GESTORES DE DESEMPEÑO (OSS) O HERRAMIENTAS DE LOS PRSTM. <Artículo modificado por el artículo 3 de la Resolución 7777 de 2025. El nuevo texto es el siguiente:> Los PRSTM deberán permitir al MinTIC el acceso directo a sus gestores de desempeño (Operation and Support System -OSS) o herramientas que almacenan los contadores de red o alarmas de todos los proveedores de sus equipos, los cuales permitan descargar la información fuente requerida para el seguimiento y verificación de los indicadores de calidad definidos en el CAPÍTULO 1 del TÍTULO V.
Adicionalmente, con el fin de evitar accesos no autorizados y/o sobrecargas en los Gestores de Desempeño o en las herramientas de los PRSTM, el MinTIC podrá solicitarles la entrega de la información asociada a los contadores de red o alarmas originadas en cualquiera de sus elementos de red.
ARTÍCULO 5.1.3.6. CONDICIONES PARA EL ACCESO A LOS OSS O HERRAMIENTAS DE LOS PRSTM Y ENVÍO DE INFORMACIÓN. <Artículo modificado por el artículo 4 de la Resolución 7777 de 2025. El nuevo texto es el siguiente:> El MinTIC definirá los formatos, mecanismos o herramientas tecnológicas, así como los lineamientos y parámetros que deben atender los PRSTM, para permitir el acceso por parte de dicha entidad a los OSS o herramientas que almacenan los contadores de red o alarmas. Asimismo, el MinTIC establecerá las condiciones de entrega de esta información por parte de los PRSTM cuando así se requiera, así como los procedimientos y plazos para informar la indisponibilidad de este acceso bien sea por condiciones de falla o actividades que requieran ventanas de mantenimiento que adelanten los PRSTM.
ARTÍCULO 5.1.3.7. ALMACENAMIENTO DE INFORMACIÓN DE LOS OSS O HERRAMIENTAS DE LOS PRSTM. <Artículo modificado por el artículo 3 de la Resolución 6890 de 2022. El nuevo texto es el siguiente:> El PRSTM deberá almacenar y mantener, por periodos no inferiores a un mes completo y cinco (5) días hábiles más, para cada uno de los meses de cada año, la información fuente de los OSS o herramientas que almacenan los contadores de red o alarmas, que es accedida por el MinTIC para el seguimiento y verificación de los indicadores definidos en el CAPÍTULO I del TÍTULO V. La información almacenada podrá ser objeto de verificación directa sobre el gestor que almacene los contadores de desempeño de red por parte de la Dirección de Vigilancia, Inspección y Control del MinTIC.
PARÁGRAFO. En aquellos casos en los cuales el PRSTM demuestre la imposibilidad para almacenar la información por el tiempo acá especificado, deberá definir conjuntamente con el MinTIC el procedimiento alternativo a aplicar para que ese Ministerio pueda acceder a dicha información.
ARTÍCULO 5.1.3.8. PUBLICACIÓN DE MAPAS DE PRESTACIÓN DEL SERVICIO. <Artículo modificado por el artículo 3 de la Resolución 6890 de 2022. El nuevo texto es el siguiente:> Los PRSTM deberán poner a disposición del público mapas de contorno de cobertura generados a partir de simulaciones sobre modelos digitales de terreno, los cuales podrán ser consultados en su página Web por parte de cualquier interesado, habilitando para ello una sección con la identificación "MAPAS DE COBERTURA" la cual debe contener en un texto introductorio, las condiciones de utilización de la herramienta, la última fecha de actualización del mapa, la escala de distancia y el mapa correspondiente. Los mapas de contorno de cobertura deberán ser generados haciendo uso de modelos digitales de terreno que tengan una resolución mínima de 30 metros en la zona urbana y de 50 metros en la zona rural.
Para el acceso a esta sección "MAPAS DE COBERTURA", se debe disponer de un enlace en el menú principal o un espacio (banner) de mínimo 200 pixeles de ancho por 100 pixeles de alto en la página de inicio (home). Una vez habilitada esta información el PRSTM deberá realizar la divulgación de la misma a través de los medios de atención definidos en el CAPÍTULO I del TÍTULO II.
Dichos mapas deberán tener una interfaz gráfica de fácil uso por parte del usuario y reflejarán las áreas geográficas y carreteras en las cuales el proveedor presta el servicio, considerando como mínimo los siguientes criterios:
- El nivel de consulta iniciará por "Departamento" y luego se seleccionará "Ciudad". Posterior a ello, la herramienta navegará hacia el ámbito geográfico seleccionado, estando disponibles las opciones zoom in/zoom out y arrastre del mapa con el fin de que los usuarios pueden mover su punto de observación a otros municipios y observar la cobertura en vías.
- Para las ciudades con una población mayor a 500.000 habitantes de acuerdo al censo y proyecciones del DANE para cada año, se debe permitir la realización de búsquedas por División Administrativa. En caso que el usuario no seleccione ninguna de estas divisiones, se mostrará la ciudad entera.
- El mapa deberá permitir la visualización en capas de los contornos de cobertura por tipo de tecnología de red de acceso (Tipo 1, Tipo 2, Tipo 3 y Tipo 4) con la cual se esté ofreciendo el servicio, permitiendo distinguir donde hay o no servicio. Para cada tecnología se deben listar los servicios que son prestados por el PRSTM (voz, datos/Internet, SMS).
- Sobre el mapa se deben visualizar los límites departamentales, municipales y zonas urbanas/centros poblados, vías principales, secundarias y terciarias, entre otros.
La información de cobertura deberá ser actualizada con periodicidad trimestral, o cuando se generen nuevas áreas de cobertura en los ámbitos geográficos.
PARÁGRAFO 1. Los PRSTM podrán incluir en los mapas de los que trata el presente artículo, previa autorización del MinTIC, referencias a sitios en los cuales se presenten bajos niveles de señal o ausencia de la misma, cuando dicha condición se encuentre asociada a la decisión negativa de una determinada administración local para otorgar permisos de instalación de infraestructura de telecomunicaciones, así como también ante la presencia de bloqueadores de señal cuyo uso haya sido autorizado por el MinTIC.
PARÁGRAFO 2. Las obligaciones de reporte de cobertura de que trata el presente artículo se entenderán cumplidas por parte de los OMV mediante la disposición en su página web de un enlace en el menú principal, o un espacio (banner) de mínimo 200 pixeles de ancho por 100 pixeles de alto en la página de inicio (home), que permita acceder al Mapa de Cobertura implementado por el proveedor de red con el que tiene suscrito el acuerdo comercial, sin que ello implique un direccionamiento o enlace hacia la página web del proveedor de red. En caso que el Operador Móvil Virtual no ofrezca la misma cobertura por tipo de tecnología del Proveedor de Redes y Servicios, el OMV informará sobre tal circunstancia a sus usuarios en su página Web.
PARÁGRAFO 3. Cuando el PRSTM provea el acceso a la instalación esencial de RAN, deberá suministrar al Proveedor de la Red de Origen (PRO) la información de que trata el presente artículo, con quince días de anterioridad al cumplimiento del periodo trimestral.
ARTÍCULO 5.1.3.9. REPORTE DE MAPAS DE COBERTURA. <Artículo modificado por el artículo 85 de la Resolución 7811 de 2025. El nuevo texto es el siguiente:> Cada OMR deberá entregar al MinTIC el mapa de cobertura con periodicidad trimestral, a través del mecanismo, formato y parámetros que establezca la CRC en coordinación con dicho Ministerio. Este mapa de cobertura debe evidenciar el nivel de señal en cada área en que prestan su servicio, incluyendo igualmente una leyenda asociada a los niveles de señal por cada tipo de tecnología (Rxlev - GSM, RSCP - UMTS, RSRP - LTE, SS-RSRP - 5G NR o el parámetro acorde a la tecnología usada) y los demás parámetros con los que se generó el mapa.
ARTÍCULO 5.1.3.10. CAMPAÑAS DE DIVULGACIÓN PARA MEDICIONES EXTERNAS CON EL MÉTODO DE CROWDSOURCING. <Artículo modificado por el artículo 2 de la Resolución 7363 de 2024. El nuevo texto es el siguiente:> Para el adecuado desarrollo de los procedimientos de medición y cálculo de los indicadores de que trata el artículo 5.1.3.2. de la presente resolución, los PRSTM deben realizar campañas de divulgación. Estas campañas tendrán como objetivo invitar a los usuarios a que autoricen la realización de mediciones activas programadas por medio de sus equipos terminales móviles, informando que el propósito es verificar el cumplimiento por parte de los PRSTM de los indicadores de calidad de servicio móvil determinados por la Comisión de Regulación de Comunicaciones y anunciando que estas mediciones no implican costos para los usuarios ni consumo de sus planes de datos. Para tal efecto, las campañas de divulgación se deberán realizar utilizando todos los medios de comunicación que los PRSTM consideren necesarios.
En todo caso, por lo menos cada tres meses, los PRSTM deberán incluir en un lugar altamente visible en la página principal de su sitio web, un banner estático, que deberá contener como mínimo la siguiente información:
(i) Invitación a descargar la aplicación para la gestión de mediciones activas programadas.
(ii) Explicación de la finalidad de la descarga de la aplicación para la gestión de mediciones activas indicando que consiste en realizar mediciones activas programadas del servicio de datos móviles, a través del equipo terminal móvil.
ARTÍCULO 5.1.3.11. PUBLICACIÓN DE LA INFORMACIÓN DE CALIDAD DE LOS SERVICIOS MÓVILES 4G POR PARTE DE LA COMISIÓN DE REGULACIÓN DE COMUNICACIONES. <Artículo adicionado por el artículo 3 de la Resolución 7363 de 2024. El nuevo texto es el siguiente:> La Comisión de Regulación de Comunicaciones (CRC) publicará la información sobre el desempeño de los indicadores de calidad de los servicios móviles de voz y datos 4G del Formato T.2.2 del TÍTULO REPORTES DE INFORMACIÓN y de la base de datos con exclusiones de que trata el Anexo 5.3., del Título de Anexos de la presente resolución. Para el servicio de datos móviles 4G la CRC desarrollará e implementará una herramienta interactiva que centralice la información, y permita a los usuarios segmentar los datos recolectados por PRSTM, ámbito geográfico e indicador de calidad, así como, comparar los resultados entre diferentes PRSTM según los filtros seleccionados.
En cuanto al ámbito geográfico, se indica que este corresponde a las agrupaciones de municipios definidas en el Anexo 5.3 de la presente resolución. De esta manera, el ámbito geográfico puede corresponder a un único municipio, una agrupación de municipios o un departamento.
La información de la que se alimenta esta herramienta se actualizará al menos dos (2) veces por año con los datos más recientes sobre el desempeño de los indicadores de calidad mencionados. Estas actualizaciones no serían excluyentes con otras publicaciones de datos que realice la CRC y, en todo caso, podrán ser complementadas con cualquier tipo de informes, análisis y demás esquemas de presentación de datos que se consideren pertinentes y que estén relacionados con la calidad de los servicios de telecomunicaciones.
ARTÍCULO 5.1.3.12. DIVULGACIÓN DE LA INFORMACIÓN DE CALIDAD DE LOS SERVICIOS MÓVILES PUBLICADA POR LA CRC. <Artículo adicionado por el artículo 4 de la Resolución 7363 de 2024. El nuevo texto es el siguiente:> Los PRSTM obligados a cumplir los indicadores de calidad de que tratan los artículos 5.1.3.1 y 5.1.3.2 de la presente resolución, deberán insertar en su portal, en un lugar visible y de fácil acceso para los usuarios, un botón enlazado a la página web que determine la CRC para publicar la información de calidad de los servicios de telecomunicaciones móviles. Este botón deberá ser ubicado debajo del slider de imágenes principal del home en la página web de cada operador y deberá ser tomada de la URL https://www.crcom.gov.co/sites/default/files/webcrc/images/boton-medicion-de-calidad.jpg.
Por su parte, en la aplicación móvil de cada PRSTM, se deberá incluir una opción en el menú principal con el enlace que redireccione a la página web que determine la CRC para publicar la información de calidad de los servicios de telecomunicaciones móviles.
CALIDAD PARA SERVICIOS FIJOS.
ARTÍCULO 5.1.4.1. INDICADORES DE CALIDAD PARA SERVICIOS DE DATOS FIJOS. <Artículo subrogado por el artículo 3 de la Resolución 6890 de 2022. El nuevo texto es el siguiente:> Los proveedores de servicios de datos fijos deberán medir y reportar los siguientes indicadores asociados a la calidad general del servicio:
5.1.4.1.1. Velocidad de transmisión de datos alcanzada (VTD).
5.1.4.1.2. Retardo en un sentido (Ret).
Los procedimientos para medición y cálculo, y los valores objetivo para los indicadores asociados al servicio de datos fijos, están consignados en el ANEXO 5.1-B del TÍTULO DE ANEXOS.
ARTÍCULO 5.1.4.2. APLICACIÓN DE USUARIO PARA MEDICIÓN DE SERVICIOS DE DATOS FIJOS. <Artículo subrogado por el artículos 3 de la Resolución 6890 de 2022. El nuevo texto es el siguiente:> Los proveedores de servicios de datos fijos deberán tener disponible en todo momento y de manera destacada en la página principal de su sitio Web, el acceso a una aplicación gratuita, por medio de la cual el usuario pueda verificar la velocidad efectiva provista tanto para envío como para descarga de información, así como la latencia de la conexión, la cual entregará al usuario un reporte indicando al menos:
- Dirección IP origen.
- Velocidad de descarga (download) y velocidad de carga (upload) en Kbps.
- Latencia en milisegundos.
- Fecha y hora de la consulta.
La aplicación utilizada en la verificación puede ser desarrollada directamente por el proveedor, o se puede hacer uso de servicios de prueba comúnmente utilizados a nivel internacional, y deberá estar habilitada en la página Web de cada operador, en una sección con la identificación "MEDICIÓN DE SERVICIOS DE DATOS".
PARÁGRAFO. De conformidad con lo establecido en el numeral 4 del artículo 56 de la Ley 1450 de 2011, los proveedores de servicios de datos fijos deberán mantener pública en su página Web toda la información relativa a las características del servicio ofrecido, su velocidad, calidad del servicio, diferenciando entre las conexiones nacionales e internacionales, así como la naturaleza y garantías del servicio. Para el efecto, dichos proveedores deberán medir separadamente la calidad de las conexiones nacionales e internacionales y presentar la información correspondiente en la página Web, en los términos del presente artículo.
ARTÍCULO 5.1.4.3. CONGESTIÓN EN REDES DE DATOS FIJOS. <Artículo derogado por el artículo 137 de la Resolución 7811 de 2025>
BANDA ANCHA.
ARTÍCULO 5.1.5.1. CONDICIONES PARA BANDA ANCHA. <Artículo subrogado por el artículos 3 de la Resolución 6890 de 2022. El nuevo texto es el siguiente:> Las conexiones de datos en el territorio nacional denominadas para su comercialización como "Banda Ancha" deberán garantizar las siguientes velocidades efectivas de acceso:
| Sentido de la conexión | Velocidad |
| Bajada | 25 Mbps |
| Subida | 5 Mbps |
PARÁGRAFO 1. Para efectos de diferenciar las conexiones de banda ancha de otras conexiones con velocidades muy superiores, se entenderá como ULTRA BANDA ANCHA aquellos servicios/ofertas comerciales que tengan como mínimo velocidades de bajada de 50 Mbps y de subida de 20 Mbps.
PARÁGRAFO 2. De conformidad con lo establecido en la parte motiva de la presente resolución, las condiciones definidas en el presente artículo, podrán ser revisadas cuando la Comisión lo considere apropiado y según lo dispuesto en el artículo 40 de la Ley 1753 de 2015.
ARTÍCULO 5.1.5.2. INFORMACIÓN DEL SERVICIO DE DATOS FIJOS. <Artículo modificado por el artículo 86 de la Resolución 7811 de 2025. El nuevo texto es el siguiente:> Los PRST deberán informar al usuario las siguientes condiciones:
5.1.5.2.1. Al momento de la instalación del servicio, el PRST deberá informar a qué título se entregan los equipos instalados en el domicilio del usuario (gratuito, préstamo, arrendamiento o comodato, entre otros), y suministrar la marca y modelo junto con la copia física del manual del equipo de comunicación inalámbrica, o la información referente a los medios en los que el usuario puede realizar la consulta electrónica de dicho manual. El PRST deberá contar con prueba de la entrega de la anterior información, bien sea física o electrónica, según el medio que haya elegido el usuario para recibirla, cuando este no haya elegido un medio para su entrega, la misma será enviada a través de correo electrónico, si el PRST cuenta con esta información del usuario; en caso contrario será entregada a través de medio físico.
Así mismo, el PRST a través de su página web u otros medios electrónicos o digitales, deberá suministrar sugerencias de instalación del dispositivo en el domicilio que optimicen el aprovechamiento del acceso inalámbrico, considerando como mínimo los siguientes aspectos:
- Recomendaciones sobre la ubicación de los equipos de comunicación inalámbrica, de forma que se reduzcan las interferencias o bloqueo relacionado con: teléfonos inalámbricos, Interferencia por muros o paredes, otros equipos inalámbricos en viviendas vecinas, y número de terminales inalámbricos al mismo tiempo.
- Explicación sobre los efectos que en la velocidad de navegación pueden generar la ubicación de los equipos de comunicación inalámbrica, y el acceso simultáneo de varios equipos a través del acceso a Internet contratado.
5.1.5.2.2. El PRST deberá tener disponible para consulta del usuario a través de cualquier medio de atención, información consolidada que le permita conocer de manera sencilla el valor mensual correspondiente al servicio de datos contratado, la velocidad contratada -en bajada y subida- (indicando si corresponde a Banda Ancha), diferenciando claramente aspectos equivalentes a promociones o beneficios adicionales a los contratados por el usuario, entre otros.
ARTÍCULO 5.1.5.3. CONDICIONES DE COMERCIALIZACIÓN DE FIBRA ÓPTICA. <Artículo adicionado por el artículo 87 de la Resolución 7811 de 2025. El nuevo texto es el siguiente:> Las conexiones de datos en el territorio nacional denominadas para su comercialización como "Fibra óptica" deberán garantizar que el servicio sea prestado a través de una red de fibra óptica cuyo alcance llegue directamente al sitio de instalación del servicio del usuario bajo arquitectura Fiber To The Home (FTTH).
CONDICIONES DE DISPONIBILIDAD DE LA RED Y AFECTACIÓN DEL SERVICIO.
ARTÍCULO 5.1.6.1. INDICADORES DE DISPONIBILIDAD DE ELEMENTOS DE RED DE ACCESO. <Artículo modificado por el artículo 5 de la Resolución 7777 de 2025. El nuevo texto es el siguiente:> Los PRST deberán medir mensualmente y reportar con periodicidad trimestral, el tiempo de indisponibilidad y los porcentajes de disponibilidad de todos y cada uno de los siguientes elementos de su red de acceso.
Para redes de servicios móviles:
5.1.6.1.1. Estaciones base (Nodos B, e Nodos B, gNB).
Para redes de servicios de acceso a Internet prestado a través de ubicaciones fijas cableadas:
5.1.6.1.2. CMTS (para redes con tecnología HFC).
5.1.6.1.3. OLT (para redes con tecnología PON).
Para redes de servicios de acceso a internet prestado a través de ubicaciones fijas de acceso inalámbrico:
5.1.6.1.4 Satélites (órbita baja, órbita media, geoestacionarios).
5.1.6.1.5 Accesos fijos inalámbricos (Fixed Wireless Access, FWA por sus siglas en inglés) con estaciones base e Nodos B y gNB.
Los procedimientos para medición y cálculo están consignados en el Anexo 5.2-A del TÍTULO DE ANEXOS.
ARTÍCULO 5.1.6.2 AFECTACIÓN DEL SERVICIO DE TELECOMUNICACIONES MÓVILES. <Artículo modificado por el artículo 6 de la Resolución 7777 de 2025. El nuevo texto es el siguiente:> Los PRSTM deberán identificar y reportar al MinTIC la ocurrencia de una afectación del servicio de telecomunicaciones de voz, datos u otro tipo de servicio que se curse sobre la red móvil, de acuerdo con las condiciones, parámetros y formatos o mecanismos que determine dicha entidad.
Se considerará afectación del servicio, cuando en un municipio o en una localidad (para aquellos municipios con una población mayor de 500 mil habitantes), no se curse tráfico de voz o datos por más de 60 minutos en el horario comprendido entre las 6:00 a. m. a 11:59 p. m., como consecuencia de una falla que afecte el funcionamiento de cualquiera de los elementos de Red Central (Core Network), Red de Transporte o Red de Acceso.
Respecto de las fallas originadas sobre los elementos de Red de Acceso, una vez reportada la afectación, MinTIC monitoreará el comportamiento del municipio o localidad y en caso de que en las siguientes 24 horas se detecte nuevamente la afectación de servicio, requerirá al PRSTM para que dentro de los cinco (5) días calendario siguientes entregue al MinTIC el reporte de la falla y el plan de mejora correspondiente, a través de los formatos o mecanismos establecidos para tal fin.
Frente a las fallas originadas en la Red de Core o Red de Transporte que no generen la salida de servicio de las Estaciones Base, los PRSTM deberán informar al MinTIC de acuerdo con las condiciones, herramientas y procedimientos definidos por dicha entidad, sobre el suceso de la falla, la recuperación del servicio y el plan de mejora, en caso de que este tenga lugar.
Los eventos de mantenimiento no se considerarán como una afectación siempre y cuando hayan sido notificados con la debida antelación a los usuarios.
PARÁGRAFO. Los PRSTM quedarán exentos de la presentación del plan de mejora cuando las afectaciones en el servicio de telecomunicaciones se originen por causas de fuerza mayor, caso fortuito o hecho atribuible a un tercero, y en todo caso, deberán informar al MinTIC la ocurrencia de la afectación.
ARTÍCULO 5.1.6.3. AFECTACIÓN DEL SERVICIO DE TELECOMUNICACIONES FIJAS. <Artículo adicionado por el artículo 7 de la Resolución 7777 de 2025. El nuevo texto es el siguiente:> Para los PRST que tengan una participación de más del 1% de la base de suscriptores nacional, se considerará afectación del servicio, cuando no se curse tráfico de datos por más de 60 minutos en un nodo de acceso de la red, en el horario comprendido entre las 6:00 a. m., a 11:59 p. m., como consecuencia de una falla en un equipo terminal de la red de acceso fija de acuerdo con el artículo 5.1.6.1 de la presente resolución, o de un elemento del Backbone central o Core de enrutamiento.
Con ocasión de una afectación del servicio, en los términos definidos en el presente artículo, el PRST deberá presentar un reporte inicial donde informe de su ocurrencia al MinTIC, dentro de las cinco (5) horas siguientes a su detección, de acuerdo con los parámetros y el formato o mecanismo que determine dicha entidad.
Dentro de los quince (15) días calendario siguientes a la detección de la falla que generó la afectación, el PRST deberá entregar al MinTIC el plan de mejora para prevenir que la afectación del servicio se presente nuevamente, el cual deberá diseñarse de acuerdo con la tipificación de que trata el ANEXO 5.2-B del TÍTULO DE ANEXOS de la presente resolución, de acuerdo con los parámetros y el formato o mecanismo que determine dicha entidad.
PARÁGRAFO. Los PRST quedarán exentos de la presentación del plan de mejora cuando las afectaciones en el servicio de telecomunicaciones se originen por causas de fuerza mayor, caso fortuito o hecho atribuible a un tercero, y en todo caso, deberán informar al MinTIC la ocurrencia de la afectación.
ARTÍCULO 5.1.6.4. PUBLICACIÓN DE LA INFORMACIÓN DE LA DISPONIBILIDAD DE LOS ELEMENTOS DE RED DE ACCESO Y LAS AFECTACIONES A LOS SERVICIOS POR PARTE DE LA COMISIÓN DE REGULACIÓN DE COMUNICACIONES. <Artículo adicionado por el artículo 8 de la Resolución 7777 de 2025. El nuevo texto es el siguiente:> La Comisión de Regulación de Comunicaciones (CRC) publicará la información sobre la disponibilidad de los elementos de redes de acceso previstos en el artículo 5.1.6.1, y las afectaciones de los servicios de comunicaciones definidas en los artículos 5.1.6.2 y 5.1.6.3 de la presente resolución, en la herramienta interactiva desarrollada por la CRC en cumplimiento del artículo 5.1.3.11 de la presente resolución.
Esta herramienta permitirá a los usuarios consultar los datos relacionados sobre la disponibilidad en los municipios objeto de medición y de las afectaciones de los servicios de voz, datos u otro tipo de servicio que se curse sobre la red fija o móvil.
La información de la que se alimenta esta herramienta se actualizará al menos dos (2) veces por año con la disponibilidad y las afectaciones que se presenten en cada municipio por semestre.
PARÁGRAFO TRANSITORIO. La primera publicación de la información de que trata el presente artículo se realizará a más tardar el 1 de enero de 2027.
PLANES DE MEJORA PARA SERVICIOS FIJOS Y MÓVILES.
ARTÍCULO 5.1.7.1. OBLIGACIÓN DE DISEÑO, ENTREGA Y EJECUCIÓN DEL PLAN DE MEJORA. <Artículo modificado por el artículo 9 de la Resolución 7777 de 2025. El nuevo texto es el siguiente:> El PRST que no alcance o supere (según el caso) los valores objetivo de los indicadores de que tratan los artículos 5.1.3.2, 5.1.4.1 y 5.1.6.1 de la presente resolución, deberá remitir a la Dirección de Vigilancia, Inspección y Control del MinTIC, un plan de mejora que deberá detallar las acciones y los plazos de implementación, atendiendo como mínimo a las condiciones definidas en el ANEXO 5.2-B del TÍTULO DE ANEXOS de la presente resolución.
Cada uno de los planes de mejora deberá ser reportado a través de los formatos o mecanismos que el MinTIC determine.
El MinTIC verificará: (i) la entrega oportuna del plan, (ii) su ejecución, (iii) que el PRST alcance o no supere (según el caso), dentro de los nueve (9) meses siguientes a la finalización de la ejecución del plan, los valores objetivo de los indicadores de que tratan los artículos 5.1.3.2 y 5.1.4.1 de la presente resolución.
PARÁGRAFO 1o. En caso de que en cualquiera de los nueve (9) meses siguientes a la ejecución del plan de mejora, no se alcance o supere (según el caso) nuevamente el valor objetivo del indicador de que tratan los artículos 5.1.3.2 y 5.1.4.1, esto se considerará causal de incumplimiento.
El cálculo de los indicadores de los que trata el artículo 5.1.3.2, posterior a la ejecución de un plan de mejora, se realizará de la siguiente manera:
Primer mes posterior a la finalización del plan de mejora: el valor del indicador se calculará de acuerdo con la metodología del Anexo 5.3 de la presente resolución, considerando únicamente las mediciones obtenidas en ese mes, independientemente del número de muestras que se consigan en el ámbito geográfico puntual.
Segundo mes posterior a la finalización del plan de mejora: el valor del indicador se calculará de acuerdo con la metodología del Anexo 5.3 de la presente resolución, considerando las mediciones obtenidas en ese mes más las mediciones del mes anterior.
A partir del tercer mes posterior a la finalización del plan de mejora: las mediciones se realizarán de acuerdo con lo establecido en el Anexo 5.3 de la presente resolución.
El PRSTM no estará obligado a presentar nuevamente un plan de mejora hasta tanto no se venza el plazo mencionado, lo anterior sin perjuicio de las acciones que deba adelantar para cumplir el indicador.
PARÁGRAFO 2o. Una vez finalizado el plazo de que trata el parágrafo anterior, el PRSTM deberá volver a presentar un nuevo plan de mejora, en aquellos casos en que se superen o no alcancen (según el caso) los valores objetivos de los indicadores de que tratan los artículos 5.1.3.2 y 5.1.4.1., de la presente resolución.
DISPOSICIONES FINALES.
ARTÍCULO 5.1.8.1. PUBLICACIÓN DE MEDICIONES TÉCNICAS DE CALIDAD PARA CONOCER LA EXPERIENCIA DEL USUARIO. <Artículo subrogado por el artículos 3 de la Resolución 6890 de 2022. El nuevo texto es el siguiente:> La CRC realizará la publicación en su página Web del resultado de las mediciones de que trata el ARTÍCULO 5.1.1.5 del CAPÍTULO 1 del TÍTULO V. Dichas mediciones, las cuales reflejan la calidad de la experiencia del usuario por servicios, serán publicadas periódicamente con carácter informativo.
ARTÍCULO 5.1.8.2. OBLIGACIONES PARA PROVEEDORES ENTRANTES. <Artículo subrogado por el artículos 3 de la Resolución 6890 de 2022. El nuevo texto es el siguiente:> Para aquellos PRST que hayan obtenido por primera vez permisos para el uso y explotación de espectro radioeléctrico para la prestación de servicios móviles terrestres en bandas utilizadas en Colombia para las IMT, les serán exigibles las condiciones de calidad definidas en el presente capítulo, según aplique, después de transcurrido un (1) año desde el inicio de la operación comercial.
RÉGIMEN DE CALIDAD PARA LOS SERVICIOS DE TELEVISIÓN.
GENERALIDADES.
ARTÍCULO 5.2.1.1. OBJETO Y ÁMBITO DE APLICACIÓN. <Artículo subrogado por el artículo 4 de la Resolución 6890 de 2022. El nuevo texto es el siguiente:> El CAPÍTULO 2 del TÍTULO V establece el régimen de calidad aplicable a todas las redes y las modalidades de servicios de televisión consagrados en la Ley 182 de 1995, independientemente de su clasificación, siendo de obligatorio cumplimiento para todos los operadores titulares del servicio con independencia de su régimen de habilitación.
PARÁGRAFO. Las redes de televisión abierta radiodifundida analógica y de Televisión Digital Terrestre (TDT) con el estándar DVB-T se excluyen del cumplimiento de las obligaciones descritas en el CAPÍTULO 2 del TÍTULO V de la presente resolución.
ARTÍCULO 5.2.1.2. TÉRMINOS. <Artículo subrogado por el artículo 4 de la Resolución 6890 de 2022. El nuevo texto es el siguiente:> Los siguientes términos, conceptos y siglas serán entendidos en este sentido, para efectos de interpretación del CAPÍTULO 2 del TÍTULO V de la presente resolución:
a. LDPC (Low Density Parity Check Decoder): Mecanismo de corrección de errores por comprobación de paridad de baja densidad.
b. Canal de TV: Secuencia de programas bajo el control de un operador de televisión.
c. Disponibilidad: Porcentaje de tiempo efectivo que una red de televisión se encuentra prestando el servicio correctamente.
d. Drop: Acometida, cable que conecta el TAP al abonado.
e. DTH (Direct To Home): Televisión satelital directa al hogar.
f. Eb/No (Energy per bit to Noise power spectral density ratio): relación entre energía por bit y densidad espectral de potencia de ruido.
g. Redes HFC (Hybrid Fiber Coaxial): Redes híbridas de fibra óptica y cable coaxial.
h. Intensidad de campo mínimo equivalente: Nivel de señal medio mínimo necesario para permitir la provisión del servicio garantizando una determinada probabilidad de recepción.
i. IPTV (Internet Protocol Television): Servicios multimedia, tales como televisión/vídeo/audio/texto/gráficos/data desarrollados sobre redes basadas en IP. Gestionadas para soportar los niveles requeridos de calidad de servicio (QoS), calidad de experiencia (QoE), seguridad, interactividad y confiabilidad.
j. Programa de TV: Conjunto de contenidos audiovisuales dotado de identidad propia, que constituye un elemento unitario dentro del esquema de programación de un canal de televisión.
k. Sector Nodal: Segmento de red parte en un nodo de fibra y termina en las acometidas de usuario.
l. STB (Set-Top-Box): Dispositivo encargado de la recepción y opcionalmente decodificación de señal de televisión analógica o digital, para luego ser mostrada en un televisor.
m. TAP: Derivador, punto de control y monitoreo.
OBLIGACIONES DE CALIDAD DE LOS OPERADORES DEL SERVICIO DE TELEVISIÓN.
ARTÍCULO 5.2.2.1. OBLIGACIONES GENERALES. <Artículo subrogado por el artículo 4 de la Resolución 6890 de 2022. El nuevo texto es el siguiente:> Todos los operadores titulares del servicio de televisión, sin importar la modalidad bajo la cual presten su servicio, deberán dar cumplimiento a las siguientes obligaciones:
1. Establecer los procedimientos y tareas necesarias para evaluar la calidad de servicio ofrecida a los usuarios, generando y presentando los reportes que se indican en los artículos 5.2.2.2, 5.2.2.3, 5.2.2.4, 5.2.2.5, 5.2.2.6, 5.2.2.7 y 5.2.3.1 del CAPÍTULO 2 del TÍTULO V y el Literal A del Formato T.2.1 de la Sección 2 del Capítulo 2 TÍTULO- REPORTES DE INFORMACIÓN.
2. Disponer los medios e implementar los sistemas de gestión y monitoreo del servicio que consideren adecuados para asegurar los indicadores de calidad de servicio y sustentar los niveles alcanzados en los reportes de calidad establecidos en el CAPÍTULO 2 del TÍTULO V de la presente resolución.
3. Mantener los registros de monitoreo y comportamiento de la red y del servicio, así como, la información fuente independientemente de los tratamientos estadísticos que requiera la información para la presentación de los resultados, como mínimo, por tres (3) periodos de reporte, para la posible verificación de los mismos por parte de las autoridades de vigilancia, inspección y control competentes y como insumo para análisis regulatorios que la CRC pueda adelantar.
4. Presentar un informe semestral que deberá incluir un resumen de todas las incidencias producidas en el servicio, sin perjuicio de otra información que pueda ser requerida por las autoridades de vigilancia, inspección y control. Este informe debe ser presentado por los operadores del servicio de televisión que cuenten con más de doce mil quinientos (12.500) suscriptores a nivel nacional al inicio del periodo de reporte, dentro de los treinta (30) días siguientes a la terminación del semestre. En todo caso, los demás operadores del servicio de televisión deberán tener disponible esta información para consulta de las mencionadas autoridades.
PARÁGRAFO. Se entiende por incidencia aquel suceso que conlleve a la interrupción, de forma temporal, de todas las señales que provea el operador.
ARTÍCULO 5.2.2.2. CONDICIONES PARA CONTENIDOS DE ALTA DEFINICIÓN - HD. <Artículo subrogado por el artículo 4 de la Resolución 6890 de 2022. El nuevo texto es el siguiente:> Los operadores de televisión deberán garantizar la tasa de transmisión apropiada para que los canales anunciados como HD sean visualizados en el receptor del televidente como mínimo con las siguientes condiciones:
a. La resolución vertical de la componente de video debe ser igual o superior a 720 líneas activas.
b. La relación de aspecto deberá ser 16:9.
Los operadores no podrán reducir la calidad de las señales que los proveedores del contenido les entreguen para su transmisión o retransmisión.
ARTÍCULO 5.2.2.3. INDICADORES DE CALIDAD DEL SERVICIO DE TELEVISIÓN ABIERTA RADIODIFUNDIDA DIGITAL TERRESTRE. <Artículo subrogado por el artículo 4 de la Resolución 6890 de 2022. El nuevo texto es el siguiente:> Todos los operadores titulares del servicio de televisión abierta radiodifundida digital terrestre, tanto privados como públicos, de cubrimiento nacional, regional o local, deberán medir, calcular y reportar al sistema de información COLOMBIA TIC el Reporte de Disponibilidad del Servicio QoS1, de acuerdo con la metodología definida en el ARTÍCULO 5.2.3.1 del CAPÍTULO 2 del TÍTULO V y el Literal B del Formato T.2.1 del TÍTULO REPORTES DE INFORMACIÓN.
ARTÍCULO 5.2.2.4. INDICADORES DE CALIDAD DEL SERVICIO DE TELEVISIÓN POR CABLE HFC ANALÓGICO. <Artículo derogado por el artículo 137 de la Resolución 7811 de 2025>
ARTÍCULO 5.2.2.5. INDICADORES DE CALIDAD DEL SERVICIO DE TELEVISIÓN POR CABLE HFC DIGITAL. <Artículo subrogado por el artículo 4 de la Resolución 6890 de 2022. El nuevo texto es el siguiente:> Todos los operadores titulares del servicio de televisión que soporten su servicio en redes cableadas del tipo HFC y con tecnología digital deberán medir, calcular y reportar la disponibilidad del servicio QoS1, de acuerdo con la metodología definida en el ARTÍCULO 5.2.3.1 del CAPÍTULO 2 del TÍTULO V y el Literal B del Formato T.2.1 del TÍTULO REPORTES DE INFORMACIÓN.
PARÁGRAFO. Los operadores titulares del servicio de televisión que soporten su servicio en redes cableadas del tipo HFC y con tecnología digital que cuenten con menos de 12.500 suscriptores o asociados a nivel nacional al inicio de los períodos de reporte, no estarán obligados a presentar los reportes periódicos definidos en el presente CAPÍTULO, lo anterior sin perjuicio que la autoridad de vigilancia, inspección y control en ejercicio de sus facultades pueda realizar o solicitar las mediciones para verificar el cumplimiento de los criterios de calidad definidos en el CAPÍTULO 2 del TÍTULO V.
ARTÍCULO 5.2.2.6. INDICADORES DE CALIDAD DEL SERVICIO DE TELEVISIÓN SATELITAL. <Artículo subrogado por el artículo 4 de la Resolución 6890 de 2022. El nuevo texto es el siguiente:> Todos los operadores titulares del servicio de televisión satelital deberán medir, calcular y reportar la disponibilidad del servicio QoS1, de acuerdo con la metodología definida en el ARTÍCULO 5.2.3.1 del CAPÍTULO 2 del TÍTULO V y el Literal B del Formato T.2.1 del TÍTULO REPORTES DE INFORMACIÓN.
PARÁGRAFO. Los operadores titulares del servicio de televisión satelital y que cuenten con menos de 12.500 suscriptores o asociados a nivel nacional al inicio de los periodos de reporte, no estarán obligados a presentar los reportes periódicos definidos en el presente CAPÍTULO, lo anterior sin perjuicio que la autoridad de vigilancia, inspección y control en ejercicio de sus facultades pueda realizar o solicitar las mediciones para verificar el cumplimiento de los criterios de calidad definidos en el CAPÍTULO 2 del TÍTULO V.
ARTÍCULO 5.2.2.7. INDICADORES DE CALIDAD DEL SERVICIO DE TELEVISIÓN CON TECNOLOGÍA IPTV. <Artículo subrogado por el artículo 4 de la Resolución 6890 de 2022. El nuevo texto es el siguiente:> Todos los operadores titulares del servicio de televisión por suscripción y comunitaria cerrada sin ánimo de lucro que soporten el servicio utilizando tecnología IPTV deberán medir, calcular y reportar la disponibilidad del servicio QoS1, de acuerdo con la metodología definida en el ARTÍCULO 5.2.3.1 del CAPÍTULO 2 del TÍTULO V y el Literal B del Formato T.2.1 del TÍTULO REPORTES DE INFORMACIÓN.
PARÁGRAFO. Los operadores titulares del servicio de televisión que soporten el servicio utilizando tecnología IPTV y que cuenten con menos de 12.500 suscriptores o asociados a nivel nacional al inicio de los períodos de reporte, no estarán obligados a presentar los reportes periódicos definidos en el presente CAPÍTULO, lo anterior sin perjuicio que la autoridad de vigilancia, inspección y control en ejercicio de sus facultades pueda realizar o solicitar las mediciones para verificar el cumplimiento de los criterios de calidad definidos en el CAPÍTULO 2 del TÍTULO V.
METODOLOGÍAS PARA MEDICIÓN.
ARTÍCULO 5.2.3.1. METODOLOGÍA PARA LA MEDICIÓN DE LA DISPONIBILIDAD DEL SERVICIO (QOS1). <Artículo subrogado por el artículo 4 de la Resolución 6890 de 2022. El nuevo texto es el siguiente:>
Generalidades
La disponibilidad del servicio se define como el porcentaje de tiempo que una red de televisión se encuentra disponible respecto al tiempo total de emisión previsto, y permite conocer el tiempo efectivo en que una red se encuentra prestando el servicio correctamente.
Metodología
Se definen dos metodologías diferentes para calcular el indicador de disponibilidad del servicio para: (i) operadores de televisión radiodifundida y (ii) operadores de televisión por cable HFC, IPTV y Satelital. En ambos casos se utiliza el mismo principio de proporcionar el tiempo efectivo que una red de televisión se encuentra prestando el servicio correctamente, y ponderando cada falla del servicio por el porcentaje de usuarios afectados.
Disponibilidad para TV radiodifundida
La disponibilidad del servicio para un operador de televisión radiodifundida se calcula en función de la disponibilidad de los transmisores de la red, de acuerdo con la siguiente fórmula:

Donde:
| número total de transmisores de la red. | |
| tiempo en servicio del transmisor | |
| tiempo previsto de emisión del transmisor referido al semestre reportado. | |
| habitantes cubiertos por el transmisor | |
| sumatoria de habitantes cubiertos a título individual por cada uno de los transmisores de la red. |
Una estación de transmisión de televisión radiodifundida se considera disponible cuando se encuentra proporcionando el servicio de acuerdo con las condiciones de transmisión para las que ha sido planificada y autorizada en cumplimiento de la normativa vigente. A efectos de cómputo, el servicio de televisión radiodifundida se considerará no disponible cuando concurran uno o varios de los siguientes hechos:
1. La potencia emitida que se encuentre por debajo de los niveles que permita asegurar la intensidad de campo mínima para que el 75% de los usuarios cubiertos puedan acceder al servicio de acuerdo con el estudio técnico del centro transmisor aprobado. Para lo anterior, los operadores de televisión abierta radiodifundida deberán remitir al MinTIC, la información de la potencia para todas las estaciones donde se pueda identificar la potencia mínima para asegurar la prestación del servicio. La información remitida deberá contener lo siguiente:
| 1 | 2 | 3 | 4 |
| Nombre de la Estación | Potencia TX | Usuarios cubiertos por la estación | Potencia mínima de TX para cubrir hasta el 75% de la población |
Donde:
1. Nombre de la Estación: Corresponde al nombre de la estación de instalación de televisión abierta radiodifundida.
2. Potencia TX: Corresponde a la potencia aprobada en el estudio técnico del centro transmisor.
3. Usuarios cubiertos por la estación: Corresponde a la cantidad de usuarios cubiertos por la estación.
4. Potencia mínima de TX para cubrir hasta el 75% de los usuarios: Potencia TX para que la intensidad de campo sea tal que el 75% de usuarios puedan acceder al servicio de acuerdo con el estudio técnico del centro transmisor.
Para lo anterior, los operadores deberán tener presente por cada estación lo siguiente:
I. Los municipios cubiertos
II. La cantidad de usuarios que cubre la estación por cada municipio (teniendo en cuenta la población del último censo oficial realizado por el DANE).
III. La intensidad de campo mínimo para cada municipio para que los usuarios puedan acceder al servicio de manera correcta de acuerdo con lo aprobado en el estudio técnico.
Lo anterior deberá estar acorde con lo presentado y aprobado en el estudio técnico. A partir de la anterior información el operador de televisión abierta radiodifundida deberá simular cómo disminuye la intensidad de campo a medida que se disminuye la potencia del centro del transmisor hasta llegar a la mínima potencia necesaria para cubrir una población mayor o igual al 75% de la total cubierta por la estación. La población será calculada por la sumatoria de la totalidad de la población de los municipios cubiertos por la estación. Se entenderá que se afecta la población total de un municipio cuando la intensidad de campo resultante de la simulación disminuya de manera tal que los usuarios de dicho municipio no puedan acceder al servicio.
Los operadores de televisión abierta radiodifundida deberán entregar la información para estaciones nuevas de manera simultánea con la presentación del estudio técnico al que hace referencia la Resolución ANTV 474 de 2019 o aquella norma que la modifique, adicione o sustituya.
2. Alguno de los canales de televisión ofertados por el operador no se transmite.
No se considerará indisponibilidad del servicio cualquiera de las situaciones anteriores, en aquellos casos en los que la pérdida de servicio sea originada por circunstancias de fuerza mayor, caso fortuito, hecho de un tercero o dentro de una ventana de mantenimiento preventivo, para lo cual los operadores de televisión abierta radiodifundida deberán informar a la Dirección de Vigilancia, Inspección y Control del MinTIC, a través de los formatos o mecanismos que este Ministerio determine, con al menos 7 días antes de ejecutar el mantenimiento preventivo que se va a realizar. Si el mantenimiento preventivo no es informado se entenderá el servicio como indisponible.
Igualmente, el reporte deberá incluir el cálculo de disponibilidad incluyendo las fallas causadas por interferencias, fuerza mayor, caso fortuito, hecho de un tercero o mantenimientos preventivos y el cálculo sin incluir estas fallas, de modo que sean comparables los resultados en ambas circunstancias.
Indisponibilidad para TV por cable, IPTV y Satelital
La indisponibilidad del servicio para un operador de televisión por cable HFC, IPTV y Satelital se calcula en función del número de cortes del servicio, su duración y el número de usuarios afectados de acuerdo con la siguiente fórmula:

Donde:
| número de cortes del servicio en el semestre reportado. | |
| duración del corte del servicio | |
| número de usuarios afectados por el corte del servicio | |
| tiempo de observación referido al semestre reportado. | |
| número total de usuarios del servicio en el momento del corte |
Se considerará indisponibilidad del servicio todo corte en la prestación del servicio a los usuarios por motivos que sean atribuibles al operador. No se considerará indisponibilidad del servicio cualquier corte que sea debido a circunstancias de fuerza mayor o caso fortuito, o hecho de un tercero aunque estos deben de ser reportados igualmente.
Valores objetivo
La Tabla 1 muestra los valores objetivos mínimos para el indicador del servicio de televisión.
Tabla 1: Valores objetivos mínimos para el indicador disponibilidad o indisponibilidad del servicio.
| Modalidad Prestación Servicio | Valor Objetivo |
| Televisión radiodifundida | Disponibilidad Mínima: Media del 99% sobre todas las estaciones y 99,8% para estaciones con una cobertura superior a 100.000 habitantes. |
| Televisión por cable (HFC e IPTV) | Indisponibilidad Máxima: 1% |
| Televisión por satélite | Indisponibilidad Máxima: 1% |
Para la definición de los plazos de ejecución de los planes de mejora presentados, se deberá dar cumplimiento a la siguiente tipificación:
| CATEGORÍA DE PLAN | DESCRIPCIÓN | PLAZO DE EJECUCIÓN |
| Plan corto plazo | Adecuación del plan de mantenimiento preventivo, ajuste, cambio o reconfiguración de parámetros, ajuste del inventario de equipos y repuestos, cualquier tipo de optimización en la cabecera del canal, cambio preventivo de algún(os) elemento(s) que presente(n) falla, y/o demás actividades que pueden ser realizadas directamente por el operador del servicio de televisión abierta radiodifundida digital terrestre o empresas colaboradoras. | De 15 a 60 días calendario |
| Plan mediano plazo | Ajuste de los tramos de las torres y sistemas radiantes, guías de onda, conectores, racks de equipos, antenas de recepción de señal, que no requieran refuerzo de infraestructura, renegociación de las condiciones de instalación, ampliación de cobertura o estudios técnicos de reingeniería, adquisición, sustitución, instalación y puesta en marcha de equipos de respaldo de energía eléctrica, así como las actividades inherentes en redes de media tensión realizadas en las estaciones de televisión abierta radiodifundidas. | De 61 a 150 días calendario |
| Plan largo plazo | En esta categoría solo podrán ser clasificados aquellos planes que contemplen la instalación de nuevos sitios de estaciones de difusión u obra civil que requiera refuerzo de infraestructura o renegociación de las condiciones de instalación inicialmente pactadas, en los cuales sea necesaria la consecución de nuevos terrenos o la realización de obra civil para el soporte de la infraestructura activa. | De 151 a 365 días calendario |
Durante la ejecución del plan de mejora presentado, el operador de televisión abierta radiodifundida no estará obligado al cumplimiento del indicador de disponibilidad en las zonas geográficas cubiertas por la estación donde se presentó el incumplimiento del indicador.
Los planes de mejora presentados por el operador del servicio de televisión abierta radiodifundida deberán garantizar que no se supere nuevamente el valor objetivo del indicador de que trata el artículo 5.2.3.1., para dos periodos consecutivos de medición posteriores a la finalización de la ejecución del plan de mejora, dado que la reiteración de superación de indicadores en el citado periodo es causal de incumplimiento. Cada plan deberá ser reportado, a través de los formatos o mecanismos que MinTIC determine, dentro de los quince (15) días calendario siguientes a la entrega del reporte establecido en el artículo 5.2.2.3.
La Dirección de Vigilancia, Inspección y Control del MinTIC verificará: i) la entrega oportuna del plan, ii) su ejecución, y iii) que la estación no supere, dentro de los dos periodos de medición siguientes consecutivos a la finalización de la ejecución del plan, los valores objetivo del indicador de que trata el artículo 5.2.3.1.
ESPECIFICACIONES TÉCNICAS APLICABLES A LA RED Y A LOS RECEPTORES DEL SERVICIO DE TELEVISIÓN DIGITAL TERRESTRE - TDT- EN COLOMBIA
GENERALIDADES
ARTÍCULO 5.3.1.1. OBJETO. El CAPÍTULO 3 del TÍTULO V tiene como objeto establecer condiciones técnicas mínimas para los receptores del servicio de Televisión Digital Terrestre -TDT- en Colombia bajo el estándar DVB-T2 adoptado mediante el Acuerdo CNTV 004 de 2011, así como las características técnicas mínimas de la red de TDT bajo el mencionado estándar, con base en las normas y/o recomendaciones aplicables al mismo.
(Resolución CRC 4047 de 2012, artículo 1.1)
CONDICIONES TÉCNICAS APLICABLES A LA RED PARA LA PRESTACIÓN DEL SERVICIO DE TDT BAJO EL ESTÁNDAR DBV-T2
ARTÍCULO 5.3.2.1. PLANEACIÓN Y DESPLIEGUE DE RED. En línea con la adopción previa del estándar DVB-T2 contenida en el Acuerdo CNTV 004 de 2011, se adoptan para efectos de la planeación y el funcionamiento de las redes para la prestación del servicio de televisión radiodifundida en TDT los siguientes documentos:
| Documento o Recomendación | Nombre | Versión y/o fecha |
| ETSI EN 302 755 | Frame structure channel coding and modulation for a second generation digital terrestrial television broadcasting system (DVB-T2) | V1.3.1 (04/12) |
| ETSI TS 102 831 | Implementation guidelines for a second generation digital terrestrial television broadcasting system (DVB-T2) | V1.2.1 (08/12) |
| UIT-R BT.1877-1 | Error-correction, data framing, modulation and emission methods for second generation of digital terrestrial television broadcasting systems | (08/2012) |
| EBU – TECH 3348 | Frequency and Network Planning Aspects of DVB-T2 | V2.0 (05/12) |
PARÁGRAFO. Los operadores del servicio de Televisión Digital Terrestre radiodifundida deberán aplicar las especificaciones técnicas contenidas en las citadas recomendaciones, y adaptar lo pertinente para canalización de 6 MHz. Para lo anterior, deberán utilizar los procedimientos que se estimen necesarios, así como validar y ajustar lo pertinente a partir de las pruebas a las que haya lugar.
(Resolución CRC 4047 de 2012, artículo 2.1)
ARTÍCULO 5.3.2.2. PROBABILIDAD DE RECEPCIÓN. En materia de probabilidad de recepción, los operadores del servicio de Televisión Digital Terrestre deberán garantizar como mínimo un nivel "Aceptable" para recepción fija en sus respectivas zonas de cobertura sólo para el canal principal digital, tomando como referencia para el efecto los criterios definidos en la Sección 3 y en el Anexo 1 de la recomendación EBU-TECH 3348. Lo anterior de acuerdo con las obligaciones de cubrimiento establecidas en el respectivo título habilitante.
PARÁGRAFO. Las condiciones aplicables a la probabilidad de recepción serán analizadas por parte de la CRC a más tardar dos (2) años después de la entrada en vigencia de la presente resolución (Resolución CRC 4047 de 2012), a partir de las mediciones que sobre el particular se efectúen por parte de la autoridad de control y vigilancia y por los operadores del servicio, y en forma acorde con el avance en despliegue de cobertura de la TDT en el país.
(Resolución CRC 4047 de 2012, artículo 2.2), modificada por la Resolución 4337 de 2013
ARTÍCULO 5.3.2.3. CARACTERÍSTICAS TÉCNICAS MÍNIMAS DE EQUIPOS DE TRANSMISIÓN. Los equipos transmisores utilizados en la prestación del servicio de Televisión Digital Terrestre deberán cumplir con las siguientes características mínimas bajo el estándar DVB-T2 para garantizar la correcta operación de la red y la calidad del servicio:
CARACTERÍSTICAS TÉCNICAS MÍNIMAS DE LOS TRANSMISORES
| Relación de Error de Modulación (MER) | = 33 dB |
| Estabilidad en Frecuencia | +/- 100 Hz |
| Nivel de shoulder antes del filtro de máscara | < -36 dB en Fc ± 3.2 MHz |
(Resolución CRC 4047 de 2012, artículo 2.3)
ARTÍCULO 5.3.2.4. INTENSIDAD DE CAMPO. La configuración de la red por parte de los operadores del servicio de Televisión Digital Terrestre deberá garantizar que los valores medios mínimos de intensidad de campo se cumplan de conformidad con lo dispuesto en las tablas y/o fórmulas contenidas en la Sección 3.1 y Anexo 1 del documento EBU-TECH 3348, utilizando los procedimientos necesarios para realizar los ajustes de canalización de 8 MHz a 6 MHz de conformidad con lo referido en dicho documento. De manera complementaria, para el cálculo de la relación portadora a ruido se deberá seguir el procedimiento establecido en la Sección 2.5 del mismo documento.
(Resolución CRC 4047 de 2012, artículo 2.4 - modificado por la Resolución CRC 4337 de 2013)
ARTÍCULO 5.3.2.5. ACTUALIZACIÓN DEL SOFTWARE DE EQUIPOS TERMINALES. Los operadores del servicio de Televisión Digital Terrestre deberán proporcionar la capacidad necesaria para la actualización del software de los equipos terminales especificada en la norma ETSI TS 102 006. Para tal propósito, los fabricantes de los equipos terminales coordinarán con los operadores la actualización sin que existan exclusividades en la relación operador-fabricante.
(Resolución CRC 4047 de 2012, artículo 2.5)
ARTÍCULO 5.3.2.6. INFORMACIÓN A AGREGAR A LA TRAMA DE TRASMISIÓN. La información que debe ser agregada a la trama de transmisión por parte de los Operadores del servicio de Televisión Digital Terrestre deberá incluir como mínimo lo siguiente:
1. Guía electrónica de programación (Electronic Program Guide)
2. Identificador de red original (Original_Network_ID)
3. Identificador de red (Network_ID)
4. Identificador de trama de transporte (Transport Stream_ID)
5. Identificador de servicio (Service_ID)
Las especificaciones de la estructura de los identificadores antes indicados, corresponden a las expuestas en las normas ETSI EN 300 468 v1.13.1, ETSI TS 101 162 v1.5.1 y ETSI TS 101 211 v1.11.2, o aquellas que la modifiquen o sustituyan.
Los identificadores serán administrados por la CRC. Para lo anterior, los Operadores de TDT deberán efectuar la solicitud de asignación de dichos recursos de identificación a la CRC, de conformidad con el procedimiento establecido para tal fin.
Hasta tanto la CRC defina las condiciones de administración y uso del número de canal lógico LCN (Logical Channel Number), definido en la norma CENELEC EN 62216:2011, dicho parámetro no deberá ser agregado a la trama de transmisión por los Operadores en las redes de Televisión Digital Terrestre.
(Resolución CRC 4047 de 2012, artículo 2.6 - modificado por la Resolución 4599 de 2014)
ARTÍCULO 5.3.2.7. MÁRGENES DE PROTECCIÓN ENTRE ESTACIONES DEL SERVICIO DE RADIODIFUSIÓN DE TELEVISIÓN. Se establecen los márgenes de protección frente a interferencias en DVB-T2 de señales DVB-T2, ISDB-Tb y NTSC-M, los cuales se relacionan en el ANEXO 5.4 del TÍTULO DE ANEXOS.
Dichos parámetros podrán ser revisados y actualizados en la regulación, de conformidad con los análisis, y mediciones realizados en campo por parte de los operadores del servicio y/o por las autoridades competentes.
(Resolución CRC 4047 de 2012, artículo 2.7 - adicionado por la Resolución CCRC 4337 de 2013)
ARTÍCULO 5.3.2.8. LÍMITES PARA LAS EMISIONES ESPURIAS. Los equipos de transmisión utilizados en la prestación del servicio de Televisión Digital Terrestre deberán cumplir con la norma ETSI EN 302 296-2 Sección 4.2.2 en cuanto al límite de emisiones espurias.
(Resolución CRC 4047 de 2012, artículo 2.8 - adicionado por la Resolución CRC 4337 de 2013)
ARTÍCULO 5.3.2.9. MÁSCARAS ESPECTRALES. Los equipos de transmisión utilizados en la prestación del servicio de Televisión Digital Terrestre deberán cumplir con los límites de emisiones fuera de banda para máscaras críticas establecidos en el ANEXO 5.5 del TÍTULO DE ANEXOS.
PARÁGRAFO. Los operadores del servicio de Televisión Digital Terrestre podrán utilizar equipos de transmisión que cumplan con los límites de emisiones fuera de banda para máscaras no críticas establecidos en el ANEXO 5.5 del TÍTULO DE ANEXOS siempre y cuando el estudio técnico de viabilidad de la estación de TDT demuestre que no existe interferencia perjudicial al utilizar la máscara no crítica y dicho estudio sea aprobado por la Agencia Nacional del Espectro.
(Resolución CRC 4047 de 2012, artículo 2.9 - adicionado por la Resolución CRC 4337 de 2013)
CONDICIONES TÉCNICAS APLICABLES A EQUIPOS RECEPTORES PARA DVB-T2
ARTÍCULO 5.3.3.1. ACRÓNIMOS. Para lo dispuesto en la presente sección, se relacionan a continuación los acrónimos utilizados aplicables a las condiciones técnicas de los equipos receptores:
i. FEF: Future Extension Frame - extensión de trama futura.
ii. FFT: Fast Fourier Transform - Transformada rápida de Fourier
iii. HbbTV: Hybrid Broadcast Broadband TV - Difusión Híbrida de TV de banda ancha
iv. HDMI: High-Definition Multimedia Interface - Interfaz multimedia de alta definición
v. MHP: Multimedia Home Platform - Plataforma de hogar multimedia
vi. MISO: Multiple Input Single Output - Múltiple entrada, una salida
vii. PAPR: Peak to Average Power Ratio - Relación de energía Pico a promedio
viii. PLP: Physical Layer Pipe - Flujo de capa física
ix. SSU: System Software Update - Actualización de software del sistema
(Resolución CRC 4047 de 2012, artículo 3.1)
ARTÍCULO 5.3.3.2. CONDICIONES TÉCNICAS APLICABLES A TELEVISORES. Las características técnicas mínimas que deben cumplir los televisores que posean decodificador interno para el servicio de Televisión Digital Terrestre bajo el estándar DVB-T2 adoptado en Colombia, son las siguientes:
5.3.3.2.1. Aspectos obligatorios:
a. Sintonizador de Televisión Digital Terrestre estándar DVB-T2, mínimo en versión 1.3.1 del estándar.
b. Canalización en 6 MHz.
c. Sistema de vídeo digital MPEG-4 H.264 parte 10.
d. Capacidad para soportar los modos de transmisión de una sola PLP o múltiples PLPs transmitidas por un canal radioeléctrico.
e. Capacidad para demodular señales de televisión DVB-T2:
i. En transmisión MISO.
ii. Con constelaciones rotadas.
f. Permitir la decodificación de modos extendidos de FFT.
g. Soportar técnicas de PAPR.
h. Soportar identificación de tramas FEF.
i. Soportar los patrones de portadoras piloto (PP1-PP7).
j. Sintonizador de televisión analógica estándar NTSC-M.
k. Bandas de operación:
i. VHF: 54 - 72 MHz.
76 - 88 MHz.
174 - 216 MHz.
ii. UHF: 470 - 698 MHz.
l. Soportar Guía Electrónica de Programación (EPG) de acuerdo con lo establecido en las normas ETSI TR 101 211 y EN 300 468.
m. Video:
i. Capacidad de recibir las señales con resolución 1080i, 1080p o 720p.
ii. Ajustables a la pantalla propia del televisor las relaciones de aspecto 4:3 y 16:9 (Anamórfico, Pillar Box y Letter Box).
n. Audio:
i. Capacidad de decodificar MPEG-1 y/o MPEG-2 Backward Compatible, Layer I y II en los siguientes modos:
1. ISO/IEC 11172-3[9] single channel.
2. ISO/IEC 11172-3[9] joint stereo.
3. ISO/IEC 11172-3[9] stereo.
ii. Capacidad de realizar Downmix a par estéreo de audio en formato AC-3 (ETSI TS 102 366).
o. Alimentación 120V - 60Hz.
p. Entrada RF: Conector tipo F de 75-.
q. Interfaz HDMI.
r. Función de Subtitulación (ETSI EN 300 743).
s. Capacidad para actualizar el software del sistema bajo el esquema OAD (On Air Download) de acuerdo con lo establecido en DVB-SSU (ETSI TS 102 006).
t. Los receptores no deben estar preconfigurados para ordenar los canales por número de canal lógico. Los receptores deberán proporcionar una funcionalidad para poder cambiar el orden de los canales.
5.3.3.2.2. Aspectos opcionales:
a. Common Interface (Acceso condicional).
b. Decodificación de audio: Enhanced AC-3, MPEG-4 AAC, MPEG-4 HE-AAC.
c. Transcodificar el formato E-AC-3 para AC-3 a una tasa de bits de 640 Kbps para salida en la interface S/PDIF (coaxial u óptica).
d. Pass-Through para los siguientes formatos:
i. AC-3
ii. E-AC-3 en interfaz HDMI, caso en el cual esta última debe cumplir la norma CEA 861-C (o superior), para indicar la presencia de la señal E-AC-3.
e. Interactividad MHP y HbbTV.
f. Capacidad para permitir la identificación de transmisores en receptores de uso profesional (ETSI TS 102 992).
PARÁGRAFO. Sin perjuicio del cumplimiento de las obligaciones adicionales de información y publicidad a los usuarios establecidas por la Ley y demás autoridades competentes, con el fin de garantizar que el usuario esté informado de las condiciones técnicas de los receptores de televisión (Televisor y/o Set Top Box -STB) que se venda, distribuya o comercialice en el país se le deberá fijar tanto al equipo exhibido como a todas las cajas del producto, en lugar visible a primera vista por parte del usuario, el aviso informativo que corresponda según las siguientes reglas:
1) Si se trata de un receptor de televisión que cuenta con un decodificador interno para el servicio de Televisión Digital Terrestre compatible con el estándar DVB-T2 versión 1.3.1 adoptado en el país, se le deberá fijar una copia exacta del aviso No. 1 del ANEXO 5.6 del TÍTULO DE ANEXOS con las características asociadas al mismo.
2) Si se trata de un receptor de televisión que no cuente con un decodificador interno para el servicio de Televisión Digital Terrestre compatible con el estándar DVB-T2 versión 1.3.1 adoptado en el país, se le deberá fijar una copia exacta del aviso No. 2 del ANEXO 5.6 del TÍTULO DE ANEXOS con las características asociadas al mismo.
Para la comercialización de ofertas a través de Internet, se debe presentar el aviso correspondiente junto al equipo ofrecido, en un tamaño que permita claramente identificar si el receptor ofrecido tiene o no un decodificador de señales de TDT bajo el estándar DVB-T2, versión 1.3.1, adoptado en el país.
Cualquier circunstancia que impida que el usuario vea el aviso o que de cualquier manera impida que el usuario se entere de la información contenida en él, se entenderá como un incumplimiento de esta disposición.
(Resolución CRC 4047 de 2012, artículo 3.2 - modificado por la Resolución CRC 4672 de 2015)
ARTÍCULO 5.3.3.3. CONDICIONES TÉCNICAS APLICABLES A DECODIFICADORES EXTERNOS O SET TOP BOXES (STB). Las características técnicas mínimas que deben cumplir los STB para decodificar señales de TDT bajo el estándar DVB-T2 adoptado en Colombia, son las siguientes:
5.3.3.3.1. Aspectos obligatorios:
a. Sintonizador de Televisión Digital Terrestre estándar DVB-T2, mínimo en versión 1.3.1 del estándar.
b. Canalización en 6 MHz.
c. Sistema de vídeo digital MPEG-4 H.264 parte 10.
d. Capacidad para soportar los modos de transmisión de una sola PLP o múltiples PLPs transmitidas por un canal radioeléctrico.
e. Capacidad para demodular señales de televisión DVB-T2:
i. En transmisión MISO.
ii. Con constelaciones rotadas.
f. Permitir la decodificación de modos extendidos de FFT.
g. Soportar técnicas de PAPR.
h. Soportar identificación de tramas FEF.
i. Soportar los patrones de portadoras piloto (PP1-PP7).
j. Sintonizador de televisión analógica estándar NTSC-M.
k. Bandas de operación:
i. VHF: 54 - 72 MHz.
76 - 88 MHz.
174 - 216 MHz.
ii. UHF: 470 - 698 MHz.
l. Soportar Guía Electrónica de Programación (EPG) de acuerdo con lo establecido en las normas ETSI TR 101 211 y EN 300 468.
m. Video:
i. Capacidad de recibir las señales con resolución 1080i, 1080p o 720p, y entregar en sus salidas una señal de vídeo de igual resolución.
ii. Capacidad de manejar señales radiodifundidas con relaciones de aspecto 4:3 y 16:9 (Anamórfico, Pillar Box y Letter Box).
n. Audio:
i. Capacidad de decodificar MPEG-1 y/o MPEG-2 Backward Compatible, Layer I y II en los siguientes modos:
1. ISO/IEC 11172-3[9] single channel.
2. ISO/IEC 11172-3[9] joint stereo.
3. ISO/IEC 11172-3[9] stereo.
ii. Capacidad de realizar Downmix a par estéreo de audio en formato AC-3 (ETSI TS 102 366).
o. Pantalla tipo display para indicar el canal, o la función OSD (On Screen Display) para indicar la información relevante.
p. Búsqueda de canales automática.
q. Alimentación 120V - 60Hz.
r. Entrada RF: conector tipo F de 75O.
s. Salidas:
i. Conector tipo F de 75O trasmodulada NTSC-M en CH 3 o 4.
ii. Vídeo compuesto (CVBS).
iii. Conector RF Loop-Through tipo F de 75O.
iv. Interfaz HDMI.
t. Función de Subtitulación (ETSI EN 300 743).
u. Capacidad para actualizar el software del sistema bajo el esquema OAD (On Air Download) de acuerdo con lo establecido en DVB-SSU (ETSI TS 102 006).
5.3.3.3.2. Aspectos opcionales:
a. Salidas: vídeo por componentes (YPbPr), S-Video.
b. Common Interface (Acceso condicional).
c. Decodificación de audio: Enhanced AC-3, MPEG-4 AAC, MPEG-4 HE-AAC.
d. Transcodificar el formato E-AC-3 para AC-3 a una tasa de bits de 640 Kbps para salida en la interface S/PDIF (coaxial u óptica).
e. Pass-Through para los siguientes formatos:
i. AC-3
ii. E-AC-3 en interfaz HDMI, caso en el cual esta última debe cumplir la norma CEA 861-C (o superior), para indicar la presencia de la señal E-AC-3.
f. Interactividad MHP y HbbTV.
g. Capacidad para permitir la identificación de transmisores en receptores de uso profesional (ETSI TS 102 992).
(Resolución CRC 4047 de 2012, artículo 3.3 - modificado por la Resolución CRC 4337 de 2013)
ARTÍCULO 5.3.3.4. CONDICIONES TÉCNICAS APLICABLES A EQUIPOS RECEPTORES DVB-T2 PARA SERVICIOS MÓVILES. Las características técnicas mínimas que deben cumplir los receptores DVB-T2 para servicios de TDT móvil bajo el estándar DVB-T2 adoptado en Colombia, son las siguientes:
5.3.3.4.1. Aspectos Obligatorios:
a) Sintonizador de Televisión Digital Terrestre DVB-T2 que soporte DVB-T2 Lite (mínimo la versión 1.3.1 del estándar).
b) Canalización en 6 MHz.
c) Sistema de vídeo digital MPEG-4 H.264 parte 10.
d) Capacidad para soportar los modos de transmisión de una sola PLP o múltiples PLPs transmitidas por un canal radioeléctrico.
e) Capacidad para demodular señales de televisión DVB-T2:
i. En transmisión MISO.
ii. Con constelaciones rotadas.
f) Permitir la decodificación de modos extendidos de FFT.
g) Soportar técnicas de PAPR.
h) Soportar identificación de tramas FEF.
i) Bandas de operación:
i. UHF: 470 - 698 MHz.
j) Soportar Guía Electrónica de Programación (EPG) de acuerdo con lo establecido en las normas ETSI TR 101 211 y EN 300 468.
k) Audio:
i. Capacidad de decodificar MPEG-1 y/o MPEG-2 Backward Compatible, Layer I y II en los siguientes modos:
1. ISO/IEC 11172-3[9] single channel.
2. ISO/IEC 11172-3[9] joint stereo.
3. ISO/IEC 11172-3[9] stereo.
ii. Capacidad de realizar Downmix a par estéreo de audio en formato AC-3 (ETSI TS 102 366).
5.3.3.4.2. Aspectos Opcionales:
a) Common Interface (Acceso Condicional).
(Resolución CRC 4047 de 2012, artículo 3.4 - adicionado por la Resolución CRC 4337 de 2013)
DISPOSICIONES FINALES
ARTÍCULO 5.3.4.1. INCLUSIÓN DE CARACTERÍSTICAS TÉCNICAS ADICIONALES. La Comisión de Regulación de Comunicaciones, en coordinación con otras autoridades, dispondrá de espacios de discusión formal de nuevas temáticas que se estime necesario abordar en el futuro para efectos precisar aspectos técnicos detallados que se identifiquen necesarios para el correcto despliegue y operación de la Televisión Digital Terrestre, y adoptará o modificará en caso pertinente las disposiciones regulatorias a las que haya lugar sobre esta materia.
(Resolución CRC 4047 de 2012, artículo 4.1)
RÉGIMEN DE CALIDAD DE LOS SERVICIOS POSTALES QUE NO HACEN PARTE DEL SERVICIO POSTAL UNIVERSAL.
DISPOSICIONES GENERALES.
ARTÍCULO 5.4.1.1. ÁMBITO Y OBJETO DE APLICACIÓN. <Artículo subrogado por el artículo 3 de la Resolución 6494 de 2022. El nuevo texto es el siguiente:> Este capítulo tiene por objeto definir los parámetros, fijar los indicadores y las metas de calidad que deben cumplir los operadores de servicios postales de Mensajería Expresa, Servicios Postales de Pago que presten el servicio de giros nacionales, y el Operador Postal Oficial que presta servicios de correo que no hacen parte del Servicio Postal Universal (SPU), así como establecer el modelo único para las pruebas de entrega para los servicios postales que así lo requieran.
Las disposiciones contenidas en el presente capítulo referentes al modelo único de pruebas de entrega y a los motivos de devolución, serán aplicables a los servicios de Correo que no hacen parte del SPU, Mensajería Expresa y Servicios Postales de Pago, de conformidad con las definiciones contenidas en el artículo 3o de la Ley 1369 de 2009.
ARTÍCULO 5.4.1.2. PARÁMETROS, INDICADORES Y METAS DE CALIDAD. <Artículo subrogado por el artículo 3 de la Resolución 6494 de 2022. El nuevo texto es el siguiente:> Los parámetros conforme a los cuales se evaluará la calidad de los servicios postales a los que hace referencia el artículo 5.4.1.1 de la presente resolución y sobre los cuales se fijarán indicadores y metas son: i) velocidad, y ii) confiabilidad.
ARTÍCULO 5.4.1.3. TIPOS DE MUNICIPIO. <Artículo subrogado por el artículo 3 de la Resolución 6494 de 2022. El nuevo texto es el siguiente:> Para la prestación de los servicios de mensajería expresa y de correo que no hacen parte del SPU, todos los municipios del territorio nacional deberán clasificarse de conformidad con la siguiente tipología de municipios, según la División Político-Administrativa de Colombia (DIVIPOLA), elaborada por el Departamento Administrativo Nacional de Estadística (DANE):
- Municipios tipo 1: Incluye las siguientes ciudades: Barranquilla, Bogotá, Bucaramanga, Cali, Ibagué, Manizales, y Medellín.
- Municipios tipo 2: Dentro de esta categoría se incluyen todas las ciudades capitales de departamento, distintas a las anteriores, excluyendo municipios y capitales de departamento de difícil acceso.
- Municipios tipo 3: Dentro de esta categoría se incluyen los municipios del país que no hagan parte de las categorías anteriormente descritas y que no sean considerados municipios de difícil acceso.
- Municipios tipo 4: Dentro de esta categoría se incluyen los municipios y capitales de departamento considerados de difícil acceso por sus condiciones geográficas o de orden público.
ARTÍCULO 5.4.1.4. OBJETOS NO DISTRIBUIBLES. <Artículo subrogado por el artículo 3 de la Resolución 6494 de 2022. El nuevo texto es el siguiente:> Los objetos postales serán considerados no distribuibles en las circunstancias descritas en el presente artículo.
5.4.1.4.1 Frente a la actividad propia del servicio postal de Mensajería Expresa, se considera que un objeto postal no es distribuible cuando:
a) Después de dos (2) intentos fallidos de entrega del correspondiente objeto postal, se configura el motivo de devolución establecido en el numeral 5.4.2.10.4 del ARTÍCULO 5.4.2.10 de la presente resolución.
b) Al primer intento de entrega, se configure alguno de los motivos de devolución establecidos en los numerales 5.4.2.10.1, 5.4.2.10.2, 5.4.2.10.3, 5.4.2.10.5, o 5.4.2.10.6 del ARTÍCULO 5.4.2.10 de la presente resolución.
Los objetos postales que cursen por las redes de los operadores que presten los servicios de Mensajería Expresa que tengan como fin la distribución de objetos postales masivos, serán considerados no distribuibles después del primer intento fallido de entrega.
5.4.1.4.2. En cuanto a la prestación del servicio de giros postales nacionales se considera que un giro es no distribuible cuando:
a) El giro no sea retirado por el usuario destinatario dentro de los plazos establecidos en el artículo 5.4.4.5 de la presente resolución.
b) Se configure alguno de los motivos de devolución establecidos en los numerales 5.4.4.4.1, 5.4.4.4.2, 5.4.4.4.3, 5.4.4.4.5 o 5.4.4.4.6 del ARTÍCULO 5.4.4.4 de la presente resolución.
ARTÍCULO 5.4.1.5. TRATAMIENTO DE LOS OBJETOS NO DISTRIBUIBLES. <Artículo subrogado por el artículo 3 de la Resolución 6494 de 2022. El nuevo texto es el siguiente:> Una vez un objeto postal sea considerado no distribuible, el operador deberá realizar las siguientes actividades:
- Informar al usuario remitente la configuración del objeto postal como no distribuible, así como las razones de dicha configuración.
- Proceder a la devolución al usuario remitente dentro de los diez (10) días calendario siguientes a la configuración del objeto postal como no distribuible.
- Solicitar al usuario remitente la recolección del objeto no distribuible en el punto de recepción original del objeto postal, o hacer entrega en el domicilio del remitente previa solicitud de este último, caso en el cual se causará el pago de la tarifa que corresponda.
- Si el usuario remitente no atiende la solicitud de recolección del objeto postal declarado como no distribuible, y una vez transcurridos tres (3) meses, a partir de la fecha de su imposición, este se considerará en rezago, de conformidad con lo previsto en el artículo 52 de la Ley 1369 de 2009.
PARÁGRAFO 1o. Los operadores postales que presten el servicio de Mensajería Expresa en el ámbito internacional entrante, en caso de considerar que un objeto se configura como no distribuible, deberán regresar el objeto postal al usuario remitente en el país correspondiente, según sus mejores prácticas empresariales.
PARÁGRAFO 2o. El tratamiento de los objetos no distribuibles para los envíos de Mensajería Expresa que tenga como fin la distribución de objetos postales masivos podrá ser negociado libremente por las partes, y a falta de acuerdo, se aplicará lo dispuesto para el servicio de Mensajería Expresa en general. En todo caso, pasados tres (3) meses, a partir de la fecha de imposición del objeto postal, si el mismo no ha sido retirado por el remitente, será considerado en rezago de conformidad con lo previsto en el artículo 52 de la Ley 1369 de 2009.
ASPECTOS TÉCNICOS Y CRITERIOS DE CALIDAD PARA LA PRESTACIÓN DEL SERVICIO DE MENSAJERÍA EXPRESA.
ARTÍCULO 5.4.2.1. VELOCIDAD DEL SERVICIO DE MENSAJERÍA EXPRESA. <Artículo subrogado por el artículo 3 de la Resolución 6494 de 2022. El nuevo texto es el siguiente:> La velocidad del servicio de mensajería expresa, se refiere al tiempo de entrega del objeto postal, y se medirá a través del indicador de porcentaje de objetos entregados dentro de un tiempo de entrega.
ARTÍCULO 5.4.2.2. TIEMPO DE ENTREGA PARA EL SERVICIO DE MENSAJERÍA EXPRESA. <Artículo subrogado por el artículo 3 de la Resolución 6494 de 2022. El nuevo texto es el siguiente:> El operador de mensajería expresa debe garantizar los tiempos de entrega (D+n) en días hábiles que se establecen a continuación, teniendo en cuenta el tipo de municipio de origen y de destino para cada uno de los envíos que tramite, para los ámbitos local, nacional e internacional, así como la categoría del trayecto realizado.
En todos los casos, los envíos urbanos o de ámbito local se deberán entregar en un tiempo máximo de un día hábil (D+1).
Para efectos del presente capítulo, se entiende como envío local o urbano todo aquel cuyo municipio de destino corresponde con el mismo municipio de origen o pertenece a la misma área metropolitana. Las áreas metropolitanas de Colombia que los operadores deben utilizar en la prestación de sus servicios en el ámbito local (o urbano) son las reconocidas oficialmente por el DANE, que se encuentran disponibles en el Geovisor de Consulta de Codificación de la División Político-Administrativa de Colombia (DIVIPOLA).
En el caso de los envíos de ámbito nacional e internacional, el operador debe garantizar los tiempos de entrega (D+n) que se establecen a continuación, según la categoría del trayecto realizado (A o B) de acuerdo con el departamento de origen y destino del envío como se ilustra en las siguientes cuatro (4) matrices:
Matriz 1 de categoría de trayectos según departamento de origen y destino




Para las entregas de objetos postales salientes con destino internacional, los operadores de mensajería expresa deberán garantizar la entrega del objeto postal a la autoridad competente de los trámites aduaneros o de las revisiones que requieren este tipo de envíos, en los tiempos de entrega aquí establecidos. Para los envíos internacionales entrantes, los tiempos de entrega correspondientes se cuentan a partir de la nacionalización del objeto postal.
Los operadores de mensajería expresa deben cumplir el porcentaje mínimo de objetos entregados en el tiempo de entrega para los envíos individuales y masivos que se establece a continuación, para cada uno de los ámbitos local, nacional e internacional, así:
Meta de cumplimiento de envíos de mensajería expresa, según el ámbito del envío
| Año | Local | Nacional | Internacional |
| 2022 | 89% | 88% | 82% |
| 2023 | 91% | 90% | 86% |
| 2024 | 93% | 93% | 91% |
| 2025 en adelante | 95% | 95% | 95% |
PARÁGRAFO. Para los casos en los cuales los usuarios remitentes soliciten la recolección a domicilio del objeto postal, según lo estipulado en el artículo 5.4.2.13 de la presente resolución, en concordancia con lo previsto en el literal b) del artículo 2.3 de la Ley 1369 de 2009, el tiempo de entrega aplicable al servicio de Mensajería Expresa se cuenta a partir de dicha recolección por parte del operador postal.
ARTÍCULO 5.4.2.3. CONFIABILIDAD PARA EL SERVICIO DE MENSAJERÍA EXPRESA. <Artículo subrogado por el artículo 3 de la Resolución 6494 de 2022. El nuevo texto es el siguiente:> La confiabilidad del servicio de mensajería expresa, se refiere a la entrega efectiva de todos los objetos postales en buen estado, y se medirá a través del indicador "Porcentaje de objetos entregados en buen estado".
Los envíos postales se presumen entregados por el usuario remitente en buen estado, salvo cuando el operador postal pueda constatar que no lo están en el momento de la admisión del objeto postal, por lo tanto, todos los objetos postales que se tramiten a través del servicio de Mensajería Expresa deberán ser entregados al destinario o devueltos al remitente, cuando no sea posible su entrega al destinatario, en buen estado, en los ámbitos local, nacional e internacional. Lo anterior, sin perjuicio de la inviolabilidad de la correspondencia prevista en el artículo 24 de la Ley 1369 de 2009 y el artículo 2.2.3.1. de la presente resolución.
En el evento en que el operador postal sospeche que el envío contiene objetos postales prohibidos, deberá observar el tratamiento previsto en el artículo 2.2.4.3. de la presente resolución.
Los operadores postales de Mensajería Expresa prestarán el servicio con el cumplimiento de las metas establecidas para el indicador de porcentaje de envíos entregados en buen estado, discriminando entre envíos individuales y envíos masivos, así:
| Tipo de servicio | Indicador | Meta |
| Envíos individuales | % de objetos entregados en buen estado | 99,5% |
| Envíos masivos | % de objetos entregados en buen estado | 97,5% |
PARÁGRAFO. El porcentaje de objetos postales entregados en buen estado se determinará de conformidad con la fórmula que se describe a continuación:
| % de objetos entregados en buen estado | Objetos entregados en buen estado + Objetos devueltos al remitente en buen estado |
| Objetos entregados en buen estado + Objetos devueltos al remitente en buen estado + Objetos expoliados + Objetos perdidos + Objetos averiados | |
Donde:
- Objetos entregados en buen estado: Son aquellos entregados por el operador al destinatario en las mismas condiciones en las que fueron recibidos por el operador.
- Objetos devueltos en buen estado: Objetos entregados por el operador al remitente en las mismas condiciones en las que fueron recibidos.
- Objetos expoliados: Objetos en poder del operador, que le han sido despojados con violencia o con iniquidad.
- Objetos perdidos: Son aquellos que, en poder del operador, han sido extraviados.
- Objetos averiados: Objetos que en poder del operador han sido dañados.
ARTÍCULO 5.4.2.4. PRUEBA DE ADMISIÓN PARA ENVÍOS INDIVIDUALES DEL SERVICIO DE MENSAJERÍA EXPRESA. <Artículo subrogado por el artículo 3 de la Resolución 6494 de 2022. El nuevo texto es el siguiente:> En los envíos individuales, al momento de la admisión del objeto postal los operadores de Mensajería Expresa deberán diligenciar y expedir una prueba de admisión en medio electrónico o físico que será entregada al usuario impositor o remitente.
La prueba de admisión para el servicio de Mensajería Expresa deberá contener como mínimo la siguiente información relativa al objeto postal:
1. Datos del remitente: nombre o razón social, NIT, o documento de identificación (tarjeta de identidad, cédula de ciudadanía, cédula de extranjería o pasaporte), dirección, número de teléfono fijo o móvil, correo electrónico cuando aplique, ciudad de origen y país.
2. Datos del destinatario: nombre o razón social, dirección, número de teléfono fijo o móvil, ciudad de destino y país.
3. Código Postal del lugar de entrega del objeto postal.
4. Descripción del contenido del envío.
5. Fecha y hora de admisión del objeto postal.
6. Peso real del envío.
7. Valor declarado del objeto postal
8. Valor asegurado del envío, cuando a ello hubiere lugar.
9. Identificador único del envío.
10. Datos del operador postal: Razón social, NIT, dirección y signo distintivo (logo), cuando a esto último hubiere lugar.
11. Información para rastreo: página web, número de teléfono y demás opciones de que disponga el operador para que el usuario consulte el estado del envío.
12. Información de los mecanismos dispuestos para la presentación de peticiones, quejas y recursos (número de teléfono, correo electrónico cuando aplique, página web, oficinas de atención, etc.).
13. Día en el cual se tiene programada la entrega al usuario destinatario.
14. Campo donde conste el medio elegido por el usuario impositor para recibir la prueba de admisión y la prueba de entrega: electrónico (correo electrónico cuando aplique, página web u otros) o físico.
PARÁGRAFO 1o. Los Operadores de Mensajería Expresa expedirán la cantidad de copias de la prueba de admisión que consideren necesarias para la prestación del servicio, sin perjuicio del cumplimiento de las demás disposiciones relativas a la prueba de admisión contenidas en el Capítulo 2 del Título II de la presente resolución.
El operador deberá implementar los mecanismos necesarios para suministrar en cualquier momento una copia de la prueba de admisión, a requerimiento de los usuarios remitentes como destinatarios o de las autoridades competentes, bien sea a través de medios electrónicos o físicos.
PARÁGRAFO 2o. En el caso de la prestación del servicio de mensajería expresa de ámbito internacional saliente, la prueba de admisión para el usuario remitente podrá estar a su disposición en la página web del operador.
ARTÍCULO 5.4.2.5. GUÍA PARA LOS ENVÍOS INDIVIDUALES DEL SERVICIO DE MENSAJERÍA EXPRESA. <Artículo subrogado por el artículo 3 de la Resolución 6494 de 2022. El nuevo texto es el siguiente:> En los envíos individuales, al momento de la admisión del objeto postal los operadores de Mensajería Expresa deberán diligenciar una guía que cursará adherida al objeto postal en todo momento.
La guía que deben expedir los operadores de Mensajería Expresa debe contener como mínimo la siguiente información:
1. Datos del remitente: nombre o razón social, NIT, o documento de identificación (tarjeta de identidad, cédula de ciudadanía, cédula de extranjería o pasaporte), dirección, número de teléfono fijo o móvil, correo electrónico cuando aplique, ciudad de origen y país.
2. Datos del destinatario: nombre o razón social, dirección, número de teléfono fijo o móvil, correo electrónico cuando aplique, ciudad de destino y país.
3. Código Postal del lugar de entrega del objeto postal.
4. Descripción del contenido del envío.
5. Fecha y hora de admisión del objeto postal.
6. Peso real del envío.
7. Valor declarado del objeto postal
8. Valor asegurado del envío, cuando a ello hubiere lugar
9. Identificador único del envío.
10. Código de barras u otro mecanismo de tecnología equivalente o superior, para el rastreo de los envíos.
11. Campo donde conste el medio elegido por el usuario impositor para recibir la prueba de admisión: electrónico (correo electrónico cuando aplique, página web u otros) o físico.
12. Datos del operador postal: Razón social, NIT, dirección y signo distintivo (logo), cuando a esto último hubiere lugar.
13. Información para rastreo: página web, número de teléfono y demás opciones de que disponga el operador para que el usuario consulte el estado del envío.
14. Información de los mecanismos dispuestos para la presentación de peticiones, quejas y recursos (número de teléfono, correo electrónico cuando aplique, página web, oficinas de atención, etc.).
15. Día en el cual se tiene programada la entrega al usuario destinatario.
PARÁGRAFO 1o. Los operadores postales podrán utilizar como guía un adhesivo que contenga como mínimo: el Identificador Único del Envío y un código de barras u otro mecanismo de tecnología equivalente o superior que facilite el acceso a la información contenida en el presente artículo.
PARÁGRAFO 2o. En la prestación del servicio de mensajería expresa de ámbito internacional saliente el campo correspondiente al código postal se deberá diligenciar siempre y cuando esté implementado en el país de destino, en caso contrario el operador postal deberá dejar constancia en la guía de tal situación.
PARÁGRAFO 3o. Si el usuario remitente del objeto postal desconoce algún dato del usuario destinatario deberá dejar constancia de ello y en ese caso no será necesario diligenciar los campos de la guía a los que haya lugar.
PARÁGRAFO 4o. Los operadores postales que presten el servicio de Mensajería Expresa en el ámbito internacional entrante, una vez finalizadas las actividades aduaneras a cargo de la autoridad correspondiente, deben garantizar que una guía esté adherida al objeto postal (es la misma guía de origen) y deberán expedir una prueba de entrega al usuario destinatario.
ARTÍCULO 5.4.2.6. PRUEBA DE ENTREGA PARA ENVÍOS INDIVIDUALES DEL SERVICIO DE MENSAJERÍA EXPRESA. <Artículo subrogado por el artículo 3 de la Resolución 6494 de 2022. El nuevo texto es el siguiente:> Al momento de la entrega del objeto postal los operadores de Mensajería Expresa deberán diligenciar y expedir una prueba de entrega en medio electrónico o físico que deberá ser entregada a quien recibe el objeto postal.
La prueba de entrega para el servicio de Mensajería Expresa deberá contener como mínimo la siguiente información relativa al objeto postal:
1. Nombre legible y documento de identificación (tarjeta de identidad, cédula de ciudadanía, cédula de extranjería o pasaporte) de la persona que recibe el objeto postal en la dirección del destinatario.
2. Espacio para observaciones de quien recibe el objeto postal.
3. Fecha y hora de entrega en la dirección del usuario destinatario.
4. Intentos de entrega con inclusión de la fecha y hora.
5. Motivos de devolución cuando no se puede realizar la entrega.
6. Fecha en la cual se devuelve al usuario remitente el objeto postal cuando este no ha podido ser entregado al usuario destinatario.
PARÁGRAFO 1o. Los operadores de Mensajería Expresa expedirán la cantidad de copias de la prueba de entrega que consideren necesarias para la prestación del servicio, sin perjuicio del cumplimiento de las demás disposiciones relativas a la prueba de entrega contenidas en el Capítulo 2 del Título II de la presente resolución.
El operador deberá implementar los mecanismos necesarios para suministrar en cualquier momento una copia de la prueba de entrega, a requerimiento de los usuarios remitentes como destinatarios o de las autoridades competentes, bien sea a través de medios electrónicos o físicos.
PARÁGRAFO 2o. En el caso de la prestación del servicio de Mensajería Expresa de ámbito internacional saliente, la prueba de entrega para el usuario remitente o destinatario podrá estar a su disposición en la página web del operador.
PARÁGRAFO 3o. Sin perjuicio de la expedición de la prueba de entrega por parte del operador del servicio de Mensajería Expresa al usuario destinatario, el operador deberá conservar una copia electrónica o física de la prueba de entrega. Los plazos máximos para que las pruebas de entrega estén disponibles para consulta en la página web o por medios electrónicos adoptados por el operador son:
- Un (1) día hábil después de la entrega, para ámbito local.
- Dos (2) días hábiles después de la entrega, para ámbito nacional.
- Cuatro (4) días hábiles después de la entrega, para ámbito internacional saliente.
ARTÍCULO 5.4.2.7. PRUEBA DE ADMISIÓN PARA LA DISTRIBUCIÓN DE OBJETOS POSTALES MASIVOS A TRAVÉS DEL SERVICIO DE MENSAJERÍA EXPRESA. <Artículo subrogado por el artículo 3 de la Resolución 6494 de 2022. El nuevo texto es el siguiente:> En la distribución de objetos postales masivos, al momento de la admisión del objeto postal, los operadores de Mensajería Expresa deberán diligenciar y expedir una prueba de admisión en medio electrónico, o físico que será entregada al usuario impositor o remitente.
La prueba de admisión para el servicio de Mensajería Expresa que tenga como fin la distribución de objetos postales masivos deberá contener como mínimo la siguiente información:
1. Identificación del usuario remitente: nombre o razón social, NIT, o documento de identificación.
2. Identificación del usuario destinatario: nombre o razón social y dirección.
3. Código Postal del lugar de entrega del objeto postal.
4. Fecha y hora de la admisión del objeto postal.
5. Descripción del contenido del envío postal.
6. Peso real del envío, expresado en gramos.
7. Identificador único de envío.
8. Código de barras, u otro mecanismo de tecnología equivalente o superior, para el rastreo de los envíos.
9. Tarifa pactada con el usuario remitente.
10. Identificación del operador postal: Nombre y/o logotipo, cuando este aplique.
11. Información para rastreo: página web, número de teléfono y demás opciones de que disponga el operador, para que el remitente consulte el estado de su envío.
PARÁGRAFO. Los operadores de Mensajería Expresa que tenga como fin la distribución de objetos postales masivos expedirán la cantidad de copias de la prueba de admisión que consideren necesarias para la prestación del servicio, sin perjuicio del cumplimiento de las demás disposiciones relativas a la prueba de admisión contenidas en el Capítulo 2 del Título II de la presente resolución.
El operador deberá implementar los mecanismos necesarios para suministrar en cualquier momento una copia de la prueba de admisión, a requerimiento de los usuarios remitentes como destinatarios o de las autoridades competentes, bien sea a través de medios electrónicos o físicos.
ARTÍCULO 5.4.2.8. GUÍA PARA EL ENVÍO DE OBJETOS POSTALES MASIVOS DEL SERVICIO DE MENSAJERÍA EXPRESA. <Artículo subrogado por el artículo 3 de la Resolución 6494 de 2022. El nuevo texto es el siguiente:> Cuando el servicio de Mensajería Expresa tenga como fin la distribución de objetos postales masivos, los operadores diligenciarán y expedirán una guía que cursará adherida a cada uno de los objetos postales en todo momento y en la cual constarán al menos los siguientes datos:
1. Identificación del usuario remitente: nombre o razón social, NIT, o documento de identificación.
2. Identificación del usuario destinatario: nombre o razón social y dirección.
3. Código Postal del lugar de entrega del objeto postal.
4. Fecha y hora de la admisión del objeto postal.
5. Descripción del contenido del envío postal.
6. Peso real del envío, expresado en gramos.
7. Identificador único del envío.
8. Código de barras, u otro mecanismo de tecnología equivalente o superior, para el rastreo de los envíos.
9. Tarifa pactada con el usuario remitente.
10. Identificación del operador postal: Nombre y/o logotipo, cuando este aplique.
11. Información para rastreo: página web, número de teléfono y demás opciones de que disponga el operador, para que el remitente consulte el estado de su envío.
PARÁGRAFO. Los operadores postales que presten el servicio de Mensajería Expresa que tenga como fin la distribución de objetos postales masivos podrán utilizar como guía un adhesivo que contenga como mínimo: el Identificador Único del Envío y un código de barras u otro mecanismo de tecnología equivalente o superior que facilite el acceso a la información contenida en el presente artículo.
ARTÍCULO 5.4.2.9. PRUEBA DE ENTREGA PARA EL ENVÍO DE OBJETOS POSTALES MASIVOS DEL SERVICIO DE MENSAJERÍA EXPRESA. <Artículo subrogado por el artículo 3 de la Resolución 6494 de 2022. El nuevo texto es el siguiente:> Cuando el servicio de Mensajería Expresa tenga como fin la distribución de objetos postales masivos, los operadores diligenciarán y expedirán una prueba de entrega en medio electrónico o físico, en la cual constarán al menos los siguientes datos relativos al objeto postal:
1. Fecha y hora de entrega.
2. Nombre de quien recibe.
3. Motivos de devolución cuando no se pueda realizar la entrega.
4. Intentos de entrega con inclusión de la fecha y hora.
5. Fecha en la cual se devuelve al usuario remitente el objeto postal cuando este no ha podido ser entregado al usuario destinatario.
ARTÍCULO 5.4.2.10. MOTIVOS DE DEVOLUCIÓN DE LOS OBJETOS POSTALES PARA LOS SERVICIOS DE MENSAJERÍA EXPRESA. <Artículo subrogado por el artículo 3 de la Resolución 6494 de 2022. El nuevo texto es el siguiente:> Los operadores de los servicios postales de Mensajería Expresa deberán registrar en la prueba de entrega de que tratan los artículos 5.4.2.6 y 5.4.2.9 de la presente resolución, el motivo de la devolución por el cual no fue posible entregar el objeto postal al usuario destinatario y procederán a su devolución sin costo alguno para el usuario remitente, de conformidad con lo previsto en el numeral 1 del artículo 25 de la Ley 1369 de 2009.
Se tendrán como motivos de devolución los siguientes:
5.4.2.10.1. Desconocido. Corresponde a aquellas situaciones en las cuales la persona que se encuentra en la dirección registrada en la guía manifiesta no conocer al usuario destinatario.
5.4.2.10.2. Rehusado. Corresponde a la situación en la que el usuario destinatario rechaza o se niega a recibir el objeto postal.
5.4.2.10.3. No reside. Corresponde a aquella situación en la cual la persona que se encuentra en la dirección registrada en la guía manifiesta que el usuario destinatario ya no reside en ese lugar o cuando el usuario destinatario ha fallecido.
5.4.2.10.4. No reclamado. Corresponde a los casos en los cuales, una vez surtido el trámite previsto en el artículo 5.4.2.11 de la presente resolución y pasados los términos allí establecidos, el objeto postal no es reclamado por el usuario destinatario en la oficina del operador.
5.4.2.10.5. Dirección errada. Corresponde a los eventos en los cuales la dirección suministrada en la guía por el usuario remitente carece de algún elemento que permita su identificación inequívoca o no exista.
5.4.2.10.6. Otros. Corresponde a aquellas situaciones que impiden que el objeto postal sea entregado al destinatario registrado en la guía por fuerza mayor, caso fortuito u otros eventos que considere necesario el operador, siempre especificando la respectiva descripción.
ARTÍCULO 5.4.2.11. INTENTOS DE ENTREGA. <Artículo subrogado por el artículo 3 de la Resolución 6494 de 2022. El nuevo texto es el siguiente:> En el evento en que el operador del servicio de Mensajería Expresa proceda a efectuar la entrega del objeto postal en el domicilio del usuario destinatario consignado en la guía y este no encuentre a nadie, deberá expedir un documento por medios físicos o electrónicos, en el que informe que tuvo lugar un intento de entrega de dicho objeto.
El documento deberá contener, por lo menos, la siguiente información
1. Nombre del operador postal que está a cargo de la prestación del servicio.
2. Nombre del usuario remitente.
3. Número de la guía.
4. Fecha y hora del intento de entrega.
5. Fecha y hora del próximo intento de entrega.
6. Dirección, número de teléfono y horario de atención de la oficina donde se encuentra a disposición del usuario destinatario el objeto postal.
7. Fecha hasta la cual se conservará el objeto postal en la oficina indicada.
El documento a que se refiere el presente artículo relativo a los intentos de entrega de los objetos postales no tendrá que expedirse y diligenciarse en los eventos en que al primer intento de entrega se configure alguno de los motivos de devolución establecidos en los numerales 5.4.2.10.1, 5.4.2.10.2, 5.4.2.10.3, o 5.4.2.10.5 del artículo 5.4.2.10 de la presente resolución.
Los operadores de servicios postales de Mensajería Expresa deben efectuar al menos dos (2) intentos de entrega, entre los cuales no debe transcurrir un tiempo superior a tres (3) días hábiles. Luego de que se configure el primer intento como fallido (primer aviso), el operador deberá contactar al usuario destinatario y acordar la entrega del objeto postal, utilizando para ello los medios que tenga disponible. En caso de no poder establecer comunicación con el usuario, el operador deberá dejar constancia de las gestiones realizadas, las cuales deben ser conservadas en los términos previstos en el artículo 35 de la Ley 1369 de 2009.
Si después de dos (2) intentos no se logra llevar a cabo la entrega del objeto postal, se debe dejar un segundo aviso informando al usuario destinatario que puede recoger el objeto en una determinada oficina de atención al usuario, indicando además la fecha límite de retiro, la cual será de veinte (20) días calendario, a partir de la fecha del último intento de entrega.
Si el objeto postal no es reclamado por el usuario destinatario en dicho plazo, este se considerará como no distribuible, caso en el cual se debe dar aplicación a lo dispuesto en el artículo 5.4.1.4 de la presente resolución. Sin perjuicio de lo anterior, los operadores de Mensajería Expresa podrán efectuar los intentos de entrega que consideren necesarios, hasta lograr la entrega del objeto postal al usuario destinatario registrado en la guía, para lo cual deberá expedir un documento por medios físicos o electrónicos en el que informe que tuvo lugar un intento de entrega.
Los intentos de entrega deben quedar registrados en la información materia de rastreo que debe estar disponible en la página web del operador y en la prueba de entrega, de que tratan los artículos 5.4.2.6, 5.4.2.9 y 5.4.2.12 de la presente resolución.
PARÁGRAFO 1o. Las disposiciones del presente artículo no serán aplicables a los envíos postales correspondientes al ámbito internacional saliente.
PARÁGRAFO 2o. Los operadores postales que presten el servicio de Mensajería Expresa en el ámbito internacional entrante, una vez finalizadas las actividades aduaneras a cargo de la autoridad correspondiente, deben cumplir las disposiciones del presente artículo.
PARÁGRAFO 3o. Cuando el servicio de Mensajería Expresa tenga como fin la distribución de objetos postales masivos, el operador postal como mínimo deberá efectuar un (1) intento de entrega. En todo caso el operador deberá dejar, en el domicilio del usuario destinatario, el documento en el cual se informa que tuvo lugar dicho intento de entrega.
Concepto CRC 507070 de 2024
Concepto CRC 518913 de 2023
ARTÍCULO 5.4.2.12. RASTREO EN EL SERVICIO DE MENSAJERÍA EXPRESA. <Artículo subrogado por el artículo 3 de la Resolución 6494 de 2022. El nuevo texto es el siguiente:> Los operadores de Mensajería Expresa deben contar con un sistema de rastreo electrónico que permita la lectura del código de barras, o una tecnología equivalente o superior para tales efectos. Los operadores deberán registrar en su sistema de rastreo electrónico, la ocurrencia de por lo menos, los siguientes eventos:
5.4.2.12.1. Admisión en el punto de recepción/recolección en el domicilio del usuario remitente.
5.4.2.12.2. Llegada al punto de recepción en el caso de recolección a domicilio.
5.4.2.12.3. Salida del punto de recepción.
5.4.2.12.4. Realización del trámite aduanero en el caso de envíos internacionales salientes. Se deberá registrar la entrada y la salida del sitio en donde se realice dicho trámite.
5.4.2.12.5. Llegada al centro de clasificación de origen
5.4.2.12.7. Llegada a ciudad de destino
5.4.2.12.8. Llegada al centro de distribución - ciudad de destino.
5.4.2.12.9. Primer intento de entrega.
5.4.2.12.10. Segundo intento de entrega.
5.4.2.12.11 Entrega final al usuario destinatario.
5.4.2.12.12. Devolución del objeto postal
Estos registros se conservarán en forma electrónica, con indicación del identificador único del envío y del código de barras u otro mecanismo de tecnología equivalente o superior. El operador deberá mantener en su página web y disponible de manera permanente tanto para el usuario remitente como destinatario, el rastreo electrónico de los acontecimientos anteriormente mencionados con la identificación de la oficina de admisión, el municipio o país de destino y la fecha y hora del acontecimiento de manera actualizada.
La información en la página web deberá reflejar los eventos de pérdida o avería del objeto postal, especificar los motivos por los cuales un objeto es no distribuible y los motivos de caso fortuito o fuerza mayor por los cuales no se cumplirá con el tiempo de entrega. El acceso a dicha información será posible a través del identificador único del envío. Los operadores de Mensajería Expresa podrán hacer uso de otros mecanismos, tales como: mensaje de texto, aplicación de mensajería instantánea, correo electrónico, redes sociales, aplicaciones, entre otros; para informar a los usuarios sobre el estado del envío.
Los operadores postales que presten el servicio de Mensajería Expresa en el ámbito internacional entrante, una vez finalizadas las actividades aduaneras a cargo de la autoridad correspondiente, deben cumplir las disposiciones del presente artículo. Respecto a los eventos de rastreo, el operador postal deberá registrar la ocurrencia de por lo menos, los siguientes: i) finalización de los trámites aduaneros nacionales, ii) llegada al centro de distribución - ciudad de destino, iii) primer intento de entrega, iv) segundo intento de entrega (aplica únicamente para envíos individuales), v) entrega final al usuario destinatario, y vi) devolución del objeto postal.
En los envíos del servicio de Mensajería Expresa internacional saliente, los operadores deberán registrar los casos en que, frente a un envío postal, su contenido o parte de su contenido ha sido incautado o retenido por la respectiva autoridad aduanera, o por la entidad que haga sus veces, o por cualquier otro organismo gubernamental, así como los motivos de la retención.
La información a que se refiere el presente artículo deberá permanecer disponible en la página web del operador como mínimo durante tres (3) meses, contados a partir del momento en que el operador admitió el correspondiente objeto postal.
Sin perjuicio del cumplimiento de lo anterior, en los eventos en los cuales se presenten solicitudes de los usuarios, en aquellos casos en los cuales por algún motivo no exista ningún registro electrónico del rastreo del objeto postal o no exista algún registro electrónico que impida la determinación inequívoca del objeto postal, los operadores deberán dar respuesta en un plazo no superior a dos (2) días hábiles después de realizada dicha solicitud y deberán indicar el lugar donde se encuentra el envío.
PARÁGRAFO. Cuando el servicio de Mensajería Expresa contratado tenga como fin la distribución de objetos postales masivos, las partes podrán negociar libremente los eventos que serán objeto de rastreo, los cuales deberán, al menos, incluir los siguientes: i) depósito en el punto de recepción/recolección en el domicilio, ii) llegada al punto de recepción en el caso de recolección a domicilio, iii) primer intento de entrega, y iv) entrega final al destinatario.
Ante la falta de acuerdo entre las partes, dicho rastreo deberá hacerse respecto de los cuatro (4) eventos a los que se refiere el presente parágrafo.
ARTÍCULO 5.4.2.13. RECOLECCIÓN A DOMICILIO. <Artículo subrogado por el artículo 3 de la Resolución 6494 de 2022. El nuevo texto es el siguiente:> De conformidad con lo previsto en el literal b) del numeral 2.3 del artículo 3o de la Ley 1369 de 2009, los operadores que prestan el servicio postal de Mensajería Expresa deberán ofrecer, a solicitud del usuario remitente, el servicio de recolección a domicilio de objetos postales.
Para efectos de lo anterior, los operadores deberán habilitar un número de teléfono, página web o correo electrónico con el fin de que los usuarios de este servicio puedan programar el servicio de recolección, según la fecha y hora de su conveniencia, en concordancia con lo dispuesto en el artículo 2.2.2.2. de la presente resolución.
El término máximo para la recolección a domicilio en las áreas metropolitanas y ciudades capitales de departamento no debe ser superior a un (1) día hábil, contado a partir de la fecha en la cual el usuario solicitó el servicio. Para el resto de municipios el tiempo máximo para la recolección a domicilio no debe ser superior a dos (2) días hábiles.
En todo caso, los operadores de Mensajería Expresa deberán recoger los objetos postales en el domicilio solicitado por el cliente y cumplir todas y cada una de las demás obligaciones estipuladas en el Capítulo 4 del Título V de la presente resolución.
PARÁGRAFO. El número de teléfono, la página web y el correo electrónico podrán ser los mismos dispuestos para el rastreo, en concordancia con lo dispuesto en el artículo 2.2.2.2. de la presente resolución.
ARTÍCULO 5.4.2.14. PÉRDIDA DEL OBJETO POSTAL. <Artículo subrogado por el artículo 3 de la Resolución 6494 de 2022. El nuevo texto es el siguiente:> Una vez un operador de Mensajería Expresa note la pérdida del objeto postal, deberá registrar el evento en el sistema de rastreo y contactar por el medio más expedito posible al usuario remitente con el fin de informarle tal situación, para que este pueda iniciar los respectivos trámites de reclamación o indemnización establecidos en el artículo 32 de la Ley 1369 de 2009, en concordancia con el artículo 2.2.7.2 de la presente resolución.
ARTÍCULO 5.4.2.15. AVERÍA DEL OBJETO POSTAL. <Artículo subrogado por el artículo 3 de la Resolución 6494 de 2022. El nuevo texto es el siguiente:> Cuando el operador de Mensajería Expresa advierta una avería en el objeto postal, deberá efectuar de inmediato la evaluación correspondiente con el fin de determinar si el daño afecta al embalaje o a su contenido. Una vez validado lo anterior, deberá proceder de la siguiente forma:
1. Si la avería se produce únicamente en el embalaje el operador podrá reparar y encaminar el envío para su distribución con la observancia del principio de inviolabilidad de la correspondencia. La avería en el embalaje y las medidas adoptadas deben ser registradas en la página web como parte de la información materia del rastreo. Los operadores de Mensajería Expresa deberán comunicar de inmediato al usuario remitente a través del medio más expedito posible, la avería detectada en el embalaje y las medidas adoptadas.
2. Si la avería afecta el contenido mismo del objeto postal, los operadores de Mensajería Expresa deberán registrar el evento en la página web como parte de la información materia del rastreo. Adicionalmente, deberán comunicar de inmediato al remitente a través del medio más expedito posible, la avería del objeto con el fin de que este imparta las instrucciones del caso para disponer del objeto en el estado en que se encuentre y pueda iniciar los procesos de reclamación o indemnización establecidos en el artículo 32 de la Ley 1369 de 2009, en concordancia con el artículo 2.2.7.2 de la presente resolución.
PARÁGRAFO. Para el servicio de Mensajería Expresa que tenga como fin la distribución de objetos postales masivos, el remitente y el operador podrán negociar libremente el procedimiento a seguir en caso de avería de alguno de los objetos postales, sin perjuicio del trámite de reclamación o indemnización que les asiste a los usuarios, establecido en el artículo 32 de la Ley 1369 de 2009.
ASPECTOS TÉCNICOS Y CRITERIOS DE CALIDAD PARA LA PRESTACIÓN DEL SERVICIO DE CORREO NO SPU.
ARTÍCULO 5.4.3.1. VELOCIDAD DEL SERVICIO DE CORREO NO SPU. <Artículo subrogado por el artículo 3 de la Resolución 6494 de 2022. El nuevo texto es el siguiente:> El Operador Postal Oficial debe garantizar para los servicios de correo que no hacen parte del SPU, los tiempos de entrega (D+n) en días hábiles que se establecen a continuación, teniendo en cuenta el tipo de municipio de origen y de destino para cada uno de los envíos que tramite, para los ámbitos local, nacional e internacional.
Los envíos urbanos o de ámbito local de los servicios de correo prioritario que no hacen parte del SPU se deberán entregar en un tiempo máximo de dos (2) días hábiles (D+2). Los envíos urbanos o de ámbito local de correo no prioritario que no hacen parte del SPU, deberán entregarse en un plazo máximo de tres (3) días hábiles (D+3).
En el caso de los envíos con destino a zonas rurales, en donde se hace uso de las listas de correo, el tiempo de entrega se contabilizará hasta la entrega del objeto postal en el punto de atención al público que corresponda. El Operador Postal Oficial deberá mantener disponible en el punto de atención al público el objeto postal para ser recogido por el destinatario durante mínimo 20 días.
En el caso de los envíos de ámbito nacional e internacional, el Operador Postal Oficial debe garantizar los tiempos de entrega (D+n) que se establecen a continuación, distinguiendo entre el correo prioritario y el correo no prioritario:
Tiempo de entrega para correo prioritario que no hace parte del SPU
| Origen \ Destino | Tipo 1 | Tipo 2 | Tipo 3 | Tipo 4 |
| Tipo 1 | D+3 | D+4 | D+4 | D+10 |
| Tipo 2 | D+5 | D+5 | D+6 | D+10 |
| Tipo 3 | D+5 | D+7 | D+7 | D+10 |
| Tipo 4 | D+10 | D+10 | D+10 | D+10 |
Tiempo de entrega para correo no prioritario que no hace parte del SPU
| Origen \ Destino | Tipo 1 | Tipo 2 | Tipo 3 | Tipo 4 |
| Tipo 1 | D+4 | D+5 | D+5 | D+12 |
| Tipo 2 | D+6 | D+6 | D+7 | D+12 |
| Tipo 3 | D+6 | D+8 | D+8 | D+12 |
| Tipo 4 | D+12 | D+12 | D+12 | D+12 |
Para las entregas de objetos postales salientes con destino internacional, el Operador Postal Oficial deberá garantizar la entrega del objeto postal a la autoridad competente de los trámites aduaneros o de las revisiones que requieren este tipo de envíos, en los tiempos de entrega aquí establecidos. Para los envíos internacionales entrantes, los tiempos de entrega se cuentan a partir de la nacionalización del objeto postal.
El Operador Postal Oficial debe cumplir el porcentaje mínimo de objetos entregados en el tiempo de entrega para los envíos individuales y masivos que se establecen a continuación, para cada uno de los ámbitos local, nacional e internacional, así:
Meta de cumplimiento de envíos de correo no SPU, según el ámbito del envío
| Año | Local | Nacional | Internacional |
| 2022 | 89% | 88% | 82% |
| 2023 | 91% | 90% | 86% |
| 2024 | 93% | 93% | 91% |
| 2025 en adelante | 95% | 95% | 95% |
ARTÍCULO 5.4.3.2. CONFIABILIDAD PARA EL SERVICIO DE CORREO NO SPU. <Artículo subrogado por el artículo 3 de la Resolución 6494 de 2022. El nuevo texto es el siguiente:> La confiabilidad del servicio de correo que no hace parte del SPU, se refiere a la entrega efectiva de todos los objetos postales en buen estado, y se medirá a través del indicador "Porcentaje de objetos entregados en buen estado".
Los envíos postales se presumen entregados por el usuario remitente en buen estado, salvo cuando el Operador Postal Oficial pueda constatar que no lo están en el momento de la admisión del objeto postal, por lo tanto, todos los objetos postales que tramiten a través del servicio de correo que no hace parte del SPU deberán ser entregados al destinario o devueltos al remitente, cuando no sea posible su entrega al destinatario, en buen estado, tanto en el ámbito nacional como internacional. Lo anterior, sin perjuicio de la inviolabilidad de la correspondencia prevista en el artículo 24 de la Ley 1369 de 2009 y el artículo 2.2.3.1. de la presente resolución.
En el evento en que el Operador Postal Oficial que presta los servicios de correo incluyendo los que no hacen parte del SPU, sospeche que el envío contiene objetos postales prohibidos, deberá observar el tratamiento previsto en el artículo 2.2.4.3. de la presente resolución.
El Operador Postal Oficial prestará el servicio de correo que no hace parte del SPU con el cumplimiento de las metas establecidas para el indicador de confiabilidad, es decir el porcentaje de objetos postales entregados en buen estado, discriminando entre envíos individuales y envíos masivos así:
| Tipo de servicio | Indicador | Meta |
| Envíos individuales | % de objetos entregados en buen estado | 99,5% |
| Envíos masivos | % de objetos entregados en buen estado | 97,5% |
El porcentaje de objetos postales entregados en buen estado se determinará de conformidad con la fórmula que se describe a continuación:
| % de objetos entregados en buen estado | Objetos entregados en buen estado + Objetos devueltos al remitente en buen estado |
| Objetos entregados en buen estado + Objetos devueltos al remitente en buen estado + Objetos expoliados + Objetos perdidos + Objetos averiados | |
Donde:
- Objetos entregados en buen estado: Son aquellos entregados por el operador al destinatario en las mismas condiciones en las que fueron recibidos por el operador.
- Objetos devueltos en buen estado: Objetos entregados por el operador al remitente en las mismas condiciones en las que fueron recibidos.
- Objetos expoliados: Objetos en poder del operador, que le han sido despojados con violencia o con iniquidad.
- Objetos perdidos: Son aquellos que, en poder del operador, han sido extraviados.
- Objetos averiados: Objetos que en poder del operador han sido dañados.
ARTÍCULO 5.4.3.3. PÉRDIDA DEL OBJETO POSTAL. <Artículo subrogado por el artículo 3 de la Resolución 6494 de 2022. El nuevo texto es el siguiente:> Una vez el Operador Postal Oficial note la pérdida del objeto postal, deberá contactar al usuario remitente con el fin de informarle tal situación, para que este pueda iniciar el trámite de reclamación o indemnización, de conformidad con lo establecido en el artículo 32 de la Ley 1369 de 2009, en concordancia con el artículo 2.2.7.2 de la presente resolución.
ARTÍCULO 5.4.3.4. AVERÍA DEL OBJETO POSTAL. <Artículo subrogado por el artículo 3 de la Resolución 6494 de 2022. El nuevo texto es el siguiente:> Cuando el Operador Postal Oficial evidencie una avería en el objeto postal, deberá realizar de inmediato la evaluación correspondiente con el fin de determinar si el daño afecta al embalaje, o a su contenido. Una vez validado lo anterior, deberá proceder de la siguiente forma:
1. Si la avería se produce únicamente en el embalaje, el Operador Postal Oficial podrá reparar y encaminar el envío para su distribución con la observancia del principio de inviolabilidad de la correspondencia. Una vez el Operador Postal Oficial evidencie la avería del embalaje, deberá informar al usuario remitente las medidas adoptadas para su reparación.
2. Si la avería afecta el contenido mismo del objeto postal, una vez el Operador Postal Oficial la evidencie, deberá informar al usuario remitente la avería del objeto con el fin de que este imparta las instrucciones del caso para disponer del objeto en el estado en que se encuentre y pueda iniciar el trámite de reclamación o indemnización, de conformidad con lo establecido en el artículo 32 de la Ley 1369 de 2009, en concordancia con el artículo 2.2.7.2 de la presente resolución.
ASPECTOS TÉCNICOS Y CRITERIOS DE CALIDAD PARA LA PRESTACIÓN DEL SERVICIO DE GIROS POSTALES.
ARTÍCULO 5.4.4.1. CONFIABILIDAD PARA EL SERVICIO POSTAL DE PAGO. <Artículo subrogado por el artículo 3 de la Resolución 6494 de 2022. El nuevo texto es el siguiente:> La confiabilidad del servicio postal de pago se refiere al establecimiento de las disposiciones relativas a la prueba de admisión, prueba de entrega, entrega y rastreo del giro postal.
ARTÍCULO 5.4.4.2. PRUEBA DE ADMISIÓN PARA EL SERVICIO DE GIROS NACIONALES. <Artículo subrogado por el artículo 3 de la Resolución 6494 de 2022. El nuevo texto es el siguiente:> De conformidad con lo previsto en los artículos 5.4.1.2 y 5.4.4.1 de la presente resolución, los operadores de servicios Postales de Pago que presten el servicio de giros nacionales, al momento de la recepción del giro, deberán diligenciar y expedir una prueba de admisión por medios electrónicos o físicos, la cual contendrá como mínimo la siguiente información:
1. Información del operador: Nombre, página web, número de teléfono y logotipo, solo cuando este aplique.
2. Identificador único del giro.
3. Información del usuario remitente: Nombre, número de documento de identificación (tarjeta de identidad, cédula de ciudadanía, cédula de extranjería o pasaporte), y al menos uno de los siguientes datos de contacto: número de teléfono fijo, móvil o correo electrónico cuando aplique.
4. Información del usuario destinatario: Nombre, número de documento de identificación (tarjeta de identidad, cédula de ciudadanía, cédula de extranjería o pasaporte), y al menos uno de los siguientes datos de contacto: número de teléfono fijo, móvil o correo electrónico cuando aplique.
6. Campo donde conste el medio elegido por el usuario impositor para recibir o acceder a la prueba de admisión: electrónico (correo electrónico cuando aplique, página web u otros) o físico.
5. Identificación de la oficina del operador donde es admitido el giro.
7. Identificación del operador y de la oficina a la cual está dirigido el giro.
6. Fecha y hora de admisión.
8. Monto del giro, sin incluir el valor del servicio.
7. Valor del servicio.
Sin perjuicio de la inclusión de la información relativa a la identificación de la oficina del operador a la cual está dirigido el giro, el operador de Servicios Postales de Pago podrá indicarles a los usuarios que el giro postal podrá ser reclamado en cualquiera de sus oficinas de atención, en caso de que preste dicho servicio.
Los operadores de Servicios Postales de Pago que presten el servicio de giros nacionales deberán expedir y entregar una copia de la prueba de admisión a sus usuarios remitentes. La copia de la prueba de admisión puede ser electrónica o física.
El operador implementará los mecanismos necesarios para que, en los casos de solicitudes de copia de la prueba de admisión por requerimiento del remitente, destinatario o de las autoridades competentes, esta sea suministrada en cualquier momento, bien sea a través de medios electrónicos o físicos.
PARÁGRAFO. Si el usuario remitente del giro postal desconoce algún dato del usuario destinatario deberá dejar constancia de ello y en ese caso no será necesario diligenciar el campo de la prueba de admisión a que haya lugar.
ARTÍCULO 5.4.4.3. MODELO ÚNICO DE PRUEBA DE ENTREGA PARA EL SERVICIO DE GIROS NACIONALES. <Artículo subrogado por el artículo 3 de la Resolución 6494 de 2022. El nuevo texto es el siguiente:> Los operadores de Servicios Postales de Pago que presten el servicio de giros nacionales entregarán al usuario destinatario el giro postal previa verificación de los documentos de identificación (tarjeta de identidad, cédula de ciudadanía, cédula de extranjería o pasaporte) o de cualquier otro medio que permita garantizar la identidad del mismo.
Los operadores de Servicios Postales de Pago que presten el servicio de giros nacionales deberán expedir a los usuarios destinatarios una prueba de entrega electrónica o física, la cual deberá contener como mínimo la siguiente información:
1. Nombre y número del documento de identificación del usuario destinatario.
2. Nombre y número del documento de identificación del usuario remitente.
3. Campo donde conste el medio elegido por el usuario destinatario para recibir o acceder a la prueba de entrega: electrónico (correo electrónico cuando aplique, mensaje de texto cuando aplique, página web u otros) o físico.
4. Fecha y hora de entrega del giro postal.
5. Identificador único del giro.
6. Monto enviado por el usuario remitente.
7. Monto recibido por el usuario destinatario.
8. Motivos de devolución del giro postal.
El operador de giros postales nacionales deberá conservar una copia de la prueba de entrega, bien sea de forma electrónica o física, e implementará los mecanismos necesarios para que, en un plazo no superior a un (1) día hábil después de la entrega, la copia de dicho documento pueda ser consultada a través de su página web o suministrada tanto al usuario remitente como al usuario destinatario por medios electrónicos.
A requerimiento de los usuarios remitentes como destinatarios o de las autoridades competentes, el operador deberá suministrar una copia electrónica o física de la prueba de entrega en cualquier momento.
ARTÍCULO 5.4.4.4. MOTIVOS DE DEVOLUCIÓN PARA EL SERVICIO DE GIROS POSTALES NACIONALES. <Artículo subrogado por el artículo 3 de la Resolución 6494 de 2022. El nuevo texto es el siguiente:> Los operadores de Servicios Postales de Pago que presten el servicio de giros nacionales deberán registrar en la prueba de entrega el motivo de devolución por el cual no fue posible entregar el giro al usuario destinatario registrado en la prueba de admisión y procederán a su devolución sin costo alguno para el usuario remitente, de conformidad con lo previsto en el Artículo 25 de la Ley 1369 de 2009.
Se tendrán como motivos de devolución los siguientes:
5.4.4.4.1. Desconocido. Corresponde a aquellas situaciones en las cuales la persona que se encuentra en el número telefónico registrado en la prueba de admisión manifiesta no conocer al destinatario.
5.4.4.4.2. Rehusado. Corresponde a la situación en la cual el usuario destinatario rechaza o se niega a recibir el giro.
5.4.4.4.3. No reside/no corresponde. Corresponde a aquel evento en el que la persona que se encuentra en el número telefónico registrado en la prueba de admisión manifiesta que el usuario destinatario ya no reside en ese lugar o cuando éste último ha fallecido.
5.4.4.4.4. No reclamado. Esta situación se da cuando, una vez surtido el trámite previsto en el ARTÍCULO 5.4.4.5 del CAPÍTULO 4 del TÍTULO V de la presente resolución y transcurridos los términos allí establecidos, el giro postal no es reclamado por el usuario destinatario en las oficinas del operador postal de pago.
5.4.4.4.5. Número de teléfono errado. En este caso el número telefónico suministrado por el usuario remitente en la prueba de admisión carece o contiene algún elemento adicional, que no permita su identificación inequívoca.
5.4.4.4.6. Otros. Corresponde a aquellas situaciones que impiden que el giro postal sea entregado al destinatario registrado en la prueba de admisión por fuerza mayor o caso fortuito u otros eventos que considere necesario el operador, siempre especificando la respectiva descripción.
ARTÍCULO 5.4.4.5. ENTREGA DE LOS GIROS POSTALES NACIONALES. <Artículo subrogado por el artículo 3 de la Resolución 6494 de 2022. El nuevo texto es el siguiente:> Los operadores de giros postales nacionales podrán ofrecer a sus usuarios efectuar la entrega del giro en su domicilio.
Solamente en aquellos casos en que el operador realice la entrega del giro postal en sus oficinas de atención y éste no sea reclamado por el usuario destinatario dentro de los tres (3) días hábiles siguientes a la fecha a partir del cual está disponible, deberá contactar al usuario destinatario registrado en la prueba de admisión con el fin de comunicarle que puede proceder con su retiro.
Acorde con lo anterior, se le deberá informar al usuario destinatario, el nombre del usuario remitente, la dirección de la oficina en la cual se le hará la entrega del giro y la fecha límite de disponibilidad.
La fecha límite de retiro del giro por parte del usuario destinatario será de treinta (30) días calendario, contados a partir de la fecha desde de la cual el giro está disponible. Si el giro no es retirado en ese plazo, éste se considerará como no distribuible y deberá ser puesto a disposición del usuario remitente hasta por un término de tres (3) meses desde la fecha de imposición del giro. Una vez vencido este término sin que haya sido reclamado el giro se aplicará el artículo 52 de la Ley 1369 de 2009, referente a objetos declarados en rezago.
ARTÍCULO 5.4.4.6. RASTREO EN LOS SERVICIOS DE GIROS NACIONALES. <Artículo subrogado por el artículo 3 de la Resolución 6494 de 2022. El nuevo texto es el siguiente:> Los operadores de Servicios Postales de Pago que presten el servicio de giros nacionales, deberán registrar y mantener en su página web de manera actualizada para los usuarios del servicio, la información de los diferentes estados del giro.
Para efectos de lo anterior, deberán implementar las debidas medidas de seguridad y confidencialidad para el acceso a dicha información por parte de los usuarios remitente y destinatario del giro postal.
El acceso a dicha información será posible únicamente a través del identificador único del envío que le será entregado al usuario remitente del giro postal y deberá contar como mínimo con la información de los siguientes eventos:
5.4.4.6.1. Giro postal admitido.
5.4.4.6.2. Giro postal pendiente de aprobación. (Aplica solo para los casos en que la admisión del giro se realice por canales diferentes a los puntos de atención físicos y se requiera de alguna validación).
5.4.4.6.3. Giro postal disponible.
5.4.4.6.4. Giro postal entregado al destinatario.
Cuando no sea posible realizar el pago del giro postal al usuario destinatario, el operador deberá realizar su devolución al usuario remitente, y dejar la respectiva constancia.
La información a que se refiere el presente artículo deberá permanecer disponible en la página web del operador mínimo durante tres (3) meses, contados a partir de la fecha en que el operador de Servicios Postales de Pago recibió el correspondiente giro.
ARTÍCULO 5.4.4.7. INTEGRIDAD DEL GIRO. <Artículo subrogado por el artículo 3 de la Resolución 6494 de 2022. El nuevo texto es el siguiente:> El monto entregado por el usuario remitente al operador de Servicios Postales de Pago deberá constar en la prueba de admisión y será el mismo que se debe entregar al destinatario.
ASPECTOS TÉCNICOS, INDICADORES Y METAS DE LOS CRITERIOS DE CALIDAD PARA LA PRESTACIÓN DE LOS SERVICIOS PERTENECIENTES AL SERVICIO POSTAL UNIVERSAL - SPU.
DISPOSICIONES GENERALES.
ARTÍCULO 5.5.1.1. ÁMBITO Y OBJETO DE APLICACIÓN. <Artículo adicionado por el artículo 3 de la Resolución 6128 de 2020. El nuevo texto es el siguiente:> El presente Capítulo tiene por objeto definir los aspectos técnicos y sus condiciones, así como los indicadores y metas de los criterios de calidad para la prestación de todos los servicios pertenecientes al Servicio Postal Universal (SPU). Este capítulo será aplicable al Operador Postal Oficial debidamente habilitado por el Ministerio de Tecnologías de la Información y las Comunicaciones.
ASPECTOS TÉCNICOS Y CRITERIOS DE CALIDAD PARA LA PRESTACIÓN DE LOS SERVICIOS PERTENECIENTES AL SERVICIO POSTAL UNIVERSAL.
ARTÍCULO 5.5.2.1. ASPECTOS TÉCNICOS Y CRITERIOS DE CALIDAD. <Artículo adicionado por el artículo 3 de la Resolución 6128 de 2020. El nuevo texto es el siguiente:> Los aspectos técnicos y criterios de calidad con los cuales se definen los niveles de calidad para prestar los servicios pertenecientes al Servicio Postal Universal son los siguientes:
5.5.2.1.1. Tipos de municipio: clasificación de los municipios que conforman el territorio nacional, la cual deberá ser tenida en cuenta para cumplir los criterios de calidad en la prestación de los servicios pertenecientes al Servicio Postal Universal.
5.5.2.1.2. Cobertura: presencia que debe tener el Operador Postal Oficial en los diferentes municipios de Colombia para garantizar el acceso de la población a los servicios que hacen parte del Servicio Postal Universal. Se mide a través del indicador y la meta establecidos en el artículo 5.5.2.3. de la presente resolución.
5.5.2.1.3. Tiempos de entrega: plazo en días hábiles, para realizar la entrega del objeto postal al destinatario (D+n), contado a partir del día de la imposición del objeto postal por parte del remitente y la admisión por parte del Operador Postal Oficial. Se mide a través del indicador y la meta establecidos en el artículo 5.5.2.4. de la presente resolución.
5.5.2.1.4. Seguridad: entrega de los objetos postales en buen estado, ya sea al destinatario o al remitente, cuando no fue posible entregárselo al destinatario. Se mide a través del indicador y la meta establecidos en el artículo 5.5.2.6. de la presente resolución.
ARTÍCULO 5.5.2.2. TIPOS DE MUNICIPIO. <Artículo adicionado por el artículo 3 de la Resolución 6128 de 2020. El nuevo texto es el siguiente:> Para la prestación de todos los servicios pertenecientes al Servicio Postal Universal, todos los municipios del territorio nacional deberán clasificarse de conformidad con la siguiente tipología de municipios, según la División Político-Administrativa de Colombia (DIVIPOLA) elaborada por el Departamento Administrativo Nacional de Estadística (DANE):
Municipios tipo 1: Dentro de esta categoría se incluyen los municipios del país donde exista un centro de clasificación primario del Operador Postal Oficial, excluyendo municipios y capitales de departamento de difícil acceso.
Municipios tipo 2: Dentro de esta categoría se incluyen todas las ciudades capitales de departamento, distintas a las anteriores excluyendo municipios y capitales de departamento de difícil acceso.
Municipios tipo 3: Dentro de esta categoría se incluyen los municipios del país que no hagan parte de las categorías anteriormente descritas y que no sean considerados municipios de difícil acceso.
Municipios tipo 4: Dentro de esta categoría se incluyen los municipios y capitales de departamento considerados de difícil acceso por sus condiciones geográficas o de orden público.
PARÁGRAFO: Los municipios del territorio nacional que son categorizados como municipios tipo 4 se encuentran listados en el Anexo 5.9 del TÍTULO ANEXOS TÍTULO V de la presente resolución, los cuales pueden ser modificados teniendo en consideración las condiciones geográficas y de orden público que dificulten su acceso, así como la debida justificación técnica que al respecto remita el Operador Postal Oficial.
ARTÍCULO 5.5.2.3. COBERTURA. <Artículo adicionado por el artículo 3 de la Resolución 6128 de 2020. El nuevo texto es el siguiente:> Para la prestación de los servicios pertenecientes al Servicio Postal Universal, el Operador Postal Oficial deberá tener presencia en todas las cabeceras municipales del país. Para alcanzar este nivel de cobertura en cada municipio, se deberá cumplir al menos una de las siguientes dos condiciones:
Condición 1:
Para municipios tipo 1, 2 y 3, se calcula el Área Censal Urbana, expresada en kilómetros cuadrados, y definida como la suma del área de las cabeceras municipales y centros poblados del municipio, de conformidad con el Área Censal Urbana del municipio según el Marco Geoestadístico Nacional del DANE.
Se establece un valor de referencia
para calcular la cantidad de puntos de atención al público requerida:

Donde

Para cada municipio i, de tipo 1, 2 o 3, se redondea i al valor entero superior, obteniendo así la cantidad mínima de puntos necesarios en un municipio i Para todos los municipios tipo 4 deberá contarse con al menos un (1) punto de atención al público en la cabecera municipal.
Condición 2:
- Municipios tipo 1: al menos un (1) punto de atención al público por cada ochenta mil (80.000) habitantes o fracción, de conformidad con la población proyectada por el DANE para cada año.
- Municipios tipo 2: al menos un (1) punto de atención al público por cada ciento diez mil habitantes (110.000) habitantes o fracción, de conformidad con la población proyectada por el DANE para cada año.
- Municipios tipo 3: al menos un (1) punto de atención al público por cada trescientos mil habitantes (300.000) habitantes o fracción, de conformidad con la población proyectada por el DANE para cada año.
- Municipios tipo 4: al menos un (1) punto de atención al público en la cabecera municipal.
Las metas de cobertura que deberá cumplir el Operador Postal Oficial son:
- Cumplir al menos una de las dos condiciones en por lo menos 99,5% de los municipios.
- En el 100% de los municipios debe haber por lo menos un (1) punto de atención en la cabecera municipal.
Para efectos de la presente resolución, se entiende por punto de atención al público aquel punto, sitio o lugar de servicio al público donde se ofrezcan los servicios básicos del Servicio Postal Universal, operado directamente por el Operador Postal Oficial o a través de un tercero en virtud de un acuerdo con el operador.
ARTÍCULO 5.5.2.4. TIEMPOS DE ENTREGA. <Artículo adicionado por el artículo 3 de la Resolución 6128 de 2020. El nuevo texto es el siguiente:> El Operador Postal Oficial debe garantizar los tiempos de entrega (D+n) que se establecen a continuación, teniendo en cuenta el tipo de municipio de origen y de destino para cada uno de los envíos que tramite, para los ámbitos local, nacional e internacional, a través de los servicios de correspondencia prioritaria con o sin certificación, con o sin valor declarado; no prioritaria con o sin certificación; encomiendas con o sin certificación, con o sin valor declarado; y correo telegráfico:
Tiempos de entrega para correspondencia prioritaria, encomiendas, y correo telegráfico para el ámbito nacional e internacional

Tiempos de entrega para correspondencia no prioritaria para el ámbito nacional e internacional

Para las entregas de objetos postales salientes con destino internacional, el Operador Postal Oficial deberá garantizar la entrega del objeto postal a la autoridad competente de los trámites aduaneros o de las revisiones que requieren este tipo de envíos, en los tiempos de entrega aquí establecidos de acuerdo con el tipo de servicio que se preste. Para los envíos internacionales entrantes, los tiempos de entrega corresponden a los aquí definidos y se cuentan a partir de la nacionalización del objeto postal.
Para el caso de los envíos con destino a zonas rurales, el tiempo de entrega se contabilizará hasta la entrega del objeto postal en el punto de atención al público que corresponda. El Operador Postal Oficial deberá mantener disponible en el punto de atención al público el objeto postal para ser recogido por el destinatario durante mínimo 20 días.
Los envíos urbanos o de ámbito local de los servicios de correspondencia prioritaria, con o sin certificación, con o sin valor declarado; encomiendas con o sin certificación, con o sin valor declarado; y correo telegráfico se deberán entregar en un tiempo máximo de dos (2) días (D+2). Los envíos urbanos o de ámbito local de correspondencia no prioritaria, con o sin certificación, deberán entregarse en un plazo máximo de tres (3) días (D+3).
Para efectos de la presente resolución, se entiende como envío local o urbano todo aquel cuyo municipio de destino corresponde con el mismo municipio de origen o pertenece a la misma área metropolitana. Las áreas metropolitanas de Colombia que el Operador Postal Oficial debe utilizar en la prestación de sus servicios en el ámbito local (o urbano) son las reconocidas oficialmente por el DANE, que se encuentran disponibles en el Geovisor de Consulta de Codificación de la División Político-Administrativa de Colombia (DIVIPOLA).
Para el total de envíos, el Operador Postal Oficial debe cumplir en cada municipio las siguientes dos (2) condiciones de tiempos de entrega para la prestación de los servicios pertenecientes al SPU:
Condición 1 – Cumplimiento de tiempo de entrega para envíos originados en:
- Municipio tipo 1: al menos el 97% de los envíos deben ser entregados dentro de los tiempos determinados en este artículo.
- Municipio tipo 2: al menos el 95% de los envíos deben ser entregados dentro de los tiempos determinados en este artículo.
- Municipio tipo 3: al menos el 95% de los envíos deben ser entregados dentro de los tiempos determinados en este artículo.
- Municipio tipo 4: al menos el 92% de los envíos deben ser entregados dentro de los tiempos determinados en este artículo.
Condición 2 – Cumplimiento de tiempo de entrega para envíos cuyo destino es:
- Municipio tipo 1: al menos el 98% de los envíos deben ser entregados dentro de los tiempos determinados en este artículo.
- Municipio tipo 2: al menos el 95% de los envíos deben ser entregados dentro de los tiempos determinados en este artículo.
- Municipio tipo 3: al menos el 95% de los envíos deben ser entregados dentro de los tiempos determinados en este artículo.
- Municipio tipo 4: al menos el 90% de los envíos deben ser entregados dentro de los tiempos determinados en este artículo.
El Operador Postal Oficial deberá cumplir ambas condiciones para el 95 % de los municipios durante el año 2021, para el 97% de los municipios durante el año 2022 y para el 99% de los municipios a partir del año 2023.
En todo caso, ningún municipio podrá reportar incumplimiento de alguna de las dos condiciones por dos (2) trimestres consecutivos.
Para el cálculo del indicador de tiempos de entrega, en aquellos casos en los que el objeto postal sea admitido durante las tres (3) horas previas a la finalización del horario de atención al público, el objeto postal se entenderá admitido el día hábil siguiente, sin que ello requiera la modificación de la fecha de admisión del envío.
ARTÍCULO 5.5.2.5. FRECUENCIA DE RECOLECCIÓN Y ENTREGA. <Artículo adicionado por el artículo 3 de la Resolución 6128 de 2020. El nuevo texto es el siguiente:> El Operador Postal Oficial debe contar con una frecuencia de recolección en puntos de atención al público y una frecuencia de entrega en domicilio que le permitan dar cumplimiento a la meta general establecida para el indicador tiempos de entrega, definido en el artículo 5.5.2.4. de la presente resolución. El Operador Postal Oficial podrá elegir el mecanismo que mejor se ajuste a su operación, ya sea frecuencia de recolección y entrega por demanda o fija, el cual deberá reportar y justificar al Ministerio de Tecnologías de la Información y las Comunicaciones dentro de los 15 días hábiles siguientes a la fijación o modificación de la modalidad que escoja para cada uno de los municipios del país.
El Operador Postal Oficial deberá implementar mecanismos para la captura y transmisión de información de todos los envíos realizados mediante los servicios pertenecientes al Servicio Postal Universal, desde el momento de la admisión del objeto postal. Para ello, deberá registrar como mínimo: fecha en la que recibe el objeto postal, origen, destino, identificación del remitente y la tarifa cobrada por la prestación del servicio.
ARTÍCULO 5.5.2.6. SEGURIDAD. <Artículo adicionado por el artículo 3 de la Resolución 6128 de 2020. El nuevo texto es el siguiente:> El Operador Postal Oficial debe garantizar la seguridad de todos los envíos que realiza por la prestación de los servicios pertenecientes al Servicio Postal Universal. Para ello, todos los objetos postales que tramite a través de estos servicios deberán ser entregados al destinario o devueltos al remitente, cuando no sea posible su entrega al destinatario, en buen estado, tanto en el ámbito nacional como internacional, de conformidad con la fórmula que se describe a continuación:
% de objetos postales entregados al destinatario o devueltos al remitente en buen estado
![]()
Los términos incluidos se definen así:
- Objeto entregado al destinatario en buen estado: objeto postal entregado por el operador al destinatario, en las mismas condiciones en las que fue recibido por el operador.
- Objeto devuelto al remitente en buen estado: objeto postal entregado por el operador al remitente en las mismas condiciones en las que fue recibido por el operador.
- Objeto expoliado: objeto postal que, en poder del operador, le ha sido despojado con violencia o con iniquidad.
- Objeto perdido: objeto postal que, en poder del operador, ha sido extraviado.
- Objeto averiado: objeto postal que, en poder del operador, ha sido dañado.
- Devolución: objeto postal que no puede ser entregado al destinatario por causas ajenas al operador y es devuelto a su remitente.
Las metas de seguridad que debe cumplir el Operador Postal Oficial para la prestación de los servicios pertenecientes al Servicio Postal Universal son:
- Para los envíos de ámbito local o nacional, el 98% de objetos postales deben ser entregados al destinatario o devueltos al remitente en buen estado.
- Para los envíos de ámbito internacional, el 98% de objetos postales deben ser entregados al destinatario o devueltos al remitente en buen estado.
CONDICIONES DE CALIDAD APLICABLES A LOS SERVICIOS MAYORISTAS DE TELECOMUNICACIONES.
<Capítulo adicionado por el artículo 3 de la Resolución 7714 de 2025>
OBLIGACIONES GENERALES.
ARTÍCULO 5.6.1.1. INDICADOR DE DISPONIBILIDAD DEL SERVICIO PORTADOR. <Artículo adicionado por el artículo 3 de la Resolución 7714 de 2025. El nuevo texto es el siguiente:> Los PRST que suministren el servicio portador a otros PRST para la provisión del servicio de Internet fijo residencial deben medir y reportar el indicador de calidad Disponibilidad del servicio portador por cada uno de los municipios del territorio nacional en los que provea el servicio.
Los procedimientos para la medición y cálculo están consignados en el literal A. del Anexo 5.11. del TÍTULO ANEXOS de la presente resolución.
El reporte de esta información se debe realizar por medio del Formato T.2.7 de la presente resolución.
ARTÍCULO 5.6.1.2. OBLIGACIONES DE LOS PROVEEDORES DEL SERVICIO PORTADOR. <Artículo adicionado por el artículo 3 de la Resolución 7714 de 2025. El nuevo texto es el siguiente:> Todos los PRST que suministren el servicio portador a los PRST que presten el servicio de Internet fijo residencial deben cumplir con las siguientes condiciones:
5.6.1.2.1. Suministrar los servicios con base en los principios de trato igualitario, no discriminatorio y transparencia.
5.6.1.2.2. Suministrar toda la información que sea necesaria para que otros PRST cumplan con las obligaciones contenidas en el Capítulo 1 del Título V de la presente resolución.
CONDICIONES DE CALIDAD PARA LA PROVISIÓN DEL SERVICIO PORTADOR EN LOS MERCADOS MAYORISTAS SUSCEPTIBLES DE REGULACIÓN EX ANTE.
ARTÍCULO 5.6.2.1. ÁMBITO DE APLICACIÓN. <Artículo adicionado por el artículo 3 de la Resolución 7714 de 2025. El nuevo texto es el siguiente:> Esta sección es aplicable a todos los PRST que suministren el servicio portador a otros PRST para la provisión del servicio de Internet fijo residencial en al menos uno de los mercados municipales mayoristas de portador definidos en el Anexo 3.2 de la presente resolución.
No se podrá pactar la inaplicación de las disposiciones que componen esta sección en los acuerdos que se suscriban entre los PRST que suministren el servicio portador y los PRST que presten el servicio de Internet fijo residencial ubicados en dichos municipios.
ARTÍCULO 5.6.2.2. OBLIGACIONES DE LOS PROVEEDORES DEL SERVICIO PORTADOR EN LOS MERCADOS MAYORISTAS SUSCEPTIBLES DE REGULACIÓN EX ANTE. <Artículo adicionado por el artículo 3 de la Resolución 7714 de 2025. El nuevo texto es el siguiente:> Todos los PRST que suministren el servicio portador a los PRST que presten el servicio de Internet fijo residencial en al menos uno de los mercados municipales mayoristas de portador definidos en el Anexo 3.2 de la presente resolución deben cumplir con las siguientes condiciones:
5.6.2.2.1. Publicar en su página web, como mínimo, el indicador de Disponibilidad del servicio portador por municipio, y demás condiciones de calidad con las que presta su servicio. Asimismo, deberá publicar la información de los municipios donde suministra el servicio portador.
5.6.2.2.2. Cumplir los valores objetivo del indicador de Disponibilidad del servicio portador por municipio definidos en el literal B. del Anexo 5.11 de la presente resolución.
ARTÍCULO 5.6.2.3. AFECTACIÓN DEL SERVICIO PORTADOR CON INCIDENCIA EN EL SERVICIO DE INTERNET FIJO RESIDENCIAL. <Artículo adicionado por el artículo 3 de la Resolución 7714 de 2025. El nuevo texto es el siguiente:> Los PRST que provean el servicio portador a otros PRST que suministren el servicio de Internet fijo residencial en al menos uno de los mercados municipales susceptibles de regulación ex ante, enlistados en el Anexo 3.2 de la presente resolución, deberán reportar a MinTIC las afectaciones asociadas a dicho servicio mayorista de la siguiente manera:
i. Las afectaciones cuya duración sea mayor a 60 y hasta 180 minutos, se tendrán que reportar a MinTIC dentro de los treinta (30) días siguientes a su ocurrencia.
ii. Las afectaciones cuya duración sea mayor a 180 minutos, se tendrán que reportar a MinTIC dentro de las veinticuatro (24) horas siguientes a su ocurrencia.
Para efectos del cumplimiento de esta obligación de reporte se entiende por afectación del servicio portador con incidencia en el servicio de Internet fijo residencial, al evento de indisponibilidad del servicio que supera los 60 minutos ininterrumpidos e impide la prestación del servicio de Internet fijo residencial por parte del PRST, independientemente de si la causa es atribuible o no al PRST que suministre el servicio portador.
El reporte deberá ser remitido a MinTIC por medio de los formatos o mecanismos que ese Ministerio determine y deberá constar, al menos, de la siguiente información: municipios afectados, fecha y hora de inicio de la afectación y fecha y hora en que se resolvió la afectación. Para aquellos casos en los que la afectación no haya sido resuelta al momento del reporte al MinTIC, el PRST que suministra el servicio portador deberá actualizar dicho reporte dentro de las veinticuatro (24) horas siguientes a la solución de la afectación indicando cómo fue resuelta y el tiempo total de la afectación.
RÉGIMEN DE ADMINISTRACIÓN DE RECURSOS DE IDENTIFICACIÓN.
DISPOSICIONES GENERALES.
ARTÍCULO 6.1.1.1. OBJETO Y ÁMBITO DE APLICACIÓN. <Artículo modificado por el artículo 1 de la Resolución 5968 de 2020. El nuevo texto es el siguiente:> El presente título tiene como objeto establecer los principios, criterios y procedimientos para la administración, el uso eficiente, la asignación y la recuperación de los recursos de identificación utilizados en la provisión de redes y servicios de telecomunicaciones.
ARTÍCULO 6.1.1.2. PRINCIPIOS PARA LA ADMINISTRACIÓN E IMPLEMENTACIÓN DE LOS RECURSOS DE IDENTIFICACIÓN. <Artículo modificado por el artículo 88 de la Resolución 7811 de 2025. El nuevo texto es el siguiente:> Los principios para la administración e implementación de los recursos de identificación son los siguientes:
6.1.1.2.1. Neutralidad: Los recursos de identificación serán administrados teniendo en cuenta que los asignatarios podrán utilizar cualquier tecnología para la prestación de sus servicios, siempre que se garantice el uso eficiente y se preserve la interoperabilidad de plataformas, servicios o aplicaciones y el interfuncionamiento de redes.
6.1.1.2.2. Buena fe: Los recursos de identificación serán administrados respondiendo a la necesidad de garantizar su uso eficiente y velando por guardar la rectitud, lealtad y honestidad en dicha administración.
6.1.1.2.3. Eficacia: Los recursos de identificación deben ser administrados e implementados de manera eficaz, de forma tal que sean asignados y usados teniendo en cuenta las atribuciones definidas por el Administrador de los Recursos de Identificación.
6.1.1.2.4. Eficiencia: Los recursos de identificación deben ser administrados, asignados e implementados de manera eficiente dada su naturaleza finita o escasa, velando porque sea óptimo su aprovechamiento en aras de generar competencia y calidad, en beneficio de los usuarios. Este principio se hace extensivo a las proyecciones de utilización del recurso que se contemplan en las solicitudes de asignación.
6.1.1.2.5. Imparcialidad, igualdad y no discriminación: Los recursos de identificación se asignarán de manera imparcial tomando en cuenta los procedimientos establecidos, siempre y cuando el solicitante cumpla con los requisitos fijados en la regulación, para dar así un tratamiento equitativo y no discriminatorio en el proceso de asignación.
ARTÍCULO 6.1.1.3. ESTADOS DE LOS RECURSOS DE IDENTIFICACIÓN. <Artículo modificado por el artículo 89 de la Resolución 7811 de 2025. El nuevo texto es el siguiente:> Los recursos de identificación administrados por la CRC podrán encontrarse en los siguientes estados:
6.1.1.3.1. Recurso de identificación atribuido: Recurso dado de alta en un plan, con el fin de que pueda ser solicitado y asignado bajo las condiciones establecidas para el efecto.
6.1.1.3.2. Recurso de identificación en reserva: Recurso atribuido pero no disponible temporalmente para solicitud o asignación.
6.1.1.3.3. Recurso de identificación disponible: Recurso atribuido y que puede ser asignado al solicitante que cumpla las condiciones establecidas para el efecto.
6.1.1.3.4. Recurso de identificación asignado: Recurso atribuido respecto del cual se autorizó el uso bajo unas condiciones específicas.
6.1.1.3.5. Recurso de identificación no asignable: Recurso atribuido que no puede ser asignado por razones de estructura y operatividad propia del mismo.
6.1.1.3.6. Recurso de identificación implementado en el uso asignado: Recurso asignado que ha sido implementado en una red y está cumpliendo efectivamente la función para la cual se solicitó.
6.1.1.3.7. Recurso de identificación no implementado: Recurso asignado que no ha sido implementado en una red.
ARTÍCULO 6.1.1.4. PLANIFICACIÓN DE LOS RECURSOS DE IDENTIFICACIÓN. <Artículo modificado por el artículo 90 de la Resolución 7811 de 2025. El nuevo texto es el siguiente:> Los criterios para la planificación de los recursos de identificación son los siguientes:
6.1.1.4.1. Cuando se supere el 75% de asignación de los recursos atribuidos, y no se cuente con otra atribución destinada para la misma finalidad.
6.1.1.4.2. Cuando se identifique, de oficio o a solicitud del sector, una necesidad de adopción de un recurso de identificación para soportar la operación de algún servicio o aplicación en particular, o se requiera la modificación de alguna de las condiciones de atribución vigentes.
6.1.1.4.3. Cuando organismos internacionales o autoridades locales realicen cambios en las recomendaciones, estándares o planes técnicos adoptados para la estructuración de los recursos de identificación, y que dicha actualización implique cambios en la planeación previamente establecida.
De cumplirse alguno de los criterios mencionados, el Administrador de los Recursos de Identificación realizará un análisis para estimar la demanda del recurso de identificación para un periodo no inferior a 5 años, para lo cual tendrá en cuenta entre otras recomendaciones y estándares internacionales.
A partir del análisis realizado, la CRC podrá modificar las atribuciones para cubrir los requerimientos del sector en el periodo mencionado, lo cual se reflejará en el SIGRI y se comunicará a los interesados. También podrá realizar nuevas atribuciones, caso en el cual se deberán definir las respectivas reservas con el propósito de que el proceso de asignación se lleve a cabo de una manera ordenada, así como establecer los requisitos y el procedimiento de asignación, los criterios de uso eficiente, los mecanismos de verificación de uso, las causales de recuperación y las demás condiciones particulares que resulten aplicables a la nueva atribución.
Cuando dentro de la actividad de planeación se identifica alguna afectación a los usuarios de los servicios asociados, se concertará un cronograma de migración que permita al asignatario efectuar los cambios y ajustes técnicos del caso, así como un programa de educación que permita mitigar al máximo dicha afectación.
Cuando se identifique, de oficio o a solicitud del ente encargado, la necesidad de realizar modificaciones por razones de seguridad nacional no resultará aplicable expresamente el procedimiento de planificación dispuesto, sino el mecanismo que la CRC considere más expedito para llevar a cabo las modificaciones.
ARTÍCULO 6.1.1.5. ASIGNACIÓN DE RECURSOS DE IDENTIFICACIÓN. <Artículo modificado por el artículo 91 de la Resolución 7811 de 2025. El nuevo texto es el siguiente:> El Administrador de los Recursos de Identificación, asignará, de oficio o a petición de los solicitantes recursos de identificación para lo cual tendrá en cuenta las atribuciones definidas para cada recurso que se encuentren registradas en el SIGRI.
La asignación de los recursos de identificación no genera costo, por lo que los asignatarios no podrán cobrar remuneración alguna a sus usuarios por efectos de la asignación y utilización correspondiente.
PARÁGRAFO. Los recursos de identificación no pueden ser objeto de venta o comercialización. Tampoco pueden ser cedidos o transferidos, excepto cuando el
Administrador de los Recursos de Identificación lo autorice de manera expresa, de oficio o a solicitud de parte, para lo cual el nuevo asignatario deberá cumplir los requisitos de asignación correspondientes.
En el caso de emitirse una autorización expresa de cesión o transferencia de los derechos de uso de los recursos de identificación, el nuevo asignatario adquiere todas las obligaciones sobre los recursos de identificación cedidos o transferidos.
ARTÍCULO 6.1.1.6. OBLIGACIONES. <Artículo modificado por el artículo 92 de la Resolución 7811 de 2025. El nuevo texto es el siguiente:> Las obligaciones del Administrador de los Recursos de Identificación y de los asignatarios de esos recursos son las siguientes:
6.1.1.6.1. OBLIGACIONES PARA DEL ADMINISTRADOR DE LOS RECURSOS DE IDENTIFICACIÓN.
6.1.1.6.1.1. Desarrollar sus actividades teniendo en cuenta los principios previstos para el efecto en el artículo 6.1.1.2 de la presente resolución.
6.1.1.6.1.2. Garantizar en todo momento la disponibilidad de recursos de identificación según la realidad del mercado.
6.1.1.6.1.3. Tramitar todas las solicitudes relacionadas con recursos de identificación, así como detectar los posibles usos ineficientes con el fin de ejecutar el procedimiento de recuperación correspondiente.
6.1.1.6.1.4. Adoptar decisiones teniendo en cuenta la protección de los usuarios, la promoción de la competencia y el desarrollo del sector.
6.1.1.6.1.5. Poner a disposición el estado de los recursos de identificación que administra, así como cualquier otra información relacionada que considere necesaria para garantizar la transparencia en la administración que realiza, para lo cual empleará el SIGRI. Toda la información mencionada deberá estar actualizada.
6.1.1.6.2. OBLIGACIONES GENERALES DE LOS ASIGNATARIOS DE LOS RECURSOS DE IDENTIFICACIÓN.
6.1.1.6.2.1. Demostrar que los recursos de identificación se usan eficientemente según la solicitud y la consecuente asignación por parte de la Comisión.
6.1.1.6.2.2. Utilizar el recurso de identificación en la forma y aplicación específica para la que le ha sido asignado.
6.1.1.6.2.3. No vender ni comercializar los recursos de identificación Tampoco cederlos ni transferiros hasta que no se tenga la autorización del Administrador de los Recursos de Identificación.
6.1.1.6.2.4. Implementar las acciones necesarias para garantizar el máximo aprovechamiento de cada recurso de identificación asignado, de acuerdo con los criterios de uso eficiente establecidos para tal fin.
6.1.1.6.2.5. Facilitar la información de manera veraz, completa y oportuna que sea solicitada por el Administrador de los Recursos de Identificación.
6.1.1.6.2.6. Tramitar su inscripción en el portal de trámites de la CRC o aquel sistema que lo sustituya, como requisito administrativo para la asignación de los recursos de identificación.
6.1.1.6.2.7. Mantener actualizada su información en el portal de trámites de la CRC o aquel sistema que lo sustituya. Cuando el asignatario deje de prestar sus servicios, se recuperen o se acepte la devolución de todos los recursos de identificación que le sean asignados, deberá cancelar el registro realizado en portal de trámites de la CRC, sin perjuicio de que esta Entidad conserve los datos para el ejercicio de sus funciones.
6.1.1.6.2.8. Implementar los recursos de identificación asignados dentro del término establecido para el efecto, el cual será contado a partir de la ejecutoria del acto administrativo de asignación.
6.1.1.6.2.9. Tener en cuenta los estados de los recursos de identificación registrados en el SIGRI. En el mismo sentido, los PRST deberán considerar ese estado al momento de la implementación de los recursos de identificación en sus redes, de tal forma que se garantice que estos se encuentren en estado de asignación. En todo caso, los recursos de identificación que hayan sido recuperados o se encuentren en estado disponible no podrán estar implementados en la red de los PRST, para lo cual el asignatario deberá informar a los PRST lo correspondiente, una vez la decisión de recuperación se encuentre ejecutoriada.
6.1.1.6.2.10. Devolver de manera oportuna aquellos recursos que ya no use o no necesite, en concordancia con los criterios de uso eficiente definidos.
6.1.1.6.2.11. Usar herramientas y mecanismos que resulten necesarios para garantizar que los recursos de identificación se utilizan conforme fueron asignados.
ARTÍCULO 6.1.1.7. DEVOLUCIÓN DE LOS RECURSOS DE IDENTIFICACIÓN. <Artículo modificado por el artículo 93 de la Resolución 7811 de 2025. El nuevo texto es el siguiente:> Los asignatarios de los recursos de identificación podrán devolver al Administrador de los Recursos de Identificación aquellos recursos que ya no utilicen, para lo cual deberán remitir los requisitos establecidos en el numeral 6.1.7.1. a través del trámite unificado de recursos de identificación o de correo electrónico. Una vez el asignatario ha formalizado la devolución mediante el envío de la totalidad de los requisitos, el Administrador de los Recursos de Identificación procederá a aplicar el procedimiento establecido en el numeral 6.1.7.2. del presente artículo, y se pronunciará dentro de los quince (15) días hábiles siguientes a su recibo.
6.1.1.7.1. REQUISITOS PARA LA DEVOLUCIÓN DE RECURSOS DE IDENTIFICACIÓN.
6.1.1.7.1.1. Relación de los recursos a devolver.
6.1.1.7.1.2. Aclaración sobre si el recurso de identificación fue implementado efectivamente o no en el uso asignado.
6.1.1.7.1.3. Motivo de la devolución del recurso de identificación.
6.1.1.7.1.4. Declaración y justificación de posibles afectaciones a los usuarios por efecto de la devolución del recurso.
6.1.1.7.1.5. Cualquier otra información que considere necesaria.
6.1.1.7.2. PROCEDIMIENTO PARA LA ACEPTACIÓN DE LA DEVOLUCIÓN DE RECURSOS DE IDENTIFICACIÓN.
El Administrador de los Recursos de Identificación verificará que la solicitud de devolución contenga todos los requisitos establecidos para el efecto y analizará si la devolución del recurso de identificación podría causar afectaciones a los usuarios o al correcto funcionamiento del servicio de telecomunicaciones asociado.
En caso de que la aceptación de la devolución del recurso no incida en el correcto funcionamiento del servicio asociado, el Administrador de los Recursos de Identificación expedirá el respectivo acto administrativo que acepta la devolución, y posteriormente procederá a cambiar su estado en el SIGRI.
En caso de que la aceptación de la devolución del recurso incida en el correcto funcionamiento del servicio asociado, se procederá a establecer un plan de devolución en conjunto con el asignatario de tal manera que se minimicen los posibles impactos. Una vez finalizado el plan de devolución se cambiará el estado del recurso en el SIGRI y se expedirá el respectivo acto administrativo particular que acepta la devolución.
PARÁGRAFO. Los recursos que hayan sido implementados en el uso asignado podrán ser puestos en estado de reserva por el periodo que considere adecuado el Administrador de los Recursos de Identificación al momento de aceptar la devolución, con el objeto de minimizar posibles riesgos técnicos a la hora de una nueva implementación. Aquellos recursos devueltos que no hayan sido implementados en el uso asignado quedarán en estado disponible una vez quede en firme el acto administrativo particular mediante el cual se acepta su devolución.
ARTÍCULO 6.1.1.8. RECUPERACIÓN DE LOS RECURSOS DE IDENTIFICACIÓN. <Artículo modificado por el artículo 94 de la Resolución 7811 de 2025. El nuevo texto es el siguiente:> Cuando el Administrador de los Recursos de Identificación, mediante los mecanismos de verificación de uso diseñados para tal fin, detecte la presunta configuración de alguna de las causales de recuperación establecidas o el presunto uso ineficiente de algún recurso de identificación asignado, adelantará el procedimiento de recuperación establecido en este artículo, teniendo en cuenta lo establecido en el Código de Procedimiento Administrativo y de lo Contencioso Administrativo (CPACA) para las actuaciones administrativas.
6.1.1.8.1. El Administrador de los Recursos de Identificación remitirá un oficio de apertura de actuación administrativa de recuperación al asignatario donde justifique las razones por las cuales se ha identificado el presunto uso ineficiente del recurso, especificando expresamente las faltas a los criterios de uso eficiente o las causales de recuperación en las que está incurriendo, con el objeto de garantizar el derecho a la defensa y al debido proceso.
6.1.1.8.2. Una vez obtenida la respuesta del asignatario, esta será analizada por el Administrador de los Recursos de Identificación. Se podrá solicitar la información adicional que se considere necesaria para constatar si procede o no la recuperación del recurso.
6.1.1.8.3. En caso de proceder la recuperación, se expedirá y notificará la respectiva resolución de recuperación de los recursos de identificación contemplados en el inicio de la actuación administrativa particular. En la decisión se contemplará el establecimiento de tiempos en estado de reserva en el caso que el Administrador de los Recursos de Identificación los considere aplicables. La decisión de recuperación se informará a todos los PRST para que procedan con la desactivación de ese recurso en su red, según corresponda.
6.1.1.8.4. Una vez en firme el acto administrativo particular de recuperación, se registrarán las respectivas modificaciones de estado de los recursos recuperados en el SIGRI.
PARÁGRAFO 1o. En el evento de que pueda haber usuarios afectados por la recuperación de algún recurso de identificación, el Administrador de los Recursos de Identificación otorgará un plazo para la transición, que no podrá ser menor a seis (6) meses ni superior a un (1) año, para adelantar las gestiones relativas a la migración y la publicidad a dichos usuarios. Pasado este plazo, los recursos recuperados podrán ser puestos en estado "reservado" por el periodo que considere adecuado el Administrador de los Recursos de Identificación antes de pasar a estado "disponible", con el objeto de minimizar posibles riesgos a la hora de una nueva implementación.
PARÁGRAFO 2o. El procedimiento de recuperación previsto en este artículo no se aplicará cuando el asignatario manifieste en forma expresa que no utiliza los recursos de identificación asignados. En este caso, la CRC analizará la situación manifestada por el asignatario y de, considerarlo pertinente, expedirá una resolución que cambie el estado del recurso de identificación de "asignado" a "disponible" en el SIGRI.
PARÁGRAFO 3o. En las actuaciones administrativas de recuperación de códigos cortos iniciadas por las causales señaladas en los numerales 6.4.3.2.2., 6.4.3.2.8. y 6.4.3.2.9. del artículo 6.4.3.2. de la presente resolución, la CRC podrá ordenar, en el acto de apertura de la actuación administrativa, la suspensión temporal del uso del recurso de identificación. Dicha suspensión se mantendrá durante el trámite administrativo y no podrá exceder un plazo máximo de seis (6) meses.
ARTÍCULO 6.1.1.9. DELEGACIÓN DE LA ADMINISTRACIÓN DE LOS RECURSOS DE IDENTIFICACIÓN. <Artículo modificado por el artículo 1 de la Resolución 5968 de 2020. El nuevo texto es el siguiente:> Delegar en el funcionario de la Comisión de Regulación de Comunicaciones que haga las veces de Coordinador del Grupo Interno de Trabajo de Relacionamiento con Agentes las funciones del Administrador de los Recursos de Identificación, incluidas la expedición de los actos administrativos de asignación, devolución y recuperación de todos los recursos de identificación bajo la responsabilidad de la CRC.
NUMERACIÓN E-164.
PLANIFICACIÓN DE LA NUMERACIÓN E-164.
ARTÍCULO 6.2.1.1. ESTRUCTURA DE LA NUMERACIÓN E.164. <Artículo modificado por el artículo 1 de la Resolución 5968 de 2020. El nuevo texto es el siguiente:> La estructura del número internacional para Colombia está dada por el esquema expuesto a continuación:
| Estructura de la numeración E.164 para Colombia | ||
| Número Internacional | ||
| 2 dígitos | 3 dígitos | 7 dígitos |
| CC | NDC | SN |
| 57 | N(S)N | |
Está compuesta por una cadena de máximo 12 dígitos, en donde los primeros 2 dígitos corresponden al código de país (Country Code o CC por sus siglas en inglés) asignado por la Unión Internacional de Telecomunicaciones - UIT, e identifica a Colombia mediante el número 57 en el ámbito internacional. Los siguientes dígitos corresponden al indicativo nacional de destino (National Destination Code o NDC por sus siglas en inglés) el cual se compone de 3 dígitos tanto para las áreas geográficas como para las áreas no geográficas. Los últimos 7 dígitos de la cadena corresponden al número de suscriptor (Subscriber Number o SN por sus siglas en inglés), que constituyen el número que identifica al abonado o servicio en un área geográfica o no geográfica. El conjunto constituido por el indicativo nacional de destino y el número de suscriptor es conocido como el Número Nacional Significativo o N(S)N.
ARTÍCULO 6.2.1.2. ATRIBUCIONES DE LA NUMERACIÓN E.164. <Artículo modificado por el artículo 1 de la Resolución 5968 de 2020. El nuevo texto es el siguiente:>
6.2.1.2.1 NUMERACIÓN GEOGRÁFICA. Para la identificación de usuarios que accedan a los servicios de voz y datos mediante redes con acceso fijo, se atribuyen los NDC comprendidos entre el 600 y el 699 teniendo en cuenta la cobertura geográfica y las especificaciones dispuestas en el SIGRI.
6.2.1.2.2 NUMERACIÓN NO GEOGRÁFICA DE REDES. Para la identificación de usuarios que accedan a los servicios de voz y datos provistos por las redes de acceso móvil terrestre, móvil satelital, fijo satelital y troncalizado – trunkíng, se atribuye la serie de NDC comprendidos entre el 300 y el 399 de conformidad con la distribución dispuesta en el SIGRI.
6.2.1.2.3 NUMERACIÓN NO GEOGRÁFICA DE SERVICIOS. Para la identificación de servicios provistos por las redes de acceso fijo y móvil, se atribuye la serie de NDC comprendidos entre el 800 y el 999 de conformidad con la distribución dispuesta en el SIGRI.
6.2.1.2.4 NUMERACIÓN NO GEOGRÁFICA PARA TELECOMUNICACIONES UNIVERSALES PERSONALES - UPT. Para la identificación de telecomunicaciones universales personales UPT se atribuye la serie de NDC comprendidos entre el700 y el 799 de conformidad con la distribución dispuesta en el SIGRI.
ARTÍCULO 6.2.1.3. ASIGNATARIOS DE LA NUMERACIÓN E.164. <Artículo modificado por el artículo 1 de la Resolución 5968 de 2020. El nuevo texto es el siguiente:> Podrán solicitar y ser asignatarios de numeración E.164 todos los Proveedores de Redes y Servicios de Telecomunicaciones y entidades que hacen parte de la fuerza pública y organismos del Estado cuya función esté orientada a preservar el orden público, a preservar el orden constitucional y brindar una adecuada administración de justicia.
ASIGNACIÓN DE LA NUMERACIÓN E.164.
ARTÍCULO 6.2.2.1. REQUISITOS PARA LA ASIGNACIÓN DE NUMERACIÓN E164. <Artículo modificado por el artículo 1 de la Resolución 5968 de 2020. El nuevo texto es el siguiente:> A efectos de solicitar numeración E.164, el solicitante debe remitir al Administrador de los Recursos de Identificación, a través del trámite unificado de recursos de identificación dispuesto para tal fin en el SIUST, o aquel sistema que Ho sustituya, la siguiente información:
6.2.2.1.1. Numeración E.164 solicitada y cantidad por clase de numeración.
6.2.2.1.2. Propósito de la numeración E.164 solicitada.
6.2.2.1.3. Cronograma de implementación de los números solicitados, el cual deberá ser específico para el año siguiente contado a partir de la fecha en que quede en firme el acto administrativo de asignación de la numeración E.164.
6.2.2.1.4. Un estudio de necesidades de numeración específico para el año siguiente contado a partir de la fecha de asignación de la numeración. De manera informativa, el solicitante podrá contemplar un estudio de necesidades para un periodo mayor. Dicho estudio deberá tener en cuenta, entre otros aspectos, la numeración previamente asignada al solicitante en el mismo ámbito geográfico o no geográfico, la demanda de usuarios, la información del mercado que se pretende satisfacer y la proyección actualizada de necesidades de numeración con respecto a la presentada en el último reporte de implementación y previsión de numeración de que trata el FORMATO 5.1 <Formato T.5.1*> del TÍTULO REPORTES DE INFORMACIÓN. En el evento en el que el asignatario no posea numeración previamente asignada de la misma clase que solicita, la proyección la debe realizar tomando como referencia la información de asignatarios ya existentes en el mismo ámbito geográfico o no geográfico solicitado.
6.2.2.1.5. Tres (3) sugerencias del rango numérico a ser asignado, en orden de preferencia, teniendo en cuenta la numeración disponible en el SIGRI.
6.2.2.1.6. Si el solicitante tiene numeración asignada previamente en el mismo ámbito geográfico o no geográfico solicitado, deberá incluir el porcentaje de implementación de la numeración ya asignada, calculado mediante la siguiente fórmula:
Donde:

NIU= Cantidad de numeración implementada en la red que está siendo utilizada efectivamente por los usuarios finales de los servicios de telecomunicaciones en el ámbito geográfico o no geográfico solicitado.
NIOU= Cantidad de numeración asignada en el ámbito geográfico o no geográfico solicitado, que se encuentra implementada en la red pero que no está siendo utilizada por usuarios.
TNA= Cantidad total de numeración asignada al proveedor solicitante en el ámbito geográfico o no geográfico de la numeración solicitada.
6.2.2.1.7. Si la solicitud corresponde a numeración no geográfica para uso de redes y se realiza por primera vez, el solicitante debe suministrar el permiso de uso de espectro radioeléctrico otorgado por el Ministerio de Tecnologías de la Información y las Comunicaciones. Si el proveedor solicitante no cuenta con dicho permiso, debe suministrar el acuerdo comercial que haya establecido con el proveedor sobre el cual ofrece u ofrecerá sus servicios de telecomunicaciones y que cuenta con el permiso en mención.
6.2.2.1.8. Cualquier otra información que le permita al solicitante justificar su solicitud.
PARÁGRAFO. El Administrador de los Recursos de Identificación autoriza de manera general el uso de la numeración E.164 atribuida para pruebas dentro de la tabla de atribuciones contenida en el SIGRI, recurso que deberá ser implementado únicamente para uso interno en las redes de los proveedores que requieran llevar a cabo pruebas de puesta en marcha de servicios o elementos de red. El recurso dispuesto para pruebas de ninguna manera podrá ser empleado para soportar el funcionamiento de servicios ofrecidos a usuarios finales, y su atribución podrá ser modificada en cualquier momento por el Administrador de los Recursos de Identificación.
ARTÍCULO 6.2.2.2. PROCEDIMIENTO DE ASIGNACIÓN DE LA NUMERACIÓN E.164. <Artículo modificado por el artículo 1 de la Resolución 5968 de 2020. El nuevo texto es el siguiente:> Una vez remitidas las solicitudes de numeración E.164 conforme con lo establecido en el ARTÍCULO de la SECCION 2 del CAPÍTULO 2 del TÍTULO VI de la presente resolución, el Administrador de los Recursos de Identificación se pronunciará dentro de los quince (15) días hábiles siguientes, contados a partir del recibo de la solicitud de numeración E.164 por parte del solicitante, para lo cual se determinará la pertinencia o no de la asignación solicitada mediante el siguiente procedimiento:
6.2.2.2.1. Se verificará que la solicitud presentada por el solicitante cumpla con todos los requisitos establecidos en el ARTÍCULO 6.2.2.1. de la SECCION 2 del CAPÍTULO 2 del TÍTULO VI. En caso de requerirse, se solicitará información adicional.
6.2.2.2.2. Cuando el solicitante tenga cualquier tipo de numeración E.164 previamente asignada se constatará que éste haya remitido el último reporte de implementación y previsión de numeración contenido en el FORMATO 5.1 <Formato T.5.1*> del TÍTULO REPORTES DE INFORMACIÓN.
6.2.2.2.3. Para el caso de proveedores con numeración E.164 de la misma clase previamente asignada, se verificará que el porcentaje indicado de implementación de dicha numeración sea mayor al 70%. En caso contrario, la asignación no procederá y se le informará al proveedor la razón de la negación de la asignación.
6.2.2.2.4. En este punto se verificará que el porcentaje de numeración implementada en otros usos no supere el 20% con respecto a la numeración implementada en usuarios. Se evaluará el cumplimiento de dicho porcentaje empleando la siguiente fórmula:
Donde:

