RESOLUCIÓN 72146 DE 2014
(mayo 7)
Diario Oficial No. 49.158 de 21 de mayo de 2014
MINISTERIO DE MINAS Y ENERGÍA
Por la cual se establece la metodología para la fijación de tarifas por el transporte de crudo por oleoductos.
EL DIRECTOR DE HIDROCARBUROS,
en uso de sus facultades legales y en especial de las conferidas en los Decretos 381 de 2012 y 1617 de 2013, y
CONSIDERANDO:
Que el artículo 56 del Decreto Legislativo 1056 de 1953 (Código de Petróleos) establece los parámetros que se deben tener en cuenta en la fijación de la tarifa para el sistema de transporte de crudo por oleoductos.
Que los artículos 45 a 57 y 189 a 209 del Código de Petróleos, establecen los requisitos, procedimientos, derechos y obligaciones para llevar a cabo la actividad de transporte de crudos por oleoductos.
Que teniendo en cuenta la competencia otorgada a este Ministerio a través del artículo 12 numeral 25 del Decreto 070 del 17 de enero de 2001, se expidió la Resolución 124386 del 15 de julio de 2010, “por la cual se determina la metodología para la fijación de tarifas por el transporte de crudo por oleoductos”, que a su vez fue modificada posteriormente por la Resolución 124547 del 30 de septiembre de 2010 y la Resolución 124663 del 9 de diciembre de 2010.
Que el Decreto 381 del 16 de febrero de 2012, “por el cual se modifica la estructura del Ministerio de Minas y Energía”, que derogó el Decreto 070 del 17 de enero de 2001 establece en su artículo 5o numeral 4 que este Ministerio debe expedir los reglamentos del sector para la exploración, explotación, transporte, refinación, distribución, procesamiento, beneficio, comercialización y exportación de recursos naturales no renovables y biocombustibles.
Que el numeral 30 del artículo 8o del Decreto 1617 de 2013 mediante el cual se adicionó el artículo 15 de Decreto 381 de 2012, señala que corresponde a la Dirección de Hidrocarburos establecer la metodología, fijar y revisar las tarifas de transporte por oleoductos.
Que en la Resolución 72145 del 7 de mayo de 2014, o aquella que la modifique o la derogue, se señala el procedimiento, requisitos y obligaciones a cargo del transportador para llevar a cabo el transporte de crudo por oleoductos, así como los correspondientes a los demás agentes interesados en acceder al mencionado medio de transporte.
Que mediante estudio realizado por el Ministerio de Minas y Energía en el año 2009, puesto en consulta y presentado a la industria, se estimaron los parámetros y se realizó el cálculo de la tasa de remuneración de los activos de transporte por oleoductos o tasa de descuento con que se reconoce la utilidad del transportador, por el método de costo promedio ponderado de capital, WACC (por sus iniciales en Inglés).
Que como consecuencia del estudio mencionado en el considerando anterior se expidió la Resolución 124386 de 2010, modificada por las Resoluciones 124547 y 124663 de 2010, a través de la cual se determinó la metodología para la fijación de tarifas por el transporte de crudo por oleoductos.
Que el Ministerio de Minas y Energía llevó a cabo un estudio para el análisis de las condiciones de integración vertical entre las actividades de producción y transporte de crudos, y de refinación y transporte de derivados, el cual finalizó en noviembre del año 2012. A través de este estudio se recomendaron medidas para incentivar la inversión en transporte por oleoductos, mejorar la transparencia en el acceso a la infraestructura de transporte, y el seguimiento de la actividad por parte de las autoridades competentes.
Que teniendo en cuenta las recomendaciones plasmadas en el mencionado estudio, es necesario facilitar la negociación de contratos de transporte entre agentes con diferente nivel de desarrollo/riesgo, e incentivar la inversión en la construcción y ampliación de oleoductos.
Que en cumplimiento a lo dispuesto en el numeral 8 del artículo 8o de la Ley 1437 de 2011, el texto del presente acto administrativo se publicó en la página web del Ministerio de Minas y Energía entre el día 4 del mes de octubre del año 2013 al 22 del mes de noviembre del año 2013, y los comentarios recibidos fueron debidamente analizados.