%NIOU= Porcentaje de numeración implementada en otros usos con respecto a la numeración implementada a usuarios en el ámbito geográfico o no geográfico solicitado.
TNA= Cantidad total de numeración asignada al proveedor solicitante en el ámbito geográfico o no geográfico de la numeración solicitada.
NNI= Numeración asignada en el ámbito geográfico o no geográfico de la numeración solicitada, no implementada en la red.
NIU= Cantidad de numeración implementada en la red que está siendo utilizada efectivamente por los usuarios finales de los servicios de telecomunicaciones en el ámbito geográfico o no geográfico solicitado.
6.2.2.2.5. Los criterios definidos en los numerales 6.2.2.2.3 y 6.2.2.2.4 del presente artículo no serán considerados en el procedimiento de asignación cuando se trate de la primera solicitud de numeración E.164 que realice el solicitante. En caso contrario, de no cumplirse con alguno de los anteriores criterios, el Administrador de los Recursos de Identificación negará la asignación de la numeración E.164 e informará al solicitante acerca de las razones a través del correspondiente acto administrativo.
6.2.2.2.6. En caso de cumplirse con todos los requisitos, se comprobará la disponibilidad y la viabilidad de la asignación en el SIGRI, conforme al orden de preferencia sugerido por el solicitante, y se procederá a pasar, total o parcialmente, los bloques solicitados al estado de preasignación, en tanto se concluye el trámite de asignación. Si los rangos sugeridos por el solicitante no se encuentran disponibles, el Administrador de los Recursos de Identificación procederá con la preasignación de los rangos que considere pertinentes.
6.2.2.2.7. Una vez se expida y quede en firme el acto administrativo de asignación, se procederá a pasar al estado de asignación la numeración preasignada.
PARÁGRAFO 1. Para efectos del cálculo del indicador %NIOU de que trata el numeral 6.2.2.2.4 del presente artículo, y únicamente cuando se trate de solicitudes de asignación de numeración E.164 no geográfica para uso de redes, la numeración programada en la red y disponible para la venta de líneas se considerará como Numeración Implementada en Usuarios, esto siempre y cuando la solicitud de numeración sea coherente con el cronograma de implementación y el estudio de necesidades establecidos en los numerales 6.2.2.1.3. y 6.2.2.1.4. del ARTÍCULO 6.2.2.1. de la SECCION 2 del CAPÍTULO 2 del TÍTULO VI y que fueron presentados como parte de la solicitud de numeración E.164.
PARÁGRAFO 2. Las solicitudes de asignación de numeración no geográfica para uso de redes que se realicen por primera vez, y en las que se manifieste expresamente que no se cumple con los requisitos contemplados en el numeral 6.2.2.1.7. del ARTÍCULO 6.2.2.1. de la SECCION 2 del CAPÍTULO 2 del TÍTULO VI, serán analizadas por el Administrador de los Recursos de Identificación para determinar su viabilidad. En estos casos, el Administrador de los Recursos de Identificación podrá solicitar la información adicional que considere pertinente y se pronunciará frente a la solicitud dentro de los sesenta (60) días siguientes a la fecha en que fue presentada.
PARÁGRAFO 3. La numeración que haya sido asignada para el uso de un tercero en la red del asignatario podrá ser asignada directamente al tercero, previa solicitud del asignatario al Administrador de los Recursos de Identificación. En este caso, el tercero adquiere todas las obligaciones generales para los asignatarios definidas en el numeral 6.1.1.6.2. del ARTÍCULO 6.1.1.6. de la SECCION 1 del CAPÍTULO 1 del TÍTULO VI, y las dispuestas en el acto administrativo por medio del cual fue asignada la numeración E.164 inicialmente.
USO DE LA NUMERACIÓN E.164.
ARTÍCULO 6.2.3.1. CRITERIOS DE USO EFICIENTE. <Artículo modificado por el artículo 1 de la Resolución 5968 de 2020. El nuevo texto es el siguiente:> El uso eficiente de la numeración E.164 asignada será verificado por el Administrador de los Recursos de Identificación en observancia de los siguientes criterios:
6.2.3.1.1. Los asignatarios deberán dar pleno cumplimiento a las obligaciones generales definidas en el numeral 6.1.1.6.2. del ARTÍCULO 6.1.1.6. de la SECCIÓN 1 del CAPÍTULO 1 del TÍTULO VI.
6.2.3.1.2. Los asignatarios deberán remitir el reporte de implementación y previsión de necesidades de numeración de que trata el FORMATO 5.1 <Formato T.5.1*> del TÍTULO REPORTES DE INFORMACIÓN.
6.2.3.1.3. La numeración asignada debe ser implementada en la red del asignatario, o en la red de un tercero que preste servicios de telecomunicaciones, dentro de los doce (12) meses siguientes a la fecha de la asignación, aunque posteriormente dicha numeración sea activada en la red del operador receptor de números portados, previa solicitud del usuario. Se exceptúan los proveedores que no se encuentren en fase operativa, los cuales deberán implementar el 50% de la numeración en su red en un plazo máximo de dieciocho (18) meses contados a partir de la fecha de asignación.
6.2.3.1.4. Si un proveedor asignatario en fase operativa no cumple con el anterior requisito, el Administrador de los Recursos de Identificación le podrá requerir el diseño de un plan de implementación de numeración E.164, el cual deberá ser remitido al Administrador de los Recursos de Identificación para su aprobación en un plazo no mayor a treinta (30) días hábiles contados a partir de su requerimiento.
6.2.3.1.5. La numeración asignada, en un determinado ámbito geográfico o no geográfico, a un proveedor asignatario en fase operativa, no deberá tener un porcentaje inferior al 50% de implementación durante dos reportes consecutivos del FORMATO 5.1 <Formato T.5.1*> del TÍTULO REPORTES DE INFORMACIÓN, teniendo en cuenta el límite del 20% establecido para la numeración implementada en otros usos al que hace referencia el numeral 6.2.2.2.4. del ARTÍCULO 6.2.2.2 de la SECCIÓN 2 del CAPÍTULO 2 del TÍTULO VI.
En caso contrario, el Administrador de los Recursos de Identificación le podrá requerir el diseño de un plan de implementación de numeración, el cual deberá ser remitido al Administrador de los Recursos de Identificación para su aprobación, en un plazo no mayor a treinta (30) días hábiles contados a partir de su requerimiento.
6.2.3.1.6. Los bloques de numeración E.164 asignados a un asignatario deben ser implementados de forma gradual y consecutiva en sus redes, o en las redes de un tercero siempre y cuando este ostente la condición de Proveedor de Redes y Servicios de Telecomunicaciones móviles, de manera que se garantice el uso eficiente de este recurso.
6.2.3.1.7. La numeración E.164 asignada debe utilizarse por el asignatario para los fines especificados en la respectiva resolución de asignación. El Administrador de los Recursos de Identificación podrá autorizar la modificación de las condiciones inicialmente otorgadas a petición de parte debidamente justificada. El Administrador de los Recursos de Identificación autoriza el uso de la numeración E.164 por parte del proveedor receptor de numeración portada, siempre y cuando haya una solicitud de portación por parte de un usuario, acorde con lo establecido en la regulación.
ARTÍCULO 6.2.3.2. CAUSALES DE RECUPERACIÓN DE LA NUMERACIÓN E.164. <Artículo modificado por el artículo 1 de la Resolución 5968 de 2020. El nuevo texto es el siguiente:> El Administrador de los Recursos de Identificación podrá recuperar total o parcialmente la numeración E.164 asignada conforme el procedimiento de recuperación establecido en el numeral 6.1.1.8.1. del ARTÍCULO 6.1.1.8. de la SECCIÓN 1 del CAPÍTULO 1 del TÍTULO VI, cuando el asignatario incumpla con alguno de los criterios de uso eficiente establecidos en el ARTÍCULO 6.2.3.1. de la SECCIÓN 3 del CAPÍTULO 2 del TÍTULO VI, o incurra en alguna de las siguientes causales de recuperación:
6.2.3.2.1. Cuando se evidencie que la numeración E.164 se le esté dando un uso diferente a aquél para el que fue asignada.
6.2.3.2.2. Cuando la numeración E.164 no ha sido implementada en el plazo de tiempo declarado en el cronograma de implementación remitido en la solicitud de asignación.
6.2.3.2.3. Cuando la numeración E.164 no sea usada eficientemente en los términos del ARTÍCULO 6.2.3.1 de la SECCIÓN 3 del CAPÍTULO 2 del TÍTULO VI.
6.2.3.2.4. Cuando el asignatario ya no utiliza o no necesita la numeración E.164 asignada.
6.2.3.2.5. Por razones de interés general o seguridad nacional.
6.2.3.2.6. Cuando finalizado el término establecido en un plan de implementación de numeración E.164, no se cumpla con los criterios de uso eficiente establecidos en el ARTÍCULO 6.2.3.1. de la SECCIÓN 3 del CAPÍTULO 2 del TÍTULO VI.
6.2.3.2.7. Cuando el Administrador de los Recursos de Identificación modifique una clase de numeración asociada a un determinado conjunto de bloques de numeración.
6.2.3.2.8. Cuando el asignatario incumpla alguna de las obligaciones generales definidas en el numeral 6.1.1.6.2. del ARTÍCULO 6.1.1.6. de la SECCIÓN 1 del CAPÍTULO 1 del TÍTULO VI.
CONDICIONES RELATIVAS A LA MARCACIÓN PARA NUMERACIÓN E.164.
ARTÍCULO 6.2.4.1. MARCACIÓN PARA LLAMADAS DENTRO DEL MISMO INDICATIVO NACIONAL DE DESTINO (NDC). <Artículo adicionado por el artículo 1 de la Resolución 6001 de 2020. El nuevo texto es el siguiente:> Para el acceso a usuarios del servicio de telefonía fija abonados en la misma red y, en general, a abonados en regiones geográficas o no geográficas con igual indicativo nacional de destino (NDC), se marcará el número nacional (significativo) [N(S) N] sin necesidad de ningún prefijo o código adicional.
ARTÍCULO 6.2.4.2. MARCACIÓN PARA LLAMADAS HACIA OTRO INDICATIVO NACIONAL DE DESTINO (NDC). <Artículo adicionado por el artículo 1 de la Resolución 6001 de 2020. El nuevo texto es el siguiente:> Para el acceso a abonados cuando estos se encuentren en regiones geográficas o no geográficas con diferente indicativo nacional de destino (NDC) al del abonado de origen, se marcará el número nacional (significativo) [N(S)N] del abonado de destino sin necesidad de ningún prefijo o código adicional.
ARTÍCULO 6.2.4.3. MARCACIÓN DE LARGA DISTANCIA INTERNACIONAL. <Artículo adicionado por el artículo 1 de la Resolución 6001 de 2020. El nuevo texto es el siguiente:> Para el acceso a los abonados de otro país al servicio de larga distancia internacional haciendo uso del sistema de multiacceso, se marcará el prefijo de larga distancia internacional, el código de operador de larga distancia seleccionado y el número internacional, que se compone del código del país de destino y el número nacional (significativo) N(S)N correspondiente al abonado de destino.
CÓDIGOS DE PUNTOS DE SEÑALIZACIÓN.
PLANIFICACIÓN DE LOS CÓDIGOS DE PUNTO DE SEÑALIZACIÓN.
ARTÍCULO 6.3.1.1. ESTRUCTURA DE LOS CÓDIGOS DE PUNTO DE SEÑALIZACIÓN INTERNACIONAL - ISPC. <Artículo modificado por el artículo 1 de la Resolución 5968 de 2020. El nuevo texto es el siguiente:> La estructura de los códigos de puntos de señalización internacional la constituye una cadena de 14 bits con tres campos de identificación bajo la siguiente distribución:
| Estructura de los códigos de punto de señalización internacional | |||
| 3 bits | 8 bits | 3 bits | |
| b14 b13 b12 | b11 b10 b9 b8 b7 b6 b5 b4 | b3 b2 b1 | |
| Identificador de región | Identificador de zona | Identificador de PS | |
| Codigo de zona/red de señalización (SANC) | |||
| Código de punto de señalización internacional (ISPC) | |||
El identificador de región se compone de los 3 bits más significativos (bit 12 a bit 14) del ISPC e identifica la región geográfica del mundo en la que se encuentra el punto de señalización. El identificador de región para Colombia es el 111 en binario. El identificador de zona está conformado por el conjunto de 8 bits comprendido entre el bit 4 y el bit 11 de la estructura, e identifica la zona geográfica de la región a la cual pertenece el ISPC. El campo del identificador del punto de señalización internacional está conformado por los 3 bits menos significativos de la estructura, y se encarga de identificar los puntos de señalización internacionales de las redes ubicados en zonas y regiones específicas. La combinación del identificador de región y del identificador de zona se conoce como el código de zona/red de señalización -SANC por sus siglas en inglés- el cual es asignado por la UIT a las administraciones locales de cada país.
ARTÍCULO 6.3.1.2. ESTRUCTURA DE LOS CÓDIGOS DE PUNTO DE SEÑALIZACIÓN NACIONAL. <Artículo modificado por el artículo 1 de la Resolución 5968 de 2020. El nuevo texto es el siguiente:> La estructura de los códigos de puntos de señalización nacional se encuentra definida en la norma nacional de señalización por canal común N°7- SSC7 y la constituye una cadena de 14 bits con tres campos de identificación bajo la siguiente distribución:
| Estructura de los códigos de punto de señalización nacional | |||
| 4 bits | 4 bits | 6 bits | |
| b14 b13 b12 b11 | b11 b10 b9 b8 b7 | b6 b5 b4 b3 b2 b1 | |
| Identificador de región | Identificador de zona | Identificador de PS | |
El identificador de región está compuesto por los 4 bits más significativos del código de punto de señalización (bit 11 a bit 14), el cual identifica la región geográfica del país donde está ubicado el punto de señalización. El identificador de zona está conformado por el conjunto de bits comprendido entre bit 7 y el bit 10, el cual identifica una zona dentro de la región geográfica correspondiente donde está ubicado el punto de señalización. Finalmente, el identificador del punto de señalización - PS está compuesto por los 6 bits menos significativos (bit 1 a bit 6) e identifica el punto de señalización mismo dentro de una zona perteneciente a una región geográfica del país.
ARTÍCULO 6.3.1.3. ATRIBUCIÓN DE LOS CÓDIGOS DE PUNTO DE SEÑALIZACIÓN NACIONAL. <Artículo modificado por el artículo 1 de la Resolución 5968 de 2020. El nuevo texto es el siguiente:> Para la identificación de los nodos de las redes de señalización, o puntos de señalización, se atribuyen los identificadores de región teniendo en cuenta la cobertura geográfica dispuesta en el SIGRI.
ARTÍCULO 6.3.1.4. ASIGNATARIOS DE LOS CÓDIGOS DE PUNTO DE SEÑALIZACIÓN. <Artículo modificado por el artículo 1 de la Resolución 5968 de 2020. El nuevo texto es el siguiente:> Podrán solicitar y ser asignatarios de códigos de punto de señalización nacional e internacional todos los PRST debidamente registrados como tal ante el MinTIC, que cuenten con redes de señalización por canal común dentro del territorio nacional, o que estén próximos a implementarlas.
ASIGNACIÓN DE LOS CÓDIGOS DE PUNTO DE SEÑALIZACIÓN.
ARTÍCULO 6.3.2.1. REQUISITOS PARA LA ASIGNACIÓN DE CÓDIGOS DE PUNTO DE SEÑALIZACIÓN. <Artículo modificado por el artículo 1 de la Resolución 5968 de 2020. El nuevo texto es el siguiente:> A efectos de solicitar códigos de punto de señalización, el solicitante debe remitir al Administrador de los Recursos de Identificación, a través del trámite unificado de recursos de identificación dispuesto para tal fin en el SIUST, o aquel sistema que lo sustituya, la siguiente información:
6.3.2.1.1. El tipo de punto de señalización a solicitar especificando las principales características de la entidad autónoma que identificará, para lo cual se deberá indicar el fabricante, la marca y el modelo, así como la ciudad y la dirección de ubicación de esta.
6.3.2.1.2. Sugerencia de código de punto de señalización a ser asignado, teniendo en cuenta las atribuciones previamente realizadas por el Administrador de los Recursos de Identificación, y las disponibilidades existentes a la hora de la solicitud de conformidad con lo registrado en el SIGRI.
6.3.2.1.3. Cronograma de puesta en servicio de los puntos de señalización nacional o internacional solicitados, el cual no puede superar los 6 meses.
6.3.2.1.4. Justificación y propósito de la solicitud. En el caso de ser la primera solicitud del solicitante, la misma debe incluir descripción del modelo de negocio y la solución técnica a implementar.
6.3.2.1.5. Para los puntos de señalización internacional, el solicitante debe informar por lo menos una relación de señalización MTP prevista, e indicar el nombre, dirección de ubicación y el ISPC del punto de señalización distante.
PARÁGRAFO. El Administrador de los Recursos de Identificación autoriza de manera general el uso de los códigos de punto de señalización atribuidos para pruebas dentro de la tabla de atribuciones contenida en el SIGRI, recurso que deberá ser implementado únicamente para uso interno en las redes de los proveedores que requieran llevar a cabo pruebas de puesta en marcha de servicios o elementos de red. El recurso dispuesto para pruebas de ninguna manera podrá ser empleado para soportar el funcionamiento de servicios ofrecidos a usuarios finales, y su atribución podrá ser modificada en cualquier momento por el Administrador de los Recursos de Identificación.
ARTÍCULO 6.3.2.2. PROCEDIMIENTO DE ASIGNACIÓN DE CÓDIGOS DE PUNTO DE SEÑALIZACIÓN. <Artículo modificado por el artículo 1 de la Resolución 5968 de 2020. El nuevo texto es el siguiente:> Una vez remitidas las solicitudes de códigos de punto de señalización conforme con lo establecido en el ARTÍCULO 6.3.2.1. de la SECCIÓN 2 del CAPÍTULO 3 del TÍTULO VI, el Administrador de los Recursos de Identificación se pronunciará dentro de los quince (15) días hábiles siguientes, contados a partir del recibo de la solicitud por parte del solicitante, para lo cual se determinará la pertinencia o no de la asignación mediante el siguiente procedimiento:
6.3.2.2.1. Se verificará que la solicitud presentada por el solicitante cumpla con todos los requisitos establecidos en el ARTÍCULO 6.3.2.1 del CAPÍTULO 3 del TÍTULO VI. En caso de requerirse, se solicitará información adicional.
6.3.2.2.2. Si el solicitante cuenta con códigos de punto de señalización previamente asignados, se revisará que haya remitido todos los reportes eventuales de implementación correspondientes, o en su defecto se verificará si al momento de la solicitud no se había cumplido el plazo de implementación declarado para alguno de ellos, caso en el cual no será exigible el mencionado reporte.
6.3.2.2.3. Si el solicitante cuenta con códigos de punto de señalización previamente asignados, se validará que la solicitud no sea requerida para una entidad autónoma a la que ya se haya realizado una asignación. En caso de que la entidad autónoma relacionada en la solicitud tenga previamente asignado un código de punto de señalización, el mismo le será negado.
6.3.2.2.4. Si el solicitante no cuenta con códigos de punto de señalización previamente asignados, se hará una revisión del modelo de negocio y de la implementación técnica propuesta con el fin de determinar la pertinencia de la solicitud. En caso de considerarse necesario se solicitará información adicional o reuniones para ampliar la información.
6.3.2.2.5. Si la asignación resulta viable, se revisará que el código de punto de señalización sugerido se encuentre disponible en el SIGRI y sea concordante con las atribuciones vigentes, en cuyo caso se cambiará el estado del recurso solicitado a preasignado en dicha herramienta. En caso de no estar disponible la sugerencia de código de punto de señalización al momento de la asignación, se escogerá otro disponible dentro de las atribuciones vigentes.
6.3.2.2.6. Si la asignación no resultara viable, el Administrador de los Recursos de Identificación negará la asignación del código de punto de señalización solicitado y le informará al solicitante acerca de las razones.
6.3.2.2.7. Dentro de los 90 días siguientes al momento de quedar en firme un acto administrativo de asignación de un código de punto de señalización internacional, la CRC notificará la asignación conforme lo define el numeral 7.3 del procedimiento de asignación establecido en la Recomendación UIT-T Q.708, haciendo uso del Anexo A de la misma recomendación.
USO DE LOS CÓDIGOS DE PUNTO DE SEÑALIZACIÓN.
ARTÍCULO 6.3.3.1. CRITERIOS DE USO EFICIENTE. <Artículo modificado por el artículo 1 de la Resolución 5968 de 2020. El nuevo texto es el siguiente:> El uso eficiente de los códigos de punto de señalización asignados será verificado por el Administrador de los Recursos de Identificación en observancia de los siguientes criterios:
6.3.3.1.1. Los asignatarios deberán dar pleno cumplimiento a las obligaciones generales definidas en el numeral 6.1.1.6.2. del ARTÍCULO 6.1.1.6. de la SECCIÓN 1 del CAPÍTULO 1 del TÍTULO VI.
6.3.3.1.2. Los asignatarios de códigos de punto de señalización internacional deberán implementar los mismos en equipos ubicados dentro del territorio nacional colombiano.
6.3.3.1.3. Los códigos de punto de señalización asignados deben ser implementados por sus asignatarios dentro de los plazos contemplados en el cronograma de implementación presentado al momento de la solicitud.
6.3.3.1.4. Los códigos de punto de señalización asignados deben ser utilizados por el asignatario para los fines especificados en el respectivo acto administrativo de asignación. El Administrador de los Recursos de Identificación podrá autorizar modificaciones a las condiciones de asignación inicialmente otorgadas, a petición de parte debidamente justificada.
6.3.3.1.5. Los códigos de punto de señalización asignados deben ser implementados únicamente en los equipos autorizados en el respectivo acto administrativo de asignación. Dado el caso de que la entidad autónoma autorizada vaya a ser remplazada y persista la necesidad de contar con el punto de señalización, el asignatario deberá solicitar al administrador la respectiva autorización de cambio de equipo, remitiendo nuevamente la información relativa a la marca, modelo, fabricante, ciudad y dirección en la que estará ubicado.
6.3.3.1.6. Los códigos de punto de señalización nacional o internacional asignados deben ser empleados para identificar una sola entidad autónoma de procesamiento de una red.
6.3.3.1.7. Los códigos de punto de señalización asignados deben ser implementados en observancia de las disposiciones contenidas en la norma nacional de señalización por canal común N° 7- SSC7.
ARTÍCULO 6.3.3.2. CAUSALES DE RECUPERACIÓN DE LOS CÓDIGOS DE PUNTO DE SEÑALIZACIÓN. <Artículo modificado por el artículo 1 de la Resolución 5968 de 2020. El nuevo texto es el siguiente:> El Administrador de los Recursos de Identificación podrá recuperar total o parcialmente los códigos de punto de señalización asignados conforme el procedimiento de recuperación establecido en el numeral 6.1.1.8.1 del ARTÍCULO 6.1.1.8. de la SECCIÓN 1 del CAPÍTULO 1 del TÍTULO VI, cuando el asignatario incumpla con alguno de los criterios de uso eficiente establecidos en el ARTÍCULO 6.3.3.1. de la SECCIÓN 3 del CAPÍTULO 3 del TÍTULO VI, o incurra en alguna de las siguientes causales de recuperación:
6.3.3.2.1. Cuando el asignatario incumpla alguna de las obligaciones generales definidas en el numeral 6.1.1.6.2. del ARTÍCULO 6.1.1.6 de la SECCIÓN 1 del CAPÍTULO 1 del TÍTULO VI.
6.3.3.2.2. Cuando el asignatario no cumpla con la fecha prevista en el cronograma de implementación remitido al momento de la solicitud de asignación, y autorizado por el Administrador de los Recursos de Identificación.
6.3.3.2.3. Cuando el asignatario use el código de punto de señalización para fines diferentes a los especificados en el respectivo acto administrativo de asignación.
6.3.3.2.4. Cuando el código de punto de señalización sea implementado en una entidad autónoma diferente a la autorizada por el Administrador de los Recursos de Identificación.
6.3.3.2.5. Cuando el código de punto de señalización nacional o internacional asignado sea empleado en la identificación de más de una entidad autónoma de procesamiento de una red.
6.3.3.2.6. Cuando el código de punto de señalización asignado no sea implementado teniendo en cuenta las disposiciones contenidas en la norma nacional de señalización por canal común N° 7- SSC7.
6.3.3.2.7. Cuando se implemente un código de punto de señalización internacional en equipos ubicados fuera del territorio nacional colombiano.
6.3.3.2.8. Por razones de interés general o seguridad nacional.
NUMERACIÓN DE CÓDIGOS CORTOS PARA SMS Y USSD.
PLANIFICACIÓN DE LA NUMERACIÓN DE CÓDIGOS CORTOS PARA SMS Y USSD.
ARTÍCULO 6.4.1.1. ESTRUCTURA DE LOS CÓDIGOS CORTOS PARA SMS Y USSD. <Artículo modificado por el artículo 95 de la Resolución 7811 de 2025. El nuevo texto es el siguiente:> Los códigos cortos se componen por cadenas de 5 y 6 dígitos según la siguiente distribución:
| Estructura de la numeración de códigos cortos | |
| 2 dígitos | 3 o 4 dígitos |
| Identificador de modalidad del servicio | Identificador del contenido o aplicación |
| Código corto para SMS y USSD | |
Los primeros dos dígitos conforman el identificador de modalidad de servicio, a través del cual se identifica la modalidad de compra, el tipo de servicio, el contenido específico o el costo del servicio provisto a través del código corto. Los siguientes 3 o 4 dígitos, según sea el caso, conforman el identificador del contenido o aplicación.
ARTÍCULO 6.4.1.2. MODALIDADES DE SERVICIOS A QUE SE ATRIBUYE LA NUMERACIÓN DE CÓDIGOS CORTOS PARA SMS Y USSD. <Artículo modificado por el artículo 96 de la Resolución 7811 de 2025. El nuevo texto es el siguiente:> Los códigos cortos para SMS y USSD, se atribuyen a las modalidades de servicios de compra por única vez, compra por suscripción, servicios masivos, servicios gratuitos para el usuario y servicios exclusivos para adultos, de conformidad con las especificaciones dispuestas en el SIGRI.
Independientemente de la modalidad del servicio, a través de los códigos cortos solo se deberán enviar mensajes comerciales o publicitarios y mensajes transaccionales, según la asignación efectuada por esta Comisión.
PARÁGRAFO 1o. Para la utilización de códigos cortos a través de USSD, la marcación se deberá realizar de la siguiente manera: *CÓDIGO CORTO#. Las demás combinaciones de números que se encuentren dentro del esquema establecido en la especificación técnica 3GPP TS 22.090, podrán ser utilizadas por los PRST única y exclusivamente para propósitos internos relativos a la operación de su red.
PARÁGRAFO 2o. Los códigos cortos que no hayan sido atribuidos a una modalidad de servicio podrán ser utilizados por los PRST única y exclusivamente para propósitos internos relativos a la operación de su red. En todo caso, a través de los códigos mencionados no podrán enviarse mensajes a los usuarios.
ARTÍCULO 6.4.1.3. ASIGNATARIOS DE LA NUMERACIÓN DE CÓDIGOS CORTOS PARA SMS Y USSD. <Artículo modificado por el artículo 97 de la Resolución 7811 de 2025. El nuevo texto es el siguiente:> Podrán solicitar y ser asignatarios de códigos cortos los PCA y los integradores tecnológicos (IT) que provean servicios de contenidos o aplicaciones a través de SMS y USSD, así como los PRST en su condición de PCA.
Los PCA e IT extranjeros podrán ser asignatarios de códigos cortos siempre que hayan establecido una sucursal en Colombia, en los términos de las disposiciones legales y reglamentarias previstas para el efecto.
ASIGNACIÓN DE LA NUMERACIÓN DE CÓDIGOS CORTOS PARA SMS Y USSD.
ARTÍCULO 6.4.2.1. REQUISITOS PARA LA ASIGNACIÓN DE NUMERACIÓN DE CÓDIGOS CORTOS PARA SMS Y USSD. <Artículo modificado por el artículo 98 de la Resolución 7811 de 2025. El nuevo texto es el siguiente:> Para solicitar numeración de códigos cortos, el solicitante debe remitir al Administrador de los Recursos de Identificación, a través del trámite unificado de recursos de identificación dispuesto para tal fin, la siguiente información:
6.4.2.1.1. Constancia de inscripción previa en el Registro de Proveedores de Contenidos y Aplicaciones e Integradores Tecnológicos (RPCAI), en la que conste la actividad que desarrollará una vez le sean asignados los códigos cortos.
6.4.2.1.2. Código corto solicitado, el cual debe solicitarse teniendo en cuenta las diferentes modalidades del servicio, de conformidad con el artículo 6.4.1.2. o aquel que lo modifique o sustituya, y según la disponibilidad del recurso en el momento de la solicitud de acuerdo con la información del SIGRI.
6.4.2.1.3. Descripción detallada del servicio que se prestará a través del código corto solicitado donde se especifique, como mínimo, lo siguiente:
i) La indicación de si se trata de un contenido o aplicación.
ii) La descripción del contenido o de aplicación a ofrecer al usuario.
iii) El procedimiento de interacción con el usuario.
iv) La forma de pago prevista, en caso de que no sea un servicio gratuito.
6.4.2.1.4. En caso de contar con códigos cortos previamente asignados para la misma modalidad de servicio de la solicitud, el estado de implementación de tales códigos, detallando el tráfico, los ingresos y los usuarios haciendo uso del Formato T.5.2 del Título Reportes de Información.
6.4.2.1.5. Justificación detallada de la necesidad del código corto solicitado y el propósito específico del uso del código, así como cualquier otra información que el solicitante considere necesaria, pertinente y útil para soportar la solicitud de asignación.
6.4.2.1.5. Razón social y NIT del integrador tecnológico, si el solicitante soporta sus servicios en uno de ellos. Si el solicitante es un integrador tecnológico, deberá informarlo de forma expresa.
ARTÍCULO 6.4.2.2. PROCEDIMIENTO DE ASIGNACIÓN DE LA NUMERACIÓN DE CÓDIGOS CORTOS PARA SMS Y USSD. <Artículo modificado por el artículo 99 de la Resolución 7811 de 2025. El nuevo texto es el siguiente:> Una vez presentada la solicitud de numeración de códigos cortos conforme con lo establecido en el artículo 6.4.2.1. de la presente resolución, el Administrador de los Recursos de Identificación, en un término de quince (15) días hábiles contados a partir de la solicitud, resolverá teniendo en cuenta el siguiente procedimiento:
6.4.2.2.1. Se verificará que la solicitud presentada cumpla con todos los requisitos establecidos en el artículo 6.4.2.1 de la SECCIÓN 2 del CAPÍTULO 4 del TÍTULO VI. En caso de ser necesario, se podrá requerir información adicional. Si la solicitud no cumple con todos los requisitos en mención, se negará la asignación.
6.4.2.2.2. Se verificará si en el año inmediatamente anterior a la solicitud la CRC recuperó uno o más códigos cortos asignados previamente al solicitante por alguna de las causales de recuperación dispuestas en los numerales 6.4.3.2.2., 6.4.3.2.8., 6.4.3.2.9. y 6.4.3.2.10. del artículo 6.4.3.2. de la presente resolución, caso en el cual se negará la asignación.
6.4.2.2.3. Se verificará que el solicitante no tenga más de 10 códigos cortos asignados sin implementar en la misma modalidad de servicio. No se tendrán en cuenta como implementados aquellos códigos cortos que reporten bajos niveles de tráfico asociados a pruebas. En caso de que se exceda el límite de 10 códigos cortos, se negará la asignación.
6.4.2.2.4. Se verificará que la descripción del servicio corresponda con la modalidad de servicio para la que fue solicitado el código corto, teniendo en cuenta lo establecido en el artículo 6.4.1.2. Si la descripción del servicio corresponde a una modalidad combinada en que el servicio pueda ser clasificado en más de una modalidad, la asignación se determinará de manera prevalente para la modalidad de servicios exclusivamente para adultos, en caso de una combinación de esta modalidad con cualquier otra. En caso de combinación de la modalidad de suscripción con otra modalidad, se asignará la estructura de códigos bajo la modalidad de suscripción, excepto en el caso antes mencionado de contenido para adultos.
6.4.2.2.5. Se analizarán las solicitudes de asignación de los códigos cortos según el orden de llegada y considerando la justificación presentada por el interesado sobre la necesidad del recurso numérico.
6.4.2.2.6. Se verificará la disponibilidad y viabilidad de la asignación en el SIGRI. Si se cumplen todos los anteriores requisitos, se cambiará el estado del código solicitado en dicho sistema a "Preasignado", en tanto se concluye el trámite de asignación.
6.4.2.2.7. Cumplidos los pasos anteriores, se procederá con la expedición del acto administrativo de asignación y se cambiará el estado del código corto a "Asignado" en el SIGRI, una vez quede en firme dicho acto administrativo.
USO DE LA NUMERACIÓN DE CÓDIGOS CORTOS PARA SMS Y USSD.
ARTÍCULO 6.4.3.1. CRITERIOS DE USO EFICIENTE. <Artículo modificado por el artículo 100 de la Resolución 7811 de 2025. El nuevo texto es el siguiente:> El Administrador de los Recursos de Identificación verificará el uso eficiente de la numeración de códigos cortos para SMS y USSD asignada, en observancia de los siguientes criterios:
6.4.3.1.1. Los asignatarios deberán dar pleno cumplimiento a las obligaciones generales definidas en el numeral 6.1.1.6.2. del artículo 6.1.1.6. de la presente resolución.
6.4.3.1.2. Los códigos cortos asignados deben ser implementados en un término máximo de seis (6) meses contados a partir de la firmeza del acto administrativo de asignación.
6.4.3.1.3. Los códigos cortos implementados no deberán reportar ausencia de tráfico en periodos consecutivos iguales o superiores a doce (12) meses.
6.4.3.1.4. Los códigos cortos implementados no deberán reportar tráfico para un único usuario por un periodo superior a tres (3) meses.
ARTÍCULO 6.4.3.2. CAUSALES DE RECUPERACIÓN DE LA NUMERACIÓN DE CÓDIGOS CORTOS PARA SMS Y USSD. <Artículo modificado por el artículo 101 de la Resolución 7811 de 2025. El nuevo texto es el siguiente:> El Administrador de los Recursos de Identificación podrá recuperar total o parcialmente la numeración de códigos cortos para SMS y USSD asignada conforme el procedimiento de recuperación establecido en el artículo 6.1.1.8. de la presente resolución, cuando el asignatario incumpla con alguno de los criterios de uso eficiente establecidos en el artículo 6.4.3.1. de la presente resolución, o incurra en alguna de las siguientes causales de recuperación:
6.4.3.2.1. Cuando el asignatario incumpla alguna de las obligaciones generales definidas en el numeral 6.1.1.6.2. del artículo 6.1.1.6. de la presente resolución.
6.4.3.2.2. Cuando los códigos cortos asignados presenten un uso diferente a aquél para el que fueron asignados.
6.4.3.2.3. Cuando los códigos cortos no hayan sido implementados dentro de los seis (6) meses siguientes a la fecha de la asignación.
6.4.3.2.4. Cuando no se reporte tráfico asociado al código corto durante un periodo de doce (12) meses.
6.4.3.2.5. Cuando se reporte tráfico de un código corto asociado a un único usuario, en un periodo igual o superior a tres (3) meses.
6.4.3.2.6. Cuando existan razones de interés general o seguridad nacional que justifiquen la recuperación.
6.4.3.2.7. Cuando el Administrador de los Recursos de Identificación modifique una modalidad de servicio asociada a un determinado conjunto de códigos cortos.
6.4.3.2.8. Cuando a través de esta numeración se envíen mensajes en nombre de terceros que no hayan autorizado expresamente y por escrito su envío o su contenido.
6.4.3.2.9. Cuando a través de códigos cortos se envíen mensajes a usuarios inscritos en el RNE cuyo envío no haya sido autorizado expresamente por el usuario.
6.4.3.2.10. Cuando con ocasión de la utilización de códigos cortos se establezca mediante decisión ejecutoriada de autoridad competente el incumplimiento de disposiciones en materia de protección de datos personales.
INDICATIVO DE RED PARA EL SERVICIO MÓVIL -MNC.
PLANIFICACIÓN DEL INDICATIVO DE RED PARA EL SERVICIO MÓVIL - MNC.
ARTÍCULO 6.5.1.1. ESTRUCTURA DEL MNC. <Artículo modificado por el artículo 1 de la Resolución 5968 de 2020. El nuevo texto es el siguiente:> La estructura del indicativo de red para el servicio móvil - MNC está dada por una cadena de 3 dígitos, perteneciente al Código de Identificación Internacional del Abonado o Suscríptor Móvil – IMSI, tal como se ilustra en el esquema expuesto a continuación:
| MNC dentro de la estructura del IMSI | ||
| 3 dígitos | 3 dígitos | 9 dígitos |
| MCC | MCC 1 | MSIN |
| IMSI | ||
El MNC compone los segundos 3 dígitos de la cadena de 15 dígitos que conforma el IMSI y, en conjunto con el MCC, cumple la función de proporcionar un identificador único internacional para la red del proveedor a la que pertenece la suscripción móvil, permitiendo a su vez, en conjunto con el MSIN, la identificación de sus suscriptores a efectos de soportar la tarificación, el registro, la autenticación, la señalización, entre otros aspectos. El MCC asignado a Colombia es el 732.
ARTÍCULO 6.5.1.2. ATRIBUCIONES DEL MNC.
6.5.1.2.1. REDES FIJAS INALÁMBRICAS. Para la identificación de redes de telefonía fija inalámbrica, se atribuyen los MNC comprendidos entre el 000 y el 099 teniendo en cuenta las especificaciones dispuestas en el SIGRI.
6.5.1.2.2. REDES CON ACCESO MÓVIL. Para la identificación de redes con acceso móvil, se atribuyen los MNC comprendidos entre el 100 y el 599 teniendo en cuenta las especificaciones dispuestas en el SIGRI.
ARTÍCULO 6.5.1.3. ASIGNATARIOS DEL MNC. <Artículo modificado por el artículo 1 de la Resolución 5968 de 2020. El nuevo texto es el siguiente:> Podrán solicitar y ser asignatarios de MNC todos los PRST registrados como tal ante el MinTIC que cuenten con una red móvil propia o arrendada, y que sobre esta se provean servicios y aplicaciones como telefonía fija inalámbrica, telefonía móvil, M2M, IOT, y otras que a futuro se identifiquen.
ASIGNACIÓN DEL MNC.
ARTÍCULO 6.5.2.1. REQUISITOS PARA LA ASIGNACIÓN DEL MNC. <Artículo modificado por el artículo 1 de la Resolución 5968 de 2020. El nuevo texto es el siguiente:> A efectos de solicitar un MNC, el solicitante debe remitir al Administrador de los Recursos de Identificación, a través del trámite unificado de recursos de identificación dispuesto para tal fin en el SIUST, o aquel sistema que lo sustituya, la siguiente información:
6.5.2.1.1. Justificación y propósito del MNC solicitado.
6.5.2.1.2. Cronograma de implementación del MNC que no supere los seis (6) meses contados a partir de la fecha de asignación.
6.5.2.1.3. Especificaciones de la red, aplicación o servicios que pretende soportar con el recurso solicitado, donde se indique expresamente si cubrirá necesidades de comunicación a nivel nacional o internacional.
6.5.2.1.4. Dos propuestas de MNC a ser asignados en orden de prioridad, teniendo en cuenta la atribución y la disponibilidad del recurso que se encuentre publicada en el SIGRI al momento de la solicitud.
6.5.2.1.5. En los casos en los que el solicitante sea asignatario de MNC debe remitir la documentación necesaria que permita justificar que la disponibilidad de MSIN asociados al MNC previamente asignado es inferior al 20%, que el MNC solicitado lo utilizará en una implementación distinta para el que ya le fue asignado, y que no resulta posible desde el punto de vista técnico su compartición.
6.5.2.1.6. Cualquier otra información que le permita al solicitante justificar su solicitud.
PARÁGRAFO. El Administrador de los Recursos de Identificación autoriza de manera general el uso de los MNC atribuidos para pruebas dentro de la tabla de atribuciones contenida en el SIGRI, recurso que deberá ser implementado únicamente para uso interno en las redes de los proveedores que requieran llevar a cabo pruebas de puesta en marcha de servicios o elementos de red. El recurso dispuesto para pruebas de ninguna manera podrá ser empleado para soportar el funcionamiento de servicios ofrecidos a usuarios finales, y su atribución podrá ser modificada en cualquier momento por el Administrador de los Recursos de Identificación.
ARTÍCULO 6.5.2.2. PROCEDIMIENTO DE ASIGNACIÓN DE LOS MNC. <Artículo modificado por el artículo 1 de la Resolución 5968 de 2020. El nuevo texto es el siguiente:> Una vez remitidas las solicitudes de los MNC conforme lo establece el ARTÍCULO 6.5.2.1 de la SECCION 2 del CAPÍTULO 5 del TÍTULO VI, el Administrador de los Recursos de Identificación se pronunciará dentro de los quince (15) días hábiles siguientes, contados a partir del recibo de la solicitud, para lo cual se determinará la pertinencia o no de la asignación mediante el siguiente procedimiento:
6.5.2.2.1. Se verificará que la solicitud presentada por el solicitante cumpla con todos los requisitos establecidos en el ARTÍCULO 6.5.2.1 de la SECCION 2 del CAPÍTULO 5 del TÍTULO VI. En caso de requerirse, se solicitará información adicional.
6.5.2.2.2. Si el proveedor solicitante cuenta con MNC previamente asignados, se procederá a verificar que la documentación aportada evidencie que el porcentaje de uso de los MSIN asociados sea mayor al 80%, o que la aplicación para la que pretende usarlo no permite desde el punto de vista técnico su compartición. En caso de no evidenciarse lo anterior, la solicitud de asignación será negada y se informará al solicitante acerca de las razones.
6.5.2.2.3. Si se cumple con todos los requisitos exigidos para la solicitud de MNC el Administrador de los Recursos de Identificación comprobará la disponibilidad y viabilidad de la asignación en el SIGRI teniendo en consideración las sugerencias de MNC remitidas y el ámbito (nacional o internacional) de las comunicaciones que se pretenden cubrir con el recurso y cambiará el estado del MNC a preasignado en dicho sistema mientras se surte completamente el proceso. En caso de no estar disponible la sugerencia de MNC al momento de la asignación, se escogerá otro disponible dentro de los rangos atribuidos para el ámbito solicitado.
6.5.2.2.4. Cumplidos los pasos anteriores se procederá con la expedición del acto administrativo de asignación, y se cambiará el estado del código corto a asignado en el SIGRI.
6.5.2.2.5. De no cumplirse con alguno de los requisitos establecidos, el Administrador de los Recursos de Identificación solicitará las aclaraciones pertinentes, y de considerarlo justificable negará la asignación del recurso y le informará al solicitante acerca de las razones.
USO DE LOS MNC.
ARTÍCULO 6.5.3.1. CRITERIOS DE USO EFICIENTE. <Artículo modificado por el artículo 1 de la Resolución 5968 de 2020. El nuevo texto es el siguiente:> El uso eficiente de los MNC asignados, será verificado por el Administrador de los Recursos de Identificación en observancia de los siguientes criterios:
6.5.3.1.1. Los asignatarios deberán dar pleno cumplimiento a las obligaciones generales definidas en el numeral 6.1.1.6.2. del ARTÍCULO 6.1.1.6. de la SECCION 1 del CAPÍTULO 1 del TÍTULO VI.
6.5.3.1.2. Los MNC asignados deben ser implementados en un término máximo de seis (6) meses contados a partir de la fecha de firmeza del acto administrativo de asignación.
6.5.3.1.3. Los MNC asignados deben ser implementados por el asignatario teniendo en cuenta los fines especificados en el respectivo acto administrativo de asignación. El Administrador de los Recursos de Identificación podrá autorizar modificaciones a las condiciones de asignación inicialmente otorgadas, a petición de parte debidamente justificada.
6.5.3.1.4. Los MNC asignados deben ser usados para dar soporte a redes, servicios o aplicaciones móviles, o para dar soporte a las redes fijas inalámbricas.
6.5.3.1.5. El asignatario debe generar los mecanismos y procedimientos necesarios para garantizar la asignación y utilización eficiente de los MSIN asociados a los MNC asignados.
ARTÍCULO 6.5.3.2. CAUSALES DE RECUPERACIÓN DE LOS MNC. <Artículo modificado por el artículo 1 de la Resolución 5968 de 2020. El nuevo texto es el siguiente:> El Administrador de los Recursos de Identificación podrá recuperar los MNC asignados conforme el procedimiento de recuperación establecido en el numeral 6.1.1.8.1 del ARTÍCULO 6.1.1.8 de la SECCION 1 del CAPÍTULO 1 del TÍTULO VI, cuando el asignatario incumpla con alguno de los criterios de uso eficiente establecidos en el ARTÍCULO 6.5.3.1 de la SECCION 3 del CAPÍTULO 5 del TÍTULO VI, o incurra en alguna de las siguientes causales de recuperación:
6.5.3.2.1. Cuando el asignatario incumpla alguna de las obligaciones generales definidas en el numeral 6.1.1.6.2. del ARTÍCULO 6.1.1.6. de la SECCION 1 del CAPÍTULO 1 del TÍTULO VI.
6.5.3.2.2. Cuando el MNC asignado no se haya implementado luego de transcurridos seis (6) meses contados a partir de la firmeza del acto administrativo de asignación.
6.5.3.2.3. Cuando el asignatario use el MNC para fines diferentes a los especificados en el respectivo acto administrativo de asignación.
6.5.3.2.4. Cuando el MNC asignado no sea utilizado para dar soporte a redes móviles o fijas inalámbricas, servicios o aplicaciones móviles.
6.5.3.2.5. Por razones de interés general o seguridad nacional.
OTRAS DISPOSICIONES PARA LOS MNC.
ARTÍCULO 6.5.4.1. OBLIGACIÓN DE IMPLEMENTACIÓN DE LOS MNC ASIGNADOS A OMV. <Artículo modificado por el artículo 1 de la Resolución 5968 de 2020. El nuevo texto es el siguiente:> Los PRST que tengan acuerdos comerciales con OMV con el objeto de usar su red para la prestación de servicios de comunicaciones móviles al público, deberán implementar los MNC que hayan sido asignados a los OMV, siempre y cuando medie solicitud de estos últimos.
La implementación de dichos MNC deberán realizarse máximo dentro de los veinte (20) días calendario siguientes a la fecha en que el OMV radica la respectiva solicitud de implementación ante el proveedor de red en que se aloja.
NÚMERO DE IDENTIFICADOR DE EXPEDIDOR - IIN.
PLANIFICACIÓN DEL IIN.
ARTÍCULO 6.6.1.1. ESTRUCTURA DEL IIN. <Artículo modificado por el artículo 1 de la Resolución 5968 de 2020. El nuevo texto es el siguiente:> La estructura del IIN está dada por una cadena de 7 dígitos, perteneciente al Integrated Circuit Card Identífíer – ICCID, tal como se ilustra en el esquema expuesto a continuación:
| IIN dentro de la estructura del ICCID | ||||
| 2 digitos | 2 digitos | 3 digitos | 11 digitos | 1 digito |
| MII | CC | Identificador del expedidor | Identificador de la cuenta | Verificación |
| INN | ||||
| ICCID | ||||
El IIN compone los primeros 7 dígitos de la cadena de máximo 19 dígitos que conforma el ICCID y, en conjunto con el identificador de cuenta y el dígito de verificación, cumple la función de proporcionar un identificador único internacional para entidades emisoras de tarjetas con cargo a una cuenta, la cual tiene aplicación para el ámbito de las telecomunicaciones internacionales dada su adopción por parte de la UIT en la recomendación UIT-T E.118. El MII asignado a telecomunicaciones es el 89 y el CC asignado a Colombia es el 57.
ARTÍCULO 6.6.1.2. ATRIBUCIONES DEL IIN. <Artículo modificado por el artículo 1 de la Resolución 5968 de 2020. El nuevo texto es el siguiente:>
6.6.1.2.1. SERVICIOS FIJOS INALÁMBRICOS. Para la identificación de servicios fijos inalámbricos de voz y datos, se atribuye el rango comprendido entre el 000 y el 099 teniendo en cuenta las especificaciones dispuestas en el SIGRI.
6.6.1.2.2. SERVICIOS MÓVILES. Para la identificación de servicios móviles de voz y datos, se atribuyen los rangos comprendidos entre el 100 y el 299, y entre el 700 y el 799, teniendo en cuenta las especificaciones dispuestas en el SIGRI.
6.6.1.2.3. SERVICIOS SATELITALES. Para la identificación de servicios satelitales de voz y datos, se atribuye el rango comprendido entre el 400 y el 499 teniendo en cuenta las especificaciones dispuestas en el SIGRI.
ARTÍCULO 6.6.1.3. ASIGNATARIOS DEL IIN. <Artículo modificado por el artículo 1 de la Resolución 5968 de 2020. El nuevo texto es el siguiente:> Podrán solicitar y ser asignatarios de IIN todos los PRST que requieran usar tarjetas SIM físicas o virtuales (eSIM) para soportar la prestación de sus servicios, haciendo uso de redes propias o de terceros que cuenten con accesos fijos, móviles o satelitales.
ASIGNACIÓN DEL IIN.
ARTÍCULO 6.6.2.1. REQUISITOS PARA LA ASIGNACIÓN DEL IIN. <Artículo modificado por el artículo 1 de la Resolución 5968 de 2020. El nuevo texto es el siguiente:> A efectos de solicitar IIN, el solicitante debe remitir al Administrador de los Recursos de Identificación, a través del trámite unificado de recursos de identificación dispuesto para tal fin en el SIUST, o aquel sistema que lo sustituya, la siguiente información:
6.6.2.1.1. Tipo de red de acceso sobre la que se soportará la prestación de los servicios a ofrecer (móvil, fijo, satelital).
6.6.2.1.2. Cronograma de implementación y distribución de las tarjetas.
6.6.2.1.3. Sugerencia de IIN a ser asignado, teniendo en cuenta los rangos atribuidos.
6.6.2.1.4. Formato de solicitud de registro del IIN ante la UIT firmado por el representante legal de la compañía.
6.6.2.1.5. Justificación y propósito del servicio que se quiere prestar.
6.6.2.1.6. Detalle del tipo de tarjeta a expedir.
6.6.2.1.7. Cualquier otra información que le permita al solicitante sustentar su solicitud.
PARÁGRAFO. El Administrador de los Recursos de Identificación autoriza de manera general el uso de los IIN atribuidos para pruebas dentro de la tabla de atribuciones contenida en el SIGRI, recurso que deberá ser implementado únicamente para uso interno en las redes de los proveedores que requieran llevar a cabo pruebas de puesta en marcha de servicios o elementos de red. El recurso dispuesto para pruebas de ninguna manera podrá ser empleado para soportar el funcionamiento de servicios ofrecidos a usuarios finales, y su atribución podrá ser modificada en cualquier momento por el Administrador de los Recursos de Identificacion.
ARTÍCULO 6.6.2.2. PROCEDIMIENTO DE ASIGNACIÓN DE LOS IIN. <Artículo modificado por el artículo 1 de la Resolución 5968 de 2020. El nuevo texto es el siguiente:> Una vez remitidas las solicitudes de IIN conforme con lo establecido en el ARTÍCULO 6.6.2.1 de la SECCION 2 del CAPÍTULO 6 del TÍTULO VI, el Administrador de los Recursos de Identificación se pronunciará dentro de los quince (15) días hábiles siguientes, contados a partir del recibo de la solicitud, para lo cual se determinará la pertinencia o no de la asignación mediante el siguiente procedimiento:
6.6.2.2.1. Se verificará que la solicitud presentada cumpla con todos los requisitos establecidos en el ARTÍCULO 6.6.2.1 de la SECCION 2 del CAPÍTULO 6 del TÍTULO VI. En caso de requerirse, se solicitará información adicional.
6.6.2.2.2. Se verificará en el Registro TIC si el solicitante tiene relacionado el servicio para el cual solicita el recurso. Si el solicitante no es un emisor de tarjetas SIM físicas o virtuales (eSIM), la solicitud será rechazada.
6.6.2.2.3. De no cumplirse con alguno de los requisitos establecidos, se negará la asignación del recurso y se le informará al solicitante acerca de las razones.
6.6.2.2.4. Si se cumple con todos los requisitos exigidos para la solicitud de IIN el Administrador de los Recursos de Identificación comprobará la disponibilidad y viabilidad de la asignación en el SIGRI teniendo en consideración las sugerencias de IIN remitidas y cambiará el estado del IIN a preasignado en dicho sistema mientras se surte completamente el proceso. En caso de no estar disponible la sugerencia de IIN al momento de la asignación, se escogerá otro disponible dentro de los rangos atribuidos para el servicio solicitado.
6.6.2.2.5. Se expide el respectivo acto administrativo de asignación del recurso, y se remite el formato de solicitud de registro del IIN ante la UIT firmado por el Administrador de los Recursos de Identificación, para que sea presentado por el asignatario.
USO DE LOS IIN.
ARTÍCULO 6.6.3.1. CRITERIOS DE USO EFICIENTE. <Artículo modificado por el artículo 1 de la Resolución 5968 de 2020. El nuevo texto es el siguiente:> El uso eficiente de los IIN asignados, será verificado por el Administrador de los Recursos de Identificación en observancia de los siguientes criterios:
6.6.3.1.1. Los asignatarios deberán dar pleno cumplimiento a las obligaciones generales definidas en el numeral 6.1.1.6.2. del ARTÍCULO 6.1.1.6 de la SECCION 1 del CAPÍTULO 1 del TÍTULO VI.
6.6.3.1.2. La implementación del IIN se debe llevar a cabo, como máximo, dentro de los doce (12) meses siguientes a la fecha de asignación del recurso por parte del administrador.
6.6.3.1.3. El IIN asignado debe utilizarse solo para los fines especificados en la resolución de asignación.
6.6.3.1.4. El asignatario debe llevar a cabo el registro del IIN ante la UIT, cumpliendo con las condiciones del numeral 4.2 de la Recomendación UIT-T E.118, antes de proceder con su implementación.
ARTÍCULO 6.6.3.2. CAUSALES DE RECUPERACIÓN DE LOS IIN. <Artículo modificado por el artículo 1 de la Resolución 5968 de 2020. El nuevo texto es el siguiente:> El Administrador de los Recursos de Identificación podrá recuperar total o parcialmente los IIN asignados conforme el procedimiento de recuperación establecido en el numeral 6.1.1.8.1 del ARTÍCULO 6.1.1.8. de la SECCICN 1 del CAPÍTULO 1 del TÍTULO VI, cuando el asignatario incumpla con alguno de los criterios de uso eficiente establecidos en el ARTÍCULO 6.6.3.1 de la SECCION 3 del CAPÍTULO 6 del TÍTULO VI, o incurra en alguna de las siguientes causales de recuperación:
6.6.3.2.1. Cuando el asignatario incumpla alguna de las obligaciones generales definidas en el numeral 6.1.1.6.2. del ARTÍCULO 6.1.1.6 de la SECCION 1 del CAPÍTULO 1 del TÍTULO VI.
6.6.3.2.2. No se evidencie uso del IIN con posterioridad a los doce (12) meses contados a partir de la fecha de asignación por parte del administrador.
6.6.3.2.3. Cuando el IIN asignado sea implementado con un propósito diferente al especificado en la resolución de asignación.
6.6.3.2.4. Cuando el asignatario implemente el IIN sin haber llevado a cabo el registro del mismo ante la UIT.
6.6.3.2.5. Cuando el asignatario ya no use o no requiera el recurso asignado.
6.6.3.2.6. Por razones de interés general o seguridad nacional.
NUMERACIÓN DE SERVICIOS SEMIAUTOMÁTICOS Y ESPECIALES DE MARCACIÓN 1XY.
PLANIFICACIÓN DE LA NUMERACIÓN DE SERVICIOS SEMIAUTOMÁTICOS Y ESPECIALES DE MARCACIÓN 1XY.
ARTÍCULO 6.7.1.1. ESTRUCTURA DE LA NUMERACIÓN DE SERVICIOS SEMIAUTOMÁTICOS Y ESPECIALES DE MARCACIÓN 1XY. <Artículo modificado por el artículo 1 de la Resolución 5968 de 2020. El nuevo texto es el siguiente:> La numeración de servicios semiautomáticos y especiales tiene la estructura 1XY, en donde "X" y "Y" pueden tomar como valor cualquier dígito entre 0 y 9. En atención a condiciones de escasez de números en la matriz 1XY, y bajo la necesidad de identificar de manera unificada redes o servicios en particular, se emplea la estructura 1XYZ donde la secuencia correspondiente a 1XY deberá estar libre dentro de la matriz y Z podrá ser de 1 o 2 dígitos de longitud según se requiera.
ARTÍCULO 6.7.1.2. ATRIBUCIONES DE LA NUMERACIÓN DE SERVICIOS SEMIAUTOMÁTICOS Y ESPECIALES DE MARCACIÓN 1XY. <Artículo modificado por el artículo 1 de la Resolución 5968 de 2020. El nuevo texto es el siguiente:> Los números semiautomáticos y especiales de marcación 1XY están concebidos para proveer un acceso de fácil recordación al usuario a todos aquellos servicios de interés social que no tienen uso comercial, y que por agilidad requieren que la marcación sea sencilla. Cuentan con una atribución genérica dispuesta en cuatro modalidades que definen las características de éstos al momento de su asignación, las cuales se enfocan en el tipo de servicio a soportar y los costos que deben ser asumidos por el PRST, el Prestador del Servicio 1XY y el usuario.
6.7.1.2.1. MODALIDAD 1. Caracteriza los números cuyas llamadas no repesen tan ningún costo para el usuario ni para el Prestador del Servicio 1XY y, por lo tanto, los costos deben ser asumidos por el PRST. Dentro de esta modalidad se encuentran los servicios de urgencias.
6.7.1.2.2. MODALIDAD 2. Caracteriza los números cuyas llamadas son sufragadas por el Prestador del Servicio 1XY y que, en consecuencia, no tienen ningún costo para el usuario. Dentro de esta modalidad se encuentran los servicios prestados por los PRST a sus usuarios.
Los PRST que ofrecen servicios de larga distancia internacional con habilitación otorgada con posterioridad al 1 de agosto de 2007, cuentan con numeración bajo el esquema de marcación 1XYZZ clasificada en esta modalidad. Dicha estructura identifica la finalidad de la línea a través del dígito X, para lo cual se destinó el dígito 7 para información y el dígito 9 para asistencia por operadora, y los dígitos YZZ corresponden al código de operador de larga distancia internacional- COLD de que trata el CAPÍTULO 8 del TÍTULO VI bajo la estructura 4XY. Una vez asignado el COLD el asignatario podrá utilizar los números 1XYZZ de información y asistencia por operadora que le correspondan, sin que para ello requieran una asignación de carácter particular. Con este propósito se han empleado los números 174 y 194 de la matriz 1XY.
6.7.1.2.3. MODALIDAD 3. Caracteriza los números cuyas llamadas tienen costo al usuario equivalente a la tarifa local, tiempo al aire o su equivalente según el tipo de servicio. Dentro de esta modalidad se encuentran los servicios de interés social que por su naturaleza estén adscritos a una entidad de orden nacional.
6.7.1.2.4. MODALIDAD 4. Caracteriza los números cuyas llamadas tienen tarifa especial al usuario y son destinados a servicios de información telefónica.
ASIGNACIÓN DE LA NUMERACIÓN DE SERVICIOS SEMIAUTOMÁTICOS Y ESPECIALES DE MARCACIÓN 1XY.
ARTÍCULO 6.7.2.1. ASIGNACIONES DE NUMERACIÓN DE SERVICIOS SEMIAUTOMÁTICOS Y ESPECIALES DE MARCACIÓN 1XY. <Artículo modificado por el artículo 1 de la Resolución 5968 de 2020. El nuevo texto es el siguiente:> Los números 1XY solo son asignados a servicios semiautomáticos y especiales que se encuentren enmarcados en la definición contenida en el artículo 2.2.12.2.1.14 del Decreto 1078 de 2015. En consecuencia, los números 1XY no se pueden entender como asignados a una empresa o entidad prestadora de un servicio o a un PRST en particular.
Las entidades estatales, empresas o PRST que presten servicios catalogados como semiautomáticos y especiales y hagan uso de la numeración 1XY, se entienden como Prestadores de Servicios 1XY autorizados de manera general por el Administrador de los Recursos de Identificación para hacer uso de ellos, pero dicha condición no les genera derechos de exclusividad o efectos particulares y concretos en torno a dicho recurso de identificación, por lo que en el evento en que varias empresas o entidades que presten un mismo servicio enmarcado en las modalidades atribuidas para la numeración 1XY, deberán compartir el número establecido para tal fin.
El Administrador de los Recursos de Identificación, de oficio o a solicitud de parte, podrá otorgar nueva numeración bajo el esquema 1XYZ cuando se considere pertinente su asignación, en atención a condiciones de recurso escaso en la matriz 1XY, y se evidencie la necesidad de identificación unificada de redes o servicios en particular. Para lo anterior, la secuencia correspondiente a 1XY deberá estar libre dentro de la matriz y Z podrá ser de 1 o 2 dígitos de longitud, según se requiera.
Podrán solicitar la asignación de numeración de servicios semiautomáticos y especiales de marcación 1XY las empresas, entidades del Estado y PRST que justifiquen técnica, social y económicamente la necesidad de un nuevo servicio de interés social encuadrado en las modalidades que trata el ARTÍCULO 6.7.1.2. de la SECCIÓN 1 del CAPÍTULO 7 del TÍTULO VI, y que la prestación del mismo solo resulte factible haciendo uso de este tipo de numeración, para lo cual deberán tener en cuenta los requisitos definidos en el ARTÍCULO 6.7.2.2. de la SECCIÓN 2 del CAPÍTULO 7 del TÍTULO VI.
PARÁGRAFO. El Administrador de los Recursos de Identificación propenderá por la reducción de los números 1XY asignados en la modalidad 1 de que trata el numeral 6.7.1.2.1. del ARTÍCULO de la SECCIÓN 1 del CAPÍTULO 7 del TÍTULO VIa medida que las condiciones de mercado, el desarrollo tecnológico y el posicionamiento entre la población del número único nacional de emergencia 123 lo permitan.
ARTÍCULO 6.7.2.2. REQUISITOS PARA LA ASIGNACIÓN DE NUMERACIÓN DE SERVICIOS SEMIAUTOMÁTICOS Y ESPECIALES DE MARCACIÓN 1XY. <Artículo modificado por el artículo 1 de la Resolución 5968 de 2020. El nuevo texto es el siguiente:> A efectos de solicitar la asignación de numeración de servicios semiautomáticos y especiales de marcación 1XY a un determinado servicio de interés social, el solicitante debe remitir al Administrador de los Recursos de Identificación, a través del trámite unificado de recursos de identificación dispuesto para tal fin en el SIUST, o aquel_ sistema que_ lo sustituya, la siguiente información:
6.7.2.2.1. Razón Social y NIT del solicitante.
6.7.2.2.2. Dirección de recibo de correspondencia del solicitante.
6.7.2.2.3. Nombre del Representante Legal del solicitante.
6.7.2.2.4. Número solicitado y modalidad a la que solicita que pertenezca, con la correspondiente justificación.
6.7.2.2.5. Tipo de cobertura asociada al número: Nacional, Departamental o Municipal. De forma adicional, cuando se requiera cobertura departamental o nacional, especificar los departamentos o los municipios a cubrir conforme la división político-administrativa de Colombia, DIVIPOLA, disponible en el sistema de consulta del DANE.
6.7.2.2.6. En el evento en que el número sea requerido de manera temporal, se debe indicar tal condición acompañada de la fecha en la que el mismo dejaría de operar, y en consecuencia proceda su recuperación.
6.7.2.2.7. Información sobre el enrutamiento que los PRST deben programar en sus redes, discriminada por región geográfica, especificando los departamentos o municipios que cubrirá con cada uno de los números de teléfono que aporte.
6.7.2.2.8. Detalle del servicio a prestar, incluyendo el tipo de información o servicio que se va a entregar a los usuarios.
6.7.2.2.9. Justificación y propósito del servicio que se pretende prestar con el número 1XY solicitado, donde se demuestre, entre otros, las diferencias del servicio que se pretende prestar en comparación con los servicios autorizados previamente por el Administrador de los Recursos de Identificación a través de otros números 1XY.
6.7.2.2.10. Carácter jurídico de la dependencia solicitante, anexando los actos administrativos internos de creación o delegación de la dependencia responsable de la línea de atención, o soporte legal de constitución de la entidad responsable donde se evidencien las funciones conferidas para la prestación y necesidad del servicio.
6.7.2.2.11. Protocolos de atención a los usuarios, que incluyan horarios de atención, proyección de la cantidad de usuarios a atender, así como los manuales de procedimiento o instructivos de trabajo que orienten la atención de la línea por parte de los profesionales responsables.
6.7.2.2.12. Información sobre la solución tecnológica a través de la cual garantizarán la correcta prestación del servicio, acorde con la demanda de usuarios informada.
6.7.2.2.13. Cualquier otra información que le permita al solicitante justificar la solicitud.
ARTÍCULO 6.7.2.3. PROCEDIMIENTO DE ASIGNACIÓN DE LA NUMERACIÓN DE SERVICIOS SEMIAUTOMÁTICOS Y ESPECIALES DE MARCACIÓN 1XY. <Artículo modificado por el artículo 1 de la Resolución 5968 de 2020. El nuevo texto es el siguiente:> Una vez remitidas las solicitudes de numeración de servicios semiautomáticos y especiales de marcación 1XY conforme con lo establecido en el ARTÍCULO 6.7.2.2. de la SECCIÓN 2 del CAPÍTULO 7 del TÍTULO VI, el Administrador de los Recursos de Identificación se pronunciará dentro de los quince (15) días hábiles siguientes, contados a partir del recibo de la solicitud, para lo cual se determinará la pertinencia o no de la asignación mediante el siguiente procedimiento:
6.7.2.3.1. Se verificará que la solicitud presentada cumpla con todos los requisitos establecidos en el ARTÍCULO 6.7.2.2. de la SECCIÓN 2 del CAPÍTULO 7 del TÍTULO VI. En caso de requerirse, se solicitará información adicional.
6.7.2.3.2. Se realizará una verificación que permita identificar si alguno de los servicios autorizados previamente por el Administrador de los Recursos de Identificación para ser atendidos mediante otros números 1XY, son susceptibles de cubrir la necesidad que se pretende satisfacer con el número solicitado. Lo anterior, con el fin de evitar la duplicidad de asignaciones y la atención de servicios similares con números diferentes, así como de propender por el posicionamiento del número único nacional de emergencias 123 en la modalidad 1.
6.7.2.3.3. En el evento en que se cumpla con todos los requisitos y se considere viable y oportuna la solicitud, se comprueba la disponibilidad del número solicitado en el SIGRI y, de proceder, se cambia el estado del recurso solicitado en dicha herramienta. La asignación del número 1XY será formalizada mediante un acto administrativo de asignación, y divulgada mediante una circular de conformidad con lo establecido en el ARTÍCULO 2.2.12.2.1.14 del Decreto 1078 de 2015.
6.7.2.3.4. De no cumplirse con alguno de los requisitos establecidos, o de comprobarse que la necesidad que se pretende satisfacer puede ser atendida a través de un número 1XY previamente asignado, el Administrador de los Recursos de Identificación negará la asignación del número y le informará al solicitante acerca de la motivación de la decisión.
6.7.2.3.5. Una vez se expida el acto administrativo de asignación, el Administrador de los Recursos de Identificación procederá a registrar los números de enrutamiento en la base de datos centralizada y a comunicar los mismos a PRST a través de los medios que se dispongan para tal fin.
USO DE LA NUMERACIÓN DE SERVICIOS SEMIAUTOMÁTICOS Y ESPECIALES DE MARCACIÓN 1XY.
ARTÍCULO 6.7.3.1. CRITERIOS DE USO EFICIENTE. <Artículo modificado por el artículo 1 de la Resolución 5968 de 2020. El nuevo texto es el siguiente:> El uso eficiente de la numeración de servicios semiautomáticos y especiales de marcación 1XY asignados, será verificado por el Administrador de los Recursos de Identificación en observancia de los siguientes criterios:
6.7.3.1.1. Los PRST y los Prestadores del Servicio 1XY deberán dar cumplimiento a las obligaciones generales aplicables definidas en el numeral 6.1.1.6.2. del ARTÍCULO 6.1.1.6. de la SECCIÓN 1 del CAPÍTULO 1 del TÍTULO VI, así como a las obligaciones particulares asociadas a la operatividad de la numeración 1XY definidas en la SECCIÓN 4 del CAPÍTULO 7 del TÍTULO VI.
6.7.3.1.2. Cuando varios Prestadores del Servicio 1XY ofrezcan el mismo servicio para el cual se autorizó un número 1XY, deben utilizar el mismo número empleando los medios técnicos idóneos para garantizar una adecuada atención de los usuarios.
6.7.3.1.3. Los Prestadores del Servicio 1XY deben garantizar la adecuada atención de estas líneas, en términos de calidad y oportunidad, de acuerdo con la finalidad asignada a las mismas en el ARTÍCULO 6.7.1.2 de la SECCIÓN 1 del CAPÍTULO 7 del TÍTULO VI.
6.7.3.1.4. Los Prestadores del Servicio 1XY deben mantener actualizados los enrutamientos a las líneas 1XY bajo su uso, teniendo en cuenta el ámbito de cobertura de la prestación de sus servicios, de tal manera que la base de datos que se disponga para almacenar dicha información contenga en todo momento los números actualizados hacia los cuales los PRST deban implementar los enrutamientos.
6.7.3.1.5. Para garantizar la continuidad en la asignación de un número 1XY, dicho número deberá registrar enrutamientos activos en algún lugar del territorio nacional.
ARTÍCULO 6.7.3.2. CAUSALES DE RECUPERACIÓN DE LA NUMERACIÓN DE SERVICIOS SEMIAUTOMÁTICOS Y ESPECIALES DE MARCACIÓN 1XY. <Artículo modificado por el artículo 1 de la Resolución 5968 de 2020. El nuevo texto es el siguiente:> El Administrador de los Recursos de Identificación podrá recuperar la numeración de servicios semiautomáticos y especiales de marcación 1XY asignada cuando obtenga evidencia de que se incumpla con alguno de los criterios de uso eficiente establecidos en el ARTÍCULO 6.7.3.1. de la SECCIÓN 3 del CAPÍTULO 7 del TÍTULO VI, o se incurra en alguna de las siguientes causales de recuperación:
6.7.3.2.1. Cuando un Prestador del Servicio 1XY incumpla alguna de las obligaciones particulares definidas en el ARTÍCULO 6.7.4.2. de la SECCIÓN 4 del CAPÍTULO 7 del TÍTULO VI.
6.7.3.2.2. Cuando un número 1XY presente un uso diferente al servicio para el que fue destinado.
6.7.3.2.3. Cuando existan razones de interés general o seguridad nacional.
6.7.3.2.4. Cuando se identifique que dos o más números 1XY están siendo usados para la prestación del mismo servicio de interés general. En dicho caso, el Administrador de los Recursos de Identificación procederá a adelantar los estudios del caso con los Prestadores de los Servicios 1XY involucrados a fin de establecer el procedimiento para liberar alguno de los números utilizados, propendiendo de este modo por el uso eficiente del recurso y por la reducción de la matriz 1XY.
6.7.3.2.5. Cuando por cuestiones atribuibles al Prestador del Servicio 1XY, la atención de la línea no se dé en términos de calidad y oportunidad.
6.7.3.2.6. Cuando un número 1XY no registre enrutamientos activos en la base de datos unificada en ningún lugar del territorio nacional por un periodo superior a 2 años consecutivos.
OBLIGACIONES ASOCIADAS A LA OPERATIVIDAD DE LA NUMERACIÓN DE SERVICIOS SEMIAUTOMÁTICOS Y ESPECIALES DE MARCACIÓN 1XY.
ARTÍCULO 6.7.4.1. OBLIGACIONES APLICABLES A LOS PRST. <Artículo modificado por el artículo 1 de la Resolución 5968 de 2020. El nuevo texto es el siguiente:> Los PRST deberán acatar las siguientes obligaciones asociadas a la operatividad de la numeración de servicios semiautomáticos y especiales de marcación 1XY:
6.7.4.1.1. Garantizar en todo momento el adecuado enrutamiento a todos los números de servicios semiautomáticos y especiales de marcación 1XY en las áreas de cobertura donde preste los servicios de voz, conforme la base de datos unificada que el Administrador de los Recursos de Identificación ponga a disposición para tal fin.
6.7.4.1.2. En el caso de las redes móviles, se deberá garantizar a nivel técnico el establecimiento de zonas o grupos de enrutamiento lo más cercano posibles a la zona de cobertura de los diferentes centros de atención de los números de servicios semiautomáticos y especiales de marcación 1XY, razón por la cual deberán adelantar las tareas técnicas apropiadas y una gestión de coordinación con el Prestador del Servicio 1XY.
6.7.4.1.3. En caso de notificarse por parte del Administrador de los Recursos de Identificación una modificación en la base de datos unificada de enrutamientos, el PRST deberá reflejar dichos cambios en sus redes en un periodo no superior al indicado en la base de datos y estimado por el Prestador de Servicios 1XY en el cronograma de implementación, contado a partir de la notificación de modificación incorporada.
6.7.4.1.4. En caso de recibir una solicitud de enrutamiento directamente por parte de un Prestador de Servicio 1XY, el PRST debe informar a dicho Prestador que la solicitud debe ser elevada directamente al Administrador de los Recursos de Identificación para que este último proceda con la actualización de la base de datos unificada. En este caso, el PRST no podrá llevar a cabo el enrutamiento solicitado hasta tanto se lleve a cabo la actualización de la base de datos unificada.
ARTÍCULO 6.7.4.2. OBLIGACIONES APLICABLES A LOS PRESTADORES DE SERVICIOS 1XY. <Artículo modificado por el artículo 1 de la Resolución 5968 de 2020. El nuevo texto es el siguiente:> Los Prestadores de Servicios 1XY deberán acatar las siguientes obligaciones asociadas a la operatividad de la numeración de servicios semiautomáticos y especiales de marcación 1XY:
6.7.4.2.1. Utilizar la numeración de servicios semiautomáticos y especiales de marcación 1XY conforme las atribuciones definidas en el ARTÍCULO 6.7.1.2. de la SECCIÓN 1 del CAPÍTULO 7 del TÍTULO VI.
6.7.4.2.2. La numeración de servicios semiautomáticos y especiales de marcación 1XY asignada deberá ser utilizada exclusivamente para la atención del servicio descrito en su asignación. Dado el caso que surja la necesidad de atender por un mismo número alguna necesidad afín pero diferente al servicio asignado, el Prestador del Servicio 1XY deberá informar de este hecho al Administrador de los Recursos de Identificación antes de proceder a atender dicha necesidad.
6.7.4.2.3. La numeración de servicios semiautomáticos y especiales de marcación 1XY no podrá utilizarse con un fin que desvirtúe el propósito fundamental para el cual fue otorgado el número. En línea con lo anterior, no resulta admisible la utilización de números de servicios semiautomáticos y especiales de marcación 1XY para fines comerciales.
6.7.4.2.4. De conformidad con el principio de eficiencia, los Prestadores del Servicio 1XY son los responsables de garantizar el máximo aprovechamiento del recurso, la adecuada atención y preservación del servicio, así como la apropiación de los números por parte de los usuarios.
6.7.4.2.5. El Prestador del Servicio 1XY debe mantener en todo momento actualizados los protocolos internos de atención, estadísticas de uso y demás directrices que rijan el correcto funcionamiento del servicio, sin perjuicio de que puedan ser solicitados por el Administrador de los Recursos de Identificación cuando lo considere pertinente.
6.7.4.2.6. El Prestador del Servicio 1XY deberá facilitar la información que sea solicitada por el Administrador de los Recursos de Identificación de manera veraz, completa y oportuna, de tal forma que se permita una planificación adecuada y una gestión eficiente del recurso de identificación.
6.7.4.2.7. Al momento de comenzar a ofrecer un servicio de interés general a través de un número 1XY, o al realizar modificaciones en el enrutamiento programado para dicho número, el Prestador del Servicio 1XY deberá informar al Administrador de los Recursos de Identificación los números hacia los cuales los PRST deben implementar el enrutamiento, para que de esta manera se pueda actualizar la base de datos unificada de enrutamientos que para tal fin se disponga, y los PRST procedan a realizar las correspondientes implementaciones en sus redes de manera oportuna.
Al momento en que el Prestador del Servicio 1XY informe al Administrador de los Recursos de Identificación los números hacia los cuales los PRST deben implementar el enrutamiento, deberá certificar que los mismos se encuentran en operación al momento de la solicitud, y deberá remitir un cronograma de implementación no inferior a 30 días en el que contemple los diferentes elementos técnicos y operativos para lograr establecer efectivamente la conexión entre sus plataformas y las de los PRST.
OTRAS DISPOSICIONES RELATIVAS A LA NUMERACIÓN DE SERVICIOS SEMIAUTOMÁTICOS Y ESPECIALES DE MARCACIÓN 1XY.
ARTÍCULO 6.7.5.1. ENRUTAMIENTO DE LLAMADAS A LOS CENTROS DE ATENCIÓN DE EMERGENCIAS. <Artículo modificado por el artículo 1 de la Resolución 5968 de 2020. El nuevo texto es el siguiente:> De acuerdo con las comunicaciones particulares que el Administrador de los Recursos de Identificación reciba por parte de las entidades a cargo de un Centro de Atención de Emergencias (CAE) el cual haga uso del número único de emergencias 123, procederá a informar a los PRST que operen en la zona de cobertura del CAE los números que harán parte de él, para que éstos den inicio al enrutamiento de las llamadas de emergencia cobijadas por el mismo, dentro de los treinta (30) días calendario siguientes al recibo de la comunicación.
Los PRST deberán informar al Administrador de los Recursos de Identificación una vez hayan implementado los enrutamientos a un CAE en particular, garantizando que las llamadas que ingresan a la línea 123 son las originadas en el área de cobertura de la ciudad o región a la cual pertenece dicho sistema. En el caso de las redes con acceso móvil, se deberá garantizar a nivel técnico el establecimiento de zonas o grupos de enrutamiento lo más cercanas posibles a la zona de cobertura de los diferentes CAE, razón por la cual deberán adelantar las tareas técnicas apropiadas y una gestión de coordinación con la entidad a cargo del CAE.
PARÁGRAFO 1. Las llamadas realizadas a las líneas de emergencia 1XY independientes (Policía, Bomberos, etc.) que forman parte del CAE, serán enrutadas por parte de los PRST de manera automática al CAE.
PARÁGRAFO 2. Cuando la entidad responsable del CAE considere que se ha logrado la consolidación del 123 en la ciudad o región que atiende, previo consentimiento de las otras entidades que hacen parte del CAE, podrá solicitar al Administrador de los Recursos de Identificación la finalización de la coexistencia de la marcación a las líneas 1XY independientes (Policía, Bomberos, etc.), para lo cual deberá sustentar dicha solicitud presentando información de tráfico histórico que demuestre que el 123 está posicionado por encima de los números independientes, frente a los usuarios. El Administrador de los Recursos de Identificación analizará la idoneidad de la información de tráfico que acredita el posicionamiento del nuevo CAE y, de encontrarla suficiente, informará a los PRST en el área de cobertura de dicho CAE para que, en el término de treinta (30) días calendario siguientes al recibo de la comunicación, desactiven el acceso a las líneas 1XY independientes que conforman el CAE y que venían siendo enrutadas al 123, e implementen un tono de marcación inexistente.
CÓDIGOS DE OPERADOR DE LARGA DISTANCIA INTERNACIONAL- COLD.
PLANIFICACIÓN DE COLD.
ARTÍCULO 6.8.1.1. ESTRUCTURA DE COLD. <Artículo modificado por el artículo 1 de la Resolución 5968 de 2020. El nuevo texto es el siguiente:> La estructura de COLD está dada, para los PRST que ofrecen servicios de larga distancia internacional y que comenzaron a prestar sus servicios a partir del 1° de agosto de 2007, por una cadena de 3 dígitos con estructura 4XY, donde "X" y "Y" pueden tomar como valor cualquier dígito entre 0 y 9. Para los PRST establecidos como operadores de larga distancia internacional antes del 1° de agosto de 2007, la estructura del COLD es de un solo dígito, de conformidad con las asignaciones publicadas en el SIGRI.
ARTÍCULO 6.8.1.2. ATRIBUCIONES DE COLD. <Artículo modificado por el artículo 1 de la Resolución 5968 de 2020. El nuevo texto es el siguiente:> La atribución de este recurso está dada de manera general para el acceso a los servicios de larga distancia internacional a través del sistema de multiacceso.
ARTÍCULO 6.8.1.3. ASIGNATARIOS DE COLD. <Artículo modificado por el artículo 1 de la Resolución 5968 de 2020. El nuevo texto es el siguiente:> Podrán solicitar y ser asignatarios de COLD todos los PRST cuyo Registro TIC contenga la prestación de servicios de larga distancia internacional.
ASIGNACIÓN DE COLD.
ARTÍCULO 6.8.2.1. REQUISITOS PARA LA ASIGNACIÓN DE COLD. <Artículo modificado por el artículo 1 de la Resolución 5968 de 2020. El nuevo texto es el siguiente:> A efectos de solicitar COLD, el solicitante debe remitir al Administrador de los Recursos de Identificación, a través del trámite unificado de recursos de identificación dispuesto para tal fin en el SIUST, o aquel sistema que lo sustituya, la siguiente información:
6.8.2.1.1. Tres (3) opciones de COLD en orden de preferencia, teniendo en cuenta la disponibilidad registrada en el SIGRI al momento de la solicitud.
6.8.2.1.2. Justificación y propósito del servicio, en la que se describa de manera general el modelo de negocio, el detalle de la solución técnica a implementar, y el plan de interconexión a llevar a cabo para soportar el servicio.
6.8.2.1.3. Cronograma de implementación de COLD, el cual no podrá exceder los doce (12) meses contados a partir de la expedición del acto administrativo de asignación del recurso.
6.8.2.1.4. Constancia de interconexión, o de inicio del trámite de negociación de la interconexión con los proveedores de acceso que requiera, conforme al modelo de negocio y el plan de interconexión mencionados en el numeral 6.8.2.1.2. del presente artículo.
6.8.2.1.5. En el caso en que la solicitud sea presentada por un tercero que ostente calidad de PRST, que soporte la prestación de sus servicios en las redes con acceso móvil, deberá remitir el acuerdo comercial de larga distancia internacional suscrito para la prestación de dicho servicio y una comunicación donde se demuestre que se ha informado acerca de las condiciones aplicables al enrutamiento del tráfico de larga distancia internacional al PRSTM en el cual el tercero soporta los servicios.
6.8.2.1.6. Cualquier otra información que le permita al solicitante sustentar su solicitud.
PARÁGRAFO. El Administrador de los Recursos de Identificación autoriza de manera general el uso de los códigos de operador de larga distancia internacional atribuidos para pruebas dentro de la tabla de atribuciones contenida en el SIGRI, recurso que deberá ser implementado únicamente para uso interno en las redes de los proveedores que requieran llevar a cabo pruebas de puesta en marcha de servicios o elementos de red. El recurso dispuesto para pruebas de ninguna manera podrá ser empleado para soportar el funcionamiento de servicios ofrecidos a usuarios finales, y su atribución podrá ser modificada en cualquier momento por el Administrador de los Recursos de Identificación.
ARTÍCULO 6.8.2.2. PROCEDIMIENTO DE ASIGNACIÓN DE COLD. <Artículo modificado por el artículo 1 de la Resolución 5968 de 2020. El nuevo texto es el siguiente:> Una vez remitidas las solicitudes de COLD conforme con lo establecido en el ARTÍCULO 6.8.2.1. de la SECCIÓN 2 del CAPÍTULO 8 del TÍTULO VI, el Administrador de los Recursos de Identificación se pronunciará dentro de los quince (15) días hábiles siguientes, contados a partir del recibo de la solicitud, para lo cual se determinará la pertinencia o no de la asignación mediante el siguiente procedimiento:
6.8.2.2.1. Se verificará que la solicitud presentada cumpla con todos los requisitos establecidos en el ARTÍCULO 6.8.2.1. de la SECCIÓN 2 del CAPÍTULO 8 del TÍTULO VI. En caso de requerirse, se solicitará información adicional.
6.8.2.2.2. Se corroborará que el solicitante no posea COLD previamente asignados. Si ya cuenta con una asignación, la solicitud será rechazada.
6.8.2.2.3. En caso de no contar con la documentación completa, o requerirse una ampliación de información respecto del modelo de negocio, la solución técnica o el plan de interconexión planteado para soportar la prestación del servicio, el Administrador de los Recursos de Identificación requerirá al solicitante la misma para continuar el proceso de asignación.
6.8.2.2.4. En caso de proceder la asignación, se comprueba la disponibilidad y la viabilidad de la asignación en el SIGRI, y se cambia el estado del recurso solicitado a preasignado en dicha herramienta. Las asignaciones se llevarán a cabo atendiendo el respectivo orden de llegada.
6.8.2.2.5. Una vez la asignación quede plasmada en el acto administrativo de carácter particular, se procederá a cambiar el estado del recurso a asignado en el SIGRI.
USO DE COLD.
ARTÍCULO 6.8.3.4. CRITERIOS DE USO EFICIENTE. <Artículo modificado por el artículo 1 de la Resolución 5968 de 2020. El nuevo texto es el siguiente:> El uso eficiente de COLD asignados, será verificado por el Administrador de los Recursos de Identificación en observancia de los siguientes criterios:
6.8.3.1.1. Los asignatarios deberán dar pleno cumplimiento a las obligaciones generales definidas en el numeral 6.1.1.6.2. del ARTÍCULO 6.1.1.6. de la SECCIÓN 1 del CAPÍTULO 1 del TÍTULO VI.
6.8.3.1.2. Los COLD deberán ser implementados por sus asignatarios dentro de los doce (12) meses posteriores a la expedición del acto administrativo de asignación.
6.8.3.1.3. Los COLD asignados deberán ser utilizados por el asignatario para los fines especificados en el acto administrativo de asignación.
ARTÍCULO 6.8.3.2. CAUSALES DE RECUPERACIÓN DE LOS COLD. <Artículo modificado por el artículo 1 de la Resolución 5968 de 2020. El nuevo texto es el siguiente:> El Administrador de los Recursos de Identificación podrá recuperar los COLD asignados conforme el procedimiento de recuperación establecido en el numeral 6.1.1.8.1. del ARTÍCULO 6.1.1.8. de la SECCIÓN 1 del CAPÍTULO 1 del TÍTULO VI, cuando el asignatario incumpla con alguno de los criterios de uso eficiente establecidos en el ARTÍCULO 6.8.3.1 de la SECCIÓN 3 del CAPÍTULO 8 del TÍTULO VI o incurra en alguna de las siguientes causales de recuperación:
6.8.3.2.1. Cuando el asignatario incumpla alguna de las obligaciones generales definidas en el numeral 6.1.1.6.2. del ARTÍCULO 6.1.1.6 de la SECCIÓN 1 del CAPÍTULO 1 del TÍTULO VI.
6.8.3.2.2. Cuando el recurso no haya sido implementado dentro de los 12 meses siguientes a la expedición del acto administrativo de asignación, y en consecuencia no haya iniciado la operación del servicio.
6.8.3.2.3. Cuando el asignatario ya no usa o no requiere el recurso asignado.
6.8.3.2.4. Por razones de interés general o seguridad nacional.
ACCESO AL SERVICIO DE LARGA DISTANCIA INTERNACIONAL.
ARTÍCULO 6.8.4.1. ACCESO AL SERVICIO DE LARGA DISTANCIA INTERNACIONAL. <Artículo modificado por el artículo 1 de la Resolución 5968 de 2020. El nuevo texto es el siguiente:> Los usuarios del servicio de larga distancia internacional tendrán acceso a todos los proveedores interconectados a través del sistema de multiacceso, de acuerdo con las condiciones definidas en la SECCIÓN 4 DEL CAPÍTULO 8 DEL TÍTULO VI.
PARÁGRAFO 1. Para el efecto, únicamente podrán utilizar los códigos que asigne o haya asignado el Administrador de los Recursos de Identificación a los de proveedores de larga distancia internacional a través del sistema del multiacceso. En particular les está prohibido el uso de numeración de servicios suplementarios o el uso de los signos como # y * a manera de código o parte de códigos de acceso para prestar servicios de larga distancia internacional.
ARTÍCULO 6.8.4.2. COLD PARA ACCEDER AL SISTEMA DE MULTIACCESO. <Artículo modificado por el artículo 1 de la Resolución 5968 de 2020. El nuevo texto es el siguiente:> Para acceder a los servicios de larga distancia internacional a través del sistema de multiacceso, cada PRST que ofrezca el servicio de larga distancia internacional contará con un único COLD para su identificación, el cual deberá ser habilitado obligatoriamente por todos los PRST que tengan redes de acceso fijas o móviles propias o arrendadas, siempre y cuando el PRST que ofrezca el servicio de larga distancia internacional así lo solicite.
ARTÍCULO 6.8.4.3. ESTRUCTURA DE MARCACIÓN PARA ACCEDER AL SISTEAM DE MULTIACCESO. <Artículo modificado por el artículo 1 de la Resolución 5968 de 2020. El nuevo texto es el siguiente:>
6.8.4.3.1. Los PRST con redes de acceso propias o arrendadas, deben poner a disposición de sus usuarios el siguiente esquema de marcación para que accedan a los servicios de larga distancia internacional a través del sistema de multiacceso.
| 00 | 1 digito o 4XY | CC | N(S)N |
| Prefijo UIT | Código de Operador de Larga Distancia Internacional-COLD | Código de país | Número Nacional Significativo NDC+SN |
| Prefijo LDI para multiacceso | Número E.164 internacional | ||
NÚMEROS DE ENCAMINAMIENTO DE RED - NRN.
PLANIFICACIÓN DE LOS NRN.
ARTÍCULO 6.9.1.1. ESTRUCTURA DE LOS NRN. <Artículo modificado por el artículo 1 de la Resolución 5968 de 2020. El nuevo texto es el siguiente:> La estructura de los NRN está dada por una cadena de tres (3) dígitos de longitud, bajo la estructura XYZ, donde "X" corresponde a un dígito entre 1 y 9, "Y" corresponde a un dígito entre 0 y 9, y "Z" es un dígito igual a Y – 1.
ARTÍCULO 6.9.1.2. ATRIBUCIONES DE LOS NRN. <Artículo modificado por el artículo 1 de la Resolución 5968 de 2020. El nuevo texto es el siguiente:> La atribución de este recurso está dada de manera general para proporcionar información a nivel de señalización sobre el proveedor de destino de una comunicación, para que en un entorno de portabilidad numérica se puedan encaminar correctamente los servicios de voz y SMS hacia un número portado. La anterior atribución deberá interpretarse teniendo en cuenta las especificaciones dispuestas en el SIGRI.
ARTÍCULO 6.9.1.3. ASIGNATARIOS DE LOS NRN. <Artículo modificado por el artículo 102 de la Resolución 7811 de 2025. El nuevo texto es el siguiente:> Podrán solicitar y ser asignatarios de varios NRN todos los PRST con redes propias o de terceros que cuenten con accesos móviles.
ASIGNACIÓN DE LOS NRN.
ARTÍCULO 6.9.2.1. REQUISITOS PARA LA ASIGNACIÓN DE LOS NRN. <Artículo modificado por el artículo 103 de la Resolución 7811 de 2025. El nuevo texto es el siguiente:> A efectos de solicitar NRN, el solicitante debe remitir al Administrador de los Recursos de Identificación, a través del trámite unificado de recursos de identificación dispuesto para tal fin, la siguiente información:
6.9.2.1.1. Justificación y propósito del servicio que se quiere prestar.
6.9.2.1.2. Cronograma de implementación del recurso, el cual no deberá exceder los doce (12) meses contados a partir de la asignación del recurso.
6.9.2.1.3. Información que soporte la necesidad del recurso solicitado. Cuando el solicitante sea asignatario de un NRN deberá presentar las razones técnicas que justifiquen la necesidad de contar con un nuevo NRN.
6.9.2.1.4. Cualquier otra información que le permita al solicitante sustentar su solicitud.
PARÁGRAFO. El Administrador de los Recursos de Identificación autoriza de manera general el uso de los NRN atribuidos para pruebas dentro de la tabla de atribuciones contenida en el SIGRI, recurso que deberá ser implementado únicamente para uso interno en las redes de los proveedores que requieran llevar a cabo pruebas de puesta en marcha de servicios o elementos de red. El recurso dispuesto para pruebas de ninguna manera podrá ser empleado para soportar el funcionamiento de servicios ofrecidos a usuarios finales, y su atribución podrá ser modificada en cualquier momento por el Administrador de los Recursos de Identificación.
ARTÍCULO 6.9.2.2. PROCEDIMIENTO DE ASIGNACIÓN DE LOS NRN. <Artículo modificado por el artículo 1 de la Resolución 5968 de 2020. El nuevo texto es el siguiente:> Una vez remitidas las solicitudes de NRN conforme con lo establecido en el ARTÍCULO 6.9.2.1. de la SECCION 2 del CAPÍTULO 9 del TÍTULO VI, el Administrador de los Recursos de Identificación se pronunciará dentro de los quince (15) días hábiles siguientes, contados a partir del recibo de la solicitud, para lo cual se determinará la pertinencia o no de la asignación mediante el siguiente procedimiento:
6.9.2.2.1. Se verificará que la solicitud presentada cumpla con todos los requisitos establecidos en el ARTÍCULO 6.9.2.1. de la SECCION 2 del CAPÍTULO 9 del TÍTULO VI. En caso de requerirse, se solicitará información adicional.
6.9.2.2.2. Se verificará si el solicitante está habilitado para prestar servicios de voz y SMS a través de redes de acceso móviles de acuerdo con las categorías del Registro TIC. Si el solicitante no presta dicho tipo de servicios, la solicitud será rechazada.
6.9.2.2.3. En caso de resultar procedente la asignación, se cambiará el estado del NRN menor disponible en el SIGRI, hasta tanto concluya el respectivo trámite.
6.9.2.2.4. De no cumplirse con alguno de los requisitos establecidos, el Administrador de los Recursos de Identificación negará la asignación del recurso y le informará al solicitante acerca de las razones.
6.9.2.2.5. Una vez concluido el trámite administrativo luego de la expedición del acto de carácter particular, se procederá a cambiar el estado del recurso a asignado en el SIGRI.
USO DE LOS NRN.
ARTÍCULO 6.9.3.1. CRITERIOS DE USO EFICIENTE. <Artículo modificado por el artículo 1 de la Resolución 5968 de 2020. El nuevo texto es el siguiente:> El uso eficiente de los NRN asignados, será verificado por el Administrador de los Recursos de Identificación en observancia de los siguientes criterios:
6.9.3.1.2. Los asignatarios de los NRN deberán dar pleno cumplimiento a las obligaciones generales definidas en el numeral 6.1.1.6.2. del ARTÍCULO 6.1.1.6 de la SECCION 1 del CAPÍTULO 1 del TÍTULO VI.
6.9.3.1.2. Los NRN deberán ser implementados en la red de sus asignatarios. Dado el caso que el asignatario sea un OMV, el NRN podrá ser implementado en la red del OMR en que se aloje.
6.9.3.1.3. Los NRN asignados deberán ser utilizados por el asignatario para los fines especificados en el acto administrativo de asignación.
6.9.3.1.4. Los NRN asignados deberán ser implementados en un periodo no superior a doce (12) meses, contados a partir de la fecha en que quede en firme el acto administrativo de asignación.
ARTÍCULO 6.9.3.2. CAUSALES DE RECUPERACIÓN DE LOS NRN. <Artículo modificado por el artículo 1 de la Resolución 5968 de 2020. El nuevo texto es el siguiente:> El Administrador de los Recursos de Identificación podrá recuperar NRN asignados conforme el procedimiento de recuperación establecido en el numeral 6.1.1.8.1. del ARTÍCULO 6.1.1.8. de la SECCION 1 del CAPÍTULO 1 del TÍTULO VI, cuando el asignatario incumpla con alguno de los criterios de uso eficiente establecidos en el ARTÍCULO 6.9.3.1 de la SECCION 3 del CAPÍTULO 9 del TÍTULO VI, o incurra en alguna de las siguientes causales de recuperación:
6.9.3.2.1. Cuando el asignatario incumpla alguna de las obligaciones generales definidas en el numeral 6.1.1.6.2. del ARTÍCULO 6.1.1.6 de la SECCION 1 del CAPÍTULO 1 del TÍTULO VI.
6.9.3.2.2. Cuando el asignatario no haya implementado el NRN en un plazo superior a doce (12) meses contados a partir de la asignación, situación que será corroborada mediante la puesta en marcha del servicio por parte del solicitante, o mediante el número de portaciones (entrada y salida) que reporte la BDA de portabilidad.
6.9.3.2.3. Cuando el asignatario ya no usa o no requiere el recurso asignado.
6.9.3.2.4. Por razones de interés general o seguridad nacional.
NUMERACIÓN PARA EL ACCESO AL SERVICIO SUPLEMENTARIO DE MARCACIÓN ABREVIADA.
PLANIFICACIÓN DE LA NUMERACIÓN PARA EL ACCESO AL SERVICIO SUPLEMENTARIO DE MARCACIÓN ABREVIADA.
ARTÍCULO 6.10.1.1. ESTRUCTURA DE LA NUMERACIÓN PARA EL ACCESO AL SERVICIO SUPLEMETARIO DE MARCACIÓN ABREVIADA. <Artículo modificado por el artículo 1 de la Resolución 5968 de 2020. El nuevo texto es el siguiente:> La numeración para acceder al servicio de marcación abreviada a los que se refiere la recomendación de la UIT-T E.131 corresponde a una cadena con una longitud de tres (3) dígitos, acompañada del símbolo "cuadrado" (#) definido en la recomendación UIT-T E.161.
Para el acceso al servicio suplementario de marcación abreviada bajo la norma ETSI ETS 300 738, la estructura de marcación corresponde a ABB#, donde "A" es un dígito entre 2 y 9 y "B" es un dígito entre 0 y 9. Para la estructura #ABB, "A" y "B" pueden tomar como valor cualquier dígito entre 0 y 9.
La función principal de este recurso de identificación es brindar a los PRST y a los usuarios los recursos necesarios para el acceso y control a los servicios suplementarios en las redes de telecomunicaciones, y a la vez establecer un plan de procedimientos de control uniforme, de conformidad con lo establecido en el artículo 2.2.12.2.1.15 del Decreto 1078 de 2015.
ARTÍCULO 6.10.1.2. ATRIBUCIONES DE LA NUMERACIÓN PARA EL ACCESO AL SERVICIO SUPLEMETARIO DE MARCACIÓN ABREVIADA. <Artículo modificado por el artículo 1 de la Resolución 5968 de 2020. El nuevo texto es el siguiente:>
6.10.1.2.1. USO COMERCIAL O INTERÉS GENERAL. Para la identificación de servicios comerciales o de interés general, se atribuye el rango de números para el acceso al servicio suplementario de marcación abreviada bajo el esquema #ABB comprendido entre el #100 y el #999, teniendo en cuenta las especificaciones dispuestas en el SIGRI. Quedan excluidos de este rango aquella combinación de dígitos #ABB tal que sea igual a la numeración de servicios semiautomáticos y especiales de abonados esquema 1XY Modalidad 1.
ARTÍCULO 6.10.1.3. ASIGNATARIOS DE AL NUMERACIÓN PARA EL ACCESO AL SERVICIO SUPLEMETARIO DE MARCACIÓN ABREVIADA BAJO EL ESQUEMA #ABB. <Artículo modificado por el artículo 1 de la Resolución 5968 de 2020. El nuevo texto es el siguiente:> Podrán ser asignatarios de la numeración para el acceso al servicio suplementario de marcación abreviada bajo el esquema #ABB las personas jurídicas que soliciten a los PRST la utilización de dichos números para soportar sus actividades comerciales o de interés general, y tendrán el derecho de habilitar un único número en todos los PRST previa celebración de los respectivos acuerdos comerciales con los proveedores de su preferencia.
ASIGNACIÓN DE LA NUMERACIÓN PARA EL ACCESO AL SERVICIO SUPLEMENTARIO DE MARCACIÓN ABREVIADA.
ARTÍCULO 6.10.2.1. REQUISITOS PARA LA ASIGNACIÓN DE NUMERACIÓN PARA EL ACCESO AL SERVICIO SUPLEMENTARIO DE MARCACIÓN ABREVIADA. <Artículo modificado por el artículo 1 de la Resolución 5968 de 2020. El nuevo texto es el siguiente:> A efectos de solicitar numeración para el acceso al servicio suplementario de marcación abreviada, el solicitante debe remitir al Administrador de los Recursos de Identificación, a través del trámite unificado de recursos de identificación dispuesto para tal fin en el SIUST, o aquel sistema que lo sustituya, la siguiente información:
6.10.2.1.1. Razón Social, NIT- y nombre del representante legal de la persona jurídica a la cual se asignará el recurso.
6.10.2.1.2. Acuerdo comercial suscrito entre el futuro asignatario y el PRST que remite la solicitud de asignación.
6.10.2.1.3. Dos sugerencias de número para el acceso al servicio suplementario de marcación abreviada #ABB a ser asignado, según disponibilidad en el SIGRI.
6.10.2.1.4. Justificación y propósito del número para el acceso al servicio suplementario de marcación abreviada #ABB solicitado.
6.10.2.1.5. Cronograma de puesta en marcha del número para el acceso al servicio suplementario de marcación abreviada #ABB, el cual no puede superar los seis (6) meses.
6.10.2.1.6. Nombre y código DANEde los municipios que harán parte de la cobertura del servicio.
6.10.2.1.7. Para los casos en los cuales se instale un centro de atención en cada uno de los municipios o grupo de municipios donde se prestará el servicio, se deberá informar los números telefónicos (fijos o móviles) a los cuales deberán ser enrutadas las llamadas a cada uno de los municipios, los cuales deberán estar en funcionamiento en el momento de realizar el respectivo trámite de solicitud.
6.10.2.1.8. Para los casos en los cuales se instale un único centro de atención a nivel nacional, se deberá informar el número telefónico (fijo o móvil), al cual deberán ser enrutadas las llamadas. El número deberá estar en funcionamiento en el momento de realizar el respectivo trámite de solicitud.
ARTÍCULO 6.10.2.2. PROCEDIMIENTO DE ASIGNACIÓN DE NUMERACIÓN PARA EL ACCESO AL SERVICIO SUPLEMENTARIO DE MARCACIÓN ABREVIADA. <Artículo modificado por el artículo 1 de la Resolución 5968 de 2020. El nuevo texto es el siguiente:> Una vez remitidas las solicitudes de numeración para el acceso al servicio suplementario de marcación abreviada conforme con lo establecido en el ARTÍCULO 6.10.2.1. de la SECCION 2 del CAPÍTULO 10 del TÍTULO VI, el Administrador de los Recursos de Identificación se pronunciará dentro de los quince (15) días hábiles siguientes, contados a partir del recibo de la solicitud, para lo cual se determinará la pertinencia o no de la asignación mediante el siguiente procedimiento:
6.10.2.2.1. Se verificará que el futuro asignatario no cuente con numeración para el acceso al servicio suplementario de marcación abreviada #ABB previamente asignada.
6.10.2.2.2. Se verificará que la solicitud presentada cumpla con todos los requisitos establecidos en el ARTÍCULO 6.10.2.1 de la SECCION 2 del CAPÍTULO 10 del TÍTULO VI. En caso de requerirse, se solicitará información adicional.
6.10.2.2.3. Si la asignación resulta viable, se revisará que el primer número para el acceso al servicio suplementario de marcación abreviada #ABB sugerido se encuentre disponible en el SIGRI, en cuyo caso se cambiará el estado del recurso solicitado a preasignado en dicha herramienta. Si el primer número sugerido no llegara a estar disponible al momento de la asignación, se procederá a verificar la disponibilidad de la segunda sugerencia y se cambiará su estado a preasignado en el SIGRI.
6.10.2.2.4. Cumplidos los pasos anteriores, se procederá con la expedición del acto administrativo de asignación, y se cambiará el estado del #ABB a asignado en el SIGRI
6.10.2.2.5. De no remitirse de manera completa los requisitos previstos en el ARTÍCULO 6.10.2.1. de la SECCION 2 del CAPÍTULO 10 del TÍTULO VI para la asignación de numeración de servicios suplementarios de marcación abreviada #ABB, el Administrador de los Recursos de Identificación mediante acto administrativo, negará la solicitud de asignación realizada por el solicitante.
USO DE LA NUMERACIÓN PARA EL ACCESO AL SERVICIO SUPLEMENTARIO DE MARCACIÓN ABREVIADA.
ARTÍCULO 6.10.3.1. CRITEROS DE USO EFICIENTE. <Artículo modificado por el artículo 1 de la Resolución 5968 de 2020. El nuevo texto es el siguiente:> El uso eficiente de la numeración para el acceso al servicio suplementario de marcación abreviada asignada será verificado por el Administrador de los Recursos de Identificación en observancia de los siguientes criterios:
6.10.3.1.1. Los asignatarios deberán dar pleno cumplimiento a las obligaciones generales definidas en el numeral 6.1.1.6.2. del ARTÍCULO 6.1.1.6. de la SECCICN 1 del CAPÍTULO 1 del TÍTULO VI.
6.10.3.1.2. Los asignatarios de la numeración para el acceso al servicio suplementario de marcación abreviada #ABB deberán implementar el mismo en un máximo de seis (6) meses contados a partir de su asignación.
ARTÍCULO 6.10.3.2. CAUSALES DE RECUPERACIÓN DE LA NUMERACIÓN PARA EL ACCESO AL SERVICIO SUPLEMENTARIO DE MARCACIÓN ABREVIADA. <Artículo modificado por el artículo 1 de la Resolución 5968 de 2020. El nuevo texto es el siguiente:> El Administrador de los Recursos de Identificación podrá recuperar total o parcialmente la numeración para el acceso al servicio suplementario de marcación abreviada asignada conforme el procedimiento de recuperación establecido en el numeral 6.1.1.8.1. del ARTÍCULO 6.1.1.8. de la SECCION 1 del CAPÍTULO 1 del TÍTULO VI, cuando el asignatario incumpla con alguno de los criterios de uso eficiente establecidos en el ARTÍCULO 6.10.3.1. de la SECCION 3 del CAPÍTULO 10 del TÍTULO VI, o incurra en alguna de las siguientes causales de recuperación:
6.10.3.2.1. Cuando el asignatario incumpla alguna de las obligaciones generales definidas en el numeral 6.1.1.6.2. del ARTÍCULO 6.1.1.6 de la SECCION 1 del CAPÍTULO 1 del TÍTULO VI.
6.10.3.2.2. Cuando el asignatario no cumpla con la fecha prevista en el cronograma de implementación remitido al momento de la solicitud de asignación, y autorizado por el Administrador de los Recursos de Identificación.
6.10.3.2.3. Cuando el asignatario use el número para el acceso al servicio suplementario de marcación abreviada #ABB para fines diferentes a los especificados en el respectivo acto administrativo de asignación.
6.10.3.2.4. Cuando el número para el acceso al servicio suplementario de marcación abreviada #ABB sea implementado en una empresa diferente a la autorizada por el Administrador de los Recursos de Identificación.
6.10.3.2.5. Por razones de interés general o seguridad nacional.
ARTÍCULO 6.10.3.3. USO DE LOS NÚMEROS PARA EL ACCESO AL SERVICIO SUPLEMENTARIO DE MARCACIÓN ABREVIADA NO DEFINIDOS. <Artículo modificado por el artículo 1 de la Resolución 5968 de 2020. El nuevo texto es el siguiente:> El Administrador de los Recursos de Identificación será el encargado de determinar el uso de cualquier recurso de las normas adoptadas, en cualquiera de los siguientes eventos:
6.10.3.3.1. Recursos destinados explícitamente por el estándar para la administración por parte de la CRC.
6.10.3.3.2. Recursos cuyo uso no ha sido definido de manera específica en la norma.
6.10.3.3.3. Eventos en los que se puedan aplicar varios procedimientos.
6.10.3.3.4. En aquellos casos en los que la interpretación de la norma sea ambigua.
En todo caso, el Administrador de los Recursos de Identificación podrá definir todos los aspectos previstos en las normas, aun cuando la misma prevea su definición por parte de los PRST.
Si las actualizaciones de la norma determinan el uso de algún código o secuencia para otro tipo de servicios, los PRST deberán migrar su uso a lo establecido por dicha norma, causando el menor traumatismo posible para los usuarios.
OBLIGACIONES PARTICULARES ASOCIADAS A LA NUMERACIÓN PARA EL ACCESO AL SERVICIO SUPLEMENTARIO DE MARCACIÓN ABREVIADA.
ARTÍCULO 6.10.4.1 OBLIGACIONES APLICABLES A LOS PRST. <Artículo modificado por el artículo 1 de la Resolución 5968 de 2020. El nuevo texto es el siguiente:> Los PRST deberán acatar las siguientes obligaciones asociadas a la operatividad de la numeración para el acceso al servicio suplementario de marcación abreviada:
6.10.4.1.1. La numeración para el acceso al servicio suplementario de marcación abreviada será preprogramada por el PRST, pero otorgando en todo caso la posibilidad al usuario de programarla o reprogramarla a su entera discreción.
6.10.4.1.2. Cuando el PRST preprograma esta numeración, solo podrá abreviar números nacionales significativos geográficos o no geográficos de redes al interior de su red, por lo tanto, no podrá abreviar números de servicios, UPT o de servicios semiautomáticos y especiales con esquema de marcación 1XY.
6.10.4.1.3. Los PRST deberán liberar los códigos en uso, si éstos no son definidos en las normas de servicios suplementarios adoptadas por el Administrador de los Recursos de Identificación como parte del servicio de marcación abreviada.
6.10.4.1.4. Los PRST deberán ofrecer a sus usuarios, desde cualquier terminal habilitado en su red, el acceso a la numeración para el servicio suplementario de marcación abreviada. Para el caso de los PRSTM, el acceso al servicio suplementario de marcación abreviada estará supeditado a la cobertura ofrecida por cada una de las redes.
6.10.4.1.5. Las tarifas que los PRST cobren a sus usuarios por el uso del número para el acceso al servicio suplementario de marcación abreviada #ABB, deben ser aplicadas de conformidad con la normatividad vigente asociada al servicio que se preste. Cuando el asignatario del número decida atender las llamadas desde una única infraestructura de comunicaciones a nivel nacional, el valor a pagar por el transporte de la llamada deberá ser sufragado por el asignatario del número para el acceso al servicio suplementario de marcación abreviada #ABB. En todo caso, la tarifa que debe pagar el usuario corresponderá a la tarifa local o a la unidad temporal de tasación de su plan móvil, sin perjuicio de que el asignatario del número pueda optar por un acuerdo comercial en el cual la obligación de cobro de las llamadas no sea trasladada al usuario, sino que sea sufragado por el mismo.
6.10.4.1.6. Los números para el acceso al servicio suplementario de marcación abreviada asignados no deberán reportar tráficos iguales a cero durante periodos superiores a seis (6) meses consecutivos en todas las redes en las que el asignatario establezca acuerdos comerciales. En caso de presentarse dicha situación, el Administrador de los Recursos de Identificación notificará a los PRST que reporten la habilitación del número para el acceso al servicio suplementario de marcación abreviada #ABB, para concertar el procedimiento de liberación del número sin uso.
6.10.4.1.7. Una vez un número para el acceso al servicio suplementario de marcación abreviada de estructura #ABB es asignado y habilitado por un PRST, los demás PRST deberán garantizar que el asignatario podrá activar el mismo número en sus redes, luego de establecer el acuerdo comercial correspondiente con el PRST al que el asignatario solicite el servicio.
OTRAS DISPOSICIONES RELATIVAS A LA NUMERACIÓN PARA EL ACCESO AL SERVICIO SUPLEMENTARIO DE MARCACIÓN ABREVIADA.
ARTÍCULO 6.10.5.1. NORMA DE SERVICIOS SUPLEMENTARIOS PARA REDES MÓVILES. <Artículo modificado por el artículo 1 de la Resolución 5968 de 2020. El nuevo texto es el siguiente:> Se autoriza el uso de la norma "Procedimientos de Marcación Uniformes y tratamiento de llamada para radio telecomunicaciones celulares", ANSI/TIA/EIA-660-1996, de la Asociación de la Industria de las Telecomunicaciones (TIA) contenida en sus numerales 5.13, 5.14, 5.15, 5.16, 6,7, 8 y el Anexo A, para el uso en sistemas de telecomunicaciones móviles.
ARTÍCULO 6.10.5.2. PUBLICIDAD DE LOS NÚMEROS PARA EL ACCESO AL SERVICIO SUPLEMETARIO DE MARCACIÓN ABREVIADA. <Artículo modificado por el artículo 1 de la Resolución 5968 de 2020. El nuevo texto es el siguiente:> Será responsabilidad del PRST con sus usuarios, la publicidad de los números abreviados preprogramados. Para tal fin, deberán informar a sus usuarios sobre el servicio que presta y la tarifa correspondiente.
La publicidad de la numeración para el acceso a servicios suplementarios de marcación abreviada #ABB asignada directamente por los PRST a terceros, así como el servicio que se presta y la tarifa correspondiente, será responsabilidad directa de los asignatarios.
RECURSOS DE IDENTIFICACIÓN DE LAS REDES Y SERVICIOS DE TDT - RITDT.
SECCIÓN 1. PLANIFICACIÓN DE LOS RITDT.
ARTÍCULO 6.11.1.1. ESTRUCTURA DE LOS RITDT. <Artículo modificado por el artículo 1 de la Resolución 5968 de 2020. El nuevo texto es el siguiente:> La estructura de los RITDT está dada para cada uno de ellos de la siguiente manera:
6.11.1.1.1 Identificador de Red Original (Original Network ID). Parámetro de 16 bits de longitud gestionado y asignado por el foro de estandarización de TV digital europeo DVB, el cual asignó a Colombia el valor 0x20AA (8362 en formato decimal). Para redes terrestres, todos los operadores dentro de un país utilizan el mismo Identificador de Red Original y se utiliza para identificar unívocamente el sistema de distribución de televisión original, es decir, identifica la red que origina el contenido independientemente de la red utilizada para el transporte.
6.11.1.1.2. Identificador de Red (Network ID). Parámetro de 16 bits de longitud asignado en bloques de 256 valores para redes terrestres (dentro del rango 0x3001 a 0x3100) por el foro de estandarización de TV digital europeo DVB a los reguladores nacionales, para que estos últimos los distribuyan en sus redes locales. Cumple la función de identificar la red TDT asociada a una zona cubierta por una serie de centros de transmisión que dependen de una única cabecera o punto de inserción de servicio, por lo que debe ser el mismo para todos los múltiplex pertenecientes a la misma red.
6.11.1.1.3. Identificador de Trama de Transporte (Transport Stream ID). Parámetro de 16 bits de longitud que permite identificar 65.535 tramas de transporte (0x0000 a 0xFFFF), el cual tiene como función identificar de forma unívoca una trama de transporte en las múltiplex digitales dentro de cada sistema de distribución original.
6.11.1.1.4. Identificador de Servicio (Service ID). Parámetro de 16 bits de longitud que permite identificar 65.535 servicios (0x0000 a 0xFFFF), el cual tiene como función diferenciar los servicios que pueden ser prestados dentro del sistema de distribución original.
6.11.1.1.5. Identificador de Datos Privados (Private Data Specifier ID). Parámetro de 32 bits de longitud gestionado y asignado por el foro de estandarización de TV digital europeo DVB, el cual ha asignado a Colombia el valor 0x000020AA (8362 en formato decimal), que tiene como función indicar si en las tramas de transmisión existen elementos de información privados o propietarios que no están definidos en las normas DVB, como es el caso particular del número de canal lógico
6.11.1.1.6. Número de Canal Lógico (LCN). Parámetro opcional en la identificación de los servicios, de 10 bits de longitud, que permite identificar un total de 1023 canales y cumple con la función de ordenar la presentación de los canales de TV en el receptor, independientemente de su orden asignado en la frecuencia.
ARTÍCULO 6.11.1.2. ATRIBUCIONES DE LOS RTDT. <Artículo modificado por el artículo 1 de la Resolución 5968 de 2020. El nuevo texto es el siguiente:> La atribución establecida para los RITDT contempla solamente los identificadores de red, de trama de transporte y de servicio, ya que el identificador de red original y el especificador de datos privados son recursos de identificación únicos para todas las redes y servicios operativas en el país.
6.11.1.2.1. Identificador de Red (Network ID). Para la identificación de redes nacionales se atribuyen los ocho (8) números comprendidos entre el 12.289 y el 12.296. Para la identificación de redes regionales se atribuyen los dieciséis (16) números comprendidos entre el 12.401 y el 12.416. Para la identificación de redes locales se atribuyen los sesenta y cuatro (64) números comprendidos entre el 12.481 y el 12.544. Lo anterior teniendo en cuenta las especificaciones dispuestas en el SIGRI.
6.11.1.2.2. Identificador de Trama de Transporte (Transport Stream ID). Para la identificación de tramas de transporte nacionales se atribuyen los noventa (90) números comprendidos entre 10 y el 99. Para la identificación de tramas de transporte regionales se atribuyen los cíen (100) números comprendidos entre el 3.001 – 3.100. Para la identificación de tramas de transporte locales se atribuyen los seiscientos cuarenta (640) números comprendidos entre 10.001 – 10.640. Lo anterior teniendo en cuenta las especificaciones dispuestas en el SIGRI.
6.11.1.2.3. Identificador de Servicio (Service ID). Para la identificación de servicios nacionales se atribuyen los doscientos (200) números comprendidos entre el 1 y el 200. Para la identificación de servicios regionales se atribuyen los doscientos (200) números comprendidos entre el 6.001 – 6.200. Para la identificación de servicios locales se atribuyen los novecientos sesenta (960) números comprendidos entre 16.001 – 16.960. Lo anterior teniendo en cuenta las especificaciones dispuestas en el SIGRI.
ARTÍCULO 6.11.1.3. ASIGNATARIOS DE LOS RITDT. <Artículo modificado por el artículo 1 de la Resolución 5968 de 2020. El nuevo texto es el siguiente:> Podrán solicitar y ser asignatarios de los RITDT todos los operadores de redes y servicios de televisión radiodifundida digital terrestre que cuenten con la autorización para prestar los servicios de televisión abierta radiodifundida digital terrestre, expedida por la autoridad competente, y que se encuentren inscritos en el ROTDT.
ASIGNACIÓN DE LOS RITDT.
ARTÍCULO 6.11.2.1. REQUISITOS PARA LA ASIGNACIÓN DE LOS RITDT. A efectos de solicitar los RITDT, el solicitante debe remitir al Administrador de los Recursos de Identificación, a través del trámite unificado de recursos de identificación dispuesto para tal fin en el SIUST, o aquel sistema que lo sustituya, la siguiente información:
6.11.2.1.1. Número del registro ROTDT.
6.11.2.1.2. Recursos de identificación asociados a la solicitud.
6.11.2.1.3. Propósito de cada recurso de identificación, justificando la necesidad y uso previsto.
6.11.2.1.4. Cronograma de implementación de los recursos solicitados, el cual no deberá superar los doce (12) meses contados a partir de la solicitud.
6.11.2.1.5. Estado de implementación de los RITDT previamente asignados.
6.11.2.1.6. Solamente en caso de tratarse de una solicitud de Identificador de Red – Network ID, el solicitante debe remitir el nombre de identificación dado a la red, el cual deberá identificar unívocamente la misma, así como el alcance geográfico de los servicios provistos por la red a nivel de departamentos y municipios, y el respectivo canal radioeléctrico y frecuencia central en MHz para cada ámbito geográfico.
6.11.2.1.7. Solamente en caso de tratarse de una solicitud de Identificador de Trama de Transporte – Transport Stream ID, el solicitante debe remitir el nombre de identificación del múltiplex digital, el cual tendrá que identificar unívocamente el mismo. Adicional a lo anterior, debe informar la cantidad y nombre de los PLPs DVB-T2 usados en el multiplex digital, el alcance geográfico del servicio provisto por el multiplex digital a nivel de departamentos y municipios, y el respectivo canal radioeléctrico y frecuencia central en MHz.
6.11.2.1.8. Solamente en caso de tratarse de una solicitud de Identificador de Servicio – Service ID, el solicitante debe remitir el nombre del servicio a prestar, el cual tendrá que identificar unívocamente el mismo. Adicional a lo anterior, debe informar la prioridad del servicio dentro del múltiplex digital, indicando expresamente en caso de tratarse del canal principal digital, el alcance geográfico del servicio a nivel de departamentos y municipios, y el respectivo canal radioeléctrico y frecuencia central en MHz.
6.11.2.1.9. Cualquier otra información que le permita al solicitante sustentar su solicitud.
PARÁGRAFO 1. En el caso que varios Operadores de televisión abierta radiodifundida digital terrestre compartan un múltiplex digital, los mismos podrán presentar una solicitud conjunta de los identificadores comunes que requieran, en la que debe proporcionarse el orden de prioridad de cada uno de los servicios del múltiplex digital.
PARÁGRAFO 2. Los Operadores de televisión abierta radiodifundida digital terrestre que dispongan de un múltiplex digital de titularidad exclusiva, deberán proporcionar el nivel de importancia relativa de cada uno de los servicios del múltiplex.
PARÁGRAFO 3. El Administrador de los Recursos de Identificación autoriza de manera general el uso de los RITDT atribuidos para pruebas dentro de la tabla de atribuciones contenida en el SIGRI, recursos que deberán ser implementados únicamente para uso interno en las redes de los operadores que requieran levar a cabo pruebas de puesta en marcha de servicios o elementos de red. Los recursos dispuestos para pruebas de ninguna manera podrán ser empleados para soportar el funcionamiento de servicios ofrecidos a usuarios finales, y su atribución podrá ser modificada en cualquier momento por el Administrador de los Recursos de Identificación.
ARTÍCULO 6.11.2.2. PROCEDIMIENTO DE ASIGNACIÓN DE LOS RITDT. <Artículo modificado por el artículo 1 de la Resolución 5968 de 2020. El nuevo texto es el siguiente:> Una vez remitidas las solicitudes de los RITDT conforme con lo establecido en el ARTÍCULO 6.11.2.1. de la SECCIÓN 2 del CAPÍTULO 11 del TÍTULO VI, el Administrador de los Recursos de Identificación se pronunciará dentro de los quince (15) días hábiles siguientes, contados a partir del recibo de la solicitud, para lo cual se determinará la pertinencia o no de la asignación mediante el siguiente procedimiento:
6.11.2.2.1. Se verificará que la solicitud presentada por el solicitante cumpla con todos los requisitos establecidos en el ARTÍCULO 6.11.2.1. de la SECCIÓN 2 del CAPÍTULO 11 del TÍTULO VI. En caso de requerirse, se solicitará información adicional.
6.11.2.2.2 Si el operador de televisión abierta radiodifundida digital terrestre cuenta con recursos de identificación para dichas redes y servicios previamente asignados, se constatará que el mismo tenga actualizado el reporte de implementación asociado, el cual deberá tener la información completa y válida. La asignación no procederá si el solicitante no ha realizado dicho reporte de manera completa y con información válida al momento de la solicitud.
6.11.2.2.3. Si el Operador de televisión abierta radiodifundida digital terrestre posee Identífícadores de Red – Network ID previamente asignados, se revisará la viabilidad técnica y pertinencia de proceder con la reutilización de alguno de los mismos, caso en el cual el Administrador de los Recursos de Identificación podrá proceder a autorizar dicha reutilización.
6.11.2.2.4. En caso de tratarse de la solicitud de Identificadores de Trama de Transporte - Transport Stream ID, se reservará un rango de 10 identificadores para cada múltiplex digital, con la finalidad de que los Operadores cuenten con identificadores consecutivos en caso de implementar varias tramas de transporte en un futuro. Si el multiplex digital ya cuenta con un bloque reservado, se asignará un identificador de trama de transporte de dicho bloque. Los valores de este parámetro se asignarán teniendo en cuenta el orden de llegada de las solicitudes, considerando en todo caso los rangos previamente reservados para otros multiplex digitales.
6.11.2.2.5. <Numeral modificado por el artículo 5 de la Resolución 7423 de 2024. El nuevo texto es el siguiente:> En caso de tratarse de la solicitud de Identificadores de Servicio (Service ID), se reservará un rango de 20 identificadores para cada múltiplex digital, conservando el orden de llegada de las solicitudes, y teniendo en cuenta que, si el multiplex digital ya cuenta con un bloque reservado, se asignará un identificador dentro del mismo. La solicitud deberá detallar los nombres de los servicios y el tipo de canal que aplique así: canal de televisión digital principal, subcanales de televisión digital, canales de audio, canales de datos. En todo caso, se asignará al canal principal digital el número más bajo disponible dentro del rango de identificadores de servicio reservado.
6.11.2.2.6. En el caso que varios Operadores de televisión abierta radiodifundida digital terrestre compartan un múltiplex digital y presenten una solicitud conjunta, los valores de los identificadores se asignarán conforme al orden de prioridad informado en la solicitud. En caso de no darse una solicitud conjunta o de no presentarse un orden de prioridad en la solicitud, el Administrador de los Recursos de Identificación realizará un sorteo público entre los diferentes Operadores para asignar los identificadores a los canales principales digitales de cada operador, los cuales corresponderán a los números más bajos del bloque reservado para el respectivo múltiplex.
6.11.2.2.7. En caso de considerarse pertinente, y cuando sea técnicamente viable, el Administrador de los Recursos de Identificación podrá autorizar la reutilización de recursos previamente asignados al operador, permitiéndole la utilización de estos en distintas zonas geográficas.
6.11.2.2.8. De no cumplirse con alguno de los requisitos establecidos, el Administrador de los Recursos de Identificación negará la asignación del recurso de identificación y le informará al operador solicitante acerca de las razones.
6.11.2.2.9. Una vez verificado el cumplimiento los requisitos de la solicitud, se procederá a pasar al estado de preasignación en el SIGRI los recursos a asignar en tanto se concluye el trámite de asignación. Los RITDT se preasignarán teniendo en cuenta el orden de llegada de la solicitud y la atribución particular de cada recurso.
6.11.2.2.10. Cumplidos los pasos anteriores, se procederá con la expedición del acto administrativo de asignación de los RITDT preasignados, y se procederá a pasarlos a estado de asignación en el SIGRI.
ARTÍCULO 6.11.2.3. INCLUSIÓN DE OPERADORES DE TELEVISIÓN RADIODIFUNDIDA DIGITAL TERRESTRE EN EL ROTDT. <Artículo modificado por el artículo 1 de la Resolución 5968 de 2020. El nuevo texto es el siguiente:> Los Operadores de televisión abierta radiodifundida digital terrestre deberán registrarse ante el Administrador de los Recursos de Identificación para poder solicitar los recursos asociados a dichas redes y servicios. Al momento de solicitar su inscripción en el ROTDT deberán suministrar, a través de los medios que se dispongan para tal fin por el Administrador de los Recursos de Identificación, la siguiente información:
6.11.2.3.1. Razón Social y NIT.
6.11.2.3.2. Dirección de recibo de correspondencia.
6.11.2.3.3. Nombre del Representante Legal.
PARÁGRAFO 1. Una vez el Operador de televisión abierta radiodifundida digital terrestre remita a la CRC la información necesaria para su inclusión en el ROTDT, se revisará la integridad y validez de esta. Si se llegara a encontrar alguna inconsistencia o falta de información, se hará el respectivo requerimiento adicional. Una vez verificado el cumplimiento de todos los requisitos, se asignará un número de registro que identificará al Operador para posteriores trámites.
PARÁGRAFO 2. El plazo aplicable para dar respuesta por parte de la CRC a las solicitudes de inclusión en el ROTDT corresponde al establecido para el derecho de petición en el Código de Procedimiento Administrativo y de lo Contencioso Administrativo - CPACA.
PARÁGRAFO 3. El Administrador de los Recursos de Identificación podrá cancelar de oficio el ROTDT de un operador de redes y servicios de televisión abierta radiodifundida digital terrestre, en el evento en que el mismo haya dejado de proveer sus servicios.
USO DE LOS RITDT.
ARTÍCULO 6.11.3.1 CRITERIOS DE USO EFICIENTE. <Artículo modificado por el artículo 1 de la Resolución 5968 de 2020. El nuevo texto es el siguiente:> El uso eficiente de los RITDT asignados, será verificado por el Administrador de los Recursos de Identificación en observancia de los siguientes criterios:
6.11.3.1.1. Los asignatarios deberán dar pleno cumplimiento a las obligaciones generales definidas en el numeral 6.1.1.6.2. del ARTÍCULO 6.1.1.6. de la SECCIÓN 1 del CAPÍTULO 1 del TÍTULO VI.
6.11.3.1.2. Los RITDT asignados deben ser implementados en la red del Operador de televisión abierta radiodifundida digital terrestre asignatario, dentro de los doce (12) meses siguientes a la firmeza del acto administrativo de la asignación.
6.11.3.1.3. Los RITDT asignados deben ser utilizados por el Operador de televisión abierta radiodifundida digital terrestre para los fines especificados en el respectivo acto administrativo de asignación. La CRC podrá autorizar modificaciones a las condiciones de asignación inicialmente otorgadas, a petición de parte debidamente justificada.
6.11.3.1.4. El Operador de televisión abierta radiodifundida digital terrestre no debe reutilizar Identificadores de Red - Network ID sin la autorización previa del Administrador de los Recursos de Identificación.
6.11.3.1.5. Dado que los Identificadores de Trama de Transporte - Transport Stream ID se asignarán de forma única y exclusiva a cada PLP de la trama de transporte de los múltiplex digitales de TDT, a cada PLP le corresponderá un único identificador.
6.11.3.1.6. Los Identificadores de Servicio - Service ID se asignarán de forma única y exclusiva para cada servicio de TDT dentro del territorio nacional, por lo que no podrán existir diferentes servicios de TDT con el mismo identificador.
ARTÍCULO 6.11.3.2. CAUSALES DE RECUPERACIÓN DE LOS RITDT. <Artículo modificado por el artículo 1 de la Resolución 5968 de 2020. El nuevo texto es el siguiente:> El Administrador de los Recursos de Identificación podrá recuperar los RITDT asignados conforme el procedimiento de recuperación establecido en el numeral 6.1.1.8.1. del ARTÍCULO 6.1.1.8 de la SECCIÓN 1 del CAPÍTULO 1 del TÍTULO VI, cuando el asignatario incumpla con alguno de los criterios de uso eficiente establecidos en el ARTÍCULO 6.11.3.1 de la SECCIÓN 3 del CAPÍTULO 11 del TÍTULO VI, o incurra en alguna de las siguientes causales de recuperación:
6.11.3.2.1. Cuando el asignatario incumpla alguna de las obligaciones generales definidas en el numeral 6.1.1.6.2. del ARTÍCULO 6.1.1.6 de la SECCIÓN 1 del CAPÍTULO 1 del TÍTULO VI.
6.11.3.2.2. Cuando los recursos de identificación no hayan sido implementados dentro de los doce (12) meses siguientes a la fecha de la asignación.
6.11.3.2.3. Cuando se tenga evidencia de que el asignatario no necesita los recursos de identificación asignados.
6.11.3.2.4. Por razones de interés general o seguridad nacional.
ARTÍCULO 6.11.3.3. VERIFICACIÓN DE USO. <Artículo modificado por el artículo 1 de la Resolución 5968 de 2020. El nuevo texto es el siguiente:> Con el fin de que el Administrador de los Recursos de Identificación pueda verificar el uso efectivo de los RITDT asignados, los Operadores asignatarios deberán remitir al Administrador de los Recursos de Identificación el reporte de información establecido en el Formato 5.3 <Formato T.5.3*> del TÍTULO REPORTES DE INFORMACIÓN, teniendo en cuenta la periodicidad y los formatos dispuestos para ello.
PROCEDIMIENTO.
DISPOSICIONES GENERALES.
ARTÍCULO 7.1.1.1. EQUIPOS TERMINALES SUJETOS AL PROCEDIMIENTO DE HOMOLOGACIÓN. <Artículo subrogado por el artículo 1 de la Resolución 6129 de 2020. El nuevo texto es el siguiente:> Los terminales de telecomunicaciones que cumplan con las características de Equipos Terminales Móviles -ETM- a las que se refiere la definición contenida en el Título I de la Resolución CRC 5050 de 2016 o la norma que la modifique o sustituya, deberán surtir el proceso de homologación de conformidad con lo previsto en el presente TÍTULO. Lo anterior, sin perjuicio de que la CRC, a través del procedimiento regulatorio correspondiente, extienda esta obligación a otro tipo de terminales de telecomunicaciones.
PARÁGRAFO: Los teléfonos fijos y satelitales no deben ser homologados ante la CRC, pero deben garantizar el cumplimiento de los requerimientos técnicos que se relacionan en la Circular a la que hace referencia el numeral 7.1.1.2.5. del artículo 7.1.1.2 de la presente resolución.
ARTÍCULO 7.1.1.2. PROCEDIMIENTO PARA LA HOMOLOGACIÓN DE EQUIPOS TERMINALES MÓVILES. <Artículo subrogado por el artículo 1 de la Resolución 6129 de 2020. El nuevo texto es el siguiente:> La homologación de ETM podrá ser efectuada de oficio por parte de la CRC o a solicitud del interesado, cuando la CRC verifique la existencia de los certificados de los que trata el numeral 7.1.1.2.1. Las solicitudes de homologación que sean presentadas a la CRC deben cumplir con los requisitos definidos para cada modelo de terminal, en los términos señalados en el presente TÍTULO o aquellas normas que la modifiquen, adicionen o sustituyan y los que la entidad determine para tal efecto.
Cuando no se disponga de Norma Técnica Nacional, la CRC podrá adoptar normas internacionales reconocidas por la UIT-T, y las demás definidas por otro organismo internacional reconocido del sector de las telecomunicaciones.
El registro en la base de datos de homologación tendrá una vigencia indefinida, sin perjuicio de las causales de cancelación del registro definidas en el numeral 7.1.1.2.3 de la presente Resolución.
El procedimiento para la homologación de ETM se regirá con base en las siguientes disposiciones:
7.1.1.2.1. CERTIFICADOS DE CONFORMIDAD PARA LA HOMOLOGACIÓN DE EQUIPOS TERMINALES MÓVILES. Para la homologación de ETM en Colombia, será válido el certificado de conformidad, declaración de conformidad u otro documento que haga sus veces, siempre que sean de tercera parte, que permita verificar el cumplimiento de las normas técnicas adoptadas en Colombia, expedido por los organismos de certificación reconocidos a nivel nacional o internacional como Organismos Acreditados, es decir, aquellos organismos que cuentan con Acreditación en los términos del artículo 2.2.1.7.2.1. del Decreto 1074 de 2015, modificado por el Decreto 1595 de 2015 o la norma que lo modifique o sustituya; así como aquellos certificados de homologación expedidos por autoridades competentes de otros países, que den cuenta del cumplimiento de las normas técnicas aplicables.
7.1.1.2.2. INFORMACIÓN A SUMINISTRAR PARA LA HOMOLOGACIÓN DE EQUIPOS TERMINALES MÓVILES. Para la homologación de ETM, los interesados deberán suministrar el TAC, la marca, nombre comercial y modelo del dispositivo, y la etiqueta del ETM (física (foto) o electrónica) u optativamente el documento que certifique o declare la conformidad del ETM, con el fin de que la CRC verifique la existencia de un certificado de conformidad, declaración de conformidad u otro documento que haga sus veces, siempre que sean de tercera parte, que permita verificar el cumplimiento de las normas técnicas adoptadas en Colombia expedido por uno de los organismos a que se refiere el numeral 7.1.1.2.1, y de los límites de exposición establecidos en el estándar IEEE Std C.95.1 o por la Comisión Internacional de Protección de Radiación No Ionizante - ICNIRP - para los niveles de seguridad con respecto a la exposición humana a los campos electromagnéticos (CEM) de radiofrecuencia, de conformidad con los límites de seguridad expresados en términos de Tasa Específica de Absorción (SAR) y según lo dispuesto por la UIT-T en la Recomendación K.52 o aquellas que la modifiquen o sustituyan.
En cuanto a las especificaciones técnicas del terminal, este debe operar en al menos una de las frecuencias debidamente atribuidas en Colombia para el servicio móvil IMT de acuerdo con el Cuadro Nacional de Atribución de Bandas de Frecuencias (CNABF) y cuyas bandas de frecuencia cuenten con la correspondiente asignación para su uso.
La CRC considerará válidos los certificados de conformidad, declaración de conformidad u otro documento que haga sus veces, siempre que sean de tercera parte, con estándares que sean equivalentes en términos de límites de exposición a los campos electromagnéticos previamente indicados y que validen la compatibilidad electromagnética en al menos una de las bandas de frecuencia en que el dispositivo tenga la capacidad de operar en Colombia.
7.1.1.2.3. INFORMACIÓN DE EQUIPOS TERMINALES MÓVILES HOMOLOGADOS. La CRC mantendrá una base de datos actualizada de los ETM que hayan sido homologados, de acuerdo con lo dispuesto en el presente TÍTULO. En la página Web que la Comisión destine para tal efecto, se dispondrá del acceso público a la base de datos de los ETM homologados, y la misma contendrá al menos la información correspondiente a marca, modelo, código de homologación y las bandas de frecuencia para las cuales han sido homologados en Colombia.
Sin perjuicio de otras sanciones previstas en la Ley, la CRC procederá con la cancelación del registro en la base de datos, situación que será informada vía correo electrónico a quien surtió inicialmente el trámite, de aquellos ETM que se encuentren en al menos una de las siguientes situaciones:
i. Causen daño a las redes de telecomunicaciones.
ii. Interfieran en la prestación de algún servicio de telecomunicaciones.
iii. Incumplan los límites de exposición.
PARÁGRAFO. Los proveedores de redes y servicios de telecomunicaciones sólo podrán exigir como condición para la activación de los ETM en sus redes que dichos equipos se encuentren homologados. Para verificar la condición de homologado, los proveedores de redes y servicios de telecomunicaciones deberán hacer una consulta en la base de datos de ETM homologados que la CRC disponga. La activación de los ETM homologados no tendrá costo alguno para el usuario.
7.1.1.2.4. TRÁMITE PARA LA HOMOLOGACIÓN DE EQUIPOS TERMINALES MÓVILES. Con el objeto de obtener la homologación de los ETM sujetos a este proceso, los interesados deben cumplir con el siguiente trámite:
i. Presentar la solicitud en línea ante la CRC, para la homologación y registro del ETM dentro de la base de datos de equipos terminales homologados, a través del diligenciamiento del formulario disponible en el sitio Web dispuesto por la CRC para tal fin. El solicitante proveerá sus datos de identificación personal, junto con los datos del equipo candidato a ser registrado en la base de datos de homologación, a saber, marca, modelo, nombre comercial, tipo de dispositivo, TAC y el etiquetado del ETM (físico o electrónico). Sin perjuicio de lo anterior, el solicitante podrá aportar documentación adicional que considere pertinente, tal como el certificado de conformidad, declaración de conformidad u otro documento que haga sus veces, siempre que sean de tercera parte.
ii. La CRC buscará en las bases de datos de organismos internacionales la existencia del certificado de conformidad, declaración de conformidad u otro documento que haga sus veces, siempre que sean de tercera parte, para la marca y modelo registrado por el usuario en el formulario. Adicionalmente, haciendo uso del TAC suministrado, corroborará la correspondencia de asignación con la marca y el modelo del dispositivo en la base de datos de la GSMA.
iii. A partir del resultado obtenido en la búsqueda de la documentación, la CRC validará la compatibilidad con las bandas de frecuencias asignadas en Colombia para servicios IMT y el cumplimiento de los límites de exposición a los campos electromagnéticos, de acuerdo con lo establecido en el numeral 7.1.1.2.5.
iv. Dentro de los quince (15) días hábiles siguientes a la recepción de la solicitud, la CRC informará al solicitante a través del correo electrónico que este suministró, el resultado del trámite de homologación. En caso de aprobación, el ETM se registrará en la base de datos de que trata el numeral 7.1.1.2.3., asignando un código de registro e informándolo al solicitante vía correo electrónico. Cuando se encuentre que no es posible homologar el ETM, tal situación le será informada al solicitante vía correo electrónico, de manera que el ETM no se registrará en la base de datos del referido numeral.
Durante el trámite la CRC podrá solicitar al interesado vía correo electrónico la información que considere necesaria para determinar si efectivamente el ETM satisface las condiciones necesarias para ser homologado. El solicitante contará con un mes a partir de la recepción de la comunicación de la CRC para que presente dicha información. En caso de que el solicitante no proporcione la información requerida, se entenderá que el interesado ha desistido del trámite, sin perjuicio de que pueda presentar nuevamente la solicitud. Lo anterior, de acuerdo con lo establecido en el artículo 17 del Código de Procedimiento Administrativo y de lo Contencioso Administrativo, o aquella norma que lo modifique, adicione o sustituya.
Cada modelo de terminal homologado tendrá un código de registro interno en la base de datos de Equipos Terminales Móviles homologados de la CRC, bajo el siguiente esquema: CRC XX YY ZZZZ, donde XX corresponde al tipo de terminal homologado, YY identifica el año del registro y ZZZZ es el consecutivo del registro asociado al terminal.
Los códigos XX para el tipo de terminal homologado son:
![]()
PARÁGRAFO 1. Si un terminal homologado es objeto de una modificación estructural técnica, que conlleve a la generación de un nuevo modelo del ETM y que por consiguiente implique la expedición de un nuevo TAC, se deberá surtir un nuevo trámite de homologación, en caso de que la CRC no hubiera incluido el dispositivo de oficio en la base de datos de equipos homologados.
PARÁGRAFO 2. El trámite de homologación al interior de la CRC no tendrá costo alguno para el solicitante.
7.1.1.2.5. NORMAS TÉCNICAS. Para garantizar el cumplimiento de la compatibilidad de bandas de frecuencia y límites de emisión radioeléctrica la CRC adoptará normas internacionales aceptadas a nivel mundial, proferidas por organismos técnicos reconocidos. Para tal efecto, la CRC mediante Circular proporcionará una descripción detallada de las normas técnicas que deberán aplicarse para garantizar el cumplimiento de los límites de exposición a los campos electromagnéticos y compatibilidad con las bandas de frecuencia para servicios IMT asignadas en Colombia y todas las normas técnicas que sean equivalentes.
En la misma circular se referirán las normas técnicas que deberán cumplir los teléfonos fijos y teléfonos satelitales en materia de conexión a la red y de límites de exposición a campos electromagnéticos.
HOMOLOGACIÓN DE APARATOS TERMINALES DE TELEFONÍA FIJA
NORMA DE HOMOLOGACIÓN DE APARATOS TERMINALES TELEFÓNICOS DE MESA Y PARED
ARTÍCULO 7.2.1.1. OBJETO. <Artículo derogado por el artículo 80 de la Resolución 5586 de 2019>
CONDICIONES REDES INTERNAS DE TELECOMUNICACIONES.
CONDICIONES RELATIVAS AL ACCESO Y USO DE LAS REDES INTERNAS DE TELECOMUNICACIONES
DISPOSICIONES GENERALES
ARTÍCULO 8.1.1.1. OBJETO. El CAPÍTULO 1 del TÍTULO VIII tiene por objeto definir las condiciones de acceso y uso por parte de los proveedores de servicios de telecomunicaciones a la red interna de telecomunicaciones ubicada en los bienes inmuebles.
(Resolución CRC 3499 de 2011, artículo 1)
ARTÍCULO 8.1.1.2. ÁMBITO DE APLICACIÓN. El CAPÍTULO 1 del TÍTULO VIII aplica al propietario, poseedor o tenedor de los bienes inmuebles en los cuales se encuentran ubicadas las redes internas de telecomunicaciones y a la persona natural o jurídica encargada de su administración o facultada para ejercer actos de disposición sobre los mismos.
Igualmente aplica a los proveedores de servicios de telecomunicaciones que requieran acceder y hacer uso de las redes internas de telecomunicaciones para la prestación de los servicios públicos de telecomunicaciones.
(Resolución CRC 3499 de 2011, artículo 2)
ARTÍCULO 8.1.1.3. PRINCIPIOS APLICABLES. El acceso a la red interna de telecomunicaciones, por parte de los proveedores de servicios de telecomunicaciones, se sujetará a la aplicación de los siguientes principios y obligaciones:
8.1.1.3.1. Libre elección. La elección del proveedor de servicios de telecomunicaciones corresponde de manera exclusiva al usuario, tanto al momento de la oferta, como de la celebración del contrato y durante la ejecución del mismo.
Ni los proveedores de servicios de telecomunicaciones, ni persona alguna con poder de decisión o disposición respecto de la red interna de telecomunicaciones, podrán celebrar acuerdos de exclusividad para el uso de la misma, ni podrán limitar, condicionar o suspender el derecho a la libre elección del usuario de su proveedor de servicios de telecomunicaciones.
8.1.1.3.2. Libre y leal competencia. El acceso a la red interna de telecomunicaciones deberá propiciar escenarios de libre y leal competencia que permitan la concurrencia al mercado de los proveedores de servicios de telecomunicaciones, con observancia del régimen de competencia, bajo precios de mercado y en condiciones de igualdad
8.1.1.3.3. Trato no discriminatorio. El acceso y uso de la red interna de telecomunicaciones deberá darse en igualdad de condiciones a todos los proveedores de servicios de telecomunicaciones, por lo que no se podrá otorgar un tratamiento menos favorable a algún proveedor que se encuentre en condiciones similares.
(Resolución CRC 3499 de 2011, artículo 4)
SECCIÓN 2. OTRAS DISPOSICIONES
ARTÍCULO 8.1.2.1. CONDICIONES DE ACCESO Y USO DE LAS REDES INTERNAS DE TELECOMUNICACIONES. Los proveedores de servicios de telecomunicaciones tienen el derecho de acceder y usar la red interna de telecomunicaciones para brindar servicios de telecomunicaciones a los usuarios, siempre y cuando resulte técnicamente viable. El acceso y uso de la red interna de telecomunicaciones por parte del proveedor de servicios de telecomunicaciones no involucra remuneración alguna.
Sólo en aquellos eventos en que el proveedor de servicios de telecomunicaciones instale equipos activos que consuman energía suministrada por el inmueble, dicho proveedor deberá pagar el costo asociado únicamente a dicho consumo.
En caso de que no pueda darse acceso a la red interna de telecomunicaciones a un proveedor de servicios de telecomunicaciones, es responsabilidad del propietario, poseedor o tenedor de los bienes inmuebles en los cuales se encuentran ubicadas las redes internas de telecomunicaciones o de la persona natural o jurídica encargada de su administración o facultada para ejercer actos de disposición sobre los mismos, demostrar la existencia de dicha inviabilidad, entendida ésta como la no disponibilidad de espacio para la instalación de los equipos y/o redes del proveedor de servicios de telecomunicaciones.
(Resolución CRC 3499 de 2011, artículo 5)
ARTÍCULO 8.1.2.2. PROHIBICIÓN DE DESCONEXIÓN. Ninguna controversia o conflicto entre el propietario, poseedor o tenedor de los bienes inmuebles en los cuales se encuentran ubicadas las redes internas de telecomunicaciones o la persona natural o jurídica encargada de su administración o facultada para ejercer actos de disposición sobre los mismos y el proveedor de servicios de telecomunicaciones, podrá dar lugar a la desconexión de la red de alimentación y/o de captación de dicho proveedor respecto de la red interna de telecomunicaciones, salvo que la conexión de dichas redes ocasione graves daños a la red interna de telecomunicaciones y/o al inmueble.
Mientras no se produzca la desconexión, las condiciones del acceso y uso de la red interna de telecomunicaciones deben mantenerse y, por lo tanto, no podrán limitarse o suspenderse, so pena de que quién ejecutó, motivó o patrocinó la conducta, incurra en las sanciones previstas para el efecto en la Ley 155 de 1959, los Decretos 2153 de 1992 y 3523 de 2009 y la Ley 1340 de 2009.
(Resolución CRC 3499 de 2011, artículo 6)
CAPÍTULO 2. REGLAMENTO TÉCNICO PARA REDES INTERNAS DE TELECOMUNICACIONES RITEL
SECCIÓN 1. DISPOSICIONES GENERALES
ARTÍCULO 8.2.1.1. OBJETO. <Artículo modificado por el artículo 1 de la Resolución 5405 de 2018. El nuevo texto es el siguiente:> Expedir el Reglamento Técnico para Redes Internas de Telecomunicaciones (RITEL), contenido en el Anexo 8.1 del Título de Anexos, como un instrumento técnico – legal cuyo propósito es mejorar y masificar la cobertura de servicios de telecomunicaciones en el país a través del establecimiento de condiciones mínimas para el diseño y construcción de la infraestructura soporte de la red interna de telecomunicaciones, y de la red para el acceso al servicio de Televisión Digital Terrestre (TDT), en inmuebles cuyo uso sea vivienda y que respondan al régimen de copropiedad o propiedad horizontal de que trata la Ley 675 de 2001.
ARTÍCULO 8.2.1.2. ÁMBITO DE APLICACIÓN. <Artículo modificado por el artículo 1 de la Resolución 6771 de 2022. El nuevo texto es el siguiente:> Reglamento Técnico para Redes Internas de Telecomunicaciones -RITEL- aplica a todos aquellos inmuebles que estén sometidos al régimen de copropiedad o propiedad horizontal establecido en Colombia por la Ley 675 de 2001 o las normas que la modifiquen, sustituyan o complementen, cuyo uso sea vivienda, y que a la fecha de exigibilidad de este reglamento (1 de julio de 2019) no cuenten con licencia de construcción como obra nueva, o no hayan iniciado la etapa de preventa de cualquier proyecto constructivo.
Igualmente, aplica a los proveedores de servicios, las empresas constructoras de los inmuebles sometidos al régimen de propiedad horizontal previsto en la Ley 675 de 2001 -o las normas que la modifiquen, sustituyan o complementen-, a las comunidades de copropietarios de dichos inmuebles, y a los fabricantes, distribuidores y comercializadores de los elementos utilizados en la construcción de la infraestructura soporte de las redes internas de telecomunicaciones de tales inmuebles.
Para efectos del RITEL, la referencia a "proveedor de servicios" se refiere a los Proveedores de Redes y Servicios de Telecomunicaciones, incluidos los operadores de televisión cableada y cerrada y los operadores de televisión satelital.
En relación con los proyectos de vivienda abierta en las cuales la propiedad horizontal sea conformada exclusivamente por dos unidades de vivienda, que no posean zonas comunes ni administración compartida, solo les será exigible para el cumplimiento de RITEL, lo relativo a la red interna de usuario. En cuanto a la red de TDT para estos proyectos, en caso de ser necesario el uso de un amplificador para viviendas, se permitirá que este sea instalado en el interior de la caja PAU.
En el presente reglamento, el concepto de inmuebles abarca lo siguiente: "Edificio", "Conjunto", "Edificio o Conjunto de Uso Residencial", "Edificio o Conjunto de Uso mixto", "Bienes privados o de dominio particular", "Bienes comunes" y "Bienes comunes esenciales" sujetos al Régimen y Reglamentos de Propiedad Horizontal, de conformidad con lo establecido en el artículo 3 de la Ley 675 de 2001, por medio de la cual se expide el régimen de propiedad horizontal, o las normas que la modifiquen, sustituyan o complementen.
ARTÍCULO 8.2.1.3. RÉGIMEN DE TRANSICIÓN DEL RITEL. <Artículo modificado por el artículo 1 de la Resolución 5405 de 2018. El nuevo texto es el siguiente:> Las obligaciones a las que se refiere el presente Capítulo y el Anexo 8.1 del Título de anexos de la Resolución CRC 5050 de 2016, serán exigibles a partir del 1 de julio de 2019.
El mecanismo de la evaluación de la conformidad por parte de organismos de inspección, entrará en vigencia siempre y cuando se cumpla alguna de las siguientes dos condiciones: hasta que el país cuente con al menos 18 organismos de inspección acreditados por el Organismo Nacional de Acreditación de Colombia (ONAC) para la inspección del presente Reglamento, o hasta que se cumpla la fecha del 1 de enero de 2021, lo que ocurra primero.
ARTÍCULO 8.2.1.4. REVISIÓN Y ACTUALIZACIÓN DEL RITEL. <Artículo modificado por el artículo 1 de la Resolución 5405 de 2018. El nuevo texto es el siguiente:> El Reglamento Técnico para Redes Internas de Telecomunicaciones será revisado por la Comisión de Regulación de Comunicaciones como máximo cada cinco (5) años, contados a partir de su entrada en vigencia. Los interesados podrán solicitar esta revisión antes de cumplirse el periodo mencionado, siempre y cuando demuestren fundada y razonablemente a la CRC la necesidad de realizar dicha revisión.
DISPOSICIONES FINALES
ARTÍCULO 8.2.2.1. <Artículo derogado por el artículo 3 de la Resolución 5405 de 2018>
SEPARACIÓN CONTABLE.
OBLIGACIÓN DE SEPARACIÓN CONTABLE POR PARTE DE LOS PRST Y OTVS
DISPOSICIONES GENERALES
ARTÍCULO 9.1.1.1. ÁMBITO DE APLICACIÓN. El CAPÍTULO 1 del TÍTULO IX aplica a todos los Proveedores de Redes y Servicios de Telecomunicaciones - en adelante PRST- y operadores de televisión por suscripción, en adelante OTVS, que operan en Colombia.
(Resolución CRC 4577 de 2014, artículo 1)
ARTÍCULO 9.1.1.2. OBJETO. Mediante el CAPÍTULO 1 del TÍTULO IX, y conforme al numeral 19 del artículo 22 de la Ley 1341 de 2009, se regulan todos los aspectos relacionados con la presentación de información contable en el marco del Modelo de Separación Contable adoptado por parte de los PRST y OTVS.
En tal sentido, se establecen los criterios, parámetros y condiciones aplicables a la presentación de información contable amplia, exacta, veraz y oportuna la cual deberán presentar los PRST y/o OTVS, en el marco del Modelo de Separación Contable aquí regulado.
Así mismo, tiene por objeto determinar los mecanismos por los cuales la CRC realizará la verificación de la correcta implementación del Modelo de Separación Contable. La implementación conforme a la metodología aquí establecida corresponde en este caso a los operadores sujetos a la obligación de Separación Contable, conforme a la gradación que de dicha obligación se desarrolla en el CAPÍTULO 1 del TÍTULO IX.
(Resolución CRC 4577 de 2014, artículo 2 - modificado por la Resolución CRC 4670 de 2015, artículo 1)
ARTÍCULO 9.1.1.3. PRINCIPIOS APLICABLES A LA OBLIGACIÓN DE LA SEPARACIÓN CONTABLE. El esquema de contabilidad separada deberá ser implementado por parte de los PRST y/o OTVS con apego a los siguientes principios:
· Libre y Leal competencia: El esquema de separación contable constituye una herramienta que permite la promoción de escenarios de libre y leal competencia que no solo incentivan la inversión actual y futura en el sector de TIC que permita la libre concurrencia en el mercado bajo precios de mercado y en condiciones de igualdad, sino también que facilita el cumplimiento de obligaciones legales y regulatorias tales como las referidas al cumplimiento de los principios de transparencia, no discriminación, orientación a costos, uso eficiente de infraestructuras y la prohibición de subsidios cruzados.
· Causalidad: Todas las asignaciones de costos e ingresos a cada servicio deberán realizarse a través de direccionadores, entendidos estos como parámetros objetivos de las variables que los generan. Asimismo, los costos y gastos, deberán estar asignados a los centros de costo, con el objetivo que éstos sean distribuidos bajo criterios establecidos.
· Objetividad: Los direccionadores de costos y gastos deben ser objetivos y cuantificables mediante cálculos estadísticos provenientes de información de la entidad, deben ser confiables, estar relacionados directa o indirectamente con los servicios.
· Publicidad y Transparencia: El costo asignado a cada servicio habrá de ser debidamente informado en los casos en los que se requiera, bien sea de manera detallada o simplificada, y susceptible de descomposición atendiendo a su naturaleza.
· Auditabilidad: El modelo de contabilidad separada establecerá las interrelaciones adecuadas entre los registros de la contabilidad financiera y los sistemas operativos y estadísticos en que se fundamenten los direccionadores para la asignación de costos y gastos a los servicios. Lo anterior, con el fin de soportar correctamente la separación contable facilitando su posterior revisión por parte de un profesional independiente interno o externo.
· Coherencia: Los principios contables que se propongan, deben ser consistentes en el tiempo para que los resultados sean comparables.
· Neutralidad: El modelo de separación contable debe mostrar los costos de transferencia interna en cuentas separadas, de tal manera que se puedan distinguir y comparar los márgenes obtenidos cuando el PRST y/o OTVS vende a otras empresas y los márgenes obtenidos cuando la venta se efectúa entre empresas del mismo grupo.
· Desglose: Con independencia del número y orden de las asignaciones que se produzcan en la contabilidad separada, la totalidad de costos asignados a los servicios deberá´ realizarse mediante criterios de asignación objetivos y deberán estar justificados.
· No compensación: Los ingresos y costos de un servicio no se podrán compensar con los de otro.
· Suficiencia: El esquema de separación contable deberá permitir obtener directamente o a partir de los registros de la contabilidad financiera, la información necesaria para la generación de los reportes a los que esté obligado el PRST y/o OTVS de acuerdo con lo previsto en la normativa vigente en la materia. Adicionalmente a estos principios, el sistema de contabilidad de costos desarrollado por la entidad deberá´ satisfacer los principios básicos de contabilidad que establece el marco contable Colombiano.
· Proporcionalidad: Principio que rige la intervención del Estado en el mercado, el cual ayuda a determinar si la intervención buscada es o no manifiestamente necesaria o claramente proporcionada respecto del fin y del propósito buscado, y que en el CAPÍTULO 1 del TÍTULO IX en su ARTÍCULO 9.1.2.2 se garantiza a través de la gradación de la obligación de separación contable.
(Resolución CRC 4577 de 2014, artículo 3)
METODOLOGÍAS Y PRESENTACIÓN DEL MODELO DE SEPARACIÓN CONTABLE.
ARTÍCULO 9.1.2.1. SUJETOS RESPONSABLES. <Artículo modificado por el artículo 1 de la Resolución 5589 de 2019. El nuevo texto es el siguiente:> Todos los PRST y/o OTVS están obligados a adoptar esquemas de contabilidad separada en cumplimiento del numeral 19 del artículo 22, y del numeral 8 del artículo 64 de la Ley 1341 de 2009, y a reportar estos esquemas de acuerdo con las condiciones de gradación y presentación establecidas en este Capítulo.
ARTÍCULO 9.1.2.2. GRADACIÓN DE LA OBLIGACIÓN. <Artículo modificado por el artículo 1 de la Resolución 5589 de 2019. El nuevo texto es el siguiente:> La obligación de separación contable será detallada o simplificada en función del nivel de los ingresos que el PRST y/o OTVS posea según la clasificación a la que hacen referencia los artículos 9.1.2.3 y 9.1.2.4 de este Capítulo.
ARTÍCULO 9.1.2.3. SISTEMA DE INFORMACIÓN DETALLADA. <Consultar régimen de transición del artículo 3> <Artículo modificado por el artículo 1 de la Resolución 5589 de 2019. El nuevo texto es el siguiente:> Los PRST y/o OTVS sujetos a la obligación de separación contable detallada corresponderán a aquellos que de forma individual, o de forma agregada dentro de un mismo grupo empresarial, hayan generado un nivel de ingresos a nivel nacional igual o superior al valor equivalente a 1.658.000 smmlv causados por la prestación y/o provisión de los servicios minoristas y mayoristas incluidos como parte del Modelo de Separación Contable (MSC). Los PRST y/o OTVS que tengan al menos ese nivel de ingresos serán sujetos de las obligaciones de separación contable detallada a partir del año siguiente al año en que haya generado el nivel de ingresos correspondiente.
Todos los PRST y/o OTVS sujetos a una obligación de Separación Contable detallada deberán regirse por los principios, criterios, condiciones, metodologías y obligaciones establecidas en el Capítulo 1 del Título IX y los Anexos 9.1 y 9.3 del Título de Anexos.
ARTÍCULO 9.1.2.4. SISTEMA DE INFORMACIÓN SIMPLIFICADA. <Artículo modificado por el artículo 1 de la Resolución 5589 de 2019. El nuevo texto es el siguiente:> Los PRST y/o OTVS que no cumplan con el nivel de ingresos establecido en el artículo 9.1.2.3. del Capítulo 1 del Título IX, deben elaborar los formatos y el ejercicio de desagregación de ingresos y costos establecido en el Anexo 9.2 del Título de Anexos, atendiendo además las condiciones establecidas en el Anexo 9.3 del citado título. Los PRST y/o OTVS que no tengan el nivel de ingresos al que hace referencia el artículo 9.1.2.3 no deben presentar y reportar de manera periódica las obligaciones del Sistema de Información Detallada contenidas en este capítulo, aunque la CRC, conforme a lo dispuesto en el numeral 19 del artículo 22 de la Ley 1341 de 2009, podrá requerir su presentación cuando lo considere necesario.
ARTÍCULO 9.1.2.5. METODOLOGÍA DE ELABORACIÓN Y REPORTE. <Artículo modificado por el artículo 1 de la Resolución 5589 de 2019. El nuevo texto es el siguiente:>
ARTÍCULO 9.1.2.6. PRESENTACIÓN DE LOS FORMATOS Y REPORTES DEL MODELO DE SEPARACIÓN CONTABLE A LA CRC. <Artículo modificado por el artículo 1 de la Resolución 5589 de 2019. El nuevo texto es el siguiente:> Los PRST y/o OTVS sujetos a cumplir con el Sistema de Información Detallada establecido en el artículo 9.1.2.3. del Capítulo 1 del Título IX, deberán presentar a la CRC a través del medio electrónico que se disponga para el efecto, las tablas y reportes establecidos en el Manual Metodológico "Formularios y Guías para la Presentación de Resultados del Modelo de Separación Contable Detallada para PRST y/o OTVS" dispuesto en el Anexo 9.1 del Título de Anexos, atendiendo además las condiciones establecidas en el Anexo 9.3 del citado título. Las tablas y reportes deberán cumplir con el formato y condiciones allí establecidas, y con los criterios de desagregación estipulados para la asignación de ingresos, costos y activos de la contabilidad financiera a los servicios del Modelo de Separación Contable, así:
i) Presentación de los formatos y reportes del Modelo de Separación Contable correspondientes al año completo para cada una de las empresas obligadas al Sistema de Información Detallada del Artículo 9.1.2.3. del presente Capítulo. Deben ser presentados a más tardar el primer día hábil del mes de julio del año siguiente a la vigencia, a través del representante legal del PRST y/o OTVS o quien haga sus veces, debidamente auditados por el área de auditoría interna contable del PRST y/o OTVS, o por una persona jurídica privada especializada en el campo de la auditoría contable.
ii) Presentación de los estados financieros para cada una de las empresas obligadas al Sistema de Información Detallada del Artículo 9.1.2.3. del presente Capítulo que incluyen: estado de situación financiera, estado de resultados, manual de políticas contables NIIF, estado de variaciones en el patrimonio neto, estado de flujos de efectivo y notas aclaratorias a los estados financieros debidamente dictaminados por el revisor fiscal, en caso de ser aplicable, o debidamente auditados por personas jurídicas privadas especializadas en el campo de la auditoría contable. Esta información debe ser presentada como soporte, junto con el Modelo de Separación Contable correspondiente al año completo a más tardar el primer día hábil del mes de julio del año siguiente, a través del representante legal del PRST y/o OTVS o quien haga sus veces.
iii) Para el caso de grupos empresariales, de manera adicional a la información especificada en el literal ii) del presente artículo, deben allegar el informe de gestión del grupo y de cada una de sus empresas conformantes.
La Comisión revisará la información remitida por los PRST y/o OTVS y de ser necesario solicitará los ajustes a la información del Modelo de Separación Contable según lo determine la CRC.
ARTÍCULO 9.1.2.7. VIGILANCIA Y CONTROL. <Artículo modificado por el artículo 1 de la Resolución 5589 de 2019. El nuevo texto es el siguiente:> La verificación del cumplimiento de las disposiciones establecidas en el Capítulo 1 del Título IX, así como en aquellas regulaciones de carácter general que sean expedidas por la CRC a efectos de la imposición de las metodologías de separación contable aquí estipuladas, corresponderá al Ministerio de Tecnologías de la Información y Comunicaciones en ejercicio de las facultades legales establecidas en el artículo 63 de la Ley 1341 de 2009, y por la Autoridad Nacional de Televisión conforme a lo dispuesto en el artículo 11 de la Ley 1507 de 2012, o la norma que la sustituya o modifique.
SECCIÓN 1. DISPOSICIONES GENERALES
ARTÍCULO 9.2.1.1. ÁMBITO Y OBJETO DE LA APLICACIÓN. <Artículo subrogado por el artículo 12 de la Resolución 6333 de 2021. El nuevo texto es el siguiente:> El CAPÍTULO 2 del TÍTULO IX tiene por objeto establecer los términos del esquema de separación contable, a cargo de los Operadores de Servicios Postales de Pago y del Operador Postal Oficial.
ARTÍCULO 9.2.1.2. LINEAMIENTOS GENERALES PARA LA OBLIGACIÓN DE SEPARACIÓN CONTABLE. Los sujetos establecidos en el ARTÍCULO 9.2.1.1 del CAPÍTULO 2 del TÍTULO IX se someterán a los siguientes lineamientos generales:
9.2.1.2.1. Causalidad: Todas las asignaciones de costos e ingresos a cada servicio deberán realizarse a través de direccionadores, entendidos estos como parámetros objetivos de las variables que los generan. Así mismo, los costos y gastos deberán estar asignados a los centros de costo, con el objetivo de que éstos sean distribuidos bajo criterios establecidos.
9.2.1.2.2. Objetividad: Los direccionadores de costos y gastos deben ser objetivos y cuantificables mediante cálculos estadísticos provenientes de información de la entidad. Así mismo, deben ser confiables y estar relacionados directa o indirectamente con los servicios.
9.2.1.2.3. Transparencia: El costo asignado a cada servicio habrá de ser susceptible de descomposición atendiendo a su naturaleza.
9.2.1.2.4. Auditabilidad: Se debe garantizar la existencia de interrelaciones adecuadas entre los registros de la contabilidad financiera y los sistemas operativos y estadísticos en que se fundamenten los direccionadores para la asignación de costos y gastos a los servicios. Lo anterior, con el fin de soportar correctamente la separación contable, facilitando su posterior revisión por parte de un profesional independiente interno o externo.
9.2.1.2.5. Consistencia: Los principios contables que se propongan, deben ser consistentes en el tiempo. En el caso en que existan cambios de criterio que tengan un efecto significativo en la información presentada, el sustento de los mismos se deberá documentar apropiadamente, de tal forma que la información y los datos de soporte estén disponibles para fines de auditabilidad, permitiendo evidenciar las diferencias e impactos resultantes respecto de los informes reportados.
9.2.1.2.6. Desagregabilidad: Con independencia del número y orden de las distribuciones que se produzcan en la contabilidad separada, la totalidad de costos y gastos asignados a los Servicios Postales de Pago deberá realizarse utilizando criterios de distribución razonables y objetivos, cuyo detalle y suficiente desagregación deberán estar justificados. Este principio será de aplicación sin perjuicio de los principios de transparencia y suficiencia.
9.2.1.2.7. Suficiencia: El esquema de separación contable deberá permitir obtener directamente o a partir de los registros de la contabilidad financiera, la información necesaria para la formación de los reportes a los que este´ obligado el operador de acuerdo con lo previsto en el presente Capítulo. Adicionalmente a estos principios, el sistema de contabilidad de costos desarrollado por la entidad deberá satisfacer la normatividad que establece el marco contable colombiano.
(Resolución CRC 3774 de 2012, artículo 3)
ARTÍCULO 9.2.1.3. NIVEL DE DESAGREGACIÓN DE LOS SERVICIOS QUE PRESTAN LOS OPERADORES DE SERVICIOS POSTALES DE PAGO Y DEMÁS OBLIGADOS. Los Operadores de Servicios Postales de Pago y demás obligados, conforme el ARTÍCULO 9.2.1.1 del CAPÍTULO 2 del TÍTULO IX, deberán reportar por separado el segmento de operación correspondiente a los Servicios Postales de Pago, de los demás segmentos asociados a servicios ofrecidos en su portafolio, tanto en su balance general como en su estado de resultados.
(Resolución CRC 3774 de 2012, artículo 4)
ARTÍCULO 9.2.1.4. PERIODICIDAD Y PLAZO PARA PRESENTACIÓN DE LA INFORMACIÓN CONTABLE SEPARADA. <Artículo derogado por el artículo 23 de la Resolución 6333 de 2021>
SECCIÓN 2. DE LA SEPARACIÓN CONTABLE.
ARTÍCULO 9.2.2.1. DE LA SEPARACIÓN CONTABLE. <Numeración corregida por el artículo 8 de la Resolución 5226 de 2017> Los Operadores de Servicios Postales de Pago o los terceros intermediarios o comercializadores, conforme el ARTÍCULO 9.2.1.1 del Capítulo 2 del Título IX, deberán disponer de información contable separada con base en el requisito del reporte bajo segmentos de operación, debiendo aplicar para tal fin la Metodología de Costeo Basado en Actividades (ABC).
(Resolución CRC 3774 de 2012, artículo 6)
ARTÍCULO 9.2.2.2. SOPORTE DE CRITERIOS DE SEPARACIÓN CONTABLE. <Artículo subrogado por el artículo 13 de la Resolución 6333 de 2021. El nuevo texto es el siguiente:> En la aplicación de la separación contable para el segmento de operación correspondiente a los Servicios Postales de Pago, el operador, y en caso aplicable los terceros intermediarios o comercializadores con los que haya suscrito un contrato o acuerdo, aplicarán las mediciones a los estados de resultados y al balance general de la empresa. En forma adicional, revelará los criterios de contabilización de las transacciones entre los segmentos de operación, la justificación de las respectivas asignaciones al segmento de Servicios Postales de Pago y las notas a los estados financieros.
Asimismo, tanto el operador habilitado para prestar Servicios Postales de Pago, como aquellas empresas que tengan suscritos contratos o acuerdos con el mismo para la prestación de los citados servicios, deberán conciliar los resultados provenientes de sus actividades asociadas a la prestación de los Servicios Postales de Pago con los totales de sus estados financieros.
ARTÍCULO 9.2.2.3. COMPONENTES DEL MODELO ABC PARA LOS OPERADORES DE SERVICIOS POSTALES DE PAGO Y TERCEROS OBLIGADOS. <Numeración corregida por el artículo 8 de la Resolución 5226 de 2017> El modelo de costos ABC que deberán implementar los Operadores de Servicios Postales de Pago y terceros obligados por Capítulo 2 del Título IX deberá contener como componentes los respectivos recursos, direccionadores, actividades y segmentos de operación, de acuerdo con las condiciones particulares de prestación de sus servicios.
(Resolución CRC 3774 de 2012, artículo 8)
ARTÍCULO 9.2.2.4. CARACTERÍSTICAS DE LOS DIRECCIONADORES. <Numeración corregida por el artículo 8 de la Resolución 5226 de 2017> Todo direccionador aplicable al modelo de separación contable objeto del Capítulo 2 del Título IX deberá cumplir con las siguientes características:
· Economía: Su costo de determinación debe ser menor que el beneficio obtenido con su utilización.
· Fácil manejo: De sencilla comprensión por parte de los encargados de su aplicación y actualización.
· Causalidad: Se refiere a la relación directa y clara entre el costo a distribuir y el criterio a utilizar para la distribución.
· Medición: La información sobre el direccionador a utilizar para cada concepto de costo a distribuir debe ser de fácil medición y procesamiento.
· Oportunidad: La recolección de información sobre el direccionador debe permitir la asignación de costos de forma oportuna a cada objeto de costo.
· Constancia: El criterio debe ser aplicado de forma constante mientras se mantengan las condiciones que lo generaron.
· Control: El comportamiento de los direccionadores deben ser continuamente monitoreado a fin de determinar variaciones no justificadas en el mismo.
(Resolución CRC 3774 de 2012, artículo 9)
ARTÍCULO 9.2.2.5. VIGILANCIA Y CONTROL. <Numeración corregida por el artículo 8 de la Resolución 5226 de 2017> De acuerdo con lo establecido en el numeral 1 del Artículo 18 de la Ley 1369 de 2009, la verificación del cumplimiento de las disposiciones establecidas en el CAPÍTULO 2 del TÍTULO IX, será realizada por el Ministerio de Tecnologías de la Información y las Comunicaciones en ejercicio de sus facultades legales.
(Resolución CRC 3774 de 2012, artículo 10)
ARTÍCULO 9.2.2.6. IMPLEMENTACIÓN. <Artículo derogado por el artículo 80 de la Resolución 5586 de 2019>
CRITERIOS DE EFICIENCIA DEL SECTOR Y LA MEDICIÓN DE INDICADORES SECTORIALES PARA AVANZAR EN LA SOCIEDAD DE LA INFORMACIÓN.
<Título modificado por el artículo 104 de la Resolución 7811 de 2025>
SEGUIMIENTO A LA EFICIENCIA DEL SECTOR TIC.
DISPOSICIONES GENERALES.
ARTÍCULO 10.1.1.1. INDICADORES SECTORIALES. <Artículo modificado por el artículo 104 de la Resolución 7811 de 2025. El nuevo texto es el siguiente:> La CRC informará de manera anual los indicadores sectoriales con los que medirá el avance de la sociedad de la información en las publicaciones periódicas que realice a efectos del seguimiento a la eficiencia del sector. Estos indicadores se entienden como criterios de eficiencia que permiten realizar la medición y el seguimiento del sector TIC, para evaluar el avance del país en la sociedad de la información.
Una vez se efectúe la medición de los indicadores sectoriales por parte de la Comisión de Regulación de Comunicaciones, se procederá a la publicación de los resultados en la página web de la CRC los cuales se remitirán al Ministerio de las Tecnologías de la Información y las Comunicaciones para su publicación en el Sistema de Información Integral.
La medición se efectuará con una periodicidad anual con la información disponible con corte al 31 de diciembre del año anterior y los resultados serán divulgados durante el segundo semestre del año en que se realiza la medición.
ARTÍCULO 10.1.1.2. INCORPORACIÓN AL SISTEMA DE INFORMACIÓN INTEGRAL. <Artículo modificado por el artículo 104 de la Resolución 7811 de 2025. El nuevo texto es el siguiente:> Los indicadores sectoriales para medir el avance en la sociedad de la información hacen parte del Sistema Integral de Información que administra el Ministerio de Tecnologías de la Información y las Comunicaciones, del que trata el parágrafo 2 del Artículo 15 de la Ley 1341 de 2009.
EXCEPCIONES DE PUBLICIDAD DE LOS PROYECTOS DE REGULACIÓN.
<Título subrogado por el artículo 105 de la Resolución 7811 de 2025>
EXCEPCIONES A LA PUBLICACIÓN PREVISTA EN EL ARTÍCULO 2.2.13.3.2 DEL DECRETO 1078 DE 2015.
GENERALIDADES.
ARTÍCULO 11.1.1.1. CRITERIOS PARA IDENTIFICAR PROYECTOS DE REGULACIÓN QUE NO SON SUJETOS DE PUBLICACIÓN. <Artículo subrogado por el artículo 105 de la Resolución 7811 de 2025. El nuevo texto es el siguiente:> Los criterios a partir de los cuales la CRC decidirá si somete o no los actos administrativos de carácter general a las disposiciones sobre publicidad de proyectos de regulaciones previstas en el artículo 2.2.13.3.2 del Decreto 1078 de 2015, son:
11.1.1.1.1. Cumplimiento de una orden: Cuando la resolución tenga como finalidad el cumplimiento de una orden judicial o cuando la norma legal o reglamentaria deba ser acatada en un término no mayor a un mes.
11.1.1.1.2. Impedimento para la prestación ininterrumpida de los servicios: Cuando la resolución tenga como finalidad corregir los efectos negativos de situaciones donde se presenten daños o alteraciones graves que amenacen o impidan la prestación ininterrumpida de los servicios de comunicaciones, como la producida por situaciones declaradas de conmoción interna o externa, desastres, fenómenos naturales, efectos y accidentes catastróficos y actos al margen de la ley.
11.1.1.1.3. Errores puramente formales: Cuando la resolución tenga como finalidad corregir errores puramente aritméticos o tipográficos en que se haya incurrido al momento de su expedición; siempre y cuando cumpla las siguientes condiciones:
a) Que no incidan en el sentido de la decisión.
b) Que el tema sobre el cual versa el error haya sido discutido con el sector dentro del procedimiento de transparencia y publicidad de que trata el artículo 2.2.13.3.2 del Decreto 1078 de 2015.
11.1.1.1.4. Necesidad de aclaración o complementación: Cuando la resolución tenga como finalidad aclarar o complementar conceptos o frases que ofrezcan verdaderos motivos de duda; siempre y cuando cumpla las siguientes condiciones:
a) Que no incidan en el sentido de la decisión.
b) Que el tema sobre el cual versa la aclaración o la complementación haya sido discutido por el sector dentro del procedimiento de transparencia y publicidad de que habla el artículo 2.2.13.3.2 del Decreto 1078 de 2015.
ARTÍCULO 11.1.1.2. CASOS DE PROYECTOS DE REGULACIÓN QUE NO SON SUJETOS DE PUBLICACIÓN. <Artículo subrogado por el artículo 105 de la Resolución 7811 de 2025. El nuevo texto es el siguiente:> No se dará aplicación a lo previsto en el artículo 2.2.13.3.2 del Decreto 1078 de 2015 en los siguientes casos:
11.1.1.2.1. En la expedición de resoluciones que obliguen a diligenciar, a través del sistema de información integral del sector TIC -Sistema Colombia TIC -, trámites ya existentes en la regulación.
11.1.1.2.2. En la expedición de las resoluciones que tengan por objeto la actualización del Anexo 4.8 del Título ANEXOS TÍTULO IV que contiene el listado de municipios donde resultan aplicables los valores de remuneración de Roaming Automático Nacional para el servicio de voz, SMS o Datos a los que se refieren los numerales 4.7.4.1.1 y 4.7.4.1.2 del artículo 4.7.4.1 y el numeral 4.7.4.2.1 del artículo 4.7.4.2 del Capítulo 7 del Título IV de la presente resolución, siempre y cuando los criterios asociados a la definición de dicho listado hayan sido discutidos por el sector dentro del procedimiento de transparencia y publicidad de que trata el artículo 2.2.13.3.2 del Decreto 1078 de 2015.
11.1.1.2.3. En la expedición de resoluciones que tengan por objeto la actualización de la "tasa de retorno" WACC (Weighted Average Cost of Capital o Costo Medio Ponderado de Capital) para la actividad que corresponda a los elementos de infraestructura eléctrica con tarifa tope regulada a los que se refiere el artículo 4.10.3.1 del Título IV de la presente resolución, conforme a lo que defina la Comisión de Regulación de Energía y Gas (CREG) mediante acto administrativo.
11.1.1.2.4. En la expedición de las resoluciones que tengan por objeto la actualización del Anexo 4.9 del TÍTULO ANEXOS TÍTULO IV de la presente resolución, que contiene el listado de municipios por clúster para servicios fijos de telecomunicaciones, siempre y cuando los criterios asociados a la definición de dicho listado hayan sido discutidos por el sector dentro del procedimiento de transparencia y publicidad de que trata el artículo 2.2.13.3.2 del Decreto 1078 de 2015.
11.1.1.2.5. En la expedición de las resoluciones que tengan por objeto la actualización del literal C del Anexo 5.11. del Título ANEXOS TÍTULO V que contiene el listado de municipios donde se determinan las agrupaciones definidas en función del desempeño de la disponibilidad en la provisión del servicio portador, siempre y cuando los criterios asociados a la definición de dicho listado hayan sido discutidos por el sector dentro del procedimiento de transparencia y publicidad de que trata el artículo 2.2.13.3.2 del Decreto 1078 de 2015.
APLICACIÓN DE MECANISMOS ALTERNATIVOS DE REGULACIÓN.
SANDBOX REGULATORIO CONVERGENTE.
<Capítulo modificado por el artículo 106 de la Resolución 7811 de 2025>
DISPOSICIONES GENERALES.
ARTÍCULO 12.1.1.1. OBJETO. <Artículo modificado por el artículo 106 de la Resolución 7811 de 2025. El nuevo texto es el siguiente:> El presente Capítulo tiene por objeto determinar las condiciones generales para la aplicación del Sandbox Regulatorio convergente como mecanismo alternativo de regulación basado en la experimentación monitoreada, con el objetivo de generar innovación en cualquier aspecto de la provisión de redes y servicios de comunicaciones o en contenidos audiovisuales.
ARTÍCULO 12.1.1.2. ÁMBITO DE APLICACIÓN. <Artículo modificado por el artículo 106 de la Resolución 7811 de 2025. El nuevo texto es el siguiente:> El presente capítulo aplica a los Proveedores de Redes y Servicios de Telecomunicaciones, Operadores de Servicios Postales, Proveedores de Contenidos y Aplicaciones y en general a todos los agentes sujetos a la regulación de la CRC, que pretendan participar en el Sandbox Regulatorio para proponer productos, servicios o soluciones enfocados en la innovación en cualquier aspecto de la provisión de redes y servicios de comunicaciones o en contenidos audiovisuales.
ARTÍCULO 12.1.1.3. COORDINACIÓN CON OTRAS ENTIDADES. <Artículo modificado por el artículo 106 de la Resolución 7811 de 2025. El nuevo texto es el siguiente:> En virtud del principio de coordinación de las actuaciones y procedimientos administrativos, la CRC gestionará las actividades que considere pertinentes con las demás autoridades en el desarrollo del Sandbox Regulatorio.
ARTÍCULO 12.1.1.4. ETAPA DE PREPARACIÓN. <Artículo modificado por el artículo 106 de la Resolución 7811 de 2025. El nuevo texto es el siguiente:> Cuando la CRC lo considere pertinente, podrá brindar acompañamiento a los interesados en presentar propuestas al Sandbox Regulatorio. Durante esta etapa se realizarán actividades de divulgación, asesoría y acompañamiento a los interesados en estructurar proyectos y aplicar al Sandbox Regulatorio, con el objeto de brindar herramientas y fortalecer capacidades para que estos puedan desarrollar satisfactoriamente las propuestas a presentar.
ARTÍCULO 12.1.1.5. FASES DE DESARROLLO DEL SANDBOX REGULATORIO. <Artículo modificado por el artículo 106 de la Resolución 7811 de 2025. El nuevo texto es el siguiente:> El Sandbox Regulatorio se desarrollará en cinco (5) fases: aplicación, evaluación, concertación, experimentación y salida.
ARTÍCULO 12.1.1.6. FASE DE APLICACIÓN. <Artículo modificado por el artículo 106 de la Resolución 7811 de 2025. El nuevo texto es el siguiente:> En esta fase, la CRC publicará en su página web las fechas durante las cuales recibirá las propuestas, formularios de aplicación diligenciados y demás requisitos exigidos para solicitar la posibilidad de inclusión de un proyecto dentro del Sandbox Regulatorio. Para ser habilitados, los proponentes deberán cumplir con la totalidad de los requisitos exigidos en la convocatoria del proceso de selección.
Una vez recibidas las propuestas, la CRC dentro del plazo señalado en la convocatoria del proceso revisará el cumplimiento de los requisitos mínimos establecidos y realizará un informe preliminar de la fase de aplicación. Dicho informe será publicado por la CRC en su página web durante el plazo señalado en la convocatoria, en el cual los proponentes podrán presentar la subsanación de requisitos y las observaciones del caso.
Posteriormente, la CRC verificará las correcciones realizadas y publicará en su página web un informe definitivo de la fase de aplicación, que incluirá una lista de las propuestas habilitadas.
Únicamente las propuestas habilitadas pasarán a la fase de evaluación.
PARÁGRAFO. Si dentro del criterio de necesidad demostrada se identifica que la medida regulatoria sobre la cual el proyecto requiere flexibilización está incluida como parte de la identificación del problema o de las alternativas de solución de proyectos en desarrollo de la agenda regulatoria vigente de la CRC, el mismo no será habilitado para continuar a la fase de evaluación del Sandbox.
ARTÍCULO 12.1.1.7. FASE DE EVALUACIÓN. <Artículo modificado por el artículo 106 de la Resolución 7811 de 2025. El nuevo texto es el siguiente:> La CRC realizará la evaluación de las propuestas habilitadas, con el fin de determinar si el proyecto ingresa a la fase de experimentación establecida en el artículo 12.1.1.11 de la presente resolución. Dicha evaluación se realizará de conformidad con los criterios de selección que se definen a continuación y que deberán ser cumplidos en su totalidad:
12.1.1.7.1. Innovación: la propuesta deberá demostrar que integra una innovación respecto de la oferta disponible en el mercado.
12.1.1.7.2. Beneficios para los ciudadanos: la propuesta deberá identificar cuáles son los beneficios que tiene para los ciudadanos.
12.1.1.7.3. Necesidad demostrada: la propuesta deberá mostrar por qué no puede ser implementada bajo el marco regulatorio vigente.
12.1.1.7.4. Experiencia del proponente: la propuesta debe demostrar que el proponente puede implementar de manera satisfactoria el proyecto.
Estos criterios de selección estarán ligados a los indicadores positivos y negativos que se establecen en la siguiente tabla:
| No. | Criterio | Pregunta fundamental | Indicadores Positivos | Indicadores Negativos |
| 1 | Innovación | ¿El proyecto constituye una innovación significativamente diferente? | La propuesta implementa tecnologías de última generación. La propuesta incluye nuevos procesos o formas aplicadas para ofrecer o prestar el producto o servicio. No existen ofertas comerciales similares actualmente en el mercado en el cual se desarrollará el proyecto. | No existe una diferenciación real entre la propuesta y las ofertas comerciales disponibles en el mercado. La propuesta no incluye nuevos procesos o formas aplicadas para ofrecer o prestar el producto o servicio. Las tecnologías involucradas son las disponibles en el mercado en el cual se desarrollará el proyecto y se usarán de maneras convencionales. |
| 2 | Beneficios para los ciudadanos | ¿Tiene la innovación propuesta beneficios identificables para los ciudadanos? | La propuesta está alineada con los principios orientadores de la Ley 1341 de 2009, modificados por la Ley 1978 de 2019 y, la Ley 1369 de 2009 y la Ley 182 de 1995; o aquellas que las modifiquen, sustituyan o complementen. La innovación brindaría acceso en zonas rurales o apartadas o en aquellos municipios focalizados por las políticas públicas. · La innovación promovería la competencia en los sectores de comunicaciones y de contenidos audiovisuales. · La propuesta podría tener un efecto positivo en los precios, la oferta o la calidad de los servicios de comunicaciones o en los contenidos audiovisuales. | La propuesta tiene la potencialidad de generar efectos no deseados en la competencia en mercados de comunicaciones o de contenidos audiovisuales. La innovación podría tener efectos negativos en el beneficio de los ciudadanos. La propuesta no permite identificar beneficios para los ciudadanos. |
| 3 | Necesidad demostrada | ¿La innovación propuesta realmente no puede ser implementada bajo el marco regulatorio vigente? | Para desarrollar la propuesta requiere flexibilización del marco regulatorio vigente. Ajustar la innovación a la regulación vigente requeriría inversiones significativas. | La propuesta puede ser desarrollada con el marco regulatorio vigente. La propuesta no requiere experimentación para aclarar dudas sobre el modelo de negocio o el ajuste al marco regulatorio, estas dudas pueden resolverse a través de la presentación de PQR a la CRC. |
| 4 | Experiencia del proponente | ¿El proveedor responsable del proyecto tiene los recursos y la experiencia para implementar el proyecto propuesto de manera satisfactoria? | El proponente ha emprendido proyectos similares. El proponente demuestra contar con los recursos para ejecutar el proyecto. | El proponente no demuestra tener experiencia en ejecución de proyectos de Tecnologías de la Información y las Comunicaciones o similares. La propuesta no tiene objetivos ni alcance definidos. El proponente no demuestra contar con los recursos para ejecutar el proyecto. |
Una vez iniciada la fase de evaluación, dentro del plazo señalado en la convocatoria del proceso, la CRC revisará el cumplimiento de los criterios de selección establecidos y realizará un informe preliminar de la fase de evaluación. Dicho informe será publicado por la CRC en su página web durante el plazo señalado en la convocatoria, en el cual los proponentes podrán presentar la subsanación de los criterios de selección y las observaciones del caso.
Posteriormente, la CRC verificará las correcciones realizadas y publicará en su página web un informe definitivo de la fase de evaluación, que incluirá una lista de las propuestas admitidas al Sandbox Regulatorio, las cuales continúan a la fase de experimentación establecida en el artículo 12.1.1.11 de la presente resolución, de conformidad con las condiciones particulares que establezca el acto administrativo de autorización que expida esta Comisión.
PARÁGRAFO 1o. El proyecto y su proponente no necesariamente deben cumplir con la totalidad de los indicadores positivos establecidos para cada criterio de selección; sin embargo, la información que se aporte para realizar la evaluación será utilizada por la CRC para determinar el efectivo cumplimiento del criterio al que corresponda.
PARÁGRAFO 2o. Los indicadores positivos y negativos serán verificados de manera integral por parte de la Comisión y, en todo caso, los indicadores positivos tendrán prelación sobre los negativos.
ARTÍCULO 12.1.1.8. FASE DE CONCERTACIÓN. <Artículo modificado por el artículo 106 de la Resolución 7811 de 2025. El nuevo texto es el siguiente:> La CRC iniciará la concertación para la definición de riesgos, salvaguardas e indicadores de éxito; plan de salida y protocolos de recolección de información, con el fin de determinar mecanismos de mitigación de riesgos y monitoreo del proyecto. Dicha concertación incluirá los aspectos de las tres (3) etapas relacionadas en los siguientes numerales:
12.1.1.8.1. Definición de riesgos, salvaguardas e indicadores de éxito: Los proponentes admitidos en el Sandbox Regulatorio deberán determinar: i) los riesgos del proyecto y su mitigación, ii) las salvaguardas para proteger a los usuarios involucrados y iii) los indicadores para medir el éxito del proyecto, de la siguiente manera:
i) El proyecto deberá identificar los riesgos previsibles que pueden surgir durante su desarrollo, así como los controles para su mitigación. Cuando dichos riesgos impliquen afectación a los mecanismos de protección a los usuarios dispuestos por la Comisión, el proponente que esté a cargo del proyecto deberá establecer salvaguardas, las cuales estarán sujetas a evaluación y aprobación por parte de la CRC. En cualquier caso, el proveedor al que se le autorice experimentar proyectos al interior del Sandbox Regulatorio deberá responder por los daños y perjuicios causados a terceros durante su experimentación.
ii) Los proponentes admitidos, en concertación con la CRC, establecerán indicadores de éxito para la medición del proyecto que van a experimentar en el Sandbox Regulatorio. Dichos indicadores pueden versar respecto de objetivos estratégicos como bienestar social, calidad, competitividad, desarrollo e inversión, innovación, entre otros; en todo caso, se tendrá en cuenta cada tipo de proyecto para establecer los indicadores adecuados al mismo. De igual manera, los proponentes admitidos en concertación con la CRC definirán los mecanismos de monitoreo de estos indicadores de éxito con el objetivo de verificar su cumplimiento durante la fase de experimentación.
La CRC informará a las autoridades de vigilancia y control y a las demás entidades cuando lo considere pertinente, los riesgos, salvaguardas e indicadores de éxito que fueron concertados con los proponentes admitidos para la experimentación de cada proyecto, previo a la expedición del acto administrativo particular de autorización.
La CRC se reserva el derecho de modificar, adicionar o eliminar las salvaguardas aprobadas, riesgos e indicadores de éxito, durante la fase de experimentación.
12.1.1.8.2. Plan de salida. Los proponentes admitidos, en concertación con la CRC, establecerán un plan de salida para el proyecto admitido al Sandbox Regulatorio, mediante el cual se establece el procedimiento y actividades para terminar las operaciones y finalizar la experimentación temporal en el espacio controlado de prueba. Dicho plan no podrá superar los cuatro (4) meses de duración, y su ejecución estará sujeta al seguimiento y verificación permanente de esta Comisión.
PARÁGRAFO. Hasta quince (15) días antes de la finalización de la fase de experimentación los proponentes admitidos deberán presentar a la CRC un documento con el cronograma y actividades detalladas del plan de salida.
12.1.1.8.3. Protocolos de recolección de información. Los proponentes admitidos, en concertación con la CRC, establecerán los protocolos de recolección de información de la fase de experimentación de cada proyecto. Estos protocolos de recolección de información determinarán el medio y la periodicidad de la recolección, la cantidad, confidencialidad y monitoreo de la información, las partes que tendrán acceso a la información que se recolecte y demás condiciones que deberán cumplir tanto los proponentes admitidos como la CRC.
En virtud del principio de coordinación de las actuaciones y procedimientos administrativos, la CRC informará a las autoridades de vigilancia y control y a las demás entidades cuando lo considere pertinente, el protocolo de recolección de información definido, con anterioridad al inicio de la fase de experimentación de cada producto, servicio o solución autorizado.
La CRC se reserva el derecho de modificar, adicionar o eliminar cualquier protocolo de recolección de información durante la fase de experimentación.
ARTÍCULO 12.1.1.9. AUTORIZACIÓN DE LA CRC. <Artículo modificado por el artículo 106 de la Resolución 7811 de 2025. El nuevo texto es el siguiente:> Mediante actos administrativos de carácter particular y concreto, la CRC autorizará a aquellos proveedores admitidos a comenzar la fase de experimentación del Sandbox Regulatorio, de que trata el artículo 12.1.1.11 de la Resolución CRC 5050 de 2016. Dicha autorización se restringe al periodo de tiempo, geografía y demás condiciones particulares allí consignadas.
En ningún caso, las exenciones y flexibilizaciones al marco regulatorio definidas en dicho acto supondrán autorización para el desarrollo de las actividades fuera del ambiente de pruebas previsto en el Sandbox Regulatorio.
PARÁGRAFO. Los actos administrativos de carácter particular que expida la CRC durante el Sandbox Regulatorio se limitarán a aplicar a cada caso concreto las disposiciones generales establecidas en el presente capítulo, considerando las respectivas particularidades.
ARTÍCULO 12.1.1.10. ADECUACIONES PARA EXPERIMENTACIÓN. <Artículo modificado por el artículo 106 de la Resolución 7811 de 2025. El nuevo texto es el siguiente:> En caso de que los proveedores autorizados requieran realizar adecuaciones para el inicio de la comercialización o utilización de los productos, servicios o soluciones en la fase de experimentación, deberán comunicarlo a la CRC. A partir de esta comunicación, dichos proveedores tendrán hasta tres (3) meses para realizar las adecuaciones que sean del caso. Este término se excluye de la duración de la fase de experimentación establecido en el artículo 12.1.1.12. de la presente resolución.
PARÁGRAFO. En caso de requerir tiempo adicional para las adecuaciones, el proveedor deberá solicitar la ampliación de manera justificada y la CRC le informará si acepta o no dicha ampliación del plazo.
ARTÍCULO 12.1.1.11. FASE DE EXPERIMENTACIÓN. <Artículo modificado por el artículo 106 de la Resolución 7811 de 2025. El nuevo texto es el siguiente:> Una vez culminada la fase de evaluación y definidos los riesgos, las salvaguardas y los indicadores de éxito, la CRC notificará los actos administrativos particulares de autorización en los que se determine la forma de flexibilización de la regulación o las excepciones al marco regulatorio que tendrán cada uno de los proyectos seleccionados. Una vez en firme el acto particular, los proveedores autorizados podrán iniciar la comercialización o utilización de sus productos, servicios o soluciones, lo que activará el protocolo de recolección de información definido en el mismo.
En caso de que se presenten situaciones de fuerza mayor o caso fortuito durante la fase de experimentación y por estas razones el proponente autorizado manifieste la necesidad de desmontar dicha experimentación en alguna(s) de las zonas geográficas autorizadas por esta Comisión, deberá enviar una solicitud a la CRC justificando tal necesidad. La CRC, dentro de los quince (15) días hábiles siguientes a la recepción de la solicitud, decidirá sobre el asunto. Lo anterior no implica el inicio de la fase de salida dispuesta en el artículo 12.1.1.14 de la presente resolución.
ARTÍCULO 12.1.1.12. DURACIÓN DE LA FASE DE EXPERIMENTACIÓN. <Artículo modificado por el artículo 106 de la Resolución 7811 de 2025. El nuevo texto es el siguiente:> La duración de la fase de experimentación del Sandbox Regulatorio, de que trata el artículo 12.1.1.11 de la presente resolución, será de hasta doce (12) meses prorrogables, por una única vez, hasta por doce (12) meses adicionales, contados a partir de la comunicación a la CRC del inicio de la comercialización o utilización de los productos, servicios o soluciones por parte de los proveedores autorizados.
ARTÍCULO 12.1.1.13. EXTENSIÓN DEL PERIODO DE DURACIÓN DE LA FASE DE EXPERIMENTACIÓN. <Artículo modificado por el artículo 106 de la Resolución 7811 de 2025. El nuevo texto es el siguiente:> Hasta treinta (30) días hábiles antes de culminar la fase de experimentación, de que trata el artículo 12.1.1.11 de la presente resolución, los proveedores autorizados podrán solicitar la extensión del periodo de duración del Sandbox Regulatorio hasta por doce (12) meses adicionales para continuar con esta fase. La CRC analizará los indicadores de éxito definidos para los productos, servicios o soluciones para los que se realizó la solicitud, y demás información recolectada para determinar la necesidad de extensión de la fase de experimentación e informará dentro de los quince (15) días hábiles siguientes al recibo de la solicitud, la autorización o no de la extensión del periodo de duración del Sandbox Regulatorio al proveedor autorizado.
La CRC otorgará la extensión del período de duración de la fase de experimentación en los siguientes casos:
12.1.1.13.1. Cuando durante la ejecución del Sandbox Regulatorio a partir de la información recolectada se evidencie la necesidad de analizar la pertinencia de ajustar el marco regulatorio vigente expedido por la CRC.
En este caso, la CRC extenderá la fase de experimentación hasta por doce (12) meses adicionales y durante este periodo de prórroga adelantará los estudios para determinar si es necesario realizar modificaciones al marco regulatorio para que los productos, servicios o soluciones puedan operar fuera del Sandbox Regulatorio.
12.1.1.13.2. Cuando, a pesar de que la información recolectada no evidencie que es necesaria una modificación del marco regulatorio, pero el proponente esté interesado en continuar ejecutando el proyecto.
En este caso, la CRC extenderá la fase de experimentación hasta por doce (12) meses adicionales para que el proveedor autorizado ajuste su modelo de negocio al marco regulatorio vigente y pueda continuar proveyendo los productos, servicios o soluciones fuera del Sandbox Regulatorio.
ARTÍCULO 12.1.1.14. FASE DE SALIDA. <Artículo modificado por el artículo 106 de la Resolución 7811 de 2025. El nuevo texto es el siguiente:> Los proyectos autorizados podrán optar por una de las siguientes opciones para salir de la fase de experimentación del Sandbox Regulatorio:
12.1.1.14.1. Finalización del proyecto: Para dar cierre al proyecto y gestionar la culminación de los servicios o productos ofrecidos a los eventuales usuarios, los proveedores autorizados contarán con un periodo de hasta cuatro (4) meses para realizar las adecuaciones a que haya lugar.
12.1.1.14.2. Transición al marco regulatorio general: Para continuar con la comercialización o utilización de los productos, servicios o soluciones los proveedores autorizados podrán realizar las adecuaciones a que haya lugar y dar cumplimiento al marco regulatorio vigente, para lo cual contarán con un periodo de hasta cuatro (4) meses.
PARÁGRAFO. En cualquier momento durante el periodo de experimentación los proponentes autorizados podrán optar por desmontar de manera voluntaria sus operaciones e ingresar a la fase de salida, para lo cual deberán informar la decisión a la CRC por lo menos quince (15) días hábiles antes del desmonte.
ARTÍCULO 12.1.1.15. PROYECTO TRANSVERSAL. <Artículo modificado por el artículo 106 de la Resolución 7811 de 2025. El nuevo texto es el siguiente:> El proyecto transversal es aquel que para su desarrollo implique la flexibilización de normativa dentro del Sandbox Regulatorio que sea de competencia tanto de la Sesión de Comisión de Comunicaciones, como de la Sesión de Comisión de Contenidos Audiovisuales de la CRC.
ARTÍCULO 12.1.1.16. TRATAMIENTO DE PROPUESTAS TRANSVERSALES. <Artículo modificado por el artículo 106 de la Resolución 7811 de 2025. El nuevo texto es el siguiente:> Cuando se trate de propuestas de proyectos transversales, la Sesión de Comisión de Contenidos Audiovisuales y la Sesión de Comisión de Comunicaciones analizarán, evaluarán y aprobarán por separado estas propuestas, en relación con cualquier tema que se presente dentro del desarrollo del Sandbox Regulatorio, en especial frente a: i) los requisitos exigidos en las fases de desarrollo del Sandbox Regulatorio y ii) las solicitudes de los proveedores.
El proyecto transversal autorizado para iniciar la fase de experimentación del Sandbox Regulatorio de la CRC debe tener un único cronograma de ejecución.
PARÁGRAFO 1o. Las propuestas de proyectos transversales que cumplan con los requisitos exigidos en la fase de aplicación o en su subsanación, tendrán la posibilidad de continuar en el proceso de selección siempre que hagan los respectivos ajustes, para lo cual se concederá un tiempo adicional en el cronograma de la convocatoria.
Así, el proponente podrá continuar en el proceso de selección siempre que cumpla con las siguientes condiciones en su totalidad:
i) Que se trate de una propuesta que únicamente cumpla con los requisitos respecto de la temática a cargo o de la Sesión Comunicaciones o de la Sesión de Contenidos Audiovisuales;
ii) Que el proponente comunique a la CRC su interés en continuar en el proceso de selección en el término establecido en el cronograma de la convocatoria;
iii) Que la propuesta sea ajustada dentro del término establecido en el cronograma de la convocatoria, y esto permita que el proyecto se desarrolle bajo las competencias de una sola de las Sesiones de la Comisión; y
iv) Que la modificación que el proponente realice no sea medular, es decir, que la propuesta continúe bajo el mismo objeto inicialmente presentado, lo cual estará sujeto a análisis de la CRC.
ARTÍCULO 12.1.1.17. INFORME FINAL. <Artículo modificado por el artículo 106 de la Resolución 7811 de 2025. El nuevo texto es el siguiente:> Durante los doce (12) meses siguientes a la finalización del periodo inicial de la fase de experimentación, la CRC publicará en su página web un informe final de la cohorte respectiva con las conclusiones y resultados del desarrollo del Sandbox Regulatorio.
ARTÍCULO 12.1.1.18. MODIFICACIONES AL MARCO REGULATORIO GENERAL. <Artículo modificado por el artículo 106 de la Resolución 7811 de 2025. El nuevo texto es el siguiente:> Una vez analizados los resultados del periodo inicial de la fase de experimentación del proyecto, la CRC determinará, utilizando la información recolectada, si se evidenció la necesidad de estudiar una eventual modificación al marco regulatorio general. De ser así, adelantará, dentro de la agenda regulatoria en desarrollo en ese momento, o en la agenda regulatoria sucesiva, los estudios o proyectos regulatorios necesarios para determinar la viabilidad de que los productos, servicios o soluciones involucrados puedan operar fuera del Sandbox Regulatorio.
REGULACIÓN TARIFARIA PARA LOS SERVICIOS POSTALES.
REGULACIÓN TARIFARIA PARA LA PRESTACIÓN DE LOS SERVICIOS PERTENECIENTES AL SERVICIO POSTAL UNIVERSAL.
DISPOSICIONES GENERALES.
ARTÍCULO 13.1.1.1. OBJETO. <Artículo adicionado por el artículo 4 de la Resolución 6128 de 2020. El nuevo texto es el siguiente:> El presente Capítulo tiene por objeto definir las tarifas minoristas para los servicios pertenecientes al Servicio Postal Universal.
ARTÍCULO 13.1.1.2 TARIFAS TOPE PARA EL SERVICIO POSTAL UNIVERSAL. <Artículo adicionado por el artículo 4 de la Resolución 6128 de 2020. El nuevo texto es el siguiente:> El Operador Postal Oficial fijará las tarifas por la prestación de los servicios de correspondencia prioritaria, correspondencia no prioritaria, correo telegráfico y encomienda de acuerdo con las siguientes tarifas tope:
| Servicio | Ámbito | Tarifa base (pesos constantes de 2020) | Kilo adicional (pesos constantes de 2020) |
| Correspondencia no prioritaria (Hasta 1 kg) | Local | $3.996 | $2.080 |
| Nacional – sin tipo 4 | $5.970 | $3.707 | |
| Correspondencia prioritaria (Hasta 1 kg) | Local | $4.242 | $2.205 |
| Nacional – sin tipo 4 | $6.419 | $4.031 | |
| Correo telegráfico | Local | $3.976 | N/A |
| Nacional – sin tipo 4 | $4.601 | N/A | |
| Encomienda (Hasta 4 kg) | Local | $5.434 | $163 |
| Nacional – sin tipo 4 | $19.473 | $598 | |
Nota: Valores expresados en pesos constantes de enero de 2020.
Para objetos postales con un peso inferior a 1 kg enviados a través del servicio de correspondencia, así como para objetos con un peso inferior a 4 kg enviados por medio del servicio de encomienda, se podrá fijar libremente la tarifa, siempre y cuando esta sea igual o inferior al valor tope de la tarifa base y esté orientada a una lógica de costos.
La tarifa del servicio de encomienda para envíos individuales no deberá ser superior al ochenta por ciento (80%) de la tarifa mínima publicada por el Operador Postal Oficial para los envíos individuales del servicio básico de mensajería expresa o, en su defecto, para el servicio de encomienda certificada. En caso de que el Operador Postal Oficial no preste servicios de mensajería expresa, la Comisión de Regulación de Comunicaciones determinará anualmente el precio a aplicar, tomando como referencia los reportes de información de los principales operadores del servicio de mensajería expresa.
La tarifa tope de la certificación, como servicio accesorio, es de 1.609 pesos constantes de enero de 2020 por envío, independiente del tipo de objeto o su peso.
Para la tarifa del ámbito internacional de salida, el Operador Postal Oficial cobrará al usuario el valor correspondiente al trayecto que debe cursar el objeto postal al interior del país y adicionar el respectivo costo de logística y despacho internacional asociado al país de destino.
Para los primeros siete (7) objetos postales que cada persona natural o jurídica imponga en un municipio tipo 4, mediante cualquiera de los servicios pertenecientes al Servicio Postal Universal, aplicarán las mismas disposiciones tarifarias definidas en este artículo.
PARÁGRAFO 1o. Para todo envío cursado en el ámbito nacional que tenga como destino un municipio tipo 4, así como a partir del octavo (8) objeto postal impuesto por cada persona natural o jurídica que tengan como origen un municipio tipo 4 y que sea enviado a través de cualquiera de los servicios pertenecientes al Servicio Postal Universal, la tarifa tope para los servicios de correspondencia, encomienda y correo telegráfico estará determinada por el menor precio ofrecido para el servicio de envío de documentos o paquetes prestado por el Operador Postal Oficial para el trayecto de que se trate.
En caso de que el Operador Postal Oficial no ofrezca el servicio de envío de documentos o paquetes para algún municipio en particular, se tomará como referencia el precio promedio del servicio para aquellos municipios tipo 4 en donde sí se preste. De no llegarse a ofrecer el servicio de envío de documentos o paquetes por parte del Operador Postal Oficial en ninguno de estos municipios, la CRC determinará la tarifa tope para los trayectos con origen o destino en municipios tipo 4 a partir de las tarifas cobradas por operadores de mensajería expresa que ofrezcan este servicio en dichos municipios.
PARÁGRAFO 2o. Las tarifas de todos los servicios se actualizarán anualmente de conformidad con la variación reportada por el Índice de Precios al Consumidor a nivel nacional y las metas de ganancias en eficiencia que la Comisión le imponga al Operador Postal Oficial.
Así las cosas, la actualización de las tarifas tope para el año 2021 se realizará con base en la variación anual del Índice de Precios al Consumidor.
Por su parte, la fórmula para determinar la actualización anual de la tarifa tope, considerando la reducción anual de sus costos del servicio i para el año t entre 2022 y 2024 será:

Donde
hace referencia al Índice de Precios al Consumidor reportado por el DANE para el último mes del año inmediatamente anterior.
La CRC publicará las tarifas actualizadas cada año a manera de referencia.
ARTÍCULO 13.1.1.3. DESCUENTOS TARIFARIOS APLICABLES A POBLACIÓN EN SITUACIÓN DE POBREZA EXTREMA, POBREZA Y VULNERABILIDAD. <Entrará en vigencia según lo dispuesto en el artículo 9> <Artículo adicionado por el artículo 4 de la Resolución 6128 de 2020. El nuevo texto es el siguiente:> El Operador Postal Oficial deberá aplicar los siguientes descuentos a las tarifas que fije para la prestación de los servicios establecidos en el artículo 13.1.1.2. de la presente resolución, según la clasificación establecida en el Sistema de Identificación de Potenciales Beneficiarios de Programas Sociales IV (Sisbén IV) implementada por el Departamento Nacional de Planeación, de la siguiente manera:
- Grupo A (pobreza extrema): 80% respecto de la tarifa al público general
- Grupo B (pobreza): 50% respecto de la tarifa al público general.
- Grupo C (vulnerabilidad): 20% respecto de la tarifa al público general.
El Operador Postal Oficial deberá suscribir con el Departamento Nacional de Planeación un(os) acuerdo(s) con el objeto de que se le garantice su acceso a la información de la base de datos del Sisbén IV de forma permanente. Para ello, el Operador Postal Oficial deberá garantizar que todos sus puntos de atención al público cumplan alguna de las siguientes condiciones, según las características de cada punto de atención:
13.1.1.3.1. En aquellos puntos que se encuentren completamente sistematizados e integrados a la red del operador o, en su defecto, cuenten con una conexión fija o móvil a Internet, la verificación se realizará de forma directa por el encargado del punto. Sin embargo, dichos puntos deberán contar con un canal de comunicación de respaldo que les permita realizar la verificación en caso de ocurrencia de fallas en la prestación del servicio de Internet, para lo cual pueden optar por alguna de las siguientes alternativas: i) Comunicación por voz fija o móvil, ii) Mensajes cortos de texto SMS o USSD o iii) Cualquier otra solución utilizando tecnologías de la información y las comunicaciones.
13.1.1.3.2. Para aquellos puntos que no se encuentren completamente sistematizados o integrados a la red del operador o, en su defecto, no cuenten con una conexión fija o móvil a Internet, se deberá contar con un canal de comunicación que permita al encargado del punto de atención realizar la respectiva verificación, para lo cual se puede optar por alguna de las siguientes alternativas: i) Comunicación por voz fija o móvil, ii) Mensajes cortos de texto SMS o USSD o iii) Cualquier otra solución utilizando tecnologías de la información y las comunicaciones.
PARÁGRAFO 1o. Para efectos de que el Operador Postal Oficial garantice el cumplimiento de los descuentos tarifarios establecidos en este artículo, deberá disponer de un mecanismo que le permita a cada punto de atención, propio o tercerizado, consultar la base de datos del Sisbén IV.
PARÁGRAFO 2o. El acceso a los descuentos tarifarios establecidos en este artículo estará limitado a siete (7) envíos al año por cada beneficiario.
PARÁGRAFO 3o. En caso de que los beneficios tarifarios establecidos en el presente artículo concurran con otros beneficios tarifarios aplicables a los usuarios respecto de la prestación de los servicios pertenecientes al Servicio Postal Universal, el Operador Postal Oficial deberá otorgar el beneficio que resulte más favorable.
REGULACIÓN TARIFARIA PARA LA DISTRIBUCIÓN DE OBJETOS POSTALES MASIVOS.
<Capítulo derogado por el artículo 2 de la Resolución 7380 de 2024>
SISTEMA DE EMERGENCIA NACIONAL DENOMINADO ALERTA ROSA ANTE LA DESAPARICIÓN DE NIÑOS, NIÑAS, ADOLESCENTES, JÓVENES Y MUJERES.
<Título modificado por el artículo 2 de la Resolución 8030 de 2025>
MEDIDAS PARA LA LOCALIZACIÓN DE NIÑOS, NIÑAS, ADOLESCENTES, JÓVENES Y MUJERES.
DISPOSICIONES GENERALES.
ARTÍCULO 14.1.1.1 OBJETO. <Artículo modificado por el artículo 2 de la Resolución 8030 de 2025. El nuevo texto es el siguiente:> El presente Título tiene por objeto reglamentar el diseño e implementación del Sistema de Emergencia Nacional denominado Alerta Rosa ante la desaparición de niños, niñas, adolescentes, jóvenes y mujeres, mediante el cual se difundirá la información sobre dicha desaparición, previa orden judicial o de autoridad competente, con el fin de apoyar su búsqueda y localización.
ARTÍCULO 14.1.1.2. ÁMBITO DE APLICACIÓN. <Artículo modificado por el artículo 2 de la Resolución 8030 de 2025. El nuevo texto es el siguiente:> El presente Título aplica al Agregador de Alertas, a la Autoridad de Activación y a los medios masivos de comunicación participantes, en lo que a cada uno de ellos corresponda en la implementación, puesta en marcha y operación del Sistema de Emergencia Nacional denominado Alerta Rosa ante la desaparición de niños, niñas, adolescentes, jóvenes y mujeres. Asimismo, deberá tenerse en cuenta lo previsto en el Decreto número 1428 de 2024 o demás normas que lo sustituyan, modifiquen o adicionen.
SISTEMA DE EMERGENCIA NACIONAL DENOMINADO ALERTA ROSA ANTE LA DESAPARICIÓN DE NIÑOS, NIÑAS, ADOLESCENTES, JÓVENES Y MUJERES.
ARTÍCULO 14.1.2.1. ETAPAS DEL SISTEMA. <Artículo modificado por el artículo 2 de la Resolución 8030 de 2025. El nuevo texto es el siguiente:> El Sistema de Emergencia Nacional denominado Alerta Rosa ante la desaparición de niños, niñas, adolescentes, jóvenes y mujeres estará compuesto por las siguientes etapas:
Activación: es el proceso a cargo de la Autoridad de Activación, mediante el cual, con base en los criterios de activación establecidos para la Alerta Rosa, decide en cada caso concreto, si una alerta debe autorizarse y enviarse electrónicamente al Agregador de Alertas.
Emisión: es el proceso mediante el cual el Agregador de Alertas verifica la autenticidad del Boletín de Alerta Rosa, recibido de la Autoridad de Activación, para posteriormente emitirlo electrónicamente hacia los medios masivos de comunicación.
Agregación: es el proceso mediante el cual el Agregador de Alertas almacena en una base de datos información detallada de las alertas recibidas con el fin de su posterior consulta, previa orden judicial o de autoridad competente.
Difusión: es el proceso mediante el cual los medios masivos de comunicación difunden el Boletín de Alerta Rosa, hacia los equipos terminales de sus usuarios finales en el área geográfica correspondiente.
AGREGADOR DE ALERTAS.
ARTÍCULO 14.1.3.1. FUNCIONES DEL AGREGADOR DE ALERTAS. <Artículo modificado por el artículo 2 de la Resolución 8030 de 2025. El nuevo texto es el siguiente:> En el marco del Sistema de Emergencia Nacional denominado Alerta Rosa corresponde al Agregador de Alertas:
14.1.3.1.1. Implementar y poner en funcionamiento la Plataforma de Agregación.
14.1.3.1.2. Enviar el Boletín de Alerta Rosa a los medios masivos de comunicación participantes, una vez dicho Boletín ha sido autorizado por la respectiva Autoridad de Activación para su difusión.
14.1.3.1.3. Permitir el intercambio de información entre autoridades en relación con la desaparición de un niño, niña, adolescente, joven y mujer a través de correos electrónicos, mensajes de texto (SMS) u otros medios disponibles.
14.1.3.1.4. Almacenar el mensaje CAP en el formato definido por la Autoridad de Activación de la Alerta para el Boletín de Alerta Rosa.
14.1.3.1.5. Registrar y almacenar cada Boletín de Alerta Rosa, recibido y enviado, y sus actualizaciones, e incluir todos los campos del CAP definidos por la Autoridad de Activación de la Alerta.
14.1.3.1.6. Utilizar el Protocolo de Alerta Común (CAP) V1.2, o versión posterior, como el estándar único válido para recibir y enviar mensajes de Alerta Rosa.
14.1.3.1.7. Ubicar en un sitio seguro los elementos físicos que conforman la Plataforma de Agregación.
14.1.3.1.8. Implementar mecanismos de seguridad para la Plataforma de Agregación, como es el caso de antivirus, antimalware, bloqueo de puertos, firewalls, etc., y definir y aplicar los protocolos de seguridad digital que se requieran para minimizar riesgos de vulnerabilidad.
14.1.3.1.9. Disponer de los elementos que sean necesarios para garantizar, tanto la integridad de los componentes e información administrados por el Agregador de Alertas, como la continuidad de operación de dicho Agregador ante una eventual falla, sin pérdida de información.
14.1.3.1.10. Entregar a la Autoridad de Activación de la Alerta los usuarios y contraseñas que se requieran para acceder a la Plataforma de Agregación a efectos de enviar el Boletín de Alerta Rosa o consultar la base de datos de información detallada de las alertas almacenadas por el Agregador.
14.1.3.1.11. Aceptar únicamente el Boletín de Alerta Rosa, que esté debidamente firmado digitalmente, de conformidad con la normatividad vigente, siguiendo los lineamientos del Protocolo de Alerta Común (CAP).
14.1.3.1.12. Validar que cada Boletín de Alerta Rosa cumpla con el estándar CAP.
14.1.3.1.13. Asegurar que el Boletín de Alerta Rosa recibido ha sido enviado efectivamente por la Autoridad de Activación de la Alerta.
14.1.3.1.14. Implementar en la Plataforma de Agregación la posibilidad de representar geográficamente en un mapa digital, toda la información de datos y mensajes de Alerta Rosa.
14.1.3.1.15. Establecer el área geográfica para el envío del Boletín de Alerta Rosa por medio de su representación en un mapa digital.
14.1.3.1.16. Llevar a cabo pruebas periódicas de funcionamiento de la plataforma y de su interoperabilidad con los sistemas de los medios masivos de comunicación participantes.
14.1.3.1.17. Garantizar que la Plataforma de Agregación identifique Boletines de Alerta Rosa duplicados para evitar la difusión de mensajes repetidos.
14.1.3.1.18. Garantizar que la Plataforma de Agregación tenga la capacidad de enviar a los PRSTM mensajes geográficamente localizados o por grupos de receptores.
14.1.3.1.19. Capacitar a la Autoridad de Activación en el envío de los Boletines de Alerta Rosa de la Plataforma de Agregación periódicamente.
14.1.3.1.20. Garantizar la escalabilidad de la Plataforma de Agregación para soportar la activación y difusión de otro tipo de alertas, cuando el ordenamiento jurídico lo disponga y en coordinación con las autoridades competentes.
14.1.3.1.21. Celebrar con los medios masivos de comunicación que voluntariamente decidan participar en el Sistema de Alerta Rosa, y en coordinación con la Autoridad de Activación de la Alerta, los acuerdos necesarios para el efecto.
14.1.3.1.22. Establecer los enlaces requeridos para las conexiones seguras para el envío del Boletín de Alerta Rosa a través de los PRSTM.
14.1.3.1.23. Adquirir, instalar y operar el CBE (Cell Broadcast Entity), elemento encargado de crear el Boletín de Alerta Rosa en el formato entendible por el CBC (Cell Broadcast Center), elemento con el cual interactúa al interior del operador de la respectiva red.
14.1.3.1.24. Informar a la Secretaría Técnica del Comité de Coordinación Nacional de la Alerta Rosa, mediante comunicación escrita el inicio de las actividades de implementación de la Plataforma de Agregación dentro de los tres (3) días hábiles siguientes a su inicio.
PARÁGRAFO 1o. Las fuentes de financiación de las inversiones asociadas a la implementación, puesta en marcha, administración, operación y mantenimiento de la Plataforma de Agregación; serán determinadas en el marco de la definición por parte de las entidades u organismos competentes de establecer las condiciones y criterios complementarios a los dispuestos en el presente acto administrativo para la implementación del Sistema de Emergencia Nacional denominado Alerta Rosa para lo cual se tendrá en cuenta lo previsto en la Ley 2326 de 2023 y el Decreto número 1428 de 2024, y demás normas que las sustituyan, modifiquen o adicionen.
PARÁGRAFO 2o. Para la difusión de la alerta, en el marco del Sistema de Emergencia Nacional denominado Alerta Rosa se seguirán las disposiciones relacionadas con la protección de datos personales, particularmente la Ley 1581 de 2012 y la Ley 1712 de 2014, o las normas que las adicionen, modifiquen o sustituyan.
PROVEEDORES DE REDES Y SERVICIOS DE TELECOMUNICACIONES MÓVILES.
ARTÍCULO 14.1.4.1. OBLIGACIONES DE LOS PROVEEDORES DE REDES Y SERVICIOS DE TELECOMUNICACIONES MÓVILES. <Artículo modificado por el artículo 2 de la Resolución 8030 de 2025. El nuevo texto es el siguiente:> En el marco del Sistema de Emergencia Nacional denominado Alerta Rosa ante la desaparición de niños, niñas, adolescentes, jóvenes y mujeres, los PRSTM tendrán las siguientes obligaciones:
14.1.4.1.1. Difundir a sus usuarios el Boletín de Alerta Rosa recibido del Agregador de Alertas a través de las redes de acceso que se encuentren activas, asumiendo todos los costos en que deban incurrir para ello.
14.1.4.1.2. Realizar las adecuaciones técnicas y todas aquellas actividades requeridas al interior de su red para permitir la difusión a sus usuarios del Boletín de Alerta Rosa recibido del Agregador de Alertas.
Los PRSTM contarán con un plazo máximo de 12 meses contados a partir de la comunicación suscrita por la Secretaria Técnica del Comité de Coordinación Nacional de la Alerta Rosa que informe sobre el inicio de las actividades de implementación de la Plataforma de Agregación, de acuerdo con lo previsto en el numeral 14.1.3.1.24. de la presente resolución.
Dentro de dicho plazo los PRSTM desarrollarán las actividades de diseño técnico y planeación, adquisición del CBC, adecuación de redes y pruebas técnicas necesarias para garantizar la interoperabilidad entre la Plataforma de Agregación y las redes de acceso móvil, y las demás que se requieran para asegurar la implementación y el funcionamiento del Sistema de Emergencia Nacional denominado Alerta Rosa. En todo caso, la actividad asociada a la adecuación de redes deberá desarrollarse, por expreso mandato del literal b) del parágrafo del artículo 2o de la Ley 2326 de 2023, en un plazo de seis (6) meses.
14.1.4.1.3. Difundir a todos sus usuarios el Boletín de Alerta Rosa recibido del Agregador de Alertas en la región o área geográfica especificada por este último.
14.1.4.1.4. Difundir a sus usuarios el Boletín de Alerta Rosa, de tal forma que sea recibido por los equipos terminales móviles dentro de los dos (2) minutos siguientes, incluso bajo la presencia de congestión de red. Este tiempo debe ser medido desde el momento en el cual el PRSTM recibe el mensaje CAP del Agregador de Alertas.
14.1.4.1.5. Participar en las pruebas del Boletín de Alerta Rosa que realice el Agregador de Alertas, con la periodicidad definida por este.
14.1.4.1.6. Enviar el Boletín de Alerta Rosa a todos los equipos terminales móviles que se encuentren registrados en la red del proveedor dentro del área determinada por la Autoridad de Activación de la alerta para el envío del mensaje.
PARÁGRAFO. Los Operadores Móviles Virtuales (OMV) y los Operadores Móviles de Red dentro de sus respectivas relaciones de acceso, deberán pactar las condiciones en las que el OMV dará cumplimiento a las obligaciones dispuestas en el presente artículo.
ARTÍCULO 14.1.4.2. CONDICIONES TÉCNICAS MÍNIMAS EN LA DIFUSIÓN DE LA ALERTA. <Artículo modificado por el artículo 2 de la Resolución 8030 de 2025. El nuevo texto es el siguiente:> Para la ejecución de las obligaciones a que hace referencia el artículo 14.1.4.1. de la presente resolución, los PRSTM deberán:
14.1.4.2.1. Cumplir con las condiciones definidas en la especificación técnica 3GPP TS 22.268 y sus actualizaciones para los Sistemas de Alerta Públicos (PWS, por su sigla en inglés).
14.1.4.2.2. Cumplir con las condiciones definidas en la especificación técnica 3GPP TS 23.041 y sus actualizaciones para Cell Broadcast Service (CBS, por su sigla en inglés).
PARÁGRAFO. Cualquier otra especificación técnica que deba ser tenida en cuenta durante la implementación del Sistema de Emergencia Nacional denominado Alerta Rosa, tal como, identificador del mensaje, características de repetición de los mensajes, entre otros, será acordada en el seno del Comité de Coordinación Nacional de la Alerta Rosa. Adicionalmente, en dicha instancia del Comité de Coordinación Nacional de la Alerta Rosa se abordarán los aspectos que se identifiquen asociados al seguimiento y cumplimiento de lo dispuesto en el presente acto administrativo, de conformidad con las funciones atribuidas por la Ley 2326 de 2023 y el Decreto número 1428 de 202, o las normas que las adicionen, modifiquen o sustituyan.
REGLAS EN MATERIA DE PARTICIPACIÓN CIUDADANA, PLURALISMO INFORMATIVO, PROHIBICIONES, PROTECCIÓN DEL TELEVIDENTE Y OBLIGACIONES DE REPORTE DE INFORMACIÓN PERIÓDICA.
DEL PLURALISMO INFORMATIVO.
CANAL UNIVERSITARIO.
ARTÍCULO 15.1.1.1. OBJETIVOS. <Artículo modificado por el artículo 1 de la Resolución 7348 de 2024. El nuevo texto es el siguiente:> El Canal Universitario Nacional tiene como objetivo la realización y transmisión de programas de Televisión de interés público, de carácter educativo, científico, social y cultural; el desarrollo de procesos de formación de los ciudadanos; la promoción de las labores docentes y académicas, y los procesos de apropiación social de los hallazgos, resultados y aplicaciones de la ciencia y la tecnología; el desarrollo de la docencia, la investigación y la extensión social que realizan las instituciones de educación superior públicas y privadas del país, y la divulgación de las manifestaciones culturales de la Nación.
ARTÍCULO 15.1.1.1. ACCESO A LA SEÑAL DEL CANAL UNIVERSITARIO NACIONAL. <sic, 15.1.1.2> <Artículo modificado por el artículo 1 de la Resolución 7348 de 2024. El nuevo texto es el siguiente:> Los concesionarios del servicio público de televisión por suscripción, los licenciatarios de televisión satelital, los operadores de televisión comunitaria, las comunidades autorizadas para el servicio de señales incidentales y todos aquellos que cuenten con habilitación general para tales efectos, deberán destinar un canal exclusivo para transmitir la señal que origine el Canal Universitario Nacional. Los licenciatarios de televisión local, sin ánimo de lucro, o quienes cuenten con habilitación general para tal efecto, podrán encadenarse y distribuir la señal del Canal Universitario.
PARÁGRAFO 1o. Uso de la capacidad satelital estatal. La CRC concertará con los operadores de televisión o quienes cuenten con habilitación general para tal efecto, las condiciones y términos bajo los cuáles el Canal Universitario Nacional, podrá emplear y optimizar el uso de los recursos técnicos disponibles en estos sistemas de televisión satelital estatal.
PARÁGRAFO 2o. Concertación, estímulos y gradualidad. La CRC concertará con los operadores del servicio de televisión o quienes cuenten con habilitación general para tal efecto, la forma, los estímulos y la gradualidad con la cual estos operadores recibirán y distribuirán la señal del Canal Universitario Nacional.
MENSAJES DE INTERÉS PARA LA COMUNIDAD EN EL SERVICIO DE TELEVISIÓN COMUNITARIA.
ARTÍCULO 15.1.2.1. TRANSMISIÓN DE MENSAJES DE INTERÉS PARA LA COMUNIDAD. <Artículo adicionado por el artículo 2 de la Resolución 6261 de 2021. El nuevo texto es el siguiente:> La Comunidad Organizada podrá transmitir mensajes de interés para la comunidad por cualquiera de sus canales de producción propia, siempre y cuando cumplan con los siguientes requisitos:
1. Emplear generador de caracteres u otro sistema generador de texto.
2. Aparecer en pantalla por superposición y sin interrumpir la programación.
3. No cobrar suma alguna por transmitir estos mensajes.
4. No transmitir más de dos (2) mensajes de interés para la comunidad por cada media hora de programación mientras se esté transmitiendo producción propia.
5. No ocupar un área superior al quince por ciento (15%) de la pantalla mientras se esté transmitiendo producción propia.
6. No contener logotipos, ni menciones a empresas o personas distintas a la propia comunidad organizada o a las instituciones oficiales que realicen el mensaje.
7. No realizar proselitismo político ni religioso a través de estos mensajes. (Resolución ANTV 650 de 2018, articulo 23)
GARANTÍA DE RECEPCIÓN DE LA SEÑAL DE LOS CANALES DE TELEVISIÓN ABIERTA POR PARTE DE LOS OPERADORES DE TELEVISIÓN. <Notas de Vigencia>
- Sección sustituida por el artículo 2 de la Resolución 7348 de 2024, "por medio de la cual se modifican algunas disposiciones relativas a la participación ciudadana y a la protección de los derechos de los televidentes, especialmente de niños, niñas y adolescentes, dispuestas en el Título XV de la Resolución CRC 5050 de 2016 y se dictan otras disposiciones", publicada en el Diario Oficial No. 52.711 de 27 de marzo de 2024. Rige a partir de su publicación en el Diario Oficial.
El tema "Mensajes cívicos en televisión abierta, en todas las modalidades y niveles de cubrimiento" (de que trataba esta sección), es incorporado por el artículo 9 como sección 16.4.12.
- Título adicionado por el artículo 2 de la Resolución 6261 de 26 de marzo de 2021, "por la cual se compilan y se simplifican disposiciones contenidas en las normas de carácter general vigentes expedidas por las extintas Comisión Nacional de Televisión -CNTV- y la Autoridad Nacional de Televisión -ANTV-, relacionadas con las funciones de la Sesión de Contenidos Audiovisuales de la Comisión de Regulación de Comunicaciones – CRC-, se adiciona el Titulo XV en la Resolución CRC 5050 de 2016 y se dictan otras disposiciones", publicada en el Diario Oficial No. 51.628 de 26 de marzo de 2021.
ARTÍCULO 15.1.3.1. GARANTÍA DE RECEPCIÓN DE LA SEÑAL DE LOS CANALES DE TELEVISIÓN ABIERTA POR PARTE DE LOS OPERADORES DE TELEVISIÓN POR SUSCRIPCIÓN. <Artículo sustituido por el artículo 2 de la Resolución 7348 de 2024. El nuevo texto es el siguiente:> Los operadores de televisión por suscripción o quienes cuenten con habilitación general para tal efecto, deberán distribuir sin costo alguno a sus suscriptores la señal de los canales principales de la totalidad de los canales colombianos de televisión abierta de carácter nacional y regional.
La distribución de la señal de los concesionarios de televisión local o quienes cuenten con habilitación general para tal efecto, estará condicionada a la capacidad técnica del operador de televisión cerrada, de conformidad con la regulación que para tal efecto expida la CRC.
En todo caso los operadores de televisión por suscripción mencionados deberán distribuir la señal de los canales de televisión abierta incluidos en su parrilla en óptimas condiciones técnicas, de conformidad con lo definido por la CRC o quien haga sus veces.
PARÁGRAFO 1o. Si en la oferta de los operadores de televisión por suscripción a los que hace referencia el presente artículo, se incluye un canal nacional en alta definición (HD), deberán incluirse todos los canales nacionales en esa misma definición.
Los operadores de televisión por suscripción mencionados deberán incluir la señal de los canales regionales en la totalidad de sus parrillas de programación, independientemente de la tecnología de transmisión utilizada.
ARTÍCULO 15.1.3.2. GARANTÍA DE RECEPCIÓN DE LAS SEÑALES RADIODIFUNDIDAS DE LOS CANALES COLOMBIANOS POR PARTE DE LOS OPERADORES DE TELEVISIÓN CERRADA. <Artículo sustituido por el artículo 2 de la Resolución 7348 de 2024. El nuevo texto es el siguiente:> Con independencia de las obligaciones propias del servicio de televisión por suscripción, los operadores de televisión por suscripción y comunitaria o quienes cuenten con habilitación general para tal efecto, deberán asegurarse de no restringir de manera alguna la recepción de la totalidad de las señales de televisión analógica y/o digital radiodifundidas, ni afectar la infraestructura técnica de recepción dispuesta por el usuario para tal fin.
GARANTÍA DE RECEPCIÓN DE LA SEÑAL DE LOS CANALES DE TELEVISIÓN ABIERTA POR PARTE DE LOS OPERADORES DE TELEVISIÓN.
ARTÍCULO 15.1.4.1. GARANTÍA DE RECEPCIÓN DE LA SEÑAL DE LOS CANALES DE TELEVISIÓN ABIERTA POR PARTE DE LOS OPERADORES DE TELEVISIÓN POR SUSCRIPCIÓN. <Artículo adicionado por el artículo 2 de la Resolución 6261 de 2021. El nuevo texto es el siguiente:> Los operadores de televisión por suscripción o quienes cuenten con habilitación general para tal efecto, deberán distribuir sin costo alguno a sus suscriptores la señal de los canales principales de la totalidad de los canales colombianos de televisión abierta de carácter nacional y regional.
La distribución de la señal de los concesionarios de televisión local o quienes cuenten con habilitación general para tal efecto, estará condicionada a la capacidad técnica del operador de televisión cerrada, de conformidad con la regulación que para tal efecto expida la CRC.
En todo caso los operadores de televisión por suscripción mencionados deberán distribuir la señal de los canales de televisión abierta incluidos en su parrilla en óptimas condiciones técnicas, de conformidad con lo definido por la CRC o quien haga sus veces.
PARÁGRAFO 1. Si en la oferta de los operadores de televisión por suscripción a los que hace referencia el presente artículo, se incluye un canal nacional en alta definición (HD), deberán incluirse todos los canales nacionales en esa misma definición.
Los operadores de televisión por suscripción mencionados deberán incluir la señal de los canales regionales en la totalidad de sus parrillas de programación, independientemente de la tecnología de transmisión utilizada.
(Resolución ANTV 1022 de 2017, artículo 1, modificado por el artículo 1 de la Resolución ANTV 683 de 2018)
ARTÍCULO 15.1.4.2. GARANTÍA DE RECEPCIÓN DE LAS SEÑALES RADIODIFUNDIDAS DE LOS CANALES COLOMBIANOS POR PARTE DE LOS OPERADORES DE TELEVISIÓN CERRADA. <Artículo adicionado por el artículo 2 de la Resolución 6261 de 2021. El nuevo texto es el siguiente:> Con independencia de las obligaciones propias del servicio de televisión por suscripción, los operadores de televisión por suscripción y comunitaria o quienes cuenten con habilitación general para tal efecto, deberán asegurarse de no restringir de manera alguna la recepción de la totalidad de las señales de televisión analógica y/o digital radiodifundidas, ni afectar la infraestructura técnica de recepción dispuesta por el usuario para tal fin.
(Resolución CNTV 02 de 2012, artículo 25)
ALOCUCIONES PRESIDENCIALES.
<Sección adicionada por el artículo 1 de la Resolución 8091 de 2025>
ARTÍCULO 15.1.5.1. PRINCIPIOS ORIENTADORES. <Artículo adicionado por el artículo 1 de la Resolución 8091 de 2025. El nuevo texto es el siguiente:> Las reglas y lineamientos aplicables al trámite que debe surtirse ante la Comisión de Regulación de Comunicaciones para presentar las solicitudes de alocución presidencial, su correspondiente revisión y realización; así como la definición y aplicación de los mecanismos previos, concomitantes y posteriores respecto de la alocución presidencial, deben consultar e interpretarse bajo los siguientes principios:
15.1.5.1.1. Pluralismo informativo: Tiene como objetivo garantizar la libertad de expresión para los ciudadanos y organizaciones, promoviendo espacios en los medios televisivos que den cabida a todas las voces y expresiones. Este principio, a su vez, debe dimensionarse en consideración de los demás que se incluyen en este acápite.
15.1.5.1.2. Pluralismo político: Se respetarán las diferentes alternativas ideológicas y opiniones políticas que surjan del debate democrático.
15.1.5.1.3. Libertad de pensamiento y opiniones: Se respetarán las divergencias ideológicas y diferentes opiniones que surjan de la alocución presidencial.
15.1.5.1.4. Imparcialidad de la información: Se deberá establecer distancia entre la crítica personal de los hechos relatados y las fuentes y el mensaje que se quiere emitir como información objetiva, haciendo uso en todo lugar de información oficial.
15.1.5.1.5. Formación de una opinión pública libre: Se respetará este principio, como pilar fundamental del Estado Democrático, considerando su relación consustancial con la libertad de información, que reconoce, por un lado, la libre expresión y difusión de las ideas, conocimientos, juicios u opiniones, y por el otro, proclama el derecho de acceder o recepcionar una información ajustada a la verdad objetiva.
PARÁGRAFO. Se tendrán en cuenta los principios rectores definidos en el artículo 5o de la Ley 1909 de 2018, en lo asociado al acceso a medios de comunicación en alocuciones presidenciales, de que trata el artículo 15 de dicha ley, y el derecho a réplica, que aborda el artículo 17 de la Ley 1909 de 2018.
ARTÍCULO 15.1.5.2. CARÁCTER PERSONAL DE LA ALOCUCIÓN. <Artículo adicionado por el artículo 1 de la Resolución 8091 de 2025. El nuevo texto es el siguiente:> La alocución presidencial debe realizarse personalmente por el Presidente de la República, quien podrá utilizar, para dirigirse al país, el servicio de televisión. En lo posible, su intervención deberá ser en vivo y en directo, con el objeto de que la misma responda a las circunstancias urgentes de interés público y excepcionales que ameritan la interrupción de la programación ordinaria.
El Presidente de la República podrá utilizar, si así lo requiere, gráficos, representaciones u otro material de apoyo que considere para ilustrar su intervención.
La Comisión, en el marco del análisis que realice de cada solicitud, evaluará si el Vicepresidente o el Ministro delegatario ostentan las facultades constitucionales que lo habiliten para fungir como Presidente de la República encargado, conforme lo disponga la Constitución Política.
ARTÍCULO 15.1.5.3. OBJETO DE LA ALOCUCIÓN. <Artículo adicionado por el artículo 1 de la Resolución 8091 de 2025. El nuevo texto es el siguiente:> La alocución debe versar sobre asuntos urgentes de interés público y excepcionales, directamente relacionados con las funciones del Presidente de la República, como Jefe de Estado, Jefe de Gobierno y suprema autoridad administrativa. La intervención del máximo mandatario en el servicio de televisión no puede estar justificada exclusivamente en la transparencia de la gestión.
ARTÍCULO 15.1.5.4. URGENCIA DE INTERÉS PÚBLICO Y EXCEPCIONALIDAD. <Artículo adicionado por el artículo 1 de la Resolución 8091 de 2025. El nuevo texto es el siguiente:> La solicitud de alocución debe justificar la urgencia de interés público y excepcionalidad.
Se entenderá por urgencia de interés público, aquella condición referida a situaciones graves, sobrevinientes e intempestivas, ocasionadas usualmente por desastres naturales, calamidades públicas, alteraciones graves del orden público u otros eventos de fuerza mayor, que hagan imprescindible que el Presidente de la República se dirija de manera inmediata a la Nación, revistiendo un verdadero interés para la colectividad.
La excepcionalidad se trata de la ocurrencia de circunstancias que desbordan la órbita de acontecimientos normales vivenciados por la ciudadanía en su cotidianidad, de manera que, en el marco de lo previsto constitucionalmente, lo excepcional corresponde a una facultad precisa, detallada o bien delimitada, que no puede ser ordinaria, ilimitada o general y para cuyo ejercicio, existan suficientes e importantes razones que la justifiquen.
ARTÍCULO 15.1.5.5. RECURRENCIA. <Artículo adicionado por el artículo 1 de la Resolución 8091 de 2025. El nuevo texto es el siguiente:> La alocución presidencial no podrá ser recurrente o frecuente. La solicitud que no consulte el criterio de recurrencia no genera de plano el rechazo de la solicitud, para lo cual la Comisión analizará la justificación que se presente con sujeción de los criterios de urgencia de interés público y excepcionalidad.
ARTÍCULO 15.1.5.6. LIMITACIÓN TEMÁTICA. <Artículo adicionado por el artículo 1 de la Resolución 8091 de 2025. El nuevo texto es el siguiente:> La solicitud de alocución debe identificar el tema concreto que se tratará en la alocución por parte del Presidente de la República. La descripción no motivada o general sobre la temática dará lugar a que no se autorice la alocución. En el curso de su intervención, el Presidente deberá ceñirse al tema urgente de interés público y excepcional informado en la solicitud presentada ante la CRC.
ARTÍCULO 15.1.5.7. LIMITACIÓN TEMPORAL. <Artículo adicionado por el artículo 1 de la Resolución 8091 de 2025. El nuevo texto es el siguiente:> La solicitud de alocución deberá indicar hora de inicio y finalización. Su duración no podrá exceder 30 minutos, que se contarán desde el inicio de la intervención del Presidente hasta su finalización, siendo esta la regla general. El límite temporal definido puede ser extendido por la Comisión, con sujeción de los criterios de urgencia de interés público y excepcionalidad, en un lapso que oscile entre 31 a 60 minutos, previa justificación plasmada en la solicitud inicial, por parte del Presidente de la República, la cual debe identificar de manera detallada la destinación de los minutos adicionales que se solicitan.
ARTÍCULO 15.1.5.8. ALCANCE. <Artículo adicionado por el artículo 1 de la Resolución 8091 de 2025. El nuevo texto es el siguiente:> La validación de los criterios de urgencia de interés público y excepcionalidad no controlan, en sentido alguno, el tratamiento del contenido de la alocución presidencial.
ARTÍCULO 15.1.5.9. PROCEDIMIENTO. <Artículo adicionado por el artículo 1 de la Resolución 8091 de 2025. El nuevo texto es el siguiente:> El Presidente de la República o la Presidencia de la República presentarán solicitud motivada ante la Sesión de Contenidos Audiovisuales de la Comisión de Regulación de Comunicaciones a efectos de realizar una alocución presidencial. La solicitud debe allegarse antes de la transmisión, con una antelación mínima de seis (6) horas a la hora presupuestada para el inicio de la alocución.
La no radicación dentro del plazo establecido anteriormente, no genera de plano el rechazo de la solicitud, para lo cual la Comisión analizará la justificación que se presente.
La Comisión de Regulación de Comunicaciones informará a los operadores del servicio de televisión abierta radiodifundida públicos o privados, nacionales, regionales o locales, incluido el Canal Institucional sobre la solicitud presentada por Presidente de la República o la Presidencia de la República, una vez la reciba.
Recibida la solicitud inicial, con el lleno de los requisitos establecidos, la Comisión de Regulación de Comunicaciones verificará su cumplimiento y en caso de que lo considere necesario podrá requerir aclaración o complementación sobre los puntos que considere. La remisión del escrito que atienda dicha solicitud deberá realizarse en el lapso de una (1) hora siguiente a su recibo. En caso de no allegar la aclaración o complementación, se decidirá con la información aportada en la petición inicial.
La Sesión de Contenidos Audiovisuales de la Comisión de Regulación de Comunicaciones informará su decisión al Presidente de la República o a la Presidencia de la República. En caso de que determine que la solicitud cumple con los requisitos establecidos, informará a los operadores del servicio de televisión abierta radiodifundida públicos o privados, nacionales, regionales o locales, incluido el Canal Institucional, con por lo menos 45 minutos de anterioridad, anunciándoles la hora de inicio de la alocución. El mismo plazo aplicará al Presidente de la República, para que disponga de lo necesario.
Si la solicitud no cumple con los requisitos definidos, podrá ser rechazada por parte de la Sesión de Comisión de Contenidos Audiovisuales.
ARTÍCULO 15.1.5.10. REQUISITOS DE LA SOLICITUD. <Artículo adicionado por el artículo 1 de la Resolución 8091 de 2025. El nuevo texto es el siguiente:> La solicitud deberá presentarse con el cumplimiento de los siguientes requisitos:
1. Identificación de la solicitud
1.1. Entidad solicitante
1.2. Tema específico de la alocución
1.3. Objetivo de la alocución
1.4. Fecha de la transmisión
1.5. Hora de inicio
1.6. Hora de finalización
2. Justificación de la solicitud: Deberá precisar por qué la alocución corresponde a una situación urgente y de manifiesto interés público nacional. Debe describir la razón suficiente que motiva la alocución.
3. Precisar que la alocución esté relacionada con el ejercicio de las funciones atribuidas al Presidente de la República, sin que esté justificada exclusivamente en la transparencia de la gestión.
4. Manifestar si la información que se transmitirá resulta necesaria para garantizar la participación real y efectiva de la ciudadanía o la comprensión de una decisión pública relevante.
5. Manifestación de que la alocución no se realiza en el marco de un Consejo de Ministros.
6. Declaración del solicitante que certifique que la solicitud de alocución cumple con los criterios de urgencia de interés público, excepcionalidad, no recurrencia, delimitación temática y temporal establecidos en la sentencia de tutela proferida por el Consejo de Estado del 16 de septiembre de 2025 y la Sentencia C-1172 de 2001 de la Corte Constitucional.
ARTÍCULO 15.1.5.11. HORA DE INICIO DE LA ALOCUCIÓN. <Artículo adicionado por el artículo 1 de la Resolución 8091 de 2025. El nuevo texto es el siguiente:> La alocución presidencial iniciará a la hora informada por el Presidente de la República o la Presidencia de la República en la solicitud presentada ante la Comisión de Regulación de Comunicaciones. Si la solicitud se allega con una antelación inferior a las seis (6) horas establecidas para su revisión, la alocución iniciará 6 horas después de la presentación de la solicitud inicial.
En caso de que el Presidente de la República no dé inicio puntual a la alocución presidencial, según la hora de inicio autorizada por la Comisión, se restarán del tiempo autorizado, aquellos minutos de retraso, sin que se modifique o extienda la hora de finalización. Para estos efectos, se tendrá un margen de flexibilidad de cinco (5) minutos de antelación o posterioridad con respecto a la hora señalada para su inicio.
ARTÍCULO 15.1.5.12. CONTROL DE DURACIÓN DE LA ALOCUCIÓN. <Artículo adicionado por el artículo 1 de la Resolución 8091 de 2025. El nuevo texto es el siguiente:> Durante la alocución, el Canal Institucional deberá dar aviso visible a la audiencia sobre el tiempo restante de intervención del Presidente de la República, cuando resten 5 minutos para la finalización, en razón del tiempo informado.
La Oficina de Comunicaciones de Presidencia de la República, o quien haga sus veces, deberá disponer lo necesario para que el Presidente de la República conozca en tiempo real, el tiempo transcurrido, y el tiempo faltante para terminar la alocución.
Los operadores del servicio de televisión abierta radiodifundida públicos o privados, nacionales, regionales o locales, incluido el Canal Institucional, deberán anteponer a la radiodifusión de la alocución presidencial, un aviso que informe sobre la transmisión de la alocución del Presidente de la República, indicando hora de inicio y finalización. El aviso debe realizarse por lo menos 10 minutos antes de la hora de inicio fijada para la alocución presidencial, en forma escrita y a una velocidad que permita su lectura.
Los operadores del servicio de televisión podrán disponer del subcanal digital para transmitir la programación habitual durante la alocución presidencial, esta última, en todo caso, debe ser transmitida por el canal principal.
Vencida la duración otorgada para la alocución presidencial, y en el caso de que la misma no haya finalizado, los operadores del servicio de televisión abierta radiodifundida públicos o privados, nacionales, regionales o locales estarán en la libertad de retomar su programación habitual.
En los eventos en que la alocución, aun cuando haya sido aprobada, no se realice por decisión de Presidencia de la República o el Presidente de la República, se deberá de informar a la Comisión de Regulación de Comunicaciones, quien procederá a comunicar lo respectivo a los operadores del servicio de televisión abierta radiodifundida públicos o privados, nacionales, regionales o locales, incluido el Canal Institucional. Lo anterior será informado por los operadores del servicio de televisión mediante un aviso incluido en su transmisión, en forma escrita y a una velocidad que permita su lectura. La cancelación de la alocución deberá justificarse ante la Comisión, y no generará responsabilidad alguna de la Comisión o del Gobierno Nacional.
ARTÍCULO 15.1.5.13. PUBLICIDAD DE LA DECISIÓN. <Artículo adicionado por el artículo 1 de la Resolución 8091 de 2025. El nuevo texto es el siguiente:> La decisión que adopte la Comisión sobre la solicitud de alocución presidencial deberá hacerse pública por un medio de fácil acceso para la ciudadanía, dentro de los dos (2) días siguientes a su expedición.
ARTÍCULO 15.1.5.14. CUMPLIMIENTO DE UNA DECISIÓN JUDICIAL Y EXCEPCIONES. <Artículo adicionado por el artículo 1 de la Resolución 8091 de 2025. El nuevo texto es el siguiente:> La solicitud de alocución presidencial podrá presentarse en cualquier momento si su justificación está determinada en razón del cumplimiento de un fallo judicial. En este caso, deberá aportarse, junto con esta, los documentos que den cuenta de la orden impartida por el juez, a efectos de sustentar la solicitud y las constancias de notificación de la providencia que así lo ordena.
En relación con las alocuciones alusivas a las fiestas de fin de año o relacionadas con la instalación de las sesiones del Congreso por parte del Presidente de la República, deberá darse aplicación al artículo 15.1.5.15 de la Resolución CRC 5050 de 2016, que establece las reglas aplicables a la rendición de un informe público en un medio de fácil acceso para la ciudadanía, dentro de los dos (2) días siguientes a la realización de cada alocución presidencial, con el fin de que se evalúe si el desarrollo de la misma se adecuó a los criterios de urgencia de interés público y excepcionalidad en garantía del pluralismo informativo.
El no cumplimiento del requisito de recurrencia de que trata el artículo 15.1.5.5 y/o la no radicación dentro del plazo establecido en el artículo 15.1.5.9 no genera de plano el rechazo de la solicitud, para lo cual la Comisión analizará la justificación que se presente.
El trámite de estas solicitudes se regirá conforme al procedimiento y requisitos establecidos en la regulación expedida para el efecto.
ARTÍCULO 15.1.5.15. INFORME PÚBLICO Y SOCIALIZACIÓN EN EL ESPACIO DEL DEFENSOR DEL TELEVIDENTE. <Artículo adicionado por el artículo 1 de la Resolución 8091 de 2025. El nuevo texto es el siguiente:> La Comisión de Regulación de Comunicaciones deberá rendir informe público en un medio de fácil acceso para la ciudadanía, dentro de los dos (2) días siguientes a la realización de cada alocución presidencial. En el informe evaluará si el desarrollo de la alocución se adecuó a los criterios de urgencia de interés público y excepcionalidad en garantía del pluralismo informativo.
Los operadores del servicio público de televisión abierta, en todas las modalidades y niveles de cubrimiento o quienes cuenten con habilitación general para tal efecto, deberán presentar, de manera trimestral, en el espacio del Defensor del Televidente, el informe público que emita la Comisión con respecto al cumplimiento de los criterios de urgencia de interés público y excepcionalidad de las alocuciones presidenciales realizadas en el periodo.
ARTÍCULO 15.1.5.16. TRASLADOS. <Artículo adicionado por el artículo 1 de la Resolución 8091 de 2025. El nuevo texto es el siguiente:> En caso de que la Comisión de Regulación de Comunicaciones evidencie que la alocución presidencial no se adecuó a los criterios de urgencia de interés público y excepcionalidad, dará traslado inmediato al juez de tutela para lo de su competencia, sin perjuicio de las actuaciones que adelante la Comisión en ejercicio de las funciones de inspección, vigilancia y control atribuidas por la ley en materia de contenidos audiovisuales.
PROTECCIÓN DEL TELEVIDENTE.
INFORMACIÓN AL TELEVIDENTE.
ARTÍCULO 15.2.1.1. AVISO PREVIO A LA RADIODIFUSIÓN DE LOS PROGRAMAS. <Artículo adicionado por el artículo 2 de la Resolución 6261 de 2021. El nuevo texto es el siguiente:> Los concesionarios de televisión abierta en todas las modalidades y niveles de cubrimiento o quienes cuenten con habilitación general para tal efecto, deben anteponer a la radiodifusión de sus programas, un aviso que deberá contener, por lo menos, los siguientes elementos:
1. Rango de edad apto para ver el programa.
2. Si el programa contiene o no violencia.
3. Si el programa contiene o no escenas sexuales.
4. Si el programa debe ser visto en compañía de adultos.
5. Si el programa contiene algún sistema que permita a la población con discapacidad auditiva acceder a su contenido.
6. Clasificación del programa como infantil, de adolescentes, familiar o adulto.
PARÁGRAFO 1o. En el caso que se trate de programas cuyo tema central sea la violencia o el sexo, pero tenga una finalidad claramente pedagógica, así se deberá indicar en el aviso consagrado en el presente artículo.
PARÁGRAFO 2o. Este aviso deberá realizarse en formar oral y escrita y a una velocidad que permita su lectura.
PARÁGRAFO 3o. Para efectos de la clasificación del programa el concesionario o quien cuente con habilitación general al que hace referencia este artículo, deberá tener en cuenta lo dispuesto por los artículos relacionados con la clasificación de franjas de audiencia y la clasificación de la programación.
(Acuerdo CNTV 2 de 2011, artículo 34)
DEFENSOR DEL TELEVIDENTE.
ARTÍCULO 15.2.2.1. ESPACIO DEL DEFENSOR DEL TELEVIDENTE. <Artículo subrogado por el artículo 2 de la Resolución 7810 de 2025. El nuevo texto es el siguiente:> Los operadores del servicio público de televisión abierta, en todas las modalidades y niveles de cubrimiento o quienes cuenten con habilitación general para tal efecto, deberán destinar un espacio al Defensor del Televidente.
PARÁGRAFO. Los concesionarios de espacios de televisión del Canal Uno, deberán designar conjuntamente, para todos, el espacio del Defensor del Televidente.
ARTÍCULO 15.2.2.2. INTENSIDAD Y DURACIÓN DEL ESPACIO DEL DEFENSOR DEL TELEVIDENTE. <Artículo adicionado por el artículo 2 de la Resolución 6261 de 2021. El nuevo texto es el siguiente:> El espacio del Defensor del Televidente a que se refiere el artículo anterior deberá tener como mínimo una duración semanal (de lunes a domingo) de treinta (30) minutos. Este espacio podrá presentarse bajo el formato que determine el concesionario de televisión abierta o quien cuente con habilitación general para tal efecto y podrá ser radiodifundido en bloques de mínimo dos (2) minutos de duración.
La radiodifusión de este espacio deberá realizarse siempre en el horario comprendido entre las 07:00 y 21:00 horas.
PARÁGRAFO 1o. Los concesionarios de espacios de televisión del Canal Uno deberán determinar, conjuntamente y para todos, la intensidad y duración del espacio del Defensor del Televidente.
PARÁGRAFO 2o. El espacio destinado al Defensor del Televidente deberá permitir la participación de los televidentes.
PARÁGRAFO 3o. Para la contabilización de lo dispuesto en el presente artículo no se tendrán en cuenta las repeticiones de programas.
(Acuerdo CNTV 2 de 2011, artículo 36)
ARTÍCULO 15.2.2.3. DURACIÓN DEL ESPACIO DEL DEFENSOR DEL TELEVIDENTE. <Artículo adicionado por el artículo 2 de la Resolución 6261 de 2021. El nuevo texto es el siguiente:> El día y horario de radiodifusión del o los espacios del Defensor del Televidente informado en su momento a la autoridad correspondiente, por los concesionarios o quienes cuenten con habilitación general para tal efecto, será fijo pero con un margen de flexibilidad de cinco (5) minutos de antelación o posterioridad con respecto a la hora señalada para su inicio.
PARÁGRAFO. Para modificar los horarios de radiodifusión de los espacios del defensor del televidente, se deberá contar con la aprobación previa y expresa de dicho defensor o de quien este delegue. No obstante, cuando la transmisión del programa del defensor del televidente deba realizarse en un horario en el cual se esté radiodifundiendo un evento especial en directo, dicho programa podrá emitirse antes del evento o inmediatamente termine el señalado evento especial. Se entiende como evento especial en directo aquel que no hace parte de la programación habitual, y que se radiodifunde de manera simultánea a su realización.
(Acuerdo CNTV 2 de 2011, artículo 37, modificado por el artículo 6 del Acuerdo 3 de 2011)
ARTÍCULO 15.2.2.4. ATENCIÓN AL TELEVIDENTE. <Artículo derogado por el artículo 9 de la Resolución 7810 de 2025>
ARTÍCULO 15.2.2.4. INFORMACIÓN A LOS TELEVIDENTES SOBRE LOS MECANISMOS DE ATENCIÓN. <Artículo subrogado por el artículo 3 de la Resolución 7810 de 2025. El nuevo texto es el siguiente:> Los operadores del servicio de televisión abierta deberán contar con mecanismos que faciliten la recepción de observaciones, comentarios, peticiones, quejas y reclamos por parte de los televidentes sobre la programación o su funcionamiento interno.
En el horario comprendido entre las 19:00 y las 22:00 horas, los operadores deberán informar y promocionar los mecanismos a que hace referencia el anterior inciso por alguno de los siguientes medios:
(i). En la emisión en televisión, todos los días; o
(ii). En las redes sociales del canal, tres veces a la semana.
ARTÍCULO 15.2.2.5. DEFENSOR DEL TELEVIDENTE EN TELEVISIÓN DIGITAL TERRESTRE. <Artículo subrogado por el artículo 4 de la Resolución 7810 de 2025. El nuevo texto es el siguiente:> Los operadores del servicio público de televisión deberán designar un Defensor del Televidente para la totalidad de la oferta televisiva digital, destinando un espacio en el canal principal digital en las condiciones previstas en los artículos anteriores o en las normas que lo modifiquen, adicionen o deroguen
SISTEMAS DE ACCESO.
ARTÍCULO 15.2.3.1. OBJETO DE LA PRESENTE SECCIÓN. <Artículo adicionado por el artículo 2 de la Resolución 6261 de 2021. El nuevo texto es el siguiente:> Reglamentar la implementación de los sistemas que garantizan el acceso de las personas con discapacidad auditiva a los contenidos transmitidos a través del servicio público de televisión, con el fin de cumplir los objetivos Constitucionales y Legales en relación con dicha población.
(Resolución ANTV 350 de 2016, artículo 1)
ARTÍCULO 15.2.3.2. ÁMBITO DE APLICACIÓN. <Artículo adicionado por el artículo 2 de la Resolución 6261 de 2021. El nuevo texto es el siguiente:> La presente sección aplica a los concesionarios de espacios de televisión del Canal UNO, operadores del servicio de televisión abierta con cobertura nacional, regional y local, así como a los concesionarios del servicio de televisión por suscripción en su canal de producción propia y quienes cuenten con habilitación general para tales efectos.
PARÁGRAFO 1o. Para garantizar el goce pleno del derecho a los contenidos informativos por parte de las personas con discapacidad auditiva el Canal Universitario Nacional, el Canal del Congreso y los canales satelitales temáticos, de acuerdo con sus condiciones técnicas y financieras, deberán propender por la implementación progresiva de los sistemas que garantizan el acceso de las personas con discapacidad auditiva a los contenidos que emitan.
Los contenidos que el Canal del Congreso emita por el Canal Institucional tendrán los sistemas que garantizan el acceso al servicio de televisión a las personas con discapacidad auditiva, en los términos de la presente resolución.
PARÁGRAFO 2o. <Parágrafo modificado por el artículo 1 de la Resolución 7276 de 2023. El nuevo texto es el siguiente:> Adicionalmente los concesionarios, licenciatarios del servicio de televisión cerrada, o quienes cuenten con habilitación general para tal efecto, deberán dar estricta aplicación a las medidas de no restricción mencionadas en el artículo 15.2.3.14 del presente capítulo, sobre medidas de no restricción a través de televisión cerrada.
(Resolución ANTV 350 de 2016, artículo 2)
ARTÍCULO 15.2.3.3. PRINCIPIOS. <Artículo adicionado por el artículo 2 de la Resolución 6261 de 2021. El nuevo texto es el siguiente:> Los principios que orientan la presente reglamentación son los establecidos en el artículo 13, artículo 47 y concordantes de la Constitución Política, las Leyes 182 de 1995, 324 de 1996, 335 de 1996, 361 de 1997, 680 de 2001, 982 de 2005, 1145 de 2007, 1346 de 2009, 1618 de 2013, y las demás que sean aplicables a las materias objeto de reglamentación.
(Resolución ANTV 350 de 2016, artículo 3)
ARTÍCULO 15.2.3.4. SISTEMAS O MECANISMOS DE ACCESO. <Artículo adicionado por el artículo 2 de la Resolución 6261 de 2021. El nuevo texto es el siguiente:> Los sistemas que permiten el acceso a los contenidos transmitidos a través del servicio público de televisión a las personas con discapacidad auditiva son:
a) Interpretación en Lengua de Señas Colombiana (LSC);
b) Texto escondido o Closed Caption (CC) por sus siglas en idioma inglés, en lengua castellana;
c) Subtitulación (ST) en lengua castellana;
d) Los sistemas o mecanismos que se desarrollen con posterioridad para este propósito, avalados por la entidad competente.
PARÁGRAFO 1o. <Parágrafo modificado por el artículo 2 de la Resolución 7276 de 2023. El nuevo texto es el siguiente:> Los operadores, concesionarios y quienes cuenten con habilitación general para el efecto, descritos en el artículo 15.2.3.2. del presente capítulo, podrán utilizar los sistemas de acceso establecidos en el presente artículo o los que se desarrollen con posterioridad para este propósito, en los términos de la presente resolución; no obstante, como mínimo deberán cumplir con las medidas de ajuste razonable para la implementación de dichos sistemas de acceso establecidas en el artículo 15.2.3.9 de la presente resolución.
PARÁGRAFO 2o. Para la financiación en la implementación de estos sistemas, los operadores podrán hacer uso de patrocinio o publicidad; haciendo mención exclusiva del patrocinador solo al inicio y al final del programa.
PARÁGRAFO 3o. Para la implementación de los sistemas de acceso establecidos en el presente artículo, los concesionarios, operadores o quienes cuenten con habilitación general para tal efecto, tendrán en cuenta las condiciones de implementación establecidas en la presente resolución, así como los manuales, estándares o procedimientos que sean expedidos por la CRC en coordinación con entidades competentes. La CRC podrá evaluar la calidad de la implementación de los sistemas de acceso del presente artículo mediante la ejecución de auditorías de calidad.
(Resolución ANTV 350 de 2016, artículo 4)
ARTÍCULO 15.2.3.5. DEL CLOSED CAPTION. <Artículo adicionado por el artículo 2 de la Resolución 6261 de 2021. El nuevo texto es el siguiente:> El texto escondido o closed caption se emitirá a una velocidad razonable conforme a la escena emitida, debe ser totalmente legible y entendible, se utilizará el idioma oficial de Colombia y no se podrá utilizar para emitir publicidad, pero se podrá indicar el patrocinador del closed caption en las condiciones establecidas en el parágrafo segundo del artículo anterior.
Cuando se trate de un programa extranjero y se utilice el sistema de subtitulación, se aceptará que venga determinado dentro del programa de origen.
(Resolución ANTV 350 de 2016, artículo 5)
ARTÍCULO 15.2.3.6. DEL INTÉRPRETE DE LA LEBGYA DE SEÑAS COLOMBIANA (LSC). <Artículo adicionado por el artículo 2 de la Resolución 6261 de 2021. El nuevo texto es el siguiente:> El intérprete de la lengua de señas colombiana podrá ser parte del set del programa en el evento en que el formato del mismo así lo permita, en caso contrario deberá ser insertado en la imagen a través de un recuadro, rectángulo, ovalo, silueta o chroma key.
Para lo anterior, el tamaño del espacio empleado para el intérprete de Lengua de Señas debe ser mínimo de un noveno (1/9) de la pantalla y será ubicado a elección del operador. La imagen del intérprete debe estar desde la cabeza hasta la cintura y con espacio a los lados, para facilitar la realización de las señas. La ubicación del intérprete de Lengua de Señas en la pantalla podrá variar durante la transmisión del programa en el cual se haya incluido, a criterio del operador, concesionario o quien cuente con habilitación general encargado de su transmisión, sin que esto afecte el tamaño mínimo establecido.
(Resolución ANTV 350 de 2016, artículo 6)
ARTÍCULO 15.2.3.7. PROGRAMAS DE TELEVISIÓN. <Artículo modificado por el artículo 3 de la Resolución 7276 de 2023. El nuevo texto es el siguiente:> La implementación de los sistemas de acceso en las condiciones establecidas en la presente resolución, deberán ser aplicadas a los géneros y formatos de programas de televisión que sean transmitidos o emitidos conforme los niveles de implementación establecidos en el artículo 15.2.3.9. sobre implementación de los sistemas de acceso de la presente resolución, con excepción de la trasmisión de eventos deportivos y musicales.
ARTÍCULO 15.2.3.8. HORARIOS DE LOS PROGRAMAS DE TELEVISIÓN. <Artículo modificado por el artículo 4 de la Resolución 7276 de 2023. El nuevo texto es el siguiente:> Los operadores, concesionarios y quienes cuenten con habilitación general descritos en el artículo 15.2.3.2. del presente capítulo deberán garantizar la implementación de los sistemas de acceso, en los términos y condiciones descritos en la presente resolución, en la programación transmitida o emitida en el horario comprendido entre las 6:00 y las 23:59 horas.
PARÁGRAFO. La programación que sea transmitida, retransmitida o emitida por fuera del horario descrito en el presente artículo y que incluya la implementación de cualquiera de los sistemas de acceso descritos en la presente resolución, no será tenida en cuenta para establecer el nivel de implementación establecido en el artículo 15.2.3.9. sobre implementación de los sistemas de acceso.
ARTÍCULO 15.2.3.9. IMPLEMENTACIÓN DE LOS SISTEMAS DE ACCESO. <Artículo subrogado por el artículo 5 de la Resolución 7810 de 2025. El nuevo texto es el siguiente:> Los operadores del servicio público de televisión descritos en la presente sección, deberán implementar en su programación los sistemas de acceso en las condiciones establecidas en los artículos 15.2.3.4., 15.2.3.5., 15.2.3.6., 15.2.3.7. y 15.2.3.8., para garantizar el acceso y uso a la información a la población con discapacidad auditiva, tal y como se indica a continuación:
1. Los operadores del servicio de televisión radiodifundida abierta de interés público, social, educativo y cultural con cubrimiento nacional y regional, deberán implementar el sistema de acceso closed caption o subtitulación, de la programación de su canal principal análogo y digital en los términos señalados en el artículo 15.2.3.18 del presente capítulo.
Adicionalmente, deberán implementar la interpretación de Lengua de Señas Colombiana en la programación de su canal principal análogo y digital en al menos un programa diario con contenido informativo o noticioso y en los programas de contenido de interés público así: entre semana en alguna de las franjas horarias entre las 12:00 y las 15:00 horas o entre las 18:00 y las 21:00 horas; y en fin de semana entre las 12:00 y las 15:00 horas o entre las 18:00 y las 22:00 horas. Cumplido el requisito mínimo señalado podrán incluir la Lengua de Señas Colombiana en contenidos de géneros diversos.
2. Los operadores del servicio de televisión radiodifundida abierta nacional privada y concesionarios de los espacios públicos de televisión, deberán implementar el sistema de acceso closed caption o subtitulación, de la programación de su canal principal análogo y digital en los términos señalados en el artículo 15.2.3.18. del presente capítulo.
Adicionalmente, deberán implementar la interpretación de Lengua de Señas Colombiana (LSC) en la programación de su canal principal análogo y digital en al menos un programa diario con contenido informativo o noticioso así: entre semana en alguna de las franjas horarias entre las 12:00 y las 15:00 horas o entre las 18:00 y las 22:00 horas; y en fin de semana entre las 12:00 y las 15:00 horas o entre las 19:00 y las 21:00 horas. Cumplido el requisito mínimo señalado podrán incluir la Lengua de Señas Colombiana en contenidos de géneros diversos.
3. Los operadores del servicio de televisión radiodifundida abierta local con ánimo de lucro, deberán implementar el sistema de acceso closed caption o subtitulación de la programación de su canal principal análogo y digital en los términos señalados en el artículo 15.2.3.18 del presente capítulo.
4. Los operadores del servicio de televisión radiodifundida abierta local sin ánimo de lucro, deberán implementar el sistema de acceso closed caption o subtitulación de las horas de programación establecidas en las disposiciones del servicio de televisión local sin ánimo de lucro o aquellas que lo modifique o derogue en los términos señalados en el artículo 15.2.3.18 del presente capítulo.
5. Los Operadores del Servicio de Televisión por Suscripción, deberán implementar en la programación de su canal de producción propia, el sistema de acceso closed caption o subtitulación, de las horas de programación propia establecidas en las disposiciones del servicio de televisión por suscripción y demás normas que lo complementen, modifiquen o deroguen.
PARÁGRAFO. Las alocuciones presidenciales y mensajes institucionales deberán tener interpretación de Lengua de Señas Colombiana (LSC) en las condiciones establecidas en la presente resolución.
ARTÍCULO 15.2.3.10. MEDIDAS DE IMPLEMENTACIÓN APLICABLEA LOS CONCESIONARIOS DE ESPACIOS DEL CANAL UNO. <Artículo adicionado por el artículo 2 de la Resolución 6261 de 2021. El nuevo texto es el siguiente:> Los concesionarios de espacios de televisión abierta del Canal Uno establecerán acuerdos entre estos para determinar la manera de cumplir a cabalidad con la obligación de implementar el sistema de acceso en los términos de la presente resolución.
(Resolución ANTV 350 de 2016, artículo 10)
ARTÍCULO 15.2.3.11. MEDIDA DE AVISO EN LA PROGRAMACIÓN SOBRE LA IMPLEMENTACIÓN DE LOS MECANISMOS DE ACCESO. <Artículo modificado por el artículo 6 de la Resolución 7276 de 2023. El nuevo texto es el siguiente:> Los operadores, concesionarios o quienes cuenten con habilitación general mencionados en la presente sección, conforme lo dispuesto en el numeral 5 del artículo 15.2.1.1. de la presente resolución, deberán anunciar a la teleaudiencia si el programa que se emite incluye cualquiera de los mecanismos que permite el acceso a este por parte de a las personas con discapacidad auditiva. Dicho anuncio se hará de la siguiente manera:
a) Closed Caption. "Este programa contiene subtítulos en Texto Escondido o Closed Caption (CC)";
b) Lengua de Señas Colombiana: "Este programa contiene interpretación en Lengua de Señas Colombiana (LSC)";
c) Subtitulación: "Este programa contiene subtitulación (ST)";
d) Otros que desarrollen con posterioridad: "Este programa contiene [nombre mecanismo].
ARTÍCULO 15.2.3.12. MEDIDAS A CARGO DEL DEFENSOR DEL TELEVIDENTE. <Artículo adicionado por el artículo 2 de la Resolución 6261 de 2021. El nuevo texto es el siguiente:> Los defensores del televidente propenderán por garantizar los derechos a la población con discapacidad auditiva, para lo cual por lo menos una (1) vez cada semestre, durante el espacio asignado indicarán sí durante el semestre se presentaron peticiones, quejas o sugerencias relacionadas con el objeto de la presente sección, y las respuestas dadas a los peticionarios o quejosos; así mismo informarán las acciones desarrolladas por el operador de Televisión Abierta o quien cuente con habilitación general para tal efecto para el cumplimiento de las medidas de implementación de sistemas de acceso.
(Resolución ANTV 350 de 2016, artículo 12)
ARTÍCULO 15.2.3.13. MEDIDA PARA LA CONTINUIDAD EN LA IMPLEMENTACIÓN EN LOS SISTEMAS DE ACCESO EN PROGRAMAS EMITIDOS POR EPISODIOS. <Artículo adicionado por el artículo 2 de la Resolución 6261 de 2021. El nuevo texto es el siguiente:> En los programas emitidos por episodios que se suceden a través del tiempo, los mecanismos de que trata la presente sección se deberán implementar en todas las emisiones del programa dando continuidad a la temática, hasta la finalización del mismo.
(Resolución ANTV 350 de 2016, artículo 13)
ARTÍCULO 15.2.3.14. MEDIDAS DE NO RESTRICCIÓN A TRAVÉS DE TELEVISIÓN CERRADA. <Artículo adicionado por el artículo 2 de la Resolución 6261 de 2021. El nuevo texto es el siguiente:> Los operadores de televisión cerrada, por suscripción y comunitaria sin ánimo de lucro o quienes cuenten con habilitación general para tal efecto, no podrán restringir, modificar, ni desactivar los sistemas de acceso para la población con discapacidad auditiva incluida en las señales de los canales colombianos de televisión abierta y de los canales de interés público así establecidos en la regulación vigente. La transgresión a esta prohibición será investigada y sancionada de conformidad con la normatividad aplicable a su respectiva modalidad.
(Resolución ANTV 350 de 2016, artículo 15)
ARTÍCULO 15.2.3.15. MEDIDAS PARA EVALUAR LOS RESULTADOS DE LA IMPLEMENTACIÓN DE SISTEMAS DE ACCESO. <Artículo derogado por el artículo 9 de la Resolución 7810 de 2025>
ARTÍCULO 15.2.3.16. NUEVAS CONCESIONES O HABILITACIONES. <Artículo modificado por el artículo 7 de la Resolución 7276 de 2023. El nuevo texto es el siguiente:> Cuando se otorguen nuevas concesiones o se habiliten nuevos agentes, los nuevos concesionarios o autorizados deberán incorporar la obligación de implementar los mecanismos de accesibilidad a los contenidos transmitidos a través del servicio de televisión, conforme a lo establecido en el artículo 15.2.3.9 de la presente resolución.
ARTÍCULO 15.2.3.17. ACCESO DE LA POBLACIÓN SORDA E HIPOACÚSICA EN TDT. <Artículo subrogado por el artículo 6 de la Resolución 7810 de 2025. El nuevo texto es el siguiente:> La programación abierta radiodifundida en el canal digital principal deberá cumplir con lo dispuesto en los artículos anteriores o en las normas que los modifiquen, adicionen o deroguen.
PARÁGRAFO. Para efectos de la contabilización de las obligaciones establecidas en los artículos anteriores o en las normas que los modifiquen, adicionen o deroguen, no se tendrán en cuenta los programas que se radiodifundan en repetición, por parte del mismo concesionario, habilitado o licenciatario
ARTÍCULO 15.2.3.18. ESPECIFICACIONES TÉCNICAS DEL CLOSED CAPTION. <Artículo adicionado por el artículo 8 de la Resolución 7276 de 2023. El nuevo texto es el siguiente:> Los concesionarios de espacios de televisión del Canal UNO, operadores del servicio de televisión abierta con cobertura nacional, regional y local adoptarán las tablas de control de aspecto contenidas en estándares internacionales compatibles con la señal analógica y la señal digital. La alineación del texto podrá variar durante la transmisión del programa en el cual se haya incluido, a criterio del operador, concesionario o quien cuente con habilitación general encargado de su transmisión.
DE LA PARTICIPACIÓN CIUDADANA.
PARTICIPACIÓN DE LOS TELEVIDENTES EN LA GENERACIÓN Y EMISIÓN DE CONTENIDOS TRANSMITIDOS MEDIANTE EL SERVICIO DE TELEVISIÓN.
ARTÍCULO 15.3.1.1. OBJETO. <Artículo subrogado por el artículo 3 de la Resolución 7348 de 2024. El nuevo texto es el siguiente:> La presente sección tiene por objeto promover y facilitar la participación ciudadana mediante la adopción e implementación de mecanismos efectivos que buscan involucrar, colaborar y empoderar a los televidentes en el proceso de generación y emisión de contenidos transmitidos a través del servicio público de televisión.
Los mecanismos de participación son herramientas, procesos o estructuras diseñadas para involucrar activamente a la audiencia y a la ciudadanía en general en el desarrollo y la difusión de contenidos televisivos. Estos mecanismos buscan asegurar que el público tenga la oportunidad de influir, opinar y participar de manera significativa en las decisiones relacionadas con la programación y los contenidos transmitidos mediante el servicio público de televisión.
La implementación de estos mecanismos por parte de los operadores de televisión no los exime del cumplimiento de las condiciones y las responsabilidades legales asociadas con los contenidos que emiten, ni afecta su libertad para diseñar, modificar o implementar su programación televisiva.
ARTÍCULO 15.3.1.2. DEFINICIÓN DE LA ESCALA DEL ESPECTRO DE LOS MECANISMOS DE PARTICIPACIÓN. <Artículo subrogado por el artículo 3 de la Resolución 7348 de 2024. El nuevo texto es el siguiente:> Los operadores del servicio público de televisión que deben implementar los mecanismos de participación de qué trata el artículo 15.3.1.3 de la presente resolución, podrán elegir los mecanismos a implementar a partir de la siguiente escala del espectro:
| Nivel de Escala | Nombre del nivel | Definición del nivel | Código | Mecanismo de Participación |
| 5 | Empoderar | El operador entrega el poder de toma de decisiones a los televidentes/usuarios e implementan lo que los ciudadanos deciden. | 1 | Procesos de co-creación de contenidos con la ciudadanía/ Diseño de contenidos con la intervención de grupos poblacionales específicos. |
| 2 | Creación de equipos editoriales conformados por las audiencias objetivo para la definición de temas, estrategias, proyectos y tipos de contenidos del canal. | |||
| Nivel de Escala | Nombre del nivel | Definición del nivel | Código | Mecanismo de Participación |
| 4 | Colaborar | El operador se asocia con los ciudadanos en la toma de decisiones en una o todas las etapas del proceso de diseño, producción y difusión de contenidos y en la identificación de las propuestas preferidas. Así, el operador cuenta con los ciudadanos para el asesoramiento e innovación en la formulación de soluciones y se compromete a incorporar consejos y recomendaciones en las decisiones, en la medida de lo posible. Hay dialogo constante y el público contribuye a definir los contenidos. | 3 | Emisión de contenidos producidos por la ciudadanía. |
| 4 | Fomento a la producción de contenidos digitales por parte de la ciudadanía relacionados con contenidos emitidos en el canal. | |||
| 5 | Participación de la ciudadanía (no actores o periodistas) en la producción y/o grabación de los contenidos. | |||
| 3 | Involucrar | El operador trabaja directamente con los televidentes/ usuarios para que en una o todas las etapas del proceso de diseño, producción y difusión de contenidos, se garantice que sus opiniones o recomendaciones son tenidas en cuenta en los contenidos. | 6 | Estrategias de participación ciudadana a través de redes sociales o proyectos multimedia. |
| 7 | Creación de espacios virtuales para que la ciudadanía se exprese sobre los contenidos que emite el canal. | |||
| 8 | Actividades presenciales o vivenciales con la ciudadanía relacionadas con los contenidos que produce el canal. | |||
| 9 | Interacción con las audiencias en vivo/ tiempo real (línea telefónica, WhatsApp, página web). | |||
ARTÍCULO 15.3.1.3. IMPLEMENTACIÓN DE LOS MECANISMOS DE PARTICIPACIÓN. <Artículo subrogado por el artículo 3 de la Resolución 7348 de 2024. El nuevo texto es el siguiente:> Los operadores del servicio público de televisión deberán implementar mecanismos de participación de los televidentes en la generación y emisión de los contenidos transmitidos de producción propia o tercerizada, que sean efectivos en función tanto de los niveles definidos en la escala del espectro establecida en el artículo 15.3.1.2 de la presente resolución, como de la cobertura del servicio que prestan y la naturaleza jurídica del operador, de manera diferencial, y teniendo en cuenta al menos las cantidades que se definen por grupo en la siguiente tabla:
| Grupo | Tipos de operadores | Cantidad de mecanismos de participación |
| Grupo 1 | TV Privada – Nacional Concesión Espacios de TV Abierta Nacional TV Pública – Nacional TV por suscripción | 3 mecanismos |
| Grupo 2 | TV Pública – Regional Locales con ánimo de lucro. TV por suscripción con más de 12 horas de producción propia en primera emisión. | 2 mecanismos |
| Grupo 3 | Locales sin ánimos de lucro. TV por suscripción con menos de 12 horas diarias de producción propia en primera emisión. | 1 mecanismo |
PARÁGRAFO. Los operadores de televisión podrán implementar mecanismos de participación de los televidentes en la generación y emisión de los contenidos transmitidos a través del servicio público de televisión que sean diferentes a los establecidos en la escala del espectro de los mecanismos que se define en el artículo 15.3.1.2 de la presente resolución, siempre y cuando el mecanismo que se adopte pertenezca a alguno de los siguientes niveles de la escala: involucrar, colaborar y empoderar.
ARTÍCULO 15.3.1.4. OBLIGACIÓN DE REPORTE DE INFORMACIÓN DE LOS MECANISMOS DE PARTICIPACIÓN QUE IMPLEMENTEN LOS OPERADORES DE TELEVISIÓN. <Artículo derogado por el artículo 9 de la Resolución 7810 de 2025>
TELEVISIÓN DIGITAL TERRESTRE.
ARTÍCULO 15.3.2.1. PLAN DE DIVULGACIÓN Y SOCIALIZACIÓN DE LA TDT. <Artículo derogado por el artículo 13 de la Resolución 7348 de 2024>
REGLAS PARA EVITAR LAS PRÁCTICAS MONOPOLÍSTICAS.
DE LA TRANSMISIÓN DE EVENTOS DE INTERÉS GENERAL.
ARTÍCULO 15.4.1.1. FINALIDAD. <Artículo adicionado por el artículo 2 de la Resolución 6261 de 2021. El nuevo texto es el siguiente:> La presente sección tiene por objeto asegurar la debida difusión de los eventos de interés para la comunidad, con el fin de que a ellos tengan acceso la mayor parte de los habitantes del territorio nacional; evitar las prácticas monopolísticas o de exclusividad con los derechos de transmisión de dichos eventos; y garantizar a todos los operadores privados o públicos en el nivel de cubrimiento nacional, regional y local, y a los concesionarios de espacios de televisión o quienes cuenten con habilitación general para tal efecto, la participación en la transmisión de este tipo de eventos.
(Acuerdo CNTV 3 de 2002, artículo 1)
ARTÍCULO 15.4.1.2. TRANSMISIÓN DE EVENTOS DE INTERÉS PARA LA COMUNIDAD. <Artículo adicionado por el artículo 2 de la Resolución 6261 de 2021. El nuevo texto es el siguiente:> De conformidad con lo previsto en la presente sección, la CRC podrá declarar un evento como de interés para la comunidad a nivel nacional, regional o local, de oficio o a solicitud efectuada por alguna persona natural o jurídica, pública o privada.
(Acuerdo CNTV 3 de 2002, artículo 3)
ARTÍCULO 15.4.1.3. EFECTOS DE LA DECLARATORIA DE UN EVENTO COMO DE INTERÉS PARA LA COMUNIDAD. <Artículo adicionado por el artículo 2 de la Resolución 6261 de 2021. El nuevo texto es el siguiente:> La declaratoria de un evento como de interés para la comunidad por parte de la CRC, implicará la posibilidad de que los operadores, concesionarios y quienes cuenten con habilitación general de que trata la presente sección puedan acceder en igualdad de condiciones a la negociación de dichos derechos.
Cuando los derechos de transmisión de un evento sean adquiridos de manera exclusiva por un solo operador, concesionario o quien cuente con habilitación general, tal exclusividad no es aplicable cuando se trate de informar sobre sucesos de actualidad, a condición de que se haga uso solamente de breves fragmentos.
(Acuerdo CNTV 3 de 2002, artículo 4)
ARTÍCULO 15.4.1.4. CRITERIOS PARA LA DECLARATORIA DE UN EVENTO COMO DE INTERÉS PARA LA COMUNIDAD. <Artículo adicionado por el artículo 2 de la Resolución 6261 de 2021. El nuevo texto es el siguiente:> Para la declaratoria de un evento como de interés para la comunidad, la CRC tendrá en cuenta entre, otros, los siguientes criterios:
1. Que el evento sea un acto festivo y representativo que involucre ritos y/o prácticas sociales;
2. Que el evento pueda ser considerado como parte del patrimonio cultural intangible de la Nación;
3. La permanencia, tradición y vigencia del evento;
4. La importancia de transmisión de los conocimientos y destrezas que hacen parte del evento;
5. La importancia internacional y expectativa nacional del evento;
6. El ámbito geográfico del evento;
7. La participación de nacionales colombianos en el evento;
8. El arraigo y popularidad del respectivo evento en Colombia,
9. Que contribuya a la formación y fortalecimiento de la democracia. (Acuerdo CNTV 3 de 2002, artículo 5)
PROHIBICIONES.
TELEVISIÓN LOCAL SIN ÁNIMO DE LUCRO.
ARTÍCULO 15.5.1.1. PROHIBICIONES. <Artículo modificado por el artículo 4 de la Resolución 7348 de 2024. El nuevo texto es el siguiente:> Las siguientes conductas están prohibidas para los licenciatarios de televisión local sin ánimo de lucro o quienes cuenten con habilitación general para tal efecto:
1. Transmitir mensajes cívicos en condiciones diferentes a las establecidas en la regulación aplicable o en la reglamentación vigente.
2. Hacer proselitismo político o religioso en la programación o en los reconocimientos y comerciales emitidos.
3. Hacer publicidad de cultos religiosos, partidos políticos o ideologías de cualquier índole, o realizarla en condiciones diferentes a las definidas por la ley y la regulación vigente.
4. Difundir opiniones presentándolas como información.
5. Denigrar de una religión, clase social, raza, cultura, sexo o condición sexual, de personas con defectos físicos o de partidos o movimientos políticos.
6. Difundir informaciones, parcializadas, inexactas, falsas, injuriosas o lesivas de la honra o del buen nombre de personas naturales o jurídicas, públicas o privadas.
7. Negarse a otorgar el derecho de rectificación cuando hubiere lugar.
8. Violar las disposiciones que protegen los derechos de los niños, niñas y adolescentes consagrados en la Constitución, los tratados internacionales ratificados por el Estado Colombiano, la ley y los reglamentos.
9. Emitir publicidad política y propaganda electoral gratuita o contratada en condiciones diferentes a las señaladas en las leyes y reglamentación vigentes.
TELEVISIÓN COMUNITARIA.
ARTÍCULO 15.5.2.1. PROHIBICIONES PARA LAS COMUNIDADES ORGANIZADAS. <Artículo modificado por el artículo 6 de la Resolución 7348 de 2024. El nuevo texto es el siguiente:> Las comunidades organizadas que prestan el servicio de Televisión Comunitaria no podrán realizar las siguientes actividades en el marco de su licencia o habilitación y sin perjuicio de las facultades transferidas a otras entidades por parte de la ley:
1. Transmitir mensajes con fines de proselitismo político o de carácter religioso.
OBLIGACIONES DE REPORTE DE INFORMACIÓN PERIÓDICA Y ALMACENAMIENTO EN MATERIA DE CONTENIDOS.
OBLIGACIONES DE REPORTE DE INFORMACIÓN PERIÓDICA Y ALMACENAMIENTO.
ARTÍCULO 15.6.1.1. PETICIONES, QUEJAS, RECLAMOS O SOLICITUDES. <Artículo derogado por el artículo 9 de la Resolución 7810 de 2025>
ARTÍCULO 15.6.1.2. REPORTES. <Artículo adicionado por el artículo 2 de la Resolución 6261 de 2021. El nuevo texto es el siguiente:> Los concesionarios de televisión abierta o quienes cuenten con habilitación general para tal efecto deberán remitir a la CRC los reportes que se soliciten para efectos de verificar el cumplimiento de las condiciones y obligaciones que les corresponde, en los formatos que la entidad suministre para el efecto.
Los trimestres que deben reportarse se contabilizarán de la siguiente manera:
- Primer trimestre: 1o de enero a marzo 31.
- Segundo trimestre: 1o de abril a junio 30.
- Tercer trimestre: 1o de julio a septiembre 30.
- Cuarto trimestre: 1o de octubre a diciembre 31.
(Acuerdo CNTV 2 de 2011, artículo 47, modificado por el artículo 9 del Acuerdo 3 de 2011)
ARTÍCULO 15.6.1.3. REPORTE DE INFORMACIÓN DE MECANISMOS DE ACCESO. ACCESO. <Artículo derogado por el artículo 9 de la Resolución 7810 de 2025>
VIGILANCIA Y CONTROL.
TELEVISIÓN ABIERTA.
ARTÍCULO 15.7.1.1. CONTROL POSTERIOR. <Artículo adicionado por el artículo 2 de la Resolución 6261 de 2021. El nuevo texto es el siguiente:> La CRC ejercerá el control posterior sobre el contenido de la programación y los anuncios comerciales. La transgresión de las disposiciones establecidas en la ley y en la presente resolución, dará lugar a las sanciones correspondientes.
(Acuerdo CNTV 24 de 1997, artículo 18)
ARTÍCULO 15.7.1.2. ARCHIVOS FÍLMICOS EN ESTACIONES LOCALES. <Artículo derogado por el artículo 10 de la Resolución 6607 de 2022>
ARTÍCULO 15.7.1.3. ARCHIVOS AUDIOVISUALES EN TELEVISIÓN ABIERTA. <Artículo subrogado por el artículo 3 de la Resolución 6607 de 2022. El nuevo texto es el siguiente:> Para efectos del control posterior que corresponde a las autoridades competentes, los concesionarios de televisión abierta o quienes cuenten con habilitación general deberán mantener, por el término de seis (6) meses, la grabación de la totalidad del material audiovisual emitido, la cual podrá ser consultada y/o solicitada en cualquier momento por dichas autoridades.
ARTÍCULO 15.7.1.4. ARCHIVOS FÍLMICOS EN TV SIN ÁNIMO DE LUCRO. <Artículo derogado por el artículo 10 de la Resolución 6607 de 2022>
TELEVISIÓN CERRADA. <sic, Capítulo 15.8>
ARTÍCULO 15.8.1.1. ARCHIVOS AUDIOVISUALES EN TV POR SUSCRIPCIÓN. <Artículo subrogado por el artículo 5 de la Resolución 6607 de 2022. El nuevo texto es el siguiente:> Los operadores de televisión por suscripción con canal de producción propia deberán mantener, por el término de seis (6) meses, la grabación de la totalidad del material audiovisual emitido, la cual podrá ser consultada y/o solicitada en cualquier momento por dichas autoridades.
ARTÍCULO 15.8.1.2. ARCHIVOS AUDIOVISUALES EN TELEVISIÓN COMUNITARIA. <Artículo subrogado por el artículo 6 de la Resolución 6607 de 2022. El nuevo texto es el siguiente:> Para efectos del control a cargo de las autoridades correspondientes, las Comunidades Organizadas licenciatarias del servicio de Televisión Comunitaria deberán mantener por seis (6) meses la grabación de la totalidad del material audiovisual emitido en el canal comunitario, la cual podrá ser consultada o solicitada por parte de dichas autoridades en cualquier momento.
SERVICIO PÚBLICO DE TELEVISIÓN.
MODALIDADES DEL SERVICIO PÚBLICO DE TELEVISIÓN.
SERVICIO DE TELEVISIÓN ABIERTA.
ARTÍCULO 16.1.1.1 OBJETO Y ÁMBITO DE APLICACIÓN. <Artículo adicionado por el artículo 3 de la Resolución 6383 de 2021. El nuevo texto es el siguiente:> Las disposiciones contenidas en la presente resolución relacionadas con la radiodifusión de contenidos a través del servicio público de televisión abierta, reglamentan todas las modalidades y niveles de cubrimiento, salvo en lo relacionado con el canal Señal Colombia Institucional, al cual solo le aplicarán las disposiciones particulares contenidas en la presente resolución.
<Acuerdo CNTV 2 de 2011; Art. 1>
ARTÍCULO 16.1.1.2 SINCRONIZACIÓN DE RELOJES. <Artículo adicionado por el artículo 3 de la Resolución 6383 de 2021. El nuevo texto es el siguiente:> Los relojes de los operadores deberán estar sincronizados con la hora legal colombiana, certificada por la autoridad competente.
<Acuerdo CNTV 2 de 2011; Art. 43>
ARTÍCULO 16.1.1.3 CÓDIGO DE AUTORREGULACIÓN. <Artículo NULO>
SERVICIO DE TELEVISIÓN DIGITAL TERRESTRE.
ARTÍCULO 16.1.2.1 TELEVISIÓN ABIERTA RADIODIFUNDIDA DIGITAL TERRESTRE. <Artículo adicionado por el artículo 3 de la Resolución 6383 de 2021. El nuevo texto es el siguiente:> Con el fin de mantener el sector actualizado con el desarrollo de los servicios y avances tecnológicos, se establece la clase del servicio de televisión denominada Televisión Abierta Radiodifundida Digital, la cual llega al usuario desde la estación transmisora por medio del espectro electromagnético propagándose sin guía artificial, en donde el canal radioeléctrico se podrá multiplexar de manera que el operador puede emitir diferente programación para diferentes usuarios en el territorio nacional, en desarrollo de los beneficios que ofrece la tecnología digital.
<Acuerdo CNTV 2 de 2012; Art. 3>
ARTÍCULO 16.1.2.2 REGLAMENTACIÓN. <Artículo adicionado por el artículo 3 de la Resolución 6383 de 2021. El nuevo texto es el siguiente:> La Comisión de Regulación de Comunicaciones reglamentará todos los aspectos relacionados con la implementación del estándar digital terrestre actualizado a DVB-T2 en Colombia.
<Acuerdo CNTV 4 de 2011; Art. 2>
ARTÍCULO 16.1.2.3 GRATUIDAD EN EL SERVICIO. <Artículo adicionado por el artículo 3 de la Resolución 6383 de 2021. El nuevo texto es el siguiente:> La Televisión Digital Terrestre será gratuita y los operadores de televisión abierta deberán brindar sin costo y de manera simultánea la oferta de contenidos que se emitan bajo el sistema analógico.
<Acuerdo CNTV 8 de 2010; Art. 2>
ARTÍCULO 16.1.2.4 PORCENTAJE DE GRATUIDAD. <Artículo adicionado por el artículo 3 de la Resolución 6383 de 2021. El nuevo texto es el siguiente:> Por lo menos el 50% de la totalidad de la oferta televisiva anual radiodifundida en los subcanales digitales deberá ser libre y gratuita. En la porción del múltiplex digital correspondiente al canal principal, el 100% de la programación ofrecida deberá ser libre y gratuita. Se exceptúa la televisión local sin ánimo de lucro.
<Acuerdo CNTV 2 de 2012; Art. 15>
ARTÍCULO 16.1.2.5 CARACTERÍSTICAS TÉCNICAS DE LAS SEÑALES DIGITALES. <Artículo adicionado por el artículo 3 de la Resolución 6383 de 2021. El nuevo texto es el siguiente:> Las características técnicas de las señales digitales de televisión a radiodifundir, entre otras, se encuentran establecidas en el Título V de la presente resolución.
<Acuerdo CNTV 2 de 2012; Art. 7>
SERVICIO DE TELEVISIÓN REGIONAL.
ARTÍCULO 16.1.3.1 OBJETO Y FUNCIONES. <Artículo subrogado por el artículo 6 de la Resolución 7423 de 2024. El nuevo texto es el siguiente:> Los canales regionales tendrán a su cargo la prestación directa del servicio público de televisión en las diferentes regiones, en consecuencia, serán programadores, administradores y operadores del canal, en la frecuencia o frecuencias asignadas.
Para desarrollo de su objeto cumplirán las siguientes funciones:
a) Emitir la señal de televisión originada por la misma organización regional sobre el área de cubrimiento otorgada por el Ministerio de Tecnologías de la Información y las Comunicaciones, o la entidad competente en la frecuencia o frecuencias asignadas;
b) Realizar programas de televisión, de carácter educativo, recreativo y cultural buscando satisfacer los hábitos y gustos de la teleaudiencia, con énfasis en una programación con temas y contenidos de origen regional, orientada al desarrollo social y cultural de la respectiva comunidad;
c) Comercializar el servicio de televisión, de conformidad con lo dispuesto en la presente resolución;
d) Celebrar licitaciones públicas para la adjudicación de los programas informativos, noticieros y de opinión, su adjudicación se llevará a cabo siempre en audiencia pública;
e) Emitir en forma encadenada con las demás organizaciones o canales regionales de televisión, dentro de los lineamientos de la Ley 182 de 1995 (o aquella norma que la modifique, adicione o sustituya) y la reglamentación que al respecto expida la Comisión de Regulación de Comunicaciones;
f) Dictarse sus propios reglamentos de funcionamiento, dentro de los lineamientos de la Ley 14 de 1991 y la Ley 182 de 1995 o aquellas normas que las modifiquen, adicionen o sustituyan y las demás disposiciones que expida la Comisión de Regulación de Comunicaciones;
g) Cumplir con los porcentajes mínimos de programación de producción nacional señalados en la Ley 182 de 1995 (o aquella norma que la modifique, adicione o sustituya);
h) Las demás que se señalen en los Estatutos y la Ley;
i) Reservar espacios de su programación para cumplir con los requerimientos de origen legal, tal como los consagrados en el artículo 31 de la Ley 182 de 1995, en el inciso 3o del artículo 88 de la Ley 5ª de 1992, y el parágrafo 2o del artículo 20 de la Ley 335 de 1996, o aquellas normas que las modifiquen, adicionen o sustituyan; y según la reglamentación que para el efecto expida la Comisión de Regulación de Comunicaciones".
PARÁGRAFO. En lo que respecta a los subcanales digitales, las condiciones de programación se sujetarán a lo dispuesto en el artículo 16.4.2.3 de la presente resolución.
SERVICIO DE TELEVISIÓN LOCAL CON ÁNIMO DE LUCRO.
ARTÍCULO 16.1.4.1 DERECHOS DE AUTOR. <Artículo adicionado por el artículo 3 de la Resolución 6383 de 2021. El nuevo texto es el siguiente:> Para la prestación del servicio de televisión en el nivel local, los operadores que reciban y distribuyan señales codificadas, deberán acreditar ante el Ministerio de Tecnologías de la Información y las Comunicaciones la autorización por parte de los titulares de los derechos de autor y derechos conexos para el uso de la programación que emitan.
<Acuerdo CNTV 24 de 1997; Art. 11>
ARTÍCULO 16.1.4.2 OPERACIÓN DE LA ESTACIÓN LOCAL. <Artículo adicionado por el artículo 3 de la Resolución 6383 de 2021. El nuevo texto es el siguiente:> Las estaciones que cubran el nivel local de televisión serán operadas directamente por el operador.
<Acuerdo CNTV 24 de 1997; Art. 12>
ARTÍCULO 16.1.4.3 PRODUCCIÓN DE LA PROGRAMACIÓN. <Artículo adicionado por el artículo 3 de la Resolución 6383 de 2021. El nuevo texto es el siguiente:> Los operadores del servicio público de televisión en el nivel local, podrán producir directamente o contratar con terceros la realización de su programación.
<Acuerdo CNTV 24 de 1997; Art. 19>
SERVICIO DE TELEVISIÓN LOCAL SIN ÁNIMO DE LUCRO.
ARTÍCULO 16.1.5.1 ÁMBITO DE APLICACIÓN. <Artículo adicionado por el artículo 3 de la Resolución 6383 de 2021. El nuevo texto es el siguiente:> Las disposiciones contenidas en el presente Título, relacionadas con el servicio de televisión local sin ánimo de lucro se aplican a:
a) Los licenciatarios para la prestación del servicio de televisión local sin ánimo de lucro con licencias expedidas bajo la vigencia de los Acuerdos 24 de 1997 y 35 de 1998.
b) Las entidades sin ánimo de lucro definidas en el numeral 4 del artículo 37 de la Ley 182 de 1995 que quieran acceder a la prestación del servicio de televisión local sin ánimo de lucro.
c) Las asociaciones que a la fecha de expedición del Acuerdo CNTV 3 de 2012 se encontraran tramitando licencias para prestar el servicio de televisión local sin ánimo de lucro.
d) Los licenciatarios para la prestación del servicio de televisión con licencias expedidas bajo la vigencia del Acuerdo CNTV 3 de 2012.
e) Los operadores habilitados para la prestación del servicio de televisión.
<Acuerdo CNTV 3 de 2012; Art. 1>
ARTÍCULO 16.1.5.2 PRESTACIÓN DEL SERVICIO DE TELEVISIÓN LOCAL SIN ÁNIMO DE LUCRO. <Artículo adicionado por el artículo 3 de la Resolución 6383 de 2021. El nuevo texto es el siguiente:> El servicio de televisión local sin ánimo de lucro se prestará mediante radiodifusión terrestre y abierta y sus señales deberán ser recibidas libremente por cualquier persona ubicada en el área de servicio de la estación, dentro de un área geográfica continua, siempre y cuando esta no supere el ámbito del mismo municipio o distrito, área metropolitana, o asociación de municipios, de conformidad con las políticas de uso del espectro que definan la Agencia Nacional del Espectro y el Ministerio de Tecnologías de la Información y las Comunicaciones en el ámbito de sus facultades.
PARÁGRAFO 1o. Para efectos del presente capítulo se entiende por ánimo de lucro todo acto o conducta encaminada a alcanzar rendimientos o beneficios económicos con el propósito de distribuirlos entre los asociados.
PARÁGRAFO 2o. La prestación de este servicio en cuanto al área geográfica debe preservar el nivel de cubrimiento local.
<Acuerdo CNTV 3 de 2012; Art. 3>
ARTÍCULO 16.1.5.3 SOSTENIMIENTO. <Artículo adicionado por el artículo 3 de la Resolución 6383 de 2021. El nuevo texto es el siguiente:> El servicio de televisión local sin ánimo de lucro debe ser prestado y auto financiado por el operador quien podrá recibir contribuciones de terceras personas, naturales o jurídicas, bajo las siguientes figuras definidas así:
a) Aportes: Se entiende como la contribución de cualquier bien o servicio en favor del operador habilitado para la prestación del servicio de televisión local sin ánimo de lucro, destinado a apoyar su actividad de manera general y sin referencia a un programa específico.
b) Auspicio: Se entiende como la contribución que se efectúa para que se produzca un programa específico o para que se adquieran los derechos de transmisión.
c) Colaboración: Se entiende por colaboración el suministro de uno o varios programas determinados y de sus derechos de emisión para ser transmitidos por la estación local.
d) Patrocinio: Se entiende por patrocinio la contribución que se efectúe para la emisión de uno o varios programas o secciones de este o estos, que hayan sido producidos o cuyos derechos de emisión ya hayan sido adquiridos.
PARÁGRAFO. Cuando se trate de transmisiones en directo de eventos culturales y recreativos especiales, se podrán transmitir mensajes comerciales aplicando las normas previstas para la comercialización de la televisión abierta nacional.
<Acuerdo CNTV 3 de 2012; Art. 5>
ARTÍCULO 16.1.5.4 REINVERSIÓN. <Artículo adicionado por el artículo 3 de la Resolución 6383 de 2021. El nuevo texto es el siguiente:> Los operadores del servicio de televisión local sin ánimo de lucro deberán reinvertir, en todos los casos, los recursos que obtengan en el adecuado funcionamiento, mejoramiento de equipos, la renovación tecnológica y el fortalecimiento de programación que se emita a través del canal y en general, en inversiones que garanticen la adecuada continuidad en la prestación del servicio y en el desarrollo de los fines y principios del servicio.
<Acuerdo CNTV 3 de 2012; Art. 8>
ARTÍCULO 16.1.5.5 OBLIGACIONES. <Artículo adicionado por el artículo 3 de la Resolución 6383 de 2021. El nuevo texto es el siguiente:> El operador de televisión local sin ánimo de lucro debe cumplir, entre otras, las siguientes obligaciones:
1. Garantizar la administración, operación y mantenimiento permanente y eficiente del servicio.
2. Usar la frecuencia asignada para la radiodifusión de televisión.
3. Llevar una contabilidad de conformidad con las normas legales vigentes, la cual deberá mantenerse actualizada y a disposición del Ministerio de Tecnologías de la Información y las Comunicaciones o quien haga sus veces, que podrá revisarla en cualquier momento.
4. Mantener actualizado el libro de actas, de conformidad con las normas legales vigentes.
5. Destinar los patrocinios, aportes, colaboraciones y auspicios recibidos exclusivamente para los fines dispuestos en sus definiciones.
6. Reinvertir los recursos económicos en el mejoramiento del servicio y en el fortalecimiento de la programación.
7. Dar cumplimiento a las normas que establecen las inhabilidades e incompatibilidades para este nivel del servicio.
8. Actualizar, dentro de los cuatro (4) primeros meses de cada año, y cada vez que sufra modificación alguna, la información sobre su representación legal, las modificaciones en el número de asociados, cambios de junta directiva, dirección de notificación, dirección de la sede administrativa, ubicación del centro de emisión, teléfonos, correos electrónicos y en general la información relevante de representación e identificación de la sociedad sin ánimo de lucro.
9. Indicar de manera destacada, en la documentación que utilicen y en la emisión de sus programas, lo mismo que en su sede administrativa, que el servicio que prestan y la actividad que desarrollan es sin ánimo de lucro.
10. Dar cumplimiento a las normas vigentes que regulan la radiodifusión de contenidos.
11. Atender las quejas y reclamos de los televidentes por la prestación del servicio o por la programación emitida dando cumplimiento a la normatividad que regula los derechos de petición.
12. Garantizar el derecho de rectificación y dar cumplimiento a las normas que rigen la materia.
13. Mantener a disposición del Ministerio de Tecnologías de la Información y las Comunicaciones o quien haga sus veces, la documentación que acredite el cumplimiento de las disposiciones que regulan y protegen los derechos de autor y conexos.
14. Mantener al día y clasificados los archivos fílmicos de la programación, anuncios comerciales, reconocimientos y mensajes cívicos emitidos conforme a la reglamentación vigente por un período mínimo de seis (6) meses.
15. Constituir y mantener vigentes las pólizas de cumplimiento y responsabilidad civil extracontractual en los términos fijados en el presente Título y de conformidad con la normatividad vigente.
16. Renovar las pólizas de cumplimiento y responsabilidad civil extracontractual, dentro de los tres (3) meses anteriores al vencimiento de las mismas.
17. Ceñirse a las condiciones técnicas que defina la Comisión de Regulación de Comunicaciones o la autoridad competente para esta modalidad del servicio.
18. Atender los requerimientos del Ministerio de Tecnologías de la Información y las Comunicaciones o la autoridad competente para el ejercicio de sus funciones de inspección, vigilancia y control.
19. Emitir diariamente la versión oficial del Himno Nacional de la República de Colombia, de conformidad con lo previsto en el presente título.
20. Cumplir los porcentajes de producción nacional establecidos en la Ley y normas reglamentarias.
21. Cumplir los porcentajes de emisión de programación de producción propia de acuerdo con lo previsto en la Ley 182 de 1995, en la presente resolución o en las normas que las modifiquen.
22. Cumplir las obligaciones de radiodifusión de contenidos previstas en la normatividad vigente.
23. Transmitir las alocuciones presidenciales cuando la Comisión de Regulación de Comunicaciones o la autoridad competente así lo indique.
24. Emitir los programas de interés para la comunidad cuando la Comisión de Regulación de Comunicaciones o la autoridad competente lo disponga.
25. Emitir publicidad política y propaganda electoral gratuita o contratada, con sujeción a las disposiciones legales y reglamentarias que rigen la materia.
26. Emitir la programación dando cumplimiento a los fines y principios establecidos en el artículo 2 de la Ley 182 de 1995, o aquella norma que la modifique, adicione o sustituya.
27. Cumplir la Constitución, las leyes y los reglamentos relacionados con la prestación del servicio público de televisión.
<Acuerdo CNTV 3 de 2012; Art. 31>
ARTÍCULO 16.1.5.6 ANEXO TÉCNICO. <Artículo adicionado por el artículo 3 de la Resolución 6383 de 2021. El nuevo texto es el siguiente:> El operador debe presentar el estudio técnico para la instalación de la nueva estación o modificación de una estación en operación, de acuerdo con lo establecido en el Plan Nacional de Utilización de las Frecuencias o en la normatividad que lo modifique, adicione o sustituya.
Para la implementación de estaciones para prestar el servicio de televisión abierta radiodifundida digital, es necesario tener en cuenta la normatividad respectiva.
<Acuerdo CNTV 3 de 2012; Art. Capítulo VI>
ARTÍCULO 16.1.5.7. PROHIBICIONES. <Artículo adicionado por el artículo 5 de la Resolución 7348 de 2024. El nuevo texto es el siguiente:> Las siguientes conductas están prohibidas para los licenciatarios de televisión local sin ánimo de lucro o quienes cuenten con habilitación general para tal efecto:
1. Suspender injustificadamente el servicio sin haber renunciado a la licencia o la habilitación correspondiente.
2. Enajenar o ceder los derechos derivados de la licencia o autorización para el efecto.
3. Encadenarse o enlazar su señal con la emisión de señales internacionales para transmisión simultánea de programación.
4. Demandar de la teleaudiencia, donaciones, diezmos, pactos, ofrendas o cualquier tipo de bien o servicio mediante la emisión de mensajes de audio o caracteres o utilizando para ello el contenido de la programación emitida.
5. Arrendar, vender o ceder a terceros bajo cualquier título espacios o franjas horarias para la emisión de programación.
6. Enajenar la operación objeto de la licencia otorgada a la sociedad sin ánimo de lucro, para la prestación del servicio de televisión local, o la autorización para el efecto.
7. Modificar parámetros de la estación sin autorización de la autoridad correspondiente.
8. Transmitir anuncios comerciales en condiciones diferentes a las previstas en el presente acuerdo.
9. Ser titulares o productores, directamente o por interpuesta persona o en asociación con otras empresas, de más de una concesión del servicio de televisión en los niveles local, nacional y regional. Esta limitación se extiende a los cónyuges, compañera o compañero permanente y a los parientes de estos en el cuarto grado de consanguinidad, segundo de afinidad y primero civil.
10. Exceder el tiempo establecido en la regulación vigente, para la transmisión de anuncios comerciales, y reconocimientos".
SERVICIO DE TELEVISIÓN POR SUSCRIPCIÓN.
ARTÍCULO 16.1.6.1 ÁMBITO DE APLICACIÓN. <Artículo adicionado por el artículo 3 de la Resolución 6383 de 2021. El nuevo texto es el siguiente:> Las disposiciones contenidas en la presente resolución asociadas a la operación y explotación del servicio de televisión por suscripción, aplican a todos los operadores de este servicio, independientemente de la tecnología empleada.
<Resolución ANTV 26 de 2018; Art. 1>
ARTÍCULO 16.1.6.2 OBLIGACIÓN DE GARANTÍA DEL SERVICIO DE TELEVISIÓN POR SUSCRIPCIÓN EN MUNICIPIOS ATENDIDOS. <Artículo adicionado por el artículo 3 de la Resolución 6383 de 2021. El nuevo texto es el siguiente:> En todos los casos en que haya cese de operaciones en un municipio, el operador deberá avisar a sus usuarios sobre la imposibilidad de continuar prestando el servicio, con una anticipación mínima de un (1) mes al cese de operación, sin perjuicio del cumplimiento de las normas vigentes en materia de protección de los derechos de los usuarios.
<Resolución ANTV 26 de 2018; Art. 17>
ARTÍCULO 16.1.6.3 PROTECCIÓN A LOS DERECHOS DE AUTOR Y CONEXOS. <Artículo adicionado por el artículo 3 de la Resolución 6383 de 2021. El nuevo texto es el siguiente:> Los operadores del servicio de televisión por suscripción, deberán mantener a disposición del Ministerio de Tecnologías de la Información y las Comunicaciones o quien haga sus veces, la documentación que acredite el cumplimiento de las disposiciones que regulan y protegen los derechos de autor y conexos.
<Resolución ANTV 26 de 2018; Art. 22>
ARTÍCULO 16.1.6.4 FUNCIÓN SOCIAL. <Artículo adicionado por el artículo 3 de la Resolución 6383 de 2021. El nuevo texto es el siguiente:> Los operadores prestarán el servicio en forma gratuita a las entidades sin ánimo de lucro beneficiarias de la función social a la entrada en vigor de la Resolución ANTV 26 de 2018.
Los beneficiarios actuales que por causas ajenas al operador dejen de recibir el servicio, no deberán ser reemplazados por nuevos beneficiarios.
<Resolución ANTV 26 de 2018; Art. 23>
ARTÍCULO 16.1.6.5 PROHIBICIÓN DE CESIÓN DE LA OPERACIÓN Y EXPLOTACIÓN DEL SERVICIO. <Artículo adicionado por el artículo 3 de la Resolución 6383 de 2021. El nuevo texto es el siguiente:> Los operadores del servicio de televisión por suscripción podrán celebrar contratos de agencia comercial bajo las normas del Capítulo V del Código de Comercio o de comercialización con terceros, siempre que tales contratos se circunscriban a su objeto y se enmarquen dentro de la naturaleza propia de dicho tercero y no impliquen la cesión al comercializador de la operación y explotación del servicio.
Los operadores deberán mantener actualizada y publicada, en su página web, el listado de las agencias con las que ha celebrado contratos de agencia comercial o de comercialización con terceros, indicando el lugar y la zona para la cual se ha celebrado el contrato respectivo.
En cualquier caso, el operador del servicio será responsable por la comercialización del mismo en los términos autorizados.
<Resolución ANTV 26 de 2018; Art. 24>
ARTÍCULO 16.1.6.6. SERVICIO DE TELEVISIÓN POR SUSCRIPCIÓN CON TECNOLOGÍA SATELITAL. <Artículo adicionado por el artículo 3 de la Resolución 6383 de 2021. El nuevo texto es el siguiente:> Las señales de televisión satelital directa al hogar solo podrán ser recibidas para el uso exclusivo y privado del receptor autorizado de dicha señal, quedando expresamente prohibido al usuario del servicio, su distribución a terceros.
La prestación del servicio de televisión satelital causará el pago de las tasas, tarifas y derechos que señale el Ministerio de Tecnologías de la Información y las Comunicaciones para el servicio de televisión por suscripción, así como el cumplimiento de las obligaciones que esta determine.
<Resolución ANTV 26 de 2018; Art. 2>
SERVICIO DE TELEVISIÓN COMUNITARIA.
ARTÍCULO 16.1.7.1 ÁMBITO DE APLICACIÓN. <Artículo adicionado por el artículo 3 de la Resolución 6383 de 2021. El nuevo texto es el siguiente:> Las disposiciones contenidas en la presente sección aplican a las comunidades organizadas prestadoras del servicio de televisión comunitaria.
<Resolución ANTV 650 de 2018; Art. 1>
ARTÍCULO 16.1.7.2 INEXISTENCIA DE ÁNIMO DE LUCRO. <Artículo adicionado por el artículo 3 de la Resolución 6383 de 2021. El nuevo texto es el siguiente:> De acuerdo con la naturaleza de la modalidad del servicio de televisión comunitaria, ninguna persona natural o jurídica directa o indirectamente podrá lucrarse con la prestación del servicio público de televisión llevado a cabo por las comunidades organizadas.
<Resolución ANTV 650 de 2018; Art. 3>
ARTÍCULO 16.1.7.3 PROPIEDAD DE LA INFRAESTRUCTURA. <Artículo adicionado por el artículo 3 de la Resolución 6383 de 2021. El nuevo texto es el siguiente:> La red de distribución podrá ser propiedad de la Comunidad Organizada o podrá ser contratada con proveedores de redes y servicios de telecomunicaciones, debidamente inscritos en el registro TIC.
<Resolución ANTV 650 de 2018; Art. 26>
ARTÍCULO 16.1.7.4 DERECHOS DE LAS COMUNIDADES ORGANIZADAS. <Artículo adicionado por el artículo 3 de la Resolución 6383 de 2021. El nuevo texto es el siguiente:> Las Comunidades Organizadas que presten el servicio de Televisión Comunitaria, en cumplimiento de los requisitos establecidos en la presente resolución tendrán los siguientes derechos:
a) A la prestación del servicio de Televisión Comunitaria cerrada sin ánimo de lucro.
b) A la emisión de hasta siete (7) señales codificadas de televisión y a un número indeterminado de señales incidentales en los términos descritos anteriormente, previa autorización del titular de los derechos de autor y conexos.
c) A la participación en las convocatorias que realice el Ministerio de Tecnologías de la Información y las Comunicaciones con los recursos del Fondo Único de Tecnologías de la Información y las Comunicaciones para el apoyo a los contenidos de televisión de interés público producidos por operadores sin ánimo de lucro.
d) A ser beneficiarios de la destinación final de los equipos decomisados por parte de la Agencia Nacional del Espectro y el Ministerio de Tecnologías de la Información y las Comunicaciones, de acuerdo con sus competencias, en los términos establecidos en la normativa vigente.
<Resolución ANTV 650 de 2018; Art. 27>
Concepto CRC 518858 de 2023
ARTÍCULO 16.1.7.5 OBLIGACIONES GENERALES DE LAS COMUNIDADES ORGANIZADAS. <Artículo adicionado por el artículo 3 de la Resolución 6383 de 2021. El nuevo texto es el siguiente:> Las Comunidades Organizadas prestatarias del servicio de Televisión Comunitaria, además de las obligaciones previstas en esta resolución, deberán cumplir con las siguientes obligaciones:
a) Garantizar la prestación del servicio, de conformidad con las disposiciones legales y regulatorias vigentes, y realizar los pagos a los que haya lugar de acuerdo con la regulación vigente al momento del pago.
b) Llevar la contabilidad de conformidad con las normas legales vigentes, la cual podrá ser revisada por el Ministerio de Tecnologías de la Información y las Comunicaciones en cualquier momento. En caso de prestar servicios diferentes al servicio de Televisión Comunitaria, deberán llevar contabilidad separada.
c) Destinar los aportes recibidos al desarrollo del objeto social de la Comunidad Organizada.
d) Llevar un registro actualizado en medio digital de los asociados donde se consigne, por lo menos, la siguiente información: a) número total de asociados, b) nombres y apellidos completos de cada asociado, c) número de cédula de ciudadanía de cada asociado, d) fecha de ingreso y retiro de cada asociado y, e) dirección de residencia y teléfono de la residencia de cada asociado, respetando la normatividad de protección de datos.
e) Mantener vigente, ante la autoridad competente, la personería jurídica a través de la cual se constituyó la Comunidad Organizada.
f) Remitir, a solicitud de la Comisión de Regulación de Comunicaciones, toda aquella información o material audiovisual del canal de producción propia que se considere pertinente para efectos del control posterior, así como la demás información que dicha entidad considere necesaria para ejercer sus facultades de verificación y de inspección, vigilancia y control.
g) Constituir y renovar las garantías establecidas en la presente resolución, en debida forma y de manera oportuna.
h) Informar al Ministerio de Tecnologías de la Información y las Comunicaciones cuando por razones de fuerza mayor o caso fortuito deba o haya debido suspender la prestación del servicio de televisión comunitaria, indicando las razones de la suspensión del servicio y el plazo de la misma.
La comunidad organizada deberá informar a sus asociados las razones que llevaron a la suspensión del servicio y la fecha estimada en que se reanudará la prestación del mismo.
La omisión por parte de la comunidad organizada de la presentación de estos avisos, en los casos de suspensión del servicio por fuerza mayor o caso fortuito, dará lugar a la imposición de sanciones por parte del Ministerio de Tecnologías de la Información y las Comunicaciones.
i) Cumplir la Constitución, las leyes y demás reglamentos relacionados con la prestación del servicio público de Televisión Comunitaria.
<Resolución ANTV 650 de 2018; Art. 28 Inciso 1 y numerales 1, 2, 3, 6, 7, 9 y 11>
ARTÍCULO 16.1.7.6. PROHIBICIONES PARA LAS COMUNIDADES ORGANIZADAS. <Artículo adicionado por el artículo 7 de la Resolución 7348 de 2024. El nuevo texto es el siguiente:> Las comunidades organizadas que prestan el servicio de Televisión Comunitaria no podrán realizar las siguientes actividades en el marco de su licencia o habilitación y sin perjuicio de las facultades transferidas a otras entidades por parte de la ley:
1. Interrumpir o alterar las señales incidentales o las codificadas con comerciales emitidos desde el territorio nacional o con programación propia.
2. Distribuir sus señales y/o prestar el servicio en un área o ámbito geográfico de cubrimiento diferente al autorizado o conforme lo que se establezca en la habilitación general.
3. Propiciar, permitir o enmascarar bajo la condición de no tener ánimo de lucro actividades que generen distribución o reparto de rendimientos o beneficios económicos, diferentes a una remuneración adecuada y equitativa por servicios prestados a particulares, asociados o directivos de la comunidad.
4. Exigir a los asociados el pago de aportes diferentes a los aprobados en los Estatutos, o que excedan el valor necesario para cubrir los costos de administración, operación, mantenimiento, reposición y mejoramiento del servicio, el pago de los derechos de autor y conexos, los derivados de la recepción y distribución de canales codificados y señales incidentales, en la constitución de garantías; y en el pago por concepto de compensación a favor de la autoridad correspondiente.
5. Ser titular de manera directa o indirecta de más de una licencia para prestar el servicio de Televisión Comunitaria; o que los miembros de la Junta Directiva sean asociados o participen en la composición de la Dirección o en la Junta Directiva de más de una Comunidad Organizada.
6. Exceder el número máximo de siete (7) señales codificadas de televisión autorizadas.
7. Utilizar cualquier mecanismo técnico de decodificación, recepción o distribución que permita recibir o distribuir o retransmitir señales de televisión sin la autorización previa y expresa del titular de los derechos de autor y conexos.
8. Utilizar equipos DTH propios del sistema de televisión satelital para la recepción y transmisión de canales codificados.
9. Suspender injustificadamente la prestación del servicio o paralizar su prestación sin haber informado al MinTIC o sin haber renunciado a la licencia, o la autorización general.
10. Prestar el servicio de Televisión Comunitaria a personas no asociadas a la Comunidad Organizada.
ENCADENAMIENTOS.
CONDICIONES GENERALES.
ARTÍCULO 16.2.1.1 ENCADENAMIENTO DE LAS ESTACIONES LOCALES. <Artículo adicionado por el artículo 3 de la Resolución 6383 de 2021. El nuevo texto es el siguiente:> Las estaciones locales con ánimo de lucro podrán encadenarse para transmitir la misma programación hasta un 75% del tiempo de transmisión total.
<Acuerdo CNTV 24 de 1997; Art. 15 Inciso 1o.>
ARTÍCULO 16.2.1.2 ENCADENAMIENTO A NIVEL REGIONAL. <Artículo adicionado por el artículo 3 de la Resolución 6383 de 2021. El nuevo texto es el siguiente:> Los licenciatarios de televisión local sin ánimo de lucro podrán encadenarse a nivel regional para transmitir eventos cívicos, culturales o deportivos de carácter ocasional y de interés para sus comunidades, sin necesidad de tramitar autorización alguna ante la Comisión de Regulación de Comunicaciones.
<Acuerdo CNTV 24 de 1997; Art. 15 Parágrafo. Acuerdo CNTV 3 de 2012; Art. 28>
ARTÍCULO 16.2.1.3 ENCADENAMIENTO DE SEÑALES INTERNACIONALES. <Artículo adicionado por el artículo 3 de la Resolución 6383 de 2021. El nuevo texto es el siguiente:> Las estaciones de televisión local sin ánimo de lucro no podrán encadenarse ni enlazar su señal con la emisión de señales internacionales para transmisión simultánea de programación.
<Acuerdo CNTV 3 de 2012; Art. 29>
CONFIGURACIÓN TÉCNICA.
TELEVISIÓN LOCAL CON ÁNIMO DE LUCRO.
ARTÍCULO 16.3.1.1 ÁMBITO DE APLICACIÓN. <Artículo adicionado por el artículo 3 de la Resolución 6383 de 2021. El nuevo texto es el siguiente:> La presente sección aplica a la prestación del servicio público de televisión en el nivel de cubrimiento local con ánimo de lucro.
El servicio de televisión en el nivel local será abierto y, por tanto, utilizará la tecnología de televisión radiodifundida.
<Acuerdo CNTV 24 de 1997; Art. 1>
ARTÍCULO 16.3.1.2 NORMAS TÉCNICAS. <Artículo adicionado por el artículo 3 de la Resolución 6383 de 2021. El nuevo texto es el siguiente:> Son todos aquellos parámetros técnicos esenciales tales como la potencia de operación, la frecuencia de operación, la ubicación y altura de la antena entre otros, que las estaciones locales de televisión deberán cumplir con el propósito de contar con mecanismos de control y supervisión que garanticen la operación de dichas estaciones. Dichas normas serán expedidas por la Agencia Nacional del Espectro.
<Acuerdo CNTV 24 de 1997; Art. 40>
ARTÍCULO 16.3.1.3 DISTRIBUCIÓN DE LA SEÑAL. <Artículo adicionado por el artículo 3 de la Resolución 6383 de 2021. El nuevo texto es el siguiente:> La Comisión de Regulación de Comunicaciones adoptará las medidas necesarias para la implementación de nuevas tecnologías en la prestación de los servicios de televisión local, sin perjuicio de las facultades de otras autoridades en la materia. La distribución de señales locales con ánimo de lucro se hará utilizando el espectro radioeléctrico.
PARÁGRAFO 1o. Las frecuencias radioeléctricas serán otorgadas por parte del Ministerio de Tecnologías de la Información y las Comunicaciones de acuerdo con la disponibilidad existente.
PARÁGRAFO 2o. Los operadores locales con ánimo de lucro deberán cumplir todos los requerimientos técnicos que solicite la Comisión de Regulación de Comunicaciones.
<Acuerdo CNTV 24 de 1997; Art. 41>
ARTÍCULO 16.3.1.4 SISTEMAS DE PRODUCCIÓN, POSTPRODUCCIÓN Y EMISIÓN. <Artículo adicionado por el artículo 3 de la Resolución 6383 de 2021. El nuevo texto es el siguiente:> Las estaciones de televisión local con ánimo de lucro deberán contar con los equipos de producción, postproducción y emisión necesarios para obtener una buena calidad de la señal, así como la infraestructura física necesaria para lograr un buen desempeño de todos los equipos involucrados en llevar la señal a los televidentes.
<Acuerdo CNTV 24 de 1997; Art. 42>
TELEVISIÓN DIGITAL TERRESTRE.
ARTÍCULO 16.3.2.1 SISTEMA DE CODIFICACIÓN DE VIDEO. <Artículo adicionado por el artículo 3 de la Resolución 6383 de 2021. El nuevo texto es el siguiente:> El sistema de codificación de video se basará en la norma internacional de telecomunicaciones de la Recomendación UIT-T H.264 "Codificación de video avanzada para servicios audiovisuales genéricos" equivalente a la Norma ISO/IEC 14496-10, comúnmente denominada H.264/MPEG-4 AVC o aquellas que las modifiquen, adicionen o sustituyan.
<Acuerdo CNTV 8 de 2010; Art. 6>
ARTÍCULO 16.3.2.2 PLANIFICACIÓN DE FRECUENCIAS. <Artículo adicionado por el artículo 3 de la Resolución 6383 de 2021. El nuevo texto es el siguiente:> El servicio de televisión abierta radiodifundida digital terrestre TDT se prestará en canales radioeléctricos, configurados en múltiplex digitales, en las bandas atribuidas para el servicio de televisión y en las frecuencias definidas por las autoridades competentes.
PARÁGRAFO 1o. La administración de frecuencias para el servicio de televisión abierta radiodifundida digital terrestre TDT se realizará bajo los principios de gestión eficiente del espectro radioeléctrico, su protección y optimización.
PARÁGRAFO 2o. No se asignarán frecuencias para la radiodifusión de señales de televisión en tecnología analógica.
<Acuerdo CNTV 2 de 2012; Art. 5>
ARTÍCULO 16.3.2.3 PRESTACIÓN DEL SERVICIO EN EL PERÍODO DE TRANSICIÓN. <Artículo adicionado por el artículo 3 de la Resolución 6383 de 2021. El nuevo texto es el siguiente:> Los operadores del servicio de televisión abierta radiodifundida deberán emitir el canal de televisión abierta radiodifundida analógica de manera simultánea y en horario coincidente, con el canal de televisión abierta radiodifundida digital, hasta la fecha del apagón analógico o hasta la fecha de finalización de sus emisiones en tecnología analógica, según la condición que primero se presente.
<Acuerdo CNTV 2 de 2012; Art. 10>
ARTÍCULO 16.3.2.4 PRESTACIÓN DEL SERVICIO DE LOS OPERADORES LOCALES SIN ÁNIMO DE LUCRO. <Artículo adicionado por el artículo 3 de la Resolución 6383 de 2021. El nuevo texto es el siguiente:> Cada uno de los operadores locales sin ánimo de lucro, accederá, por lo menos, a una porción de un múltiplex, que será definido por la Comisión de Regulación de Comunicaciones o la entidad que haga sus veces, caso en el cual se entenderá para todos los efectos, que la misma corresponde a la porción del múltiplex denominada Canal Principal Digital.
Con el propósito de lograr la transición a la televisión digital y garantizar la continuidad del servicio, las emisiones de televisión abierta radiodifundida terrestre analógica de los canales locales sin ánimo de lucro, cesarán en las fechas que establezca el Ministerio de Tecnologías de la Información y las Comunicaciones o la entidad que haga sus veces, mediante el acto administrativo correspondiente.
<Acuerdo CNTV 2 de 2012; Art. 10>
FRANJAS DE PROGRAMACIÓN.
TELEVISIÓN ABIERTA.
ARTÍCULO 16.4.1.1 CLASIFICACIÓN DE LAS FRANJAS DE AUDIENCIA. <Artículo modificado por el artículo 107 de la Resolución 7811 de 2025. El nuevo texto es el siguiente:> Las franjas de audiencia se clasifican en infantil, adolescente, familiar y adulta.
Entre las 05:00 y las 21:30 horas la programación solo podrá ser familiar, de adolescentes o infantil.
Solo a partir de las 21:30 horas y hasta las 05:00 horas se podrá presentar programación para adultos.
Para los efectos de este artículo, se debe tener en cuenta lo previsto en el artículo 16.4.1.2 de la presente resolución.
PARÁGRAFO. Para efectos de la definición de las franjas aptas para niños, niñas y adolescentes, se tendrá en cuenta lo dispuesto sobre esta materia en la Ley 1098 de 2006, o las normas que la modifiquen, sustituyan o adicionen.
ARTÍCULO 16.4.1.2 CLASIFICACIÓN DE LA PROGRAMACIÓN. <Artículo subrogado por el artículo 7 de la Resolución 7423 de 2024. El nuevo texto es el siguiente:> Los programas de televisión se clasifican de la siguiente manera:
a) Infantil:
Son aquellos programas que han sido diseñados y realizados para satisfacer las necesidades de entretenimiento, educación o formación de niños y niñas entre 0 y 12 años, cuya narrativa y lenguaje responden al perfil de esa audiencia.
Su emisión se deberá realizar en el horario comprendido entre las 07:00 y las 21:30 horas.
Estos programas deberán ser aptos para ser vistos por la audiencia infantil, sin la compañía de adultos.
b) De adolescentes:
Son aquellos programas que han sido diseñados y realizados para satisfacer las necesidades de entretenimiento, educación o formación de adolescentes entre 12 y 18 años, cuya narrativa y lenguaje responden al perfil de esa audiencia.
Su emisión se deberá realizar en el horario comprendido entre las 07:00 y las 21:30 horas.
Estos programas deberán ser aptos para ser vistos por la audiencia de adolescentes, sin la compañía de adultos.
c) Familiar:
Son aquellos programas que han sido diseñados y realizados para satisfacer las necesidades de entretenimiento, educación o formación de la familia.
Su emisión se deberá realizar en el horario comprendido entre las 05:00 y las 21:30 horas.
Estos programas deberán ser aptos para ser vistos por toda la familia y pueden requerir la compañía de adultos.
d) Adulto:
Son aquellos programas que han sido diseñados y realizados para satisfacer las necesidades de entretenimiento, educación o formación de los mayores de 18 años.
Su emisión se deberá realizar en el horario comprendido entre las 21:30 y las 05:00 horas.
Estos programas deberán ser aptos para ser vistos por la población adulta. La presencia de niños, niñas y adolescentes estará sujeta a la corresponsabilidad de los padres o adultos responsables de la mencionada población.
PARÁGRAFO 1o. Para efectos de la calificación de niños, niñas y adolescentes, se tendrá en cuenta la definición que sobre esta materia consagra la Ley 1098 de 2006, o las normas que la modifiquen, sustituyan o adicionen.
PARÁGRAFO 2o. En el horario comprendido entre las 05:00 y las 21:30 horas, toda la programación que no se clasifique por parte de la Comisión de Regulación de Comunicaciones como infantil o de adolescentes, deberá ser familiar.
ARTÍCULO 16.4.1.3 ADECUACIÓN A LA AUDIENCIA. <Artículo modificado por el artículo 108 de la Resolución 7811 de 2025. El nuevo texto es el siguiente:> El contenido de la programación y el tratamiento de su temática deberá ajustarse a las franjas de audiencia y a la clasificación de la programación.
Las imágenes, escenas o contenidos de los programas de televisión que estén destinados al público adulto no podrán ser emitidas en programas familiares, de adolescentes ni infantiles. Las promociones de los programas de televisión destinados al público adulto no podrán ser emitidas en programas infantiles. Tales promociones solo podrán ser incluidas en programas de adolescentes y familiares siempre que las escenas, imágenes, tratamiento audiovisual y lenguaje de dichas promociones se ajusten de manera precisa al perfil de audiencia de esos programas. En las promociones que se emitan en esos programas no se podrá emplear lenguaje fuerte u ofensivo, primeros planos violentos, escenas de sexo acompañadas de violencia, ni escenas que inciten al delito.
Los operadores del servicio de televisión abierta y el concesionario de espacios de televisión en el canal nacional de operación pública deberán advertir a la audiencia sobre la responsabilidad que tienen los padres de familia, o los adultos a cargo, de propender y velar por la no presencia de audiencia menor de edad a partir de las 21:30 horas y hasta las 05:00.
ARTÍCULO 16.4.1.4 TRATAMIENTO DE LA VIOLENCIA. <Artículo modificado por el artículo 8 de la Resolución 7423 de 2024. El nuevo texto es el siguiente:> En la programación infantil no se podrá transmitir contenidos violentos.
En la programación de adolescentes y en la familiar se podrá transmitir contenidos violentos, pero la violencia no podrá ser el tema central del programa o publicidad, ni ser intrínseca a su contenido; a menos que tenga una finalidad claramente pedagógica. En todo caso, no se podrá presentar primeros planos de violencia ni enfatizar en dichas escenas mediante repeticiones sucesivas o cualquier otro medio.
La emisión de la programación cuyo tema central es la violencia, y que no tenga una finalidad claramente pedagógica, deberá presentarse siempre en programación y franja para adultos.
ARTÍCULO 16.4.1.5 APOLOGÍA A LA VIOLENCIA. <Artículo modificado por el artículo 8 de la Resolución 7423 de 2024. El nuevo texto es el siguiente:> En ninguna franja se podrá mostrar la violencia para hacer apología a ella.
ARTÍCULO 16.4.1.6 VIOLENCIA Y NIÑOS, NIÑAS Y ADOLESCENTES EN PROGRAMAS INFORMATIVOS NOTICIERO Y DE OPINIÓN. <Artículo modificado por el artículo 8 de la Resolución 7423 de 2024. El nuevo texto es el siguiente:> En ninguna franja se podrá presentar, en programas informativos noticiero y de opinión, niños, niñas y adolescentes infractores, víctimas de delitos o testigos de conductas punibles, de acuerdo con lo establecido en la Ley 1098 de 2006 o aquella que la modifique, adicione o sustituya.
ARTÍCULO 16.4.1.7 COMERCIALIZACIÓN DE ALGUNOS PRODUCTOS. <Artículo modificado por el artículo 8 de la Resolución 7423 de 2024. El nuevo texto es el siguiente:> En ninguna franja de la programación se podrá anunciar armas de fuego, juegos, juguetes o implementos bélicos.
ARTÍCULO 16.4.1.8 TRATAMIENTO DEL SEXO. <Artículo modificado por el artículo 8 de la Resolución 7423 de 2024. El nuevo texto es el siguiente:> En la programación familiar y de adolescentes se podrá presentar contenidos sexuales, pero el sexo no podrá ser el tema central del programa o publicidad, ni ser intrínseca a su contenido; a menos que tenga una finalidad claramente pedagógica. En todo caso, no se podrá presentar primeros planos de relaciones sexuales o eróticas ni enfatizar en dichas escenas mediante repeticiones sucesivas o cualquier otro medio.
La emisión de la programación cuyo tema central sea el sexo o las relaciones sexuales o eróticas, y que no tenga una finalidad claramente pedagógica, deberá presentarse siempre en programación y franja para adultos.
ARTÍCULO 16.4.1.9 PROHIBICIÓN DE PORNOGRAFÍA. <Artículo modificado por el artículo 8 de la Resolución 7423 de 2024. El nuevo texto es el siguiente:> Se prohíbe la emisión de la pornografía en toda la programación.
ARTÍCULO 16.4.1.10 OBLIGACIONES DE PROGRAMACIÓN. <Artículo subrogado por el artículo 7 de la Resolución 7423 de 2024. El nuevo texto es el siguiente:> Cada operador de televisión abierta nacional, regional y local con o sin ánimo de lucro, deberá cumplir, según le aplique, las siguientes obligaciones de programación:
a) Programación Infantil:
Cada operador de televisión abierta deberá emitir un mínimo de horas trimestrales de programación infantil, teniendo en cuenta la definición consagrada en el artículo 16.4.1.2 de la presente resolución, en el horario comprendido entre las 07:00 y las 21:30 horas, de la siguiente manera:
- <Viñeta corregida por el artículo 1 de la Resolución 7483 de 2024. El nuevo texto es el siguiente:> Los operadores de televisión abierta de cubrimiento nacional, mínimo ciento ocho (108) horas trimestrales. Este mínimo de horas trimestrales no le será aplicable al concesionario de espacios de televisión en el canal nacional de operación pública.
- Los operadores de televisión abierta de cubrimiento regional y local con ánimo de lucro, mínimo ochenta (80) horas trimestrales.
b) Programación de Adolescentes:
Cada operador de televisión abierta deberá emitir un mínimo de horas trimestrales de programación de adolescentes, teniendo en cuenta la definición consagrada en el artículo 16.4.1.2 de la presente resolución, en el horario comprendido entre las 07:00 y las 21:30 horas, de la siguiente manera:
- <Viñeta corregida por el artículo 1 de la Resolución 7483 de 2024. El nuevo texto es el siguiente:> Los operadores de televisión abierta de cubrimiento nacional, mínimo sesenta (60) horas trimestrales. Este mínimo de horas trimestrales no le será aplicable al concesionario de espacios de televisión en el canal nacional de operación pública.
- Los operadores de televisión abierta de cubrimiento regional y local con ánimo de lucro, mínimo cuarenta y cinco (45) horas trimestrales.
PARÁGRAFO 1o. Estos programas podrán presentarse en cualquier formato y el conteo por horas se tendrá en cuenta para contabilizar el tiempo total trimestral, para efectos del control posterior que sobre la programación corresponde a la Comisión de Regulación de Comunicaciones.
Así mismo, estos programas podrán trasmitirse en otros horarios o en un número de horas trimestrales superior a las establecidas en el presente artículo, pero no se tendrá en cuenta para efectos del mencionado conteo que realizará la Comisión de Regulación de Comunicaciones.
PARÁGRAFO 2o. Cada hora de programación infantil y de adolescentes aplicará en una sola de dichas categorías. Es decir que, para efectos del control posterior que sobre la programación corresponde a la Comisión de Regulación de Comunicaciones, cada una de las referidas categorías se tendrá en cuenta de manera independiente. De esta manera, si el operador emite programación infantil, esta no se podrá contabilizar al tiempo de adolescentes, ni viceversa.
PARÁGRAFO 3o. En los casos en que el operador emita menos de veinticuatro (24) horas diarias, las obligaciones de programación establecidas en el presente artículo se aplicarán proporcionalmente a las horas emitidas. Los operadores televisión abierta de cubrimiento local sin ánimo de lucro deberán emitir mínimo seis (6) horas diarias de programación dentro de las franjas infantil o familiar.
PARÁGRAFO 4o. El número mínimo de horas trimestrales de emisión de programación infantil o de adolescentes no aplicará al canal digital principal de televisión de un múltiplex digital que tenga uno o varios subcanales digitales cuya temática especializada sea de niños, niñas y adolescentes, siempre que este último transmita trimestralmente, el mínimo de horas requeridas en el presente artículo.
ARTÍCULO 16.4.1.11 RESPONSABILIDAD POR EL CONTENIDO DE LA PROGRAMACIÓN. <Artículo subrogado por el artículo 7 de la Resolución 7423 de 2024. El nuevo texto es el siguiente:> Los operadores del servicio de televisión abierta y el concesionario de espacios de televisión en el canal nacional de operación pública deberán determinar la programación de los canales y serán los únicos responsables ante la Comisión de Regulación de Comunicaciones por los contenidos emitidos.
PARÁGRAFO. De conformidad con el artículo 20 de la Constitución Política y el artículo 29 de la Ley 182 de 1995, se protege el derecho a la libertad de expresión y difusión de contenidos. Bajo este entendido, la autoridad competente realizará el control de legalidad frente a los mismos.
ARTÍCULO 16.4.1.12 PROGRAMACIÓN DE PRODUCCIÓN NACIONAL Y EXTRANJERA. <Artículo subrogado por el artículo 7 de la Resolución 7423 de 2024. El nuevo texto es el siguiente:> Para efectos de la contabilización de los porcentajes de producción nacional y extranjera consagrados en el artículo 33 de la Ley 182 de 1995, modificado por el artículo 4o de la Ley 680 de 2001, se tendrá en cuenta cada programa como una unidad, sin incluir la publicidad inserta".
ARTÍCULO 16.4.1.13. PATRIMONIO AUDIOVISUAL COLOMBIANO. <Artículo modificado por el artículo 8 de la Resolución 7423 de 2024. El nuevo texto es el siguiente:> Con el fin de contribuir con la conservación del patrimonio audiovisual colombiano, dentro de los quince (15) primeros días hábiles de cada año, cada operador y concesionario de espacios de televisión informará a la Comisión de Regulación de Comunicaciones el material audiovisual archivado en el año inmediatamente anterior y su ubicación.
TELEVISIÓN DIGITAL TERRESTRE.
ARTÍCULO 16.4.2.1 PROTECCIÓN DE LA PRODUCCIÓN NACIONAL. <Artículo modificado por el artículo 8 de la Resolución 7423 de 2024. El nuevo texto es el siguiente:> El canal digital principal de televisión de un múltiplex digital cumplirá con los porcentajes de programación de producción nacional establecidos en el artículo 33 de la Ley 182 de 1995, modificado por el artículo 4o de la Ley 680 de 2001, o en la norma que la modifique, adicione o sustituya.
ARTÍCULO 16.4.2.2 RETRANSMISIONES DE SEÑALES DE TERCEROS. <Artículo modificado por el artículo 8 de la Resolución 7423 de 2024. El nuevo texto es el siguiente:> Los operadores podrán retransmitir como programación habitual, exclusivamente en los subcanales, señales de televisión provenientes del exterior cuya titularidad corresponda a un tercero sin perjuicio de lo previsto en materia de cesión a terceros de la explotación de porciones del espectro asignado.
ARTÍCULO 16.4.2.3 CONDICIONES DE PROGRAMACIÓN EN LA TOTALIDAD DE LA OFERTA TELEVISIVA DIGITAL. <Artículo subrogado por el artículo 7 de la Resolución 7423 de 2024. El nuevo texto es el siguiente:> Tanto el canal principal como los subcanales digitales deberán cumplir las siguientes obligaciones:
a) La franja comprendida entre las 05:00 y las 21:30 horas deberá ser para programación apta para todos los públicos.
b) Transmisión del Himno Nacional en las condiciones previstas en el artículo 8o de la Ley 198 de 1995 o en las normas que la modifiquen, adicionen o sustituyan.
c) Cumplimiento de lo previsto en la Ley 1098 de 2006 o en las normas que la reglamenten o la modifiquen, adicionen o sustituyan.
d) Cumplimiento de lo previsto en el artículo 22 de la Ley 335 de 1996, el artículo 10 de la Ley 680 de 2001 o en las normas que lo reglamenten o lo modifiquen, adicionen o sustituyan.
e) Reserva de espacios de su programación para cumplir con los requerimientos de origen legal en materia de espacios institucionales, de conformidad con lo establecido en el artículo 16.4.9.11 de la presente resolución y lo señalado en el plan de emisión que defina la Comisión de Regulación de Comunicaciones.
PARÁGRAFO. Por cada uno de los canales del múltiplex digital, cada operador deberá emitir una guía electrónica de programación EPG, que incluya 3 días adelantados de programación de cada canal digital.
TELEVISIÓN ABIERTA LOCAL.
ARTÍCULO 16.4.3.1 OBJETIVOS DE LA PROGRAMACIÓN. <Artículo subrogado por el artículo 7 de la Resolución 7423 de 2024. El nuevo texto es el siguiente:> Los operadores del servicio de televisión abierta local harán énfasis en una programación de contenido social y comunitario; las comunidades organizadas tendrán el propósito de alcanzar fines cívicos, cooperativos, solidarios, académicos, ecológicos, educativos, recreativos, culturales e institucionales.
ARTÍCULO 16.4.3.2 RESPONSABILIDAD POR EL CONTENIDO DE LA PROGRAMACIÓN. <Artículo subrogado por el artículo 7 de la Resolución 7423 de 2024. El nuevo texto es el siguiente:> El operador de la televisión abierta local será responsable ante la Comisión de Regulación de Comunicaciones por el contenido de la programación, el cual debe reflejar la cultura, los temas y las necesidades de la comunidad a la que se dirige.
ARTÍCULO 16.4.3.3-ELIMINADO FRANJAS DE AUDIENCIA. <Artículo eliminado por el artículo 109 de la Resolución 7811 de 2025>
ARTÍCULO 16.4.3.3 ADECUACIÓN A LA AUDIENCIA. <Artículo subrogado por el artículo 7 de la Resolución 7423 de 2024. El nuevo texto es el siguiente:> El contenido de los programas y el tratamiento de su temática deberá ajustarse a la franja de audiencia escogida y al ordenamiento legal vigente al tiempo de su emisión.
ARTÍCULO 16.4.3.4 RETRANSMISIONES DE SEÑALES DE TERCEROS. <Artículo subrogado por el artículo 7 de la Resolución 7423 de 2024. El nuevo texto es el siguiente:> Los operadores de televisión en el nivel local podrán recibir y retransmitir señales incidentales de televisión con fines sociales y comunitarios. En ningún caso dichas señales podrán ser interrumpidas con comerciales, excepto los de origen.
TELEVISIÓN ABIERTA LOCAL SIN ÁNIMO DE LUCRO.
ARTÍCULO 16.4.4.1 OBLIGACIONES DE EMISIÓN DE PROGRAMACIÓN. <Artículo subrogado por el artículo 7 de la Resolución 7423 de 2024. El nuevo texto es el siguiente:> Los operadores de la televisión abierta local sin ánimo de lucro deberán cumplir los porcentajes de programación nacional exigidos en la ley y, dentro de ellos, mínimo el 20% debe corresponder a programación nacional de producción propia.
TELEVISIÓN POR SUSCRIPCIÓN.
ARTÍCULO 16.4.5.1 RESPONSABILIDAD POR EL CONTENIDO DE LA PROGRAMACIÓN. <Artículo subrogado por el artículo 7 de la Resolución 7423 de 2024. El nuevo texto es el siguiente:> El operador de televisión por suscripción está obligado a cumplir con los fines del servicio de televisión previstos en el artículo 2o de la Ley 182 de 1995 y las normas relacionadas con la protección de la infancia y adolescencia y, por lo tanto, será el único responsable ante la Comisión de Regulación de Comunicaciones por el contenido de la programación de su canal de producción propia.
ARTÍCULO 16.4.5.2 PROGRAMACIÓN ESPECIAL PARA ADULTOS. <Artículo adicionado por el artículo 3 de la Resolución 6383 de 2021. El nuevo texto es el siguiente:> Los operadores de televisión por suscripción se obligan a que los contenidos de pornografía se emitan en los siguientes términos:
Los contenidos especializados en pornografía solo podrán transmitirse cuando el suscriptor acceda a estos programas a través de los sistemas de PPV (pague por ver) y/o VOD (vídeo bajo demanda) o cualquier otro sistema utilizado para restringir o bloquear el acceso a la señal.
En todo caso, el operador deberá suministrar a los suscriptores los mecanismos técnicos para bloquear totalmente el audio y vídeo de dichos contenidos, a fin de que sólo sean recibidos por voluntad del suscriptor.
<Resolución ANTV 26 de 2018; Art. 27>
ARTÍCULO 16.4.5.3 CANALES TEMÁTICOS SATELITALES. <Artículo subrogado por el artículo 7 de la Resolución 7423 de 2024. El nuevo texto es el siguiente:> Con el objeto de fomentar la industria de televisión colombiana, los operadores del servicio de televisión por suscripción deberán incluir dentro de su parrilla de programación como mínimo cinco (5) canales temáticos de origen nacional, de conformidad con lo establecido en la presente resolución. Quedarán exentos del cumplimiento de la obligación establecida en el presente artículo aquellos operadores que cuenten con el canal de producción propia de que trata el artículo 16.4.8.1 de la presente resolución, siempre que en el mismo se emitan mínimo cinco (5) horas diarias de programación nacional propia.
PARÁGRAFO. Si la cantidad de canales temáticos nacionales registrados ante la CRC es inferior a cinco (5), los operadores del servicio de televisión por suscripción solo estarán en obligación de incluir en su parrilla la cantidad de canales temáticos que consten en el registro.
ARTÍCULO 16.4.5.4. REQUISITOS PARA REGISTRO DE CANALES TEMÁTICOS. <Artículo adicionado por el artículo 7 de la Resolución 7423 de 2024. El nuevo texto es el siguiente:> Las condiciones para la inscripción de los canales temáticos nacionales serán establecidas y comunicadas por la CRC mediante circular. En todo caso, la inscripción deberá ser realizada por el representante legal del canal temático y se deberá acreditar que cumple con los siguientes requisitos:
a) Contar con un área temática determinada o dirigida a una audiencia específica o a un sector específico de la población,
b) el 70% de las emisiones del total de tiempo al aire deben ser de producción nacional de televisión, y
c) tener como mínimo una inversión de capital nacional del 60%.
PARÁGRAFO. Entiéndase como capital nacional el que pertenezca a una persona natural o jurídica de nacionalidad colombiana.
TELEVISIÓN COMUNITARIA.
ARTÍCULO 16.4.6.1 RESPONSABILIDAD POR EL CONTENIDO DE LA PROGRAMACIÓN. <Artículo subrogado por el artículo 7 de la Resolución 7423 de 2024. El nuevo texto es el siguiente:> El contenido de las señales que las Comunidades Organizadas distribuyan, independiente de su origen de producción o de su condición de acceso, debe cumplir los fines y principios del servicio de televisión establecidos en la ley, y en particular su Canal Comunitario deberá adecuarse a las franjas de audiencia y clasificación de la programación, de acuerdo con la normatividad vigente.
La Comunidad Organizada autorizada para prestar el servicio de Televisión Comunitaria será la única responsable ante la Comisión de Regulación de Comunicaciones por el contenido de la programación de su Canal Comunitario.
En ningún caso en la programación emitida por el Canal Comunitario de la Comunidad Organizada se podrán presentar actividades encaminadas a hacer proselitismo político o religioso; o a presentar las actuaciones de entidades públicas o comunitarias como obra personal de sus gestores.
La programación del Canal Comunitario debe estar orientada a satisfacer las necesidades educativas, recreativas y culturales; con énfasis en temáticas de contenido social y comunitario que se identifiquen con los intereses y necesidades de información de la Comunidad Organizada prestadora de dicho servicio. Por lo anterior, el contenido de la programación del Canal Comunitario tendrá, de manera principal, el propósito de apoyar los lazos de vecindad, la identidad cultural de la comunidad y propender por la vigencia de los deberes y derechos ciudadanos; garantizando la participación de los asociados y de la comunidad en la producción de dichos contenidos.
PARÁGRAFO. Con el fin de garantizar el respeto a los derechos de autor y conexos, las Comunidades Organizadas serán responsables de contar con las autorizaciones previas de los titulares de los derechos o de sus representantes para realizar la emisión de señales y su distribución en territorio colombiano.
ARTÍCULO 16.4.6.2 OBLIGACIONES ESPECÍFICAS DE PROGRAMACIÓN. <Artículo subrogado por el artículo 7 de la Resolución 7423 de 2024. El nuevo texto es el siguiente:> Las Comunidades Organizadas prestadoras del servicio de Televisión Comunitaria deberán garantizar a sus asociados la recepción de la señal principal de los canales colombianos de televisión abierta de carácter nacional, regional y local que se sintonicen exclusivamente en el área de cobertura del operador de televisión comunitaria. Así mismo, deben distribuir obligatoriamente los canales a que se refieren el artículo 19 de la Ley 335 de 1996 o el que haga sus veces, y las normas correspondientes de la presente resolución, con estricta sujeción a la normatividad y reglamentación aplicables; y en adelante aquellas señales de interés público que defina la Comisión de Regulación de Comunicaciones.
Adicionalmente, podrán recibir y distribuir señales incidentales y hasta siete (7) señales codificadas de televisión, previo cumplimiento de la normatividad de derechos de autor y conexos sobre las mismas.
Para efectos de la presente sección, y con miras a incentivar la industria nacional de televisión, la difusión de la cultura e información del país, así como la generación de empleo que de ella se deriva, dentro de las siete (7) señales codificadas de televisión que pueden emitir los operadores del servicio de Televisión Comunitaria, no se computarán aquellas señales de televisión codificadas que correspondan a canales temáticos, de origen nacional con contenidos que se produzcan, generen y emitan desde el territorio nacional, previamente registrados ante la Comisión de Regulación de Comunicaciones o ante la autoridad competente, de conformidad con lo previsto en las normas correspondientes de la presente resolución.
ARTÍCULO 16.4.6.3 CANAL COMUNITARIO. <Artículo subrogado por el artículo 7 de la Resolución 7423 de 2024. El nuevo texto es el siguiente:> Toda Comunidad Organizada que preste el servicio de Televisión Comunitaria deberá emitir un Canal Comunitario, el cual debe cumplir con un tiempo mínimo de programación basado en la producción propia de acuerdo con la siguiente distribución:
a) Las Comunidades Organizadas con un número inferior o igual a 500 asociados, tres (3) horas semanales.
b) Las Comunidades Organizadas con un número superior a 501 y hasta 1.000 asociados, cuatro (4) horas semanales.
c) Las Comunidades Organizadas con un número superior a 1.001 y hasta 3.000 asociados, cinco (5) horas semanales.
d) Las Comunidades Organizadas con un número superior a 3.001 y hasta 6.000 asociados, seis (6) horas semanales.
Los asociados que, de manera independiente, produzcan contenidos que respondan a las necesidades de la comunidad, tendrán derecho a que sean emitidos a través del Canal Comunitario, para lo cual cada Comunidad Organizada que preste el servicio de Televisión Comunitaria deberá contar con la disponibilidad para emitir las producciones independientes de sus asociados y fijará los requisitos y procesos de selección de los contenidos a emitir, los que en todo caso deberán cumplir los fines y principios del servicio público de televisión.
PARÁGRAFO 1o. Las Comunidades Organizadas que presten el servicio de Televisión Comunitaria en el mismo departamento, municipio o distrito podrán coproducir contenidos para que sean emitidos en sus canales comunitarios.
PARÁGRAFO 2o. De igual forma, con el fin de fomentar el intercambio cultural y colaborar en la construcción de la identidad nacional, se permitirá el intercambio de producciones propias entre todas las comunidades organizadas autorizadas para la prestación del servicio, siempre y cuando estos hayan sido previamente utilizados por la comunidad organizada que los realizó.
Los contenidos intercambiados serán tenidos en cuenta para el número de horas de producción propia señaladas en el presente artículo.
REPETICIONES.
<Sección derogada por el artículo 16 de la Resolución 7423 de 2024>
OBRAS CINEMATOGRÁFICAS NACIONALES.
ARTÍCULO 16.4.7.1 ÁMBITO DE APLICACIÓN. <Artículo subrogado por el artículo 7 de la Resolución 7423 de 2024. El nuevo texto es el siguiente:> El objeto de la presente sección es establecer el porcentaje mínimo de Obras Cinematográficas Nacionales que deben transmitir anualmente, por el servicio público de televisión los operadores de dicho servicio en la modalidad abierta y el concesionario de espacios de televisión en el canal nacional de operación pública.
ARTÍCULO 16.4.7.2 CONTABILIZACIÓN DE OBRAS CINEMATOGRÁFICAS NACIONALES. <Artículo subrogado por el artículo 7 de la Resolución 7423 de 2024. El nuevo texto es el siguiente:> Las obras cinematográficas nacionales que se emitan en cumplimiento de la presente sección se contabilizarán como parte de los porcentajes de programación nacional que los operadores de televisión y concesionario de espacios deben transmitir por disposición del artículo 33 de la Ley 182 de 1995, modificado por el artículo 4o de la Ley 680 de 2001 o de acuerdo con la norma que la modifique, adicione o sustituya.
ARTÍCULO 16.4.7.3 PORCENTAJE DE EMISIÓN DE OBRAS CINEMATOGRÁFICAS NACIONALES. <Artículo subrogado por el artículo 7 de la Resolución 7423 de 2024. El nuevo texto es el siguiente:> Los operadores de televisión y el concesionario de espacios a los que se les aplica la presente sección emitirán anualmente Obras Cinematográficas Nacionales por un equivalente mínimo al 10% del tiempo total de emisión de producciones cinematográficas extranjeras programadas en su señal principal.
PARÁGRAFO. El tiempo de emisión de una Obra Cinematográfica Nacional que no haya sido presentada antes por ese operador de televisión o concesionario de espacios será contabilizado 1,5 veces para efectos del cálculo del porcentaje mínimo exigido en el presente artículo.
ARTÍCULO 16.4.7.4 OBLIGACIÓN DE EMISIÓN. <Artículo modificado por el artículo 110 de la Resolución 7811 de 2025. El nuevo texto es el siguiente:> Las Obras Cinematográficas Nacionales transmitidas en cumplimiento de lo dispuesto en la presente sección serán presentadas entre las 6:00 y antes de las 24:00 horas, y su contenido se adecuará a las franjas de audiencia.
PARÁGRAFO. La emisión de las obras cinematográficas nacionales deberá incluir la divulgación de la totalidad de los créditos de esta.
ARTÍCULO 16.4.7.5 INCENTIVOS Y ESTÍMULOS A LA EMISIÓN DE OBRAS CINEMATOGRÁFICAS NACIONALES. <Artículo subrogado por el artículo 7 de la Resolución 7423 de 2024. El nuevo texto es el siguiente:> A efectos de cumplir con el porcentaje de programas de producción nacional que por ley deben trasmitir, los operadores de televisión a los que se les aplica la presente sección y el concesionario de espacios podrán contar por el doble o el triple de la duración de las Obras Cinematográficas Nacionales que transmitan, en las siguientes condiciones:
Por el doble:
a) Toda emisión de Obras Cinematográficas Nacionales que exceda el porcentaje mínimo fijado en la presente sección, siempre y cuando no haya sido presentada antes, en ese mismo año, por ese operador o concesionario y no constituya repetición.
b) La emisión de Obras Cinematográficas Nacionales que hayan sido producidas o estrenadas durante el año calendario inmediatamente anterior, y que no sean repetición en el mismo año.
c) Toda Obra Cinematográfica Nacional emitida el fin de semana (que comprende los sábados, domingos y festivos) entre las 6:00 y las 24:00 horas y que no sea repetición en el mismo año.
d) La emisión de Obras Cinematográficas Nacionales producidas por universidades, por ONG o por agencias del Estado que cumplen funciones y finalidades culturales y que no sea repetición en el mismo año.
Por el triple: Toda Obra Cinematográfica Nacional coproducida mínimo en un treinta (30) por ciento por un operador de televisión o concesionario de espacios de conformidad con lo establecido en el artículo 44 de la Ley 397 de 1997 o aquella norma que la modifique, adicione o sustituya, y sus decretos reglamentarios, y que no sea repetición en el mismo año.
PARÁGRAFO. El beneficio de los estímulos y los incentivos obtenidos por el cumplimiento de más de una de las condiciones aquí señaladas no son sumables ni acumulables por la emisión de una misma Obra Cinematográfica Nacional.
CANAL DE PRODUCCIÓN PROPIA.
ARTÍCULO 16.4.8.1 CANAL DE PRODUCCIÓN PROPIA. <Artículo modificado por el artículo 8 de la Resolución 7423 de 2024. El nuevo texto es el siguiente:> Con el objeto de fomentar la industria de televisión colombiana, los operadores del servicio de televisión por suscripción podrán producir y emitir un canal de producción nacional propia. Se entiende por producción propia aquellos programas realizados directamente por el operador o contratados con terceros, mas no la retransmisión de canales con programación nacional.
Los operadores deberán publicar en su página web la parrilla de programación de dicho canal, indicando el género de los programas.
ARTÍCULO 16.4.8.2 OBLIGACIONES PARA LOS CANALES DE PRODUCCIÓN PROPIA. <Artículo modificado por el artículo 8 de la Resolución 7423 de 2024. El nuevo texto es el siguiente:> Los operadores del servicio de televisión por suscripción que emitan canales de producción propia deberán cumplir con las siguientes disposiciones:
a) Derecho a la rectificación. Los operadores del servicio de televisión por suscripción que emitan canales de producción propia deberán garantizar el derecho a la rectificación a toda persona natural o jurídica o grupo de personas que se vean afectadas públicamente en su buen nombre u otros derechos e intereses, por informaciones que el afectado considere inexactas, injuriosas o falsas transmitidas en programas de televisión cuya divulgación pueda perjudicarlo, de conformidad con el artículo 30 de la Ley 182 de 1995 o aquella norma que lo modifique, adicione o sustituya.
b) En ninguna franja u horario se podrán presentar niños, niñas o adolescentes que sean (i) infractores, (ii) víctimas de delitos o (iii) testigos de conductas punibles; en programas informativos, noticieros o programas de opinión, de acuerdo con lo establecido en la Ley 1098 de 2006, o aquella que modifique, adicione o sustituya.
c) En ninguna franja u horario de la programación se podrán anunciar armas de fuego, juegos, juguetes o implementos bélicos, ni demás artículos que de acuerdo con la legislación vigente tenga restricciones de publicidad.
d) Los operadores deberán anteponer a la emisión de sus programas, un aviso que deberá contener, por lo menos, los siguientes elementos:
- Rango de edad apto para ver el programa;
- Si el programa contiene o no violencia;
- Si el programa contiene o no escenas sexuales;
- Si el programa debe ser visto en compañía de adultos;
- Si el programa contiene algún sistema que permita a la población con discapacidad auditiva acceder a su contenido;
- Clasificación del programa como infantil, adolescentes, familiar o adulto.
En el caso de que se trate de programas cuyo tema central sea la violencia o el sexo, pero tenga una finalidad claramente pedagógica, así se deberá indicar en el aviso consagrado en el presente artículo.
Este aviso deberá realizarse en forma oral y escrita y a una velocidad que permita su lectura.
e) Dar cumplimiento a las reglas establecidas en la Ley 1335 de 2009, o las normas que la modifiquen, adicionen o sustituyan, así como las disposiciones correspondientes de la presente resolución relativas a la publicidad de bebidas con contenido alcohólico, cigarrillos y tabaco.
f) Los anuncios comerciales referentes a marcas, productos o servicios, cuya emisión requiera permiso, autorización o certificación de alguna autoridad, de acuerdo con las disposiciones legales vigentes, se emitirán una vez sean presentados al operador las autorizaciones expedidas por las autoridades competentes.
g) El operador que no cuente con tecnología digital deberá informar previa y oportunamente a los suscriptores sobre la programación que transmita en su canal de producción propia. El operador que cuente con tecnología digital deberá emitir la guía de programación para cada uno de los canales de producción propia que incluya en la parrilla de programación
ESPACIOS INSTITUCIONALES.
ARTÍCULO 16.4.9.1 DEL CONTENIDO DE LOS ESPACIOS INSTITUCIONALES. <Artículo subrogado por el artículo 7 de la Resolución 7423 de 2024. El nuevo texto es el siguiente:> La Comisión de Regulación de Comunicaciones indicará, mediante comunicación escrita dirigida a los operadores del servicio de televisión abierta y el concesionario de espacios de televisión en el canal nacional de operación pública, cuáles son los mensajes que deben presentarse en los espacios institucionales de los cuales trata la presente sección.
ARTÍCULO 16.4.9.2 REQUISITOS PARA LA ASIGNACIÓN. <Artículo subrogado por el artículo 7 de la Resolución 7423 de 2024. El nuevo texto es el siguiente:> La solicitud para la asignación de Espacio Institucional en televisión abierta será decidida por la Comisión de Regulación de Comunicaciones y deberá tener en cuenta lo siguiente:
a) La solicitud debe estar suscrita por el Representante Legal de la entidad, indicando el objeto de esta, y deberá incluir la vigencia, tiempo de duración, correo electrónico de la persona responsable y referencia del mismo.
b) Las solicitudes presentadas por entidades de la rama ejecutiva deberán estar acompañadas del respectivo aval por parte de la Presidencia de la República.
c) El Representante Legal debe certificar que la entidad no cuenta dentro de su presupuesto con recursos para pautar o hacer publicidad en Televisión.
d) El Representante Legal debe certificar que en el mensaje no aparecen funcionarios públicos, ni en audio, ni en video.
e) Incluir algún sistema que garantice a la población con discapacidad auditiva, el acceso al contenido del espacio institucional (closed caption, subtitulación o lengua de señas colombiana).
PARÁGRAFO. La Comisión de Regulación de Comunicaciones podrá definir procedimientos y requisitos adicionales para el trámite de recepción y asignación de los espacios institucionales de los cuales trata la presente sección.
ARTÍCULO 16.4.9.3 REQUISITOS ADICIONALES DE LA SOLICITUD. <Artículo subrogado por el artículo 7 de la Resolución 7423 de 2024. El nuevo texto es el siguiente:> Además de cumplir con la totalidad de las obligaciones establecidas en la materia por la Comisión de Regulación de Comunicaciones, el solicitante deberá certificar que no está haciendo inversiones en publicidad sobre la misma campaña en televisión o en cualquier otro medio de comunicación. En el caso de las Organizaciones No Gubernamentales, se requerirá concepto técnico previo del Ministerio de Salud y Protección Social, respecto de la pertinencia para la salud pública del contenido del mensaje a ser transmitido.
ARTÍCULO 16.4.9.4 DE LOS REQUISITOS A LOS QUE DEBE SUJETARSE LA PRESENTACIÓN DE LOS ESPACIOS INSTITUCIONALES. <Artículo subrogado por el artículo 7 de la Resolución 7423 de 2024. El nuevo texto es el siguiente:> Con excepción de los espacios de que tratan los artículos 16.4.9.8 y 16.4.9.11 de la presente resolución, los espacios institucionales se someterán a los siguientes requisitos:
a) La presentación de los espacios institucionales deberá realizarse dentro de los cortes de comerciales de los programas que se presentan en los horarios señalados en el artículo 16.4.9.7 de la presente resolución.
b) La distribución de los mensajes institucionales en los programas que se presenten en los horarios señalados en el artículo 16.4.9.7 de esta resolución será proporcional y equitativa.
c) Todos los mensajes tendrán un símbolo al final que los identifique como campaña institucional, el cual será suministrado por la Comisión de Regulación de Comunicaciones.
d) Cuando los comerciales que se presenten en un programa sean de superimposición o comprimidos, por cada media hora de programa se deberán presentar mínimo quince segundos (15") de espacios institucionales y así proporcionalmente a la duración total del programa. Los mensajes se emitirán en los cortes de comerciales regulares de estos programas, o bajo la forma superimpuesta o comprimida si el canal o concesionario de espacios así lo decide y si técnicamente el mensaje lo permite.
e) Los mensajes institucionales podrán ser transmitidos en forma adicional a la señalada en la presente resolución, en el mismo horario indicado en el artículo 16.4.9.7 de esta resolución o en horarios distintos, siempre y cuando no se les incluya ninguna modificación en el audio ni en el video.
f) El tiempo de duración máximo de cada uno de los mensajes institucionales será de hasta 30 segundos, incluyendo el símbolo que cierra el material audiovisual (colilla) de la CRC.
ARTÍCULO 16.4.9.5 REQUISITOS PARA LA EMISIÓN. <Artículo subrogado por el artículo 7 de la Resolución 7423 de 2024. El nuevo texto es el siguiente:> Los contenidos que se emiten en los espacios institucionales en televisión abierta deberán atender los siguientes requisitos:
a) No utilizar ninguna forma de comercialización.
b) No presentar las actuaciones de entidades públicas como obra personal de sus gestores.
c) Podrá incluir logos de entidades estatales y organismos multilaterales que hayan participado en la generación del proyecto, programa o campaña difundido a través del espacio institucional.
d) No serán objeto de facturación por parte de la Comisión de Regulación de Comunicaciones ni por parte de operadores públicos ni privados.
e) Cumplir con los requerimientos técnicos que determine la Comisión de Regulación de Comunicaciones.
ARTÍCULO 16.4.9.6 CONDICIONES DE EMISIÓN DE ESPACIOS INSTITUCIONALES. <Artículo subrogado por el artículo 7 de la Resolución 7423 de 2024. El nuevo texto es el siguiente:> La emisión de los espacios institucionales en televisión abierta se someterá a las siguientes condiciones:
a) Los mensajes institucionales podrán ser emitidos en forma adicional a la señalada en la presente resolución.
b) Con excepción de los mensajes consagrados en los literales a y b del artículo 16.4.9.8 de esta resolución, en los mensajes institucionales no podrá aparecer ni la voz ni la imagen de funcionarios públicos.
c) En los mensajes institucionales no podrá presentarse las actuaciones de entidades públicas como obra personal de sus gestores.
d) Cuando la transmisión del mensaje deba realizarse en un horario en el cual se esté emitiendo un evento especial en directo, el mensaje institucional que correspondía emitir en dicho espacio podrá emitirse en el siguiente corte de comerciales que se presente. Se entiende como evento especial en directo aquel que no hace parte de la programación habitual, y que se emite de manera simultánea a su realización.
e) La distribución que de los mensajes institucionales realice la Comisión de Regulación de Comunicaciones será proporcional y equitativa.
f) Con excepción de los mensajes consagrados en el literal a) del artículo 16.4.9.8 de la presente resolución, la emisión de los demás mensajes en los espacios institucionales se someterá a las siguientes condiciones:
- Deberá realizarse dentro de los cortes de comerciales de los programas que se presenten en los horarios que indique la Comisión de Regulación de Comunicaciones en sus planes de emisión.
- La duración de cada uno de los mensajes será determinada por la Comisión de Regulación de Comunicaciones, y siempre deberá ser en múltiplos de cinco (5) segundos.
g) Los operadores televisión abierta local y los operadores comunitarios, en los horarios que se encuentren al aire, cumplirán con los Planes de Emisión enviados por la Comisión de Regulación de Comunicaciones.
ARTÍCULO 16.4.9.7 RESERVA DE LOS ESPACIOS INSTITUCIONALES. <Artículo subrogado por el artículo 7 de la Resolución 7423 de 2024. El nuevo texto es el siguiente:> La Comisión de Regulación de Comunicaciones reserva tiempo diario, de lunes a domingo, para la emisión de quince (15) espacios institucionales en televisión abierta, según la siguiente distribución:
a) Diez (10) mensajes institucionales en el horario entre las 7:00 y las 18:59, y
b) Cinco (5) mensajes institucionales en el horario entre las 19:00 y las 22:00.
PARÁGRAFO. No se contabilizarán dentro de los quince (15) espacios institucionales de los que trata el presente artículo aquellos espacios institucionales especiales destinados a partidos y movimientos políticos de los que trata el numeral a) del artículo 16.4.9.8.
ARTÍCULO 16.4.9.8 ESPACIOS INSTITUCIONALES ESPECIALES. <Artículo subrogado por el artículo 7 de la Resolución 7423 de 2024. El nuevo texto es el siguiente:> Dentro de los espacios institucionales señalados en el artículo anterior, se encuentran los siguientes:
a) Partidos Políticos: Espacios institucionales asignados a los partidos y movimientos políticos -incluyendo aquellos que se declaren en oposición, de conformidad con lo dispuesto en el artículo 13 de la Ley 1909 de 2018, o aquel que lo modifique, adicione o sustituya-.
Lo anterior sin prejuicio de la emisión de la propaganda electoral y de la divulgación política a que haya lugar, de conformidad con lo dispuesto por el Consejo Nacional Electoral y la Comisión de Regulación de Comunicaciones, durante el período electoral, según la Ley 130 de 1994 o las normas que la reglamenten, modifiquen, adicionen o sustituyan; así como sin perjuicio de los demás espacios para el ejercicio de la oposición dispuestos por la Ley 1909 de 2018, o aquella que la modifique, adicione o sustituya.
b) Asociaciones de Consumidores: Espacios institucionales asignados a Asociaciones de Consumidores debidamente reconocidas por la ley, a fin de que dichas organizaciones presenten programas institucionales de información a la ciudadanía relacionados con sus derechos y mecanismos de protección.
En ningún caso se permitirá realizar proselitismo político, ni destacar la gestión de determinadas personas en dichos espacios. La violación a la presente prohibición dará lugar a la revocación de la autorización para utilizar el espacio.
A más tardar el 15 de febrero de cada año, la Comisión de Regulación de Comunicaciones realizará una convocatoria dirigida a las Asociaciones de Consumidores con el fin de determinar el reparto de espacios entre ellas. En caso de pluralidad de solicitudes para la emisión de programas institucionales, se tendrá en cuenta el volumen de afiliados que agrupe cada organización, de suerte que la representación se otorgará a la que reúna mayor número de afiliados.
Estos espacios deberán emitirse de lunes a viernes, en los horarios y duración de los cuales trata el artículo 16.4.9.11 de la presente resolución.
c) Instituto Colombiano de Bienestar Familiar: Espacios institucionales asignados al Instituto Colombiano de Bienestar Familiar.
d) Mensaje de prevención del consumo abusivo de alcohol: Espacio institucional reservado para la transmisión de mensajes de alto impacto sobre prevención del consumo abusivo de alcohol.
PARÁGRAFO. El mensaje de prevención del consumo abusivo de alcohol podrá corresponder a mensajes institucionales producidos por autoridades públicas que, en virtud de sus competencias, dispongan de contenido para la prevención del consumo de alcohol o a mensajes institucionales producidos por la Comisión de Regulación de Comunicaciones con ese mismo propósito.
ARTÍCULO 16.4.9.9 FLEXIBILIDAD. <Artículo subrogado por el artículo 7 de la Resolución 7423 de 2024. El nuevo texto es el siguiente:> La emisión de los mensajes institucionales en televisión abierta tendrá un margen de flexibilidad de cinco (5) minutos de antelación o posterioridad, con respecto a la hora señalada para su inicio.
ARTÍCULO 16.4.9.10 CONTENIDO DE LOS ESPACIOS INSTITUCIONALES. <Artículo subrogado por el artículo 7 de la Resolución 7423 de 2024. El nuevo texto es el siguiente:> Salvo los espacios consagrados en el artículo 16.4.9.8 de la presente resolución, la Comisión de Regulación de Comunicaciones asignará los espacios institucionales y periódicamente suministrará a los operadores de televisión abierta, el material audiovisual correspondiente e informará los planes de emisión pertinentes.
ARTÍCULO 16.4.9.11 HORARIOS PARA LA TRANSMISIÓN DE LOS ESPACIOS INSTITUCIONALES DE ORIGEN LEGAL. <Artículo subrogado por el artículo 7 de la Resolución 7423 de 2024. El nuevo texto es el siguiente:> Los espacios de televisión destinados por la ley para divulgación política de los partidos y movimientos políticos -incluyendo aquellos que se declaren en oposición, de conformidad con lo dispuesto en el artículo 13 de la Ley 1909 de 2018, o aquel que lo modifique, adicione o sustituya-, deberán ser presentados siempre, de lunes a viernes, por todos los operadores del servicio de televisión abierta y el concesionario de espacios de televisión en el canal nacional de operación pública, en el horario comprendido entre las 19:00 horas y las 19:02 horas. Lo anterior sin perjuicio de la transmisión de la propaganda electoral a que haya lugar, de conformidad con lo dispuesto por el Consejo Nacional Electoral y la Comisión de Regulación de Comunicaciones, durante el período electoral, según la Ley 130 de 1994 o aquella que la modifique, adicione o sustituya; así como sin perjuicio de los demás espacios para el ejercicio de la oposición dispuestos por la Ley 1909 de 2018, o aquella que la modifique, adicione o sustituya.
Los espacios de televisión asignados para las Asociaciones de Consumidores debidamente reconocidas por la ley se emitirán de lunes a viernes, por parte de los operadores del servicio de televisión abierta y el concesionario de espacios de televisión en el canal nacional de operación pública, así:
De las 12:28':30" a las 12:30':00" horas. De las 22:05':00" a las 22:06':30" horas.
Los espacios de televisión reservados por la normatividad vigente para el ICBF tendrán un (1) minuto de duración diaria, y los mensajes correspondientes deberán emitirse de lunes a viernes, por todos los operadores del servicio de televisión abierta y el concesionario de espacios de televisión en el canal nacional de operación pública, en el horario comprendido entre las 19:00 y las 20:00 horas.
Los espacios de televisión destinados a la emisión de mensajes de prevención contra el consumo de cigarrillos, tabaco y sus derivados, serán emitidos por los operadores del servicio de televisión abierta, tres (3) veces a la semana, con una duración máxima de treinta (30) segundos, en el horario que determine la Comisión de Regulación de Comunicaciones. Estos espacios serán asignados de forma gratuita y rotatoria por la Comisión de Regulación de Comunicaciones.
PARÁGRAFO 1o. La emisión de los programas destinados por la ley para los partidos y movimientos políticos, y los asignados a las Asociaciones de Consumidores debidamente reconocidas, podrá realizarse con cinco (5) minutos de antelación o posterioridad con respecto a la hora señalada en el presente artículo.
PARÁGRAFO 2o. En caso de que los operadores de televisión abierta local y operadores comunitarios no se encuentren al aire en los horarios respectivos, estos deberán ajustar el cumplimiento de los Planes de Emisión a los horarios en que emita su programación diaria, previas las aprobaciones a que hubiere lugar.
La emisión de los programas destinados por la ley para los partidos y movimientos políticos, y los asignados a las Asociaciones de Consumidores debidamente reconocidas, por parte de los operadores de televisión abierta local y operadores comunitarios se realizará en los horarios previstos en la presente sección.
ARTÍCULO 16.4.9.12 ESPACIO INSTITUCIONAL ASIGNADO AL MINUTO DE DIOS. <Artículo modificado por el artículo 8 de la Resolución 7423 de 2024. El nuevo texto es el siguiente:> El espacio institucional asignado al Minuto de Dios se presentará de lunes a viernes, por todos los operadores del servicio de televisión abierta y el concesionario
de espacios de televisión en el canal nacional de operación pública, en el horario comprendido entre las 19:02 horas y las 19:03 horas.
En caso de no recibir el programa diario del Minuto de Dios, los operadores del servicio de televisión abierta y el concesionario de espacios de televisión en el canal nacional de operación pública, deberán emitir el mensaje institucional que para tal efecto se haya indicado en los respectivos Planes de Emisión.
PARÁGRAFO. La emisión del mensaje del Minuto de Dios transmitido en el espacio mencionado en este artículo tendrá un margen de flexibilidad de cinco minutos de antelación o posterioridad con respecto a la hora aquí señalada.
ARTÍCULO 16.4.9.13 MODIFICACIÓN DE LOS HORARIOS DE EMISIÓN DE LOS ESPACIOS INSTITUCIONALES. <Artículo subrogado por el artículo 7 de la Resolución 7423 de 2024. El nuevo texto es el siguiente:> Sin perjuicio de lo previsto en el literal d) del artículo 16.4.9.6 de la presente resolución, para modificar los horarios de emisión de los espacios institucionales en televisión abierta se deberá tener en cuenta lo siguiente:
a) Para modificar los horarios de emisión de los espacios institucionales asignados a los partidos y movimientos políticos debidamente constituidos, se deberá contar con la previa aprobación expresa del representante legal del partido o movimiento político al cual le corresponde hacer la intervención el día en que se pretende hacer la modificación, o a quien este delegue.
b) Para modificar los horarios de emisión de los espacios institucionales asignados a la Asociación de Consumidores que se determine, se deberá contar con la previa aprobación expresa del representante legal de dicha asociación, o a quien este delegue.
c) Para modificar los horarios de emisión de los espacios institucionales asignados al ICBF, se deberá contar con la previa aprobación expresa del representante legal del ICBF, o a quien este delegue.
d) Para modificar los horarios de emisión de los demás espacios institucionales se deberá contar con la previa aprobación expresa de la Comisión de Regulación de Comunicaciones.
PARÁGRAFO. En el caso de los operadores de televisión abierta local, cuando estos no se encuentren al aire en los horarios respectivos, deberán ajustar el cumplimiento de los planes de emisión a los horarios que admita su programación diaria.
ARTÍCULO 16.4.9.14 ASIGNACIÓN DEL MOMENTO DE EMISIÓN DE LOS ESPACIOS INSTITUCIONALES. <Artículo subrogado por el artículo 7 de la Resolución 7423 de 2024. El nuevo texto es el siguiente:> Con excepción de los espacios institucionales de que tratan los artículos 16.4.9.11 y 16.4.9.12 de la presente resolución, cada quince días contados a partir de la fecha en que se comiencen a emitir bajo el esquema señalado en la presente resolución los espacios institucionales, la Comisión de Regulación de Comunicaciones les informará a los operadores del servicio de televisión en todos los niveles de cubrimiento y a los concesionarios de espacios de televisión el tema al que se le deberá dar prioridad y una ubicación preferencial dentro de los cortes de comerciales.
ARTÍCULO 16.4.9.15 ENTREGA DEL MATERIAL AUDIOVISUAL A EMITIR EN LOS ESPACIOS INSTITUCIONALES. <Artículo subrogado por el artículo 7 de la Resolución 7423 de 2024. El nuevo texto es el siguiente:> La entrega a cada operador de televisión abierta del material audiovisual a emitir en los espacios asignados a los partidos y movimientos políticos, a la Asociación de Consumidores y al ICBF deberá hacerla cada una de estas entidades con por lo menos, doce (12) horas de antelación al respectivo horario de emisión.
El material audiovisual que se debe emitir en los demás espacios institucionales será suministrado, por lo menos con la misma antelación, por parte de la Comisión de Regulación de Comunicaciones o por la entidad que esta indique.
En todo caso, la entrega del material deberá hacerse en el formato que cada uno de los operadores utilice para la emisión.
ARTÍCULO 16.4.9.16 ESPACIOS CONGRESO DE LA REPÚBLICA. <Artículo subrogado por el artículo 7 de la Resolución 7423 de 2024. El nuevo texto es el siguiente:> De conformidad con lo establecido en el artículo 88 de la Ley 5ª de 1992, se garantiza a las Cámaras Legislativas el acceso gratuito al servicio de televisión abierta, para lo cual tendrán en cada uno de los operadores objeto de la presente sección, un espacio semanal de treinta minutos, en horario triple A.
Cada operador deberá otorgar a cada Cámara Legislativa el espacio respectivo, indicando el día y horario de emisión, los cuales serán fijos y alternados cada ocho (8) días entre las dos Cámaras. Es decir, una semana se radiodifundirá el espacio del Senado de la República y la semana siguiente se emitirá el espacio de la Cámara de Representantes.
La decisión que sobre el particular adopte cada operador deberá ser informada a la Comisión de Regulación de Comunicaciones.
En todo caso, para la emisión de los espacios asignados al Congreso de la República se deberá tener en cuenta la reglamentación vigente al momento de su transmisión.
Para modificar los horarios de emisión de estos espacios, el respectivo concesionario deberá contar con la previa aprobación expresa del representante legal de la Cámara del Congreso de la República que corresponda, o a quien este delegue. No obstante, cuando la transmisión del programa del Congreso de la República deba realizarse en un horario en el cual se esté emitiendo un evento especial en directo, dicho programa podrá emitirse inmediatamente termine el señalado evento especial en directo. Se entiende como evento especial en directo aquel que no hace parte de la programación habitual y que se radiodifunde de manera simultánea a su realización.
PARÁGRAFO 1o. En el caso de los operadores del servicio de televisión privados de cubrimiento nacional, la emisión de los programas del Congreso de la República será en el horario comprendido entre las 19:02 y las 19:32 horas, los jueves. Las condiciones de emisión y modificación de horario son las establecidas en el presente artículo.
PARÁGRAFO 2o. En el caso del concesionario de espacios de televisión, la emisión de los programas del Congreso de la República será en el horario comprendido entre las 19:30 y las 20:00 horas, los viernes. Las condiciones de emisión y modificación de horario son las establecidas en el presente artículo.
PARÁGRAFO 3o. En los eventos en que cualquiera de las Cámaras del Congreso de la República acuerde con el operador de televisión la transmisión del espacio aquí consagrado de manera diferente a la indicada en el presente artículo, dicha situación se deberá informar a la Comisión de Regulación de Comunicaciones. En todo caso deberá cumplirse lo dispuesto en el artículo 88 de la Ley 5ª de 1992 o aquella norma que la modifique, adicione o sustituya.
ARTÍCULO 16.4.9.17 ENTREGA DEL MATERIAL AUDIOVISUAL DE LOS ESPACIOS DEL CONGRESO DE LA REPÚBLICA. <Artículo subrogado por el artículo 7 de la Resolución 7423 de 2024. El nuevo texto es el siguiente:> La entrega a cada operador del material audiovisual a radiodifundir en estos espacios deberá hacerla el Congreso de la República con, por lo menos, doce (12) horas de antelación al respectivo horario de emisión, en el formato que utilice para la emisión cada uno de los operadores.
ARTÍCULO 16.4.9.18 FLEXIBILIDAD PARA LA EMISIÓN DE LOS PROGRAMAS DEL CONGRESO DE LA REPÚBLICA. <Artículo subrogado por el artículo 7 de la Resolución 7423 de 2024. El nuevo texto es el siguiente:> La emisión de los programas en los espacios asignados al Congreso de la República tendrá un margen de flexibilidad de cinco (5) minutos de antelación o posterioridad con respecto a la hora señalada para su inicio.
ARTÍCULO 16.4.9.19 ESPACIOS INSTITUCIONALES DETERMINADOS PARA LA COMISIÓN DE REGULACIÓN DE COMUNICACIONES. <Artículo subrogado por el artículo 7 de la Resolución 7423 de 2024. El nuevo texto es el siguiente:> La Comisión de Regulación de Comunicaciones podrá utilizar los espacios institucionales de televisión para transmitir mensajes dirigidos a los niños hasta los doce (12) años, a través de los cuales se les invita a descansar; estos serán emitidos de lunes a viernes por los operadores de televisión abierta y el concesionario de espacios de televisión, en los siguientes horarios:
- Para los niños hasta los diez (10) años, será transmitido a las 20:00 y a las 20:29:25 horas.
- Para los niños entre los diez (10) y doce (12) años, será transmitido a las 21:30 horas.
PARÁGRAFO. La presentación de los mensajes transmitidos en los espacios institucionales mencionados tendrá un margen de flexibilidad de cinco minutos de antelación o posterioridad con respecto a la hora aquí señalada.
ARTÍCULO 16.4.9.20 DE LA MODIFICACIÓN DE LOS HORARIOS DETERMINADOS PARA LA COMISIÓN DE REGULACIÓN DE COMUNICACIONES. <Artículo subrogado por el artículo 7 de la Resolución 7423 de 2024. El nuevo texto es el siguiente:> Para modificar los horarios de transmisión de los mensajes establecidos en el artículo 16.4.9.19 de esta resolución, se deberá contar con la aprobación previa y expresa del representante legal de la Comisión de Regulación de Comunicaciones.
ARTÍCULO 16.4.9.21 REQUISITOS PARA LA PRESENTACIÓN DE LOS ESPACIOS INSTITUCIONALES PARA LA COMISIÓN DE REGULACIÓN DE COMUNICACIONES. <Artículo subrogado por el artículo 7 de la Resolución 7423 de 2024. El nuevo texto es el siguiente:> El artículo 16.4.9.4 de la presente resolución no tiene aplicación en el caso de la transmisión de los mensajes en los espacios institucionales determinados para la Comisión de Regulación de Comunicaciones.
ARTÍCULO 16.4.9.22 SUPERIMPOSICIÓN DE LOS ESPACIOS INSTITUCIONALES. <Artículo subrogado por el artículo 7 de la Resolución 7423 de 2024. El nuevo texto es el siguiente:> Estos mensajes podrán transmitirse en superimposición o comprimidos cuando en el horario aquí establecido se esté transmitiendo un evento especial en directo.
ARTÍCULO 16.4.9.23 ESPACIOS INSTITUCIONALES EN EL CONCESIONARIO DE ESPACIOS DE TELEVISIÓN EN EL CANAL NACIONAL DE OPERACIÓN PÚBLICA. <Artículo subrogado por el artículo 7 de la Resolución 7423 de 2024. El nuevo texto es el siguiente:> Dentro de los primeros dos (2) meses de cada año, el concesionario de espacios de televisión en el canal nacional de operación pública deberá enviar a la Comisión de Regulación de Comunicaciones un documento que indique la manera en que dará cumplimiento a lo previsto sobre emisión de espacios institucionales.
PARÁGRAFO. El margen de flexibilidad de que trata el artículo 16.4.9.9 de la presente resolución, para el caso del concesionario al que se refiere el presente artículo será de diez (10) minutos de antelación o posterioridad con respecto a la hora señalada para el inicio de la emisión de los espacios institucionales.
ARTÍCULO 16.4.9.24 EXCEPCIONES. <Artículo subrogado por el artículo 7 de la Resolución 7423 de 2024. El nuevo texto es el siguiente:> En casos excepcionales la Comisión de Regulación de Comunicaciones se reserva el derecho de autorizar la emisión de los espacios institucionales en televisión abierta en condiciones diferentes a las previstas en este capítulo, salvo cuando se trate de los mensajes consagrados en el artículo 16.4.9.8 de la presente resolución.
ARTÍCULO 16.4.9.25 INTERÉS PÚBLICO. <Artículo subrogado por el artículo 7 de la Resolución 7423 de 2024. El nuevo texto es el siguiente:> Cuando sea necesario por circunstancias excepcionales de interés público, y a juicio de la Comisión de Regulación de Comunicaciones, los mensajes institucionales podrán ser presentados temporalmente en bloques.
ARTÍCULO 16.4.9.26 COSTOS DE PRODUCCIÓN. <Artículo subrogado por el artículo 7 de la Resolución 7423 de 2024. El nuevo texto es el siguiente:> Los costos de producción de los espacios institucionales a que se refiere la presente sección serán asumidos por cada entidad pública o por cada Organización No Gubernamental solicitante.
ARTÍCULO 16.4.9.27 RESPONSABILIDAD POR EL CONTENIDO DE LOS ESPACIOS INSTITUCIONALES. <Artículo subrogado por el artículo 7 de la Resolución 7423 de 2024. El nuevo texto es el siguiente:> La responsabilidad por el contenido de los espacios institucionales en televisión abierta será exclusivamente de la entidad a la cual se le asigna el espacio respectivo, sin perjuicio de las verificaciones que efectúe la Comisión de Regulación de Comunicaciones frente a esta materia.
En todo caso, esta Comisión tendrá la facultad de autorizar o negar la emisión de los espacios institucionales teniendo en cuenta las disposiciones consagradas en la regulación vigente, así como de determinar la hora de inicio de su emisión dentro de los tiempos diarios reservados previstos en el presente capítulo.
CANAL INSTITUCIONAL.
ARTÍCULO 16.4.10.1 SEÑAL INSTITUCIONAL. <Artículo modificado por el artículo 8 de la Resolución 7423 de 2024. El nuevo texto es el siguiente:> El Canal Señal Institucional, a cargo del Operador Público Nacional, estará destinado a la emisión de programación de carácter institucional del Estado colombiano de entidades del nivel nacional y contará con una programación mínima de veintitrés (23) horas diarias.
ARTÍCULO 16.4.10.2 PROGRAMACIÓN HABITUAL DE INTERÉS PÚBLICO NACIONAL. <Artículo modificado por el artículo 8 de la Resolución 7423 de 2024. El nuevo texto es el siguiente:> En los espacios del Canal Señal Institucional, la Comisión de Regulación de Comunicaciones priorizará a las entidades públicas del orden nacional de la rama ejecutiva, legislativa y judicial, a los organismos de control y a las entidades autónomas del Estado.
De manera excepcional, la Comisión de Regulación de Comunicaciones se reserva la facultad de autorizar la participación de otras entidades que desarrollen funciones públicas, de organizaciones no gubernamentales que representen los intereses de la sociedad civil y de organismos internacionales de carácter multilateral.
La programación del Canal Institucional estará sujeta a los fines y principios del servicio y a las siguientes condiciones:
a) La programación debe ser de interés público nacional.
b) No se podrán presentar las actuaciones de las entidades y organismos de que trata la presente resolución como obra personal de sus gestores o administradores.
c) En ningún caso se permitirá realizar proselitismo político o religioso.
d) No se podrá atentar contra el pluralismo político, religioso, social y cultural.
e) No se podrá atentar contra la honra de las personas, de las instituciones o de los símbolos patrios.
PARÁGRAFO 1o. La Comisión de Regulación de Comunicaciones asignará y distribuirá periódicamente el total de horas de programación entre las entidades y organismos a que hace referencia la presente sección.
PARÁGRAFO 2o. En todo caso dentro de la programación del Canal Institucional tendrán prioridad las transmisiones de las alocuciones presidenciales y las sesiones del Congreso de la República, siguiendo los procedimientos establecidos en la ley.
ARTÍCULO 16.4.10.3 TRANSMISIÓN DE MENSAJES INSTITUCIONALES. <Artículo modificado por el artículo 8 de la Resolución 7423 de 2024. El nuevo texto es el siguiente:> El Canal Señal Institucional reservará quince (15) minutos diarios, de lunes a viernes, para la emisión de mensajes institucionales.
PARÁGRAFO. Cuando los mensajes institucionales no puedan ser emitidos en su horario habitual debido a la transmisión de las sesiones del Congreso de la República, o a la emisión de eventos de la Presidencia de la República o de eventos declarados de interés nacional, se distribuirá la emisión de los mensajes institucionales antes o después de dichas transmisiones.
ARTÍCULO 16.4.10.4 ESPACIOS DEL CONGRESO. <Artículo modificado por el artículo 8 de la Resolución 7423 de 2024. El nuevo texto es el siguiente:> El Congreso de la República tendrá un espacio de treinta (30) minutos los lunes y jueves, entre las 19:00 y las 22:00 horas, y los domingos entre las 11:00 y las 14:00 horas destinado a un informativo del Senado y de la Cámara de Representantes de la República.
Así mismo, podrán transmitir sus sesiones en el Canal Señal Institucional los martes, miércoles, jueves y viernes, de acuerdo con la solicitud que presenten los presidentes del Senado de la República y la Cámara de Representantes, al Operador Público Nacional – RTVC.
ARTÍCULO 16.4.10.5 FINANCIACIÓN DE LA PROGRAMACIÓN. <Artículo modificado por el artículo 8 de la Resolución 7423 de 2024. El nuevo texto es el siguiente:> Corresponderá a cada entidad cofinanciar los costos para la realización, producción, transmisión y emisión del programa.
MENSAJES CÍVICOS EN TELEVISIÓN ABIERTA, EN TODAS LAS MODALIDADES Y NIVELES DE CUBRIMIENTO.
ARTÍCULO 16.4.11.1. DE LA SOLICITUD DE CLASIFICACIÓN. <Artículo modificado por el artículo 8 de la Resolución 7423 de 2024. El nuevo texto es el siguiente:> La solicitud de clasificación de un mensaje como cívico será decidida por la CRC y deberá tener en cuenta lo siguiente:
a) La solicitud debe estar suscrita por el Representante Legal de la entidad, indicando el objeto de la misma y deberá incluir la vigencia, tiempo de duración, correo electrónico de la persona responsable y referencia del mismo.
b) Las solicitudes presentadas por entidades de la rama ejecutiva deberán estar acompañadas del respectivo aval por parte de la Presidencia de la República. Este requisito aplica en igual sentido para las entidades pertenecientes a la rama ejecutiva de los niveles territoriales.
c) El Representante Legal debe certificar que la entidad no cuenta dentro de su presupuesto con recursos para pautar o hacer publicidad en televisión.
d) El Representante Legal debe certificar que en el mensaje no aparecen funcionarios públicos, ni en audio, ni en video.
e) Incluir algún sistema que garantice a la población con discapacidad auditiva, el acceso al contenido del Mensaje Cívico (closed captioning, subtitulación o lengua de señas colombiana).
La responsabilidad por el contenido de los mensajes cívicos será exclusivamente de la entidad a la cual se le asigna el mensaje cívico".
PUBLICIDAD Y COMERCIALIZACIÓN.
PUBLICIDAD EN TELEVISIÓN ABIERTA NACIONAL.
ARTÍCULO 16.5.1.1 ADECUACIÓN DE LOS ANUNCIOS A FRANJA DE AUDIENCIA. <Artículo adicionado por el artículo 9 de la Resolución 7423 de 2024. El nuevo texto es el siguiente:> La publicidad en televisión abierta nacional deberá responder, según su contenido y tratamiento, a las franjas de audiencia en que se presenten. No se podrán transmitir en la franja infantil anuncios comerciales de producciones cinematográficas o de programas de televisión clasificados para mayores de edad o cuya temática sea apta solo para la franja de adultos, o que se encuentren ubicados en la franja de adultos.
En la franja familiar se podrá presentar esta clase de publicidad, siempre que sus imágenes y contenido se adecuen a la misma.
ARTÍCULO 16.5.1.2. OBLIGACIÓN DE REPORTE DE INFORMACIÓN. <Artículo adicionado por el artículo 1 de la Resolución 8075 de 2025. Rige a partir del 1 de julio de 2026. El nuevo texto es el siguiente:> Los operadores privados de canales de televisión abierta y el concesionario de espacios de televisión del canal nacional de operación pública deberán suministrar información relacionada con el mercado minorista de dos lados: distribución de contenidos – pauta publicitaria, compuesto por los siguientes mercados: a) distribución minorista de contenidos en canales de televisión abierta nacional operados por privados, con alcance nacional; y b) mercado minorista de espacios de publicidad en canales de televisión abierta nacional, en lo relativo a: i) información contable relacionada con: gastos, costos, activos e inversión, ii) contenidos emitidos dentro de la parrilla de programación, y; iii) negociaciones con anunciantes, agencias o centrales de medios, de conformidad con las guías que la CRC, vía circular administrativa, establezca para la captura de esta información. El reporte de la información se deberá realizar dentro de los treinta (30) días siguientes a la terminación de cada semestre del año.
PARÁGRAFO. La información recolectada en cumplimiento de la obligación contenida en este artículo servirá como insumo para realizar el monitoreo que se efectúa sobre el mercado minorista de dos lados: distribución de contenidos – pauta publicitaria, compuesto por los siguientes mercados: a) distribución minorista de contenidos en canales de televisión abierta nacional operados por privados, con alcance nacional, el cual se encuentra contenido en la lista de mercados relevantes susceptibles de regulación ex ante del Anexo 3.2 de la presente resolución; y b) mercado minorista de espacios de publicidad en canales de televisión abierta nacional.
PUBLICIDAD EN SEÑAL COLOMBIA.
ARTÍCULO 16.5.2.1 AUTORIZACIÓN DE FINANCIAMIENTO. <Artículo modificado por el artículo 10 de la Resolución 7423 de 2024. El nuevo texto es el siguiente:> Los programas de Señal Colombia podrán recibir aportes, colaboraciones, auspicios y patrocinios de conformidad con la reglamentación que se establece en la presente sección.
ARTÍCULO 16.5.2.2 APORTE. <Artículo modificado por el artículo 10 de la Resolución 7423 de 2024. El nuevo texto es el siguiente:> Se entiende por aporte la contribución de cualquier bien o servicio en favor de RTVC, destinada a apoyar la actividad de Señal Colombia de manera general y sin referencia a un programa específico.
ARTÍCULO 16.5.2.3 AUSPICIO. <Artículo modificado por el artículo 10 de la Resolución 7423 de 2024. El nuevo texto es el siguiente:> Se entiende por auspicio la contribución que se efectúa a Señal Colombia para que se produzca un programa específico o para que se adquieran los derechos de transmisión.
ARTÍCULO 16.5.2.4 COLABORACIÓN. <Artículo modificado por el artículo 10 de la Resolución 7423 de 2024. El nuevo texto es el siguiente:> Se entiende por colaboración el suministro de uno o varios programas determinados y de sus derechos de emisión para ser transmitidos por Señal Colombia.
ARTÍCULO 16.5.2.5 PATROCINIO. <Artículo modificado por el artículo 10 de la Resolución 7423 de 2024. El nuevo texto es el siguiente:> Se entiende por patrocinio la contribución que se efectúe a Señal Colombia para la emisión de uno o varios programas o secciones de este, o estos, que hayan sido producidos, o cuyos derechos de emisión ya hayan sido adquiridos.
ARTÍCULO 16.5.2.6 RECONOCIMIENTO. <Artículo modificado por el artículo 10 de la Resolución 7423 de 2024. El nuevo texto es el siguiente:> La persona o personas, naturales o jurídicas, que presten su contribución a Señal Colombia mediante aportes, auspicios, colaboraciones o patrocinios tendrán derecho a que se reconozca su contribución, de acuerdo con lo establecido en la presente resolución.
Se entiende por reconocimiento, la referencia que se haga a la persona o personas que realicen una contribución a Señal Colombia, o a la empresa, marca, producto o servicio que estas indiquen.
ARTÍCULO 16.5.2.7 FORMA DE PRESENTACIÓN DE LOS RECONOCIMIENTOS. <Artículo modificado por el artículo 10 de la Resolución 7423 de 2024. El nuevo texto es el siguiente:> Para todas las formas de contribución establecidas en la presente sección (aportes, auspicios, colaboraciones y patrocinios) el reconocimiento consistirá en la presentación del diseño característico que sirve de emblema a la persona o personas que hayan realizado la contribución, a la empresa, marca, producto, servicio que dichas personas indiquen y podrán efectuarse en forma hablada, visual o en ambas formas con ayudas estáticas, o animadas, sin la participación de modelos vivos y podrá incluirse lema, agregado o calificación.
Únicamente se permitirá la inclusión de modelos vivos cuando se trate de campañas institucionales o mensajes que promuevan acciones de beneficio colectivo y de interés exclusivamente social y comunitario.
PUBLICIDAD EN CANALES REGIONALES.
El bloque debe estar encabezado por una cortinilla cuya duración no debe ser superior a cinco (5) segundos y deberá llevar la palabra "clasificados".
<Acuerdo CNTV 2 de 1995; Art. 21>
(...)
ARTÍCULO 16.5.2.22 EJECUCIÓN DEL REGLAMENTO. <Artículo adicionado por el artículo 3 de la Resolución 6383 de 2021. El nuevo texto es el siguiente:> Los representantes legales de los canales regionales de televisión expedirán las normas e impartirán las órdenes necesarias para la debida ejecución de las disposiciones contenidas en la presente sección, deberán asegurar el cumplimiento del servicio público de televisión y reglamentarán los siguientes aspectos, siempre y cuando estas facultades no estén atribuidas a la Comisión de Regulación de Comunicaciones:
a) Mensajes cívicos e institucionales y las disposiciones que deben cumplir.
b) Contabilización de tiempo comercial y libretos de comerciales.
c) Tarifas de los servicios de comercialización.
d) Trámite administrativo para codificación y recibo de anuncios comerciales, formato de emisión y especificaciones técnicas.
e) Fijación de la cuantía y procedimiento en la imposición de sanciones.
<Acuerdo CNTV 2 de 1995; Art. 29>
ARTÍCULO 16.5.3.1 COMERCIALIZACIÓN. <Artículo subrogado por el artículo 9 de la Resolución 7423 de 2024. El nuevo texto es el siguiente:> Para efectos del servicio de Televisión Regional se entiende como la actividad conexa en el servicio, tendiente a garantizar la emisión de la publicidad a través de los canales de televisión. Esta actividad podrá ser realizada por los operadores directamente, por intermedio de las empresas especializadas, o por los contratistas a quienes se les haya cedido este derecho. En todo caso, el operador de servicio público de televisión regional responderá por el cumplimiento de las disposiciones contenidas en la presente resolución.
ARTÍCULO 16.5.3.2 CONTENIDO DE LOS ANUNCIOS COMERCIALES. <Artículo subrogado por el artículo 9 de la Resolución 7423 de 2024. El nuevo texto es el siguiente:> Los anuncios comerciales en canales regionales deberán cumplir las siguientes condiciones: (i) no podrán contener inexactitudes, (ii) deberán atender las normas propias de la sana competencia y lealtad comercial, (iii) no podrán atentar contra el buen nombre y la honra de las personas, de las instituciones o de los símbolos patrios, (iv) no podrán contener alusiones, imágenes o frases que perjudiquen la formación de la infancia, y (v) deberán respetar los criterios y doctrinas de los diferentes cultos y religiones y cuidar la calidad artística y estética.
ARTÍCULO 16.5.3.3 ADECUACIÓN DE LOS ANUNCIOS A LA FRANJA DE AUDIENCIA. <Artículo subrogado por el artículo 9 de la Resolución 7423 de 2024. El nuevo texto es el siguiente:> Los anuncios comerciales deberán ajustarse en su contenido y tratamiento a las franjas de audiencia en que se presente. En ningún caso podrán emitirse en horarios dirigidos a la audiencia infantil, anuncios comerciales de producciones cinematográficas clasificadas para mayores de dieciocho (18) años, o de programas cuyo contenido haya sido diseñado para la audiencia de la franja de adultos o que se encuentren ubicados en la franja de adultos.
En la franja familiar se podrá presentar esta clase de anuncios comerciales, siempre que las imágenes y el contenido de estos se adecuen a dicha franja.
ARTÍCULO 16.5.3.4 ANUNCIOS COMERCIALES NACIONALES Y EXTRANJEROS. <Artículo subrogado por el artículo 9 de la Resolución 7423 de 2024. El nuevo texto es el siguiente:> Los anuncios comerciales se clasifican, según el origen de sus recursos, en: nacionales, extranjeros y mixtos.
Son mixtos aquellos que en su realización cuenten con la combinación de recursos de origen nacional y extranjero.
PARÁGRAFO. Los anuncios comerciales mixtos y extranjeros tendrán un recargo en las tarifas que fijen los operadores del servicio público de televisión regional.
ARTÍCULO 16.5.3.5 COMERCIALES REGULARES. <Artículo subrogado por el artículo 9 de la Resolución 7423 de 2024. El nuevo texto es el siguiente:> Corresponden a la publicidad que se hace a una empresa, marca, producto o servicio que se transmite en los programas, en los cortes destinados para ello.
ARTÍCULO 16.5.3.6 COMERCIALES VIVOS. <Artículo subrogado por el artículo 9 de la Resolución 7423 de 2024. El nuevo texto es el siguiente:> Son aquellos que se realizan en el mismo estudio o lugar donde se origina o transmite el programa que lo incluye.
Para la transmisión de anuncios comerciales, relativos a rifas, sorteos y concursos, o para la realización de estos últimos dentro de los programas, se requerirá la presentación de la licencia o licencias expedidas por las autoridades competentes, ante el representante legal del operador del servicio de televisión regional, con veinticuatro (24) horas de anticipación.
ARTÍCULO 16.5.3.7 REPOSICIÓN DE ANUNCIOS COMERCIALES. <Artículo subrogado por el artículo 9 de la Resolución 7423 de 2024. El nuevo texto es el siguiente:> Cuando un anuncio comercial no se trasmita debido a fallas originadas en los operadores del servicio público de televisión regional, el representante legal de dicho operador autorizará la reposición del tiempo comercial, previa solicitud escrita que presente el interesado dentro de los ocho (8) días siguientes a la ocurrencia del hecho.
De dicha reposición deberá hacerse uso dentro de los noventa (90) días siguientes a la autorización escrita del representante legal del operador del servicio público de televisión regional.
ARTÍCULO 16.5.3.8 CODIFICACIÓN DE COMERCIALES. <Artículo subrogado por el artículo 9 de la Resolución 7423 de 2024. El nuevo texto es el siguiente:> Los anuncios comerciales, cualquiera sea su clasificación, deberán ser aprobados y codificados, de acuerdo con el trámite administrativo y los requisitos que los operadores del servicio público de televisión regional señalen para el efecto.
ARTÍCULO 16.5.3.9 PERMISOS DE AUTORIDAD COMPETENTE PARA DETERMINADOS ANUNCIOS COMERCIALES. <Artículo subrogado por el artículo 9 de la Resolución 7423 de 2024. El nuevo texto es el siguiente:> Los anuncios comerciales referentes a marcas, productos o servicios, cuya emisión requiera permiso, autorización o certificación de alguna autoridad, de acuerdo con las disposiciones legales vigentes, se aprobarán una vez sean presentados al operador los documentos que expidan las autoridades competentes.
ARTÍCULO 16.5.3.10 INCENTIVOS COMERCIALES PARA PROGRAMAS ESPECIALES. <Artículo subrogado por el artículo 9 de la Resolución 7423 de 2024. El nuevo texto es el siguiente:> Los operadores del servicio de televisión regional, de acuerdo con las condiciones y necesidades de cada región, podrán crear y disponer estímulos comerciales, con el fin de promover la producción de programas que contribuyan de manera especial y directa al cabal cumplimiento de los fines del servicio público de televisión.
PUBLICIDAD EN TELEVISIÓN ABIERTA LOCAL CON ÁNIMO DE LUCRO.
ARTÍCULO 16.5.4.1 COMERCIALIZACIÓN. <Artículo subrogado por el artículo 9 de la Resolución 7423 de 2024. El nuevo texto es el siguiente:> Se entiende por comercialización el acto por medio del cual los operadores introducen anuncios comerciales en los espacios y tiempos definidos por la Comisión de Regulación de Comunicaciones a fin de propiciar la financiación de su operación.
Los operadores del servicio de televisión abierta local con ánimo de lucro podrán incluir anuncios comerciales en sus emisiones.
ARTÍCULO 16.5.4.2 CONTENIDO DE LOS MENSAJES O ANUNCIOS COMERCIALES. <Artículo subrogado por el artículo 9 de la Resolución 7423 de 2024. El nuevo texto es el siguiente:> Los mensajes comerciales deberán ser veraces, atender las normas propias de la sana competencia y lealtad comercial, no atentar contra la honra de las personas, de las instituciones o de los símbolos patrios, ni contener alusiones, imágenes o frases que perjudiquen la formación de la infancia.
ARTÍCULO 16.5.4.3 ADECUACIÓN DE LOS MENSAJES A LA FRANJA DE AUDIENCIA. <Artículo subrogado por el artículo 9 de la Resolución 7423 de 2024. El nuevo texto es el siguiente:> La publicidad deberá responder, según su contenido y tratamiento a las franjas de audiencia en que se presenten. No se podrán transmitir en la franja infantil anuncios comerciales de producciones cinematográficas o de programas de televisión clasificados para mayores de edad o cuya temática sea apta solo para la franja de adultos.
En la franja familiar se podrá presentar esta clase de publicidad, siempre que sus imágenes y contenido se adecuen a la misma.
ARTÍCULO 16.5.4.4 PERMISOS DE AUTORIDAD COMPETENTE PARA DETERMINADOS ANUNCIOS COMERCIALES. <Artículo subrogado por el artículo 9 de la Resolución 7423 de 2024. El nuevo texto es el siguiente:> Los anuncios comerciales referentes a marcas, productos o servicios cuya emisión requiera permiso, autorización o certificación de alguna autoridad, de acuerdo con las disposiciones legales vigentes, serán permitidos por el operador una vez le sean presentados los documentos que expidan las autoridades competentes.
PUBLICIDAD EN TELEVISIÓN ABIERTA LOCAL SIN ÁNIMO DE LUCRO.
ARTÍCULO 16.5.5.1 RECONOCIMIENTO. <Artículo subrogado por el artículo 9 de la Resolución 7423 de 2024. El nuevo texto es el siguiente:> El operador de televisión abierta local sin ánimo de lucro reconocerá las contribuciones efectuadas por terceros mediante una referencia de la persona, empresa, marca, producto o servicio que ella indique, la cual consistirá en la presentación del diseño característico que le sirve de emblema, en forma hablada, visual o en ambas formas, con ayudas estáticas o animadas, sin la participación de modelos vivos y podrán incluir lema, agregado o calificación.
Únicamente se permitirá la inclusión de modelos vivos cuando se trate de campañas institucionales o mensajes que promuevan acciones de beneficio colectivo y de interés exclusivamente social y comunitario.
ARTÍCULO 16.5.5.2 COMERCIALIZACIÓN. <Artículo subrogado por el artículo 9 de la Resolución 7423 de 2024. El nuevo texto es el siguiente:> Cuando se trate de transmisiones de eventos culturales y recreativos especiales, se aplicarán las normas previstas para la comercialización en el concesionario de espacios de televisión.
PUBLICIDAD EN TELEVISIÓN COMUNITARIA.
ARTÍCULO 16.5.6.1 COMERCIALIZACIÓN DEL CANAL COMUNITARIO. <Artículo subrogado por el artículo 9 de la Resolución 7423 de 2024. El nuevo texto es el siguiente:> La publicidad, al igual que la programación, debe respetar la normatividad vigente en materia de contenidos, franjas y demás derechos de los televidentes. En ningún caso estos operadores podrán interrumpir o alterar el contenido de las señales incidentales o las codificadas para incluir en ellas comerciales desde territorio colombiano.
PUBLICIDAD DE ALCOHOL.
ARTÍCULO 16.5.7.1 OBJETO Y ÁMBITO DE APLICACIÓN. <Artículo subrogado por el artículo 9 de la Resolución 7423 de 2024. El nuevo texto es el siguiente:> La presente sección tiene por objeto regular la emisión de publicidad de bebidas con contenido alcohólico en los canales de televisión abierta, cerrada y satelital.
ARTÍCULO 16.5.7.2 PUBLICIDAD. <Artículo subrogado por el artículo 9 de la Resolución 7423 de 2024. El nuevo texto es el siguiente:> Para efectos de la presente sección se considera publicidad toda comunicación emitida por encargo dentro de un programa de televisión, cuyo objetivo es dar a conocer las características, cualidades y atributos de un producto, nombre, marca, servicio, concepto o ideología, con el fin de generar presencia, recordación o aceptación, y de persuadir o influir en los hábitos o gustos del televidente.
PARÁGRAFO. No se considerará como publicidad en el servicio de televisión:
a) Las vallas, logotipos o diseños representativos de marcas o empresas productoras de bebidas con contenido alcohólico, de conformidad con el marco legal vigente, cuando formen parte natural de un escenario en que se emita un evento deportivo o cultural, siempre y cuando no se haga énfasis en ellos, no sean objeto de primeros planos, y no ocupen preponderantemente la pantalla.
b) Aquellas referencias del nombre de una marca o empresa productora de bebidas con contenido alcohólico relacionadas con el patrocinio de un evento deportivo o cultural, o cuando las referencias sean realizadas en los programas informativos, noticieros o de opinión, siempre que la índole de la noticia o el tema del programa forzosamente la involucre.
ARTÍCULO 16.5.7.3 CLASIFICACIÓN. <Artículo subrogado por el artículo 9 de la Resolución 7423 de 2024. El nuevo texto es el siguiente:> Para efectos de la presente sección se tendrán en cuenta las siguientes definiciones:
Publicidad Directa: Es aquella por medio de la cual se presenta el producto, empresa, marca o servicio identificado por un diseño gráfico o caracterización sonora o visual, con el fin expreso de estimular o inducir a su consumo, o mantener o conservar su presencia, e involucra la acción de ingerir la bebida.
Publicidad Indirecta: Es aquella que utiliza el producto, marca o diseño gráfico o caracterización sonora o visual de una empresa o producto, para promover el uso o consumo de bienes o servicios sin mencionar los atributos de aquellos.
Publicidad Promocional: Es aquella que, mediante la utilización de un diseño gráfico o caracterización sonora o visual de una empresa, marca, producto o servicio, sin mencionar los atributos propios de su naturaleza, se dirige exclusivamente a promover, patrocinar o denominar un evento deportivo o cultural, específicamente determinado.
ARTÍCULO 16.5.7.4 HORARIOS E INTENSIDAD DE LA PUBLICIDAD. <Artículo subrogado por el artículo 9 de la Resolución 7423 de 2024. El nuevo texto es el siguiente:> La publicidad de bebidas con contenido alcohólico en televisión únicamente podrá transmitirse en los horarios y con la intensidad que a continuación se establece:
a) Publicidad Promocional: Dentro de un mes antes del evento cultural o deportivo, en la franja de programación para adultos, y durante la transmisión del evento deportivo o cultural que se promueve, patrocina o denomina.
b) Publicidad Indirecta: En la franja de programación para adultos.
c) Publicidad Directa: No podrá transmitirse en ningún horario por el servicio de televisión.
PARÁGRAFO 1o. Cada operador del servicio de televisión que emita publicidad de bebidas con contenido alcohólico deberá transmitir sin costo alguno una campaña explícitamente preventiva sobre los riesgos y efectos de su consumo, en franja familiar, por el equivalente al 10% del tiempo utilizado semanalmente para la publicidad de dichos productos.
PARÁGRAFO 2o. Los programas que se emitan en cualquier franja, cuyo contenido esté especialmente dirigido a menores de edad, no podrá incluir o emitir ningún tipo de publicidad de que trata la presente sección.
ARTÍCULO 16.5.7.5 CONDICIONES PARA LA EMISIÓN. <Artículo subrogado por el artículo 9 de la Resolución 7423 de 2024. El nuevo texto es el siguiente:> Durante la emisión de la publicidad a que se refiere la presente sección, se observarán las siguientes reglas:
a) No podrá contener apartes o escenas en las que se exprese de manera visual o auditiva la acción de ingerir bebidas con contenido alcohólico.
b) No podrán participar en ella ni caracterizarla personas o modelos que sean, representen o aparenten ser menores de edad o mujeres embarazadas.
c) Deberá incorporarse el siguiente texto como advertencia de los efectos nocivos del producto para la salud, en caracteres visibles y en audio a la misma velocidad de la emisión del comercial: "El exceso de alcohol es perjudicial para la salud" y "Prohíbase el expendio de bebidas embriagantes a menores de edad".
d) La publicidad de estos productos no podrá asociar su consumo con el éxito o el logro de metas personales, sexuales, profesionales, económicas o sociales, ni afirmar o sugerir que el consumo sea algo deseable u opción válida para resolver problemas, ni ofrecer una imagen negativa de la abstinencia o de la sobriedad.
e) Deberá ser veraz y objetiva.
f) No podrá atentar contra la honra, el buen nombre, la intimidad de las personas y los derechos, libertades, y principios que reconoce la Constitución Política.
g) No podrá contener imágenes que por su naturaleza atraiga la atención de la audiencia infantil.
h) No podrá aludir que el consumo de alcohol tiene cualidades curativas o terapéuticas.
i) No podrá contener imágenes o mensajes que relacionen el consumo de bebidas con contenido alcohólico con la conducción de vehículos.
ARTÍCULO 16.5.7.6 AUTORREGULACIÓN. <Artículo subrogado por el artículo 9 de la Resolución 7423 de 2024. El nuevo texto es el siguiente:> Sin perjuicio de lo dispuesto en la presente sección, los operadores del servicio de televisión deberán implementar mecanismos de autorregulación y autocontrol para la emisión de publicidad de que trata este reglamento, informando de ello a la Comisión de Regulación de Comunicaciones.
EVENTOS ESPECIALES.
UTILIZACIÓN DE ESPACIOS DE TELEVISIÓN.
ARTÍCULO 16.6.1.1 PROGRAMAS DE INTERÉS PÚBLICO Y SOCIAL. <Artículo adicionado por el artículo 3 de la Resolución 6383 de 2021. El nuevo texto es el siguiente:> La Comisión de Regulación de Comunicaciones podrá declarar de interés público y social un evento o programa de televisión, a nivel nacional, regional, local o comunitario, de oficio o a solicitud de alguna persona.
La radiodifusión de estos programas no generará indemnización alguna en favor del operador de televisión afectado.
<Acuerdo CNTV 2 de 2011; Art. 4 incisos 2 y 3>
ARTÍCULO 16.6.1.2 RESERVA DEL DERECHO DE UTILIZACIÓN EXTRAORDINARIA DE LOS ESPACIOS DE TELEVISIÓN. <Artículo adicionado por el artículo 3 de la Resolución 6383 de 2021. El nuevo texto es el siguiente:> La Comisión de Regulación de Comunicaciones se reserva el derecho de utilizar en el momento que lo estime conveniente, para transmitir eventos especiales de interés público y social, los espacios que considere necesarios en las estaciones locales.
Estas transmisiones podrán hacerse en directo, en forma continua o discontinua, desplazando programas habituales. En caso de que la extensión de la emisión lo amerite, la transmisión podrá hacerse en diferido.
El ejercicio de la facultad de declaratoria de interés público y social no se considerará como incumplimiento del contrato de concesión o como una afectación a la habilitación general y por lo tanto no dará lugar a indemnización alguna.
<Acuerdo CNTV 24 de 1997; Art. 26>
APLICACIÓN DE MECANISMOS ALTERNATIVOS DE REGULACIÓN PARA CONTENIDOS AUDIOVISUALES.
<Título derogado por el artículo 9 de la Resolución 7810 de 2025>
SERVICIO PÚBLICO DE RADIODIFUSIÓN SONORA.
GENERALIDADES.
MARCO GENERAL DEL SERVICIO.
ARTÍCULO 17.1.1.1. SERVICIO PÚBLICO DE RADIODIFUSIÓN SONORA. <Artículo adicionado por el artículo 3 de la Resolución 7885 de 2025. El nuevo texto es el siguiente:> La radiodifusión sonora es un servicio público, a cargo y bajo la titularidad del Estado, orientado a satisfacer necesidades de telecomunicaciones de los habitantes del territorio nacional y cuyas emisiones se destinan a ser recibidas por el público en general.
<Resolución MinTIC 2614 de 2022; Art. 3>
ARTÍCULO 17.1.1.2. FINALIDAD. <Artículo adicionado por el artículo 3 de la Resolución 7885 de 2025. El nuevo texto es el siguiente:> Sin perjuicio del ejercicio de la libertad de expresión, información y demás garantías constitucionales, los concesionarios del Servicio Público de Radiodifusión Sonora contribuirán a difundir la cultura y afirmar los valores esenciales de la nacionalidad colombiana y fortalecer la democracia. En los programas radiales deberá hacerse buen uso del idioma castellano.
<Resolución MinTIC 2614 de 2022; Art. 4>
ARTÍCULO 17.1.1.3. PRINCIPIOS ORIENTADORES. <Artículo adicionado por el artículo 3 de la Resolución 7885 de 2025. El nuevo texto es el siguiente:> La aplicación, cumplimiento, desarrollo e interpretación de las normas relativas al Servicio Público de Radiodifusión Sonora previstas en esta resolución tendrán por objeto la observancia de los siguientes principios:
17.1.1.3.1. Difusión de valores. En el Servicio Público de Radiodifusión Sonora se deberá difundir la cultura y la educación, así como afirmar los valores esenciales de la nacionalidad colombiana y fortalecer la democracia.
17.1.1.3.2. Pluralismo y libertad de expresión. En el Servicio Público de Radiodifusión Sonora se deberá garantizar el pluralismo político, ideológico, étnico, social y cultural en la difusión de información y opiniones, y asegurar la libre expresión de las personas, con sujeción a las leyes y reglamentos sobre la materia.
17.1.1.3.3. Responsabilidad social y derecho a la rectificación. En el Servicio Público de Radiodifusión Sonora se deberá hacer efectiva la responsabilidad social de los medios de comunicación en cuanto a la veracidad e imparcialidad en la información y la preeminencia del interés general sobre el particular, y se garantizará el derecho a la rectificación y réplica.
17.1.1.3.4. Promoción del desarrollo político, económico, social y cultural. El Servicio Público de Radiodifusión Sonora deberá promover el desarrollo político, económico, social y cultural de la población y la formación de los individuos, con sujeción a las finalidades del servicio.
17.1.1.3.5. Acceso y libre competencia. Se deberá asegurar el acceso equitativo, democrático y en igualdad de condiciones a las concesiones del Servicio Público de Radiodifusión Sonora y al uso del espectro radioeléctrico atribuido al servicio, y permitir la libre y leal competencia.
17.1.1.3.6. Protección de los derechos fundamentales. En el Servicio Público de Radiodifusión Sonora se garantizará el respeto a los derechos y garantías fundamentales de las personas y a la intimidad familiar e individual contra toda intromisión en el ejercicio de la prestación de dicho servicio.
17.1.1.3.7. Protección de los derechos de los niños, niñas y adolescentes. En el Servicio Público de Radiodifusión Sonora se garantizará la prevalencia de los derechos de los niños, niñas y adolescentes sobre los derechos de los demás, en especial, los derechos a la vida, la integridad física, la educación, la cultura, la recreación y la libre expresión de su opinión.
17.1.1.3.8. Uso eficiente del espectro radioeléctrico. En el Servicio Público de Radiodifusión Sonora se deberá promover la gestión y el uso eficiente del espectro radioeléctrico.
<Resolución MinTIC 2614 de 2022; Art. 5>
ARTÍCULO 17.1.1.4. RÉGIMEN NORMATIVO. <Artículo adicionado por el artículo 3 de la Resolución 7885 de 2025. El nuevo texto es el siguiente:> Al Servicio Público de Radiodifusión Sonora le aplican, en lo que corresponda, los derechos, garantías y deberes previstos en la Constitución Política, la Ley 80 de 1993, la Ley 1098 de 2006, la Ley 1150 de 2007, la Ley 1341 de 2009, modificada por la Ley 1978 de 2019, el Decreto número 1078 de 2015, Cuadro Nacional de Atribución de Bandas de Frecuencia (CNABF) y las resoluciones que adoptan los Planes Técnicos Nacionales de Radiodifusión Sonora en Amplitud Modulada (AM) y en Frecuencia Modulada (FM) proferidas por la Agencia Nacional del Espectro, y las regulaciones que sean expedidas por la Comisión de Regulación de Comunicaciones en la materia, así como las normas que las modifiquen, adicionen o sustituyan.
<Resolución MinTIC 2614 de 2022; Art. 6>
ARTÍCULO 17.1.1.5. PRESTACIÓN Y FINES DEL SERVICIO. <Artículo adicionado por el artículo 3 de la Resolución 7885 de 2025. El nuevo texto es el siguiente:> Los concesionarios del Servicio Público de Radiodifusión Sonora deberán prestar el servicio con sujeción a los fines y orientación de la programación del servicio concedido y a los principios orientadores establecidos en la presente resolución.
<Resolución MinTIC 2614 de 2022; Art. 28>
ARTÍCULO 17.1.1.6. OPERACIÓN DE LAS ESTACIONES DE RADIODIFUSIÓN SONORA. <Artículo adicionado por el artículo 3 de la Resolución 7885 de 2025. El nuevo texto es el siguiente:> Los concesionarios deben operar la estación de radiodifusión sonora en la frecuencia de operación y demás parámetros técnicos esenciales autorizados por el Ministerio de Tecnologías de la Información y las Comunicaciones, dentro del área de servicio autorizada y, cumpliendo con los lineamientos técnicos establecidos en el respectivo PTNRS.
<Resolución MinTIC 2614 de 2022; Art. 29>
ARTÍCULO 17.1.1.7. UBICACIÓN DE LOS ESTUDIOS DE EMISIÓN. <Artículo adicionado por el artículo 3 de la Resolución 7885 de 2025. El nuevo texto es el siguiente:> Todos los concesionarios del Servicio Público de Radiodifusión Sonora deberán ubicar los estudios de emisión dentro del municipio para el cual se otorgó la concesión, o cualquier otro que conforme su área de servicio autorizada, sin perjuicio del cumplimiento de las disposiciones que en materia de medio ambiente y recursos naturales renovables hayan expedido las autoridades ambientales conforme lo dispone el artículo 10 de la Ley 388 de 1997 y la compatibilidad con el uso del suelo definido en el respectivo Plan de Ordenamiento Territorial.
PARÁGRAFO 1o. Los concesionarios del Servicio Público de Radiodifusión Sonora podrán ubicar estudios alternos de emisión en cualquier municipio que conforme su área de servicio autorizada. El Ministerio de Tecnologías de la Información y las Comunicaciones solo autorizará una frecuencia para enlace del estudio principal y el sistema de transmisión.
Por lo tanto, si para el funcionamiento de estudios alternos se requiere de frecuencias radioeléctricas adicionales, se deberá contar con permiso previo y expreso del Ministerio de Tecnologías de la Información y las Comunicaciones de acuerdo con las normas y procedimientos de asignación que regulen la materia. Lo anterior no aplica para las frecuencias de uso libre conforme a la normativa expedida por la ANE.
PARÁGRAFO 2o. Las concesiones del Servicio Público de Radiodifusión Sonora de Interés Público otorgadas a Radio Televisión Nacional de Colombia, en consideración a que tienen a su cargo la radiodifusión sonora estatal y en atención a los fines del servicio prestado por dicha entidad, podrán ubicar los estudios en un municipio o distrito diferente al cual se le otorgó la concesión o que esté fuera del área de servicio autorizada.
<Resolución MinTIC 2614 de 2022; Art. 50>
ARTÍCULO 17.1.1.8. NIVEL DE CUBRIMIENTO. <Artículo adicionado por el artículo 3 de la Resolución 7885 de 2025. El nuevo texto es el siguiente:> El Servicio Público de Radiodifusión Sonora Comercial y de Interés Público se prestará en los canales definidos para las áreas de servicio de cubrimiento zonal y estaciones clases: A, B, y C, de conformidad con el PTNRS en Frecuencia Modulada (FM) y Amplitud Modulada (AM) o la norma que las modifique, sustituya o subrogue.
El Servicio Público de Radiodifusión Sonora Comunitario y Comunitario Étnica se prestará en los canales definidos para las áreas de servicio zonal y local restringido y estaciones de Clase D, de conformidad con lo establecido en el PTNRS en Frecuencia Modulada (FM) o las normas que lo modifiquen, aclaren o adicionen.
<Resolución MinTIC 2614 de 2022; Art. 51>
ARTÍCULO 17.1.1.9. AUTORIZACIÓN PARA COMPARTIR INFRAESTRUCTURA. <Artículo adicionado por el artículo 3 de la Resolución 7885 de 2025. El nuevo texto es el siguiente:> Con el fin de promover el uso eficiente de la infraestructura asociada con el sistema de transmisión de las estaciones de radiodifusión sonora, los concesionarios del Servicio Público de Radiodifusión Sonora en Amplitud Modulada (AM) como en Frecuencia Modulada (FM) podrán compartir dicha infraestructura, siempre y cuando cumplan con lo establecido en el correspondiente PTNRS. Para lo anterior se requiere autorización por parte del Ministerio de Tecnologías de la Información y las Comunicaciones, previo concepto de la ANE. Lo anterior, sin perjuicio de la regulación que expida la Comisión de Regulación de Comunicaciones (CRC) relacionada con la compartición de infraestructura.
<Resolución MinTIC 2614 de 2022; Art. 52>
ARTÍCULO 17.1.1.10. TRANSMISIONES ENLAZADAS OCASIONALES. <Artículo adicionado por el artículo 3 de la Resolución 7885 de 2025. El nuevo texto es el siguiente:> Las estaciones del Servicio Público de Radiodifusión Sonora podrán efectuar transmisiones enlazadas entre sí, entre dos o más estaciones, en forma ocasional, para efectuar transmisiones simultáneas o para la difusión de programas originados en cualquiera de ellas, relacionados con los fines del servicio, sin constituir una cadena radial. Estas transmisiones están autorizadas de manera general.
En caso de requerirse espectro radioeléctrico para enlazar estaciones, el concesionario deberá tener permiso previo y expreso del Ministerio de Tecnologías de la Información y las Comunicaciones de acuerdo con las normas y procedimientos de asignación que regulen la materia. Los concesionarios podrán utilizar medios de transmisión diferentes al espectro radioeléctrico para establecer los enlaces.
<Resolución MinTIC 2614 de 2022; Art. 53>
ARTÍCULO 17.1.1.11. TRANSMISIONES REMOTAS. <Artículo adicionado por el artículo 3 de la Resolución 7885 de 2025. El nuevo texto es el siguiente:> Los concesionarios del Servicio Público de Radiodifusión Sonora podrán efectuar transmisiones remotas, originadas por fuera de sus respectivos estudios de emisión a través de cualquier tecnología, o en caso de requerir uso del espectro radioeléctrico deberán tener permiso previo y expreso del Ministerio de Tecnologías de la Información y las Comunicaciones de acuerdo con las normas y procedimientos de asignación que regulen la materia.
<Resolución MinTIC 2614 de 2022; Art. 60>
PROGRAMACIÓN Y PAUTA PUBLICITARIA.
ARTÍCULO 17.1.2.1. RÉGIMEN REGULATORIO. <Artículo adicionado por el artículo 3 de la Resolución 7885 de 2025. El nuevo texto es el siguiente:> La programación y pautas publicitarias del Servicio Público de Radiodifusión Sonora deben orientarse conforme con lo previsto en la Ley 1341 de 2009, modificada por la Ley 1978 de 2019, y lo previsto en esta resolución, respetando, además, lo dispuesto en las Leyes 30 de 1986, 23 de 1982, 130 de 1994, 137 de 1994, 996 de 2005, 1098 de 2006, 1474 y 1475 de 2011, 1909 de 2018, así como en el Decreto número 677 de 1995, y en las demás disposiciones que regulen la materia, o en las normas que las modifiquen, sustituyan o complementen.
<Resolución MinTIC 2614 de 2022; Art. 20>
ARTÍCULO 17.1.2.2. PRINCIPIOS ORIENTADORES DE LA PROGRAMACIÓN. <Artículo adicionado por el artículo 3 de la Resolución 7885 de 2025. El nuevo texto es el siguiente:> De conformidad con lo dispuesto en el artículo 56 de la Ley 1341 de 2009, es libre la expresión y difusión de los contenidos de la programación y de la publicidad en el Servicio Público de Radiodifusión Sonora. En todo caso, los concesionarios de este servicio deben cumplir con la clase, finalidad y continuidad del servicio público autorizado, sin perjuicio de la observancia de las limitaciones establecidas en la Constitución y las leyes.
Los concesionarios del Servicio Público de Radiodifusión Sonora contribuirán a difundir la cultura, afirmar los valores esenciales de la nacionalidad colombiana y a fortalecer la democracia, y por las estaciones de radiodifusión sonora no podrán hacerse transmisiones que atenten contra la Constitución Política y la ley.
Los concesionarios del Servicio Público de Radiodifusión Sonora están en la obligación de diseñar y organizar la programación que divulguen al público, con sujeción a la clase de servicio que les ha sido autorizado y acorde con los principios establecidos en la presente resolución.
Los concesionarios del Servicio Público de Radiodifusión Sonora están en la obligación de orientar la programación que se transmita por la emisora con el fin de colaborar en la prevención del consumo de drogas, bebidas alcohólicas y tabaco; no dar crédito a medicamentos que carezcan de autorización emitida por la autoridad competente; promover el respeto por los derechos de los niños, niñas y adolescentes; contrarrestar la apología al delito y la violencia.
<Resolución MinTIC 2614 de 2022; Art. 21>
ARTÍCULO 17.1.2.3. RETRANSMISIÓN DE PROGRAMAS PREGRABADOS. <Artículo adicionado por el artículo 3 de la Resolución 7885 de 2025. El nuevo texto es el siguiente:> Los concesionarios del Servicio Público de Radiodifusión Sonora podrán retransmitir programas pregrabados de otras estaciones de radiodifusión sonora, siempre que cuenten con autorización previa y expresa del propietario de la programación que se utilice y que esta tenga relación directa con los fines del servicio. En todo caso, el concesionario es el directo responsable por la programación que emita y debe responder legal y administrativamente por el incumplimiento de las normas legales que la rigen.
<Resolución MinTIC 2614 de 2022; Art. 26>
ARTÍCULO 17.1.2.4. IDIOMA DE LA PROGRAMACIÓN. <Artículo adicionado por el artículo 3 de la Resolución 7885 de 2025. El nuevo texto es el siguiente:> El idioma de la programación que se emita a través del servicio de radiodifusión sonora será el castellano, como idioma oficial de Colombia, del cual deberá hacerse buen uso en los distintos programas radiales.
Las lenguas y dialectos de las comunidades indígenas, afrodescendientes y demás grupos étnicos, son también oficiales en sus territorios. En este sentido, para incentivar la promoción y respeto de la diversidad cultural, las transmisiones de radiodifusión sonora también pueden efectuarse en dialectos indígenas o lenguas nativas.
A su vez, la programación que se realice a través de las estaciones del Servicio Público de Radiodifusión Sonora podrá ser transmitida o retransmitida en idiomas distintos al castellano, siempre y cuando con ello se logre la finalidad y objetivos del Servicio Público de Radiodifusión Sonora.
<Resolución MinTIC 2614 de 2022; Art. 27>
OBLIGACIONES DE LOS CONCESIONARIOS.
ARTÍCULO 17.1.3.1. DERECHOS DE AUTOR Y CONEXOS. <Artículo adicionado por el artículo 3 de la Resolución 7885 de 2025. El nuevo texto es el siguiente:> Para dar cumplimiento a lo establecido en el artículo 162 de la Ley 23 de 1982, los concesionarios del Servicio Público de Radiodifusión Sonora deben contar autorización expresa para la ejecución pública de las obras protegidas, por parte de las sociedades de gestión colectivas que las administren y que cuenten con personería jurídica legalmente reconocidas por la Dirección Nacional de Derechos de Autor, o directamente por los titulares de las obras, previamente a cualquier uso público de estas.
Los concesionarios deberán mantener vigentes, a la fecha de su presentación y a disposición del Ministerio de Tecnologías de la Información y las Comunicaciones, la autorización y los comprobantes de pago cuando, en ejercicio de sus funciones de inspección, vigilancia y control lo solicite, de conformidad con lo establecido en el parágrafo del artículo 2.6.1.2.1. del Decreto número 1066 de 2015 o la norma que las modifique, sustituya o subrogue. El Ministerio de Tecnologías de la Información y las Comunicaciones también podrá requerir dicha información a las sociedades de gestión colectiva con personería jurídica legalmente reconocidas por la Dirección Nacional de Derechos de Autor, o a los titulares de las obras.
Cuando el concesionario tenga autorización expedida directamente por el titular de los derechos de autor y conexos en virtud de la gestión individual, deberá individualizar el repertorio de obras, interpretaciones, ejecuciones artísticas o fonogramas que administra dicha persona, y acreditar que la misma es la titular o representante del titular de tales obras o prestaciones, de conformidad con lo establecido en el parágrafo del artículo 2.6.1.2.1. del Decreto número 1066 de 2015 o la norma que las modifique, sustituya o subrogue.
<Resolución MinTIC 2614 de 2022; Art. 34>
ARTÍCULO 17.1.3.2. DEL DEBER DE LA TRANSMISIÓN DE COMUNICACIONES RELACIONADAS CON LA INFANCIA Y LA ADOLESCENCIA. <Artículo adicionado por el artículo 3 de la Resolución 7885 de 2025. El nuevo texto es el siguiente:> Los concesionarios del Servicio Público de Radiodifusión Sonora deben dar cumplimiento a las obligaciones previstas en el artículo 47 de la Ley 1098 de 2006, o la norma que las modifique, sustituya o subrogue, relacionadas con la difusión de información sobre el respeto de los derechos y libertades de los niños, las niñas y los adolescentes, así como su bienestar social y su salud física y mental.
<Resolución MinTIC 2614 de 2022; Art. 35>
ARTÍCULO 17.1.3.3. DIVULGACIÓN DE CAMPAÑAS INSTITUCIONALES Y DE PREVENCIÓN DE LA CORRUPCIÓN. <Artículo adicionado por el artículo 3 de la Resolución 7885 de 2025. El nuevo texto es el siguiente:> Los concesionarios de los Servicios de Radiodifusión Sonora de interés público o comunitario deberán prestar apoyo gratuito al Ministerio de Tecnologías de la Información y las Comunicaciones y a la Comisión de Regulación de Comunicaciones en la divulgación de proyectos y estrategias de comunicación social, que dinamicen los mecanismos de integración social y comunitaria, así como a la Procuraduría General de la Nación, la Contraloría General de la República, la Fiscalía General de la Nación, el Programa Presidencial de Modernización, Eficiencia, Transparencia y Lucha contra la Corrupción y otras entidades de la Rama Ejecutiva con un mínimo de 15 minutos diarios de emisión a cada entidad, para divulgar estrategias de lucha contra la corrupción y proteger y promover los derechos fundamentales de los colombianos, en los términos señalados en el artículo 80 de la Ley 1474 de 2011 o en las demás normas que la modifiquen, sustituyan o complementen.
PARÁGRAFO. Los concesionarios estarán obligados a dar cumplimiento a la obligación antes descrita, cuando las entidades requieran los espacios y suministren los proyectos y estrategias de comunicación social que pretendan divulgar.
<Resolución MinTIC 2614 de 2022; Art. 36>
ARTÍCULO 17.1.3.4. APOYO EN CASOS DE EMERGENCIA, CONMOCIÓN, DESASTRES O CALAMIDAD Y PREVENCIÓN PARA DICHOS EVENTOS. <Artículo adicionado por el artículo 3 de la Resolución 7885 de 2025. El nuevo texto es el siguiente:> En casos de emergencia, conmoción interna o externa, desastres o calamidad pública, los concesionarios de los servicios de radiodifusión sonora deberán poner a disposición de las autoridades de manera gratuita y oportuna, la transmisión de las comunicaciones que aquellas requieran. En cualquier caso, se dará prelación absoluta a las transmisiones relacionadas con la protección de la vida humana. Igualmente, darán prelación a las autoridades en la transmisión de comunicaciones gratuitas y oportunas para efectos de prevención de desastres, cuando aquellas se consideren indispensables.
Los concesionarios del servicio de Radiodifusión Sonora de Interés Público destinarán espacios de su programación habitual para que las entidades que conforman el Sistema Nacional de Gestión del Riesgo de Desastres de que trata la Ley 1523 de 2012 o la norma que las modifique, sustituya o subrogue, transmitan programas orientados a:
1. La reducción de riesgos y prevención de desastres.
2. La respuesta efectiva en caso de desastre.
3. Brindar una adecuada y oportuna prestación de servicios de alerta temprana e información pública.
4. Prestar la debida comunicación de las autoridades con la ciudadanía para la coordinación de la emergencia.
5. Incorporar la cultura de la prevención y reducción de riesgos en la sociedad vulnerable.
6. Desarrollar programas sociales para la implementación de planes de rehabilitación recuperación y reconstrucción de zonas afectadas.
7. Integrar esfuerzos públicos y privados para la adecuada prevención y atención de las situaciones de desastre.
8. Brindar información pública acerca de atención primaria, alojamiento temporal, provisión de suministros básicos, saneamiento ambiental, salud, transporte, rutas de evacuación, vías y el reencuentro de familias.
9. Promover y coordinar programas de capacitación y educación, así como coordinar los planes de emergencia y contingencia de los Consejos departamentales, distritales y municipales para la gestión del riesgo.
10. Facilitar la coordinación para el manejo oportuno y eficiente de todos los recursos humanos, técnicos, administrativos, económicos que sean indispensables para la prevención y atención de las situaciones de desastre.
Corresponde a la Unidad Nacional para la Gestión del Riesgo de Desastre, orientar y coordinar el contenido de la programación que se transmitirá por los espacios destinados a la prevención, atención y recuperación de emergencias y desastres, en la zona o zonas de emergencia.
<Resolución MinTIC 2614 de 2022; Art. 37>
ARTÍCULO 17.1.3.5. RECTIFICACIONES. <Artículo adicionado por el artículo 3 de la Resolución 7885 de 2025. El nuevo texto es el siguiente:> Los concesionarios del Servicio Público de Radiodifusión Sonora están en la obligación de transmitir gratuitamente las aclaraciones o rectificaciones a que hubiere lugar por las informaciones inexactas divulgadas al público que provengan directamente de la emisora, sus representantes o colaboradores, en el mismo horario, en las mismas condiciones y con idéntica importancia a la del programa o programas que las hayan originado. De igual manera, los concesionarios están en la obligación de cumplir lo descrito en el presente artículo, cuando la rectificación se imponga mediante orden judicial.
Los concesionarios deberán conservar a disposición del Ministerio de Tecnologías de la Información y las Comunicaciones y demás autoridades, la grabación completa de la transmisión de dichas aclaraciones o rectificaciones y de aquellas transmisiones de información que dieron lugar a estas, por el término establecido en el artículo 17.1.3.7 de la presente resolución.
<Resolución MinTIC 2614 de 2022; Art. 38>
ARTÍCULO 17.1.3.6. IDENTIFICACIÓN DE LA EMISORA. <Artículo adicionado por el artículo 3 de la Resolución 7885 de 2025. El nuevo texto es el siguiente:> Los concesionarios del Servicio Público de Radiodifusión Sonora están en la obligación de divulgar al público al menos dos (2) veces al día, en la oportunidad que determinen para este fin, el nombre de la emisora, el distintivo de llamada, la frecuencia autorizada y el municipio o distrito sede de la estación autorizados por el Ministerio de Tecnologías de la Información y las Comunicaciones.
Cuando el servicio se preste con horario discontinuo e interrumpido, la identificación de la estación debe surtirse al inicio y a la finalización de la transmisión con indicación de la hora en que se reanudará la prestación del servicio.
<Resolución MinTIC 2614 de 2022; Art. 39>
ARTÍCULO 17.1.3.7. ARCHIVO DE GRABACIONES. <Artículo adicionado por el artículo 3 de la Resolución 7885 de 2025. El nuevo texto es el siguiente:> Los concesionarios del Servicio Público de Radiodifusión Sonora están obligados a conservar a disposición de las autoridades, por lo menos durante treinta (30) días, la grabación completa o los originales escritos, firmados por su director, de los programas periodísticos, informativos y discursos que se transmitan.
<Resolución MinTIC 2614 de 2022; Art. 41>
ARTÍCULO 17.1.3.8. MANUAL DE ESTILO. <Artículo adicionado por el artículo 3 de la Resolución 7885 de 2025. El nuevo texto es el siguiente:> Dentro de los seis (6) meses siguientes al otorgamiento de la concesión, los concesionarios del Servicio Público de Radiodifusión Sonora Comunitarios, Comunitarios Étnicos y de Interés Público deberán elaborar, dar a conocer y divulgar al público, a través de publicación en sitio web y/o por transmisión radial, el manual de estilo que deberá contener la visión, las políticas, los principios y criterios propios de la emisora acorde a su clasificación, con los cuales se protegen los derechos de la audiencia, se evita la incitación a la violencia, a la discriminación y a la pornografía y se garantiza el pluralismo informativo, de conformidad con los fines del servicio. El manual de estilo servirá de guía para la generación de contenidos, formatos, redacción y planes de programación, y se mantendrá a disposición del público en un lugar visible de los estudios de la emisora y/o en sitio web, durante el término de la concesión.
Los concesionarios del Servicio Público de Radiodifusión Sonora Comunitarios, Comunitarios Étnicos y de Interés Público deberán mantener a disposición del Ministerio de Tecnologías de la Información y las Comunicaciones copia del Manual de Estilo y el soporte de la divulgación al público a través de publicación en sitio web y/o de la grabación de la transmisión radial, los cuales deberán ser remitidos a este cuando, en ejercicio de sus funciones de inspección, vigilancia y control, lo solicite.
<Resolución MinTIC 2614 de 2022; Art. 42>
MODALIDADES DEL SERVICIO PÚBLICO DE RADIODIFUSIÓN SONORA.
CONDICIONES GENERALES.
ARTÍCULO 17.2.1.1. PRESTACIÓN DEL SERVICIO PÚBLICO DE RADIODIFUSIÓN SONORA. <Artículo adicionado por el artículo 3 de la Resolución 7885 de 2025. El nuevo texto es el siguiente:> El Servicio Público de Radiodifusión Sonora podrá prestarse en gestión directa e indirecta. El Estado prestará el Servicio de Radiodifusión Sonora en gestión directa por conducto de entidades públicas autorizadas a través de licencia otorgada por el Ministerio de Tecnologías de la Información y las Comunicaciones.
El Estado prestará el Servicio Público de Radiodifusión Sonora en gestión indirecta a través de personas naturales colombianas o jurídicas legalmente constituidas en Colombia, de naturaleza privada, por concesión otorgada por el Ministerio de Tecnologías de la Información y las Comunicaciones, mediante contrato o licencia, previa la realización de un proceso de selección objetiva, en los términos establecidos en la ley y en esta resolución.
ARTÍCULO 17.2.1.2. CRITERIOS DE CLASIFICACIÓN. <Artículo adicionado por el artículo 3 de la Resolución 7885 de 2025. El nuevo texto es el siguiente:> El Servicio Público de Radiodifusión Sonora se clasifica en función de la gestión del servicio, la orientación de su programación, el área de servicio autorizada y la tecnología de transmisión utilizada, de conformidad con las reglas dispuestas en este capítulo.
<Resolución MinTIC 2614 de 2022; Art. 15>
ARTÍCULO 17.2.1.3. CLASIFICACIÓN EN FUNCIÓN DE LA GESTIÓN DEL SERVICIO. <Artículo adicionado por el artículo 3 de la Resolución 7885 de 2025. El nuevo texto es el siguiente:> Atendiendo la modalidad de gestión, el Servicio Público de Radiodifusión Sonora se clasifica, así:
a) Gestión directa. El Estado prestará el Servicio Público de Radiodifusión Sonora en gestión directa por conducto de entidades públicas autorizadas a través de licencia otorgada directamente por el Ministerio de Tecnologías de la Información y las Comunicaciones.
b) Gestión Indirecta. El Estado prestará el Servicio Público de Radiodifusión Sonora en gestión indirecta a través de personas naturales colombianas o jurídicas legalmente constituidas en Colombia, de naturaleza privada, por concesión otorgada por el Ministerio de Tecnologías de la Información y las Comunicaciones, mediante contrato o licencia, previa la realización de un proceso de selección objetiva.
<Resolución MinTIC 2614 de 2022; Art. 16>
ARTÍCULO 17.2.1.4. CLASIFICACIÓN EN FUNCIÓN DE LA ORIENTACIÓN DE LA PROGRAMACIÓN. <Artículo adicionado por el artículo 3 de la Resolución 7885 de 2025. El nuevo texto es el siguiente:> Atendiendo la orientación general de la programación, el Servicio Público de Radiodifusión Sonora se clasifica en:
a) Radiodifusión Sonora Comercial. La programación del servicio está destinada a satisfacer los hábitos y gustos del oyente, sin excluir el propósito educativo, recreativo, cultural, científico e informativo que orienta el Servicio Público de Radiodifusión Sonora en general. Este servicio se presta con ánimo de lucro y en gestión indirecta del Estado.
b) Radiodifusión Sonora Comunitario. La programación deberá estar orientada a generar espacios de expresión, información, educación, comunicación, promoción cultural, formación, debate y concertación que conduzcan al encuentro entre las diferentes identidades sociales y expresiones culturales de la comunidad, dentro de un ámbito de integración y solidaridad ciudadana y, en especial, a la promoción de la democracia, la participación y los derechos fundamentales de los colombianos que aseguren una convivencia pacífica. Este servicio se presta sin ánimo de lucro y en gestión indirecta del Estado.
c) Radiodifusión Sonora de Interés Público. La programación deberá estar orientada a satisfacer necesidades de comunicación del Estado con los ciudadanos y las comunidades en general, la defensa de los derechos constitucionales, la protección del patrimonio cultural y natural de la nación, en búsqueda del bienestar general y el mejoramiento de la calidad de vida de la población. Este servicio se presta sin ánimo de lucro y en gestión directa del Estado.
d) Radiodifusión Sonora Comunitario Étnico. La programación deberá estar orientada a satisfacer necesidades de comunicación de los distintos grupos étnicos debidamente reconocidos por el Ministerio del Interior, y a reconocer y reafirmar la conciencia de identidad de los mismos, de forma tal que se promuevan sus expresiones ancestrales con el propósito de preservar sus valores culturales, sociales, religiosos, espirituales, económicos, así como sus tradiciones, instituciones y procesos organizativos como mecanismos de integración y convivencia para fomentar la paz y reconciliación entre estos y los demás miembros de la sociedad, así como la protección de la cultura y defensa de los derechos constitucionales y democráticos, a fin de procurar el bienestar general y el mejoramiento de calidad de vida de dicha población. Este servicio se presta sin ánimo de lucro y en gestión indirecta del Estado.
<Resolución MinTIC 2614 de 2022; Art. 17>
ARTÍCULO 17.2.1.5. CLASIFICACIÓN EN FUNCIÓN DEL ÁREA DE SERVICIO. <Artículo adicionado por el artículo 3 de la Resolución 7885 de 2025. El nuevo texto es el siguiente:> En razón al área de servicio asociada a la concesión, el Servicio de Radiodifusión Sonora se clasifica y define, según la clase de estación, los parámetros técnicos de operación y condiciones establecidas en los Planes Técnicos Nacionales de Radiodifusión Sonora (PTNRS) expedidos por la ANE, así:
a) De servicio zonal. Son las estaciones Clase A, B o C, de conformidad con la potencia de operación y otros parámetros técnicos esenciales establecidos en el respectivo PTNRS, y están destinadas a cubrir áreas que contienen varios municipios o distritos.
b) De servicio zonal restringido. Son las estaciones Clase D, de conformidad con la potencia de operación y otros parámetros técnicos esenciales establecidos en el respectivo PTNRS, y están destinadas a cubrir un municipio, distrito o área no municipalizada de acuerdo con la División Político Administrativa del DANE, para el cual se otorga la concesión, sin perjuicio de que la señal pueda ser captada en las áreas rurales y/o urbanas de municipios colindantes para el cual se otorga la concesión.
c) De servicio local restringido. Son estaciones Clase D con área de servicio definida a través de un polígono en ciudades capitales, área rural de un municipio o área no municipalizada. De conformidad con la potencia de operación y otros parámetros técnicos esenciales establecidos en el respectivo PTNRS, están destinadas a focalizar la cobertura sobre el área de servicio establecida.
<Resolución MinTIC 2614 de 2022; Art. 18>
ARTÍCULO 17.2.1.6 CLASIFICACIÓN EN FUNCIÓN DE LA TECNOLOGÍA DE TRANSMISIÓN. <Artículo adicionado por el artículo 3 de la Resolución 7885 de 2025. El nuevo texto es el siguiente:> En consideración a la tecnología de transmisión, el Servicio Público de Radiodifusión Sonora se clasifica, así:
a) Radiodifusión en Amplitud Modulada (AM). Cuando la portadora principal se modula en amplitud para la emisión de la señal.
b) Radiodifusión en Frecuencia Modulada (FM). Cuando la portadora principal se modula en frecuencia para la emisión de la señal.
c) Radiodifusión digital y nuevas tecnologías. Cuando la transmisión se realice a través de medios digitales terrestres o por satélite, así como las que resulten de nuevos desarrollos tecnológicos aplicables al Servicio Público de Radiodifusión Sonora, incluidas aquellas que permiten el uso compartido de las bandas de frecuencias atribuidas al Servicio radioeléctrico de Radiodifusión Sonora en la modalidad de AM y FM.
<Resolución MinTIC 2614 de 2022; Art. 19>
RADIODIFUSIÓN SONORA COMERCIAL.
ARTÍCULO 17.2.2.1. PROGRAMACIÓN EN EMISORAS COMERCIALES. <Artículo adicionado por el artículo 3 de la Resolución 7885 de 2025. El nuevo texto es el siguiente:> La programación en las emisoras comerciales está orientada a la satisfacción de los hábitos y gustos del oyente, sin excluir el propósito educativo, recreativo, cultural, científico e informativo que orienta el Servicio Público de Radiodifusión Sonora en general.
Los concesionarios del Servicio Público de Radiodifusión Sonora comercial están facultados para difundir programas de diversa índole para atender las necesidades y preferencias del mercado, con sujeción a los fines del servicio concedido y a los principios orientadores definidos de esta resolución, y sin perjuicio de la observancia de las limitaciones establecidas en la Constitución y las leyes.
<Resolución MinTIC 2614 de 2022; Art. 22>
ARTÍCULO 17.2.2.2. ENLACE PERIÓDICO O PERMANENTE. <Artículo adicionado por el artículo 3 de la Resolución 7885 de 2025. El nuevo texto es el siguiente:> Las estaciones del Servicio Público de Radiodifusión Sonora pertenecientes a una cadena radial podrán enlazarse en forma periódica o permanente, para efectuar transmisiones simultáneas o para la difusión de programas originados en una estación para ser transmitidos por esta y por las demás emisoras enlazadas.
<Resolución MinTIC 2614 de 2022; Art. 53>
ARTÍCULO 17.2.2.3. CONSTITUCIÓN DE UNA CADENA RADIAL. <Artículo adicionado por el artículo 3 de la Resolución 7885 de 2025. El nuevo texto es el siguiente:> La constitución de cadenas radiales se encuentra autorizada de manera general. Sin embargo, las respectivas organizaciones deberán informar al Ministerio de Tecnologías de la Información y las Comunicaciones la existencia y composición de la Cadena Radial, y será obligación de los concesionarios que pertenecen a una cadena radial reportar dicha información en el Registro TIC.
PARÁGRAFO. Cuando la cadena radial requiera del uso de frecuencias radioeléctricas para operar la red de telecomunicaciones entre las emisoras que la conforman, deberá tener permiso previo y expreso del Ministerio de Tecnologías de la Información y las Comunicaciones de acuerdo con las normas y procedimientos de asignación que regulen la materia. Los proveedores podrán utilizar medios de transmisión diferentes al espectro radioeléctrico para establecer los mismos enlaces.
<Resolución MinTIC 2614 de 2022; Art. 56>
ARTÍCULO 17.2.2.4. PROHIBICIÓN DE ENCADENARSE. <Artículo adicionado por el artículo 3 de la Resolución 7885 de 2025. El nuevo texto es el siguiente:> Está prohibido a los concesionarios del Servicio Público de Radiodifusión Sonora:
1. Pertenecer a la misma cadena, si esta está compuesta por la totalidad de las estaciones de radiodifusión sonora que operan en un mismo municipio o distrito.
2. Las estaciones de radiodifusión comunitaria, y de interés público no podrán pertenecer a ninguna cadena.
PARÁGRAFO. Sin perjuicio de lo aquí dispuesto, el Ministerio de Tecnologías de la Información y las Comunicaciones podrá ordenar la transmisión enlazada de programación, que involucre a la totalidad de las estaciones que operen en el territorio nacional o parte de ellas en los casos de retransmisión de información oficial y cuando el interés público lo amerite.
<Resolución MinTIC 2614 de 2022; Art. 57>
RADIODIFUSIÓN SONORA COMUNITARIA.
ARTÍCULO 17.2.3.1. FINES DEL SERVICIO. <Artículo adicionado por el artículo 3 de la Resolución 7885 de 2025. El nuevo texto es el siguiente:> El Servicio Público de Radiodifusión Sonora Comunitario es un servicio sin ánimo de lucro, participativo y pluralista, orientado a satisfacer necesidades de comunicación en el área de servicio objeto de la concesión y facilitar el ejercicio del derecho a la información y la participación de sus habitantes, a través de programas radiales realizados por distintos sectores de la comunidad de manera que promueva el desarrollo social, la convivencia pacífica, los valores democráticos, la construcción de ciudadanía, la educación y el fortalecimiento de las identidades culturales y sociales. Por tanto, todos los concesionarios de este servicio tendrán la obligación de ajustar sus programas a los fines indicados.
<Resolución MinTIC 2614 de 2022; Art. 95>
ARTÍCULO 17.2.3.2. PROGRAMACIÓN EN EMISORAS COMUNITARIAS. <Artículo adicionado por el artículo 3 de la Resolución 7885 de 2025. El nuevo texto es el siguiente:> La programación en las emisoras comunitarias debe estar orientada a generar espacios de expresión, información, educación, comunicación, promoción cultural, formación, debate y concertación que conduzcan al encuentro entre las diferentes identidades sociales y expresiones culturales de la comunidad, dentro de un ámbito de integración y solidaridad ciudadana y, en especial, la promoción de la democracia, la participación y la divulgación de los derechos fundamentales de los colombianos que aseguren una convivencia pacífica.
A través del Servicio Público de Radiodifusión Sonora comunitario podrá transmitirse publicidad, divulgación política y propaganda electoral de conformidad con lo dispuesto en el artículo 56 de la Ley 1341 de 2009, así como en el parágrafo del artículo 24 de la Ley 996 de 2005 o la norma que las modifique, sustituya o subrogue. También podrá darse crédito a quienes hayan dado patrocinios, auspicios y apoyos financieros para determinada programación, siempre que no se trate de personas cuyas actividades o productos esté prohibido publicitar.
<Resolución MinTIC 2614 de 2022; Art. 23>
ARTÍCULO 17.2.3.3. JUNTA DE PROGRAMACIÓN. <Artículo adicionado por el artículo 3 de la Resolución 7885 de 2025. El nuevo texto es el siguiente:> Dentro de los tres (3) meses siguientes al otorgamiento de la concesión, los concesionarios del Servicio Público de Radiodifusión Sonora Comunitario deberán conformar una junta de programación y enviar al Ministerio de Tecnologías de la Información y las Comunicaciones la respectiva acta de composición de esta, suscrita por sus integrantes e indicando el sector que representa. Esta junta de programación se encargará de hacer seguimiento al cumplimiento de los fines del servicio de la emisora comunitaria, especialmente, el de promover la participación social en la programación de la emisora, a través de programas radiales realizados por distintos sectores del municipio, de manera que se promueva el desarrollo social, la convivencia pacífica, los valores democráticos, la construcción de ciudadanía y el fortalecimiento de las identidades culturales y sociales.
En la junta de programación tienen derecho a participar, por medio de un representante, las organizaciones sociales e instituciones públicas del municipio en que se ubique la emisora, de suerte que refleje la diversidad y pluralidad de los habitantes. La junta de programación será presidida por el director de la emisora. La junta de programación podrá reconfigurarse con el fin de cumplir con los fines del servicio. En dicho evento, se deberá remitir al Ministerio de Tecnologías de la Información y las Comunicaciones la respectiva actualización del acta de composición dentro del mes siguiente.
Los concesionarios deberán mantener a disposición del Ministerio de Tecnologías de la Información y las Comunicaciones el acta de conformación de la junta de programación, y remitirlo a este junto con un informe de su gestión cuando, en ejercicio de sus funciones de inspección, vigilancia y control, lo solicite.
<Resolución MinTIC 2614 de 2022; Art. 43>
ARTÍCULO 17.2.3.4. REDES DE RADIO COMUNITARIA. <Artículo adicionado por el artículo 3 de la Resolución 7885 de 2025. El nuevo texto es el siguiente:> Las estaciones del Servicio Público de Radiodifusión Sonora Comunitario y Comunitario Étnico que pertenezcan a una red de radio comunitaria, entendida esta como una organización o asociación que agrupa emisoras comunitarias y comunitarias étnicas, podrán realizar transmisiones enlazadas, ocasionales o periódicas, en forma simultánea o por retransmisión, de programas originados en cualquiera de ellas, relacionados con los fines del servicio y a través de las bandas y frecuencias autorizadas, a cada una de ellas.
<Resolución MinTIC 2614 de 2022; Art. 58>
RADIODIFUSIÓN SONORA DE INTERÉS PÚBLICO.
ARTÍCULO 17.2.4.1. FINES DEL SERVICIO. <Artículo adicionado por el artículo 3 de la Resolución 7885 de 2025. El nuevo texto es el siguiente:> El Servicio Público de Radiodifusión Sonora de Interés Público tiene como propósito satisfacer necesidades de comunicación del Estado con los ciudadanos y comunidades en el área geográfica objeto de cubrimiento, y tendrá como fines, contribuir al fortalecimiento del patrimonio cultural y natural de la nación, difundir la cultura, la ciencia y fomentar la productividad del país; promover los valores cívicos, la solidaridad, la seguridad, el ejercicio ciudadano y la cultura democrática, preservar la pluralidad, identidad e idiosincrasia nacional; servir de canal para la integración del pueblo colombiano y la generación de una sociedad mejor informada y educada, difundir los valores y símbolos patrios; contribuir a la defensa de la soberanía y de las instituciones democráticas; asegurar la convivencia pacífica y brindar apoyo en la prevención, atención y recuperación de emergencias y desastres.
<Resolución MinTIC 2614 de 2022; Art. 73>
ARTÍCULO 17.2.4.2. CLASIFICACIÓN DE LAS EMISORAS DEL SERVICIO PÚBLICO DE RADIODIFUSIÓN SONORA DE INTERÉS PÚBLICO. <Artículo adicionado por el artículo 3 de la Resolución 7885 de 2025. El nuevo texto es el siguiente:> Para efectos de la presente resolución, las emisoras del Servicio Público de Radiodifusión Sonora de Interés Público se clasifican de la siguiente manera:
1. Emisoras de la Radio Pública Nacional de Colombia.
2. Emisoras de la Fuerza Pública.
3. Emisoras Territoriales.
4. Emisoras Educativas.
5. Emisoras Indígenas.
6. Emisoras para atención y prevención de desastres.
Los siguientes son los fines del servicio de acuerdo con la clasificación de las emisoras del Servicio Público de Radiodifusión Sonora de interés público:
1. Emisoras de la Radio Pública Nacional de Colombia. Las Emisoras de la Radio Pública Nacional de Colombia tienen a su cargo la radiodifusión Estatal con el objeto, entre otros, de comunicar al Estado con los ciudadanos y comunidades, de fortalecer el nivel educativo y cultural de los colombianos, promover el ejercicio ciudadano y la cultura democrática, y servir como elemento de cohesión e integración nacional. Este servicio se prestará a través de Radio Televisión Nacional de Colombia (RTVC) o la entidad que la sustituya.
2. Emisoras de la Fuerza Pública. Las Emisoras de la Fuerza Pública tienen a su cargo la radiodifusión estatal con el objeto, entre otros, de difundir los valores y símbolos patrios, contribuir a la defensa de la soberanía y de las instituciones democráticas, así como asegurar el ejercicio ciudadano y la convivencia pacífica. Este servicio se prestará a través de la Fuerza Pública, la cual está integrada por las Fuerzas Militares (Ejército, Armada y Fuerza Aérea) y la Policía Nacional.
3. Emisoras Territoriales. Las Emisoras Territoriales tienen a su cargo la radiodifusión estatal con el objeto, entre otros, de satisfacer necesidades de comunicación de interés de la población en el área geográfica objeto de cubrimiento; de preservar la pluralidad, identidad, cultura e idiosincrasia; dinamizar los mecanismos de participación ciudadana; impulsar los planes de desarrollo y la productividad del país, así como fomentar el progreso regional y local. Este servicio se prestará a través de entidades territoriales del orden departamental, municipal o distrital.
Las Emisoras Territoriales deberán orientar su operación con los siguientes criterios:
a) Diseño de programación radial acorde con los lineamientos de los planes de desarrollo regional y municipal.
b) Implementación de procesos asociativos con entidades públicas del orden nacional y municipal del área geográfica de cubrimiento, para garantizar su participación y fortalecer la naturaleza pública de la emisora.
c) Estimulación de la participación ciudadana en las decisiones públicas, mediante alianzas estratégicas con asociaciones de municipios y la sociedad civil.
4. Emisoras Educativas. Las Emisoras Educativas tienen a su cargo la radiodifusión estatal con el objeto, entre otros, de difundir la cultura, la ciencia y la educación; estimular el flujo de investigaciones y de información científica y tecnológica aplicada al desarrollo; apoyar el proyecto educativo nacional y servir de canal para la generación de una sociedad mejor informada y educada. Este servicio se prestará a través de las entidades oficiales educativas en los niveles de básica primaria y media y a través de instituciones de educación superior de carácter público, legalmente reconocidas y acreditadas institucionalmente por el Ministerio de Educación Nacional.
5. Emisoras Indígenas. Las Emisoras Indígenas tienen a su cargo la radiodifusión estatal con el objeto de difundir y reforzar los valores y tradiciones sociales, culturales, religiosos y espirituales de los pueblos indígenas, así como sus instituciones políticas, jurídicas, sociales, y culturales, en aras de proteger su identidad cultural. Este servicio se prestará a través de las comunidades indígenas con personería jurídica debidamente reconocida por el Ministerio del Interior de Colombia.
6. Emisoras para la Atención y Prevención de Desastres. Estas emisoras tienen como fin servir de canal para brindar apoyo en la prevención, atención y recuperación en situaciones de emergencias y desastres. Este servicio se prestará a través de la Unidad Nacional para la Gestión del Riesgo de Desastres o la entidad que la sustituya y por entidades territoriales del orden departamental, municipal o distrital.
<Resolución MinTIC 2614 de 2022; Art. 74>
ARTÍCULO 17.2.4.3. PROGRAMACIÓN EN EMISORAS DE INTERÉS PÚBLICO. <Artículo adicionado por el artículo 3 de la Resolución 7885 de 2025. El nuevo texto es el siguiente:> La programación en las emisoras de interés público debe estar orientada a satisfacer necesidades de comunicación del Estado con los ciudadanos y comunidades, la defensa de los derechos constitucionales y la protección del patrimonio cultural y natural de la nación, a fin de procurar el bienestar general y el mejoramiento de la calidad de vida de la población.
A través del Servicio Público de Radiodifusión Sonora de Interés Público podrán transmitirse eventos recreativos y deportivos en los que participe la comunidad y programas culturales y académicos de interés social. Igualmente, podrán transmitirse programas de carácter informativo que estén directamente relacionados con los fines del servicio, con el fin de exaltar el respeto por lo público y los derechos ciudadanos.
PARÁGRAFO 1o. A través del Servicio Público de Radiodifusión Sonora de Interés Público no se podrá transmitir ningún tipo de programa de divulgación política y propaganda electoral en los términos de los artículos 23 y 24 de la Ley 130 de 1994 o la norma que la modifique, sustituya o subrogue.
PARÁGRAFO 2o. A través del Servicio Público de Radiodifusión Sonora de Interés Público no se podrá transmitir pauta comercial, salvo los patrocinios, entendidos como el reconocimiento, sin lema o agregado alguno, a la contribución en dinero u otros recursos que se efectúe en favor de estas emisoras para la transmisión de un programa específico, el cual no podrá ser superior a cinco (5) minutos por hora de programación del programa beneficiado, de conformidad con lo previsto en el artículo 58 de la Ley 1341 de 2009 o la norma que la modifique, sustituya o subrogue.
Las contribuciones hechas a las emisoras de interés público como efecto de los patrocinios deberán constar en convenios o contratos escritos.
PARÁGRAFO 3o. Los concesionarios del Servicio Público de Radiodifusión Sonora de interés público no podrán arrendar los espacios radiales.
<Resolución MinTIC 2614 de 2022; Art. 24>
ARTÍCULO 17.2.4.4. ENLACES EN LA PRESTACIÓN DEL SERVICIO DE RADIODIFUSIÓN SONORA PÚBLICO. <Artículo adicionado por el artículo 3 de la Resolución 7885 de 2025. El nuevo texto es el siguiente:> Radio Televisión Nacional de Colombia, como gestor del servicio público nacional de radio en nombre del Estado, podrá realizar transmisiones enlazadas en forma permanente con las emisoras para cuya operación el Ministerio de Tecnologías de la Información y las Comunicaciones le ha otorgado licencia, para la difusión de programación originada en cualquiera de ellas.
Entre las estaciones del Servicio Público de Radiodifusión Sonora de Interés Púbico que pertenezcan a una misma entidad pública, se podrán realizar transmisiones enlazadas, ocasionales o periódicas, en forma simultánea o por retrasmisión, de programas originados en cualquiera de ellas, relacionados con los fines del servicio y a través de las bandas y frecuencias autorizadas, a cada una de ellas.
<Resolución MinTIC 2614 de 2022; Art. 59>
RADIODIFUSIÓN SONORA COMUNITARIA ÉTNICA.
ARTÍCULO 17.2.5.1. FINES DEL SERVICIO. <Artículo adicionado por el artículo 3 de la Resolución 7885 de 2025. El nuevo texto es el siguiente:> El Servicio Público de Radiodifusión Sonora Comunitario Étnico es un servicio público sin ánimo de lucro, orientado a satisfacer necesidades de comunicación de los distintos grupos étnicos debidamente reconocidos por el Estado colombiano, y a reconocer y reafirmar la conciencia de identidad de los mismos, de forma tal que se promuevan sus expresiones ancestrales con el propósito de preservar sus valores culturales, sociales, religiosos, espirituales, económicos, así como sus tradiciones, instituciones y procesos organizativos como mecanismo de integración y convivencia para fomentar la paz y reconciliación entre estos y los demás miembros de la sociedad, así como la protección de la cultura y defensa de los derechos constitucionales y democráticos, a fin de procurar el bienestar general y el mejoramiento de calidad de vida de dicha población.
<Resolución MinTIC 2614 de 2022; Art. 104>
ARTÍCULO 17.2.5.2. PROGRAMACIÓN EN EMISORAS COMUNITARIAS ÉTNICAS. <Artículo adicionado por el artículo 3 de la Resolución 7885 de 2025. El nuevo texto es el siguiente:> La programación en las emisoras comunitarias étnicas debe estar orientada a satisfacer necesidades de comunicación de los distintos grupos étnicos, y a reconocer y a reafirmar la conciencia de su identidad, de forma tal que se promuevan sus expresiones ancestrales con el propósito de preservar sus valores culturales, sociales, religiosos, espirituales, económicos, así como sus tradiciones, instituciones y procesos organizativos como mecanismo de integración y convivencia para fomentar la paz y la reconciliación entre estos y los demás miembros de la sociedad.
A través del Servicio Público de Radiodifusión Sonora Comunitario Étnico podrá transmitirse publicidad, divulgación política y propaganda electoral de conformidad con lo dispuesto en el artículo 56 de la Ley 1341 de 2009, así como en el parágrafo del artículo 24 Ley 996 de 2005 o la norma que la modifique, sustituya o subrogue.
También podrá darse crédito a quienes hayan dado patrocinios, auspicios y apoyos financieros para determinada programación, siempre que no se trate de personas cuyas actividades o productos esté prohibido publicitar.
<Resolución MinTIC 2614 de 2022; Art. 25>
TÍTULO. REPORTES DE INFORMACIÓN.
<Título modificado por el artículo 14 de la Resolución 6333 de 2021. CONSULTAR RÉGIMEN DE TRANSICIÓN -Art. 22-. El nuevo texto es el siguiente:>
GENERALIDADES REPORTES DE INFORMACIÓN.
GENERALIDADES.
ARTÍCULO 1.1.1. OBJETO. <Artículo modificado por el artículo 14 de la Resolución 6333 de 2021. El nuevo texto es el siguiente:> El presente Título tiene por objeto establecer el reporte de información periódica a la Comisión de Regulación de Comunicaciones-CRC, por parte de los proveedores de redes y servicios de telecomunicaciones y los operadores de servicios postales. Lo anterior, sin perjuicio de la información que de manera específica y no periódica solicite la CRC en ejercicio de las funciones señaladas en el numeral 19 del artículo 22 de la Ley 1341 de 2009 y el artículo 12 y el numeral 7 de artículo 20 de la Ley 1369 de 2009.
ARTÍCULO 1.1.2. ÁMBITO DE APLICACIÓN. <Artículo modificado por el artículo 14 de la Resolución 6333 de 2021. El nuevo texto es el siguiente:> El presente Título aplica a todos los proveedores de redes y servicios de telecomunicaciones y los operadores de servicios postales, en virtud del régimen de habilitación aplicable, de acuerdo con los formatos de reporte de información concernientes a cada uno de ellos.
ARTÍCULO 1.1.3. FORMATOS DE REPORTE DE INFORMACIÓN. <Artículo modificado por el artículo 14 de la Resolución 6333 de 2021. El nuevo texto es el siguiente:> Los formatos de reporte de información periódica que deberán ser diligenciados y entregados por los proveedores de redes y servicios de telecomunicaciones y los operadores de servicios postales, se presentan en los capítulos 2 y 3 del presente Título, distribuidos en secciones temáticas.
Todos los proveedores de redes y servicios de telecomunicaciones y operadores postales deberán almacenar y mantener disponible durante un (1) año contado a partir de su reporte, la información fuente utilizada para la elaboración de los reportes de información que conforman la sección de mercados en los mencionados capítulos.
PARÁGRAFO. Los operadores de servicios postales deberán mantener disponible, por un periodo no inferior a dos (2) años, la información de indemnizaciones pagadas, discriminada por tipo de servicio postal, y tipo de indemnización (avería del objeto, pérdida del objeto postal, expoliación del objeto postal, u otros), de forma que estén disponibles frente a los requerimientos de las Entidades competentes.
ARTÍCULO 1.1.4. PRESENTACIÓN DE LOS REPORTES DE INFORMACIÓN. <Artículo modificado por el artículo 14 de la Resolución 6333 de 2021. El nuevo texto es el siguiente:> Todos los formatos de reporte de información contenidos en el presente Título serán presentados de manera electrónica a través del sistema de información señalado por la CRC para tal fin, el cual forma parte del Sistema de Información Integral - Colombia TIC.
ARTÍCULO 1.1.5. PERIODICIDAD. <Artículo modificado por el artículo 14 de la Resolución 6333 de 2021. El nuevo texto es el siguiente:> El cargue de la información tendrá la periodicidad señalada en los respectivos formatos de reporte que se presentan en los capítulos 2 y 3 del presente Título, y deberán ser cargados al sistema de información señalado por la CRC dentro del plazo allí indicado.
ARTÍCULO 1.1.6. PUBLICACIÓN. <Artículo modificado por el artículo 14 de la Resolución 6333 de 2021. El nuevo texto es el siguiente:> La CRC podrá publicar la información reportada de forma consolidada o desagregada por servicio, geografía, empresa, o cualquier otra combinación de variables y categorías contenidas en los reportes de información, a través de los mecanismos que considere pertinentes para el desarrollo de las funciones a su cargo.
PARÁGRAFO. En caso de que exista información a la cual la Ley le haya conferido el carácter de confidencial, ésta no será publicada de manera desagregada, y quedará sujeta a tratamiento reservado, quedando la carga probatoria al sujeto obligado en virtud del artículo 28 de la Ley 1712 de 2014, junto con el artículo 33 del Decreto 103 de 2015, o las que las sustituyan, modifiquen o adicionen.
ARTÍCULO 1.1.7. CORRECCIÓN DE INFORMACIÓN REPORTADA. <Artículo modificado por el artículo 14 de la Resolución 6333 de 2021. El nuevo texto es el siguiente:> En el eventual caso que el Proveedor u Operador requiera realizar una corrección a la información periódica previamente reportada, ésta sólo podrá realizarse con autorización de la CRC, previo recibo de solicitud con la justificación de la corrección, a través de la mesa de servicio del sistema de información.
El plazo máximo de corrección será la siguiente fecha de reporte del formato al que la información a corregir hace referencia. En el caso de los reportes eventuales el plazo máximo será el trimestre posterior a la fecha de reporte del original.
El recibo de información corregida a través del sistema de información, se realizará sin perjuicio de las investigaciones y eventuales sanciones que pudieren llegar a presentarse.
En todo caso, la corrección de la información también podrá realizarse cuando medie requerimiento de la CRC, cumpliéndose el plazo que sea fijado de manera particular para tal fin.
ARTÍCULO 1.1.8. SANCIONES POR NO REPORTE DE INFORMACIÓN. <Artículo derogado por el artículo 137 de la Resolución 7811 de 2025>
ARTÍCULO 1.1.9. PRUEBAS DE REPORTE DE INFORMACIÓN. <Artículo modificado por el artículo 14 de la Resolución 6333 de 2021. El nuevo texto es el siguiente:> Los proveedores de redes y servicios de telecomunicaciones y los operadores de servicios postales, deberán realizar pruebas de cargue de información en la plataforma habilitada para ello antes de la fecha de realización del primer reporte de información de un nuevo formato, o de modificaciones regulatorias a los existentes, de conformidad con los tiempos que establezca la CRC, que en todo caso no serán inferiores a un mes. El cargue de información en la etapa de pruebas no constituye el cumplimiento de la obligación del reporte de información.
PARÁGRAFO: Las pruebas asociadas a los procesos de implementación de los formatos y de sus modificaciones, deberán efectuarse con información completa y real para cada formato.
ARTÍCULO 1.1.10. OBLIGACIÓN DE REPORTE DE LA INFORMACIÓN DE PLANES TARIFARIOS. <Artículo modificado por el artículo 111 de la Resolución 7811 de 2025. El nuevo texto es el siguiente:> Los proveedores de redes y servicios de telecomunicaciones fijos que, de acuerdo con las cifras del Sistema Colombia TIC, cuenten con 30.000 o más de accesos de internet residenciales o con 30.000 o más suscriptores de televisión y los proveedores de redes y servicios de telecomunicaciones móviles deberán suministrar información de todas sus ofertas tarifarias, de conformidad con las guías que la CRC, vía circular administrativa, establezca para la captura de esta información.
Para efectos del presente artículo, se consideran ofertas tarifarias todos los planes pospago y las bolsas o paquetes prepago que estén siendo ofertados por los PRST, así como todos los planes que se encuentren vigentes o estén siendo aplicados a sus usuarios. Se exceptúan, los planes corporativos a los cuales no le es aplicable el régimen de protección de los usuarios de los servicios de comunicaciones.
ARTÍCULO 1.1.11. <Artículo modificado por el artículo 14 de la Resolución 6333 de 2021. El nuevo texto es el siguiente:> En los acuerdos de acceso para la prestación de servicios bajo la modalidad de operación móvil virtual los proveedores deberán acordar las condiciones en que el OMR le suministrará o le entregará al OMV la información que este requiere para cumplir con oportunidad y a cabalidad con las obligaciones de información del presente Título.
ARTÍCULO 1.1.12. <Artículo adicionado por el artículo 10 de la Resolución 8183 de 2026. Rige a partir del 1 de octubre de 2026. El nuevo texto es el siguiente:> Los proveedores de redes y servicios de telecomunicaciones móviles deberán entregar a la CRC, a través del mecanismo que esta determine, dentro de los treinta (30) días calendario siguientes a la finalización de cada trimestre, la información correspondiente al tráfico de datos cursado en los municipios clasificados como Zona 1, conforme a lo establecido en el Anexo 4.8. de la presente resolución.
Dicha información deberá ser reportada con periodicidad trimestral, con desagregación mensual y por tecnología, a nivel de estación base identificada con el nombre determinado en la variable número 13 del Formato 3 de la Resolución MinTIC 175 de 2021 o de aquella que la modifique, adicione o sustituya, incluyendo su ubicación geográfica (latitud y longitud) en coordenadas WGS84, expresadas en grados decimales con seis (6) cifras decimales.
REPORTES DE INFORMACIÓN DE SERVICIOS DE TELECOMUNICACIONES.
MERCADOS.
Consultar Régimen de Transición Art. 22 Tabla A
FORMATO 1.1. INGRESOS. <Último periodo de información a reportar 4T 2021. Consultar el reporte en este link>
FORMATO 1.2. SUSCRIPTORES POR PLANES INDIVIDUALES Y EMPAQUETADOS DE SERVICIOS FIJOS. <Último periodo de información a reportar 4T 2021. Consultar el reporte en este link>
FORMATO 1.3. LÍNEAS EN SERVICIO Y TRÁFICO TELEFONÍA LOCAL. <Último periodo de información a reportar 1T 2022. Consultar el reporte en este link>
FORMATO 1.4. TRÁFICO TELEFONÍA LARGA DISTANCIA. <Último periodo de información a reportar 4T 2021. Consultar el reporte en este link>
FORMATO 1.5. ACCESO FIJO A INTERNET. <Último periodo de información a reportar 1T 2022. Consultar el reporte en este link>
FORMATO 1.6. INGRESOS POR TRÁFICO DE VOZ DE PROVEEDORES DE REDES Y SERVICIOS MÓVILES. <Último periodo de información a reportar 4T 2021. Consultar el reporte en este link>
FORMATO 1.7. TRÁFICO DE VOZ DE PROVEEDORES DE REDES Y SERVICIOS MÓVILES. <Último periodo de información a reportar 4T 2021. Consultar el reporte en este link>
FORMATO 1.8. MENSAJERÍA DE TEXTO (SMS). <Último periodo de información a reportar 4T 2021. Consultar el reporte en este link>
FORMATO 1.9. ACCESO MÓVIL A INTERNET. <Último periodo de información a reportar 4T 2021. Consultar el reporte en este link>
MERCADOS.
FORMATO T.1.1. INGRESOS. <Formato modificado por el artículo 2 de la Resolución 8075 de 2025. El texto vigente hasta la fecha es el siguiente:>
Periodicidad: Trimestral
Contenido: Trimestral
Plazo: Hasta 60 días calendario después de finalizado el trimestre
Este formato deberá ser diligenciado por los proveedores de redes y servicios de telecomunicaciones que cumplan con alguna de las siguientes condiciones:
- Provean el servicio de internet fijo en el segmento residencial de manera individual o empaquetada y que cuenten con 30.000 o más accesos residenciales
- Provean el servicio de internet al segmento corporativo, pero no al segmento residencial
- Provean el servicio portador.
Este formato no debe ser reportado por los Proveedores del Servicio de Internet Comunitario Fijo (PSICF).
| 1 | 2 | 3 | 4 |
| Año | Trimestre | Servicio | Ingresos |
1. Año: corresponde al año para el cual se reporta la información. Campo numérico
entero, serie de cuatro dígitos.
2. Trimestre: corresponde al trimestre del año para el cual se reporta la información. Campo numérico entero, con valores esperados entre 1 y 4.
3. Servicio: corresponde al tipo de servicio prestado por el proveedor de redes y servicios de acuerdo con la siguiente lista:
Servicio
Acceso fijo a Internet
Portador
Telefonía fija
Telefonía Larga Distancia Internacional Entrante
Telefonía Larga Distancia Internacional Saliente
Televisión abierta
4. Ingresos: corresponde al valor total de los ingresos operacionales en pesos colombianos por concepto de la prestación del servicio de telecomunicaciones en referencia registrado por parte del proveedor en el trimestre de medición. No incluye ingresos que se producen por otros conceptos no operacionales, tales como ingresos financieros, rendimientos de inversiones o utilidades en venta de activos fijos, entre otros. No incluye IVA ni otros impuestos aplicables.
Para el reporte del servicio de televisión abierta solo se deben reportar los ingresos operacionales relacionados con la pauta publicitaria, auspicios, patrocinios, aportes, colaboraciones o transferencias del MinTIC, según corresponda. No incluye IVA ni otros impuestos aplicables.
FORMATO T.1.2. FORMATO UNIFICADO ISP. <Artículo modificado a partir del 1 de julio de 2026 por el artículo 12 de la Resolución 8171 de 2026. El texto vigente hasta esta fecha es el siguiente:> <Formato modificado por el artículo 113 de la Resolución 7811 de 2025. El nuevo texto es el siguiente:>
Periodicidad: Trimestral Contenido: Trimestral
Plazo: Hasta 45 días calendario después de finalizado el trimestre.
Este formato deberá ser diligenciado por los proveedores de redes y servicios de telecomunicaciones fijos en el segmento residencial y que cuenten con menos de 30.000 accesos de internet residenciales de manera individual o empaquetada al final del trimestre del cual se hace el reporte.
Este formato no debe ser reportado por los Proveedores del Servicio de Internet Comunitario Fijo (PSICF).
Se debe reportar la información de ingresos, accesos, tarifas, quejas y recursos, según la estructura de campos e instrucciones señaladas a continuación:
I. INGRESOS
Se deben reportar el valor total de los ingresos operacionales en pesos colombianos por concepto de la prestación del servicio de telecomunicaciones en referencia.
| 1 | 2 | 3 | 4 |
| Año | Trimestre | Servicio | Ingreso |
1. Año: Corresponde al año para el cual se reporta la información. Campo numérico entero, serie de cuatro dígitos.
2. Trimestre: Corresponde al trimestre del año para el cual se reporta la información. Campo numérico entero, con valores esperados entre 1 y 4.
3. Servicio: Corresponde al tipo de servicio prestado por el proveedor de redes y servicios de acuerdo con la siguiente lista:
Servicio
Acceso fijo a Internet
Telefonía fija
Televisión por suscripción
Internet dedicado a ISP (incluye acceso
mayorista a proveedores de servicio de Internet comunitario).
4. Ingresos: Corresponde al valor total de los ingresos operacionales en pesos colombianos por concepto de la prestación del servicio de telecomunicaciones en referencia registrados por parte del proveedor en el trimestre de medición. No incluye ingresos que se producen por otros conceptos no operacionales, tales como ingresos financieros, rendimientos de inversiones o utilidades en venta de activos fijos, entre otros. No incluye IVA ni otros impuestos aplicables.
II. ACCESOS Y TARIFAS COBRADAS POR SERVICIOS FIJOS INDIVIDUALES Y EMPAQUETADOS