Que sometido el proyecto de resolución al concepto de que trata el artículo 7o de la Ley 1340 del 24 de julio de 2009, mediante Oficio 14-77699- -2-0, radicado en este Ministerio el 6 de mayo de 2014 con el número 2014027888, el Superintendente Delegado para la Protección de la Competencia de la Superintendencia de Industria y Comercio concluyó que la modificación del marco tarifario persigue unos objetivos deseables desde la óptica de la libre competencia y considera que los potenciales efectos adversos podrían mitigarse con una adecuada inspección y vigilancia de la conducta de los transportadores en el mercado. Adicionalmente, recomendó señalar en el acto administrativo que el Ministerio de Minas y Energía deberá informar a esa Superintendencia cualquier conducta del transportador que presuntamente tienda a explotar la metodología tarifaria, distorsionar el mercado y extraer de manera ilegítima rentas de la demanda.
Que en mérito de lo expuesto,
RESUELVE
DISPOSICIONES GENERALES.
ARTÍCULO 1o. DEFINICIONES. Para efectos de interpretar y aplicar la presente resolución, además de las expresiones definidas en el artículo 2o de la Resolución 72 145 del 7 de mayo de 2014 o aquella que la modifique o sustituya, se tendrán en cuenta las siguientes:
1. Año tarifario
Período comprendido entre el 1o de julio al 30 de junio del año calendario. Se entiende también por año tarifario como el periodo entre la fecha de inicio de operación de un trayecto por primera vez según el acto administrativo de inicio de operaciones o la fecha de inicio de una revisión tarifaria extemporánea, y el 30 de junio siguiente.
2. Delta de capacidad de diseño
Corresponde a la diferencia entre la nueva capacidad de diseño que resulta de las modificaciones en la infraestructura del trayecto ampliado del oleoducto y la capacidad de diseño del trayecto existente anterior a las modificaciones.
3. Período tarifario
Término de cuatro (4) años tarifarios o aquellos que resten de ese periodo, en el que las tarifas de transporte apliquen después del inicio de dicho término para cada trayecto.
4. Trayecto ampliado
Es el trayecto de un oleoducto cuya capacidad de diseño al momento de fijar la tarifa es mayor que la capacidad de diseño que tenía en el periodo tarifario inmediatamente anterior.
5. Trayecto existente
Es el trayecto de un oleoducto que al momento de entrada en vigencia de esta resolución está en operación, y tiene Resolución de tarifa aprobada.
6. Trayecto Nuevo
Trayecto de un oleoducto que ingresa por primera vez a operación y cuyo acto administrativo de inicio de operaciones es expedido después de la fecha de entrada en vigencia de esta resolución.
ARTÍCULO 2o. TARIFAS DE TRANSPORTE POR OLEODUCTOS. De acuerdo con el presente acto administrativo, tendrán tarifa para transporte por oleoductos, los trayectos existentes, los trayectos ampliados y los trayectos nuevos, de acuerdo con la metodología y reglas que aquí se fijan.
Las tarifas por trayecto del oleoducto estarán definidas en dólares de los Estados Unidos de América por barril de crudo según la modalidad del contrato de transporte.
Para los Trayectos existentes, las tarifas y las condiciones monetarias que les asignen aplican de igual forma para todos los remitentes y terceros. Cada Trayecto existente deberá tener fijada una tarifa de transporte para cada periodo tarifario por la Dirección de Hidrocarburos según el procedimiento establecido en el Capítulo Segundo de la presente resolución, y para cada año tarifario del periodo se actualizará con base en el mecanismo de actualización establecido en el artículo 15 de la presente resolución.
Para los Trayectos ampliados las tarifas de transporte se fijarán en los contratos de transporte conforme al Capítulo Tercero de esta resolución, y se actualizarán para cada año tarifario del periodo teniendo en cuenta el mecanismo de actualización establecido en el artículo 15 de la presente resolución o aquel que hayan convenido las partes en los contratos de transporte celebrados.
En los Trayectos ampliados el Transportador deberá tener fijada mínimo dos tarifas, discriminando una tarifa correspondiente al delta de la capacidad de diseño y otra tarifa correspondiente a la tarifa del trayecto existente, nuevo y/o ampliado anterior a las modificaciones a la capacidad de diseño.
Para los Trayectos nuevos las tarifas de transporte se fijarán en los contratos de transporte conforme al Capítulo Cuarto de esta resolución y para cada año tarifario se actualizará con el factor anual que se establece en el artículo 15 de la presente resolución o aquel que convengan las partes en los contratos de transporte que celebren.
PARÁGRAFO 1o. El primer período tarifario comprendido entre el 1o de julio de 2011 y el 30 de junio de 2015 que previó la Resolución 124547 de 2010 se mantiene vigente. Igualmente las tarifas que se fijaron en este periodo con base en las Resoluciones 124386 y 124663 de 2010, se mantienen vigentes para todos los trayectos existentes y ampliados respectivamente, mientras finaliza su Periodo tarifario.
PARÁGRAFO 2o. <Parágrafo adicionado por el artículo 1 de la Resolución 31285 de 2016. El nuevo texto es el siguiente:> Adicionalmente a las condiciones monetarias pactadas por la calidad del crudo, por condiciones contractuales y/o por otros conceptos comerciales; para toda clase de trayectos (existentes, ampliados o nuevos), el transportador podrá otorgar descuentos comerciales en la tarifa, en razón de la competencia con otros modos de transporte o de la coyuntura de la industria, entre otros; siempre y cuando estos descuentos se otorguen por igual a todos los remitentes o terceros que se encuentren en las mismas condiciones.
ARTÍCULO 3o. INVERSIONES Y COSTOS A RECONOCER. De conformidad con el artículo 56 del Código de Petróleos o las normas que lo modifiquen o sustituyan, para la fijación de las tarifas de transporte por oleoductos las inversiones y costos a reconocer a los transportadores en las tarifas son: i) La amortización del capital invertido en la construcción, ii) Los gastos de sostenimiento, administración y explotación y iii) Una ganancia equitativa para el empresario, en la forma prevista en la mencionada norma.
En estos ítems, se podrán incluir: el aumento de la capacidad de diseño del trayecto, el mejoramiento de su confiabilidad, o el incremento de su vida útil, que puedan incidir en la inversión o en los costos a reconocer.
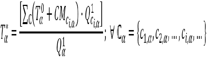
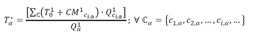
PARÁGRAFO 1o. Para la tarifa de los trayectos en los que por disposición de la presente resolución la Dirección de Hidrocarburos deba realizar la fijación de la tarifa, el transportador deberá presentar a la Dirección de Hidrocarburos el documento soporte de la tarifa donde evidencie las proyecciones para el número de años tarifarios del horizonte de proyección definido en el primer inciso del artículo 7o de esta resolución, de los valores de capital (K0), costos (CF0 y CV0) y volumen de crudo (Q0) a tener en cuenta para la fórmula tarifaria (1), debidamente justificados con sus respectivos soportes de cálculo.
PARÁGRAFO 2o. El transportador deberá justificar, mediante estudio realizado por firma calificada, el costo que implica llevar a cabo el proceso de abandono del trayecto; proceso que deberá estar aprobado por la autoridad ambiental competente. Para prever que el recurso financiero para cubrir dicho costo esté disponible al momento de realizar el mencionado proceso, el transportador podrá incluir como parte de la tarifa por barril transportado, el valor unitario requerido para generar ese recurso durante el período de recuperación de la inversión en el trayecto que haya dispuesto conforme al parágrafo 4o del artículo 7o de esta resolución.
Desde el inicio de dicho período el transportador llevará en su contabilidad un registro especial denominado fondo de abandono y para garantizar los recursos financieros aludidos, obtenidos del recaudo del valor unitario mencionado aplicado a los volúmenes transportados, establecerá un encargo fiduciario o una garantía bancaria a nombre del transportador y del Ministerio de Minas y Energía. En todo caso la Dirección de Hidrocarburos podrá, en cualquier momento, mediante la auditoría establecida en el artículo 23 de la Resolución 72 145 del 7 de mayo de 2014 o la norma que la modifique o sustituya, revisar que dichos recursos se hayan recaudado correctamente y estén debidamente garantizados.
ARTÍCULO 4o. REVISIÓN DE LAS TARIFAS. De conformidad con el artículo 57 del Código de Petróleos o las normas que lo modifiquen o sustituyan, la revisión de las tarifas de transporte se hará cada periodo tarifario teniendo en cuenta: i) Los gastos de sostenimiento, administración y explotación debidamente comprobados; ii) Las reservas o gastos por depreciación, amortización e impuestos, y iii) Una utilidad líquida equitativa para el empresario del oleoducto.