1. Año: Corresponde al año para el cual se reporta la información. Campo numérico entero, serie de cuatro dígitos.
2. Trimestre: Corresponde al trimestre del año para el cual se reporta la información. Campo numérico entero, con valores esperados entre 1 y 4.
3. Municipio: Son los datos de ubicación geográfica donde se prestan los servicios fijos de manera individual o empaquetada. Se tienen en cuenta los 32 departamentos y la ciudad de Bogotá D.C. Los municipios se identifican de acuerdo con la división políticoadministrativa de Colombia, DIVIPOLA, presente en el sistema de consulta del DANE.
4. Clase: Corresponde a la ubicación donde se presta el servicio, de acuerdo con el DANE, estas se clasifican como:
| Código | Tipo clasificación |
| 1 | Cabecera municipal |
| 2 | Centro poblado |
| 3 | Rural disperso |
Para consultar la definición de los campos cabecera municipal, centro poblado y rural disperso, visite el Sistema de Consultas de Conceptos Estandarizados del DANE en el siguiente enlace: https://conceptos.dane.gov.co/conceptos/conceptos_catalogo.
5. Código Centro poblado: Este campo corresponde al código asignado por el DANE para identificar centros poblados. Este código consta de 8 dígitos y puede consultarse en el siguiente enlace: https://geoportal.dane.gov.co/geovisores/territorio/georreferenciador-de-direcciones/
Este campo solo aplica cuando en el campo 4 "Clase" se selecciona la opción 2 - "Centro poblado". En caso de no aplicar, se deberá registrar el número "99".
6. Código vereda: Este campo corresponde al código asignado por el DANE para la identificación de las veredas. Este código puede consultarse en el siguiente enlace: https://geoportal.dane.gov.co/geovisores/territorio/nivel-referencia-veredas/
Este campo solo aplica cuando en el campo 4 "Clase" se selecciona la opción 3 - rural disperso. En caso de no aplicar, se deberá registrar el número "99".
En caso de que no exista un código asignado para la vereda, registre el valor "98".
7. Segmento - Estrato: Corresponde al uso que se da al servicio fijo o los servicios fijos empaquetados. Se divide en las siguientes opciones:
- Residencial - Estrato 1: Servicios prestados en predios clasificados en el Estrato
- Residencial - Estrato 2: Servicios prestados en predios clasificados en el Estrato
- Residencial - Estrato 3: Servicios prestados en predios clasificados en el Estrato
- Residencial - Estrato 4: Servicios prestados en predios clasificados en el Estrato
- Residencial - Estrato 5: Servicios prestados en predios clasificados en el Estrato
- Residencial - Estrato 6: Servicios prestados en predios clasificados en el Estrato
- Corporativo: Servicios prestados a suscriptores de naturaleza empresarial.
- Sin estratificar: Registrar cuando ninguno de los servicios que hace parte del tipo de empaquetamiento esté asociado directamente a un domicilio (o predio) con clasificación socioeconómica por estratos.
8. Servicio o paquete de servicios: Corresponde al servicio o al paquete de servicios que son provistos. Se divide en las siguientes opciones:
| Código | Servicio o paquete de servicios |
| 1 | Internet fijo |
| 2 | Telefonía fija |
| 3 | Televisión por suscripción |
| 4 | Duo Play 1 (Telefóni fija + internet fijo) |
| 5 | Duo Play 2 (Internet fijo + Televisión por suscripción) |
| 6 | Duo Play 3 (Telefonia fija + Television por suscripción) |
| 7 | Triple play (Telefonía fija + Internet fijo + Televisión por suscripción) |
9. Velocidad efectiva Downstream: Es la capacidad de transmisión medida en Megabits por segundo (Mbps) garantizada por el ISP hacia el usuario, incluyendo tanto el segmento de acceso como los canales nacionales e internacionales, y que corresponde al valor mínimo de las mediciones asociadas según la metodología definida en el Capítulo 1 del Título V de la presente resolución. Este campo se debe reportar cuando el servicio corresponda, o el paquete incluya, al servicio de internet fijo, en caso contrario se deberá diligenciar con valor cero (0).
10. Velocidad efectiva Upstream: Es la capacidad de transmisión medida en Megabits por segundo (Mbps) garantizada desde el usuario hacia el ISP, incluyendo tanto el segmento de acceso como los canales nacionales e internacionales, y que corresponde al valor mínimo de las mediciones asociadas según la metodología definida en el Capítulo 1 del Título V de la presente resolución. Este campo se debe reportar cuando el servicio corresponda, o el paquete incluya, al servicio de internet fijo, en caso contrario se deberá diligenciar con valor cero (0).
11. Tecnología del acceso fijo a Internet: Tipo de tecnología usada para el acceso fijo a Internet: xDSL, Cable, Satelital, WiFi, WiMAX, HFC (Hybrid Fiber Coaxial), Fiber To The Home, (FTTH), Fiber To The Node (FTTN), Fiber To The Cabinet (FFTC), FTTB (Fiber to the building o Fiber to the basement), FTTA (Fiber to the antenna), FTTP (Fiberto-the-premises), 5G FWA, Satelital LEO, Otras tecnologías de fibra y otras tecnologías inalámbricas y fijas. Este campo se debe reportar cuando el servicio corresponda, o el paquete incluya, al servicio de Internet fijo, en caso contrario se deberá diligenciar como "NA".
Las tecnologías de internet fijo reportadas en este formato deberán incluir, al menos, aquellas que el PRST haya incluido en las condiciones de su oferta comercial vigente en el periodo de reporte.
12. Cantidad de líneas o accesos: Cantidad de líneas o accesos que se encuentran conectados al último día del trimestre a reportar. Se deben incluir aquellas líneas o accesos que se encuentren funcionando, aquellas suspendidas temporalmente (independientemente de la causa que genera dicha suspensión), así como las líneas de uso propio o interno del proveedor de redes y servicios de telecomunicaciones.
En caso de proveer servicios empaquetados mediante el uso de dos o más tecnologías de acceso de última milla, estos accesos serán contabilizados como uno solo.
13. Valor total plan tarifario (sin impuestos): Corresponde al valor total en pesos colombianos del plan tarifario, sin impuestos.
III. MONITOREO DE QUEJAS

1. Año: Corresponde al año para el cual se reporta la información. Campo numérico entero, serie de cuatro dígitos.
2. Trimestre: Corresponde al trimestre del año para el cual se reporta la información. Campo numérico entero, con valores esperados entre 1 y 4.
3. Mes: Corresponde al trimestre del año para el cual se reporta la información. Campo numérico entero, con valores esperados entre 1 y 3.
4. Servicio: Corresponde al servicio al cual se asocia la respectiva tipología de
queja (numeral 6 del presente formato), de acuerdo con la siguiente clasificación:
Servicio
Telefonía fija
Internet fijo
Televisión por suscripción
5. Tipología: Corresponde al tipo que describe la queja de acuerdo con la siguiente clasificación:
A. Información/ Contrato y condiciones prestación del servicio.
- Modificación condiciones acordadas.
- Publicidad engañosa.
- Servicios no solicitados.
- Fraudes en contratación.
- Datos personales.
- Plan corporativo.
B. Terminación del contrato/Cláusula de permanencia mínima.
- Imposibilidad terminación contrato.
- Cláusula de permanencia sin consentimiento.
- Cláusula de permanencia superior a 1 año.
- Valor subsidiado o financiado.
- Falta de información.
C. Calidad/ Cobertura del servicio.
- No disponibilidad del servicio.
- No compensación informada.
- Intermitencia.
- No traslado a nuevo domicilio.
D. Facturación/ Gestión de saldos.
- Error factura/ Cobro o descuento injustificado.
- Incremento tarifario.
- Reporte a centrales de riesgo Cobro en proceso de reclamación.
- Vigencia de saldos.
- Fraude en facturación.
- Cobro por reconexión.
E. Medios de atención al usuario.
- Medios de atención al usuario.
F. Otros.
En esta tipología abarca todas las quejas que no están incluidas en las tipologías antes señaladas (de la A a la E).
6. Número de quejas: Corresponde al número total de quejas recibidas por el proveedor en el mes de reporte. Se debe discriminar por servicio o paquete de servicios y tipología.
7. Número de quejas a favor: Corresponde al número total de quejas que fueron resueltas por el operador a favor de la solicitud del usuario en el mes de reporte. Se debe discriminar por servicio o paquete de servicios y tipología.
8. Número de quejas en contra: Corresponde al número total de quejas que fueron resueltas por el operador en contra de la solicitud del usuario en el mes de reporte. Se debe discriminar por servicio o paquete de servicios y tipología.
9. Número de recursos de reposición: Corresponde al número total de recursos presentados por los usuarios en el mes de reporte. Se debe discriminar por servicio o paquete de servicios y tipología.
10. Número de recursos de apelación: Corresponde al número total de recursos de apelación presentados ante la Superintendencia de Industria y Comercio en el mes de reporte. Se debe discriminar por servicio o paquete de servicios y tipología.
FORMATO T.1.3. LÍNEAS O ACCESOS Y VALORES FACTURADOS O COBRADOS DE SERVICIOS FIJOS INDIVIDUALES Y EMPAQUETADOS. <Formato modificado por el artículo 114 de la Resolución 7811 de 2025. El nuevo texto es el siguiente:>
Periodicidad: Trimestral Contenido: Trimestral
Plazo: Hasta 45 días calendario después de finalizado el trimestre.
Este formato deberá ser diligenciado por los proveedores de redes y servicios de telecomunicaciones que cumplan con alguna de las siguientes condiciones:
- Provean los servicios de telefonía fija, internet fijo y televisión por suscripción de manera individual o empaquetada y tengan 30.000 o más accesos.
- Provean el servicio de internet fijo únicamente al segmento corporativo.
Se debe reportar el número de líneas o accesos fijos y valores facturados o cobrados, discriminados por cada servicio o tipo de empaquetamiento, municipio, segmento y estrato socioeconómico. Adicionalmente, cuando esté incluido el servicio de internet fijo, la información se debe discriminar por las velocidades suministradas y tipo de tecnología de la conexión.
Los diferentes tipos de empaquetamiento entre los tres servicios mencionados, así como la provisión de cada servicio de manera individual, se identificarán a partir del correspondiente código registrado en el campo 5.

1. Año: Corresponde al año para el cual se reporta la información. Campo numérico entero, serie de cuatro dígitos.
2. Trimestre: Corresponde al trimestre del año para el cual se reporta la información.
Campo numérico entero, con valores esperados entre 1 y 4.
3. Municipio: Son los datos de ubicación geográfica donde se prestan los servicios fijos de manera individual o empaquetada. Se tienen en cuenta los 32 departamentos y la ciudad de Bogotá D.C. Los municipios se identifican de acuerdo con la división políticoadministrativa de Colombia, DIVIPOLA, presente en el sistema de consulta del DANE.
4. Segmento - Estrato: Corresponde al uso que se da al servicio fijo o los servicios fijos empaquetados. Se divide en las siguientes opciones:
- Residencial - Estrato 1: Servicios prestados en predios clasificados en el Estrato
- Residencial - Estrato 2: Servicios prestados en predios clasificados en el Estrato
- Residencial - Estrato 3: Servicios prestados en predios clasificados en el Estrato
- Residencial - Estrato 4: Servicios prestados en predios clasificados en el Estrato
- Residencial - Estrato 5: Servicios prestados en predios clasificados en el Estrato
- Residencial - Estrato 6: Servicios prestados en predios clasificados en el Estrato
- Corporativo: Servicios prestados a suscriptores de naturaleza empresarial.
- Corporativo (accesos adicionales): Servicios prestados a suscriptores de naturaleza empresarial. Se utiliza para identificar los accesos adicionales que pertenecen a empaquetamientos de tipo corporativo que tienen más de un acceso de un mismo servicio.
- Sin estratificar: Registrar cuando ninguno de los servicios que hace parte del tipo de empaquetamiento esté asociado directamente a un domicilio (o predio) con clasificación socioeconómica por estratos.
- Uso propio interno del operador: Corresponde a las líneas o accesos que son de uso propio o interno del proveedor de redes y servicios de telecomunicaciones.
5. Servicio o paquete de servicios: Corresponde al servicio o al paquete de servicios que son provistos. Se divide en las siguientes opciones:
| Código | Servicio o paquete de servicios |
| 1 | Internet fijo |
| 2 | Telefonía fija |
| 3 | Televisión por suscripción |
| 4 | Duo Play 1 (Telefóni fija + internet fijo) |
| 5 | Duo Play 2 (Internet fijo + Televisión por suscripción) |
| 6 | Duo Play 3 (Telefonia fija + Television por suscripción) |
| 7 | Triple play (Telefonía fija + Internet fijo + Televisión por suscripción |
6. Velocidad efectiva Downstream: Es la capacidad de transmisión medida en Megabits por segundo (Mbps) garantizada por el ISP hacia el usuario, incluyendo tanto el segmento de acceso como los canales nacionales e internacionales, y que corresponde al valor mínimo de las mediciones asociadas según la metodología definida en el Capítulo 1 del Título V de la presente resolución. Este campo se debe reportar cuando el servicio corresponda, o el paquete incluya, al servicio de internet fijo, en caso contrario se deberá diligenciar con valor cero (0).
7. Velocidad efectiva Upstream: Es la capacidad de transmisión medida en Megabits por segundo (Mbps) garantizada desde el usuario hacia el ISP, incluyendo tanto el segmento de acceso como los canales nacionales e internacionales, y que corresponde al valor mínimo de las mediciones asociadas según la metodología definida en el Capítulo 1 del Título V de la presente resolución. Este campo se debe reportar cuando el servicio corresponda, o el paquete incluya, al servicio de internet fijo, en caso contrario se deberá diligenciar con valor cero (0).
8. Tecnología del acceso fijo a Internet: Tipo de tecnología usada para el acceso fijo a Internet: xDSL, Cable, Satelital, WiFi, WiMAX, HFC (Hybrid Fiber Coaxial), Fiber To The Home, (FTTH), Fiber To The Node (FTTN), Fiber To The Cabinet (FFTC), FTTB (Fiber to the building o Fiber to the basement), FTTA (Fiber to the antenna), FTTP (Fiberto- the- premises), 5G FWA, Satelital LEO, otras tecnologías de fibra y otras tecnologías inalámbricas y fijas. Este campo se debe reportar cuando el servicio corresponda, o el paquete incluya, al servicio de Internet fijo, en caso contrario se deberá diligenciar como "NA".
Las tecnologías de internet fijo reportadas en este formato deberán incluir, al menos, aquellas que el PRST haya incluido en las condiciones de su oferta comercial vigente en el periodo de reporte.
9. Estado: Corresponde al estado de las líneas o accesos al último día del periodo a reportar. Se divide en las siguientes opciones:
| Código | Estado |
| 1 | Activo en funcionamiento |
| 2 | Suspensión temporal |
10. Cantidad de líneas o accesos: Cantidad de líneas o accesos que se encuentran conectados al último día del trimestre a reportar. Se deben incluir aquellas líneas o accesos que se encuentren funcionando, aquellas suspendidas temporalmente (independientemente de la causa que genera dicha suspensión), así como las líneas de uso propio o interno del proveedor de redes y servicios de telecomunicaciones.
En caso de proveer servicios empaquetados mediante el uso de dos o más tecnologías de acceso de última milla, estos accesos serán contabilizados como uno solo.
11. Valor facturado por servicio o paquete de servicios: Corresponde al monto facturado por concepto de la provisión del servicio o paquete de servicios señalado en el campo 5 a las líneas o accesos registrados en el campo 10.
Este valor debe corresponder a la suma de los valores facturados en las facturas emitidas o generadas en los meses del trimestre correspondiente al campo 2. Se deben reportar los montos facturados en pesos colombianos luego de aplicar descuentos. No se deben incluir impuestos, ni los montos en mora. En ningún caso, el valor de este campo puede ser negativo.
En caso de ventas en la modalidad prepago se deben reportar los montos efectivamente descontados durante el trimestre por concepto del consumo o disponibilidad del servicio o paquete de servicios según corresponda.
Los valores reportados en este campo no serán objeto de validación respecto de los ingresos operacionales registrados en la contabilidad del proveedor.
Este campo debe ser cero (0) cuando el campo 4 sea Corporativo (accesos adicionales).
12. Otros valores facturados: Corresponde al monto facturado por servicios o conceptos diferentes a los señalados en el campo 5, como por ejemplo: larga distancia internacional servicios a demanda, arriendo decodificador y cobro de reconexión, entre otros cobros a favor del operador.
Este valor debe corresponder a la suma de los valores facturados en las facturas emitidas o generadas en los meses del trimestre correspondiente al campo 2. Se deben reportar los montos facturados en pesos colombianos luego de aplicar descuentos. No se deben incluir impuestos, ni los montos en mora, ni los cobros a favor de terceros. En ningún caso, el valor de este campo puede ser negativo.
Los valores reportados en este campo no serán objeto de validación respecto de los ingresos operacionales registrados en la contabilidad del proveedor.
Este campo debe ser cero (0) cuando el campo 4 sea Corporativo (accesos adicionales).
FORMATO T.1.4. LÍNEAS Y VALORES FACTURADOS O COBRADOS DE SERVICIOS MÓVILES INDIVIDUALES Y EMPAQUETADOS. <Formato modificado por el artículo 14 de la Resolución 6333 de 2021. El nuevo texto es el siguiente:>
Periodicidad: Trimestral
Contenido: Mensual
Plazo: Hasta 45 días calendario después de finalizado el trimestre.
Este formato deberá ser diligenciado por los proveedores de redes y servicios de comunicaciones que provean los servicios de voz e internet móvil de manera individual o empaquetada.
Se debe reportar el número de líneas o accesos móviles y valores facturados o cobrados, discriminados por cada servicio o paquete y modalidad de pago. Se deben incluir aquellas líneas prepago que no realizaron alguna compra al operador durante el mes reportado.
El empaquetamiento o la provisión de cada servicio de manera individual, se identificará a partir del correspondiente código registrado en el campo 5.
| Año | Trimestre | Mes | Modalidadde pago | Servicio o paquete de servicios | Cantidad de líneas | Valor facturado por servicio o paquete de servicios | Otros valores facturados |
| 1 | 2 | 3 | 4 | 5 | 6 | 7 | 8 |
1. Año: Corresponde al año para el cual se reporta la información. Campo numérico entero, serie de cuatro dígitos.
2. Trimestre: Corresponde al trimestre del año para el cual se reporta la información. Campo numérico entero, con valores esperados entre 1 y 4.
3. Mes: Corresponde al mes del trimestre del año para el cual se reporta la información. Campo numérico entero, con valores esperados entre 1 y 3.
4. Modalidad de pago: Corresponde a las modalidades de pago señaladas en el artículo 2.1.1.3 de la presente resolución, así:
| Código | Modalidad |
| 1 | Pospago |
| 2 | Prepago con compra |
| 3 | Prepago sin compra |
Pospago: Hace referencia a aquellas líneas o accesos con contrato y que pagan un cargo fijo de manera periódica por el servicio o paquete de servicios.
Prepago: Hace referencia a aquellas líneas que no pagan un cargo fijo de manera periódica por el servicio. Dichas líneas podrían contar con un saldo de dinero, a través de recargas o mecanismos similares, para acceder a los distintos servicios de comunicaciones ofrecidos por su operador a través de la compra de paquetes, planes, promociones u ofertas o consumos por demanda que son descontados de dicho saldo. Para el presente reporte se debe dividir en las siguientes categorías:
-Prepago con compra: Líneas prepago que compraron servicios en el mes, dado que compraron bolsas o paquetes, o consumieron alguno de los servicios móviles a demanda, con cargo al saldo de dinero previamente recargado.
-Prepago sin compra: Líneas prepago que no realizaron ninguna compra en el mes, dado que no adquirieron alguna bolsa o paquete, así como tampoco consumieron ninguno de los servicios móviles a demanda, con cargo al saldo de dinero previamente recargado. Estas líneas se asocian al servicio de voz móvil.
Nota: Las recargas sin que medie adquisición de bolsas, paquetes o consumos a demanda no se consideran como compras en el mes.
5. Servicio o paquete de servicios: Corresponde al servicio o al paquete de servicios que son provistos por el proveedor. Se divide en las siguientes opciones:
| Código | Servicio o paquete de servicios |
| 1 | Voz móvil |
| 2 | Internet móvil |
| 3 | Voz móvil + Internet móvil |
Notas:
- El servicio de voz móvil tanto en el código 1 como en el código 3 incluye el servicio de mensajes cortos de texto (SMS).
- Aquellas líneas que en el campo 4 corresponden a "Prepago sin compra" deberán ser reportadas en este campo como líneas de Voz móvil.
6. Cantidad de líneas: Corresponde al número de líneas o accesos móviles que se encontraban activos en el último día del mes reportado. Cada línea debe ser contabilizada una sola vez en un servicio individual o como empaquetada y en una única modalidad de pago.
En el caso de la modalidad pospago la cantidad de líneas de cada servicio individual o con servicios empaquetados se determina de acuerdo con los servicios contenidos en el plan tarifario al que se encuentra suscrita cada línea al final del mes a reportar.
En el caso de la modalidad prepago la cantidad de líneas con servicios empaquetados corresponde a aquellas que dentro del mes compraron al menos una vez los dos servicios móviles, ya sea a través de (i) bolsas o paquetes o (ii) consumos por demanda, en los dos casos con pago a través del saldo de la recarga.
7. Valor facturado o cobrado por servicio o paquete de servicios: Corresponde al monto facturado o cobrado en el periodo por concepto de la provisión de los servicios señalados en el campo 5 a las líneas señaladas en el campo 6.
En el caso de líneas en la modalidad pospago, este valor debe corresponder al valor facturado en las facturas emitidas en el mes de reporte, independiente de los ciclos de facturación que tenga el proveedor y el periodo que se haya facturado. Se deben reportar los montos facturados en pesos colombianos luego de aplicar descuentos. No se deben incluir impuestos, ni valores en mora.
En el caso de líneas en la modalidad prepago el valor a reportar en este campo corresponde a los montos efectivamente descontados durante el mes, del saldo previamente recargado, por concepto (i) de la compra de bolsas o paquetes o (ii) del consumo por demanda de uno o más servicios móviles, sin incluir impuestos. Este campo se debe reportar con valor cero (0) para aquellas líneas clasificadas en el campo 4 como "Prepago sin compra".
Los valores reportados en este campo no serán objeto de validación respecto de los ingresos operacionales registrados en la contabilidad del proveedor.
8. Otros valores facturados o cobrados: Corresponde al monto facturado o cobrado durante el periodo por servicios o conceptos diferentes a la provisión de los servicios señalados en el campo 5, como por ejemplo servicios a demanda (Roaming Internacional y llamadas LDI) y servicios de valor agregado, entre otros cobros a favor del operador.
En el caso de líneas en la modalidad pospago, este campo debe corresponder al valor facturado en las facturas emitidas en el mes de reporte, independiente de los ciclos de facturación que tenga el proveedor y el periodo que se haya facturado. Se deben reportar los montos facturados en pesos colombianos luego de aplicar descuentos. No se deben incluir impuestos, ni los montos en mora, ni cobros a favor de terceros.
En el caso de líneas en la modalidad prepago el valor a reportar en este campo corresponde a los montos efectivamente descontados durante el mes, del saldo previamente recargado, por concepto de compra de servicios diferentes a los señalados en el campo 5. No se deben incluir impuestos, ni cobros a favor de terceros.
Los valores reportados en este campo no serán objeto de validación respecto de los ingresos operacionales registrados en la contabilidad del proveedor.
FORMATO T.1.5. ACCESO MÓVIL A INTERNET. <Formato modificado por el artículo 14 de la Resolución 6333 de 2021. Primer periodo de información a reportar 1T 2022. Reporte vigente en este link.El nuevo texto es el siguiente:>
Periodicidad: Trimestral
Contenido: Mensual
Plazo: Hasta 45 días calendario después de finalizado el trimestre
Este formato deberá ser diligenciado por los proveedores de redes y servicios que ofrezcan acceso móvil a Internet. Los operadores de red no deben incluir la información correspondiente a los usuarios de Operadores Móviles Virtuales (OMV) que hacen uso de sus redes.
VARIABLES DE TIEMPO
- Año: Corresponde al año para el cual se reporta la información. Campo numérico entero, serie de cuatro dígitos.
- Trimestre: Corresponde al trimestre del año para el cual se reporta la información. Campo numérico entero, con valores esperados entre 1 y 4.
- Mes: Corresponde al mes del trimestre del año para el cual se reporta la información. Campo numérico entero, con valores esperados entre 1 y 3.
A. Acceso por Suscripción.
Corresponde al acceso a Internet móvil a través de la contratación de un plan con un cargo fijo que se paga de forma periódica. Se debe tener en cuenta la definición "ACCESO A INTERNET" establecida en el Título I de la presente resolución, es decir, no se deben considerar accesos que únicamente hagan uso de redes privadas.

1. Segmento: Corresponde al tipo de suscriptor que contrata el servicio de acceso a Internet. Se clasifica dentro de los siguientes grupos:
- Personas: si el que contrata el servicio es una persona natural asociada a un número de Cédula de Ciudadanía o Cedula de Extranjería.
- Empresas: si el que contrata el servicio es una persona jurídica asociada a un Número de Identificación Tributaria-NIT.
2. Terminal: Terminal usado por el suscriptor para acceder a la red y se clasifica dentro de los siguientes grupos:
- Teléfono móvil: Cuando el suscriptor utiliza un teléfono móvil para conectarse a Internet.
- Data Card: Cuando el suscriptor, a través de un Modem USB/PCMCIA, Ranura SIM, Notebook/Netbook, etc., se conecta a Internet utilizando un computador, Tablet u otros equipos que hagan uso de servicios de datos únicamente.
3. Tecnología: Corresponde a la más alta tecnología utilizada por el suscriptor dentro de cada mes de medición, para la transmisión de la información a través de la red y se clasifica dentro de los siguientes grupos:
- 2G: Para conexiones móviles que utilizan tecnologías GSM/GPRS/EDGE, iDEN, entre otros.
- 3G: Para conexiones móviles que utilizan tecnologías W-CDMA/HSPA, UWC-136, HSPA+, entre otros.
- 4G: Para conexiones móviles que utilizan tecnologías LTE, entre otros.
- 5G: Para conexiones móviles que utilizan tecnología 5G: NSA o SA, entre otros.
4. Cantidad de Suscriptores: Corresponde al número de usuarios que, según datos al último día de cada mes de medición, están obligados contractualmente a pagar un cargo fijo de manera periódica por el servicio de acceso a Internet móvil. Se deben incluir aquellos usuarios que, teniendo un contrato de servicio de acceso a internet móvil, también accedan al servicio mediante la modalidad de demanda.
5. Ingresos por suscripción: Total de ingresos en pesos colombianos generados por los suscriptores durante el mes de medición. Esta información debe ir discriminada por segmento y terminal. No incluye impuestos.
6. Tráfico por suscripción: Corresponde al tráfico total en Megabytes, cursado por los suscriptores durante el mes de medición.
B. Acceso por Demanda.
Corresponde al acceso a Internet móvil sin que medie la contratación de un plan para tal fin. Se debe tener en cuenta la definición "ACCESO A INTERNET" establecida en el Título I de la presente resolución, es decir, no se deben considerar accesos que únicamente hagan uso de redes privadas.

1. Tipo de usuario: Se refiere al tipo de usuario que accede al servicio de Internet Móvil y se clasifica dentro de los siguientes grupos:
- Prepago: usuarios sin contrato de suscripción de acceso a Internet o voz móvil.
- Pospago: usuarios con un contrato de voz móvil, pero sin contrato de suscripción de acceso a Internet móvil.
2. Terminal: Terminal usado por el abonado para acceder a la red y se clasifica dentro de los siguientes grupos:
- Teléfono móvil: Cuando el abonado utiliza un teléfono móvil para conectarse a Internet.
- Data Card: Cuando el suscriptor, a través de un Modem USB/PCMCIA, Ranura SIM, Notebook/Netbook, etc., se conecta a Internet utilizando un computador, Tablet u otros equipos que hagan uso de servicios de datos únicamente.
3. Tecnología: Corresponde a la más alta tecnología utilizada por el abonado, dentro del mes de medición, para la transmisión de la información a través de la red y se clasifica dentro de los siguientes grupos:
- 2G: Para conexiones móviles que utilizan tecnologías GSM/GPRS/EDGE, iDEN, entre otros.
- 3G: Para conexiones móviles que utilizan tecnologías W-CDMA/HSPA, UWC-136, HSPA+, entre otros.
- 4G: Para conexiones móviles que utilizan tecnologías LTE, entre otros.
- 5G: Para conexiones móviles que utilizan tecnología 5G: NSA o SA, entre otros.
4. Cantidad de abonados que accedieron al servicio: Corresponde al número de usuarios únicos por cada tipo (prepago y pospago) que realizaron algún tipo de pago (con excepción de los suscriptores relacionados en el Numeral 4 del Formato A) para acceder al servicio de internet móvil durante el período de reporte.
5. Ingresos por demanda: Total de ingresos en pesos colombianos debido al tráfico de Internet móvil por demanda (sin considerar los ingresos generados por los suscriptores relacionados en el Numeral 4 del Formato A) cursado durante el mes de medición, discriminados por tipo de usuario (pospago y prepago) y terminal. No incluye impuestos.
6. Tráfico por demanda: Corresponde al tráfico total en Megabytes, cursado durante el mes de medición, para los abonados por demanda discriminado por prepago y pospago, excluyendo: 1. el tráfico por demanda generado por los suscriptores relacionados en el Numeral 4 del Formato A y 2. el tráfico cursado por usuarios que no realizan ningún tipo de pago.
FORMATO T.1.6. INGRESOS POR TRÁFICO DE VOZ DE PROVEEDORES DE REDES Y SERVICIOS MÓVILES. <Formato modificado por el artículo 2 de la Resolución 6990 de 2022. El nuevo texto es el siguiente:>
Periodicidad: Trimestral
Contenido: Mensual
Plazo: Hasta 60 días calendario después de finalizado el trimestre
Este formato deberá ser diligenciado por los proveedores de redes y servicios móviles para comunicaciones de voz.
| 1 | 2 | 3 | 4 | 5 | 6 |
| Año | Trimestre | Mes | Ingresos operacionales | Ingresos consumo pospago | Ingresos consumo prepago |
1. Año: Corresponde al año para el cual se reporta la información. Campo numérico entero, serie de cuatro dígitos.
2. Trimestre: Corresponde al trimestre del año para el cual se reporta la información. Campo numérico entero, con valores esperados entre 1 y 4.
3. Mes: Corresponde al mes del trimestre del año para el cual se reporta la información. Campo numérico entero, con valores esperados entre 1 y 3.
4. Ingresos operacionales: Corresponde al total de los ingresos operacionales en pesos colombianos por concepto de la prestación del servicio de telefonía móvil por parte del proveedor en el mes de medición. No incluye IVA, ni ingresos que se producen por otros conceptos no operacionales, tales como ingresos financieros, rendimientos de inversiones o utilidades en venta de activos fijos, entre otros.
5. Ingresos consumo pospago: Corresponde al total de los ingresos causados en pesos colombianos generados por suscriptores de telefonía móvil en modalidad pospago en el mes de medición. No incluye IVA.
6. Ingresos consumo prepago: Corresponde al total de los ingresos en pesos colombianos por concepto de las llamadas originadas por usuarios en la modalidad prepago en el mes de medición. No incluye IVA.
FORMATO T.1.7. TRÁFICO DE VOZ DE PROVEEDORES DE REDES Y SERVICIOS MÓVILES. <Formato modificado por el artículo 14 de la Resolución 6333 de 2021. Primer periodo de información a reportar 1T 2022. Reporte vigente en este link. El nuevo texto es el siguiente:>
Periodicidad: Trimestral
Contenido: Mensual
Plazo: Hasta 45 días calendario después de finalizado el trimestre
Este formato deberá ser diligenciado por los proveedores de redes y servicios móviles para comunicaciones de voz.
| 1 | 2 | 3 | 4 | 5 | 6 |
| Año | Trimestre | Mes | Tipo tráfico | Proveedor destino | Tráfico |
1. Año: Corresponde al año para el cual se reporta la información. Campo numérico entero, serie de cuatro dígitos.
2. Trimestre: Corresponde al trimestre del año para el cual se reporta la información. Campo numérico entero, con valores esperados entre 1 y 4.
3. Mes: Corresponde al mes del trimestre del año para el cual se reporta la información. Campo numérico entero, con valores esperados entre 1 y 3.
4. Tipo tráfico: Corresponde al tipo de tráfico de voz originado en una red móvil y se clasifica de la siguiente manera:
Tráfico prepago: Asociado a todas las llamadas cursadas por los usuarios prepago, y cuya terminación se da en un abonado de su propia red o en la red de otro proveedor destino. Prepago hace referencia a aquellos usuarios que no pagan un cargo fijo de manera periódica por el servicio
Tráfico pospago: Asociado a todas las llamadas cursadas por los suscriptores pospago, y cuya terminación se da en un abonado de su propia red o en la red de otro proveedor destino. Pospago hace referencia a aquellos usuarios con contrato y que pagan un cargo fijo de manera periódica por el servicio.
5. Proveedor destino: Corresponde al proveedor destino de las llamadas.
6. Tráfico: Corresponde al tráfico originado de voz móvil expresado en minutos y discriminado según la clasificación descrita en los campos 4 y 5 del presente formato. Los minutos aquí reportados deberán ser redondeados en caso de que la tasación sea en minutos, mientras que si es en segundos los minutos deberán ser reales.
FORMATO T.1.8. MENSAJERÍA DE TEXTO (SMS). <Formato modificado por el artículo 14 de la Resolución 6333 de 2021. Primer periodo de información a reportar 1T 2022. Reporte vigente en este link. El nuevo texto es el siguiente:>
Periodicidad: Anual
Contenido: Trimestral
Plazo: Hasta 45 días calendario después de finalizado el año.
Este Formato debe ser diligenciado por los proveedores de redes y servicios de telecomunicaciones móviles, incluidos los operadores móviles virtuales, que ofrezcan mensajería corta de texto (SMS).
| 1 | 2 | 3 | 4 |
| Año | Trimestre | Cantidad | Ingresos |
1. Año: Corresponde al año para el cual se reporta la información. Campo numérico entero, serie de cuatro dígitos.
2. Trimestre: Corresponde al trimestre del año para el cual se reporta la información. Campo numérico entero, con valores esperados entre 1 y 4.
3. Cantidad: Total de mensajes SMS intercambiados entre usuarios, tanto facturables como no facturables, enviados durante el período de reporte.
4. Ingresos: Total de ingresos en pesos colombianos generados por concepto de la prestación del servicio de mensajería de texto SMS durante el período de reporte. No incluye IVA ni demás impuestos aplicables.
FORMATO T.1.9. OFERTA CONJUNTA DE SERVICIOS FIJOS Y MÓVILES. <Artículo modificado a partir del 1 de octubre de 2026 por el artículo 13 de la Resolución 8171 de 2026. El texto vigente hasta esta fecha es el siguiente:> <Formato adicionado por el artículo 16 de la Resolución 7285 de 2024. El nuevo texto es el siguiente:>
Periodicidad: Trimestral.
Contenido: Trimestral.
Plazo: Hasta 45 días calendario después de finalizado el trimestre.
Este formato deberá ser diligenciado por los proveedores de redes y servicios móviles que también provean servicios fijos o que realicen alianzas o acuerdos con proveedores de servicios fijos para ofrecer ofertas conjuntas de servicios fijos y móviles en los que se otorgan beneficios al usuario por tener contratados servicios fijos y móviles a través de uno o varios contratos.
Se debe reportar (i) la cantidad de líneas o accesos móviles que tienen algún tipo de beneficio por tener contratados los servicios fijos con el operador que realiza el reporte o con otros PRST de servicios fijos y (ii) la cantidad de accesos de líneas o accesos fijos, propios o de otros PRST, que tienen algún tipo de beneficio por tener contratados los servicios móviles con el operador que realiza el reporte.
Se deben reportar la cantidad de líneas o accesos que se encontraban activos o conectados al último día del trimestre, y solamente aquellas líneas o accesos móviles cuyo titular es una persona natural, así como también aquellas líneas o accesos fijos que pertenecen al segmento residencial.
La información se debe discriminar por municipio, según lo señalado en el campo 3 y debe estar discriminada de acuerdo con las posibles combinaciones de servicios móviles y fijos que se señalan en los campos 4 y 5.
| 1 | 2 | 3 | 4 | 5 | 6 | 7 |
| Año | Trimestre | Municipio | Servicios móviles incluidos | Servicios fijos incluidos | Accesos móviles mixtos | Accesos fijos mixtos |
1. Año: Corresponde al año para el cual se reporta la información. Campo numérico entero, serie de cuatro dígitos.
2. Trimestre: Corresponde al trimestre del año para el cual se reporta la información. Campo numérico entero, con valores esperados entre 1 y 4.
3. Municipio: Son los datos de ubicación geográfica donde se prestan los servicios fijos (servicios de telefonía fija, televisión por suscripción e internet fijo) a los accesos señalados en el campo 7, respecto de los cuales están vinculados los accesos móviles señalados en el campo 6. Se tienen en cuenta los 32 departamentos y la ciudad de Bogotá D. C. Los municipios se identifican de acuerdo con la División Político-Administrativa de Colombia (DIVIPOLA) presente en el sistema de consulta del Dane.
Se debe incluir la información discriminada para los municipios que se listan a continuación:
| No. | Código DANE | Departamento | Municipio |
| 1 | 11001 | Bogotá, D. C. | Bogotá, D. C. |
| 2 | 05001 | Antioquia | Medellín |
| 3 | 76001 | Valle del Cauca | Cali |
| 4 | 08001 | Atlántico | Barranquilla |
| 5 | 13001 | Bolívar | Cartagena de Indias |
| 6 | 54001 | Norte de Santander | San José de Cúcuta |
| 7 | 25754 | Cundinamarca | Soacha |
| 8 | 08758 | Atlántico | Soledad |
| 9 | 68001 | Santander | Bucaramanga |
| 10 | 50001 | Meta | Villavicencio |
| 11 | 20001 | Cesar | Valledupar |
| 12 | 05088 | Antioquia | Bello |
| 13 | 47001 | Magdalena | Santa Marta |
| 14 | 73001 | Tolima | Ibagué |
| 15 | 23001 | Córdoba | Montería |
| 16 | 66001 | Risaralda | Pereira |
| 17 | 17001 | Caldas | Manizales |
| 18 | 52001 | Nariño | Pasto |
| 19 | 41001 | Huila | Neiva |
| 20 | 76520 | Valle del Cauca | Palmira |
| 21 | 19001 | Cauca | Popayán |
| 22 | 68276 | Santander | Floridablanca |
| 23 | 76109 | Valle del Cauca | Buenaventura |
| 24 | 70001 | Sucre | Sincelejo |
| 25 | 63001 | Quindío | Armenia |
| 26 | 05360 | Antioquia | Itagüí |
| 27 | 52835 | Nariño | San Andrés de Tumaco |
| 28 | 05266 | Antioquia | Envigado |
| 29 | 76834 | Valle del Cauca | Tuluá |
| 30 | 44001 | La Guajira | Riohacha |
| 31 | 66170 | Risaralda | Dosquebradas |
| 32 | 68081 | Santander | Barrancabermeja |
| 33 | 44430 | La Guajira | Maicao |
| 34 | 44847 | La Guajira | Uribia |
| 35 | 85001 | Casanare | Yopal |
| 36 | 68547 | Santander | Piedecuesta |
| 37 | 15001 | Boyacá | Tunja |
| 38 | 76364 | Valle del Cauca | Jamundí |
| 39 | 18001 | Caquetá | Florencia |
| 40 | 68307 | Santander | Girón |
| 41 | 25269 | Cundinamarca | Facatativá |
| 42 | 25290 | Cundinamarca | Fusagasugá |
| 43 | 25175 | Cundinamarca | Chía |
| 44 | 25899 | Cundinamarca | Zipaquirá |
| 45 | 25473 | Cundinamarca | Mosquera |
| 46 | 05615 | Antioquia | Rionegro |
| 47 | 13430 | Bolívar | Magangué |
| 48 | 27001 | Chocó | Quibdó |
| 49 | 08433 | Atlántico | Malambo |
| 50 | 76147 | Valle del Cauca | Cartago |
| 51 | 25430 | Cundinamarca | Madrid |
| 52 | 15759 | Boyacá | Sogamoso |
| 53 | 41551 | Huila | Pitalito |
| No. | Código DANE | Departamento | Municipio |
| 54 | 54498 | Norte de Santander | Ocaña |
| 55 | 05837 | Antioquia | Turbo |
| 56 | 76111 | Valle del Cauca | Guadalajara de Buga |
| 57 | 47189 | Magdalena | Ciénaga |
| 58 | 15238 | Boyacá | Duitama |
| 59 | 05045 | Antioquia | Apartadó |
| 60 | 20011 | Cesar | Aguachica |
| 61 | 25307 | Cundinamarca | Girardot |
| 62 | 52356 | Nariño | Ipiales |
| 63 | 23417 | Córdoba | Lorica |
| 64 | 19698 | Cauca | Santander de Quilichao |
| 65 | 54874 | Norte de Santander | Villa del Rosario |
| 66 | 23660 | Córdoba | Sahagún |
| 67 | 13836 | Bolívar | Turbaco |
| 68 | 25286 | Cundinamarca | Funza |
| 69 | 23162 | Córdoba | Cereté |
| 70 | 76892 | Valle del Cauca | Yumbo |
| 71 | 08638 | Atlántico | Sabanalarga |
| 72 | 54405 | Norte de Santander | Los Patios |
| 73 | 25126 | Cundinamarca | Cajicá |
| 74 | 81001 | Arauca | Arauca |
| 75 | 86001 | Putumayo | Mocoa |
| 76 | 95001 | Guaviare | San José del Guaviare |
| 77 | 88001 | Archipiélago de San Andrés | San Andrés |
| 78 | 91001 | Amazonas | Leticia |
| 79 | 94001 | Guainía | Inírida |
| 80 | 97001 | Vaupés | Mitú |
| 81 | 99001 | Vichada | Puerto Carreño |
La información correspondiente a los municipios que no se encuentra en el anterior listado se debe agrupar y reportar bajo el Código 99999 "Resto del país" teniendo en cuenta la discriminación señalada en los campos 4 y 5.
4. Servicios móviles incluidos: Corresponde a los servicios móviles que son provistos a los accesos mixtos móviles que se reportan en el campo 6. Se divide en las siguientes opciones:
| Código | Servicio o paquete de servicios |
| 1 | Voz móvil |
| 2 | Internet móvil |
| 3 | Voz móvil + Internet móvil |
5. Servicios fijos incluidos: Corresponde a los servicios móviles que son provistos a los accesos mixtos fijos que se reportan en el campo 7. Se divide en las siguientes opciones:
| Código | Servicio o paquete de servicios |
| 1 | Internet fijo |
| 2 | Telefonía fija |
| 3 | Televisión por suscripción |
| 4 | Duo Play 1 (Telefonía fija + Internet fijo) |
| 5 | Duo Play 2 (Internet fijo +Televisión por suscripción) |
| 6 | Duo Play 3 (Telefonía fija + Televisión por suscripción) |
| 7 | Triple Play (Telefonía fija + Internet fijo + Televisión por suscripción) |
6. Accesos móviles mixtos: Cantidad de líneas o accesos móviles que hagan uso de los servicios de voz y datos móviles, de manera conjunta o individual, sin importar la modalidad de contratación y que reciben cualquier tipo de beneficio por tener contratados o vinculados un servicio o paquete de servicios fijos (telefonía fija y/o televisión por suscripción y/o internet fijo) en el segmento residencial con el operador o con otro PRST de servicios fijos.
Se debe reportar la cantidad de líneas o accesos móviles que se encontraban activos al último día del trimestre a reportar y cuyo titular es una persona natural. En este caso el municipio corresponde a aquel en el que se proveen los servicios fijos en el segmento residencial vinculados o contratados con los servicios móviles.
7. Accesos fijos mixtos: Cantidad de líneas o accesos fijos del segmento residencial que hagan uso de los servicios de telefonía fija, televisión por suscripción e internet fijo, de manera conjunta o individual, y que reciben cualquier tipo de beneficio por tener contratados o vinculados un servicio o paquete de servicios móviles (voz y/o datos) con el operador y cuyo titular es una persona natural.
Se debe reportar la cantidad de líneas o accesos fijos del segmento residencial que se encontraban conectados al último día del trimestre a reportar. Se deben incluir aquellas líneas o accesos que se encuentren funcionando y aquellas suspendidas temporalmente (independientemente de la causa que genera dicha suspensión).
En caso de proveer servicios fijos empaquetados mediante el uso de dos o más tecnologías de acceso de última milla, estos accesos serán contabilizados como uno solo.
FORMATO T.1.10. ACCESOS E INGRESOS DEL SERVICIO INTERNET COMUNITARIO FIJO. <Formato adicionado por el artículo 6 de la Resolución 7712 de 2025. El nuevo texto es el siguiente:>
Periodicidad: Trimestral
Contenido: Trimestral
Plazo: Hasta 45 días calendario después de finalizado el trimestre.
Este formato deberá ser diligenciado por los Proveedores del Servicio de Internet Comunitario Fijo (PSICF).
| Año | Trimestre | Municipio | Clase | Código Centro Poblado | Código vereda | Tecnología del acceso fijo a Internet | Proveedor Mayorista | Accesos | Ingresos |
| 1 | 2 | 3 | 4 | 5 | 6 | 7 | 8 | 9 | 10 |
1. Año: Corresponde al año para el cual se reporta la información.
2. Trimestre: Corresponde al trimestre del año para el cual se reporta la información.
3. Municipio: Son los datos de ubicación geográfica donde se presta el servicio de Internet comunitario fijo. Se tienen en cuenta los 32 departamentos y la ciudad de Bogotá, D. C. Los municipios se identifican de acuerdo con la división político-administrativa de Colombia, DIVIPOLA, presente en el sistema de consulta del DANE.
4. Clase: Corresponde a la ubicación donde se presta el servicio, de acuerdo con el DANE, estas se clasifican como:
| Código | Tipo clasificación |
| 1 | Cabecera municipal |
| 2 | Centro poblado |
| 3 | Rural disperso |
Para consultar la definición de los campos cabecera municipal, centro poblado y rural disperso, visite el Sistema de Consultas de Conceptos Estandarizados del DANE en el siguiente enlace: https://conceptos.dane.gov.co/conceptos/conceptos_catalogo.
5. Código Centros Poblados: Este campo corresponde al código asignado por el DANE para identificar centros poblados. Este código consta de 8 dígitos y puede consultarse en el siguiente enlace:
https://geoportal.dane.gov.co/geovisores/territorio/georreferenciador-de-direcciones/
Este campo solo aplica cuando en el campo 4 "Clase" se selecciona la opción 2 - "Centro poblado". En caso de no aplicar, se deberá registrar el número "99".
6. Código vereda: Este campo corresponde al código asignado por el DANE para la identificación de las veredas. Este código puede consultarse en el siguiente enlace:
https://geoportal.dane.gov.co/geovisores/territorio/nivel-referencia-veredas/
Este campo solo aplica cuando en el campo 4 "(Clase)" se selecciona la opción 3 -rural disperso. En caso de no aplicar, se deberá registrar el número "99".
En caso de que no exista un código asignado para la vereda, registre el valor "98".
7. Tecnología del acceso fijo a Internet: Tipo de tecnología usada para la prestación del servicio de Internet comunitario fijo: xDSL, Cable, WiFi, WiMAX, Fiber To The Home, (FTTH), FWA (4G, 5G), otras tecnologías inalámbricas y otras tecnologías fijas.
8. Proveedor Mayorista: Número de Identificación Tributaria (NIT), sin dígito de verificación, (persona natural o jurídica) del Proveedor de Redes y Servicios de Telecomunicaciones que suministra la conexión a Internet al Proveedor del Servicio de Internet Comunitario Fijo.
9. Accesos: Cantidad accesos que se encuentran conectados al último día del trimestre a reportar. Se deben incluir aquellos accesos que se encuentren funcionando, aquellos suspendidos temporalmente (independientemente de la causa), así como los accesos de uso propio o interno del Proveedor del Servicio de Internet Comunitario Fijo.
10. Ingresos: Corresponde al valor total de los ingresos del Proveedor del Servicio de Internet Comunitario Fijo, en pesos colombianos, derivados de la prestación del servicio de internet fijo durante el trimestre. Este monto corresponde a los aportes realizados por los asociados para disponer del servicio de Internet. No incluye ingresos que se producen por otros conceptos.
CALIDAD.
FORMATO T.2.1. INFORMACIÓN DE INDICADORES DE CALIDAD PARA LOS SERVICIOS DE TELEVISIÓN. <Formato modificado por el artículo 115 de la Resolución 7811 de 2025. El nuevo texto es el siguiente:>
A. FORMATO DE REPORTE INFORMACIÓN GENÉRICA POR OPERADOR
Periodicidad: Semestral Contenido: Semestral
Plazo: Hasta 31 días calendario después de finalizado el semestre.
Este formato aplica para todos los operadores del servicio de televisión abierta radiodifundida digital terrestre y por cable HFC digital, satélite e IPTV.

1. Año: Corresponde al año para el cual se reporta la información. Campo numérico entero, serie de cuatro dígitos.
2. Semestre: Semestre sobre el cual se tomaron las mediciones correspondientes a los datos reportados. Campo numérico entero, con valores esperados entre 1 y 2.
3. Modalidad prestación servicio TV: Indicar si se trata de televisión terrestre radiodifundida, por cable HFC digital, satelital o IPTV.
4. Número de canales de TV ofertados: Indicar el número de canales de televisión analógico o digital, ofertados por el operador durante el periodo de reporte.
Información del canal

El operador deberá reportar todos los canales incluidos en su parrilla durante el periodo de reporte.
1. Año: Corresponde al año para el cual se reporta la información. Campo numérico entero, serie de cuatro dígitos.
2. Semestre: Semestre sobre el cual se tomaron las mediciones correspondientes a los datos reportados. Campo numérico entero, con valores esperados entre 1 y 2.
3. Canal de TV: Secuencia de programas bajo el control de un operador de televisión. El operador deberá reportar todos los canales incluidos en su parrilla durante el periodo de reporte.
4. Información del video:
- Códec de Video: Hace referencia al códec utilizado para la compresión del video.
- Definición: Indicar si es Standard Definition (SD) o High Definition (HD).
- Bit rate: Tasa de bits mínima, promedio y máxima.
- Fotogramas por segundo: Cuadros por segundo. Medida de la frecuencia con que se transmite o presenta una imagen de televisión en la pantalla.
- Bits por pixel: Profundidad de imagen. Cantidad de bits de información utilizados para representar el color de un píxel en una imagen digital.
5. Información del audio:
- Códec de Audio: Hace referencia al códec utilizado para la compresión del sonido.
- Bit rate: Tasa de bits por segundo (Valor reportado en Mbps).
6. Tipo canal: Indicar si se trata de un canal Digital o Analógico.
B. FORMATO DE REPORTE QoS1 "Disponibilidad del servicio"
Periodicidad: Semestral Contenido: No aplica
Plazo: Hasta 31 días calendario después de finalizado el semestre.
Este formato aplica para todos los operadores del servicio de televisión abierta radiodifundida digital terrestre y por cable HFC digital, satélite e IPTV.
Los operadores del servicio de televisión deberán diligenciarlo teniendo en cuenta las siguientes indicaciones:
a) Los operadores deben proporcionar datos de la disponibilidad media del servicio en el semestre reportado y desglosada por mes.
b) Los operadores de televisión radiodifundida deberán proporcionar información de la disponibilidad de todos los transmisores de su red reportando la Tabla "Resultados de disponibilidad del servicio por estación para operadores del servicio de televisión radiodifundida.", comenzando por los de mayor cubrimiento poblacional. Se deberá indicar si el transmisor tiene una cobertura mayor a 100.000 habitantes.
c) Los operadores deben reportar todas las incidencias que causaron un corte en la prestación del servicio a los usuarios, ya sean atribuibles o no al operador, diligenciando una Tabla "Incidencias en la disponibilidad del servicio," por incidencia.
Resultados de disponibilidad total del servicio
| 1 | 2 | 3 | 4 |
| Año | Semestre | Mes | Disponibilidad semetral del servicio |
Para este formato el contenido deberá estar discriminado por mes del semestre
1. Año: Corresponde al año para el cual se reporta la información. Campo numérico entero, serie de cuatro dígitos.
2. Semestre: Semestre sobre el cual se tomaron las mediciones correspondientes a los datos reportados. Campo numérico entero, con valores esperados entre 1 y 2.
3. Mes: Se debe reportar tanto el valor de disponibilidad para el mes del semestre como el total de disponibilidad media del semestre. Para el caso del mes indicar un valor entre 1 y 6 según el mes del semestre, y para disponibilidad media del semestre indicar "Total".
4. Disponibilidad semestral del servicio: Porcentaje de disponibilidad del servicio en el mes o disponibilidad media del servicio en el semestre según corresponda.
Resultados de disponibilidad del servicio por estación para operadores del servicio de televisión radiodifundida

1. Año: Corresponde al año para el cual se reporta la información. Campo numérico entero, serie de cuatro dígitos.
2. Semestre: Semestre sobre el cual se tomaron las mediciones correspondientes a los datos reportados. Campo numérico entero, con valores esperados entre 1 y 2.
3. Estación No.: Número de la estación sobre la que se reporta la disponibilidad.
4. Nombre Estación: Nombre de la estación sobre la que se reporta la disponibilidad.
5. Municipio: Son los datos de ubicación geográfica de las estaciones base. Se tienen en cuenta los 32 departamentos y la ciudad de Bogotá D.C. Los municipios están de acuerdo con la división político-administrativa de Colombia, DIVIPOLA, presente en el sistema de consulta del DANE.
6. Coordenadas (WGS84): Latitud y longitud en Grados, Minutos y Segundos de la ubicación de la estación.
7. Cobertura >100.000 habitantes: Indicar si la estación tiene una cobertura mayor a 100.000 habitantes.
8. Disponibilidad semestre reportado (%): Indicar el porcentaje de disponibilidad de acuerdo con la metodología descrita en el artículo 5.2.3.1. y para el periodo reportado.
9. Disponibilidad del semestre incluyendo incidencias por fuerza mayor o mantenimientos preventivos (%): Indicar el porcentaje de disponibilidad de acuerdo con la metodología descrita en el artículo 5.2.3.1 de la presente resolución y para el periodo reportado. Se deben incluir incidencias por fuerza mayor o mantenimientos preventivos informados a la Dirección de Vigilancia, Inspección y Control del Ministerio de Tecnologías de la Información y las Comunicaciones.
Incidencias en la disponibilidad del servicio para operadores del servicio de televisión radiodifundida

1. Año: Corresponde al año para el cual se reporta la información. Campo numérico entero, serie de cuatro dígitos.
2. Semestre: Semestre sobre el cual se tomaron las mediciones correspondientes a los datos reportados. Campo numérico entero, con valores esperados entre 1 y 2.
3. Nombre Estación: Nombre de la estación sobre la que se reporta la disponibilidad.
4. No. Estación: Número de la estación sobre la que se reporta la disponibilidad.
5. Número de incidencia: Corresponde al número consecutivo de la incidencia.
6. Fecha y hora de inicio de incidencia: Fecha (dd/mm/aa) y hora (formato 24 horas hh:mm) desde que se identificó la incidencia.
7. Fecha y hora de fin de incidencia: Fecha (dd/mm/aa) y hora (formato 24 horas hh:mm) en la que se le dio solución a la incidencia y se restableció la prestación del servicio a los usuarios.
8. Tipo de incidencia: Clasificación del suceso que conlleve a la interrupción, de forma temporal, de todas las señales que provea el operador. Se clasifican entre:
- Eléctrica: Es una alteración o interrupción del suministro de energía eléctrica, ya sea de origen externo o interno que afecta la operación de un equipo o sistema en particular.
- Transmisión: Interrupción en la propagación de una onda electromagnética (señal de televisión) que viaja a través del espacio.
- Recepción Satelital: Interrupción en la recepción de una señal de televisión que es enviada desde un satélite y recibida por una antena parabólica para su posterior procesamiento.
- Cabecera: Interrupción de una señal de televisión desde el lugar donde se origina la programación y comienza la red de distribución.
- Ventana de Mantenimiento preventivo: Espacio de tiempo autorizado y programado para la interrupción del servicio de emisión de una señal de televisión.
- Fuerza mayor o caso fortuito: Imprevisto o que no es posible resistir, como un naufragio, un terremoto, el apresamiento de enemigos, los actos de autoridad ejercidos por un funcionario público, etc.
9. Causa de la incidencia: Indicar la causa para cada una de las incidencias descritas en el numeral 5 de acuerdo con lo siguiente:
| Tipo de Incidencia | Causa de la incidencia |
| Eléctrica | Ausencia de energía por parte de la red comercial |
| Fluctuaciones en el voltaje de red comercial | |
| Avería o bloqueo de la UPS | |
| Avería en el Regulador de Voltaje | |
| Avería o problemas de encendido de la Planta Eléctrica de Emergencia | |
| Avería o bloqueo en la Transferencia para conmutar entre la energía comercial y la de respaldo | |
| Daños en la acometida eléctrica de la estación | |
| Falla en el sistema eléctrico ocasionado por descargas eléctricas | |
| Transmisión | Daño o Bloqueo de los Excitadores |
| Pérdida de potencia en la etapa de amplificación | |
| Daño en las fuentes de alimentación de los amplificadores | |
| Bloqueo o avería de la unidad de control del transmisor | |
| Daño del Sistema GPS o ausencia de señal de referencia | |
| Bloqueo o avería del Conmutador Coaxial de Trasmisores | |
| Incremento de potencia reflejada por fuga o averías en los elementos pasivos (Filtros, Combinadores, líneas de transmisión, CCT o Antenas) | |
| Daños en tarjeta de distribución eléctrica del transmisor | |
| Daños o averías en los sistemas de refrigeración | |
| Tiempo de restablecimiento de los equipos (Transmisores y GPS) | |
| Ajuste repentino de potencia en el Transmisor | |
| Apagado o disminución de potencia del Transmisor por reporte de interferencia de señal | |
| Recepción Satelital | Daño del LNB, Splitter o Cableado |
| Daño o bloqueo del IRD (Receptor satelital) | |
| Falla en entrada IP | |
| Interferencia terrestre | |
| Desapuntamiento de la antena TVRO | |
| Bajo nivel en señal de recepción (condición atmosférica inadecuada) | |
| Manchas solares | |
| Interferencia solar | |
| Configuración de parámetros en el IRD | |
| Tiempo de restablecimiento de los IRDs | |
| Cabecera | Problemas en la señal de contribución T2-MI |
| Bloqueo o avería del Gateway | |
| Falla de Origen | |
| Daños o averías en el HPA del telepuerto | |
| Interferencia en el satélite | |
| Ventana de | Eléctrico |
| Mantenimiento | Transmisión |
| Preventivo | Sistema Radiante |
| Recepción | |
| Cabecera | |
| Fenómenos Naturales y descargas eléctricas | |
| Tipo de Incidencia | Causa de la incidencia |
| Fuerza Mayor o Caso Fortuito | Terremoto |
| Incendio | |
| Conflagración | |
| Inundación | |
| Tormenta | |
10. Mecanismos de solución de la incidencia: Método usado para dar solución a la incidencia.
11. Número de usuarios afectados: Número de usuarios afectados por la incidencia.
12. Observaciones: En un máximo de 500 caracteres describir observaciones adicionales.
Incidencias en la disponibilidad del servicio para operadores del servicio de televisión por cable HFC digital, satélite e IPTV.

1. Año: Corresponde al año para el cual se reporta la información. Campo numerico entero, serie de cuatro digitos
2. Semetre: Semestre sobre el cual se tomaron las mediciones correspondientes a los datos reportados. Campo numérico entero, con valores esperados entre 1 y 2.
3. Número de incidencia: Corresponde al número consecutivo de la incidencia
4. Fecha y hora de inicio de incidencia: Fecha (dd.mm.aa) y hora desde que se identificó la incidencia.
5. Fecha y hora de fin de incidencia: Fecha (dd.mm.aa) y hora en la que se le dio solución a la incidencia y se restableció la prestación del servicio a los usuarios.
6. Tipo de incidencia: Clasificación del suceso que conlleve a la interrupción, de forma temporal, de todas las señales que provea el operador.
7. Lugar: Lugar de la medición.
- Municipio: Código DANE del municipio de la ubicación o lugar en donde se originó la incidencia
- Dirección: Dirección dentro del municipio de la ubicación o lugar en donde se originó la incidencia
8. Mecanismos de solución de la incidencia: Método usado para dar solución a la incidencia.
9. Número de usuarios afectados: Número de usuarios afectados por la incidencia.
10. Observaciones: En un máximo de 500 caracteres describir observaciones adicionales.
FORMATO T.2.2 INDICADORES DE CALIDAD PARA EL ACCESO A SERVICIOS DE VOZ MÓVIL. <Formato modificado por el artículo 116 de la Resolución 7811 de 2025. El nuevo texto es el siguiente:>
Periodicidad: Trimestral Contenido: Mensual
Plazo: Hasta 30 días calendario después de finalizado el trimestre
El presente formato deberá ser diligenciado por los proveedores de redes y servicios que prestan servicio de voz móvil. Los procedimientos aplicables a las condiciones de calidad para servicios de voz móvil están consignados en el ANEXO 5.1-A del TÍTULO DE ANEXOS.
A. TRÁFICO DE VOZ PARA APLICACIÓN DE FASES
| 1 | 2 | 3 | 4 | 5 | 6 |
| Año | Mes | Zona | Tecnología | Trafico cursado | Porcentaje de trafico |
1. Año: Corresponde al año en el que se realizó el cálculo de la información. Campo numérico entero, serie de cuatro dígitos.
2. Mes: Corresponde al mes del año para el cual se reporta la información. Campo numérico entero, valor de 1 a 12.
3. Zona: Para efectos de la diferenciación por zonas, se deberán tomar las definiciones establecidas para Zona 1, Zona 2 y Zona Satelital, en el Título I.
4. Tecnología: Tipo de tecnología sobre la cual se realiza el cálculo del tráfico de voz:
Tecnología
2G
3G
4G
5. Tráfico cursado: Volumen de tráfico en Erlangs cursado por el total de los sectores de estación base en cada zona, por cada tecnología.
6. Porcentaje de tráfico: Porcentaje de tráfico por tipo de tecnología de red de
acceso (2G, 3G, 4G) y Zona (Zona 1, Zona 2 y Zona Satelital).
B. PORCENTAJE TOTAL DE LLAMADAS CAÍDAS POR TECNOLOGÍA

1. Año: Corresponde al año para el cual se reporta la información. Campo numérico entero, serie de cuatro dígitos.
2. Mes: Corresponde al mes del año para el cual se reporta la información. Campo numérico entero con valores esperados entre 1 y 12.
3. Municipio: Código del municipio sobre el cual se realizó la medición del indicador. Los municipios se identifican de acuerdo con la división político-administrativa de Colombia, DIVIPOLA, presente en el sistema de consulta del DANE. Para cada uno de los municipios reportados debe incluirse un agregado total del municipio.
4. División administrativa: Código que corresponde a cada una de las divisiones administrativas de los municipios que posean una población mayor a quinientos mil (500.000) habitantes. Para reportar el agregado total del municipio este campo se debe reportar con "0".
5. Tecnología de Acceso: Corresponde a la Tecnología 4G para EUTRAN.
6. Transmisión satelital: Campo para señalar si la tecnología de transmisión de las estaciones base del municipio o división administrativa para las cuales se realiza la medición del indicador es satelital (1) o no (0). Para un mismo municipio o división administrativa es posible reportar tanto transmisión satelital como no satelital.
7. Día: Corresponde al día del mes objeto del reporte.
8. Hora Pico: Corresponde a la hora de tráfico pico del día (en formato de 24 horas) de ocupación de canales de tráfico E-UTRAN Radio Access Bearer (E-RAB) para el servicio VoLTE (4G) para el municipio o división administrativa sobre los cuales se realiza la medición y reporte del indicador, para cada uno de los días del mes indicados en el campo 7.
9. Porcentaje de llamadas caídas: Porcentaje de llamadas entrantes y salientes de la red de tecnología 4G, las cuales una vez están establecidas, es decir, han tenido asignación de canal de tráfico, son interrumpidas sin la intervención del usuario, debido a causas dentro de la red del proveedor. Valor en porcentaje (0 a 100) con mínimo dos decimales.
C. PORCENTAJE TOTAL DE LLAMADAS CAÍDAS POR TECNOLOGÍA

1. Año: Corresponde al año para el cual se reporta la información. Campo numérico entero, serie de cuatro dígitos.
2. Mes: Corresponde al mes del año para el cual se reporta la información. Valor numérico entero con valores entre 1 y 12.
3. Municipio: Código del municipio sobre el cual se realizó la medición del indicador. Los municipios se identifican de acuerdo con la división político-administrativa de Colombia, DIVIPOLA, presente en el sistema de consulta del DANE. Para cada uno de los municipios reportados debe incluirse un agregado total del municipio.
4. División administrativa: Código que corresponde a cada una de las divisiones administrativas de los municipios que posean una población mayor a quinientos mil (500.000) habitantes. Para reportar el agregado total del municipio este campo se debe reportar con "0".
5. Tecnología de Acceso: Corresponde a la Tecnología 4G para EUTRAN.
6. Transmisión satelital: Campo para señalar si la tecnología de transmisión de las estaciones base del municipio o división administrativa para las cuales se realiza la medición del indicador es satelital (1) o no (0). Para un mismo municipio o división administrativa es posible reportar tanto transmisión satelital como no satelital.
7. Día: Corresponde al día del mes objeto del reporte.
8. Hora Pico: Corresponde a la hora de tráfico pico del día (en formato de 24 horas) de ocupación de canales de tráfico E-UTRAN Radio Access Bearer (E-RAB) para el servicio VoLTE (4G) para el municipio o división administrativa sobre los cuales se realiza la medición y reporte del indicador, para cada uno de los días del mes indicados en el campo 7.
9. Porcentaje de Intentos de llamada no exitosos: Relación entre la cantidad de intentos de comunicación que no logran ser establecidos y la cantidad total de intentos de comunicación para cada sector de tecnología 4G. Valor en porcentaje (0 a 100) con mínimo dos decimales.
FORMATO T.2.3. INDICADOR DE DISPONIBILIDAD DEL SERVICIO MAYORISTA PORTADOR. <Formato renumerado como T.2.3 por el artículo 118 de la Resolución 7811 de 2025> <Formato adicionado por el artículo 6 de la Resolución 7714 de 2025. El nuevo texto es el siguiente:>
Periodicidad: Trimestral
Contenido: Mensual
Plazo: 15 días calendario después de finalizado el trimestre.
Este formato deberá ser diligenciado por todos los PRST que proveen el servicio portador a otros PRST que suministran el servicio de Internet fijo residencial ubicados en cualquier municipio de Colombia, conforme lo indicado en el artículo 5.6.1.1 de la Resolución CRC 5050 de 2016.
Se exceptúan del reporte los minutos de indisponibilidad del servicio durante los cuales se adelanten eventos de mantenimiento programados, siempre y cuando estos últimos hayan sido notificados con la debida antelación a los PRST que suministran el servicio de Internet fijo residencial.
| 1 | 2 | 3 | 4 | 5 | 6 | 7 | 8 |
| Año | Mes | Municipio de destino | Minutos de indisponibilidad en el mes por energía (no atribuibles al portador) | Minutos de indisponibilidad en el mes por vandalismo | Minutos de indisponibilidad en el mes por causas naturales | Minutos de indisponibilidad en el mes por otras causas atribuibles a terceros | Porcentaje de disponibilidad en el mes (indisponibilidades atribuibles al portador) |
1. Año: Año de medición del indicador. Campo numérico entero, serie de cuatro dígitos.
2. Mes: Mes de medición del indicador.
3. Municipio de destino: Código DANE del municipio sobre el que se realiza el cálculo de disponibilidad bajo la metodología especificada en el Literal A. del Anexo 5.11 de la Resolución CRC 5050 de 2016.
4. Minutos de indisponibilidad en el mes por energía (no atribuibles al portador): Cantidad de minutos en el mes en que se presentó indisponibilidad del servicio en el municipio relacionado en el campo 3, por causas asociadas con el suministro de energía no atribuibles al portador (incluyendo aquellos producidos por vandalismo o por desastres naturales).
5. Minutos de indisponibilidad en el mes por vandalismo: Cantidad de minutos en el mes en que se presentó indisponibilidad del servicio en el municipio relacionado en el campo 3, por causas atribuibles a terceros, asociadas con vandalismo (sin incluir aquellos asociados con suministro de en ergía).
6. Minutos de indisponibilidad en el mes por desastres naturales: Cantidad de minutos en el mes en que se presentó indisponibilidad del servicio en el municipio relacionado en el campo 3, por causas asociadas con desastres naturales (sin incluir aquellos asociados con suministro de ene rgía).
7. Minutos de indisponibilidad en el mes por otras causas atribuibles a terceros: Cantidad de minutos en el mes en que se presentó indisponibilidad del servicio, en el municipio relacionado en el campo 3, por causas atribuibles a terceros, asociadas con eventos diferentes a los reportados en los campos 4, 5 y 6.
8. Porcentaje de disponibilidad en el mes (indisponibilidades atribuibles al portador): Valor de disponibilidad expresada en porcentaje, bajo la metodología especificada en el Literal A. del Anexo 5.11 de la Resolución CRC 5050 de 2016. Este porcentaje debe tener en cuenta únicamente las indisponibilidades causadas por eventos atribuibles al proveedor del servicio portador, excluyendo aquellas atribuibles a terceros o por fuerza mayor o caso fortuito reportados en los campos 4, 5, 6 y 7.
FORMATO T.2.3-DEROGADO. INDICADORES DE CALIDAD PARA SERVICIOS DE DATOS MÓVILES BASADOS EN MEDICIONES DE GESTORES DE DESEMPEÑO. <Formato derogado a partir del 1 de mayo de 2023 por el artículos 29 de la Resolución 6890 de 2022>
FORMATO T.2.4. INDICADORES DE CALIDAD PARA EL SERVICIO DE INTERNET FIJO. <Formato modificado por el artículo 117 de la Resolución 7811 de 2025. El nuevo texto es el siguiente:>
Periodicidad: Trimestral Contenido: Trimestral
Plazo: Hasta 15 días calendario después del vencimiento del trimestre
Este formato deberá ser diligenciado por los proveedores de redes y servicios que presten el servicio de internet fijo, y que cuenten con participación de suscriptores superior al 1% de la base nacional sin incluir el segmento corporativo, de acuerdo con el reporte trimestral de las TIC publicado en el Sistema Colombia TIC. Los procedimientos para el cálculo de los indicadores para el acceso a Internet provisto a través de ubicaciones fijas están consignados en el ANEXO 5.1- B del TÍTULO DE ANEXOS.
A. VELOCIDAD DE TRANSMISIÓN DE DATOS ALCANZADA

1. Año: Corresponde al año para el cual se reporta la información. Campo numérico entero, serie de cuatro dígitos.
2. Trimestre: Corresponde al trimestre del año para el cual se reporta la información. Valor de 1-4.
3. Tecnología de acceso: Tipo de tecnología usada para el acceso a Internet. Indicar en número entero de acuerdo con la siguiente tabla:

4. Plan velocidad ofrecida: Velocidad que es ofertada en el plan sobre el cual se realiza la respectiva medición del parámetro de calidad. Se debe reportar en Mbps.
5. Velocidad máxima:
- Velocidad máxima Down: Corresponde a la tasa de transmisión de datos de descarga (Down) en Mbps Down más alta.
- Velocidad máxima Up: Corresponde a la tasa de transmisión de datos de carga (Up) en Mbps más alta.
6. Velocidad media:
- Velocidad media Down: Corresponde a la media aritmética de las velocidades de descarga (Down) obtenidas en las pruebas realizadas. Se debe reportar en Mbps.
- Velocidad media Up: Corresponde a la media aritmética de las velocidades de carga (Up) obtenidas en las pruebas realizadas. Se debe reportar en Mbps.
7. Velocidad mínima:
- Velocidad mínima Down: Corresponde a la tasa de transmisión de datos de descarga (Down) en Mbps más baja.
- Velocidad mínima Up: Corresponde a la tasa de transmisión de datos de carga (Up) en Mbps más baja.
8. Desviación estándar: Medida del grado de dispersión de los datos con respecto al valor promedio de las velocidades alcanzadas (Down/Up). Se calcula hallando la raíz cuadrada de la varianza. Se debe reportar en Mbps.
B. RETARDO EN UN SENTIDO (RET)

1. Año: Corresponde al año para el cual se reporta la información. Campo numérico entero, serie de cuatro dígitos.
2. Trimestre: Corresponde al trimestre del año para el cual se reporta la información. Valor de 1-4.
3. Tecnología: Tipo de tecnología usada para el acceso a Internet, indicar valor en número entero de acuerdo con la siguiente tabla.

4. Número de muestras: Cantidad de pruebas realizadas para obtener el resultado del indicador.
5. Tiempo medio de retardo en un sentido (en milisegundos): Media aritmética de los tiempos de retardo medidos.
6. Desviación estándar: Medida del grado de dispersión de los datos con respecto al valor promedio de los tiempos de retardo medidos. Se calcula hallando la raíz cuadrada de la varianza.
FORMATO T.2.5. INDICADORES DE DISPONIBLIDAD PARA LOS SERVICIOS DE TELECOMUNICACIONES PRESTADOS A TRAVÉS DE REDES FIJAS Y REDES MÓVILES.
<Formato modificado por el artículo 12 de la Resolución 7777 de 2025. El nuevo texto es el siguiente:>
Periodicidad: Trimestral
Contenido: Mensual
Plazo: Hasta 30 días calendario después de finalizado el trimestre.
El presente formato deberá ser diligenciado por los proveedores de redes y servicios de telecomunicaciones fijos que cuenten con participación de suscriptores de internet fijo superior al 1% de la base nacional (sin incluir el segmento corporativo), de acuerdo con las cifras publicadas en el sistema Colombia TIC; así como por la totalidad de proveedores de redes y servicios móviles. Los procedimientos aplicables a las condiciones de disponibilidad están consignados en el ANEXO 5.2-A del TÍTULO DE ANEXOS.
DISPONIBILIDAD DE ELEMENTOS DE RED DE ACCESO

1. Año: Corresponde al año para el cual se reporta la información. Campo numérico entero, serie de cuatro dígitos.
2. Mes: Corresponde al mes del año en el que se realizó el cálculo del indicador. Valor de 1-12.
3. Nombre de la estación base o del equipo terminal de acceso para redes fijas: Nombre mediante el cual el proveedor de redes y servicios de telecomunicaciones identifica la estación base o el equipo terminal de acceso para redes fijas.
4. Elemento pactado dentro acuerdos corporativos(S/N): Indicar "si" el elemento de red hace parte del cumplimiento de los acuerdos del nivel de servicio dentro del contrato donde se haya negociado la totalidad de las condiciones de la prestación del servicio.
5. Tecnología: Tipo de tecnología móvil: 4G y 5G, fijas cableadas: CMTS (para redes con tecnología HFC), OLT (para redes con tecnología PON), fijas inalámbricas: Satélites (órbita baja, órbita media, geoestacionarios) y accesos fijos inalámbricos (Fixed Wireless Access, FWA por sus siglas en inglés) con estaciones base e Nodos B y gNB.
6. Municipio: Ubicación geográfica de la estación base o del equipo terminal de acceso para red fija. Se tienen en cuenta los 32 departamentos y la ciudad de Bogotá D. C. Los municipios se identifican de acuerdo con la división político-administrativa de Colombia, DIVIPOLA, presente en el sistema de consulta del DANE. Para aquellos municipios con una población mayor a quinientos mil (500.000) habitantes se deben relacionar las divisiones administrativas, esto es localidades, o comunas, de acuerdo con el ordenamiento territorial de cada una.
7. División Administrativa: Código DANE para cada una de las divisiones administrativas de los municipios que posean una población mayor a quinientos mil (500.000) habitantes según lo indicado en el campo 6.
8. Tiempo total de indisponibilidad (min): Es el tiempo total en minutos en que el elemento de red estuvo fuera de servicio, o no se encontró disponible.
9. % de disponibilidad mensual: Es igual al 100% menos la relación porcentual entre la cantidad de minutos en los que el elemento de red no estuvo disponible en el mes de reporte, y la cantidad total de minutos del periodo de reporte.
10. Estación Base con transmisión satelital (S/N): Indicar "SI" en los casos en que la estación base tenga transmisión satelital.
<Formato modificado por el artículo 13 de la Resolución 7777 de 2025. El nuevo texto es el siguiente:>
Periodicidad: Trimestral
Contenido: Mensual
Plazo: Hasta 15 días calendario después de finalizado el trimestre.
Este formato deberá ser diligenciado por los proveedores de redes y servicios de telecomunicaciones obligados a medir y reportar los indicadores definidos en el artículo 5.1.3.2 de la presente resolución. Los procedimientos aplicables a los parámetros asociados al servicio de datos provisto a través de redes de acceso móvil están consignados en el ANEXO 5.3 del TÍTULO DE ANEXOS.
Para el cálculo de los indicadores de velocidad de descarga y velocidad de carga de los literales A y B se deberán incluir todas las mediciones realizadas en los equipos terminales móviles, incluidas aquellas realizadas en los equipos terminales móviles conectados a estaciones base con acceso satelital.
A. Ámbito geográfico "Municipal"
Este literal debe reportarse en todo aquel municipio en donde el PRSTM cuente con cuatro (4) mil líneas móviles ajustadas o más.

1. Año: Corresponde al año para el cual se reporta la información. Campo numérico entero, serie de cuatro (4) dígitos.
2. Trimestre: Corresponde al trimestre del año para el cual se reporta la información. Campo numérico entero con valores esperados entre 1 y 4.
3. Mes: Corresponde al mes del trimestre del año para el cual se reporta la información. Campo numérico entero, con valores esperados entre 1 y 3.
4. Código de municipio: Son los datos de ubicación geográfica donde se realiza la medición de los indicadores. Los municipios se identifican de acuerdo con la división político-administrativa de Colombia, DIVIPOLA, presente en el sistema de consulta del DANE. Para cada uno de los municipios reportados debe incluirse un agregado total del municipio.
5. Código de la localidad o comuna: Código que corresponde a la subdivisión administrativa de un municipio con más de 500 mil habitantes para la cual se desarrollan las mediciones de calidad del servicio de datos móviles. En los casos en que se reporte el grupo localidades o comunas de los municipios con más de 500 mil habitantes, que no superen el umbral de las cuatro (4) mil líneas móviles ajustadas por localidad o comuna se usará el código "-1". Para reportar el agregado total del municipio este campo se debe reportar con "0".
6. Tecnología: Corresponde a la Tecnología de Acceso 4G para EUTRAN y 5G para NR-RAN.
7. Cantidad de muestras: Número de mediciones válidas empleadas para el cálculo de los promedios trimestrales móviles.
8. Velocidad de descarga: Corresponde al promedio trimestral móvil simple calculado a partir de las mediciones de velocidad de descarga. Se debe reportar este valor en la unidad de medida Megabits por segundo (Mbps) con dos (2) cifras decimales.
9. Velocidad de carga: Corresponde al promedio trimestral móvil simple calculado a partir de las mediciones de velocidad de carga. Se debe reportar este valor en la unidad de medida Megabits por segundo (Mbps) con dos (2) cifras decimales.
10. Latencia: Corresponde al promedio trimestral móvil simple calculado a partir de las mediciones de latencia. Se debe reportar este valor en la unidad de medida milisegundos (ms) con dos (2) cifras decimales.
11. Fluctuación de fase (Jitter): Corresponde al promedio trimestral móvil simple calculado a partir de las mediciones de fluctuación de fase (Jitter). Se debe registrar este valor en la unidad de medida milisegundos (ms) con dos (2) cifras decimales.
12. Tasa de pérdida de paquetes: Corresponde al promedio trimestral móvil simple calculado a partir de las mediciones del porcentaje de pérdida de paquetes. Se debe registrar este valor en el rango de cero (0) a uno (1) y con mínimo cuatro (4) cifras decimales.
B. Ámbito geográfico "Resto de departamento"
Este literal debe reportarse para todos aquellos municipios de un mismo departamento en donde el PRSTM cuente con menos de cuatro (4) mil líneas móviles ajustadas por municipio.

1. Año: Corresponde al año para el cual se reporta la información. Campo numérico entero, serie de cuatro (4) dígitos.
2. Trimestre: Corresponde al trimestre del año para el cual se reporta la información. Campo numérico entero con valores esperados entre 1 y 4.
3. Mes: Corresponde al mes del trimestre del año para el cual se reporta la información. Campo numérico entero, con valores esperados entre 1 y 3.
4. Código de departamento: Código DANE del departamento sobre el cual se realizó la medición del indicador.
5. Tecnología: Corresponde a la Tecnología de Acceso 4G para EUTRAN y 5G para NR-RAN.
6. Cantidad de muestras: Número de mediciones válidas empleadas para el cálculo de los promedios trimestrales móviles.
7. Velocidad de descarga: Corresponde al promedio trimestral móvil simple calculado a partir de las mediciones de velocidad de descarga. Se debe reportar este valor en la unidad de medida Megabits por segundo (Mbps) con dos (2) cifras decimales.
8. Velocidad de carga: Corresponde al promedio trimestral móvil simple calculado a partir de las mediciones de velocidad de carga. Se debe reportar este valor en la unidad de medida Megabits por segundo (Mbps) con dos (2) cifras decimales.
9. Latencia: Corresponde al promedio trimestral móvil simple calculado a partir de las mediciones de latencia. Se debe reportar este valor en la unidad de medida milisegundos (ms) con dos (2) cifras decimales.
10. Fluctuación de fase (Jitter): Corresponde al promedio trimestral móvil simple calculado a partir de las mediciones de Jitter. Se debe registrar este valor en la unidad de medida milisegundos (ms) con dos (2) cifras decimales.
11. Tasa de pérdida de paquetes: Corresponde al promedio trimestral móvil simple calculado a partir de las mediciones del porcentaje de pérdida de paquetes. Se debe registrar este valor en el rango de cero (0) a uno (1) y con mínimo cuatro (4) cifras decimales.
C. Nivel de agregación (Zona satelital)
En este literal deben reportarse las mediciones realizadas en los equipos terminales móviles conectados a estaciones base con transmisión satelital para el cálculo de los indicadores de latencia, fluctuación de fase (Jitter) y Tasa de pérdida de paquetes (PLR).

1. Año: Corresponde al año para el cual se reporta la información. Campo numérico entero, serie de cuatro (4) dígitos.
2. Trimestre: Corresponde al trimestre del año para el cual se reporta la información. Campo numérico entero con valores esperados entre 1 y 4.
3. Mes: Corresponde al mes del trimestre del año para el cual se reporta la información. Campo numérico entero, con valores esperados entre 1 y 3.
4. Código de municipio: Código del municipio sobre el cual se realizó la medición del indicador. Los municipios se identifican de acuerdo con la división político-administrativa de Colombia, DIVIPOLA, presente en el sistema de consulta del DANE.
5. Cantidad de muestras: Número de mediciones válidas empleadas para el cálculo de los promedios trimestrales móviles.
6. Tecnología: Corresponde a la Tecnología de Acceso 4G para EUTRAN y 5G para NR-RAN.
7. Latencia: Corresponde al promedio trimestral móvil simple calculado a partir de las mediciones de latencia. Se debe reportar este valor en la unidad de medida milisegundos (ms) con dos (2) cifras decimales.
8. Fluctuación de fase (Jitter): Corresponde al promedio trimestral móvil simple calculado a partir de las mediciones de fluctuación de fase (Jitter). Se debe registrar este valor en la unidad de medida milisegundos (ms) con dos (2) cifras decimales.
9. Tasa de pérdida de paquetes: Corresponde al promedio trimestral móvil simple calculado a partir de las mediciones del porcentaje de pérdida de paquetes. Se debe registrar este valor en el rango de cero (0) a uno (1) y con mínimo cuatro (4) cifras decimales.
FORMATO T.2.7. INDICADOR DE DISPONIBILIDAD DEL SERVICIO MAYORISTA PORTADOR. <Formato renumerado como Formato T.2.3. a partir del 2 de julio de 2025 por el artículo 118 de la Resolución 7811 de 2025>
ACCESO E INTERCONEXIÓN.
FORMATO T.3.1. SERVICIO DE TRANSPORTE ENTRE LOS MUNICIPIOS DEL PAÍS. <Formato modificado por el artículo 7 de la Resolución 7714 de 2025. El nuevo texto es el siguiente:>
Periodicidad: Anual.
Contenido: No aplica.
Plazo: Hasta el 31 de enero de cada año inmediatamente siguiente del año por reportar.
Este formato deberá ser diligenciado por los proveedores de redes y servicios de telecomunicaciones que tengan el control, la propiedad, la posesión, la tenencia, o que a cualquier título ejerzan derechos sobre las redes de transporte entre los diferentes municipios del país. La información se debe reportar con corte a 31 de diciembre del año inmediatamente anterior a la fecha del reporte.
Este formato se compone de dos tablas, las cuales deben ser diligenciadas en su totalidad. En la Tabla A se solicita hacer la descripción física de la red y en la Tabla B se solicita hacer la descripción lógica, con información anual. La información de capacidades debe estar expresada en unidades de Mbps.
A. Capacidad física de transporte entre municipios
| 1 | 2 | 3 | 4 | 5 | 6 | 7 | 8 | 9 | 10 | 11 | 12 | 13 | 14 |
| Año | Tecnología de transporte | Nodo de origen | Municipio Nodo de Origen | Nodo de destino | Municipio Nodo de Destino | Identificador de ruta física | Titularidad | NIT del tercero | Razón social del tercero | Capacidad física total instalada (Mbps) | Topología asociada a la ruta | Identificador de la topología asociada a la ruta | Capacidad física disponible (Mbps) |
1. Año: Corresponde al año para el cual se reporta la información, es decir, al año inmediatamente anterior a la fecha en que se realiza el reporte. Campo numérico entero, serie de cuatro dígitos.
2. Tecnología de transporte: Corresponde al medio de transmisión a través del cual se dispone de la capacidad física de transporte de la ruta física que se relaciona en el campo 7. Se debe tener en cuenta la siguiente lista:
Tecnología de transporte
Fibra óptica
Microondas
Satélite
Híbrida
Otras
3. Nodo de origen: Corresponde al identificador único del nodo de red en donde se origina el enlace físico de conectividad. Dicho identificador debe ser utilizado consistentemente en todos los reportes de información para garantizar su identificación inequívoca y facilitar cualquier análisis posterior por parte de la CRC.
4. Municipio Nodo de origen: Corresponde al municipio donde se origina el enlace físico de conectividad. Se tienen en cuenta los 32 departamentos y la ciudad de Bogotá, D. C. Los municipios están acordes con la división político-administrativa de Colombia, DIVIPOLA, presente en el sistema de consulta del DANE.
5. Nodo de destino: Corresponde al identificador único del nodo de red en donde finaliza el enlace físico de conectividad. Dicho identificador debe ser utilizado consistentemente en todos los reportes de información para garantizar su identificación inequívoca y facilitar cualquier análisis posterior por parte de la CRC.
6. Municipio Nodo de destino: Corresponde al municipio destino del enlace físico de conectividad. Se tienen en cuenta los 32 departamentos y la ciudad de Bogotá, D. C. Los municipios están acordes con la división político-administrativa de Colombia, DIVIPOLA, presente en el sistema de consulta del DANE.
7. Identificador de ruta física: Corresponde a un identificador único que cada PRST asigne al enlace existente entre los nodos origen y destino. Dicho identificador debe ser utilizado consistentemente en todos los reportes de información para garantizar su identificación inequívoca y facilitar cualquier análisis posterior por parte de la CRC.
8. Titularidad: Indica a qué título el proveedor ejerce derechos sobre el enlace reportado. Se debe tener en cuenta la siguiente lista:
1) Propietario del enlace.
2) Derecho irrevocable de uso "IRU".
3) Derecho de capacidad tomada en arriendo: hace referencia exclusivamente al arrendamiento de la red con el fin de contar con capacidad de transporte suministrada por terceros. Si la capacidad tomada en arriendo es utilizada exclusivamente para la prestación de sus servicios minoristas (incluyendo segmento corporativo), no se debe reportar.
4) Enlace compartido.
5) Otro derecho adquirido distinto a los anteriores.
9. NIT del tercero: En caso de que el enlace reportado no sea propio, indicar el Número de Identificación Tributaria del Proveedor de Redes y Servicios de Telecomunicaciones (PRST) propietario del enlace.
10. Razón social del tercero: Corresponde a la razón social del Proveedor de Redes y Servicios de Telecomunicaciones (PRST) referido en el campo 9.
11. Capacidad física total instalada (Mbps): Es el total de capacidad física instalada entre los dos nodos referidos en los campos 3 y 5, a través de la topología de red identificada en el campo 12, medida en Mbps.
12. Topología asociada a la ruta: Corresponde a la topología de red física sobre la que está la ruta que conecta los nodos señalados en los campos 3 y 5. Se debe tener en cuenta la siguiente lista:
Topología de red
Anillo
Estrella
Malla
Bus
Punto a punto
Árbol
Híbrida
13. Identificador de la topología asociada a la ruta: Es el identificador único asignado por cada PRST a la topología de red específica asociada con el campo 12 (identificador del anillo regional, enlace regional, etc.). Aquellas rutas entre nodos que se encuentren en el mismo anillo, estrella, malla o bus, deberán compartir un mismo identificador de la topología de red, de forma tal que permita a la CRC identificar esa relación. Dicho identificador debe ser utilizado consistentemente en todos los reportes de información para garantizar su identificación inequívoca y facilitar cualquier análisis posterior por parte de la CRC.
14. Capacidad física disponible (Mbps): Es la capacidad física entre los dos nodos referidos en los campos 3 y 5, que está disponible a la fecha de corte del reporte, medida en Mbps. En otras palabras, corresponde a la capacidad total del enlace físico (reportado en el campo 11) menos la capacidad en uso de dicho enlace.
B. Capacidad lógica de transporte entre municipios
| 1 | 2 | 3 | 4 | 5 | 6 | 7 | 8 | 9 |
| Año | Identificador de ruta lógica | Nodo de origen | Municipio Nodo de Origen | Nodo de destino | Municipio Nodo de Destino | Capacidad lógica arrendada a otros PRST (Mbps) | NIT PRST de IFRE | Razón social PRST de IFRE |
1. Año: Corresponde al año para el cual se reporta la información, es decir, al año inmediatamente anterior a la fecha en que se realiza el reporte. Campo numérico entero, serie de cuatro dígitos.
2. Identificador de ruta lógica: Corresponde a un identificador único que cada PRST asigne a la ruta lógica existente entre los nodos origen y destino. Dicho identificador debe ser utilizado consistentemente en todos los reportes de información para garantizar su identificación inequívoca y facilitar cualquier análisis posterior por parte de la CRC.
3. Nodo de origen: Corresponde al identificador único del nodo de red en donde se origina el enlace lógico de conectividad. Dicho identificador debe ser utilizado consistentemente en todos los reportes de información para garantizar su identificación inequívoca y facilitar cualquier análisis posterior por parte de la CRC.
4. Municipio Nodo de origen: Corresponde al municipio donde se origina el enlace lógico de conectividad. Se tienen en cuenta los 32 departamentos y la ciudad de Bogotá, D. C. Los municipios están acordes con la división político-administrativa de Colombia, DIVIPOLA, presente en el sistema de consulta del DANE.
5. Nodo de destino: Corresponde al identificador único del nodo de red en donde finaliza el enlace lógico de conectividad. Dicho identificador debe ser utilizado consistentemente en todos los reportes de información para garantizar su identificación inequívoca y facilitar cualquier análisis posterior por parte de la CRC.
6. Municipio Nodo de destino: Corresponde al municipio destino del enlace lógico de conectividad. Se tienen en cuenta los 32 departamentos y la ciudad de Bogotá, D. C. Los municipios están acordes con la división político-administrativa de Colombia, DIVIPOLA, presente en el sistema de consulta del DANE.
7. Capacidad lógica arrendada a otros PRST (Mbps): Corresponde al total agregado de la capacidad lógica arrendada para su uso por parte de otros PRST entre los dos nodos referidos en los campos 3 y 5, medida en Mbps. Solo se deben reportar como capacidades arrendadas aquellas que sirven a otros PRST, y no aquellas utilizadas para la prestación de sus servicios minoristas (incluyendo segmento corporativo).
8. NIT PRST IFRE: Corresponde al Número de Identificación Tributaria del Proveedor de Redes y Servicios de Telecomunicaciones (PRST) de Internet fijo residencial a quien se le arrienda la capacidad lógica referida en el campo 7.
9. Razón social PRST de IFRE: Corresponde a la razón social del Proveedor de Redes y Servicios de Telecomunicaciones (PRST) referido en el campo 8.
FORMATO T.3.2. ACUERDOS DE ACCESO O INTERCONEXIÓN. <Formato modificado por el artículo 25 de la Resolución 6522 de 2022. El nuevo texto es el siguiente:>
Periodicidad: Eventual
Contenido: No aplica
Plazo: Hasta 15 días hábiles después de la fecha de la firma del acuerdo, modificación o terminación anticipada.
Este formato deberá ser diligenciado por los proveedores de redes y servicios de telecomunicaciones que proporcionan acceso o a quienes se les solicita interconexión a su red. Los proveedores deben registrar los acuerdos firmados por las partes, así como todas sus modificaciones y terminaciones anticipadas. Se entienden como parte integral del contrato, todos los anexos y apéndices que las partes hayan determinado.
Como parte de este registro, dichos proveedores deberán reportar y mantener actualizados los valores de los cargos de acceso en las relaciones de interconexión, los cargos de las instalaciones esenciales de facturación, distribución y recaudo, así como el servicio adicional de gestión operativa de reclamos, las tarifas mayoristas acordadas con operadores móviles virtuales y las tarifas no reguladas para la provisión de Roaming Automático Nacional (RAN).
Los operadores móviles virtuales y los proveedores de redes y servicios de telecomunicaciones que tengan acuerdos comerciales con operadores móviles virtuales, deberán reportar la información que se indica en los literales A y D del presente formato.
En caso de que los reportes de los literales A, B, C, D o E del presente formato contengan información que pueda ser catalogada como pública clasificada o pública reservada, de acuerdo con lo dispuesto por la Ley 1712 de 2014 o aquella que la modifique o sustituya, deberá indicarse el listado de variables que cumplen con dicha característica, así como su respectiva justificación tal como lo ordena la precitada Ley.
A. INFORMACIÓN GENERAL DEL CONTRATO <Literal modificado por el artículo 8 de la Resolución 7714 de 2025. El nuevo texto es el siguiente:>
| 1 | 2 | 3 | 4 | 5 | 6 | 7 | 8 | 9 | 10 |
| Proveedor A | Proveedor B | Número del contrato | Tipo de documento | Objeto del contrato | Fecha de Firma | Fecha de inicio o terminación | Duración del contrato | Observaciones | Archivo |
1. Proveedor A: Corresponde al proveedor que proporciona el acceso o la interconexión y es una de las partes que suscribió el acuerdo.
2. Proveedor B: Corresponde al proveedor que solicita el acceso o interconexión y es una de las partes que suscribió el acuerdo.
3. Número del contrato: Corresponde al número del acuerdo suscrito entre las partes.
4. Tipo de documento: Diligenciar la opción correspondiente al documento que se está adjuntando:
1. Contrato inicial con sus anexos
2. Otrosí
3. Terminación anticipada
Es importante aclarar que la única terminación que debe ser diligenciada en el presente formato es la anticipada.
5. Objeto del contrato: Diligenciar la opción correspondiente al objeto del acuerdo:
1. Interconexión
2. OMV
3. PCA/IT
4. RAN
5. Portador
6. Uso de Fibra Óptica por parte de terceros
7. Otro tipo de acceso
8. Internet Dedicado a ISP
9. Acceso mayorista a proveedores de servicio de Internet comunitario
6. Fecha de firma: Especificar la fecha en que se firmó por ambas partes el contrato, otrosí o terminación anticipada. Esta deberá estar en formato: DD/MM/ AAAA. Para el caso 1. de terminación anticipada, esta fecha hace referencia al momento en el cual se da por terminado el acuerdo.
7. Fecha de inicio o de terminación: En caso de acuerdo u otrosí especificar la fecha de inicio. En caso de terminación anticipada especificar la fecha en la que se terminó el acuerdo. Esta fecha deberá estar en formato: DD/MM/AAAA.
8. Duración del contrato: Ingresar la duración del acuerdo en meses. En caso de que el contrato sea a término indefinido, corresponda a un otrosí que no modifique la duración del contrato o a una terminación anticipada, diligenciar "-1".
9. Observaciones: En caso de considerarse necesario, se pueden incluir las observaciones relevantes sobre el acuerdo.
10. Archivo: Archivo adjunto con la totalidad del texto del acuerdo firmado por las partes, así como todas sus modificaciones y terminaciones anticipadas. Se deberán reportar todos los anexos y apéndices que las partes hayan determinado. En caso de tener múltiples archivos se debe adjuntar un único archivo en formato comprimido.
En caso de no contar con un documento que dé cuenta de la terminación del acuerdo, se deberá adjuntar el correo electrónico o comunicación escrita en donde se notifique la terminación entre las partes.
B. CARGOS DE ACCESO
Los proveedores de redes y servicios de telecomunicaciones que hayan suscrito acuerdos de interconexión para el servicio de voz deberán diligenciar el siguiente formato:
| 1 | 2 | 3 | 4 | 5 | 6 | 7 | 8 |
| Número del contrato | Red interconectada proveedor A | Red interconectada proveedor B | Tipo de cargo de acceso | Esquema de remuneración | Tipo de Remuneración | Valor del cargo de acceso | Observaciones |
1. Número del contrato: Corresponde al número del acuerdo suscrito entre las partes, el cual debe coincidir con el número de contrato suministrado en la parte A del presente formato.
2. Red interconectada proveedor A: Se debe especificar la red del proveedor que proporciona la interconexión. Las opciones de redes son:
- Fijo
- Larga Distancia Internacional
- Móvil
3. Red interconectada proveedor B: Se debe especificar la red del proveedor que solicita la interconexión. Las opciones de redes son:
- Fijo
- Larga Distancia Internacional
- Móvil
4. Tipo de cargo de acceso: Se debe especificar el tipo de cargo de acceso pactado por cada relación de interconexión. Las opciones son:
- Por minuto real
- Por capacidad
- Otro
En caso de seleccionar Otro, se debe especificar en el campo 8 (Observaciones) la descripción del cargo de acceso.
5. Esquema de remuneración: Corresponde al esquema de remuneración para el cargo de acceso acordado y se deberá indicar:
1.Tope tarifario regulado
2.Libre negociación entre las partes
6. Tipo de remuneración: Corresponde a la forma como se realiza el pago de los cargos de acceso. Las opciones son:
1. Proveedor A paga a Proveedor B
2. Proveedor B paga a Proveedor A
3. Proveedor A y Proveedor B pagan
4.No transferencia entre Proveedor A y Proveedor B: Mecanismo en el que cada proveedor conserva la totalidad del valor recaudado de sus usuarios y se responsabiliza de todo lo concerniente al proceso de facturación.
7. Valor del cargo de acceso: Corresponde al valor de cargo de acceso cuando en el campo del numeral 5 se ha diligenciado como Libre negociación entre las partes, en pesos colombianos, pactado por relación de interconexión. En caso contrario diligenciar "-1".
8. Observaciones: En caso de considerarse necesario, se pueden incluir las observaciones relevantes sobre el cargo de acceso.
C. FACTURACIÓN, DISTRIBUCIÓN Y RECAUDO
Los proveedores de redes y servicios de telecomunicaciones que proveen la instalación esencial de facturación, distribución y recaudo de manera individual, o de manera conjunta con el servicio adicional de gestión operativa de reclamos, que acuerden directamente valores inferiores a los dispuestos regulatoriamente para tales efectos, deberán diligenciar el siguiente formato:
| 1 | 2 | 3 | 4 |
| Número del programa | Remuneración por facturación, distribución y recaudo, y atención de reclamos | Remuneración por facturación, distribución y recaudo | Número del contrato |
1. Número del contrato: Corresponde al número de acuerdo suscrito entre las partes, el cual debe coincidir con el número de contrato suministrado en la parte A del presente formato.
2. Remuneración por facturación, distribución y recaudo: Especificar la remuneración que el proveedor de la instalación esencial de facturación, distribución y recaudo cobra al solicitante en el contrato, en el caso en que el mismo esté especificado de manera individual.
3. Remuneración por facturación, distribución y recaudo, y atención de reclamos: Especificar la remuneración que el proveedor de la instalación esencial de facturación, distribución y recaudo, así como del servicio adicional de gestión operativa de reclamos, cobra al solicitante en el contrato en el caso en que el mismo esté especificado de manera conjunta.
4. Observaciones: En caso de considerarse necesario, se pueden incluir las observaciones relevantes.
D. TARIFAS MAYORISTAS EN ACUERDOS PARA OPERACIÓN MÓVIL VIRTUAL
Los operadores móviles virtuales y los proveedores de redes y servicios de telecomunicaciones que provean acceso para la prestación de servicios de comunicaciones al público a operadores móviles virtuales, deberán diligenciar el siguiente formato:
| 1 | 2 | 3 | 4 | 5 | 6 |
| Número de contrato | Servicio contratado | Tipo de tráfico | Unidad de medida | Valor de remuneración | Observaciones |
Donde:
1. Número del contrato: Corresponde al número de acuerdo suscrito entre las partes, el cual debe coincidir con el número de contrato suministrado en la parte A del presente formato.
2. Servicio contratado: Corresponde a los servicios que hacen parte del acuerdo comercial (voz móvil, Internet móvil, SMS).
3. Tipo de tráfico: Corresponde al destino que tiene el tráfico para cada uno de los servicios que hacen parte del acuerdo comercial. Se debe tener en cuenta los siguientes tipos:
| Servicio | Tipos de tráfico |
Voz Móvil | On net 1: Entre usuarios del OMV. On net 2: Entre usuarios del OMV y usuarios del operador de red (incluidos usuarios de otros OMV alojados en la red del operador de red). Off net: Entre usuarios del OMV y usuarios de otros operadores de red diferentes al operador de red en que se aloja el OMV. |
SMS | SMS On net 1: SMS enviados a usuarios del OMV. SMS On net 2: SMS enviados a usuarios del operador de red (incluidos usuarios de otros OMV alojado en la red del operador de red). SMS Off net: SMS enviados a usuarios de otros operadores de red nacionales diferentes al operador de red en que se aloja el OMV. SMS Internacional: SMS enviados a usuarios de redes móviles de otros países. |
| Internet Móvil | Con salida a Internet: El servicio mayorista incluye la salida a Internet. Sin salida a Internet: El servicio mayorista no incluye la salida a Internet. |
4. Unidad de Medida: Corresponde a la unidad de medida utilizada para fijar el precio de cada uno de los servicios que hacen parte del acuerdo comercial.
| Servicio | Unidad de Medida |
| Voz Móvil | Segundos Minutos E1 Otra |
| SMS | Por SMS Otra |
| Internet Móvil | KB: Kilobytes MB: Megabytes TB: Terabytes Otra |
5. Valor de remuneración: Si el valor de remuneración mayorista corresponde a libre negociación entre las partes se deberá reportar el valor, en pesos colombianos con dos decimales. En caso de aplicar la regla de remuneración prevista en la regulación se deberá diligenciar "-1". Si el esquema de remuneración no se ajusta a lo descrito previamente se deberá diligenciar "-2" e indicar en el campo 6 (Observaciones) el esquema de remuneración o tarifa aplicable.
6. Observaciones: En caso de considerarse necesario, se pueden incluir las observaciones relevantes sobre el acuerdo.
E. VALORES DE REMUNERACIÓN EN ACUERDOS PARA LA PROVISIÓN DE RAN
Los proveedores de redes y servicios de telecomunicaciones que provean el acceso a la instalación esencial de Roaming Automático Nacional (RAN), con un valor de remuneración diferente al dispuesto en la regulación de carácter general, deberán diligenciar el siguiente formato:
| 1 | 2 | 3 | 4 | 5 | 6 |
| Número de contrato | Servicio | Unidad de medida | Esquema de remuneración | Valor de remuneración | Fecha de aplicación del valor de remuneración |
1. Número de contrato: Corresponde al número de acuerdo suscrito entre las partes, el cual debe coincidir con el número de contrato suministrado en la parte A del presente formato.
2. Servicio: Corresponde al servicio que se presta a través de RAN. Este podrá ser voz móvil, Internet móvil o SMS. Se debe diligenciar una fila para cada servicio.
3. Unidad de medida: Corresponde a la unidad de medición del servicio prestado a través de RAN.
| Servicio | Unidad de Medida |
| Voz Móvil | Segundos Minutos Otra |
| SMS | SMS Otra |
| Internet Móvil | KB: Kilobytes MB: Megabytes GB: Gigabytes Otra |
4. Esquema de remuneración: Corresponde al esquema de remuneración para el valor de remuneración acordado y se deberá indicar:
1. Libre negociación entre las partes.
2. Acto de administrativo CRC de carácter particular.
5. Valor de remuneración: Si el valor de remuneración corresponde a libre negociación entre las partes se deberá reportar el valor en pesos colombianos con dos decimales. Cuando el valor de remuneración sea determinado mediante acto administrativo de carácter particular, se deberá diligenciar el valor allí establecido.
6. Fecha de aplicación del valor de remuneración: Corresponde a la fecha en que inicia la aplicación del valor de remuneración registrado en el numeral 4. Esta deberá estar en formato: DD/MM/AAAA.
FORMATO T.3.3. ACUERDOS SOBRE USO DE INFRAESTRUCTURA ELEGIBLE. <Formato modificado por el artículo 119 de la Resolución 7811 de 2025. El nuevo texto es el siguiente:>
Periodicidad: Eventual
Contenido: No aplica
Plazo: Hasta 15 días hábiles después del perfeccionamiento del acuerdo sobre compartición de infraestructura elegible para la prestación de servicios de telecomunicaciones (incluido el servicio de televisión, así como el servicio de radiodifusión sonora).
Este formato deberá ser diligenciado por los proveedores de redes y servicios de telecomunicaciones que hagan uso de infraestructura elegible para la prestación de sus servicios. Toda modificación a los contratos inicialmente suscritos por las partes deberá registrarse en el plazo anteriormente descrito.
Los proveedores del servicio de Internet fijo que cumplan con las condiciones definidas en el Anexo 2.10 del Título "ANEXOS TITULO II" de la presente resolución; podrán reportar este formato dentro de los 30 días hábiles después del perfeccionamiento de acuerdos sobre compartición de infraestructura en los municipios identificados a partir del mencionado Anexo.
A. INFORMACIÓN GENERAL DEL ACUERDO

1. Identificador del acuerdo: Corresponde al identificador dado al acuerdo por las partes.
2. Tipo de infraestructura: Corresponde a la naturaleza de la infraestructura elegible compartida, se debe relacionar el sector al cual pertenece dicha infraestructura, ya sea:
- Sector de telecomunicaciones
- Sector de distribución y transmisión de energía eléctrica
- Sector de sistemas de transporte masivo
- Sector de red vial de carreteras
- Sector de mobiliario urbano
- Otro sector.
3. Proveedor de Infraestructura Elegible: Corresponde al proveedor de infraestructura elegible cuya infraestructura es susceptible de ser utilizada en la prestación de los servicios de telecomunicaciones.
4. Proveedor de Telecomunicaciones: Corresponde al proveedor de redes y servicios de telecomunicaciones que para la prestación de sus servicios requiere acceder y hacer uso de infraestructura elegible.
5. Objeto: Breve resumen del objeto del acuerdo con las principales características.
6. Fecha de suscripción: Fecha a partir de la cual es vigente el acuerdo. Esta fecha deberá estar en formato: DD/MM/AAAA.
7. Duración: Duración del acuerdo contada en meses.
8. Observaciones: Particularidades relevantes sobre el acuerdo.
9. Archivo: Archivo adjunto con la totalidad del texto digitalizado del acuerdo. En caso de tener múltiples archivos debe adjuntar un único archivo en formato comprimido. De existir asuntos confidenciales, los mismos deberán enviarse en archivo separado, indicando las razones legales en que se fundamenta la reserva legal.
B. VALOR COBRADO POR LA INFRAESTRUCTURA ELEGIBLE

1. Identificador del acuerdo: Corresponde al identificador dado al acuerdo por las partes, registrado en el campo 1 de la Tabla A.
2. Infraestructura compartida: Tipo de elemento de infraestructura susceptible de ser utilizado por el (los) Proveedor(es) de Redes y Servicios de Telecomunicaciones.
- Poste menor o igual a 8 metros
- Poste mayor a 8 metros y menor o igual a 10 metros
- Poste mayor a 10 metros
- Postes o Torres del Sistema de Transmisión Regional (STR) o Nacional (STN)
- Canalizaciones
- Poste de alumbrado público
- Semáforo
- Estación de sistema de transporte masivo
- Canalización de sistema de transporte masivo
- Paradero de sistema de transporte masivo
- Espacio adyacente a redes viales
- Canalización de redes viales de carreteras
- Otra.
En caso de ingresar la opción "Otra", el proveedor deberá especificar el tipo de infraestructura compartida en el campo "Especificaciones otro tipo de infraestructura".
3. Elemento instalado: Tipo de elemento instalado en la infraestructura elegible por parte del proveedor de redes y servicios de telecomunicaciones, tales como:
- Cables o conductores
- Fuentes de poder
- Amplificadores
- Antenas
- Estaciones base
- Otro.
En caso de ingresar la opción "Otro", el proveedor deberá especificar el tipo de elemento instalado en el campo "Especificaciones otro tipo de elemento".
4. Remuneración: Valor unitario, en pesos colombianos, y su respectiva unidad de cobro (mensual, trimestral, semestral, anual) por cada tipo de infraestructura compartida y elemento instalado.
5. Fecha vigencia: Fecha a partir de la cual aplica el cobro de los valores indicados en el campo de remuneración. Esta fecha deberá estar en formato: DD/MM/AAAA.
6. Observaciones: Espacio para incluir otras particularidades relevantes sobre la infraestructura o el elemento instalado.
FORMATO T.3.4. INGRESOS ROAMING AUTOMÁTICO NACIONAL. <Formato modificado por el artículo 14 de la Resolución 6333 de 2021. Primer periodo de información a reportar 1T 2022. Reporte vigente en este link. El nuevo texto es el siguiente:>
Periodicidad: Trimestral
Contenido: Mensual
Plazo: Hasta 15 días calendario después de finalizado el trimestre
Este formato deberá ser diligenciado por los proveedores de redes y servicios que provean la instalación esencial de Roaming Automático Nacional.
| 1 | 2 | 3 | 4 | 5 | 6 | 7 | 8 |
| Año | Trimestre | Mes | Proveedor RedVisitada | Proveedor RedOrigen | Total valor por tráfico de datos(miles $) | Total valor por tráfico de voz(miles $) | Total valor por tráfico de SMS(miles $) |
1. Año: Corresponde al año para el cual se reporta la información. Campo numérico entero, serie de cuatro dígitos.
2. Trimestre: Corresponde al trimestre del año para el cual se reporta la información. Campo numérico entero, con valores esperados entre 1 y 4.
3. Mes: Corresponde al mes del trimestre del año para el cual se reporta la información. Campo numérico entero, con valores esperados entre 1 y 3.
4. Proveedor Red Visitada: Es el proveedor de redes y servicios de telecomunicaciones móviles que atiende con sus propios recursos a usuarios pertenecientes al Proveedor de la Red Origen, bajo la modalidad de Roaming Automático Nacional. Es quien hace el reporte de información.
5. Proveedor Red Origen: Es el proveedor de redes y servicios de telecomunicaciones móviles al cual pertenecen los usuarios que se benefician del Roaming Automático Nacional proporcionado por el Proveedor de la Red Visitada.
6. Total valor por tráfico de datos (miles $): Corresponde al valor total, expresado en miles de pesos, que fue causado por concepto de tráfico de datos soportado en el uso de Roaming Automático Nacional. No incluye impuestos.
7. Total valor por tráfico de voz (miles $): Corresponde al valor total, expresado en miles de pesos, que fue causado por concepto de tráfico de voz soportado en el uso de Roaming Automático Nacional. No incluye impuestos.
8. Total valor por tráfico de SMS (miles $): Corresponde al valor total, expresado en miles de pesos, que fue causado por concepto de tráfico de SMS soportado en el uso de Roaming Automático Nacional. No incluye impuestos.
FORMATO T.3.5. INFRAESTRUCTURA PASIVA PARA LA PROVISIÓN DE SERVICIOS DE TELECOMUNICACIONES MÓVILES. <Formato modificado por el artículo 120 de la Resolución 7811 de 2025. El nuevo texto es el siguiente:>
Periodicidad: Semestral. Contenido: Trimestral.
Plazo: Hasta 30 días calendario después de finalizado el semestre.
Este formato deberá ser diligenciado por los proveedores de redes y servicios móviles.
A. Información de ubicación de infraestructura pasiva
En este literal, el operador debe reportar el inventario de cada uno de los sitios utilizados para la ubicación de las estaciones base para la prestación de servicios móviles.

1. Año: Corresponde al año para el cual se reporta la información. Campo numérico entero, serie de cuatro dígitos.
2. Trimestre: Corresponde al trimestre del año para el cual se reporta la información. Campo numérico entero, con valores esperados entre 1 y 4.
3. Código del sitio: Código único utilizado en la nomenclatura propia utilizada para nombrar sitios al interior de la red del proveedor. Este código debe corresponder con el reportado en el formato No. 3 de la Resolución MinTIC 3484 de 2012, modificada por la Resolución MinTIC 175 de 2021, o aquella que la modifique, sustituya o derogue.
4. Municipio: Son los datos de ubicación geográfica donde está ubicado el sitio indicado en el numeral 3. Se tienen en cuenta los 32 departamentos y la ciudad de Bogotá D.C. Los municipios se identifican de acuerdo con la División Político-Administrativa de Colombia (DIVIPOLA) presente en el sistema de consulta del DANE.
5. Longitud: Longitud en formato grados decimales, referencia WGS84, de la ubicación del sitio del numeral 3. Para la referencia Occidente (W) el valor numérico es negativo. Campo numérico con 6 decimales.
6. Latitud: Latitud en formato grados decimales, referencia WGS84, de la ubicación del sitio del numeral 3. Para la referencia sur (S) el valor numérico es negativo. Campo numérico con 6 decimales.
7. Propietario del sitio: Número de Identificación Tributaria (NIT), sin dígito de verificación, del propietario del sitio (persona natural o jurídica). Campo numérico entero.
B. Información del uso de infraestructura pasiva de terceros por parte de los PRSTM
En este literal, el operador solo debe reportar la información correspondiente al uso de infraestructura pasiva de terceros.

1. Año: Corresponde al año para el cual se reporta la información. Campo numérico entero, serie de cuatro dígitos.
2. Trimestre: Corresponde al trimestre del año para el cual se reporta la información. Campo numérico entero, con valores esperados entre 1 y 4.
3. Código del sitio: Código único de acuerdo con la nomenclatura propia que se utiliza para nombrar sitios al interior de la red del proveedor. Este campo debe corresponder con el indicado en el numeral 3 de la parte A del presente formato.
4. Área en piso: Área en metros cuadrados arrendada en piso correspondiente al sitio indicado en el numeral 3. Esta área debe estar asociada a la coubicación de la estación. Campo numérico con 2 decimales.
5. Valor área en piso: Tarifa promedio mensual que pagó en el trimestre por el área en piso contratada señalada en el numeral 4. Este valor no debe incluir impuestos. Si la tarifa es agregada, coloque "0".
6. Espacio lineal en torre, mástil o monopolo: Corresponde al espacio en metros lineales contratado para ubicar equipos en el sitio indicado en el numeral 3. Campo numérico con 2 decimales.
7. Valor espacio lineal en torre, mástil o monopolo: Tarifa promedio mensual que pagó en el trimestre por el espacio lineal arrendado en el sitio indicado en los numerales 3 y 6. Este valor no debe incluir impuestos. Si la tarifa es agregada, coloque "0".
8. Área en torre, mástil o monopolo: Corresponde al área en metros cuadrados contratada para ubicar equipos en el sitio indicado en el numeral 3. Campo numérico con 2 decimales.
9. Valor área en torre, mástil o monopolo: Tarifa promedio mensual que pagó en el trimestre por el área arrendada en el sitio indicado en los numerales 3 y 8. Este valor no debe incluir impuestos. Si la tarifa es agregada, coloque "0".
10. Servicios adicionales: Indicar si se contratan servicios adicionales tales como energía y aire acondicionado, entre otros. (Sí o No)
11. Valor servicios adicionales: Tarifa promedio mensual que pagó en el trimestre por los servicios adicionales contratados. Si la tarifa es agregada, coloque "0".
12. Tarifa agregada: En caso de que pague una sola tarifa en la que no se desagregan los pagos de cada componente, deberá proporcionar esa información en este campo. Para lo anterior, deberá proporcionar esa información como la tarifa promedio mensual que pagó en el trimestre. En otro caso, coloque "0". El reporte de la tarifa agregada no exime del reporte de los numerales 4, 6, 8 y 10.
USUARIOS.
FORMATO T.4.1. INFORMACIÓN DE ROAMING INTERNACIONAL. <Formato modificado por el artículo 14 de la Resolución 6333 de 2021. El nuevo texto es el siguiente:>
Periodicidad: Trimestral
Contenido: Mensual
Plazo: Hasta 45 días calendario después de finalizado el trimestre.
Este formato deberá ser diligenciado por los proveedores de redes y servicios de telecomunicaciones móviles. Los operadores de red no deben incluir la información correspondiente a los usuarios de Operadores Móviles Virtuales (OMV) que hacen uso de sus redes. Los OMV que ofrezcan servicios de Roaming internacional deberán reportar sus cifras.
A. Usuarios de Roaming Internacional (Outbound)
| 1 | 2 | 3 | 4 | 5 | 6 | 7 | 8 |
| Año | Trimestre | Mes | País | Modalidad | Cantidad | Líneas con tarifa depaquete | Líneas con tarifa por demanda |
1. Año: Corresponde al año para el cual se reporta la información. Campo numérico entero, serie de cuatro dígitos.
2. Trimestre: Corresponde al trimestre del año para el cual se reporta la información. Campo numérico entero, con valores esperados entre 1 y 4.
3. Mes: Corresponde al mes del trimestre del año para el cual se reporta la información. Campo numérico entero, con valores esperados entre 1 y 3.
4. País: Código del país donde se presta servicio (campo codificado de acuerdo con los códigos numéricos de la norma ISO 3166-2)
5. Modalidad: Modalidad de Pago, señalar la modalidad:
- PRE - Prepago
- POS - Pospago
6. Cantidad: número de usuarios únicos (líneas) que utilizaron el servicio de Roaming Internacional (Outbound) en el periodo reportado
7. Líneas con tarifa de paquete: De la totalidad de usuarios incluidos en el campo 6, indicar la cantidad de líneas que usaron el servicio en el mes reportado con algún paquete o plan promocional. Las líneas de los campos 7 y 8 pueden ser no únicas.
8. Líneas con tarifa por demanda: De la totalidad de usuarios incluidos en el campo 6, indicar la cantidad de líneas que usaron el servicio en el mes reportado pagando tarifas por demanda. Las líneas de los campos 7 y 8 pueden ser no únicas.
B. Consumos de Roaming Internacional
| 1 | 2 | 3 | 4 | 5 | 6 | 7 | 8 | 9 |
| Año | Trimestre | Mes | País | Modalidad | MinutosSalientes | MinutosEntrantes | SMS | MB |
1. Año: Corresponde al año para el cual se reporta la información. Campo numérico entero, serie de cuatro dígitos.
2. Trimestre: Corresponde al trimestre del año para el cual se reporta la información. Campo numérico entero, con valores esperados entre 1 y 4.
3. Mes: Corresponde al mes del trimestre del año para el cual se reporta la información. Campo numérico entero, con valores esperados entre 1 y 3.
4. País: Código del país donde se presta servicio (campo codificado de acuerdo con los códigos numéricos de la norma ISO 3166-2).
5. Modalidad: Modalidad de Pago, señalar la modalidad:
- PRE - Prepago
- POS – Pospago
6. Minutos Salientes: Cantidad de minutos facturados en el mes reportado (con valor y sin valor), incluidos los consumidos con paquete o promociones o con tarifa por demanda, correspondientes a las llamadas originadas por los usuarios del servicio de Roaming Internacional en los operadores visitados.
7. Minutos Entrantes: Cantidad de minutos facturados en el mes reportado, incluidos los consumidos con paquete o promociones o con tarifa por demanda, correspondientes a las llamadas recibidas por los usuarios del servicio de Roaming Internacional en los operadores visitados.
8. SMS: Cantidad de SMS facturados en el mes reportado, incluidos los consumidos con paquete o promociones o con tarifa por demanda, correspondientes a los mensajes de texto enviados por los usuarios del servicio de Roaming Internacional en los operadores visitados.
9. MB: Cantidad de MB facturados en el mes reportado, incluidos los consumidos con paquete o promociones o con tarifa por demanda, correspondientes a los consumos de datos realizados por los usuarios del servicio de Roaming Internacional en los operadores visitados.
Notas:
i. Independientemente de la oferta comercial del proveedor de servicios (tarifas por demanda, tarifa por paquete o promociones, o consumo incluido en la tarifa local), deben reportarse todos los consumos incluidos en la factura en el mes reportado.
ii. El reporte de consumos en la modalidad prepago está sujeto a la disponibilidad de los servicios y el nivel de discriminación que se pueda hacer de los mismos.
C. Valores facturados a usuarios por concepto de Roaming Internacional
| 1 | 2 | 3 | 4 | 5 | 6 | 7 | 8 | 9 |
| Año | Trimestre | Mes | País | Modalidad | Valor MinutosSalientes | Valor MinutosEntrantes | Valor SMS | Valor MB |
1. Año: Corresponde al año para el cual se reporta la información. Campo numérico entero, serie de cuatro dígitos.
2. Trimestre: Corresponde al trimestre del año para el cual se reporta la información. Campo numérico entero, con valores esperados entre 1 y 4.
3. Mes: Corresponde al mes del trimestre del año para el cual se reporta la información. Campo numérico entero, con valores esperados entre 1 y 3.
4. País: Código del país donde se presta servicio (campo codificado de acuerdo con los códigos numéricos de la norma ISO 3166-2)
5. Modalidad: Modalidad de Pago, señalar la modalidad:
- PRE - Prepago
- POS - Pospago
6. Valor Minutos Salientes: Valor en pesos colombianos de los minutos facturados en el mes reportado, incluidos los consumidos con paquete o promociones y/o con tarifa por demanda, correspondientes a las llamadas originadas por los usuarios del servicio de Roaming Internacional en los operadores visitados.
7. Valor Minutos Entrantes: Valor en pesos colombianos de minutos facturados en el mes reportado, incluidos los consumidos con paquete o promociones y/o con tarifa por demanda, correspondientes a las llamadas recibidas por los usuarios del servicio de Roaming Internacional en los operadores visitados.
8. Valor SMS: Valor en pesos colombianos de los SMS facturados en el mes reportado, incluidos los consumidos con paquete o promociones y/o con tarifa por demanda, correspondientes a los mensajes de texto enviados por los usuarios del servicio de Roaming Internacional en los operadores visitados.
9. Valor MB: Valor en pesos colombianos de los MB facturados en el mes reportado, incluidos los consumidos con paquete o promociones y/o con tarifa por demanda, correspondientes a los consumos de datos realizados por los usuarios del servicio de Roaming Internacional en los operadores visitados.
Nota: Independientemente de la oferta comercial del proveedor de servicios (tarifas por demanda, tarifa por paquete o promociones, o consumo incluido en la tarifa local), deben reportarse todos los valores facturados en el periodo reportado por concepto de consumos de Roaming.
D. Tarifas inter operador (IOT) para los servicios de Roaming internacional prestados en el exterior a los usuarios del PRSTM colombiano.
| 1 | 2 | 3 | 4 | 5 | 6 | 7 | 8 | 9 | 10 | 11 | 12 |
| Año | Trimestre | Mes | País | Operador visitado | Modalidad | Tarifa IOT minutosaliente local | Tarifa IOT minutosalientea Colombia | Tarifa IOT minutosalientea otros países | Tarifa IOT minutoentrante | Tarifa IOT SMS | Tarifa IOT MB |
1. Año: Corresponde al año para el cual se reporta la información. Campo numérico entero, serie de cuatro dígitos.
2. Trimestre: Corresponde al trimestre del año para el cual se reporta la información. Campo numérico entero, con valores esperados entre 1 y 4.
3. Mes: Corresponde al mes del trimestre del año para el cual se reporta la información. Campo numérico entero, con valores esperados entre 1 y 3.
4. País: Código del país donde se presta servicio (Campo codificado de acuerdo con los códigos numéricos de la norma ISO 3166-2)
5. Operador visitado: Indicar el TAP CODE que identifica el operador con el cual el operador colombiano tiene acuerdo de Roaming Internacional.
Nota: El TAP CODE es un código asignado por la Asociación GSM (GSMA) para su uso como identificador primario de los operadores que participan en acuerdos de Roaming Internacional en los procesos de intercambio de datos, dentro de los que se encuentra el procedimiento TAP (por sus siglas en inglés de "Transferred Account Procedure").
6. Modalidad: Modalidad de Pago, señalar la modalidad:
- PRE - Prepago
- POS – Pospago
7. Tarifa IOT minuto saliente local: Valor en dólares americanos del minuto saliente a destinos locales cobrado al proveedor de servicios colombiano por el operador visitado.
8. Tarifa IOT minuto saliente a Colombia: Valor en dólares americanos del minuto saliente hacia Colombia cobrado al proveedor de servicios colombiano por el operador visitado.
9. Tarifa IOT minuto saliente a otros países: Valor en dólares americanos del minuto saliente a otros países cobrado al proveedor de servicios colombiano por el operador visitado.
10. Tarifa IOT minuto entrante: Valor en dólares americanos del minuto entrante al usuario del servicio de Roaming Internacional, cobrado al proveedor de servicios colombiano por el operador visitado.
11. Tarifa IOT SMS: Valor en dólares americanos del SMS enviado por el usuario del servicio de Roaming Internacional, cobrado al proveedor de servicios colombiano por el operador visitado.
12. Tarifa IOT MB: Valor en dólares americanos del MB consumido por el usuario del servicio de Roaming Internacional, cobrado al proveedor de servicios colombiano por el operador visitado.
Nota: Deben reportarse los valores IOT (por unidad de consumo) finales con descuentos, y efectivamente pagadas a cada uno de los operadores visitados, como producto de negociaciones por volumen, por pertenecer al mismo grupo o por cualquier otro motivo. Los valores a reportar en dólares son a dos cifras decimales (sin redondeos).
FORMATO T.4.2. MONITOREO DE QUEJAS. <Artículo modificado a partir del 1 de julio de 2026 por el artículo 14 de la Resolución 8171 de 2026. El texto vigente hasta esta fecha es el siguiente:> <Formato modificado por el artículo 121 de la Resolución 7811 de 2025. El nuevo texto es el siguiente:>
Periodicidad: Trimestral
Contenido: Mensual
Plazo: Hasta 30 días calendario después de finalizado el trimestre
Este formato debe ser diligenciado por los proveedores de redes y servicios de telecomunicaciones que cumplan con alguna de las siguientes condiciones:
- Provean servicios móviles,
- Provean los servicios de telefonía fija, internet fijo y televisión por suscripción de manera individual o empaquetada y tengan 30.000 o más accesos,
- Provean el servicio de internet fijo únicamente al segmento corporativo.

1. Año: Corresponde al año para el cual se reporta la información. Campo numérico entero, serie de cuatro dígitos.
2. Trimestre: Corresponde al trimestre del año para el cual se reporta la información. Campo numérico entero, con valores esperados entre 1 y 4.
3. Mes: Corresponde al trimestre del año para el cual se reporta la información. Campo numérico entero, con valores esperados entre 1 y 3.
4. Servicio: Corresponde al servicio al cual se asocia la respectiva tipología de queja (numeral 5 del presente formato), de acuerdo con la siguiente clasificación:

5. Tipología: Corresponde al tipo que describe la queja de acuerdo con la siguiente clasificación:
A. Información/ Contrato y condiciones prestación del servicio. Esta tipología se puede asociar a todos los servicios del numeral 4 del presente formato.
- Modificación condiciones acordadas.
- Publicidad engañosa.
- Servicios no solicitados.
- Fraudes en contratación.
- Datos personales.
- Plan corporativo.
B. Terminación del contrato con o sin cláusula de permanencia mínima vigente. Esta tipología se puede asociar a los servicios Telefonía fija, Internet fijo, Televisión por suscripción, Múltiples servicios fijos o Servicios móviles y fijos del numeral 4 del presente formato.
- Imposibilidad terminación contrato.
- Cláusula de permanencia sin consentimiento.
- Cláusula de permanencia superior a 1 año.
- Valor subsidiado o financiado.
- Falta de información.
C. Terminación del contrato móviles. Esta tipología se puede asociar solo a los servicios Telefonía móvil, Internet móvil, Múltiples servicios móviles o Servicios móviles y fijos del numeral 4 del presente formato.
- Imposibilidad terminación contrato.
- Valor subsidiado o financiado.
- Falta de información.
- Portabilidad numérica.
- Cambio pospago a prepago.
D. Roaming Internacional. Esta tipología se puede asociar solo a los servicios Telefonía móvil, Internet móvil, Múltiples servicios móviles o Servicios móviles y fijos del numeral 4 del presente formato.
- Activación sin autorización.
- Falta de información.
- No controles de consumo.
- Facturación.
- Calidad del servicio.
E. Calidad/ Cobertura del servicio. Esta tipología se puede asociar solo a los servicios Telefonía móvil, Internet móvil, Múltiples servicios móviles o Servicios móviles y fijos del numeral 4 del presente formato.
- No disponibilidad del servicio.
- Caída de llamadas.
- Intermitencia.
- Intento de llamada no exitosa.
F. Facturación/ Gestión de saldos. Esta tipología se puede asociar a todos los servicios del numeral 4 del presente formato.
- Error factura/ Cobro o descuento injustificado.
- Incremento tarifario.
- Reporte a centrales de riesgo
- Cobro en proceso de reclamación.
- Vigencia de saldos.
- Transferencia de saldos.
- Fraude en facturación.
- Cobro por reconexión.
G. Mensajes de texto. Esta tipología se puede asociar solo a los servicios Telefonía móvil, Internet móvil, Múltiples servicios móviles o Servicios móviles y fijos del numeral 4 del presente formato.
- Mensajes comerciales/ publicitarios.
- Activación recepción mensajes por suscripción sin autorización.
- Recepción mensajes por suscripción - Contenidos y Aplicaciones.
- Cobro indebido.
- Baja del servicio/ Imposibilidad cancelación.
- Baja de contenido.
- Falta de información
H. Medios de atención al usuario. Esta tipología se puede asociar a todos los servicios del numeral 4 del presente formato.
- Medios de atención al usuario.
I. Equipos terminales. Esta tipología se puede asociar solo a los servicios Telefonía móvil, Internet móvil, Múltiples servicios móviles o Servicios móviles y fijos del numeral 4 del presente formato.
- Hurto.
- Registro.
- Garantía.
- Reposición.
- Bandas.
J. Otros. Esta tipología se puede asociar a todos los servicios del numeral 4 del presente formato. Esta tipología abarca todas las quejas que no están incluidas en las tipologías (de la A a la I) del presente formato.
6. Medios de atención: Corresponde al medio de atención por medio del cual se presentan las quejas.
Medios de atención
- Oficina
- Línea Telefónica Página Web
- Aplicación móvil
- Servicios de mensajería instantánea
- Otros
7. Número de quejas: Corresponde al número total de quejas presentado en el mes de reporte discriminado por tipología, servicio y medio de atención.
FORMATO T.4.3. INDICADORES DE QUEJAS Y PETICIONES. <Formato modificado por el artículo 122 de la Resolución 7811 de 2025. El nuevo texto es el siguiente:>
Periodicidad: Trimestral.
Contenido: Mensual.
Plazo: Hasta 30 días calendario después de finalizado el trimestre.
Este formato deberá ser diligenciado por los proveedores de redes y servicios de telecomunicaciones que cumplan con alguna de las siguientes condiciones:
- Provean servicios móviles,
- Provean los servicios de telefonía fija, internet fijo y televisión por suscripción de manera individual o empaquetada que tengan 30.000 o más accesos,
- Provean el servicio de internet fijo únicamente al segmento corporativo.
A. RESOLUCIÓN DE QUEJAS Y PETICIONES.

1. Año: Corresponde al año para el cual se reporta la información. Campo numérico entero, serie de cuatro dígitos.
2. Trimestre: Corresponde al trimestre del año para el cual se reporta la información. Campo numérico entero, con valores esperados entre 1 y 4.
3. Mes: Corresponde al mes del trimestre del año para el cual se reporta la información. Campo numérico entero, con valores esperados entre 1 y 3.
4. Número de quejas a favor: Corresponde al número de quejas presentadas en el mes de reporte que fueron resueltas por el operador en favor de la solicitud del usuario, en dicho periodo.
5. Número de quejas en contra: Corresponde al número de quejas presentadas en el mes de reporte que fueron resueltas por el operador en contra de la solicitud del usuario, en dicho periodo.
6. Número de quejas presentadas: Corresponde al número de quejas presentadas por los usuarios en el mes de reporte.
7. Número de peticiones: Corresponde al número de peticiones presentadas por los usuarios en el mes de reporte.
B. RESOLUCIÓN DE QUEJAS EN SEGUNDA INSTANCIA.

1. Año: Corresponde al año para el cual se reporta la información. Campo numérico entero, serie de cuatro dígitos.
2. Trimestre: Corresponde al trimestre del año para el cual se reporta la información. Campo numérico entero, con valores esperados entre 1 y 4.
3. Mes: Corresponde al mes del trimestre del año para el cual se reporta la información. Campo numérico entero, con valores esperados entre 1 y 3.
4. Número de recursos de reposición a favor: Corresponde al número total de recursos de reposición resueltos por el operador en favor de la solicitud usuario, en el mes de reporte.
5. Número de recursos de reposición en contra: Corresponde al número total de recursos de reposición resueltos por el operador en contra de la solicitud del usuario, en el mes de reporte.
6. Número de recursos de reposición presentados: Corresponde al número total de recursos presentadas por los usuarios en el mes de reporte.
7. Número de recursos de apelación: Corresponde al número total de recursos de apelación presentados ante la Superintendencia de Industria y Comercio en el mes de reporte.
C. NIVEL DE SATISFACCIÓN EN LA ATENCIÓN AL USUARIO.

1. Año: Corresponde al año para el cual se reporta la información. Campo numérico entero, serie de cuatro dígitos.
2. Trimestre: Corresponde al trimestre del año para el cual se reporta la información. Campo numérico entero, con valores esperados entre 1 y 4.
3. Mes: Corresponde al mes del trimestre del año para el cual se reporta la información. Campo numérico entero, con valores esperados entre 1 y 3.
4. Medio de atención: Corresponde al medio de atención por medio del cual se
realiza la interacción.
Medios de atención
Oficina
Línea Telefónica
Página web
Aplicación móvil
Servicios de mensajería instantánea
5. Usuarios encuestados con nivel de satisfacción "Muy Insatisfecho": Cantidad de usuarios cuyo nivel de satisfacción general con la atención recibida por el medio de atención es 1, donde 1 es "Muy insatisfecho".
6. Usuarios encuestados con nivel de satisfacción "Insatisfecho": Cantidad de usuarios cuyo nivel de satisfacción general con la atención recibida por el medio de atención es 2, donde 2 es "Insatisfecho".
7. Usuarios encuestados con nivel de satisfacción "Ni Insatisfecho ni Satisfecho": Cantidad de usuarios cuyo nivel de satisfacción general con la atención recibida por el medio de atención es 3, donde 3 es "Ni Insatisfecho ni Satisfecho".
8. Usuarios encuestados con nivel de satisfacción "Satisfecho": Cantidad de usuarios cuyo nivel de satisfacción general con la atención recibida por el medio de atención es 4, donde 4 es "Satisfecho".
9. Usuarios encuestados con nivel de satisfacción "Muy satisfecho": Cantidad de usuarios cuyo nivel de satisfacción general con la atención recibida por el medio de atención es 5, donde 5 es "Muy Satisfecho".
FORMATO T.4.4. PETICIONES, QUEJAS, RECLAMOS Y SOLICITUDES DE CONTENIDOS. <Formato adicionado por el artículo 7 de la Resolución 6607 de 2022. El nuevo texto es el siguiente:>
Periodicidad: Trimestral.
Contenido: Diario
Plazo: Hasta 10 días hábiles siguientes después de finalizado el trimestre.
Este formato deberá ser diligenciado por los operadores del servicio de televisión abierta en todas sus modalidades y concesionario(s) de Canal UNO, salvo el Canal Señal Colombia Institucional.
| 1 | 2 | 3 | 4 | 5 | 6 | 7 | 8 |
| Fecha recepción | Tipo de solicitud recibida | Temática | Mecanismo de recepción | Identificación del asunto | Programa | Fecha respuesta | Trámite realizado por el operador |
1. Fecha recepción: Corresponde a la fecha (AAAA-MM-DD) de recepción, por parte del operador, de la petición, queja, reclamo o solicitud (PQRS) del televidente.
2. Tipo de solicitud recibida: Tipo de PQRS recibida por el operador, de acuerdo con la siguiente clasificación:
- PETICIÓN
- QUEJA O RECLAMO
- SOLICITUD
- OTRA
3. Temática: Identificación de la temática de la PQRS del usuario, con base en la siguiente clasificación:
- FAMILIA, NIÑOS, NIÑAS Y ADOLESCENTES: PQRS relacionadas con conductas ofensivas hacia los derechos de la familia, niños, niñas y adolescentes, o que involucren las responsabilidades de los medios de comunicación respecto a los mismos, de conformidad con la Ley 1098 de 2006 o aquella que la modifique o sustituya, así mismo de conformidad con otras normas que establezcan responsabilidades de los medios frente a dichos sujetos.
- PLURALISMO INFORMATIVO: PQRS relacionadas con el deber de informar o transmitir desde diferentes perspectivas, posiciones, ópticas y fuentes necesarias para garantizar la diversidad de contenidos.
- DISCRIMINACIÓN: PQRS que se dirijan a poner de presente un trato diferencial o señalamiento en razón al sexo, color de piel, edad, etnia, religión, identidad u orientación sexual y posición ideológica.
- ESCENAS SEXUALES: PQRS relacionadas con escenas de sexo que el usuario considere explícitas, degradantes o inapropiadas para el horario en el que se emiten.
- CONSUMO DE ALCOHOL, CIGARRILLOS Y OTRAS SUSTANCIAS NOCIVAS: PQRS relacionadas con escenas y contenidos en los que se aprecie el consumo de sustancias como alcohol, cigarrillo y otras drogas nocivas.
- VIOLENCIA: PQRS relacionadas con lenguaje ofensivo o fuerte, escenas de violencia, agresión física, agresión psicológica o promoción de la violencia.
- VIOLENCIA HACIA LAS MUJERES: PQRS relacionadas con conductas ofensivas hacia la mujer.
- FRANJAS DE AUDIENCIA Y AVISO PREVIO A LA RADIODIFUSIÓN DE LOS PROGRAMAS: PQRS relacionadas con programas transmitidos en horarios que el usuario considere que no corresponden al contenido. Adicionalmente, las relacionadas con programas que no contengan avisos previos de radiodifusión.
- POBLACIÓN CON DISCAPACIDAD AUDITIVA: PQRS relacionadas con los sistemas de acceso para la población con discapacidad- closed caption, lenguaje de señas, entre otros.
- PROGRAMACIÓN: PQRS relacionadas con sugerencias u opiniones de la programación del canal que no se relacionen con ninguna de las temáticas anteriores pero que tengan que ver con los contenidos emitidos, dejados de emitir, o cambios de horario en la programación.
- OTRA: Cualquier PQRS diferente a las mencionadas anteriormente.
4. Mecanismo de recepción: Corresponde al medio de atención por el que se recibe la PQRS. Las opciones son:
- OFICINA
- LÍNEA TELEFÓNICA
- PÁGINA WEB
- APLICACIÓN MÓVIL
- OTRO
5. Asunto: Resumen de la PQRS acerca de la parrilla de programación o funcionamiento del operador.
6. Programa: Nombre del programa de televisión sobre el cual recae el asunto de la PQRS, en caso de que aplique.
7. Fecha respuesta: Fecha (AAAA-MM-DD) de respuesta de la PQRS por parte del operador del servicio de televisión al usuario.
8. Trámite realizado por el operador: Trámite que el operador le dio a la PQRS presentada por el usuario. Las opciones son:
- ATENDIDA
- PENDIENTE DE RESPUESTA
- TRASLADADA A OTRA EMPRESA O ENTIDAD
FORMATO T.4.5. PROGRAMACIÓN Y SISTEMAS DE ACCESO. <Formato modificado por el artículo 7 de la Resolución 7810 de 2025. El nuevo texto es el siguiente:>
Periodicidad: Trimestral.
Contenido: Diario.
Plazo: Hasta 10 días hábiles siguientes después de finalizado el trimestre.
Este formato deberá ser diligenciado por los operadores del servicio de televisión abierta en todas sus modalidades y concesionario(s) espacios de televisión, así como los operadores del servicio de televisión por suscripción respecto de su canal de producción propia. Para diligenciar este formato solo se deberá tener en cuenta la información de la señal principal.
En el caso del Canal Uno, la remisión de esta información podrá realizarse de manera consolidada por parte de los concesionarios de espacios de televisión.

1. Fecha: Fecha (AAAA-MM-DD) de emisión del programa.
2. Hora inicio: Hora (hh:mm:ss) de inicio del programa.
3. Hora fin: Hora (hh:mm:ss) de fin del programa.
4. Duración: Duración (hh:mm:ss) del programa emitido.
5. Nombre del programa: Nombre del programa emitido.
6. Clasificación de la programación: Clasificación de la programación acorde con la normativa vigente, la clasificación es:
- INFANTIL
- ADOLESCENTE
- FAMILIAR
- ADULTO
7. Género de contenido: Género del contenido emitido. Las opciones son:
- FICCIÓN
- NO FICCIÓN
- INFORMATIVO
- INFANTIL
- DEPORTIVO O MUSICAL
8. Texto escondido o closed caption (CC): Tipo de sistema de generación de texto escondido o closed caption (CC) que tiene implementado el programa. Las opciones son:
- TRANSCRIPCIÓN AUTOMÁTICA
- TRANSCRIPCIÓN MANUAL
- NINGUNO
9. Lengua de Señas Colombiana (LSC): Indique si el programa tiene lengua de señas colombiana (LSC). [SI/NO]
10. Subtitulado (ST): Indique si el programa incluye algún tipo de subtitulación visible. [SI/NO]
11. Lengua o idioma de la subtitulación: Lengua o idioma de la subtitulación del contenido emitido.
12. Lenguas nativas, étnicas o criollas: Indique si en alguna parte del contenido aparecen lenguas nativas, étnicas o criollas. [SI/NO]
13. Origen de la programación: Indique la calificación de la programación como nacional o extranjera con base en el contenido de los programas acorde con el artículo 33 de la Ley 182 de 1995, modificado por el artículo 4o de la Ley 680 de 2001. Se entiende por producciones de origen nacional aquellas de cualquier género realizadas en todas sus etapas por personal artístico y técnico colombiano, con la participación de actores nacionales en roles protagónicos y de reparto. La participación de actores extranjeros no alterará el carácter de nacional siempre y cuando no exceda el 10% del total de los roles protagónicos. Las opciones de registro en este campo son:
- NACIONAL
- EXTRANJERA
Obra cinematográfica: Indique si el contenido es una obra cinematográfica, y en caso de serlo especifique si es nacional o extranjera considerando que las obras cinematográficas nacionales se entienden como aquellas producciones audiovisuales de largometraje, cortometraje, ficción, documentales u otro, cuya nacionalidad colombiana sea certificada por parte del Ministerio de los Saberes y las Culturas o quien haga sus veces, una vez verificada la participación artística, técnica y económica exigida en las normas respectivas.
Las opciones de registro en este campo son:
- OBRA CINEMATOGRÁFICA NACIONAL
- OBRA CINEMATOGRÁFICA EXTRANJERA
- NO es obra cinematográfica
15. Primera emisión OCN: Es la emisión de una obra cinematográfica nacional que un operador realiza por primera vez en sus canales. Las opciones de registro en este campo son:
- Sí es primera emisión de la OCN
- NO es primera emisión de la OCN
- NO es OCN.
FORMATO T.4.6. MECANISMOS DE PARTICIPACIÓN DE LOS TELEVIDENTES. <Artículo modificado por el artículo 8 de la Resolución 7810 de 2025. El nuevo texto es el siguiente:>
Periodicidad: Anual
Contenido: Anual
Plazo: A más tardar el 31 de enero de cada año.
El presente formato deberá ser diligenciado por los operadores del servicio público de televisión en función de la cobertura del servicio que prestan y la naturaleza jurídica del operador, en los términos establecidos en los artículos 15.3.1.3. de la presente resolución, así como el nivel de la escala del espectro definida en el artículo 15.3.1.2 de la presente resolución.
Para el cumplimiento de la obligación de reporte de información de los mecanismos de participación que se implementen, los operadores del servicio público de televisión deberán mantener, por el término de tres (3) meses, los archivos electrónicos de imagen, audio o video que evidencie la implementación de cada uno de los mecanismos que se hayan elegido para cumplir la obligación establecida en el artículo 15.3.1.3. de la presente resolución, los cuales podrán ser consultados o solicitados en cualquier momento por las autoridades competentes.

1. Año: Corresponde al año para el cual se reporta la información. Campo numérico entero, serie de cuatro dígitos.
2. Nivel de la escala: Corresponde a los tres (3) niveles más altos de la escala del espectro de participación ciudadana (involucrar, colaborar y empoderar). La manera de reportar cada uno de los niveles de la escala debe ser identificando el código que se le asigna a cada uno de los niveles que se detallan en la siguiente tabla:
| Código del nivel | Nivel de la escala |
| 5 | Empoderar |
| 4 | Colaborar |
| 3 | Involucrar |
3. Mecanismo de participación: Corresponde a la actividad implementada por el operador para fomentar la participación de los televidentes de acuerdo con la clasificación establecida en la escala del espectro de participación. La manera de reportar cada uno de los mecanismos de participación debe ser identificando el código que se le asigna a cada uno de los mecanismos de participación que se detallan en la siguiente tabla. En caso de que se reporte un mecanismo diferente a los establecidos en esta tabla, se deberá identificar este campo con el código 10 y el nuevo mecanismo se describirá de manera textual en el campo 4. Otro mecanismo de participación.
| Código | Nivel de la escala | Descripción del mecanismo implementado |
| 1 | Empoderar | Procesos de cocreación de contenidos con la ciudadanía/Diseño de contenidos con la intervención de grupos poblacionales específicos. |
| 2 | Empoderar | Creación de equipos editoriales conformados por las audiencias objetivo para la definición de temas, estrategias, proyectos y tipos de contenidos del canal. |
| 3 | Colaborar | Emisión de contenidos producidos por la ciudadanía. |
| 4 | Colaborar | Fomento a la producción de contenidos digitales por parte de la ciudadanía relacionados con contenidos emitidos en el canal. |
| 5 | Colaborar | Participación de la ciudadanía (no actores o periodistas) en la producción y/o grabación de los contenidos. |
| 6 | Involucrar | Estrategias de participación ciudadana a través de redes sociales o proyectos multimedia. |
| 7 | Involucrar | Creación de espacios virtuales para que la ciudadanía se exprese sobre los contenidos que emite el canal. |
| 8 | Involucrar | Actividades presenciales o vivenciales con la ciudadanía relacionadas con los contenidos que produce el canal. |
| 9 | Involucrar | Interacción con las audiencias en vivo/tiempo real (línea telefónica, WhatsApp, página web). |
| 10 | Otro. | |
4. Otro mecanismo de participación: Corresponde al(los) mecanismo(s) implementado(s) por el operador para fomentar la participación de los televidentes, que sea(n) diferente(s) a los que están descritos en la escala del espectro de participación y además ser distinto(s) a los mecanismos de participación que establece la normativa vigente como son el defensor del televidente y las respuestas a PQR. Estos nuevos mecanismos de participación deben pertenecer a alguno de los tres (3) niveles de participación (involucrar, colaborar o empoderar) que se establecen en la escala del espectro de participación. Este campo es descriptivo, debe ser diligenciado indicando la denominación del(los) mecanismo(s) adicional(es) que se implementen, por lo que aplica únicamente cuando se diligencie el código 10 "otro" en el campo 3. Mecanismo de participación de este formato.
5. Fase del proceso: Se refiere a la etapa del proceso de producción de un contenido televisivo en la que se implementa el mecanismo de participación y que corresponde a una de las etapas que se describen en el siguiente cuadro, con su respectivo código:
| Código | Descripción |
| 1 | Ideación y diseño |
| 2 | Investigación |
| 3 | Preproducción |
| 4 | Producción |
| 5 | Posproducción |
| 6 | Circulación o emisión |
6. Tipo de contenido: Corresponde con el género narrativo o formato televisivo al que pertenece el contenido o estrategia transmedia en la que se implementa la actividad de participación. Se divide en las siguientes opciones y en caso de que el contenido televisivo corresponda a diferentes géneros narrativos o formatos audiovisuales, deberá seleccionar el que considere que tiene mayor incidencia en el contenido:
| Código | Género narrativo | Formato audiovisual |
| 1 | Ficción | Infantil (animación) |
| 2 | Ficción | Infantil (live action) |
| 3 | Ficción | Película |
| 4 | Ficción | Serie |
| 5 | Ficción | Telenovela |
| 21 | No ficción | Concurso |
| 22 | No ficción | Deportivo |
| 23 | No ficción | Documental |
| 24 | No ficción | Docureality |
| 25 | No ficción | Educativo |
| 26 | No ficción | Entrevistas |
| 27 | No ficción | Evento en directo |
| 28 | No ficción | Humorístico |
| 29 | No ficción | Infantil documental |
| 30 | No ficción | Informativo |
| 31 | No ficción | Magazín |
| 32 | No ficción | Musical |
| 33 | No ficción | Noticiero |
| 34 | No ficción | Opinión |
| 35 | No ficción | Reality |
| 36 | No ficción | Religioso |
7. Cantidad de televidentes y usuarios involucrados: Corresponde al número de personas que hacen parte activa de los mecanismos de participación que se implementen y que no hacen parte o están vinculados laboralmente con el canal de televisión. Campo numérico entero.
8. Frecuencia de implementación: Corresponde a la periodicidad con la que se implementan los mecanismos de participación ciudadana. Se divide en las siguientes opciones, con su respectivo código:
| Código | Frecuencia |
| 1 | Continua |
| 2 | Semanal |
| 3 | Mensual |
| 4 | Trimestral |
| 5 | Semestral |
| 6 | Ocasional |
9. Justificación: Corresponde a las razones por las cuales el(los) mecanismo(s) de participación implementado(s), que es(son) distinto(s) a los descritos en la escala del espectro de participación, pertenece a uno de los tres (3) niveles establecidos en la misma escala (involucrar, colaborar, empoderar). Este campo es descriptivo.
10. Ubicación de la evidencia de la implementación del mecanismo: Corresponde a la ruta donde se encuentran ubicados los archivos electrónicos de imagen, audio o video que evidencien la implementación de cada uno de los mecanismos que se hayan elegido. Este campo admite texto.
FORMATO T.4.7. ESPACIOS INSTITUCIONALES EN TELEVISIÓN ABIERTA. <Formato adicionado por el artículo 12 de la Resolución 7423 de 2024. El nuevo texto es el siguiente:>
Periodicidad: Trimestral.
Contenido: Diario.
Plazo: Hasta 10 días hábiles siguientes después de finalizado el trimestre.
Este formato deberá ser diligenciado por los operadores del servicio de televisión abierta en todas sus modalidades y concesionario(s) espacios de televisión.
| 1 | 2 | 3 | 4 | 5 | 6 | 7 | 8 | 9 | 10 | 11 |
| Año | Trimestre | Fecha | Hora Inicio | Hora Fin | Duración | Tipo Espacio | Entidad | N.I.T Entidad | Código | Referencia |
1. Año: Corresponde al año para el cual se reporta la información. Campo numérico entero, serie de cuatro dígitos.
2. Trimestre: Corresponde al trimestre del año para el cual se reporta la información. Campo numérico entero, con valores esperados entre 1 y 4.
3. Fecha: Fecha de emisión del espacio institucional.
4. Hora inicio: Hora (hh:mm:ss) de inicio de la emisión del espacio institucional.
5. Hora fin: Hora: (hh:mm:ss) de fin de la emisión del espacio institucional.
6. Duración: Duración (hh:mm:ss) del espacio institucional.
7. Tipo espacio: Tipo del espacio institucional emitido:
- Asociaciones de Consumidores
- Instituto Colombiano De Bienestar Familiar
- Minuto de Dios
- Partidos Políticos
- Prevención del consumo abusivo del alcohol
- Propaganda electoral
- Espacio solicitado por otras entidades
8. Entidad: Entidad a la que pertenece el espacio institucional.
9. N.I.T. entidad: Identificación tributaria de la entidad a la que pertenece el espacio institucional.
10. Código: Código con el que el espacio es identificado en el plan de emisión de la CRC.
11. Referencia: Descripción sucinta del espacio institucional.
OTROS.
FORMATO T.5.1. USO DE NUMERACIÓN. <Formato modificado por el artículo 14 de la Resolución 6333 de 2021. El nuevo texto es el siguiente:>
Este formato deberá ser diligenciado por los proveedores de redes y servicios que tengan numeración asignada.
A. IMPLEMENTACIÓN DE NUMERACIÓN
Periodicidad: Semestral
Contenido: Semestral
Plazo: Hasta 31 días calendario después de finalizado el semestre.
| 1 | 2 | 3 | 4 | 5 | 6 | 7 | 8 | 9 |
| Año | Semestre | NDC | Inicio | Fin | Clase | NIU | NIOU | Especificación NIOU |
Debe diligenciarse el estado de implementación de cada uno de los bloques de numeración asignados, especificando los usos dados a la numeración implementada en otros usos.
1. Año: Corresponde al año para el cual se reporta la información. Campo numérico entero de cuatro dígitos.
2. Semestre: Semestre para el cual se reporta la información. Campo numérico entero, con valores esperados entre 1 y 2.
3. NDC: Indicativo nacional de destino.
4. Inicio: Número que identifica el inicio de un bloque de numeración.
5. Fin: Número que identifica el final de un bloque de numeración.
6. Clase: Se debe especificar el uso dado a la numeración. Las opciones son:
| Clase | |
| Acceso a Internet | |
| Acceso a Internet por demanda | |
| Acceso fijo satelital | |
| Acceso móvil satelital | |
| Datos y aplicaciones móviles | |
| Servicios de Cobro revertido | |
| Servicios de Tarifa con prima | |
| Telefonía fija | |
| Telefonía móvil | |
| Telefonía móvil rural | |
| Teléfonos públicos | |
| Otros servicios |
7. NIU: Cantidad de números del correspondiente bloque de numeración asignados e implementados en la red, que están siendo utilizados efectivamente por los usuarios finales de los servicios de comunicaciones. Dichos números incluyen los donados a otros proveedores de redes y servicios en virtud de la portabilidad numérica.
8. NIOU: Cantidad de números del correspondiente bloque de numeración asignados que se encuentran implementados en la red pero que no están siendo utilizados por usuarios. Esta numeración incluye, entre otras, la numeración programada en la red y disponible para la venta de líneas, la numeración destinada para pruebas, la numeración devuelta por los usuarios y que no se reúsa por un periodo de tiempo establecido.
9. Especificación NIOU: Campo para especificar los usos dados a la numeración implementada en la red pero que no está siendo usada por usuarios.
B. PREVISIÓN DE NUMERACIÓN
Periodicidad: Anual
Contenido: Anual
Plazo: Hasta el 31 de enero de cada año.
| 1 | 2 | 3 | 4 |
| Año | NDC | Numeración asignada | Previsión de necesidades |
1. Año: Corresponde al año para el cual se reporta la información. Campo numérico entero de cuatro dígitos.
2. NDC: Indicativo nacional de destino.
3. Numeración asignada: Cantidad total de numeración asignada al proveedor asignatario, en cada uno de los NDC.
4. Previsión de necesidades: Cantidad total de numeración que el proveedor asignatario proyecta tener asignada en cada uno de los NDC, al finalizar el año de realización del reporte.
FORMATO T.5.2. REPORTE DE INFORMACIÓN DE CÓDIGOS CORTOS. <Formato modificado por el artículo 14 de la Resolución 6333 de 2021. El nuevo texto es el siguiente:>
Periodicidad: Trimestral
Contenido: Mensual
Plazo: Hasta 30 días calendario después de finalizado el trimestre.
Este formato deberá ser diligenciado por los proveedores de redes y servicios móviles que habilitan en su red el uso de códigos cortos para la provisión de contenidos y aplicaciones a través de SMS/USSD.
A. TRÁFICO

1. Año: Corresponde al año para el cual se reporta la información. Campo numérico entero, serie de cuatro dígitos.
2. Trimestre: Corresponde al trimestre del año para el cual se reporta la información. Campo numérico entero, con valores esperados entre 1 y 4.
3. Mes: Corresponde al mes del trimestre del año para el cual se reporta la información. Campo numérico entero, con valores esperados entre 1 y 3.
4. Código corto: Numeración asignada por la CRC para la provisión de contenidos y aplicaciones basados en el envío de mensajes cortos de texto (SMS) y mensajes a través de Servicio Suplementario de Datos no Estructurados (USSD), sobre la cual debe versar la información a reportar.
5. Tráfico cursado SMS: Número de mensajes SMS cursados para cada uno de los códigos en funcionamiento, discriminado por tráfico terminado en el terminal móvil (MT) y originado en el terminal móvil (MO).
6. Tráfico cursado USSD: Número de sesiones USSD establecidas para cada uno de los códigos en funcionamiento.
B. INGRESOS

1. Año: Corresponde al año para el cual se reporta la información. Campo numérico entero, serie de cuatro dígitos.
2. Trimestre: Corresponde al trimestre del año para el cual se reporta la información. Campo numérico entero, con valores esperados entre 1 y 4.
3. Mes: Corresponde al mes del trimestre del año para el cual se reporta la información. Campo numérico entero, con valores esperados entre 1 y 3.
4. Código corto: Numeración asignada por la CRC para la provisión de contenidos y aplicaciones basados en el envío de mensajes cortos de texto (SMS) y mensajes a través del Servicio Suplementario de Datos no Estructurados (USSD), sobre la cual debe versar la información a reportar.
5. Facturación usuarios: Corresponde al monto facturado (en pesos colombianos) por código corto a los usuarios (sin importar la modalidad de pago -prepago o pospago-) por el proveedor de redes y servicios móviles por concepto de la provisión de contenidos y aplicaciones basados en el envío de mensajes cortos de texto (SMS) y mensajes a través del Servicio Suplementario de Datos no Estructurados (USSD). No incluye IVA.
6. Ingresos PRST: Corresponde a los ingresos (en pesos colombianos) causados en el mes de reporte por la remuneración por el uso de la red del PRST por parte de los PCA o integradores tecnológicos con ocasión de la provisión de servicios basada en el envío de mensajes cortos de texto (SMS) y mensajes a través del Servicio Suplementario de Datos no Estructurados (USSD). No incluye IVA. En caso de que a través del código corto reportado el PRST actúe como PCA, deberá diligenciar este campo con "0".
C. USUARIOS

1. Año: Corresponde al año para el cual se reporta la información. Campo numérico entero, serie de cuatro dígitos.
2. Trimestre: Corresponde al trimestre del año para el cual se reporta la información. Campo numérico entero, con valores esperados entre 1 y 4.
3. Mes: Corresponde al mes del trimestre del año para el cual se reporta la información. Campo numérico entero, con valores esperados entre 1 y 3.
4. Código corto: Numeración asignada por la CRC para la provisión de contenidos y aplicaciones basada en el envío de mensajes cortos de texto (SMS) y mensajes a través del Servicio Suplementario de Datos no Estructurados (USSD), sobre la cual debe versar la información a reportar.
5. Usuarios: Corresponde al número de usuarios únicos por código corto, durante el mes de reporte, que hacen uso de mensajes cortos de texto (SMS) y mensajes a través del Servicio Suplementario de Datos no Estructurados (USSD) para el acceso a contenidos y aplicaciones.
FORMATO T.5.3. IMPLEMENTACIÓN DE RECURSOS DE IDENTIFICACIÓN DE REDES Y SERVICIOS DE TELEVISIÓN RADIODIFUNDIDA DIGITAL TERRESTRE. <Formato modificado por el artículo 14 de la Resolución 6333 de 2021. El nuevo texto es el siguiente:>
Periodicidad: Eventual
Contenido: No aplica
Plazo: Hasta 10 días hábiles posteriores a la implementación inicial del recurso, o a la modificación de la implementación autorizada por la CRC.
Este formato deberá ser diligenciado por los asignatarios de recursos de identificación asociados a redes y servicios de televisión radiodifundida digital, dentro de los diez días hábiles posteriores a la realización de la implementación inicial de los mismos, o dentro de los diez días hábiles posteriores a la implementación de una modificación previamente autorizada por la CRC.
Información general:
| 1 | 2 | 3 | 4 |
| Tipo de Identificador | Identificador | Nombre de la red | Tipo de Red |
1. Tipo de identificador: Corresponde al identificador del cual se reportará el uso. Las opciones para este campo serían:
- Identificador de Red
- Identificador de Trama de Transporte
- Identificador de Servicio
2. Identificador: Corresponde al número decimal asignado por la CRC asociado al identificador.
3. Nombre de la red: Corresponde al nombre de identificación de la red en la cual se implementó el recurso de identificación.
4. Tipo de red: Corresponde a la cobertura de la red en la que se implementó el recurso de identificación. Las opciones para este campo son:
- RN: Redes nacionales.
- RR: Redes regionales.
- RL: Redes locales.
Información específica:
- Si el reporte se refiere al identificador de trama de transporte (Transport Stream ID), se deberán reportar, además de la información general, los siguientes datos:
| A | B | C |
| Municipios que cubre | PLP | Multiplex |
A. Municipios que cubre: Corresponde a los municipios que cubre el recurso de identificación. Se tienen en cuenta los 32 departamentos y la ciudad de Bogotá D.C. Los municipios se identifican de acuerdo con la división político-administrativa de Colombia, DIVIPOLA, presente en el sistema de consulta del DANE.
B. PLP: Código de la tubería de capa física
C. Multiplex: indicar el tipo de multiplex (nacional o regional). En caso de ser regional se deberá indicar a que región corresponde.
- Si el reporte se refiere a identificadores de servicio, se deberán reportar, además de la información general, los siguientes datos:
| A | B | C |
| Municipios que cubre | Nombre de servicio | Canal y frecuencia |
A. Municipios que cubre: Corresponde a los municipios que cubre el recurso de identificación. Se tienen en cuenta los 32 departamentos y la ciudad de Bogotá D.C. Los municipios se identifican de acuerdo con la división político-administrativa de Colombia, DIVIPOLA, presente en el sistema de consulta del DANE.
B. Nombre del servicio: Corresponde al nombre con el que se denomina el servicio que señala el recurso de identificación.
C. Canal y frecuencia: Canal radioeléctrico y frecuencia central en MHz asociada al Identificador de servicio.
FORMATO T.5.4. IMPLEMETACIÓN DE CÓDIGOS DE PUNTO DE SEÑALIZACIÓN. <Formato modificado por el artículo 14 de la Resolución 6333 de 2021. El nuevo texto es el siguiente:>
Periodicidad: Eventual
Contenido: No aplica
Plazo: Hasta 15 días posteriores a la implementación inicial del código de punto de señalización, o de la realización de cambios en la implementación inicial del mismo.
Este formato deberá ser diligenciado por los asignatarios de códigos de punto de señalización nacional o internacional.
| 1 | 2 | 3 | 4 | 5 | 6 | 7 | 8 | 9 | 10 |
| Región | Zona | Punto | Tipo de región de señalización | Tipo de punto de señalización | Nombre del nodo | Marca | Modelo | Municipio | Fecha de puesta en marcha |
1. Región: Corresponde al identificador de la región geográfica nacional o internacional en la que se encuentra el punto de señalización.
2. Zona: Corresponde al identificador de la zona, dentro de la región geográfica correspondiente, en donde está ubicado el punto de señalización.
3. Punto: Corresponde al identificador del punto de señalización nacional o internacional perteneciente a una zona y región específicas.
4. Tipo de región de señalización: Corresponde al carácter nacional o internacional del código de punto de señalización.
5. Tipo de punto de señalización: Corresponde a la función que cumple el punto de señalización (PS, PTS, PS/PTS).
6. Nombre del nodo: Corresponde al nombre que el asignatario del punto de señalización le haya dado al nodo en el que se programa este.
7. Marca: Corresponde a la marca del equipo en el que se implementa el código de punto de señalización.
8. Modelo: Corresponde al modelo del equipo, otorgado por la marca, en el que se implementa el código de punto de señalización
9. Municipio: Son los datos de ubicación geográfica del equipo en donde se implementa el código de punto de señalización. Se tienen en cuenta los 32 Departamentos y la ciudad de Bogotá D.C. Los municipios están acordes con la división político-administrativa de Colombia, DIVIPOLA, presente en el sistema de consulta del DANE.
10. Fecha de puesta en marcha: Corresponde a la fecha en la que comienza a operar efectivamente en la red nacional o internacional el código de punto de señalización, en formato DD/MM/AAAA.
FORMATO T.5.5. IMPLEMETACIÓN DE INDICATIVOS DE RED PARA EL SERVICIO MÓVIL - MNC. <Formato modificado por el artículo 14 de la Resolución 6333 de 2021. El nuevo texto es el siguiente:>
Periodicidad: Eventual
Contenido: No aplica
Plazo: Hasta 15 días posteriores a la implementación inicial del MNC.
Este formato deberá ser diligenciado por los asignatarios de los MNC.
| 1 | 2 |
| Código MNC | Fecha de puesta en marcha |
1. Código MNC: Corresponde al código al que se refiere el reporte.
2. Fecha de puesta en marcha: Corresponde a la fecha en la que comienza a operar efectivamente en la red el indicativo de red para el servicio móvil – MNC, en formato DD/MM/AAAA.
FORMATO T.5.6. IMPLEMENTACIÓN DE LOS NÚMEROS DE IDENTIFICADOR - IIN. <Formato modificado por el artículo 14 de la Resolución 6333 de 2021. El nuevo texto es el siguiente:>
Periodicidad: Eventual
Contenido: No aplica
Plazo: Hasta 15 días posteriores a la implementación inicial del IIN.
Este formato deberá ser diligenciado por los asignatarios de los IIN.
| 1 | 2 |
| Número IIN | Fecha de puesta en marcha |
1. Número IIN: Corresponde al número IIN al que se refiere el reporte.
2. Fecha de puesta en marcha: Corresponde a la fecha en la que comienza a operar efectivamente en la red el número de identificador de expedidor - IIN, en formato DD/MM/AAAA.
FORMATO T.5.7. IMPLEMENTACIÓN DE ENRUTAMIENTO DE NÚMEROS DE SERVICIOS SEMIAUTOMÁTICOS Y ESPECIALES DE MARCACIÓN 1XY. <Formato modificado por el artículo 123 de la Resolución 7811 de 2025. El nuevo texto es el siguiente:>
Periodicidad: Eventual
Contenido: No aplica
Plazo: Hasta 15 días posteriores a la realización efectiva del enrutamiento, o a la solicitud de cambio de enrutamiento, de un número de servicios semiautomáticos y especiales de marcación 1XY realizada por el Administrador de los Recursos de Identificación.
Este formato deberá ser diligenciado por los PRST que programen efectivamente el enrutamiento en sus redes de un número de servicios semiautomáticos y especiales de marcación 1XY, luego de haber recibido la solicitud de enrutamiento o la modificación de este por parte del Administrador de los Recursos de Identificación. En el caso de los OMV que no llevan a cabo enrutamiento, esta obligación se entiende surtida con el reporte de programación que realiza su respectivo OMR.
![]()
1. 1XY: Corresponde al número de servicios semiautomáticos y especiales de marcación 1XY para el cual se ha realizado el enrutamiento por parte del PRST que realiza el reporte.
2. Número de enrutamiento: Corresponde al número geográfico o no geográfico E.164 al que el PRST ha programado el enrutamiento cuando un usuario de su red accede al número de servicios semiautomáticos y especiales de marcación 1XY en el área geográfica delimitada.
3. Municipio: Son los datos de ubicación geográfica en el que el PRST ha programado el enrutamiento. Se tienen en cuenta los 32 Departamentos y la ciudad de Bogotá D.C. Los municipios están acordes con la división político-administrativa de Colombia, DIVIPOLA, presente en el sistema de consulta del DANE.
FORMATO T.5.8. PROGRAMACIÓN DE NUMERACIÓN PARA EL ACCESO AL SERVICIO SUPLEMENTARIO DE MARCACIÓN ABREVIADA BAJO LA ESTRUCTURA #ABB. <Formato modificado por el artículo 14 de la Resolución 6333 de 2021. El nuevo texto es el siguiente:>
Periodicidad: Eventual
Contenido: No aplica
Plazo: Hasta 15 días posteriores a la programación de un nuevo número para el acceso al servicio suplementario de marcación abreviada bajo la estructura - #ABB al interior de sus redes, o hasta 15 días posteriores a la modificación de alguno de los parámetros descritos en el presente formato en un número para el acceso al servicio suplementario de marcación abreviada bajo la estructura - #ABB previamente programado.
Este formato deberá ser diligenciado por los PRST que lleven a cabo la programación de un nuevo número para el acceso al servicio suplementario de marcación abreviada bajo la estructura - #ABB al interior de sus redes, o que modifiquen alguno de los parámetros descritos en el presente formato en un número para el acceso al servicio suplementario de marcación abreviada bajo la estructura - #ABB previamente programado.
| 1 | 2 | 3 | 4 | 5 | 6 |
| #ABB | Número de enrutamiento | Municipio | Nombre del Asignatario | NIT del Asignatario | Servicio ofrecido |
1. #ABB: Corresponde al número para el acceso al servicio suplementario de marcación abreviada bajo la estructura - #ABB asignado o enrutado por el PRST que realiza el reporte.
2. Número de enrutamiento: Corresponde al número geográfico o no geográfico E.164 al que el PRST debe redirigir la llamada cuando un usuario de su red acceda al servicio suplementario de marcación abreviada bajo la estructura #ABB.
3. Municipio: Son los datos de ubicación geográfica en el que se deberá programar el enrutamiento. Se tienen en cuenta los 32 departamentos y la ciudad de Bogotá D.C. Los municipios están acordes con la división político-administrativa de Colombia, DIVIPOLA, presente en el sistema de consulta del DANE.
4. Asignatario: Corresponde a la persona jurídica que ha solicitado a un PRST la asignación de un número para el acceso al servicio suplementario de marcación abreviada bajo la estructura - #ABB para la prestación de un determinado servicio de interés general.
5. NIT del asignatario: Corresponde al Número de Identificación Tributaria – NIT de la persona jurídica que ha solicitado al PRST la asignación del número.
6. Servicio ofrecido: Corresponde a la descripción del servicio que ofrece el asignatario bajo el número para el acceso al servicio suplementario de marcación abreviada de estructura - #ABB.
REPORTES DE INFORMACIÓN SERVICIOS POSTALES.
MERCADOS.
Consultar Régimen de Transición Art. 22 Tabla B
FORMATO 1.3. INGRESOS Y ENVÍOS DE SERVICIOS POSTALES DE PAGO Y SERVICIOS FINANCIEROS DE CORREOS. <Último periodo de información a reportar 4T 2021. Consultar el reporte en este link>
FORMATO 1.4. TARIFA PARA LOS SERVICIOS DE MENSAJERÍA EXPRESA MASIVA. <Último periodo de información a reportar 4T 2021. Consultar el reporte en este link>
MERCADOS.
FORMATO P.1.1. INGRESOS Y ENVÍOS DEL SERVICIO DE MENSAJERÍA EXPRESA. <Formato modificado por el artículo 14 de la Resolución 6333 de 2021. El nuevo texto es el siguiente:>
Periodicidad: Trimestral
Contenido: Mensual
Plazo: Hasta 30 días calendario después de finalizado el trimestre
Este formato deberá ser diligenciado por los operadores postales habilitados para prestar el servicio de mensajería expresa.
| 1 | 2 | 3 | 4 | 5 | 6 | 7 | 8 | 9 | 10 | 11 | 12 | 13 |
| Año | Trimestre | Mes | Tipo de envío | Tipo de objeto | Ámbito | Código municipio origen | Código municipio destino | Código país origen | Código país destino | Rango de peso | Ingresos | Número total de envíos |
1. Año: Corresponde al año para el cual se reporta la información. Campo numérico entero, serie de cuatro dígitos.
2. Trimestre: Corresponde al trimestre del año para el cual se reporta la información. Campo numérico entero, con valores esperados entre 1 y 4.
3. Mes: Corresponde al mes del trimestre del año para el cual se reporta la información. Campo numérico entero, con valores esperados entre 1 y 3.
4. Tipo de envío: Se refiere a los tipos de envíos por los cuales se generaron ingresos:
- Envíos individuales: Cuando se trata de un objeto postal que se entrega a un operador postal para ser entregado a un único destinatario.
- Envíos masivos: Cuando se trata de un número plural de objetos postales entregados por un mismo remitente a un operador postal con el fin de que sean distribuidos a un número plural de destinatarios.
5. Tipo de objeto: Se refiere a los tipos de objetos por los cuales se generaron ingresos:
- Documentos: Se entienden por documentos las cartas y los impresos. Las cartas incluyen toda comunicación escrita de carácter personal con indicación de remitente y destinatario, movilizada por las redes postales; en el caso de los impresos se incluye toda clase de impresión en papel u otro material como folletos, catálogos, prensa periódica y revistas. Los documentos tendrán un peso máximo de dos (2) kg.
- Paquetes: Contemplan todos aquellos objetos postales que no puedan ser clasificados como documentos, incluyendo los pequeños paquetes.
6. Ámbito:
- Local (o urbano): Cuando los envíos son destinados al mismo municipio o área metropolitana en la cual fueron recibidos por el operador.
- Nacional: Envíos destinados a municipios o áreas metropolitanas diferentes a aquella en las que fue recibido por el operador.
- Internacional de salida: Envíos desde Colombia hacia el exterior.
- Internacional de entrada: Envíos desde el exterior hacia Colombia.
7. Código municipio origen: Código DIVIPOLA, presente en el sistema de consulta del DANE, del municipio en el cual se originó el envío postal. Este campo no se diligencia cuando el envío es de ámbito internacional de entrada.
8. Código municipio destino: Código DIVIPOLA, presente en el sistema de consulta del DANE, del municipio en el cual se entregó al destinatario el envío postal. Este campo no se diligencia cuando el envío es de ámbito internacional de salida.
9. Código país origen: Código del país de origen del envío en código ISO 3166 - 1 numérico. Este campo solo se diligencia cuando el envío es de ámbito internacional de entrada.
10. Código país destino: Código del país de destino del envío en código ISO 3166 - 1 numérico. Este campo solo se diligencia cuando el envío es de ámbito internacional de salida.
11. Rango de peso: Los rangos de peso definidos son:
| Rango de peso | |
| Hasta 200gr | |
| Mayor a 200gr y hasta 1kg | |
| Mayor a 1Kg y hasta 2Kg | |
| Mayor a 2Kg y hasta 3Kg | |
| Mayor a 3Kg y hasta 4Kg | |
| Mayor a 4Kg y hasta 5Kg |
12. Ingresos: Indicar el monto total de los ingresos operacionales expresado en pesos colombianos (sin impuestos), asociados a los envíos movilizados durante el periodo de reporte por el operador del servicio de mensajería expresa, por tipo de envío y ámbito; es decir, los ingresos que se recibirían por la movilización de los objetos postales entregados por el o los usuarios remitentes. Los ingresos se deben reportar por cada rango de peso indicado. No se deben incluir los ingresos recibidos de otro operador postal por concepto de interconexión.
13. Número total de envíos: Indicar la cantidad total de objetos postales que fueron movilizados durante el período de reporte, por tipo de envío y ámbito. El número de envíos se debe reportar por cada rango de peso indicado (número entero, sin decimales). No se deben incluir los envíos recibidos de otro operador postal por concepto de interconexión.
FORMATO P.1.2. INGRESOS Y EVÍOS DEL SERVICIO DE CORREO. <Formato modificado por el artículo 14 de la Resolución 6333 de 2021. El nuevo texto es el siguiente:>
Periodicidad: Trimestral
Contenido: Mensual
Plazo: Hasta 30 días calendario después de finalizado el trimestre
Este formato deberá ser diligenciado por el Operador Postal Oficial habilitado.
| 1 | 2 | 3 | 4 | 5 | 6 | 7 | 8 | 9 | 10 | 11 | 12 | 13 | 14 | 15 | 16 | 17 |
| Año | Trimestre | Mes | Tipo de objeto | Tipo de servicio | Tipo de correo | Tipo de cliente | Tipo de remitente | Tipo de envío | Ámbito | Código municipio origen | Código municipio destino | Código país origen | Código país destino | Rango de peso | Ingresos | Número total de envíos |
1. Año: Corresponde al año para el cual se reporta la información. Campo numérico entero, serie de cuatro dígitos.
2. Trimestre: Corresponde al trimestre del año para el cual se reporta la información. Campo numérico entero, con valores esperados entre 1 y 4.
3. Mes: Corresponde al mes del trimestre del año para el cual se reporta la información. Campo numérico entero, con valores esperados entre 1 y 3.
4. Tipo de objeto: Se refiere a los tipos de objetos por los cuales se generaron ingresos:
- Documentos: Se entienden por documentos las cartas y los impresos. Las cartas incluyen toda comunicación escrita de carácter personal con indicación de remitente y destinatario, movilizada por las redes postales; en el caso de los impresos se incluye toda clase de impresión en papel u otro material como folletos, catálogos, prensa periódica y revistas. Los documentos tendrán un peso máximo de dos (2) kg.
- Paquetes: Contemplan todos aquellos objetos postales que no puedan ser clasificados como documentos, incluyendo los pequeños paquetes.
5. Tipo de servicio: Se refiere a los siguientes tipos de servicio:
- Correspondencia no prioritaria normal
- Correspondencia no prioritaria certificada
- Correspondencia prioritaria normal
- Correspondencia prioritaria certificada
- Encomienda normal
- Encomienda certificada
- Correo telegráfico
6. Tipo de correo: Se refiere a los siguientes tipos de correo:
- Correo – SPU: Son los servicios de correo pertenecientes al Servicio Postal Universal.
- Correo – No SPU: Son los servicios de correo que no pertenecen al Servicio Postal Universal.
7. Tipo de cliente: Se refiere a las siguientes categorías:
- Área de reserva
- Franquicia
- Otro
8. Tipo de remitente: Se refiere al tipo de persona que impuso el envío:
- Persona natural
- Persona jurídica privada
- Persona jurídica pública
9. Tipo de envío: Se refiere a los tipos de envíos por los cuales se generaron ingresos:
- Envíos individuales: Cuando se trata de un objeto postal que se entrega a un operador postal para ser entregado a un único destinatario.
- Envíos masivos: Cuando se trata de un número plural de objetos postales entregados por un mismo remitente a un operador postal con el fin de que sean distribuidos a un número plural de destinatarios.
10. Ámbito:
- Local (o urbano): Cuando los envíos son destinados al mismo municipio o área metropolitana en la cual fueron recibidos por el operador.
- Nacional: Envíos destinados a municipios o áreas metropolitanas diferentes a aquella en la que fue recibido por el operador.
- Internacional de salida: Envíos desde Colombia hacia el exterior.
- Internacional de entrada: Envíos desde el exterior hacia Colombia.
11. Código municipio origen: Código DIVIPOLA, presente en el sistema de consulta del DANE, del municipio en el cual se originó el envío postal. Este campo no se diligencia cuando el envío es de ámbito internacional de entrada.
12. Código municipio destino: Código DIVIPOLA, presente en el sistema de consulta del DANE, del municipio en el cual se entregó al destinatario el envío postal. Este campo no se diligencia cuando el envío es de ámbito internacional de salida.
13. Código país origen: Código del país de origen del envío en código ISO 3166 - 1 numérico. Este campo solo se diligencia cuando el envío es de ámbito internacional de entrada.
14. Código país destino: Código del país de destino del envío en código ISO 3166 - 1 numérico. Este campo solo se diligencia cuando el envío es de ámbito internacional de salida.
15. Rango de peso: Los rangos de peso definidos son:
| Rango de peso | |
| Hasta 200g | |
| Mayor a 200g y hasta 1Kg | |
| Mayor a 1Kg y hasta 2Kg | |
| Mayor a 2Kg y hasta 3Kg | |
| Mayor a 3Kg y hasta 4Kg | |
| Mayor a 4Kg y hasta 5Kg | |
| Mayor a 5Kg y hasta 30Kg |
16. Ingresos: Indicar el monto total de los ingresos operacionales expresado en pesos colombianos (sin impuestos), asociados a los envíos movilizados por el Operador Postal Oficial durante el periodo de reporte, por cada tipo de servicio, tipo de envío y ámbito; es decir, los ingresos que se recibirían por la movilización de los objetos postales entregados por el o los usuarios remitentes. Los ingresos se deben reportar por cada rango de peso indicado.
17. Número total de envíos: Indicar la cantidad total de objetos postales que fueron movilizados por el Operador Postal Oficial durante el período de reporte, por tipo de servicio, tipo de envío y ámbito. El número de envíos se debe reportar por cada rango de peso indicado (número entero, sin decimales).
FORMATO P.1.3. TARIFAS PARA LOS SERVICIOS DE CORREO Y MENSAJERÍA EXPRESA CON EL FIN DE DISTRIBUIR OBJETOS POSTALES MASIVOS. <Formato modificado por el artículo 124 de la Resolución 7811 de 2025. El nuevo texto es el siguiente:>
Periodicidad: Trimestral
Contenido: Trimestral
Plazo: Hasta 30 días calendario después de finalizado el trimestre
Los operadores postales del servicio de mensajería expresa y el Operador Postal Oficial deberán reportar a la CRC la información sobre las tarifas pactadas con terceros para la prestación de los servicios de correo y mensajería expresa con el fin de distribuir objetos postales masivos y con los demás operadores postales por concepto de interconexión, de acuerdo con el siguiente formato:

1. Año: Corresponde al año para el cual se reporta la información. Campo numérico entero, serie de cuatro dígitos.
2. Trimestre: Corresponde al trimestre del año para el cual se reporta la información. Campo numérico entero, con valores esperados entre 1 y 4.
3. Código del Acuerdo: Indicar el código de acuerdo asignado por el operador.
4. Tipo de Acuerdo: Indicar si el acuerdo se realizó con un usuario final del servicio (Minorista) o con otro operador de mensajería expresa masiva (Interconexión).
5. NIT de la empresa: Se debe incluir el NIT de la empresa con la que se realiza el acuerdo de interconexión o el NIT de la empresa a la que se le provee el servicio a nivel minorista, según corresponda.
6. Valor causado del acuerdo: Indicar el valor total del acuerdo que fue causado durante el periodo de reporte.
7. Valor causado por el servicio postal: Indicar el valor total del acuerdo que fue causado por la prestación del servicio postal durante el periodo de reporte.
8. Valor causado por servicios no postales: Indicar el valor total del acuerdo que fue causado por la prestación de servicios no postales durante el periodo de reporte.
9. Ámbito:
- Local (o urbano): Cuando los envíos son destinados al mismo municipio o área metropolitana en la cual fueron recibidos por el operador.
- Nacional: Cuando los envíos son destinados a municipios o áreas metropolitanas diferentes a aquella en la que fueron recibidos por el operador.
10. Cantidad de objetos postales masivos movilizados: Número de objetos postales masivos movilizados durante el periodo de reporte.
11. Tarifa unitaria de la cantidad movilizada: Valor en pesos colombianos de la tarifa unitaria asociada al número de objetos postales masivos movilizados en el periodo de reporte (debe incluir dos cifras decimales). Esta tarifa no debe incluir impuestos, seguros o servicios no postales.
12. El acuerdo incluye otros servicios: Indicar si durante el periodo de reporte el servicio prestado incluye la prestación de servicios no postales (Sí o No).
13. El acuerdo incluye impresión: Indicar si durante el periodo de reporte el servicio prestado incluye la impresión de documentos (Sí o No).
14. El acuerdo incluye ensobrado: Indicar si durante el periodo de reporte el servicio prestado incluye el ensobrado de los objetos postales (Sí o No).
15. El acuerdo incluye alistamiento: Indicar si durante el periodo de reporte el servicio prestado incluye el alistamiento de los objetos postales (Sí o No).
16. Otros servicios: En caso de que en el marco del acuerdo, adicional a los servicios de impresión, ensobrado y alistamiento, durante el periodo de reporte se presten otros servicios, se debe incluir el nombre de dichos servicios.
CALIDAD.
FORMATO P.2.1. CANTIDAD DE OBJETOS POSTALES ENTREGADOS EN TIEMPO DE ENTREGA – MENSAJERÍA EXPRESA. <Formato modificado por el artículo 125 de la Resolución 7811 de 2025. El nuevo texto es el siguiente:>
Periodicidad: Trimestral
Contenido: Trimestral
Plazo: Hasta 30 días calendario después de finalizado el trimestre
Este formato deberá ser diligenciado por los operadores postales habilitados para prestar el servicio de mensajería expresa. En caso de existir interconexión, quien debe reportar es el operador que admite el objeto postal.

1. Año: Corresponde al año para el cual se reporta la información. Campo numérico entero, serie de cuatro dígitos.
2. Trimestre: Corresponde al trimestre del año para el cual se reporta la información. Campo numérico entero, con valores esperados entre 1 y 4.
3. Tipo de municipio origen: Corresponde al tipo de municipio donde se origina el envío.
4. Tipo de municipio destino: Corresponde al tipo de municipio donde se realiza la entrega del envío.
5. Departamento origen: Corresponde al código del departamento al cual pertenece el municipio donde se origina el envío.
6. Departamento destino: Corresponde al código del departamento al cual pertenece el municipio donde se realiza la entrega del envío.
7. Tipo de envío:
- Envíos individuales: Cuando se trata de un objeto postal que se entrega a un operador postal para ser entregado a un único destinatario.
- Envíos masivos: Cuando se trata de un número plural de objetos postales entregados por un mismo remitente a un operador postal con el fin de que sean distribuidos a un número plural de destinatarios.
8. Ámbito:
- Local (o urbano): Cuando los envíos son destinados al mismo municipio o área metropolitana en la cual fueron recibidos por el operador.
- Nacional: La entrega del objeto postal se realiza en un municipio o área metropolitana diferente a aquella en la cual fue recibido por el operador postal o según las políticas comerciales y operativas establecidas por cada operador postal.
- Internacional saliente: El objeto postal es recibido en Colombia y debe ser entregado en el extranjero.
- Internacional entrante: El objeto postal es recibido en el extranjero y debe ser entregado en Colombia.
9. Cantidad de objetos postales entregados en tiempo de entrega: Indicar la cantidad de objetos postales que fueron entregados en buen estado al destinatario dentro de un límite determinado de días hábiles, es decir, cantidad de envíos en D+n, donde D representa la fecha de admisión del objeto postal por parte del usuario remitente y (n) el número de días hábiles que transcurren entre la fecha de admisión y la fecha del primer intento de entrega al destinatario.
- D+1: envíos entregados a más tardar 1 día hábil después de su imposición en la red postal.
- D+2: envíos entregados a más tardar 2 días hábiles después de su imposición en la red postal.
- D+3: envíos entregados a más tardar 3 días hábiles después de su imposición en la red postal.
- D+4: envíos entregados a más tardar 4 días hábiles después de su imposición en la red postal.
- D+5: envíos entregados a más tardar 5 días hábiles después de su imposición en la red postal.
- D+6: envíos entregados a más tardar 6 días hábiles después de su imposición en la red postal.
- D+>6: envíos entregados en más de 6 días hábiles después de su imposición en la red postal.
FORMATO P.2.2. CANTIDAD DE OBJETOS ENTREGADOS EN BUEN ESTADO - MENSAJERÍA EXPRESA. <Formato modificado por el artículo 5 de la Resolución 6494 de 2022. El nuevo texto es el siguiente:>
Periodicidad: Trimestral
Contenido: Trimestral
Plazo: Hasta 30 días calendario después de finalizado el trimestre
Este formato deberá ser diligenciado por los operadores postales habilitados para prestar el servicio de mensajería expresa.

1. Año: Corresponde al año para el cual se reporta la información. Campo numérico entero, serie de cuatro dígitos.
2. Trimestre: Corresponde al trimestre del año para el cual se reporta la información. Campo numérico entero, con valores esperados entre 1 y 4.
3. Tipo de envío: Se refiere a los tipos de envíos por los cuales se generaron ingresos:
- Envíos individuales: Cuando se trata de un objeto postal que se entrega a un operador postal para ser entregado a un único destinatario.
- Envíos masivos: Cuando se trata de un número plural de objetos postales entregados por un mismo remitente a un operador postal con el fin de que sean entregados a un número plural de destinatarios.
4. Ámbito:
- Local (o urbano): Cuando los envíos son destinados al mismo municipio o área metropolitana en la cual fueron recibidos por el operador
- Nacional: Envíos destinados a municipios o áreas metropolitanas diferentes a aquella en las que fueron recibidos por el operador.
- Internacional de salida: Envíos desde Colombia hacia el exterior.
- Internacional de entrada: Envíos desde el exterior hacia Colombia.
5. Cantidad de objetos expoliados: Número de objetos postales expoliados.
6. Cantidad de objetos perdidos: Número de objetos postales perdidos.
7. Cantidad de objetos averiados: Número de objetos postales averiados.
8. Incautaciones: Número de objetos postales que son puestos a disposición de las autoridades competentes.
9. Rezagos: Número de objetos postales que no ha sido posible entregar al destinatario o devuelto a su remitente por causas ajenas al operador
10. Cantidad de objetos entregados al destinatario en buen estado: Número de objetos entregados por el operador al destinatario, en las mismas condiciones en las que fueron recibidos por el operador.
11. Cantidad de objetos devueltos al remitente en buen estado: Número de objetos entregados por el operador al remitente, en aquellos casos en los que no fue posible entregarlos al destinatario en las mismas condiciones en las que fueron recibidos por el operador.
FORMATO P.2.3. CANTIDAD DE OBJETOS ENTREGADOS A TIEMPO - SPU. <Formato modificado por el artículo 126 de la Resolución 7811 de 2025. El nuevo texto es el siguiente:>
Periodicidad: Trimestral
Contenido: Trimestral
Plazo: Hasta 30 días calendario después de finalizado el trimestre.
Este formato deberá ser diligenciado por el Operador Postal Oficial habilitado respecto de los servicios pertenecientes al Servicio Postal Universal.

1. Año: Corresponde al año para el cual se reporta la información. Campo numérico entero, serie de cuatro dígitos.
2. Trimestre: Corresponde al trimestre del año para el cual se reporta la información. Campo numérico entero, con valores esperados entre 1 y 4.
3. Código municipio: Código DIVIPOLA, presente en el sistema de consulta del DANE.
4. Tipo de servicio: Se refiere a los siguientes tipos de servicio:
- Correspondencia no prioritaria normal
- Correspondencia no prioritaria certificada
- Correspondencia prioritaria normal
- Correspondencia prioritaria certificada
- Encomienda normal
- Encomienda certificada
- Correo telegráfico
5. Tipo de envío: Se refiere a los tipos de envíos por los cuales se generaron ingresos:
- Envíos individuales: Cuando se trata de un objeto postal que se entrega a un operador postal para ser entregado a un único destinatario.
- Envíos masivos: Cuando se trata de un número plural de objetos postales entregados por un mismo remitente a un operador postal con el fin de que sean distribuidos a un número plural de destinatarios.
6. Ámbito:
- Local (o urbano): Cuando los envíos son destinados al mismo municipio o área metropolitana en la cual fueron recibidos por el operador.
- Nacional: Envíos destinados a municipios o áreas metropolitanas diferentes a aquella en la que fue recibido por el operador.
- Internacional de salida: Envíos desde Colombia hacia el exterior.
- Internacional de entrada: Envíos desde el exterior hacia Colombia.
7. Envíos originados en el municipio: Número de objetos postales cuyo origen corresponde al municipio y que fueron entregados durante el periodo de reporte.
8. Envíos entregados en el municipio: Número de objetos postales cuyo destino corresponde al municipio y que fueron entregados durante el periodo de reporte.
9. Envíos originados en el municipio que cumplen el tiempo de entrega: Número de objetos postales cuyo origen corresponde al municipio, fueron entregados en buen estado al destinatario durante el periodo de reporte y cumplieron con el tiempo de entrega.
10. Envíos entregados en el municipio que cumplen el tiempo de entrega: Número de objetos postales cuyo destino corresponde al municipio, fueron entregados en buen estado al destinatario durante el periodo de reporte y cumplieron con el tiempo de entrega.
FORMATO P.2.4. CANTIDAD DE OBJETOS ENTREGADOS EN BUEN ESTADO - CORREO. <Formato modificado por el artículo 6 de la Resolución 6494 de 2022. El nuevo texto es el siguiente:>
Periodicidad: Trimestral
Contenido: Trimestral
Plazo: Hasta 30 días calendario después de finalizado el trimestre
Este formato deberá ser diligenciado por el Operador Postal Oficial habilitado respecto de los servicios de correo pertenecientes al Servicio Postal Universal, así como también de los que no hacen parte del Servicio Postal Universal.

1. Año: Corresponde al año para el cual se reporta la información. Campo numérico entero, serie de cuatro dígitos.
2. Trimestre: Corresponde al trimestre del año para el cual se reporta la información. Campo numérico entero, con valores esperados entre 1 y 4.
3. Tipo de servicio: Se refiere a los siguientes tipos de servicio:
- Correspondencia no prioritaria normal – SPU
- Correspondencia no prioritaria certificada – SPU
- Correspondencia prioritaria normal – SPU
- Correspondencia prioritaria certificada – SPU
- Encomienda normal – SPU
- Encomienda certificada – SPU
- Correo telegráfico – SPU
- Correo no SPU
4. Tipo de envío: Se refiere a los tipos de envíos por los cuales se generaron ingresos:
- Envíos individuales: Cuando se trata de un objeto postal que se entrega a un operador postal para ser entregado a un único destinatario.
- Envíos masivos: Cuando se trata de una cantidad plural de objetos postales entregados por un mismo remitente a un operador postal con el fin de que sean distribuidos a un número plural de destinatarios.
5. Ámbito:
- Local (o urbano): Cuando los envíos son destinados al mismo municipio o área metropolitana en la cual fueron recibidos por el operador.
- Nacional: Envíos destinados a municipios o áreas metropolitanas diferentes a aquella en la que fue recibido por el operador.
- Internacional de salida: Envíos desde Colombia hacia el exterior.
- Internacional de entrada: Envíos desde el exterior hacia Colombia.
6. Cantidad de objetos expoliados: Número de objetos postales expoliados.
7. Cantidad de objetos perdidos: Número de objetos postales perdidos.
8. Cantidad de objetos averiados: Número de objetos postales averiados.
9. Incautaciones: Número de objetos postales que son puestos a disposición de las autoridades competentes.
10. Rezagos: Número de objetos postales que no ha sido posible entregar al destinatario o devolver a su remitente por causas ajenas al operador.
11. Cantidad de objetos entregados al destinatario en buen estado: Número de objetos entregados por el operador al destinatario en las mismas condiciones en las que fueron recibidos por el operador.
12. Cantidad de objetos devueltos al remitente en buen estado: Número de objetos entregados por el operador al remitente, en aquellos casos en los que no fue posible entregarlos al destinatario en las mismas condiciones en las que fueron recibidos por el operador.
FORMATO P.2.5. CANTIDAD DE OBJETOS ENTREGADOS EN TIEMPO DE ENTREGA - CORREO NO SPU. <Formato modificado por el artículo 127 de la Resolución 7811 de 2025. El nuevo texto es el siguiente:>
Periodicidad: Trimestral
Contenido: Trimestral
Plazo: Hasta 30 días calendario después de finalizado el trimestre
Este formato deberá ser diligenciado por el Operador Postal Oficial habilitado respecto del servicio de correo que no pertenece al Servicio Postal Universal.

1. Año: Corresponde al año para el cual se reporta la información. Campo numérico entero, serie de cuatro dígitos.
2. Trimestre: Corresponde al trimestre del año para el cual se reporta la información. Campo numérico entero, con valores esperados entre 1 y 4.
3. Tipo de municipio origen: Corresponde al tipo de municipio donde se origina el envío.
4. Tipo de municipio destino: Corresponde al tipo de municipio donde se realiza la entrega del envío.
5. Tipo de envío:
- Envíos individuales: Cuando se trata de un objeto postal que se entrega a un operador postal para ser entregado a un único destinatario.
- Envíos masivos: Cuando se trata de un número plural de objetos postales entregados por un mismo remitente a un operador postal con el fin de que sean distribuidos a un número plural de destinatarios.
6. Ámbito:
- Local (o urbano): Cuando los envíos son destinados al mismo municipio o área metropolitana en la cual fueron recibidos por el operador.
- Nacional: La entrega del objeto postal se realiza en un municipio o área metropolitana diferente a aquella en la cual fue recibido por el operador postal o según las políticas comerciales y operativas establecidas por cada operador postal.
- Internacional saliente: El objeto postal es recibido en Colombia y debe ser entregado en el extranjero.
- Internacional entrante: El objeto postal es recibido en el extranjero y debe ser entregado en Colombia.
7. Prioritario: Indicar si el envío es prioritario o no (Sí o No)
8. Cantidad de objetos postales entregados en tiempo de entrega: Indicar la cantidad de objetos postales que fueron entregados en buen estado al destinatario, dentro de un límite determinado de días hábiles, es decir, cantidad de envíos en D+n, donde D representa la fecha de admisión del objeto postal por parte del usuario remitente y (n) el número de días hábiles que transcurren entre la fecha de admisión y la fecha del primer intento de entrega al destinatario.
- D+1: envíos entregados a más tardar 1 día hábil después de su imposición en la red postal.
- D+2: envíos entregados a más tardar 2 días hábiles después de su imposición en la red postal.
- D+3: envíos entregados a más tardar 3 días hábiles después de su imposición en la red postal.
- D+4: envíos entregados a más tardar 4 días hábiles después de su imposición en la red postal.
- D+5: envíos entregados a más tardar 5 días hábiles después de su imposición en la red postal.
- D+6: envíos entregados a más tardar 6 días hábiles después de su imposición en la red postal.
- D+7: envíos entregados a más tardar 7 días hábiles después de su imposición en la red postal.
- D+8: envíos entregados a más tardar 8 días hábiles después de su imposición en la red postal.
- D+9: envíos entregados a más tardar 9 días hábiles después de su imposición en la red postal.
- D+10: envíos entregados a más tardar 10 días hábiles después de su imposición en la red postal.
- D+11: envíos entregados a más tardar 11 días hábiles después de su imposición en la red postal.
- D+12: envíos entregados a más tardar 12 días hábiles después de su imposición en la red postal.
- D+>12: envíos entregados en más de 12 días hábiles después de su imposición en la red postal.
ACCESO E INTERCONEXIÓN.
FORMATO P.3.1. INGRESOS Y ENVÍOS POR INTERCONEXIÓN. <Formato modificado por el artículo 14 de la Resolución 6333 de 2021. El nuevo texto es el siguiente:>
Periodicidad: Trimestral
Contenido: Mensual
Plazo: Hasta 30 días calendario después de finalizado el trimestre.
Este formato deberá ser diligenciado por los operadores postales habilitados para prestar el servicio de mensajería expresa que presten la interconexión a otro operador.
| 1 | 2 | 3 | 4 | 5 | 6 | 7 | 8 |
| Año | Trimestre | Mes | Operador interconectado | Ámbito | Rango de peso | Ingresos | Número total de envíos |
1. Año: Corresponde al año para el cual se reporta la información. Campo numérico entero, serie de cuatro dígitos.
2. Trimestre: Corresponde al trimestre del año para el cual se reporta la información. Campo numérico entero, con valores esperados entre 1 y 4.
3. Mes: Corresponde al mes del trimestre del año para el cual se reporta la información. Campo numérico entero, con valores esperados entre 1 y 3.
4. Operador interconectado: NIT del operador a quien se le presta la interconexión.
5. Ámbito:
- Local (o urbano): Cuando los envíos son destinados al mismo municipio o área metropolitana en la cual fueron recibidos por el operador.
- Nacional: Envíos destinados a municipios o áreas metropolitanas diferentes a aquella en la que fue recibido por el operador.
- Internacional: Envíos desde Colombia hacia el exterior y viceversa.
6. Rango de peso: Los rangos de peso definidos son:
| Rango de peso | |
| Hasta 200gr | |
| Mayor a 200gr y hasta 1kg | |
| Mayor a 2Kg y hasta 3Kg | |
| Mayor a 3Kg y hasta 4Kg | |
| Mayor a 4Kg y hasta 5Kg |
7. Ingresos: Monto total de los ingresos operacionales (sin impuestos), asociados a los objetos postales recibidos de otro operador postal por concepto de interconexión y movilizados durante el periodo de reporte, es decir, los ingresos que se recibirían por la movilización de los objetos postales entregados por otro operador postal por concepto de interconexión. Los ingresos se deben reportar por cada rango de peso indicado.
8. Número total de envíos: Cantidad total de objetos postales que fueron recibidos de otros operadores por concepto de interconexión y movilizados durante el período de reporte, por ámbito. El número de envíos se debe reportar por cada rango de peso indicado (número entero, sin decimales).
USUARIOS.
FORMATO P.4.1. PQR POSTALES. <Formato modificado por el artículo 14 de la Resolución 6333 de 2021. Primer periodo de información a reportar 1T 2022. Reporte vigente en este link. El nuevo texto es el siguiente:>
Periodicidad: Trimestral
Contenido: Trimestral
Plazo: Hasta 30 días calendario después de finalizado el trimestre.
Este formato deberá ser diligenciado por los operadores postales habilitados para prestar el servicio de mensajería expresa, el operador postal oficial como operador del servicio de correo y los operadores postales habilitados para prestar servicios postales de pago.
| 1 | 2 | 3 | 4 | 5 | 6 | 7 | 8 |
| Año | Trimestre | Tipo de servicio postal | Tipo de PQR | Medio de atención | Otro medio de atención | Número de PQR | Tiempo promedio de respuesta |
1. Año: Corresponde al año para el cual se reporta la información. Campo numérico entero, serie de cuatro dígitos.
2. Trimestre: Corresponde al trimestre del año para el cual se reporta la información. Campo numérico entero, con valores esperados entre 1 y 4.
3. Tipo de servicio postal:
- Mensajería expresa.
- Correo.
- Servicios de giros nacionales y/o internacionales.
4. Tipo de PQR:
- Deficiencia en la atención al usuario: Esta deficiencia aborda la atención al usuario prestada en cualquiera de los medios dispuestos por el Operador de Servicios Postales para tal fin.
- Deficiente información al usuario: Comprende la deficiencia en la claridad, veracidad, suficiencia, precisión, completitud, oportunidad y gratuidad en la información suministrada al usuario en cualquiera de los medios de atención dispuestos por el Operador de Servicios Postales para tal fin.
- Incumplimiento en tiempos de entrega
- Avería del objeto postal
- Pérdida del objeto postal
- Expoliación del objeto postal
- Incumplimiento en reexpedición objeto postal (cuando se requiera)
- No recepción de PQR
- Otros
- Cumplimiento de una orden de la SIC
- Suplantación o fraude en la entrega de objetos postales
- Indisponibilidad de dinero al momento de reclamar un giro postal
- Publicidad y/o ofertas sobre los servicios ofrecidos y tarifas
- Solicitudes o requerimientos de información: Comprende el requerimiento de información presentado por el usuario con fines informativos y que guarda relación con las condiciones de prestación de los servicios postales.
5. Medio de atención:
- Oficina
- Línea telefónica
- Página web
- Otro
6. Otro medio de atención: En caso de que se elija la opción "Otro" en el campo 5, se debe incluir el o los medios de atención a los que se hace referencia.
7. Número de PQR: Indicar el número de PQR recibidas en el periodo de reporte por cada tipo
8. Tiempo promedio de respuesta: Indicar el tiempo promedio, en días hábiles, de respuesta a las PQR por cada tipo.
OTROS.
FORMATO P.5.1. PUNTOS DE ATENCIÓN AL PÚBLICO. <Formato modificado por el artículo 128 de la Resolución 7811 de 2025. El nuevo texto es el siguiente:>
Periodicidad: Semestral
Contenido: Semestral
Plazo: Hasta 31 días calendario después de finalizado el semestre.
Este formato deberá ser diligenciado por los operadores postales habilitados para prestar el servicio de mensajería expresa, el operador postal oficial como operador del servicio de correo y los operadores postales habilitados para prestar servicios postales de pago.
Los Puntos de Atención al Público corresponden a las oficinas donde se puede realizar la admisión y/o entrega de objetos postales, y los puntos de recolección externos a dichas oficinas (buzones o expendios focalizados en este proceso), con corte al último día del período de reporte.

1. Año: Corresponde al año para el cual se reporta la información. Campo numérico entero, serie de cuatro dígitos.
2. Semestre: Corresponde al semestre del año para el cual se reporta la información. Campo numérico entero, con valores esperados entre 1 y 2.
3. Municipio: Código DIVIPOLA, presente en el sistema de consulta del DANE, del municipio en el cual se ubica cada uno de los puntos de atención en los cuales se puede realizar la admisión y/o entrega de objetos postales.
4. Latitud: Coordenada de latitud de cada punto de atención al público cubierto en el sistema de coordenadas WGS84 expresadas en grados decimales (DD) con seis (6) cifras decimales.
5. Longitud: Coordenada de longitud de cada punto de atención al público cubierto en el sistema de coordenadas WGS84 expresadas en grados decimales (DD) con seis (6) cifras decimales.
6. Dirección: Corresponde a la dirección del punto de atención dentro del municipio indicado en el campo 3 del presente formato.
7. Código único de identificación del punto de atención: Corresponde al código asignado por el operador postal a cada punto de atención.
8. Nombre del punto de atención: Corresponde al nombre del punto de atención donde se presta el servicio.
9. Tipo de punto de atención:
- Fijo propio: Son puntos de atención permanentes del operador postal situados en una ubicación fija.
- Fijo de colaborador: Son puntos de atención permanentes de los colaboradores del operador postal, situados en una ubicación fija.
- Móvil propio: Son puntos de atención del operador postal instalados en un vehículo de transporte por carretera, un tren, un barco, etc., que atienden las zonas desprovistas de puntos de atención fijos. Los carteros rurales que ofrecen prestaciones análogas a las de un punto de atención fijo también son considerados como puntos de atención móviles. Éstos son carteros a los que el usuario puede entregar objetos postales.
- Móvil de colaborador: Son puntos de atención de los colaboradores del operador postal instalados en un vehículo de transporte por carretera, un tren, un barco, etc., que atienden las zonas desprovistas de puntos de atención fijos. Los carteros rurales que ofrecen prestaciones análogas a las de un punto de atención fijo también son considerados como puntos de atención móviles. Éstos son carteros a los que el usuario puede entregar objetos postales.
- Virtual propio: Son puntos de atención del operador postal donde el usuario es atendido a través de medios no presenciales, tales como teléfono, correo electrónico, página Web, entre otros.
- Virtual de colaborador: Son puntos de atención de los colaboradores del operador postal donde el usuario es atendido a través de medios no presenciales, tales como teléfono, correo electrónico, página Web, entre otros.
10. Nombre del colaborador: Corresponde a la razón social del colaborador cuando se trate de persona jurídica o al nombre de la persona natural donde funciona el punto de atención al cliente.
11. Mensajería expresa admisión: Indique si en el punto de atención se presta el servicio de admisión de mensajería expresa (Sí o No).
12. Mensajería expresa entrega: Indique si en el punto de atención se presta el servicio de entrega de mensajería expresa (Sí o No).
13. Correo admisión: Indique si en el punto de atención se presta el servicio de admisión de correo. (Sí o No).
14. Correo entrega: Indique si en el punto de atención se presta el servicio de entrega de correo. (Sí o No).
15. Giros nacionales admisión: Indique si en el punto de atención se presta el servicio de admisión de giros nacionales (Sí o No).
16. Giros nacionales entrega: Indique si en el punto de atención se presta el servicio de entrega de giros nacionales (Sí o No).
17. Giros internacionales admisión: Indique si en el punto de atención se presta el servicio de admisión de giros internacionales (Sí o No).
18. Giros internacionales entrega: Indique si en el punto de atención se presta el servicio de entrega de giros internacionales (Sí o No).
19. Tipo de personal que atiende:
- Propio: Si es atendido por funcionarios del propio operador postal o del colaborador del operador postal.
- Externo: Si es atendido por personal externo al propio operador postal o del colaborador del operador postal.
20. Atención de PQR: Indicar si en el punto de atención se realiza atención de PQR.
FORMATO P.5.2. CENTROS DE CLASIFICACIÓN. <Formato modificado por el artículo 14 de la Resolución 6333 de 2021. El nuevo texto es el siguiente:>
Periodicidad: Anual
Contenido: Anual
Plazo: Hasta el 15 de febrero de cada año.
Este formato deberá ser diligenciado por los operadores postales habilitados para prestar el servicio de mensajería expresa y por el operador postal oficial como operador habilitado para prestar el servicio de correo.
Los Centros de Clasificación son aquellos sitios donde se realizan las funciones principales de clasificación de los objetos postales, con corte al último día del período de reporte. Estos centros de clasificación se conectan entre ellos para el trámite del tráfico nacional y con el exterior para el trámite del tráfico internacional postal. Estos elementos son el corazón de la red, pues en ellos se procesa la mayor cantidad de información sobre origen y destino de las piezas, decisiones de enrutamiento conforme se haya diseñado la red y desde donde se puede controlar y medir el comportamiento de la red.
| 1 | 2 | 3 | 4 |
| Año | Código municipio | Latitud | Longitud |
1. Año: Corresponde al año para el cual se reporta la información. Campo numérico entero, serie de cuatro dígitos
2. Código municipio: Código DIVIPOLA, presente en el sistema de consulta del DANE, del municipio en el cual se ubica cada uno de los centros de clasificación.
3. Latitud: Coordenada de latitud de cada centro de clasificación cubierto en el sistema de coordenadas WGS84 expresadas en grados decimales (DD) con seis (6) cifras decimales.
4. Longitud: Coordenada de longitud de cada centro de clasificación cubierto en el sistema de coordenadas WGS84 expresadas en grados decimales (DD) con seis (6) cifras decimales.
FORMATO P.5.3. NÚMERO DE EMPLEOS. <Formato modificado por el artículo 14 de la Resolución 6333 de 2021. El nuevo texto es el siguiente:>
Periodicidad: Anual
Contenido: Anual
Plazo: Hasta el 15 de febrero de cada año.
Este formato deberá ser diligenciado por los operadores postales habilitados para prestar el servicio de mensajería expresa y por el operador postal oficial como operador habilitado para prestar los servicios de mensajería expresa y correo. El número de empleos se debe reportar con corte al último día del período de reporte
| 1 | 2 | 3 |
| Año | Tipo de empleo | Número de empleados |
1. Año: Corresponde al año para el cual se reporta la información. Campo numérico entero de cuatro dígitos
2. Tipo de empleo:
- Empleos directos con horario completo: Corresponde a los trabajadores contratados de manera directa por el operador o por los colaboradores del operador, que cumplen la totalidad de la extensión horaria de la jornada laboral.
- Empleos directos con horario parcial: Corresponde a los trabajadores contratados de manera directa por el operador o por los colaboradores del operador, que no cumplen la totalidad de la extensión horaria de la jornada laboral.
- Empleos indirectos: Corresponde a los trabajadores contratados por parte del operador postal o por sus colaboradores a través de empresas especializadas en el suministro de personal (temporales o outsorcing).
3. Número de empleados: Cantidad de trabajadores, según el tipo de empleo, existentes al último día del periodo de reporte.
<Anexo modificado por el artículo 2 de la Resolución 5111 de 2017. El nuevo texto es el siguiente:>
1. Compensación automática por falta de disponibilidad de red
1.1. Condiciones para la determinación de la compensación <Numeral modificado por el artículo 10 de la Resolución 6755 de 2022. El nuevo texto es el siguiente:>
Cuando se presente una falta de disponibilidad de red, los operadores deberán aplicar las reglas de compensación de que trata el presente Anexo, de acuerdo con el numeral 2.1.11.1.1 del Artículo 2.1.11.1 del Capítulo 1 del Título II de la presente resolución, teniendo en cuenta para ello si la falta de disponibilidad del servicio se presentó por causas imputables al operador, así: (i) En redes unidireccionales, es decir, aquellas en las cuales la transferencia de información es posible en un sentido solamente (fijado previamente), se aplicará la compensación ante el reporte de dicha falta por parte del usuario o en razón a la solicitud de compensación correspondiente; y (ii) en redes bidireccionales, es decir, aquellas en las que la transferencia de información puede efectuarse simultáneamente en los dos sentidos entre dos puntos, se aplicará la compensación de manera automática sin que medie la solicitud del usuario.
Para tal fin, los operadores deberán aplicar las siguientes reglas:
i)Desconexión del servicio, por parte del operador, que no permita al usuario hacer uso del servicio por un tiempo superior a dos horas y media (2,5 horas) continuas o interrumpidas dentro de un mismo mes. A los operadores del servicio de Internet fijo que cumplan con las condiciones definidas en el Anexo 2.10 del Título ANEXOS TITULO II de la presente resolución; les aplicará un tiempo de siete (7) horas continuas o interrumpidas dentro de un mismo mes en los municipios identificados a partir del mencionado Anexo.
ii)Bloqueo, por parte del operador, de la posibilidad de realizar llamadas o disponer de servicio, por un tiempo superior a dos horas y media (2,5 horas) continuas o interrumpidas dentro de un mismo mes. A los operadores del servicio de Internet fijo que cumplan con las condiciones definidas en el Anexo 2.10 del Título ANEXOS TITULO II de la presente resolución; les aplicará un tiempo de siete (7) horas continuas o interrumpidas dentro de un mismo mes en los municipios identificados a partir del mencionado Anexo.
iii) Falta de disponibilidad del servicio, en la que el restablecimiento del servicio se haya dado en un término superior a 48 horas luego de detectarse la interrupción. Salvo los eventos de fuerza mayor y caso fortuito.
iv) Falta de disponibilidad del servicio con ocasión de fallas presentadas en el equipo terminal que haya sido suministrado por el operador, y que no le permitan al usuario hacer uso del servicio. La compensación se reconocerá sin perjuicio de las condiciones de garantía pactadas sobre el equipo terminal y sólo sobre aquellos equipos terminales sobre los cuales haya lugar al reconocimiento de la garantía por parte del operador.
v) Las demás causales previstas de manera expresa en la presente resolución.
El tiempo de duración de la falta de disponibilidad del servicio se contabilizará a partir del momento en que esta se presente y hasta el momento en que se restablece el servicio. Para los usuarios bajo la modalidad pospago, el operador deberá realizar la compensación dentro del siguiente periodo de facturación, posterior a la identificación de la falla. Para los usuarios bajo la modalidad prepago, la compensación deberá efectuarse dentro de los 30 días calendario contados a partir de la identificación de la falla.
1.2 Determinación del valor de la compensación
El operador deberá proceder a la compensación por falta de disponibilidad de red, teniendo en cuenta para ello las siguientes reglas:
a) Cuando la prestación del servicio afectado esté sujeta a un plan bajo la modalidad pospago, la compensación debe efectuarse, a través del descuento que resulte de multiplicar el número de horas en que no estuvo disponible el servicio por el valor por hora del plan tarifario mensual al que está suscrito el usuario. El descuento mencionado se verá reflejado en el siguiente periodo de facturación, y para tal efecto el operador utilizará la siguiente fórmula, así:
Compensación=VMpt/720*Hnd
Donde:
- VMpt: Valor mensual del plan tarifario al que está suscrito el usuario al momento de la interrupción del servicio.
- Hnd: Número de horas en que no estuvo disponible el servicio.
b) Cuando la prestación de los servicios esté sujeta a un plan bajo la modalidad de prepago, la compensación debe efectuarse, a través de la acreditación de la capacidad de comunicación que resulte de multiplicar el número de horas en que no estuvo disponible el servicio por el valor promedio por hora del total de capacidades mensuales de comunicación adquiridas por el usuario en los 3 meses previos al momento en que ocurrió la falta de disponibilidad del servicio, para lo cual el operador deberá utilizar la siguiente fórmula:
Compensación=VPC/720*Hnd
Donde:
- VPC: Valor promedio mensual de las capacidades de comunicación (unidades de consumo que el usuario puede disfrutar con ocasión de una determinada recarga) que fueron adquiridas en los 3 meses previos a la fecha en la cual ocurrió la falta de disponibilidad del servicio. Si el servicio fue adquirido por el usuario, en un tiempo inferior a 3 meses antes de presentarse la interrupción del servicio, el VPC corresponderá al monto total de las recargas realizadas en los 30 días calendario previos.
- Hnd: Número de horas en que no estuvo disponible el servicio.
2. Compensación automática por deficiente prestación del servicio de voz a través de redes móviles <Numeral derogado por el artículo 19 de la Resolución 5929 de 2020>
FORMATO PARA PRESENTACIÓN DE PQR.
<Anexo modificado por el artículo 3 de la Resolución 5111 de 2017. El nuevo texto es el siguiente:>
Los usuarios podrán presentar PQR (petición, queja/ reclamo o recurso) a través de las oficinas virtuales (página web y red social) del operador, para lo cual deberá diligenciar el siguiente formato que estará disponible en dichos lugares:
| PREGUNTA | RESPUESTA |
| ¿Cuál es el nombre de su operador?* | Campo prediligenciado por el operador. |
| ¿Usted quiere presentar una petición, queja/reclamo o recurso?* | Marque con una X la respuesta |
| Petición | |
| Queja/ reclamo | |
| Recurso de reposición y en subsidio de apelación | |
¿Cuál es su nombre o la razón social de su empresa?*
¿Cuáles son sus apellidos?*
| ¿Cuál es el tipo de su documento de identidad o el de su empresa?* | Marque con una X la respuesta |
| Cédula de ciudadanía | |
| Cédula de extranjería | |
| NIT | |
| Pasaporte | |
| ¿Cuál es el número de su documento de identidad o el de su empresa?* | |
| ¿Cuál es el correo electrónico en el que quiere recibir la respuesta?* | |
| ¿Cuál es el número de teléfono de contacto? | |
| ¿Cuál es el objeto de su petición, queja/reclamo o recurso?* | |
| ¿Cuáles son los hechos en que se fundamenta la petición, queja/reclamo o recurso?* | |
| Documentos anexos (pruebas que desee aportar el peticionario o recurrente) | |
* Campos obligatorios de diligenciamiento".
ANEXO 2.3. FORMATOS DE LOS CONTRATOS ÚNICOS DE PRESTACIÓN DE SERVICIOS DE COMUNICACIONES.
FORMATO 2.3.1. CONTRATO ÚNICO CONVERGENTE DE SERVICIOS FIJOS Y MÓVILES EN LA MODALIDAD POSPAGO. <Formato modificado por el artículo 129 de la Resolución 7811 de 2025. El nuevo texto es el siguiente:>
Los proveedores de redes y servicios de telecomunicaciones fijas y móviles están obligados a emplear el modelo de contrato dispuesto en el presente anexo para la contratación de sus servicios por parte de usuarios en la modalidad pospago. Dichos proveedores deben incorporar en el contrato las condiciones de prestación del servicio elegidas por el usuario.
Únicamente podrán realizarse modificaciones al modelo de contrato contenido en el presente formato en lo que tiene que ver con la identificación del proveedor, el logo de la CRC, el espacio de libre disposición, las condiciones comerciales, el diligenciamiento de la cláusula de permanencia mínima (cuando se trate de servicios fijos), los vínculos a páginas web, así como el color del encabezado de cada módulo.
Para aquellos casos en que un usuario contrate exclusivamente servicios móviles o exclusivamente servicios fijos, el proveedor estará facultado para excluir del formato de contrato único convergente las cláusulas que no correspondan al servicio contratado. A continuación, se indican los módulos que el operador podrá modificar o excluir del contrato para cada caso:
En caso de que un usuario contrate exclusivamente servicios móviles, el operador podrá modificar o excluir los módulos correspondientes a las siguientes cláusulas, en el sentido de eliminar las referencias a servicios fijos:
- CONDICIONES COMERCIALES PLAN SERVICIOS FIJOS.
- VALOR DE LOS SERVICIOS CONTRATADOS.
- BENEFICIOS DEL PAQUETE DE SERVICIOS.
- PRINCIPALES OBLIGACIONES DEL USUARIO (se deberá limitar a las obligaciones establecidas en el artículo 2.1.2.2 de la presente resolución, aplicables al (a los) servicio(s) móvil(es) contratado(s)).
- CONDICIONES DE ACTIVACIÓN O INSTALACIÓN.
- MODIFICACIÓN O TERMINACIÓN.
- SUSPENSIÓN.
- PAGO Y FACTURACIÓN.
- COBRO POR RECONEXIÓN DEL SERVICIO.
- SOBRE TUS SERVICIOS FIJOS.
- CLÁUSULA DE PERMANENCIA MÍNIMA.
- CAMBIO DE DOMICILIO.
- ENTREGA Y DEVOLUCIÓN DE EQUIPOS.
En caso de que un usuario contrate exclusivamente servicios fijos, el operador podrá modificar o excluir los módulos correspondientes a las siguientes cláusulas, en el sentido de eliminar las referencias a servicios móviles:
- CONDICIONES COMERCIALES PLAN SERVICIOS MÓVILES.
- VALOR DE LOS SERVICIOS CONTRATADOS.
- BENEFICIOS DEL PAQUETE DE SERVICIOS.
- PRINCIPALES OBLIGACIONES DEL USUARIO (se deberá limitar a las obligaciones establecidas en el artículo 2.1.2.2 de la presente resolución, aplicables al (a los) servicio(s) fijo(s) contratado(s)).
- CONDICIONES DE ACTIVACIÓN O INSTALACIÓN.
- MODIFICACIÓN O TERMINACIÓN.
- SUSPENSIÓN.
- PAGO Y FACTURACIÓN.
- COBRO POR RECONEXIÓN DEL SERVICIO.
- SOBRE TUS SERVICIOS MÓVILES.
- ÚNICAS LIMITACIONES.
- CONTENIDOS Y APLICACIONES.
- PORTABILIDAD NUMÉRICA MÓVIL.
- SERVICIOS FUERA DEL PAÍS (ROAMING).
Para el caso de contratos suscritos para múltiples líneas o servicios en pospago, se deberán replicar los módulos denominados "CONDICIONES COMERCIALES SERVICIOS MÓVILES" o "CONDICIONES COMERCIALES SERVICIOS FIJOS", las veces que sea necesario.
Adicionalmente, los proveedores del servicio de datos fijos con acceso satelital deberán incluir en la cláusula denominada "CALIDAD Y COMPENSACIÓN" el siguiente texto: "Si su servicio corresponde a Internet satelital, el tiempo de respuesta de la red será superior al de otras tecnologías".
En relación con los servicios fijos, la cláusula denominada "CLÁUSULA DE PERMANENCIA MÍNIMA", dispuesta en este formato, solo podrá ser incluida dentro del contrato cuando las partes lo hayan pactado.
Sobre la cláusula denominada "LARGA DISTANCIA (TELEFONÍA)" solo podrá ser incluida dentro del contrato cuando el usuario expresamente solicite la prestación del servicio de telefonía de larga distancia.
En la cláusula denominada "CÓMO COMUNICARSE CON NOSOTROS (MEDIOS DE ATENCIÓN)" el proveedor podrá retirar la referencia a oficinas físicas si no se encuentra obligado a contar con este medio de atención de acuerdo con lo dispuesto en el artículo 2.1.25.2 de la presente resolución.
El modelo de contrato tendrá un espacio denominado "OTRAS CONDICIONES" de libre disposición para que los proveedores puedan incluir condiciones que caractericen su servicio o las obligaciones de las partes propias de cada operación. En ningún caso tales condiciones y obligaciones podrán ser contrarias al texto del modelo de contrato dispuesto en el presente anexo, ni de las disposiciones establecidas en la presente resolución. En estos casos, tales disposiciones no surtirán efectos jurídicos y se tendrán por no escritas.
Estos espacios diligenciados por el proveedor y los textos que incluya deberán conservar el tamaño de la letra del contrato, esto es: i) Títulos: Calibri tamaño p. 13. ii) Textos: Calibri tamaño p. 11 iii) Interlineado: automático, y iv) Espacio entre caracteres: automático. Igualmente, se deben preservar las características del modelo que se define en el presente formato. El archivo editable del modelo de contrato estará disponible para su descarga en la página web de la CRC: www.crcom.gov.co.
El proveedor deberá mantener disponible la versión actualizada del contrato, así como el registro de las modificaciones que hayan surtido a las condiciones inicialmente pactadas, de modo que el usuario pueda disponer de esta información, en formato físico o electrónico, haciendo uso de diferentes mecanismos de solicitud o consulta, al menos, los siguientes:
a) Solicitud de copia física o electrónica, a través de cualquiera de los mecanismos de atención al usuario, (salvo que esta interacción haya migrado a la digitalización y se le haya informado previamente al usuario). En todo caso el usuario podrá solicitar esta copia a través de la línea de atención telefónica.
b) El usuario podrá acceder a su contrato actualizado a través de consulta en la página web o la aplicación móvil del proveedor, en caso de que este último disponga de una, ingresando con su cuenta de usuario.
Finalmente, los proveedores podrán establecer un anexo, que hará parte integral del contrato, para el cumplimiento de obligaciones de carácter legal. En este anexo los operadores podrán incluir las disposiciones establecidas en: (i) el Decreto 1524 de 2012, orientado a prevenir el acceso de menores de edad a cualquier modalidad de información pornográfica, y a impedir el aprovechamiento de redes globales de información con fines de explotación sexual infantil u ofrecimiento de servicios comerciales que impliquen abuso sexual a menores de edad; (ii) las leyes 1266 de 2008 y 1581 de 2012 sobre datos personales y derecho a la intimidad; y (iii) la Ley 2300 de 2023, relacionada con el derecho a la intimidad de los consumidores. La fuente del anexo de disposiciones legales es puramente normativa, por lo que no se puede incluir información diferente a lo que las normas vigentes ordenen incluir en los contratos.
Modelo 1. CONTRATO ÚNICO CONVERGENTE SERVICIOS FIJOS Y MÓVILES POSPAGO
<Consultar contrato directamente en el artículo 129 de la Resolución 7811 de 2025>
FORMATO 2.3.2. CONDICIONES GENERALES DE LOS SERVICIOS MÓVILES EN LA MODALIDAD PREPAGO. <Formato modificado por el artículo 129 de la Resolución 7811 de 2025. El nuevo texto es el siguiente:>
Los proveedores de redes y servicios de telecomunicaciones móviles se encuentran en la obligación de poner a disposición del usuario, que contrate en modalidad prepago, las condiciones generales para la prestación de estos servicios del presente anexo.
Únicamente podrán realizarse modificaciones a tales condiciones generales del servicio en lo que tiene que ver con la identificación del proveedor, el logo de la CRC, el espacio de libre disposición, las condiciones comerciales, los vínculos a páginas web, así como el color del encabezado de cada módulo.
En la cláusula denominada "CÓMO COMUNICARSE CON NOSOTROS (MEDIOS DE ATENCIÓN)" el proveedor podrá retirar la referencia a oficinas físicas si no se encuentra obligado a contar con este medio de atención de acuerdo con lo dispuesto en el artículo 2.1.25.2 de la presente resolución.
El modelo de condiciones generales tendrá un espacio denominado "OTRAS CONDICIONES" de libre disposición para que los proveedores puedan incluir condiciones que caractericen su servicio o las obligaciones de las partes propias de cada operación. En ningún caso tales condiciones y obligaciones podrán ser contrarias al texto del modelo de condiciones generales dispuesto en el presente anexo, ni de las disposiciones establecidas en la presente resolución. En estos casos, tales disposiciones y se tendrán por no escritas y no surtirán efectos jurídicos.
Los espacios diligenciados por el proveedor y los textos que incluya deberán conservar el tamaño de la letra del contrato, esto es: i) Títulos: Calibri tamaño p. 13. ii) Textos: Calibri tamaño p. 11
iii) Interlineado: automático, y iv) Espacio entre caracteres: automático. Igualmente,
se deben preservar las características del modelo que se define en el presente formato. El archivo editable de las condiciones generales de prestación del servicio estará disponible para su descarga en la página web de la CRC: www.crcom.gov.co.
El proveedor deberá mantener disponible la versión actualizada de las condiciones generales de prestación del servicio, así como el registro de las modificaciones que hayan surtido a las condiciones inicialmente pactadas, de modo que el usuario pueda disponer de esta información, en formato físico o electrónico, haciendo uso de diferentes mecanismos de solicitud o consulta, al menos, los siguientes:
a. Solicitud de copia física o electrónica, a través de cualquiera de los mecanismos de atención al usuario, (salvo que esta interacción haya migrado a la digitalización y se le haya informado previamente al usuario). En todo caso el usuario podrá solicitar esta copia a través de la línea de atención telefónica.
b. El usuario podrá acceder a las condiciones generales de los servicios móviles en la modalidad prepago a través de consulta en la página web o la aplicación móvil del proveedor, en caso de que este último disponga de una.
Finalmente, los proveedores podrán establecer un anexo, que hará parte integral de las condiciones generales del servicio en la modalidad prepago. En este anexo los operadores podrán incluir las disposiciones establecidas en el Decreto 1524 de 2012, orientado a prevenir el acceso de menores de edad a cualquier modalidad de información pornográfica, y a impedir el aprovechamiento de redes globales de información con fines de explotación sexual infantil u ofrecimiento de servicios comerciales que impliquen abuso sexual a menores de edad.
Modelo 2. CONDICIONES GENERALES DEL SERVICIO EN MODALIDAD PREPAGO
<Consultar modelo directamente en el artículo 129 de la Resolución 7811 de 2025>
ANEXO 2.4. PLAN DE PRUEBAS PARA LA ENTRADA DE NUEVOS AGENTES EN AMBIENTE DE PORTABILIDAD NUMÉRICA.
PRUEBAS COORDINADAS POR EL ABD
| ABD00 | PRUEBAS ENTRE ABD Y OTROS AGENTES INVOLUCRADOS | PRS | PRS 2 | OTROS AGENTES |
| ABD01 | Pruebas Unitarias | PRS TM, OMV | ABD | |
| ABD02 | Pruebas Integradas | PRS TM, OMV | ABD | |
| ABD03 | Pruebas de Carga | PRS TM, OMV | ABD | |
| ABD04 | Contingencias | PRS TM, OMV | ABD | |
| ABDB00 | PRUEBAS DE DESCARGA DE ARCHIVOS A TRAVES DE SFTP CON EL ABD | PRS | PRS 2 | OTROS AGENTES |
| ABDB01 | Pruebas de Configuración conexión | PRS LDI, PCA | ABD | ABD |
| ABDB02 | Pruebas de acceso USUARIO y PASSWORD | PRS LDI, PCA | ABD | ABD |
| ABDB03 | Pruebas de descarga archivos | PRS LDI, PCA | ABD | ABD |
| ABDB04 | Pruebas de soporte y aseguramiento (Help Desk) | PRS LDI, PCA | ABD | ABD |
PRUEBAS DE PROCESOS
| PINT00 | PRUEBAS PROCESOS INTERNOS | PRS | - | |
| PINT01 | Tasación | PRS TM,TPCL,TPCLE,LDI,PCA | - | |
| PINT02 | Tarificación | PRS TM,TPCL,TPCLE,LDI,PCA | - | |
| PINT03 | Conciliación | PRS TM,TPCL,TPCLE,LDI,PCA | - | |
| PINT04 | Facturación | PRS TM,TPCL,TPCLE,LDI,PCA | - | |
| PINT05 | Recaudo | PRS TM,TPCL,TPCLE,LDI,PCA | - | |
| PINT06 | PQR | PRS TM,TPCL,TPCLE,LDI,PCA | - | |
| PINT07 | Atención al cliente | PRS TM,TPCL,TPCLE,LDI,PCA | - | |
| PASO | PROCESO DE PORTACION (RESPONSABILIDAD DEL ABD Y DE LOS PRS TM) | PRS 1 | PRS 2 | AGENTE |
| 1 | Proceso de Portación | PRS TM, OMV | PRS TM (N), OMV (N) | ABD |
| 2 | Intención de Portación (solicitud generación NIP) | PRS TM, OMV | PRS TM (N), OMV (N) | ABD |
| 3 | Subproceso de generación y envió del Nip de confirmación | PRS TM, OMV | PRS TM (N), OMV (N) | ABD |
| 4 | Diligenciar formulario de solicitud de portación. | PRS TM, OMV | PRS TM (N), OMV (N) | ABD |
| 5 | Verificar disponibilidad técnica | PRS TM, OMV | PRS TM (N), OMV (N) | ABD |
| 6 | Enviar formulario de solicitud de portación | PRS TM, OMV | PRS TM (N), OMV (N) | ABD |
| 7 | Verificar formulario de solicitud de portación | PRS TM, OMV | PRS TM (N), OMV (N) | ABD |
| 8 | Formulario de solicitud de portación aceptado- | PRS TM, OMV | PRS TM (N), OMV (N) | ABD |
| 9 | Informar causal de rechazo al PRS Receptor | PRS TM, OMV | PRS TM (N), OMV (N) | ABD |
| 10 | Informar al Usuario formulario de solicitud rechazado | PRS TM, OMV | PRS TM (N), OMV (N) | ABD |
| 11 | Asignar número de solicitud de portación | PRS TM, OMV | PRS TM (N), OMV (N) | ABD |
| 12 | Enviar Solicitud de Portación al PRS Donante | PRS TM, OMV | PRS TM (N), OMV (N) | ABD |
| 13 | Validar Solicitud de Portación | PRS TM, OMV | PRS TM (N), OMV (N) | ABD |
| 14 | Enviar respuesta de solicitud de portación | PRS TM, OMV | PRS TM (N), OMV (N) | ABD |
| 15 | Validar respuesta | PRS TM, OMV | PRS TM (N), OMV (N) | ABD |
| 16 | Rechazo procedente. | PRS TM, OMV | PRS TM (N), OMV (N) | ABD |
| 17 | Enviar mensaje de rechazo solicitud de portación | PRS TM, OMV | PRS TM (N), OMV (N) | ABD |
| 18 | Informar al cliente | PRS TM, OMV | PRS TM (N), OMV (N) | ABD |
| 19 | Subproceso Planeación de ventana de cambio | PRS TM, OMV | PRS TM (N), OMV (N) | ABD |
| 20 | Activación numero portado | PRS TM, OMV | PRS TM (N), OMV (N) | ABD |
| 21 | Informar al usuario la activación del servicio | PRS TM, OMV | PRS TM (N), OMV (N) | ABD |
| 22 | Fin proceso de portación | PRS TM, OMV | PRS TM (N), OMV (N) | ABD |
PRUEBAS DE COMUNICACIONES
| ID_PRUEBA | ORIGEN MÓVIL PORTADO POSPAGO A DESTINOS BÁSICOS | PRUEBA | PRS 1 | PRS 2 | PRS 3 |
| 1.1.1 | Llamada originada en MS-A portado, con destino a MS-B en la red de MS-A, donde MS-B es un número no portado dentro de la red de MS-A. | INTRA | PRS TM, OMV | PRS TM, OMV | |
| 1.1.2 | Llamada originada en MS-A portado, con destino a MS-B, donde MS-B es un número no portado fuera de la red de MS-A. | INTER | PRS TM, OMV | PRS TM (N), OMV (N) | |
| 1.1.3 | Llamada originada en MS-A portado, con destino a MS-B en la red de MS-A, donde MS-B es un número portado desde la red R2. MS-A y MS-B en el mismo MSC. | INTRA | PRS TM, OMV | PRS TM, OMV | |
| 1.1.4 | Llamada originada en MS-A portado, con destino a MS-B en la red de MS-A, donde MS-B es un número portado desde la red R2. MS-A y MS-B en diferente MSC. | INTRA | PRS TM, OMV | PRS TM, OMV | |
| 1.1.5 | Llamada originada en MS-A portado, con destino a MS-B, donde MS-B es un número portado desde la red de MS-A hacia la red R2. | INTER | PRS TM, OMV | PRS TM (N), OMV (N) | |
| 1.1.6 | Llamada originada en MS-A portado, con destino a MS-B, donde MS-B es un número portado desde la red R2 hacia la red R3. | INTER | PRS TM, OMV | PRS TM (N), OMV (N) | |
| 1.1.7 | Llamada originada en MS-A portado, con destino a Fijo Nacional. | INTRA | PRS TM, OMV | PRS TPBCL (N), PRS (TPBCLE) | |
| 1.1.8 | Llamada originada en MS-A portado, con destino a Internacional. | INTRA | PRS TM, OMV | PRS TPBCLDI (N) | |
| 1.1.9 | Llamada originada en MS-A portado, con destino a numeración de servicios 01-8000. | INTRA | PRS TM, OMV | PRS (N) | |
| 1.1.10 | Llamada originada en MS-A portado, con destino a numeración de servicios 01-9XY. | INTRA | PRS TM, OMV | PRS (N) | |
| 1.1.11 | Llamada originada en MS-A portado, con destino a un número de servicio 1XY. | INTRA | PRS TM, OMV | PRS TPBCL (N) | |
| 1.1.12 | Llamada originada en MS-A portado, con destino a números de emergencia 1XY como son | INTRA | PRS TM, OMV | PRS TPBCL (N) | |
| 1.1.13 | Llamada originada en MS-A hacia MS-B portado inexistente en la red R2, donde el NRN corresponde con el asignado a la red R2. | INTER | PRS TM, OMV | PRS TM (N), OMV (N) | |
| ORIGEN MÓVIL PORTADO PREPAGO A DESTINOS BÁSICOS | - | - | |||
| 1.2.1 | Llamada originada en MS-A portado, con destino a MS-B en la red de MS-A, donde MS-B es un número no portado dentro de la red de MS-A. | INTRA | PRS MOVILn | PRS TM, OMV | |
| 1.2.2 | Llamada originada en MS-A portado, con destino a MS-B, donde MS-B es un número no portado fuera de la red de MS-A. | INTER | PRS TM, OMV | PRS TM (N), OMV (N) | |
| 1.2.3 | Llamada originada en MS-A portado, con destino a MS-B en la red de MS-A, donde MS-B es un número portado desde la red R2. MS-A y MS-B en el mismo MSC. | INTRA | PRS TM, OMV | PRS TM, OMV | |
| 1.2.4 | Llamada originada en MS-A portado, con destino a MS-B en la red de MS-A, donde MS-B es un número portado desde la red R2. MS-A y MS-B en diferente MSC. | INTRA | PRS TM, OMV | PRS TM, OMV | |
| 1.2.5 | Llamada originada en MS-A portado, con destino a MS-B, donde MS-B es un número portado desde la red de MS-A hacia la red R2. | INTER | PRS TM, OMV | PRS TM (N), OMV (N) | |
| 1.2.6 | Llamada originada en MS-A portado, con destino a MS-B, donde MS-B es un número portado desde la red R2 hacia la red R3. | INTER | PRS TM, OMV | PRS TM (N), OMV (N) | |
| 1.2.7 | Llamada originada en MS-A portado, con destino a Fijo Nacional. | INTRA | PRS TM, OMV | PRS TPBCL (N), PRS (TPBCLE) | |
| 1.2.8 | Llamada originada en MS-A portado, con destino a Internacional. | INTRA | PRS TM, OMV | PRS TPBCLDI (N) | |
| 1.2.9 | Llamada originada en MS-A portado, con destino a numeración de servicios 01-8000. | INTRA | PRS TM, OMV | PRS (N) | |
| 1.2.10 | Llamada originada en MS-A portado, con destino a numeración de servicios 01-9XY. | INTRA | PRS TM, OMV | PRS (N) | |
| 1.2.11 | Llamada originada en MS-A portado, con destino a un número de servicio 1XY. | INTRA | PRS TM, OMV | PRS TPBCL (N) | |
| 1.2.12 | Llamada originada en MS-A portado, con destino a números de emergencia 1XY como son | INTRA | PRS TM, OMV | PRS TPBCL (N) | |
| 1.2.13 | Llamada originada en MS-A hacia MS-B portado inexistente en la red R2, donde el NRN corresponde con el asignado a la red R2. | INTER | PRS TM, OMV | PRS TM (N), OMV (N) | |
| ORIGEN MÓVIL A DESTINOS PORTADOS CON REENVÍO DE LLAMADA | - | ||||
| REENVÍO INCONDICIONAL - CFU | - | ||||
| 2.1.1 | Llamada originada en MS-A hacia MS-B portado a la red de MS-A con reenvío incondicional a otro número portado a la red de MS-A. (PRUEBA OPCIONAL) | INTRA | PRS TM, OMV | PRS TM, OMV | |
| 2.1.2 | Llamada originada en MS-A hacia MS-B portado a la red de MS-A con reenvío incondicional a otro número portado a la red R3. (PRUEBA OPCIONAL) | INTER | PRS TM, OMV | PRS TM (N), OMV (N) | |
| 2.1.3 | Llamada originada en MS-A hacia MS-B portado a la red de MS-A con reenvío incondicional a otro número no portado de la red de MS-A. (PRUEBA OPCIONAL) | INTRA | PRS TM, OMV | PRS TM, OMV | |
| 2.1.4 | Llamada originada en MS-A hacia MS-B portado a la red de MS-A con reenvío incondicional a otro número no portado de la red R3. (PRUEBA OPCIONAL) | INTER | PRS TM, OMV | PRS TM (N), OMV (N) | |
| 2.1.5 | Llamada originada en MS-A hacia MS-B portado a la red de MS-A con reenvío incondicional a un número fijo nacional. (PRUEBA OPCIONAL) | INTRA | PRS TM, OMV | PRS TPBCL (N), PRS (TPBCLE) | |
| 2.1.6 | Llamada originada en MS-A hacia MS-B portado a la red de MS-A con reenvío incondicional al buzón de mensajes VMS. | INTRA | PRS TM, OMV | PRS TM, OMV | |
| REENVÍO POR OCUPADO - CFB | - | ||||
| 2.2.1 | Llamada originada en MS-A hacia MS-B portado a la red de MS-A con reenvío por ocupado a otro número portado a la red de MS-A. (PRUEBA OPCIONAL) | INTRA | PRS TM, OMV | PRS TM, OMV | |
| 2.2.2 | Llamada originada en MS-A hacia MS-B portado a la red de MS-A con reenvío por ocupado a otro número portado a la red R3. (PRUEBA OPCIONAL) | INTER | PRS TM, OMV | PRS TM (N), OMV (N) | |
| 2.2.3 | Llamada originada en MS-A hacia MS-B portado a la red de MS-A con reenvío por ocupado a otro número no portado de la red de MS-A. (PRUEBA OPCIONAL) | INTRA | PRS TM, OMV | PRS TM, OMV | |
| 2.2.4 | Llamada originada en MS-A hacia MS-B portado a la red de MS-A con reenvío por ocupado a otro número no portado de la red R3. (PRUEBA OPCIONAL) | INTER | PRS TM, OMV | PRS TM (N), OMV (N) | |
| 2.2.5 | Llamada originada en MS-A hacia MS-B portado a la red de MS-A con reenvío por ocupado a un número fijo nacional. (PRUEBA OPCIONAL) | INTRA | PRS TM, OMV | PRS TPBCL (N) | |
| 2.2.6 | Llamada originada en MS-A hacia MS-B portado a la red de MS-A con reenvío por ocupado al buzón de mensajes VMS. | INTRA | PRS TM, OMV | PRS TM, OMV | |
| REENVIO POR NO CONTESTACIÓN - CFNA | - | ||||
| 2.3.1 | Llamada originada en MS-A hacia MS-B portado a la red de MS-A con reenvío por no contestación a otro número portado a la red de MS-A. (PRUEBA OPCIONAL) | INTRA | PRS TM, OMV | PRS TM, OMV | |
| 2.3.2 | Llamada originada en MS-A hacia MS-B portado a la red de MS-A con reenvío por no contestación a otro número portado a la red R3. (PRUEBA OPCIONAL) | INTER | PRS TM, OMV | PRS TM (N), OMV (N) | |
| 2.3.3 | Llamada originada en MS-A hacia MS-B portado a la red de MS-A con reenvío por no contestación a otro número no portado de la red de MS-A. (PRUEBA OPCIONAL) | INTRA | PRS TM, OMV | PRS TM, OMV | |
| 2.3.4 | Llamada originada en MS-A hacia MS-B portado a la red de MS-A con reenvío por no contestación a otro número no portado de la red R3. (PRUEBA OPCIONAL) | INTER | PRS TM, OMV | PRS TM (N), OMV (N) | |
| 2.3.5 | Llamada originada en MS-A hacia MS-B portado a la red de MS-A con reenvío por no contestación a un número fijo nacional. (PRUEBA OPCIONAL) | INTRA | PRS TM, OMV | PRS TPBCL (N) | |
| 2.3.6 | Llamada originada en MS-A hacia MS-B portado a la red de MS-A con reenvío por no contestación al buzón de mensajes VMS. | INTRA | PRS TM, OMV | PRS TM, OMV | |
| REENVÍO POR NO RESPUESTA DEL TERMINAL - CFNR | - | ||||
| 2.4.1 | Llamada originada en MS-A hacia MS-B portado a la red de MS-A con reenvío por no respuesta del terminal a otro número portado a la red de MS-A. (PRUEBA OPCIONAL) | INTRA | PRS TM, OMV | PRS TM, OMV | |
| 2.4.2 | Llamada originada en MS-A hacia MS-B portado a la red de MS-A con reenvío por no respuesta del terminal a otro número portado a la red R3. (PRUEBA OPCIONAL) | INTER | PRS TM, OMV | PRS TM (N), OMV (N) | |
| 2.4.3 | Llamada originada en MS-A hacia MS-B portado a la red de MS-A con reenvío por no respuesta del terminal a otro número no portado de la red de MS-A. (PRUEBA OPCIONAL) | INTRA | PRS TM, OMV | PRS TM, OMV | |
| 2.4.4 | Llamada originada en MS-A hacia MS-B portado a la red de MS-A con reenvío por no respuesta del terminal a otro número no portado de la red R3. (PRUEBA OPCIONAL) | INTER | PRS TM, OMV | PRS TM (N), OMV (N) | |
| 2.4.5 | Llamada originada en MS-A hacia MS-B portado a la red de MS-A con reenvío por no respuesta del terminal a un número fijo nacional. (PRUEBA OPCIONAL) | INTRA | PRS TM, OMV | PRS TPBCL (N) | |
| 2.4.6 | Llamada originada en MS-A hacia MS-B portado a la red de MS-A con reenvío por no respuesta del terminal al buzón de mensajes VMS. | INTRA | PRS TM, OMV | PRS TM, OMV | |
| CONFERENCIAS ENTRE TRES, ORIGEN MÓVIL HACIA DESTINOS MÓVILES PORTADOS | - | ||||
| 3.1 | Llamada tripartita originada en MS-A, hacia 2 números portados MS-B y MS-C en la misma red de MS-A. | INTRA | PRS TM, OMV | PRS TM, OMV | PRS MOVILn |
| 3.2 | Llamada tripartita originada en MS-A, hacia un número portado MS-B en la misma red de MS-A y hacia MS-C portado en la red R3. | INTER | PRS TM, OMV | PRS TM, OMV | PRS MOVILES EXISTENTES (N) |
| 3.3 | Llamada tripartita originada en MS-A, hacia 2 números portado MS-B y MS-C portados en la red R2. | INTER | PRS TM, OMV | PRS TM (N) (R2), OMV (N)(R2) | PRS TM (N) (R2), OMV (N)(R2) |
| 3.4 | Llamada tripartita originada en MS-A, hacia un número portado MS-B en la red R2 y hacia MS-C portado en la red R3. | INTER | PRS TM, OMV | PRS TM (N), OMV (N) | PRS TM (N), OMV (N) |
| ORIGEN FIJO A DESTINOS PORTADOS | - | ||||
| 4.1 | Llamada originada en PRS Fijo hacia MS-B portado | FIJO | TPCL,TPCLE | PRS TM, OMV | |
| 4.2 | Llamada originada en PRS Fijo hacia MS-B portado con desvío a buzón de mensajes. | FIJO | TPCL,TPCLE | PRS TM, OMV | |
| 4.3 | Llamada originada en PRS Fijo hacia MS-B portado inexistente en la red R2, donde el NRN corresponde con el asignado a la red R2. | FIJO | TPCL,TPCLE | PRS TM, OMV | |
| ORIGEN LDI A DESTINOS PORTADOS | |||||
| 5.1 | Llamada originada en PRS LDI hacia MS-B portado | LDI | LDI | PRS TM, OMV | |
| 5.2 | Llamada originada en PRS LDI hacia MS-B portado con desvío a buzón de mensajes. | LDI | LDI | PRS TM, OMV | |
| 5.3 | Llamada originada en PRS- LDI hacia MS-B portado inexistente en la red R2, donde el NRN corresponde con el asignado a la red R2. | LDI | LDI | PRS TM, OMV | |
| SMS ORIGEN MÓVIL PORTADO - POSPAGO | - | ||||
| 6.1.1 | SMS originado en MS-A portado, con destino a MS-B en la red de MS-A, donde MS-B es un número no portado dentro de la red de MS-A. | INTRA | PRS TM, OMV | PRS TM, OMV | |
| 6.1.2 | SMS originado en MS-A portado, con destino a MS-B, donde MS-B es un número no portado fuera de la red de MS-A. | INTER | PRS TM, OMV | PRS TM (N), OMV (N) | |
| 6.1.3 | SMS originado en MS-A portado, con destino a MS-B en la red de MS-A, donde MS-B es un número portado desde la red R2. | INTRA | PRS TM, OMV | PRS TM, OMV | |
| 6.1.4 | SMS Originado en MS-A portado, con destino a MS-B, donde MS-B es un número portado desde la red de MS-A hacia la red R2. | INTER | PRS TM, OMV | PRS TM (N), OMV (N) | |
| 6.1.5 | SMS Originado en MS-A portado, con destino a MS-B, donde MS-B es un número portado desde la red R2 hacia la red R3. | INTER | PRS TM, OMV | PRS TM (N), OMV (N) | |
| 6.1.6 | SMS originado en MS-A portado, con destino a un ESME internacional, enviando el SMS a un número móvil internacional. | INTRA | PRS TM, OMV | ESME | |
| 6.1.7 | SMS originado en un número móvil internacional, recibido a través de un ESME internacional con destino a MS-B, donde MS-B es un número portado. | INTRA | ESME | PRS TM (N), OMV (N) | |
| SMS ORIGEN MÓVIL PORTADO - PREPAGO | |||||
| 6.2.1 | SMS originado en MS-A portado, con destino a MS-B en la red de MS-A, donde MS-B es un número no portado dentro de la red de MS-A. | INTRA | PRS TM, OMV | PRS TM, OMV | |
| 6.2.2 | SMS originado en MS-A portado, con destino a MS-B, donde MS-B es un número no portado fuera de la red de MS-A. | INTER | PRS TM, OMV | PRS TM (N), OMV (N) | |
| 6.2.3 | SMS originado en MS-A portado, con destino a MS-B en la red de MS-A, donde MS-B es un número portado desde la red R2. | INTRA | PRS TM, OMV | PRS TM, OMV | |
| 6.2.4 | SMS Originado en MS-A portado, con destino a MS-B, donde MS-B es un número portado desde la red de MS-A hacia la red R2. | INTER | PRS TM, OMV | PRS TM (N), OMV (N) | |
| 6.2.5 | SMS Originado en MS-A portado, con destino a MS-B, donde MS-B es un número portado desde la red R2 hacia la red R3. | INTER | PRS TM, OMV | PRS TM (N), OMV (N) | |
| 6.2.6 | SMS originado en MS-A portado, con destino a un ESME internacional, enviando el SMS a un número móvil internacional. | INTRA | PRS TM, OMV | ESME | |
| 6.2.7 | SMS originado en un número móvil internacional, recibido a través de un ESME internacional con destino a MS-B, donde MS-B es un número portado. | INTRA | ESME | PRS TM, OMV | |
| LLAMADAS A PORTADOS EN ROAMING INTERNACIONAL | |||||
| 7.1 | Llamada originada en un móvil con destino a MS-B en roaming en la red internacional RI, donde MS-B es un número portado. (OPCIONAL SEGÚN CONDICIONES COMERCIAL) | INTRA | PRS TM, OMV | PRS MOVIL INTERNACIONAL | |
| 7.2 | Llamada originada en un móvil MS-A en roaming en la red internacional RI con destino a algún número en Colombia, donde MS-A es un número portado. (OPCIONAL SEGÚN CONDICIONES COMERCIAL) | INTRA | PRS MOVIL INTERNACIONAL | PRS TM, OMV | |
| LLAMADAS A PORTADOS EN ROAMING INTERNACIONAL | |||||
| 7.1 | Llamada originada en un móvil con destino a MS-B en roaming en la red internacional RI, donde MS-B es un número portado. (OPCIONAL SEGÚN CONDICIONES COMERCIAL) | INTRA | PRS TM, OMV | PRS MOVIL INTERNACIONAL | |
| 7.2 | Llamada originada en un móvil MS-A en roaming en la red internacional RI con destino a algún número en Colombia, donde MS-A es un número portado. (OPCIONAL SEGÚN CONDICIONES COMERCIAL) | INTRA | PRS MOVIL INTERNACIONAL | PRS TM, OMV | |
PRUEBAS DE CONTENIDO Y APLICACIONES
| 8. ENVIO DE CONTENIDO Y APLICACIONES A NUMEROS PORTADOS Y NUMEROS NO PORTADOS (SEGÚN CONDICIONES COMERCIALES) | INTER | PCA | PRS TM (N), OMV (N) |
| (N) | SON TODOS LOS PRS CON LOS CUALES SE TENGA ACUERDO | ||
( Anexo de Pruebas Resolución CRC 3086 de 2011)
<Anexo derogado por el artículo 137 de la Resolución 7811 de 2025>
INFORMACIÓN NECESARIA PARA LA DECLARACIÓN DE USO DE EQUIPO TERMINAL MÓVIL CON IMEI DUPLICADO.
<Anexo modificado por el artículo 3 de la Resolución 5178 de 2016. El nuevo texto es el siguiente:> En caso de que el PRSTM no cuente con la siguiente información, deberá solicitar la misma al usuario a través del diligenciamiento por escrito o por el medio que el PRSTM considere idóneo:
1. Nombre.
2. Tipo de documento y número.
3. Ciudad y dirección de domicilio.
4. IMEI, marca y modelo del equipo terminal móvil.
5. Líneas telefónicas con las cuales el usuario hace uso del equipo terminal móvil.
6. Nombre del punto de venta, dirección y ciudad en que adquirió el equipo terminal móvil; o en su defecto nombre y datos de contacto de la persona que le proporcionó el equipo bajo cualquier título.
Adicionalmente el PRSTM debe solicitar, en los términos de la Ley 1581 de 2012 y el Decreto 1377 de 2013 (o aquellas normas que los modifiquen o sustituyan), autorización por parte del usuario, con consentimiento previo, expreso e informado, a través del medio que considere idóneo, para que la información que constituya un dato personal pueda ser remitida a las autoridades competentes. Esta autorización deberá ser verificable, independientemente del medio utilizado para obtenerla.
Así mismo, el PRSTM debe informar al usuario que según lo establece el artículo 105 de la Ley 1453 de 2011, quien manipule, reprograme, remarque o modifique un equipo terminal móvil incurrirá en prisión de seis (6) a ocho (8) años y multa de seis (6) a setecientos (700) SMLMV.
ANEXO 2.7. DECISIÓN DE AUTORIZACIÓN.
(Anexo 1 Resolución 4584 de 2014)
MINISTERIO DE TECNOLOGÍAS DE LA INFORMACIÓN Y LAS COMUNICACIONES
En virtud de lo dispuesto en el ARTÍCULO 2.2.11.4 del Decreto 1078 de 2015, previa verificación del cumplimiento del lleno de requisitos y en observancia del trámite de autorización para la venta de equipos terminales móviles, dispuesto en la regulación que en materia de tales autorizaciones ha previsto la Comisión de Regulación de Comunicaciones,
CONFIERE A:
*NOMBRE DE LA PERSONA AUTORIZADA* (nombre de la persona natural, persona jurídica o de la asociación, corporación, fundación o entidad sin ánimo de lucro)
N.I.T.: *NUMERO DE IDENTIFICACIÓN TRIBUTARIA*
ESTABLECIMIENTOS DE COMERCIO AUTORIZADOS (Listado que evidencie nombre de establecimientos de comercio con el respectivo NIT de la persona autorizada, departamento, municipio o ciudad, y dirección).
LA CALIDAD DE PERSONA AUTORIZADA PARA LA VENTA DE EQUIPOS TERMINALES
MÓVILES EN COLOMBIA,
BAJO EL NÚMERO ÚNICO DE VERIFICACIÓN:
*NÚMERO ÚNICO DE VERIFICACIÓN*
FECHA DE EXPEDICIÓN: *DD/MM/AAAA*
La presente rige a partir de la fecha de ejecutoria (La fecha de ejecutoria del presente acto administrativo, puede ser consultada a través del Sistema de Información Integral de Autorización que administra el Ministerio de Tecnologías de la Información y las Comunicaciones)
Y tiene una VIGENCIA de 3 años
(Para el caso en que la persona autorizada sea una asociación, corporación, fundación o entidad sin ánimo de lucro, el Ministerio de TIC enlistará de manera expresa en la presente Decisión de Autorización, el nombre de los miembros o asociados autorizados, con nombre de establecimientos de comercio respectivos, NIT, departamento, municipio o ciudad, y dirección para cada uno de los establecimientos de comercio).
La información contenida en la presente autorización será de libre acceso para su consulta por cualquier persona.
*NOMBRE DE LA PERSONA QUE FIRMA POR PARTE DEL AUTORIZADOR*
*CARGO*
FORMATO DE CONSTANCIA PARA LA TRANSFERENCIA DE PROPIEDAD DE UN EQUIPO TERMINAL MÓVIL USADO.
Utilizado para la compraventa de equipos terminales móviles que se efectúe entre una persona autorizada para la venta de equipos y cualquier ciudadano propietario de un equipo terminal móvil (quienes, según el caso pueden actuar como compradores o vendedores de los equipos terminales móviles usados). Al presente deberá adjuntarse copia de los documentos de identidad de las partes de la compraventa y/o la Decisión de autorización para la venta de equipos terminales móviles de la parte que tenga la calidad de persona autorizada para dicha venta.
Equipo Terminal Móvil (usado) Marca__________ Modelo________ IMEI ___________
En la ciudad de_________ a las __________ horas, del día______ del mes____ del año_____, se produjo la transferencia de propiedad del equipo terminal móvil usado identificado con el IMEI_______, entre el propietario del equipo (vendedor)______¬¬¬¬¬-__________________ identificado con (tipo de documento) bajo el número de identificación________________ y quien adquirió el equipo en propiedad____________________________ identificado con (tipo de documento) bajo el número de identificación__________________.
Únicamente para diligenciar por parte de la persona autorizada para la venta de equipos terminales móviles que es parte de la compraventa del equipo terminal móvil usado:
Nombre de la persona autorizada para la venta de equipos terminales móviles, con número único de verificación________________________, tal y como aparece en la Decisión de Autorización expedida por_____________________________ (sujeto que expide la Decisión de Autorización) en fecha________________ en la ciudad de____________, quien actuó en la compraventa en calidad de (comprador o vendedor, según el caso).
EL VENDEDOR (Persona autorizada o usuario)
Nombre:
Teléfono:
Dirección:
Ciudad
Firma:
EL COMPRADOR (Persona autorizada o usuario)
Teléfono:
Nombre:
Dirección:
Ciudad:
Firma:
(Anexo 2 Resolución CRC 4584 de 2014, modificado por la Resolución CRC 4986 de 2016)
<Ver Notas del Editor> <Anexo subrogado por el artículo 1 de la Resolución 5969 de 2020. El nuevo texto es el siguiente:>
Parte A. Condiciones que habilitan la priorización.
De conformidad con lo dispuesto en el inciso último del artículo 2.9.2.4 los proveedores de redes y servicios de telecomunicaciones que prestan el servicio de acceso a Internet podrán priorizar el acceso a los contenidos o aplicaciones referidos en dicho inciso cuando concurran los siguientes eventos:
- Cuando se evidencien incrementos muy altos y recurrentes en la demanda de tráfico comparados con periodos similares de referencia.
- Cuando se evidencie una degradación recurrente de la calidad del servicio ofrecida a los usuarios a nivel nacional o regional por efecto de haber superado la capacidad máxima de uno o más elementos de red.
- Cuando el proveedor del servicio de acceso a Internet haya realizado las demás acciones de gestión de tráfico previstas en el numeral 2.9.2.4.4. del artículo 2.9.2.4. de la presente resolución, sin que sea posible solucionar la degradación de calidad experimentada por los usuarios.
Adicionalmente los proveedores de redes y servicios de acceso a Internet deberán acatar las siguientes reglas al aplicar la priorización de tráfico:
1. Al menos 24 horas antes de iniciar la priorización de que trata el presente anexo, el proveedor deberá informar a la CRC sobre el inicio de la priorización del tráfico para garantizar el acceso de los usuarios a los servicios de salud, las páginas gubernamentales y el sector público, el desarrollo de actividades laborales, de educación y el ejercicio de derechos fundamentales, para lo cual deberá anexar el reporte dispuesto en el Anexo 2.9 Parte C con la evidencia que justifica la priorización de tráfico a realizar. Este informe deberá contener también la fecha y hora exacta de inicio, así como la fecha y hora exacta de finalización de la priorización, la cual en todo caso no podrá superar la fecha de finalización de la vigencia del periodo del estado de la emergencia económica, social y ecológica declarado.
2. El proveedor deberá priorizar las aplicaciones y contenidos de salud, gobierno, sector público, actividades laborales, educación, y derechos fundamentales e informar a la CRC para cada aplicación o contenido priorizado la categoría a la que pertenecen; así mismo se deberá incluir información que permita identificarlos (e.g. URL, Dominios, Direcciones IP, Nombres de aplicaciones).
3, El proveedor deberá demostrar que se han presentado incrementos muy altos en la demanda de tráfico a nivel nacional o regional comparados con periodos similares de referencia.
4. De cualquier forma, la discriminación de tráfico realizada no podrá implicar el bloqueo de algún tipo de aplicación o contenido, salvo aquellos prohibidos expresamente por la Ley de conformidad con el principio de libre elección dispuesto en el numeral 2.9.1.3.1. del artículo de la Resolución CRC 5050 de 2016.
5. Al implementar la priorización de la que trata el presente Anexo los prestadores de servicios de acceso a Internet garantizarán que las demás categorías equivalentes de tráfico que no son sujeto de priorización sean tratadas igual.
6. Mientras aplica las medidas de priorización y gestión de tráfico, el proveedor deberá mantener el acceso a Internet de todos sus usuarios.
7.Si alguno de los eventos que habilitan la priorización culmina, el proveedor deberá culminar también la priorización aplicada.
Parte B. REPORTE DE TRÁFICO DE INTERNET POR FUENTE <Parte modificada por el artículo 12 de la Resolución 5991 de 2020. El nuevo texto es el siguiente:>
Este formato deberá ser diligenciado por los proveedores de redes y servicios que ofrezcan acceso a Internet fijo y/o móvil, independientemente de la modalidad de pago, y que cuenten con más de 50.000 usuarios en todo el país con corte al último periodo de reporte al Sistema de Información Integral- Colombia TIC. En lo que respecta a los Operadores Móviles Virtuales (OMV), estarán sujetos a esta obligación si además de cumplir con las dos condiciones anteriores, cuentan con enlaces de conectividad a Internet de su propiedad o provistos por un operador distinto al OMR sobre el cual se aloja.
El proveedor deberá tener en cuenta las siguientes consideraciones a la hora de diligenciar el presente formato:
1. La CRC informará a través de su página web las instrucciones, formularios y mecanismos que deberán seguir los proveedores de Internet fijo y/o móvil para diligenciar el reporte de información.
2. La Tabla 1A deberá ser reportada solo una vez ante la ocurrencia de pandemias. Para el caso de COVID-19 se deberá reportar a más tardar el jueves 2 de abril del año 2020, y contendrá la información mensual del periodo: enero-marzo de 2020. Ante la ocurrencia de futuras pandemias, la CRC a través de una Circular informará la fecha en que los proveedores deben llevar a cabo este reporte de información.
3. Para el caso de COVID-19, la Tabla 1B deberá ser reportada todos los lunes, miércoles y viernes mientras dure la emergencia sanitaria declarada por el Ministerio de Salud y Protección Social. La información registrada los días lunes, debe incluir el tráfico del viernes, sábado y domingo inmediatamente anteriores; la del día miércoles, debe incluir el tráfico del lunes y martes inmediatamente anteriores; y la del día viernes debe incluir el tráfico del miércoles y jueves inmediatamente anteriores. Ante la ocurrencia de futuras pandemias, la CRC a través de una Circular informará la fecha en que los proveedores deben llevar a cabo este reporte de información.
TABLA 1A. TRÁFICO DE INTERNET POR FUENTE: LÍNEA BASE

En donde:
[1] NIT PROVEEDOR: Corresponde al Número de Identificación Tributaria del Proveedor de Redes y Servicios de Telecomunicaciones (PRST) que presta servicios de acceso a Internet fijo y/o móvil y reporta la información del presente Formato.
[2] PROVEEDOR: Corresponde al nombre del Proveedor de Redes y Servicios de Telecomunicaciones (PRST) que presta servicios de acceso a Internet fijo y/o móvil y reporta la información del presente Formato.
[3] FECHA DE REPORTE: Corresponde a la fecha en la cual se está realizando el presente reporte. Esta fecha deberá guardar el formato aaaa/mm/dd.
[4] MES DE TRÁFICO: Corresponde al mes para el cual se está realizando el reporte de tráfico de datos. Este campo debe guardar el formato aaaa/mm. Para el caso del COVID-19, los meses aquí registrados deberán corresponder solo al periodo comprendido entre enero y marzo de 2020.
[5] HORA PICO MES: Corresponde a un periodo continuo de una hora de duración, durante el cual se cursó el máximo volumen de tráfico de datos del mes (Uplink+Downlink) para el cual se está realizando el reporte. Debe indicarse el momento de inicio de la hora pico en formato hh: mm, teniendo como referencia el formato de hora militar.
[6] FECHA EN QUE OCURRIÓ LA HORA PICO: Corresponde a la fecha del día del mes de reporte en el cual se presentó la hora pico del numeral [5] de la Tabla 1A del presente Formato. Esta fecha deberá guardar el formato aaaa/mm/dd.
[7] TRÁFICO DATOS EN HORA PICO: INTERNACIONAL (GB): Corresponde al total de tráfico de datos (Uplink + Downlink), medido en GigaBytes, que se cursó durante la Hora Pico del numeral [5] de la Tabla 1A del presente Formato, mediante conexiones internacionales propias del PRST, tales como cables submarinos, conexiones interfronterizas, conexiones satelitales, etcétera.
[8] TRÁFICO DATOS EN HORA PICO: NAP (GB): Corresponde al total de tráfico de datos (Uplink + Downlink), medido en GigaBytes, que se cursó durante la Hora Pico del numeral [5] de la Tabla 1A del presente Formato, con destino hacia cualquier NAP (Punto de Intercambio de Tráfico donde 3 o más PRST intercambian tráfico nacional de Internet) ubicado en Colombia.
[9] TRÁFICO DATOS EN HORA PICO: ACUERDOS DE TRÁNSITO O PEERING DIRECTO (GB): Corresponde al tráfico total de datos (Uplink + Downlink), medido en GigaBytes, que se cursó durante la Hora Pico del numeral [5] de la Tabla 1ª del presente Formato, con destino hacia otros PRST nacionales con los cuales el PRST que realiza el reporte tenga Acuerdos de tránsito o Peering Directo.
[10] TRÁFICO DATOS EN HORA PICO: LOCAL (GB): Corresponde al tráfico total de datos (Uplink + Downlink), medido en GigaBytes, que se cursó durante la Hora Pico del numeral [5] de la Tabla 1A del presente Formato, con destino a servidores de contenidos y/o aplicaciones CDN (Content Delivery Network) tales como, WEB Hosting, Centros de datos, Servidores de correo, etcétera, que estén en la red propia del PRST o que tengan interconexión directa con esta y estén ubicados en Colombia.
[11] TRÁFICO DATOS: TOTAL (GB): Corresponde al tráfico total de datos (Uplink + Downlink), medido en GigaBytes, que se cursó durante el mes del numeral [4] de la Tabla 1A del presente Formato, mediante las conexiones internacionales propias del PRST, hacia cualquier NAP ubicado en Colombia, a través de acuerdos de tránsito o peering, con destino a servidores de contenidos y aplicaciones, y en general a cualquier destino.
TABLA 1B. TRÁFICO DE INTERNET POR FUENTE

En donde:
[1] NIT PROVEEDOR: Corresponde al Número de Identificación Tributaria del Proveedor de Redes y Servicios de Telecomunicaciones (PRST) que presta servicios de conexión a Internet y reporta la información del presente Formato.
[2] PROVEEDOR: Corresponde al nombre del Proveedor de Redes y Servicios de Telecomunicaciones (PRST) que presta servicios de conexión a Internet y reporta la información del presente Formato.
[3] FECHA DE REPORTE: Corresponde a la fecha en la cual se está realizando el presente reporte. Esta fecha deberá guardar el formato aaaa/mm/dd.
[4] FECHA DEL DÍA DEL TRÁFICO: Corresponde a la fecha del día en la que se cursó el tráfico de Internet que se está reportando en el presente Formato. Esta fecha deberá guardar el formato aaaa/mm/dd. Debe enviarse un dato de tráfico por cada día reportado. Por ejemplo, si se está haciendo el reporte del lunes, este debe contener tres filas para incluir el tráfico del viernes, del sábado y del domingo.
[5] HORA PICO: Corresponde a un periodo continuo de una hora de duración, durante el cual se cursó el máximo volumen de tráfico de datos (Uplink + Downlink), considerando todas las franjas horarias del día que se está reportando. Debe indicarse el momento de inicio de la hora pico en formato hh: mm, teniendo como referencia el formato de hora militar.
[6] TRÁFICO DATOS EN HORA PICO: INTERNACIONAL (GB): Corresponde al total de tráfico de datos (Uplink + Downlink), medido en GigaBytes, que se cursó durante la Hora Pico del numeral [5] de la Tabla 1B del presente Formato, mediante conexiones internacionales propias del PRST, tales como cables submarinos, conexiones interfronterizas, conexiones satelitales, etcétera.
[7] TRÁFICO DATOS EN HORA PICO: NAP (GB): Corresponde al total de tráfico de datos (Uplink + Downlink), medido en GigaBytes, que se cursó durante la Hora Pico del numeral [5] de la Tabla 1B del presente Formato, con destino hacia cualquier NAP (Punto de Intercambio de Tráfico donde 3 o más PRST intercambian tráfico de Internet) ubicado en Colombia.
[8] TRÁFICO DATOS EN HORA PICO: ACUERDOS DE TRÁNSITO O PEERING DIRECTO (GB): Corresponde al tráfico total de datos (Uplink + Downlink), medido en GigaBytes, que se cursó durante la Hora Pico del numeral [5] de la Tabla 1B del presente Formato, proveniente desde otros PRST nacionales con los cuales el PRST que realiza el reporte tenga Acuerdos de tránsito o Peering Directo.
[9] TRÁFICO DATOS EN HORA PICO: LOCAL (GB): Corresponde al tráfico total de datos (Uplink + Downlink), medido en GigaBytes, que se cursó durante la Hora Pico del numeral [5] de la Tabla 1B del presente Formato, con destino a servidores de contenidos y/o aplicaciones CDN (Content Delivery Network) tales cómo, WEB Hosting, Centros de datos, Servidores de correo, etcétera, que tengan interconexión directa en la red propia de los PRST y ubicados en Colombia.
[10] TRÁFICO DATOS: TOTAL (GB): Corresponde al tráfico total de datos (Uplink + Downlink), medido en GigaBytes, que se cursó durante el día del numeral [4] de la Tabla 1B del presente Formato, mediante las conexiones internacionales propias del PRST, hacia cualquier NAP ubicado en Colombia, a través de acuerdos de tránsito o peering, con destino a servidores de contenidos y aplicaciones, y en general a cualquier destino.
Parte C. GESTIÓN DE TRÁFICO EN EMERGENCIAS
Este formato deberá ser diligenciado por todos los Proveedores de Redes y Servicios de Telecomunicaciones que presten servicios de acceso a Internet fija y/o móvil y necesiten recurrir, durante la ocurrencia de pandemias declaradas por la Organización Mundial de la Salud (OMS) al mecanismo de priorización de tráfico para acceder a contenidos y aplicaciones relacionados con los servicios de salud, las páginas gubernamentales y del sector público de Colombia, el desarrollo de actividades laborales, de educación y el ejercicio de derechos fundamentales.
Los PSRT a los cuales les aplique el presente Formato, deberán reportar a la CRC al menos 24 horas antes de iniciar la priorización las evidencias suficientes que considere para justificar la priorización de tráfico, así como la siguiente información: (i) Fecha y hora del inicio de priorización de aplicaciones o contenidos; (ii) Fecha y hora de la finalización de priorización de aplicaciones o contenidos; (iii) Áreas geográficas donde se realizará la priorización, considerando que esta puede ser de carácter nacional (todo el país) o regional (un conjunto de municipios). En caso de que la priorización sea regional se debe informar: departamento y municipio; (iv) Tipo de red de acceso sobre la cual se aplicará la priorización (móvil y/o fija). Esto como se indica en el cuadro siguiente:
TABLA 2. PRIORIZACIÓN DE TRÁFICO DE INTERNET

(1) NIT PROVEEDOR: Corresponde al Número de Identificación Tributaria del Proveedor de Redes y Servicios de Telecomunicaciones (PRST) que presta servicios de conexión a Internet y necesita recurrir, durante la ocurrencia de pandemias declaradas por la Organización Mundial de la Salud (OMS) al mecanismo de priorización de tráfico.
(2) PROVEEDOR: Corresponde al nombre del Proveedor de Redes y Servicios de Telecomunicaciones (PRST) que presta servicios de conexión a Internet y necesita recurrir, durante la ocurrencia de pandemias declaradas por la Organización Mundial de la Salud (OMS) al mecanismo de priorización de tráfico.
(3) FECHA DE AVISO: Corresponde al día en que el PRST avisa a la Comisión de Regulación de Comunicaciones sobre el inicio de la priorización de tráfico para acceder a contenidos y aplicaciones relacionados con los servicios de salud, las páginas gubernamentales y del sector público de Colombia, el desarrollo de actividades laborales, de educación y el ejercicio de derechos fundamentales. Esta fecha deberá guardar el formato aaaa/mm/dd.
(4) FECHA DE INICIO: Corresponde al día en que inicia la priorización de tráfico para acceder a contenidos y aplicaciones relacionados con los servicios de salud, las páginas gubernamentales y del sector público de Colombia, el desarrollo de actividades laborales, de educación y el ejercicio de derechos fundamentales. Esta fecha deberá guardar el formato aaaa/mm/dd.
(5) HORA DE INICIO: Corresponde a la hora del día del numeral [4] de la Tabla 2 del presente requerimiento, en la que se dará inicio a la priorización de tráfico para acceder a contenidos y aplicaciones relacionados con los servicios de salud, las páginas gubernamentales y del sector público de Colombia, el desarrollo de actividades laborales, de educación y el ejercicio de derechos fundamentales. Debe indicarse la hora de inicio en formato hh:mm, teniendo como referencia el formato de hora militar.
(6) FECHA DE FINALIZACIÓN: Corresponde al día en que finalizará la priorización de tráfico para acceder a contenidos y aplicaciones relacionados con los servicios de salud, las páginas gubernamentales y del sector público de Colombia, el desarrollo de actividades laborales, de educación y el ejercicio de derechos fundamentales. Esta fecha deberá guardar el formato aaaa/mm/dd.
(7) HORA DE FINALIZACIÓN: Corresponde a la hora del día del numeral [6] de la Tabla 2 del presente requerimiento, en la que se finalizará la priorización de tráfico para acceder a contenidos y aplicaciones relacionados con los servicios de salud, las páginas gubernamentales y del sector público de Colombia, el desarrolo de actividades laborales, de educación y el ejercicio de derechos fundamentales. Debe indicarse la hora de finalización en formato hh:mm, teniendo como referencia el formato de hora militar.
(8) MUNICIPIO: Corresponde al nombre del municipio en donde se va a realizar la priorización de tráfico. En caso de que la priorización de tráfico haya sido nacional, en este campo deberá diligenciar NACIONAL.
(9) DEPARTAMENTO: Corresponde al nombre del departamento en donde se encuentra el municipio descrito en el numeral [8] de la Tabla 2 del presente requerimiento. En caso de que la priorización de tráfico haya sido nacional, en este campo deberá diligenciar NACIONAL.
(10) RED DÓNDE APLICARÁ LA PRIORIZACIÓN: Corresponde al tipo de red sobre la que se realizará la priorización de tráfico:
- Móvil - 3G
- Móvil - 4G
- Fija
Adicionalmente, el proveedor deberá aportar la siguiente información:
1. Lista de contenidos y aplicaciones priorizados. El PRST deberá proporcionar una lista detallada indicando cuáles son los contenidos y aplicaciones que serán priorizados como parte de la aplicación de la medida, así como la categoría a la que pertenecen (salud, gobierno, sector público, actividades laborales, educación, derechos fundamentales) e incluir información que permita identificarlas (e.g. URL, Dominios, Direcciones IP, Nombres de aplicaciones).
2. Informe que justifique la medida de priorización. El PRST deberá presentar un informe detallado en formato libre, en el que se justifique técnicamente la medida, el cual deberá contener como mínimo:
a. Evidencia de la necesidad de la medida a partir de información de tráfico, bien sea a nivel nacional o regional y para cada tipo de red sobre la cual se aplicará la priorización (móvil y/o fija).
b. Evidencia de que el tráfico esté alcanzando o sobrepasando de manera recurrente la capacidad de tráfico máxima de la red sobre la cual se aplicará la priorización (móvil y/o fija).
c. Evidencia sobre la necesidad de extender la priorización por los días reportados.
d. Descripción de los efectos conseguidos con la medida de que trata este numeral por cada evento de aplicación.
3. Información adicional que puede ser solicitada por la CRC. En caso de considerarlo necesario, la CRC podrá solicitar información adicional, la cual deberá estar disponible si es solicitada, incluyendo:
a. Información detallada de tráfico, para los municipios donde se realizará la priorización.
b. Información detallada de capacidades de red para los municipios en los cuales se aplicará la medida, lo cual podrá involucrar, entre otros: red de acceso, red de transporte, red de core, capacidades en conexión a los NAP nacionales y capacidades en cable submarino.
CONDICIONES PARA ACCEDER A LAS MEDIDAS DIFERENCIALES EXPEDIDAS EN EL MARCO DE LO ESTABLECIDO EN EL PARÁGRAFO 1 DEL ARTÍCULO 31 DE LA LEY 1978 DE 2019.
ARTÍCULO 31 DE LA LEY 1978 DE 2019
<Anexo adicionado por el artículo 11 de la Resolución 6755 de 2022. El nuevo texto es el siguiente:>
A. Ser un proveedor del servicio de Internet fijo residencial que, al 31 de diciembre del año inmediatamente anterior, contaba con menos de treinta mil (30.000) accesos a nivel nacional y que preste el servicio en uno o más de los municipios enlistados a continuación:
| No. | Código Municipio | Departamento | Municipio |
| 1 | 05002 | Antíoquía | Abejoraí |
| 2 | 05004 | Antíoquía | Abríaquí |
| 3 | 05021 | Antíoquía | Alejandría |
| 4 | 05030 | Antíoquía | Amagá |
| 5 | 05031 | Antíoquía | Amaífi |
| 6 | 05034 | Antíoquía | Andes |
| 7 | 05036 | Antíoquía | Angeíópoíis |
| 8 | 05038 | Antíoquía | Angostura |
| 9 | 05340 | Antíoquía | Anorí |
| 10 | 05042 | Antíoquía | Sanafé de Antíoquía |
| 11 | 05044 | Antíoquía | Anzá |
| 12 | 05051 | Antíoquía | Arboletes |
| 13 | 05055 | Antíoquía | Argelia |
| 14 | 05059 | Antíoquía | Armenia |
| 15 | 05079 | Antíoquía | Barbosa |
| 16 | 05086 | Antíoquía | Beímira |
| 17 | 05091 | Antíoquía | Befánia |
| 18 | 05093 | Antíoquía | Betuíia |
| 19 | 05101 | Antíoquía | Ciudad Bolívar |
| 20 | 05107 | Antíoquía | Bríceño |
| 21 | 05113 | Antíoquía | Burítícá |
| 22 | 05120 | Antíoquía | Cáceres |
| 23 | 05125 | Antíoquía | Caicedo |
| 24 | 05134 | Antíoquía | Campamento |
| 25 | 05138 | Antíoquía | Cañasgordas |
| 26 | 05142 | Antíoquía | Caracoíí |
| 27 | 05145 | Antíoquía | Caramanta |
| 28 | 05148 | Antíoquía | Eí Carmen de Viboraí |
| 29 | 05150 | Antíoquía | Carolina |
| 30 | 05172 | Antíoquía | Chigorodó |
| 31 | 05190 | Antíoquía | Císneros |
| 32 | 05197 | Antíoquía | Cocorná |
| 33 | 05206 | Antíoquía | Concepcíón |
| 34 | 05209 | Antíoquía | Concordia |
| 35 | 05234 | Antíoquía | Dabeiba |
| 36 | 05237 | Antíoquía | Donmatías |
| 37 | 05240 | Antíoquía | Ebéjico |
| 38 | 05250 | Antíoquía | El Bagre |
| 39 | 05264 | Antíoquía | Entremos |
| 40 | 05282 | Antíoquía | Fredonia |
| 41 | 05284 | Antíoquía | Frontino |
| 42 | 05306 | Antíoquía | Giraído |
| 43 | 05310 | Antíoquía | Gómez Plata |
| 44 | 05313 | Antíoquía | Granada |
| 45 | 05315 | Antíoquía | Guadalupe |
| 46 | 05318 | Antíoquía | Guarne |
| 47 | 05321 | Antíoquía | Guatapé |
| 48 | 05347 | Antíoquía | Heíiconia |
| 49 | 05353 | Antíoquía | Hispania |
| 50 | 05361 | Antíoquía | Ituango |
| 51 | 05364 | Antíoquía | Jardín |
| 52 | 05368 | Antíoquía | Jericó |
| 53 | 05390 | Antíoquía | La Pinada |
| 54 | 05400 | Antíoquía | La Unión |
| 55 | 05411 | Antíoquía | Líbonna |
| 56 | 05425 | Antíoquía | Maceo |
| 57 | 05467 | Antíoquía | Montebeíío |
| 58 | 05475 | Antíoquía | Murindó |
| 59 | 05480 | Antíoquía | Mufátí |
| 60 | 05483 | Antíoquía | Nariño |
| 61 | 05490 | Antíoquía | Necocíí |
| 62 | 05495 | Antíoquía | Nechí |
| 63 | 05501 | Antíoquía | Olaya |
| 64 | 05541 | Antíoquía | Peñoí |
| 65 | 05543 | Antíoquía | Peque |
| 66 | 05576 | Antíoquía | Puebíorrico |
| 67 | 05579 | Antíoquía | Puerto Berrío |
| 68 | 05585 | Antíoquía | Puerto Nare |
| 69 | 05591 | Antíoquía | Puerto Triunfo |
| 70 | 05604 | Antíoquía | Remedios |
| 71 | 05628 | Antíoquía | Sabanaíarga |
| 72 | 05642 | Antíoquía | Salgar |
| 73 | 05647 | Antíoquía | San Andrés de Cuerquía |
| 74 | 05649 | Antíoquía | San Caríos |
| 75 | 05652 | Antíoquía | San Francisco |
| 76 | 05656 | Antíoquía | San Jerónimo |
| 77 | 05658 | Antíoquía | San José de La Montaña |
| 78 | 05659 | Antíoquía | San Juan de Urabá |
| 79 | 05660 | Antíoquía | San Luis |
| 80 | 05664 | Antíoquía | San Pedro de Los Milagros |
| 81 | 05665 | Antíoquía | San Pedro de Urabá |
| 82 | 05667 | Antíoquía | San Rafael |
| 83 | 05670 | Antíoquía | San Roque |
| 84 | 05674 | Antíoquía | San Vicente |
| 85 | 05679 | Antíoquía | Santa Bárbara |
| 86 | 05686 | Antíoquía | Sana Rosa de Osos |
| 87 | 05690 | Antíoquía | Santo Domingo |
| 88 | 05697 | Antíoquía | Eí Santuario |
| 89 | 05736 | Antíoquía | Segovía |
| 90 | 05756 | Antíoquía | Sonsón |
| 91 | 05761 | Antíoquía | Sopetrán |
| 92 | 05789 | Antíoquía | Támesis |
| 93 | 05790 | Antíoquía | Tarazá |
| 94 | 05792 | Antíoquía | Tarso |
| 95 | 05809 | Antíoquia | Titiribí |
| 96 | 05819 | Antíoquia | Toledo |
| 97 | 05837 | Antíoquia | Turbo |
| 98 | 05842 | Antíoquia | Uramia |
| 99 | 05847 | Antíoquia | Urrao |
| 100 | 05854 | Antíoquia | Valdivia |
| 101 | 05856 | Antíoquia | Valparaíso |
| 102 | 05858 | Antíoquia | Vegachí |
| 103 | 05861 | Antíoquia | Venecia |
| 104 | 05873 | Antíoquia | Vigía del Fuerte |
| 105 | 05885 | Antíoquia | Yaií |
| 106 | 05887 | Antíoquia | Yarumal |
| 107 | 05890 | Antíoquia | Yoiombó |
| 108 | 05893 | Antíoquia | Yondó |
| 109 | 05895 | Antíoquia | Zaragoza |
| 110 | 08078 | Atlántico | Baranoa |
| 111 | 08137 | Atlántico | Campo de La Cruz |
| 112 | 08141 | Atlántico | Candelaria |
| 113 | 08372 | Atlántico | Juan de A costa |
| 114 | 08421 | Atlántico | Luruaco |
| 115 | 08436 | Atlántico | Manatí |
| 116 | 08520 | Atlántico | Palmar de Varela |
| 117 | 08549 | Atlántico | Pojó |
| 118 | 08558 | Atlántico | Poionuevo |
| 119 | 08560 | Atlántico | Ponedera |
| 120 | 08606 | Atlántico | Repelón |
| 121 | 08634 | Atlántico | Sabanagrande |
| 122 | 08638 | Atlántico | Sabanaiarga |
| 123 | 08675 | Atlántico | Santa Lucía |
| 124 | 08770 | Atlántico | Suan |
| 125 | 08832 | Atlántico | Tubará |
| 126 | 08849 | Atlántico | Usiacurí |
| 127 | 13006 | Bolívar | Achí |
| 128 | 13030 | Bolívar | Altos del Rosario |
| 129 | 13042 | Bolívar | Arenal |
| 130 | 13052 | Bolívar | Arjona |
| 131 | 13062 | Bolívar | Arroyohondo |
| 132 | 13074 | Bolívar | Barranco de Loba |
| 133 | 13140 | Bolívar | Calamar |
| 134 | 13160 | Bolívar | Cantagalo |
| 135 | 13188 | Bolívar | Cicuco |
| 136 | 13212 | Bolívar | Córdoba |
| 137 | 13222 | Bolivar | Clemencia |
| 138 | 13244 | Boivar | El Carmen de Bolívar |
| 139 | 13248 | Bolívar | El Guamo |
| 140 | 13268 | Bolívar | El Peñón |
| 141 | 13300 | Bolívar | Hatillo de Loba |
| 142 | 13430 | Bolívar | Magangué |
| 143 | 13433 | Bolívar | Mahates |
| 144 | 13440 | Bolívar | Margarita |
| 145 | 13442 | Bolívar | María La Baja |
| 146 | 13458 | Bolívar | Montecristo |
| 147 | 13468 | Bolívar | Mompós |
| 148 | 13473 | Bolívar | Morales |
| 149 | 13490 | Bolívar | Norosí |
| 150 | 13549 | Bolívar | Piniiios |
| 151 | 13580 | Bolívar | Regidor |
| 152 | 13600 | Bolívar | Río Viejo |
| 153 | 13620 | Bolívar | San Cristóbal |
| 154 | 13647 | Bolívar | San Estanislao |
| 155 | 13650 | Bolívar | San Fernando |
| 156 | 13654 | Bolívar | San Jacinto |
| 157 | 13655 | Bolívar | San Jacinto del Cauca |
| 158 | 13657 | Bolívar | San Juan Nepomuceno |
| 159 | 13667 | Bolívar | San Martín de Loba |
| 160 | 13670 | Bolívar | San Pablo |
| 161 | 13673 | Boívar | Santa Catalina |
| 162 | 13683 | Boívar | Santa Rosa |
| 163 | 13688 | Bolvar | Santa Rosa del Sur |
| 164 | 13744 | Bolvar | Simití |
| 165 | 13760 | Bolvar | Soplaviento |
| 166 | 13780 | Bolvar | Taiaigua Nuevo |
| 167 | 13810 | Bolvar | Tiquisio |
| 168 | 13838 | Bolvar | Turbaná |
| 169 | 13873 | Bolvar | Viiianueva |
| 170 | 13894 | Bolvar | Zambrano |
| 171 | 15022 | Boyacá | Aimeida |
| 172 | 15047 | Boyacá | Aquítanía |
| 173 | 15051 | Boyacá | Arcabuco |
| 174 | 15087 | Boyacá | Belén |
| 175 | 15090 | Boyacá | Berbeo |
| 176 | 15092 | Boyacá | Betéitva |
| 177 | 15097 | Boyacá | Boavita |
| 178 | 15104 | Boyacá | Boyacá |
| 179 | 15106 | Boyacá | Briceño |
| 180 | 15109 | Boyacá | Buenavista |
| 181 | 15114 | Boyacá | Busbanzá |
| 182 | 15131 | Boyacá | Caldas |
| 183 | 15135 | Boyacá | Campohermoso |
| 184 | 15162 | Boyacá | Cerinza |
| 185 | 15172 | Boyacá | Chinavia |
| 186 | 15180 | Boyacá | Chiscas |
| 187 | 15183 | Boyacá | Chita |
| 188 | 15185 | Boyacá | Chiaraque |
| 189 | 15187 | Boyacá | Chivata |
| 190 | 15189 | Boyacá | Ciénega |
| 191 | 15204 | Boyacá | Cómbia |
| 192 | 15212 | Boyacá | Coper |
| 193 | 15215 | Boyacá | Corrales |
| 194 | 15218 | Boyacá | Covarachía |
| 195 | 15223 | Boyacá | Cubará |
| 196 | 15224 | Boyacá | Cucaia |
| 197 | 15226 | Boyacá | Cuítiva |
| 198 | 15232 | Boyacá | Chíquiza |
| 199 | 15236 | Boyacá | Chivor |
| 200 | 15244 | Boyacá | El Cocuy |
| 201 | 15248 | Boyacá | El Espino |
| 202 | 15272 | Boyacá | Firavitoba |
| 203 | 15276 | Boyacá | Floresa |
| 204 | 15293 | Boyacá | Gachantvá |
| 205 | 15296 | Boyacá | Gámeza |
| 206 | 15299 | Boyacá | Garagoa |
| 207 | 15317 | Boyacá | Guacamayas |
| 208 | 15322 | Boyacá | Guateque |
| 209 | 15325 | Boyacá | Guayatá |
| 210 | 15332 | Boyacá | Güicán de La Sierra |
| 211 | 15362 | Boyacá | Iza |
| 212 | 15367 | Boyacá | Jenesano |
| 213 | 15368 | Boyacá | Jericó |
| 214 | 15377 | Boyacá | Labranzagrande |
| 215 | 15380 | Boyacá | La Capilla |
| 216 | 15401 | Boyacá | La Victoria |
| 217 | 15403 | Boyacá | La Uvifá |
| 218 | 15407 | Boyacá | Villa de Leyva |
| 219 | 15425 | Boyacá | Macanal |
| 220 | 15442 | Boyacá | Maripí |
| 221 | 15455 | Boyacá | Miradores |
| 222 | 15464 | Boyacá | Mongua |
| 223 | 15466 | Boyacá | Monguí |
| 224 | 15469 | Boyacá | Moniquirá |
| 225 | 15476 | Boyacá | Motavita |
| 226 | 15480 | Boyacá | Muzo |
| 227 | 15491 | Boyacá | Nobsa |
| 228 | 15494 | Boyacá | Nuevo Coón |
| 229 | 15500 | Boyacá | Oicatá |
| 230 | 15507 | Boyacá | Otanche |
| 231 | 15511 | Boyacá | Pachavita |
| 232 | 15514 | Boyacá | Páez |
| 233 | 15518 | Boyacá | Pajarito |
| 234 | 15522 | Boyacá | Panqueba |
| 235 | 15531 | Boyacá | Pauna |
| 236 | 15533 | Boyacá | Paya |
| 237 | 15537 | Boyacá | Paz de Río |
| 238 | 15542 | Boyacá | Pesca |
| 239 | 15550 | Boyacá | Pisba |
| 240 | 15572 | Boyacá | Puerto Boyacá |
| 241 | 15580 | Boyacá | Quípama |
| 242 | 15599 | Boyacá | Ramiriquí |
| 243 | 15600 | Boyacá | Ráquira |
| 244 | 15621 | Boyacá | Rondón |
| 245 | 15632 | Boyacá | Saboyá |
| 246 | 15638 | Boyacá | Sáchíca |
| 247 | 15646 | Boyacá | Samacá |
| 248 | 15660 | Boyacá | San Eduardo |
| 249 | 15664 | Boyacá | San José de Pare |
| 250 | 15667 | Boyacá | San Luís de Gaceno |
| 251 | 15673 | Boyacá | San Mateo |
| 252 | 15676 | Boyacá | San Miguel de Sema |
| 253 | 15681 | Boyacá | San Pablo de Borbur |
| 254 | 15686 | Boyacá | Santana |
| 255 | 15690 | Boyacá | Santa María |
| 256 | 15693 | Boyacá | Santa Rosa de Víterbo |
| 257 | 15696 | Boyacá | Santa Sofía |
| 258 | 15720 | Boyacá | Sativanorte |
| 259 | 15723 | Boyacá | Sativasur |
| 260 | 15740 | Boyacá | Siachoque |
| 261 | 15753 | Boyacá | Soatá |
| 262 | 15755 | Boyacá | Sobotá |
| 263 | 15757 | Boyacá | Socha |
| 264 | 15761 | Boyacá | Somondoco |
| 265 | 15762 | Boyacá | Sora |
| 266 | 15763 | Boyacá | Sotaquirá |
| 267 | 15764 | Boyacá | Soracá |
| 268 | 15774 | Boyacá | Susacón |
| 269 | 15776 | Boyacá | Sutamarchán |
| 270 | 15778 | Boyacá | Sutatenza |
| 271 | 15790 | Boyacá | Tasco |
| 272 | 15798 | Boyacá | Tenza |
| 273 | 15804 | Boyacá | Tibaná |
| 274 | 15806 | Boyacá | Tíbasosa |
| 275 | 15808 | Boyacá | Tinjacá |
| 276 | 15810 | Boyacá | Tipacoque |
| 277 | 15814 | Boyacá | Toca |
| 278 | 15816 | Boyacá | Togüí |
| 279 | 15820 | Boyacá | Tópaga |
| 280 | 15822 | Boyacá | Tota |
| 281 | 15832 | Boyacá | Tununguá |
| 282 | 15835 | Boyacá | Turmequé |
| 283 | 15837 | Boyacá | Tuta |
| 284 | 15839 | Boyacá | Tutazá |
| 285 | 15842 | Boyacá | Úmbíta |
| 286 | 15861 | Boyacá | Ventaquemada |
| 287 | 15879 | Boyacá | Viracachá |
| 288 | 15897 | Boyacá | Zetaquira |
| 289 | 17013 | Caldas | Aguadas |
| 290 | 17042 | Cadas | Anserma |
| 291 | 17050 | Cadas | Aranzazu |
| 292 | 17088 | Cadas | Belalcázar |
| 293 | 17272 | Caldas | Filadelia |
| 294 | 17388 | Cadas | La Merced |
| 295 | 17433 | Cadas | Manzanares |
| 296 | 17442 | Cadas | Marmato |
| 297 | 17444 | Cadas | Marquetaia |
| 298 | 17446 | Cadas | Maruianda |
| 299 | 17486 | Cadas | Neira |
| 300 | 17495 | Cadas | Norcasia |
| 301 | 17513 | Cadas | Pácora |
| 302 | 17524 | Cadas | Palestina |
| 303 | 17541 | Cadas | Pensi/vania |
| 304 | 17614 | Cadas | Ríosucío |
| 305 | 17616 | Cadas | Risarada |
| 306 | 17653 | Cadas | Sa/amina |
| 307 | 17662 | Cadas | Samaná |
| 308 | 17665 | Cadas | San José |
| 309 | 17777 | Cadas | Supía |
| 310 | 17867 | Cadas | Victoria |
| 311 | 18029 | Caqueá | Albania |
| 312 | 18094 | Caqueá | Belén de Los Andaquíes |
| 313 | 18150 | Caqueá | Cartagena del Cha irá |
| 314 | 18205 | Caqueá | Curíiio |
| 315 | 18247 | Caqueá | El Doncello |
| 316 | 18256 | Caqueá | El Paujl |
| 317 | 18410 | Caqueá | La Montañita |
| 318 | 18460 | Caqueá | Mlán |
| 319 | 18479 | Caqueá | Morelia |
| 320 | 18592 | Caqueá | Puerto Rico |
| 321 | 18610 | Caqueá | San José del Fragua |
| 322 | 18753 | Caqueá | San Vicente del Caguán |
| 323 | 18756 | Caqueá | Solano |
| 324 | 18785 | Caqueá | Soiita |
| 325 | 18860 | Caqueá | Valparaíso |
| 326 | 19022 | Cauca | Aimaguer |
| 327 | 19050 | Cauca | Argelia |
| 328 | 19075 | Cauca | Balboa |
| 329 | 19100 | Cauca | Bolívar |
| 330 | 19110 | Cauca | Buenos Aires |
| 331 | 19130 | Cauca | Cajibío |
| 332 | 19137 | Cauca | Ca/dono |
| 333 | 19142 | Cauca | Caloto |
| 334 | 19212 | Cauca | Corinto |
| 335 | 19256 | Cauca | El Tambo |
| 336 | 19290 | Cauca | Florencia |
| 337 | 19300 | Cauca | Guachené |
| 338 | 19318 | Cauca | Guapi |
| 339 | 19355 | Cauca | Inzá |
| 340 | 19364 | Cauca | Jambaó |
| 341 | 19392 | Cauca | La Sierra |
| 342 | 19397 | Cauca | La Vega |
| 343 | 19418 | Cauca | López de Micay |
| 344 | 19450 | Cauca | Mercaderes |
| 345 | 19455 | Cauca | Miranda |
| 346 | 19473 | Cauca | Morales |
| 347 | 19513 | Cauca | Padilla |
| 348 | 19517 | Cauca | Páez |
| 349 | 19532 | Cauca | Patía |
| 350 | 19533 | Cauca | Piamonte |
| 351 | 19548 | Cauca | Piendamó - Tunía |
| 352 | 19585 | Cauca | Puracé |
| 353 | 19622 | Cauca | Rosas |
| 354 | 19693 | Cauca | San Sebastián |
| 355 | 19701 | Cauca | Santa Rosa |
| 356 | 19743 | Cauca | Silvia |
| 357 | 19760 | Cauca | Sotará Paispamba |
| 358 | 19780 | Cauca | Suárez |
| 359 | 19785 | Cauca | Sucre |
| 360 | 19807 | Cauca | Timbío |
| 361 | 19809 | Cauca | Timbiquí |
| 362 | 19821 | Cauca | Toribío |
| 363 | 19824 | Cauca | Totoró |
| 364 | 19845 | Cauca | Villa Rica |
| 365 | 20011 | Cesar | Aguachica |
| 366 | 20013 | Cesar | Agustín Codazzi |
| 367 | 20032 | Cesar | Astrea |
| 368 | 20045 | Cesar | Becerril |
| 369 | 20060 | Cesar | Bosconia |
| 370 | 20175 | Cesar | Chimichagua |
| 371 | 20178 | Cesar | Chiriguaná |
| 372 | 20228 | Cesar | Curumaní |
| 373 | 20238 | Cesar | El Copey |
| 374 | 20250 | Cesar | El Paso |
| 375 | 20295 | Cesar | Gamarra |
| 376 | 20310 | Cesar | González |
| 377 | 20383 | Cesar | La Gloria |
| 378 | 20400 | Cesar | La Jagua de Ibirico |
| 379 | 20443 | Cesar | Manaure Balcón del Cesar |
| 380 | 20517 | Cesar | Pailitas |
| 381 | 20550 | Cesar | Pelaya |
| 382 | 20570 | Cesar | Pueblo Be lo |
| 383 | 20614 | Cesar | Río de Oro |
| 384 | 20621 | Cesar | La Paz |
| 385 | 20710 | Cesar | San Alberto |
| 386 | 20750 | Cesar | San Diego |
| 387 | 20770 | Cesar | San Martín |
| 388 | 20787 | Cesar | Tamaiameque |
| 389 | 23068 | Córdoba | Ayapel |
| 390 | 23079 | Córdoba | Buenavista |
| 391 | 23090 | Córdoba | Canalete |
| 392 | 23162 | Córdoba | Cereté |
| 393 | 23168 | Córdoba | Chimá |
| 394 | 23182 | Córdoba | Chinú |
| 395 | 23189 | Córdoba | Ciénaga de Oro |
| 396 | 23300 | Córdoba | Cotorra |
| 397 | 23350 | Córdoba | La Apartada |
| 398 | 23417 | Córdoba | Lorica |
| 399 | 23419 | Córdoba | Los Córdobas |
| 400 | 23464 | Córdoba | Moml |
| 401 | 23466 | Córdoba | Monteíbano |
| 402 | 23500 | Córdoba | Moñitos |
| 403 | 23555 | Córdoba | Planeta Rica |
| 404 | 23570 | Córdoba | Pueblo Nuevo |
| 405 | 23574 | Córdoba | Puerto Escondido |
| 406 | 23580 | Córdoba | Puerto Libertador |
| 407 | 23586 | Córdoba | Purísima de La Concepción |
| 408 | 23660 | Córdoba | Sahagún |
| 409 | 23670 | Córdoba | San Andrés Sotavento |
| 410 | 23672 | Córdoba | San Antera |
| 411 | 23675 | Córdoba | San Bernardo del Viento |
| 412 | 23678 | Córdoba | San Carlos |
| 413 | 23682 | Córdoba | San José de Uré |
| 414 | 23686 | Córdoba | San Pelayo |
| 415 | 23807 | Córdoba | Tierraita |
| 416 | 23815 | Córdoba | Tuchín |
| 417 | 23835 | Córdoba | Valencia |
| 418 | 25001 | Cundinamarca | Agua de Dios |
| 419 | 25019 | Cundinamarca | Aibán |
| 420 | 25035 | Cundinamarca | Anapoima |
| 421 | 25040 | Cundinamarca | Anolaima |
| 422 | 25053 | Cundinamarca | Arbeláez |
| 423 | 25086 | Cundinamarca | Beitrán |
| 424 | 25095 | Cundinamarca | Bituima |
| 425 | 25099 | Cundinamarca | Bojacá |
| 426 | 25120 | Cundinamarca | Cabrera |
| 427 | 25123 | Cundinamarca | Cachípay |
| 428 | 25148 | Cundinamarca | Caparrapí |
| 429 | 25151 | Cundinamarca | Cáqueza |
| 430 | 25154 | Cundinamarca | Carmen de Carupa |
| 431 | 25168 | Cundinamarca | Chaguaní |
| 432 | 25178 | Cundinamarca | Chipaque |
| 433 | 25181 | Cundinamarca | Choachí |
| 434 | 25183 | Cundinamarca | Chocontá |
| 435 | 25200 | Cundinamarca | Cogua |
| 436 | 25224 | Cundinamarca | Cucunubá |
| 437 | 25245 | Cundinamarca | El Colegio |
| 438 | 25258 | Cundinamarca | El Peñón |
| 439 | 25260 | Cundinamarca | El Rosal |
| 440 | 25279 | Cundinamarca | Fómeque |
| 441 | 25281 | Cundinamarca | Fosca |
| 442 | 25288 | Cundinamarca | Fúquene |
| 443 | 25293 | Cundinamarca | Gachaiá |
| 444 | 25295 | Cundinamarca | Gachancipá |
| 445 | 25297 | Cundinamarca | Gachetá |
| 446 | 25299 | Cundinamarca | Gama |
| 447 | 25312 | Cundinamarca | Granada |
| 448 | 25317 | Cundinamarca | Guachetá |
| 449 | 25320 | Cundinamarca | Guaduas |
| 450 | 25322 | Cundinamarca | Guasca |
| 451 | 25324 | Cundinamarca | Guataquí |
| 452 | 25326 | Cundinamarca | Guatavita |
| 453 | 25328 | Cundinamarca | Guayabal de Síquima |
| 454 | 25335 | Cundinamarca | Guayabetai |
| 455 | 25339 | Cundinamarca | Gutiérrez |
| 456 | 25368 | Cundinamarca | jerusaién |
| 457 | 25372 | Cundinamarca | Junín |
| 458 | 25394 | Cundinamarca | La Palma |
| 459 | 25398 | Cundinamarca | La Peña |
| 460 | 25402 | Cundinamarca | La Vega |
| 461 | 25407 | Cundinamarca | Lenguazaque |
| 462 | 25426 | Cundinamarca | Machetá |
| 463 | 25436 | Cundinamarca | Manta |
| 464 | 25438 | Cundinamarca | Medina |
| 465 | 25483 | Cundinamarca | Nariño |
| 466 | 25486 | Cundinamarca | Nemocón |
| 467 | 25488 | Cundinamarca | Niio |
| 468 | 25489 | Cundinamarca | Nimaima |
| 469 | 25491 | Cundinamarca | Nocaima |
| 470 | 25506 | Cundinamarca | Venecia |
| 471 | 25513 | Cundinamarca | Pacho |
| 472 | 25518 | Cundinamarca | Paime |
| 473 | 25524 | Cundinamarca | Pandi |
| 474 | 25530 | CCundinamarca | Paratebueno |
| 475 | 25535 | Cundinamarca | Pasca |
| 476 | 25572 | Cundinamarca | Puerto Salgar |
| 477 | 25580 | Cundinamarca | Pulí |
| 478 | 25592 | Cundinamarca | Quebradanegra |
| 479 | 25594 | Cundinamarca | Quetame |
| 480 | 25596 | Cundinamarca | Quipiie |
| 481 | 25599 | Cundinamarca | Apulo |
| 482 | 25612 | Cundinamarca | Ricaurte |
| 483 | 25645 | Cundinamarca | San Antonio dei Tequendama |
| 484 | 25649 | Cundinamarca | San Bernardo |
| 485 | 25653 | Cundinamarca | San Cayetano |
| 486 | 25658 | Cundinamarca | San Francisco |
| 487 | 25662 | Cundinamarca | San Juan de Rioseco |
| 488 | 25718 | Cundinamarca | Sasaima |
| 489 | 25718 | Cundinamarca | Sesque |
| 490 | 25743 | Cundinamarca | Siivania |
| 491 | 25745 | Cundinamarca | Simijaca |
| 492 | 25769 | Cundinamarca | Subachoque |
| 493 | 25772 | Cundinamarca | Suesca |
| 494 | 25777 | Cundinamarca | Supaá |
| 495 | 25779 | Cundinamarca | Susa |
| 496 | 25781 | Cundinamarca | Sutatausa |
| 497 | 25793 | Cundinamarca | Tausa |
| 498 | 25797 | Cundinamarca | Tena |
| 499 | 25805 | Cundinamarca | Tibacuy |
| 500 | 25807 | Cundinamarca | Tibirita |
| 501 | 25815 | Cundinamarca | Tocaima |
| 502 | 25823 | Cundinamarca | Topaipí |
| 503 | 25839 | Cundinamarca | Ubaá |
| 504 | 25841 | Cundinamarca | Ubaque |
| 505 | 25845 | Cundinamarca | Une |
| 506 | 25851 | Cundinamarca | Útica |
| 507 | 25862 | Cundinamarca | Vergara |
| 508 | 25867 | Cundinamarca | Víaní |
| 509 | 25871 | Cundinamarca | Vilagómez |
| 510 | 25873 | Cundinamarca | Vilapinzón |
| 511 | 25875 | Cundinamarca | Vileta |
| 512 | 25878 | Cundinamarca | Viotá |
| 513 | 25885 | Cundinamarca | Yacopí |
| 514 | 25898 | Cundinamarca | Zipacón |
| 515 | 27001 | Chocó | Quibdó |
| 516 | 27006 | Chocó | Acandí |
| 517 | 27025 | Chocó | Alto Baudó |
| 518 | 27050 | Chocó | Atrato |
| 519 | 27073 | Chocó | Bagadó |
| 520 | 27075 | Chocó | Bahía Solano |
| 521 | 27077 | Chocó | Bajo Baudó |
| 522 | 27099 | Chocó | Bojayá |
| 523 | 27135 | Chocó | El Cantón del San Pablo |
| 524 | 27150 | Chocó | Carmen del Darién |
| 525 | 27160 | Chocó | Cértegui |
| 526 | 27205 | Chocó | Condoto |
| 527 | 27245 | Chocó | El Carmen de A trato |
| 528 | 27250 | Chocó | El Litoral del San Juan |
| 529 | 27361 | Chocó | Istmina |
| 530 | 27372 | Chocó | Juradó |
| 531 | 27413 | Chocó | Lloró |
| 532 | 27425 | Chocó | Medio A trato |
| 533 | 27430 | Chocó | Medio Baudó |
| 534 | 27450 | Chocó | Medio San Juan |
| 535 | 27491 | Chocó | Nóvita |
| 536 | 27495 | Chocó | Nuquí |
| 537 | 27580 | Chocó | Río Iró |
| 538 | 27600 | Chocó | Río Quito |
| 539 | 27615 | Chocó | Riosucio |
| 540 | 27660 | Chocó | San José del Palmar |
| 541 | 27745 | Chocó | Sipí |
| 542 | 27787 | Chocó | Tadó |
| 543 | 27800 | Chocó | Unguía |
| 544 | 27810 | Chocó | Unión Panamericana |
| 545 | 41006 | Hula | Acevedo |
| 546 | 41013 | Hula | Agrado |
| 547 | 41016 | Hula | Aípe |
| 548 | 41020 | Hula | Aigeciras |
| 549 | 41026 | Hula | Altamira |
| 550 | 41078 | Hula | Baraya |
| 551 | 41132 | Hula | Campoaiegre |
| 552 | 41206 | Hula | Colombia |
| 553 | 41244 | Hula | Elias |
| 554 | 41298 | Hula | Garzón |
| 555 | 41306 | Hula | Gigante |
| 556 | 41319 | Hula | Guadalupe |
| 557 | 41349 | Hula | Hobo |
| 558 | 41357 | Hula | Íquira |
| 559 | 41359 | Hula | Isnos |
| 560 | 41378 | Hula | La Argentina |
| 561 | 41396 | Hula | La Plata |
| 562 | 41483 | Hula | Nátaga |
| 563 | 41503 | Hula | Oporapa |
| 564 | 41518 | Hula | Paicol |
| 565 | 41524 | Huíla | Pa/ermo |
| 566 | 41530 | Hula | Palestina |
| 567 | 41548 | Hula | Pita/ |
| 568 | 41551 | Huíla | Pita/ito |
| 569 | 41615 | Hula | Rvera |
| 570 | 41660 | Hula | Saladoblanco |
| 571 | 41668 | Huíla | San Agustín |
| 572 | 41676 | Hula | Santa María |
| 573 | 41770 | Hula | Suaza |
| 574 | 41791 | Huíla | Tarqui |
| 575 | 41797 | Hula | Tesalia |
| 576 | 41799 | Hula | Telo |
| 577 | 41801 | Huíla | Teruel |
| 578 | 41807 | Hula | Timaná |
| 579 | 41872 | Huíla | Vilavieja |
| 580 | 41885 | Hula | Yaguará |
| 581 | 44035 | La Guajira | Albania |
| 582 | 44078 | La Guajira | Barrancas |
| 583 | 44090 | La Guajira | Dibula |
| 584 | 44098 | La Guajira | Distracción |
| 585 | 44110 | La Guajira | El Molino |
| 586 | 44279 | La Guajira | Fonseca |
| 587 | 44378 | La Guajira | Hatonuevo |
| 588 | 44420 | La Guajira | La Jagua del Pilar |
| 589 | 44430 | La Guajira | Maicao |
| 590 | 44560 | La Guajira | Manaure |
| 591 | 44650 | La Guajira | San Juan del Cesar |
| 592 | 44847 | La Guajira | Uribia |
| 593 | 44855 | La Guajira | Urumita |
| 594 | 44874 | La Guajira | Vilanueva |
| 595 | 47030 | Magdalena | Algarrobo |
| 596 | 47053 | Magdalena | Aracataca |
| 597 | 47058 | Magdalena | Ariguaní |
| 598 | 47161 | Magdalena | Cerro de San Antonio |
| 599 | 47170 | Magdalena | Chibolo |
| 600 | 47189 | Magdalena | Ciénaga |
| 601 | 47205 | Magdalena | Concordia |
| 602 | 47245 | Magdalena | El Banco |
| 603 | 47258 | Magdalena | El Piñón |
| 604 | 47268 | Magdalena | El Retén |
| 605 | 47288 | Magdalena | Fundación |
| 606 | 47318 | Magdalena | Guamal |
| 607 | 47460 | Magdalena | Nueva Granada |
| 608 | 47541 | Magdalena | Pedraza |
| 609 | 47545 | Magdalena | Pijiño del Carmen |
| 610 | 47551 | Magdalena | Pivijay |
| 611 | 47555 | Magdalena | Plato |
| 612 | 47570 | Magdalena | Pueb/oviejo |
| 613 | 47605 | Magdalena | Remolino |
| 614 | 47660 | Magdalena | Sabanas de San Ángel |
| 615 | 47675 | Magdalena | Salamina |
| 616 | 47692 | Magdalena | San Sebastián de Buenavista |
| 617 | 47703 | Magdalena | San Zenón |
| 618 | 47707 | Magdalena | Santa Ana |
| 619 | 47720 | Magdalena | Santa Bárbara de Pinto |
| 620 | 47745 | Magdalena | Sitionuevo |
| 621 | 47798 | Magdalena | Tenerife |
| 622 | 47960 | Magdalena | Zapayán |
| 623 | 47980 | Magdalena | Zona Bananera |
| 624 | 50110 | Meta | Barranca de Upía |
| 625 | 50124 | Meta | Cabuyaro |
| 626 | 50150 | Meta | Castilla la Nueva |
| 627 | 50223 | Meta | Cubarral |
| 628 | 50226 | Meta | Cumaral |
| 629 | 50245 | Meta | El Calvario |
| 630 | 50251 | Meta | El Castillo |
| 631 | 50270 | Meta | El Dorado |
| 632 | 50287 | Meta | Fuente de Oro |
| 633 | 50313 | Meta | Granada |
| 634 | 50318 | Meta | Guamal |
| 635 | 50325 | Meta | Mapiripán |
| 636 | 50330 | Meta | Mesetas |
| 637 | 50350 | Meta | La Macarena |
| 638 | 50370 | Meta | Uribe |
| 639 | 50400 | Meta | Lejanías |
| 640 | 50450 | Meta | Puerto Concordia |
| 641 | 50568 | Meta | Puerto Gatán |
| 642 | 50573 | Meta | Puerto López |
| 643 | 50577 | Meta | Puerto Lleras |
| 644 | 50590 | Meta | Puerto Rico |
| 645 | 50680 | Meta | San Carlos de Guaroa |
| 646 | 50683 | Meta | San Juan de Arama |
| 647 | 50686 | Meta | San Juanita |
| 648 | 50711 | Meta | Vistahermosa |
| 649 | 52019 | Nariño | Aibán |
| 650 | 52022 | Nariño | Aidana |
| 651 | 52036 | Nariño | Ancuya |
| 652 | 52051 | Nariño | Arboleda |
| 653 | 52079 | Nariño | Barbacoas |
| 654 | 52083 | Nariño | Belén |
| 655 | 52110 | Nariño | Buesaco |
| 656 | 52203 | Nariño | Colón |
| 657 | 52207 | Nariño | Consacá |
| 658 | 52210 | Nariño | Contadero |
| 659 | 52215 | Nariño | Córdoba |
| 660 | 52224 | Nariño | Cuaspud Caríosama |
| 661 | 52227 | Nariño | Cumbal |
| 662 | 52233 | Nariño | Cumbitara |
| 663 | 52240 | Nariño | Chachagüí |
| 664 | 52250 | Nariño | El Charco |
| 665 | 52254 | Nariño | El Peñol |
| 666 | 52256 | Nariño | El Rosario |
| 667 | 52258 | Nariño | El Tablón de Gómez |
| 668 | 52260 | Nariño | El Tambo |
| 669 | 52287 | Nariño | Funes |
| 670 | 52317 | Nariño | Guachucal |
| 671 | 52320 | Nariño | Guaitarilla |
| 672 | 52323 | Nariño | Gua/matín |
| 673 | 52352 | Nariño | I/es |
| 674 | 52354 | Nariño | Imués |
| 675 | 52356 | Nariño | Ipiales |
| 676 | 52378 | Nariño | La Cruz |
| 677 | 52381 | Nariño | La Florida |
| 678 | 52385 | Nariño | La Llanada |
| 679 | 52390 | Nariño | La Tola |
| 680 | 52399 | Nariño | La Unión |
| 681 | 52405 | Nariño | Leiva |
| 682 | 52411 | Nariño | Linares |
| 683 | 52418 | Nariño | Los Andes |
| 684 | 52427 | Nariño | Magüí |
| 685 | 52435 | Nariño | Maiiama |
| 686 | 52473 | Nariño | Mosquera |
| 687 | 52480 | Nariño | Nariño |
| 688 | 52490 | Nariño | Olaya Herrera |
| 689 | 52506 | Nariño | Ospina |
| 690 | 52520 | Nariño | Francisco Pizarro |
| 691 | 52540 | Nariño | Poíicarpa |
| 692 | 52560 | Nariño | Potosí |
| 693 | 52565 | Nariño | Providencia |
| 694 | 52573 | Nariño | Puerres |
| 695 | 52585 | Nariño | Pupiaíes |
| 696 | 52612 | Nariño | Ricaurte |
| 697 | 52621 | Nariño | Robeto Payán |
| 698 | 52678 | Nariño | Samaniego |
| 699 | 52683 | Nariño | Sandoná |
| 700 | 52685 | Nariño | San Bernardo |
| 701 | 52687 | Nariño | San Lorenzo |
| 702 | 52693 | Nariño | San Pablo |
| 703 | 52694 | Nariño | San Pedro de Catago |
| 704 | 52696 | Nariño | Santa Bárbara |
| 705 | 52699 | Nariño | Santacruz |
| 706 | 52720 | Nariño | Sapuyes |
| 707 | 52786 | Nariño | Taminango |
| 708 | 52788 | Nariño | Tangua |
| 709 | 52835 | Nariño | San Andrés de Tumaco |
| 710 | 52838 | Nariño | Túquerres |
| 711 | 52885 | Nariño | Yacuanquer |
| 712 | 54003 | Norte de Santander | Ábrego |
| 713 | 54051 | Norte de Santander | Arboledas |
| 714 | 54099 | Norte de Santander | Bocha/ema |
| 715 | 54109 | Norte de Santander | Bucarasica |
| 716 | 54125 | Norte de Santander | Cácota |
| 717 | 54128 | Norte de Santander | Cáchira |
| 718 | 54172 | Norte de Santander | Chinácota |
| 719 | 54174 | Norte de Santander | Chitagá |
| 720 | 54206 | Norte de Santander | Convención |
| 721 | 54223 | Norte de Santander | Cucutilla |
| 722 | 54239 | Norte de Santander | Durania |
| 723 | 54245 | Norte de Santander | El Carmen |
| 724 | 54250 | Norte de Santander | El Tara |
| 725 | 54261 | Norte de Santander | El Zuia |
| 726 | 54313 | Norte de Santander | Gramalote |
| 727 | 54344 | Norte de Santander | Hacarí |
| 728 | 54347 | Norte de Santander | Herán |
| 729 | 54377 | Norte de Santander | Labateca |
| 730 | 54385 | Norte de Santander | La Esperanza |
| 731 | 54398 | Norte de Santander | La Playa |
| 732 | 54418 | Norte de Santander | Lourdes |
| 733 | 54480 | Norte de Santander | Mutiscua |
| 734 | 54498 | Norte de Santander | Ocaña |
| 735 | 54518 | Norte de Santander | Pamplona |
| 736 | 54520 | Norte de Santander | Pamp/onita |
| 737 | 54553 | Norte de Santander | Pueto Santander |
| 738 | 54599 | Norte de Santander | Ragonvaia |
| 739 | 54660 | Norte de Santander | Salazar |
| 740 | 54670 | Norte de Santander | San CaXto |
| 741 | 54673 | Norte de Santander | San Cayetano |
| 742 | 54680 | Norte de Santander | Santiago |
| 743 | 54720 | Norte de Santander | Sardinata |
| 744 | 54743 | Norte de Santander | Silos |
| 745 | 54800 | Norte de Santander | Teorama |
| 746 | 54810 | Norte de Santander | Tibú |
| 747 | 54820 | Norte de Santander | Toledo |
| 748 | 54871 | Norte de Santander | Villa Caro |
| 749 | 63111 | Quíndío | Buenavista |
| 750 | 63212 | Quíndío | Córdoba |
| 751 | 63272 | Quíndío | Fi/andia |
| 752 | 63302 | Quíndío | Génova |
| 753 | 63548 | Quíndío | Pjao |
| 754 | 63690 | Quíndío | Saíento |
| 755 | 66045 | Risaraída | Apía |
| 756 | 66075 | Risaraída | Balboa |
| 757 | 66088 | Risaraída | Beíén de Umbría |
| 758 | 66318 | Risaraída | Guática |
| 759 | 66383 | Risaraída | La Celia |
| 760 | 66440 | Risaraída | Marsella |
| 761 | 66456 | Risaraída | Mistrató |
| 762 | 66572 | Risaraída | Pueblo Rico |
| 763 | 66594 | Risaraída | Quinchía |
| 764 | 66687 | Risaraída | Santuario |
| 765 | 68013 | Santander | Aguada |
| 766 | 68020 | Santander | Albania |
| 767 | 68051 | Santander | Aratoca |
| 768 | 68077 | Santander | Barbosa |
| 769 | 68079 | Santander | Barichara |
| 770 | 68092 | Santander | Betuíia |
| 771 | 68101 | Santander | Bolívar |
| 772 | 68121 | Santander | Cabrera |
| 773 | 68132 | Santander | California |
| 774 | 68147 | Santander | Capitanejo |
| 775 | 68152 | Santander | Carcasí |
| 776 | 68160 | Santander | Cepitá |
| 777 | 68162 | Santander | Cerrito |
| 778 | 68167 | Santander | Charaiá |
| 779 | 68169 | Santander | Charta |
| 780 | 68176 | Santander | Chimá |
| 781 | 68179 | Santander | Chipatá |
| 782 | 68190 | Santander | Cimitarra |
| 783 | 68207 | Santander | Concepción |
| 784 | 68209 | Santander | Confines |
| 785 | 68211 | Santander | Contratación |
| 786 | 68217 | Santander | Coromoro |
| 787 | 68229 | Santander | Curití |
| 788 | 68235 | Santander | Eí Carmen de Chucurí |
| 789 | 68245 | Santander | Eí Guacamayo |
| 790 | 68250 | Santander | Eí Peñón |
| 791 | 68255 | Santander | Eí Playón |
| 792 | 68264 | Santander | Encino |
| 793 | 68266 | Santander | Enciso |
| 794 | 68271 | Santander | Fíorián |
| 795 | 68296 | Santander | Galán |
| 796 | 68298 | Santander | Gámbita |
| 797 | 68318 | Santander | Guaca |
| 798 | 68320 | Santander | Guadalupe |
| 799 | 68322 | Santander | Guapotá |
| 800 | 68324 | Santander | Guavatá |
| 801 | 68327 | Santander | Güepsa |
| 802 | 68344 | Santander | Hato |
| 803 | 68368 | Santander | Jesús María |
| 804 | 68370 | Santander | Jordán |
| 805 | 68377 | Santander | La Belleza |
| 806 | 68385 | Santander | Landázuri |
| 807 | 68397 | Santander | La Paz |
| 808 | 68406 | Santander | Lebrija |
| 809 | 68418 | Santander | Los Santos |
| 810 | 68425 | Santander | Macaravita |
| 811 | 68432 | Santander | Málaga |
| 812 | 68444 | Santander | Matanza |
| 813 | 68464 | Santander | Mogotes |
| 814 | 68468 | Santander | Moiagavita |
| 815 | 68498 | Santander | Ocamonte |
| 816 | 68500 | Santander | Oiba |
| 817 | 68502 | Santander | Onzaga |
| 818 | 68522 | Santander | Palmar |
| 819 | 68524 | Santander | Palmas del Socorro |
| 820 | 68533 | Santander | Páramo |
| 821 | 68549 | Santander | Pinchote |
| 822 | 68572 | Santander | Puente Nacional |
| 823 | 68573 | Santander | Puerto Parra |
| 824 | 68575 | Santander | Puerto Wi/ches |
| 825 | 68615 | Santander | Rionegro |
| 826 | 68655 | Santander | Sabana de Torres |
| 827 | 68669 | Santander | San Andrés |
| 828 | 68673 | Santander | San Benito |
| 829 | 68682 | Santander | San Joaquín |
| 830 | 68684 | Santander | San José de Miranda |
| 831 | 68686 | Santander | San Miguel |
| 832 | 68689 | Santander | San Vicente de Chucurí |
| 833 | 68705 | Santander | Santa Bárbara |
| 834 | 68720 | Santander | Santa Helena del Opón |
| 835 | 68745 | Santander | Simacota |
| 836 | 68755 | Santander | Socorro |
| 837 | 68770 | Santander | Suata |
| 838 | 68773 | Santander | Sucre |
| 839 | 68780 | Santander | Suratá |
| 840 | 68820 | Santander | Tona |
| 841 | 68855 | Santander | Vale de San José |
| 842 | 68861 | Santander | Véiez |
| 843 | 68867 | Santander | Vetas |
| 844 | 68872 | Santander | Viiianueva |
| 845 | 68895 | Santander | Zapatoca |
| 846 | 70110 | Sucre | Buenavista |
| 847 | 70124 | Sucre | Caimito |
| 848 | 70204 | Sucre | Coloso |
| 849 | 70221 | Sucre | Coveñas |
| 850 | 70230 | Sucre | Chalán |
| 851 | 70233 | Sucre | El Roble |
| 852 | 70235 | Sucre | Galeras |
| 853 | 70265 | Sucre | Guaranda |
| 854 | 70400 | Sucre | La Unión |
| 855 | 70418 | Sucre | Los Palmitos |
| 856 | 70429 | Sucre | Majagual |
| 857 | 70473 | Sucre | Morroa |
| 858 | 70508 | Sucre | Ovejas |
| 859 | 70523 | Sucre | Palmito |
| 860 | 70670 | Sucre | Sampués |
| 861 | 70678 | Sucre | San Benito Abad |
| 862 | 70702 | Sucre | San Juan de Betuia |
| 863 | 70708 | Sucre | San Marcos |
| 864 | 70713 | Sucre | San Onofre |
| 865 | 70717 | Sucre | San Pedro |
| 866 | 70742 | Sucre | San Luis de Sincé |
| 867 | 70771 | Sucre | Sucre |
| 868 | 70820 | Sucre | Santiago de Toú |
| 869 | 70823 | Sucre | Toú Viejo |
| 870 | 73024 | Toima | Aipujarra |
| 871 | 73026 | Toima | Alvarado |
| 872 | 73030 | Toima | Ambaiema |
| 873 | 73043 | Toima | Anzoátegui |
| 874 | 73055 | Toima | Armero |
| 875 | 73067 | Toima | Ataco |
| 876 | 73124 | Toima | Cajamarca |
| 877 | 73148 | Toima | Carmen de Apicaiá |
| 878 | 73152 | Toima | Casabianca |
| 879 | 73168 | Toima | Chaparral |
| 880 | 73200 | Toima | Coeio |
| 881 | 73217 | Toima | Coyaima |
| 882 | 73226 | Toima | Cunday |
| 883 | 73236 | Toima | Dolores |
| 884 | 73270 | Toima | Fa/an |
| 885 | 73283 | Toima | Fresno |
| 886 | 73319 | Toima | Guamo |
| 887 | 73347 | Toima | Heveo |
| 888 | 73352 | Toima | Icononzo |
| 889 | 73408 | Toima | Lérida |
| 890 | 73411 | Toima | Líbano |
| 891 | 73443 | Toima | Mariquita |
| 892 | 73461 | Toima | Murillo |
| 893 | 73483 | Toima | Natagaima |
| 894 | 73504 | Toima | Ortega |
| 895 | 73520 | Toima | Paiocabiido |
| 896 | 73547 | Toima | Piedras |
| 897 | 73555 | Toima | Planadas |
| 898 | 73563 | Toima | Prado |
| 899 | 73585 | Toima | Purificación |
| 900 | 73616 | Toima | Riobianco |
| 901 | 73622 | Toima | Roncesvales |
| 902 | 73624 | Toima | Rovira |
| 903 | 73671 | Toima | Saidaña |
| 904 | 73675 | Toima | San Antonio |
| 905 | 73678 | Toima | San Luis |
| 906 | 73686 | Toima | Santa Isabel |
| 907 | 73770 | Toima | Suárez |
| 908 | 73854 | Toima | Vale de San Juan |
| 909 | 73861 | Toima | Venadlio |
| 910 | 73870 | Toima | Vliahermosa |
| 911 | 73873 | Toima | Vilarrica |
| 912 | 76020 | Vale del Cauca | Alcalá |
| 913 | 76036 | Vale del Cauca | Andalucía |
| 914 | 76041 | Vale del Cauca | Ansermanuevo |
| 915 | 76054 | Vale del Cauca | Argelia |
| 916 | 76100 | Vale del Cauca | Bolívar |
| 917 | 76109 | Vale del Cauca | Buenaventura |
| 918 | 76113 | Vale del Cauca | Bugaiagrande |
| 919 | 76126 | Vale del Cauca | Caima |
| 920 | 76233 | Vale del Cauca | Dagua |
| 921 | 76243 | Vale del Cauca | Ei Águla |
| 922 | 76246 | Vale del Cauca | Ei Cairo |
| 923 | 76250 | Vale del Cauca | Ei Dovío |
| 924 | 76306 | Vale del Cauca | Ginebra |
| 925 | 76318 | Vale del Cauca | Guacarí |
| 926 | 76377 | Vale del Cauca | La Cumbre |
| 927 | 76400 | Vale del Cauca | La Unión |
| 928 | 76403 | Vale del Cauca | La Victoria |
| 929 | 76497 | Vale del Cauca | Obando |
| 930 | 76606 | Vale del Cauca | Restrepo |
| 931 | 76616 | Vale del Cauca | Riofrío |
| 932 | 76670 | Vale del Cauca | San Pedro |
| 933 | 76736 | Vale del Cauca | Sevilla |
| 934 | 76823 | Vale del Cauca | Toro |
| 935 | 76828 | Vale del Cauca | TrujiHo |
| 936 | 76845 | Vale del Cauca | Uloa |
| 937 | 76863 | Vale del Cauca | Versales |
| 938 | 76869 | Vale del Cauca | Vjes |
| 939 | 76890 | Vale del Cauca | Yotoco |
| 940 | 81001 | Arauca | Arauca |
| 941 | 81065 | Arauca | Arauquta |
| 942 | 81220 | Arauca | Cravo Norte |
| 943 | 81300 | Arauca | Fortui |
| 944 | 81591 | Arauca | Puerto Rondón |
| 945 | 81736 | Arauca | Saravena |
| 946 | 81794 | Arauca | Tame |
| 947 | 85010 | Casanare | Aguazui |
| 948 | 85015 | Casanare | Chámeza |
| 949 | 85125 | Casanare | Hato Corozai |
| 950 | 85136 | Casanare | La Salina |
| 951 | 85139 | Casanare | Maní |
| 952 | 85162 | Casanare | Monterrey |
| 953 | 85225 | Casanare | Nunchía |
| 954 | 85230 | Casanare | Orocué |
| 955 | 85250 | Casanare | Paz de Ariporo |
| 956 | 85263 | Casanare | Pore |
| 957 | 85279 | Casanare | Recetor |
| 958 | 85300 | Casanare | Sabanaiarga |
| 959 | 85315 | Casanare | Sácama |
| 960 | 85325 | Casanare | San Luis de Palenque |
| 961 | 85400 | Casanare | Támara |
| 962 | 85410 | Casanare | Tauramena |
| 963 | 85430 | Casanare | Trinidad |
| 964 | 85440 | Casanare | Viiianueva |
| 965 | 86001 | Putumayo | Mocoa |
| 966 | 86219 | Putumayo | Coón |
| 967 | 86320 | Putumayo | Orito |
| 968 | 86568 | Putumayo | Puerto Asís |
| 969 | 86569 | Putumayo | Puerto Caicedo |
| 970 | 86571 | Putumayo | Puerto Guzmán |
| 971 | 86573 | Putumayo | Puerto Leguízamo |
| 972 | 86749 | Putumayo | Sibundoy |
| 973 | 86755 | Putumayo | San Francisco |
| 974 | 86757 | Putumayo | San Miguel |
| 975 | 86760 | Putumayo | Santiago |
| 976 | 86865 | Putumayo | Valle dei Guamuez |
| 977 | 86885 | Putumayo | Viiiagarzón |
| 978 | 88001 | Arch. de San Andrés | San Andrés |
| 979 | 88564 | Arch. de San Andrés | Providencia |
| 980 | 91001 | Amazonas | Leticia |
| 981 | 91263 | Amazonas | Ei Encanto (CD) |
| 982 | 91405 | Amazonas | La Chorrera (CD) |
| 983 | 91407 | Amazonas | La Pedrera (CD) |
| 984 | 91430 | Amazonas | La Victoria (CD) |
| 985 | 91460 | Amazonas | Miriti - Paraná (CD) |
| 986 | 91530 | Amazonas | Puerto Alegría (CD) |
| 987 | 91536 | Amazonas | Puerto Arica (CD) |
| 988 | 91540 | Amazonas | Puerto Nariño |
| 989 | 91669 | Amazonas | Puerto Santander (CD) |
| 990 | 91798 | Amazonas | Tarapacá (CD) |
| 991 | 94001 | Guainía | Inírida |
| 992 | 94343 | Guainía | Barrancominas |
| 993 | 94883 | Guainía | San Felipe (CD) |
| 994 | 94884 | Guainía | Puerto Colombia (CD) |
| 995 | 94885 | Guainía | La Guadalupe (CD) |
| 996 | 94886 | Guainía | Cacahual (CD) |
| 997 | 94887 | Guainía | Pana Pana (CD) |
| 998 | 94888 | Guainía | Morichal (CD) |
| 999 | 95001 | Guaviare | San José dei Guaviare |
| 1000 | 95015 | Guaviare | Calamar |
| 1001 | 95025 | Guaviare | Ei Retorno |
| 1002 | 95200 | Guaviare | Mirafíores |
| 1003 | 97001 | Vaupés | Mitú |
| 1004 | 97161 | Vaupés | Carurú |
| 1005 | 97511 | Vaupés | Pacoa (CD) |
| 1006 | 97666 | Vaupés | Taraira |
| 1007 | 97777 | Vaupés | Papunahua (CD) |
| 1008 | 97889 | Vaupés | Yavaraté (CD) |
| 1009 | 99001 | Vichada | Puerto Carreño |
| 1010 | 99524 | Vichada | La Primavera |
| 1011 | 99624 | Vichada | Santa Rosalía |
| 1012 | 99773 | Vichada | Cumaribo |
B. En caso de prestar el servicio de acceso a Internet fijo en un municipio no incluido en el literal A del presente Anexo, el proveedor que, a 31 de diciembre del año inmediatamente anterior, contaba con menos de treinta mil (30.000) accesos en el segmento residencial a nivel nacional y que quiera acceder a la aplicación de las medidas diferenciales expedidas en el marco del parágrafo 1 del artículo 31 de la Ley 1978 de 2019, deberá demostrar ante la Comisión de Regulación de Comunicaciones, la condición rural, apartada o de difícil acceso de una o más zonas de los municipios en los cuales presta su servicio, para lo cual deberá remitir una comunicación a esta entidad con copia a la Superintendencia de Industria y Comercio -SIC- identificando las coordenadas geográficas (latitud y longitud) en que presta el servicio en el respectivo municipio, justificando su condición rural, apartada o de difícil acceso, y allegando la información que se considere pertinente para tal fin. La CRC podrá solicitar información adicional para demostrar dicha condición, dentro de los 10 días hábiles siguientes al recibo de la comunicación. Si la CRC no requiere información adicional dentro de este término se entenderá que el proveedor podrá acceder a la aplicación de las medidas diferenciales de que trata el presente acto administrativo.
ANEXO 3.1. LISTA DE MERCADOS RELEVANTES.
<Anexo modificado por el artículo 1 de la Resolución 7885 de 2025. El nuevo texto es el siguiente:>
1. Mercados minoristas definidos con alcance municipal
| Mercado relevante | Servicios que conforman el mercado |
| 1.1. Voz saliente local y nacional | Voz fija y Servicios Móviles |
| 1.2. Acceso a Internet fijo residencial para los municipios con desempeño alto-moderado, incipiente y bajo | Internet fijo para el segmento residencial |
| 1.3. Acceso a Internet fijo residencial para los municipios con desempeño limitado | Internet fijo para el segmento residencial e Internet móvil |
| 1.4. Acceso a Internet fijo corporativo | Internet fijo para el segmento corporativo |
| 1.5. Paquete de servicios Dúo Play 1 para el segmento residencial | Paquete que incluye telefonía fija + Internet fijo para el segmento residencial |
| 1.6. Paquete de servicio Dúo Play 2 para el segmento residencial | Paquete que incluye televisión por suscripción + Internet fijo para el segmento residencial |
| 1.7. Paquete de servicios Triple Play para el segmento residencial | Paquete que incluye televisión por suscripción + Internet fijo + telefonía fija para el segmento residencial |
| 1.8. Televisión multicanal en municipios con desempeño alto-moderado | Televisión por suscripción |
| 1.9. Televisión multicanal en municipios con desempeño incipiento, bajo y limitado | Televisión por suscripción y televisión comunitaria |
| 1.10. Contenidos de radiodifusión sonora para concesiones comerciales y comunitarias en Frecuencia Modulada (F.M.) (1) | Emisión de contenidos de emisoras comerciales y comunitarias en Frecuencia Modulada (F.M) |
| 1.11. Contenidos de radiodifusión sonora para concesiones comerciales en Amplitud Modulada (A.M). (2) | Emisión de contenidos de emisoras comerciales en Amplitud Modulada (A.M.) |
| 1.12. Contenidos de radiodifusión sonora para concesiones de interes público | Emisión de contenidos de emisoras de interes público |
(1) Nota: Este mercado hace parte de un mercado de dos lados no transaccional con dos mercados de producto relevantes separados
(2) Nota: Este mercado hace parte de un mercado de dos lados no transaccional con dos mercados de producto relevantes separados
2. Mercados minoristas definidos con alcance nacional
| Mercado relevante | Servicios que conforman el mercado |
| 2.1.Voz saliente móvil | Voz fija, SMS y MMS |
| 2.2. Voz saliente de larga distancia internacional | Voz fija, Servicios Móviles y plataformas OTT para realizar llamadas. |
| 2.3. Internet móvil | Internet móvil |
| 2.4. Servicios Móviles | Paquete que incluye voz saliente móvil, SMS/MMS e Internet móvil |
| 2.5. Distribución minorista de contenidos en canales de televisión abierta nacional operados por privados, con alcance nacional(1) | Emisión de contenidos de los canales de televisión abierta nacional |
(1) Nota: Este mercado hace parte de un mercado de dos lados no transaccional con dos mercados de producto relevantas separados
3. Mercados mayoristas
3.1. Mercados Mayoristas de Terminación.
3.1.A. Mercado Mayorista de terminación de llamadas fijo-fijo en cada municipio del país.
3.1.B. Mercado Mayorista de terminación de llamadas móvil-fijo en cada municipio del país.
3.1.C. Mercado Mayorista de terminación de llamadas móvil-móvil en todo el territorio nacional.
3.1.D. Mayorista de terminación de llamadas fijo-móvil en todo el territorio nacional.
3.1.E. Mercado Mayorista de terminación de llamadas de larga distancia internacional en todo el territorio nacional.
3.2. Mercado Mayorista Portador en cada municipio del país.
3.3. Mercado Mayorista de acceso y originación móvil - en todo el territorio nacional.
3.4. Mercados mayoristas de emisión de canales de televisión abierta nacional operados por privados, con alcance nacional.
3.5. Mercados mayoristas de emisión de canales de televisión abierta regional, con alcance nacional.
ANEXO 3.2. LISTA DE MERCADOS RELEVANTES SUSCEPTIBLES DE REGULACIÓN EX ANTE.
<Anexo modificado por el artículo 131 de la Resolución 7811 de 2025. El nuevo texto es el siguiente:>
- Servicios móviles (2.4. del ANEXO 3.1.)
- Mercado Mayorista de terminación de llamadas fijo-fijo en cada municipio del país. (3.1.A. del ANEXO 3.1.)
- Mercado Mayorista de terminación de llamadas móvil-fijo en cada municipio del país. (3.1.B. del ANEXO 3.1.)
- Mercado Mayorista de terminación de llamadas móvil-móvil en todo el territorio nacional. (3.1.C. del ANEXO 3.1.)
- Mercado Mayorista de terminación de llamadas fijo-móvil en todo el territorio nacional (3.1.D. del ANEXO 3.1.)
- Mercado Mayorista de terminación de llamadas de larga distancia internacional en todo el territorio nacional. (3.1.E. del ANEXO 3.1.)
- Mercado Mayorista de acceso y originación - en todo el territorio nacional (3.3. del ANEXO 3.1.).
- Mercado Mayorista Portador (3.2. del ANEXO 3.1.) en cada uno de los municipios listados a continuación:
| Número | Código municipio DIVIPOLA | Departamento | Municipio |
| 1 | 91405 | Amazonas | La Chorrera (CD) |
| 2 | 91001 | Amazonas | Leticia |
| 3 | 05038 | Antioquia | Angostura |
| 4 | 05055 | Antioquia | Argelia |
| 5 | 05086 | Antioquia | Belmira |
| 6 | 05113 | Antioquia | Buriticá |
| 7 | 05125 | Antioquia | Caicedo |
| 8 | 05138 | Antioquia | Cañasgordas |
| 9 | 05142 | Antioquia | Caracolí |
| 10 | 05206 | Antioquia | Concepción |
| 11 | 05282 | Antioquia | Fredonia |
| 12 | 05306 | Antioquia | Giraldo |
| 13 | 05315 | Antioquia | Guadalupe |
| 14 | 05353 | Antioquia | Hispania |
| 15 | 05390 | Antioquia | La Pintada |
| 16 | 05411 | Antioquia | Liborina |
| 17 | 05475 | Antioquia | Murindó |
| 18 | 05501 | Antioquia | Olaya |
| 19 | 05543 | Antioquia | Peque |
| 20 | 05576 | Antioquia | Pueblorrico |
| 21 | 05585 | Antioquia | Puerto Nare |
| 22 | 05591 | Antioquia | Puerto Triunfo |
| 23 | 05642 | Antioquia | Salgar |
| 24 | 05658 | Antioquia | San José de La Montaña |
| 25 | 05664 | Antioquia | San Pedro de Los Milagros |
| 26 | 05686 | Antioquia | Santa Rosa de Osos |
| 27 | 05736 | Antioquia | Segovia |
| 28 | 05789 | Antioquia | Támesis |
| 29 | 05792 | Antioquia | Tarso |
| 30 | 05819 | Antioquia | Toledo |
| 31 | 05873 | Antioquia | Vigía del Fuerte |
| 32 | 05887 | Antioquia | Yarumal |
| 33 | 05890 | Antioquia | Yolombó |
| 34 | 81220 | Antioquia | Cravo Norte |
| 35 | 88001 | Archipiélago de San Andrés | San Andrés |
| 36 | 08372 | Atlántico | Juan de Acosta |
| 37 | 13030 | Bolívar | Altos del Rosario |
| 38 | 13052 | Bolívar | Arjona |
| 39 | 13062 | Bolívar | Arroyohondo |
| 40 | 13140 | Bolívar | Calamar |
| 41 | 13188 | Bolívar | Cicuco |
| 42 | 13222 | Bolívar | Clemencia |
| 43 | 13430 | Bolívar | Magangué |
| 44 | 13433 | Bolívar | Mahates |
| 45 | 13458 | Bolívar | Montecristo |
| 46 | 13620 | Bolívar | San Cristóbal |
| 47 | 13647 | Bolívar | San Estanislao |
| 48 | 13657 | Bolívar | San Juan Nepomuceno |
| 49 | 13683 | Bolívar | Santa Rosa |
| 50 | 13760 | Bolívar | Soplaviento |
| 51 | 13780 | Bolívar | Talaigua Nuevo |
| 52 | 13810 | Bolívar | Tiquisio |
| 53 | 13873 | Bolívar | Villanueva |
| 54 | 15090 | Boyacá | Berbeo |
| 55 | 15109 | Boyacá | Buenavista |
| 56 | 15114 | Boyacá | Busbanzá |
| 57 | 15215 | Boyacá | Corrales |
| 58 | 15367 | Boyacá | Jenesano |
| 59 | 15425 | Boyacá | Macanal |
| 60 | 15464 | Boyacá | Mongua |
| 61 | 15494 | Boyacá | Nuevo Colón |
| 62 | 15537 | Boyacá | Paz de Río |
| 63 | 15572 | Boyacá | Puerto Boyacá |
| 64 | 15676 | Boyacá | San Miguel de Sema |
| 65 | 15690 | Boyacá | Santa María |
| 66 | 15696 | Boyacá | Santa Sofía |
| 67 | 15686 | Boyacá | Santana |
| 68 | 15753 | Boyacá | Soatá |
| 69 | 15835 | Boyacá | Turmequé |
| 70 | 17013 | Caldas | Aguadas |
| 71 | 17433 | Caldas | Manzanares |
| 72 | 17541 | Caldas | Pensilvania |
| 73 | 18756 | Caquetá | Solano |
| 74 | 85015 | Casanare | Chámeza |
| 75 | 85230 | Casanare | Orocué |
| 76 | 19290 | Cauca | Florencia |
| 77 | 19364 | Cauca | Jambaló |
| 78 | 27006 | Chocó | Acandí |
| 79 | 27160 | Chocó | Cértegui |
| 80 | 27600 | Chocó | Río Quito |
| 81 | 27800 | Chocó | Unguía |
| 82 | 23189 | Córdoba | Ciénaga de Oro |
| 83 | 23417 | Córdoba | Lorica |
| 84 | 23586 | Córdoba | Purísima de La Concepción |
| 85 | 23660 | Córdoba | Sahagún |
| 86 | 23670 | Córdoba | San Andrés Sotavento |
| 87 | 25040 | Cundinamarca | Anolaima |
| 88 | 25086 | Cundinamarca | Beltrán |
| 89 | 25281 | Cundinamarca | Fosca |
| 90 | 25293 | Cundinamarca | Gachalá |
| 91 | 25299 | Cundinamarca | Gama |
| 92 | 25335 | Cundinamarca | Guayabetal |
| 93 | 25407 | Cundinamarca | Lenguazaque |
| 94 | 25438 | Cundinamarca | Medina |
| 95 | 25491 | Cundinamarca | Nocaima |
| 96 | 25572 | Cundinamarca | Puerto Salgar |
| 97 | 25662 | Cundinamarca | San Juan de Rioseco |
| 98 | 25769 | Cundinamarca | Subachoque |
| 99 | 25777 | Cundinamarca | Supatá |
| 100 | 25815 | Cundinamarca | Tocaima |
| 101 | 25841 | Cundinamarca | Ubaque |
| 102 | 25845 | Cundinamarca | Une |
| 103 | 94886 | Guainía | Cacahual (CD) |
| 104 | 94001 | Guainía | Inírida |
| 105 | 94883 | Guainía | San Felipe (CD) |
| 106 | 95015 | Guaviare | Calamar |
| 107 | 41006 | Huila | Acevedo |
| 108 | 41530 | Huila | Palestina |
| 109 | 41770 | Huila | Suaza |
| 110 | 44078 | La Guajira | Barrancas |
| 111 | 44098 | La Guajira | Distracción |
| 112 | 44110 | La Guajira | El Molino |
| 113 | 47170 | Magdalena | Chibolo |
| 114 | 47268 | Magdalena | El Retén |
| 115 | 47545 | Magdalena | Pijiño del Carmen |
| 116 | 47570 | Magdalena | Puebloviejo |
| 117 | 47707 | Magdalena | Santa Ana |
| 118 | 47720 | Magdalena | Santa Bárbara de Pinto |
| 119 | 47798 | Magdalena | Tenerife |
| 120 | 50110 | Meta | Barranca de Upía |
| 121 | 50313 | Meta | Granada |
| 122 | 50350 | Meta | La Macarena |
| 123 | 50330 | Meta | Mesetas |
| 124 | 50573 | Meta | Puerto López |
| 125 | 50680 | Meta | San Carlos de Guaroa |
| 126 | 50370 | Meta | Uribe |
| 127 | 52019 | Nariño | Albán |
| 128 | 52207 | Nariño | Consacá |
| 129 | 52418 | Nariño | Los Andes |
| 130 | 52435 | Nariño | Mallama |
| 131 | 54480 | Norte de Santander | Mutiscua |
| 132 | 54498 | Norte de Santander | Ocaña |
| 133 | 54520 | Norte de Santander | Pamplonita |
| 134 | 54599 | Norte de Santander | Ragonvalia |
| 135 | 86219 | Putumayo | Colón |
| 136 | 86001 | Putumayo | Mocoa |
| 137 | 86573 | Putumayo | Puerto Leguízamo |
| 138 | 86755 | Putumayo | San Francisco |
| 139 | 86749 | Putumayo | Sibundoy |
| 140 | 66383 | Risaralda | La Celia |
| 141 | 68051 | Santander | Aratoca |
| 142 | 68160 | Santander | Cepitá |
| 143 | 68179 | Santander | Chipatá |
| 144 | 68209 | Santander | Confines |
| 145 | 68245 | Santander | El Guacamayo |
| 146 | 68327 | Santander | Güepsa |
| 147 | 68377 | Santander | La Belleza |
| 148 | 68418 | Santander | Los Santos |
| 149 | 68502 | Santander | Onzaga |
| 150 | 68686 | Santander | San Miguel |
| 151 | 68689 | Santander | San Vicente de Chucurí |
| 152 | 68755 | Santander | Socorro |
| 153 | 70110 | Sucre | Buenavista |
| 154 | 70235 | Sucre | Galeras |
| 155 | 70265 | Sucre | Guaranda |
| 156 | 70473 | Sucre | Morroa |
| 157 | 70678 | Sucre | San Benito Abad |
| 158 | 70820 | Sucre | Santiago de Tolú |
| 159 | 73030 | Tolima | Ambalema |
| 160 | 73124 | Tolima | Cajamarca |
| 161 | 73217 | Tolima | Coyaima |
| 162 | 73408 | Tolima | Lérida |
| 163 | 73671 | Tolima | Saldaña |
| 164 | 73861 | Tolima | Venadillo |
| 165 | 76041 | Valle del Cauca | Ansermanuevo |
| 166 | 76109 | Valle del Cauca | Buenaventura |
| 167 | 76497 | Valle del Cauca | Obando |
| 168 | 76670 | Valle del Cauca | San Pedro |
| 169 | 76828 | Valle del Cauca | Trujillo |
| 170 | 99001 | Vichada | Puerto Carreño |
<Texto adicionado por el artículo 3 de la Resolución 8075 de 2025. El nuevo texto es el siguiente:>
- Televisión multicanal en el municipio con desempeño alto-moderado Carepa, Antioquia, con código de municipio DIVIPOLA 05174 (1.8 del ANEXO 3.1.)
- Televisión multicanal en municipios con desempeño incipiente, bajo y limitado (1.9 del ANEXO 3.1.), en cada uno de los municipios listados a continuación:
| Número | Código municipio DIVIPOLA | Departamento | Municipio |
| 1 | 05004 | Antioquia | Abriaquí |
| 2 | 05044 | Antioquia | Anzá |
| 3 | 05125 | Antioquia | Caicedo |
| 4 | 05150 | Antioquia | Carolina |
| 5 | 05197 | Antioquia | Cocorná |
| 6 | 05206 | Antioquia | Concepción |
| 7 | 05315 | Antioquia | Guadalupe |
| 8 | 05361 | Antioquia | Ituango |
| 9 | 05591 | Antioquia | Puerto Triunfo |
| 10 | 05628 | Antioquia | Sabanalarga |
| 11 | 05642 | Antioquia | Salgar |
| 12 | 05652 | Antioquia | San Francisco |
| 13 | 05658 | Antioquia | San José de la Montaña |
| 14 | 05819 | Antioquia | Toledo |
| 15 | 05847 | Antioquia | Urrao |
| 16 | 05854 | Antioquia | Valdivia |
| 17 | 08675 | Atlántico | Santa Lucía |
| 18 | 13006 | Bolívar | Achí |
| 19 | 13042 | Bolívar | Arenal |
| 20 | 13810 | Bolívar | Tiquisio |
| 21 | 15106 | Boyacá | Briceño |
| 22 | 15215 | Boyacá | Corrales |
| 23 | 15236 | Boyacá | Chivor |
| 24 | 15244 | Boyacá | El Cocuy |
| 25 | 15317 | Boyacá | Guacamayas |
| 26 | 15442 | Boyacá | Maripí |
| 27 | 15480 | Boyacá | Muzo |
| 28 | 15491 | Boyacá | Nobsa |
| 29 | 15518 | Boyacá | Pajarito |
| 30 | 15621 | Boyacá | Rondón |
| 31 | 15723 | Boyacá | Sativasur |
| 32 | 15810 | Boyacá | Tipacoque |
| 33 | 15820 | Boyacá | Tópaga |
| 34 | 15879 | Boyacá | Viracachá |
| 35 | 15897 | Boyacá | Zetaquira |
| 36 | 17513 | Caldas | Pácora |
| 37 | 18756 | Caquetá | Solano |
| 38 | 19318 | Cauca | Guapi |
| 39 | 19585 | Cauca | Puracé |
| 40 | 19809 | Cauca | Timbiquí |
| 41 | 25281 | Cundinamarca | Fosca |
| 42 | 25339 | Cundinamarca | Gutiérrez |
| 43 | 25594 | Cundinamarca | Quetame |
| 44 | 25653 | Cundinamarca | San Cayetano |
| 45 | 25736 | Cundinamarca | Sesquilé |
| 46 | 25745 | Cundinamarca | Simijaca |
| 47 | 27006 | Chocó | Acandí |
| 48 | 27075 | Chocó | Bahía Solano |
| 49 | 27135 | Chocó | El Cantón del San Pablo |
| 50 | 27372 | Chocó | Juradó |
| 51 | 27491 | Chocó | Nóvita |
| 52 | 27495 | Chocó | Nuquí |
| 53 | 27800 | Chocó | Unguía |
| 54 | 41676 | Huila | Santa María |
| 55 | 41885 | Huila | Yaguará |
| 56 | 44378 | La Guajira | Hatonuevo |
| 57 | 44855 | La Guajira | Urumita |
| 58 | 50270 | Meta | El Dorado |
| 59 | 50370 | Meta | Uribe |
| 60 | 52079 | Nariño | Barbacoas |
| 61 | 52110 | Nariño | Buesaco |
| 62 | 52381 | Nariño | La Florida |
| 63 | 52390 | Nariño | La Tola |
| 64 | 52480 | Nariño | Nariño |
| 65 | 52540 | Nariño | Policarpa |
| 66 | 52585 | Nariño | Pupiales |
| 67 | 52612 | Nariño | Ricaurte |
| 68 | 52683 | Nariño | Sandoná |
| 69 | 52696 | Nariño | Santa Bárbara |
| 70 | 52788 | Nariño | Tangua |
| 71 | 52885 | Nariño | Yacuanquer |
| 72 | 54206 | Norte de Santander | Convención |
| 73 | 54344 | Norte de Santander | Hacarí |
| 74 | 54398 | Norte de Santander | La Playa |
| 75 | 54673 | Norte de Santander | San Cayetano |
| 76 | 54720 | Norte de Santander | Sardinata |
| 77 | 54871 | Norte de Santander | Villa Caro |
| 78 | 68147 | Santander | Capitanejo |
| 79 | 68209 | Santander | Confines |
| 80 | 68229 | Santander | Curití |
| 81 | 68235 | Santander | El Carmen de Chucurí |
| 82 | 68255 | Santander | El Playón |
| 83 | 68320 | Santander | Guadalupe |
| 84 | 68522 | Santander | Palmar |
| 85 | 68745 | Santander | Simacota |
| 86 | 68755 | Santander | Socorro |
| 87 | 68770 | Santander | Suaita |
| 88 | 68773 | Santander | Sucre |
| 89 | 73520 | Tolima | Palocabildo |
| 90 | 73622 | Tolima | Roncesvalles |
| 91 | 73870 | Tolima | Villahermosa |
| 92 | 73873 | Tolima | Villarrica |
| 93 | 81220 | Arauca | Cravo Norte |
| 94 | 81300 | Arauca | Fortul |
| 95 | 86573 | Putumayo | Puerto Leguízamo |
| 96 | 91001 | Amazonas | Leticia |
| 97 | 91263 | Amazonas | El Encanto (CD) |
| 98 | 91405 | Amazonas | La Chorrera (CD) |
| 99 | 91407 | Amazonas | La Pedrera (CD) |
| 100 | 91530 | Amazonas | Puerto Alegría (CD) |
| 101 | 91669 | Amazonas | Puerto Santander (CD) |
| 102 | 94343 | Guainía | Barrancominas |
| 103 | 94885 | Guainía | La Guadalupe (CD) |
| 104 | 95015 | Guaviare | Calamar |
| 105 | 95025 | Guaviare | El Retorno |
| 106 | 95200 | Guaviare | Miraflores |
| 107 | 97001 | Vaupés | Mitú |
| 108 | 97161 | Vaupés | Carurú |
| 109 | 97666 | Vaupés | Taraira |
Distribución minorista de contenidos en canales de televisión abierta nacional operados por privados, con alcance nacional [1]. (2.5 del ANEXO 3.1.).
[1]Nota: Este mercado hace parte de un mercado de dos lados no transaccional con dos mercados de producto relevantes separados.
ANEXO 3.3. LISTA DE MERCADOS RELEVANTES DEL SECTOR POSTAL.
<Anexo adicionado por el artículo 8 de la Resolución 5900 de 2020. El nuevo texto es el siguiente:>
1. Mercados minoristas definidos con alcance municipal
1.1. Envíos individuales de documentos
1.2. Envíos individuales de paquetes de cero (0) a treinta (30) kilogramos
1.3. Envíos masivos
1.4. Envíos internacionales de entrada de documentos
1.5. Envíos internacionales de entrada de paquetes de cero (0) a treinta (30) kilogramos
1.6. Envíos internacionales de salida de documentos
1.7. Envíos internacionales de salida de paquetes de cero (0) a treinta (30) kilogramos
2. Mercados minoristas definidos con alcance nacional
2.1. Envío de dinero de montos pequeños
2.2. Envío de dinero de montos grandes
3. Mercados mayoristas definidos con alcance municipal
3.1. Mercado mayorista de interconexión para el envío de documentos y paquetes
4. Mercados mayoristas definidos con alcance nacional
4.1. Mercado mayorista de interconexión para el envío de dinero.
ANEXO 3.4. LISTA DE MERCADOS RELEVANTES SUSCEPTIBLES DE REGULACIÓN EX ANTE DEL SECTOR POSTAL. <Anexo adicionado por el artículo 5 de la Resolución 6577 de 2022. El nuevo texto es el siguiente:>
1. Envíos masivos (1.3 del Anexo 3.3)
2. Mercado mayorista de interconexión para el envío de documentos y paquetes (3.1. del Anexo 3.3)
<Anexo subrogado por el artículo 26 de la Resolución 6522 de 2022. El nuevo texto es el siguiente:>
Para efectos de la revisión de los nodos de interconexión registrados por un proveedor de redes y servicios de telecomunicaciones en su Oferta Básica de Interconexión-OBI-, se debe proporcionar la siguiente información y cálculos asociados, de acuerdo con lo establecido en el ARTÍCULO 4.1.3.3 del CAPÍTULO 1 del TÍTULO IV.
a. Información relacionada con cada nodo de interconexión. Marca, modelo y versión de software del nodo. Capacidad máxima del nodo, capacidad instalada y capacidad en uso. La información de capacidad puede suministrarse en términos de número de circuitos equivalentes de 64 Kbps o indicarse la unidad de capacidad utilizada.
i. El tipo de red en función de la cobertura (local o nacional) del PRST que proporciona la interconexión.
ii. Rutas usadas para tráfico interno en el nodo (para cada ruta: nombre de la ruta, identificación del nodo de destino, capacidad instalada y datos de tráfico en hora pico de los últimos 6 meses diferenciando tráfico entrante y saliente).
iii. Rutas usadas para tráfico de interconexión en el nodo (para cada ruta: nombre de la ruta, identificación del nodo de destino, capacidad instalada y datos de tráfico en hora pico de los últimos 6 meses diferenciando tráfico entrante y tráfico saliente)
iv. Si una ruta interna maneja tanto tráfico interno como tráfico de interconexión, deberá reportar el tráfico total.
b. Información relacionada con la red: número de usuarios por tipo de servicio y tráfico promedio por usuario en servicio (últimos 6 meses)
En caso requerido, la CRC podrá solicitar información adicional a la indicada en el presente anexo.
Para efectos de sustentar el número de nodos de interconexión registrados de una red, se establece el siguiente procedimiento:
1. Para cada nodo de interconexión declarado (que denominaremos nodo i), se determinará la carga normal entrante
(tráfico de interconexión entrante de la ruta j en el nodo de interconexión i) y saliente
(tráfico de interconexión saliente de la ruta j en el nodo de interconexión i) de cada ruta de interconexión; así como la carga normal entrante
(tráfico interno entrante de la ruta k en el nodo de interconexión i) y saliente
(tráfico interno saliente de la ruta k en el nodo de interconexión i.) de cada ruta interna.
La carga normal se determina a lo largo de un intervalo de un mes de duración, utilizando el método siguiente:
- Obtener el dato de la carga máxima diaria del período de lectura, para cada objeto.
- Ordenar los días del mes en función de la carga máxima diaria del período de lectura, de mayor a menor.
- Escoger el día correspondiente a la cuarta carga máxima diaria mayor del período de lectura. La carga resultante se define como carga normal para el intervalo mensual considerado.
Este cálculo se realiza con la información de las cargas máximas diarias y se procesa para los objetos "rutas".
Las mediciones deben diferenciar la carga normal entrante de la carga normal saliente.
2. Este proceso se repetirá para los 6 meses de la muestra y se escogerá como tráfico representativo de ese periodo, el tráfico de carga normal más alto de cada ruta:
,
, ![]()
3. Se calculará entonces el tráfico total de interconexión saliente
y el tráfico total de interconexión entrante
del PRST. Este dato se considerará como una cota superior del tráfico de interconexión, dado el hecho que se pueden estar tomando datos de tráfico en horas pico diferentes o en meses diferentes para cada ruta.
4. De igual forma, se calculará el tráfico total interno saliente
y el tráfico total interno entrante
. Como en el caso anterior, se considerarán dichos tráficos como cota superior del tráfico interno.
5. Se calculará la capacidad de tráfico máxima de los nodos de interconexión declarados, sumando la capacidad de tráfico máxima de cada nodo
. Esta capacidad en general será mayor que la capacidad de tráfico instalada. Con este dato se calculará una capacidad de tráfico promedio por nodo: 
donde N es igual al número de nodos de interconexión declarados.
6. Se utilizará la siguiente fórmula para calcular un "número teórico" de nodos de interconexión:

7. Cuando
se considerará que existen indicios de sobre dimensionamiento. Cuando
la CRC evaluará caso por caso.
ANEXO 4.2. ÍNDICE DE ACTUALIZACIÓN TARIFARIA.
<Anexo modificado por el artículo 1 de la Resolución 7265 de 2023. El nuevo texto es el siguiente:>
1 Actualización de los valores regulados: El presente esquema de actualización tarifaria se aplicará conforme a las disposiciones que específicamente así lo indiquen. La CRC actualizará anualmente los valores regulados de acuerdo con la siguiente fórmula:

Donde:
- VRt=Valor regulado a aplicar durante el año t (año a actualizar).
- VRt-1= Corresponde al valor regulado actualizado en pesos corrientes del año inmediatamente anterior. Para el caso de aquellos valores definidos en la regulación para el año 2024 o posteriores que se encuentren expresados en pesos constantes de años anteriores al año t, se deberán actualizar a pesos corrientes del año inmediatamente anterior mediante la aplicación de la fórmula a la que se refiere el presente numeral.
- productividad%= Factor de productividad de la industria igual a 2%.
- IAT(diciembre del añot-1= IAT (promedio aritmético de los últimos doce meses) para el mes de diciembre del año t – 1.
7 IAT(diciembre del añot-2= IAT (promedio aritmético de los últimos doce meses) para el mes de diciembre del año t – 2.
2. Cálculo del Índice de Actualización Tarifaria (IAT): El Índice de Actualización Tarifaria se calcula mensualmente de la siguiente manera:

![]()
Donde:
- ICOCIV: Índice de Costos de la Construcción de Obras Civiles. Subclase 53242: "Obras para la comunicación de larga distancia y las líneas eléctricas (cables)".
- IPC Servicios: Índice de Precios al Consumidor, división de Servicios.
- ISS: Índice de Salario Mínimo Mensual Legal Vigente.
- ITC: Promedio móvil de 12 meses de la Tasa Representativa del Mercado más el arancel nominal promedio.
- t: Fecha en que se calcula el índice.
- t0: Fecha base del índice correspondiente a enero de 2023.
ANEXO 4.3. CLASIFICACIÓN DE PROVEEDORES DE TPBCL.
<Anexo derogado por el artículo 28 de la Resolución 5826 de 2019>
<Anexo derogado por el artículo 28 de la Resolución 5826 de 2019>
<Anexo derogado por el artículo 80 de la Resolución 5586 de 2019>
ANEXO 4.6. FORMATO DE REPORTE DE INFORMACIÓN.
<Anexo derogado por el artículo 6 de la Resolución 2959 de 2010>
ANEXO 4.7. METODOLOGÍA DE COSTOS.
COMPARTICIÓN DE INSTALACIONES ESENCIALES DE LA RED DE TELEVISIÓN ABIERTA RADIODIFUNDIDA
A efectos de la compartición de las instalaciones esenciales para televisión abierta radiodifundida, los precios de los servicios de compartición deberán ser fijados en las Ofertas Básicas de Acceso y Uso de Infraestructura, y así mismo deberán ser sujetos a aprobación de la CRC, bajo la siguiente metodología de costos que se resume en los siguientes diez (10) pasos:
I. Identificación de los servicios de compartición a modelar para las estaciones de radiodifusión de televisión.
II. Identificación de la topología, elementos de red y elementos de costos de la estación de radiodifusión de televisión.
III. Asignación de las áreas de servidumbre de la caseta y del lote a elementos fundamentales de compartición (Cuarto de Equipos, Espacio de Energía y Torres) con el fin de distribuir costos a los servicios de compartición.
IV. Asignación de los costos de elementos de CAPEX a los servicios de compartición: Cuarto de Equipos, Espacio de Energía y Torre.
V. Cálculo de la Anualidad equivalente para la recuperación del CAPEX.
VI. Cálculo de Depreciación del CAPEX e Impuesto de Renta Anual para las inversiones distribuidas a cada servicio de compartición.
VII. Asignación de los costos de elementos de OPEX a los servicios de compartición: Cuarto de Equipos, Espacio de Energía y Torre.
VIII. Cálculo de los costos totales mediante la sumatoria de la Anualidad del CAPEX y del OPEX para los servicios de compartición.
IX. Determinación de los precios de los servicios de compartición: Cuarto de Equipos, Espacio de Energía y Torre.
X. Incorporación de otros costos.
I. Identificación de los servicios de compartición a modelar para las estaciones de radiodifusión de televisión

Las siguientes serán las categorías de precios mayoristas para el caso de compartición de sitios de televisión abierta radiodifundida en Colombia.
Ilustración 1. Esquema de precios mayoristas de compartición en las estaciones de radiodifusión de televisión
En un escenario de compartición pasiva total, los servicios de compartición de infraestructuras y sus precios en las premisas de una estación de radiodifusión de televisión corresponden a los siguientes:
1. Precio / m2 por coubicación en cuarto de equipos. Precio mensual por cada metro cuadrado que solicite un operador al proveedor de la infraestructura por tener acceso al cuarto de equipos. El valor total a pagar será igual al precio por metro cuadrado por el número de metros cuadrados solicitados.
2. Costo de Energía por kW: Este costo contempla los componentes relacionados con un valor mensual por kW dirigido a recuperar las inversiones en equipos de energía, en dos modalidades:
- Sin respaldo: Costo de energía por kW, calculado para aquellas estaciones de radiodifusión de televisión que no cuenten con equipos de respaldo de energía.
- Con respaldo: Costo de energía por kW, calculado para aquellas estaciones de radiodifusión de televisión que cuenten con equipos de respaldo de energía.
3. Precio de coubicación en Torre / m: La coubicación en torre tendrá tres (3) componentes, dependiendo del segmento (tercio) de la torre en que el operador solicitante se aloje, así:
- Segmento (tercio) superior
- Segmento (tercio) medio
- Segmento (tercio) inferior
II. Identificación de la topología, elementos de red y elementos de costos de la estación de radiodifusión de televisión
A continuación se identifican los elementos de red y elementos de costos de la estación de radiodifusión de televisión los cuales deberán valorarse bajo un modelo de costos prospectivos. Se valora para cada elemento el CAPEX y para cada ítem el OPEX.
1. CAPEX
Los elementos del CAPEX que deberán valorarse por parte de los proveedores de la infraestructura son los que se muestran en la Tabla 1:
Tabla 1. Elementos de red sujetos a ser compartidos
| Elementos de red | Descripción de las inversiones en los sitios |
| Caseta | Construcción donde se instalan los diferentes equipos de comunicaciones, energía, gestión y control de sitios. |
| Lote | Terreno donde se ubican la torre y la caseta. |
| Vías de acceso | Vías a través de las cuales se accede al sitio. |
| Torre | Elemento donde se ubican las antenas y los sistemas radiantes. |
| Cerramiento | Elementos que delimitan el terreno donde se erigen la caseta y la torre, que protegen y dan seguridad pasiva al sitio. |
| Grupo electrógeno | Equipo de energía para los equipos en caso de caída de la red eléctrica. |
| Cuadro Eléctrico | Interfaz entre la red eléctrica y los equipos instalados dentro del sitio. |
| Transformador | Equipo que adapta la energía de la red eléctrica a los requerimientos de los distintos equipos instalados. |
| Acometida Eléctrica | Derivación desde la red de distribución de la empresa suministradora del servicio de energía eléctrica hacia el sitio o propiedad donde se hará uso de la energía. |
| Seguridad | Elementos de seguridad del sitio: cámaras, puertas automáticas, sistemas de extinción de incendios, etc. |
| Elementos de Ingeniería | Elementos de obras civiles empleados y tareas ejecutadas para la construcción y/o adaptación de un sitio. |
| Aire Acondicionado | Equipos de aire acondicionado situados en la caseta de cada sitio. |
| Legalización | Conjunto de tareas necesarias para adecuar la construcción de un sitio a la normativa legal vigente. |
| Vehículos | Parque automotor destinado exclusivamente al sitio. |
| Hardware | Herramientas, bastidores, muebles y enseres, etc. |
Los costos de inversión CAPEX de los elementos descritos en la Tabla 1 se calcularán a costos de reposición, e incluirán los costos de nacionalización y transporte, si los mismos son aplicables.
Costos y gastos pre-operativos que hacen parte del CAPEX
Estos costos se clasifican en dos (2) categorías:
1. Pre-diseños y diseños detallados de la estación de radiodifusión de televisión:
- Gastos legales.
- Derechos.
- Permisos urbanísticos, ambientales o municipales.
2. Pre-diseños y diseños de ingeniería:
- Gastos de interventoría.
- Gastos de instalación.
- Otros rubros y gastos pre-operativos.
3. Pre-diseños y diseños de ingeniería por adecuaciones del sitio al no existir disponibilidad
Para el cálculo de estos costos, los proveedores de la infraestructura que faciliten dichas instalaciones, deberán soportar con facturas o documentos contables apropiados certificados por el Revisor Fiscal los montos invertidos en los estudios de diseño detallado de la estación. El costo de estos estudios se actualizará anualmente con el Índice de Precios al Consumidor que publica el DANE.
En caso en que los estudios de ingeniería, interventoría y de instalación se hayan realizado con personal del proveedor de la infraestructura, se tendrán en cuenta los soportes con facturas o documentos contables apropiados certificados por su Revisor Fiscal para calcular eficientemente los montos invertidos. Si el proveedor de la infraestructura no cuenta con dichos soportes, se calculará el costo de estos estudios hasta un porcentaje (máximo hasta un 5%) del CAPEX invertido en la estación respectivamente.
2. OPEX
Gastos directos asociados a los sitios de televisión abierta radiodifundida
Los costos de operación y mantenimiento OPEX a ser dimensionados por parte de los proveedores de la infraestructura son los siguientes:
- Terreno: En caso que el terreno de la estación sea propio, el proveedor de la infraestructura deberá incluir un arrendamiento implícito de máximo el 1% sobre el avalúo comercial actualizado del terreno dispuesto para el sitio. Cuando se trate de un terreno arrendado por el proveedor de la infraestructura, el mismo incluirá comprobante, factura o documento contable apropiado, certificado por su Revisor Fiscal en que conste el valor pagado mensual de arrendamiento.
- Gerencia o dirección de los sitios: Se incluirán los costos conjuntos a recuperar del personal que controla y dirige la operación de la totalidad de las estaciones de radiodifusión de televisión, teniendo en cuenta su factor prestacional legal, así como los muebles y equipos de dotación requeridos para adelantar su trabajo.
- Personal de mantenimiento: Corresponde al equipo de profesionales encargado de prestar mantenimiento a las estaciones de radiodifusión de televisión del proveedor de la infraestructura y que viajan periódicamente a los sitios para prestar mantenimiento preventivo y mantenimiento correctivo a los equipos e instalaciones de las estaciones. Se incluyen también las herramientas con las cuales dicho equipo adelanta sus labores.
- Gastos operativos de los sitios: Los proveedores de la infraestructura deberán incluir los gastos dirigidos a mantener en operación los sitios o a dar apoyo a la operación de los mismos. Dentro de los anteriores se contemplarán aspectos tales como mantenimiento (cuyo porcentaje máximo será del 3,5% sobre el valor acumulado de equipos adquiridos para el sitio), servicios públicos, seguros (como máximo hasta el 5% del valor del CAPEX acumulado invertido por el operador en la estación de radiodifusión de televisión bajo consideración).
- Gastos anuales indirectos (gastos de personal y gastos generales): Los gastos indirectos anuales por el apoyo de las diferentes áreas de la organización, diferentes a la Gerencia o Dirección de Sitios, se calcularán de la siguiente manera:
![]()
Ecuación 1 - Cálculo de Gastos Anuales Indirectos de Administración imputados al Sitio j
Donde:
j = Sitio j sobre el cual se calculan los gastos indirectos. La sumatoria de los sitios del operador debe ser igual al No. Total de Sitios. El No. Total de Sitios debe incluir todos los sitios que estén en operación.
Valor Activos = Corresponde a la valoración de las inversiones a precios actualizados a la fecha de negociación
III. Asignación de las áreas de servidumbre de la caseta y del lote a elementos fundamentales de compartición (Cuarto de Equipos, Espacio de Energía y Torres).
Teniendo en cuenta los elementos descritos en las Secciones I y II del presente Anexo, para determinar los factores de distribución de los costos asociados tanto al CAPEX como al OPEX en los servicios de compartición, se tendrá en cuenta lo siguiente:
![]()
Ecuación 2 - Estructura del área total del terreno de la estación
Donde:
![]()
Ecuación 3 - Estructura del área de servidumbre del terreno
![]()
Ecuación 4 - Estructura del área propia del operador que no se comparten
El concepto de Área Otros corresponde a las áreas que el proveedor de la infraestructura utiliza para fines distintos a la prestación de los servicios de televisión abierta radiodifundida, así como las áreas del terreno que se han dejado como reserva para futuros ensanches o para adecuaciones del sitio al no existir disponibilidad, las cuales serán excluidas de la estructura de costos de compartición.
A efectos de determinar los factores que definen el peso relativo de los tres (3) elementos fundamentales de compartición referidos en la Sección I del presente Anexo (Cuarto de Equipos, Espacio de Energía y Torre), se deberán establecer los drivers de asignación de los diferentes rubros de CAPEX y OPEX asociados directa o indirectamente a cada uno de los mismos.
Para lo anterior, se parte de dos (2) tipos de asignaciones iniciales: i) Distribución del área de servidumbre de la caseta al área de Cuarto de Equipos y al área de Espacio de Energía y ii) Distribución del área de servidumbre del lote que sirve a las tres unidades básicas definidas.
a. Distribución del área de servidumbre de la caseta al área de Cuarto de Equipos y al área de Espacio de Energía
Para llevar a cabo la distribución del área de servidumbre de la caseta al área de Cuarto de Equipos y al área de Espacio de Energía, se deberá adelantar el siguiente procedimiento:
El área de la caseta incluye tres (3) zonas, las cuales se presentan en la siguiente expresión:
![]()
Ecuación 5 - Área de la caseta
Donde:
Area Racks = Área de Cuarto de Equipos
Area Energía = Área de Espacio de Energía
Por su parte, la asignación del área de la servidumbre al Cuarto de Equipos de la caseta se realiza con base en la siguiente expresión:
![]()
Ecuación 6 - Distribución de la servidumbre de la caseta al área de equipos
Donde:
![]()
Ecuación 7 - Driver de asignación de servidumbre de la caseta asociado al cuarto de equipos
En forma complementaria, la asignación del área de la servidumbre en la caseta al área de Espacio de Energía se efectúa de acuerdo con la siguiente expresión:
![]()
Ecuación 8 - Distribución de la servidumbre de la caseta al área de Espacio de Energía
Donde:
![]()
Ecuación 9 - Driver de asignación de servidumbre de la caseta asociado al Espacio de Energía
Con base en lo anterior, el espacio de la caseta estará conformado por el Área Racks Ajustada Caseta y el Área energía Ajustada Caseta.
b. Distribución del área de servidumbre del lote que sirve a las tres unidades básicas definidas.
La distribución del área de la servidumbre del lote (depósitos para herramientas, combustible, pozo séptico y baños del lote) al servicio de Cuarto de Equipos se realizará con base en la siguiente fórmula:
![]()
Ecuación 10 - Área ajustada del cuarto de equipos, incluyendo imputación de las áreas de servidumbre del lote
Donde:
![]()
Ecuación 11 - Driver de asignación de servidumbre del lote asociado al Cuarto de Equipos
Al Área Lote se le excluyen las Áreas Otros que comprenden zonas de reserva y zonas para otros usos, ya que no están sujetas a compartición con operadores solicitantes.
Por su parte, la distribución del área de la servidumbre del lote (depósitos para herramientas, combustible, pozo séptico y baños del lote) al servicio de Espacio de Energía se realizará con base en la siguiente fórmula:
![]()
Ecuación 12 - Área ajustada del Espacio de Energía, incluyendo imputación de las áreas de servidumbre del lote
Donde:
![]()
Ecuación 13 - Driver de asignación de servidumbre del lote asociado al Espacio de Energía
Adicionalmente, la distribución del área de servidumbre del lote (depósitos para herramientas, combustible, pozo séptico y baños del lote) al servicio de Torre se realizará con base en la siguiente fórmula:
![]()
Ecuación 14 - Área ajustada a la Torre, incluyendo imputación de las áreas de servidumbre del lote
Donde:
![]()
Ecuación 15 - Driver de asignación de servidumbre del lote asociado a la Torre
IV. Asignación de los costos de elementos de CAPEX a los servicios de compartición: Cuarto de Equipos, Espacio de Energía y Torre
Con base en: (i) la identificación de los diferentes elementos asociados a la estación que participan en la prestación de los servicios de compartición, ii) la valoración y costeo de la inversión CAPEX de dichos elementos, (iii) la definición de los tres (3) servicios de compartición descritos anteriormente y (iv) los factores de asignación de los costos a los tres (3) servicios de compartición, el CAPEX total para cada uno de dichos servicios se da a través de las siguientes expresiones.
a. CAPEX asignado a cuarto de equipos
El CAPEX asignado al Cuarto de Equipos, estará dado por la siguiente expresión:
![]()
Ecuación 16 - CAPEX total asociado al servicio de Cuarto de Equipos
Donde:
= CAPEX en pesos total asignado al Cuarto de Equipos
= Inversiones de capital CAPEX del elemento i
N = Número total de elementos sobre los que se calcula el CAPEX.
= Driver de asignación de servidumbre asociado al Cuarto de
Equipos así:
- Si el elemento i está asociado exclusivamente al Cuarto de Equipos:
![]()
- Si el elemento i está asociado tanto al Cuarto de Equipos como al Espacio de Energía:
- Si el elemento i está asociado al Cuarto de Equipos, al Espacio de Energía y a la Torre:
![]()
b. CAPEX asignado a Espacio de Energía
El CAPEX asignado al Espacio de Energía, estará dado por la siguiente expresión:
![]()
Ecuación 17 - CAPEX total asociado al servicio de Espacio de Energía
Donde:
= CAPEX en pesos total asignado al Espacio de Energía
= Inversiones de capital CAPEX del elemento i
N = Número total de elementos sobre los que se calcula el CAPEX.
= Driver de asignación de servidumbre asociado al Espacio de
Energía así:
- Si el elemento i está asociado exclusivamente al Espacio de Energía:
![]()
- Si el elemento i está asociado tanto al Cuarto de Equipos como al Espacio de Energía:
![]()
- Si el elemento i está asociado al Cuarto de Equipos, al Espacio de Energía y a la Torre:
![]()
c. CAPEX asignado a la Torre
El CAPEX asignado a la Torre, estará dado por la siguiente expresión:

Ecuación 18 - CAPEX total asociado al servicio de Torre
Donde:
= CAPEX en pesos total asignado a la Torre
= Inversiones de capital CAPEX del elemento i
N = Número total de elementos sobre los que se calcula el CAPEX.
= Driver de asignación de servidumbre asociado a la Torre:
- Si el elemento i está asociado exclusivamente a la Torre:
![]()
- Si el elemento i está asociado al Cuarto de Equipos, al Espacio de Energía y a la Torre:
![]()
V. Cálculo de la Anualidad equivalente para la recuperación del CAPEX
a. Anualidad equivalente para la recuperación del CAPEX asignado a cuarto de equipos
Para el servicio de compartición de Cuarto de Equipos se calculará una anualidad financiera equivalente que permita la recuperación del CAPEX de cada elemento asignado a dicho servicio, debiendo utilizarse para tal efecto la siguiente expresión:
![]()
Ecuación 19 - ANUALIDAD del CAPEX total asociado al servicio de Cuarto de Equipos
Donde:
= Anualidad equivalente en pesos mediante el cual se recupera el
= Inversiones de CAPEX del elemento i
N = Número total de elementos sobre los que se calcula el CAPEX.
WACC = El costo de capital corresponde a la retribución al proveedor de las infraestructuras de TV sujetas a compartición. El costo de capital deberá calcularse utilizando la metodología de valoración de activos de capital (CAPM).
= Vida útil del elemento i
= Driver de asignación de servidumbre asociado al Cuarto de Equipos así:
- Si el elemento i está asociado exclusivamente al Cuarto de Equipos:
![]()
- Si el elemento i está asociado tanto al Cuarto de Equipos como al Espacio de Energía:
![]()
- Si el elemento i está asociado al Cuarto de Equipos, al Espacio de Energía y a la Torre:
![]()
b. Anualidad equivalente para la recuperación del CAPEX asignado a Espacio de Energía
Para el servicio de compartición del Espacio de Energía se calculará una anualidad financiera equivalente que permita la recuperación del CAPEX de cada elemento asignado a dicho servicio, debiendo utilizarse para tal efecto la siguiente expresión:
![]()
Ecuación 20 – ANUALIDAD del CAPEX total asociado al servicio de Espacio de Energía
Donde:
= Anualidad equivalente en pesos mediante el cual se recupera el ![]()
= Inversiones de CAPEX del elemento i
N = Número total de elementos sobre los que se calcula el CAPEX.
WACC = El costo de capital corresponde a la retribución al dueño de las infraestructuras de TV sujetas a compartición. El costo de capital deberá calcularse utilizando la metodología de valoración de activos de capital (CAPM).
= Vida útil del elemento i
= Driver de asignación de servidumbre asociado al Espacio de Energía así:
- Si el elemento i está asociado exclusivamente al Espacio de Energía:
![]()
- Si el elemento i está asociado tanto al Cuarto de Equipos como al Espacio de Energía:
![]()
- Si el elemento i está asociado al Cuarto de Equipos, al Espacio de Energía y a la Torre:
![]()
a. Anualidad equivalente para la recuperación del CAPEX asignado a la Torre
Para el servicio de compartición de la Torre se calculará una anualidad financiera equivalente que permita la recuperación del CAPEX de cada elemento asignado a dicho servicio, debiendo utilizarse para tal efecto la siguiente expresión:

Ecuación 21 – ANUALIDAD del CAPEX total asociado al servicio de Torre
Donde:
= Anualidad equivalente en pesos mediante el cual se recupera el CAPEXTorre
CAPEXi = Inversiones de CAPEX del elemento i
N = Número total de elementos sobre los que se calcula el CAPEX.
WACC = El costo de capital corresponde a la retribución al dueño de las infraestructuras de TV sujetas a compartición. El costo de capital deberá calcularse utilizando la metodología de valoración de activos de capital (CAPM).
Vida Útili = Vida útil del elemento i
FactoriTorre = Driver de asignación de servidumbre asociado a la
Torre:
- Si el elemento i está asociado exclusivamente a la Torre:
FactoriTorre = 1
- Si el elemento i está asociado al Cuarto de Equipos, al Espacio de Energía y a la Torre:
![]()
VI. Cálculo de Depreciación del CAPEX e Impuesto de Renta Anual para las inversiones distribuidas a cada servicio de compartición
Como primera medida se debe calcular la depreciación sobre el CAPEX en pesos total asignado a cada servicio de compartición, utilizando la metodología de depreciación en línea recta.
a. Depreciación de CAPEX asociado a cuarto de equipos
La depreciación sobre el CAPEX asignado al servicio de compartición de Cuarto de Equipos se calculará de acuerdo con la siguiente expresión:
Ecuación 22 – Cálculo de la depreciación del CAPEX total asociado al servicio de Cuarto de Equipos

Donde:
CAPEXi = Inversiones de capital CAPEX del elemento i
N = Número total de elementos sobre los que se calcula el CAPEX.
Vida Útili = Vida útil del elemento i
FACTORiCuartoEquipos = Driver de asignación de servidumbre asociado al Cuarto de Equipos así:
- Si el elemento i está asociado exclusivamente al Cuarto de Equipos:
FACTORiCuartoEquipos = 1
- Si el elemento i está asociado tanto al Cuarto de Equipos como al Espacio de Energía:
FACTORiCuartoEquipos = facor cuarto equipos caseta
- Si el elemento i está asociado al Cuarto de Equipos, al Espacio de Energía y a la Torre:
FACTORiCuartoEquipos = facor cuarto equipos lote
b. Cálculo de impuesto de renta para Compartición de cuarto de equipos
Teniendo en cuenta lo anterior, el impuesto de renta, incluyendo el gasto de depreciación sobre equipos invertidos, para las inversiones distribuidas al servicio de compartición de Cuarto de Equipos tomará como referencia la siguiente expresión:
Ecuación 23 – Cálculo del impuesto de renta para las inversiones distribuidas al servicio de compartición de Cuarto de Equipos
Donde:
= Impuesto de renta causado para las inversiones distribuidas al servicio de compartición de Cuarto de Equipos
= Anualidad equivalente en pesos mediante el cual se recupera el CAPEXCuarto Equipo
= Depreciación anual sobre el CAPEXCuarto Equipo
T = Tasa de impuesto de renta (Impuesto de Renta + CREE) que aplique en el tiempo.
c. Depreciación de CAPEX asociado a espacio de energía
La depreciación sobre el CAPEX asignado al servicio de compartición de Espacio de Energía se calculará de acuerdo con la siguiente expresión:

Ecuación 24 – Cálculo de la depreciación en línea recta del CAPEX total asociado al servicio de Cuarto de Equipos
Donde:
CAPEXi = Inversiones de capital CAPEX del elemento i
N = Número total de elementos sobre los que se calcula el CAPEX.
= Vida útil del elemento i
= Driver de asignación de servidumbre asociado al Espacio de Energía así:
- Si el elemento i está asociado exclusivamente al Espacio de Energía:
![]()
- Si el elemento i está asociado tanto al Cuarto de Equipos como al Espacio de Energía:
![]()
- Si el elemento i está asociado al Cuarto de Equipos, al Espacio de Energía y a la Torre:
![]()
d. Cálculo de impuesto de renta para Compartición de Espacio de Energía
El impuesto de renta, incluyendo el gasto de depreciación sobre equipos invertidos, para las inversiones distribuidas al servicio de compartición de Espacio de Energía se deberá tomar como referencia la siguiente expresión:
![]()
Ecuación 25 – Cálculo del impuesto de renta para las inversiones distribuidas al servicio de compartición de Espacio de Energía
Donde:
= Impuesto de renta causado para las inversiones distribuidas al servicio de compartición de Espacio de Energía
= Anualidad equivalente en pesos mediante el cual se recupera el CAPEXEspacio Energia
= Depreciación anual sobre el CAPEXEspacio Energia
T = Tasa de impuesto de renta (Impuesto de Renta + CREE) que aplique en el tiempo.
e. Depreciación de CAPEX asociado a compartición de la torre
La depreciación sobre el CAPEX asignado al servicio de compartición de Torre se calculará de acuerdo con la siguiente expresión:
![]()
Ecuación 26 – Cálculo de la depreciación en línea recta del CAPEX total asociado al servicio de Torre
Donde:
CAPEXi = Inversiones de capital CAPEX del elemento i
N = Número total de elementos sobre los que se calcula el CAPEX.
Vida Útili = Vida útil del elemento i
FactoriTorre = Driver de asignación de servidumbre asociado a la Torre:
- Si el elemento i está asociado exclusivamente a la Torre:
![]()
- Si el elemento i está asociado al Cuarto de Equipos, al Espacio de Energía y a la Torre:
![]()
f. Cálculo de impuesto de renta para Compartición de la Torre
El impuesto de renta, incluyendo el gasto de depreciación sobre equipos invertidos, para las inversiones distribuidas al servicio de compartición de Torres se deberá tomar como referencia la siguiente expresión:

Ecuación 27 – Cálculo del impuesto de renta para las inversiones distribuidas al servicio de compartición de Torres
Donde:
= Impuesto de renta causado para las inversiones distribuidas al servicio de compartición de Torres
= Anualidad equivalente en pesos mediante el cual se recupera el CAPEX Torres
= Depreciación anual sobre el CAPEX Torres
T = Tasa de impuesto de renta (Impuesto de Renta + CREE) que aplique en el tiempo.
VII. Asignación de los costos de elementos de OPEX a los servicios de compartición: Cuarto de Equipos, Espacio de Energía y Torre
Una vez asignados los costos del CAPEX a cada uno de los tres (3) servicios de compartición, se deberán asignar los costos de operación y mantenimiento (OPEX) anuales, tanto directos como indirectos, que se encuentran discriminados por elementos de costos a dichos servicios.
a. OPEX asignado a cuarto de equipos
El OPEX asignado al Cuarto de Equipos de los elementos de red que participan en el proceso de compartición, estará dado por la siguiente expresión:
![]()
Ecuación 28 – OPEX total asociado al servicio de Cuarto de Equipos
Donde:
= OPEX en pesos total asignado al Cuarto de Equipos
= Costos de operación y mantenimiento OPEX asociados al ítem i
N = Número total de ítems sobre los que se calcula el OPEX.
= Driver de asignación de servidumbre asociado al Cuarto de Equipos así:
b. OPEX asignado a espacio de energía
El OPEX asignado al Espacio de Energía de los elementos de red que participan en el proceso de compartición, estará dado por la siguiente expresión:

Ecuación 29 – OPEX total asociado al servicio de Espacio de Energía
Donde:
= OPEX en pesos total asignado al Espacio de Energía
= Costos de operación y mantenimiento OPEX asociados al ítem i
N = Número total de ítems sobre los que se calcula el OPEX.
= Driver de asignación de servidumbre asociado al Espacio de Energía así:
![]()
c. OPEX asignado a la Torre
El OPEX asignado a la Torre de los elementos de red que participan en el proceso de compartición, estará dado por la siguiente expresión:

Ecuación 30 – OPEX total asociado al servicio de Torre
Donde:
= OPEX en pesos total asignado a la Torre
= Costos de operación y mantenimiento OPEX asociados al ítem i
N = Número total de ítems sobre los que se calcula el OPEX.
= Driver de asignación de servidumbre asociado a la Torre así:
![]()
VIII. Cálculo de los costos totales mediante la sumatoria de la Anualidad del CAPEX y del OPEX para los servicios de compartición
a. Costo total (CAPEX+OPEX) asignado a cuarto de equipos
El costo total para un año determinado del servicio de compartición de Cuarto de Equipos estará dado por la siguiente expresión:
![]()
Ecuación 31 – Costo total para un año determinado del servicio de compartición de Cuarto de Equipos
Donde:
= Anualidad equivalente en pesos mediante el cual se recupera el
= OPEX en pesos total asignado al Cuarto de Equipos
b. Costo total (CAPEX+OPEX) asignado a espacio de energía
El costo total para un año determinado del servicio de compartición de Espacio de Energía estará dado por la siguiente expresión:
![]()
Ecuación 32 – Costo total para un año determinado del servicio de compartición de Espacio de Energía
Donde:
= Anualidad equivalente en pesos mediante el cual se recupera el CAPEX Espacio Energía
= OPEX en pesos total asignado al Espacio de Energía
c. Costo total (CAPEX+OPEX) asignado a Torre
El costo total para un año determinado del servicio de compartición de Torre estará dado por la siguiente expresión:
![]()
Ecuación 33 – Costo total para un año determinado del servicio de compartición de Torre
Donde:
= Anualidad equivalente en pesos mediante el cual se recupera el CAPEX Torre
= OPEX en pesos total asignado a la Torre.
IX. Determinación de los precios mensuales de los servicios de compartición: Cuarto de Equipos, Espacio de Energía y Torre
d. Precio por mes asignado a cuarto de equipos
El precio por mes por metro cuadrado del servicio de compartición del Cuarto de Equipos se calcula mediante la siguiente expresión:
![]()
Ecuación 34 – Determinación del precio mayorista del servicio de compartición de Cuarto de Equipos
e. Precio por mes asignado a Capacidad de Energía
El precio por mes por kW del servicio de compartición de Capacidad de Energía se calcula mediante la siguiente expresión:

Ecuación 35 – Determinación del precio mayorista del servicio de compartición de Espacio de Energía
Donde:
Pc = Potencia total consumida en la estación (solicitante(s) y establecido).
Pe = Potencia consumida por el operador solicitante.
f. Precio por mes asignado a Consumo de Energía
Para la medición del consumo, se podrá disponer de un medidor que registre la energía utilizada mensualmente por el operador solicitante en la estación de radiodifusión de televisión. En caso en que no se disponga de dicho medidor, se distribuirá el gasto mensual de energía de toda la estación entre los operadores coubicados en función de la potencia requerida por cada uno de ellos respecto de la potencia total disponible.
g. Precio por mes asignado a Torre
El precio por mes por metro lineal utilizado en la Torre del servicio de compartición de la Torre se calcula mediante la siguiente expresión:
![]()
Ecuación 36 – Determinación del precio mayorista del servicio de compartición de Torre
Donde:
= Número de metros lineales utilizados en la torre, según el arreglo de antenas a implementar y que puede contemplar el número de caras disponibles de la misma.
= Costo adicional sobre el valor promedio del costo por metro de la Torre, de acuerdo con la siguiente tabla:
Tabla 2 – Factor de ajuste del precio de la Torre sobre el costo promedio

X. Incorporación de otros costos
a. Con respecto a los costos en que se incurre y que dependen del requerimiento específico del operador solicitante, se consideran a manera de referencia los siguientes ítems:
- Acompañamiento a la estación de radiodifusión de televisión: Medido en horas o fracción de horas del tiempo, recoge la dedicación de un profesional del proveedor de la infraestructura para mostrar en tanto los planos detallados como las instalaciones de la estación de radiodifusión de televisión.
- Estudios de viabilidad de la compartición pasiva por el operador solicitante: Corresponde al tiempo del servicio de ingeniería que haya dispuesto el proveedor de la infraestructura para entender la solicitud de compartición pasiva que ha realizado el operador solicitante y valorar técnicamente la viabilidad de la misma. Este costo deberá calcularse así:
![]()
Ecuación 37 – Costo de estudio de viabilidad
Donde:
= Factor prestacional del año en curso.
= Número de horas dedicadas por el ingeniero a estudio de viabilidad de coubicación.
b. Con respecto a los costos de operación y mantenimiento OPEX asociados al Terreno (lote) que se deben recuperar en el evento en que el operador solicitante solicite al proveedor de infraestructura la compartición de un espacio que esté incluido en el Área Servidumbre Lote, y sobre el cual no exista infraestructura alguna relacionada con la compartición de los servicios de Cuarto de Equipos, de Espacio de Energía y de Torre, se aplicará lo siguiente:
![]()
Ecuación 38 – Cálculo del precio mensual por metro cuadrado de lote
Donde:
OPEX Lote = Expresado en pesos al mes, correspondiente a: i) máximo el 1% sobre el avalúo comercial actualizado del terreno (lote) dispuesto para el sitio, en el caso que el terreno (lote) sea propio, o ii) valor pagado mensual de arrendamiento, en el caso que el terreno (lote) no sea propio.
OPEX Otros Lote = Expresado en pesos por mes, correspondiente a los costos mensuales de operación y mantenimiento OPEX asociados exclusivamente al espacio que esté incluido en el Área Servidumbre Lote y sobre el cual no exista infraestructura alguna relacionada con la compartición de los servicios de Cuarto de Equipos, de Espacio de Energía y de Torre."
(Anexo I Resolución CRC 4841 de 2015, modificado por la Resolución CRC 4902 de 2016 y la Resolución CRC 5029 de 2016)
LISTADO DE MUNICIPIOS DONDE RESULTAN APLICABLES LOSVALORES DE REMUNERACIÓN DE ROAMING AUTOMÁTICO NACIONAL.
<Anexo modificado por el artículo 11 de la Resolución 8183 de 2026. El nuevo texto es el siguiente:>
El siguiente listado contiene los municipios donde resultan aplicables los valores de remuneración de Roaming Automático Nacional para el servicio de voz, SMS o datos a los que se refieren los artículos 4.7.4.1. y 4.7.4.2. de la presente resolución.
| No. | Código municipio | Departamento | Municipio | Zona de remuneración |
| 1 | 5001 | Antioquia | Medellín | Zona 1 |
| 2 | 5042 | Antioquia | Santafé de Antioquia | Zona 1 |
| 3 | 5088 | Antioquia | Bello | Zona 1 |
| 4 | 5129 | Antioquia | Caldas | Zona 1 |
| 5 | 5190 | Antioquia | Cisneros | Zona 1 |
| 6 | 5212 | Antioquia | Copacabana | Zona 1 |
| 7 | 5266 | Antioquia | Envigado | Zona 1 |
| 8 | 5308 | Antioquia | Girardota | Zona 1 |
| 9 | 5321 | Antioquia | Guatapé | Zona 1 |
| 10 | 5360 | Antioquia | Itagüí | Zona 1 |
| 11 | 5376 | Antioquia | La Ceja | Zona 1 |
| 12 | 5380 | Antioquia | La Estrella | Zona 1 |
| 13 | 5440 | Antioquia | Marinilla | Zona 1 |
| No. | Código municipio | Departamento | Municipio | Zona de remuneración |
| 14 | 5541 | Antioquia | Peñol | Zona 1 |
| 15 | 5607 | Antioquia | Retiro | Zona 1 |
| 16 | 5615 | Antioquia | Rionegro | Zona 1 |
| 17 | 5631 | Antioquia | Sabaneta | Zona 1 |
| 18 | 5664 | Antioquia | San Pedro de Los Milagros | Zona 1 |
| 19 | 5697 | Antioquia | El Santuario | Zona 1 |
| 20 | 8001 | Atlántico | Barranquilla | Zona 1 |
| 21 | 8296 | Atlántico | Galapa | Zona 1 |
| 22 | 8433 | Atlántico | Malambo | Zona 1 |
| 23 | 8520 | Atlántico | Palmar de Varela | Zona 1 |
| 24 | 8573 | Atlántico | Puerto Colombia | Zona 1 |
| 25 | 8634 | Atlántico | Sabanagrande | Zona 1 |
| 26 | 8638 | Atlántico | Sabanalarga | Zona 1 |
| 27 | 8685 | Atlántico | Santo Tomás | Zona 1 |
| 28 | 8758 | Atlántico | Soledad | Zona 1 |
| 29 | 11001 | Bogotá, D.C. | Bogotá, D.C. | Zona 1 |
| 30 | 13001 | Bolívar | Cartagena de Indias | Zona 1 |
| 31 | 13836 | Bolívar | Turbaco | Zona 1 |
| 32 | 15001 | Boyacá | Tunja | Zona 1 |
| 33 | 15176 | Boyacá | Chiquinquirá | Zona 1 |
| 34 | 15224 | Boyacá | Cucaita | Zona 1 |
| 35 | 15238 | Boyacá | Duitama | Zona 1 |
| 36 | 15272 | Boyacá | Firavitoba | Zona 1 |
| 37 | 15299 | Boyacá | Garagoa | Zona 1 |
| 38 | 15322 | Boyacá | Guateque | Zona 1 |
| 39 | 15407 | Boyacá | Villa de Leyva | Zona 1 |
| 40 | 15466 | Boyacá | Monguí | Zona 1 |
| 41 | 15516 | Boyacá | Paipa | Zona 1 |
| 42 | 15759 | Boyacá | Sogamoso | Zona 1 |
| 43 | 15761 | Boyacá | Somondoco | Zona 1 |
| 44 | 15798 | Boyacá | Tenza | Zona 1 |
| 45 | 15820 | Boyacá | Tópaga | Zona 1 |
| 46 | 17001 | Caldas | Manizales | Zona 1 |
| 47 | 17174 | Caldas | Chinchiná | Zona 1 |
| 48 | 17873 | Caldas | Villamaría | Zona 1 |
| 49 | 17877 | Caldas | Viterbo | Zona 1 |
| 50 | 18001 | Caquetá | Florencia | Zona 1 |
| 51 | 19001 | Cauca | Popayán | Zona 1 |
| 52 | 19513 | Cauca | Padilla | Zona 1 |
| 53 | 19573 | Cauca | Puerto Tejada | Zona 1 |
| 54 | 19845 | Cauca | Villa Rica | Zona 1 |
| 55 | 20001 | Cesar | Valledupar | Zona 1 |
| 56 | 20011 | Cesar | Aguachica | Zona 1 |
| 57 | 20710 | Cesar | San Alberto | Zona 1 |
| 58 | 23001 | Córdoba | Montería | Zona 1 |
| 59 | 25001 | Cundinamarca | Agua de Dios | Zona 1 |
| 60 | 25035 | Cundinamarca | Anapoima | Zona 1 |
| 61 | 25099 | Cundinamarca | Bojacá | Zona 1 |
| 62 | 25126 | Cundinamarca | Cajicá | Zona 1 |
| No. | Código municipio | Departamento | Municipio | Zona de remuneración |
| 63 | 25175 | Cundinamarca | Chía | Zona 1 |
| 64 | 25214 | Cundinamarca | Cota | Zona 1 |
| 65 | 25260 | Cundinamarca | El Rosal | Zona 1 |
| 66 | 25269 | Cundinamarca | Facatativá | Zona 1 |
| 67 | 25286 | Cundinamarca | Funza | Zona 1 |
| 68 | 25290 | Cundinamarca | Fusagasugá | Zona 1 |
| 69 | 25295 | Cundinamarca | Gachancipá | Zona 1 |
| 70 | 25307 | Cundinamarca | Girardot | Zona 1 |
| 71 | 25312 | Cundinamarca | Granada | Zona 1 |
| 72 | 25377 | Cundinamarca | La Calera | Zona 1 |
| 73 | 25430 | Cundinamarca | Madrid | Zona 1 |
| 74 | 25473 | Cundinamarca | Mosquera | Zona 1 |
| 75 | 25612 | Cundinamarca | Ricaurte | Zona 1 |
| 76 | 25740 | Cundinamarca | Sibaté | Zona 1 |
| 77 | 25754 | Cundinamarca | Soacha | Zona 1 |
| 78 | 25758 | Cundinamarca | Sopó | Zona 1 |
| 79 | 25769 | Cundinamarca | Subachoque | Zona 1 |
| 80 | 25781 | Cundinamarca | Sutatausa | Zona 1 |
| 81 | 25799 | Cundinamarca | Tenjo | Zona 1 |
| 82 | 25817 | Cundinamarca | Tocancipá | Zona 1 |
| 83 | 25843 | Cundinamarca | Villa de San Diego de Ubaté | Zona 1 |
| 84 | 25875 | Cundinamarca | Villeta | Zona 1 |
| 85 | 25899 | Cundinamarca | Zipaquirá | Zona 1 |
| 86 | 41001 | Huila | Neiva | Zona 1 |
| 87 | 41885 | Huila | Yaguará | Zona 1 |
| 88 | 47001 | Magdalena | Santa Marta | Zona 1 |
| 89 | 47189 | Magdalena | Ciénaga | Zona 1 |
| 90 | 50001 | Meta | Villavicencio | Zona 1 |
| 91 | 50006 | Meta | Acacías | Zona 1 |
| 92 | 50223 | Meta | Cubarral | Zona 1 |
| 93 | 50313 | Meta | Granada | Zona 1 |
| 94 | 50318 | Meta | Guamal | Zona 1 |
| 95 | 50606 | Meta | Restrepo | Zona 1 |
| 96 | 50689 | Meta | San Martín | Zona 1 |
| 97 | 52001 | Nariño | Pasto | Zona 1 |
| 98 | 52356 | Nariño | Ipiales | Zona 1 |
| 99 | 52480 | Nariño | Nariño | Zona 1 |
| 100 | 54001 | Norte de Santander | San José de Cúcuta | Zona 1 |
| 101 | 54172 | Norte de Santander | Chinácota | Zona 1 |
| 102 | 54405 | Norte de Santander | Los Patios | Zona 1 |
| 103 | 54498 | Norte de Santander | Ocaña | Zona 1 |
| 104 | 54518 | Norte de Santander | Pamplona | Zona 1 |
| 105 | 54553 | Norte de Santander | Puerto Santander | Zona 1 |
| 106 | 54874 | Norte de Santander | Villa del Rosario | Zona 1 |
| 107 | 63001 | Quindío | Armenia | Zona 1 |
| 108 | 63111 | Quindío | Buenavista | Zona 1 |
| 109 | 63130 | Quindío | Calarcá | Zona 1 |
| 110 | 63190 | Quindío | Circasia | Zona 1 |
| 111 | 63212 | Quindío | Córdoba | Zona 1 |
| No. | Código municipio | Departamento | Municipio | Zona de remuneración |
| 112 | 63272 | Quindío | Finlandia | Zona 1 |
| 113 | 63401 | Quindío | La Tebaida | Zona 1 |
| 114 | 63470 | Quindío | Montenegro | Zona 1 |
| 115 | 63548 | Quindío | Pijao | Zona 1 |
| 116 | 63594 | Quindío | Quimbaya | Zona 1 |
| 117 | 63690 | Quindío | Salento | Zona 1 |
| 118 | 66001 | Risaralda | Pereira | Zona 1 |
| 119 | 66170 | Risaralda | Dosquebradas | Zona 1 |
| 120 | 66400 | Risaralda | La Virginia | Zona 1 |
| 121 | 66682 | Risaralda | Santa Rosa de Cabal | Zona 1 |
| 122 | 68001 | Santander | Bucaramanga | Zona 1 |
| 123 | 68077 | Santander | Barbosa | Zona 1 |
| 124 | 68081 | Santander | Barrancabermeja | Zona 1 |
| 125 | 68147 | Santander | Capitanejo | Zona 1 |
| 126 | 68276 | Santander | Floridablanca | Zona 1 |
| 127 | 68307 | Santander | Girón | Zona 1 |
| 128 | 68406 | Santander | Lebrija | Zona 1 |
| 129 | 68547 | Santander | Piedecuesta | Zona 1 |
| 130 | 68679 | Santander | San Gil | Zona 1 |
| 131 | 68755 | Santander | Socorro | Zona 1 |
| 132 | 68872 | Santander | Villanueva | Zona 1 |
| 133 | 68895 | Santander | Zapatoca | Zona 1 |
| 134 | 70001 | Sucre | Sincelejo | Zona 1 |
| 135 | 73001 | Tolima | Ibagué | Zona 1 |
| 136 | 73268 | Tolima | Espinal | Zona 1 |
| 137 | 73275 | Tolima | Flandes | Zona 1 |
| 138 | 73349 | Tolima | Honda | Zona 1 |
| 139 | 73449 | Tolima | Melgar | Zona 1 |
| 140 | 76001 | Valle del Cauca | Cali | Zona 1 |
| 141 | 76020 | Valle del Cauca | Alcalá | Zona 1 |
| 142 | 76036 | Valle del Cauca | Andalucía | Zona 1 |
| 143 | 76109 | Valle del Cauca | Buenaventura | Zona 1 |
| 144 | 76111 | Valle del Cauca | Guadalajara de Buga | Zona 1 |
| 145 | 76122 | Valle del Cauca | Caicedonia | Zona 1 |
| 146 | 76130 | Valle del Cauca | Candelaria | Zona 1 |
| 147 | 76147 | Valle del Cauca | Cartago | Zona 1 |
| 148 | 76248 | Valle del Cauca | El Cerrito | Zona 1 |
| 149 | 76318 | Valle del Cauca | Guacarí | Zona 1 |
| 150 | 76364 | Valle del Cauca | Jamundí | Zona 1 |
| 151 | 76400 | Valle del Cauca | La Unión | Zona 1 |
| 152 | 76497 | Valle del Cauca | Obando | Zona 1 |
| 153 | 76520 | Valle del Cauca | Palmira | Zona 1 |
| 154 | 76563 | Valle del Cauca | Pradera | Zona 1 |
| 155 | 76622 | Valle del Cauca | Roldanillo | Zona 1 |
| 156 | 76736 | Valle del Cauca | Sevilla | Zona 1 |
| 157 | 76834 | Valle del Cauca | Tuluá | Zona 1 |
| 158 | 76892 | Valle del Cauca | Yumbo | Zona 1 |
| 159 | 76895 | Valle del Cauca | Zarzal | Zona 1 |
| 160 | 81001 | Arauca | Arauca | Zona 1 |
| No. | Código municipio | Departamento | Municipio | Zona de remuneración |
| 161 | 85001 | Casanare | Yopal | Zona 1 |
| 162 | 85010 | Casanare | Aguazul | Zona 1 |
| 163 | 86001 | Putumayo | Mocoa | Zona 1 |
| 164 | 86219 | Putumayo | Colón | Zona 1 |
| 165 | 86749 | Putumayo | Sibundoy | Zona 1 |
| 166 | 95001 | Guaviare | San José del Guaviare | Zona 1 |
| 167 | 5021 | Antioquia | Alejandría | Zona transitoria |
| 168 | 5030 | Antioquia | Amagá | Zona transitoria |
| 169 | 5031 | Antioquia | Amalfi | Zona transitoria |
| 170 | 5034 | Antioquia | Andes | Zona transitoria |
| 171 | 5036 | Antioquia | Angelópolis | Zona transitoria |
| 172 | 5045 | Antioquia | Apartadó | Zona transitoria |
| 173 | 5079 | Antioquia | Barbosa | Zona transitoria |
| 174 | 5138 | Antioquia | Cañasgordas | Zona transitoria |
| 175 | 5142 | Antioquia | Caracolí | Zona transitoria |
| 176 | 5145 | Antioquia | Caramanta | Zona transitoria |
| 177 | 5147 | Antioquia | Carepa | Zona transitoria |
| 178 | 5148 | Antioquia | El Carmen de Viboral | Zona transitoria |
| 179 | 5150 | Antioquia | Carolina | Zona transitoria |
| 180 | 5154 | Antioquia | Caucasia | Zona transitoria |
| 181 | 5172 | Antioquia | Chigorodó | Zona transitoria |
| 182 | 5206 | Antioquia | Concepción | Zona transitoria |
| 183 | 5209 | Antioquia | Concordia | Zona transitoria |
| 184 | 5237 | Antioquia | Donmatías | Zona transitoria |
| 185 | 5250 | Antioquia | El Bagre | Zona transitoria |
| 186 | 5264 | Antioquia | Entrerríos | Zona transitoria |
| 187 | 5282 | Antioquia | Fredonia | Zona transitoria |
| 188 | 5310 | Antioquia | Gómez Plata | Zona transitoria |
| 189 | 5313 | Antioquia | Granada | Zona transitoria |
| 190 | 5318 | Antioquia | Guarne | Zona transitoria |
| 191 | 5353 | Antioquia | Hispania | Zona transitoria |
| 192 | 5368 | Antioquia | Jericó | Zona transitoria |
| 193 | 5390 | Antioquia | La Pintada | Zona transitoria |
| 194 | 5400 | Antioquia | La Unión | Zona transitoria |
| 195 | 5411 | Antioquia | Liborina | Zona transitoria |
| 196 | 5467 | Antioquia | Montebello | Zona transitoria |
| 197 | 5501 | Antioquia | Olaya | Zona transitoria |
| 198 | 5576 | Antioquia | Pueblorrico | Zona transitoria |
| 199 | 5579 | Antioquia | Puerto Berrío | Zona transitoria |
| 200 | 5585 | Antioquia | Puerto Nare | Zona transitoria |
| 201 | 5604 | Antioquia | Remedios | Zona transitoria |
| 202 | 5649 | Antioquia | San Carlos | Zona transitoria |
| 203 | 5656 | Antioquia | San Jerónimo | Zona transitoria |
| 204 | 5659 | Antioquia | San Juan de Urabá | Zona transitoria |
| 205 | 5660 | Antioquia | San Luis | Zona transitoria |
| 206 | 5667 | Antioquia | San Rafael | Zona transitoria |
| 207 | 5670 | Antioquia | San Roque | Zona transitoria |
| 208 | 5674 | Antioquia | San Vicente | Zona transitoria |
| 209 | 5679 | Antioquia | Santa Bárbara | Zona transitoria |
| No. | Código municipio | Departamento | Municipio | Zona de remuneración |
| 210 | 5686 | Antioquia | Santa Rosa de Osos | Zona transitoria |
| 211 | 5736 | Antioquia | Segovia | Zona transitoria |
| 212 | 5756 | Antioquia | Sonsón | Zona transitoria |
| 213 | 5789 | Antioquia | Támesis | Zona transitoria |
| 214 | 5790 | Antioquia | Tarazá | Zona transitoria |
| 215 | 5809 | Antioquia | Titiribí | Zona transitoria |
| 216 | 5837 | Antioquia | Turbo | Zona transitoria |
| 217 | 5847 | Antioquia | Urrao | Zona transitoria |
| 218 | 5861 | Antioquia | Venecia | Zona transitoria |
| 219 | 5885 | Antioquia | Yalí | Zona transitoria |
| 220 | 5887 | Antioquia | Yarumal | Zona transitoria |
| 221 | 5893 | Antioquia | Yondó | Zona transitoria |
| 222 | 5895 | Antioquia | Zaragoza | Zona transitoria |
| 223 | 8078 | Atlántico | Baranoa | Zona transitoria |
| 224 | 8137 | Atlántico | Campo de La Cruz | Zona transitoria |
| 225 | 8141 | Atlántico | Candelaria | Zona transitoria |
| 226 | 8372 | Atlántico | Juan de Acosta | Zona transitoria |
| 227 | 8421 | Atlántico | Luruaco | Zona transitoria |
| 228 | 8436 | Atlántico | Manatí | Zona transitoria |
| 229 | 8549 | Atlántico | Piojó | Zona transitoria |
| 230 | 8558 | Atlántico | Polonuevo | Zona transitoria |
| 231 | 8560 | Atlántico | Ponedera | Zona transitoria |
| 232 | 8606 | Atlántico | Repelón | Zona transitoria |
| 233 | 8675 | Atlántico | Santa Lucía | Zona transitoria |
| 234 | 8770 | Atlántico | Suan | Zona transitoria |
| 235 | 8832 | Atlántico | Tubará | Zona transitoria |
| 236 | 8849 | Atlántico | Usiacurí | Zona transitoria |
| 237 | 13042 | Bolívar | Arenal | Zona transitoria |
| 238 | 13052 | Bolívar | Arjona | Zona transitoria |
| 239 | 13074 | Bolívar | Barranco de Loba | Zona transitoria |
| 240 | 13160 | Bolívar | Cantagallo | Zona transitoria |
| 241 | 13188 | Bolívar | Cicuco | Zona transitoria |
| 242 | 13222 | Bolívar | Clemencia | Zona transitoria |
| 243 | 13244 | Bolívar | El Carmen de Bolívar | Zona transitoria |
| 244 | 13248 | Bolívar | El Guamo | Zona transitoria |
| 245 | 13430 | Bolívar | Magangué | Zona transitoria |
| 246 | 13433 | Bolívar | Mahates | Zona transitoria |
| 247 | 13440 | Bolívar | Margarita | Zona transitoria |
| 248 | 13442 | Bolívar | María La Baja | Zona transitoria |
| 249 | 13580 | Bolívar | Regidor | Zona transitoria |
| 250 | 13620 | Bolívar | San Cristóbal | Zona transitoria |
| 251 | 13647 | Bolívar | San Estanislao | Zona transitoria |
| 252 | 13654 | Bolívar | San Jacinto | Zona transitoria |
| 253 | 13657 | Bolívar | San Juan Nepomuceno | Zona transitoria |
| 254 | 13667 | Bolívar | San Martín de Loba | Zona transitoria |
| 255 | 13670 | Bolívar | San Pablo | Zona transitoria |
| 256 | 13683 | Bolívar | Santa Rosa | Zona transitoria |
| 257 | 13688 | Bolívar | Santa Rosa del Sur | Zona transitoria |
| 258 | 13744 | Bolívar | Simití | Zona transitoria |
| No. | Código municipio | Departamento | Municipio | Zona de remuneración |
| 259 | 13760 | Bolívar | Soplaviento | Zona transitoria |
| 260 | 13780 | Bolívar | Talaigua Nuevo | Zona transitoria |
| 261 | 13873 | Bolívar | Villanueva | Zona transitoria |
| 262 | 13894 | Bolívar | Zambrano | Zona transitoria |
| 263 | 15047 | Boyacá | Aquitania | Zona transitoria |
| 264 | 15051 | Boyacá | Arcabuco | Zona transitoria |
| 265 | 15087 | Boyacá | Belén | Zona transitoria |
| 266 | 15092 | Boyacá | Betéitiva | Zona transitoria |
| 267 | 15104 | Boyacá | Boyacá | Zona transitoria |
| 268 | 15131 | Boyacá | Caldas | Zona transitoria |
| 269 | 15162 | Boyacá | Cerinza | Zona transitoria |
| 270 | 15172 | Boyacá | Chinavita | Zona transitoria |
| 271 | 15187 | Boyacá | Chivatá | Zona transitoria |
| 272 | 15204 | Boyacá | Cómbita | Zona transitoria |
| 273 | 15215 | Boyacá | Corrales | Zona transitoria |
| 274 | 15296 | Boyacá | Gámeza | Zona transitoria |
| 275 | 15362 | Boyacá | Iza | Zona transitoria |
| 276 | 15367 | Boyacá | Jenesano | Zona transitoria |
| 277 | 15455 | Boyacá | Miraflores | Zona transitoria |
| 278 | 15469 | Boyacá | Moniquirá | Zona transitoria |
| 279 | 15480 | Boyacá | Muzo | Zona transitoria |
| 280 | 15491 | Boyacá | Nobsa | Zona transitoria |
| 281 | 15507 | Boyacá | Otanche | Zona transitoria |
| 282 | 15531 | Boyacá | Pauna | Zona transitoria |
| 283 | 15537 | Boyacá | Paz de Río | Zona transitoria |
| 284 | 15572 | Boyacá | Puerto Boyacá | Zona transitoria |
| 285 | 15599 | Boyacá | Ramiriquí | Zona transitoria |
| 286 | 15600 | Boyacá | Ráquira | Zona transitoria |
| 287 | 15638 | Boyacá | Sáchica | Zona transitoria |
| 288 | 15646 | Boyacá | Samacá | Zona transitoria |
| 289 | 15667 | Boyacá | San Luis de Gaceno | Zona transitoria |
| 290 | 15673 | Boyacá | San Mateo | Zona transitoria |
| 291 | 15676 | Boyacá | San Miguel de Sema | Zona transitoria |
| 292 | 15686 | Boyacá | Santana | Zona transitoria |
| 293 | 15690 | Boyacá | Santa María | Zona transitoria |
| 294 | 15693 | Boyacá | Santa Rosa de Viterbo | Zona transitoria |
| 295 | 15753 | Boyacá | Soatá | Zona transitoria |
| 296 | 15757 | Boyacá | Socha | Zona transitoria |
| 297 | 15762 | Boyacá | Sora | Zona transitoria |
| 298 | 15763 | Boyacá | Sotaquirá | Zona transitoria |
| 299 | 15764 | Boyacá | Soracá | Zona transitoria |
| 300 | 15774 | Boyacá | Susacón | Zona transitoria |
| 301 | 15776 | Boyacá | Sutamarchán | Zona transitoria |
| 302 | 15804 | Boyacá | Tibaná | Zona transitoria |
| 303 | 15806 | Boyacá | Tibasosa | Zona transitoria |
| 304 | 15808 | Boyacá | Tinjacá | Zona transitoria |
| 305 | 15814 | Boyacá | Toca | Zona transitoria |
| 306 | 15835 | Boyacá | Turmequé | Zona transitoria |
| 307 | 15837 | Boyacá | Tuta | Zona transitoria |
| No. | Código municipio | Departamento | Municipio | Zona de remuneración |
| 308 | 15842 | Boyacá | Úmbita | Zona transitoria |
| 309 | 15861 | Boyacá | Ventaquemada | Zona transitoria |
| 310 | 17013 | Caldas | Aguadas | Zona transitoria |
| 311 | 17042 | Caldas | Anserma | Zona transitoria |
| 312 | 17088 | Caldas | Belalcázar | Zona transitoria |
| 313 | 17272 | Caldas | Filadelfia | Zona transitoria |
| 314 | 17380 | Caldas | La Dorada | Zona transitoria |
| 315 | 17388 | Caldas | La Merced | Zona transitoria |
| 316 | 17433 | Caldas | Manzanares | Zona transitoria |
| 317 | 17444 | Caldas | Marquetalia | Zona transitoria |
| 318 | 17513 | Caldas | Pácora | Zona transitoria |
| 319 | 17524 | Caldas | Palestina | Zona transitoria |
| 320 | 17614 | Caldas | Riosucio | Zona transitoria |
| 321 | 17616 | Caldas | Risaralda | Zona transitoria |
| 322 | 17653 | Caldas | Salamina | Zona transitoria |
| 323 | 17662 | Caldas | Samaná | Zona transitoria |
| 324 | 17777 | Caldas | Supía | Zona transitoria |
| 325 | 17867 | Caldas | Victoria | Zona transitoria |
| 326 | 18029 | Caquetá | Albania | Zona transitoria |
| 327 | 18094 | Caquetá | Belén de Los Andaquíes | Zona transitoria |
| 328 | 18150 | Caquetá | Cartagena del Chairá | Zona transitoria |
| 329 | 18205 | Caquetá | Curillo | Zona transitoria |
| 330 | 18247 | Caquetá | El Doncello | Zona transitoria |
| 331 | 18256 | Caquetá | El Paujíl | Zona transitoria |
| 332 | 18410 | Caquetá | La Montañita | Zona transitoria |
| 333 | 18592 | Caquetá | Puerto Rico | Zona transitoria |
| 334 | 18610 | Caquetá | San José del Fragua | Zona transitoria |
| 335 | 18753 | Caquetá | San Vicente del Caguán | Zona transitoria |
| 336 | 19022 | Cauca | Almaguer | Zona transitoria |
| 337 | 19075 | Cauca | Balboa | Zona transitoria |
| 338 | 19110 | Cauca | Buenos Aires | Zona transitoria |
| 339 | 19137 | Cauca | Caldono | Zona transitoria |
| 340 | 19142 | Cauca | Caloto | Zona transitoria |
| 341 | 19212 | Cauca | Corinto | Zona transitoria |
| 342 | 19256 | Cauca | El Tambo | Zona transitoria |
| 343 | 19300 | Cauca | Guachené | Zona transitoria |
| 344 | 19364 | Cauca | Jambaló | Zona transitoria |
| 345 | 19450 | Cauca | Mercaderes | Zona transitoria |
| 346 | 19455 | Cauca | Miranda | Zona transitoria |
| 347 | 19473 | Cauca | Morales | Zona transitoria |
| 348 | 19532 | Cauca | Patía | Zona transitoria |
| 349 | 19533 | Cauca | Piamonte | Zona transitoria |
| 350 | 19548 | Cauca | Piendamó - Tunía | Zona transitoria |
| 351 | 19585 | Cauca | Puracé | Zona transitoria |
| 352 | 19622 | Cauca | Rosas | Zona transitoria |
| 353 | 19698 | Cauca | Santander de Quilichao | Zona transitoria |
| 354 | 19743 | Cauca | Silvia | Zona transitoria |
| 355 | 19760 | Cauca | Sotará Paispamba | Zona transitoria |
| 356 | 19780 | Cauca | Suárez | Zona transitoria |
| No. | Código municipio | Departamento | Municipio | Zona de remuneración |
| 357 | 19807 | Cauca | Timbío | Zona transitoria |
| 358 | 19824 | Cauca | Totoró | Zona transitoria |
| 359 | 20013 | Cesar | Agustín Codazzi | Zona transitoria |
| 360 | 20032 | Cesar | Astrea | Zona transitoria |
| 361 | 20045 | Cesar | Becerril | Zona transitoria |
| 362 | 20060 | Cesar | Bosconia | Zona transitoria |
| 363 | 20175 | Cesar | Chimichagua | Zona transitoria |
| 364 | 20178 | Cesar | Chiriguaná | Zona transitoria |
| 365 | 20228 | Cesar | Curumaní | Zona transitoria |
| 366 | 20238 | Cesar | El Copey | Zona transitoria |
| 367 | 20250 | Cesar | El Paso | Zona transitoria |
| 368 | 20295 | Cesar | Gamarra | Zona transitoria |
| 369 | 20383 | Cesar | La Gloria | Zona transitoria |
| 370 | 20400 | Cesar | La Jagua de Ibirico | Zona transitoria |
| 371 | 20443 | Cesar | Manaure Balcón del Cesa | Zona transitoria |
| 372 | 20517 | Cesar | Pailitas | Zona transitoria |
| 373 | 20550 | Cesar | Pelaya | Zona transitoria |
| 374 | 20570 | Cesar | Pueblo Bello | Zona transitoria |
| 375 | 20621 | Cesar | La Paz | Zona transitoria |
| 376 | 20750 | Cesar | San Diego | Zona transitoria |
| 377 | 20770 | Cesar | San Martín | Zona transitoria |
| 378 | 20787 | Cesar | Tamalameque | Zona transitoria |
| 379 | 23090 | Córdoba | Canalete | Zona transitoria |
| 380 | 23162 | Córdoba | Cereté | Zona transitoria |
| 381 | 23168 | Córdoba | Chimá | Zona transitoria |
| 382 | 23182 | Córdoba | Chinú | Zona transitoria |
| 383 | 23189 | Córdoba | Ciénaga de Oro | Zona transitoria |
| 384 | 23300 | Córdoba | Cotorra | Zona transitoria |
| 385 | 23350 | Córdoba | La Apartada | Zona transitoria |
| 386 | 23417 | Córdoba | Lorica | Zona transitoria |
| 387 | 23419 | Córdoba | Los Córdoba | Zona transitoria |
| 388 | 23464 | Córdoba | Momil | Zona transitoria |
| 389 | 23466 | Córdoba | Montelíbano | Zona transitoria |
| 390 | 23500 | Córdoba | Moñitos | Zona transitoria |
| 391 | 23555 | Córdoba | Planeta Rica | Zona transitoria |
| 392 | 23570 | Córdoba | Pueblo Nuevo | Zona transitoria |
| 393 | 23574 | Córdoba | Puerto Escondido | Zona transitoria |
| 394 | 23580 | Córdoba | Puerto Libertador | Zona transitoria |
| 395 | 23586 | Córdoba | Purísima de La Concepción | Zona transitoria |
| 396 | 23660 | Córdoba | Sahagún | Zona transitoria |
| 397 | 23670 | Córdoba | San Andrés Sotavento | Zona transitoria |
| 398 | 23672 | Córdoba | San Antero | Zona transitoria |
| 399 | 23675 | Córdoba | San Bernardo del Viento | Zona transitoria |
| 400 | 23686 | Córdoba | San Pelayo | Zona transitoria |
| 401 | 23807 | Córdoba | Tierralta | Zona transitoria |
| 402 | 23815 | Córdoba | Tuchín | Zona transitoria |
| 403 | 23855 | Córdoba | Valencia | Zona transitoria |
| 404 | 25019 | Cundinamarca | Albán | Zona transitoria |
| 405 | 25040 | Cundinamarca | Anolaima | Zona transitoria |
| No. | Código municipio | Departamento | Municipio | Zona de remuneración |
| 406 | 25053 | Cundinamarca | Arbeláez | Zona transitoria |
| 407 | 25095 | Cundinamarca | Bituima | Zona transitoria |
| 408 | 25123 | Cundinamarca | Cachipay | Zona transitoria |
| 409 | 25148 | Cundinamarca | Caparrapí | Zona transitoria |
| 410 | 25151 | Cundinamarca | Cáqueza | Zona transitoria |
| 411 | 25178 | Cundinamarca | Chipaque | Zona transitoria |
| 412 | 25181 | Cundinamarca | Choachí | Zona transitoria |
| 413 | 25183 | Cundinamarca | Chocontá | Zona transitoria |
| 414 | 25200 | Cundinamarca | Cogua | Zona transitoria |
| 415 | 25245 | Cundinamarca | El Colegio | Zona transitoria |
| 416 | 25279 | Cundinamarca | Fómeque | Zona transitoria |
| 417 | 25281 | Cundinamarca | Fosca | Zona transitoria |
| 418 | 25317 | Cundinamarca | Guachetá | Zona transitoria |
| 419 | 25320 | Cundinamarca | Guaduas | Zona transitoria |
| 420 | 25322 | Cundinamarca | Guasca | Zona transitoria |
| 421 | 25326 | Cundinamarca | Guatavita | Zona transitoria |
| 422 | 25335 | Cundinamarca | Guayabetal | Zona transitoria |
| 423 | 25386 | Cundinamarca | La Mesa | Zona transitoria |
| 424 | 25394 | Cundinamarca | La Palma | Zona transitoria |
| 425 | 25402 | Cundinamarca | La Vega | Zona transitoria |
| 426 | 25438 | Cundinamarca | Medina | Zona transitoria |
| 427 | 25486 | Cundinamarca | Nemocón | Zona transitoria |
| 428 | 25488 | Cundinamarca | Nilo | Zona transitoria |
| 429 | 25491 | Cundinamarca | Nocaima | Zona transitoria |
| 430 | 25513 | Cundinamarca | Pacho | Zona transitoria |
| 431 | 25530 | Cundinamarca | Paratebueno | Zona transitoria |
| 432 | 25535 | Cundinamarca | Pasca | Zona transitoria |
| 433 | 25572 | Cundinamarca | Puerto Salgar | Zona transitoria |
| 434 | 25580 | Cundinamarca | Pulí | Zona transitoria |
| 435 | 25599 | Cundinamarca | Apulo | Zona transitoria |
| 436 | 25645 | Cundinamarca | San Antonio del Tequendama | Zona transitoria |
| 437 | 25649 | Cundinamarca | San Bernardo | Zona transitoria |
| 438 | 25658 | Cundinamarca | San Francisco | Zona transitoria |
| 439 | 25662 | Cundinamarca | San Juan de Rioseco | Zona transitoria |
| 440 | 25736 | Cundinamarca | Sesquilé | Zona transitoria |
| 441 | 25743 | Cundinamarca | Silvania | Zona transitoria |
| 442 | 25745 | Cundinamarca | Simijaca | Zona transitoria |
| 443 | 25772 | Cundinamarca | Suesca | Zona transitoria |
| 444 | 25779 | Cundinamarca | Susa | Zona transitoria |
| 445 | 25785 | Cundinamarca | Tabio | Zona transitoria |
| 446 | 25793 | Cundinamarca | Tausa | Zona transitoria |
| 447 | 25797 | Cundinamarca | Tena | Zona transitoria |
| 448 | 25805 | Cundinamarca | Tibacuy | Zona transitoria |
| 449 | 25807 | Cundinamarca | Tibirita | Zona transitoria |
| 450 | 25815 | Cundinamarca | Tocaima | Zona transitoria |
| 451 | 25845 | Cundinamarca | Une | Zona transitoria |
| 452 | 25873 | Cundinamarca | Villapinzón | Zona transitoria |
| 453 | 25878 | Cundinamarca | Viotá | Zona transitoria |
| 454 | 25885 | Cundinamarca | Yacopí | Zona transitoria |
| No. | Código municipio | Departamento | Municipio | Zona de remuneración |
| 455 | 25898 | Cundinamarca | Zipacón | Zona transitoria |
| 456 | 27001 | Chocó | Quibdó | Zona transitoria |
| 457 | 27245 | Chocó | El Carmen de Atrato | Zona transitoria |
| 458 | 27361 | Chocó | Istmina | Zona transitoria |
| 459 | 27787 | Chocó | Tadó | Zona transitoria |
| 460 | 41013 | Huila | Agrado | Zona transitoria |
| 461 | 41016 | Huila | Aipe | Zona transitoria |
| 462 | 41020 | Huila | Algeciras | Zona transitoria |
| 463 | 41026 | Huila | Altamira | Zona transitoria |
| 464 | 41078 | Huila | Baraya | Zona transitoria |
| 465 | 41132 | Huila | Campoalegre | Zona transitoria |
| 466 | 41298 | Huila | Garzón | Zona transitoria |
| 467 | 41306 | Huila | Gigante | Zona transitoria |
| 468 | 41319 | Huila | Guadalupe | Zona transitoria |
| 469 | 41349 | Huila | Hobo | Zona transitoria |
| 470 | 41357 | Huila | Íquira | Zona transitoria |
| 471 | 41359 | Huila | Isnos | Zona transitoria |
| 472 | 41378 | Huila | La Argentina | Zona transitoria |
| 473 | 41396 | Huila | La Plata | Zona transitoria |
| 474 | 41518 | Huila | Paicol | Zona transitoria |
| 475 | 41524 | Huila | Palermo | Zona transitoria |
| 476 | 41551 | Huila | Pitalito | Zona transitoria |
| 477 | 41615 | Huila | Rivera | Zona transitoria |
| 478 | 41660 | Huila | Saladoblanco | Zona transitoria |
| 479 | 41668 | Huila | San Agustín | Zona transitoria |
| 480 | 41770 | Huila | Suaza | Zona transitoria |
| 481 | 41797 | Huila | Tesalia | Zona transitoria |
| 482 | 41799 | Huila | Tello | Zona transitoria |
| 483 | 41801 | Huila | Teruel | Zona transitoria |
| 484 | 41807 | Huila | Timaná | Zona transitoria |
| 485 | 41872 | Huila | Villavieja | Zona transitoria |
| 486 | 44001 | La Guajira | Riohacha | Zona transitoria |
| 487 | 44035 | La Guajira | Albania | Zona transitoria |
| 488 | 44078 | La Guajira | Barrancas | Zona transitoria |
| 489 | 44090 | La Guajira | Dibulla | Zona transitoria |
| 490 | 44098 | La Guajira | Distracción | Zona transitoria |
| 491 | 44110 | La Guajira | El Molino | Zona transitoria |
| 492 | 44279 | La Guajira | Fonseca | Zona transitoria |
| 493 | 44378 | La Guajira | Hatonuevo | Zona transitoria |
| 494 | 44420 | La Guajira | La Jagua del Pilar | Zona transitoria |
| 495 | 44430 | La Guajira | Maicao | Zona transitoria |
| 496 | 44560 | La Guajira | Manaure | Zona transitoria |
| 497 | 44650 | La Guajira | San Juan del Cesar | Zona transitoria |
| 498 | 44847 | La Guajira | Uribia | Zona transitoria |
| 499 | 44855 | La Guajira | Urumita | Zona transitoria |
| 500 | 44874 | La Guajira | Villanueva | Zona transitoria |
| 501 | 47053 | Magdalena | Aracataca | Zona transitoria |
| 502 | 47058 | Magdalena | Ariguaní | Zona transitoria |
| 503 | 47161 | Magdalena | Cerro de San Antonio | Zona transitoria |
| No. | Código municipio | Departamento | Municipio | Zona de remuneración |
| 504 | 47170 | Magdalena | Chibolo | Zona transitoria |
| 505 | 47205 | Magdalena | Concordia | Zona transitoria |
| 506 | 47245 | Magdalena | El Banco | Zona transitoria |
| 507 | 47258 | Magdalena | El Piñón | Zona transitoria |
| 508 | 47268 | Magdalena | El Retén | Zona transitoria |
| 509 | 47288 | Magdalena | Fundación | Zona transitoria |
| 510 | 47318 | Magdalena | Guamal | Zona transitoria |
| 511 | 47460 | Magdalena | Nueva Granada | Zona transitoria |
| 512 | 47551 | Magdalena | Pivijay | Zona transitoria |
| 513 | 47555 | Magdalena | Plato | Zona transitoria |
| 514 | 47570 | Magdalena | Puebloviejo | Zona transitoria |
| 515 | 47605 | Magdalena | Remolino | Zona transitoria |
| 516 | 47660 | Magdalena | Sabanas de San Ángel | Zona transitoria |
| 517 | 47675 | Magdalena | Salamina | Zona transitoria |
| 518 | 47703 | Magdalena | San Zenón | Zona transitoria |
| 519 | 47707 | Magdalena | Santa Ana | Zona transitoria |
| 520 | 47720 | Magdalena | Santa Bárbara de Pinto | Zona transitoria |
| 521 | 47745 | Magdalena | Sitionuevo | Zona transitoria |
| 522 | 47798 | Magdalena | Tenerife | Zona transitoria |
| 523 | 47960 | Magdalena | Zapayán | Zona transitoria |
| 524 | 47980 | Magdalena | Zona Bananera | Zona transitoria |
| 525 | 50110 | Meta | Barranca de Upía | Zona transitoria |
| 526 | 50226 | Meta | Cumaral | Zona transitoria |
| 527 | 50245 | Meta | El Calvario | Zona transitoria |
| 528 | 50287 | Meta | Fuente de Oro | Zona transitoria |
| 529 | 50400 | Meta | Lejanías | Zona transitoria |
| 530 | 50450 | Meta | Puerto Concordia | Zona transitoria |
| 531 | 50568 | Meta | Puerto Gaitán | Zona transitoria |
| 532 | 50573 | Meta | Puerto López | Zona transitoria |
| 533 | 50577 | Meta | Puerto Lleras | Zona transitoria |
| 534 | 50680 | Meta | San Carlos de Guaroa | Zona transitoria |
| 535 | 50683 | Meta | San Juan de Arama | Zona transitoria |
| 536 | 50711 | Meta | Vistahermosa | Zona transitoria |
| 537 | 52019 | Nariño | Albán | Zona transitoria |
| 538 | 52022 | Nariño | Aldana | Zona transitoria |
| 539 | 52036 | Nariño | Ancuya | Zona transitoria |
| 540 | 52079 | Nariño | Barbacoas | Zona transitoria |
| 541 | 52083 | Nariño | Belén | Zona transitoria |
| 542 | 52110 | Nariño | Buesaco | Zona transitoria |
| 543 | 52207 | Nariño | Consacá | Zona transitoria |
| 544 | 52210 | Nariño | Contadero | Zona transitoria |
| 545 | 52224 | Nariño | Cuaspud Carlosama | Zona transitoria |
| 546 | 52227 | Nariño | Cumbal | Zona transitoria |
| 547 | 52233 | Nariño | Cumbitara | Zona transitoria |
| 548 | 52240 | Nariño | Chachagüí | Zona transitoria |
| 549 | 52256 | Nariño | El Rosario | Zona transitoria |
| 550 | 52260 | Nariño | El Tambo | Zona transitoria |
| 551 | 52317 | Nariño | Guachucal | Zona transitoria |
| 552 | 52320 | Nariño | Guaitarilla | Zona transitoria |
| No. | Código municipio | Departamento | Municipio | Zona de remuneración |
| 553 | 52323 | Nariño | Gualmatán | Zona transitoria |
| 554 | 52378 | Nariño | La Cruz | Zona transitoria |
| 555 | 52399 | Nariño | La Unión | Zona transitoria |
| 556 | 52411 | Nariño | Linares | Zona transitoria |
| 557 | 52418 | Nariño | Los Andes | Zona transitoria |
| 558 | 52490 | Nariño | Olaya Herrera | Zona transitoria |
| 559 | 52506 | Nariño | Ospina | Zona transitoria |
| 560 | 52520 | Nariño | Francisco Pizarro | Zona transitoria |
| 561 | 52560 | Nariño | Potosí | Zona transitoria |
| 562 | 52565 | Nariño | Providencia | Zona transitoria |
| 563 | 52573 | Nariño | Puerres | Zona transitoria |
| 564 | 52585 | Nariño | Pupiales | Zona transitoria |
| 565 | 52678 | Nariño | Samaniego | Zona transitoria |
| 566 | 52683 | Nariño | Sandoná | Zona transitoria |
| 567 | 52685 | Nariño | San Bernardo | Zona transitoria |
| 568 | 52693 | Nariño | San Pablo | Zona transitoria |
| 569 | 52720 | Nariño | Sapuyes | Zona transitoria |
| 570 | 52786 | Nariño | Taminango | Zona transitoria |
| 571 | 52788 | Nariño | Tangua | Zona transitoria |
| 572 | 52835 | Nariño | San Andrés de Tumaco | Zona transitoria |
| 573 | 52838 | Nariño | Túquerres | Zona transitoria |
| 574 | 52885 | Nariño | Yacuanquer | Zona transitoria |
| 575 | 54003 | Norte de Santander | Ábrego | Zona transitoria |
| 576 | 54099 | Norte de Santander | Bochalema | Zona transitoria |
| 577 | 54239 | Norte de Santander | Durania | Zona transitoria |
| 578 | 54261 | Norte de Santander | El Zulia | Zona transitoria |
| 579 | 54377 | Norte de Santander | Labateca | Zona transitoria |
| 580 | 54385 | Norte de Santander | La Esperanza | Zona transitoria |
| 581 | 54520 | Norte de Santander | Pamplonita | Zona transitoria |
| 582 | 54660 | Norte de Santander | Salazar | Zona transitoria |
| 583 | 54673 | Norte de Santander | San Cayetano | Zona transitoria |
| 584 | 54720 | Norte de Santander | Sardinata | Zona transitoria |
| 585 | 54810 | Norte de Santander | Tibú | Zona transitoria |
| 586 | 54871 | Norte de Santander | Villa Caro | Zona transitoria |
| 587 | 63302 | Quindio | Génova | Zona transitoria |
| 588 | 66045 | Risaralda | Apía | Zona transitoria |
| 589 | 66088 | Risaralda | Belén de Umbría | Zona transitoria |
| 590 | 66318 | Risaralda | Guática | Zona transitoria |
| 591 | 66383 | Risaralda | La Celia | Zona transitoria |
| 592 | 66440 | Risaralda | Marsella | Zona transitoria |
| 593 | 66594 | Risaralda | Quinchía | Zona transitoria |
| 594 | 68013 | Santander | Aguada | Zona transitoria |
| 595 | 68051 | Santander | Aratoca | Zona transitoria |
| 596 | 68079 | Santander | Barichara | Zona transitoria |
| 597 | 68092 | Santander | Betulia | Zona transitoria |
| 598 | 68101 | Santander | Bolívar | Zona transitoria |
| 599 | 68162 | Santander | Cerrito | Zona transitoria |
| 600 | 68167 | Santander | Charalá | Zona transitoria |
| 601 | 68190 | Santander | Cimitarra | Zona transitoria |
| No. | Código municipio | Departamento | Municipio | Zona de remuneración |
| 602 | 68211 | Santander | Contratación | Zona transitoria |
| 603 | 68229 | Santander | Curití | Zona transitoria |
| 604 | 68255 | Santander | El Playón | Zona transitoria |
| 605 | 68266 | Santander | Enciso | Zona transitoria |
| 606 | 68327 | Santander | Güepsa | Zona transitoria |
| 607 | 68418 | Santander | Los Santos | Zona transitoria |
| 608 | 68432 | Santander | Málaga | Zona transitoria |
| 609 | 68444 | Santander | Matanza | Zona transitoria |
| 610 | 68500 | Santander | Oiba | Zona transitoria |
| 611 | 68524 | Santander | Palmas del Socorro | Zona transitoria |
| 612 | 68533 | Santander | Páramo | Zona transitoria |
| 613 | 68549 | Santander | Pinchote | Zona transitoria |
| 614 | 68573 | Santander | Puerto Parra | Zona transitoria |
| 615 | 68575 | Santander | Puerto Wilches | Zona transitoria |
| 616 | 68615 | Santander | Rionegro | Zona transitoria |
| 617 | 68655 | Santander | Sabana de Torres | Zona transitoria |
| 618 | 68686 | Santander | San Miguel | Zona transitoria |
| 619 | 68689 | Santander | San Vicente de Chucurí | Zona transitoria |
| 620 | 68745 | Santander | Simacota | Zona transitoria |
| 621 | 68770 | Santander | Suaita | Zona transitoria |
| 622 | 68855 | Santander | Valle de San José | Zona transitoria |
| 623 | 68861 | Santander | Vélez | Zona transitoria |
| 624 | 70110 | Sucre | Buenavista | Zona transitoria |
| 625 | 70124 | Sucre | Caimito | Zona transitoria |
| 626 | 70204 | Sucre | Coloso | Zona transitoria |
| 627 | 70215 | Sucre | Corozal | Zona transitoria |
| 628 | 70221 | Sucre | Coveñas | Zona transitoria |
| 629 | 70233 | Sucre | El Roble | Zona transitoria |
| 630 | 70235 | Sucre | Galeras | Zona transitoria |
| 631 | 70265 | Sucre | Guaranda | Zona transitoria |
| 632 | 70400 | Sucre | La Unión | Zona transitoria |
| 633 | 70418 | Sucre | Los Palmitos | Zona transitoria |
| 634 | 70473 | Sucre | Morroa | Zona transitoria |
| 635 | 70508 | Sucre | Ovejas | Zona transitoria |
| 636 | 70523 | Sucre | Palmito | Zona transitoria |
| 637 | 70670 | Sucre | Sampués | Zona transitoria |
| 638 | 70702 | Sucre | San Juan de Betulia | Zona transitoria |
| 639 | 70708 | Sucre | San Marcos | Zona transitoria |
| 640 | 70713 | Sucre | San Onofre | Zona transitoria |
| 641 | 70717 | Sucre | San Pedro | Zona transitoria |
| 642 | 70742 | Sucre | San Luis de Sincé | Zona transitoria |
| 643 | 70771 | Sucre | Sucre | Zona transitoria |
| 644 | 70820 | Sucre | Santiago de Tolú | Zona transitoria |
| 645 | 70823 | Sucre | Tolú Viejo | Zona transitoria |
| 646 | 73024 | Tolima | Alpujarra | Zona transitoria |
| 647 | 73026 | Tolima | Alvarado | Zona transitoria |
| 648 | 73030 | Tolima | Ambalema | Zona transitoria |
| 649 | 73043 | Tolima | Anzoátegui | Zona transitoria |
| 650 | 73055 | Tolima | Armero | Zona transitoria |
| No. | Código municipio | Departamento | Municipio | Zona de remuneración |
| 651 | 73124 | Tolima | Cajamarca | Zona transitoria |
| 652 | 73148 | Tolima | Carmen de Apicalá | Zona transitoria |
| 653 | 73168 | Tolima | Chaparral | Zona transitoria |
| 654 | 73217 | Tolima | Coyaima | Zona transitoria |
| 655 | 73236 | Tolima | Dolores | Zona transitoria |
| 656 | 73283 | Tolima | Fresno | Zona transitoria |
| 657 | 73319 | Tolima | Guamo | Zona transitoria |
| 658 | 73352 | Tolima | Icononzo | Zona transitoria |
| 659 | 73408 | Tolima | Lérida | Zona transitoria |
| 660 | 73411 | Tolima | Líbano | Zona transitoria |
| 661 | 73443 | Tolima | Mariquita | Zona transitoria |
| 662 | 73483 | Tolima | Natagaima | Zona transitoria |
| 663 | 73520 | Tolima | Palocabildo | Zona transitoria |
| 664 | 73563 | Tolima | Prado | Zona transitoria |
| 665 | 73585 | Tolima | Purificación | Zona transitoria |
| 666 | 73671 | Tolima | Saldaña | Zona transitoria |
| 667 | 73678 | Tolima | San Luis | Zona transitoria |
| 668 | 73686 | Tolima | Santa Isabel | Zona transitoria |
| 669 | 73854 | Tolima | Valle de San Juan | Zona transitoria |
| 670 | 73861 | Tolima | Venadillo | Zona transitoria |
| 671 | 76041 | Valle del Cauca | Ansermanuevo | Zona transitoria |
| 672 | 76054 | Valle del Cauca | Argelia | Zona transitoria |
| 673 | 76100 | Valle del Cauca | Bolívar | Zona transitoria |
| 674 | 76113 | Valle del Cauca | Bugalagrande | Zona transitoria |
| 675 | 76126 | Valle del Cauca | Calima | Zona transitoria |
| 676 | 76233 | Valle del Cauca | Dagua | Zona transitoria |
| 677 | 76243 | Valle del Cauca | El Águila | Zona transitoria |
| 678 | 76246 | Valle del Cauca | El Cairo | Zona transitoria |
| 679 | 76250 | Valle del Cauca | El Dovio | Zona transitoria |
| 680 | 76275 | Valle del Cauca | Florida | Zona transitoria |
| 681 | 76306 | Valle del Cauca | Ginebra | Zona transitoria |
| 682 | 76377 | Valle del Cauca | La Cumbre | Zona transitoria |
| 683 | 76403 | Valle del Cauca | La Victoria | Zona transitoria |
| 684 | 76606 | Valle del Cauca | Restrepo | Zona transitoria |
| 685 | 76616 | Valle del Cauca | Riofrío | Zona transitoria |
| 686 | 76670 | Valle del Cauca | San Pedro | Zona transitoria |
| 687 | 76823 | Valle del Cauca | Toro | Zona transitoria |
| 688 | 76828 | Valle del Cauca | Trujillo | Zona transitoria |
| 689 | 76845 | Valle del Cauca | Ulloa | Zona transitoria |
| 690 | 76863 | Valle del Cauca | Versalles | Zona transitoria |
| 691 | 76869 | Valle del Cauca | Vijes | Zona transitoria |
| 692 | 76890 | Valle del Cauca | Yotoco | Zona transitoria |
| 693 | 81065 | Arauca | Arauquita | Zona transitoria |
| 694 | 81220 | Arauca | Cravo Norte | Zona transitoria |
| 695 | 81300 | Arauca | Fortul | Zona transitoria |
| 696 | 81736 | Arauca | Saravena | Zona transitoria |
| 697 | 81794 | Arauca | Tame | Zona transitoria |
| 698 | 85015 | Casanare | Chámeza | Zona transitoria |
| 699 | 85125 | Casanare | Hato Corozal | Zona transitoria |
| No. | Código municipio | Departamento | Municipio | Zona de remuneración |
| 700 | 85139 | Casanare | Maní | Zona transitoria |
| 701 | 85162 | Casanare | Monterrey | Zona transitoria |
| 702 | 85250 | Casanare | Paz de Ariporo | Zona transitoria |
| 703 | 85263 | Casanare | Pore | Zona transitoria |
| 704 | 85315 | Casanare | Sácama | Zona transitoria |
| 705 | 85325 | Casanare | San Luis de Palenque | Zona transitoria |
| 706 | 85400 | Casanare | Támara | Zona transitoria |
| 707 | 85410 | Casanare | Tauramena | Zona transitoria |
| 708 | 85430 | Casanare | Trinidad | Zona transitoria |
| 709 | 85440 | Casanare | Villanueva | Zona transitoria |
| 710 | 86320 | Putumayo | Orito | Zona transitoria |
| 711 | 86568 | Putumayo | Puerto Asís | Zona transitoria |
| 712 | 86571 | Putumayo | Puerto Guzmán | Zona transitoria |
| 713 | 86755 | Putumayo | San Francisco | Zona transitoria |
| 714 | 86757 | Putumayo | San Miguel | Zona transitoria |
| 715 | 86760 | Putumayo | Santiago | Zona transitoria |
| 716 | 86865 | Putumayo | Valle del Guamuez | Zona transitoria |
| 717 | 86885 | Putumayo | Villagarzón | Zona transitoria |
| 718 | 91001 | Amazonas | Leticia | Zona transitoria |
| 719 | 95015 | Guaviare | Calamar | Zona transitoria |
| 720 | 95025 | Guaviare | El Retorno | Zona transitoria |
| 721 | 97001 | Vaupés | Mitú | Zona transitoria |
| 722 | 99001 | Vichada | Puerto Carreño | Zona transitoria |
| 723 | 99524 | Vichada | La Primavera | Zona transitoria |
| 724 | 99773 | Vichada | Cumaribo | Zona transitoria |
| 725 | 5002 | Antioquia | Abejorral | Zona permanente |
| 726 | 5004 | Antioquia | Abriaquí | Zona permanente |
| 727 | 5038 | Antioquia | Angostura | Zona permanente |
| 728 | 5040 | Antioquia | Anorí | Zona permanente |
| 729 | 5044 | Antioquia | Anzá | Zona permanente |
| 730 | 5051 | Antioquia | Arboletes | Zona permanente |
| 731 | 5055 | Antioquia | Argelia | Zona permanente |
| 732 | 5059 | Antioquia | Armenia | Zona permanente |
| 733 | 5086 | Antioquia | Belmira | Zona permanente |
| 734 | 5091 | Antioquia | Betania | Zona permanente |
| 735 | 5093 | Antioquia | Betulia | Zona permanente |
| 736 | 5101 | Antioquia | Ciudad Bolívar | Zona permanente |
| 737 | 5107 | Antioquia | Briceño | Zona permanente |
| 738 | 5113 | Antioquia | Buriticá | Zona permanente |
| 739 | 5120 | Antioquia | Cáceres | Zona permanente |
| 740 | 5125 | Antioquia | Caicedo | Zona permanente |
| 741 | 5134 | Antioquia | Campamento | Zona permanente |
| 742 | 5197 | Antioquia | Cocorná | Zona permanente |
| 743 | 5234 | Antioquia | Dabeiba | Zona permanente |
| 744 | 5240 | Antioquia | Ebéjico | Zona permanente |
| 745 | 5284 | Antioquia | Frontino | Zona permanente |
| 746 | 5306 | Antioquia | Giraldo | Zona permanente |
| 747 | 5315 | Antioquia | Guadalupe | Zona permanente |
| 748 | 5347 | Antioquia | Heliconia | Zona permanente |
| No. | Código municipio | Departamento | Municipio | Zona de remuneración |
| 749 | 5361 | Antioquia | Ituango | Zona permanente |
| 750 | 5364 | Antioquia | Jardín | Zona permanente |
| 751 | 5425 | Antioquia | Maceo | Zona permanente |
| 752 | 5475 | Antioquia | Murindó | Zona permanente |
| 753 | 5480 | Antioquia | Mutatá | Zona permanente |
| 754 | 5483 | Antioquia | Nariño | Zona permanente |
| 755 | 5490 | Antioquia | Necoclí | Zona permanente |
| 756 | 5495 | Antioquia | Nechí | Zona permanente |
| 757 | 5543 | Antioquia | Peque | Zona permanente |
| 758 | 5591 | Antioquia | Puerto Triunfo | Zona permanente |
| 759 | 5628 | Antioquia | Sabanalarga | Zona permanente |
| 760 | 5642 | Antioquia | Salgar | Zona permanente |
| 761 | 5647 | Antioquia | San Andrés de Cuerquía | Zona permanente |
| 762 | 5652 | Antioquia | San Francisco | Zona permanente |
| 763 | 5658 | Antioquia | San José de La Montaña | Zona permanente |
| 764 | 5665 | Antioquia | San Pedro de Urabá | Zona permanente |
| 765 | 5690 | Antioquia | Santo Domingo | Zona permanente |
| 766 | 5761 | Antioquia | Sopetrán | Zona permanente |
| 767 | 5792 | Antioquia | Tarso | Zona permanente |
| 768 | 5819 | Antioquia | Toledo | Zona permanente |
| 769 | 5842 | Antioquia | Uramita | Zona permanente |
| 770 | 5854 | Antioquia | Valdivia | Zona permanente |
| 771 | 5856 | Antioquia | Valparaíso | Zona permanente |
| 772 | 5858 | Antioquia | Vegachí | Zona permanente |
| 773 | 5873 | Antioquia | Vigía del Fuerte | Zona permanente |
| 774 | 5890 | Antioquia | Yolombó | Zona permanente |
| 775 | 13006 | Bolívar | Achí | Zona permanente |
| 776 | 13030 | Bolívar | Altos del Rosario | Zona permanente |
| 777 | 13062 | Bolívar | Arroyohondo | Zona permanente |
| 778 | 13140 | Bolívar | Calamar | Zona permanente |
| 779 | 13212 | Bolívar | Córdoba | Zona permanente |
| 780 | 13268 | Bolívar | El Peñón | Zona permanente |
| 781 | 13300 | Bolívar | Hatillo de Loba | Zona permanente |
| 782 | 13458 | Bolívar | Montecristo | Zona permanente |
| 783 | 13468 | Bolívar | Mompós | Zona permanente |
| 784 | 13473 | Bolívar | Morales | Zona permanente |
| 785 | 13490 | Bolívar | Norosí | Zona permanente |
| 786 | 13549 | Bolívar | Pinillos | Zona permanente |
| 787 | 13600 | Bolívar | Río Viejo | Zona permanente |
| 788 | 13650 | Bolívar | San Fernando | Zona permanente |
| 789 | 13655 | Bolívar | San Jacinto del Cauca | Zona permanente |
| 790 | 13673 | Bolívar | Santa Catalina | Zona permanente |
| 791 | 13810 | Bolívar | Tiquisio | Zona permanente |
| 792 | 13838 | Bolívar | Turbaná | Zona permanente |
| 793 | 15022 | Boyacá | Almeida | Zona permanente |
| 794 | 15090 | Boyacá | Berbeo | Zona permanente |
| 795 | 15097 | Boyacá | Boavita | Zona permanente |
| 796 | 15106 | Boyacá | Briceño | Zona permanente |
| 797 | 15109 | Boyacá | Buenavista | Zona permanente |
| No. | Código municipio | Departamento | Municipio | Zona de remuneración |
| 798 | 15114 | Boyacá | Busbanzá | Zona permanente |
| 799 | 15135 | Boyacá | Campohermoso | Zona permanente |
| 800 | 15180 | Boyacá | Chiscas | Zona permanente |
| 801 | 15183 | Boyacá | Chita | Zona permanente |
| 802 | 15185 | Boyacá | Chitaraque | Zona permanente |
| 803 | 15189 | Boyacá | Ciénega | Zona permanente |
| 804 | 15212 | Boyacá | Coper | Zona permanente |
| 805 | 15218 | Boyacá | Covarachía | Zona permanente |
| 806 | 15223 | Boyacá | Cubará | Zona permanente |
| 807 | 15226 | Boyacá | Cuítiva | Zona permanente |
| 808 | 15232 | Boyacá | Chíquiza | Zona permanente |
| 809 | 15236 | Boyacá | Chivor | Zona permanente |
| 810 | 15244 | Boyacá | El Cocuy | Zona permanente |
| 811 | 15248 | Boyacá | El Espino | Zona permanente |
| 812 | 15276 | Boyacá | Floresta | Zona permanente |
| 813 | 15293 | Boyacá | Gachantivá | Zona permanente |
| 814 | 15317 | Boyacá | Guacamayas | Zona permanente |
| 815 | 15325 | Boyacá | Guayatá | Zona permanente |
| 816 | 15332 | Boyacá | Güicán de La Sierra | Zona permanente |
| 817 | 15368 | Boyacá | Jericó | Zona permanente |
| 818 | 15377 | Boyacá | Labranzagrande | Zona permanente |
| 819 | 15380 | Boyacá | La Capilla | Zona permanente |
| 820 | 15401 | Boyacá | La Victoria | Zona permanente |
| 821 | 15403 | Boyacá | La Uvita | Zona permanente |
| 822 | 15425 | Boyacá | Macanal | Zona permanente |
| 823 | 15442 | Boyacá | Maripí | Zona permanente |
| 824 | 15464 | Boyacá | Mongua | Zona permanente |
| 825 | 15476 | Boyacá | Motavita | Zona permanente |
| 826 | 15494 | Boyacá | Nuevo Colón | Zona permanente |
| 827 | 15500 | Boyacá | Oicatá | Zona permanente |
| 828 | 15511 | Boyacá | Pachavita | Zona permanente |
| 829 | 15514 | Boyacá | Páez | Zona permanente |
| 830 | 15518 | Boyacá | Pajarito | Zona permanente |
| 831 | 15522 | Boyacá | Panqueba | Zona permanente |
| 832 | 15533 | Boyacá | Paya | Zona permanente |
| 833 | 15542 | Boyacá | Pesca | Zona permanente |
| 834 | 15550 | Boyacá | Pisba | Zona permanente |
| 835 | 15580 | Boyacá | Quípama | Zona permanente |
| 836 | 15621 | Boyacá | Rondón | Zona permanente |
| 837 | 15632 | Boyacá | Saboyá | Zona permanente |
| 838 | 15660 | Boyacá | San Eduardo | Zona permanente |
| 839 | 15664 | Boyacá | San José de Pare | Zona permanente |
| 840 | 15681 | Boyacá | San Pablo de Borbur | Zona permanente |
| 841 | 15696 | Boyacá | Santa Sofía | Zona permanente |
| 842 | 15720 | Boyacá | Sativanorte | Zona permanente |
| 843 | 15723 | Boyacá | Sativasur | Zona permanente |
| 844 | 15740 | Boyacá | Siachoque | Zona permanente |
| 845 | 15755 | Boyacá | Socotá | Zona permanente |
| 846 | 15778 | Boyacá | Sutatenza | Zona permane |
| No. | Código municipio | Departamento | Municipio | Zona de remuneración |
| 847 | 15790 | Boyacá | Tasco | Zona permanente |
| 848 | 15810 | Boyacá | Tipacoque | Zona permanente |
| 849 | 15816 | Boyacá | Togüí | Zona permanente |
| 850 | 15822 | Boyacá | Tota | Zona permanente |
| 851 | 15832 | Boyacá | Tununguá | Zona permanente |
| 852 | 15839 | Boyacá | Tutazá | Zona permanente |
| 853 | 15879 | Boyacá | Viracachá | Zona permanente |
| 854 | 15897 | Boyacá | Zetaquira | Zona permanente |
| 855 | 17050 | Caldas | Aranzazu | Zona permanente |
| 856 | 17442 | Caldas | Marmato | Zona permanente |
| 857 | 17446 | Caldas | Marulanda | Zona permanente |
| 858 | 17486 | Caldas | Neira | Zona permanente |
| 859 | 17495 | Caldas | Norcasia | Zona permanente |
| 860 | 17541 | Caldas | Pensilvania | Zona permanente |
| 861 | 17665 | Caldas | San José | Zona permanente |
| 862 | 18460 | Caquetá | Milán | Zona permanente |
| 863 | 18479 | Caquetá | Morelia | Zona permanente |
| 864 | 18756 | Caquetá | Solano | Zona permanente |
| 865 | 18785 | Caquetá | Solita | Zona permanente |
| 866 | 18860 | Caquetá | Valparaíso | Zona permanente |
| 867 | 19050 | Cauca | Argelia | Zona permanente |
| 868 | 19100 | Cauca | Bolívar | Zona permanente |
| 869 | 19130 | Cauca | Cajibío | Zona permanente |
| 870 | 19290 | Cauca | Florencia | Zona permanente |
| 871 | 19318 | Cauca | Guapi | Zona permanente |
| 872 | 19355 | Cauca | Inzá | Zona permanente |
| 873 | 19392 | Cauca | La Sierra | Zona permanente |
| 874 | 19397 | Cauca | La Vega | Zona permanente |
| 875 | 19418 | Cauca | López de Micay | Zona permanente |
| 876 | 19517 | Cauca | Páez | Zona permanente |
| 877 | 19693 | Cauca | San Sebastián | Zona permanente |
| 878 | 19701 | Cauca | Santa Rosa | Zona permanente |
| 879 | 19785 | Cauca | Sucre | Zona permanente |
| 880 | 19809 | Cauca | Timbiquí | Zona permanente |
| 881 | 19821 | Cauca | Toribío | Zona permanente |
| 882 | 20310 | Cesar | González | Zona permanente |
| 883 | 20614 | Cesar | Río de Oro | Zona permanente |
| 884 | 23068 | Córdoba | Ayapel | Zona permanente |
| 885 | 23079 | Córdoba | Buenavista | Zona permanente |
| 886 | 23678 | Córdoba | San Carlos | Zona permanente |
| 887 | 23682 | Córdoba | San José de Uré | Zona permanente |
| 888 | 25086 | Cundinamarca | Beltrán | Zona permanente |
| 889 | 25120 | Cundinamarca | Cabrera | Zona permanente |
| 890 | 25154 | Cundinamarca | Carmen de Carupa | Zona permanente |
| 891 | 25168 | Cundinamarca | Chaguaní | Zona permanente |
| 892 | 25224 | Cundinamarca | Cucunubá | Zona permanente |
| 893 | 25258 | Cundinamarca | El Peñón | Zona permanente |
| 894 | 25288 | Cundinamarca | Fúquene | Zona permanente |
| 895 | 25293 | Cundinamarca | Gachalá | Zona permanente |
| No. | Códig municipio | Departamento | Municipio | Zona de remuneración |
| 896 | 25297 | Cundinamarca | Gachetá | Zona permanente |
| 897 | 25299 | Cundinamarca | Gama | Zona permanente |
| 898 | 25324 | Cundinamarca | Guataquí | Zona permanente |
| 899 | 25328 | Cundinamarca | Guayabal de Síquima | Zona permanente |
| 900 | 25339 | Cundinamarca | Gutiérrez | Zona permanente |
| 901 | 25368 | Cundinamarca | Jerusalén | Zona permanente |
| 902 | 25372 | Cundinamarca | Junín | Zona permanente |
| 903 | 25398 | Cundinamarca | La Peña | Zona permanente |
| 904 | 25407 | Cundinamarca | Lenguazaque | Zona permanente |
| 905 | 25426 | Cundinamarca | Machetá | Zona permanente |
| 906 | 25436 | Cundinamarca | Manta | Zona permanente |
| 907 | 25483 | Cundinamarca | Nariño | Zona permanente |
| 908 | 25489 | Cundinamarca | Nimaima | Zona permanente |
| 909 | 25506 | Cundinamarca | Venecia | Zona permanente |
| 910 | 25518 | Cundinamarca | Paime | Zona permanente |
| 911 | 25524 | Cundinamarca | Pandi | Zona permanente |
| 912 | 25592 | Cundinamarca | Quebradanegra | Zona permanente |
| 913 | 25594 | Cundinamarca | Quetame | Zona permanente |
| 914 | 25596 | Cundinamarca | Quipile | Zona permanente |
| 915 | 25653 | Cundinamarca | San Cayetano | Zona permanente |
| 916 | 25718 | Cundinamarca | Sasaima | Zona permanente |
| 917 | 25777 | Cundinamarca | Supatá | Zona permanente |
| 918 | 25823 | Cundinamarca | Topaipí | Zona permanente |
| 919 | 25839 | Cundinamarca | Ubalá | Zona permanente |
| 920 | 25841 | Cundinamarca | Ubaque | Zona permanente |
| 921 | 25851 | Cundinamarca | Útica | Zona permanente |
| 922 | 25862 | Cundinamarca | Vergara | Zona permanente |
| 923 | 25867 | Cundinamarca | Vianí | Zona permanente |
| 924 | 25871 | Cundinamarca | Villagómez | Zona permanente |
| 925 | 27006 | Chocó | Acandí | Zona permanente |
| 926 | 27025 | Chocó | Alto Baudó | Zona permanente |
| 927 | 27050 | Chocó | Atrato | Zona permanente |
| 928 | 27073 | Chocó | Bagadó | Zona permanente |
| 929 | 27075 | Chocó | Bahía Solano | Zona permanente |
| 930 | 27077 | Chocó | Bajo Baudó | Zona permanente |
| 931 | 27099 | Chocó | Bojayá | Zona permanente |
| 932 | 27135 | Chocó | El Cantón del San Pablo | Zona permanente |
| 933 | 27150 | Chocó | Carmen del Darién | Zona permanente |
| 934 | 27160 | Chocó | Cértegui | Zona permanente |
| 935 | 27205 | Chocó | Condoto | Zona permanente |
| 936 | 27250 | Chocó | El Litoral del San Juan | Zona permanente |
| 937 | 27372 | Chocó | Juradó | Zona permanente |
| 938 | 27413 | Chocó | Lloró | Zona permanente |
| 939 | 27425 | Chocó | Medio Atrato | Zona permanente |
| 940 | 27430 | Chocó | Medio Baudó | Zona permanente |
| 941 | 27450 | Chocó | Medio San Juan | Zona permanente |
| 942 | 27491 | Chocó | Nóvita | Zona permanente |
| 943 | 27493 | Chocó | Nuevo Belén de Bajirá | Zona permanente |
| 944 | 27495 | Chocó | Nuquí | Zona permanente |
| No. | Código municipio | Departamento | Municipio | Zona de remuneración |
| 945 | 27580 | Chocó | Río Iró | Zona permanente |
| 946 | 27600 | Chocó | Río Quito | Zona permanente |
| 947 | 27615 | Chocó | Riosucio | Zona permanente |
| 948 | 27660 | Chocó | San José del Palmar | Zona permanente |
| 949 | 27745 | Chocó | Sipí | Zona permanente |
| 950 | 27800 | Chocó | Unguía | Zona permanente |
| 951 | 27810 | Chocó | Unión Panamericana | Zona permanente |
| 952 | 41006 | Huila | Acevedo | Zona permanente |
| 953 | 41206 | Huila | Colombia | Zona permanente |
| 954 | 41244 | Huila | Elías | Zona permanente |
| 955 | 41483 | Huila | Nátaga | Zona permanente |
| 956 | 41503 | Huila | Oporapa | Zona permanente |
| 957 | 41530 | Huila | Palestina | Zona permanente |
| 958 | 41548 | Huila | Pital | Zona permanente |
| 959 | 41676 | Huila | Santa María | Zona permanente |
| 960 | 41791 | Huila | Tarqui | Zona permanente |
| 961 | 47030 | Magdalena | Algarrobo | Zona permanente |
| 962 | 47541 | Magdalena | Pedraza | Zona permanente |
| 963 | 47545 | Magdalena | Pijiño del Carmen | Zona permanente |
| 964 | 47692 | Magdalena | San Sebastián de Buenavista | Zona permanente |
| 965 | 50124 | Meta | Cabuyaro | Zona permanente |
| 966 | 50150 | Meta | Castilla la Nueva | Zona permanente |
| 967 | 50251 | Meta | El Castillo | Zona permanente |
| 968 | 50270 | Meta | El Dorado | Zona permanente |
| 969 | 50325 | Meta | Mapiripán | Zona permanente |
| 970 | 50330 | Meta | Mesetas | Zona permanente |
| 971 | 50350 | Meta | La Macarena | Zona permanente |
| 972 | 50370 | Meta | Uribe | Zona permanente |
| 973 | 50590 | Meta | Puerto Rico | Zona permanente |
| 974 | 50686 | Meta | San Juanito | Zona permanente |
| 975 | 52051 | Nariño | Arboleda | Zona permanente |
| 976 | 52203 | Nariño | Colón | Zona permanente |
| 977 | 52215 | Nariño | Córdoba | Zona permanente |
| 978 | 52250 | Nariño | El Charco | Zona permanente |
| 979 | 52254 | Nariño | El Peñol | Zona permanente |
| 980 | 52258 | Nariño | El Tablón de Gómez | Zona permanente |
| 981 | 52287 | Nariño | Funes | Zona permanente |
| 982 | 52352 | Nariño | Iles | Zona permanente |
| 983 | 52354 | Nariño | Imués | Zona permanente |
| 984 | 52381 | Nariño | La Florida | Zona permanente |
| 985 | 52385 | Nariño | La Llanada | Zona permanente |
| 986 | 52390 | Nariño | La Tola | Zona permanente |
| 987 | 52405 | Nariño | Leiva | Zona permanente |
| 988 | 52427 | Nariño | Magüí | Zona permanente |
| 989 | 52435 | Nariño | Mallama | Zona permanente |
| 990 | 52473 | Nariño | Mosquera | Zona permanente |
| 991 | 52540 | Nariño | Policarpa | Zona permanente |
| 992 | 52612 | Nariño | Ricaurte | Zona permanente |
| 993 | 52621 | Nariño | Roberto Payán | Zona permanente |
| No. | Código municipio | Departamento | Municipio | Zona de remuneración |
| 994 | 52687 | Nariño | San Lorenzo | Zona permanente |
| 995 | 52694 | Nariño | San Pedro de Cartago | Zona permanente |
| 996 | 52696 | Nariño | Santa Bárbara | Zona permanente |
| 997 | 52699 | Nariño | Santacruz | Zona permanente |
| 998 | 54051 | Norte de Santander | Arboledas | Zona permanente |
| 999 | 54109 | Norte de Santander | Bucarasica | Zona permanente |
| 1.000 | 54125 | Norte de Santander | Cácota | Zona permanente |
| 1.001 | 54128 | Norte de Santander | Cáchira | Zona permanente |
| 1.002 | 54174 | Norte de Santander | Chitagá | Zona permanente |
| 1.003 | 54206 | Norte de Santander | Convención | Zona permanente |
| 1.004 | 54223 | Norte de Santander | Cucutilla | Zona permanente |
| 1.005 | 54245 | Norte de Santander | El Carmen | Zona permanente |
| 1.006 | 54250 | Norte de Santander | El Tarra | Zona permanente |
| 1.007 | 54313 | Norte de Santander | Gramalote | Zona permanente |
| 1.008 | 54344 | Norte de Santander | Hacarí | Zona permanente |
| 1.009 | 54347 | Norte de Santander | Herrán | Zona permanente |
| 1.010 | 54398 | Norte de Santander | La Playa | Zona permanente |
| 1.011 | 54418 | Norte de Santander | Lourdes | Zona permanente |
| 1.012 | 54480 | Norte de Santander | Mutiscua | Zona permanente |
| 1.013 | 54599 | Norte de Santander | Ragonvalia | Zona permanente |
| 1.014 | 54670 | Norte de Santander | San Calixto | Zona permanente |
| 1.015 | 54680 | Norte de Santander | Santiago | Zona permanente |
| 1.016 | 54743 | Norte de Santander | Silos | Zona permanente |
| 1.017 | 54800 | Norte de Santander | Teorama | Zona permanente |
| 1.018 | 54820 | Norte de Santander | Toledo | Zona permanente |
| 1.019 | 66075 | Risaralda | Balboa | Zona permanente |
| 1.020 | 66456 | Risaralda | Mistrató | Zona permanente |
| 1.021 | 66572 | Risaralda | Pueblo Rico | Zona permanente |
| 1.022 | 66687 | Risaralda | Santuario | Zona permanente |
| 1.023 | 68020 | Santander | Albania | Zona permanente |
| 1.024 | 68121 | Santander | Cabrera | Zona permanente |
| 1.025 | 68132 | Santander | California | Zona permanente |
| 1.026 | 68152 | Santander | Carcasí | Zona permanente |
| 1.027 | 68160 | Santander | Cepitá | Zona permanente |
| 1.028 | 68169 | Santander | Charta | Zona permanente |
| 1.029 | 68176 | Santander | Chimá | Zona permanente |
| 1.030 | 68179 | Santander | Chipatá | Zona permanente |
| 1.031 | 68207 | Santander | Concepción | Zona permanente |
| 1.032 | 68209 | Santander | Confines | Zona permanente |
| 1.033 | 68217 | Santander | Coromoro | Zona permanente |
| 1.034 | 68235 | Santander | El Carmen de Chucurí | Zona permanente |
| 1.035 | 68245 | Santander | El Guacamayo | Zona permanente |
| 1.036 | 68250 | Santander | El Peñón | Zona permanente |
| 1.037 | 68264 | Santander | Encino | Zona permanente |
| 1.038 | 68271 | Santander | Florián | Zona permanente |
| 1.039 | 68296 | Santander | Galán | Zona permanente |
| 1.040 | 68298 | Santander | Gámbita | Zona permanente |
| 1.041 | 68318 | Santander | Guaca | Zona permanente |
| 1.042 | 68320 | Santander | Guadalupe | Zona permanente |
| No. | Código municipio | Departamento | Municipio | Zona de remuneración |
| 1.043 | 68322 | Santander | Guapotá | Zona permanente |
| 1.044 | 68324 | Santander | Guavatá | Zona permanente |
| 1.045 | 68344 | Santander | Hato | Zona permanente |
| 1.046 | 68368 | Santander | Jesús María | Zona permanente |
| 1.047 | 68370 | Santander | Jordán | Zona permanente |
| 1.048 | 68377 | Santander | La Belleza | Zona permanente |
| 1.049 | 68385 | Santander | Landázuri | Zona permanente |
| 1.050 | 68397 | Santander | La Paz | Zona permanente |
| 1.051 | 68425 | Santander | Macaravita | Zona permanente |
| 1.052 | 68464 | Santander | Mogotes | Zona permanente |
| 1.053 | 68468 | Santander | Molagavita | Zona permanente |
| 1.054 | 68498 | Santander | Ocamonte | Zona permanente |
| 1.055 | 68502 | Santander | Onzaga | Zona permanente |
| 1.056 | 68522 | Santander | Palmar | Zona permanente |
| 1.057 | 68572 | Santander | Puente Nacional | Zona permanente |
| 1.058 | 68669 | Santander | San Andrés | Zona permanente |
| 1.059 | 68673 | Santander | San Benito | Zona permanente |
| 1.060 | 68682 | Santander | San Joaquín | Zona permanente |
| 1.061 | 68684 | Santander | San José de Miranda | Zona permanente |
| 1.062 | 68705 | Santander | Santa Bárbara | Zona permanente |
| 1.063 | 68720 | Santander | Santa Helena del Opón | Zona permanente |
| 1.064 | 68773 | Santander | Sucre | Zona permanente |
| 1.065 | 68780 | Santander | Suratá | Zona permanente |
| 1.066 | 68820 | Santander | Tona | Zona permanente |
| 1.067 | 68867 | Santander | Vetas | Zona permanente |
| 1.068 | 70230 | Sucre | Chalán | Zona permanente |
| 1.069 | 70429 | Sucre | Majagual | Zona permanente |
| 1.070 | 70678 | Sucre | San Benito Abad | Zona permanente |
| 1.071 | 73067 | Tolima | Ataco | Zona permanente |
| 1.072 | 73152 | Tolima | Casabianca | Zona permanente |
| 1.073 | 73200 | Tolima | Coello | Zona permanente |
| 1.074 | 73226 | Tolima | Cunday | Zona permanente |
| 1.075 | 73270 | Tolima | Falan | Zona permanente |
| 1.076 | 73347 | Tolima | Herveo | Zona permanente |
| 1.077 | 73461 | Tolima | Murillo | Zona permanente |
| 1.078 | 73504 | Tolima | Ortega | Zona permanente |
| 1.079 | 73547 | Tolima | Piedras | Zona permanente |
| 1.080 | 73555 | Tolima | Planadas | Zona permanente |
| 1.081 | 73616 | Tolima | Rioblanco | Zona permanente |
| 1.082 | 73622 | Tolima | Roncesvalles | Zona permanente |
| 1.083 | 73624 | Tolima | Rovira | Zona permanente |
| 1.084 | 73675 | Tolima | San Antonio | Zona permanente |
| 1.085 | 73770 | Tolima | Suárez | Zona permanente |
| 1.086 | 73870 | Tolima | Villahermosa | Zona permanente |
| 1.087 | 73873 | Tolima | Villarrica | Zona permanente |
| 1.088 | 81591 | Arauca | Puerto Rondón | Zona permanente |
| 1.089 | 85136 | Casanare | La Salina | Zona permanente |
| 1.090 | 85225 | Casanare | Nunchía | Zona permanente |
| 1.091 | 85230 | Casanare | Orocué | Zona permanente |
| No. | Código municipio | Departamento | Municipio | Zona de remuneración |
| 1.092 | 85279 | Casanare | Recetor | Zona permanente |
| 1.093 | 85300 | Casanare | Sabanalarga | Zona permanente |
| 1.094 | 86569 | Putumayo | Puerto Caicedo | Zona permanente |
| 1.095 | 86573 | Putumayo | Puerto Leguízamo | Zona permanente |
| 1.096 | 88001 | Archipiélago de San Andrés | San Andrés | Zona permanente |
| 1.097 | 88564 | Archipiélago de San Andrés | Providencia | Zona permanente |
| 1.098 | 91263 | Amazonas | El Encanto (CD) | Zona permanente |
| 1.099 | 91405 | Amazonas | La Chorrera (CD) | Zona permanente |
| 1.100 | 91407 | Amazonas | La Pedrera (CD) | Zona permanente |
| 1.101 | 91430 | Amazonas | La Victoria (CD) | Zona permanente |
| 1.102 | 91460 | Amazonas | Miriti - Paraná (CD) | Zona permanente |
| 1.103 | 91530 | Amazonas | Puerto Alegría (CD) | Zona permanente |
| 1.104 | 91536 | Amazonas | Puerto Arica (CD) | Zona permanente |
| 1.105 | 91540 | Amazonas | Puerto Nariño | Zona permanente |
| 1.106 | 91669 | Amazonas | Puerto Santander (CD) | Zona permanente |
| 1.107 | 91798 | Amazonas | Tarapacá (CD) | Zona permanente |
| 1.108 | 94001 | Guainía | Inírida | Zona permanente |
| 1.109 | 94343 | Guainía | Barrancominas | Zona permanente |
| 1.110 | 94883 | Guainía | San Felipe (CD) | Zona permanente |
| 1.111 | 94884 | Guainía | Puerto Colombia (CD) | Zona permanente |
| 1.112 | 94885 | Guainía | La Guadalupe (CD) | Zona permanente |
| 1.113 | 94886 | Guainía | Cacahual (CD) | Zona permanente |
| 1.114 | 94887 | Guainía | Pana Pana (CD) | Zona permanente |
| 1.115 | 94888 | Guainía | Morichal (CD) | Zona permanente |
| 1.116 | 95200 | Guaviare | Miraflores | Zona permanente |
| 1.117 | 97161 | Vaupés | Carurú | Zona permanente |
| 1.118 | 97511 | Vaupés | Pacoa (CD) | Zona permanente |
| 1.119 | 97666 | Vaupés | Taraira | Zona permanente |
| 1.120 | 97777 | Vaupés | Papunahua (CD) | Zona permanente |
| 1.121 | 97889 | Vaupés | Yavaraté (CD) | Zona permanente |
| 1.122 | 99624 | Vichada | Santa Rosalía | Zona permanente |
Nota: Los municipios incluidos en la presente tabla serán revisados con una periodicidad quinquenal, sin perjuicio de que la CRC pueda realizar una revisión en un periodo menor cuando lo considere necesario. En caso de modificación o actualización, esta se incorporará de manera inmediata a las condiciones de remuneración aplicables al acceso a la instalación esencial de Roaming Automático Nacional para los servicios de voz, SMS o datos móviles, respecto de las relaciones que se encuentren en curso al momento de la expedición del acto administrativo mediante el cual se realice la correspondiente actualización.
ANEXO 4.9. CLASIFICACIÓN DE LOS MUNICIPIOS POR CLÚSTER PARA SERVICIOS FIJOS DE TELECOMUNICACIONES. <Anexo adicionado por el artículo 6 de la Resolución 7242 de 2023. El nuevo texto es el siguiente:>
<Consultar listado directamente en el artículo 6 de la Resolución 7242 de 2023>
ANEXO 5.1. CONDICIONES DE CALIDAD PARA SERVICIOS MÓVILES Y FIJOS.
ANEXO 5.1-A CONDICIONES DE CALIDAD PARA SERVICIOS MÓVILES.
<Anexo modificado por el artículo 132 de la Resolución 7811 de 2025. El nuevo texto es el siguiente:>
Todos los indicadores para los servicios de telecomunicaciones móviles serán medidos considerando los siguientes aspectos generales:
- Deben partir de mediciones basadas en contadores obtenidos de los gestores de desempeño de red sobre los servicios o elementos de red a evaluar.
- El PRST podrá descontar de las mediciones los siguientes días atípicos de tráfico: 24, 25 y 31 de diciembre, 1 de enero, día de la madre, día del padre, día del amor y la amistad, y las horas en que se adelanten eventos de mantenimiento programados siempre y cuando estos últimos hayan sido notificados con la debida antelación a los usuarios.
- El PRST podrá descontar de las mediciones otros días atípicos por caso fortuito o fuerza mayor o hecho atribuible a un tercero.
INDICADORES DE CALIDAD PARA SERVICIOS DE VOZ.
A. METODOLOGÍA DE MEDICIÓN Y REPORTE.
Para el cálculo de los indicadores de calidad definidos en el artículo 5.1.3.1 de la presente resolución, las mediciones deberán realizarse en cada uno de los días del mes y en la hora de tráfico pico de voz para cada sector de cada una de las tecnologías de acceso a radio, respectivamente.
El valor del indicador para cada día del mes será el resultado de la sumatoria de los valores obtenidos para cada uno de los sectores que hacen parte del respectivo ámbito geográfico para el cual se efectuará el cálculo. Posteriormente, el valor del indicador será el resultado del promedio aritmético de los valores obtenidos en cada uno de los días del mes para cada ámbito geográfico de reporte. El resultado de este promedio aritmético será calculado mensualmente y reportado trimestralmente teniendo en cuenta una precisión mínima de dos cifras decimales.
El reporte de los indicadores de calidad del servicio definidos en el artículo 5.1.3.1 de la presente resolución deberá realizarse de acuerdo con la siguiente discriminación:
i) Por cada municipio, sin perjuicio de la categorización a la cual corresponda.
ii) Por división administrativa (localidades, municipios o comunas, de acuerdo con el ordenamiento territorial de cada municipio), en municipios que posean una población mayor a quinientos mil (500.000) habitantes, de acuerdo con las proyecciones de población del DANE para cada año.
Para aquellos municipios o localidades que cuenten con estaciones base con transmisión satelital y estaciones base con otros medios de transmisión, se deberá reportar el municipio por separado, es decir un registro para las estaciones base con transmisión satelital y un registro diferente para las demás estaciones.
B. INDICADORES TÉCNICOS PARA SERVICIOS DE TELEFONÍA MÓVIL
PARA REDES DE ACCESO MÓVILES DE CUARTA GENERACIÓN O 4G (E-UTRAN):
El cálculo y reporte de los indicadores de porcentaje de intentos de llamada (VoLTE) no exitosos y el porcentaje total de llamadas (VoLTE) caídas, deberá realizarse en todos aquellos municipios categorizados como Zona 1 según lo previsto en el Título I de la presente resolución.
Los PRST deberán calcular y reportar los indicadores de porcentaje de intentos de llamada (VoLTE) no exitosos y el porcentaje total de llamadas (VoLTE) caídas en los municipios categorizados como Zona 2 según lo previsto en el Título I de la presente resolución, siempre que del total del tráfico de voz en esta Zona se curse más del 12% de llamadas de voz mediante redes de acceso móviles de cuarta generación (VoLTE).
1. Porcentaje de intentos de llamada (VoLTE) no exitosos. (%INT_FALL_4G_ VoLTE)
DEFINICIÓN
Relación porcentual entre la cantidad de intentos de establecimiento de canales de tráfico E- UTRAN Radio Access Bearer (E-RAB) para el servicio VoLTE que logran ser establecidos, y la cantidad total de intentos de establecimiento de canales de tráfico E-UTRAN Radio Access Bearer (E-RAB) para el servicio VoLTE para cada sector de tecnología 4G.
PARÁMETROS Y CÁLCULO DEL INDICADOR
Porcentaje de intentos de establecimiento de canales de tráfico E-RAB para el servicio VoLTE no exitosos. El cálculo del indicador se realizará de acuerdo con la siguiente fórmula:

Donde:
Éxitos E - RAB para el servicio VoLTE: Es el número de establecimientos exitosos de canales de tráfico E-RAB para el servicio VoLTE, obtenido como la suma de los éxitos registrados en cada celda que haga parte del respectivo ámbito geográfico de reporte.
Intentos E - RAB para el servicio VoLTE: Es el número total de intentos de establecimiento de canales de tráfico E-RAB para el servicio VoLTE, obtenido como la suma de los intentos registrados en cada celda que haga parte del respectivo ámbito geográfico de reporte.
2. Porcentaje total de llamadas (VoLTE) caídas. (%DC_IMS_4G)
DEFINICIÓN
Tasa que mide la frecuencia con la que un usuario final de manera anormal pierde canales de tráfico E-UTRAN Radio Access Bearer (E-RAB) con datos en el buffer del servicio VoLTE durante el tiempo en que este es usado.
PARÁMETROS Y CÁLCULO DEL INDICADOR
El cálculo del indicador se realizará de acuerdo con la siguiente fórmula:
Tasa de llamadas (VoLTE) caídas:

Donde:
E - RAB VoLTE terminados anormalmente: Es el número E-RAB que fueron liberados en el sector 4G debido a causas del proveedor y que estaban almacenando datos VoLTE en memoria a la espera de ser transmitidos, obtenido como la suma del número de liberaciones anormales registradas en cada celda que haga parte del respectivo ámbito geográfico de reporte.
Tiempo activo de los E - RAB: Es la suma del tiempo en el cual los canales E-RAB para el servicio VoLTE se encontraban activos transmitiendo datos en cualquier sentido, obtenido como la suma de tiempos de actividad registrados en cada celda que haga parte del respectivo ámbito geográfico de reporte.
El cálculo del indicador deberá realizarse por cada sector de estación base identificando de manera precisa los contadores obtenidos de los gestores de desempeño y las fórmulas aplicables por cada proveedor de equipos, de conformidad con lo establecido en el artículo 5.1.3.1. de la presente resolución.
C. FASES DE MERCADO Y ZONAS PARA LA MEDICIÓN DE LOS INDICADORES. Para la determinación de las zonas y fases de mercado que le son aplicables a los indicadores definidos en los literales B.1 y B.2 del presente Anexo y contenidos en el artículo 5.1.3.1, se deben considerar los siguientes criterios:
- La zona a la que pertenece cada ámbito geográfico, y
- La fase de mercado.
C.1. ZONAS
Para cada ámbito geográfico se aplica un valor objetivo de los indicadores de manera diferencial según la clasificación de dichos ámbitos en tres (3) zonas, denominadas como:
Zona 1, Zona 2 y Zona Satelital. Las definiciones de cada una de la Zonas pueden ser consultadas en el Título I.
C.2. FASES DE MERCADO
C.2.1. DEFINICIÓN DE LAS FASES
Cada PRSTM de acuerdo con su estrategia de mercado podrá determinar las fases a nivel de zona o de ámbito geográfico.
Cuando el criterio acogido sea por zona, la discriminación a considerarse para la identificación de la fase de mercado deberá realizarse, así:
i) Zona 1
ii) Zona 2
iii) Zona Satelital
Cuando el criterio acogido sea por ámbito geográfico, la discriminación a considerarse para la identificación de la fase de mercado deberá realizarse de acuerdo con lo establecido en literal A del Anexo 5.1-A.
Las fases de mercado se describen a continuación:
Introducción: Esta fase inicia con el lanzamiento comercial de una nueva tecnología de red de acceso y viene acompañada de la necesidad de que los usuarios adquieran equipos terminales móviles (ETM) que implementen la nueva tecnología.
Crecimiento: Para redes 4G en adelante esta fase inicia cuando el análisis del tráfico de voz o su equivalente tiene una tendencia creciente y supera el 5% del total.
Madurez: Esta fase inicia cuando el tráfico de voz o su equivalente tiene una tendencia creciente y supera el 12% del total.
Declive: Esta fase inicia cuando el tráfico de voz o su equivalente tiene una tendencia decreciente y es inferior al 36% del total.
Desmonte: Esta fase inicia cuando el tráfico de voz o su equivalente tiene una tendencia decreciente y es inferior al 18% del total.
Apagado: Esta fase inicia cuando el tráfico de voz o su equivalente tiene una tendencia decreciente y es inferior al 5% del total. Los operadores deben haber advertido con por lo menos seis meses de anticipación a los usuarios, que el servicio en la única red que soporta su equipo será apagada y ofrecer opciones para la sustitución de equipos terminales. Si el usuario no cambia o sustituye el equipo, ante la imposibilidad de la prestación del servicio, el contrato se dará por terminado al cumplirse dicho plazo.
C.2.2. METODOLOGÍA PARA DETERMINAR EL TRÁFICO DE VOZ PARA APLICACIÓN DE FASES DE MERCADO
Con el fin de identificar la fase de mercado en que se encuentra cada tecnología, el PRSTM deberá calcular mensualmente y reportar trimestralmente el porcentaje de tráfico por tecnología para cada zona o ámbito geográfico, a través de la siguiente metodología:
i) El PRSTM deberá tener una base de datos en donde indique el nombre de cada estación base, el identificador de cada uno de los sectores de estación base, ubicación de la estación base (compuesto por el código DIVIPOLA del DANE para departamento y municipio), el tipo de tecnología de red de acceso (2G, 3G, 4G), el tráfico cursado y la Zona a la que pertenece (Zona 1, Zona 2 y Zona Satelital) de acuerdo con el ámbito geográfico. Dicha información deberá ser reportada al MinTIC a través de los mecanismos que este Ministerio determine, durante los quince días calendario después de finalizado cada trimestre.
ii) El tráfico cursado para cada uno de los sectores de estación base deberá corresponder a la ocupación de canales de voz para cada una de las tecnologías de acceso a radio 2G y 3G para las 24 horas del día y para todos los días de cada mes y para redes de acceso 4G el volumen de tráfico para QCI-1 y QCI-5 en Megabytes tanto de subida (Uplink) como de bajada (Downlink).
iii) Para las mediciones de tráfico de datos provenientes de las redes de 4G para voz (QCI-1 y QCI-5), se deberá pasar de MB a su equivalente en Erlangs hora, para lo cual el PRSTM podrá hacer uso de las fórmulas propuestas por sus proveedores de tecnología o proceder a estimar el tráfico equivalente de 4G mediante la siguiente regla de conversión:
![]()
iv) El porcentaje de tráfico por tipo de tecnología de red de acceso (2G, 3G, 4G) y Zona (Zona 1, Zona 2 y Zona Satelital) o ámbito geográfico, el cual permitirá determinar la fase de mercado, se calculará haciendo uso de la siguiente fórmula:

Donde:
- r: Identifica el tipo de red: 2G, 3G, 4G y
- z: Identifica el tipo de zona o de ámbito geográfico considerado los criterios indicados en el literal C.2.1 del presente Anexo.
v) Cuando el criterio acogido para determinar la fase sea por ámbito geográfico, el PRSTM deberá reportar al MinTIC a través de los mecanismos que este Ministerio determine, durante los quince días calendario después de finalizado cada mes, el porcentaje de tráfico por tipo de tecnología de red de acceso (2G, 3G, y 4G) para cada ámbito geográfico.
Para la identificación de la fase, el porcentaje de tráfico debe mantener una tendencia creciente o decreciente en los tres meses anteriores al mes de reporte del indicador.
CONDICIONES DE CALIDAD PARA EL SERVICIO DE INTERNET FIJO.
<Título del anexo modificado por el artículo 133 de la Resolución 7811 de 2025>
<Anexo modificado por el artículos 6 de la Resolución 6890 de 2022. El nuevo texto es el siguiente:>
A. METODOLOGÍA DE MEDICIÓN Y REPORTE
Los PRST que presten servicios de datos a través de ubicaciones fijas y que tengan una participación de más del 1% de la base de suscriptores nacional, para todos los segmentos, excepto el segmento corporativo, deberán implantar y documentar un sistema de medida del nivel de calidad de servicio de acuerdo con el contenido de la Guía ETSI EG 202 057 parte 4 V1.2.1 (2008-07), y teniendo en cuenta los criterios que se definen a continuación.
El ámbito de medición de los parámetros será la totalidad del territorio donde el PRST preste sus servicios, y los parámetros de calidad se medirán separadamente para las diferentes tecnologías de acceso a servicios de datos ofrecidas al usuario final.
El sistema de medición del nivel de calidad del servicio de datos deberá estar debidamente documentado y desarrollado en forma suficiente para permitir su inspección y seguimiento por parte de la entidad competente de vigilancia, inspección y control. El documento que contiene la descripción general de la red de datos del ISP, así como la definición de la cantidad de muestras a tomar y el sustento para su distribución, así como los protocolos empleados para la medición de los indicadores, debe ser remitido trimestralmente a través de los formatos o mecanismos que el MinTIC determine, dentro de los quince (15) días siguientes a la finalización del trimestre.
Las mediciones se realizarán sobre tráfico específico de pruebas que compartirá los recursos de red del PRST con el tráfico real. Para esto se requiere de un servidor de pruebas y computadores (clientes) de pruebas con el software apropiado, según las especificaciones de la Guía ETSI EG 202 057 P4 V1.2.1 (2008-07). Las transmisiones de prueba deben ser establecidas entre los diferentes PC o clientes de pruebas, y el servidor para adelantar las mediciones de los parámetros previamente definidos.
A.1. Área de cobertura del sistema y servidores de pruebas
Se entiende como servidor de pruebas el equipo dentro del dominio del ISP encargado de la realización de series de pruebas desde el lado de red, para un servicio dado.
El área de cobertura corresponde al área donde se encuentran los clientes actuales de servicios de datos provistos por el PRST, y la misma puede tener diferentes niveles geográficos dependiendo de la realidad de la red del proveedor, es decir a nivel local o departamental, por ejemplo.
De acuerdo con el modelo de referencia del anexo B de la Guía ETSI EG 202 057-4 V1.2.1 (2008-07), el servidor de pruebas debe conectarse al primer Gateway que sustenta la interconexión entre la red del ISP y la red de acceso empleada.
Pueden ubicarse diversos servidores de pruebas en el área donde pueden estar los clientes de pruebas cuyas muestras representan la totalidad de los clientes a medir. El PRST podrá ubicar servidores de pruebas en niveles jerárquicos superiores dentro de su arquitectura de red, siempre que el área cubierta por diferentes servidores de pruebas no se solape entre sí.
A.2. Clientes de pruebas
El cliente de pruebas es la funcionalidad encargada de la realización de series de pruebas, desde el lado del cliente, para un servicio dado. No debe confundirse con el concepto de usuario o cliente.
Un mismo computador puede contener diferentes clientes de pruebas si se emplea para la realización de medidas de varios servicios. Ver Anexos A y B de la Guía ETSI EG 202 057-4 V1.2.1 (2008-07).
Para el caso de los servicios de datos a través de ubicaciones fijas provistos con acceso satelital el cliente de pruebas puede emplear los equipos en las premisas del cliente (CPE).
Todos los proveedores que implementen un sistema de medición, tendrán una cantidad de clientes de prueba relacionados con cada área y servicio acorde a la cantidad de muestras requeridas.
A.3. Número de pruebas requeridas
La medición de los indicadores debe garantizar una representatividad estadística a nivel nacional y por tecnología de acceso, de 95% y un error no mayor a 5%. El número de muestras para cada tecnología de acceso debe realizarse de acuerdo con los criterios contenidos en el anexo C de la Guía ETSI EG 202 057-4 V1.2.1 (2008-07). La distribución de muestras en los municipios en donde el PRST preste servicios deberá realizarse de manera proporcional a la participación que el PRST ostente en cada municipio.
A.4. Período de medición
A fin de determinar los niveles de tráfico característicos de cada franja horaria, los proveedores incluirán en la documentación de sus sistemas de medidas el perfil de tráfico característico de su red correspondiente a un intervalo de una semana.
Las mediciones de cada servicio se deben realizar por lo menos tres veces en el trimestre, en donde cada medición debe representar el intervalo de una semana calendario (lunes a domingo), en observancia de lo indicado en el anexo E de la Guía ETSI EG 202 057-4 V1.2.1 (2008-07). El reporte de los indicadores debe ser realizado para cada tecnología de acceso que posea el PRST.
B. INDICADORES
El alcance de estos parámetros está limitado al acceso mismo entre el usuario y el proveedor de acceso a Internet, y la disponibilidad y confiabilidad del acceso. La calidad extremo a extremo de los servicios o aplicativos utilizados a través de la conexión están fuera del alcance de la Guía ETSI.
B.1. RETARDO EN UN SENTIDO (RET)
El retardo en un sentido es la mitad del tiempo, medido en milisegundos, que se requiere para realizar un Ping (ICMP Echo request/reply) hacia una dirección IP válida. Para el cálculo del indicador "Retardo en un sentido" se obtiene a partir de la medición de la media del retardo en milisegundos y la desviación estándar del mismo. Las estadísticas se calculan de acuerdo a lo establecido en los anexos B y C de la Guía ETSI EG 202 057-4 V1.2.1 (2008-07).
B.2. VELOCIDAD DE TRANSMISIÓN DE DATOS ALCANZADA (VTD)
Corresponde a las velocidades máxima, media y mínima, medidas en Mbps, con que los datos fueron transferidos en los sentidos de carga y de descarga entre el servidor de pruebas y el cliente de pruebas, durante períodos de tiempo determinados. El indicador estará referido a velocidades efectivas, al menos en aplicaciones de navegación Web, FTP y correo electrónico.
El indicador "Velocidad de transmisión de datos alcanzada", se calcula dividiendo el tamaño del archivo de prueba entre el tiempo de transmisión requerido para una transmisión completa y libre de errores. Método de medición contenido en la sección 5.2 de la Guía ETSI EG 202 057-4 V1.2.1 (2008-07).
C. VALOR OBJETIVO DE CALIDAD
C.1. ACCESOS DIFERENTES AL SATELITAL
Para efectos del cumplimiento trimestral de los valores objetivo de los indicadores definidos en los literales B.1 y B.2 del presente Anexo, se establecen los siguientes valores:
| VTD NACIONAL | RET NACIONAL |
| Velocidades mínimas de carga y descarga (campo 7 del literal A del Formato T.2.4) deben ser iguales o superiores a la información de la velocidad ofrecida de carga y descarga, respectivamente, del plan contratado (campo 4 del literal A del del Formato T.2.4.) | 50 milisegundos |
C.2. ACCESO SATELITAL
Para efectos del cumplimiento trimestral de los valores objetivo de los indicadores definidos en los literales B.1 y B.2 del presente Anexo, se establecen los siguientes valores:
| VTD | RET |
| Velocidades medias de carga y descarga (campo 6 del literal A del Formato T.2.4) deben ser iguales o superiores a la información de la velocidad ofrecida de carga y descarga, respectivamente, del plan contratado (campo 4 del literal A del Formato T.2.4.) | 700 milisegundos |
CONDICIONES DE DISPONIBLIDAD Y PLANES DE MEJORA, PARA LOS SERVICIOS DE TELECOMUNICACIONES PRESTADOS A TRAVÉS DE REDES FIJAS Y MÓVILES.
<Anexo modificado por el artículo 10 de la Resolución 7777 de 2025>
CONDICIONES DE DISPONIBLIDAD.
<Anexo modificado por el artículo 10 de la Resolución 7777 de 2025. El nuevo texto es el siguiente:>
A. METODOLOGÍA DE MEDICIÓN Y REPORTE
La disponibilidad es el porcentaje de tiempo, en relación con un determinado periodo de observación, en que un elemento de red permanece en condiciones operacionales de cursar tráfico de manera ininterrumpida. De la medición se excluyen los casos fortuitos, fuerza mayor, hecho de un tercero o hecho atribuible exclusivamente al usuario, las mediciones los siguientes días atípicos de tráfico: 24, 25 y 31 de diciembre, 1 de enero, Día de la Madre, Día del Padre, Día del Amor y la Amistad, y las horas en que se adelanten eventos de mantenimiento programados siempre y cuando estos últimos hayan sido notificados con la debida antelación a los usuarios.
Para cada uno de los elementos de la red de acceso de las tecnologías 4G y 5G, se deberá medir mensualmente y reportar de manera trimestral el total de minutos en que el elemento presentó indisponibilidad.
Para aquellos elementos de red de acceso que no tienen minutos de indisponibilidad se deberá reportar un valor de cero minutos. El resultado del porcentaje de disponibilidad acumulado para cada mes será reportado teniendo en cuenta una precisión mínima de dos cifras decimales.
B. CÁLCULO DE INDICADORES TÉCNICOS DE DISPONIBILIDAD DE ELEMENTOS DE RED DE ACCESO
Se deberá reportar mensualmente el tiempo de indisponibilidad y los porcentajes de disponibilidad, a partir de las siguientes fórmulas, para cada uno de los elementos a los que hace referencia el artículo 5.1.6.1 del CAPÍTULO 1 TÍTULO V de la presente resolución.
B.1. Redes móviles:
- Estaciones base por municipio
Para cada una de las estaciones base, por tecnología (4G y 5G), se deberá medir y reportar de manera mensual el total de minutos en que se presentó indisponibilidad.
Con dicha información se calculará el porcentaje de disponibilidad mensual para cada una de las estaciones base, por tecnología, el cual corresponde a la siguiente expresión:

Donde:
Tiempo total de indisponibilidad (min): Es el tiempo total en minutos en que el elemento de red estuvo fuera de servicio, o no se encontró disponible.
Tiempo total del periodo (min): Es el tiempo en minutos del mes.
Se deberá calcular la disponibilidad de las estaciones base, así:
i) Por cada municipio, sin perjuicio de la categorización a la cual corresponda.
ii) Por división administrativa (localidades, municipios o comunas, de acuerdo con el ordenamiento territorial de cada municipio), en municipios que posean una población mayor a quinientos mil (500.000) habitantes, de acuerdo con las proyecciones de población del DANE para cada año.
Con el total de las estaciones base de la red, exceptuando aquellas estaciones base con transmisión satelital, distribuidas de acuerdo con los criterios citados, se calcula el promedio aritmético de disponibilidad de las estaciones base para cada uno de los ámbitos geográficos enumerados.
- Estaciones base con transmisión satelital (%DISP_EB_TX_SATELITAL)
Para cada una de las estaciones base con transmisión satelital y por tecnología (4G y 5G), se deberá medir y reportar de manera mensual el total de minutos en que se presentó indisponibilidad, y con dicha información se calculará el porcentaje de disponibilidad mensual para cada una de las estaciones base por tecnología, el cual corresponde a:
![]()
Donde:
Tiempo total de indisponibilidad (min): Es el tiempo total en minutos en que el elemento de red estuvo fuera de servicio, o no se encontró disponible.
Tiempo total del periodo (min): Es el tiempo en minutos del mes.
Posteriormente se calcula el promedio aritmético de disponibilidad a nivel nacional de todas las estaciones base que empleen enlaces de transmisión basados en tecnología satelital, como el promedio aritmético de las disponibilidades de dichas estaciones.
B.2. Redes fijas:
Para cada uno de los equipos terminales de acceso para redes fijas (CMTS, OLT, Satélites, estaciones base FWA) se deberá medir y reportar de manera mensual el total de minutos en que se presentó indisponibilidad.
Con dicha información se calculará el porcentaje de disponibilidad mensual para cada uno de los equipos de acceso para redes fijas, el cual corresponde a la siguiente expresión:
![]()
Con el total de los equipos terminales de acceso para redes fijas de banda ancha, se calcula el promedio aritmético de las disponibilidades de todos los equipos terminales de acceso para redes fijas de banda ancha que hacen parte del respectivo ámbito geográfico.
C. VALOR OBJETIVO DE CALIDAD
Para efectos del reporte de planes de mejora, el valor objetivo mensual para los indicadores de disponibilidad de elementos de red de acceso señalados en el presente Anexo, son diferenciales, según el clúster al que pertenezca cada uno de los municipios objeto de medición, teniendo en consideración para ello la clasificación por clústeres prevista en el Anexo 5.10 de la presente resolución:
| ELEMENTO DE RED SEGÚN ÁMBITO | ÁMBITO | % DISPONIBILIDAD |
| Estaciones Base por municipio | Clúster alto | 99,95% |
| Estaciones Base por municipio | Clúster medio | 99,80% |
| Estaciones Base por municipio | Clúster bajo | 99,60% |
| Estaciones Base con transmisión satelital | Nacional | 98,50% |
PLANES DE MEJORA.
<Anexo (excluye la partes 3, cuya modificación entra en vigor el 1 de abril de 2026) modificado por el artículo 10 de la Resolución 7777 de 2025. El nuevo texto es el siguiente:>
El PRST deberá formular un plan de mejora cuando supere el valor objetivo de cualquiera de los indicadores definidos en el CAPÍTULO 1 del TÍTULO V de la presente resolución, y remitirlo al MinTIC, de acuerdo con la periodicidad indicada en la parte 1, 2 y 3 del presente anexo, señalando la categoría del plan, las acciones que serán adelantadas y los plazos de ejecución.
Para la definición de los plazos de ejecución de los planes de mejora presentados, se deberá dar cumplimiento a la siguiente tipificación:
| CATEGORÍA DE PLAN | DESCRIPCIÓN | PLAZO DE EJECUCIÓN |
| Plan corto plazo | Ampliación de canales, cambio o reconfiguración de parámetros, cualquier tipo de optimización sobre la red de acceso o red central, cambio de algún(os) elemento(s) que presente(n) falla, o demás actividades que pueden ser realizadas directamente por el PRST o sus empresas aliadas. | De 15 días a 60 días calendario |
| Plan mediano plazo | Instalación de nuevo sector o nodo de acceso que no requiere obra civil, o que requieren obra civil, pero la misma no involucra refuerzo de infraestructura o renegociación de las condiciones de instalación, ampliación de transmisión, configuración de portadora adicional o demás actividades en las cuales se requiera la participación de un tercero. | De 61 días a 150 días calendario |
| Plan largo plazo | En esta categoría solo podrán ser clasificados aquellos planes que requieran la instalación de nuevos sitios, nodos de acceso o nodos centrales u obra civil que requiera refuerzo de infraestructura o renegociación de las condiciones de instalación inicialmente pactadas, en los cuales sea necesaria la consecución de nuevos terrenos o la realización de obra civil para el soporte de la infraestructura activa. | De 151 días a 365 días calendario |
PARTE 1. PLANES DE MEJORA PARA SERVICIOS MÓVILES
El PRSTM deberá remitir a la Dirección de Vigilancia, Inspección y Control del MinTIC y en el formato establecido por este Ministerio, planes de mejora por cada ámbito geográfico en el que no se haya alcanzado o se haya superado (según el caso) el valor objetivo de los indicadores definidos en el artículo 5.1.3.2 de la presente resolución.
El PRSTM deberá remitir al MinTIC los planes de mejora, dentro de los treinta (30) días calendario posteriores al mes en que no se haya alcanzado o se haya superado (según el caso) los valores objetivos de los indicadores previstos en el artículo 5.1.3.2 de la presente resolución.
Los planes de mejora presentados por el PRSTM deberán garantizar que se alcance o no se supere nuevamente, en cualquiera de los nueve (9) meses siguientes, posteriores a la finalización de la ejecución del plan de mejora, el valor objetivo de los indicadores que generaron la presentación del citado plan, dado que la reiteración de superación de indicadores en el periodo referido es causal de incumplimiento.
El MinTIC en cualquier caso podrá solicitar al PRST la presentación de planes de mejora para sectores de estación base específicos, cuando dicho Ministerio determine que existe una degradación en la prestación de los servicios de comunicaciones, dichos planes para su ejecución se regirán por los plazos establecidos en el presente Anexo.
Los PRSTM quedarán exentos de la presentación de planes de mejora cuando las degradaciones en la prestación de los servicios de telecomunicaciones se originen por causas de fuerza mayor, caso fortuito o hecho atribuible a un tercero. Sin embargo, deberán presentar la debida justificación de la ocurrencia de la causa eximente de responsabilidad a la DVIC del MinTIC.
PARTE 2. PLANES DE MEJORA PARA SERVICIOS FIJOS
El PRST deberá remitir a la DVIC del MinTIC un plan de mejora por cada uno de los municipios en los que no se haya alcanzado o se haya superado (según el caso) el valor objetivo de los indicadores definidos en el artículo 5.1.4.1 del CAPÍTULO 1 del TÍTULO V de la presente resolución, dentro de los treinta (30) días calendario siguientes a la entrega del reporte de tales indicadores.
Los planes de mejora presentados por el PRST deberán garantizar que se alcance o no se supere (según el caso) nuevamente dentro de los nueve (9) meses siguientes, posteriores a la finalización de la ejecución del plan de mejora, el valor objetivo de los indicadores que generaron la presentación del citado plan, dado que la reiteración de superación de indicadores en el citado periodo es causal de incumplimiento.
El MinTIC en cualquier caso podrá solicitar al PRST la presentación de planes de mejora, cuando dicho Ministerio determine que existe una degradación en la prestación de los servicios de comunicaciones, dichos planes para su ejecución se regirán por los plazos establecidos en el presente Anexo.
PARTE 3. PLANES DE MEJORA PARA DISPONIBILIDAD DE ELEMENTOS DE RED DE ACCESO
Para la disponibilidad de los elementos de red de acceso, el PRST deberá remitir a la DVIC del MinTIC, en el formato que dicha entidad disponga, los planes de mejora por cada uno de los municipios en los que no se alcance el objetivo de disponibilidad, en tres (3) meses consecutivos, independiente del trimestre de reporte.
En los planes de mejora de los municipios clasificados en los niveles de desempeño de calidad bajo y medio, según el contenido del Anexo 5.10 de la presente resolución, el PRST deberá detallar, las acciones que adoptará para los elementos de red de acceso móvil y fija (según el caso) que no lograron, de manera individual, el porcentaje de disponibilidad en los tres (3) meses consecutivos.
En los planes de mejora de los municipios clasificados en el nivel de desempeño de calidad alto, según la clasificación de la cual trata el Anexo 5.10 de la presente resolución, el PRST deberá detallar las acciones que adoptará para el 20% de los elementos de red de acceso móvil y fija (según el caso) que no lograron, de manera individual, el porcentaje de disponibilidad en los tres (3) meses consecutivos.
Cuando el 20% del total de los elementos de red de acceso sobre los que se debe reportar el plan de mejora, sea representado por un número decimal, se deberá redondear dicho número hacia arriba.
El PRST deberá presentar el plan de mejora al MinTIC, dentro de los treinta (30) días calendario siguientes a la finalización de los tres (3) meses consecutivos en los que no se alcanzó el valor objetivo.
Si durante el período de ejecución del plan de mejora presentado por el PRST, no se alcanzan nuevamente los valores objetivo de disponibilidad definidos en el Anexo 5.2-A del Título de Anexos de la presente resolución, el PRST no deberá presentar un plan de mejora adicional al ya reportado al MinTIC.
PARTE 3. PLANES DE MEJORA PARA DISPONIBILIDAD DE ELEMENTOS DE RED DE ACCESO
<Parte modificada a partir del 1 de abril de 2026 por el artículo 10 de la Resolución 7777 de 2025, El texto vigente hasta esta fecha es el siguiente:>
<Parte modificada por el artículo 6 de la Resolución 7363 de 2024. El nuevo texto es el siguiente:>
Para la disponibilidad de los elementos de red de acceso, el PRST deberá remitir a la Dirección de Vigilancia, Inspección y Control del MinTIC, en el formato que dicha entidad disponga, los planes de mejora por cada uno de los ámbitos geográficos en los que se haya superado el objetivo de disponibilidad, en tres meses consecutivos, de cada trimestre del año (enero-marzo, abril-junio, julio-septiembre, octubre-diciembre).
El plan de mejora para el ámbito geográfico deberá ser presentado para un porcentaje de aquellos elementos de red de acceso que hayan superado de manera individual el valor objetivo de disponibilidad, así:
- En redes móviles para el 20% de las estaciones base.
- En redes fijas para el 20% de los equipos terminales de acceso.
Cuando el 20% del total de los elementos de red de acceso sobre los que se debe reportar el plan de mejora, sea representado por un número decimal, se deberá redondear dicho número hacia arriba.
La verificación de cumplimiento por parte de la Dirección de Vigilancia, Inspección y Control del MinTIC, estará asociada tanto a la presentación del reporte del plan de mejora en el plazo establecido como al seguimiento de su ejecución en los tiempos allí definidos. Si durante el período de ejecución del plan de mejora presentado por el PRST, se superan nuevamente los valores objetivo de disponibilidad definidos en el artículo 5.1.6.1 del Capítulo 1 del Título V, el PRST no deberá presentar un plan de mejora adicional al ya reportado al MinTIC.
MEDICIONES EN CAMPO DE PARÁMETROS DE CALIDAD.
<Anexo derogado por el artículos 29 de la Resolución 6890 de 2022>
MEDICIONES DE CALIDAD PARA EL SERVICIO DE ACCESO A INTERNET A TRAVÉS DE REDES MÓVILES A CARGO DE LOS PRSTM.
<Anexo modificado por el artículo 11 de la Resolución 7777 de 2025. El nuevo texto es el siguiente:>
A. METODOLOGÍA DE MEDICIÓN Y REPORTE
A.1. DEFINICIÓN Y CONCEPTOS DEL MÉTODO DE CROWDSOURCING PARA LA MEDICIÓN DE INDICADORES DE CALIDAD
En el marco de la adopción del método de medición de la calidad del servicio por Crowdsourcing, se incluyen las siguientes definiciones y conceptos para el desarrollo de la metodología, con base en la Recomendación UIT-T E.812 (05/2020) y la Enmienda 1:
Ámbito Geográfico: Para efectos del diseño muestral descrito en el numeral 2 del literal A.4., del presente Anexo metodológico se entenderá como ámbito geográfico a las divisiones político-administrativas correspondientes a municipio, localidad o comuna, sobre las cuales se realizará la medición de los indicadores de calidad del servicio de datos móviles de que trata el artículo 5.1.3.2., de la presente resolución.
Aplicación para gestión de mediciones activas: Aplicación(es) del PRSTM que permita(n) gestionar las mediciones activas programadas y sobre la(s) cual(es) es posible: i) integrar el SDK (Software Development Kit) del proveedor del servicio de medición de Crowdsourcing; ii) efectuar el proceso de tasación cero sobre el tráfico artificial de prueba utilizado en la medición activa programada; y iii) realizar la configuración y programación de las pruebas de medición a una línea o grupo de líneas móviles específicas en rangos de días y horas configurables.
Datos sin procesar (raw data, datos en crudo): Se refiere a los datos que han sido recolectados directamente de una fuente primaria de información y no han recibido ningún tipo de tratamiento estadístico, filtrado de información ni consolidación de información (promedios, medias, varianzas).
Datos procesados: Son los datos recolectados y que han sido objeto de algún tipo de procesamiento como puede ser depurar información errónea o en blanco, filtrar información, consolidar información (promedios, medias, varianzas), entre otras opciones, con el fin de obtener un mejor entendimiento de un evento o medición.
Datos recolectados: Es el conjunto de información de las mediciones sobre la calidad del servicio de datos móviles.
Hora pico: Corresponde a la franja horaria comprendida entre las 7:00 p. m. y las 10:59 p. m., sobre la cual se realiza la medición de los indicadores de calidad de datos móviles 4G y 5G para cada uno de los días del mes, con el fin de recoger información sobre las características del servicio, en condiciones de mayor exigencia de la red.
Hora valle: Corresponde a la franja horaria de medición comprendida entre las 10:00 a. m. y la 1:59 p. m., sobre la cual se realiza la medición de los indicadores de calidad de datos móviles 4G y 5G para cada uno de los días del mes, con el fin de recoger información sobre las características del servicio, en condiciones de menor exigencia de la red.
Marco muestral: Es el resultado de la aplicación de la siguiente fórmula, que se reportará en el mes de diciembre de cada año, para efectos de la medición a partir del mes de enero del año inmediatamente siguiente:
![]()
Es el número de líneas móviles ajustadas para el municipio 1 del mes tres (3) del tercer trimestre del año en que se realiza el cálculo del marco mestrual.
Es el número total de líneas estimadas en servicio con tráfico en el municipio 1, del mes tres (3) del tercer trimestre del año en que se realiza el cálculo del marco muestral, que se reporta en el campo 5 del Formato 1.2. de la Resolución MinTIC 3484 de 2012, modificada por la Resolución MinTIC 175 de 2021.
Es el factor de ajuste que resulta de dividir la suma del campo 4 "Cantidad de suscriptores", del literal A. Acceso por Suscripción del Formato T.1.5. del Título Reportes de Información de la presente resolución, más el campo 4 "Cantidad de abonados que accedieron al servicio", del literal B, Acceso por Demanda del Formato T.1.5. del Título Reportes de Información de la presente resolución, sobre la sumatoria total de líneas estimadas en servicio con tráfico, es decir para todos los municipios, que se reporta en el campo 5 del Formato 1.2. de la Resolución MinTIC 3484 de 2012, modificada por la Resolución MinTIC 175 de 2021, para el mes tres (3) del tercer trimestre del año en que se realiza el cálculo del marco muestral. Para construir el numerador del factor de ajuste se deben contabilizar unicamente los suscriptores o abonados que utilizan un teléfono móvil para conectarse a Internet, es decir para la sumatoria de accesos a datos móviles solos se deben tener en cuenta las cantidades que resultan de seleccionar la opción "teléfono móvil" en el campo 2 "Terminal" tanto para el literal A como B del Formato T.1.5. "Acceso Móvil a Internet".
![]()
Dado que para este caso se cuenta con valores agregados a nivel nacional por PRSTM, este factor se toma como constante para todos los municipios.
Es una variable indicativa que toma el valor de 1 cuando el despliegue de infraestructura de estaciones base con sectores 4G
es mayor que cero para el municipio i, durante el tercer trimestre del año en que se realiza el cálculo del marco muestral; de lo contrario toma el valor de cero.
![]()
Mediciones activas: Son aquellas mediciones que generan tráfico artificial con el propósito de probar y evaluar los indicadores de calidad objetiva del servicio (QoS) de extremo a extremo con enfoque de Crowdsourcing, definidos en el artículo 5.1.3.2 de la presente resolución. Estas mediciones pueden ser iniciadas por el usuario o pueden ser programadas por el PRSTM.
Mediciones activas iniciadas por el usuario: Son aquellas mediciones ejecutadas por los usuarios finales a través de sus equipos terminales móviles con el fin de producir una medida del rendimiento de los indicadores de calidad de servicio de datos móviles extremo a extremo con enfoque de Crowdsourcing, definidos en el artículo 5.1.3.2 de la presente resolución, en el sitio donde se realiza la prueba.
Mediciones activas programadas: Son aquellas mediciones que pueden ser realizadas sin la intervención de los usuarios finales, con el fin de producir una medida del rendimiento de los indicadores de calidad de servicio de datos móviles extremo a extremo con enfoque de Crowdsourcing, definidos en el artículo 5.1.3.2 de la presente resolución, por medio de la aplicación para gestión de mediciones activas. Las pruebas se pueden programar para que se ejecuten regularmente o se activen en función de ciertos algoritmos o reglas específicas.
Promedio trimestral móvil: Es el promedio aritmético que resulta de calcular la sumatoria total de las mediciones realizadas dentro de un trimestre sobre el número total de mediciones, con la característica particular de que dicho trimestre móvil avanza de forma continua a lo largo de los diferentes meses del año.
Proveedor de Crowdsourcing: Persona jurídica que provee el servicio de medición de calidad por medio del método de Crowdsourcing.
Prueba: Corresponde al procedimiento realizado desde el equipo terminal móvil de un usuario final, mediante el cual se busca medir la calidad del servicio de datos móviles para obtener una medida del rendimiento de la red a partir de los indicadores de calidad de servicio de datos móviles extremo a extremo con enfoque de Crowdsourcing, definidos en el artículo 5.1.3.2 de la presente resolución.
SDK (por sus siglas en inglés Software Development Kit): Es un conjunto de herramientas de desarrollo de software o códigos informáticos que una persona jurídica proporciona para que otros desarrolladores puedan integrar características provistas por esta persona jurídica en los productos de software de los otros desarrolladores.
Tamaño muestral: Subconjunto representativo de la totalidad del número de líneas con acceso al servicio de datos móviles, a las cuales se realizan las pruebas de calidad del servicio extremo-extremo con enfoque de Crowdsourcing.
Tráfico artificial de pruebas: Tráfico que es introducido en la red y sobre el cual se hace el monitoreo o medición de los indicadores que se deseen evaluar. Este tráfico debe ser totalmente caracterizado (tamaño, tipo y horario) para que se pueda diferenciar del tráfico normal presente en la red.
Usuario final: En el marco de las mediciones de calidad del servicio extremo a extremo con enfoque de Crowdsourcing, se define usuario final como una persona natural que consume el servicio de datos móviles a través de su equipo terminal móvil.
A.2. RESPONSABILIDADES FRENTE AL PROCESO DE MEDICIÓN
Los PRSTM son los responsables del cumplimiento de las condiciones establecidas en el presente anexo metodológico para el desarrollo del proceso de medición de los indicadores de calidad extremo a extremo del servicio de datos móviles a través del método de Crowdsourcing, definidos en el artículo 5.1.3.2 de la presente resolución.
Para la implementación de dichas condiciones, los PRSTM seleccionarán de manera conjunta y contratarán de forma individual una persona jurídica que les provea el servicio de mediciones en campo a través del método de Crowdsourcing, en los términos del presente anexo.
Las fallas asociadas al servicio de medición prestado por el proveedor de Crowdsourcing no constituirán una causal de excepción de cumplimiento por parte de los PRSTM de las obligaciones de medición, cálculo y reporte de los indicadores de calidad de que trata el artículo 5.1.3.2 de la presente resolución y lo exigido en este anexo metodológico.
Los PRSTM deberán entregar al proveedor de Crowdsourcing los insumos de información necesarios para la medición y cálculo de los indicadores de calidad con la periodicidad, plazo y a través del mecanismo de envío que estos acuerden. Dichos insumos de información deben contener por lo menos los ámbitos geográficos de medición, las líneas móviles de los equipos terminales sobre los cuales se programará la medición, el día y hora en que se hará la medición, de acuerdo con el diseño de recolección de información establecido a partir de las condiciones descritas en el presente anexo para el cálculo del tamaño de la muestra correspondiente para cada ámbito geográfico.
Las líneas móviles con acceso al servicio de datos a utilizar para las mediciones activas programadas deben determinarse a partir del cálculo del tamaño muestral, las cuales deben ser distribuidas de manera uniforme dentro del periodo de medición y franja de 8 horas en los horarios pico y valle previamente definidos.
De igual manera, para la exclusión de datos en el proceso de cálculo de los indicadores definido en el literal B del presente anexo, el PRSTM deberá entregar al proveedor de Crowdsourcing la información correspondiente a los días atípicos a excluir, así como los periodos de tiempo correspondientes a la ocurrencia de casos fortuitos, fuerza mayor o hechos de terceros.
A partir de los insumos de información entregados por los PRSTM, el proveedor de Crowdsourcing desarrollará el proceso de programación, ejecución de mediciones y recolección de información para medir la calidad del servicio de datos a través del método de Crowdsourcing, alojando los resultados en el servidor utilizado para las mediciones o el que acuerde con los PRSTM, el cual deberá contar con medidas que garanticen la seguridad y protección de los datos recolectados.
Una vez se cuente con los resultados de las mediciones, el proveedor de Crowdsourcing realizará la exclusión de los datos correspondientes a los días atípicos y eventos de caso fortuito, fuerza mayor o hechos de terceros con base en la información reportada por los PRSTM para tal fin y de acuerdo con la periodicidad y plazos para el cálculo de los indicadores de que trata el presente anexo y el Formato T.2.6., del Título Reportes de Información de la presente resolución.
Asimismo, el proveedor de Crowdsourcing implementará los procesos de filtrado, clasificación y agregación de datos descritos en la sección 7.3.2., de la Recomendación UIT-T E.812 (05/2020) Enmienda 1 y de realizar el cálculo de los indicadores por ámbito geográfico con exclusión de mediciones y sin exclusión de mediciones.
Se deberá permitir el acceso a la Dirección de Vigilancia, Inspección y Control de MinTIC y a la CRC, habilitando los perfiles de usuario, definidos por cada entidad, y brindando el soporte operacional para consulta, obtención y descarga de i) los datos procesados con los resultados de los indicadores con y sin exclusiones; y ii) los datos sin procesar de las mediciones. Este acceso contará con la opción para que se realicen filtros a partir de los cuales se pueda obtener y descargar los resultados de mediciones activas iniciadas por el usuario y las mediciones activas programadas por el operador, así como los demás campos definidos por el sistema de medición de acuerdo con la metodología de prueba, medición, recolección, postproceso y cálculo de indicadores, y los criterios establecidos en el presente anexo.
Los datos procesados con los resultados de las mediciones con exclusiones podrán ser publicados por la CRC.
El sistema de medición deberá contar con un protocolo de consumo de información a través de una interfaz de programación de aplicaciones API (por sus siglas en inglés, Application Programming Interface) para poner a disposición de la Dirección de Vigilancia, Inspección y Control de MinTIC y de la CRC el acceso a los datos sin procesar y procesados (con y sin exclusiones) de las mediciones de calidad del servicio de datos móviles. Con el fin de facilitar este acceso, el proveedor de Crowdsourcing deberá aportar el diccionario de variables, así como una descripción de la estructura de los datos a compartir ya sea bajo el estándar XML o JSON.
El PRSTM deberá garantizar el almacenamiento de los datos recolectados, sin procesar y procesados (con y sin exclusiones) de las mediciones de calidad del servicio de datos móviles por un tiempo no inferior a tres (3) años contados a partir de la fecha de cada reporte periódico del Formato T.2.6., de la presente resolución.
A.3. DOCUMENTACIÓN DEL SISTEMA DE MEDICIÓN
Los PRSTM deben mantener documentado el sistema y el proceso de medición implementado con el método de Crowdsourcing descrito en el presente anexo y utilizado para la generación de los indicadores de que trata el artículo 5.1.3.2, debiendo identificar de manera precisa el proveedor de Crowdsourcing, las versiones de software del sistema y las variables y datos recolectados desde los equipos terminales móviles de los usuarios con su respectiva descripción.
Los PRSTM deben incluir en dicha documentación, los criterios y procedimientos de recolección, filtrado, clasificación y agregación de datos de conformidad con los conceptos descritos para dichos procedimientos en el numeral 7.3.2. – Procesamiento de datos, de la Recomendación UIT-T E.812 (05/2020) y su Enmienda 1, y aplicables por el proveedor de Crowdsourcing a los datos utilizados para el proceso de construcción, cálculo y reporte de los indicadores de calidad definidos en el presente anexo.
Así mismo, debe indicarse la ubicación lógica de la información recolectada de las mediciones en el sistema de medición para su consulta, los mecanismos de obtención de información y de reportes relativos a los indicadores de calidad por diferentes atributos (agregado nacional, por operador, por departamento, por municipio, por localidades o comunas, por indicador, por tecnología, entre otros) y demás información requerida para permitir su verificación por parte de la Dirección de Vigilancia, Inspección y Control del MinTIC.
Los PRSTM deberán remitir a la Dirección de Vigilancia, Inspección y Control del MinTIC en los formatos y mecanismos que ese Ministerio determine: i) la documentación mencionada en el inciso anterior cada vez que se realicen modificaciones a esta; y ii) el cálculo del tamaño muestral a más tardar el 31 de diciembre de cada año.
A.4. METODOLOGIA DE MEDICIÓN Y REPORTE
El ámbito de medición de los parámetros será el territorio donde el PRSTM preste el servicio de datos móviles, y los parámetros de calidad se medirán separadamente para las tecnologías de acceso a servicios de datos móviles 4G y 5G.
Para el cálculo de los indicadores se exceptuarán los siguientes días atípicos de tráfico: 24, 25 y 31 de diciembre, 1 de enero, Día de la Madre, Día del Padre, Día del Amor y la Amistad, y las horas en que se adelanten eventos de mantenimiento programados siempre y cuando estos últimos hayan sido notificados con la debida antelación a los usuarios. Así mismo, se podrán descontar de las mediciones días atípicos por caso fortuito, fuerza mayor o hecho atribuible a un tercero.
La metodología de medición corresponde a mediciones activas iniciadas por el usuario final y programadas por los PRSTM mediante el método de Crowdsourcing. El SDK requerido para las mediciones programadas debe ser suministrado por el proveedor de Crowdsourcing e integrarse en la aplicación para gestión de mediciones activas del PRSTM. Esta integración deberá implementarse mediante la instalación de la aplicación para gestión de mediciones activas en los equipos terminales móviles de los usuarios o mediante la actualización de esta.
Al momento de instalar la mencionada aplicación o realizar su actualización, el PRSTM debe asegurar que se dé cumplimiento a las disposiciones sobre tratamiento de datos personales de conformidad con lo previsto en la Ley 1581 de 2012, o aquella que la sustituya, modifique o complemente y sus decretos reglamentarios. Una vez obtenida la autorización por parte del usuario para el tratamiento de sus datos personales, se podrán realizar las mediciones de los indicadores.
La aplicación para gestión de mediciones activas debe estar disponible al menos para las versiones de los sistemas operativos (Android e iOS) que cuenten con soporte por parte del proveedor del sistema operativo, así como los demás que se consideren por parte de los PRSTM.
Las mediciones activas programadas deberán ser ejecutadas por el proveedor de Crowdsourcing sin la intervención del usuario final y se ejecutarán en segundo plano. Igualmente, estas mediciones no consumirán datos del paquete o plan de datos adquirido o contratado por los usuarios y tampoco conllevarán al cobro de ningún valor monetario.
Para aquellos casos en los que el usuario autorice las mediciones activas programadas a través de la aplicación que el PRSTM haya dispuesto como medio de atención al usuario, su acceso deberá ser gratuito, de conformidad con lo dispuesto en el numeral 2.1.25.1.2., de la presente resolución.
1. Requisitos para el procesamiento de datos en la plataforma de medición.
La plataforma empleada para el procesamiento de los datos recopilados por medio de las mediciones activas iniciadas por el usuario y las mediciones activas programadas, debe garantizar el desarrollo del tratamiento de los datos recolectados de las pruebas con base en los lineamientos establecidos en la sección 7.3.2., de la Recomendación UIT-T E.812 (05/2020) Enmienda 1 y adicionalmente:
a) En cuanto al filtrado de pruebas ubicadas en los extremos de la distribución, es decir aquellas observaciones que se encuentren por encima del 95% o por debajo del 5% de la distribución no deben ser tenidas en cuenta para la construcción de los indicadores de calidad del servicio de datos móviles;
b) En cuanto a georreferenciación: Se debe ubicar cada una de las mediciones realizadas dentro de un municipio, empleando las coordenadas (WGS84) geográficas (latitud y longitud) para ubicarlas dentro de cada contorno geográfico y usar el código de la División Político Administrativa generado por el Departamento Nacional de Estadística (DANE) como código ID de ubicación; este código se reportará a nivel de municipio y de localidad o comuna para los casos de las ciudades con más de 500 mil habitantes;
c) En cuanto a la agregación: Las pruebas realizadas por una línea móvil dentro de un mismo día de medición deberán ser promediadas y contabilizadas como una única medición. Para el cálculo de cada indicador mensual por municipio, incluidos aquellos con más de 500.000 habitantes, se empleará el promedio trimestral móvil simple de todas las muestras tomadas durante este periodo de tiempo;
d) Seguridad: La herramienta deberá contar con una Política de Seguridad de la Información que implemente un Sistema de Gestión de Seguridad de la Información (SGSI), tendiente a garantizar la confidencialidad, la integridad, la disponibilidad de la información manejada, procesada o almacenada durante la utilización de esta, siguiendo para ello la familia de estándares ISO/IEC 27000.
2. Metodología de cálculo del tamaño muestral
A partir del cálculo que resulta de la aplicación de la fórmula contenida en la definición de marco muestral del presente anexo, con el fin de obtener resultados representativos, se sigue la Recomendación UIT-T E.806 (06/2019), realizándose un tipo de muestreo probabilístico y bietápico como se describe a continuación:
Primera etapa "Determinación del ámbito geográfico": Para el cálculo del tamaño de la muestra se considerarán dos ámbitos geográficos:
(i) "Municipal" corresponde a todo aquel municipio en donde el PRSTM cuente con cobertura de datos móviles con tecnología 4G y cuatro (4) mil líneas móviles ajustadas o más (La3t,i).
Nota: Cuando los municipios cuenten con más de 500 mil habitantes, el tamaño de la muestra asociado a la aplicación de la fórmula del marco muestral, se debe realizar por localidad o comuna utilizando la información con que cuenta cada uno de los PRSTM relativa a la ubicación de las líneas móviles ajustadas por localidad o comuna, la cual debe ser consistente con la metodología de reporte utilizada en el Formato 1.2., de la Resolución MinTIC 3484 de 2012, modificada por la Resolución MinTIC 175 de 2021.
La denominación "Resto de municipio" agrega a todas aquellas localidades o comunas de los municipios con más de 500 mil habitantes, que no superen el umbral de las cuatro (4) mil líneas móviles ajustadas por localidad o comuna. El cálculo del tamaño de la muestra debe realizarse considerando la participación de las líneas móviles ajustada de cada localidad o comuna.
(ii) "Resto de departamento" agrega a todos aquellos municipios de un mismo departamento en donde el PRSTM cuente con menos de cuatro (4) mil líneas móviles ajustadas por municipio (La3t,i) en tecnología 4G. El cálculo del tamaño de la muestra debe realizarse considerando la participación de las líneas móviles ajustada de cada uno de los municipios.
Para determinar el número de habitantes de cada uno de los municipios, se utilizará como referente las estimaciones o proyecciones de población indicadas por el DANE para el año en el cual se efectuará la medición.
Segunda etapa "Determinación de cantidad de muestras por ámbito geográfico para tecnología de acceso 4G": Se debe garantizar una representatividad estadística a nivel municipal, localidad o comuna del 95% de confianza y un margen de error no mayor al 5%. El cálculo del número mínimo de muestras recolectado en un trimestre debe realizarse empleando la fórmula de determinación del tamaño de la muestra para población finita usando un parámetro de varianza muestral de tipo proporción, de acuerdo con lo siguiente:

Es el número de muestras a aplicar para un ámbito geográfico determinado
Es el error muestral que para este caso no debe ser superior al 5%
Es el valor de la distribución normal correspondiente a un nivel de confianza adoptado de 95%, es decir 1.96.
Es la cantidad total de líneas móviles ajustadas
que se determinaron como marco mestral para el ámbito geográfico correspondiente.
P: Hace referencia al parámetro de varianza muestral, que al ser desconocido se asume como 0,5.
Para el desarrollo de las mediciones por Crowdsourcing el PRSTM deberá aplicar una sobre-muestra estimada mínimo del 10% sobre la cantidad de líneas móviles ajustadas (La3t,i), calculadas a partir del tamaño de la muestra. En este sentido, el margen de mediciones faltantes como consecuencia de situaciones que no permitan la recolección de las muestras de que trata la presente metodología, no podrá superar el 10% de la sobre-muestra antes mencionada.
Las mediciones activas programadas solicitadas por el PRSTM al proveedor de Crowdsourcing estarán definidas para todos los días de la semana y distribuidas de manera uniforme en una ventana de tiempo de 8 horas, comprendidas por 2 periodos de 4 horas cada uno. El primer periodo está comprendido para la hora valle y el segundo periodo para la hora pico.
Es importante tener en cuenta que este método de cálculo se basa en un muestreo aleatorio sin reemplazo, es decir, una misma línea con acceso al servicio de datos móviles podrá ejecutar pruebas más de una vez, dentro de un periodo de tiempo determinado, para la medición de la calidad del servicio de datos con enfoque de Crowdsourcing.
El resultado del cálculo de los indicadores descritos en el artículo 5.1.3.2 para tecnología 4G será informativo en los casos en que en el ámbito geográfico "Resto de departamento" a nivel agregado no se logre el número mínimo de pruebas requeridas de acuerdo con el tamaño muestral calculado.
La metodología de cálculo de tamaño muestral descrita en la presente sección no estará sujeta a verificación de cumplimiento para la tecnología 5G.
Para los municipios que cuentan con más de 500 mil habitantes la medición deberá realizarse por localidad o comuna y "Resto del municipio". De igual manera el reporte de indicadores de calidad contenidos en el literal A. del Formato T.2.6., del Título Reportes de Información de la presente resolución deberá realizarse discriminando a nivel de localidad, comuna y "Resto del municipio".
Para el ámbito geográfico "Resto de departamento" el reporte de indicadores de calidad contenidos en el literal B., del Formato T.2.6., del Título Reportes de Información de la presente resolución deberá realizarse agregando a nivel departamental los resultados obtenidos para cada municipio.
3. Condiciones de las pruebas de medición
El sistema de medición por el método de Crowdsourcing debe contar con las siguientes características y funcionalidades:
Estar en capacidad de hacer pruebas a un equipo terminal móvil en particular o a un conjunto de equipos terminales móviles en forma simultánea. Los archivos o el flujo de tráfico de prueba de las muestras debe originarse en el equipo terminal móvil y debe tener el tamaño o duración suficiente para que la medición del indicador sea confiable.
El número mínimo de pruebas requeridas para cada tamaño muestral podrá incluir tanto las mediciones activas programadas como las mediciones activas iniciadas por el usuario final.
El proveedor de Crowdsourcing debe contar con varios servidores de prueba dentro del territorio colombiano, con el fin de contribuir a la medición del desempeño del servicio de datos móviles a partir de las mediciones activas iniciadas por el usuario y las mediciones activas programadas.
B. INDICADORES A MEDIR
B.1 Velocidad de descarga y carga
B.1.1. Velocidad de descarga: Medición que establece la tasa de transferencia de datos de un servidor de prueba al dispositivo o equipo terminal móvil del usuario medida en Megabits/segundo.
B.1.2. Velocidad de carga: Medición que establece la tasa de transferencia de datos de un dispositivo o equipo terminal móvil del usuario a un servidor de prueba medida en Megabits/segundo.
B.2 Latencia: Es una medida del tiempo que le toma a un mensaje, típicamente un archivo de prueba, realizar un viaje de ida y vuelta medido desde el primer bit que sale del dispositivo o equipo terminal móvil de un usuario y hasta el último bit que regresa a este.
B.3: Fluctuación de fase (Jitter): Medida de la variación (vk) del tiempo de ida y vuelta en una serie de mínimo dos pruebas de latencia (k) en el dispositivo o equipo terminal móvil de un usuario. Se calcula restando el tiempo de latencia máximo (Lmax,k) del tiempo de latencia mínimo (Lmin,k.), es decir: vk=Lmax,k-Lmin,k.
B.4: Tasa de Pérdida de paquetes: Es la relación entre la cantidad de paquetes perdidos y el total de paquetes transmitidos, entre el origen de los paquetes en el dispositivo o equipo terminal móvil de un usuario y el destino en un servidor de prueba.
Una vez realizado el tratamiento de las mediciones descrito en el numeral 1 de la sección A.4 del presente Anexo, se debe calcular cada uno de los indicadores de la calidad del servicio de datos móviles empleando el promedio trimestral móvil simple en el mes más reciente de reporte para cada uno de los ámbitos geográficos "Municipal", "Resto de departamento" o "Resto de municipio", por medio de la siguiente fórmula:

Es el valor de indicador a reportar para el mes t correspondiente en el ámbito geográfico j.
Es el número total de mediciones válidas realizadas durante cada uno de los meses t que integran el trismestre móvil de medición respectivamente para el indicador
en el ámbito geografico j.
Se refiere a los meses que se tomarán para el cálculo del indicador. Dado que este indicador es en el caso del promedio trismestral móvil de los dos (2) meses anteriores al mes de reporte y el mes de reporte, es decir, se incluyen los meses de febrero, marzo y abril.
Es el subindice de la i-ésima observación dentro del mes de febrero, marzo y abril.
Es el subíndice del j-ésimo ámbito geográfico.
La fórmula para el cálculo del promedio trimestral móvil simple debe aplicarse para cada uno de los indicadores definidos en el artículo 5.1.3.2 de la presente resolución y para cada ámbito geográfico de medición.
C. VALORES OBJETIVO DE LOS INDICADORES
En la siguiente tabla se establecen los valores objetivo de los indicadores de Latencia (ida y vuelta), Fluctuación de fase (Jitter) y Tasa de pérdida de paquetes para datos móviles 4G de acuerdo con lo establecido en el artículo 5.1.3.2 de la presente resolución:
Valores objetivo para los indicadores Latencia (ida y vuelta), Fluctuación de fase (Jitter) y Tasa de pérdida de paquetes de datos móviles 4G
| Indicador | Valor objetivo por ámbito geográfico |
| Latencia (ida y vuelta) | 100 ms máximo |
| Fluctuación de fase (Jitter) | 50 ms máximo |
| Tasa de pérdida de paquetes | 5% máximo |
Para las estaciones base con transmisión satelital los indicadores de Latencia, y Fluctuación de fase y Tasa de pérdida de paquetes se reportarán de manera informativa y no deberán cumplir con los valores objetivo dispuestos para estos. Lo anterior, teniendo en cuenta la definición de Zona Satelital establecida en el Título I de la presente resolución.
Valores objetivo para los indicadores de velocidad de carga y velocidad de descarga de datos móviles 4G.
En la siguiente tabla se establecen los valores objetivo para los indicadores de velocidad de carga y velocidad de descarga de datos móviles 4G, conforme lo dispuesto en el artículo 5.1.3.2 de la presente resolución. Estos valores son aplicables a los ámbitos geográficos según la clasificación de niveles de desempeño de calidad definidos en el Anexo 5.10., de esta resolución:
Valores objetivo para los indicadores de velocidad de carga y velocidad de descarga de datos móviles 4G.

Finalmente, cuando se alcance el tope de calidad al final de cada periodo para cada uno de los clústeres de desempeño, el valor objetivo se mantendrá por el resto de los años de la senda o hasta que la CRC lo considere pertinente.
Exigibilidad de los valores objetivo para los indicadores de velocidad de carga y velocidad de descarga de datos móviles 4G para los ámbitos geográficos en función de los clústeres de desempeño.
Para los municipios que cuenten con más de 500.000 habitantes y aquellos con menos de 500.000 habitantes y 4.000 líneas móviles ajustadas o más, se exigirá el umbral que corresponda con el clúster del nivel de desempeño al que pertenezca cada municipio.
Adicionalmente, para el ámbito geográfico "Resto de departamento" aplica el valor objetivo del clúster con el menor nivel de desempeño de calidad identificado en los municipios pertenecientes a la agrupación "Resto de departamento".
D. DISPOSICIONES RELATIVAS A LA SELECCIÓN Y CONTRATACIÓN DEL PROVEEDOR DE CROWDSOURCING
Los PRSTM obligados a dar cumplimiento a los indicadores de calidad del servicio de datos móviles de que trata el artículo 5.1.3.2 de la presente resolución, definirán conjuntamente las condiciones para la selección y contratación de la persona jurídica que proveerá el servicio de medición de los indicadores de datos móviles para 4G y 5G, a través del método de Crowdsourcing de conformidad con las condiciones técnicas establecidas por la CRC en el presente anexo.
El proceso de selección deberá ser de amplia divulgación y se desarrollará conjuntamente por los PRSTM contemplando criterios que generen condiciones de competencia, transparencia, no discriminación y libre concurrencia. Entre los criterios de selección, podrán considerarse aquellos de orden técnico, económico y financiero, que, en todo caso, permitan garantizar el cumplimiento de las especificaciones del presente anexo.
Los PRSTM conjuntamente elaborarán un modelo de contrato a ser suscrito de manera individual entre cada uno de ellos y la persona jurídica seleccionada como proveedor de Crowdsourcing. Este modelo de contrato será puesto a disposición de las personas jurídicas que provean el servicio de medición a través del método de Crowdsourcing interesadas en participar en el proceso de selección.
El contrato modelo que se derive del proceso de selección adelantado de manera conjunta por los PRSTM deberá ser suscrito en las mismas condiciones, por aquellos PRSTM que, con posterioridad a la implementación del sistema de medición a través de Crowdsourcing, adquieran la obligación de medir y reportar los indicadores de calidad de que trata el artículo 5.1.3.2 de la presente resolución.
Las condiciones mínimas para la selección y contratación previstas en el presente anexo deberán ser observadas por los PRSTM cada vez que se requiera contratar una persona jurídica que provea el servicio de medición de los indicadores de datos móviles para 4G y 5G a través del método de Crowdsourcing.
El modelo de contrato deberá contemplar como mínimo y sin limitarlo a ello, lo siguiente:
- Especificaciones técnicas y operativas.
- Duración del contrato, disposiciones de modificación, renovación o terminación.
- Valor y forma de pago.
- Procedimientos de intercambio de información entre las partes.
- Servicio de atención y soporte.
Adicionalmente, deberá contener como mínimo las siguientes obligaciones a cargo del proveedor de Crowdsourcing:
1. Proveer a los PRSTM la solución de medición que será utilizada para realizar las mediciones activas iniciadas por el usuario y las mediciones activas programadas, de conformidad con las condiciones definidas en el presente anexo.
2. Asesorar al PRSTM en el proceso de integración del SDK a la aplicación para gestión de mediciones activas, según lo establecido en el presente anexo.
3. Acordar con los PRSTM la información mínima que contendrá la base de datos sin procesar y que será recolectada desde los equipos terminales móviles de los usuarios ubicados en el territorio nacional para realizar las mediciones activas iniciadas por los usuarios y las mediciones activas programadas.
4. Proveer al PRSTM, a la CRC y a la Dirección de Vigilancia, Inspección y Control del MinTIC acceso a la interfaz o plataforma web que contiene la información sobre las mediciones de los indicadores de calidad de los servicios de datos móviles 4G y 5G, provenientes de las mediciones activas iniciadas por el usuario, y las mediciones activas programadas.
5. Prestar a la Dirección de Vigilancia, Inspección y Control del MinTIC y a la CRC apoyo operacional para la consulta, obtención, y descarga de la información sobre las mediciones de los indicadores de calidad de los servicios de datos móviles 4G y 5G, provenientes de las mediciones activas iniciadas por el usuario, y las mediciones activas programadas.
6. Dar cumplimiento a lo dispuesto en la Ley 1581 de 2012 o la que la sustituya, adicione o modifique y sus decretos reglamentarios, y adoptar medidas de responsabilidad demostrada para garantizar el debido tratamiento de datos personales. Estas medidas deben ser apropiadas, efectivas, útiles, eficientes y demostrables, con especial énfasis en garantizar la seguridad, calidad, confidencialidad, uso y circulación restringida de la información.
7. Garantizar que los datos sin procesar que son capturados desde los equipos terminales móviles de los usuarios a través de la aplicación para gestión de mediciones activas programadas sean suministrados a cada PRSTM únicamente respecto de sus usuarios. Lo anterior, implica que no deberá compartirle esta información a otros PRSTM.
8. Realizar las mediciones, y demás actividades relacionadas, en las condiciones previstas en el presente anexo.
9. Permitir al PRSTM, a la CRC y al MinTIC el acceso directo a la base de datos de información sin procesar y a la base de datos de información procesada (con y sin exclusiones), construidas a partir de la información capturada de los equipos terminales móviles de los usuarios ubicados en el territorio nacional con el fin de realizar las mediciones activas iniciadas por el usuario y las mediciones activas programadas.
10. Permitir que la CRC utilice y publique los datos procesados de las mediciones de los indicadores de calidad para el desarrollo de sus funciones. La CRC tomará todas las medidas necesarias para proteger los derechos de propiedad intelectual del proveedor de Crowdsourcing, que incluyen, entre otros, la exhibición adecuada de derechos de autor, marcas comerciales, secretos comerciales y otros avisos de propiedad intelectual y debidas referencias.
11. Almacenar los datos capturados desde los equipos terminales móviles de los usuarios ubicados en el territorio nacional para realizar las mediciones activas y las mediciones activas programadas, durante la vigencia del contrato suscrito con los PRSTM hasta su terminación o liquidación.
12. Contar con una Política de Seguridad de la Información que implemente un Sistema de Gestión de Seguridad de la Información (SGSI), tendiente a garantizar la confidencialidad, la integridad, la disponibilidad de la información manejada, procesada o almacenada durante la utilización de esta, siguiendo para ello la familia de estándares ISO/ IEC 27000.
MÁRGENES DE PROTECCIÓN ENTRE ESTACIONES DEL SERVICIO DE RADIODIFUSIÓN DE TELEVISIÓN.
1.1. Márgenes de protección entre sistemas DVB-T2
El margen de protección cocanal de una señal DVB-T2 de 6 MHz interferida por una señal DVB-T2 de 6 MHz,, se puede calcular con la siguiente ecuación:
Donde:
**IMAGEN** es un factor de corrección en función del MODCOD (modulación y tasa de codificación) de la señal T2 deseada, dado en la Tabla "Márgenes de protección co-canal (T2 vs T2)".
**IMAGEN** es un factor de corrección en función del patrón de portadoras piloto empleado en la señal T2 deseada, dado en la Tabla "Factor de corrección por patrón de portadoras (T2 vs T2)".


"Márgenes de protección co-canal (T2 vs T2)"
El margen de protección en canal adyacente de una señal DVB-T2 interferida por otra señal DVB-T2, ambas con un ancho de banda de 6 MHz, está dado por:
Donde:
**IMAGEN** es el margen de protección canal adyacente dependiente de la modulación y la tasa de codificación de la señal DVB-T2 deseada, dado por la tabla "Margen de protección canal adyacente (T2 vs T2)".
**IMAGEN** es un factor de corrección función del tamaño de la FFT y el modo de portadoras extendidas de la señal interferente DVB-T2, dado por la tabla "Factor de corrección canal adyacente por tamaño FFT (T2 vs T2)".

"Margen de protección canal adyacente (T2 vs T2)"

"Factor de corrección canal adyacente por tamaño FFT (T2 vs T2)"
1.2. Márgenes de protección entre sistemas DVB-T2 y sistemas NTSC-M
El margen de protección cuando la señal DVB-T2 es la deseada y la NTSC es la interferente,, se puede calcular con la siguiente ecuación:
Donde:
**IMAGEN** es el margen de protección de una señal DVB-T2 64QAM 3/4 FFT 16KExt PP2 (modo de referencia) frente a una señal NTSC, dado en la Tabla "Margen de protección para el modo de referencia (T2 vs NTSC)".
**IMAGEN** es el factor de corrección para diferentes MODCOD de la señal DVB-T2 deseada, dado en la Tabla "Factor de corrección por MODCOD (T2 vs NTSC)".
**IMAGEN** es el factor de corrección debido al patrón de portadoras piloto de la señal DVB-T2 deseada dado por la Tabla "Factor de corrección por patrón de portadoras (T2 vs NTSC)".
**IMAGEN** es un factor de corrección en función del tamaño de la FFT empleada en la señal DVB-T2 deseada, dado por la Tabla "Factor de corrección por tamaño de FFT (T2 vs NTSC)".

Margen de protección para el modo de referencia (T2 vs NTSC)"
Para diferentes configuraciones del MODCOD de la señal útil se debe corregir el margen de protección con los siguientes valores de
:

"Factor de corrección por patrón de portadoras (T2 vs NTSC)"

"Factor de corrección por tamaño de FFT (T2 vs NTSC)"

"Factor de corrección por MODCOD (T2 vs NTSC)"
Los márgenes de protección para el caso en que la señal NTSC es la deseada y la DVB-T2 es la interferente, se pueden calcular como:
![]()
Donde:
**IMAGEN** es el margen de protección de referencia de una señal NTSC interferida por una señal DVB-T2 con una FFT de 16K, dado por la Tabla "Margen de protección de referencia (NTSC vs T2)".
**IMAGEN** es el factor de corrección según el tamaño de la FFT de la señal T2 interferente (para el modo ancho de banda no extendido), dado por la Tabla "Factor de corrección por tamaño de FFT (NTSC vs T2)".
**IMAGEN** es un factor de corrección si se emplea el modo de portadoras extendidas en la señal T2 interferente, ver Tabla "Factor de corrección por modo extendido (NTSC vs T2)".

"Margen de protección de referencia (NTSC vs T2)"

"Factor de corrección por tamaño de la FFT (NTSC vs T2)"

"Factor de corrección por modo extendido (NTSC vs T2)"
1.3. Márgenes de protección entre sistemas DVB-T2 y sistemas ISDB-TB
El margen de protección para cuando una señal DVB-T2 es interferida por una ISDB-Tb,, se puede calcular con la siguiente ecuación:
![]()
Donde:
**IMAGEN** es el margen de protección de referencia de una señal DVB-T2 64QAM 3/5 FFT 16KExt interferida por una señal ISDB-Tb con una FFT 8K, dado por la Tabla "Margen de protección de referencia (T2 vs ISDB-Tb)".
**IMAGEN** es un factor de corrección en función del tamaño de la FFT de la señal interferente ISDB-TB dado por la Tabla "Factor de corrección por tamaño FFT de la señal ISDB-Tb (T2 vs ISDB-Tb)".
**IMAGEN** es un factor de corrección si no se usa offset en frecuencia para la señal ISDB-TB interferente, dado por la Tabla "Factor de corrección por uso de offset de la señal ISDB-TB (T2 vs ISDB-Tb)".
**IMAGEN** es un factor de corrección para diferentes MODCOD de la señal T2 deseada, dado por la Tabla "Factor de corrección por MODCOD de la señal T2 (T2 vs ISDB-Tb)".
**IMAGEN** es un factor de corrección para diferentes distribuciones de portadoras piloto (PP) de la señal T2 deseada, dado por la Tabla "Factor de corrección por portadoras piloto de la señal T2 (T2 vs ISDB-Tb)".

"Margen de protección de referencia (T2 vs ISDB-Tb)"

"Factor de corrección por tamaño FFT de la señal ISDB-T (T2 vs ISDB-Tb)"

"Factor de corrección por uso de offset de la señal ISDB-TB (T2 vs ISDB-Tb)"

"Factor de corrección por MODCOD de la señal T2 (T2 vs ISDB-Tb)"
![]()
"Factor de corrección por portadoras piloto de la señal T2 (T2 vs ISDB-Tb)"
El margen de protección para el caso de una señal ISDB-Tb interferida por una señal DVB-T2,, se puede calcular con la siguiente ecuación:
![]()
Donde
**IMAGEN** es el margen de protección de una señal ISDB-TB 64QAM 3/4 interferida por una señal DVB-T2 con una FFT 8K modo no extendido, dado por la Tabla "Margen de protección de referencia (ISDB-Tb vs T2)".
**IMAGEN** es un factor de corrección en función de la FFT de la señal interferente DVB-T2 dado por la Tabla "Factor de corrección por tamaño de FFT de la señal T2 (ISDB-Tb vs T2)".
**IMAGEN** es un factor de corrección si se usa el modo ancho de banda extendido en la señal DVB-T2 interferente dado por la Tabla "Factor de corrección por modo extendido de señal T2 (ISDB-Tb vs T2)".
**IMAGEN** es un factor de corrección para diferentes MODCOD de la señal deseada ISDB-Tb (R-REC UIT BT.1368), dado en la Tabla "Factor de corrección por MODCOD de la señal ISDB-TB (ISDB-Tb vs T2)".

"Margen de protección de referencia (ISDB-Tb vs T2)"

"Factor de corrección por tamaño de FFT de la señal T2 (ISDB-TB vs T2)"

"Factor de corrección por modo extendido de señal T2 (ISDB-Tb vs T2)"

"Factor de correción por MODCOD de la señal ISDB-TB (ISDB-Tb vs T2)" "
(Anexo I Resolución CRC 4047 de 2012)
Tabla 1.VALORES MÁXIMOS DE EMISIONES ASOCIADOS A LAS MÁSCARAS CRÍTICAS PARA TRANSMISORES CON UNA POTENCIA SUPERIOR O IGUAL A 25 W.

Tabla 2.VALORES MÁXIMOS DE EMISIONES ASOCIADOS A LAS MÁSCARAS CRÍTICAS PARA TRANSMISORES CON UNA POTENCIA INFERIOR A 25 W.

Tabla 3.VALORES MÁXIMOS DE EMISIONES ASOCIADOS A LAS MÁSCARAS NO CRÍTICAS PARA TRANSMISORES CON UNA POTENCIA SUPERIOR O IGUAL A 25 W.

Tabla 4.VALORES MÁXIMOS DE EMISIONES ASOCIADOS A LAS MÁSCARAS NO CRÍTICAS PARA TRANSMISORES CON UNA POTENCIA INFERIOR A 25 W.


NOTAS
- Las máscaras se dan como niveles de potencia media medida en un ancho de banda de 4 KHz. El primer valor de las máscaras corresponde a la potencia media de la señal.
- Las máscaras para transmisores con una potencia mayor o igual a 25 W se dan en términos relativos (dBc, nivel de potencia en decibelios en relación a la portadora), siendo la potencia media 0 dB.
- Las máscaras para transmisores con una potencia menor a 25 W se dan en términos absolutos (dBm, nivel de potencia en decibelios en relación a un nivel de referencia de 1 mW), siendo la potencia media 25 W. Estas máscaras son las mismas que para transmisores de 25 W de potencia.
(Anexo II Resolución CRC 4047 de 2015)
AVISO.
| AVISO 1. Diseño a ser fijado a TV con decodificador interno DVB-T2 | AVISO 2. Diseño a ser fijado a TV sin decodificador interno DVB-T2 |
![]() | ![]() |
Características técnicas:
| Tamaño mínimo de aviso: | 13,91 (cm) de diámetro |
| Ubicación: | Esquina superior derecha del receptor de televisión – vista frontal |
(Anexo III Resolución CRC 4047 de 2015)
MUNICIPIOS DE POLÍTICA PÚBLICA PARA MASIFICACIÓN DE SERVICIOS.
<Anexo modificado por el artículos 9 de la Resolución 6890 de 2022. El nuevo texto es el siguiente:> El siguiente listado de municipios es susceptible de aplicar la excepción dispuesta en el parágrafo del artículo 5.1.1.1 conforme las condiciones contenidas en el artículo 5.1.1.6 de la presente resolución:
| NÚMERO | DIVIPOLA | DEPARTAMENTO | MUNICIPIO |
| 1 | 5051 | ANTIOQUIA | ARBOLETES |
| 2 | 5101 | ANTIOQUIA | CIUDAD BOLIVAR |
| 3 | 5134 | ANTIOQUIA | CAMPAMENTO |
| 4 | 5306 | ANTIOQUIA | GIRALDO |
| 5 | 5368 | ANTIOQUIA | JERICÓ |
| 6 | 5480 | ANTIOQUIA | MUTATÁ |
| 7 | 5501 | ANTIOQUIA | OLAYA |
| 8 | 5543 | ANTIOQUIA | PEQUE |
| 9 | 5604 | ANTIOQUIA | REMEDIOS |
| 10 | 5649 | ANTIOQUIA | SAN CARLOS |
| 11 | 5664 | ANTIOQUIA | SAN PEDRO |
| 12 | 5667 | ANTIOQUIA | SAN RAFAEL |
| 13 | 5690 | ANTIOQUIA | SANTO DOMINGO |
| 14 | 5873 | ANTIOQUIA | VIGÍA DEL FUERTE |
| 15 | 8436 | ATLÁNTICO | MANATÍ |
| 16 | 8520 | ATLÁNTICO | PALMAR DE VARELA |
| 17 | 8549 | ATLÁNTICO | PIOJO |
| 18 | 8558 | ATLÁNTICO | POLO NUEVO |
| 19 | 8634 | ATLÁNTICO | SABANAGRANDE |
| 20 | 8675 | ATLÁNTICO | SANTA LUCÍA |
| 21 | 8832 | ATLÁNTICO | TUBARÁ |
| 22 | 8849 | ATLÁNTICO | USIACURÏ |
| 23 | 13458 | BOLÍVAR | MONTECRISTO |
| 24 | 13490 | BOLÍVAR | NOROSÍ |
| 25 | 13620 | BOLÍVAR | SAN CRISTOBAL |
| 26 | 13654 | BOLÍVAR | SAN JACINTO |
| 27 | 13655 | BOLÍVAR | SAN JACINTO DEL CAUCA |
| 28 | 13760 | BOLÍVAR | SOPLAVIENTO |
| 29 | 15022 | BOYACÁ | ALMEIDA |
| 30 | 15090 | BOYACÁ | BERBEO |
| 31 | 15092 | BOYACÁ | BETEITIVA |
| 32 | 15131 | BOYACÁ | CALDAS |
| 33 | 15135 | BOYACÁ | CAMPOHERMOSO |
| 34 | 15162 | BOYACÁ | CERINZA |
| 35 | 15172 | BOYACÁ | CHINAVITA |
| 36 | 15189 | BOYACÁ | CIÉNEGA |
| 37 | 15212 | BOYACÁ | COPER |
| 38 | 15215 | BOYACÁ | CORRALES |
| 39 | 15218 | BOYACÁ | COVARACHÍA |
| 40 | 15223 | BOYACÁ | CUBARÁ |
| 41 | 15232 | BOYACÁ | CHIQUIZA |
| 42 | 15296 | BOYACÁ | GÁMEZA |
| 43 | 15317 | BOYACÁ | GUACAMAYAS |
| 44 | 15325 | BOYACÁ | GUAYATA |
| 45 | 15401 | BOYACÁ | LA VICTORIA |
| 46 | 15403 | BOYACÁ | LA UVITA |
| 47 | 15442 | BOYACÁ | MARIPI |
| 48 | 15494 | BOYACÁ | NUEVO COLÓN |
| 49 | 15518 | BOYACÁ | PAJARITO |
| 50 | 15533 | BOYACÁ | PAYA |
| 51 | 15542 | BOYACÁ | PESCA |
| 52 | 15599 | BOYACÁ | RAMIRIQUÍ |
| 53 | 15673 | BOYACÁ | SAN MATEO |
| 54 | 15676 | BOYACÁ | SAN MIGUEL DE SEMA |
| 55 | 15696 | BOYACÁ | SANTA SOFÍA |
| 56 | 15723 | BOYACÁ | SATIVASUR |
| 57 | 15776 | BOYACÁ | SUTAMARCHAN |
| 58 | 15778 | BOYACÁ | SUTATENZA |
| 59 | 15790 | BOYACÁ | TASCO |
| 60 | 15798 | BOYACÁ | TENZA |
| 61 | 15810 | BOYACÁ | TIPACOQUE |
| 62 | 15816 | BOYACÁ | TOGUÍ |
| 63 | 15820 | BOYACÁ | TÓPAGA |
| 64 | 15822 | BOYACÁ | TOTA |
| 65 | 15832 | BOYACÁ | TUNUNGUA |
| 66 | 15839 | BOYACÁ | TUTASA |
| 67 | 15842 | BOYACÁ | ÚMBITA |
| 68 | 15879 | BOYACÁ | VIRACACHÁ |
| 69 | 18029 | CAQUETA | ALBANIA |
| 70 | 18150 | CAQUETA | CARTAGENA DEL CHAIRA |
| 71 | 18205 | CAQUETA | CURILLO |
| 72 | 18410 | CAQUETA | LA MONTAÑITA |
| 73 | 18460 | CAQUETA | MILÁN |
| 74 | 18479 | CAQUETA | MORELIA |
| 75 | 18610 | CAQUETA | SAN JOSË DE FRAGUA |
| 76 | 18756 | CAQUETA | SOLANO |
| 77 | 18785 | CAQUETA | SOLITA |
| 78 | 18860 | CAQUETA | VALPARAISO |
| 79 | 19022 | CAUCA | ALMAGUER |
| 80 | 19050 | CAUCA | ARGELIA |
| 81 | 19075 | CAUCA | BALBOA |
| 82 | 19100 | CAUCA | BOLIVAR |
| 83 | 19130 | CAUCA | CAJIBIO |
| 84 | 19137 | CAUCA | CALDONO |
| 85 | 19290 | CAUCA | FLORENCIA |
| 86 | 19300 | CAUCA | GUACHENÉ |
| 87 | 19318 | CAUCA | GUAPI |
| 88 | 19392 | CAUCA | LA SIERRA |
| 89 | 19397 | CAUCA | LA VEGA |
| 90 | 19418 | CAUCA | LOPEZ DE MICAY |
| 91 | 19450 | CAUCA | MERCADERES |
| 92 | 19473 | CAUCA | MORALES |
| 93 | 19517 | CAUCA | PÁEZ |
| 94 | 19585 | CAUCA | PURACÉ |
| 95 | 19622 | CAUCA | ROSAS |
| 96 | 19693 | CAUCA | SAN SEBASTIAN |
| 97 | 19701 | CAUCA | SANTA ROSA |
| 98 | 19743 | CAUCA | SILVIA |
| 99 | 19760 | CAUCA | SOTARÁ |
| 100 | 19780 | CAUCA | SUÁREZ |
| 101 | 19785 | CAUCA | SUCRE |
| 102 | 19809 | CAUCA | TIMBIQUÍ |
| 103 | 19821 | CAUCA | TORIBIO |
| 104 | 19824 | CAUCA | TOTORÓ |
| 105 | 20032 | CESAR | ASTREA |
| 106 | 20045 | CESAR | BECERRIL |
| 107 | 20175 | CESAR | CHIMICHAGUA |
| 108 | 20178 | CESAR | CHIRIGUANÁ |
| 109 | 20228 | CESAR | CURUMANÍ |
| 110 | 20238 | CESAR | EL COPEY |
| 111 | 20250 | CESAR | EL PASO |
| 112 | 20295 | CESAR | GAMARRA |
| 113 | 20310 | CESAR | GONZÁLEZ |
| 114 | 20383 | CESAR | LA GLORIA |
| 115 | 20443 | CESAR | MANAURE BALCON DEL CESAR |
| 116 | 20517 | CESAR | PAILITAS |
| 117 | 20550 | CESAR | PELAYA |
| 118 | 20570 | CESAR | PUEBLO BELLO |
| 119 | 20614 | CESAR | RÍO DE ORO |
| 120 | 20750 | CESAR | SAN DIEGO |
| 121 | 20787 | CESAR | TAMALAMEQUE |
| 122 | 23182 | CÓRDOBA | CHINÚ |
| 123 | 23586 | CÓRDOBA | PURISIMA |
| 124 | 23682 | CÓRDOBA | SAN JOSÉ DE URÉ |
| 125 | 25095 | CUNDINAMARCA | BITUIMA |
| 126 | 25123 | CUNDINAMARCA | CACHIPAY |
| 127 | 25148 | CUNDINAMARCA | CAPARRAPÍ |
| 128 | 25168 | CUNDINAMARCA | CHAGUANÍ |
| 129 | 25258 | CUNDINAMARCA | EL PEÑÓN |
| 130 | 25297 | CUNDINAMARCA | GACHETÁ |
| 131 | 25299 | CUNDINAMARCA | GAMA |
| 132 | 25326 | CUNDINAMARCA | GUATAVITA |
| 133 | 25402 | CUNDINAMARCA | LA VEGA |
| 134 | 25483 | CUNDINAMARCA | NARIÑO |
| 135 | 25518 | CUNDINAMARCA | PAIME |
| 136 | 25580 | CUNDINAMARCA | PULÍ |
| 137 | 25745 | CUNDINAMARCA | SIMIJACA |
| 138 | 25779 | CUNDINAMARCA | SUSA |
| 139 | 25807 | CUNDINAMARCA | TIBIRITA |
| 140 | 27006 | CHOCÓ | ACANDÍ |
| 141 | 27025 | CHOCÓ | ALTO BAUDÓ |
| 142 | 27050 | CHOCÓ | ATRATO |
| 143 | 27073 | CHOCÓ | BAGADÓ |
| 144 | 27075 | CHOCÓ | BAHIA SOLANO |
| 145 | 27077 | CHOCÓ | BAJO BAUDÓ |
| 146 | 27099 | CHOCÓ | BOJAYÁ |
| 147 | 27135 | CHOCÓ | CANTÓN DE SAN PABLO |
| 148 | 27150 | CHOCÓ | CARMEN DEL DARIÉN |
| 149 | 27160 | CHOCÓ | CERTEGUI |
| 150 | 27245 | CHOCÓ | EL CARMEN |
| 151 | 27250 | CHOCÓ | LITORAL DEL SAN JUAN |
| 152 | 27372 | CHOCÓ | JURADÓ |
| 153 | 27413 | CHOCÓ | LLORÓ |
| 154 | 27425 | CHOCÓ | MEDIO ATRATO |
| 155 | 27430 | CHOCÓ | MEDIO BAUDÓ |
| 156 | 27450 | CHOCÓ | MEDIO SAN JUAN |
| 157 | 27491 | CHOCÓ | NOVITA |
| 158 | 27495 | CHOCÓ | NUQUÍ |
| 159 | 27580 | CHOCÓ | RIO IRÓ |
| 160 | 27600 | CHOCÓ | RIO QUITO |
| 161 | 27615 | CHOCÓ | RIOSUCIO |
| 162 | 27660 | CHOCÓ | SAN JOSÉ DEL PALMAR |
| 163 | 27745 | CHOCÓ | SIPÍ |
| 164 | 27800 | CHOCÓ | UNGUÍA |
| 165 | 27810 | CHOCÓ | UNIÓN PANAMERICANA |
| 166 | 41006 | HUILA | ACEVEDO |
| 167 | 41013 | HUILA | AGRADO |
| 168 | 41020 | HUILA | ALGECIRAS |
| 169 | 41026 | HUILA | ALTAMIRA |
| 170 | 41078 | HUILA | BARAYA |
| 171 | 41319 | HUILA | GUADALUPE |
| 172 | 41357 | HUILA | IQUIRA |
| 173 | 41359 | HUILA | ISNOS |
| 174 | 41378 | HUILA | LA ARGENTINA |
| 175 | 41483 | HUILA | NATAGA |
| 176 | 41503 | HUILA | OPORAPA |
| 177 | 41518 | HUILA | PAICOL |
| 178 | 41530 | HUILA | PALESTINA |
| 179 | 41548 | HUILA | PITAL |
| 180 | 41676 | HUILA | SANTA MARÍA |
| 181 | 41770 | HUILA | SUAZA |
| 182 | 41797 | HUILA | TESALIA |
| 183 | 41799 | HUILA | TELLO |
| 184 | 41801 | HUILA | TERUEL |
| 185 | 41807 | HUILA | TIMANA |
| 186 | 41872 | HUILA | VILLAVIEJA |
| 187 | 41885 | HUILA | YAGUARÁ |
| 188 | 44090 | GUAJIRA | DIBULLA |
| 189 | 44110 | GUAJIRA | EL MOLINO |
| 190 | 44378 | GUAJIRA | HATONUEVO |
| 191 | 44420 | GUAJIRA | LA JAGUA DEL PILAR |
| 192 | 47161 | MAGDALENA | CERRO SAN ANTONIO |
| 193 | 47170 | MAGDALENA | CHIVOLO |
| 194 | 47189 | MAGDALENA | CIÉNAGA |
| 195 | 47258 | MAGDALENA | EL PIÑÓN |
| 196 | 47460 | MAGDALENA | NUEVA GRANADA |
| 197 | 47541 | MAGDALENA | PEDRAZA |
| 198 | 47545 | MAGDALENA | PIJIÑO DEL CARMEN |
| 199 | 47570 | MAGDALENA | PUEBLOVIEJO |
| 200 | 47605 | MAGDALENA | REMOLINO |
| 201 | 47692 | MAGDALENA | SAN SEBASTIÁN DE BUENAVISTA |
| 202 | 47703 | MAGDALENA | SAN ZENÓN |
| 203 | 47720 | MAGDALENA | SANTA BÁRBARA DE PINTO |
| 204 | 47745 | MAGDALENA | SITIONUEVO |
| 205 | 47960 | MAGDALENA | ZAPAYÁN |
| 206 | 50124 | META | CABUYARO |
| 207 | 50325 | META | MAPIRIPÁN |
| 208 | 50350 | META | LA MACARENA |
| 209 | 50370 | META | LA URIBE |
| 210 | 52207 | NARIÑO | CONSACÁ |
| 211 | 52210 | NARIÑO | CONTADERO |
| 212 | 52215 | NARIÑO | CÓRDOBA |
| 213 | 52233 | NARIÑO | CUMBITARA |
| 214 | 52250 | NARIÑO | EL CHARCO |
| 215 | 52256 | NARIÑO | EL ROSARIO |
| 216 | 52317 | NARIÑO | GUACHUCAL |
| 217 | 52320 | NARIÑO | GUAITARILLA |
| 218 | 52385 | NARIÑO | LA LLANADA |
| 219 | 52390 | NARIÑO | LA TOLA |
| 220 | 52405 | NARIÑO | LEIVA |
| 221 | 52418 | NARIÑO | LOS ANDES |
| 222 | 52427 | NARIÑO | MAGÜÍ PAYÁN |
| 223 | 52473 | NARIÑO | MOSQUERA |
| 224 | 52506 | NARIÑO | OSPINA |
| 225 | 52520 | NARIÑO | FRANCISCO PIZARRO |
| 226 | 52540 | NARIÑO | POLICARPA |
| 227 | 52560 | NARIÑO | POTOSÍ |
| 228 | 52565 | NARIÑO | PROVIDENCIA |
| 229 | 52612 | NARIÑO | RICAURTE |
| 230 | 52621 | NARIÑO | ROBERTO PAYAN |
| 231 | 52696 | NARIÑO | SANTA BÁRBARA |
| 232 | 52699 | NARIÑO | SANTACRUZ |
| 233 | 52720 | NARIÑO | SAPUYES |
| 234 | 54099 | NORTE DE SANTANDER | BOCHALEMA |
| 235 | 54109 | NORTE DE SANTANDER | BUCARASICA |
| 236 | 54128 | NORTE DE SANTANDER | CACHIRA |
| 237 | 54174 | NORTE DE SANTANDER | CHITAGÁ |
| 238 | 54206 | NORTE DE SANTANDER | CONVENCIÓN |
| 239 | 54239 | NORTE DE SANTANDER | DURANIA |
| 240 | 54245 | NORTE DE SANTANDER | EL CARMEN |
| 241 | 54250 | NORTE DE SANTANDER | EL TARRA |
| 242 | 54344 | NORTE DE SANTANDER | HACARÍ |
| 243 | 54347 | NORTE DE SANTANDER | HERRÁN |
| 244 | 54385 | NORTE DE SANTANDER | LA ESPERANZA |
| 245 | 54398 | NORTE DE SANTANDER | LA PLAYA |
| 246 | 54418 | NORTE DE SANTANDER | LOURDES |
| 247 | 54599 | NORTE DE SANTANDER | RAGONVALIA |
| 248 | 54660 | NORTE DE SANTANDER | SALAZAR |
| 249 | 54670 | NORTE DE SANTANDER | SAN CALIXTO |
| 250 | 54720 | NORTE DE SANTANDER | SARDINATA |
| 251 | 54800 | NORTE DE SANTANDER | TEORAMA |
| 252 | 54871 | NORTE DE SANTANDER | VILLACARO |
| 253 | 68132 | SANTANDER | CALIFORNIA |
| 254 | 68160 | SANTANDER | CEPITA |
| 255 | 68179 | SANTANDER | CHIPATÁ |
| 256 | 68207 | SANTANDER | CONCEPCION |
| 257 | 68245 | SANTANDER | EL GUACAMAYO |
| 258 | 68266 | SANTANDER | ENCISO |
| 259 | 68318 | SANTANDER | GUACA |
| 260 | 68322 | SANTANDER | GUAPOTA |
| 261 | 68370 | SANTANDER | JORDAN |
| 262 | 68397 | SANTANDER | LA PAZ |
| 263 | 68425 | SANTANDER | MACARAVITA |
| 264 | 68468 | SANTANDER | MOLAGAVITA |
| 265 | 68522 | SANTANDER | PALMAR |
| 266 | 68533 | SANTANDER | PARAMO |
| 267 | 68673 | SANTANDER | SAN BENITO |
| 268 | 68780 | SANTANDER | SURATÁ |
| 269 | 68867 | SANTANDER | VETAS |
| 270 | 68895 | SANTANDER | ZAPATOCA |
| 271 | 70110 | SUCRE | BUENAVISTA |
| 272 | 70230 | SUCRE | CHALÁN |
| 273 | 70233 | SUCRE | EL ROBLE |
| 274 | 70235 | SUCRE | GALERAS |
| 275 | 70265 | SUCRE | GUARANDÁ |
| 276 | 70400 | SUCRE | LA UNIÓN |
| 277 | 70473 | SUCRE | MORROA |
| 278 | 70678 | SUCRE | SAN BENITO ABAD |
| 279 | 70717 | SUCRE | SAN PEDRO |
| 280 | 73873 | TOLIMA | VILLARRICA |
| 281 | 76243 | VALLE DEL CAUCA | EL ÁGUILA |
| 282 | 76606 | VALLE DEL CAUCA | RESTREPO |
| 283 | 81220 | ARAUCA | CRAVO NORTE |
| 284 | 81300 | ARAUCA | FORTUL |
| 285 | 81591 | ARAUCA | PUERTO RONDÓN |
| 286 | 85015 | CASANARE | CHÁMEZA |
| 287 | 85162 | CASANARE | MONTERREY |
| 288 | 85230 | CASANARE | OROCUÉ |
| 289 | 85279 | CASANARE | RECETOR |
| 290 | 85325 | CASANARE | SAN LUIS DE PALENQUE |
| 291 | 86219 | PUTUMAYO | COLÓN |
| 292 | 86573 | PUTUMAYO | PUERTO LEGUÍZAMO |
| 293 | 91263 | AMAZONAS | EL ENCANTO |
| 294 | 91405 | AMAZONAS | LA CHORRERA |
| 295 | 91407 | AMAZONAS | LA PEDRERA |
| 296 | 91430 | AMAZONAS | LA VICTORIA |
| 297 | 91460 | AMAZONAS | MIRITÍ - PARANÁ |
| 298 | 91530 | AMAZONAS | PUERTO ALEGRÍA |
| 299 | 91536 | AMAZONAS | PUERTO ARICA |
| 300 | 91669 | AMAZONAS | PUERTO SANTANDER |
| 301 | 91798 | AMAZONAS | TARAPACÁ |
| 302 | 94343 | GUAINÍA | BARRANCO MINAS |
| 303 | 94663 | GUAINÍA | MAPIRIPANA |
| 304 | 94883 | GUAINÍA | SAN FELIPE |
| 305 | 94884 | GUAINÍA | PUERTO COLOMBIA |
| 306 | 94885 | GUAINÍA | LA GUADALUPE |
| 307 | 94886 | GUAINÍA | CACAHUAL |
| 308 | 94887 | GUAINÍA | PANA PANA |
| 309 | 94888 | GUAINÍA | MORICHAL |
| 310 | 95015 | GUAVIARE | CALAMAR |
| 311 | 95025 | GUAVIARE | EL RETORNO |
| 312 | 95200 | GUAVIARE | MIRAFLORES |
| 313 | 97161 | VAUPÉS | CARURÚ |
| 314 | 97511 | VAUPÉS | PACOA |
| 315 | 97666 | VAUPES | TARAIRA |
| 316 | 97777 | VAUPÉS | PAPUNAUA |
| 317 | 97889 | VAUPÉS | YAVARATÉ |
| 318 | 99524 | VICHADA | LA PRIMAVERA |
| 319 | 99624 | VICHADA | SANTA ROSALÍA |
| 320 | 99773 | VICHADA | CUMARIBO |
CLASIFICACIÓN DE SEVERIDAD DE LOS INCIDENTES DE SEGURIDAD DE LA INFORMACIÓN.
<Anexo adicionado por el artículo 3 de la Resolución 5569 de 2018. El nuevo texto es el siguiente:>
Los incidentes de seguridad de la información deberán considerar los siguientes factores para la clasificación de la severidad de incidentes de seguridad de la información:
1) Importancia del sistema de información.
2) Pérdida de negocio.
3) Impacto social.
Esto, de acuerdo con lo dispuesto en el estándar ISO/IEC 27035-2 (2016) en su anexo C y aquellas versiones posteriores de la misma:
<Consultar cuadro directamente en el artículo 3 de la Resolución 5569 de 2018>
Fuente: Anexo C - Estandar ISO/IEC 27035-2:2016
Importancia del sistema de información: La importancia de los sistemas de informacion afectados por los incidentes de seguridad de la informacion se determina considerando la relevancia de las operaciones comerciales de la organización respaldadas por los sistemas de información. La importancia podría expresarse en relación con la seguridad nacional, el orden social, el desarrollo económico y el interés público, y la dependencia del negocio en los sistemas de información. Este enfoque clasifica la importancia del sistema de información en tres grandes niveles: sistema de información especialmente importante, sistema de información importante y sistema de información ordinario.
Pérdida de negocio o pérdida comercial: Es la pérdida de negocios de la organización causada por incidentes de seguridad de la información, esta se determina considerando la gravedad del impacto de la interrupción del negocio debido al daño del hardware, software, funciones y datos de los sistemas de información. La gravedad del impacto puede depender del costo de recuperación del negocio a niveles de operación normales u otros efectos negativos de los incidentes de seguridad de la información, incluidas la pérdida de beneficios o costos de oportunidad. Este enfoque clasifica la pérdida de negocios en cuatro grandes niveles:
a) Pérdida de negocio especialmente grave significaría parálisis generalizada de la empresa, al punto de perder la capacidad de operación empresarial, o daños muy graves a la confidencialidad, la integridad y la disponibilidad de datos comerciales importantes. Significaría un costo enorme de recuperación del negocio niveles normales y de eliminación de los efectos negativos. Una organización no podría soportar este nivel de pérdida de negocio.
b) Pérdida de negocio grave significaría la interrupción de las operaciones comerciales durante un período prolongado o una parálisis comercial localizada capaz de influir seriamente en la capacidad comercial o un daño grave a la confidencialidad, integridad y disponibilidad de los datos comerciales importantes. Significaría un alto costo de recuperación de negocio a niveles normales y de eliminación de los efectos negativos. Una organización podría soportar este nivel de pérdida comercial.
c) Pérdida de negocio considerable significaría la interrupción de las operaciones comerciales hasta el punto de influir considerablemente en la capacidad comercial o un daño considerable a la confidencialidad, integridad y disponibilidad de datos comerciales importantes. Significaría un costo considerable para recuperar el funcionamiento normal del negocio y eliminar los efectos negativos. Una organización podría soportar completamente este nivel de pérdida comercial.
d) Pérdida comercial menor significaría la interrupción de las operaciones comerciales por un corto período de tiempo en la medida en que influya en la capacidad comercial o un impacto menor en la confidencialidad, integridad y disponibilidad de datos comerciales importantes. Significaría un costo menor para recuperar el negocio a la operación normal y eliminar los efectos negativos.
Impacto social: Es el impacto en la sociedad causado por incidentes de seguridad de la información, se determina considerando la escala y el grado del impacto en la seguridad nacional, el orden social, el desarrollo económico y el interés público. Este enfoque clasifica el impacto social en cuatro niveles:
a) Impacto social especialmente importante es aquel que implicaría efectos adversos que abarcarán la mayoría de las áreas de uno o más departamentos o provincias, amenazando en gran medida la seguridad nacional, causando disturbios sociales, generando consecuencias extremadamente adversas para el desarrollo económico y/o dañando gravemente el interés público.
b) Impacto social importante es aquel que implicaría efectos adversos que abarcarán la mayoría de las áreas de una o más ciudades, amenazando la seguridad nacional, causando pánico social, produciendo consecuencias adversas significativas en el desarrollo económico y/o perjudicando el interés público.
c) Impacto social considerable es aquel que implicaría efectos adversos que abarcarían áreas parciales de una o más ciudades, con una amenaza limitada para la seguridad nacional, con alguna perturbación del orden social, con consecuencias adversas para el desarrollo económico o que influyen en el interés público.
d) Impacto social menor es aquel que significaría efectos adversos en un área parcial de una ciudad y pocas posibilidades de amenazar la seguridad nacional, el orden social, el desarrollo económico y el público.
LISTADO DE MUNICIPIOS TIPO 4 DEL TERRITORIO NACIONAL PARA LA PRESTACIÓN DE LOS SERVICIOS PERTENECIENTES AL SERVICIO POSTAL UNIVERSAL.
<Anexo adicionado por el artículo 8 de la Resolución 6128 de 2020. El nuevo texto es el siguiente:>
El siguiente listado de municipios es catalogado como municipios tipo 4 o de difícil acceso para la prestación de los servicios pertenecientes al Servicio Postal Universal:
| NÚMERO | CÓDIGO | DEPARTAMENTO | MUNICIPIO |
| 1 | 91001 | Amazonas | Leticia |
| 2 | 91540 | Amazonas | Puerto Nariño |
| 3 | 05045 | Antioquia | Apartadó |
| 4 | 05234 | Antioquia | Dabeiba |
| 5 | 05475 | Antioquia | Murindó |
| 6 | 05659 | Antioquia | San Juan de Urabá |
| 7 | 81001 | Arauca | Arauca |
| 8 | 81065 | Arauca | Arauquita |
| 9 | 81220 | Arauca | Cravo Norte |
| 10 | 81300 | Arauca | Fortul |
| 11 | 81591 | Arauca | Puerto Rondón |
| 12 | 81736 | Arauca | Saravena |
| 13 | 81794 | Arauca | Tame |
| 14 | 88001 | Archipiélago de San Andrés, Providencia y Santa Catalina | San Andrés |
| 15 | 88564 | Archipiélago de San Andrés, Providencia y Santa Catalina | Providencia |
| 16 | 19318 | Cauca | Guapi |
| 17 | 19809 | Cauca | Timbiquí |
| 18 | 20310 | Cesar | González |
| 19 | 27006 | Chocó | Acandí |
| 20 | 27025 | Chocó | Alto Baudó |
| 21 | 27050 | Chocó | Atrato |
| 22 | 27073 | Chocó | Bagadó |
| 23 | 27075 | Chocó | Bahía Solano |
| 24 | 27077 | Chocó | Bajo Baudó |
| 25 | 27099 | Chocó | Bojayá |
| 26 | 27150 | Chocó | Carmen del Darién |
| 27 | 27160 | Chocó | Cértegui |
| 28 | 27205 | Chocó | Condoto |
| 29 | 27135 | Chocó | El Cantón del San Pablo |
| 30 | 27250 | Chocó | El Litoral del San Juan |
| 31 | 27372 | Chocó | Juradó |
| 32 | 27413 | Chocó | Lloró |
| 33 | 27425 | Chocó | Medio Atrato |
| 34 | 27430 | Chocó | Medio Baudó |
| 35 | 27450 | Chocó | Medio San Juan |
| 36 | 27491 | Chocó | Nóvita |
| 37 | 27495 | Chocó | Nuquí |
| 38 | 27001 | Chocó | Quibdó |
| 39 | 27580 | Chocó | Río Iró |
| 40 | 27600 | Chocó | Río Quito |
| 41 | 27615 | Chocó | Riosucio |
| 42 | 27660 | Chocó | San José del Palmar |
| 43 | 27745 | Chocó | Sipí |
| 44 | 27787 | Chocó | Tadó |
| 45 | 27800 | Chocó | Unguía |
| 46 | 27810 | Chocó | Unión Panamericana |
| 47 | 94343 | Guainía | Barrancominas |
| 48 | 94001 | Guainía | Inírida |
| 49 | 95015 | Guaviare | Calamar |
| 50 | 95025 | Guaviare | El Retorno |
| 51 | 95200 | Guaviare | Miraflores |
| 52 | 50350 | Meta | La Macarena |
| 53 | 50325 | Meta | Mapiripán |
| 54 | 50370 | Meta | Uribe |
| 55 | 52250 | Nariño | El Charco |
| 56 | 52390 | Nariño | La Tola |
| 57 | 52490 | Nariño | Olaya Herrera |
| 58 | 52621 | Nariño | Roberto Payán |
| 59 | 52696 | Nariño | Santa Bárbara |
| 60 | 54206 | Norte de Santander | Convención |
| 61 | 54250 | Norte de Santander | El Tarra |
| 62 | 54344 | Norte de Santander | Hacarí |
| 63 | 54553 | Norte de Santander | Puerto Santander |
| 64 | 54810 | Norte de Santander | Tibú |
| 65 | 86001 | Putumayo | Mocoa |
| 66 | 86568 | Putumayo | Puerto Asís |
| 67 | 86573 | Putumayo | Puerto Leguízamo |
| 68 | 97161 | Vaupés | Carurú |
| 69 | 97001 | Vaupés | Mitú |
| 70 | 97666 | Vaupés | Taraira |
| 71 | 99773 | Vichada | Cumaribo |
| 72 | 99524 | Vichada | La Primavera |
| 73 | 99001 | Vichada | Puerto Carreño |
| 74 | 99624 | Vichada | Santa Rosalía |
LISTADO DE MUNICIPIOS DONDE RESULTAN APLICABLES LOS VALORES OBJETIVO DE LOS INDICADORES DE CALIDAD DE VELOCIDAD DE CARGA Y VELOCIDAD DE DESCARGA PARA LA PROVISIÓN DEL SERVICIO DE DATOS MÓVILES 4G
<Anexo adicionado por el artículo 9 de la Resolución 7363 de 2024. El nuevo texto es el siguiente:>
El siguiente listado contiene los municipios donde resultan aplicables los valores objetivo de los indicadores de calidad de velocidad de carga y velocidad de descarga para la provisión del servicio de datos móviles a través de la tecnología 4G a los que se refieren los numerales 5.1.3.2.2. y 5.1.3.2.3. del artículo 5.1.3.2. de la presente resolución.
| No. | Departamento | Código Municipio | Municipio | Nivel de Desempeño de Calidad |
| 1 | Antioquia | 5001 | Medellín | Alto |
| 2 | Antioquia | 5002 | Abejorral | Medio |
| 3 | Antioquia | 5004 | Abriaquí | Bajo |
| 4 | Antioquia | 5021 | Alejandría | Bajo |
| 5 | Antioquia | 5030 | Amagá | Bajo |
| 6 | Antioquia | 5031 | Amalfi | Bajo |
| 7 | Antioquia | 5034 | Andes | Bajo |
| 8 | Antioquia | 5036 | Angelópolis | Bajo |
| 9 | Antioquia | 5038 | Angostura | Medio |
| 10 | Antioquia | 5040 | Anorí | Bajo |
| 11 | Antioquia | 5042 | Santa Fé de Antioquia | Bajo |
| 12 | Antioquia | 5044 | Anzá | Bajo |
| 13 | Antioquia | 5045 | Apartadó | Bajo |
| 14 | Antioquia | 5055 | Argelia | Medio |
| 15 | Antioquia | 5059 | Armenia | Medio |
| No. | Departamento | Código Municipio | Municipio | Nivel de Desempeño de Calidad |
| 16 | Antioquia | 5079 | Barbosa | Bajo |
| 17 | Antioquia | 5086 | Belmira | Bajo |
| 18 | Antioquia | 5088 | Bello | Alto |
| 19 | Antioquia | 5091 | Betania | Medio |
| 20 | Antioquia | 5093 | Betulia | Medio |
| 21 | Antioquia | 5107 | Briceño | Medio |
| 22 | Antioquia | 5113 | Buriticá | Medio |
| 23 | Antioquia | 5120 | Cáceres | Medio |
| 24 | Antioquia | 5125 | Caicedo | Medio |
| 25 | Antioquia | 5129 | Caldas | Alto |
| 26 | Antioquia | 5138 | Cañasgordas | Bajo |
| 27 | Antioquia | 5142 | Caracolí | Bajo |
| 28 | Antioquia | 5145 | Caramanta | Bajo |
| 29 | Antioquia | 5147 | Carepa | Bajo |
| 30 | Antioquia | 5148 | El Carmen de Viboral | Bajo |
| 31 | Antioquia | 5150 | Carolina | Bajo |
| 32 | Antioquia | 5154 | Caucasia | Bajo |
| 33 | Antioquia | 5172 | Chigorodó | Bajo |
| 34 | Antioquia | 5190 | Cisneros | Bajo |
| 35 | Antioquia | 5197 | Cocorná | Bajo |
| 36 | Antioquia | 5206 | Concepción | Bajo |
| 37 | Antioquia | 5209 | Concordia | Medio |
| 38 | Antioquia | 5212 | Copacabana | Alto |
| 39 | Antioquia | 5234 | Dabeiba | Bajo |
| 40 | Antioquia | 5237 | Donmatías | Bajo |
| 41 | Antioquia | 5240 | Ebéjico | Medio |
| 42 | Antioquia | 5250 | El Bagre | Bajo |
| 43 | Antioquia | 5264 | Entrerríos | Medio |
| 44 | Antioquia | 5266 | Envigado | Alto |
| 45 | Antioquia | 5282 | Fredonia | Medio |
| 46 | Antioquia | 5284 | Frontino | Bajo |
| 47 | Antioquia | 5308 | Girardota | Alto |
| 48 | Antioquia | 5310 | Gómez Plata | Bajo |
| 49 | Antioquia | 5313 | Granada | Medio |
| 50 | Antioquia | 5315 | Guadalupe | Medio |
| 51 | Antioquia | 5318 | Guarne | Bajo |
| 52 | Antioquia | 5321 | Guatapé | Alto |
| 53 | Antioquia | 5347 | Heliconia | Medio |
| 54 | Antioquia | 5353 | Hispania | Bajo |
| 55 | Antioquia | 5360 | Itagüí | Alto |
| 56 | Antioquia | 5361 | Ituango | Medio |
| 57 | Antioquia | 5364 | Jardín | Bajo |
| 58 | Antioquia | 5376 | La Ceja | Alto |
| 59 | Antioquia | 5380 | La Estrella | Alto |
| 60 | Antioquia | 5390 | La Pintada | Bajo |
| 61 | Antioquia | 5400 | La Unión | Bajo |
| 62 | Antioquia | 5411 | Liborina | Medio |
| 63 | Antioquia | 5425 | Maceo | Medio |
| 64 | Antioquia | 5440 | Marinilla | Bajo |
| 65 | Antioquia | 5467 | Montebello | Medio |
| 66 | Antioquia | 5475 | Murindó | Bajo |
| 67 | Antioquia | 5483 | Nariño | Medio |
| 68 | Antioquia | 5490 | Necoclí | Bajo |
| 69 | Antioquia | 5495 | Nechí | Bajo |
| 70 | Antioquia | 5541 | Peñol | Bajo |
| 71 | Antioquia | 5576 | Pueblorrico | Medio |
| 72 | Antioquia | 5579 | Puerto Berrío | Bajo |
| 73 | Antioquia | 5585 | Puerto Nare | Bajo |
| 74 | Antioquia | 5591 | Puerto Triunfo | Bajo |
| 75 | Antioquia | 5607 | Retiro | Alto |
| 76 | Antioquia | 5615 | Rionegro | Alto |
| No. | Departamento | Código Municipio | Municipio | Nivel de Desempeño de Calidad |
| 77 | Antioquia | 5628 | Sabanalarga | Medio |
| 78 | Antioquia | 5631 | Sabaneta | Alto |
| 79 | Antioquia | 5642 | Salgar | Medio |
| 80 | Antioquia | 5647 | San Andrés de Cuerquía | Medio |
| 81 | Antioquia | 5652 | San Francisco | Medio |
| 82 | Antioquia | 5656 | San Jerónimo | Bajo |
| 83 | Antioquia | 5658 | San José de la Montaña | Bajo |
| 84 | Antioquia | 5659 | San Juan de Urabá | Bajo |
| 85 | Antioquia | 5660 | San Luis | Bajo |
| 86 | Antioquia | 5665 | San Pedro de Urabá | Bajo |
| 87 | Antioquia | 5670 | San Roque | Medio |
| 88 | Antioquia | 5674 | San Vicente Ferrer | Bajo |
| 89 | Antioquia | 5679 | Santa Bárbara | Bajo |
| 90 | Antioquia | 5686 | Santa Rosa de Osos | Bajo |
| 91 | Antioquia | 5697 | El Santuario | Bajo |
| 92 | Antioquia | 5736 | Segovia | Bajo |
| 93 | Antioquia | 5756 | Sonsón | Bajo |
| 94 | Antioquia | 5761 | Sopetrán | Bajo |
| 95 | Antioquia | 5789 | Támesis | Bajo |
| 96 | Antioquia | 5790 | Tarazá | Bajo |
| 97 | Antioquia | 5792 | Tarso | Bajo |
| 98 | Antioquia | 5809 | Titiribí | Bajo |
| 99 | Antioquia | 5819 | Toledo | Medio |
| 100 | Antioquia | 5837 | Turbo | Bajo |
| 101 | Antioquia | 5842 | Uramita | Medio |
| 102 | Antioquia | 5847 | Urrao | Bajo |
| 103 | Antioquia | 5854 | Valdivia | Medio |
| 104 | Antioquia | 5856 | Valparaíso | Medio |
| 105 | Antioquia | 5858 | Vegachí | Bajo |
| 106 | Antioquia | 5861 | Venecia | Alto |
| 107 | Antioquia | 5885 | Yalí | Bajo |
| 108 | Antioquia | 5887 | Yarumal | Bajo |
| 109 | Antioquia | 5890 | Yolombó | Medio |
| 110 | Antioquia | 5893 | Yondó | Bajo |
| 111 | Antioquia | 5895 | Zaragoza | Bajo |
| 112 | Atlántico | 8001 | Barranquilla | Alto |
| 113 | Atlántico | 8078 | Baranoa | Bajo |
| 114 | Atlántico | 8137 | Campo de la Cruz | Bajo |
| 115 | Atlántico | 8141 | Candelaria | Bajo |
| 116 | Atlántico | 8296 | Galapa | Alto |
| 117 | Atlántico | 8372 | Juan de Acosta | Bajo |
| 118 | Atlántico | 8421 | Luruaco | Bajo |
| 119 | Atlántico | 8433 | Malambo | Alto |
| 120 | Atlántico | 8560 | Ponedera | Bajo |
| 121 | Atlántico | 8573 | Puerto Colombia | Alto |
| 122 | Atlántico | 8606 | Repelón | Bajo |
| 123 | Atlántico | 8638 | Sabanalarga | Alto |
| 124 | Atlántico | 8685 | Santo Tomás | Bajo |
| 125 | Atlántico | 8758 | Soledad | Alto |
| 126 | Atlántico | 8770 | Suan | Bajo |
| 127 | Bogotá, D. C. | 11001 | Bogotá, D. C. | Alto |
| 128 | Bolívar | 13001 | Cartagena de Indias | Alto |
| 129 | Bolívar | 13006 | Achí | Medio |
| 130 | Bolívar | 13030 | Altos Del Rosario | Medio |
| 131 | Bolívar | 13042 | Arenal | Medio |
| 132 | Bolívar | 13052 | Arjona | Bajo |
| 133 | Bolívar | 13062 | Arroyohondo | Bajo |
| 134 | Bolívar | 13074 | Barranco de Loba | Bajo |
| 135 | Bolívar | 13140 | Calamar | Medio |
| 136 | Bolívar | 13160 | Cantagallo | Bajo |
| 137 | Bolívar | 13188 | Cicuco | Bajo |
| No. | Departamento | Código Municipio | Municipio | Nivel de Desempeño de Calidad |
| 138 | Bolívar | 13212 | Córdoba | Medio |
| 139 | Bolívar | 13222 | Clemencia | Bajo |
| 140 | Bolívar | 13244 | El Carmen de Bolívar | Bajo |
| 141 | Bolívar | 13248 | El Guamo | Medio |
| 142 | Bolívar | 13268 | El Peñón | Bajo |
| 143 | Bolívar | 13300 | Hatillo de Loba | Bajo |
| 144 | Bolívar | 13430 | Magangué | Bajo |
| 145 | Bolívar | 13433 | Mahates | Bajo |
| 146 | Bolívar | 13440 | Margarita | Medio |
| 147 | Bolívar | 13442 | María La Baja | Bajo |
| 148 | Bolívar | 13468 | Santa Cruz de Mompox | Bajo |
| 149 | Bolívar | 13473 | Morales | Medio |
| 150 | Bolívar | 13549 | Pinillos | Medio |
| 151 | Bolívar | 13580 | Regidor | Bajo |
| 152 | Bolívar | 13600 | Río Viejo | Bajo |
| 153 | Bolívar | 13647 | San Estanislao | Bajo |
| 154 | Bolívar | 13650 | San Fernando | Medio |
| 155 | Bolívar | 13657 | San Juan Nepomuceno | Bajo |
| 156 | Bolívar | 13667 | San Martín de Loba | Bajo |
| 157 | Bolívar | 13670 | San Pablo | Bajo |
| 158 | Bolívar | 13673 | Santa Catalina | Bajo |
| 159 | Bolívar | 13683 | Santa Rosa | Bajo |
| 160 | Bolívar | 13688 | Santa Rosa del Sur | Bajo |
| 161 | Bolívar | 13744 | Simití | Bajo |
| 162 | Bolívar | 13780 | Talaigua Nuevo | Bajo |
| 163 | Bolívar | 13810 | Tiquisio | Medio |
| 164 | Bolívar | 13836 | Turbaco | Bajo |
| 165 | Bolívar | 13838 | Turbana | Bajo |
| 166 | Bolívar | 13873 | Villanueva | Bajo |
| 167 | Bolívar | 13894 | Zambrano | Bajo |
| 168 | Boyacá | 15001 | Tunja | Alto |
| 169 | Boyacá | 15047 | Aquitania | Bajo |
| 170 | Boyacá | 15051 | Arcabuco | Bajo |
| 171 | Boyacá | 15087 | Belén | Bajo |
| 172 | Boyacá | 15097 | Boavita | Medio |
| 173 | Boyacá | 15104 | Boyacá | Bajo |
| 174 | Boyacá | 15106 | Briceño | Alto |
| 175 | Boyacá | 15109 | Buenavista | Alto |
| 176 | Boyacá | 15114 | Busbanzá | Bajo |
| 177 | Boyacá | 15176 | Chiquinquirá | Alto |
| 178 | Boyacá | 15180 | Chiscas | Medio |
| 179 | Boyacá | 15183 | Chita | Medio |
| 180 | Boyacá | 15185 | Chitaraque | Bajo |
| 181 | Boyacá | 15187 | Chivatá | Bajo |
| 182 | Boyacá | 15204 | Cómbita | Medio |
| 183 | Boyacá | 15224 | Cucaita | Bajo |
| 184 | Boyacá | 15226 | Cuítiva | Medio |
| 185 | Boyacá | 15236 | Chivor | Medio |
| 186 | Boyacá | 15238 | Duitama | Alto |
| 187 | Boyacá | 15244 | El Cocuy | Medio |
| 188 | Boyacá | 15248 | El Espino | Bajo |
| 189 | Boyacá | 15272 | Firavitoba | Medio |
| 190 | Boyacá | 15276 | Floresta | Bajo |
| 191 | Boyacá | 15293 | Gachantivá | Medio |
| 192 | Boyacá | 15299 | Garagoa | Bajo |
| 193 | Boyacá | 15322 | Guateque | Bajo |
| 194 | Boyacá | 15332 | Güicán de la Sierra | Bajo |
| 195 | Boyacá | 15362 | Iza | Bajo |
| 196 | Boyacá | 15367 | Jenesano | Bajo |
| 197 | Boyacá | 15368 | Jericó | Alto |
| 198 | Boyacá | 15377 | Labranzagrande | Medio |
| No. | Departamento | Código Municipio | Municipio | Nivel de Desempeño de Calidad |
| 199 | Boyacá | 15380 | La Capilla | Medio |
| 200 | Boyacá | 15407 | Villa de Leyva | Alto |
| 201 | Boyacá | 15425 | Macanal | Medio |
| 202 | Boyacá | 15455 | Miraflores | Bajo |
| 203 | Boyacá | 15464 | Mongua | Medio |
| 204 | Boyacá | 15466 | Monguí | Bajo |
| 205 | Boyacá | 15469 | Moniquirá | Bajo |
| 206 | Boyacá | 15476 | Motavita | Bajo |
| 207 | Boyacá | 15480 | Muzo | Bajo |
| 208 | Boyacá | 15491 | Nobsa | Bajo |
| 209 | Boyacá | 15500 | Oicatá | Medio |
| 210 | Boyacá | 15507 | Otanche | Medio |
| 211 | Boyacá | 15511 | Pachavita | Medio |
| 212 | Boyacá | 15514 | Páez | Bajo |
| 213 | Boyacá | 15516 | Paipa | Alto |
| 214 | Boyacá | 15522 | Panqueba | Medio |
| 215 | Boyacá | 15531 | Pauna | Medio |
| 216 | Boyacá | 15537 | Paz de Río | Bajo |
| 217 | Boyacá | 15550 | Pisba | Bajo |
| 218 | Boyacá | 15572 | Puerto Boyacá | Bajo |
| 219 | Boyacá | 15580 | Quípama | Medio |
| 220 | Boyacá | 15600 | Ráquira | Medio |
| 221 | Boyacá | 15621 | Rondón | Medio |
| 222 | Boyacá | 15632 | Saboyá | Medio |
| 223 | Boyacá | 15638 | Sáchica | Bajo |
| 224 | Boyacá | 15646 | Samacá | Bajo |
| 225 | Boyacá | 15660 | San Eduardo | Bajo |
| 226 | Boyacá | 15664 | San José de Pare | Medio |
| 227 | Boyacá | 15667 | San Luis de Gaceno | Medio |
| 228 | Boyacá | 15681 | San Pablo de Borbur | Medio |
| 229 | Boyacá | 15686 | Santana | Medio |
| 230 | Boyacá | 15690 | Santa María | Medio |
| 231 | Boyacá | 15693 | Santa Rosa de Viterbo | Bajo |
| 232 | Boyacá | 15720 | Sativanorte | Medio |
| 233 | Boyacá | 15740 | Siachoque | Medio |
| 234 | Boyacá | 15753 | Soatá | Bajo |
| 235 | Boyacá | 15755 | Socotá | Medio |
| 236 | Boyacá | 15757 | Socha | Bajo |
| 237 | Boyacá | 15759 | Sogamoso | Alto |
| 238 | Boyacá | 15761 | Somondoco | Bajo |
| 239 | Boyacá | 15762 | Sora | Bajo |
| 240 | Boyacá | 15763 | Sotaquirá | Medio |
| 241 | Boyacá | 15764 | Soracá | Medio |
| 242 | Boyacá | 15774 | Susacón | Bajo |
| 243 | Boyacá | 15804 | Tibaná | Medio |
| 244 | Boyacá | 15806 | Tibasosa | Bajo |
| 245 | Boyacá | 15808 | Tinjacá | Bajo |
| 246 | Boyacá | 15814 | Toca | Medio |
| 247 | Boyacá | 15835 | Turmequé | Medio |
| 248 | Boyacá | 15837 | Tuta | Medio |
| 249 | Boyacá | 15861 | Ventaquemada | Medio |
| 250 | Boyacá | 15897 | Zetaquira | Medio |
| 251 | Caldas | 17001 | Manizales | Alto |
| 252 | Caldas | 17013 | Aguadas | Bajo |
| 253 | Caldas | 17042 | Anserma | Bajo |
| 254 | Caldas | 17050 | Aranzazu | Bajo |
| 255 | Caldas | 17088 | Belalcázar | Bajo |
| 256 | Caldas | 17174 | Chinchiná | Alto |
| 257 | Caldas | 17272 | Filadelfia | Bajo |
| 258 | Caldas | 17380 | La Dorada | Bajo |
| 259 | Caldas | 17388 | La Merced | Medio |
| No. | Departamento | Código Municipio | Municipio | Nivel de Desempeño de Calidad |
| 260 | Caldas | 17433 | Manzanares | Bajo |
| 261 | Caldas | 17442 | Marmato | Bajo |
| 262 | Caldas | 17444 | Marquetalia | Bajo |
| 263 | Caldas | 17446 | Marulanda | Bajo |
| 264 | Caldas | 17486 | Neira | Bajo |
| 265 | Caldas | 17495 | Norcasia | Bajo |
| 266 | Caldas | 17513 | Pácora | Bajo |
| 267 | Caldas | 17524 | Palestina | Alto |
| 268 | Caldas | 17541 | Pensilvania | Medio |
| 269 | Caldas | 17614 | Riosucio | Bajo |
| 270 | Caldas | 17616 | Risaralda | Bajo |
| 271 | Caldas | 17653 | Salamina | Bajo |
| 272 | Caldas | 17662 | Samaná | Bajo |
| 273 | Caldas | 17665 | San José | Medio |
| 274 | Caldas | 17777 | Supía | Bajo |
| 275 | Caldas | 17867 | Victoria | Bajo |
| 276 | Caldas | 17873 | Villamaría | Alto |
| 277 | Caldas | 17877 | Viterbo | Alto |
| 278 | Caquetá | 18001 | Florencia | Alto |
| 279 | Caquetá | 18094 | Belén de los Andaquíes | Medio |
| 280 | Caquetá | 18247 | El Doncello | Bajo |
| 281 | Caquetá | 18256 | El Paujíl | Medio |
| 282 | Caquetá | 18592 | Puerto Rico | Bajo |
| 283 | Caquetá | 18753 | San Vicente del Caguán | Bajo |
| 284 | Cauca | 19001 | Popayán | Alto |
| 285 | Cauca | 19110 | Buenos Aires | Medio |
| 286 | Cauca | 19142 | Caloto | Bajo |
| 287 | Cauca | 19212 | Corinto | Bajo |
| 288 | Cauca | 19256 | El Tambo | Medio |
| 289 | Cauca | 19355 | Inzá | Medio |
| 290 | Cauca | 19364 | Jambaló | Bajo |
| 291 | Cauca | 19455 | Miranda | Bajo |
| 292 | Cauca | 19513 | Padilla | Bajo |
| 293 | Cauca | 19532 | Patía | Bajo |
| 294 | Cauca | 19533 | Piamonte | Bajo |
| 295 | Cauca | 19548 | Piendamó - Tunía | Bajo |
| 296 | Cauca | 19573 | Puerto Tejada | Alto |
| 297 | Cauca | 19698 | Santander de Quilichao | Bajo |
| 298 | Cauca | 19807 | Timbío | Medio |
| 299 | Cauca | 19845 | Villa Rica | Bajo |
| 300 | Cesar | 20001 | Valledupar | Alto |
| 301 | Cesar | 20011 | Aguachica | Bajo |
| 302 | Cesar | 20013 | Agustín Codazzi | Bajo |
| 303 | Cesar | 20060 | Bosconia | Bajo |
| 304 | Cesar | 20400 | La Jagua de Ibirico | Bajo |
| 305 | Cesar | 20621 | La Paz | Bajo |
| 306 | Cesar | 20710 | San Alberto | Bajo |
| 307 | Cesar | 20770 | San Martín | Bajo |
| 308 | Córdoba | 23001 | Montería | Alto |
| 309 | Córdoba | 23068 | Ayapel | Bajo |
| 310 | Córdoba | 23079 | Buenavista | Bajo |
| 311 | Córdoba | 23090 | Canalete | Bajo |
| 312 | Córdoba | 23162 | Cereté | Bajo |
| 313 | Córdoba | 23168 | Chimá | Medio |
| 314 | Córdoba | 23189 | Ciénaga de Oro | Bajo |
| 315 | Córdoba | 23300 | Cotorra | Medio |
| 316 | Córdoba | 23350 | La Apartada | Bajo |
| 317 | Córdoba | 23417 | Lorica | Bajo |
| 318 | Córdoba | 23419 | Los Córdobas | Bajo |
| 319 | Córdoba | 23464 | Momil | Bajo |
| 320 | Córdoba | 23466 | Montelíbano | Bajo |
| No. | Departamento | Código Municipio | Municipio | Nivel de Desempeño de Calidad |
| 321 | Córdoba | 23500 | Moñitos | Bajo |
| 322 | Córdoba | 23555 | Planeta Rica | Bajo |
| 323 | Córdoba | 23570 | Pueblo Nuevo | Bajo |
| 324 | Córdoba | 23574 | Puerto Escondido | Bajo |
| 325 | Córdoba | 23580 | Puerto Libertador | Bajo |
| 326 | Córdoba | 23660 | Sahagún | Bajo |
| 327 | Córdoba | 23670 | San Andrés de Sotavento | Medio |
| 328 | Córdoba | 23672 | San Antero | Bajo |
| 329 | Córdoba | 23675 | San Bernardo del Viento | Bajo |
| 330 | Córdoba | 23678 | San Carlos | Medio |
| 331 | Córdoba | 23686 | San Pelayo | Bajo |
| 332 | Córdoba | 23807 | Tierralta | Bajo |
| 333 | Córdoba | 23815 | Tuchín | Medio |
| 334 | Córdoba | 23855 | Valencia | Bajo |
| 335 | Cundinamarca | 25001 | Agua de Dios | Bajo |
| 336 | Cundinamarca | 25019 | Albán | Bajo |
| 337 | Cundinamarca | 25035 | Anapoima | Alto |
| 338 | Cundinamarca | 25040 | Anolaima | Bajo |
| 339 | Cundinamarca | 25053 | Arbeláez | Bajo |
| 340 | Cundinamarca | 25086 | Beltrán | Medio |
| 341 | Cundinamarca | 25099 | Bojacá | Bajo |
| 342 | Cundinamarca | 25120 | Cabrera | Medio |
| 343 | Cundinamarca | 25126 | Cajicá | Alto |
| 344 | Cundinamarca | 25151 | Cáqueza | Bajo |
| 345 | Cundinamarca | 25154 | Carmen de Carupa | Medio |
| 346 | Cundinamarca | 25175 | Chía | Alto |
| 347 | Cundinamarca | 25178 | Chipaque | Bajo |
| 348 | Cundinamarca | 25181 | Choachí | Bajo |
| 349 | Cundinamarca | 25183 | Chocontá | Bajo |
| 350 | Cundinamarca | 25200 | Cogua | Bajo |
| 351 | Cundinamarca | 25214 | Cota | Alto |
| 352 | Cundinamarca | 25224 | Cucunubá | Medio |
| 353 | Cundinamarca | 25245 | El Colegio | Bajo |
| 354 | Cundinamarca | 25260 | El Rosal | Alto |
| 355 | Cundinamarca | 25269 | Facatativá | Alto |
| 356 | Cundinamarca | 25279 | Fómeque | Bajo |
| 357 | Cundinamarca | 25281 | Fosca | Medio |
| 358 | Cundinamarca | 25286 | Funza | Alto |
| 359 | Cundinamarca | 25288 | Fúquene | Medio |
| 360 | Cundinamarca | 25290 | Fusagasugá | Alto |
| 361 | Cundinamarca | 25293 | Gachalá | Bajo |
| 362 | Cundinamarca | 25295 | Gachancipá | Alto |
| 363 | Cundinamarca | 25307 | Girardot | Alto |
| 364 | Cundinamarca | 25312 | Granada | Bajo |
| 365 | Cundinamarca | 25317 | Guachetá | Bajo |
| 366 | Cundinamarca | 25320 | Guaduas | Bajo |
| 367 | Cundinamarca | 25322 | Guasca | Bajo |
| 368 | Cundinamarca | 25324 | Guataquí | Bajo |
| 369 | Cundinamarca | 25328 | Guayabal de Síquima | Medio |
| 370 | Cundinamarca | 25335 | Guayabetal | Bajo |
| 371 | Cundinamarca | 25339 | Gutiérrez | Medio |
| 372 | Cundinamarca | 25368 | Jerusalén | Bajo |
| 373 | Cundinamarca | 25372 | Junín | Medio |
| 374 | Cundinamarca | 25377 | La Calera | Alto |
| 375 | Cundinamarca | 25386 | La Mesa | Bajo |
| 376 | Cundinamarca | 25394 | La Palma | Medio |
| 377 | Cundinamarca | 25398 | La Peña | Medio |
| 378 | Cundinamarca | 25407 | Lenguazaque | Medio |
| 379 | Cundinamarca | 25426 | Machetá | Bajo |
| 380 | Cundinamarca | 25430 | Madrid | Alto |
| 381 | Cundinamarca | 25436 | Manta | Medio |
| No. | Departamento | Código Municipio | Municipio | Nivel de Desempeño de Calidad |
| 382 | Cundinamarca | 25438 | Medina | Bajo |
| 383 | Cundinamarca | 25473 | Mosquera | Alto |
| 384 | Cundinamarca | 25486 | Nemocón | Bajo |
| 385 | Cundinamarca | 25488 | Nilo | Alto |
| 386 | Cundinamarca | 25489 | Nimaima | Medio |
| 387 | Cundinamarca | 25491 | Nocaima | Bajo |
| 388 | Cundinamarca | 25506 | Venecia | Bajo |
| 389 | Cundinamarca | 25513 | Pacho | Bajo |
| 390 | Cundinamarca | 25524 | Pandi | Bajo |
| 391 | Cundinamarca | 25530 | Paratebueno | Medio |
| 392 | Cundinamarca | 25535 | Pasca | Bajo |
| 393 | Cundinamarca | 25572 | Puerto Salgar | Bajo |
| 394 | Cundinamarca | 25592 | Quebradanegra | Medio |
| 395 | Cundinamarca | 25594 | Quetame | Bajo |
| 396 | Cundinamarca | 25596 | Quipile | Bajo |
| 397 | Cundinamarca | 25599 | Apulo | Alto |
| 398 | Cundinamarca | 25612 | Ricaurte | Alto |
| 399 | Cundinamarca | 25645 | San Antonio del Tequendama | Bajo |
| 400 | Cundinamarca | 25649 | San Bernardo | Bajo |
| 401 | Cundinamarca | 25653 | San Cayetano | Medio |
| 402 | Cundinamarca | 25658 | San Francisco | Bajo |
| 403 | Cundinamarca | 25662 | San Juan de Rioseco | Medio |
| 404 | Cundinamarca | 25718 | Sasaima | Bajo |
| 405 | Cundinamarca | 25736 | Sesquilé | Medio |
| 406 | Cundinamarca | 25740 | Sibaté | Alto |
| 407 | Cundinamarca | 25743 | Silvania | Bajo |
| 408 | Cundinamarca | 25754 | Soacha | Alto |
| 409 | Cundinamarca | 25758 | Sopó | Alto |
| 410 | Cundinamarca | 25769 | Subachoque | Alto |
| 411 | Cundinamarca | 25772 | Suesca | Bajo |
| 412 | Cundinamarca | 25777 | Supatá | Medio |
| 413 | Cundinamarca | 25781 | Sutatausa | Medio |
| 414 | Cundinamarca | 25785 | Tabio | Medio |
| 415 | Cundinamarca | 25793 | Tausa | Medio |
| 416 | Cundinamarca | 25797 | Tena | Medio |
| 417 | Cundinamarca | 25799 | Tenjo | Bajo |
| 418 | Cundinamarca | 25805 | Tibacuy | Medio |
| 419 | Cundinamarca | 25815 | Tocaima | Bajo |
| 420 | Cundinamarca | 25817 | Tocancipá | Alto |
| 421 | Cundinamarca | 25823 | Topaipí | Medio |
| 422 | Cundinamarca | 25839 | Ubalá | Medio |
| 423 | Cundinamarca | 25841 | Ubaque | Medio |
| 424 | Cundinamarca | 25843 | Villa de San Diego de Ubaté | Bajo |
| 425 | Cundinamarca | 25845 | Une | Bajo |
| 426 | Cundinamarca | 25851 | Útica | Medio |
| 427 | Cundinamarca | 25862 | Vergara | Medio |
| 428 | Cundinamarca | 25867 | Vianí | Medio |
| 429 | Cundinamarca | 25871 | Villagómez | Medio |
| 430 | Cundinamarca | 25873 | Villapinzón | Medio |
| 431 | Cundinamarca | 25875 | Villeta | Bajo |
| 432 | Cundinamarca | 25878 | Viotá | Bajo |
| 433 | Cundinamarca | 25885 | Yacopí | Medio |
| 434 | Cundinamarca | 25898 | Zipacón | Bajo |
| 435 | Cundinamarca | 25899 | Zipaquirá | Alto |
| 436 | Chocó | 27001 | Quibdó | Bajo |
| 437 | Chocó | 27205 | Condoto | Bajo |
| 438 | Chocó | 27361 | Istmina | Bajo |
| 439 | Chocó | 27787 | Tadó | Bajo |
| 440 | Huila | 41001 | Neiva | Alto |
| 441 | Huila | 41016 | Aipe | Bajo |
| No. | Departamento | Código Municipio | Municipio | Nivel de Desempeño de Calidad |
| 442 | Huila | 41132 | Campoalegre | Bajo |
| 443 | Huila | 41206 | Colombia | Medio |
| 444 | Huila | 41244 | Elías | Bajo |
| 445 | Huila | 41298 | Garzón | Bajo |
| 446 | Huila | 41306 | Gigante | Bajo |
| 447 | Huila | 41349 | Hobo | Bajo |
| 448 | Huila | 41396 | La Plata | Bajo |
| 449 | Huila | 41524 | Palermo | Bajo |
| 450 | Huila | 41551 | Pitalito | Bajo |
| 451 | Huila | 41615 | Rivera | Bajo |
| 452 | Huila | 41660 | Saladoblanco | Medio |
| 453 | Huila | 41668 | San Agustín | Bajo |
| 454 | Huila | 41791 | Tarqui | Medio |
| 455 | La guajira | 44001 | Riohacha | Bajo |
| 456 | La guajira | 44035 | Albania | Bajo |
| 457 | La guajira | 44078 | Barrancas | Bajo |
| 458 | La guajira | 44098 | Distracción | Bajo |
| 459 | La guajira | 44279 | Fonseca | Bajo |
| 460 | La guajira | 44430 | Maicao | Bajo |
| 461 | La guajira | 44560 | Manaure | Bajo |
| 462 | La guajira | 44650 | San Juan del Cesar | Bajo |
| 463 | La guajira | 44847 | Uribia | Bajo |
| 464 | La guajira | 44855 | Urumita | Bajo |
| 465 | La guajira | 44874 | Villanueva | Alto |
| 466 | Magdalena | 47001 | Santa Marta | Alto |
| 467 | Magdalena | 47030 | Algarrobo | Medio |
| 468 | Magdalena | 47053 | Aracataca | Bajo |
| 469 | Magdalena | 47058 | Ariguaní | Bajo |
| 470 | Magdalena | 47205 | Concordia | Alto |
| 471 | Magdalena | 47245 | El Banco | Bajo |
| 472 | Magdalena | 47268 | El Retén | Bajo |
| 473 | Magdalena | 47288 | Fundación | Bajo |
| 474 | Magdalena | 47318 | Guamal | Medio |
| 475 | Magdalena | 47551 | Pivijay | Bajo |
| 476 | Magdalena | 47555 | Plato | Bajo |
| 477 | Magdalena | 47660 | Sabanas de San Ángel | Medio |
| 478 | Magdalena | 47675 | Salamina | Bajo |
| 479 | Magdalena | 47707 | Santa Ana | Bajo |
| 480 | Magdalena | 47798 | Tenerife | Medio |
| 481 | Magdalena | 47980 | Zona Bananera | Bajo |
| 482 | Meta | 50001 | Villavicencio | Alto |
| 483 | Meta | 50006 | Acacías | Medio |
| 484 | Meta | 50110 | Barranca de Upía | Bajo |
| 485 | Meta | 50150 | Castilla La Nueva | Bajo |
| 486 | Meta | 50223 | Cubarral | Bajo |
| 487 | Meta | 50226 | Cumaral | Bajo |
| 488 | Meta | 50245 | El Calvario | Bajo |
| 489 | Meta | 50251 | El Castillo | Medio |
| 490 | Meta | 50270 | El Dorado | Medio |
| 491 | Meta | 50287 | Fuente de Oro | Bajo |
| 492 | Meta | 50313 | Granada | Bajo |
| 493 | Meta | 50318 | Guamal | Bajo |
| 494 | Meta | 50330 | Mesetas | Medio |
| 495 | Meta | 50400 | Lejanías | Medio |
| 496 | Meta | 50450 | Puerto Concordia | Medio |
| 497 | Meta | 50568 | Puerto Gaitán | Bajo |
| 498 | Meta | 50573 | Puerto López | Bajo |
| 499 | Meta | 50577 | Puerto Lleras | Medio |
| 500 | Meta | 50590 | Puerto Rico | Bajo |
| 501 | Meta | 50606 | Restrepo | Alto |
| 502 | Meta | 50680 | San Carlos de Guaroa | Bajo |
| No. | Departamento | Código Municipio | Municipio | Nivel de Desempeño de Calidad |
| 503 | Meta | 50683 | San Juan de Arama | Medio |
| 504 | Meta | 50686 | San Juanito | Bajo |
| 505 | Meta | 50689 | San Martín | Alto |
| 506 | Meta | 50711 | Vistahermosa | Bajo |
| 507 | Nariño | 52001 | Pasto | Alto |
| 508 | Nariño | 52019 | Albán | Bajo |
| 509 | Nariño | 52022 | Aldana | Bajo |
| 510 | Nariño | 52036 | Ancuya | Medio |
| 511 | Nariño | 52051 | Arboleda | Medio |
| 512 | Nariño | 52079 | Barbacoas | Bajo |
| 513 | Nariño | 52083 | Belén | Medio |
| 514 | Nariño | 52110 | Buesaco | Medio |
| 515 | Nariño | 52203 | Colón | Medio |
| 516 | Nariño | 52224 | Cuaspud Carlosama | Bajo |
| 517 | Nariño | 52227 | Cumbal | Bajo |
| 518 | Nariño | 52240 | Chachagüí | Bajo |
| 519 | Nariño | 52254 | El Peñol | Bajo |
| 520 | Nariño | 52258 | El Tablón de Gómez | Medio |
| 521 | Nariño | 52260 | El Tambo | Medio |
| 522 | Nariño | 52287 | Funes | Medio |
| 523 | Nariño | 52323 | Gualmatán | Bajo |
| 524 | Nariño | 52352 | Iles | Bajo |
| 525 | Nariño | 52354 | Imués | Medio |
| 526 | Nariño | 52356 | Ipiales | Alto |
| 527 | Nariño | 52378 | La Cruz | Medio |
| 528 | Nariño | 52381 | La Florida | Medio |
| 529 | Nariño | 52399 | La Unión | Medio |
| 530 | Nariño | 52411 | Linares | Medio |
| 531 | Nariño | 52435 | Mallama | Medio |
| 532 | Nariño | 52480 | Nariño | Medio |
| 533 | Nariño | 52490 | Olaya Herrera | Bajo |
| 534 | Nariño | 52573 | Puerres | Bajo |
| 535 | Nariño | 52585 | Pupiales | Bajo |
| 536 | Nariño | 52678 | Samaniego | Bajo |
| 537 | Nariño | 52683 | Sandoná | Bajo |
| 538 | Nariño | 52685 | San Bernardo | Bajo |
| 539 | Nariño | 52687 | San Lorenzo | Medio |
| 540 | Nariño | 52693 | San Pablo | Bajo |
| 541 | Nariño | 52694 | San Pedro de Cartago | Bajo |
| 542 | Nariño | 52786 | Taminango | Medio |
| 543 | Nariño | 52788 | Tangua | Medio |
| 544 | Nariño | 52835 | San Andrés de Tumaco | Medio |
| 545 | Nariño | 52838 | Túquerres | Bajo |
| 546 | Nariño | 52885 | Yacuanquer | Medio |
| 547 | Norte de Santander | 54001 | San José de Cúcuta | Alto |
| 548 | Norte de Santander | 54003 | Ábrego | Bajo |
| 549 | Norte de Santander | 54051 | Arboledas | Medio |
| 550 | Norte de Santander | 54125 | Cácota | Bajo |
| 551 | Norte de Santander | 54172 | Chinácota | Bajo |
| 552 | Norte de Santander | 54223 | Cucutilla | Medio |
| 553 | Norte de Santander | 54261 | El Zulia | Bajo |
| 554 | Norte de Santander | 54313 | Gramalote | Medio |
| 555 | Norte de Santander | 54377 | Labateca | Medio |
| 556 | Norte de Santander | 54405 | Los Patios | Alto |
| 557 | Norte de Santander | 54480 | Mutiscua | Medio |
| 558 | Norte de Santander | 54498 | Ocaña | Bajo |
| 559 | Norte de Santander | 54518 | Pamplona | Alto |
| 560 | Norte de Santander | 54520 | Pamplonita | Medio |
| 561 | Norte de Santander | 54553 | Puerto Santander | Alto |
| 562 | Norte de Santander | 54673 | San Cayetano | Bajo |
| 563 | Norte de Santander | 54680 | Santiago | Bajo |
| No. | Departamento | Código Municipio | Municipio | Nivel de Desempeño de Calidad |
| 564 | Norte de Santander | 54743 | Silos | Bajo |
| 565 | Norte de Santander | 54810 | Tibú | Bajo |
| 566 | Norte de Santander | 54820 | Toledo | Medio |
| 567 | Norte de Santander | 54874 | Villa del Rosario | Alto |
| 568 | Quindío | 63001 | Armenia | Alto |
| 569 | Quindío | 63111 | Buenavista | Bajo |
| 570 | Quindío | 63130 | Calarcá | Alto |
| 571 | Quindío | 63190 | Circasia | Alto |
| 572 | Quindío | 63212 | Córdoba | Medio |
| 573 | Quindío | 63272 | Filandia | Alto |
| 574 | Quindío | 63302 | Génova | Medio |
| 575 | Quindío | 63401 | La Tebaida | Alto |
| 576 | Quindío | 63470 | Montenegro | Alto |
| 577 | Quindío | 63548 | Pijao | Bajo |
| 578 | Quindío | 63594 | Quimbaya | Alto |
| 579 | Quindío | 63690 | Salento | Alto |
| 580 | Risaralda | 66001 | Pereira | Alto |
| 581 | Risaralda | 66045 | Apía | Bajo |
| 582 | Risaralda | 66075 | Balboa | Medio |
| 583 | Risaralda | 66088 | Belén de Umbría | Bajo |
| 584 | Risaralda | 66170 | Dosquebradas | Alto |
| 585 | Risaralda | 66318 | Guática | Bajo |
| 586 | Risaralda | 66383 | La Celia | Medio |
| 587 | Risaralda | 66400 | La Virginia | Alto |
| 588 | Risaralda | 66440 | Marsella | Bajo |
| 589 | Risaralda | 66456 | Mistrató | Medio |
| 590 | Risaralda | 66572 | Pueblo Rico | Medio |
| 591 | Risaralda | 66594 | Quinchía | Bajo |
| 592 | Risaralda | 66682 | Santa Rosa de Cabal | Bajo |
| 593 | Risaralda | 66687 | Santuario | Bajo |
| 594 | Santander | 68001 | Bucaramanga | Alto |
| 595 | Santander | 68013 | Aguada | Medio |
| 596 | Santander | 68020 | Albania | Bajo |
| 597 | Santander | 68051 | Aratoca | Medio |
| 598 | Santander | 68077 | Barbosa | Medio |
| 599 | Santander | 68079 | Barichara | Bajo |
| 600 | Santander | 68081 | Barrancabermeja | Alto |
| 601 | Santander | 68092 | Betulia | Bajo |
| 602 | Santander | 68101 | Bolívar | Medio |
| 603 | Santander | 68121 | Cabrera | Bajo |
| 604 | Santander | 68147 | Capitanejo | Bajo |
| 605 | Santander | 68152 | Carcasí | Medio |
| 606 | Santander | 68162 | Cerrito | Medio |
| 607 | Santander | 68167 | Charalá | Bajo |
| 608 | Santander | 68169 | Charta | Bajo |
| 609 | Santander | 68176 | Chima | Alto |
| 610 | Santander | 68190 | Cimitarra | Bajo |
| 611 | Santander | 68209 | Confines | Bajo |
| 612 | Santander | 68211 | Contratación | Medio |
| 613 | Santander | 68217 | Coromoro | Medio |
| 614 | Santander | 68229 | Curití | Medio |
| 615 | Santander | 68235 | El Carmen de Chucurí | Medio |
| 616 | Santander | 68250 | El Peñón | Bajo |
| 617 | Santander | 68255 | El Playón | Medio |
| 618 | Santander | 68264 | Encino | Bajo |
| 619 | Santander | 68271 | Florián | Medio |
| 620 | Santander | 68276 | Floridablanca | Alto |
| 621 | Santander | 68296 | Galán | Medio |
| 622 | Santander | 68298 | Gámbita | Medio |
| 623 | Santander | 68307 | Girón | Alto |
| 624 | Santander | 68320 | Guadalupe | Bajo |
| No. | Departamento | Código Municipio | Municipio | Nivel de Desempeño de Calidad |
| 625 | Santander | 68324 | Guavatá | Bajo |
| 626 | Santander | 68327 | Güepsa | Bajo |
| 627 | Santander | 68344 | Hato | Medio |
| 628 | Santander | 68368 | Jesús María | Medio |
| 629 | Santander | 68377 | La Belleza | Medio |
| 630 | Santander | 68385 | Landázuri | Bajo |
| 631 | Santander | 68406 | Lebrija | Bajo |
| 632 | Santander | 68418 | Los Santos | Medio |
| 633 | Santander | 68432 | Málaga | Bajo |
| 634 | Santander | 68444 | Matanza | Medio |
| 635 | Santander | 68464 | Mogotes | Medio |
| 636 | Santander | 68498 | Ocamonte | Medio |
| 637 | Santander | 68500 | Oiba | Bajo |
| 638 | Santander | 68502 | Onzaga | Medio |
| 639 | Santander | 68524 | Palmas del Socorro | Medio |
| 640 | Santander | 68547 | Piedecuesta | Alto |
| 641 | Santander | 68549 | Pinchote | Medio |
| 642 | Santander | 68572 | Puente Nacional | Bajo |
| 643 | Santander | 68573 | Puerto Parra | Bajo |
| 644 | Santander | 68575 | Puerto Wilches | Bajo |
| 645 | Santander | 68615 | Rionegro | Bajo |
| 646 | Santander | 68655 | Sabana de Torres | Bajo |
| 647 | Santander | 68669 | San Andrés | Medio |
| 648 | Santander | 68679 | San Gil | Bajo |
| 649 | Santander | 68682 | San Joaquín | Medio |
| 650 | Santander | 68684 | San José de Miranda | Medio |
| 651 | Santander | 68686 | San Miguel | Bajo |
| 652 | Santander | 68689 | San Vicente de Chucurí | Bajo |
| 653 | Santander | 68705 | Santa Bárbara | Bajo |
| 654 | Santander | 68720 | Santa Helena del Opón | Medio |
| 655 | Santander | 68745 | Simacota | Bajo |
| 656 | Santander | 68755 | Socorro | Bajo |
| 657 | Santander | 68770 | Suaita | Medio |
| 658 | Santander | 68773 | Sucre | Medio |
| 659 | Santander | 68820 | Tona | Medio |
| 660 | Santander | 68855 | Valle de San José | Medio |
| 661 | Santander | 68861 | Vélez | Bajo |
| 662 | Santander | 68872 | Villanueva | Bajo |
| 663 | Sucre | 70001 | Sincelejo | Alto |
| 664 | Sucre | 70124 | Caimito | Medio |
| 665 | Sucre | 70204 | Colosó | Medio |
| 666 | Sucre | 70215 | Corozal | Bajo |
| 667 | Sucre | 70221 | Coveñas | Bajo |
| 668 | Sucre | 70418 | Los Palmitos | Bajo |
| 669 | Sucre | 70429 | Majagual | Bajo |
| 670 | Sucre | 70508 | Ovejas | Bajo |
| 671 | Sucre | 70523 | Palmito | Medio |
| 672 | Sucre | 70670 | Sampués | Bajo |
| 673 | Sucre | 70702 | San Juan de Betulia | Medio |
| 674 | Sucre | 70708 | San Marcos | Bajo |
| 675 | Sucre | 70713 | San Onofre | Bajo |
| 676 | Sucre | 70742 | San Luis de Sincé | Bajo |
| 677 | Sucre | 70771 | Sucre | Bajo |
| 678 | Sucre | 70820 | Santiago de Tolú | Bajo |
| 679 | Sucre | 70823 | San José de Toluviejo | Bajo |
| 680 | Tolima | 73001 | Ibagué | Alto |
| 681 | Tolima | 73024 | Alpujarra | Medio |
| 682 | Tolima | 73026 | Alvarado | Bajo |
| 683 | Tolima | 73030 | Ambalema | Bajo |
| 684 | Tolima | 73043 | Anzoátegui | Medio |
| 685 | Tolima | 73055 | Armero | Alto |
| No. | Departamento | Código Municipio | Municipio | Nivel de Desempeño de Calidad |
| 686 | Tolima | 73067 | Ataco | Medio |
| 687 | Tolima | 73124 | Cajamarca | Bajo |
| 688 | Tolima | 73148 | Carmen de Apicalá | Medio |
| 689 | Tolima | 73152 | Casabianca | Medio |
| 690 | Tolima | 73168 | Chaparral | Bajo |
| 691 | Tolima | 73200 | Coello | Bajo |
| 692 | Tolima | 73217 | Coyaima | Medio |
| 693 | Tolima | 73226 | Cunday | Medio |
| 694 | Tolima | 73236 | Dolores | Medio |
| 695 | Tolima | 73268 | Espinal | Bajo |
| 696 | Tolima | 73270 | Falan | Medio |
| 697 | Tolima | 73275 | Flandes | Alto |
| 698 | Tolima | 73283 | Fresno | Bajo |
| 699 | Tolima | 73319 | Guamo | Bajo |
| 700 | Tolima | 73347 | Herveo | Medio |
| 701 | Tolima | 73349 | Honda | Bajo |
| 702 | Tolima | 73352 | Icononzo | Bajo |
| 703 | Tolima | 73408 | Lérida | Bajo |
| 704 | Tolima | 73411 | Líbano | Bajo |
| 705 | Tolima | 73443 | San Sebastián de Mariquita | Bajo |
| 706 | Tolima | 73449 | Melgar | Alto |
| 707 | Tolima | 73461 | Murillo | Bajo |
| 708 | Tolima | 73483 | Natagaima | Medio |
| 709 | Tolima | 73504 | Ortega | Medio |
| 710 | Tolima | 73520 | Palocabildo | Medio |
| 711 | Tolima | 73547 | Piedras | Medio |
| 712 | Tolima | 73555 | Planadas | Medio |
| 713 | Tolima | 73563 | Prado | Medio |
| 714 | Tolima | 73585 | Purificación | Bajo |
| 715 | Tolima | 73616 | Rioblanco | Bajo |
| 716 | Tolima | 73622 | Roncesvalles | Medio |
| 717 | Tolima | 73624 | Rovira | Bajo |
| 718 | Tolima | 73671 | Saldaña | Bajo |
| 719 | Tolima | 73675 | San Antonio | Medio |
| 720 | Tolima | 73678 | San Luis | Alto |
| 721 | Tolima | 73686 | Santa Isabel | Medio |
| 722 | Tolima | 73770 | Suárez | Medio |
| 723 | Tolima | 73854 | Valle de San Juan | Bajo |
| 724 | Tolima | 73861 | Venadillo | Bajo |
| 725 | Tolima | 73870 | Villahermosa | Medio |
| 726 | Valle del Cauca | 76001 | Santiago de Cali | Alto |
| 727 | Valle del Cauca | 76020 | Alcalá | Bajo |
| 728 | Valle del Cauca | 76036 | Andalucía | Bajo |
| 729 | Valle del Cauca | 76041 | Ansermanuevo | Bajo |
| 730 | Valle del Cauca | 76054 | Argelia | Medio |
| 731 | Valle del cauca | 76100 | Bolívar | Bajo |
| 732 | Valle del Cauca | 76109 | Buenaventura | Bajo |
| 733 | Valle del Cauca | 76111 | Guadalajara de Buga | Alto |
| 734 | Valle del Cauca | 76113 | Bugalagrande | Medio |
| 735 | Valle del Cauca | 76122 | Caicedonia | Alto |
| 736 | Valle del Cauca | 76126 | Calima | Bajo |
| 737 | Valle del Cauca | 76130 | Candelaria | Bajo |
| 738 | Valle del Cauca | 76147 | Cartago | Alto |
| 739 | Valle del Cauca | 76233 | Dagua | Bajo |
| 740 | Valle del Cauca | 76246 | El Cairo | Medio |
| 741 | Valle del Cauca | 76248 | El Cerrito | Bajo |
| 742 | Valle del Cauca | 76250 | El Dovio | Bajo |
| 743 | Valle del Cauca | 76275 | Florida | Bajo |
| 744 | Valle del Cauca | 76306 | Ginebra | Medio |
| 745 | Valle del Cauca | 76318 | Guacarí | Bajo |
| No. | Departamento | Código Municipio | Municipio | Nivel de Desempeño de Calidad |
| 746 | Valle del Cauca | 76364 | Jamundí | Alto |
| 747 | Valle del Cauca | 76377 | La Cumbre | Medio |
| 748 | Valle del Cauca | 76400 | La Unión | Bajo |
| 749 | Valle del Cauca | 76403 | La Victoria | Medio |
| 750 | Valle del Cauca | 76497 | Obando | Bajo |
| 751 | Valle del Cauca | 76520 | Palmira | Alto |
| 752 | Valle del Cauca | 76563 | Pradera | Bajo |
| 753 | Valle del Cauca | 76616 | Riofrío | Medio |
| 754 | Valle del Cauca | 76622 | Roldanillo | Alto |
| 755 | Valle del Cauca | 76670 | San Pedro | Bajo |
| 756 | Valle del Cauca | 76736 | Sevilla | Bajo |
| 757 | Valle del Cauca | 76823 | Toro | Bajo |
| 758 | Valle del Cauca | 76828 | Trujillo | Bajo |
| 759 | Valle del Cauca | 76834 | Tuluá | Alto |
| 760 | Valle del Cauca | 76845 | Ulloa | Bajo |
| 761 | Valle del Cauca | 76863 | Versalles | Bajo |
| 762 | Valle del Cauca | 76869 | Vijes | Bajo |
| 763 | Valle del Cauca | 76890 | Yotoco | Bajo |
| 764 | Valle del Cauca | 76892 | Yumbo | Alto |
| 765 | Valle del Cauca | 76895 | Zarzal | Alto |
| 766 | Arauca | 81001 | Arauca | Bajo |
| 767 | Arauca | 81065 | Arauquita | Bajo |
| 768 | Arauca | 81736 | Saravena | Bajo |
| 769 | Arauca | 81794 | Tame | Bajo |
| 770 | Casanare | 85001 | Yopal | Alto |
| 771 | Casanare | 85010 | Aguazul | Alto |
| 772 | Casanare | 85125 | Hato Corozal | Medio |
| 773 | Casanare | 85136 | La Salina | Bajo |
| 774 | Casanare | 85139 | Maní | Bajo |
| 775 | Casanare | 85225 | Nunchía | Medio |
| 776 | Casanare | 85250 | Paz de Ariporo | Bajo |
| 777 | Casanare | 85263 | Pore | Bajo |
| 778 | Casanare | 85300 | Sabanalarga | Medio |
| 779 | Casanare | 85315 | Sácama | Bajo |
| 780 | Casanare | 85400 | Támara | Medio |
| 781 | Casanare | 85410 | Tauramena | Bajo |
| 782 | Casanare | 85430 | Trinidad | Bajo |
| 783 | Casanare | 85440 | Villanueva | Bajo |
| 784 | Putumayo | 86001 | Mocoa | Bajo |
| 785 | Putumayo | 86320 | Orito | Bajo |
| 786 | Putumayo | 86568 | Puerto Asís | Bajo |
| 787 | Putumayo | 86569 | Puerto Caicedo | Bajo |
| 788 | Putumayo | 86571 | Puerto Guzmán | Medio |
| 789 | Putumayo | 86749 | Sibundoy | Medio |
| 790 | Putumayo | 86755 | San Francisco | Bajo |
| 791 | Putumayo | 86757 | San Miguel | Bajo |
| 792 | Putumayo | 86760 | Santiago | Medio |
| 793 | Putumayo | 86865 | Valle del Guamuez | Bajo |
| 794 | Putumayo | 86885 | Villagarzón | Bajo |
| 795 | Archipiélago de San Andrés, Providencia y Santa Catalina | 88001 | San Andrés | Medio |
| 796 | Archipiélago de San Andrés, Providencia y Santa Catalina | 88564 | Providencia | Bajo |
| 797 | Amazonas | 91001 | Leticia | Bajo |
| 798 | Amazonas | 91540 | Puerto Nariño | Bajo |
| 799 | Guainía | 94001 | Inírida | Bajo |
| 800 | Guaviare | 95001 | San José del Guaviare | Alto |
| 801 | Vaupés | 97001 | Mitú | Bajo |
| 802 | Vichada | 99001 | Puerto Carreño | Bajo |
MEDICIONES DE CALIDAD PARA EL SERVICIO MAYORISTA PORTADOR.
<Anexo adicionado por el artículo 4 de la Resolución 7714 de 2025. El nuevo texto es el siguiente:>
A. METODOLOGÍA DE MEDICIÓN Y REPORTE
Los proveedores del servicio portador deberán medir y calcular el indicador de disponibilidad del servicio portador por cada municipio donde preste el servicio, independientemente de la ubicación del (los) otro(s) extremo(s) en donde se origine o termine la comunicación. Esta medición debe realizarse entre los extremos de la comunicación, sin incluir los elementos de red de CORE que participen en dicha comunicación.
El indicador "Disponibilidad del servicio portador por municipio" está compuesto por los siguientes dos pasos:
Paso 1:
La disponibilidad del servicio portador provisto a cada uno de los PRST de Internet fijo residencial se calculará por municipio, utilizando la siguiente fórmula:
![]()
Donde:
i: Corresponde a cada PRST de Internet fijo residencial al que se le provee el servicio portador.
m: Corresponde al municipio donde se hace entrega del servicio portador al PRST de Internet fijo residencial i.
t: Corresponde al mes objeto de medición.
Minutos de indisponibilidad servicio portadorimt: Corresponde al valor total de minutos, consecutivos o no consecutivos, durante el periodo de medición t en que el servicio portador no estuvo en condiciones de cursar tráfico para atender las necesidades del PRST de Internet fijo residencial i, en el municipio m.
Minutost: Corresponde al valor total de minutos del tiempo de reporte t. El valor depende de los días calendario del mes de medición, de la siguiente manera: si el mes tiene 28 días, será de 40.320 minutos; si el mes tiene 29 días, será de 41.760 minutos; si el mes tiene 30 días, será de 43.200 minutos; y si tiene 31 días será de 44.640 minutos.
Paso 2:
A partir de los datos de disponibilidad obtenidos en el paso 1, se calculará el promedio de la disponibilidad del servicio provisto a cada uno de los PRST de Internet fijo residencial por municipio, utilizando la siguiente fórmula:

Donde:
i: Corresponde a cada PRST de Internet fijo residencial al que se le provee el servicio portador.
m: Corresponde al municipio donde se hace entrega del servicio portador al PRST de Internet fijo residencial i.
t: Corresponde al mes objeto de medición.
Disponibilidad del servicio portador imt: Corresponde a la sumatoria de los valores de disponibilidad obtenidos, como resultado del paso 1, de todos los PRST de Internet fijo residencial i, en el municipio m, durante el periodo de medición t.
PRST de internet fijo residencialmt: Corresponde al número de PRST de Internet fijo residencial a los que se les provee el servicio portador, en el municipio m, durante el periodo de medición t.
B. UMBRALES DE CUMPLIMIENTO DEL INDICADOR DE DISPONIBILIDAD DEL SERVICIO PORTADOR POR MUNICIPIO
En la siguiente tabla se establecen los valores objetivo para el indicador de disponibilidad del servicio portador por municipio, conforme lo dispuesto en el numeral 5.6.2.2.2 del artículo 5.6.2.2 de la presente resolución. Estos valores son aplicables a los municipios agrupados según la clasificación de valores objetivo establecida en el literal C. del presente anexo.
| Periodo de exigibilidad de los V.O. del indicador de disponibilidad del servicio portador por municipio | Valor objetivo exigible para el indicador de disponibilidad del servicio portador por municipio | |||
| Grupo 1 | Grupo 2 | Grupo 3 | Grupo 4 | |
| 1° de julio de 2025 - 30 de junio de 2026 | 99,6% | 98,0% | Informativo | Informativo |
| 1° de julio de 2026 - 30 de junio de 2027 | 99,6% | 99,6% | 97,0% | 86,0% |
| A partir del 1° de julio de 2027 | 99,6% | 99,6% | 99,0% | 97,0% |
Para la verificación del cumplimiento de los valores objetivo aquí establecidos, se calculará el promedio de las disponibilidades reportadas para cada trimestre del año (enero-marzo, abril-junio, julio-septiembre, octubre-diciembre).
Se constituirá como incumplimiento del indicador de Disponibilidad del servicio portador por municipio, por causas atribuibles al proveedor del servicio portador, cualquiera de las siguientes dos situaciones:
1. No alcanzar el umbral mínimo de disponibilidad en un trimestre de reporte.
2. Presentar indisponibilidad del servicio portador durante al menos cuatrocientos veinte (420) minutos consecutivos, en un trimestre de reporte. Quedan exceptuados de la exigibilidad de esta situación los siguientes municipios:
| Núm. | Código DIVIPOLA | Departamento | Municipio |
| 1 | 5475 | Antioquia | Murindó |
| 2 | 5543 | Antioquia | Peque |
| 3 | 5585 | Antioquia | Puerto Nare |
| 4 | 5736 | Antioquia | Segovia |
| 5 | 5819 | Antioquia | Toledo |
| 6 | 5873 | Antioquia | Vigía del Fuerte |
| 7 | 9001 | Vichada | Puerto Carreño |
| 8 | 13030 | Bolívar | Altos del Rosario |
| 9 | 13458 | Bolívar | Montecristo |
| 10 | 13810 | Bolívar | Tiquisio |
| 11 | 15109 | Boyacá | Buenavista |
| 12 | 15572 | Boyacá | Puerto Boyacá |
| 13 | 18756 | Caquetá | Solano |
| 14 | 25572 | Cundinamarca | Puerto Salgar |
| 15 | 27006 | Chocó | Acandí |
| 16 | 27600 | Chocó | Río Quito |
| 17 | 27800 | Chocó | Unguía |
| 18 | 41530 | Huila | Palestina |
| 19 | 47170 | Magdalena | Chibolo |
| 20 | 50350 | Meta | La Macarena |
| 21 | 50370 | Meta | Uribe |
| 22 | 54498 | Norte de Santander | Ocaña |
| 23 | 68245 | Santander | El Guacamayo |
| 24 | 68377 | Santander | La Belleza |
| 25 | 68686 | Santander | San Miguel |
| 26 | 86001 | Putumayo | Mocoa |
| 27 | 86573 | Putumayo | Puerto Leguízamo |
| 28 | 91405 | Amazonas | La Chorrera (CD) |
| 29 | 94001 | Guainía | Inírida |
| 30 | 94883 | Guainía | San Felipe (CD) |
| 31 | 94886 | Guainía | Cacahual (CD) |
| 32 | 95015 | Guaviare | Calamar |
La Dirección de Vigilancia, Inspección y Control del MinTIC podrá conocer estas indisponibilidades, a partir del informe de afectaciones que deben efectuar los operadores del servicio portador, de conformidad con el artículo 5.6.2.1. de la presente resolución.
C. LISTADO DE MUNICIPIOS DONDE RESULTAN APLICABLES LOS VALORES OBJETIVO DEL INDICADOR DE DISPONIBILIDAD DEL SERVICIO PORTADOR POR MUNICIPIO
El siguiente listado contiene los municipios donde resultan aplicables los valores objetivo del indicador de Disponibilidad del servicio portador por municipio al que se refiere el literal B. del presente anexo.
| Núm. | Código DIVIPOLA | Departamento | Municipio | Grupo de V.O. disponibilidad portador |
| 1 | 5038 | Antioquia | Angostura | 1 |
| 2 | 5055 | Antioquia | Argelia | 1 |
| 3 | 5086 | Antioquia | Belmira | 1 |
| 4 | 5113 | Antioquia | Buriticá | 1 |
| 5 | 5125 | Antioquia | Caicedo | 3 |
| 6 | 5138 | Antioquia | Cañasgordas | 2 |
| 7 | 5142 | Antioquia | Caracolí | 2 |
| 8 | 5206 | Antioquia | Concepción | 1 |
| 9 | 5282 | Antioquia | Fredonia | 2 |
| 10 | 5306 | Antioquia | Giraldo | 4 |
| 11 | 5315 | Antioquia | Guadalupe | 2 |
| 12 | 5353 | Antioquia | Hispania | 2 |
| 13 | 5390 | Antioquia | La Pintada | 2 |
| Núm. | Código DIVIPOLA | Departamento | Municipio | Grupo de V.O. disponibilidad portador |
| 14 | 5411 | Antioquia | Liborina | 1 |
| 15 | 5475 | Antioquia | Murindó | 1 |
| 16 | 5501 | Antioquia | Olaya | 4 |
| 17 | 5543 | Antioquia | Peque | 4 |
| 18 | 5576 | Antioquia | Pueblorrico | 3 |
| 19 | 5585 | Antioquia | Puerto Nare | 2 |
| 20 | 5591 | Antioquia | Puerto Triunfo | 1 |
| 21 | 5642 | Antioquia | Salgar | 2 |
| 22 | 5658 | Antioquia | San José de La Montaña | 1 |
| 23 | 5664 | Antioquia | San Pedro de Los Milagros | 4 |
| 24 | 5686 | Antioquia | Santa Rosa de Osos | 2 |
| 25 | 5736 | Antioquia | Segovia | 2 |
| 26 | 5789 | Antioquia | Támesis | 2 |
| 27 | 5792 | Antioquia | Tarso | 2 |
| 28 | 5819 | Antioquia | Toledo | 1 |
| 29 | 5873 | Antioquia | Vigía del Fuerte | 4 |
| 30 | 5887 | Antioquia | Yarumal | 1 |
| 31 | 5890 | Antioquia | Yolombó | 2 |
| 32 | 8372 | Atlántico | Juan de Acosta | 1 |
| 33 | 99001 | Vichada | Puerto Carreño | 4 |
| 34 | 13030 | Bolívar | Altos del Rosario | 1 |
| 35 | 13052 | Bolívar | Arjona | 1 |
| 36 | 13062 | Bolívar | Arroyohondo | 1 |
| 37 | 13140 | Bolívar | Calamar | 1 |
| 38 | 13188 | Bolívar | Cicuco | 1 |
| 39 | 13222 | Bolívar | Clemencia | 1 |
| 40 | 13430 | Bolívar | Magangué | 1 |
| 41 | 13433 | Bolívar | Mahates | 1 |
| 42 | 13458 | Bolívar | Montecristo | 4 |
| 43 | 13620 | Bolívar | San Cristóbal | 4 |
| 44 | 13647 | Bolívar | San Estanislao | 1 |
| 45 | 13657 | Bolívar | San Juan Nepomuceno | 1 |
| 46 | 13683 | Bolívar | Santa Rosa | 1 |
| 47 | 13760 | Bolívar | Soplaviento | 4 |
| 48 | 13780 | Bolívar | Talaigua Nuevo | 1 |
| 49 | 13810 | Bolívar | Tiquisio | 1 |
| 50 | 13873 | Bolívar | Villanueva | 1 |
| 51 | 15090 | Boyacá | Berbeo | 4 |
| 52 | 15109 | Boyacá | Buenavista | 1 |
| 53 | 15114 | Boyacá | Busbanzá | 1 |
| 54 | 15215 | Boyacá | Corrales | 4 |
| 55 | 15367 | Boyacá | Jenesano | 1 |
| 56 | 15425 | Boyacá | Macanal | 1 |
| 57 | 15464 | Boyacá | Mongua | 1 |
| 58 | 15494 | Boyacá | Nuevo Colón | 4 |
| 59 | 15537 | Boyacá | Paz de Río | 1 |
| 60 | 15572 | Boyacá | Puerto Boyacá | 1 |
| 61 | 15676 | Boyacá | San Miguel de Sema | 4 |
| 62 | 15686 | Boyacá | Santana | 1 |
| 63 | 15690 | Boyacá | Santa María | 1 |
| 64 | 15696 | Boyacá | Santa Sofía | 4 |
| 65 | 15753 | Boyacá | Soatá | 1 |
| 66 | 15835 | Boyacá | Turmequé | 1 |
| 67 | 17013 | Caldas | Aguadas | 1 |
| 68 | 17433 | Caldas | Manzanares | 1 |
| 69 | 17541 | Caldas | Pensilvania | 1 |
| 70 | 18756 | Caquetá | Solano | 4 |
| 71 | 19290 | Cauca | Florencia | 4 |
| 72 | 19364 | Cauca | Jambaló | 2 |
| Núm. | Código DIVIPOLA | Departamento | Municipio | Grupo de V.O. disponibilidad portador |
| 73 | 23189 | Córdoba | Ciénaga de Oro | 1 |
| 74 | 23417 | Córdoba | Lorica | 1 |
| 75 | 23586 | Córdoba | Purísima de La Concepción | 4 |
| 76 | 23660 | Córdoba | Sahagún | 1 |
| 77 | 23670 | Córdoba | San Andrés de Sotavento | 1 |
| 78 | 25040 | Cundinamarca | Anolaima | 2 |
| 79 | 25086 | Cundinamarca | Beltrán | 1 |
| 80 | 25281 | Cundinamarca | Fosca | 1 |
| 81 | 25293 | Cundinamarca | Gachalá | 2 |
| 82 | 25299 | Cundinamarca | Gama | 4 |
| 83 | 25335 | Cundinamarca | Guayabetal | 3 |
| 84 | 25407 | Cundinamarca | Lenguazaque | 1 |
| 85 | 25438 | Cundinamarca | Medina | 1 |
| 86 | 25491 | Cundinamarca | Nocaima | 2 |
| 87 | 25572 | Cundinamarca | Puerto Salgar | 2 |
| 88 | 25662 | Cundinamarca | San Juan de Rioseco | 1 |
| 89 | 25769 | Cundinamarca | Subachoque | 2 |
| 90 | 25777 | Cundinamarca | Supatá | 2 |
| 91 | 25815 | Cundinamarca | Tocaima | 1 |
| 92 | 25841 | Cundinamarca | Ubaque | 1 |
| 93 | 25845 | Cundinamarca | Une | 1 |
| 94 | 27006 | Chocó | Acandí | 4 |
| 95 | 27160 | Chocó | Cértegui | 4 |
| 96 | 27600 | Chocó | Río Quito | 4 |
| 97 | 27800 | Chocó | Unguía | 4 |
| 98 | 41006 | Huila | Acevedo | 4 |
| 99 | 41530 | Huila | Palestina | 4 |
| 100 | 41770 | Huila | Suaza | 4 |
| 101 | 44078 | La Guajira | Barrancas | 1 |
| 102 | 44098 | La Guajira | Distracción | 1 |
| 103 | 44110 | La Guajira | El Molino | 4 |
| 104 | 47170 | Magdalena | Chibolo | 4 |
| 105 | 47268 | Magdalena | El Retén | 2 |
| 106 | 47545 | Magdalena | Pijiño del Carmen | 4 |
| 107 | 47570 | Magdalena | Puebloviejo | 4 |
| 108 | 47707 | Magdalena | Santa Ana | 3 |
| 109 | 47720 | Magdalena | Santa Bárbara de Pinto | 4 |
| 110 | 47798 | Magdalena | Tenerife | 1 |
| 111 | 50110 | Meta | Barranca de Upía | 2 |
| 112 | 50313 | Meta | Granada | 1 |
| 113 | 50330 | Meta | Mesetas | 1 |
| 114 | 50350 | Meta | La Macarena | 4 |
| 115 | 50370 | Meta | Uribe | 4 |
| 116 | 50573 | Meta | Puerto López | 1 |
| 117 | 50680 | Meta | San Carlos de Guaroa | 1 |
| 118 | 52019 | Nariño | Albán | 1 |
| 119 | 52207 | Nariño | Consacá | 4 |
| 120 | 52418 | Nariño | Los Andes | 4 |
| 121 | 52435 | Nariño | Mallama | 1 |
| 122 | 54480 | Norte de Santander | Mutiscua | 1 |
| 123 | 54498 | Norte de Santander | Ocaña | 1 |
| 124 | 54520 | Norte de Santander | Pamplonita | 1 |
| 125 | 54599 | Norte de Santander | Ragonvalia | 4 |
| 126 | 66383 | Risaralda | La Celia | 1 |
| 127 | 68051 | Santander | Aratoca | 1 |
| 128 | 68160 | Santander | Cepitá | 4 |
| Núm. | Código DIVIPOLA | Departamento | Municipio | Grupo de V.O. disponibilidad portador |
| 129 | 68179 | Santander | Chipatá | 4 |
| 130 | 68209 | Santander | Confines | 1 |
| 131 | 68245 | Santander | El Guacamayo | 4 |
| 132 | 68327 | Santander | Güepsa | 1 |
| 133 | 68377 | Santander | La Belleza | 1 |
| 134 | 68418 | Santander | Los Santos | 1 |
| 135 | 68502 | Santander | Onzaga | 1 |
| 136 | 68686 | Santander | San Miguel | 1 |
| 137 | 68689 | Santander | San Vicente de Chucurí | 1 |
| 138 | 68755 | Santander | Socorro | 1 |
| 139 | 70110 | Sucre | Buenavista | 4 |
| 140 | 70235 | Sucre | Galeras | 4 |
| 141 | 70265 | Sucre | Guaranda | 4 |
| 142 | 70473 | Sucre | Morroa | 4 |
| 143 | 70678 | Sucre | San Benito Abad | 4 |
| 144 | 70820 | Sucre | Santiago de Tolú | 1 |
| 145 | 73030 | Tolima | Ambalema | 1 |
| 146 | 73124 | Tolima | Cajamarca | 1 |
| 147 | 73217 | Tolima | Coyaima | 1 |
| 148 | 73408 | Tolima | Lérida | 1 |
| 149 | 73671 | Tolima | Saldaña | 1 |
| 150 | 73861 | Tolima | Venadillo | 1 |
| 151 | 76041 | Valle del Cauca | Ansermanuevo | 1 |
| 152 | 76109 | Valle del Cauca | Buenaventura | 2 |
| 153 | 76497 | Valle del Cauca | Obando | 1 |
| 154 | 76670 | Valle del Cauca | San Pedro | 1 |
| 155 | 76828 | Valle del Cauca | Trujillo | 1 |
| 156 | 81220 | Arauca | Cravo Norte | 4 |
| 157 | 85015 | Casanare | Chámeza | 4 |
| 158 | 85230 | Casanare | Orocué | 4 |
| 159 | 86001 | Putumayo | Mocoa | 1 |
| 160 | 86219 | Putumayo | Colón | 4 |
| 161 | 86573 | Putumayo | Puerto Leguízamo | 4 |
| 162 | 86749 | Putumayo | Sibundoy | 2 |
| 163 | 86755 | Putumayo | San Francisco | 1 |
| 164 | 88001 | Archipiélago de San Andrés, Providencia y Santa Catalina | San Andrés | 1 |
| 165 | 91001 | Amazonas | Leticia | 3 |
| 166 | 91405 | Amazonas | La Chorrera (CD) | 4 |
| 167 | 94001 | Guainía | Inírida | 3 |
| 168 | 94883 | Guainía | San Felipe (CD) | 4 |
| 169 | 94886 | Guainía | Cacahual (CD) | 4 |
| 170 | 95015 | Guaviare | Calamar | 4 |
NOTA: La modificación o actualización del nivel de desempeño de la disponibilidad en los municipios aquí enlistados podría generar un cambio de la agrupación en la que fue subclasificado en este listado. En caso de que esto suceda, en el trimestre siguiente a la expedición del acto administrativo mediante el cual se realice la correspondiente modificación o actualización, se deberá aplicar el valor objetivo del indicador de Disponibilidad del servicio portador por municipio establecido en el literal B. del presente anexo, que corresponda a la nueva agrupación.
FORMATO DE SOLICITUD DE ASIGNACIÓN DE NUMERACIÓN.
<Anexo derogado por el artículo 13 de la Resolución 5968 de 2020>
FORMATO DE DEVOLUCIÓN DE NUMERACIÓN.
<Anexo derogado por el artículo 13 de la Resolución 5968 de 2020>
<Anexo derogado por el artículo 13 de la Resolución 5968 de 2020>
FORMATO DE SOLICITUD DE CÓDIGO DE PUNTOS DE SEÑALIZACIÓN.

Se debe llena un formato por cada punto de señalización solicitado
(Anexo 12 de la Resolución CRT 087 de 1997)
CARTA DE PRESENTACIÓN.
<Anexo derogado por el artículo 4 de la Resolución 6129 de 2020>
NORMA NACIONAL PARA HOMOLOGACIÓN DE APARATOS TERMINALES DE TELEFONÍA FIJA.
<Anexo derogado por el artículo 80 de la Resolución 5586 de 2019>
REGLAMENTO TÉCNICO PARA REDES INTERNAS DE TELECOMUNICACIONES (RITEL).
1. DISPOSICIONES GENERALES. <Numeral modificado por el artículo 2 de la Resolución 5405 de 2018. El nuevo texto es el siguiente:>
1.1 OBJETO. <Numeral modificado por el artículo 2 de la Resolución 5405 de 2018. El nuevo texto es el siguiente:>
El objeto del Reglamento es establecer las condiciones mínimas para el diseño y construcción de la infraestructura soporte de la red interna de telecomunicaciones, y la red para el acceso al servicio de Televisión Digital Terrestre (TDT), en inmuebles cuyo uso sea vivienda y que respondan al régimen de copropiedad o propiedad horizontal, como parte de una política pública encaminada a mejorar y masificar la cobertura de servicios de telecomunicaciones en el país.
Este Reglamento actuará como un instrumento técnico-legal para Colombia, que permita garantizar que la infraestructura soporte requerida para el despliegue de redes internas de telecomunicaciones cumpla con el objetivo de garantizar la libre y leal competencia entre los proveedores de servicios.
Para cumplir con los propósitos propuestos, el Reglamento Técnico está orientado hacia los siguientes objetivos específicos:
1. Fijar las especificaciones técnicas que regulen la infraestructura que soporta la red interna de telecomunicaciones de los inmuebles, garantizando la capacidad suficiente que permita el acceso a los servicios de telecomunicaciones y el acceso de redes de distintos proveedores de servicios y tecnologías.
2. Fijar las especificaciones mínimas que regulen la instalación de la infraestructura de captación y distribución de las señales para el acceso al servicio de Televisión Digital Terrestre (TDT).
3. Señalar el régimen de inspección, control y vigilancia que garantice la efectividad y cumplimiento de las normas técnicas establecidas en el reglamento.
4. Establecer los plazos de exigibilidad del Reglamento, incluido el régimen de transición.
PARAGRAFO. El presente Reglamento se expide sin perjuicio de los derechos de los consumidores y obligaciones de los proveedores y productores establecidos en el Estatuto del Consumidor, contenido en la Ley 1480 de 2011 o las normas que la modifiquen, sustituyan o complementen.
1.2. ÁMBITO DE APLICACIÓN. <Numeral modificado por el artículo 2 de la Resolución 6771 de 2022. El nuevo texto es el siguiente:> Reglamento Técnico para Redes Internas de Telecomunicaciones -RITEL- aplica a todos aquellos inmuebles que estén sometidos al régimen de copropiedad o propiedad horizontal establecido en Colombia por la Ley 675 de 2001 o las normas que la modifiquen, sustituyan o complementen, cuyo uso sea vivienda, y que a la fecha de exigibilidad de este reglamento (1 de julio de 2019) no cuenten con licencia de construcción como obra nueva, o no hayan iniciado la etapa de preventa de cualquier proyecto constructivo.
Igualmente, aplica a los proveedores de servicios, las empresas constructoras de los inmuebles sometidos al régimen de propiedad horizontal previsto en la Ley 675 de 2001 -o las normas que la modifiquen, sustituyan o complementen-, a las comunidades de copropietarios de dichos inmuebles, y a los fabricantes, distribuidores y comercializadores de los elementos utilizados en la construcción de la infraestructura soporte de las redes internas de telecomunicaciones de tales inmuebles.
Para efectos del RITEL, la referencia a "proveedor de servicios" se refiere a los Proveedores de Redes y Servicios de Telecomunicaciones, incluidos los operadores de televisión cableada y cerrada y los operadores de televisión satelital.
En relación con los proyectos de vivienda abierta en las cuales la propiedad horizontal sea conformada exclusivamente por dos unidades de vivienda, que no posean zonas comunes ni administración compartida, solo les será exigible para el cumplimiento de RITEL, lo relativo a la red interna de usuario. En cuanto a la red de TDT para estos proyectos, en caso de ser necesario el uso de un amplificador para viviendas, se permitirá que este sea instalado en el interior de la caja PAU.
En el presente reglamento, el concepto de inmuebles abarca lo siguiente: "Edificio", "Conjunto", "Edificio o Conjunto de Uso Residencial", "Edificio o Conjunto de Uso mixto", "Bienes privados o de dominio particular", "Bienes comunes" y "Bienes comunes esenciales" sujetos al Régimen y Reglamentos de Propiedad Horizontal, de conformidad con lo establecido en el artículo 3 de la Ley 675 de 2001, por medio de la cual se expide el régimen de propiedad horizontal, o las normas que la modifiquen, sustituyan o complementen.
1.3. PRINCIPIOS. <Numeral modificado por el artículo 2 de la Resolución 5405 de 2018. El nuevo texto es el siguiente:>
Con la finalidad de actuar frente a los retos que representa la implementación e interpretación de este reglamento, es importante no perder de vista los siguientes principios orientadores, que servirán como guía para fortalecer y facilitar su apropiada implementación:
· Libre Competencia. El reglamento propenderá por la libre elección de operadores por parte del usuario de servicios de telecomunicaciones.
· Favorabilidad. Toda duda en la interpretación o aplicación de las normas generales de este reglamento respecto a el cumplimiento de otro reglamento aplicable a un inmueble se resolverá a favor del usuario de manera que prevalezcan su bienestar y derechos.
· Armonización: En caso de que la aplicación de este reglamento entre en contradicción con cualquier otro reglamento, prevalecerá aquel que tenga mayor incidencia en beneficio de la protección de la salud humana.
· Capacidad: Los agentes que intervienen en la aplicación e implementación de este reglamento deben garantizar la capacidad de la infraestructura soporte de la red interna de telecomunicaciones, y la red para el acceso al servicio de Televisión Digital Terrestre (TDT).
· Seguridad de las instalaciones: En todo momento los diferentes agentes propenderán por la salud y la mitigación del riesgo de los usuarios.
1.4. DEFINICIONES. <Numeral modificado por el artículo 2 de la Resolución 5405 de 2018. El nuevo texto es el siguiente:>
Para efectos de la interpretación y aplicación del Reglamento, se adoptan las siguientes definiciones relativas a la red interna de telecomunicaciones y a la infraestructura que la soporta, cuyos componentes fundamentales se ilustran en la Gráfica 1.
Gráfica 1. Esquema general de una red interna de telecomunicaciones.
<Ver Gráfica 1 directamente el artículo 2 de la Resolución 5405 de 2018>
Administración provisional: Corresponde a la administración que ejerce el propietario inicial y/o constructor sobre los edificios o el conjunto, hasta tanto el órgano competente elija al administrador para tal fin. La administración provisional corresponde a la actividad determinada en el Artículo 52 de la Ley 675 de 2001.
Caja de punto de acceso al usuario (caja de PAU): Elemento de la infraestructura soporte de la red interna de telecomunicaciones del inmueble. Caja dispuesta para que se realice la unión entre la canalización de dispersión y la canalización interna del usuario. Se ubica en el interior de cada domicilio de usuario. Su instalación es responsabilidad del constructor del inmueble.
Caja de toma de usuario: Elemento de la infraestructura soporte de la red interna de telecomunicaciones del inmueble. Aloja las tomas de usuario y permite al usuario efectuar la conexión de los equipos terminales de telecomunicaciones para acceder a los servicios prestados por los proveedores de servicios y al servicio de Televisión Digital Terrestre (TDT). Su instalación es responsabilidad del constructor del inmueble.
Cámara de entrada: Elemento de la infraestructura soporte de la red interna de telecomunicaciones del inmueble. Compartimiento, habitáculo o recinto subterráneo de la infraestructura que soporta la red interna de telecomunicaciones del inmueble, ubicado en la zona exterior del mismo y a la que confluye la canalización externa de la infraestructura del inmueble que soporta la red de telecomunicaciones de este. La cámara de entrada permite, a través de la canalización externa del inmueble, el acceso de los cables de las redes de alimentación de los diferentes proveedores de servicios al salón de equipos de telecomunicaciones para establecer su conexión con la red interna de telecomunicaciones del inmueble. Su diseño y construcción es responsabilidad del constructor del inmueble.
Cámara de enlace: Elemento de la infraestructura soporte de la red interna de telecomunicaciones del inmueble. Compartimiento, habitáculo o recinto subterráneo de la infraestructura que soporta la red interna de telecomunicaciones del inmueble, ubicado en la zona interior del mismo y que forma parte de la canalización de enlace. Las cámaras de enlace son necesarias para facilitar el tendido e inspección de los cables de alimentación, por lo cual, su construcción dependerá del diseño que realice el constructor. Su diseño y construcción es responsabilidad del constructor del inmueble.
Cámara de distribución: Elemento de la infraestructura soporte de la red interna de telecomunicaciones del inmueble, utilizado en viviendas unifamiliares donde el recorrido de la canalización de distribución es horizontal. Compartimiento, habitáculo o recinto subterráneo de la infraestructura que soporta la red interna de telecomunicaciones del inmueble, ubicado en la zona interior del mismo y que forma parte de la canalización de distribución. Las cámaras de distribución son necesarias para facilitar el tendido e inspección de los cables de alimentación desde los salones y/o gabinetes de equipos de telecomunicaciones hasta las viviendas, por lo cual, su construcción dependerá del diseño que realice el constructor. Su diseño y construcción es responsabilidad del constructor del inmueble.
Canalización de dispersión: Elementos de la infraestructura soporte de la red interna de telecomunicaciones del inmueble. Conjunto de ductos, canaletas, bandejas, escalerillas y demás elementos necesarios de la infraestructura que soporta la red interna de telecomunicaciones del inmueble para interconectar los gabinetes de piso con las cajas de punto de acceso al usuario de cada vivienda. Está destinada a soportar el cableado de la red de dispersión del inmueble. En ella se intercalan las cajas de paso, que son elementos que facilitan el tendido de los cables entre los gabinetes de piso y las cajas de punto de acceso al usuario. Su diseño y construcción es responsabilidad del constructor del inmueble.
Canalización de enlace: <Definición modificada por el artículo 3 de la Resolución 5993 de 2020. El nuevo texto es el siguiente:> Parte de la infraestructura soporte de la red interna de telecomunicaciones del inmueble, conformada por el conjunto de ductos y cámaras de enlace (cámaras intermedias) necesarias para la prolongación de la canalización externa en el interior del inmueble, hacia el salón o gabinete de equipos de telecomunicaciones, con el fin de brindar una canalización para el tendido de los cables de las redes de alimentación y de captación al salón de equipos de telecomunicaciones del inmueble. Su diseño y construcción es responsabilidad del constructor del inmueble.
- Las siguientes características aplican a la canalización de enlace, teniendo en cuenta el lugar por el que se acceda al inmueble:
- Para la entrada al inmueble por la parte inferior del edificio, la canalización de enlace soporta los cables de la red de alimentación desde el punto de entrada general hasta el salón o gabinete de equipos de telecomunicaciones inferior.
- Para la entrada al inmueble por la parte superior del edificio, la canalización de enlace soporta los cables que van desde los sistemas de captación hasta el salón de equipos de telecomunicaciones superior.
- Para el caso de inmuebles en donde se decida dotar con un salón de equipos de telecomunicaciones único, como puede darse en conjunto de unidades privadas individuales(55) (por ejemplo, casas individuales que hacen parte de un conjunto cerrado bajo el régimen de propiedad horizontal) u otros en donde el diseñador de la infraestructura soporte así lo decida, la canalización de enlace soportará los cables de las redes de alimentación desde el punto de entrada general hasta el salón de equipos de telecomunicaciones único, y desde los sistemas de captación hasta el salón de equipos de telecomunicaciones único.
Canalización de distribución: Parte de la infraestructura soporte de la red interna de telecomunicaciones del inmueble, compuesta de un conjunto de ductos, canaletas, bandejas, escalerillas y demás elementos necesarios para interconectar los salones y/o gabinetes de equipos de telecomunicaciones con los gabinetes de piso, soportando el tendido de los cables de la red de distribución del inmueble. La canalización de distribución en edificios es de tipo vertical, en el caso de conjuntos de casas su distribución será de tipo horizontal. Su diseño y construcción es responsabilidad del constructor del inmueble.
Canalización externa: Parte de la infraestructura soporte de la red interna de telecomunicaciones del inmueble, conformada por un conjunto de ductos instalados en la zona exterior del inmueble entre la cámara de entrada hasta el punto de entrada general del inmueble. Está encargada de introducir en el inmueble las redes de alimentación de los proveedores de servicios. Su construcción es responsabilidad del constructor del inmueble.
Canalización interna de usuario: Parte de la infraestructura soporte de la red interna de telecomunicaciones del inmueble, que comprende el conjunto de ductos y demás elementos que se instalan en el interior de la vivienda para soportar la red interna de usuario, la cual conecta las cajas de las tomas de usuario con la caja del punto de acceso al usuario de la respectiva vivienda. En ella se intercalan las cajas de paso, que son los elementos que facilitan el tendido de los cables de la red interna de usuario. Su diseño y construcción es responsabilidad del constructor del inmueble.
Certificado de Inspección: <Definición adicionada por el artículo 4 de la Resolución 5993 de 2020. El nuevo texto es el siguiente:> Documento emitido por el Organismo de inspección, mediante el cual se evidencia el cumplimiento de los requisitos contemplados en el presente reglamento técnico.
Conjunto: <Definición derogada a partir del 1 de julio de 2026 por el artículo 1 de la Resolución 7930 de 2025> De acuerdo con el Artículo 3 de la Ley 675 de 2001, un conjunto corresponde a "(…) Desarrollo inmobiliario conformado por varios edificios levantados sobre uno o varios lotes de terreno, que comparten, áreas y servicios de uso y utilidad general, como vías internas, estacionamientos, zonas verdes, muros de cerramiento, porterías, entre otros. Puede conformarse también por varias unidades de vivienda, comercio o industria, estructuralmente independientes (…)".
Copropiedad: Propiedad compartida por dos o más personas o entidades, en la cual, los copropietarios no tienen dominio sobre las partes determinadas del bien inmueble, sino un derecho de propiedad sobre todas y cada una de las partes del bien inmueble en cierta proporción.
Curva en tubería: <Definición adicionada por el artículo 1 de la Resolución 7930 de 2025. Rige a partir del 1 de julio de 2026. El nuevo texto es el siguiente:> Cambio de dirección en la tubería. El ángulo de la curvatura se medirá desde la prolongación imaginaria del ducto hasta la posición final del mismo. Para efectos del presente reglamento se considerará una curva cualquier cambio de dirección de la tubería en el cual el grado de curvatura (DOB por sus siglas en inglés Degree of Bend) sea mayor a 60°. Para efectos del cálculo y conteo de cantidad de curvas en las diferentes canalizaciones se entenderá lo siguiente:

Edificio: <Definición derogada a partir del 1 de julio de 2026 por el artículo 1 de la Resolución 7930 de 2025> De acuerdo con el Artículo 3 de la Ley 675 de 2001, un edificio corresponde a "(…) Construcción de uno o varios pisos levantados sobre un lote o terreno, cuya estructura comprende un número plural de unidades independientes, aptas para ser usadas de acuerdo con su destino natural o convencional, además de áreas y servicios de uso y utilidad general. Una vez sometido al régimen de propiedad horizontal, se conforma por bienes privados o de dominio particular y por bienes comunes (…)".
Equipo de cabecera: <Definición modificada por el artículo 5 de la Resolución 5993 de 2020. El nuevo texto es el siguiente:> Elemento de la infraestructura consumible de la red interna de telecomunicaciones del inmueble. Es el conjunto de dispositivos encargados de captar las señales radiodifundidas y elevar el nivel de la señal para su distribución al usuario en las condiciones requeridas de calidad. El equipo de cabecera debe entregar el conjunto de señales a la red de distribución. Se ubica en el salón o gabinete de equipos de telecomunicaciones superior en el caso de edificios, mientras que en el caso de inmuebles conformados por un conjunto de unidades privadas individuales (por ejemplo, casas individuales que hacen parte de un conjunto cerrado bajo el régimen de propiedad horizontal), u otros en donde el diseñador de la infraestructura soporte así lo decida, dichos elementos se ubicarán en el salón de equipos de telecomunicaciones único. La implementación del equipo de cabecera para señales de televisión digital terrestre es responsabilidad del constructor del inmueble.
Espacio habitacional: <Definición modificada a partir del 1 de julio de 2026 por el artículo 1 de la Resolución 7930 de 2025. El texto vigente hasta esta fecha es el siguiente:> Son aquellos espacios dentro de la edificación donde un habitante permanece la mayor parte del tiempo, accediendo a los servicios de telecomunicaciones y desarrollando sus hábitos diarios. Para dar un ejemplo, en los apartamentos o unidades residenciales, espacio habitacional son las habitaciones, el estudio, la cocina y la sala comedor, excluyendo por la misma definición, los baños y el balcón. En el caso de las zonas comunes de un inmueble, son espacios habitacionales las oficinas de administración, zonas o salones de reuniones, la portería y cualquier otra zona cuyo uso sea identificado para la reunión y permanencia de personas.
Espacio habitacional de la copropiedad: <Definición adicionada por el artículo 1 de la Resolución 7930 de 2025. Rige a partir del 1 de julio de 2026. El nuevo texto es el siguiente:> Es aquel espacio habitacional que se encuentra ubicado en las zonas comunes de la copropiedad, como las oficinas de administración, espacios de coworking, gimnasios y los salones comunales. Para el caso de los espacios de coworking, se considerará como un único espacio siempre y cuando no cuente con separaciones o accesos diferentes.
Espacio habitacional integrado: <Definición adicionada por el artículo 1 de la Resolución 7930 de 2025. Rige a partir del 1 de julio de 2026. El nuevo texto es el siguiente:> Es aquel espacio dentro de la edificación donde un habitante permanece la mayor parte del tiempo, accediendo a los servicios de telecomunicaciones y desarrollando sus hábitos diarios y que no tienen una separación entre ellos que impida o limite su visibilidad. En el caso particular, se considerará espacio habitacional integrado una cocina y sala comedor separados entre si única y exclusivamente por un muro bajo, el cual no podrá tener más de 1,10 metros de altura.
Espacio habitacional unidad privada: <Definición adicionada por el artículo 1 de la Resolución 7930 de 2025. Rige a partir del 1 de julio de 2026. El nuevo texto es el siguiente:> Es aquel espacio habitacional que se encuentra ubicado al interior de la vivienda.
Evaluación de la conformidad: Procedimiento utilizado, directa o indirectamente, para determinar que se cumplen los requisitos del Reglamento de Redes Internas de Telecomunicaciones -RITEL-.
Gabinete de piso: Elemento de la infraestructura soporte de la red interna de telecomunicaciones del inmueble. Consiste en un armario o closet cerrado por medio de puertas o tapas, debidamente protegido y asegurado, ubicado en cada piso o planta del inmueble, generalmente en el punto fijo, el cual conecta la red de distribución con la red de dispersión. Su construcción es responsabilidad del constructor del inmueble.
Infraestructura consumible: En el contexto de la red interna de telecomunicaciones, la infraestructura consumible está compuesta por los cables, regletas u otros elementos de conexión del cableado, los derivadores y distribuidores utilizados en las redes de cable coaxial y fibra óptica, los equipos y antenas requeridos para la captación de señales radioeléctricas, así como los equipos activos requeridos para la operación de los servicios de telecomunicaciones. A excepción de los elementos de la red para el acceso al servicio de Televisión Digital Terrestre (TDT), su despliegue e instalación está a cargo del proveedor de redes y servicios de telecomunicaciones con quien el usuario contrate el servicio de telecomunicaciones.
Infraestructura soporte: En el contexto de la red interna de telecomunicaciones, es la infraestructura que soporta la red interna de telecomunicaciones del inmueble y está compuesta por las cámaras, canalizaciones, salones de equipos de telecomunicaciones, tuberías, ductos, bandejas portacables, gabinetes de piso, cajas de paso, cajas de punto de acceso al usuario, cajas de tomas de usuario y demás elementos y obras civiles necesarias para alojar la red interna de telecomunicaciones del inmueble y las redes de alimentación y captación. Su diseño y construcción es responsabilidad del constructor del inmueble.
Inmueble: Construcción o desarrollo inmobiliario que puede ser un edificio, una vivienda, o un conjunto de los anteriores, y que para efectos del presente reglamento abarca lo siguiente: "Edificio", "Conjunto", "Edificio o Conjunto de Uso Residencial", "Edificio o Conjunto de Uso mixto", "Bienes privados o de dominio particular", "Bienes comunes" y "Bienes comunes esenciales" sujetos al Régimen y Reglamentos de Propiedad Horizontal.
Nivel de descarga: <Definición adicionada por el artículo 1 de la Resolución 7930 de 2025. Rige a partir del 1 de julio de 2026. El nuevo texto es el siguiente:> Parámetro que se refiere al piso o altura del tramo final de un medio de evacuación y un lugar seguro respecto al nivel de la vía pública. Se permitirá que haya un desnivel máximo de 1,50 m entre el nivel de descarga y la vía pública siempre y cuando se garantice una conexión por medio de una escalera o rampa.
Piso: <Definición adicionada por el artículo 1 de la Resolución 7930 de 2025. Rige a partir del 1 de julio de 2026. El nuevo texto es el siguiente:> Cada una de las diferentes plantas que superpuestas conforman una edificación.
Punto de acceso al usuario (PAU): Punto ubicado en la caja de punto de acceso al usuario en el que se realiza la unión entre la red de dispersión y la red interna del usuario. Es el lugar de entrada de los servicios de telecomunicaciones a las viviendas y desde allí se reparten dichos servicios a las diferentes tomas de usuario.
Punto de distribución: Punto dispuesto para que se realice la unión entre la red de distribución y la red de dispersión. Está ubicado en el interior del gabinete de piso. Es posible que cuando la red de dispersión se extienda directamente desde el salón de equipos de telecomunicaciones hasta el punto de acceso al usuario cruzando de paso el gabinete de piso, el punto de distribución se ubique en el interior del salón y/o gabinete de equipos de telecomunicaciones, en la unión entre la red de alimentación o de captación y la red de dispersión.
Propietario inicial: <Definición modificada a partir del 1 de julio de 2026 por el artículo 1 de la Resolución 7930 de 2025. El texto vigente hasta esta fecha es el siguiente:> El propietario inicial corresponde al constructor de determinado inmueble que es sometido al régimen de propiedad horizontal. De acuerdo con el Artículo 3 de la Ley 675 de 2001, es el "(…) Titular del derecho de dominio sobre un inmueble determinado, que, por medio de manifestación de voluntad contenida en escritura pública, lo somete al régimen de propiedad horizontal (…)".
Punto de entrada general: Identifica el lugar por donde la canalización externa, que proviene de la cámara de entrada, accede a la zona común del inmueble.
Red de alimentación: Conjunto de equipos activos y pasivos de telecomunicaciones, cables, regletas, conectores, y demás elementos que hacen parte de una derivación de la red de acceso de telecomunicaciones, que conectan la red interna del inmueble con las centrales o nodos de comunicaciones de las redes de los proveedores de servicios.
Los proveedores de servicios implementarán su red de alimentación ingresando al inmueble a través de la infraestructura soporte dispuesta para tal fin, pasando por la canalización externa de cada proveedor hasta la cámara de entrada, donde se encuentra el punto de entrada general al inmueble, hasta llegar al salón o gabinete de equipos de telecomunicaciones inferior o hasta el salón de equipos de telecomunicaciones único según corresponda.
El diseño y dimensionamiento de la red de alimentación, así como su construcción e implementación, es responsabilidad de cada uno de los proveedores de servicios de telecomunicaciones.
Red de captación: Elemento de la infraestructura consumible de la red interna de telecomunicaciones del inmueble. Conjunto de equipos activos y pasivos de telecomunicaciones, encargados de captar las señales radiodifundidas, y todos aquellos elementos activos o pasivos encargados de adecuar las señales para ser entregadas a la red interna de telecomunicaciones.
Los conjuntos de captación de señales están compuestos por las antenas, mástiles, torres y sistemas con sus respectivos elementos de sujeción, los equipos de recepción y procesamiento de dichas señales, y los cables o conductores necesarios, para dejarlas disponibles para el servicio en el punto de acceso del inmueble. El diseño y construcción de la red de captación respecto de señales de televisión radiodifundida terrestre de que trata este reglamento<2> es responsabilidad del constructor del inmueble.
Red de dispersión: Elemento de la infraestructura consumible de la red interna de telecomunicaciones del inmueble, que se ubica entre los gabinetes de piso y las cajas de punto de acceso al usuario. La instalación de la red de dispersión para los servicios diferentes a la televisión radiodifundida terrestre es responsabilidad de cada uno de los prestadores de servicio. Por su parte, el diseño y construcción de la red de dispersión de señales de televisión radiodifundida terrestre de que trata este reglamento es responsabilidad del constructor del inmueble.
Red de distribución: Elemento de la infraestructura consumible de la red interna de telecomunicaciones del inmueble, que se ubica entre el salón y/o gabinete de equipos de telecomunicaciones y los gabinetes de piso. La instalación de la red de distribución para los servicios diferentes a la televisión radiodifundida terrestre es responsabilidad de cada uno de los prestadores de servicio. Por su parte, el diseño y construcción de la red de distribución de señales de televisión radiodifundida terrestre de que trata este reglamento es responsabilidad del constructor del inmueble.
Red interna de telecomunicaciones: <Definición derogada por el artículo 21 de la Resolución 6771 de 2022. Consultar definición en el Título I>
Red interna de usuario: Elemento de la infraestructura consumible de la red interna de telecomunicaciones del inmueble. Es la subred de la red interna de telecomunicaciones del inmueble conformada por los cables y demás elementos instalados en el interior del área privada de usuario, que permite la distribución de las señales en el interior de las viviendas de los usuarios. Comienza en el punto de acceso al usuario y, a través de la canalización interna de usuario, se conecta con cada una de las tomas de usuario. La instalación de la red interna de usuario para los servicios diferentes a la televisión radiodifundida terrestre es responsabilidad de cada uno de los prestadores de servicio. Por su parte, el diseño y construcción de la red interna de usuario para señales de televisión radiodifundida terrestre de que trata este reglamento es responsabilidad del constructor del inmueble.
Salón o gabinete de equipos de telecomunicaciones: Elemento de la infraestructura soporte de la red interna de telecomunicaciones del inmueble. Correspondiente al espacio físico definido en el interior del inmueble para la instalación de los equipos de los diferentes proveedores de servicios y demás elementos del inmueble, necesarios para la conexión de las redes de alimentación y captación a la red interna del inmueble. Aloja también los equipos de energía y climatización en caso necesario. Su construcción es responsabilidad del constructor del inmueble.
Se establecen los siguientes tipos de salones y/o gabinetes dependiendo de su ubicación en los inmuebles.
- Salón o gabinete de equipos de telecomunicaciones inferior (SETI): <Definición modificada a partir del 1 de julio de 2026 por el artículo 1 de la Resolución 7930 de 2025. El texto vigente hasta esta fecha es el siguiente:> Se ubica en la planta baja o sótano del inmueble. En él se realizan las conexiones a las redes públicas para el acceso a los servicios de telecomunicaciones. En este espacio inicia la canalización de distribución de la infraestructura que soporta la red interna de telecomunicaciones del inmueble. Las dimensiones dispuestas para el SETI en el presente reglamento serán las mismas, independiente si en el diseño se opta por la construcción de un salón de equipos de telecomunicaciones inferior o por instalar un gabinete.
- Salón o gabinete de equipos de telecomunicaciones superior (SETS): Se ubica en la planta alta o en la azotea del inmueble. Está destinado a la instalación de los equipos y elementos necesarios para la adecuación y tratamiento de las señales de televisión, y de las señales captadas de los servicios de acceso fijo inalámbrico. Se conecta con la canalización de distribución de la infraestructura que soporta la red interna de telecomunicaciones del inmueble. Las dimensiones dispuestas para el SETS en el presente reglamento serán las mismas, independiente si en el diseño se opta por la construcción de un salón de equipos de telecomunicaciones superior o por instalar un gabinete.
- Salón o gabinete de equipos de telecomunicaciones único (SETU): <Definición modificada a partir del 1 de julio de 2026 por el artículo 1 de la Resolución 7930 de 2025. El texto vigente hasta esta fecha es el siguiente:> Sitio único de instalaciones de telecomunicaciones en el que se alojan las conexiones a las redes públicas para el acceso a los servicios de telecomunicaciones cableados, así como la instalación de los equipos y elementos necesarios para la adecuación y tratamiento de los servicios radiodifundidos. Cuando sea utilizado este tipo de salón en inmuebles conformados por varios edificios o por unidades privadas individuales, su ubicación deberá realizarse en espacio separado de las edificaciones, debiendo construirse encima del nivel del suelo. Las dimensiones dispuestas para el SETU en el presente reglamento serán las mismas, independiente si en el diseño se opta por la construcción de un salón de equipos de telecomunicaciones único o por instalar un gabinete.
Toma de conexión de usuario (toma de usuario, TU): Elemento de la infraestructura consumible de la red interna de telecomunicaciones del inmueble. Elemento de la red interna de usuario en el que termina cada uno de los cables de telecomunicaciones de la red interna de usuario, que permite la conexión de los equipos terminales de comunicaciones del usuario a la red interna del inmueble para acceder a los servicios públicos de telecomunicaciones.
Tubería empotrada: <Definición adicionada por el artículo 1 de la Resolución 7930 de 2025. Rige a partir del 1 de julio de 2026. El nuevo texto es el siguiente:> Es aquella tubería vertical u horizontal que se encuentra embebida en la losa del suelo, techo o en las paredes.
Unidad habitacional: <Definición adicionada por el artículo 1 de la Resolución 7930 de 2025. Rige a partir del 1 de julio de 2026. El nuevo texto es el siguiente:> Construcción destinada al uso residencial, independiente y delimitada físicamente, que forma parte de un inmueble o desarrollo inmobiliario, y que puede estar ubicada en edificaciones multifamiliares, conjuntos de casas unifamiliares, parcelaciones o lotes subdivididos. Cuenta con uno o más espacios habitacionales (tales como habitaciones, sala-comedor, cocina) y áreas de servicio, con acceso propio desde zonas comunes o directamente desde el espacio público, conforme al régimen de propiedad horizontal o a la tipología constructiva aplicable."
2. OBLIGACIONES DE LOS CONTRUCTORES DE LOS INMUEBLES Y ESPEFICACIONES TÉCNICAS. <Numeral modificado por el artículo 2 de la Resolución 5405 de 2018. El nuevo texto es el siguiente:>
En este capítulo se definen las obligaciones de los constructores de los inmuebles frente a la red interna de telecomunicaciones, así como las características propias de la infraestructura a implementar.
2.1. OBLIGACIONES. <Numeral modificado a partir del 1 de julio de 2026 por el artículo 2 de la Resolución 7930 de 2025. El texto vigente hasta esta fecha es el siguiente:> <Numeral modificado por el artículo 4 de la Resolución 6771 de 2022. El nuevo texto es el siguiente:>
Son obligaciones de los constructores de los inmuebles sujetos al cumplimiento de este reglamento las siguientes:
1. Diseñar la infraestructura soporte de la red interna de telecomunicaciones del inmueble, siguiendo los lineamientos establecidos en el presente documento, garantizando la disponibilidad de espacio para el despliegue de las redes que brindarán servicios de telecomunicaciones a los usuarios finales.
Los tecnólogos o profesionales encargados de los diseños de la infraestructura soporte, deberán contar con formación o educación no inferior a treinta y cinco (35) horas en curso(s) que acredite competencias en el diseño y dimensionamiento de la infraestructura soporte para el cumplimiento de RITEL.
2. Basado en los diseños, suministrar, construir y verificar la red de infraestructura soporte de la red interna de telecomunicaciones del inmueble, de acuerdo con lo especificado en el presente Reglamento.
3. Diseñar, construir e implementar la red de captación, distribución y dispersión de señales para el acceso al servicio de Televisión Digital Terrestre (TDT), siguiendo los lineamientos establecidos en el presente Reglamento, y haciendo uso de productos que cumplan aspectos relativos a la protección de la vida de los usuarios, específicamente en materia de: i) flamabilidad, ii) acidez y toxicidad y iii) densidad de humos, de manera que satisfaga los criterios establecidos en las normas técnicas NTC- IEC 60332-1-3, NTC-IEC 60332-3-22, NTC-IEC 60754-1, NTC-IEC 60754-2 y NTC-IEC 61034-1, sus equivalentes en ISO - IEC o ANSI EIA, o aquellas que las modifiquen, sustituyan o complementen. El cumplimiento de esta condición por parte de los productos empleados para la red de TDT se podrá demostrar mediante declaración de conformidad de primera parte, debidamente expedida por el fabricante del producto, y en cumplimiento de la norma técnica NTC-ISO/IEC 17050, o aquella que la modifique, sustituya o complemente.
Los tecnólogos o profesionales encargados de los diseños de la red para el acceso a los servicios de TDT, deberán contar con formación o educación no inferior a veinticinco (25) horas en curso(s) que acredite competencias en la implementación de la red para el acceso al servicio de Televisión Digital Terrestre (TDT) para el cumplimiento de RITEL.
4. Basado en los diseños, suministrar, instalar, y dejar habilitada y en operación la red de captación, distribución y dispersión de señales para el acceso al servicio de Televisión Digital Terrestre (TDT), realizando la instalación de estructuras, equipos y demás elementos activos y pasivos necesarios para garantizar en las tomas de usuario las señales captadas con las características de calidad especificadas en el presente Reglamento.
5. Entregar a la copropiedad del inmueble en medio físico y digital tanto los diseños completos de la infraestructura soporte de la red interna de telecomunicaciones del inmueble y de la red para el acceso al servicio de Televisión Digital Terrestre (TDT), así como las certificaciones correspondientes de que trata el Apéndice 1 de la presente resolución. Estos diseños deben contener en forma precisa el detalle de distribución de cada punto de la red para el acceso a los servicios de telecomunicaciones, incluyendo la red de señales de TDT. Para el efecto, los planos emplearán los nombres especificados en el presente Reglamento.
6. El diseño y construcción de la infraestructura soporte de la red interna de telecomunicaciones del inmueble, así como la red de captación, distribución y dispersión de señales para el acceso al servicio de Televisión Digital Terrestre (TDT), deberán cumplir en todo momento con los aspectos relativos a la seguridad eléctrica y de compatibilidad electromagnética, de manera que se satisfaga lo establecido en el Reglamento Técnico de Instalaciones Eléctricas (RETIE), establecido mediante la Resolución 90708 de 2013 expedida por el Ministerio de Minas y Energía, y las demás normas que lo deroguen, sustituyan o modifiquen según aplique.
7. Construir las estructuras u obras civiles del inmueble que se requieran (por ejemplo torres, torrecillas y mástiles con sus tensores, entre otros elementos) para soportar y sostener las antenas y componentes del sistema captador de señales para el acceso al servicio de Televisión Digital Terrestre (TDT), con especificaciones para soportar las cargas físicas transmitidas a la estructura del inmueble, cuyo cálculo de diseño deberá tener en cuenta lo establecido en las Normas Colombianas de Construcción Sismo Resistente NSR -10, adoptadas mediante el Decreto 926 de 2010, o la norma que la modifique o sustituya.
8. Construir tanto la infraestructura soporte de la red interna de telecomunicaciones del inmueble, como la red de captación, distribución y dispersión de señales para el acceso al servicio de Televisión Digital Terrestre (TDT), sin afectar negativamente el medio ambiente, en especial el entorno de los usuarios, el espectro electromagnético y las garantías de los demás proveedores de servicio, la salud pública, el patrimonio público y el interés general, según lo establecido en la normatividad vigente.
9. El constructor deberá brindar soporte sobre las características de calidad en las tomas de conexión de usuario para la prestación del servicio de Televisión Digital Terrestre (TDT) por un período de al menos seis (6) meses contados a partir de la fecha de entrega del certificado de inspección. En todo caso el constructor o propietario inicial responderá por el funcionamiento de esta red hasta tanto sea entregada a la administración provisional o administración de la copropiedad.
10. Realizar el mantenimiento de la infraestructura soporte en aquellos casos en los que las condiciones de idoneidad, calidad y seguridad de la infraestructura construida e instalada den lugar a la aplicación de la garantía correspondiente. Esta obligación será exigible durante el periodo denominado "posventa" o garantía de la construcción al que hace referencia el artículo 2060 del Código Civil.
11. El constructor responderá ante los copropietarios por eventuales fallas o defectos en la infraestructura soporte instalada que le sean atribuibles, al menos durante el período de tiempo al que está comprometido de acuerdo con la normatividad vigente, y deberá resolverlas y corregirlas a su costa, sin perjuicio de lo establecido en los artículos 6o, 7o y 8o de la Ley 1480 de 2011, o aquella norma que la modifique, complemente o sustituya.
12. El constructor dejará una guía de un material resistente que permitirá su halado al interior de las canalizaciones que construya o instale desde los salones o gabinetes de equipos de telecomunicaciones y, demostrando que los espacios al interior de dichas canalizaciones se encuentran libres de obstrucciones.
13. La infraestructura soporte de la red interna de telecomunicaciones del inmueble no podrá ser usada para ningún otro fin diferente a permitir el acceso y prestación de servicios de comunicaciones al interior de las viviendas, de manera tal que servicios como la citofonía no podrán ser instalados ni prestados usando la infraestructura definida en el presente reglamento.
14. El constructor deberá consultar al Ministerio de Tecnologías de la Información y las Comunicaciones respecto de la cobertura de los servicios de Televisión Digital Terrestre (TDT) en el municipio en el cual desarrollará el proyecto constructivo. Esta solicitud y su respectiva respuesta deberán ser conservados por los constructores para ser presentados como requisito en la inspección de que trata el Capítulo 6 del presente Anexo.
15. Las obligaciones de los constructores descritas en el presente artículo serán objeto de inspección y control por parte de los organismos encargados de realizar la inspección de la red interna frente al presente Reglamento, tal como se establece en el Capítulo 6, así como por parte de las autoridades competentes señaladas en la Ley 1480 de 2011 y las Leyes 388 de 1997 y 400 de 1997 en lo referente al control urbano, o aquellas normas que las modifiquen, complementen o sustituyan.
16. El constructor deberá dar cumplimiento a las obligaciones de que trata el numeral 5 del presente Reglamento, durante el tiempo que sea el propietario inicial de que trata el artículo 3o de la Ley 675 de 2001, o aquella norma que la modifique, complemente o sustituya.
17. El constructor deberá entregar el certificado de inspección a la administración provisional y posteriormente a la administración de copropietarios, para que pueda ser presentado a los proveedores que suministrarán los servicios de telecomunicaciones en dicha propiedad y con la finalidad que el mismo haga parte de la documentación soporte y las garantías dadas en la entrega de cualquier bien inmueble.
2.2. ESPECIFICACIONES TÉCNICAS MÍNIMAS DE LA INFRAESTRUCTURA SOPORTE DE LA RED INTERNA DE TELECOMUNICACIONES DEL INMUEBLE. <Numeral modificado a partir del 1 de julio de 2026 por el artículo 3 de la Resolución 7930 de 2025. El texto vigente hasta esta fecha es el siguiente:> <Numeral modificado por el artículo 8 de la Resolución 5993 de 2020. El nuevo texto es el siguiente:>
Las redes internas de telecomunicaciones comparten canalizaciones y espacios físicos, que forman parte de la infraestructura soporte, la cual se ilustra de manera general en la Gráfica 2. Esta red de infraestructura soporte corresponde a cuartos de equipos, cámaras de acceso, ductos (tubería o canalizaciones), cajas de paso y toda aquella obra civil requerida para alojar la red de telecomunicaciones.
La infraestructura soporte de la red interna de telecomunicaciones del inmueble está compuesta por los siguientes elementos:
- Cámara de entrada
- Canalización externa
- Cámara de enlace
- Canalización de enlace
- Canalización de distribución
- Canalización de dispersión
- Salones o gabinetes de equipos de telecomunicaciones
- Elementos de conexión: gabinetes de piso, cajas de paso, cajas de punto de acceso al usuario y cajas de toma de usuario.
Los productos utilizados para la construcción de la infraestructura soporte de la red interna de telecomunicaciones del inmueble deberán cumplir con los requerimientos exigidos en el RETIE en lo relativo a redes eléctricas de baja tensión y la norma NTC2050.
Gráfica 2. Infraestructura Soporte

Fuente: Elaboración propia CRC
Las siguientes secciones describen los criterios de dimensionamiento y las respectivas especificaciones de cada uno de los componentes de la infraestructura soporte.
2.2.1. CÁMARA DE ENTRADA. <Numeral modificado a partir del 1 de julio de 2026 por el artículo 3 de la Resolución 7930 de 2025. El texto vigente hasta esta fecha es el siguiente:> <Numeral modificado por el artículo 5 de la Resolución 6771 de 2022. El nuevo texto es el siguiente:>
Por esta cámara ingresarán las redes de los proveedores de servicios de telecomunicaciones y corresponde al punto de ingreso de los prestadores de servicio.
En la cámara de entrada no está permitida la instalación de equipos, empalmes, reservas de cable o cualquier otro elemento que disminuya el espacio disponible para el paso de cables de las redes de los diferentes proveedores de servicios.
Esta cámara debe tener como dimensiones internas mínimas 700 mm de ancho x 1200 mm de largo x 1200 mm de profundidad. Cuando el ancho del andén sea menor de 700 mm, la cámara de entrada será del ancho del andén.
Las cámaras de entradas y de enlace se construirán de acuerdo con las condiciones técnicas establecidas, con materiales que perduren en el tiempo y permitan aumentar la vida útil de los elementos que allí se alojan.
Gráfica 3. Composición cámara de entrada y enlace

Fuente: Elaboración propia CRC
Muros: Deben ser construidos con materiales que garanticen la estabilidad de la obra y las cajas, con refuerzo vertical según cálculo y diseño estructural, dicho refuerzo se suspenderá solo en los puntos donde se permita el paso de los ductos en PVC. Dependiendo de la humedad del terreno y el diseño estructural, en los casos en que la cámara se construya con bloques, las celdas de los bloques deberán estar rellenas de concreto. De igual manera, de acuerdo con el diseño estructural y las condiciones físicas del terreno, los muros se deben impermeabilizar con emulsión asfáltica de características plásticas y anti raíz en el perímetro.
Losa inferior: Vaciada en concreto con refuerzo en malla electrosoldada tipo D84, se debe dejar una caja de drenaje no menor a 20 x 20 x 20 cm, permitiendo que la caja se conserve en un estado seco.
Viga de amarre superior: Viga vaciada en concreto, refuerzo según diseño y recomendación estructural de ser requerido, concreto de 2000 PSI (libra de fuerza por pulgada cuadrada).
Gráfica 4. Ejemplo de construcción de las cámaras de entrada y enlace

Fuente: Elaboración propia CRC
Herraje superior: en la parte superior de la viga en concreto, se instalará un herraje metálico calibre 14 o similar, en ángulos de 1 V2" anclado al perímetro, el cual recibe la tapa superior.
Gráfica 5. Anclaje metálico

Fuente: Elaboración propia CRC
Tapa superior: Debe tener borde metálico con refuerzo en platina tipo triángulo en las cuatro esquinas de la tapa con un ancho mínimo de 15 cm en su ángulo de 90 grados, con refuerzo de malla electrosoldada D84 en su interior y vaciado de concreto 2000 PSI (140 kg, cm2). Si la caja se encuentra en vía vehicular o un lugar donde exista paso de vehículos, la tapa deberá ser vaciada con un concreto de 4000 PSI (280 kg, cm2). Se debe garantizar un sistema de apertura simple para la caja, e identificación en placa estampillada al concreto. Ver detalle de construcción en la Gráfica 6.
Gráfica 6. Detalle de construcción de la tapa

Fuente: Elaboración propia CRC"
2.2.2. CANALIZACIÓN EXTERNA. <Numeral modificado a partir del 1 de julio de 2026 por el artículo 3 de la Resolución 7930 de 2025. El texto vigente hasta esta fecha es el siguiente:> <Numeral modificado por el artículo 8 de la Resolución 5993 de 2020. El nuevo texto es el siguiente:>
Está constituida por los tubos instalados en la zona exterior del inmueble, desde la cámara de entrada hacia la copropiedad. La canalización externa está constituida por tubos de mínimo 3 pulgadas de diámetro nominal.
El dimensionamiento de la canalización externa se realiza en función de la cantidad de cajas de PAU de la copropiedad. En la Tabla 1 se relaciona la cantidad de tubos de acuerdo con el número de cajas de PAU, discriminando el uso de cada uno de ellos.
Tabla 1. Dimensionamiento de la canalización externa

Los elementos que componen la canalización externa se pueden instalar empotrados en superficies o incluso en canalizaciones subterráneas. Los ductos y elementos de estas canalizaciones son exclusivamente para la instalación de las redes internas para la prestación de los servicios de telecomunicaciones en el inmueble, y no pueden ser compartidos con otras redes.
La canalización externa deberá disponerse siguiendo las recomendaciones establecidas en la norma NTC 5797 (Telecomunicaciones - Infraestructura Común de Telecomunicaciones).
Las curvas en los tubos deben tener un radio mínimo en la pared interior de 500 mm y no debe presentar deformaciones en la parte cóncava del tubo.
La canalización externa se construirá de acuerdo con las condiciones técnicas de sus materiales para que los mismos perduren en el tiempo y permitan aumentar la vida útil de los elementos, para lo cual deberán cumplir lo especificado en el ANEXO GENERAL REGLAMENTO TÉCNICO DE INSTALACIONES ELÉCTRICAS (RETIE) numeral 20.6 referente a las canalizaciones y sus normas.
2.2.3. CÁMARA DE ENLACE. <Numeral modificado a partir del 1 de julio de 2026 por el artículo 3 de la Resolución 7930 de 2025. El texto vigente hasta esta fecha es el siguiente:> <Numeral modificado por el artículo 8 de la Resolución 5993 de 2020. El nuevo texto es el siguiente:>
Su función es brindar un espacio de conexión entre la canalización externa y la canalización de enlace, será necesaria cuando se presenten cambios de tipo de medio de canalización (cambios en tipos de tuberías, o cambio de tubería a bandeja portacables, etc.), tramos en tubería muy largos u otros requerimientos asociados a las buenas prácticas para la instalación de canalizaciones.
Podrán ser varias cámaras de enlace en caso de requerirse, o ninguna si las condiciones del diseño no la hacen necesaria. En estas cámaras de enlace no está permitida la instalación de equipos, reservas de cable o cualquier otro elemento que disminuya el espacio disponible para el paso de cables de las redes de alimentación de los diferentes proveedores de servicios.
En caso de ser utilizadas para cambios de dirección en dos sentidos (doble giro, a izquierda y derecha desde un punto central) en lugar de curvas, sus dimensiones internas mínimas serán de 700 mm de ancho x 1200 mm de largo x 1200 mm de profundidad. Si son utilizadas para cambios de dirección en un sentido (un solo giro, a izquierda o derecha, caso en el cual los tubos deberán ubicarse lo más cerca posible a la pared de la cámara) en lugar de curvas, sus dimensiones internas mínimas serán de 700 mm de ancho x 800 mm de largo x 1200 mm de profundidad. Cuando dichas cámaras sean instaladas en los pasos peatonales, o andenes de la copropiedad y el ancho de dicho paso peatonal o andén sea menor de 700 mm, la cámara de enlace será del ancho del paso peatonal o andén. En caso de que las cámaras sean utilizadas en tramos rectos de tubería, únicamente como lugares para el halado de cables, sin cambios de dirección, sus dimensiones podrán ser de 700 mm de ancho x 600 mm de largo x 1200 mm de profundidad.
Para el caso de canalizaciones de enlace instaladas de manera superficial en pared o en cielo, las cámaras de enlace serán reemplazadas por cajas de paso, sin embargo, las cajas de paso deberán instalarse en tramos rectos de tubería y no podrán ser utilizadas en reemplazo de curvas de tubería para realizar cambios de dirección en el tendido del cableado.
Cuando la canalización de enlace superior sea mediante tubos, las cajas de paso deberán disponerse siguiendo las recomendaciones establecidas en la norma NTC 5797 (Telecomunicaciones - Infraestructura Común de Telecomunicaciones).
Las cámaras de entrada y de enlace se construirán de acuerdo con las condiciones técnicas de sus materiales para que los mismos perduren en el tiempo y permitan aumentar la vida útil de los elementos. Por lo que las características de construcción son las mismas que las características determinadas para las cámaras de entrada en el numeral 2.2.1 del presente Reglamento.
2.2.4. CANALIZACIÓN DE ENLACE. <Numeral modificado a partir del 1 de julio de 2026 por el artículo 3 de la Resolución 7930 de 2025. El texto vigente hasta esta fecha es el siguiente:> <Numeral modificado por el artículo 8 de la Resolución 5993 de 2020. El nuevo texto es el siguiente:>
De acuerdo con el diseño de la infraestructura soporte de la red de telecomunicaciones, la copropiedad contará con dos canalizaciones de enlace:
a) La canalización de enlace inferior: Conecta al SETI o al SETU con la canalización externa.
b) La canalización de enlace superior: Conecta al SETS o SETU con el lugar de ubicación de las antenas de captación de señales.
2.2.4.1 CANALIZACIÓN DE ENLACE INFERIOR. <Numeral modificado a partir del 1 de julio de 2026 por el artículo 3 de la Resolución 7930 de 2025. El texto vigente hasta esta fecha es el siguiente:> <Numeral modificado por el artículo 6 de la Resolución 6771 de 2022. El nuevo texto es el siguiente:>
Esta canalización constituye una prolongación de la canalización externa, inicia en su conexión con la canalización externa y finaliza en el salón o gabinete de equipos de telecomunicaciones inferior (SETI) o en el salón de equipos de telecomunicaciones único (SETU), donde aplique, según el diseño adoptado por el constructor. La construcción de la canalización de enlace inferior debe seguir los mismos lineamientos de la canalización externa, definidos en el numeral 2.2.2 del presente Reglamento.
Para el caso de copropiedades en las cuales de acuerdo con el diseño arquitectónico la canalización de enlace se efectúe en sótanos, ésta se podrá realizar usando bandeja portacables, siempre y cuando la obra civil permita el acceso a dicha bandeja en todo el recorrido de la canalización, de forma que facilite las labores de inspección, instalación y mantenimiento a la infraestructura consumible instalada para la prestación de servicios de telecomunicaciones, y adicionalmente estará dimensionada garantizando por lo menos el área disponible equivalente a la cantidad de tubos de 3" que haya sido definida de acuerdo con el cálculo para la canalización de entrada.
Para el caso de copropiedades con un solo salón o gabinete de equipos de telecomunicaciones inferior (SETI) o con un salón de equipos de telecomunicaciones único (SETU), la cantidad, tipo y uso de los tubos son iguales a los definidos para la canalización externa.
Para el caso de copropiedades con varios salones y/o gabinetes de equipos de telecomunicaciones inferior (SETI), podrán construirse ramales que se deriven de la canalización externa o su prolongación y a partir de una cámara de enlace se constituyan en varias canalizaciones de enlace inferior. En este caso el dimensionamiento de los tubos para cada una de ellas se hará con base en el número de cajas de PAU que sirve el salón o gabinete de equipos de telecomunicaciones inferior (SETI) al cual se dirigen, según los criterios definidos para la canalización externa en la Tabla 1.
2.2.4.2. CANALIZACIÓN DE ENLACE SUPERIOR. <Numeral modificado a partir del 1 de julio de 2026 por el artículo 3 de la Resolución 7930 de 2025. El texto vigente hasta esta fecha es el siguiente:> <Numeral modificado por el artículo 8 de la Resolución 5993 de 2020. El nuevo texto es el siguiente:>
Su función es brindar una canalización para el tendido del cableado entre el salón o gabinete para equipos de telecomunicaciones superior (SETS) o el salón de equipos de telecomunicaciones único (SETU) según sea definido por el diseñador, y las antenas u otros elementos de recepción de señales.
La canalización de enlace superior deberá estar constituida como mínimo por dos ductos de 1½ pulgada de diámetro o una canaleta de mínimo 6000 mm2 con dos compartimentos.
Cuando la canalización de enlace superior sea mediante tubos, las cajas de paso deberán disponerse siguiendo las recomendaciones establecidas en la norma NTC 5797 (Telecomunicaciones - Infraestructura Común de Telecomunicaciones).
Las curvas en los tubos deben tener un radio mínimo en la pared interior de 85 mm y no deben presentar deformaciones en la parte cóncava del tubo.
2.2.5. SALONES Y/O GABINETES DE EQUIPOS DE TELECOMUNICACIONES. <Numeral modificado a partir del 1 de julio de 2026 por el artículo 3 de la Resolución 7930 de 2025. El texto vigente hasta esta fecha es el siguiente:> <Numeral modificado por el artículo 7 de la Resolución 6771 de 2022. El nuevo texto es el siguiente:>
Su función es brindar un espacio para la instalación de los equipos de telecomunicaciones suministrados por el constructor para la difusión de la señal para el acceso al servicio de Televisión Digital Terrestre (TDT) y los equipos que los prestadores de servicios de telecomunicaciones instalarán para brindar sus servicios a las viviendas del inmueble.
Para el caso de los inmuebles conformados por varios edificios, a criterio del constructor, y según su diseño, se podrá implementar alguna de las siguientes opciones:
a) Uno o varios salones y/o gabinetes de equipos de telecomunicaciones inferior (SETI) y uno o varios salones y/o gabinetes de equipos de telecomunicaciones superior (SETS) ubicados en los edificios que conforman la copropiedad.
b) Un salón de equipos de telecomunicaciones único para toda la copropiedad (SETU).
Los salones y/o gabinetes de equipos de telecomunicaciones se deben ubicar en espacios reservados de las zonas comunes de los inmuebles; estos espacios deben tener buena ventilación.
Cuando la opción elegida por el constructor es la del literal (a), los equipos de los proveedores de servicios cuyo acceso se realiza mediante redes alámbricas se instalarán en el salón o gabinete de equipos de telecomunicaciones inferior, mientras que los equipos de los proveedores de servicios cuyo acceso se realiza mediante redes inalámbricas y los equipos suministrados por el constructor para la difusión de la señal para el acceso al servicio de Televisión Digital Terrestre (TDT) se deben instalar en el salón o gabinete de equipos de telecomunicaciones superior.
En caso de que la copropiedad cuente con un salón de equipos de telecomunicaciones único, en este se instalarán todos los equipos de los proveedores de servicio y los suministrados por el constructor para la difusión de la señal para el acceso al servicio de Televisión Digital Terrestre (TDT).
Para el caso de SETI y SETS las dimensiones internas mínimas de estos espacios dependen directamente de la cantidad de cajas de PAU que sirven según lo definido en la Tabla 2.
Tabla 1. Dimensionamiento interno de los salones o gabinetes de equipos de telecomunicaciones SETI y SETS
| No. de cajas de PAU | Altura (mm) | Ancho (mm) | Profundidad (mm) |
| Hasta 20 | 2000 | 1000 | 500 |
| De 21 a 30 | 2000 | 1500 | 500 |
| De 31 a 60 | 2000 | 1500 en caso de inmuebles VIP y VIS; 2000 en caso de inmuebles NO VIS | 500 |
| De 60 a 90 | 2000 | 2000 | 1500 |
| Más de 90 | 2000 | 2000 | 2000 |
Fuente: Elaboración propia CRC
En caso de seleccionar la opción de salón de equipos de telecomunicaciones único (SETU) sus dimensiones deberán cumplir como mínimo las definidas en la Tabla 3.
Tabla 2. Dimensionamiento interno de los salones o gabinetes de equipos de telecomunicaciones únicos
| No. de cajas de PAU | Altura (mm) | Ancho (mm) | Profundidad (mm) |
| Hasta 60 | 2300 | 2000 | 2000 |
| De 61 a 120 | 2300 | 2500 | 2000 |
| De 121 a 180 | 2300 | 3000 | 2000 |
| De 181 a 240 | 2300 | 3500 | 2000 |
| De 241 a 300 | 2300 | 4000 | 2000 |
| Más de 300 | 2300 | 4500 | 2000 |
Fuente: Elaboración propia CRC
La ubicación de los salones y/o gabinetes de equipos de telecomunicaciones depende del diseño de la infraestructura soporte de la red interna de telecomunicaciones del inmueble. Su ubicación será coordinada en base al diseño arquitectónico, al igual que los materiales de acabado deberán conservar una referencia con la estética del proyecto.
Para la construcción de salones de equipos de telecomunicaciones, estos deberán tener en cuenta las siguientes consideraciones:
- Losa de piso: Vaciada en concreto y acabado pulido o similar, de acuerdo con las condiciones técnicas de la NSR10. Se debe garantizar un drenaje de piso que permita evitar una posible filtración de agua.
- Cerramiento: Muros en bloque de concreto o ladrillos de arcilla, con refuerzos según norma NSR10 de elementos no estructurales, estos muros deben garantizar el anclaje de cajas, gabinetes, bandejas portacables y cualquier otro elemento necesario para el correcto funcionamiento de la red de telecomunicaciones.
- Cielo: el cielo o acabado de cubierta depende del diseño estructural planteado para el edificio, se puede considerar, sistemas tradicionales, como placa fácil, losa maciza, metal deck, losa aligerada, entre otros.
- Puerta: Ala y marco fabricadas en lámina metálica en cold rolled o similar, ancho mínimo de 900 mm y altura mínima a 2000 mm, marco igual a puerta, apertura hacia el exterior, ala con persiana inferior que permita ventilación, acabado con pintura anticorrosiva y color de acuerdo con criterio arquitectónico.
En el caso de salones de equipos de telecomunicaciones cuyas dimensiones sean 2000 mm x 1500 mm x 500 mm (alto, ancho, profundo), por motivos de funcionalidad, estética, fabricación, y capacidad útil del salón, se podrán implementar dos (2) alas con ancho mínimo de 750 mm de y 2000 mm de alto.
- Cerradura: cerradura de manija integrada. Ver detalle en la Gráfica 7.
Gráfica 1. Detalle de la puerta

Fuente: Elaboración propia CRC
En caso de que por el tipo de proyecto se opte por la construcción de gabinete en lugar del salón de equipos, este deberá cumplir con lo especificado en la norma NTC 3608 (Especificaciones técnicas para armarios, cajas de dispersión, gabinetes y pedestales para redes de telecomunicaciones).
Los salones y/o gabinetes de equipos de telecomunicaciones estarán equipados con un sistema de escalerillas o canaletas horizontales de mínimo 10 cm de ancho para el tendido de los cables. La escalerilla o canaleta se dispondrá en todo el perímetro interior a 300 mm del techo.
El acceso a estos salones y/o gabinetes de equipos de telecomunicaciones debe ser controlado y la llave estará en poder del constructor o propietario inicial hasta su entrega a la administración provisional o administración de la copropiedad. La administración provisional o la administración deberá facilitar el acceso a los distintos proveedores de servicios para efectuar los trabajos de instalación y mantenimiento necesarios.
Los salones y/o gabinetes de equipos de telecomunicaciones deben estar protegidos de la humedad y al menos a dos (2) metros de distancia de transformadores eléctricos, cuartos de máquinas de ascensores, de cuartos de equipos de aire acondicionado, o cuartos en los cuales se alojen equipos que puedan generar interferencia electromagnética o presenten riesgos de seguridad.
El salón y/o gabinete de equipos de telecomunicaciones debe disponer de ventilación natural o mecánica, para lo cual se deberá dar aplicación a lo establecido en la norma NTC 5183.
2.2.6. CANALIZACIÓN DE DISTRIBUCIÓN. <Numeral modificado a partir del 1 de julio de 2026 por el artículo 3 de la Resolución 7930 de 2025. El texto vigente hasta esta fecha es el siguiente:> <Numeral modificado por el artículo 8 de la Resolución 5993 de 2020. El nuevo texto es el siguiente:>
Su función es brindar un espacio para la instalación del cableado desde los salones y/o gabinetes de equipos de telecomunicaciones hacia los gabinetes de piso. En el caso de edificios de varios pisos la canalización de distribución inicia en el salón y/o gabinete de equipos de telecomunicaciones y termina en el gabinete de piso ubicado en cada uno de los pisos del edificio. Para el caso de inmuebles de viviendas unifamiliares la canalización de distribución inicia en el salón y/o gabinete de equipos de telecomunicaciones y termina en la cámara de distribución a la que conecta con la vivienda.
La canalización de distribución se recomienda sea rectilínea, en el caso de los edificios de varios pisos sería fundamentalmente vertical y en su recorrido según el diseño definido por el constructor debe unir los salones y/o gabinetes de equipos de telecomunicaciones superior e inferior, como se muestra en la Gráfica 8 y debe contar con la capacidad para alojar los cables que se instalarán entre los salones y/o gabinetes de equipos de telecomunicaciones y las viviendas de la copropiedad por los prestadores de servicios de telecomunicaciones, así como la red para el acceso al servicio de Televisión Digital Terrestre (TDT) suministrada por el constructor. Dicha capacidad será definida en función del número de cajas de PAU de acuerdo con las condiciones establecidas en el presente numeral.
Esta canalización podrá estar enterrada, empotrada o ir superficialmente y materializarse mediante tubería, canaletas o bandejas portacables en las que se alojarán exclusivamente redes de telecomunicación. Su tendido será por la zona común del inmueble y en cualquier caso por zonas accesibles. Los tramos verticales de la canalización de distribución deberán dotarse de elementos que permitan la sujeción del cableado futuro mínimo cada 3 metros o cuando se presente un cambio de medio de conducción. Cuando se instalan canaletas, se deben incorporar unas tapas de inspección para trayectos mayores de 3 metros de recorrido, para facilidad de instalación y mantenimiento de los cableados.
Debido al tipo de construcción, el inmueble puede requerir de más de una canalización permitiendo que se instalen varias secciones de distribución vertical para dar servicio a las diferentes zonas del inmueble. En inmuebles con distribución en varias verticales, cada vertical se dimensionará como una canalización de distribución independiente, partiendo todas ellas del salón y/o gabinete de equipos de telecomunicaciones.
La canalización de distribución se construirá de acuerdo con las condiciones técnicas de sus materiales para que los mismos perduren en el tiempo y permitan aumentar la vida útil de los elementos, deberán cumplir lo especificado en el ANEXO GENERAL REGLAMENTO TÉCNICO DE INSTALACIONES ELÉCTRICAS (RETIE) numeral 20.6 referente a las canalizaciones y sus normas.
El constructor deberá suministrar e instalar la tubería o bandejas portacables pertenecientes a la canalización de distribución de acuerdo con el dimensionamiento definido en este numeral del reglamento.
La tubería, canaletas o bandejas portacables deberán brindar capacidad suficiente para el tendido futuro de una cantidad de cable dependiente del número de cajas de PAU a los cuales sirve el tramo de canalización de distribución que parte del gabinete de piso hacia el SETI, SETS o SETU según corresponda.
Para determinar el área transversal de la canalización de distribución desde el gabinete de piso hacia el SETI, se considera que la canalización deberá contar con capacidad suficiente para el tendido de:
CAPACIDAD EN NÚMERO DE CABLES HACIA EL SETI
=(6 CABLES CADA UNO CON UN DIÁMETRO MÍNIMO DE 6,75MM)
+(1 CABLE CON UN DIÁMETRO DE MÍNIMO DE 5,6 MM
+2 CABLES CON UN DIÁMETRO MÍNIMO DE 3,7MM
+1 CABLE CON UN DIÁMETRO MÍNIMO DE 6,75MM)×NO.CAJAS DE PAU
Gráfica 8. Esquema de canalización de distribución en edificios de varios pisos

Fuente: Elaboración propia CRC
Para determinar el área transversal de la canalización de distribución desde el gabinete de piso hacia el SETS se considera que la canalización deberá contar con capacidad suficiente para el tendido de:
Capacidad en número de cables hacia el SETS
=12 cables cada uno con un diámetro mínimo de 6,75mm
+(1 cable con un diámetro mínimo de 6,75mm)×No.cajas de PAU
La capacidad en canalización para el cable hacia el SETI y hacia el SETS pueden compartir el mismo espacio en canaletas, bandejas portacables o tubería. En caso de que el diseñador opte por la opción de SETU, la canalización desde el gabinete de piso hacia el SETU deberá ser la suma de las capacidades definidas en este artículo para las canalizaciones hacia el SETI y el SETS, dado que el SETU cumple la función de los dos salones o gabinetes de equipos de telecomunicaciones.
2.2.6.1. CANALIZACIÓN DE DISTRIBUCIÓN EN BUITRONES. <Numeral modificado a partir del 1 de julio de 2026 por el artículo 3 de la Resolución 7930 de 2025. El texto vigente hasta esta fecha es el siguiente:> <Numeral modificado por el artículo 8 de la Resolución 5993 de 2020. El nuevo texto es el siguiente:>
En caso de que la canalización de distribución use buitrones, estos dependerán del diseño arquitectónico de la edificación en cuanto a su ubicación espacial, los anchos de estos dependerán del diseño de redes propuesto, de acuerdo con la cantidad de tubería o tamaño de la bandeja portacables. Se debe garantizar una correcta coordinación entre los diseños técnicos estructurales para garantizar un correcto proceso constructivo.
El cerramiento del buitrón debe garantizar que las tuberías estén protegidas contra impactos y aislamiento al fuego. El buitrón puede hacerse en bloque de concreto, ladrillo de arcilla o cerramiento liviano como mampostería, paneles de construcción en seco (superboard, yeso, etc.) o similar, debe garantizar refuerzo vertical de acuerdo con la NSR10 como elemento no estructural en el caso de la mampostería o bloque, en cada nivel del edificio se debe viabilizar acceso a inspección y revisión para posibles reparaciones. El detalle se presenta en la Gráfica 9.
Gráfica 9. Detalle del Buitrón

Fuente: Elaboración propia CRC
2.2.6.2. CANALIZACIÓN DE DISTRIBUCIÓN EN TUBERÍA. <Numeral modificado a partir del 1 de julio de 2026 por el artículo 3 de la Resolución 7930 de 2025. El texto vigente hasta esta fecha es el siguiente:> <Numeral modificado por el artículo 8 de la Resolución 5993 de 2020. El nuevo texto es el siguiente:>
Si el diseño de la canalización se realiza considerando tubos, estos serán de máximo 2 pulgadas de diámetro nominal y de pared interior lisa. Es importante aclarar que los ductos y elementos de estas canalizaciones son exclusivamente para los servicios de telecomunicaciones en el inmueble.
Cuando la canalización sea mediante tubos, las cajas de paso deberán disponerse siguiendo las recomendaciones establecidas en la norma NTC 5797 (Telecomunicaciones - Infraestructura Común de Telecomunicaciones).
Las cajas de paso y cámaras de distribución deberán instalarse en tramos rectos de tubería y no podrán ser utilizadas en reemplazo de curvas de tubería. Para realizar cambios de dirección en canalizaciones ocultas podrán construirse cámaras de distribución de acuerdo con los criterios y dimensiones definidas para las cámaras de enlace.
Las curvas en los tubos deben tener un radio mínimo en la pared interior de 85 mm y no debe presentar deformaciones en la parte cóncava del tubo.
El dimensionamiento de tuberías se realizará usando la siguiente fórmula:
![]()
En donde la cantidad de tubos a instalar corresponde al redondeo al entero superior del resultado del cálculo.
Este tipo de canalizaciones podrá incluir hasta 2 curvas de máximo 90° entre cajas de paso.
El área transversal de un cable corresponde al área de un círculo con diámetro igual al diámetro del cable.
2.2.6.3 CANALIZACIÓN DE DISTRIBUCIÓN POR CANALESTAS O BANDEJAS PORTACABLES. <Numeral modificado a partir del 1 de julio de 2026 por el artículo 3 de la Resolución 7930 de 2025. El texto vigente hasta esta fecha es el siguiente:> <Numeral modificado por el artículo 8 de la Resolución 5993 de 2020. El nuevo texto es el siguiente:>
Si el diseño de la canalización se realiza considerando canaletas o bandejas portacables, el dimensionamiento de la canaleta o bandeja portacables se realizará utilizando la siguiente fórmula:
![]()
El área transversal de un cable corresponde al área de un cuadrado con lado igual al diámetro del cable.
La altura máxima de la canaleta o bandeja portacable será de 8 cm.
Las curvas presentes en rutas de bandejas portacables no podrán tener un radio de curvatura menor a 85 mm.
Para el caso de instalaciones utilizando bandejas portacables la obra civil deberá permitir el acceso a la canaleta o bandeja portacables en toda la ruta, de forma que permita facilitar las labores de inspección, instalación y mantenimiento a la infraestructura consumible instalada para la prestación de servicios de telecomunicaciones.
2.2.7. GABINETES DE PISO Y CÁMARAS DE DISTRIBUCIÓN. <Numeral modificado a partir del 1 de julio de 2026 por el artículo 3 de la Resolución 7930 de 2025. El texto vigente hasta esta fecha es el siguiente:> <Numeral modificado por el artículo 8 de la Resolución 6771 de 2022. El nuevo texto es el siguiente:> Su función es interconectar y alojar los elementos necesarios para la transición entre la canalización de distribución y la canalización de dispersión. Los gabinetes de piso pueden ser empotrados o de superficie, y se ubicarán en las zonas comunitarias y de fácil acceso, deberán cumplir con lo especificado en la norma NTC 3608 (especificaciones técnicas para armarios, cajas de dispersión, gabinetes y pedestales para redes de telecomunicaciones).
Deben disponer de sistema de cierre mediante llaves, las cuales deberán estar a cargo de la administración provisional o la administración. Su diseño y ubicación en la infraestructura debe permitir radios de curvatura de cables de fibra óptica que no afecten su desempeño.
Los gabinetes de piso podrán ser de doble fondo con el objetivo de facilitar la sujeción de elementos en dichos gabinetes.
Los gabinetes de piso deben dotarse de un tomacorriente doble con capacidad mínima de 15 A de corriente alterna. Las cámaras de distribución no dispondrán de alimentación eléctrica.
Las dimensiones del gabinete de piso se establecen dependiendo del número de cajas de PAU que serán atendidos en cada piso. Para efectos del dimensionamiento del gabinete de piso, en aquellos edificios o conjuntos de uso mixto en los que en la planta o piso no exista una demarcación específica por locales u oficinas, se deberá tener en cuenta al menos una caja de punto de acceso al usuario por cada 100 m2 o fracción.
En la Tabla 4 se relacionan las medidas mínimas del gabinete de piso.
Tabla 4. Dimensionamiento de gabinetes de piso o cámaras de distribución
| Requerimiento | Medidas mínimas (ancho x alto x profundo) |
| Hasta 4 cajas de PAU | 500 mm x 700 mm x 200 mm |
| De 5 a 8 cajas de PAU | 550 mm x 1000 mm x 200 mm |
| Cámaras de distribución en el caso que la canalización sea subterránea. (Aplica para vivienda unifamiliar) | 1200 mm x 700 mm x 1200 mm 800 mm x 700 mm x 1200 mm 600 mm x 700 mm x 1200 mm Según lo definido en el numeral 2.2.3 |
Fuente: Elaboración propia CRC.
Cuando en un piso de un edificio deban atenderse una cantidad mayor a 8 PAU podrán instalarse varios gabinetes de piso, cada uno atendiendo un número de PAU de acuerdo con su capacidad. El diseñador podrá optar por instalar un único gabinete en el cual el área del gabinete definida por su ancho y alto sea mayor o igual a la suma de las áreas de los gabinetes que lo reemplazaría, en cualquier caso, la profundidad del gabinete no podrá ser menor a 200 mm, el ancho mínimo no podrá ser menor a 550 mm y el alto mínimo no podrá ser menor a 1000 mm.
En edificaciones donde los muros no permitan una profundidad de 20 cm, se debe construir un pedestal de 10 cm o 15 cm para el apoyo del gabinete.
Si se hace necesario que en un gabinete de piso se instale algún equipo amplificador o igualador de que trata el Capítulo 2.4 (es decir, aquellos requeridos para la red de acceso al servicio de Televisión Digital Terrestre), se utilizarán gabinetes complementarios con las siguientes dimensiones: 450 mm x 450 mm x 150 mm (ancho x alto x profundo).
Para edificios con altura mayor a 20 pisos deberán existir uno o varios gabinetes de piso de las dimensiones mínimas de 550 mm x 2000 mm x 200 mm (ancho x alto x profundo), el cual se instalará acorde al diseño de la edificación, garantizando que la distancia máxima del SETI y SETS a este gabinete no se exceda los 20 pisos. En caso de edificios con menos de 4 viviendas por nivel, podrán servirse hasta 4 viviendas ubicadas en diferentes niveles desde un mismo gabinete de piso. Las viviendas deberán estar ubicadas en pisos adyacentes a la ubicación del gabinete de nivel al que se conecta su canalización de dispersión.
En los casos en que se utilicen salones de equipos de telecomunicaciones inferiores en la planta baja o salones de equipos de telecomunicaciones superiores, en la última planta, podrá habilitarse una parte del salón de equipos de telecomunicaciones para que realice las funciones de gabinete de piso desde donde saldrá la red de dispersión de los distintos servicios hacia las viviendas situadas en dicha planta.
2.2.8. CANALIZACIÓN DE DISPERSIÓN. <Numeral modificado a partir del 1 de julio de 2026 por el artículo 3 de la Resolución 7930 de 2025. El texto vigente hasta esta fecha es el siguiente:> <Numeral modificado por el artículo 8 de la Resolución 5993 de 2020. El nuevo texto es el siguiente:>
Su función es brindar un espacio para la instalación del cableado desde el gabinete de piso (vivienda multifamiliar) o la cámara de distribución (vivienda unifamiliar) hacia las viviendas del inmueble.
La canalización de dispersión se construirá de acuerdo con las condiciones técnicas de sus materiales para que estos perduren en el tiempo y permitan aumentar la vida útil de los elementos, deberán cumplir lo especificado en el ANEXO GENERAL REGLAMENTO TÉCNICO DE INSTALACIONES ELÉCTRICAS (RETIE) numeral 20.6 referente a las canalizaciones y sus normas. El constructor deberá suministrar e instalar la tubería o bandejas portacables pertenecientes a la canalización de dispersión de acuerdo con el dimensionamiento definido en el presente numeral del reglamento.
La canalización de dispersión puede estar formada por ductos, canaletas, bandejas, escalerillas y demás elementos necesarios de la infraestructura que soporta la red interna de telecomunicaciones.
Esta canalización podrá estar enterrada, empotrada o ir superficialmente y materializarse mediante tubería, canaletas o bandejas portacables en los que se alojarán exclusivamente las redes de telecomunicación, su tendido será por la zona común de la copropiedad o edificación y en cualquier caso por zonas accesibles. Los tramos verticales de la canalización de dispersión deberán dotarse de elementos que permitan la sujeción del cableado futuro mínimo cada 3 metros o cuando se presente un cambio de medio de conducción.
Del gabinete de piso podrán salir varias canalizaciones de dispersión que deben tener capacidad de alojar todos los cables para los servicios de telecomunicaciones de las unidades privadas a las que sirvan. A cada vivienda se llegará con mínimo dos tubos de ¾" hasta la caja de PAU.
En caso de que se utilicen tramos de la canalización de dispersión para brindar servicio a varias cajas de PAU se utilizarán la tubería, canaletas o bandejas portacables con capacidad suficiente para el tendido futuro de una cantidad de cable dependiente del número de cajas de PAU a los cuales sirve el tramo de canalización de dispersión según se define en la siguiente fórmula:
Capacidad en número de cables hacia el gabinete de piso o cámara de distribución
=(2 cable cada uno con un diámetro mínimo de 5,6mm
+2 cables cada uno con un diámetro mínimo de 3,7mm
+3 cable cada uno con un diámetro mínimo de 6,75mm)×No.cajas de PAU
2.2.8.1. CANALIZACIÓN DE DISPERSIÓN POR TUBERÍA. <Numeral modificado a partir del 1 de julio de 2026 por el artículo 3 de la Resolución 7930 de 2025. El texto vigente hasta esta fecha es el siguiente:> <Numeral modificado por el artículo 9 de la Resolución 6771 de 2022. El nuevo texto es el siguiente:>
La canalización de dispersión por tubería estará conformada entre otros por elementos tales como tubos y cajas, los cuales se pueden instalar empotrados en superficies o incluso en canalizaciones subterráneas. Es importante aclarar que los ductos y elementos de estas canalizaciones son exclusivamente para los servicios de telecomunicaciones en el inmueble.
Cuando la canalización sea mediante tubos, las cajas de paso deberán disponerse siguiendo las recomendaciones establecidas en la norma NTC 5797 (Telecomunicaciones - Infraestructura Común de Telecomunicaciones).
Las cajas de paso deberán instalarse en tramos rectos de tubería y no podrán ser utilizadas en reemplazo de curvas de tubería.
Las curvas en los tubos deben tener un radio mínimo en la pared interior de 85 mm y no debe presentar deformaciones en la parte cóncava del tubo.
En caso de que se utilicen tramos de la canalización de dispersión para brindar servicio a varios PAU se utilizará la cantidad necesaria de tubería de máximo 2 pulgadas de diámetro nominal y de pared interior lisa.
El dimensionamiento de tuberías se realizará usando la siguiente fórmula:
Cantidad de tubos=(Suma del área transversal de los cables definidos en el cálculo de capacidad)/([área interna del tubo]*(1-0,15 * [cantidad de curvas])* 0,5)
En donde la cantidad de tubos a instalar corresponde al redondeo al entero superior del resultado del cálculo.
Este tipo de canalizaciones podrá incluir hasta 2 curvas de máximo 90° entre el gabinete de piso y cualquier PAU que sea atendido desde dicho gabinete. Si se requieren más curvas, deberán implementarse cajas de paso y en todo caso, solo se podrán incluir hasta 2 curvas de máximo 90° entre los diferentes puntos de halado como lo son el gabinete, las cajas de paso o el PAU.
El área transversal de un cable corresponde al área de un círculo con diámetro igual al diámetro del cable.
2.2.8.2. CANALIZACIÓN DE DISPERSIÓN POR CANALETAS O BANDEJAS PORTACABLES. <Numeral modificado a partir del 1 de julio de 2026 por el artículo 3 de la Resolución 7930 de 2025. El texto vigente hasta esta fecha es el siguiente:> <Numeral modificado por el artículo 8 de la Resolución 5993 de 2020. El nuevo texto es el siguiente:>
El dimensionamiento de la canaleta o bandeja portacables se realizará utilizando la siguiente fórmula:
Área interna de la bandeja portacables
= Suma del área transversal de los cables × 2
El área transversal de un cable corresponde al área de un cuadrado con lado igual al diámetro del cable.
La altura máxima de la canaleta o bandeja portacable será de 8 cm.
Las curvas presentes en rutas de bandejas portacables no podrán tener un radio de curvatura menor a 85 mm.
Para el caso de instalaciones utilizando bandejas portacables la obra civil deberá permitir el acceso a la canaleta o bandeja portacables en toda la ruta, de forma que permita facilitar las labores de inspección, instalación y mantenimiento a la infraestructura consumible instalada para la prestación de servicios de telecomunicaciones.
2.2.9. CAJA DE PUNTO DE ACCESO AL USUARIO (CAJA DE PAU). <Numeral modificado a partir del 1 de julio de 2026 por el artículo 3 de la Resolución 7930 de 2025. El texto vigente hasta esta fecha es el siguiente:> <Numeral modificado por el artículo 10 de la Resolución 6771 de 2022. El nuevo texto es el siguiente:>
Son cajas de paso que tienen como función interconectar y alojar los elementos necesarios para la transición entre la canalización de dispersión y la red interna de usuario. Estarán en el interior de cada vivienda, ubicadas preferiblemente lo más central posible dentro de la vivienda. Adicionalmente se dotará una caja de PAU para los servicios a la copropiedad el cual se ubicará en zona común del inmueble, preferiblemente en la oficina de administración. En los edificios de uso mixto se ubicará una caja de PAU por cada local comercial, y en caso de que no existan divisiones definidas, se deberá ubicar una caja de PAU por cada 100 m2 o fracción.
Pueden ser de montaje superficial o empotrado, en material plástico o metálico. Deberán disponer de las entradas necesarias para que la canalización de dispersión y la red interna de usuario se conecten a ellos.
Las cajas de PAU podrán ser de doble fondo con el objetivo de facilitar la sujeción de elementos en dichas cajas.
Las medidas mínimas de la caja de punto de acceso al usuario deberán ser de 300 mm x 500 mm x 60 mm (alto, ancho, profundo), se deberán instalar a más de 200 milímetros y menos de 2300 milímetros del suelo. Deberán contar en sus inmediaciones (máximo 500 mm) con un tomacorriente de corriente alterna o base de enchufe para la conexión de mínimo dos dispositivos activos.
La tapa frontal de la caja de acceso al usuario (caja de PAU) deberá contar con una perforación para la salida de cables de un área de entre 2400 mm2 y 3200 mm2.
2.2.10. CANALIZACIÓN INTERNA DE USUARIO. <Numeral modificado a partir del 1 de julio de 2026 por el artículo 3 de la Resolución 7930 de 2025. El texto vigente hasta esta fecha es el siguiente:> <Numeral modificado por el artículo 11 de la Resolución 6771 de 2022. El nuevo texto es el siguiente:>
Su función es brindar un espacio para la instalación del cableado de la red interna de usuario. El diseñador podrá escoger libremente la topología de esta infraestructura, siempre y cuando garantice la disponibilidad de espacios de acuerdo con las recomendaciones que se encuentran a continuación.
Cuando el diseñador escoja la topología tipo árbol para la canalización interna de usuario deberá separar las canalizaciones de la red para el acceso al servicio de TDT de las canalizaciones asignadas a la red interna de telecomunicaciones para los proveedores de servicios.
Esta canalización puede materializarse mediante el uso de canaletas o tubos empotrados, generalmente con tramos horizontales y verticales.
Los tramos verticales de la canalización interna deberán dotarse de elementos que permitan la sujeción del cableado futuro mínimo cada 6 metros o cuando se presente un cambio de medio de conducción.
Para efectos de análisis y distribución de la red, serán consideradas canalizaciones internas de usuario: i) el tendido de canalización desde la caja de PAU de la copropiedad ubicado en una zona común del inmueble a las tomas de usuario ubicadas en diferentes zonas comunes, y ii) el tendido de canalización desde la caja de PAU a las tomas de usuario ubicadas al interior de la vivienda.
La tubería, canaletas o bandejas portacables deberán brindar capacidad suficiente para el tendido futuro de una cantidad de cable dependiente del número de cajas de tomas de usuario a los cuales sirve el tramo de canalización interna de usuario de acuerdo con la siguiente fórmula:
Capacidad en número de cables hacia la caja de PAU
= (2 Cables con un diámetro mínimo de 6,6 mm)X No. Tomas de Usuario
2.2.10.1. CANALIZACIÓN INTERNA DE USUARIO POR TUBERÍA. <Numeral modificado a partir del 1 de julio de 2026 por el artículo 3 de la Resolución 7930 de 2025. El texto vigente hasta esta fecha es el siguiente:> <Numeral modificado por el artículo 8 de la Resolución 5993 de 2020. El nuevo texto es el siguiente:>
En el caso que la canalización interna de usuario se realice mediante el uso de ductos, estos deben ser de material plástico de acuerdo con la Norma NTC 979, corrugados o lisos que irán empotrados por el interior de la unidad privada.
Cuando la canalización sea mediante tubos, las cajas de paso deberán disponerse siguiendo las recomendaciones establecidas en la norma NTC 5797 (Telecomunicaciones - Infraestructura Común de Telecomunicaciones).
El constructor marcará o etiquetará cada uno de los tubos para identificar cuáles son las cajas de toma de usuario que alimenta.
Las curvas en los tubos deben tener un radio mínimo en la pared interior de 85 mm y no debe presentar deformaciones en la parte cóncava del tubo.
El dimensionamiento de tuberías se realizará usando la siguiente fórmula:
Cantidad de tubos =(Suma del área transversal de los cables definidos en el cálculo de capacidad)
/([área interna del tubo]*(1-0,15 * [cantidad de curvas])* 0,5 )
En donde la cantidad de tubos a instalar corresponde al redondeo al entero superior del resultado del cálculo.
Este tipo de canalizaciones podrá incluir hasta 2 curvas de máximo 90° entre cajas de paso, con excepción en los tramos embebidos en la losa en tubería flexible menores a 15 metros.
El área transversal de un cable corresponde al área de un círculo con diámetro igual al diámetro del cable.
2.2.10.2. CANALIZACIÓN INTERNA DE USUARIO POR CANALETAS O BANDEJAS PORTACABLES. <Numeral modificado a partir del 1 de julio de 2026 por el artículo 3 de la Resolución 7930 de 2025. El texto vigente hasta esta fecha es el siguiente:> <Numeral modificado por el artículo 8 de la Resolución 5993 de 2020. El nuevo texto es el siguiente:>
En el caso de que la canalización se realice mediante el uso de canaletas, estas deben ser de material plástico, en montaje superficial o a ras.
La ubicación de la caja de toma de usuario y la conexión del cableado no deberá obstaculizar en ningún modo el área transversal de la canaleta o bandeja portacables, en caso de dotarse de un accesorio de la canaleta para la ubicación de la toma de usuario este deberá contar con un volumen interno equivalente al de una caja de toma de usuario para la manipulación del cableado y la conexión de toma de usuario.
El dimensionamiento de la canaleta o bandeja portacables se realizará utilizando la siguiente fórmula:
El área transversal de un cable corresponde al área de un cuadrado con lado igual al diámetro del cable.
La altura máxima de la canaleta o bandeja portacable será de 5 cm.
Las curvas presentes en rutas de bandejas portacables no podrán tener un radio de curvatura menor a 85 mm.
Para el caso de instalaciones utilizando bandejas portacables la obra civil deberá permitir el acceso a la canaleta o bandeja portacables en toda la ruta, de forma que permita facilitar las labores de inspección, instalación y mantenimiento a la infraestructura consumible instalada para la prestación de servicios de telecomunicaciones.
2.2.11. CAJAS DE TOMA DE USUARIO. <Numeral modificado a partir del 1 de julio de 2026 por el artículo 3 de la Resolución 7930 de 2025. El texto vigente hasta esta fecha es el siguiente:> <Numeral modificado por el artículo 12 de la Resolución 6771 de 2022. El nuevo texto es el siguiente:>
Su función es brindar un espacio para alojar las tomas de usuario, así como espacio suficiente para realizar las conexiones entre la toma de usuario y el cableado de la red interna de usuario. Es de anotar que las tomas de usuario podrán ser de diferentes tecnologías, algunas de ellas son: cable de par trenzado, cable coaxial o fibra óptica.
Las cajas de toma de usuario irán empotradas en la pared, y deberán disponer para la fijación del elemento de conexión (toma de usuario) de al menos dos orificios para tornillos separados entre sí. Las dimensiones internas mínimas de las cajas serán las siguientes: para las cajas metálicas 101 mm de ancho, 101 mm de largo y 47,6 mm de profundidad y para cajas no metálicas 97 mm de ancho, 97 mm de largo y 41 mm de profundidad, garantizando siempre espacio suficiente para alojar los elementos.
Estas cajas de toma de usuario en una topología tipo árbol de la red interna del usuario podrán ser usadas como caja de paso para llevar servicio a otras cajas de toma de usuario, siempre y cuando se garantice el espacio para manipular el cableado, así como para alojar la toma de usuario y cumpla con las dimensiones mínimas exigidas para las cajas de tomas de usuario en este numeral.
Con excepción de las cajas de toma de usuario utilizadas para la difusión de la señal de Televisión Radiodifundida Terrestre (TDT), estas deberán incluir un accesorio tapa ciega o tapa tipo salida cordón según el diseño, respetando la estética de los inmuebles.
Para cajas de otra geometría, no podrán en su ancho o alto tener dimensiones menores a 101 mm, ni una profundidad menor a 47,5 mm para el caso de cajas metálicas, o 41 mm para cajas no metálicas. Adicionalmente deberán estar dotadas en su parte frontal de elementos que permitan la instalación de accesorios comunes usados en cajas de 101 mm x 101 mm.
Las cajas de toma de usuario tendrán en sus inmediaciones (máximo 500 mm) una toma de corriente alterna, o base de enchufe.
Para el caso de inmuebles de uso residencial se dispondrá como mínimo lo siguiente:
- Para inmuebles cuyo precio sea igual o inferior al definido por las normas vigentes que reglamentan el precio de la Vivienda de Interés Social (VIS): se deberá dotar un espacio por cada cuatro espacios habitacionales o fracción, con tres (3) cajas de toma de usuario. En cada uno de los demás espacios habitacionales (sin contemplar las cocinas), se instalará una (1) caja de toma de usuario.
- Para inmuebles cuyo precio sea superior al definido por las normas vigentes que reglamentan el precio de la Vivienda de Interés Social (VIS) y hasta 280 smmlv: se deberá instalar (excluyendo las cocinas), tres (3) cajas de toma de usuario por uno de cada dos espacios habitacionales. En cada uno de los demás espacios habitacionales, incluyéndose la cocina, se instalará una (1) caja de toma de usuario.
En caso de que la vivienda esté conformada por un solo espacio habitacional el mínimo de cajas de tomas de usuario será cuatro (4).
- Para inmuebles con precio superior a 280 smmlv: se deberán instalar cuatro (4) cajas de toma de usuario por cada espacio habitacional.
Las cantidades incluidas en este numeral incluyen las cajas de tomas de usuario que se usarán para la instalación de las tomas de usuario que pertenecerán a la red para el acceso al servicio de Televisión Digital Terrestre (TDT).
En cada uno de los espacios habitacionales de las zonas comunes de los edificios se deben instalar 3 cajas de toma de usuario para permitir el acceso a los servicios de telecomunicaciones por parte de la comunidad.
2.2.12. CAJAS DE PASO. <Numeral modificado a partir del 1 de julio de 2026 por el artículo 3 de la Resolución 7930 de 2025. El texto vigente hasta esta fecha es el siguiente:> <Numeral modificado por el artículo 13 de la Resolución 6771 de 2022. El nuevo texto es el siguiente:>
Las cajas de paso son elementos con entradas laterales previamente troqueladas e iguales en sus cuatro paredes, a las que se podrán acoplar conos ajustables multidiámetro para la entrada de conductos.
Las cajas de paso deberán instalarse en tramos rectos de tubería y no podrán ser utilizadas en reemplazo de curvas de tubería para realizar cambios de dirección en el tendido del cableado.
La obra civil deberá permitir el acceso a la caja de paso, de forma que su tapa pueda ser removida para la instalación, mantenimiento e inspección del cableado.
Deberán contar con el volumen suficiente para una apropiada manipulación del cableado, acorde con el diámetro de la tubería con la cual conectará y en ningún caso podrán tener un ancho o largo menor a 100 mm.
2.3. INSTALACIONES ELECTRICAS REQUERIDAS. <Numeral modificado a partir del 1 de julio de 2026 por el artículo 4 de la Resolución 7930 de 2025. El texto vigente hasta esta fecha es el siguiente:> <Numeral modificado por el artículo 14 de la Resolución 6771 de 2022. El nuevo texto es el siguiente:>
Las instalaciones eléctricas requeridas por la red interna de telecomunicaciones en los inmuebles de propiedad horizontal deberán cumplir con todos los requerimientos eléctricos estipulados en el Reglamento Técnico de Instalaciones Eléctricas RETIE y en la norma técnica colombiana de protección contra descargas atmosféricas la NTC4552.
Para la instalación eléctrica requerida en los salones y/o gabinetes de equipos de telecomunicaciones, se debe implementar un alimentador desde el tablero de servicios generales o de los tableros auxiliares de zonas comunes hasta dicho salón. Estos tableros de energía eléctrica para telecomunicaciones deben estar asociados al medidor de energía de zonas comunes, y el alimentador o alimentadores y sus protecciones eléctricas no deberán ser compartidos con otras cargas eléctricas de zonas comunes.
Para efectos del cálculo de la estimación del valor de potencia eléctrica requerida, esta se podrá realizar considerando el número de tomacorrientes que prestan servicio a los salones de equipos y gabinetes de piso, asociando esta cantidad de tomacorrientes a la potencia eléctrica requerida por los equipos activos para atender dichos usuarios.
El alimentador finalizará en el correspondiente tablero de protección eléctrica en el salón o gabinete de equipos de telecomunicaciones, que debe tener las dimensiones suficientes para instalar en su interior las protecciones eléctricas según la potencia y equipos estimados, y una previsión para su ampliación en un 30% según diseño de cargas eléctricas para equipos de telecomunicaciones.
A continuación, se describen las características que se deben tener en cuenta:
a) Para Interruptor termomagnético de corte general: tensión nominal mínima 120 Vac, frecuencia 60 Hz, protección en amperios según cálculo RETIE para proteger el alimentador, poder de corte mínimo según nivel de corto circuito donde esté ubicada la propiedad horizontal no menor a 10 kA.
b) Para Interruptor diferencial de corte general: tensión nominal mínima 120 Vac, frecuencia 60 Hz, protección en amperios según cálculo RETIE para proteger el alimentador, corriente de falla 30 mA de tipo selectivo, poder de corte mínimo según nivel de corto circuito donde esté ubicada la propiedad horizontal no menor a 10 kA.
c) Para Interruptor termomagnético de corte general para la protección de las bases de toma de corriente del salón: tensión nominal mínima 120 Vac, protección en amperios según cálculo RETIE para proteger el alimentador, poder de corte mínimo según nivel de corto circuito donde esté ubicada la propiedad horizontal no menor a 10 kA.
d) En el salón de equipos superior, además, se debe disponer de un interruptor termomagnético de corte para la protección de los equipos de cabecera de la infraestructura de televisión: tensión nominal mínima 120 Vac, protección en amperios según cálculo RETIE para proteger el alimentador, poder de corte mínimo según nivel de corto circuito donde esté ubicada la propiedad horizontal no menor a 10 kA.
Los citados tableros eléctricos de telecomunicaciones se situarán lo más próximo posible a la puerta de entrada del salón y/o gabinete de equipos de telecomunicaciones, tendrán tapa y podrán ir instalados de forma empotrada o adosado al muro. Deberán ser de materiales que cuenten con los certificados de conformidad de productos RETIE correspondientes, y tener un grado de protección IP e IK según el lugar donde vayan a ser instalados, así como disponer de la bornera y barraje apropiado para la conexión del cable de puesta a tierra de la edificación.
En cada salón y/o gabinete de equipos de telecomunicaciones debe haber como mínimo dos tomacorrientes con polo a tierra y capacidad mínima de 15 A. En el salón y/o gabinete de equipos de telecomunicaciones superior se dispondrá, además, como mínimo de dos tomacorrientes con polo a tierra necesarios para alimentar los equipos de cabecera o los equipos de comunicaciones. Para el caso de salones únicos, se deberá disponer como mínimo de cuatro tomacorrientes con polo a tierra y capacidad mínima de 15 A.
Los salones de telecomunicaciones deberán contar, al igual que los cuartos técnicos eléctricos o de subestaciones, con un nivel medio de iluminación de 300 lux como lo indica el Reglamento de Iluminación y Alumbrado Público RETILAP que remite a la IESNA, así como un aparato de iluminación autónomo de emergencia según los requerimientos del RETIE.
2.3.1. SEGURIDAD ELÉCTRICA. <Numeral modificado por el artículo 9 de la Resolución 5993 de 2020. El nuevo texto es el siguiente:>
La infraestructura soporte para la red interna de telecomunicaciones deberá estar implementada cumpliendo los aspectos relativos a la seguridad eléctrica de manera que se satisfaga lo establecido en:
a) El Reglamento Técnico de Instalaciones Eléctricas (RETIE), establecido mediante la Resolución 90708 de 2013 expedida por el Ministerio de Minas y Energía, o las demás normas que lo deroguen, sustituyan o modifiquen.
b) Norma Técnica Colombiana NTC 2050 Código eléctrico colombiano, o aquella norma que la modifique, sustituye o complemente.
c) La Norma Técnica Colombia NTC 5797, capítulo 8, relativo a interconexión equipotencial y apantallamiento, protecciones contra descargas atmosféricas y requisitos de la red de telefonía de usuario, o aquella norma que la modifique, sustituye o complemente.
d) La Norma Técnica Colombia NTC 4552, protección contra descargas atmosféricas, o aquella norma que la modifique, sustituye o complemente.
2.4. ESPECIFICACIONES TÉCNICAS DE LA RED PARA EL ACCESO AL SERVICIO DE TELEVISIÓN DIGITAL TERRESTRE (TDT). <Numeral modificado a partir del 1 de julio de 2026 por el artículo 4 de la Resolución 7930 de 2025. El texto vigente hasta esta fecha es el siguiente:> <Numeral modificado por el artículo 15 de la Resolución 6771 de 2022. El nuevo texto es el siguiente:>
El presente capítulo establece el alcance, la estructura de la red para el acceso al servicio de Televisión Digital Terrestre (TDT), las especificaciones técnicas relativas al diseño, instalación y uso, así como los aspectos de seguridad eléctrica y de compatibilidad electromagnética.
La red para el acceso al servicio de TDT tiene como función la distribución de las señales recibidas en la red de captación, la cual de manera obligatoria deberá satisfacer los requerimientos que se relacionan a continuación:
a) Permitir la distribución de la señal, de manera transparente, entre los elementos de captación y la toma de usuario en la banda de frecuencias autorizadas para dichos servicios en Colombia.
b) Disponer de los elementos necesarios para proveer en la toma de usuario las señales de televisión con los niveles de calidad indicados en el presente capítulo.
c) Asegurar una óptima utilización de recursos (cables, ductos, regletas, conectores, tomas de usuario).
d) Tener en cuenta los parámetros técnicos generales de las señales de televisión radiodifundida terrestre en Colombia, para la emisión de señales de TDT por parte de los operadores de televisión radiodifundida en las diferentes modalidades del servicio, según lo establecido en el Acuerdo número 002 de 2012 expedido por la CNTV o la norma que la modifique, adicione o sustituya, y en la regulación de la CRC sobre esta materia.
e) Tener en cuenta el Plan de Utilización de Frecuencias (PUF) utilizado en el servicio de televisión radiodifundida en la República de Colombia y contenido en el Acuerdo número 003 de 2009 expedido por la CNTV o la norma que la modifique, adicione o sustituya, así como en la Resolución número 2623 de 2009 expedida por el Ministerio de Tecnologías de la Información y las Comunicaciones o la norma que la modifique, adicione o sustituya. Adicionalmente, el sistema de recepción de TDT debe permitir la recepción de los canales 14 a 51 y excluir los canales 52 al 69, a efectos de evitar en el futuro posibles interferencias de servicios IMT.
f) Incluir todos los elementos necesarios para la captación, adaptación y distribución de las señales de los canales de TDT que, aun cuando no se encuentren operando en la fecha en que se realizan los proyectos, dispongan del título habilitante y en cuya zona de cobertura prevista esté localizada la edificación.
Los productos que sean utilizados en la red para el acceso al servicio de TDT deberán cumplir con los aspectos relativos a la protección de la vida de los usuarios, específicamente en materia de: i) flamabilidad, ii) acidez y toxicidad y iii) densidad de humos, de manera que satisfaga por lo menos los criterios establecidos en normas técnicas NTC-IEC 60332-1-3, NTC-IEC 60332-3-22, NTC-IEC 60754-1, NTC-IEC 60754-2 y NTC-IEC 61034-1, sus equivalentes en ISO - IEC o ANSI EIA o aquellas que las modifiquen, sustituyan o complementen.
En cuanto a los productos que forman parte de la infraestructura consumible de la red para el acceso al servicio de TDT, se podrá demostrar el cumplimiento de requisitos establecidos en el presente reglamento a través de una declaración de conformidad de primera parte, debidamente expedida por el fabricante del producto, y en cumplimiento de la norma NTC-ISO/IEC 17050 o aquella que la modifique, sustituya o complemente.
2.4.1. ESPECIFICACIÓN DE LA RED INTERNA PARA EL ACCESO AL SERVICIO DE TELEVISIÓN DIGITAL TERRESTRE (TDT). <Numeral modificado a partir del 1 de julio de 2026 por el artículo 4 de la Resolución 7930 de 2025. El texto vigente hasta esta fecha es el siguiente:> <Numeral modificado por el artículo 10 de la Resolución 5993 de 2020. El nuevo texto es el siguiente:>
La red para el acceso al servicio de Televisión Digital Terrestre (TDT) del inmueble, está compuesta por los siguientes elementos:
2.4.1.1. ELEMENTOS DE CAPTACIÓN. <Numeral modificado a partir del 1 de julio de 2026 por el artículo 4 de la Resolución 7930 de 2025. El texto vigente hasta esta fecha es el siguiente:> <Numeral modificado por el artículo 10 de la Resolución 5993 de 2020. El nuevo texto es el siguiente:>
Las antenas y elementos anexos (mástiles, torres, soportes, anclajes, riostras, riendas, tensores y demás elementos necesarios) deberán ser de materiales nuevos y resistentes a la corrosión o tratados convenientemente para evitar estos efectos.
Los mástiles o tubos que sirvan de soporte a las antenas y elementos conexos deberán estar diseñados de forma que se impida, o al menos se dificulte, la entrada de agua en ellos y, en todo caso, se garantice la evacuación de la que se pudiera recoger.
Los mástiles de antena deberán estar conectados al sistema de puesta de tierra de la edificación a través del camino más corto posible conforme a las especificaciones técnicas establecidas en el RETIE. Las antenas, torres y sus elementos conexos deberán cumplir las disposiciones de seguridad eléctrica establecidas en dicho reglamento.
Los mástiles de antenas se fijarán a elementos resistentes y accesibles, y alejados de chimeneas u otros obstáculos.
Las antenas y elementos del sistema captador de señales deberán soportar las cargas de viento calculadas mediante el procedimiento establecido en las Normas Colombianas de Construcción Sismorresistente adoptadas mediante el Decreto 926 de 2010, o la norma que lo modifique o sustituya.
Los cables de conexión serán del tipo intemperie o en su defecto deberán estar protegidos adecuadamente.
2.4.1.2. ELEMENTOS DE CABECERA. <Numeral modificado a partir del 1 de julio de 2026 por el artículo 4 de la Resolución 7930 de 2025. El texto vigente hasta esta fecha es el siguiente:> <Numeral modificado por el artículo 10 de la Resolución 5993 de 2020. El nuevo texto es el siguiente:>
El equipo de cabecera estará compuesto por todos los elementos activos y pasivos encargados de procesar las señales de radiodifusión de Televisión Digital Terrestre. Adicionalmente, deberá satisfacer las especificaciones establecidas en la norma IEC 60728-5 (Cable networks for television signals, sound signals and interactive services - Part 5: Headend equipment).
Todos los equipos conectados directamente a la antena receptora deberán cumplir los requisitos de inmunidad especificados en la norma IEC 60728-2 (Cabled distribution systems for televisión and sound signals - Part 2: Electromagnetic compatibility for equipment).
2.4.1.3. ELEMNTOS DE DIFUSIÓN. <Numeral modificado a partir del 1 de julio de 2026 por el artículo 4 de la Resolución 7930 de 2025. El texto vigente hasta esta fecha es el siguiente:> <Numeral modificado por el artículo 10 de la Resolución 5993 de 2020. El nuevo texto es el siguiente:>
Por cada PAU se debe instalar solo un cable por el que se transmitan las señales de Televisión Digital Terrestre (TDT).
Los cables deberán cumplir con las especificaciones técnicas que permitan satisfacer en las tomas de usuario de televisión los objetivos de calidad especificados en el presente reglamento. Los cables también deberán cumplir con niveles de aislamiento adecuados para evitar interferencias de señales sobre el sistema.
Las características técnicas requeridas de los cables son las siguientes:
a) Cubierta no propagadora de la llama para instalaciones interiores.
b) Donde sea necesario, el cable deberá estar dotado con un compuesto antihumedad contra la corrosión, asegurando su estanqueidad longitudinal.
Los cables, elementos y equipos utilizados en la red para el acceso al servicio de TDT deberán cumplir con las condiciones establecidas en la Norma Técnica NTC 205056.
No se podrán utilizar los gabinetes de piso para la ubicación de amplificadores de la señal de TDT, para esto se utilizarán gabinetes complementarios con las siguientes dimensiones: 450 mm x 450 mm x 150 mm, los cuales deberán estar ubicados lo más próximo posible al gabinete de piso.
2.4.1.4. TOMA DE USUARIO DE SEÑAL DE TELEVISIÓN. <Numeral modificado a partir del 1 de julio de 2026 por el artículo 4 de la Resolución 7930 de 2025. El texto vigente hasta esta fecha es el siguiente:> <Numeral modificado por el artículo 16 de la Resolución 6771 de 2022. El nuevo texto es el siguiente:>
Para televisión abierta radiodifundida, cada una de las salidas de las tomas de conexión de usuario al interior del inmueble del usuario final deberá disponer de un conectar tipo F hembra con impedancia de 75 P2 que cumpla la norma IEC 61169-24 (Radio-frequency connectors - Part 24: Sectional specification - Radio frequency coaxial connectors with screw coupiing, typicaiiy for use in 75 P2 cable networks (typeF)).
Para el caso de inmuebles de uso residencial se dispondrá como mínimo lo siguiente:
a) Para inmuebles cuyo precio sea igual o inferior al definido por las normas vigentes que reglamentan el precio de la Vivienda de Interés Social (VIS): se debe dotar 1 de cada 4 espacios habitacionales o fracción con una toma de usuario de televisión.
b) Para inmuebles cuyo precio sea superior al precio definido por las normas vigentes que reglamentan el precio de la Vivienda de Interés Social (VIS) y hasta 280 smmlv; se debe instalar (excluyendo la cocina), una (1) toma de usuario de televisión en cada espacio.
c) Para inmuebles con precio superior a 280 smmlv, se debe instalar una (1) toma de usuario de televisión por cada espacio habitacional.
d) Se debe instalar como mínimo una (1) toma de usuario de televisión en el salón comunal del inmueble.
Para zonas en el área de cobertura de servicios de TDT, las tomas de usuario de televisión deberán cumplir con los siguientes parámetros de calidad de la señal:
a) Intensidad de señal entre 47 y 70 dBpV para señales de TV en ei rango de frecuencias de 470 a 698 MHz.
b) BER: máxima de 10-7 después del decodificador LDPC, lo cual, corresponde aproximadamente a un BER final de 10-11 después del decodificador BCH.
Para zonas fuera del área de cobertura de servicios de TDT, previa comunicación del Ministerio de Tecnologías de la Información y Comunicaciones en la cual conste dicha condición se exime a los constructores del suministro e instalación de la red consumible para el acceso al servicio de TDT.
2.4.2. ADMINISTRACIÓN DE LA RED INTERNA DE TELECOMUNICACIONES PARA EL ACCESO AL SERVICIO DE TELEVISIÓN DIGITAL TERRESTRE (TDT). <Numeral modificado a partir del 1 de julio de 2026 por el artículo 4 de la Resolución 7930 de 2025. El texto vigente hasta esta fecha es el siguiente:> <Numeral modificado por el artículo 10 de la Resolución 5993 de 2020. El nuevo texto es el siguiente:>
El constructor deberá entregar a la administración provisional o administración de la copropiedad los planos de la red de difusión de Televisión Digital Terrestre. Dicha información debe contener como mínimo lo siguiente:
a) Esquema de topología de la red.
b) Planos de cableado de la red en donde se marquen cada una de las tomas de usuario de televisión suministrados.
c) La estructura de la marcación de cables y tomas de usuario, de forma que pueda identificar sin ambigüedades cada uno de los cables pertenecientes a la red para el acceso al servicio de Televisión Digital Terrestre y las tomas de usuario.
d) El cableado deberá marcarse o etiquetarse utilizando elementos de marcación de larga duración. En la marcación se detallará el espacio habitacional al cual va el cable desde la caja de PAU, vivienda, el piso y grupo de viviendas.
e) Los equipos activos que componen la red deberán suministrarse con una garantía mínima de 1 año con el proveedor de los equipos contados a partir de su entrega a la copropiedad.
f) Manuales de operación y mantenimiento de todos los equipos activos que componen la red.
g) Documentos de garantía del proveedor de todos los equipos activos que componen la red.
3. OBLIGACIONES DE LOS PROVEEDORES DE REDES Y SERVICIOS. <Numeral modificado a partir del 1 de julio de 2026 por el artículo 5 de la Resolución 7930 de 2025. El texto vigente hasta esta fecha es el siguiente:> <Numeral modificado por el artículo 2 de la Resolución 5405 de 2018. El nuevo texto es el siguiente:>
En el presente capítulo se establecen las obligaciones de los Proveedores de Redes y Servicios de Telecomunicaciones, los operadores de televisión cableada y cerrada y los operadores de televisión satelital.
3.1. USO DE INFRAESTRUCTURA SOPORTE. <Numeral modificado a partir del 1 de julio de 2026 por el artículo 5 de la Resolución 7930 de 2025. El texto vigente hasta esta fecha es el siguiente:> <Numeral modificado por el artículo 2 de la Resolución 5405 de 2018. El nuevo texto es el siguiente:>
Son obligaciones de los proveedores de servicios asociadas a la infraestructura soporte de la red interna de telecomunicaciones de los inmuebles para vivienda sometidos al régimen de propiedad horizontal en lo referente al diseño, construcción y uso de la red interna de telecomunicaciones de dichos inmuebles, las siguientes:
1. Diseñar e implementar con criterios de eficiencia la red interna de telecomunicaciones de acuerdo con los servicios que va a prestar cada uno de los Proveedores de Redes y Servicios de Telecomunicaciones y los prestadores de redes y servicios de televisión cableada y satelital<4>.
2. Diseñar, suministrar, construir, instalar y dejar habilitada la red interna de telecomunicaciones, instalando los equipos y demás elementos requeridos por esta, incluyendo los equipos de cabecera de televisión satelital cuando técnicamente sea necesario y atendiendo las especificaciones técnicas propias del servicio que desea prestar a través de esta red.
3. Diseñar, construir, montar y utilizar las redes de alimentación y de captación que sean requeridas para la prestación de sus servicios, sin afectar las condiciones técnicas del servicio ni la estética de los inmuebles tanto en su interior como en su exterior, según lo establecido en la normatividad vigente.
4. Suministrar e instalar los paneles de conexión y demás elementos necesarios al interior del salón y/o gabinete de equipos de telecomunicaciones, dejando los cables de las redes de alimentación, de captación y red interna debidamente conectados en los paneles de entrada con sus respectivos conectores.
5. Diseñar, construir e implementar las redes internas de telecomunicaciones, cumpliendo los aspectos relativos a la seguridad eléctrica y de compatibilidad electromagnética, de manera que se satisfaga lo establecido en el Reglamento Técnico de Instalaciones Eléctricas (RETIE), establecido mediante la Resolución 90708 de 2013 expedida por el Ministerio de Minas y Energía, y las demás normas que lo deroguen, sustituyan o modifiquen.
6. Diseñar, construir e implementar las redes internas de telecomunicaciones, haciendo uso de productos que cumplan aspectos relativos a la protección de la vida de los usuarios, específicamente en materia de: i) flamabilidad, ii) acidez y toxicidad y iii) densidad de humos, de manera que satisfaga los criterios establecidos en normas técnicas NTC o ISO – IEC o ANSI EIA.
7. Suministrar e instalar los rótulos o marquillas apropiadas al interior de las cámaras de entrada y enlace, los salones y/o gabinetes de equipos de telecomunicaciones, gabinetes de piso, cajas de paso y cajas de punto de acceso al usuario, para identificar debidamente los cables de conexión, que hacen parte de su red, así como de los correspondientes a las conexiones de los demás elementos y equipos que sea necesario instalar.
8. No instalar equipos, empalmes, reservas de cable o cualquier otro elemento que disminuya el espacio disponible para el paso de cables de las redes de los diferentes proveedores de servicios en las zonas que no estén autorizadas como las cámaras de entrada y de enlace.
9. Respetar los espacios físicos y demás instalaciones autorizados por el constructor del inmueble y por la copropiedad del inmueble para la ubicación de los equipos y demás elementos necesarios para la construcción de las redes internas de telecomunicaciones, dando en todo caso el debido uso a las mismas.
10. Respetar y dar el uso apropiado a las infraestructuras que soportan la red interna de telecomunicaciones del inmueble, así como las de los demás proveedores que prestan los servicios en dicho inmueble.
11. En el caso de prestadores de servicios de televisión satelital, deberán diseñar y construir la red interna para la prestación de dicho servicio y utilizarla sin afectar negativamente el medio ambiente, en especial el entorno de los usuarios, el espectro electromagnético y las garantías de los demás proveedores de servicios, la salud pública, el patrimonio público y el interés general, según lo establecido en la normatividad vigente.
12. Prestar el servicio de mantenimiento o soporte técnico al inmueble en el lugar donde se encuentre instalado el servicio, en los casos en que los usuarios lo requieran y cuando ello aplique. En particular, deberán suministrar de manera permanente el mantenimiento preventivo y correctivo de la red interna de telecomunicaciones, de todos los elementos y equipos activos o pasivos que hacen parte de su red y realizar las actividades correctivas del caso cuando se trate de fallas en el servicio no imputables al usuario.
13. <Numeral modificado por el artículo 11 de la Resolución 5993 de 2020. El nuevo texto es el siguiente:> El proveedor de servicios deberá reportar a la Superintendencia delegada para la vigilancia de reglamentos técnicos y metrología de la Superintendencia de Industria y Comercio, con copia a la Comisión de Regulación de Comunicaciones, aquellos edificios o conjuntos de propiedad horizontal a los cuales siendo aplicables las condiciones del RITEL, no cuentan con el Certificado de Inspección de que trata el Capítulo 6 del presente Reglamento.
14. En caso de cambio de proveedor de servicios por retiro del usuario, cancelación del servicio y/o cancelación del contrato, el proveedor de servicios con quien el usuario suscriba un nuevo contrato, podrá previa autorización del propietario de inmueble, al momento de realizar el aprovisionamiento del servicio retirar los cables que hacen parte de la red interna de usuario o hacer uso de los mismos.
15. <Numeral modificado por el artículo 12 de la Resolución 5993 de 2020. El nuevo texto es el siguiente:> Las obligaciones señaladas en el presente artículo serán objeto de inspección, control y vigilancia por parte del Ministerio de Tecnologías de la Información y las Comunicaciones.
3.2. NORMAS DE CONVIVENCIA. <Numeral modificado a partir del 1 de julio de 2026 por el artículo 5 de la Resolución 7930 de 2025. El texto vigente hasta esta fecha es el siguiente:> <Numeral modificado por el artículo 2 de la Resolución 5405 de 2018. El nuevo texto es el siguiente:>
Son obligaciones de los proveedores de servicios que prestan servicios en inmuebles para vivienda sometidos al régimen de propiedad horizontal en lo referente a convivencia con otros proveedores de redes y servicios, las siguientes:
1. Cada proveedor de servicios que desee brindar servicios en un conjunto o edificio deberá suministrar un plan de trabajo a la administración provisional o administración de la copropiedad, que permita conocer a priori el alcance de la instalación de elementos activos y pasivos, así como el cronograma estimado.
2. Si durante la instalación de la red de telecomunicaciones por parte del proveedor de servicios se encuentra algún tipo de obstáculo, dicho proveedor deberá informar a la administración del inmueble lo correspondiente, con la finalidad de agilizar la solución al inconveniente, garantizando la óptima instalación y posterior prestación del servicio.
3. En ningún caso un proveedor de servicios podrá hacer uso de más espacio del necesario para la instalación de sus servicios, ocupando más ductos de los requeridos, dado que las cámaras de entrada, canalización externa, canalización de enlace y canalización de distribución, están dotadas con tubería suficiente para permitir la óptima instalación de seis (6) proveedores de servicios concurrentes.
4. El propietario inicial, administración inicial o administración de la copropiedad podrá autorizar el retiro de infraestructura ociosa que forme parte de la red de distribución, dispersión o captación, cuando un proveedor de servicios requiera liberar espacio para la correcta prestación de los servicios en los inmuebles.
5. En caso, que al momento de una instalación el proveedor de servicios a cargo incurra en un daño a la copropiedad, este deberá hacerse cargo de la totalidad de las reparaciones e informar de manera oportuna a la administración inicial o administración de la copropiedad.
6. Si durante el proceso de instalación de la red de telecomunicaciones por parte de algún proveedor de servicios, se afecta alguna de las redes instaladas previamente por otro proveedor de servicios, este deberá informar de manera oportuna al proveedor de servicios afectado y a la administración de la copropiedad lo ocurrido, haciéndose cargo de los costos que se presenten por dicha reparación.
7. Por ningún motivo, los proveedores de servicios pueden manipular o modificar algún elemento o cableado de otro prestador de redes y servicios, salvo en los casos que aplique lo establecido en el ítem 4 del presente numeral y el ítem 14 del numeral 3.1.
8. Por ningún motivo los proveedores de servicios pueden manipular, alterar o utilizar los elementos que forman parte de la red para el acceso al servicio de televisión digital terrestre instalada por el constructor.
9. En los trabajos de instalación que se realizarán en las cámaras de entrada y/o canalización externa, se deberá tener un cerramiento preventivo, que no obstaculice la circulación peatonal ni ocasione algún riesgo para el peatón.
10. Los desperdicios, residuos y basuras que resulten de cada instalación, deberán ser evacuados del área de trabajo por cada proveedor de servicios una vez culmine dicha instalación.
11. Por ningún motivo, la instalación de las redes de telecomunicaciones a cargo de cada proveedor de servicios podrá afectar las redes eléctricas, gas, hidráulicas, sanitarias y todas aquellas que puedan afectar la copropiedad o vecinos colindantes.
12. De requerir un equipo especial para la instalación de redes, debe solicitarse un permiso de ingreso ante la administración provisional o administración de la copropiedad.
13. Las herramientas, equipos y materiales a utilizar en la obra, son responsabilidad exclusiva del proveedor de servicios, quien deberá mantener y resguardar su propia seguridad.
14. Los horarios de trabajo deberán ser coordinados con cada copropiedad con antelación de la instalación del servicio de telecomunicaciones. El administrador o su delegado tendrá la facultad de ingresar a las obras, cuantas veces sea necesario.
Cualquier violación o inobservancia de las obligaciones descritas en este numeral, genera un incumplimiento del numeral 12 del artículo 64 de la Ley de 1341 de 2009, sin perjuicio de las demás acciones legales que se puedan adelantar.
3.3. RESOLUCIÓN DE CONFLICTOS. <Numeral modificado a partir del 1 de julio de 2026 por el artículo 5 de la Resolución 7930 de 2025. El texto vigente hasta esta fecha es el siguiente:> <Numeral modificado por el artículo 2 de la Resolución 5405 de 2018. El nuevo texto es el siguiente:>
Ninguna controversia o conflicto entre el propietario, poseedor o tenedor de los bienes inmuebles en los cuales se encuentran ubicadas las redes internas de telecomunicaciones o la persona natural o jurídica encargada de su administración o facultada para ejercer actos de disposición sobre los mismos y el proveedor de servicios de telecomunicaciones, podrá dar lugar a la desconexión de la red de alimentación y/o de captación de dicho proveedor respecto de la red interna de telecomunicaciones, salvo que la conexión de dichas redes ocasione graves daños a la red interna de telecomunicaciones y/o al inmueble.
Mientras no se produzca la desconexión, las condiciones del acceso y uso de la red interna de telecomunicaciones deben mantenerse y, por lo tanto, no podrán limitarse o suspenderse, so pena de que quién ejecutó motivó o patrocinó la conducta, incurra en las sanciones previstas para el efecto en la Ley 155 de 1959, los Decretos 2153 de 1992 y 3523 de 2009 y la Ley 1340 de 2009.
4. DISPOSICIONES TRANSVERSALES. <Numeral modificado por el artículo 2 de la Resolución 5405 de 2018. El nuevo texto es el siguiente:>
Tanto los constructores como los prestadores de servicios de telecomunicaciones que instalen cualquier red de cableado de telecomunicaciones incluyendo televisión, deberán tener en cuenta las siguientes disposiciones:
4.1. DISPOSICIÓN RELATIVA DE CABLEADOS. <Numeral modificado por el artículo 2 de la Resolución 5405 de 2018. El nuevo texto es el siguiente:>
Con el fin de reducir posibles diferencias de potencial entre sus recubrimientos metálicos, las entradas al edificio de los cables de alimentación de las redes de acceso alámbrico de telecomunicaciones y los de alimentación de energía eléctrica se deberán realizar a través de accesos independientes. El constructor del inmueble diseñará y construirá accesos al edificio de tal forma que esta independencia se garantice.
Los cruces de las redes de telecomunicaciones con otros servicios se realizarán preferentemente pasando las canalizaciones de telecomunicaciones por encima de las de otro tipo. En el caso de cruce con redes eléctricas se deberá tener una separación entre redes de, como mínimo 300 mm para trazados paralelos y de 30 mm para cruces, excepto en la canalización interior de usuario, donde la distancia de 30 mm será válida en caso de trazados paralelos y en caso de cruce de canalizaciones no será necesaria distancia mínima.
4.2. INTERCONEXIÓN EQUIPOTENCIAL Y APANTALLAMIENTO. <Numeral modificado por el artículo 2 de la Resolución 5405 de 2018. El nuevo texto es el siguiente:>
Cuando se instalen los distintos equipos (gabinetes, bastidores y demás estructuras metálicas accesibles), se deberá crear una red mallada equipotencial que conecte las partes metálicas accesibles de todos ellos entre sí con el sistema de tierra de la edificación.
Todos los cables con portadores metálicos de telecomunicaciones procedentes del exterior del edificio deberán ser apantallados; el extremo de su pantalla debe ser conectado a tierra en un punto tan próximo como sea posible de su entrada al salón de equipos de telecomunicaciones que aloja el punto de acceso al inmueble.
Las puestas a tierra y sus barrajes de conexiones o soldaduras se deben conformar cumpliendo la norma NTC 2050 (Código eléctrico colombiano) o la norma IEC 60364-1 (Low-voltage electrical installations - Part 1: Fundamental principles, assessment of general characteristics, definitions). Todas las pantallas de los cables deben ser conectadas o soldadas a los racks o bastidores de los equipos, los cuales a su vez deben ser soldados a la puesta a tierra del inmueble.
4.3. DESCARGAS ATMOSFÉRICAS. <Numeral modificado por el artículo 2 de la Resolución 5405 de 2018. El nuevo texto es el siguiente:>
En caso de ser necesario, los cables de telecomunicaciones procedentes del exterior deben disponer de dispositivos protectores contra sobretensiones transitorias (DPS) de que trata el numeral 17.6 del Artículo 17 del RETIE y conectarlos al terminal o al sistema de puesta a tierra que debe tener toda edificación, con las especificaciones definidas en el Artículo 15 del citado Reglamento para instalaciones eléctricas y las recomendaciones de la NTC 4552-1"Protección contra descargas eléctricas atmosféricas (rayos).
5. OBLIGACIONES DE LA COPROPIEDAD DEL INMUEBLE. <Numeral modificado por el artículo 13 de la Resolución 5993 de 2020. El nuevo texto es el siguiente:> Serán obligaciones de la copropiedad de los inmuebles las siguientes:
- Velar por la seguridad de la cámara de entrada al inmueble, en el marco de la competencia otorgada por la Ley 675 de 2001, o aquella norma que lo modifique, complemente o sustituya.
- Propender por el libre acceso de los proveedores de servicios a la red interna de la copropiedad, sin discriminación de ningún tipo. Lo anterior en el marco de la normatividad vigente, en el entendido que dicha acción puede ser una práctica restrictiva de la competencia.
- Garantizar la conservación de la infraestructura soporte que hace parte de la red interna de telecomunicaciones, impidiendo la manipulación de esta por personas que no sean idóneas para ello, en el entendido que esta infraestructura soporte hace parte de la infraestructura y obra civil de dominio de la copropiedad.
- Suministrar a los Proveedores de Redes y Servicios de Telecomunicaciones los Certificados de Inspección de que trata el Capítulo 6 del presente Reglamento.
- Suministrar en caso de ser requeridos los planos de la infraestructura soporte y toda aquella documentación que sea necesaria para la instalación o mantenimiento de la red interna de telecomunicaciones, así como para la prestación de los servicios a los usuarios finales.
- Suministrar en caso de ser requerido el mantenimiento correctivo a la infraestructura soporte para evitar la degradación de las condiciones y características establecidas en el presente reglamento.
- Suministrar a los proveedores, en caso de ser requerido por estos, un circuito eléctrico, con capacidad suficiente, al interior de los SETI, SETS y SETU, que les permita instalar los tomacorrientes necesarios para la alimentación eléctrica de sus equipos. La instalación de tomacorrientes adicionales estará a cargo del proveedor de servicios que lo requiera.
6. RÉGIMEN DE INSPECCIÓN, CONTROL Y VIGILANCIA DEL REGLAMENTO. <Numeral modificado por el artículo 2 de la Resolución 5405 de 2018. El nuevo texto es el siguiente:>
En este capítulo se establece el régimen de inspección, control y vigilancia respecto del cumplimiento del presente reglamento.
6.1. ALCANCE DEL RÉGIMEN DE INSPECCIÓN CONTROL Y VIGILANCIA DEL REGLAMENTO. <Numeral modificado por el artículo 14 de la Resolución 5993 de 2020. El nuevo texto es el siguiente:>
El alcance del régimen de inspección, control y vigilancia al que se hace referencia en el presente capítulo se centra en garantizar que la infraestructura soporte que forma parte de la red interna de telecomunicaciones y la red para el acceso al servicio de Televisión Digital Terrestre (TDT), instalada en los inmuebles en Colombia sometidos al régimen de propiedad horizontal a los cuales se aplique el presente Reglamento, será diseñada, construida y habilitada para su uso, siguiendo los lineamientos y requisitos establecidos en el reglamento.
Dado que el RITEL está basado en el establecimiento de características mínimas; en los casos en que la infraestructura soporte, y la red para el acceso al servicio de TDT; sean construidas con características superiores a las mínimas establecidas, se considerarán como instalaciones que cumplen con este reglamento.
Los constructores responsables del diseño e instalación de la infraestructura soporte de la red interna de telecomunicaciones y de la red para el acceso al servicio de TDT, cuyo control corresponde a la Superintendencia de Industria y Comercio (SIC), deben estar inscritos en el Registro Único de Productores e Importadores (RUPI) y actualizar la información correspondiente.
La SIC, en ejercicio de sus facultades de vigilancia y control, podrá imponer las medidas y sanciones previstas en la ley, a los responsables de la instalación de la infraestructura soporte y de la red para el acceso al servicio de TDT, así como a quienes evalúen su conformidad, violando este reglamento.
Los alcaldes podrán adelantar las actuaciones administrativas e imponer las sanciones en el territorio de su jurisdicción, en caso de incumplimiento de las disposiciones contenidas en el presente reglamento técnico, para lo cual se sujetarán al Código de Procedimiento Administrativo y de lo Contencioso Administrativo, contenido en la Ley 1437 de 2011 o la norma que la derogue, modifique o sustituya.
Sin perjuicio de las sanciones por el incumplimiento del presente reglamento que le imponga la SIC o las alcaldías, en cumplimiento de la Ley 1480 de 2011 o la norma que la derogue, modifique o sustituya, en relación con la responsabilidad que les asiste por el diseño, construcción, inspección, operación o mantenimiento de la infraestructura soporte y de la red para el acceso al servicio de TDT, la vigilancia y control del ejercicio profesional de los ingenieros, tecnólogos y técnicos que intervienen en cualquiera de las etapas de implementación del presente Reglamento corresponde a los respectivos Consejos Profesionales, conforme las leyes que regulan el ejercicio de dichas profesiones.
6.2. PROCEDIMIENTO PARA LA INSPECCIÓN. <Numeral modificado a partir del 1 de julio de 2026 por el artículo 6 de la Resolución 7930 de 2025. El texto vigente hasta esta fecha es el siguiente:> <Numeral modificado por el artículo 17 de la Resolución 6771 de 2022. El nuevo texto es el siguiente:>
El procedimiento para la inspección del RITEL, que garantice el control y vigilancia de este, será el establecido en las normas que regulan la materia, en especial las siguientes -o aquellas que las modifiquen o sustituyan-:
- Ley 155 de 1959, por la cual se dictan algunas disposiciones sobre prácticas comerciales restrictivas.
- Ley 170 de 1994, por medio de la cual se aprueba el Acuerdo por el que se establece la "Organización Mundial de Comercio (OMC)", suscrito en Marrakech (Marruecos) el 15 de abril de 1994, sus acuerdos multilaterales anexos y el Acuerdo Plurilateral anexo sobre la Carne de Bovino. De especial importancia el "Acuerdo sobre Obstáculos Técnicos al Comercio".
- Decreto 2360 de 2001, por el cual se ejerce la facultad consagrada en el artículo 3o de la Ley 155 de 1959 (referida a la facultad del Gobierno para intervenir en la fijación de normas sobre calidad de los productos, con miras a defender el interés de los consumidores y de los productores de materias primas).
- Decreto 2828 de 2006, por el cual se organiza el sistema administrativo nacional de competitividad y se dictan otras disposiciones.
- Decreto 4738 de 2008, por el cual se dictan normas sobre intervención en la economía para el ejercicio de las funciones de acreditación de organismos de evaluación de la conformidad que hagan parte del Subsistema Nacional de la Calidad y se modifica la estructura de la Superintendencia de Industria y Comercio.
- Ley 1253 de 2008, por la cual se regula la productividad y competitividad y se dictan otras disposiciones.
- Ley 1480 de 2011, por medio de la cual se expide el Estatuto del Consumidor y se dictan otras disposiciones.
- Decreto 4886 de 2011, por medio del cual se modifica la estructura de la Superintendencia de Industria y Comercio, se determinan las funciones de sus dependencias y se dictan otras disposiciones.
- Decreto 1074 de 2015, por medio del cual se expide el Decreto Único Reglamentario del Sector Comercio, Industria y Turismo.
- Decreto 1595 de 2015, Por el cual se dictan normas relativas al Subsistema Nacional de la Calidad y se modifica el Capítulo 7 y la sección 1 del Capítulo 8 del Título 1 de la parte 2 del Libro 2 del Decreto Único Reglamentario del Sector Comercio, Industria y Turismo, Decreto 1074 de 2015, y se dictan otras disposiciones.
- Decisión 376 de la CAN, Sistema Andino de Normalización, Acreditación, Ensayos, Certificación, Reglamentos Técnicos y Metrología.
- Decisión 419 de la CAN, Modificación de la Decisión 376.
- Decisión 562 de la CAN, Directrices para la elaboración, adopción y aplicación de Reglamentos Técnicos en los Países Miembros de la Comunidad Andina y a nivel comunitario.
Por lo anterior, la infraestructura soporte de la red interna de telecomunicaciones, y de la red para acceder al servicio de Televisión Digital Terrestre, deberán contar con un certificado de inspección que establezca que se cumple con el RITEL. Este certificado será expedido por un organismo de inspección previamente acreditado ante el ONAC.
En cuanto a los productos que forman parte de la infraestructura consumible de la red para el acceso al servicio de TDT, se podrá demostrar el cumplimiento de requisitos establecidos en el presente reglamento a través de una declaración de conformidad de primera parte, debidamente expedida por el fabricante del producto, y en cumplimiento de la norma NTC-ISO/IEC 17050 o aquella que la modifique, sustituya o complemente.
La certificación plena para el cumplimiento del RITEL estará compuesta al menos por cada uno de los formatos definidos en el numeral 6.4, sin perjuicio de que se defina una cantidad superior de cada uno de los formatos y de las revisiones, las cuales serán acordadas por el constructor y el organismo de evaluación de la conformidad acreditado.
6.3. ORGANISMOS DE INSPECCIÓN. <Numeral modificado por el artículo 16 de la Resolución 5993 de 2020. El nuevo texto es el siguiente:>
De conformidad con lo establecido en el Decreto 4738 de 2008, cualquier organismo podrá acreditarse ante el Organismo Nacional de Acreditación de Colombia (ONAC) como organismo de inspección para la expedición de certificados de inspección de la infraestructura soporte de la red de telecomunicaciones y de la red para acceder al servicio de Televisión Digital Terrestre (TDT).
Esta acreditación ante el ONAC se realizará de conformidad con las normas que rigen la materia, tales como la NTC-ISO-IEC 17020 (para organismos de inspección) bajo los procedimientos señalados por dicho organismo.
Los organismos de inspección encargados de expedir los respectivos certificados de las redes internas de telecomunicaciones deberán seguir las disposiciones establecidas en la Resolución 41713 de 2014 expedida por la SIC y sus modificaciones en lo relacionado a las obligaciones de los respectivos organismos, y el registro de los certificados en la plataforma SICERCO en los plazos allí establecidos.
Los profesionales del organismo de inspección encargados de expedir los certificados de inspección de la infraestructura soporte de la red interna de telecomunicaciones, deberán ser ingenieros electrónicos, de telecomunicaciones, eléctricos o electricistas, con matrícula profesional vigente y experiencia profesional mínima de cinco (5) años contados a partir de la expedición de dicha matrícula, así como formación o educación no inferior a treinta y cinco (35) horas en curso(s) que acredite competencias en el diseño y dimensionamiento de la infraestructura soporte para el cumplimiento del RITEL.
Por su parte, los profesionales del organismo de inspección encargados de expedir los certificados de inspección de la red para acceso al servicio de TDT, deberán ser ingenieros electrónicos o de telecomunicaciones, con matrícula profesional vigente y experiencia profesional mínima de cinco (5) años contados a partir de la expedición de dicha matrícula, así como formación o educación no inferior a veinticinco (25) horas en curso(s) que acrediten competencias en el diseño y dimensionamiento de la red para acceso al servicio de TDT para el cumplimiento del RITEL.
6.4. CAMPO DE APLICACIÓN. <Numeral modificado a partir del 1 de julio de 2026 por el artículo 7 de la Resolución 7930 de 2025. El texto vigente hasta esta fecha es el siguiente:> <Numeral modificado por el artículo 18 de la Resolución 6771 de 2022. El nuevo texto es el siguiente:>
Se entiende que un inmueble de propiedad horizontal da cumplimiento al RITEL cuando cuente con una certificación plena, la cual comprende los siguientes documentos:
a) Declaración del cumplimiento del constructor (Formato 1 del Apéndice 1).
b) Verificación de la infraestructura soporte (Formato 2 del Apéndice 1), expedido por un organismo de inspección previamente acreditado ante el ONAC en donde se haga constar que la infraestructura soporte para la red interna de telecomunicaciones, cumple con el RITEL y las normas técnicas nacionales e internacionales incluidas en el mismo.
c) Verificación de la red para el acceso al servicio de Televisión Digital Terrestre (Formato 3 del Apéndice 1), expedido por un organismo de inspección previamente acreditado ante el ONAC en donde se haga constar que la red para el acceso al servicio de TDT, en cuanto a su diseño y construcción cumple con el RITEL y las normas técnicas nacionales e internacionales incluidas en el mismo. Este certificado de inspección solo aplica para los proyectos que sean construidos en zonas que cuenten con cobertura del servicio de TDT, al momento de la firma del acta de inicio de la construcción.
d) Lista de verificación documental de productos utilizados en el RITEL (Formato 4 del Apéndice 1), mediante el cual el organismo de inspección valida que los productos empleados en la infraestructura soporte cuenten con los respectivos certificados de conformidad.
e) Informe de Site de Survey de que tratan los formatos 2 y 3 del presente anexo. El informe debe estar conformado al menos por un plano de ubicación geográfica del predio sobre el cual se desarrollará el proyecto constructivo, registro fotográfico del predio antes del desarrollo constructivo y registro fotográfico de toda la infraestructura soporte y la red para el acceso al servicio de TDT.
La certificación plena para el cumplimiento del RITEL estará compuesta al menos por cada uno de los formatos definidos en el numeral 6.4, sin perjuicio de que se defina una cantidad superior de cada uno de los formatos y de las revisiones, las cuales serán acordadas por el constructor y el organismo de evaluación de la conformidad acreditado.
Si el diseño y dimensionamiento de la infraestructura soporte no fue aprobado y firmado por un ingeniero electrónico, de telecomunicaciones, electricista o eléctrico con matrícula profesional vigente o si el diseño y dimensionamiento presentado no está acorde con lo establecido en el RITEL no procederá la respectiva certificación.
Si el diseño y dimensionamiento de la red para el acceso al servicio de TDT no fue aprobado y firmado por un ingeniero electrónico o de telecomunicaciones, con matrícula profesional vigente o si el diseño y dimensionamiento presentado no está acorde con lo establecido en el RITEL no procederá la respectiva certificación.
Los organismos de inspección no deben expedir los certificados de que trata el presente numeral para redes internas de telecomunicaciones, construidas o supervisadas por personas que según la legislación vigente no tengan la competencia legal para el ejercicio profesional de dichas actividades.
En caso de que los inmuebles no cuenten con los certificados de que trata el presente numeral, el Proveedor de Redes y Servicios no podrá proceder con la instalación de las redes de telecomunicaciones, y además deberá reportar la situación a la Superintendencia Delegada para la Vigilancia de Reglamentos Técnicos y Metrología de la Superintendencia de Industria y Comercio, para que se adelanten las actuaciones sancionatorias a que haya lugar por dicho incumplimiento, con copia a la Comisión de Regulación de Comunicaciones.
Por lo tanto, de conformidad con lo establecido en el artículo 2.2.1.7.9.2 "Procedimiento para la evaluación de la conformidad de productos" del Decreto 1074 de 2015 (modificado por el Decreto 1595 de 2015), previamente a su comercialización, los fabricantes, importadores o comercializadores de los productos que serán empleados por la infraestructura soporte, incluida aquella que forma parte de la red para el acceso al servicio de TDT sometidos a este reglamento técnico, deberán demostrar su cumplimiento a través de un certificado de conformidad expedido por un organismo de certificación de producto acreditado por el ONAC, de acuerdo con los procedimientos establecidos en la normatividad vigente para probar la conformidad de productos incluidos en el alcance de los reglamentos técnicos. Los constructores deberán contar con una copia de este certificado para ser presentado a los organismos de inspección, los cuales podrán verificar su autenticidad ante la autoridad correspondiente.
Para la aceptación de certificados de conformidad de terceros países o de los países de origen, se seguirá el procedimiento establecido al respecto por la normatividad vigente sobre la materia y por el ONAC en relación con los acuerdos de reconocimiento mutuo.
Respecto de los países miembros de la Comunidad Andina de Naciones se aplicará lo establecido en la Decisión 376 (modificada por la Decisión 419) y en la Decisión 562, o las normas vigentes. En relación con los países con los cuales Colombia tenga en vigencia acuerdos comerciales, se aplicará para los certificados de conformidad de terceros países o de países de origen lo establecido en dichos acuerdos. En los demás casos se seguirán los principios de la Ley 170 de 1994, o aquella norma que la modifique o sustituya contenidos en el capítulo de Obstáculos Técnicos al Comercio.
En cuanto a los productos que forman parte de la infraestructura consumible de la red para el acceso al servicio de TDT, se podrá demostrar el cumplimiento de requisitos establecidos en el presente reglamento a través de una declaración de conformidad de primera parte, debidamente expedida por el fabricante del producto, y en cumplimiento de la norma NTC-ISO/IEC 17050 o aquella que la modifique, sustituya o complemente.
6.4.1. COSTOS DE LOS CERTIFICADOS DE INSPECCIÓN. <Numeral modificado por el artículo 17 de la Resolución 5993 de 2020. El nuevo texto es el siguiente:>
Las tarifas establecidas por los organismos de inspección serán pagadas por el constructor del inmueble, de acuerdo con las condiciones establecidas en el acuerdo comercial al que lleguen las partes.
Por su parte, los fabricantes, importadores y comercializadores de los productos que son empleados en la infraestructura soporte de la red interna de telecomunicaciones y en la red para el acceso al servicio de Televisión Digital Terrestre (TDT), son responsables de distribuir y vender sus productos cubriendo los gastos o costos que cobren los organismos de certificación de productos por la revisión del producto correspondiente.
6.4.2. REQUISITOS MÍNIMOS. <Numeral modificado por el artículo 19 de la Resolución 6771 de 2022. El nuevo texto es el siguiente:>
Las disposiciones contenidas en el presente Reglamento, incluidas las normas técnicas nacionales e internacionales referenciadas, son de carácter obligatorio para el diseño, construcción de la infraestructura soporte de la red interna de telecomunicaciones, y de la infraestructura soporte que forma parte de la red para el acceso al servicio de Televisión Digital Terrestre (TDT), así como para los productos que hacen parte de las mismas, siendo, por tanto, requisitos mínimos a cumplir por parte de los constructores de los inmuebles sujetos al régimen de propiedad horizontal a los cuales les aplica el presente reglamento.
En los inmuebles sujetos al régimen de propiedad horizontal a los cuales se aplica el presente reglamento, la administración provisional y la administración de la copropiedad deberá contar con el certificado de inspección para la infraestructura soporte y la red para el acceso al servicio de TDT del inmueble.
6.5. COMPONENTES DEL CERTIFICADO DE INSPECCIÓN. <Numeral modificado por el artículo 18 de la Resolución 5993 de 2020. El nuevo texto es el siguiente:>
El certificado del organismo de inspección debe tener básicamente los siguientes componentes:
1. La identificación plena del inmueble, de la infraestructura soporte y de la red para el acceso al servicio de Televisión Digital Terrestre (TDT) y de las personas que intervinieron en la fase de diseño y la aprobación de este.
2. Los aspectos por evaluar con sus resultados y observaciones, según lo descrito en el Apéndice 1 del presente reglamento.
3. La conclusión o resultado final de la inspección.
4. Identificación plena del organismo de inspección y del inspector o inspectores que actuaron en la inspección y emitieron el certificado, así como los documentos que determinan el alcance de dicha inspección.
6.6. SANCIONES. <Numeral modificado por el artículo 19 de la Resolución 5993 de 2020. El nuevo texto es el siguiente:>
Las sanciones previstas por violación al presente reglamento son las siguientes:
a) Para los constructores que hayan construido la infraestructura soporte o la red para el acceso al servicio de Televisión Digital Terrestre (TDT) sin ajustarse a lo establecido en el presente reglamento, la sanción será impuesta por la Superintendencia de Industria y Comercio, atendiendo a la legislación aplicable a la materia.
b) Para los Proveedores de Redes y Servicios de Telecomunicaciones, que suministren un servicio de telecomunicaciones a inmuebles, a los cuales se aplica el presente reglamento, que no cuenten con un certificado de inspección que señale que la red infraestructura soporte cumple con el presente reglamento, y no avisen previamente a la autoridad administrativa competente para vigilar, controlar y sancionar al constructor por el incumplimiento evidenciado, la sanción será impuesta por el Ministerio de Tecnologías de la Información y las Comunicaciones, según lo previsto en la normatividad vigente.
c) Para los ingenieros electrónicos, de telecomunicaciones, electricistas o eléctricos que hayan diseñado, supervisado o construido una infraestructura soporte que no reciba el certificado de inspección, la sanción será la que proceda, según lo establecido en el Código de Ética Profesional, consagrado en la Ley 842 de 2003 o la norma que la modifique o sustituya.
d) Para los tecnólogos en electrónica o telecomunicaciones o electricidad, que hayan participado en el diseño o construcción de una infraestructura soporte que no reciba el certificado de inspección, la sanción será la que proceda, según lo establecido en el Código de Ética Profesional, consagrado en la Ley 842 de 2003 o la norma que la modifique o sustituya.
e) Para los organismos de inspección que expidan certificaciones contrariando lo dispuesto en el RITEL, las sanciones serán las previstas en la Ley 1480 de 2011 y en el Decreto 4886 de 2011, o aquellas normas que las modifican o sustituyan así como las contenidas en las normas expedidas por la Superintendencia de Industria y Comercio.
Todo lo anterior sin perjuicio de las actuaciones y competencias de la Superintendencia de Industria y Comercio en defensa de los derechos de los consumidores y para la vigilancia del presente reglamento técnico".
7. TRANSICIÓN DEL REGLAMENTO. <Numeral modificado por el artículo 2 de la Resolución 5405 de 2018. El nuevo texto es el siguiente:>
En el presente capítulo se establecen las condiciones relacionadas con la vigencia y transición relacionadas con este Reglamento.
7.1. DISPOSICIONES TRANSITORIAS PARA LA CERTIFICACIÓN DE INSPECCIÓN. <Numeral modificado por el artículo 20 de la Resolución 5993 de 2020. El nuevo texto es el siguiente:>
Considerando el rápido y amplio despliegue de los proyectos de vivienda, así como su distribución geográfica, es necesario establecer las siguientes medidas con el objeto de ofrecer cobertura respecto de los organismos de acreditación necesarios para la cantidad de proyectos de vivienda que se desarrollan año a año en el país.
Dado lo anterior, las siguientes medidas transitorias serán aplicables hasta tanto no se cumpla alguna de las siguientes dos condiciones: i) hasta que el país cuente con al menos 18 organismos acreditados por la ONAC para la inspección del presente Reglamento, o ii) hasta que se cumpla la fecha del 1 de enero de 2021, lo que ocurra primero.
7.1.1. EN MATERIA DEL CERTIFICADO DE INSPECCIÓN DE LA INFRAESTRUCTURA SOPORTE PARA LA RED INTERNA DE TELECOMUNICACIONES. <Numeral modificado por el artículo 20 de la Resolución 5993 de 2020. El nuevo texto es el siguiente:>
Previo a la conexión de los servicios públicos de telecomunicaciones a los inmuebles a los cuales se aplica el presente reglamento, un ingeniero electrónico, de telecomunicaciones, eléctrico o electricista, con matrícula profesional vigente y experiencia profesional mínima de cinco (5) años contados a partir de la expedición de la misma, así con formación o educación no inferior a treinta y cinco (35) horas en curso(s) que acrediten competencias en el diseño y dimensionamiento de la infraestructura soporte para el cumplimiento de RITEL, deberá certificar que el dimensionamiento y diseño de la infraestructura soporte cumple con lo establecido en el presente reglamento.
7.1.2. EN MATERIA DE INSPECCIÓN DE LA RED DE TELEVISIÓN DIGITAL TERRESTRE. <Numeral modificado por el artículo 20 de la Resolución 5993 de 2020. El nuevo texto es el siguiente:>
Previo a la entrega del inmueble a los propietarios o administración del mismo y a la conexión de los servicios de telecomunicaciones en los inmuebles a los cuales se aplica el presente reglamento, un ingeniero electrónico o de telecomunicaciones, con matrícula profesional vigente y experiencia profesional mínima de cinco (5) años, contados a partir de la expedición de la misma, así como con formación o educación no inferior a veinticinco (25) horas en curso(s) en la implementación de la red para el acceso al servicio de Televisión Digital Terrestre (TDT) para el cumplimiento de RITEL, deberá certificar que el diseño e instalación de la red para el acceso al servicio de TDT cumple con lo establecido en el presente reglamento.
7.2. CONTROVERSIAS. <Numeral modificado por el artículo 2 de la Resolución 5405 de 2018. El nuevo texto es el siguiente:>
En el evento en que el proveedor de servicios objete el certificado emitido por el ingeniero electrónico y/o de telecomunicaciones y/o eléctrico, deberá solicitar por escrito, en un plazo no mayor a los cinco (5) días, la intervención de la Comisión de Regulación de Comunicaciones, motivando la objeción. La objeción solo podrá estar referida a errores graves de apreciación en la certificación o a elementos de la infraestructura o red soporte que puedan afectar la calidad del servicio o la red que instalará el proveedor.
La Comisión de Regulación de Comunicaciones, con la asesoría de los peritos que considere, decidirá la controversia suscitada en un plazo no mayor de treinta (30) días, poniendo fin a la actuación. Para ello se acudirá al procedimiento general para solución de controversias establecido por la Ley 1341 de 2009. La decisión de la Comisión será de obligatorio cumplimiento y contra la misma procederá únicamente recurso de reposición.
8. AUTORIDADES COMPETENTES. <Numeral modificado por el artículo 2 de la Resolución 5405 de 2018. El nuevo texto es el siguiente:>
Las autoridades con competencia para efectos de garantizar el cumplimiento del presente reglamento de acuerdo con la Ley son las siguientes:
a) <Literal modificado por el artículo 21 de la Resolución 5993 de 2020. El nuevo texto es el siguiente:> Ministerio de Tecnologías de la Información y las Comunicaciones: en virtud de sus competencias podrá imponer las medidas y sanciones que resulten procedentes, con ocasión del incumplimiento del RITEL por parte de los Proveedores de Redes y Servicios de Telecomunicaciones.
b) Ministerio de Tecnologías de la Información y las Comunicaciones: en ejercicio de sus funciones de seguimiento y control frente al servicio de radiodifusión sonora y de control y vigilancia frente a los proveedores de servicios y redes de telecomunicaciones, tendrá la competencia sancionatoria prevista en la Ley respecto a los Proveedores de Redes y Servicios de Telecomunicaciones, cuando estos suministren el servicio de telecomunicaciones sin la certificación de la conformidad prevista en el CAPÍTULO 5, o la provisional prevista en el ARTÍCULO 6.2 del presente capítulo, o incumplan las obligaciones previstas en el presente reglamento.
c) Autoridad Nacional de Televisión: en ejercicio de sus funciones de inspección y vigilancia frente al servicio de televisión y frente a los operadores del servicio, tendrá la competencia sancionatoria prevista en la Ley respecto a los operadores de televisión, cuando estos suministren el servicio sin la certificación de la conformidad prevista en el capítulo anterior, o la provisional prevista en este capítulo, o incumplan las obligaciones previstas en el presente reglamento.
d) Comisión de Regulación de Comunicaciones: en ejercicio de sus funciones regulatorias para la definición del reglamento de instalaciones de redes de telecomunicaciones en los inmuebles que tengan un régimen de copropiedad o propiedad horizontal, la CRC será el organismo competente para la revisión, actualización e interpretación del presente reglamento.
e) Organismo Nacional de Acreditación – ONAC: en ejercicio de sus funciones de organismo nacional de acreditación, y sin perjuicio de las funciones atribuidas a la Superintendencia de Industria y Comercio, será el responsable de la vigilancia de los organismos de certificación, inspección y laboratorios acreditados para el RITEL, bajo la normatividad vigente para ello, en especial el artículo 4° del Decreto 4738 de 2008.
f) Consejo Profesional de Ingenierías Eléctrica, Mecánica y Profesiones Afines: en ejercicio de sus funciones legales (Ley 51 de 1986, Ley 842 de 2003 y Decreto 1873 de 1996) para inspeccionar, vigilar y controlar el ejercicio profesional de los ingenieros electrónicos y/o de telecomunicaciones en sus actuaciones frente al Código de Ética Profesional.
g) Consejo Profesional Nacional de Tecnólogos en Electricidad, Electromecánica, Electrónica y Afines: en ejercicio de sus funciones legales (Ley 392 de 1997, Ley 842 de 2003 y Decreto 3861 de 2005) para inspeccionar, vigilar y controlar el ejercicio profesional de los tecnólogos en electrónica y/o telecomunicaciones o afines a las comunicaciones en sus actuaciones frente al Código de Ética Profesional.
h) Alcaldías Municipales o Distritales: de acuerdo con lo establecido en la Ley 388 de 1997, y en el artículo 2.2.6.1.4.11 del Decreto 1077 de 2015, estas autoridades territoriales directamente o por conducto de sus agentes, ejercen la vigilancia y control urbano con el fin de asegurar el cumplimiento de las licencias urbanísticas expedidas, licencias en las cuales se incorporan los diseños estructurales y planos de los proyectos de construcción de inmuebles destinados a vivienda afectos al presente reglamento.
FORMATOS.
<Apéndice modificado por el artículo 2 de la Resolución 5405 de 2018. El nuevo texto es el siguiente:>
DECLARACIÓN DE CUMPLIMIENTO DEL CONSTRUCTOR.
<Formato modificado por el artículo 20 de la Resolución 6771 de 2022. El nuevo texto es el siguiente:
Consultar directamente el formato en el artículo 20 de la Resolución 6771 de 2022>
FORMATO 2. VERIFICACIÓN DE LA INFRAESTRUCTURA SOPORTE.
<Formato modificado por el artículo 20 de la Resolución 6771 de 2022. El nuevo texto es el siguiente:
Consultar directamente el formato en el artículo 20 de la Resolución 6771 de 2022>
FORMATO 3. VERIFICACIÓN DE LA RED PARA EL ACCESO AL SERVICIO DE TELEVISIÓN DIGITAL TERRESTRE - TDT.
<Formato modificado por el artículo 20 de la Resolución 6771 de 2022. El nuevo texto es el siguiente:
Consultar directamente el formato en el artículo 20 de la Resolución 6771 de 2022>
FORMATO 4. LISTA VERIFICACIÓN DOCUMENTAL DE PRODUCTOS UTILIZADOS EN EL RITEL.
<Formato modificado por el artículo 20 de la Resolución 6771 de 2022. El nuevo texto es el siguiente:
Consultar directamente el formato en el artículo 20 de la Resolución 6771 de 2022>
MANUAL METODOLÓGICO "FORMULARIOS Y GUÍAS PARA LA PRESENTACIÓN DE RESULTADOS DEL MODELO DE SEPARACIÓN CONTABLE DETALLADA PARA PRST Y/O OTVS".
<Anexo modificado por el artículo 2 <Anexo 9.1> de la Resolución 5589 de 2019. Consultar régimen de transición del artículo 3. El nuevo texto es el siguiente:>
En el presente Anexo, se relacionan las condiciones aplicables al Sistema de Información Detallada del Modelo de Separación Contable (en adelante MSC) aplicable a los Proveedores de Redes y Servicios de Telecomunicaciones -en adelante PRST- y/o los Operadores de Televisión por Suscripción -OTVS- donde se explica la metodología de asignación de cada una de las tablas a reportar para efectos de la entrega de la información requerida por la CRC en el artículo 9.1.2.6 del Capítulo 1 del Título IX.
9.1.1. Generalidades
En la Gráfica 1 se presenta en forma ilustrativa la estructura y componentes que integran las tablas de asignación del Modelo de Separación Contable, que incluye el flujo de los ingresos, costos y gastos, y activos del MSC, el cual inicia con los registros contables financieros clasificados y distribuidos por servicios, criterios de desagregación, cuyos totales se vinculan a cada una de las tablas de los servicios minoristas y mayoristas.
Gráfica 1: Esquema general del Modelo de Separación Contable (MSC)
<Consultar Gráfica 1 directamente en el Anexo 9.1 de la Resolución 5589 de 2019>
En términos generales, el MSC tiene como punto de partida los ingresos relevantes que son minoristas (proveniente de un usuario) y/o mayoristas (proveniente de otro operador) -Tabla 1.1 Contabilidad Ingresos -. Los costos corresponden a los conceptos que se necesitaron para generar dichos ingresos, bien sea de forma directa o indirecta (Tabla 1.2 Contabilidad Costos Directos y No Relevantes y Tabla 1.3 Contabilidad Costos Indirectos).
Es así como en el nivel cero (esquematizado en la Gráfica 1), se realiza un mapeo o asignación de cuentas contables o agrupaciones de cuentas, a uno o varios criterios de desagregación definidos para cada servicio del MSC. Para esta asignación se pueden utilizar centros de beneficio o centros de costo, o se pueden utilizar drivers que permitan asignar el valor contable a cada criterio de desagregación, explicando el driver en la columna correspondiente.
El MSC, también incluye información sobre los Activos relevantes de la contabilidad, para determinar el costo de capital (Tabla 1.4 Costos asociados al Capital), el detalle de la actividad inversora y desinversora (Tabla 4.1 Actividad Inversora) y planta depreciada (Tabla 4.2 Valor bruto planta totalmente depreciada), agrupados por categorías definidas.
En el nivel 1, los totales de los criterios y/o subcriterios de desagregación de las tablas 1.1 a 1.4, se vinculan a las tablas para cada uno de los servicios (Tablas 2.1 a 2.36).
Para asegurar el correcto cumplimiento del principio de auditabilidad por parte de los PRST y/o OTVS, y tener una visión de las partidas que son consideradas como no relevantes, su origen y su porcentaje de participación en la Contabilidad, en la Tabla 3.1 - Conciliación de cuentas - se realiza la conciliación entre los valores del MSC y los Estados financieros, y en la Tabla 3.2 - Detalle No Relevantes- se relaciona el detalle de las cuentas consideradas como no relevantes.
Finalmente, en las Tablas 3.3 - Unidad de Medida y Volumen - y 3.4 - Unidad de Medida y Volumen para los ingresos mayoristas - se debe diligenciar el volumen de las principales unidades de medida que generaron los ingresos y los costos, lo cual permite que el MSC determine los principales valores unitarios por cada servicio.
Los servicios minoristas y mayoristas que deben ser incluidos como parte del modelo son:
Minoristas
- Fijo Voz
- Móvil Voz
- Larga Distancia
- Internet Fijo
- Internet Móvil
- Televisión por suscripción
- Mensajería SMS
- Equipos
Mayoristas
- Fijo
- Móvil
- Larga Distancia
- Servicio Portador
Teniendo en cuenta la evolución tecnológica de la industria, en caso de que surjan servicios no contemplados en el presente Anexo, la CRC procederá a incluirlos a fin de que los PRST y/o OTVS reporten el valor total del ingreso y los costos asociados a dichos servicios.
Como se indicó anteriormente, la información por diligenciar se encuentra agrupada en 4 partes: i) Contabilidad (Ingresos, Costos Directos e Indirectos); ii) Asignación a Servicios Minoristas y Mayoristas; iii) Conciliación, No Relevantes, Unidades de Medida y Volumen; iv) Costos de Capital, Actividad inversora y desinversora y Planta total depreciada.
El reporte del Modelo de Separación Contable Detallada se divide en las tablas que se relacionan a continuación las cuales estarán disponibles en la página web de la Comisión de Regulación de Comunicaciones www.crcom.gov.co o la que haga sus veces, y que también podrán ser proporcionadas por la Comisión en medio electrónico a solicitud de los PRST y/o OTVS.
Lista 1. Índice de Tablas del MSC
<Consultar Lista 1 directamente en el Anexo 9.1 de la Resolución 5589 de 2019>
Las tablas de diligenciamiento que deberán ser empleadas por los PRST y/o OTVS para la presentación de la información relativa al MSC del artículo 9.1.2.3 del Capítulo 1 del Título IX de la Resolución CRC 5050 de 2016, deberán ser presentadas en medio magnético en formato Excel no protegido (extensión XLSX) y debidamente formuladas o totalizadas según corresponda, o a través del medio electrónico que la CRC disponga para el efecto, para cada una de las empresas del grupo empresarial.
En general, si un PRST y/o OTVS no presta el servicio del cual el MSC pide desagregación, debe dejar los campos correspondientes en vacío. Por el contrario, si un PRST y/o OTVS presta el servicio, pero no percibe ingresos por un determinado servicio para la vigencia, o no incurre en un costo específico, dicho concepto de ingresos o de costos quedaría en cero dentro del formato de reporte del MSC.
9.1.2. Definiciones
El Modelo de Separación Contable asimila que las redes de telecomunicaciones poseen, en general, cuatro (4) subsistemas: Red de Núcleo, Red de Transmisión, Red de Conmutación y Red de Acceso. Estos subsistemas serán tenidos en cuenta para la asignación de cuentas o registros contables a los criterios de desagregación para cada uno de los servicios del MSC y se encuentran definidos en los numerales 9.1.2.18 a 9.1.2.21 del presente Anexo.
Gráfica 2: Subsistemas asimilados para el MSC
<Consultar Gráfica 2 directamente en el Anexo 9.1 de la Resolución 5589 de 2019>
Las definiciones aquí relacionadas son específicas para efectos de obtener la desagregación establecida en el Modelo de Separación Contable, y no tienen como objeto modificar, aclarar, o sustituir otras definiciones regulatorias o normativas.
9.1.2.1. Activos no relevantes. Activos que no son utilizados ni necesarios, para la generación de Ingresos Relevantes por los servicios minoristas y mayoristas
incluidos como parte del MSC.
9.1.2.2. Activos relevantes. Activos que son necesarios, para la generación de Ingresos Relevantes por los servicios minoristas y mayoristas incluidos como parte del MSC.
9.1.2.3. Costos de capital. Son los "costos de oportunidad" del capital de los accionistas y de la deuda que ha adquirido una empresa para la generación de los ingresos relevantes incluidos en el MSC, así como las inversiones necesarias correspondientes. El método más utilizado para valorar los costos de capital es el cálculo de una "tasa de retorno" - WACC (Weighted Average Cost of Capital o Costo Medio Ponderado de Capital) que establece una cuantificación objetiva del rendimiento de los capitales invertidos por los PRST y/o OTVS.
9.1.2.4. Costos directos minoristas. Son los costos y gastos en que incurre el PRST y/o OTVS para la generación de los ingresos minoristas. Para el MSC estos costos están agrupados por servicios, criterios y subcriterios, de acuerdo con la Lista 3 "Estructura de los Costos Directos del MSC" del presente Anexo.
9.1.2.5. Costos directos mayoristas. Son los costos y gastos en que incurre el PRST y/o OTVS para la obtención de los ingresos mayoristas. Para el Modelo de Separación Contable (MSC), estos costos están agrupados por servicios, criterios y subcriterios, de acuerdo con la Lista 3 "Estructura de los Costos Directos del MSC" del presente Anexo.
9.1.2.6. Costos indirectos. Son los costos y gastos en que incurre el PRST y/o OTVS para la prestación de los servicios voz fija, voz móvil, Larga Distancia, internet fijo, internet móvil, televisión minorista, mensajería de texto, portador y equipos, y no se relacionan directamente con la generación de los ingresos minoristas y mayoristas. Para el Modelo de Separación Contable (MSC) estos costos están agrupados por servicios y criterios, de acuerdo con la Lista 4 "Estructura de los Costos Indirectos del MSC" del presente Anexo.
9.1.2.7. Costos no relevantes. Costos en los que incurrió el PRST y/o OTVS, para fines diferentes a la generación de ingresos Relevantes al Modelo de Separación Contable (MSC).
9.1.2.8. Costos relevantes. Corresponde a los costos en los que incurrió el PRST y/o OTVS y que son necesarios para la generación de los ingresos definidos en el MSC y para la administración de la operación.
Estos costos son:
- Directos: Cuando tienen una relación directa con la generación del ingreso (ejemplo: costo de mantenimiento de red, nómina del área técnica, contraprestaciones al MinTIC, etc.).
- Indirectos: Cuando no se relacionan directamente con la generación de los ingresos (Ejemplo: el mantenimiento de vehículos, nómina del área financiera, otros impuestos, etc.).
9.1.2.9. Ingresos minoristas. Ingreso causado o proveniente de un usuario (fuente del recaudo), que se recibe de forma directa o a través de otro PRST y/o OTVS (ejemplo: ingreso por tráfico nacional que generó un usuario del operador, cuando llamó a otro usuario o el Roaming Internacional Outbound). Un ingreso minorista, puede tener costos mayoristas (ejemplo, el cargo de acceso que se paga a otro PRST por las llamadas off net).
9.1.2.10. Ingresos mayoristas. Ingreso causado proveniente de un PRST y/o OTVS (fuente del recaudo) a favor de otro PRST y/o OTVS (ejemplo: Cargo de acceso por llamadas entrantes o el Roaming Internacional Inbound).
9.1.2.11. Ingresos no relevantes. Ingresos que no se enmarcan en las definiciones de los servicios del Modelo de Separación Contable -MSC-. Por ejemplo, los ingresos por enajenación de activos.
9.1.2.12. Ingresos relevantes. Ingresos por los servicios minoristas y mayoristas incluidos como parte del Modelo de Separación Contable -MSC- y que se detallan en la lista 2 del presente Anexo.
9.1.2.13. Red de acceso. Conjunto de elementos requeridos para la prestación de servicios de telecomunicaciones entre una interfaz de nodo de servicio y cada una de las interfaces de red de usuario asociadas en los diferentes tipos de servicio.
9.1.2.14. Red de conmutación. Conjunto de elementos que permite asociar y procesar temporalmente el tráfico de los equipos funcionales, canales de transmisión o circuitos de telecomunicaciones, entre el punto de conexión con la red de acceso o interfaz del nodo de servicio hasta la red de núcleo.
9.1.2.15. Red de núcleo. Conjunto de elementos a través de los cuales se centralizan las funciones de gestión y control, señalización, codificación, conmutación, distribución, transporte, generación de registros para tasación, autenticación de números de origen y destino, enrutamiento, puenteo y otras que se requieren para iniciar, mantener y finalizar comunicaciones y/o sesiones de datos de equipos terminales conectados a una o más redes. Según la evolución tecnológica, las funciones anteriormente citadas pueden ser desempeñadas por diferentes elementos de la red.
9.1.2.16. Red de transmisión. Conjunto de elementos a través de los cuales se realiza el transporte (transmisión y/o recepción) de las señales desde un punto a uno o varios puntos de la red (aplicables en las diferentes tecnologías como cableado troncal de fibra óptica o de cobre, empalme de fibra o unión de cobre, equipos de amplificación externa, armarios externos, etc.). La red de Transmisión puede ser propia o arrendada.
9.1.3. Estructura y diligenciamiento de las tablas del MSC
9.1.3.1. Asignación de Contabilidad a Ingresos y Costos del MSC (de la Tabla 1.1 a la Tabla 1.4 del MSC);
Objetivo
Verificación del correcto cumplimiento de los principios de auditabilidad y suficiencia por parte de los PRST y/o OTVS. Estos principios establecen que el MSC debe basarse en la contabilidad financiera auditada y preparada bajo las Normas Internacionales de Información Financiera (NIIF).
Teniendo en cuenta que el MSC busca la estandarización de los servicios y criterios de desagregación, y que su estructura puede no corresponder al plan de cuentas de cada PRST y/o OTVS, situación que no permite la asignación directa de cada una de las cuentas a los criterios de desagregación requeridos, se hace necesario que:
- Para el reporte de los ingresos, el PRST y/o OTVS asigne, en caso de ser necesario, sus cuentas o agrupaciones de cuentas y/o centros de beneficio a uno o varios criterios de desagregación, de cada servicio del MSC, a través de la aplicación de drivers o uso de información complementaria de otros sistemas. Los drivers utilizados deben ser detallados y explicados en las respectivas tablas del MSC de que trata el presente numeral.
- Para el reporte de los costos, el PRST y/o OTVS asigne, en caso de ser necesario, sus cuentas, agrupaciones de cuentas y/o centros de costos a uno o varios criterios o subcriterios de desagregación de cada servicio del MSC, a través de la aplicación de drivers o uso de información complementaria de otros sistemas. Los drivers deben ser detallados y explicados en las respectivas tablas del MSC de que trata el presente numeral.
En todos los casos el punto de partida son los ingresos. Los costos corresponden a los conceptos que se necesitaron para generar el ingreso, bien sea de forma directa o indirecta.
Las Tablas 1.1, 1.2 y 1.3 del MSC deben contener la información de código contable, nombre de la cuenta y valor contable, la cual se obtiene de manera directa de la contabilidad de los PRST y/o OTVS. Los centros de costo y/o de beneficio, son opcionales. Estas tablas permiten hacer la asignación (mapeo) de las cuentas contables a nivel mayorista y minorista para los diferentes servicios que ofrece el PRST y/o OTVS y criterios de desagregación.
Por su parte, la Tabla 1.4 del MSC tienen como objetivo la determinación e inclusión de costos de capital basados en WACC (costo promedio ponderado de capital) para cada categoría de activos, y su asignación a los diferentes servicios mediante el uso de drivers.
9.1.3.1.1. Contabilidad Ingresos - Tabla 1.1 del MSC
Los servicios y sus correspondientes criterios de desagregación utilizados en la Tabla 1.1 del MSC, son los siguientes:
Lista 2. Estructura de los ingresos del MSC
<Consultar Lista 2 directamente en el Anexo 9.1 de la Resolución 5589 de 2019>
Los PRST y/o OTVS deben relacionar en las columnas "Código Contable", "Centro de Beneficio o similar" "Nombre Cuenta" y "Valor Contable" de la Tabla 1.1 del MSC, todas las cuentas contables de Ingresos de su contabilidad. Y asignar a cada uno de los Criterios de Desagregación de Ingresos(1) de cada servicio el valor de cada cuenta que le sea atribuible. Si la cuenta es un ingreso no relevante, la asignación se debe realizar en la columna "Partidas Ingresos no relevantes al MSC".
Únicamente cuando el PRST y/o OTVS haga uso del Centro de Beneficios o conceptos similares y este Centro de Beneficios sea utilizado para las asignaciones del MSC, en la columna "Centro de Beneficio o similar" debe registrar el nombre de dicho centro para cada una de las cuentas que apliquen.
Para aquellos casos en que las cuentas relacionadas en las columnas citadas anteriormente sean atribuibles a más de un Criterio de Desagregación de Ingresos por servicio, es decir que la asignación del "Valor Contable" no se pueda realizar de forma directa en las columnas correspondientes a cada Criterio de Desagregación de Ingresos, el PRST y/o OTVS debe utilizar para cada servicio la columna "Ingreso no desagregado por Criterio" en la cual se debe incluir el total de la cuenta, y la asignación por Criterios de Desagregación de Ingresos se realiza mediante la aplicación de drivers en la sección "Drivers para partidas agrupadas" de la Tabla 1.1 del MSC.
Para cada una de las cuentas asignadas a más de un Criterio de Desagregación de Ingresos, se debe incluir en la columna de "Notas", la explicación sobre cómo se hace la asignación en las diferentes columnas. Cuando se aplican drivers, además se debe indicar las variables y su magnitud, es decir, numerador y denominador.
Para cada valor consignado en las columnas "Ingreso no desagregado por criterio", en la sección "Drivers para partidas agrupadas" de la Tabla 1.1 del MSC, el PRST y/o OTVS debe definir el nombre de la Partida Agrupada(2) en la columna "Partida Agrupada", y realizar la asignación del ingreso por cada Criterio de Desagregación de Ingresos. Para dicha asignación, debe definir los drivers, aplicarlos, y en la columna "Descripción Driver aplicado y Notas" indicar las variables del driver empleado y su magnitud, es decir, numerador y denominador. También debe explicar los conceptos que incluyen dicha Partida Agrupada.
Adicionalmente, la Tabla 1.1 del MSC contiene la sección "Empresas vinculadas y/o unidades de negocio de la misma empresa"(3) en la cual el PRST y/o OTVS debe incluir como subtotales, el detalle de los ingresos por servicios mayoristas entre empresas vinculadas al mismo Grupo Empresarial o, en su defecto, para aquellas empresas que no hacen parte de un Grupo empresarial, el cálculo de los Ingresos por servicios mayoristas entre unidades de negocio de la misma Empresa. Para cada uno de estos subtotales, el PRST y/o OTVS debe hacer la asignación para cada uno de los Criterios de Desagregación de Ingresos, siguiendo las condiciones definidas en los párrafos anteriores del presente numeral.
Es de anotar, que esta información entre empresas vinculadas o, en su defecto, entre unidades de negocio de la misma empresa, solo se requiere presentar por separado para los ingresos. Para los costos, estas transacciones estarán incorporadas en las cuentas contables respectivas y no es necesario subtotalizarlas.
Los PRST y/o OTVS deben asegurar la totalización de los Criterios de Desagregación de Ingresos de cada servicio independiente del número de cuentas que incorpore en la Tabla 1.1 del MSC.
De igual manera, los PRST y/o OTVS deben asegurar que los totales de los Criterios de Desagregación de Ingresos de cada servicio mayorista o minorista obtenidos en la Tabla 1.1 del MSC, sean consignados de manera idéntica en los respectivos Criterios de Desagregación de Ingresos de las Tablas 2.1, 2.4, 2.7, 2.10, 2.13, 2.16, 2.19, 2.22 2.25, 2.28, 2.31 y 2.34 del MSC. Así como también, que los subtotales de la sección "Empresas vinculadas y/o unidades de negocio de la misma empresa" de la Tabla 1.1 sean consignados de manera idéntica en los respectivos Criterios de Desagregación de Ingresos mayoristas de las Tablas 2.25, 2.28, 2.31 y 2.34 del MSC.
9.1.3.1.1.1 Ingresos minoristas - clasificación para reporte en las tablas del MSC
I) Fijo Voz
a) Local: Ingresos asociados al servicio de telefonía fija que se cobra al usuario final, cuando el tráfico telefónico de voz se presenta entre usuarios de una misma central o entre usuarios que se encuentran en una misma área del servicio de telefonía fija local, y no requiere de la marcación de un prefijo de acceso de larga distancia.
b) Fijo - móvil: Ingresos asociados al tráfico telefónico de voz que se cobra al usuario final, originado en la red de telefonía fija y terminado en una red de telefonía móvil.
c) Conexión (Instalación): Ingresos por la instalación de la línea telefónica fija y conexión del servicio cobrado al usuario (incluye red primaria, red secundaria, red de abonado, instalación de línea, acometida interna y externa, cargo por conexión del servicio, otros).
d) Otros Servicios: Ingresos por servicios o facilidades que se pueden brindar en forma simple o natural en centrales digitales o en redes de nueva generación a partir de cambios de parámetros o configuración de la línea de abonado, muchos de ellos siendo programables desde el propio equipo terminal. Incluye los servicios de información, suplementarios y complementarios (Ej. llamada en espera, trasferencia de llamadas, llamadas con tarifas Premium, etc.), los ingresos por la prestación de otros servicios minoristas a usuarios finales, tales como arriendo de líneas a usuarios residenciales o corporativos, líneas dedicadas, VPNs, etc., y todo aquello que no se contemple en el ítem (I) del numeral 9.1.3.1.1.1.
II) Móvil Voz
a) Móvil-Móvil: Ingresos por las llamadas originadas y terminadas en la red de telefonía móvil del operador o terminadas en otras redes de telefonía móvil nacionales.
b) Fijo-Móvil: Ingreso por las llamadas fijo - móvil, solo en caso de que el Proveedor de Redes y Servicios de Telecomunicaciones Móviles (PRSTM) tenga la titularidad de esta llamada.
c) Móvil-Fijo: Ingresos por llamadas originadas en la red de telefonía móvil con terminación en una red fija.
d) Roaming Internacional Outbound: Ingresos por la prestación del servicio de Roaming de voz o itinerancia internacional a sus usuarios en redes móviles de otros países.
e) Otros Servicios: Ingresos por la prestación de otros servicios minoristas a usuarios finales que no se contemplan en el ítem (II) del numeral 9.1.3.1.1.1.
III) Larga Distancia Minorista
a) Fijo - Nacional: Ingresos asociados al tráfico telefónico originado en la red de telefonía fija y terminado en una red fija nacional que no forma parte del mismo grupo de centrales de servicio local, y requiere de la marcación de un prefijo de acceso a larga distancia nacional para poder lograr su enrutamiento.
b) Fijo - Internacional: Ingresos asociados al tráfico telefónico originado en la red de telefonía fija y terminado en una red telefónica de otro país, que requiere de la marcación de un prefijo de acceso a larga distancia internacional.
c) Móvil - Internacional: Ingresos asociados al tráfico originado en una red móvil del país y terminado en una red telefónica de otro país, que requiere de la marcación de un prefijo de acceso de larga distancia internacional.
d) Otros Ingresos Minoristas: Ingresos por la prestación de otros servicios minoristas a usuarios finales que no se contemplan en el ítem (III) del numeral 9.1.3.1.1.1.
IV) Internet Fijo
a) Internet (Ingresos Residencial): Ingresos asociados al servicio de internet fijo que se cobra al usuario Residencial.
b) Conexión (Ingresos Residencial): Ingresos asociados por la conexión del servicio cobrado al usuario residencial. Incluye ingresos por conexión a través de líneas dedicadas, enlaces de datos, VPN, etc.
c) Otros Servicios (Ingresos Residencial): Ingresos por la prestación de otros servicios minoristas a usuarios residenciales, como servidores virtuales, seguridad informática, data center, servicios profesionales para soluciones de conectividad, mesas de ayuda, hosting, espacio para equipos, líneas dedicadas, VPN, música, venta de servicios en línea, servicios de comercio electrónico, etc.
d) Internet (Ingresos Corporativo): Ingresos asociados al servicio de internet fijo que paga el usuario Corporativo.
e) Conexión (Ingresos Corporativo): Ingresos asociados por la conexión del servicio cobrado al usuario Corporativo. Incluye ingresos por conexión a través de líneas dedicadas, enlaces de datos, VPN, etc.
f) Otros Servicios (Ingresos Corporativo): Ingresos por la prestación de otros servicios minoristas a usuarios corporativos, como servidores virtuales, seguridad informática, data center, servicios profesionales para soluciones de conectividad, mesas de ayuda, hosting, espacio para equipos, líneas dedicadas, VPN, música, venta de servicios en línea, servicios de comercio electrónico, etc.
V) Internet Móvil
a) Internet (Ingresos por Demanda): Ingresos asociados al servicio de internet móvil que se cobra al usuario por demanda.
b) Apps (Ingresos por Demanda): Ingresos por concepto de comercialización o alianzas para el uso de aplicaciones informáticas en dispositivos móviles y computadores para que el usuario por demanda realice distintos tipos de tareas (profesional, de ocio, educativas, de acceso a servicios, comercio electrónico, servicios informativos, descargas de multimedia, etc.), a través del servicio de internet móvil.
c) Roaming Internacional Outbound (Ingresos por Demanda): Ingresos por la prestación del servicio de Roaming de datos en redes móviles de otros países a sus usuarios por demanda.
d) Internet de las Cosas (IoT) (Ingresos por Demanda): Ingresos por concepto de comercialización de internet de las cosas (IoT4(4), por sus siglas en inglés) a sus usuarios por demanda.
e) Otros Servicios (Ingresos por Demanda): Ingresos por la prestación de otros servicios minoristas a usuarios finales por demanda, que no se contemplan en los subítems (a), (b) y (c) del ítem (V) del numeral 9.1.3.1.1.1.
f) Internet (Ingresos por Suscripción): Ingresos asociados al servicio de internet móvil que se cobra al usuario por suscripción.
g) Apps (Ingresos por Suscripción): Ingresos por concepto de comercialización o alianzas para el uso de aplicaciones informáticas en dispositivos móviles y computadores para que el usuario por suscripción realice distintos tipos de tareas (profesional, de ocio, educativas, de acceso a servicios, comercio electrónico, servicios informativos, descargas de multimedia, etc.), a través del servicio de internet móvil.
h) Roaming Internacional Outbound (Ingresos por Suscripción): Ingresos por la prestación del Servicio de Roaming de datos en redes móviles de otros países a sus usuarios por suscripción.
i) Internet de las Cosas (IoT) - M2M (Ingresos por Suscripción): Ingresos por concepto de comercialización de internet de las cosas (IoT, por sus siglas en inglés) o M2M (Machine-to-Machine)5(5) a sus usuarios por suscripción.
j) Otros Servicios: Ingresos por la prestación de otros servicios minoristas a usuarios finales, como servidores virtuales, seguridad informática, data center, servicios profesionales para soluciones de conectividad, mesas de ayuda, hosting, espacio para equipos, líneas dedicadas, VPN, música, venta de servicios en línea, servicios de comercio electrónico, etc., que no se contemplan en los sub-ítems (f), (g), (h) y (j) del ítem (V) del numeral 9.1.3.1.1.1.
VI) Televisión por suscripción
a) Cargo Fijo: Ingresos por la prestación del servicio a usuarios finales de televisión por suscripción, para acceder a unos canales de televisión.
b) Eventos pague por ver (PPV): Ingresos provenientes del servicio de televisión mediante el cual un suscriptor puede comprar contenido audiovisual específico para ser visto a través de una emisión privada.
c) Video por Demanda: Ingresos provenientes del servicio de televisión que permite a los usuarios el acceso a librerías o ubicaciones de contenidos multimedia de forma personalizada, ofreciéndoles de este modo, la posibilidad de solicitar y visualizar una película o programa concreto en el momento que el usuario lo desee y no bajo un tiempo preestablecido.
d) Conexión: Ingresos provenientes de los cargos asociados a la instalación y la conexión del servicio, que puede ser por cable, satelital u otros.
e) Otros Servicios: Ingresos por la prestación de otros servicios a usuarios finales que no se contemplan en el ítem (VI) del numeral 9.1.3.1.1.1.
VII) Mensajería SMS
a) Ingreso consumo (Nacional): Ingresos por el envío de mensajes de texto en el territorio nacional.
b) Ingreso consumo (Internacional): Ingresos por el envío de mensajes de texto al exterior.
c) Roaming Internacional Outbound: Ingresos por la prestación del servicio de Roaming de SMS a sus usuarios en redes móviles de otros países.
d) Otros Servicios: Ingresos por la prestación de otros servicios minoristas a usuarios finales que no se contemplan en el ítem (VII) del numeral 9.1.3.1.1.1.
VIII) Equipos
a) Ingreso Alquiler: Ingresos por el alquiler de equipos terminales a usuarios finales utilizados para la prestación del servicio de internet fijo o móvil, IoT, M2M, de voz fija o móvil, de Televisión, etc. Los terminales según el tipo de tecnología de red de acceso empleada podrán ser entre otros: Modem xDSL, Cable Módem, MTA (Multimedia Terminal Adapter), ONT (Optical Networking Terminal), ONU (Optical Network Unit), equipos terminales móviles, dongle, amplificadores, repetidores, extensores de alcance de red, de tecnología vestible (weareables), electrodomésticos, módulos, sensores, relojes inteligentes, etc.
b) Ingresos por Venta y Financiación: Ingresos por la venta y financiación de equipos terminales a usuarios finales para la prestación del servicio de internet fijo o móvil, IoT, M2M, de voz fija o móvil, de Televisión, etc. Los terminales según el tipo de tecnología de red de acceso empleada podrán ser entre otros: Modem xDSL, Cable Módem, MTA (Multimedia Terminal Adapter), ONT (Optical Networking Terminal), ONU (Optical Network Unit), equipos terminales móviles, dongle, amplificadores, repetidores, extensores de alcance de red, de tecnología vestible (wearables), electrodomésticos, módulos, sensores, relojes inteligentes, etc.
c) Otros: Otros ingresos por la venta, financiación, alquiler, mantenimiento, etc. de equipos a usuarios finales que no se contemplan en el ítem (VIII) del numeral 9.1.3.1.1.1.
9.1.3.1.1.2. Ingresos mayoristas - clasificación para reporte en las tablas del MSC:
I) Fijo
a) Arrendamiento de espacio Interconexión: Ingresos generados por arrendamiento (áreas y energía) relacionado con la interconexión que se tiene con otro PRST.
b) Cargo de Acceso Móvil-fijo: Ingresos generados por el uso de la red fija para la terminación de llamadas conmutadas de voz de origen en una red móvil.
c) Cargo de Acceso Fijo - Fijo: Ingresos generados por el uso de la red fija para la terminación de llamadas conmutadas de voz de origen en una red fija.
d) Cargo de Acceso Larga Distancia: Ingresos generados por el uso de la red fija por las llamadas conmutadas de voz provenientes de operadores nacionales que no forman parte del mismo grupo de centrales de servicio local, o con origen en otro país, o llamadas entrantes y salientes de larga distancia internacional.
e) Cargo de Acceso Fijo - Móvil: Ingresos generados por el uso de la red fija para la generación de llamadas conmutadas de voz con destino a una red móvil, cuando el operador fijo no tiene la titularidad de dicho tráfico.
f) Transporte Interconexión: Ingreso por la transmisión y recepción de señales desde un punto a otro u otros puntos de forma bidireccional o unidireccional, para fines específicos de la interconexión.
g) Arrendamiento Infraestructura Activa (Voz): Ingresos por el arrendamiento de la infraestructura activa referida a los elementos de las redes de telecomunicaciones que almacenan, emiten, procesan, reciben o transmiten escritos, imágenes, sonidos, señales, signos o información de voz.
h) Arrendamiento Infraestructura Activa (Datos): Ingresos por el arrendamiento de la infraestructura activa referida a los elementos de las redes de telecomunicaciones que almacenan, emiten, procesan, reciben o transmiten escritos, imágenes, sonidos, señales, signos o información de datos.
i) Arrendamiento Infraestructura Pasiva (Postes y ductos): Ingresos por el arrendamiento para el acceso y uso de postes, ductos y torres.
j) Arrendamiento Infraestructura Pasiva (Otra Infraestructura pasiva): Ingresos por el arrendamiento para el acceso y uso de otra infraestructura pasiva como predios, sitios y espacios físicos.
k) Otros Ingresos mayoristas: Ingresos por la prestación de otros servicios mayoristas a proveedores de redes y servicios de telecomunicaciones que no se contemplan en el ítem (I) del numeral 9.1.3.1.1.2 y entre los que están el servicio de facturación y recaudo, etc.
II) Móvil
a) Arrendamiento de espacio Interconexión: Ingresos generados por arrendamiento (áreas y energía) relacionado con la interconexión que se tiene con otro PRST.
b) Cargo de Acceso móvil - móvil: Ingresos generados por el uso de la red móvil para la terminación en la red móvil de llamadas conmutadas de voz con origen en otra red móvil.
c) Cargo de Acceso fijo - Móvil: Ingresos generados por el uso de la red móvil para la terminación de llamadas conmutadas de voz con origen en una red de telefonía fija, cuando el operador fijo tiene la titularidad de la llamada.
d) Cargo de Acceso LDI: Ingresos generados por el uso de la red móvil en la originación o terminación de llamadas de larga distancia internacional (LDI).
e) Transporte Interconexión: Ingreso por la transmisión y recepción de señales desde un punto a otro u otros puntos de forma bidireccional o unidireccional, para fines específicos de la interconexión.
f) Terminación SMS (Nacional): Ingresos generados por el uso de la red móvil para la terminación de mensajes de texto SMS en su red y originados en otra red móvil nacional.
g) Terminación SMS (Internacional): Ingresos generados por el uso de la red móvil para la terminación de mensajes de texto SMS en su red y originados en otro país.
h) Roaming automático nacional (Voz): Ingresos por permitir a otro proveedor prestar servicios de voz a sus usuarios cuando a este no le resulta técnicamente factible prestar el servicio mediante el uso de su propia red.
i) Roaming automático nacional (Datos): Ingresos por permitir a otro proveedor prestar servicios de datos móviles a sus usuarios cuando a este no le resulta técnicamente factible prestar el servicio mediante el uso de su propia red.
j) Roaming automático nacional (SMS): Ingresos por permitir a otro proveedor prestar servicios de mensajería de texto a sus usuarios cuando a este no le resulta técnicamente factible prestar el servicio mediante el uso de su propia red.
k) Roaming internacional Inbound (Voz): Ingresos por el tráfico de voz cursado en su red móvil por usuarios de un operador móvil de otro país haciendo uso del servicio de Roaming internacional.
l) Roaming internacional Inbound (Datos): Ingresos por el tráfico de datos cursado en su red móvil por usuarios de un operador móvil de otro país haciendo uso del servicio de Roaming internacional.
m) Roaming internacional Inbound (SMS): Ingresos por el tráfico de SMS cursado en su red móvil por usuarios de un operador móvil de otro país haciendo uso del servicio de Roaming internacional.
n) Acceso OMV (Voz): Ingreso por la provisión de acceso para la prestación de servicios de comunicaciones de voz al público por parte de un OMV.
o) Acceso OMV (Datos): Ingreso por la provisión de acceso para la prestación de servicios de datos al público por parte de un OMV.
p) Acceso OMV (SMS): Ingreso por la provisión de acceso para la prestación de servicios de SMS al público por parte de un OMV.
q) Acceso OMV (Otros): Ingresos por productos y/o servicios proveídos a un OMV, que no se contemplan en los sub-ítems (n), (o) o (p) del ítem (II) del numeral 9.1.3.1.1.2, tales como activación de otros servicios, administración de usuarios, etc.
r) Acceso PCA e Integradores: Ingresos percibidos por permitir el acceso a sus redes a proveedores que actúan como productores, generadores o agregadores de contenido o por permitir el acceso de un agente responsable de la provisión de infraestructura de conexión y de soporte entre los PRST y los PCA.
s) Arrendamiento de la infraestructura pasiva: Ingresos por el arrendamiento de la infraestructura pasiva que es esencialmente la infraestructura civil, terrenos, postes, ductos, torres, etc.
t) Otros Ingresos mayoristas: Ingresos por la prestación de otros servicios mayoristas a proveedores que no se contemplan en el ítem (II) del numeral 9.1.3.1.1.2, tales como servicio de facturación y recaudo, etc.
III) Larga Distancia
a) Carrier Internacional (LDI - Móvil): Ingresos percibidos de carriers por la terminación en una red móvil del tráfico de Larga Distancia Internacional Entrante a Colombia.
b) Carrier Internacional (LDI - Fijo): Ingresos percibidos de carriers por la terminación en una red fija del tráfico de Larga Distancia Internacional Entrante a Colombia.
c) Otros Ingresos mayoristas: Ingresos por la prestación de otros servicios mayoristas a proveedores que no se contemplan en el ítem (III) del numeral 9.1.3.1.1.2.
IV) Servicio Portador Mayorista
a) Servicios Portador (Nacional): Ingresos percibidos por la prestación de servicios que proporcionan la capacidad necesaria para la transmisión nacional de señales entre dos o más puntos de una o varias redes de comunicaciones, por medio de la infraestructura, medios de transmisión y equipos necesarios para transportar las señales de telecomunicaciones. Esta red está constituida por enlaces que unen distintas zonas de una misma ciudad, así como las diversas regiones y municipios, y utiliza principalmente tres clases de medios de transmisión: fibra óptica, enlaces microondas y enlaces satelitales.
b) Servicios Portador (Internacional): Ingresos percibidos por la prestación de servicios que proporcionan la capacidad necesaria para la transmisión internacional de señales entre dos o más puntos de una o varias redes de comunicaciones, por medio de la infraestructura, medios de transmisión y equipos necesarios para transportar las señales de telecomunicaciones. Esta red está constituida, entre otros, por Fibra óptica (vía cable submarino), recursos satelitales o tendidos de fibra óptica por vía terrestre hacia otros países.
c) Peering: Ingresos percibidos por un PRST que presta el servicio de conexión punto a punto a otro PRST o ISP en alguno de los tramos de su red. Este tipo de servicio específico de portador tiene tres características a saber: i) es una conexión dedicada punto a punto; ii) se usa de manera exclusiva por el cliente entre los dos puntos de conexión; y iii) involucra un ISP.
d) Otros Ingresos Mayoristas: Ingresos por la prestación de otros servicios mayoristas a proveedores que no se contemplan en el ítem (IV) del numeral 9.1.3.1.1.2, tales como, ingreso por alquiler fibra oscura, etc.
9.1.3.1.2. Contabilidad costos Directos y no relevantes - Tabla 1.2 del MSC.
Los servicios y sus correspondientes criterios de desagregación utilizados en la Tabla 1.2 del MSC, son los siguientes:
Lista 3. Estructura de los costos directos del MSC
<Consultar Lista 3 directamente en el Anexo 9.1 de la Resolución 5589 de 2019>
Los PRST y/o OTVS deben relacionar en las columnas "Código Contable", "Centro de Costo", "Nombre Cuenta" y "Valor Contable" de la Tabla 1.2 del MSC, todas las cuentas contables de Costos Directos y Costos No Relevantes de su contabilidad. Luego deben asignar a cada uno de los Criterios de Desagregación de Costos(6) el valor de cada cuenta y/o centro de costos que le sea atribuible. Para las cuentas de costos no relevantes, la asignación se debe realizar en la columna "Partidas Costos no relevantes al MSC".
A fin de identificar si la cuenta corresponde a costos directos y/o indirectos en la Tabla 1.2 del MSC se incluye la columna "Centro de Costo", toda vez que para el manejo contable de los costos los PRST y/o OTVS realizan para algunas cuentas una subclasificación por áreas o procesos de la empresa. Únicamente cuando el PRST y/o OTVS haga uso del Centro de Costos y este Centro de Costos sea utilizado para las asignaciones del MSC, en la columna "Centro de Costo" debe registrar el nombre del área o proceso para cada una de las cuentas de costos directos que correspondan, y en la columna "Valor Contable" debe registrar solamente el valor de cada centro de costos.
Para cada una de las cuentas y/o centros de costos, se deben incluir en la columna de "Notas", las explicaciones sobre cómo se hace la asignación en las diferentes columnas.
En la sección "Drivers para partidas agrupadas por servicios" de la Tabla 1.2 del MSC, la columna "Partida Agrupada" corresponde a los Criterios de Desagregación de Costos que el PRST y/o OTVS debe asignar. Para dicha asignación, debe definir los drivers, aplicarlos y en la columna "Descripción Driver aplicado y Notas" indicar las variables del driver empleado y su magnitud, es decir, numerador y denominador.
Por su parte, en la sección "Drivers para partidas agrupadas por subcriterios" de la Tabla 1.2 del MSC, la columna "Partida Agrupada" corresponde a los Criterios de Desagregación de Costos que el PRST y/o OTVS debe asignar. Para dicha asignación, debe definir los drivers y aplicarlos, y en la columna "Descripción Driver aplicado y Notas" debe indicar las variables del driver empleado y su magnitud, es decir, numerador y denominador.
Adicionalmente, la Tabla 1.2 del MSC contiene la sección "Subtotales Costos Directos" en la cual el PRST y/o OTVS debe incluir el detalle de los costos por servicio y subcriterio como subtotales, para cada uno de los conceptos relacionados en la columna "Partida Agrupada" de la citada sección de la tabla. Para cada uno de estos subtotales, el PRST y/o OTVS debe hacer la asignación en cada subcriterio de desagregación, siguiendo las condiciones definidas en el presente Anexo.
Los PRST y/o OTVS deben asegurar la totalización de los subcriterios de desagregación de cada servicio independiente del número de cuentas que incorpore en la Tabla 1.2 del MSC.
De igual manera, los PRST y/o OTVS deben asegurar que los totales de los subcriterios de desagregación de cada servicio mayorista o minorista, obtenidos en la Tabla 1.2 del MSC, sean consignados de manera idéntica en los respectivos criterios de desagregación de las Tablas 2.2, 2.5, 2.8, 2.11, 2.14, 2.17, 2.20, 2.23 2.26, 2.29, 2.32 y 2.35 del MSC.
9.1.3.1.2.1. Costos Directos Minoristas - clasificación para reporte en las tablas del MSC
I) Fijo Voz
a) Interconexión: Costos por terminación de llamadas del servicio fijo de voz en las redes de otros operadores. Incluye el arrendamiento de espacios (áreas y energía) y cargos de acceso.
i) Arrendamiento de espacio: Costos de arrendamiento en los que incurre el operador relacionados directamente con la interconexión.
ii) Cargo de Acceso Terminación Fijo - Fijo: Costo de entrega de llamadas conmutadas de voz con origen en la red fija a usuarios de una red fija nacional.
iii) Cargo de Acceso Terminación Fijo - Móvil: Costo de entrega de llamadas conmutadas de voz con origen en la red fija a usuarios de una red móvil nacional.
b) Costos de red núcleo: Costos del suministro, instalación, configuración, operación y mantenimiento (incluidos costos de personal, contraprestaciones, contribuciones y demás tasas o impuestos directos), de la red de núcleo definida en el numeral 9.1.2.15 correspondiente a una red de telefonía fija.
i) Local: Asociados al servicio de telefonía fija local.
ii) Fijo móvil: Asociados al servicio de telefonía fija con terminación en una red móvil.
c) Costos de red conmutación: Costos del suministro, instalación, configuración, operación y mantenimiento (incluidos costos de personal, contraprestaciones, contribuciones y demás tasas o impuestos directos), de la red de conmutación definida en el numeral 9.1.2.14 correspondiente a una red de telefonía fija.
i) Local: Asociados al servicio de telefonía fija local.
ii) Fijo móvil: Asociados al servicio de telefonía fija con terminación en una red móvil.
d) Costos de red transmisión: Costos del suministro, instalación, configuración, operación y mantenimiento (incluidos costos de personal, contraprestaciones, contribuciones y demás tasas o impuestos directos), de la red de transmisión definida en el numeral 9.1.2.16 correspondiente a una red de telefonía fija.
i) Local: Asociados al servicio de telefonía fija local.
ii) Fijo móvil: Asociados al servicio de telefonía fija con terminación en una red móvil.
e) Costos de red acceso: Costos de suministro, instalación, montaje, operación y mantenimiento (incluidos costos de personal, contraprestaciones, contribuciones y demás tasas o impuestos directos), de los elementos de la red de acceso definida en el numeral 9.1.2.13 correspondiente a una red de telefonía fija. Comprende el conjunto de infraestructura activa y pasiva de telecomunicaciones, cables, conectores, ductería, gabinetes, regletas y demás elementos necesarios ubicados en los inmuebles, que conforman la red para el acceso del usuario a los servicios públicos de telecomunicaciones, que va desde el punto de conexión con la red del proveedor de servicios de telecomunicaciones, en donde este deja el servicio, hasta el inmueble del usuario, incluidas las tomas de conexión al interior del inmueble, obras civiles internas, cableado, pares telefónicos, cable coaxial, fibra óptica, empalmes o unión de cobre, equipos de amplificación en edificios según sea el caso. Abarca tanto la red de distribución como la red de último kilómetro, esto es, la red primaria, red secundaria, armarios y red de abonado. Incluye los costos asociados a la instalación de la línea y la conexión del servicio.
i) Local: Asociados al servicio de telefonía fija local.
ii) Fijo móvil: Asociados al servicio de telefonía fija con terminación en una red móvil.
iii) Instalación: Asociados a los ingresos por instalación y/o conexión de la línea, cuando se realiza la activación del usuario.
f) Arrendamiento Infraestructura Activa: Costos de arrendamiento de la infraestructura activa referida a los equipos o elementos de las redes de telecomunicaciones que almacenan, emiten, procesan, reciben o transmiten escritos, imágenes, sonidos, señales, signos o información de cualquier naturaleza. Incluye los costos por el arrendamiento de líneas o parte de una red de otro PRST y/o OTVS para fines diferentes a la interconexión, como por ejemplo líneas dedicadas que se utilizan para completar su red.
g) Arrendamiento Infraestructura Pasiva: Costos por arrendamiento de los elementos no eléctricos de las redes de telecomunicaciones o de otros servicios, esencialmente de infraestructura civil, terrenos, postes, ductos, elementos de red y fibra oscura.
h) Otros Costos asociados al ingreso minorista: Costos directos que no se contemplan en el ítem (I) del numeral 9.1.3.1.2.1 y en los que haya incurrido el PRST y/o OTVS para la generación del ingreso de voz fija minorista.
II) Móvil Voz
a) Interconexión: Costo por terminación de llamadas de origen móvil en las redes de otros operadores. Incluye el arrendamiento de espacios (áreas y energía) y cargos de acceso.
i) Arrendamiento de espacio: Costos de arrendamiento en los que incurre el operador relacionados directamente con la interconexión.
ii) Cargo de Acceso Terminación Móvil - Móvil: Costo por el uso de la red para la entrega de llamadas conmutadas de voz de origen móvil a usuarios de otra red móvil nacional.
iii) Cargo de Acceso Terminación Fijo - Móvil: Costo por el uso de la red para la entrega de llamadas conmutadas de voz con origen en redes fijas a usuarios de la red móvil del operador. Solo aplica en caso de que el Proveedor móvil tenga la titularidad de la llamada fijo - móvil.
iv) Cargo de Acceso Terminación Móvil - Fijo: Costo por el uso de la red para la entrega de llamadas conmutadas de voz de origen móvil a usuarios de redes de telefonía fija nacional.
b) Roaming Internacional Outbound: Costos asociados a la prestación del servicio de voz a sus usuarios en una red móvil en otro país haciendo uso de Roaming Internacional.
i) Clearing House: Costos por el pago a los proveedores de Clearing House encargados de la señalización, generación e intercambio de cintas TAP (Transfer Account Procedure), liquidación y compensación financiera de los registros TAP, control de fraudes (Near Real Time Roaming Data Exchange) que se generan del uso de Roaming Internacional entre operadores.
ii) Pago al operador visitado: Costos representados por las tarifas interoperador (IOT) para servicios de voz cobradas por el operador móvil visitado.
iii) Otros: Otros costos y gastos directos asociados a la prestación del servicio de Roaming Internacional Outbound complementarios a los de Clearing House y pago al operador visitado (Ej. LDI (Larga Distancia Internacional) por entrega de llamadas al usuario en Roaming, Acuerdos de Roaming Hub, Roaming Sponsors y otros servicios).
c) Costos de red núcleo: Costos del suministro, instalación, configuración, operación y mantenimiento (incluidos costos de personal, contraprestaciones, contribuciones y demás tasas o impuestos directos), de los elementos de la red de núcleo definida en el numeral 9.1.2.15 correspondiente a una red de telefonía móvil.
i) Móvil - Móvil: Costos de entrega de las llamadas de origen móvil y terminadas en una red de telefonía móvil nacional.
ii) Fijo - Móvil: Costo de entrega de las llamadas de origen fijo y terminadas en la red móvil del operador. Solo aplica en caso de que el Proveedor móvil tenga la titularidad de la llamada fijo - móvil.
iii) Móvil - Fijo: Costos de entrega de las llamadas de origen móvil y terminadas en una red de telefonía fija nacional.
d) Costos de red conmutación: Costos del suministro, instalación, configuración, operación y mantenimiento de los elementos de la red de conmutación definida en el numeral 9.1.2.14 correspondiente a una red de telefonía móvil (incluidos costos de personal, contraprestaciones, contribuciones y demás tasas o impuestos directos).
i) Móvil - Móvil: Costos de entrega de las llamadas de origen móvil y terminadas en una red de telefonía móvil nacional.
ii) Fijo - Móvil: Costo de entrega de las llamadas de origen fijo y terminadas en la red móvil del operador. Solo aplica en caso de que el Proveedor móvil tenga la titularidad de la llamada fijo - móvil.
iii) Móvil - Fijo: Costos de entrega de las llamadas de origen móvil y terminadas en una red de telefonía fija nacional.
e) Costos de red transmisión: Costos del suministro, instalación, configuración, operación y mantenimiento (incluidos costos de personal, contraprestaciones, contribuciones y demás tasas o impuestos directos), de la red de transmisión definida en el numeral 9.1.2.16 correspondiente a una red de telefonía móvil.
i) Móvil - Móvil: Costos de entrega de las llamadas de origen móvil y terminadas en una red de telefonía móvil nacional.
ii) Fijo - Móvil: Costo de entrega de las llamadas de origen fijo y terminadas en la red del operador móvil. Solo aplica en caso de que el Proveedor móvil tenga la titularidad de la llamada fijo - móvil.
iii) Móvil - Fijo: Costos de entrega de las llamadas de origen móvil y terminadas en una red de telefonía fija nacional.
f) Costos de red acceso: Costos de suministro, instalación, montaje, operación y mantenimiento (incluidos costos de personal, contraprestaciones, contribuciones y demás tasas o impuestos directos), de los elementos de la red de acceso definida en el numeral 9.1.2.13 correspondiente a una red de telefonía móvil. Comprende el conjunto de infraestructura activa y pasiva de telecomunicaciones, estaciones base, nodos, controladores de estaciones base o de radio, subsistemas de estaciones base (equipos de radio, guías de onda, antenas, etc.), cables, conectores, ductería, gabinetes, regletas y demás elementos necesarios para garantizar el acceso inalámbrico de los equipos terminales del usuario a través de la interface de aire o interfaces de radio. Comprende todas las configuraciones de acceso al dominio de voz en redes 2G, 3G y posteriores, necesarios para conectar los equipos de los usuarios finales con la red núcleo del proveedor.
i) Móvil - Móvil: Costos de entrega de las llamadas de origen móvil y terminadas en una red de telefonía móvil nacional.
ii) Fijo - Móvil: Costo de entrega de las llamadas de origen fijo y terminadas en la red móvil del operador. Solo aplica en caso de que el Proveedor móvil tenga la titularidad de la llamada fijo - móvil.
iii) Móvil - Fijo: Costos de entrega de las llamadas de origen móvil y terminadas en una red de telefonía fija nacional.
g) Roaming Automático Nacional: Costos en los que incurre un proveedor de redes y servicios de telecomunicaciones para utilizar la red de otro proveedor cuando no cuenta con infraestructura propia para proveer cobertura, con el fin de que los usuarios del proveedor de la red origen puedan originar o terminar una comunicación en la red del proveedor visitado.
h) Arrendamiento Infraestructura Activa: Costos de arrendamiento de la infraestructura activa referida a los equipos o elementos de las redes de telecomunicaciones que almacenan, emiten, procesan, reciben o transmiten escritos, imágenes, sonidos, señales, signos o información de cualquier naturaleza.
i) Arrendamiento Infraestructura Pasiva: Costos de arrendamiento de los elementos no eléctricos de las redes de telecomunicaciones o de otros servicios, esencialmente de infraestructura civil, terrenos, postes, ductos, elementos de red y fibra oscura, así mismo incluye los costos de renta por uso de satélites.
j) Otros Costos asociados al ingreso minorista: Costos directos que no secontemplan en el ítem (II) del numeral 9.1.3.1.2.1. y en los que haya incurrido el PRST y/o OTVS para la generación del ingreso de voz móvil minorista.
III) Larga Distancia
a) Interconexión: Costo por el uso de la red fija para la terminación de llamadas provenientes de operadores nacionales que no forman parte del mismo grupo de centrales de servicio local a llamadas con origen en otro país, o por la originación de llamadas de larga distancia en redes fijas o móviles. Incluye el arrendamiento de espacios (áreas y energía) y cargos de acceso.
i) Arrendamiento de espacio: Costos de arrendamiento en los que incurre el operador relacionados directamente con la interconexión.
ii) Cargo de Acceso Larga Distancia: Costos por el uso de la red de un operador nacional para la provisión de servicios en la terminación de tráfico proveniente de operadores nacionales que no forman parte del mismo grupo de centrales de servicio local, o por la originación de llamadas de larga distancia.
b) Carrier internacional: Costos asociados al pago que se hace a un carrier internacional, por la prestación del servicio de larga distancia internacional.
c) Costos de red núcleo: Costos del suministro, instalación, configuración, operación y mantenimiento (incluidos costos de personal, contraprestaciones, contribuciones y demás tasas o impuestos directos), de los elementos de red de núcleo definidos en el numeral 9.1.2.15 correspondiente a una red de telefonía fija, móvil o de larga distancia y relacionados con el tráfico de larga distancia.
i) Fijo - Nacional: Costos de entrega del tráfico telefónico originado en la red de telefonía fija y terminado en una red fija nacional, cuando no forma parte del mismo grupo de centrales de servicio local, y requiere de la marcación de un prefijo de acceso de larga distancia nacional para poder lograr su enrutamiento.
ii) Fijo - Internacional: Costo de entrega del tráfico telefónico originado en la red de telefonía fija y terminado en una red telefónica de otro país, que requiere de la marcación de un prefijo de acceso a larga distancia internacional.
iii) Móvil - Internacional: Costos de entrega del tráfico originado en una red móvil del país y terminado en una red telefónica de otro país, que requiere de la marcación de un prefijo de acceso a larga distancia internacional.
d) Costos de red conmutación: Costos del suministro, instalación, configuración, operación y mantenimiento (incluidos costos de personal, contraprestaciones, contribuciones y demás tasas o impuestos directos), de los elementos de la red de conmutación definida en el numeral 9.1.2.14 correspondientes a una red de telefonía fija, móvil o de larga distancia y relacionados con el tráfico de larga distancia.
i) Fijo - Nacional: Costos de entrega del tráfico telefónico originado en la red de telefonía fija y terminado en una red fija nacional, cuando no forman parte del mismo grupo de centrales de servicio local, y requiere de la marcación de un prefijo de acceso de larga distancia nacional para poder lograr su enrutamiento.
ii) Fijo - Internacional: Costo de entrega del tráfico telefónico originado en la red de telefonía fija y terminado en una red telefónica de otro país, que requiere de la marcación de un prefijo de acceso a larga distancia internacional.
iii) Móvil - Internacional: Costos de entrega del tráfico originado en una red móvil del país y terminado en una red telefónica de otro país, que requiere de la marcación de un prefijo de acceso a larga distancia internacional.
e) Costos de red transmisión: Costos del suministro, instalación, configuración, operación y mantenimiento (incluidos costos de personal, contraprestaciones, contribuciones y demás tasas o impuestos directos), de la red de transmisión definida en el numeral 9.1.2.16 correspondiente a una red de telefonía fija, móvil, o de larga distancia y relacionados con el tráfico de larga distancia.
i) Fijo - Nacional: Costos de entrega del tráfico telefónico originado en la red de telefonía fija y terminado en una red fija nacional, cuando no forman parte del mismo grupo de centrales de servicio local, y requiere de la marcación de un prefijo de acceso de larga distancia nacional para poder lograr su enrutamiento.
ii) Fijo - Internacional: Costo de entrega del tráfico telefónico originado en la red de telefonía fija y terminado en una red telefónica de otro país, que requiere de la marcación de un prefijo de acceso a larga distancia internacional.
iii) Móvil - Internacional: Costos de entrega del tráfico originado en una red móvil del país y terminado en una red telefónica de otro país, que requiere de la marcación de un prefijo de acceso a larga distancia internacional.
f) Costos de red acceso: Costo de suministro, instalación, montaje, operación y mantenimiento (incluidos costos de personal, contraprestaciones, contribuciones y demás tasas o impuestos directos), de la red de acceso definida en el numeral 9.1.2.13 correspondiente a una red de telefonía fija, móvil o de larga distancia (si aplica) y relacionado con el tráfico de larga distancia.
i) Fijo - Nacional: Costos de entrega del tráfico telefónico originado en la red de telefonía fija y terminado en una red fija nacional, cuando no forman parte del mismo grupo de centrales de servicio local, y requiere de la marcación de un prefijo de acceso de larga distancia nacional para poder lograr su enrutamiento.
ii) Fijo - Internacional: Costo de entrega del tráfico telefónico originado en la red de telefonía fija y terminado en una red telefónica de otro país, que requiere de la marcación de un prefijo de acceso a larga distancia internacional.
iii) Móvil - Internacional: Costos de entrega del tráfico originado en una red móvil del país y terminado en una red telefónica de otro país, que requiere de la marcación de un prefijo de acceso a larga distancia internacional.
g) Otros Costos asociados al ingreso minorista: Costos directos que no se contemplan en el ítem (III) del numeral 9.1.3.1.2.1 y en los que haya incurrido el PRST y/o OTVS para la generación del ingreso minorista de larga distancia.
IV) Internet Fijo
a) Costos de red núcleo (Residencial y Corporativo): Costos del suministro, instalación, configuración, operación y mantenimiento (incluidos costos de personal, contraprestaciones, contribuciones y demás tasas o impuestos directos), de los elementos de la red de núcleo definida en el numeral 9.1.2.15 correspondiente a una red para la prestación del servicio internet fijo minorista.
b) Costos de red conmutación (Residencial y Corporativo): Costos del suministro, instalación, configuración, operación y mantenimiento (incluidos costos de personal, contraprestaciones, contribuciones y demás tasas o impuestos directos), de los elementos de la red de conmutación definida en el numeral 9.1.2.14 correspondiente a una red para la prestación del servicio internet fijo minorista.
c) Costos de red transmisión (Residencial y Corporativo): Costos del suministro, instalación, configuración, operación y mantenimiento (incluidos costos de personal, contraprestaciones, contribuciones y demás tasas o impuestos directos), de la red de transmisión definida en el numeral 9.1.2.16 correspondiente a una red para la prestación del servicio internet fijo minorista.
d) Costos de red acceso (Instalación, Conexión) - Residencial y Corporativo: Costos de suministro, instalación, montaje, operación y mantenimiento (incluidos costos de personal, contraprestaciones, contribuciones y demás tasas o impuestos directos), de la red de acceso definida en el numeral 9.1.2.13 correspondiente a una red para la prestación del servicio de internet fijo. Comprende el conjunto de infraestructura activa y pasiva de telecomunicaciones, cables, conectores, ductería, gabinetes, regletas y demás elementos necesarios ubicados en los inmuebles, que conforman la red para el acceso del usuario al servicio de internet, por cable coaxial o por fibra óptica, que va desde el punto de conexión con la red del proveedor de servicios de telecomunicaciones, en donde este deja el servicio, hasta el inmueble del usuario, incluidas las tomas de conexión al interior del inmueble, obras civiles internas, cableado, cable coaxial, fibra óptica, empalmes o unión de cobre, equipos de amplificación en edificios según sea el caso.
e) Arrendamiento de Infraestructura Activa (Residencial y Corporativo): Costos de arrendamiento de la infraestructura activa referida a los equipos o elementos de las redes de telecomunicaciones, que almacenan, emiten, procesan, reciben o transmiten escritos, imágenes, sonidos, señales, signos o información de cualquier naturaleza.
f) Arrendamiento de Infraestructura Pasiva (Residencial y Corporativo): Costos por arrendamiento de los elementos no eléctricos de las redes de telecomunicaciones o de otros servicios, esencialmente de infraestructura civil, terrenos, postes, ductos, elementos de red y fibra oscura, así mismo incluye los costos de renta por uso de satélites. Costo por el arrendamiento de elementos accesorios que proporcionan soporte a la infraestructura activa.
g) Otros costos asociados al ingreso minorista (Residencial y Corporativo): Costos directos que no se contemplan en el ítem (IV) del numeral 9.1.3.1.2.1 y en los que haya incurrido el PRST y/o OTVS para la generación del ingreso minorista de internet fijo.
h) Costos específicos para Segmento Corporativo: Costos y gastos directos específicos para el Segmento Corporativo, en caso de que sean exclusivos para este segmento.
V) Internet Móvil
a) Roaming Internacional Outbound: Costos asociados a la prestación del servicio de datos en una red móvil de otro país haciendo uso de Roaming Internacional.
i) Clearing House: Costos por el pago a los proveedores de Clearing House encargados de la señalización, conexión e intercambio de datos (GRX), generación e intercambio de cintas TAP (Transfer Account Procedure), liquidación y compensación financiera de los registros TAP que se generan del uso de roaming entre operadores.
ii) Pago al operador visitado: Costos representados por las tarifas interoperador (IOT) para servicios de datos cobradas por el operador móvil visitado.
iii) Otros asociados Internet Móvil: Otros costos y gastos directos asociados a la prestación del servicio de Roaming Internacional Outbound complementarios a los de Clearing House y pago al operador visitado (Ej. Acuerdos de Roaming Hub, Roaming Sponsors y otros servicios).
b) Derecho proveedores de aplicaciones: Costos en los que incurre para ofrecer a los usuarios aplicaciones (Apps) que pueden ser ejecutadas en teléfonos inteligentes, tabletas y otros dispositivos móviles, a través de los cuales realizan distintos tipos de tareas, o acceden a un servicio, como por ejemplo juegos, redes sociales, mensajería instantánea, entre otras.
c) Costos de red núcleo: Costos del suministro, instalación, configuración, operación y mantenimiento (incluidos costos de personal, contraprestaciones, contribuciones y demás tasas o impuestos directos), de los elementos de red de núcleo definidos en el numeral 9.1.2.15 correspondientes a una red para la prestación del servicio de internet móvil minorista.
d) Costos de red conmutación: Costos del suministro, instalación, configuración, operación y mantenimiento (incluidos costos de personal, contraprestaciones, contribuciones y demás tasas o impuestos directos), de los elementos de la red de conmutación definida en el numeral 9.1.2.14 correspondiente a una red para la prestación del servicio de internet móvil minorista.
e) Costos de red transmisión: Costos del suministro, instalación, configuración, operación y mantenimiento (incluidos costos de personal, contraprestaciones, contribuciones y demás tasas o impuestos directos), de la red de transmisión definida en el numeral 9.1.2.16 correspondiente a una red para la prestación del servicio internet móvil minorista. Incluye costos de ancho de banda internacional vía fibra óptica, submarina u otro; costo por la agregación de tráfico del servicio de acceso indirecto generado por los usuarios y la entrega del mismo a los adquirientes de servicios mayoristas; y costos de Content Delivery Network (CDN), Punto de Intercambio de Trafico - IXP, entre otros, para proveer Internet móvil a nivel minorista.
f) Costos de red acceso: Costos de suministro, instalación, montaje, operación y mantenimiento (incluidos costos del personal, contraprestaciones, contribuciones y demás tasas o impuestos directos), de la red de acceso definida en el numeral 9.1.2.13 correspondiente a una red para el acceso al servicio de Internet Móvil. Comprende el conjunto de infraestructura activa y pasiva de telecomunicaciones, estaciones base, nodos, controladores de estaciones base o de radio, subsistemas de estaciones base (equipos de radio, guías de onda, antenas, etc.), cables, conectores, ductería, gabinetes, regletas y demás elementos necesarios para garantizar el acceso inalámbrico de los equipos terminales del usuario, equipos IoT y M2M, a través de la interface de aire o interfaces de radio. Comprende todas las configuraciones de acceso al dominio de datos en redes 2G, 3G, 4G y posteriores, necesarios para conectar los equipos de los usuarios finales con la red núcleo de dicho dominio del proveedor.
g) Roaming Automático Nacional: Costos en los que incurre un proveedor de redes y servicios de telecomunicaciones para utilizar la red de otro proveedor cuando no cuenta con infraestructura propia para proveer cobertura, con el fin de que los usuarios del proveedor de la red de origen puedan establecer sesiones de datos en la red del proveedor visitado.
h) Arrendamiento de Infraestructura Activa: Costos de arrendamiento de la infraestructura activa referida a los elementos de las redes de telecomunicaciones o radiodifusión que almacenan, emiten, procesan, reciben o transmiten escritos, imágenes, sonidos, señales, signos o información de cualquier naturaleza.
i) Arrendamiento de Infraestructura Pasiva: Costos de arrendamiento de los elementos no eléctricos de las redes de telecomunicaciones o de otros servicios, esencialmente de infraestructura civil, terrenos, postes, ductos, elementos de red y fibra oscura, así mismo incluye los costos de renta por uso de satélites. Costo por el arrendamiento de elementos accesorios que proporcionan soporte a la infraestructura activa.
j) Otros costos asociados al ingreso minorista: Costos directos que no se contemplan en el ítem (V) del numeral 9.1.3.1.2.1. y en los que haya incurrido el PRST y/o OTVS para la generación del ingreso de Internet Móvil minorista.
VI) Televisión por suscripción
a) Transporte - Televisión: Costos relacionados con la red de transporte y demás plataformas necesarias para la distribución de la señal de TV hasta el usuario final.
b) Costos de red núcleo: Costos del suministro, instalación, configuración, operación y mantenimiento (incluidos costos de personal, contraprestaciones, contribuciones y demás tasas o impuestos directos), de los elementos de red de núcleo definidos en el numeral 9.1.2.15 correspondiente a una red de televisión. Abarca cabeceras de TV, moduladores, combinadores, equipos de recepción satelital, antenas parabólicas, softswitches, CMTS, router, equipos transmisores ópticos, moduladoras digitales, incluyendo los racks, centro de cableado, equipos de transmisión necesarios en las centrales de televisión, equipos de microondas, entre otros. Incluye sistemas de monitoreo y centro de control.
c) Costos de red conmutación: Costos del suministro, instalación, configuración, operación y mantenimiento (incluidos costos de personal, contraprestaciones, contribuciones y demás tasas o impuestos directos), de los elementos de la red de conmutación definida en el numeral 9.1.2.14 correspondiente a una red de televisión.
d) Costos de red transmisión: Costos del suministro, instalación, configuración, operación y mantenimiento (incluidos costos de personal, contraprestaciones, contribuciones y demás tasas o impuestos directos), de la red de transmisión definida en el numeral 9.1.2.16 correspondiente a una red de televisión, incluye costos de empalmes, unión de cobre, equipos de amplificación externa, armarios externos, multitaps, nodos ópticos, splitter ópticos, cable desde los nodos de distribución HUB hasta el punto más cercano al cliente y todo lo que compone la red de planta o red externa troncal.
e) Costos de red acceso (Instalación): Costos de suministro, instalación, montaje, operación y mantenimiento (incluidos costos de personal, contraprestaciones, contribuciones y demás tasas o impuestos directos), de la red de acceso definida en el numeral 9.1.2.13 correspondiente a una red de televisión. Costo de la instalación del cliente a la red de televisión en el punto más cercano a la red.
f) Arrendamiento de infraestructura Activa: Costos de arrendamiento de la infraestructura activa referida a los elementos de las redes de telecomunicaciones o radiodifusión que almacenan, emiten, procesan, reciben o transmiten escritos, imágenes, sonidos, señales, signos o información de cualquier naturaleza.
g) Arrendamiento de infraestructura Pasiva: Costo por el arrendamiento de elementos accesorios que proporcionan soporte a la infraestructura activa, esencialmente de infraestructura civil, terrenos, postes, ductos, elementos de red y fibra oscura, así mismo incluye los costos de renta por uso de satélites.
h) Adquisición de contenidos y costos de programación: Costos causados por la adquisición de contenido audiovisual y plataformas de distribución de contenidos audiovisuales.
i) Eventos pague por ver (PPV): Costos de adquisición y programación para ofrecer a los usuarios contenidos audiovisuales adicionales al paquete suscrito por el usuario.
ii) Video por demanda: Costos de adquisición y programación para ofrecer a los usuarios plataformas de distribución de contenido audiovisual no lineal.
iii) Canales Básicos: Pago a proveedores por contenido y programación.
iv) Canales Premium: Costos de adquisición y programación para ofrecer a los usuarios canales Premium.
i) Otros Costos asociados al ingreso minorista: Costos directos que no se contemplan en el ítem (VI) del numeral 9.1.3.1.2.1. y en los que haya incurrido el PRST y/o OTVS para la generación del ingreso de televisión minorista.
VII) Mensajería SMS
a) Interconexión: Costo por terminación de mensajes cortos de texto SMS en las redes de otros operadores. Incluye el arrendamiento de espacios (áreas y energía) y cargos de acceso.
i) Arrendamiento de espacio: Costos de arrendamiento en los que incurre el operador relacionados directamente con la interconexión.
ii) Cargo de Acceso SMS: Costo de entrega de SMS a usuarios de otra red móvil nacional.
b) Roaming Internacional Outbound: Costos asociados a la prestación del servicio de SMS a sus usuarios en una red móvil en otro país haciendo uso de Roaming Internacional.
i) Clearing House: Costos por el pago a los proveedores de Clearing House encargados de la señalización, generación e intercambio de cintas TAP (Transfer Account Procedure), liquidación y compensación financiera de los registros TAP que se generan del uso de roaming entre operadores.
ii) Pago al operador visitado: Costos representados por las tarifas interoperador (IOT) para SMS salientes cobradas por el operador móvil visitado.
iii) Otros: Otros costos y gastos directos asociados a la prestación del servicio de Roaming Internacional Outbound de SMS complementarios a los de Clearing House y pago al operador móvil visitado (ej. Acuerdos de Roaming Hub, Roaming Sponsors y otros servicios).
c) Costos de red núcleo: Costos del suministro, instalación, configuración, operación y mantenimiento (incluidos costos de personal, contraprestaciones, contribuciones y demás tasas o impuestos directos), de los elementos de red de núcleo definidos en el numeral 9.1.2.15 correspondiente a una red móvil para la prestación de servicio SMS.
d) Costos de red conmutación: Costos del suministro, instalación, configuración, operación y mantenimiento (incluidos costos de personal, contraprestaciones, contribuciones y demás tasas o impuestos directos), de los elementos de la red de conmutación definida en el numeral 9.1.2.14 correspondiente a una red móvil para la prestación de servicio SMS.
e) Costos de red transmisión: Costos del suministro, instalación, configuración, operación y mantenimiento (incluidos costos de personal, contraprestaciones, contribuciones y demás tasas o impuestos directos), de la red de transmisión definida en el numeral 9.1.2.16 correspondiente a una red móvil para el servicio de SMS.
f) Costos de red acceso: Costos de suministro, instalación, montaje, operación y mantenimiento (incluidos costos de personal, contraprestaciones, contribuciones y demás tasas o impuestos directos) de la red de acceso definida en el numeral 9.1.2.13 correspondiente a una red móvil para la prestación de servicio SMS. Comprende el conjunto de infraestructura activa y pasiva de telecomunicaciones, estaciones base, nodos, controladores de estaciones base o de radio, subsistemas de estaciones base (equipos de radio, guías de onda, antenas, etc.), cables, conectores, ductería, gabinetes, regletas y demás elementos necesarios para garantizar el acceso inalámbrico de los equipos terminales del usuario a través de la interface de aire o interfaces de radio.
g) Roaming Automático Nacional: Costos en los que incurre un proveedor de redes y servicios de telecomunicaciones para utilizar la red de otro cuando no cuenta con infraestructura propia para proveer cobertura, con el fin de que los usuarios del proveedor de la red de origen puedan enviar y recibir mensajes cortos de texto SMS en la red del proveedor visitado.
h) Arrendamiento Infraestructura Activa: Costos de arrendamiento de la infraestructura activa referida a los elementos de las redes de telecomunicaciones o radiodifusión que almacenan, emiten, procesan, reciben o transmiten escritos, imágenes, sonidos, señales, signos o información de cualquier naturaleza.
i) Arrendamiento Infraestructura Pasiva: Costos de arrendamiento de los elementos no eléctricos de las redes de telecomunicaciones o de otros servicios, esencialmente de infraestructura civil, terrenos, postes, ductos, elementos de red y fibra oscura.
j) Otros costos asociados al ingreso minorista: Costos directos que no se contemplan en el ítem (VII) del numeral 9.1.3.1.2.1. y en los que haya incurrido el PRST y/o OTVS para la generación del ingreso minorista de mensajes cortos de texto SMS.
VIII) Equipos
a) Compra de Equipos Acceso a Internet: Costos de los equipos que permiten el acceso a Internet instalados al cliente.
i) Acceso a Internet: Costos de los equipos instalados en el domicilio del cliente, que son utilizados para el acceso a Internet.
ii) Acceso Internet de las Cosas (IoT): Costos de los equipos instalados al cliente, que son utilizados para el acceso a soluciones de Internet de las Cosas (IoT).
iii) Depreciación: Pérdida de valor que sufre el equipo terminal por el uso con el paso del tiempo.
b) Compra de equipos móviles: Costo de adquisición y demás costos en los que incurre el proveedor por la venta de dispositivos móviles al cliente.
i) Telefonía móvil: Costo de adquisición y demás costos en los que incurre el proveedor por la venta de dispositivos móviles al cliente que permiten el acceso al servicio de telefonía móvil por parte del usuario final.
ii) Depreciación: Pérdida de valor que sufre el equipo terminal por el uso que se haga de él con el paso del tiempo.
c) Compra de equipos TV: Costos de los equipos instalados en el domicilio del cliente.
i) TV: Costos de los equipos instalados en el domicilio del cliente que permiten el acceso al servicio de televisión por suscripción.
ii) Depreciación: Pérdida de valor que sufre el equipo por el uso que se haga de él con el paso del tiempo.
d) Otros Costos asociados al ingreso minorista: Costos directos que no se contemplan en el ítem (VIII) del numeral 9.1.3.1.2.1. y en los que haya incurrido el PRST y/o OTVS para la generación del ingreso por el alquiler, venta u otras figuras, del equipo terminal ubicado en las instalaciones del cliente.
9.1.3.1.2.2. Costos directos mayoristas - clasificación para reporte en las tablas del MSC
I) Fijo Mayorista
a) Costos de todos los subsistemas para servicios Mayoristas: Costos en los que incurre para la prestación del servicio y la generación de los ingresos mayoristas, como el cargo de acceso y uso, y el arrendamiento de infraestructura. Estos costos incluyen el suministro, instalación, configuración, operación y mantenimiento (incluidos costos de personal, contraprestaciones, contribuciones y demás tasas o impuestos directos) para los subsistemas de red núcleo, transmisión (incluye el costo de transporte), conmutación y acceso.
i) Móvil - Fijo: Costos en los que incurre para la prestación del servicio y la generación del ingreso mayorista por cargo de acceso y uso, asociado al tráfico móvil - fijo.
ii) Fijo - Fijo: Costos en los que incurre para la prestación del servicio y la generación del ingreso mayorista por cargo de acceso y uso, asociado al tráfico fijo - fijo.
iii) Larga Distancia: Costos en los que incurre para la prestación del servicio y la generación del ingreso mayorista por cargo de acceso y uso, asociado al tráfico de larga distancia.
iv) Fijo - Móvil: Costos en los que incurre para la prestación del servicio y la generación del ingreso mayorista por cargo de acceso y uso, asociado al tráfico fijo - móvil, en caso de que el PRST no tenga la titularidad de la llamada.
v) Arrendamiento Infraestructura activa: Costos en los que incurre para la prestación del servicio y la generación del ingreso mayorista de arrendamiento de la infraestructura activa.
vi) Arrendamiento Infraestructura Pasiva Postes y ductos: Costos en los que incurre para la prestación del servicio y la generación del ingreso mayorista de arrendamiento de postes y ductos.
vii) Otra infraestructura pasiva: Costos en los que incurre para la prestación del servicio y la generación del ingreso mayorista de arrendamiento de la infraestructura diferente a postes y ductos.
b) Otros Costos Asociados al Ingreso Mayorista: Costos directos que no se contemplan en el ítem (I) del numeral 9.1.3.1.2.2. y en los que haya incurrido el PRST y/o OTVS para la generación de otros ingresos mayoristas.
II) Móvil Mayorista
a) Costos de todos los subsistemas para servicios Mayoristas: Costos en los que incurre el proveedor para la prestación del servicio y la generación de los ingresos mayoristas, como son: cargos de acceso y uso, Roaming Automático Nacional, Roaming Internacional Inbound, Acceso Operador Móvil Virtual (OMV), Acceso PCA e Integradores y el arrendamiento de infraestructura. Estos costos incluyen el suministro, instalación, configuración, operación y mantenimiento (incluidos costos de personal, contraprestaciones, contribuciones y demás tasas o impuestos directos), para los subsistemas de red núcleo, transmisión (incluye el costo de transporte), conmutación y acceso.
i) Móvil - Móvil: Costos en los que incurre para la prestación del servicio y la generación del ingreso mayorista por cargo de acceso y uso, asociado al tráfico Móvil - Móvil.
ii) Fijo - Móvil: Costos en los que incurre para la prestación del servicio y la generación del ingreso mayorista por cargo de acceso y uso, asociado al tráfico Fijo - Móvil.
iii) LDI: Costos en los que incurre para la prestación del servicio y la generación del ingreso mayorista por cargo de acceso y uso, asociado al tráfico de LDI entrante y saliente.
iv) SMS: Costos en los que incurre para la prestación del servicio y la generación del ingreso mayorista por cargo de acceso y uso, asociado al tráfico SMS off net.
v) Roaming Automático Nacional - Voz: Costos en los que incurre para la prestación del servicio y la generación del ingreso mayorista por Roaming Automático Nacional - Voz.
vi) Roaming Automático Nacional - Datos: Costos en los que incurre para la prestación del servicio y la generación del ingreso mayorista por Roaming Automático Nacional - Datos.
vii) Roaming Automático Nacional - SMS: Costos en los que incurre para la prestación del servicio y la generación del ingreso mayorista por Roaming Automático Nacional - SMS.
viii) Roaming Internacional Inbound - Voz: Costos en los que incurre para la prestación del servicio y la generación del ingreso mayorista por Roaming Internacional Inbound - voz.
ix) Roaming Internacional Inbound - Datos: Costos en los que incurre para la prestación del servicio y la generación del ingreso mayorista por Roaming Internacional Inbound - datos.
x) Roaming Internacional Inbound - SMS: Costos en los que incurre para la prestación del servicio y la generación del ingreso mayorista por Roaming Internacional Inbound (SMS).
xi) Acceso OMV - Voz: Costos en los que incurre para la prestación del servicio y la generación del ingreso mayorista dentro de la relación de Acceso en la modalidad de Operación Móvil Virtual - voz.
xii) Acceso OMV - Datos: Costos en los que incurre para la prestación del servicio y la generación del ingreso mayorista dentro de la relación de Acceso en la modalidad de Operación Móvil Virtual - Datos.
xiii) Acceso OMV - SMS: Costos en los que incurre para la prestación del servicio y la generación del ingreso mayorista dentro de la relación de Acceso en la modalidad de Operación Móvil Virtual - SMS.
xiv) Acceso OMV - Otros: Costos en los que incurre para la prestación del servicio y la generación del ingreso mayorista por otros servicios dentro de la relación de Acceso en la modalidad de Operación Móvil Virtual.
xv) Acceso PCA e Integradores: Costos en los que incurre para la prestación del servicio y la generación del ingreso mayorista en virtud de relaciones de acceso con PCA e Integradores.
xvi) Arrendamiento Infraestructura Pasiva: Costos en los que incurre para la prestación del servicio y la generación del ingreso mayorista por el arrendamiento de la infraestructura pasiva que es esencialmente la infraestructura civil, terrenos, postes, ductos, torres.
b) Otros Costos Asociados al Ingreso Mayorista: Costos directos que no se contemplan en el ítem (II) del numeral 9.1.3.1.2.2. y en los que haya incurrido el PRST y/o OTVS para la generación de otros ingresos mayoristas.
III) Larga Distancia Mayorista
a) Interconexión: Costo de interconexión por terminación de llamadas de larga distancia en las redes de operadores nacionales. Incluye el arrendamiento de espacios (áreas y energía) y cargos de acceso.
i) Arrendamiento de espacio: Costos de arrendamiento en los que incurre el operador relacionados directamente con la interconexión.
ii) Cargo de acceso redes fijas: Costos por el uso de la red de un operador fijo nacional para la terminación de tráfico de Larga Distancia.
iii) Cargo de acceso redes móviles: Costos por el uso de la red de un operador móvil nacional para la terminación de tráfico de Larga Distancia.
b) Costos de todos los subsistemas para servicios Mayoristas: Costos en los que incurre para la prestación del servicio y la generación de los ingresos mayoristas (como el ingreso por concepto de Carrier Internacional). Se debe discriminar por terminación en red Móvil y en red Fija. Estos costos incluyen el suministro, instalación, configuración, operación, mantenimiento y servicios (incluidos costos de personal, contraprestaciones, contribuciones y demás tasas o impuestos directos) para los subsistemas de red núcleo, transmisión (incluye el costo de transporte), conmutación y acceso.
i) LDI - Móvil: Costos en los que incurre para la prestación del servicio y la generación del ingreso mayorista asociado al tráfico con origen internacional que termina en una red móvil nacional.
ii) LDI - Fijo: Costos en los que incurre para la prestación del servicio y la generación del ingreso mayorista asociado al tráfico con origen internacional que termina en una red fija nacional.
c) Otros Costos Asociados al Ingreso Mayorista: Costos directos que no se contemplan en el ítem (III) del numeral 9.1.3.1.2.2. y en los que haya incurrido el PRST y/o OTVS para la generación de otros ingresos mayoristas.
IV) Portador
a) Costos de todos los subsistemas para servicios Mayoristas: Costos en los que incurre para la prestación del servicio y la generación de los ingresos mayoristas como Portador (incluyendo personal, contraprestaciones, contribuciones y demás tasas o impuestos directos). Estos costos incluyen el uso de los subsistemas de red correspondientes.
i) Portador Nacional: Costos en los que incurre para la prestación del servicio y la generación del ingreso mayorista de Portador Nacional.
ii) Portador Internacional: Costos en los que incurre para la prestación del servicio y la generación del ingreso mayorista de Portador Internacional.
iii) Peering: Costos en los que incurre para la prestación del servicio y la generación del ingreso mayorista por el tipo específico de servicio portador de Peering o punto a punto.
b) Arrendamiento Infraestructura Activa: Costos en los que incurre para la prestación del servicio y la generación del ingreso mayorista por el arrendamiento de la infraestructura activa.
c) Arrendamiento Infraestructura Pasiva: Costos en los que incurre para la prestación del servicio y la generación del ingreso mayorista por el arrendamiento de la infraestructura pasiva.
d) Otros Costos Asociados al Ingreso Mayorista: Costos directos que no se contemplan en el ítem (IV) del numeral 9.1.3.1.2.2. y en los que haya incurrido el PRST y/o OTVS para la generación de otros ingresos mayoristas.
9.1.3.1.3. Contabilidad costos indirectos - Tabla 1.3 del MSC
Los servicios y sus correspondientes criterios de desagregación utilizados en la Tabla 1.3 del MSC, son los siguientes:
Lista 4. Estructura de los costos indirectos del MSC
<Consultar Lista 4 directamente en el Anexo 9.1 de la Resolución 5589 de 2019>
Los PRST y/o OTVS deben relacionar en las columnas, "Centro de Costo", "Nombre Cuenta" y "Valor Contable" de la Tabla 1.3 del MSC, todas las cuentas de Costos Indirectos de su contabilidad. Y asignar a cada uno de los Criterios de Desagregación de Costos el valor de cada cuenta y/o centro de costos que le sea atribuible.
En la Tabla 1.3 del MSC se incluye la columna "Centro de Costo", toda vez que para el manejo contable de los costos los PRST y/o OTVS realizan para algunas cuentas una subclasificación por áreas o procesos de la empresa. Únicamente cuando el PRST y/o OTVS haga uso del Centro de Costos y este Centro de Costos sea utilizado para las asignaciones del MSC, en la columna "Centro de Costo" debe registrar el nombre del área o proceso para cada una de las cuentas de costos indirectos que correspondan, y en la columna "Valor Contable" debe registrar solamente el valor de cada centro de costos.
Para cada una de las cuentas y/o centros de costos, se deben incluir en la columna de "Notas", las explicaciones sobre cómo se hace la asignación en las diferentes columnas.
En la sección "Drivers para partidas agrupadas por servicios" de la Tabla 1.3 del MSC, la columna "Partida Agrupada" corresponde a los Criterios de Desagregación de Costos que el PRST y/o OTVS debe asignar. Para dicha asignación, debe definir los drivers, aplicarlos y en la columna "Descripción Driver aplicado y Notas" indicar las variables del driver empleado y su magnitud, es decir, numerador y denominador.
Los PRST y/o OTVS deben asegurar la totalización de los criterios de desagregación de cada servicio independiente del número de cuentas que incorpore en la Tabla 1.3 del MSC.
De igual manera, los PRST y/o OTVS deben asegurar que los totales de los criterios de desagregación de cada servicio mayorista o minorista obtenidos en la Tabla 1.3 del MSC, sean consignados de manera idéntica en los respectivos criterios de desagregación de las Tablas 2.3, 2.6, 2.9, 2.12, 2.15, 2.18, 2.21, 2.24, 2.27, 2.30, 2.33 y 2.36 del MSC.
9.1.3.1.3.1. Costos indirectos - clasificación para reporte en las tablas del MSC
a) Costos de Personal Indirectos: Salarios y costos en general, de personal que no pertenece a áreas que participan de forma directa en la generación del ingreso, ni a las áreas consideradas como generadoras de costos de ventas para el MSC (ejemplo: salarios área administrativa, financiera, regulatoria, etc.).
b) Otros Mantenimientos: Costo de mantenimiento de elementos que no están asociados de forma directa con la generación del ingreso (ejemplo, mantenimiento de vehículos administrativos, de computadores de oficina, etc.).
c) Costos de ventas: Son los costos en que incurre el PRST y/o OTVS para la venta o comercialización del servicio o de equipos terminales a usuarios, relacionados con las actividades realizadas para comercializar los servicios y productos a los clientes finales o potenciales en el mercado. Por lo tanto, ello incluye el proceso de mercadeo, publicidad, promoción, venta, servicio de posventa y atención al cliente.
i) Atención al cliente: Costos relacionados con los procesos, tecnología y personal propios o de terceros destinados a atender y gestionar las solicitudes (peticiones, quejas y reclamos) de los clientes.
ii) Mercadeo y publicidad: Costos de procesos, tecnología y personal destinado a actividades comerciales de análisis y desarrollo de productos, así como a la publicidad en medios, patrocinios y eventos, marca, materiales de comunicación y promoción de los servicios y productos ofrecidos por el PRST y/o OTVS.
iii) Tarificación, Facturación y recaudo: Costos de procesos, tecnología y personal, propios o de terceros, para realizar la facturación (incluyendo la colección, mediación, tasación y tarificación de consumos), impresión y envío de facturas al cliente final de los servicios contratados, así como también para realizar la gestión de la facturación a otros PRST y/o OTVS, y la gestión de cobranza, morosidad e impagos asociados a los servicios y productos adquiridos por los clientes.
iv) Tasas Indirectas: Costos de los impuestos o contribuciones que paga el PRST y/o OTVS, los cuales incluyen la carga impositiva y contributiva de orden nacional y municipal. No incluye los impuestos o contribuciones directos.
v) Otros (Costos de ventas): Corresponden a los costos y gastos de ventas diferentes a los relacionados en el ítem (c) del numeral 9.1.3.1.3.1, sub-ítems (i), (ii), (iii) y (iv), como por ejemplo las comisiones de ventas.
d) Costos Administrativos: Son los costos que no están directamente vinculados a una función para la prestación del servicio o las ventas, estos tienen que ver directamente con la administración general del negocio, como lo son: servicios públicos, arrendamientos, suscripciones, asesorías, entre otros.
e) Gastos por Provisiones: Corresponden a las partidas sobre las cuales se conoce que se tiene una obligación presente como resultado de eventos pasados, cuya liquidación es probable que requiera una salida de recursos y que puede medirse de manera confiable. Esta obligación puede ser legal o asumida entre otras cosas, por: regulaciones, contratos, práctica común o compromisos públicos, provisiones para retiro de activos, provisiones por contingencias, entre otros conceptos sujetos a provisión.
f) Gastos Depreciaciones y Amortizaciones Indirectos: Depreciación y amortización de activos relevantes.
g) Otros Indirectos: Costos indirectos que no se contemplan en el numeral 9.1.3.1.3.1 y que tengan una relación indirecta con la generación del ingreso.
9.1.3.1.4. Costos Asociados al Capital (amortización / depreciación anual y costo de capital) a nivel de categorías del activo -Tabla 1.4 del MSC.
Los PRST y/o OTVS deben obtener los activos relevantes de la contabilidad y agruparlos de acuerdo con las categorías definidas en la columna "Grupos de Activos Relevantes" de la Tabla 1.4 del MSC. Para cada uno de los grupos de activos, se deben obtener de la contabilidad los valores a ingresar en las columnas "Costo Histórico", "Valor Neto Contable" y "Amortización / Depreciación (I)".
El valor por diligenciar en la columna correspondiente a "Costo de Capital (II)" se obtiene de multiplicar el WACC por el valor neto contable de cada categoría de activo. El WACC debe ser calculado por cada PRST y/o OTVS.
La columna "Costo total" se obtiene del resultado de sumar las columnas "Amortización / Depreciación (I)" y "Costo de Capital (II)".
En la Sección "Drivers activos relevantes" de la Tabla 1.4 del MSC el PRST y/o OTVS debe determinar la asignación de Activos Relevantes para cada servicio. Para dicha asignación, debe tomar el valor de la columna de "Valor Neto Contable" de cada Grupo de Activos Relevantes, definir los drivers y aplicarlos. Adicionalmente en la columna "Descripción Driver Aplicado" debe indicar las variables del driver empleado y su magnitud, es decir, numerador y denominador.
Dicha asignación también se debe realizar para el valor de las columnas "Amortización / Depreciación (I)" y "Costo de Capital (II)".
9.1.3.2. Asignación de las tablas de contabilidad a servicios minoristas y servicios mayoristas (de la Tabla 2.1 a la Tabla 2.3(6) del MSC).
Objetivo
Identificar para cada uno de los servicios mayoristas y minoristas los ingresos, costos directos, costos indirectos, valor neto de los activos y costos de capital, obtenidos de las Tablas 1.1 a 1.4 del MSC.
9.1.3.2.1. Asignación de cuentas de ingresos de la contabilidad financiera a ingresos telefonía fija voz reflejados por servicios minoristas - Tabla 2.1 del MSC.
Los PRST y/o OTVS deben asegurar que los criterios de desagregación de que trata la Lista 2 del presente Anexo, los cuales se obtienen de la Tabla 1.1 del MSC, sean consignados de manera idéntica en los totales correspondientes para el servicio Fijo Voz de la Tabla 2.1 del MSC.
9.1.3.2.2. Asignación de cuentas de costos de la contabilidad financiera a costos telefonía fija voz reflejados por servicios minorista - Tabla 2.2 del MSC
Los PRST y/o OTVS deben asegurar que los criterios y subcriterios de desagregación de que trata las Listas 3 y 4 del presente Anexo, los cuales se obtienen de las Tablas 1.2 y 1.3 del MSC, sean consignados de manera idéntica en los totales correspondientes para el servicio Fijo Voz de la Tabla 2.2 del MSC.
9.1.3.2.3. Asignación de cuentas de activos de la contabilidad financiera incluyendo costos de capital reflejados a servicios minorista de telefonía fija voz - Tabla 2.3 del MSC
Los PRST y/o OTVS deben asegurar que los subtotales de la Tabla 1.4 del MSC Sección Drivers Activos Relevantes, correspondientes a los valores netos contables y el costo de capital, obtenidos para los grupos de activos relevantes intangibles y tangibles - directos, sean consignados de manera idéntica en los totales correspondientes para el servicio Fijo Voz de la Tabla 2.3 del MSC.
9.1.3.2.4. Asignación de cuentas de ingresos de la contabilidad financiera a ingresos telefonía móvil voz reflejados por Servicios Minorista - Tabla 2.4 del MSC.
Los PRST y/o OTVS deben asegurar que los criterios de desagregación de que trata la Lista 2 del presente Anexo, los cuales se obtienen de la Tabla 1.1 del MSC, sean consignados de manera idéntica en los totales correspondientes para el servicio Móvil Voz de la Tabla 2.4 del MSC.
9.1.3.2.5. Asignación de cuentas de costos de la contabilidad financiera a costos telefonía móvil voz reflejados por servicios Minorista - Tabla 2.5 del MSC.
Los PRST y/o OTVS deben asegurar que los criterios y subcriterios de desagregación de que tratan las Listas 3 y 4 del presente Anexo, los cuales se obtienen de las Tablas 1.2 y 1.3 del MSC, sean consignados de manera idéntica en los totales correspondientes para el servicio Móvil Voz de la Tabla 2.5 del MSC.
9.1.3.2.6. Asignación de cuentas de activos de la contabilidad financiera incluyendo costos de capital reflejados a servicios minorista de telefonía móvil voz - Tabla 2.6 del MSC
Los PRST y/o OTVS deben asegurar que los subtotales de la Tabla 1.4 Sección Drivers Activos Relevantes, correspondientes a los valores netos contables y el costo de capital, obtenidos para los grupos de activos relevantes intangibles y tangibles - directos, sean consignados de manera idéntica en los totales correspondientes para el servicio Móvil Voz de la Tabla 2.6 del MSC.
9.1.3.2.7. Asignación de cuentas de ingresos de la contabilidad financiera a ingresos larga distancia reflejados por servicios minorista - Tabla 2.7 del MSC.
Los PRST y/o OTVS deben asegurar que los criterios de desagregación de que trata la Lista 2 del presente Anexo, los cuales se obtienen de la Tabla 1.1 del MSC, sean consignados de manera idéntica en los totales correspondientes para el servicio Larga Distancia de la Tabla 2.7 del MSC.
9.1.3.2.8. Asignación de cuentas de costos de la contabilidad financiera a costos larga distancia reflejados por servicios minorista - Tabla 2.8 DEL MSC
Los PRST y/o OTVS deben asegurar que los criterios y subcriterios de desagregación de que tratan las Listas 3 y 4 del presente Anexo, los cuales se obtienen de las Tablas 1. y 1.3 del MSC, sean consignados de manera idéntica en los totales correspondientes para el servicio Larga Distancia de la Tabla 2.8 del MSC.
9.1.3.2.9. Asignación de cuentas de activos de la contabilidad financiera incluyendo costos de capital reflejados a servicios Minorista de larga distancia - Tabla 2.9 del MSC.
Los PRST y/o OTVS deben asegurar que los subtotales de la Tabla 1.4 Sección Drivers Activos Relevantes, correspondientes a los valores netos contables y el costo de capital, obtenidos para los grupos de activos relevantes intangibles y tangibles - directos, sean consignados de manera idéntica en los totales correspondientes para el servicio Larga Distancia de la Tabla 2.9 del MSC.
9.1.3.2.10. Asignación de cuentas de ingresos de la contabilidad financiera a ingresos de internet fijo reflejados por servicios minorista - Tabla 2.10 del MSC
Los PRST y/o OTVS deben asegurar que los criterios de desagregación de que trata la Lista 2 del presente Anexo, los cuales se obtienen de la Tabla 1.1 del MSC, sean consignados de manera idéntica en los totales correspondientes para el servicio Internet Fijo de la Tabla 2.10 del MSC.
9.1.3.2.11. Asignación de cuentas de costos de la contabilidad financiera a costos de internet fijo reflejados por servicios minorista - Tabla 2.11 del MSC
Los PRST y/o OTVS deben asegurar que los criterios y subcriterios de desagregación de que tratan las Listas 3 y 4 del presente Anexo, los cuales se obtienen de las Tablas 1.2 y 1.3 del MSC, sean consignados de manera idéntica en los totales correspondientes para el servicio Internet Fijo de la Tabla 2.11 del MSC.
9.1.3.2.12. Asignación de cuentas de activos de la contabilidad financiera incluyendo costos de capital reflejados a servicios minorista de internet fijo - Tabla 2.12 del MSC
Los PRST y/o OTVS deben asegurar que los subtotales de la Tabla 1.4 Sección Drivers Activos Relevantes, correspondientes a los valores netos contables y el costo de capital, obtenidos para los grupos de activos relevantes intangibles y tangibles - directos, sean consignados de manera idéntica en los totales correspondientes para el servicio Internet Fijo de la Tabla 2.12 del MSC.
9.1.3.2.13. Asignación de cuentas de ingresos de la contabilidad financiera a ingresos de internet móvil reflejados por servicios minorista - Tabla 2.13 del MSC
Los PRST y/o OTVS deben asegurar que los criterios de desagregación de que trata la Lista 2 del presente Anexo, los cuales se obtienen de la Tabla 1.1 del MSC, sean consignados de manera idéntica en los totales correspondientes para el servicio Internet Móvil de la Tabla 2.13 del MSC.
9.1.3.2.14. Asignación de cuentas de costos de la contabilidad financiera a costos de internet móvil reflejados por servicios minorista - Tabla 2.14 del MSC
Los PRST y/o OTVS deben asegurar que los criterios y subcriterios de desagregación de que tratan las Listas 3 y 4 del presente, los cuales se obtienen de las Tablas 1.2 y 1.3 del MSC, sean consignados de manera idéntica en los totales correspondientes para el servicio Internet Móvil de la Tabla 2.14 del MSC.
9.1.3.2.15. Asignación de cuentas de activos de la contabilidad financiera incluyendo costos de capital reflejados a servicios minorista de internet móvil - Tabla 2.15 del MSC
Los PRST y/o OTVS deben asegurar que los subtotales de la Tabla 1.4 Sección Drivers Activos Relevantes, correspondientes a los valores netos contables y el costo de capital, obtenidos para los grupos de activos relevantes intangibles y tangibles - directos, sean consignados de manera idéntica en los totales correspondientes para el servicio Internet Móvil de la Tabla 2.15 del MSC.
9.1.3.2.16. Asignación de cuentas de ingresos de la contabilidad financiera a ingresos de televisión por suscripción reflejados por servicios minorista - Tabla 2.16 del MSC
Los PRST y/o OTVS deben asegurar que los criterios de desagregación de que trata la Lista 2 del presente Anexo, los cuales se obtienen de la Tabla 1.1 del MSC, sean consignados de manera idéntica en los totales correspondientes para el servicio Televisión por Suscripción de la Tabla 2.16 del MSC.
9.1.3.2.17. Asignación de cuentas de costos de la contabilidad financiera a costos de televisión por suscripción reflejados por servicios minorista - Tabla 2.17 del MSC
Los PRST y/o OTVS deben asegurar que los criterios y subcriterios de desagregación de que tratan las Listas 3 y 4 del presente Anexo, los cuales se obtienen de las Tablas 1.2 y 1.3 del MSC, sean consignados de manera idéntica en los totales correspondientes para el servicio Televisión por Suscripción de la Tabla 2.17 del MSC.
9.1.3.2.18. Asignación de cuentas de activos de la contabilidad financiera incluyendo costos de capital reflejados a servicios minorista de televisión por suscripción Tabla 2.18 del MSC
Los PRST y/o OTVS deben asegurar que los subtotales de la Tabla 1.4 Sección Drivers Activos Relevantes, correspondientes a los valores netos contables y el costo de capital, obtenidos para los grupos de activos relevantes intangibles y tangibles - directos, sean consignados de manera idéntica en los totales correspondientes para el servicio Televisión por Suscripción de la Tabla 2.18 del MSC.
9.1.3.2.19. Asignación de cuentas de ingresos de la contabilidad financiera a ingresos mensajería SMS reflejados por servicios Minorista - Tabla 2.19 del MSC
Los PRST y/o OTVS deben asegurar que los criterios de desagregación de que trata la Lista 2 del presente Anexo, los cuales se obtienen de la Tabla 1.1 del MSC, sean consignados de manera idéntica en los totales correspondientes para el servicio Mensajería SMS de la Tabla 2.19 del MSC.
9.1.3.2.20. Asignación de cuentas de costos de la contabilidad financiera a costos de mensajería SMS reflejados por servicios minorista - Tabla 2.20 del MSC
Los PRST y/o OTVS deben asegurar que los criterios y subcriterios de desagregación de que tratan las Listas 3 y 4 del presente Anexo, los cuales se obtienen de las Tablas 1.2 y 1.3 del MSC, sean consignados de manera idéntica en los totales correspondientes para el servicio Mensajería SMS de la Tabla 2.20 del MSC.
9.1.3.2.21. Asignación de cuentas de activos de la contabilidad financiera incluyendo costos de capital reflejados a servicios minorista de mensajería SMS - Tabla 2.21 del MSC
Los PRST y/o OTVS deben asegurar que los subtotales de la Tabla 1.4 Sección Drivers Activos Relevantes, correspondientes a los valores netos contables y el costo de capital, obtenidos para los grupos de activos relevantes intangibles y tangibles - directos, sean consignados de manera idéntica en los totales correspondientes para el servicio Mensajería SMS de la Tabla 2.21 del MSC.
9.1.3.2.22. Asignación de cuentas de ingresos de la contabilidad financiera a ingresos equipos reflejados por servicios Minorista - Tabla 2.22 del MSC
Los PRST y/o OTVS deben asegurar que los criterios de desagregación de que trata la Lista 2 del presente Anexo, los cuales se obtienen de la Tabla 1.1 del MSC, sean consignados de manera idéntica en los totales correspondientes para Equipos de la Tabla 2.22 del MSC.
9.1.3.2.23. Asignación de cuentas de costos de la contabilidad financiera a costos de equipos reflejados por servicios Minorista - Tabla 2.23 del MSC
Los PRST y/o OTVS deben asegurar que los criterios y subcriterios de desagregación de que tratan las Listas 3 y 4 del presente Anexo, los cuales se obtienen de las Tablas 1.2 y 1.3 del MSC, sean consignados de manera idéntica en los totales correspondientes para Equipos de la Tabla 2.23 del MSC.
9.1.3.2.24. Asignación de cuentas de activos de la contabilidad financiera incluyendo costos de capital reflejados a servicios Minorista de equipos - Tabla 2.24 del MSC
Los PRST y/o OTVS deben asegurar que los subtotales de la Tabla 1.4 Sección Drivers Activos Relevantes, correspondientes a los valores netos contables y el costo de capital, obtenidos para los grupos de activos relevantes intangibles y tangibles - directos, sean consignados de manera idéntica en los totales correspondientes para Equipos de la Tabla 2.24 del MSC.
9.1.3.2.25. Asignación de cuentas de ingresos por servicios fijos de la contabilidad financiera a ingresos reflejados por servicios mayorista - Tabla 2.25 del MSC
Los PRST y/o OTVS deben asegurar que los criterios de desagregación de que trata la Lista 2 del presente Anexo, los cuales se obtienen de la Tabla 1.1 del MSC, sean consignados de manera idéntica en los totales correspondientes para el servicio Fijo Mayorista de la Tabla 2.25 del MSC.
9.1.3.2.26. Asignación de cuentas de costos de la contabilidad financiera a costos reflejados por servicio fijo - mayorista - Tabla 2.26 del MSC
Los PRST y/o OTVS deben asegurar que los criterios y subcriterios de desagregación de que tratan las Listas 3 y 4 del presente Anexo, los cuales se obtienen de las Tablas 1.2 y 1.3 del MSC, sean consignados de manera idéntica en los totales correspondientes para el servicio Fijo Mayorista de la Tabla 2.26 del MSC.
9.1.3.2.27. Asignación de cuentas de activos de la contabilidad financiera incluyendo costos de capital reflejados a servicios mayoristas fijos - Tabla 2.27 del MSC
Los PRST y/o OTVS deben asegurar que los subtotales de la Tabla 1.4 Sección Drivers Activos Relevantes, correspondientes a los valores netos contables y el costo de capital, obtenidos para los grupos de activos relevantes intangibles y tangibles - directos, sean consignados de manera idéntica en los totales correspondientes para el servicio Fijo Mayorista de la Tabla 2.27 del MSC.
9.1.3.2.28. Asignación de cuentas de ingresos por servicios móviles de la contabilidad financiera a ingresos reflejados por servicios mayorista - Tabla 2.28 del MSC
Los PRST y/o OTVS deben asegurar que los criterios de desagregación de que trata la Lista 2 del presente Anexo, los cuales se obtienen de la Tabla 1.1 del MSC, sean consignados de manera idéntica en los totales correspondientes para los servicios Móviles Mayorista de la Tabla 2.28 del MSC.
9.1.3.2.29. Asignación de cuentas de costos de la contabilidad financiera a costos reflejados por servicios móviles - Mayorista - Tabla 2.29 del MSC
Los PRST y/o OTVS deben asegurar que los criterios y subcriterios de desagregación de que tratan las Listas 3 y 4 del presente Anexo, los cuales se obtienen de las Tablas 1.2 y 1.3 del MSC, sean consignados de manera idéntica en los totales correspondientes para los servicios Móviles Mayoristas de la Tabla 2.29 del MSC.
9.1.3.2.30. Asignación de cuentas de activos de la contabilidad financiera incluyendo costos de capital reflejados a servicios mayoristas móviles - Tabla 2.30 del MSC
Los PRST y/o OTVS deben asegurar que los subtotales de la Tabla 1.4 Sección Drivers Activos Relevantes, correspondientes a los valores netos contables y el costo de capital, obtenidos para los grupos de activos relevantes intangibles y tangibles - directos, sean consignados de manera idéntica en los totales correspondientes para los servicios Móviles Mayoristas de la Tabla 2.30 del MSC.
9.1.3.2.31. Asignación de cuentas de ingresos por larga distancia de la contabilidad financiera a ingresos reflejados por servicios mayorista - Tabla 2.31 del MSC
Los PRST y/o OTVS deben asegurar que los criterios de desagregación de que trata la Lista 2 del presente Anexo, los cuales se obtienen de la Tabla 1.1 del MSC, sean consignados de manera idéntica en los totales correspondientes para el servicio Larga Distancia Mayorista de la Tabla 2.31 del MSC.
9.1.3.2.32. Asignación de cuentas de costos de la contabilidad financiera a costos reflejados por larga distancia - Mayorista - Tabla 2.32 del MSC
Los PRST y/o OTVS deben asegurar que los criterios y subcriterios de desagregación de que tratan las Listas 3 y 4 del presente Anexo, los cuales se obtienen de las Tablas 1.2 y 1.3 del MSC, sean consignados de manera idéntica en los totales correspondientes para el servicio Larga Distancia Mayorista de la Tabla 2.32 del MSC.
9.1.3.2.33. Asignación de cuentas de activos de la contabilidad financiera incluyendo costos de capital reflejados a servicios mayoristas larga distancia - Tabla 2.33 del MSC
Los PRST y/o OTVS deben asegurar que los subtotales de la Tabla 1.4 Sección Drivers Activos Relevantes, correspondientes a los valores netos contables y el costo de capital, obtenidos para los grupos de activos relevantes intangibles y tangibles - directos, sean consignados de manera idéntica en los totales correspondientes para el servicio Larga Distancia Mayorista de la Tabla 2.33 del MSC.
9.1.3.2.34. Asignación de cuentas de ingresos por servicio portador de la contabilidad financiera a ingresos reflejados por servicios mayorista - Tabla 2.34 del MSC
Los PRST y/o OTVS deben asegurar que los criterios de desagregación de que trata la Lista 2 del presente Anexo, los cuales se obtienen de la Tabla 1.1 del MSC, sean consignados de manera idéntica en los totales correspondientes para el servicio Portador Mayorista de la Tabla 2.34 del MSC.
9.1.3.2.35. Asignación de cuentas de costos de la contabilidad financiera a costos reflejados por servicio portador - mayorista - Tabla 2.35 del MSC
Los PRST y/o OTVS deben asegurar que los criterios y subcriterios de desagregación de que tratan las Listas 3 y 4 del presente Anexo, los cuales se obtienen de las Tablas 1.2 y 1.3 del MSC, sean consignados de manera idéntica en los totales correspondientes para el servicio Portador Mayorista de la Tabla 2.35 del MSC.
9.1.3.2.36. Asignación de cuentas de activos de la contabilidad financiera incluyendo costos de capital reflejados a servicios mayoristas portador - Tabla 2.36 del MSC
Los PRST y/o OTVS deben asegurar que los subtotales de la Tabla 1.4 Sección Drivers Activos Relevantes, correspondientes a los valores netos contables y el costo de capital, obtenidos para los grupos de activos relevantes intangibles y tangibles - directos, sean consignados de manera idéntica en los totales correspondientes para el servicio Portador Mayorista de la Tabla 2.36 del MSC.
9.1.3.3. Asignación de las tablas de conciliación y Unidad de Medida y Volumen (de la Tabla 3.1 a la Tabla 3.4 del MSC)
9.1.3.3.1. Conciliación de las cuentas de la contabilidad financiera y el modelo de separación contable - tabla 3.1 del MSC
El objetivo de la Tabla 3.1 del MSC es asegurar el correcto cumplimiento del principio de auditabilidad por parte de los PRST y/o OTVS, y tener una visión de las partidas que son consideradas como no relevantes, su origen y su porcentaje de participación en la Contabilidad.
Los valores totales incluidos en el MSC, sumados a los valores totales no relevantes al MSC, deben arrojar como resultado los valores totales de los Estados Financieros, lo anterior para cada uno de los conceptos establecidos en la columna "Concepto" de la Tabla 3.1 del MSC. Es decir, la columna "Contabilidad Financiera [a]" debe reflejar los mismos saldos que figuran en los Estados Financieros presentados, para cada uno de los conceptos de la columna "Concepto" relacionados en la Tabla 3.1 del MSC. De igual forma, la columna "Modelo de Separación Contable [b]" debe reflejar los montos obtenidos en el MSC para cada uno de los mencionados conceptos.
En la columna "Partidas No Relevantes al MSC [c] = [a] - [b]", se debe calcular la diferencia entre cada uno de los valores de la columna "Contabilidad Financiera [a]" y los valores correspondientes de la columna "Modelo de Separación Contable [b]".
Posteriormente con este resultado [c], los PRST y/o OTVS deben calcular el porcentaje que se obtiene de aplicar la operación [c] / [a] * 100, para cada uno de los conceptos o valores, cuyo resultado se plasma en la columna "Porcentaje Partidas No Relevantes al MSC [d] = [c] / [a] * 100".
Todos los valores reflejados en la Tabla 3.1 del MSC se deben obtener de las Tablas 1.1., 1.2., 1.3. y 1.4 del MSC, y sirven de base para el diligenciamiento de la Tabla 3.2 del MSC.
9.1.3.3.2. Detalle No Relevantes - Tabla 3.2 del MSC
El objetivo de la Tabla 3.2 del MSC es tener un detalle de las cuentas que para efectos del MSC son consideradas como no relevantes, así como una explicación detallada de su origen para aquellas cuentas que conforman las partidas de la Tabla 3.1 y superan el tres por ciento (3%) en la columna "Porcentaje Partidas No Relevantes al MSC [d] = [c] / [a] * 100". La explicación detallada se debe relacionar en la columna "Explicación" de la Tabla 3.2, considerando que no siempre el nombre de la cuenta contable permite inferir el concepto.
De acuerdo con lo anterior, en la Tabla 3.2 del MSC, los PRST y/o OTVS deben relacionar todas las cuentas contables de ingresos, costos, gastos y activos considerados como no relevantes, identificando el número o código, nombre de la cuenta contable y el valor, de tal forma que se logre una clara conciliación con la información de la Tabla 3.1 del MSC.
9.1.3.3.3. Unidad de medida y volumen para los ingresos y su asociación con los costos - Tabla 3.3 del MSC
El objetivo de la Tabla 3.3 del MSC es conocer el volumen de las principales unidades de medida que generaron los ingresos y costos, para cada uno de los servicios. Para esto, en cada servicio se toman algunos de los criterios y subcriterios de ingresos y costos (los cuales provienen de las tablas 2.1 a 2.36 del MSC) y se define para el MSC una unidad común para todos los PRST y/o OTVS en la columna "Unidad de medida (unidad de volumen)".
Los PRST y/o OTVS deben diligenciar la columna "Volumen" de la Tabla 3.3 para cada Unidad de medida por servicio. Además, deben asegurar que los valores de ingresos y costos, las unidades de medida y el volumen, estén reflejados en las columnas "Valor", "Volumen" y "Unidad" de la sección "Valores Unitarios" de la Tabla 3.3, lo cual permite que el MSC determine los principales valores unitarios para cada servicio.
9.1.3.3.4. Unidad de Medida y Volumen para los Ingresos Mayoristas (empresa vinculada al grupo empresarial o prestación de servicios mayoristas entre unidades de negocios de la misma empresa) - Tabla 3.4 del MSC
El objetivo de la Tabla 3.4 del MSC es conocer el volumen de las principales unidades de medida que generaron los ingresos mayoristas entre empresas vinculadas al mismo Grupo Empresarial, o, en su defecto, para aquellas empresas que no hacen parte de un Grupo empresarial, el cálculo de los ingresos entre unidades de negocios de la misma empresa.
Para esto, en cada servicio mayorista se toman algunos de los criterios y subcriterios de ingresos y costos (los cuales corresponden a los definidos en las tablas 2.25 a 2.36 del MSC) y se define para el MSC una unidad común para todos los PRST y/o OTVS en la columna "Unidad de medida (unidad de volumen)".
Los PRST y/o OTVS deben diligenciar la columna "Volumen" para cada Unidad de medida por servicio, y deben asegurar que los valores de ingresos y costos, las unidades de medida y el volumen, estén reflejados en la sección Valores Unitarios, la cual permite que el MSC determine los principales valores unitarios para cada servicio.
9.1.3.4. Asignación de las tablas de actividad inversora y planta (de la Tabla 4.1 a la Tabla 4.2 del MSC)
Objetivo
Las tablas de Actividad Inversora y Planta tienen como objetivo obtener información relevante sobre las categorías de activos.
9.1.3.4.1. Actividad inversora y (desinversora) a nivel de categorías del activo. Tabla 4.1 del MSC
El objetivo de la Tabla 4.1 es presentar el detalle a nivel de categoría de activo de la actividad inversora y desinversora, en el que se incluya el valor bruto de adquisiciones, bajas y traspasos registrado en el ejercicio.
9.1.3.4.2. Valor bruto, planta totalmente depreciada, depreciación y valor neto de las diferentes categorías de activos. - Tabla 4.2 del MSC
El objetivo de la Tabla 4.2 es dotar a la CRC de información de alto nivel sobre el estado de la planta de activos de los PRST y/o OTVS. En particular, esta información permitirá disponer de un mayor detalle sobre el estado (antigüedad, amortización, etc.) de los activos de los PRST y/o OTVS, así como conocer aquellas áreas en las que se realizarán las principales inversiones.
MODELO DE SEPARACIÓN CONTABLE SIMPLIFICADA PARA PRST Y/O OTVS.
<Anexo modificado por el artículo 2 de la Resolución 5589 de 2019. Consultar régimen de transición del artículo 3. El nuevo texto es el siguiente:>
En el presente Anexo se detalla el reporte que será requerido a los PRST y/o OTVS con la obligación de presentar el Modelo de Separación Contable Simplificada, es decir, aquellos cuyos ingresos por concepto de telecomunicaciones y televisión por suscripción sumen individualmente o como Grupo Empresarial menos de 1.658.000 SMMLV.
La naturaleza de la información requerida a estos PRST y/o OTVS está diseñada con el fin de asegurar el cumplimiento del principio de proporcionalidad y suficiencia. Se espera que la información requerida pueda ser preparada independientemente por el mismo departamento contable de los PRST y/o OTVS. El objetivo último de la presentación del MSC simplificado es obtener un conocimiento sobre la estructura de costos, ingresos y la actividad inversora de estos PRST y/o OTVS.
Los reportes del Modelo de Separación Contable Simplificada deberán ser presentados en medio magnético en formato Excel no protegido (extensión XLSX) y debidamente formuladas o totalizadas según corresponda, o a través del medio electrónico que la CRC disponga para el efecto, para cada una de las empresas del grupo empresarial.
La información por diligenciar debe ser tomada de los estados financieros de cada empresa y de acuerdo con los servicios que preste el PRST y/o OTVS.
Los servicios minoristas y mayoristas que deben ser incluidos como parte del modelo son:
Minoristas
- Fijo Voz
- Móvil Voz
- Larga Distancia
- Internet Fijo
- Internet Móvil
- Televisión por suscripción
- Mensajería SMS
- Equipos
Mayoristas
- Fijo
- Móvil
- Larga Distancia
- Servicio Portador
Teniendo en cuenta la evolución tecnológica de la industria, en caso de que surjan servicios no contemplados, la CRC procederá a incluirlos en el MSC a fin de que los PRST y/o OTVS reporten el valor total del ingreso y los costos asociados a dichos servicios.
9.2.1. Definiciones
Las definiciones aquí relacionadas son específicas para el Modelo de Separación Contable, y no tienen como objeto modificar, aclarar, o sustituir otras definiciones regulatorias o normativas. Las definiciones planteadas son genéricas y buscan cubrir los actuales y posibles escenarios futuros de comunicación.
9.2.1.1. Activos No Relevantes: Activos que no fueron utilizados, ni son necesarios, para la generación de Ingresos Relevantes por los servicios minoristas y mayoristas incluidos como parte del MSC.
9.2.1.2. Activos Relevantes: Activos que son necesarios, para la generación de Ingresos Relevantes por los servicios minoristas y mayoristas incluidos como parte del MSC.
9.2.1.3. Costos Directos: Son los costos y gastos en que incurre el PRST y/o OTVS para la generación de los ingresos.
9.2.1.4. Costos Indirectos: Son los costos en que incurre el PRST y/o OTVS para la prestación de los servicios voz fija, voz móvil, Larga Distancia, internet fijo, internet móvil, televisión minorista, mensajería de texto, portador y equipos, y no se relacionan directamente con la generación de los ingresos minoristas y mayoristas.
9.2.1.5. Costos No Relevantes: Costos en los que incurrió el PRST y/o OTVS, para fines diferentes a la generación de ingresos Relevantes al Modelo de Separación Contable (MSC).
9.2.1.6. Costos Relevantes: Corresponde a los costos en los que incurrió el PRST y/o OTVS y que son necesarios para la generación de los ingresos definidos en el MSC y para la administración de la operación.
Estos costos son:
- Directos: Cuando tienen una relación directa con la generación del ingreso (Ejemplo: costo de mantenimiento de red, nómina del área técnica, contraprestaciones al MinTIC, etc.).
- Indirectos: Cuando no se relacionan directamente con la generación de los ingresos (Ejemplo: el mantenimiento de vehículos, nómina del área financiera, otros impuestos, etc.).
9.2.1.7. Ingresos Minoristas: Ingreso causado o proveniente de un usuario (fuente del recaudo), que se recibe de forma directa o a través de otro PRST y/o OTVS (ejemplo: ingreso por tráfico nacional que generó un usuario del operador, cuando llamó a otro usuario).
9.2.1.8. Ingresos Mayoristas: Ingreso causado proveniente de un PRST y/o OTVS (fuente del recaudo) a favor de otro PRST y/o OTVS (ejemplo: Cargo de acceso por llamadas entrantes).
9.2.1.9. Ingresos No Relevantes: Ingresos que no se enmarcan en las definiciones de los servicios del Modelo de Separación Contable (MSC). Por ejemplo, los ingresos por enajenación de activos.
9.2.1.10. Ingresos Relevantes: Ingresos por los servicios minoristas y mayoristas incluidos como parte del Modelo de Separación Contable (MSC).
9.2.2. Formatos
La presentación del MSC simplificado debe permitir como mínimo, identificar los criterios establecidos en la Tabla 1. "Esquema para la presentación del estado de pérdidas y ganancias del PRST y/o OTVS"
Asimismo, los PRST y/o OTVS deben desagregar en la Sección Empresas Vinculadas, el detalle de los ingresos por servicios mayoristas entre empresas vinculadas al mismo Grupo Empresarial o, en su defecto, para aquellas empresas que no hacen parte de un Grupo Empresarial, el cálculo de los Ingresos por servicios mayoristas entre unidades de negocio de la misma Empresa(7), así como la unidad de medida y el volumen. Lo anterior, considerando que el objetivo es conocer el volumen de las principales unidades de medida que generaron los ingresos mayoristas entre empresas vinculadas al mismo Grupo Empresarial, o el cálculo de los ingresos entre unidades de negocios de la misma empresa y así poder determinar los principales valores unitarios para cada servicio.
Es de anotar que esta información entre empresas vinculadas, o entre unidades de negocio de la misma empresa, solo se requiere presentar por separado para los ingresos.
Tabla 1. Esquema para la presentación del estado de pérdidas y ganancias del PRST y/o OTVS
<Consultar Tabla 1 directamente en el Anexo 9.2 de la Resolución 5589 de 2019>
Adicionalmente, los PRST y/o OTVS deben diligenciar la Tabla 2. "Actividad Inversora", la cual tiene como objetivo conocer información relevante sobre las adquisiciones de activos relevantes para cada uno de los servicios, registrado en el ejercicio. Para esto, los PRST y/o OTVS deben obtener los activos relevantes de la contabilidad y agruparlos de acuerdo con las categorías definidas en la columna "Grupo de Activos Relevantes (Servicios o Conceptos)" de la Tabla 2 y diligenciar el valor de dichas adquisiciones en la columna "Valor".
En el evento que el valor de la adquisición aplique para varios servicios o conceptos definidos en la columna "Grupo de Activos Relevantes (Servicios o Conceptos)", el PRST y/o OTVS debe determinar la asignación del valor para cada servicio o concepto, a través de la aplicación de drivers o uso de información complementaria de otros sistemas.
Tabla 2. Actividad Inversora
<Consultar Tabla 2 directamente en el Anexo 9.2 de la Resolución 5589 de 2019>
PRESENTACIÓN DE RESULTADOS E INFORMACIÓN SOPORTE DEL MODELO DE SEPARACIÓN CONTABLE DETALLADO Y SIMPLIFICADO PARA PRST Y/O OTVS.
<Anexo modificado por el artículo 2 <Anexo 9.3> de la Resolución 5589 de 2019. Consultar régimen de transición del artículo 3. El nuevo texto es el siguiente:>
Los PRST y/o OTVS deberán presentar información de soporte, de modo que sea posible verificar la razonabilidad de los cálculos efectuados con los criterios, principios y condiciones establecidos por la CRC. En concreto, la información soporte a entregar deberá contener, como mínimo, lo siguiente:
Para el MSC Detallado y Simplificado
- Informe de gestión de los grupos empresariales (y de cada una de las empresas que conforman el Grupo).
- Para cada PRST y/o OTVS, estados financieros debidamente dictaminados por el revisor fiscal, en caso de ser aplicable, o debidamente auditados por personas jurídicas privadas especializadas en el campo de la auditoría contable, que deben incluir:
- Estado de situación financiera
- Estado de resultados
- Estado de cambios en el Patrimonio Neto
- Estado de flujo de efectivo
- Notas aclaratorias a los estados financieros
- Manual de políticas contables NIIF
- Dictamen sobre los Estados Financieros
Para el MSC Detallado
- Certificación de conformidad y cumplimiento del MSC detallado, firmada por el área de auditoría interna contable del PRST y/o OTVS, o por una persona jurídica privada especializada en el campo de la auditoría contable. Esta certificación también debe venir suscrita por el Representante Legal del PRST y/o OTVS.
- Manual de elaboración del Modelo de Separación Contable que deberá contener, como mínimo, la siguiente información:
-- Metodologías empleadas por el PRST y/o OTVS para el cumplimiento de los requisitos establecidos en el MSC: principios, criterios, condiciones, drivers y nivel de desagregación mínima en la arquitectura del sistema.
-- Plan de Cuentas (Código Contable, Nombre de Cuenta y Centro de Costos o Beneficios, si aplica).
- Informe detallado del Cálculo del WACC.
NIVEL DE DESAGREGACIÓN O SEPARACIÓN.
<Anexo derogado por el artículo 4 de la Resolución 5589 de 2019. Consultar régimen de transición del artículo 3.>
DETERMINACIÓN DE LA BASE DE COSTOS E INGRESOS.
<Anexo derogado por el artículo 4 de la Resolución 5589 de 2019. Consultar régimen de transición del artículo 3.>
PRESENTACIÓN DE RESULTADOS Y DOCUMENTACIÓN DE SOPORTE.
<Anexo derogado por el artículo 4 de la Resolución 5589 de 2019. Consultar régimen de transición del artículo 3.>
<Anexo derogado por el artículo 23 de la Resolución 6333 de 2021>
FORMATO 2. REPORTE DE CONTABILIDAD SEPARADA PARA BALANCE GENERAL.
<Anexo derogado por el artículo 23 de la Resolución 6333 de 2021>
FORMATO 3. REPORTE DE CONTABILIDAD SEPARADA PARA ESTADO DE RESULTADOS.
<Anexo derogado por el artículo 23 de la Resolución 6333 de 2021>
INDICADORES SECTORIALES PARA MEDIR LOS AVANCES DE LA SOCIEDAD DE LA INFORMACIÓN.
<Anexo derogado por el artículo 137 de la Resolución 7811 de 2025>
* * *
1. UIT-T; "Manual Calidad de servicio y calidad de funcionamiento de la red"- TSB, 2004. Recomendación UIT-T E.802.
2. Para el caso del Archipiélago de San Andrés se tomará la zona hotelera en lugar de la capital de departamento, comprendiendo esta zona las estaciones base ubicadas al norte de la isla de San Andrés por encima del meridiano 12o34'00". Como "resto de departamento" se entenderán las demás estaciones base ubicadas en el resto de la isla de San Andrés y en el resto del archipiélago.
3. Para el reporte correspondiente al resto de cada departamento, se deberán exceptuar aquellos municipios que de acuerdo a la categorización expedida anualmente por la Contaduría General de la Nación ostentan categoría Especial, uno, dos, tres o cuatro.
4. Localidades, municipios o comunas, de acuerdo con el ordenamiento territorial de cada municipio.
5. Para el reporte correspondiente al resto de cada departamento, se deberán exceptuar la capital de departamento y aquellos municipios que de acuerdo a la categorización expedida anualmente por la Contaduría General de la Nación ostentan alguna de las siguientes categorías: Categoría Especial, Categoría uno, Categoría dos, Categoría tres o Categoría cuatro.
6. Para el reporte correspondiente al resto de cada departamento, se deberán exceptuar la capital de departamento y aquellos municipios que de acuerdo a la categorización expedida anualmente por la Contaduría General de la Nación ostentan Categoría Especial, Categoría uno, Categoría dos, Categoría tres o Categoría cuatro.
7. Para el reporte correspondiente al resto de cada departamento, se deberán exceptuar la capital de departamento y aquellos municipios que de acuerdo a la categorización expedida anualmente por la Contaduría General de la Nación ostentan alguna de las siguientes categorías: Categoría Especial, Categoría uno, Categoría dos, Categoría tres o Categoría cuatro.
8. Para el reporte correspondiente al resto de cada departamento, se deberán exceptuar la capital de departamento y aquellos municipios que de acuerdo a la categorización expedida anualmente por la Contaduría General de la Nación ostentan alguna de las siguientes categorías: Categoría Especial, Categoría uno, Categoría dos, Categoría tres o Categoría cuatro.
9. Para el reporte correspondiente al resto de cada departamento, se deberán exceptuar la capital de departamento y aquellos municipios que de acuerdo a la categorización expedida anualmente por la Contaduría General de la Nación ostentan alguna de las siguientes categorías: Categoría Especial, Categoría uno, Categoría dos, Categoría tres o Categoría cuatro.
10. Exceptuando aquellas estaciones base con transmisión satelital.
11. Exceptuando aquellas estaciones base con transmisión satelital.
12. Todas las bandas que soporta el terminal, independientemente de las que operan en las redes de los PRST en Colombia.
13. El término "conjuntos de unidades de privadas individuales" se refiere a conjuntos conformados por varias unidades de vivienda, comercio o industria, estructuralmente independientes, de conformidad con la definición de "conjunto" establecida en la Ley 675 de 2001.
14. Por el cual se modifica el Reglamento Técnico de Instalaciones Eléctricas –RETIE-.
15. No incluye la televisión terrestre radiodifundida.
16. La Ley 675 de 2001 define" bienes comunes" como "partes del edificio o conjunto sometido al régimen de propiedad horizontal pertenecientes en proindiviso a todos los propietarios de bienes privados, que por su naturaleza o destinación permiten o facilitan la existencia, estabilidad, funcionamiento, conservación, seguridad, uso, goce o explotación de los bienes de dominio particular".
17. El término "conjuntos de unidades privadas individuales" se refiere a conjuntos conformados por varias unidades de vivienda, comercio o industria, estructuralmente independientes, de conformidad con la definición de "conjunto" establecida en la Ley 675 de 2001.
18. No se incluyen los canales del 52 al 69, correspondientes al "Dividendo Digital", el cual a partir de 2015 se utilizará para servicios 4G -IMT, de acuerdo con lo establecido en las Resoluciones 2545 y 2623 de 2009 del Ministerio de Tecnologías de la Información y las Comunicaciones, y en la Resolución 037 de 2012 de la Agencia Nacional del Espectro.
19. Los valores mínimos de intensidad de campo de señales de televisión digital terrestre serán los que defina la Comisión de Regulación de Comunicaciones.
20. Por el cual se establecen los requisitos de carácter técnico y científico para construcciones sismo resistentes NSR-10.
21. La banda terrestre o baja está en el rango 47-862 MHz.
22. La banda FI o alta está en el rango 950-2150 MHz
23. El término "conjuntos de unidades de privadas individuales" se refiere a conjuntos conformados por varias unidades de vivienda, comercio o industria, estructuralmente independientes, de conformidad con la definición de "conjunto" establecida en la Ley 675 de 2001.
24. A diferencia del caso de cables de múltiples pares de cobre o de fibras, en el caso de cables coaxiales no se incluye un factor multiplicador superior a la unidad para determinar la cantidad final de cables que se debe instalar debido a que cada cable coaxial es una unidad independiente, físicamente es más resistente a los esfuerzos mecánicos que los pares de cobre o las fibras ópticas, y se pueden instalar individualmente en cualquier momento en caso que se requiera un remplazo o adición.
25. Incluye las señales para el acceso a los servicios de televisión, radiodifusión sonora por cable coaxial, telefonía y acceso a Internet, las cuales son adaptadas para ser transmitidas en el cable coaxial en las bandas de frecuencia correspondientes de televisión.
26. Para el dimensionamiento de infraestructuras, es una práctica común en ingeniería incluir una capacidad adicional contingente a la requerida con el fin de prever necesidades originadas en exceso de la demanda y resolver eventuales fallas en los elementos de la infraestructura cuando no es técnica ni económicamente viable reparar el elemento en falla, como puede ser el caso de falla de un par de cobre o de un par de fibras en un cable de múltiples pares. La capacidad adicional se estima mediante un factor multiplicador de la demanda prevista. Para el caso en cuestión se aplica lo previsto en el numeral 4.3 de la norma NTC 5797.
27. Podrán utilizarse cables de más de 48 fibras ópticas si está justificado en la memoria de diseño de la red interna de telecomunicaciones de la edificación.
28. Tomado de la NTC 5797
29. Según Norma NTC 5797 y NTC 2050
30. Esta norma señala: "Artículo 8o. Previamente a su comercialización, los fabricantes, importadores y comercializadores deberán demostrar el cumplimiento del reglamento técnico a través del certificado de conformidad expedido por un organismo acreditado o designado. En materia de etiquetado el cumplimiento del reglamento técnico se realizará de conformidad con lo establecido en el mencionado reglamento técnico. Se podrá demostrar el cumplimiento del reglamento técnico con declaración del proveedor, cuando así lo permita el respectivo reglamento técnico".
31. Por el cual se adopta el Arancel de Aduanas y otras disposiciones, en desarrollo de la Decisión 766 de la Comisión de la Comunidad Andina que contiene la actualización de la nomenclatura común - NANDINA
32. Dicho artículo señala como función del ONAC el "Mantener un programa de seguimiento y vigilancia que permita demostrar en cualquier momento que los organismos acreditados siguen cumpliendo las condiciones y requisitos que sirvieron de base para su acreditación".
33. En el caso de las reclasificaciones esto no sería necesario
34. Las cuentas de ingresos de Nivel 1 incluidas, deberán corresponder, como mínimo, con el nivel de desagregación indicado por la CRC en el plan de cuentas del Esquema de Separación Contable (Anexo 9.3).
35. Las cuentas de la contabilidad financiera deberán estar adaptadas al registro de pérdidas y ganancias del operador
36. Las cuentas de costos de Nivel 1 incluidas, deberán corresponder, como mínimo, con el nivel de desagregación indicado por la CRC en el plan de cuentas del Esquema de Separación Contable (Anexo 9.3).
37. Las cuentas de la contabilidad financiera deberán estar adaptadas al registro de pérdidas y ganancias del operador
38. Las cuentas de costos por actividades de Nivel 2 separadas, deberán estar alineadas con el mínimo nivel de desagregación indicado por la CRC en el plan de cuentas del Esquema de Separación Contable (Anexo III).
39. Las cuentas de costos por naturaleza de Nivel 1 desagregadas en esta matriz deberán corresponder con las cuentas identificadas en la sección 1.2.2 y 1.6.1, respectivamente
40. Las cuentas de costos por funciones de Nivel 3 incluidas, deberán corresponder, como mínimo, con el nivel de desagregación indicado por la CRC en el plan de cuentas del Esquema de Separación Contable (Anexo 9.3).
41. Las cuentas de costos por actividades de Nivel 2 desagregadas deberán corresponder con las cuentas desagregadas en la sección 1.2.3.
42. Los servicios incluidos en esta matriz, deberán corresponder, como mínimo, con el nivel de desagregación indicado por la CRC en el plan de cuentas del Esquema de Separación Contable (Anexo 9.3).
43. Las cuentas de ingresos por naturaleza de nivel 1 separadas deberán corresponder con el nivel mínimo de desagregación presentado en el Esquema de Separación Contable.
44. Los servicios mayoristas incluidos en esta matriz, deberán corresponder, como mínimo, con el nivel de desagregación indicado por la CRC en el plan de cuentas del Esquema de Separación Contable (Anexo 9.3)
45. Las cuentas de costos por funciones de Nivel 3 desagregadas deberán corresponder con las cuentas de costos por funciones desagregadas en la sección 1.2.4
46. Los servicios minoristas incluidos en esta matriz, deberán corresponder, como mínimo, con el nivel de desagregación indicado por la CRC en el plan de cuentas del Esquema de Separación Contable (Anexo 9.3)
47. Las cuentas de costos por funciones de Nivel 3 desagregadas deberán corresponder con las cuentas de costos por funciones desagregadas en la sección 1.2.4
48. Los servicios minoristas incluidos en este reporte, deberán corresponder, como mínimo, con el nivel de desagregación indicado por la CRC en el plan de cuentas del Esquema de Separación Contable (Anexo 9.3)
49. Los servicios mayoristas incluidos en este reporte, deberán corresponder, como mínimo, con el nivel de desagregación indicado por la CRC en el plan de cuentas del Esquema de Separación Contable (Anexo 9.3)
50. Los servicios desagregados en este reporte deberán incluir, como mínimo, los servicios requeridos por la CRC en el Esquema de Separación Contable
51. Los servicios desagregados en este reporte deberán incluir, como mínimo, los servicios requeridos por la CRC en el Esquema de Separación Contable
52. Los servicios desagregados en este reporte deberán incluir, como mínimo, los servicios requeridos por la CRC en el Esquema de Separación Contable
53. Los servicios mayoristas incluidos en este reporte, deberán corresponder, como mínimo, con el nivel de desagregación indicado por la CRC en el plan de cuentas del Esquema de Separación Contable (Anexo 9.3)
54. Las cuentas de costos por naturaleza de Nivel 1 deberán corresponder con las cuentas identificadas en la sección 1.2.2. y 1.6.1. respectivamente
55. Los servicios mayoristas incluidos en este reporte, deberán corresponder, como mínimo, con el nivel de desagregación indicado por la CRC en el plan de cuentas del Esquema de Separación Contable (Anexo 9.3)
56. Las cuentas de costos por actividades de Nivel 2 desagregadas deberán corresponder con las cuentas desagregadas en la sección 1.2.1.
57. La desagregación por activos introducida deberá corresponder, como mínimo, con el nivel requerido por la CRC en el Esquema de Separación Contable.
58. La desagregación por activos introducida deberá corresponder, como mínimo, con el nivel requerido por la CRC en el Esquema de Separación Contable
59. Fixed Asset Register, por sus siglas en inglés.
60. La desagregación por activos introducida deberá corresponder, como mínimo, con el nivel requerido por la CRC en el Esquema de Separación Contable
61. La desagregación por activos introducida deberá corresponder, como mínimo, con el nivel requerido por la CRC en el Esquema de Separación Contable.
62. La desagregación por activos introducida deberá corresponder, como mínimo, con el nivel requerido por la CRC en el Esquema de Separación Contable
63. Los activos presentados en esta tabla son ilustrativos, y deberán corresponder con aquellos activos que hayan sido valorados a corrientes mediante el método de valoración absoluta por el operador
64. La desagregación por activos introducida deberá corresponder, como mínimo, con el nivel requerido por la CRC en el Esquema de Separación Contable
65. Cuota mensual y suscripción/terminación del contrato
66. En aras de mejorar la transparencia del sistema, las siguientes categorías deberán ser desglosadas en las cuentas correspondientes de ingresos nominales, descuentos y subsidios de acuerdo con el principio de no compensación
67. Las funciones de red se constituyen a partir de la atribución de las actividades de red (costos indirectos) sobre los activos de red definidos en el nivel anterior
68. Definido en el Artículo 10 del Decreto 2649 así: Valor actual o de reposición es el que representa el importe en efectivo, o en su equivalente, que se consumiría para reponer un activo o se requeriría para liquidar una obligación, en el momento actual.