Las tarifas y condiciones monetarias también podrán ser revisadas extemporáneamente en cualquier momento conforme al referido artículo 57 del Código de Petróleos, a solicitud del Transportador, Remitente o la Dirección de Hidrocarburos, cuando sobrevengan a juicio de esta última, imprevisibles y graves alteraciones de la normalidad económica que afecten el equilibrio financiero del contrato, del transportador o de los remitentes.
Esto es, en los casos en que se cometan errores en el cálculo de la tarifa que lesionan injustamente los intereses de los remitentes o del transportador, o que ha habido razones de caso fortuito o fuerza mayor que comprometen en forma grave la capacidad financiera del transportador para continuar prestando el servicio en las condiciones tarifarias previstas o de los remitentes para efectuar el pago por el servicio. La revisión se hará siguiendo los procedimientos establecidos para la fijación de tarifas de la presente resolución, según el tipo de trayecto que aplique.
PARÁGRAFO 1o. Las tarifas que se fijaron con base en las Resoluciones 124386 y 124663 de 2010, se mantienen vigentes para todos los trayectos sin perjuicio de los derechos de revisión en los casos aquí previstos de las tarifas vigentes actualmente, mientras finaliza su Periodo tarifario.
ARTÍCULO 4A. ESTUDIO TÉCNICO-ECONÓMICO PARA LA REVISIÓN INTEGRAL DE LA METODOLOGÍA DE FIJACIÓN DE TARIFAS. <Artículo adicionado por el artículo 1 de la Resolución 31123 de 2019. El nuevo texto es el siguiente:> El Ministerio de Minas y Energía, posterior a la expedición de los actos administrativos de fijación de tarifas de transporte de crudo por oleoductos, podrá coordinar o adelantar un estudio de carácter técnicoeconómico, que evalúe la pertinencia de llevar a cabo la actualización o modificación de la metodología vigente, así como acerca de los criterios, definiciones, fórmulas, entre otros aspectos relacionados o contenidos en la Resolución número 72146 de 2014 y sus modificaciones, atendiendo a las facultades previstas en el Decreto número 0381 de 2012 modificado por el Decreto número 1617 de 2013.
Los resultados del estudio, serán socializados a través de su publicación en la página web del Ministerio de Minas y Energía, con el fin de que los agentes interesados presenten sus comentarios, observaciones y propuestas a la misma. Dichos resultados del estudio, así como las propuestas y observaciones de los agentes, podrán ser utilizados como insumos para la definición de una nueva metodología de fijación tarifaria.
Si en virtud de lo anterior, este Ministerio recibe solicitudes de los agentes transportadores o remitentes, para la revisión de la metodología de transporte por oleoductos, el Ministerio de Minas y Energía aplicará lo establecido en el artículo 57 del Decreto-ley 1056 de 1953, para adelantar lo respectivo a sus funciones y competencias en lo que se refiere a la revisión de la metodología y tarifas.
PARÁGRAFO. En atención a los resultados y conclusiones de dicho estudio, el Ministerio podrá adelantar el proceso de modificación a los actos administrativos que establezcan la metodología de fijación de tarifas de transporte de crudo por oleoductos, sobre la base de elementos técnicos que den cuenta de la oportunidad regulatoria, basados en los supuestos establecidos en la ley.
ARTÍCULO 5o. PROCESO DE NEGOCIACIÓN DE TARIFAS. En acatamiento de los principios de libre acceso, libertad contractual y trato no discriminatorio, los procesos de negociación de tarifas en los casos que aplique según la presente resolución, se desarrollarán además bajo los siguientes principios:
1. Apertura. Procesos en los que el transportador hace divulgación amplia y oportuna en su Boletín de Transporte por Oleoducto BTO, para asegurar que todos los interesados estén informados de su realización y tengan la posibilidad de participar sin más requisitos de ingreso que aquellos que razonablemente busquen asegurar la seriedad y el respeto a la confidencialidad por todos los participantes.
2. Transparencia y Formalidad. El diseño del proceso de negociación debe implicar la divulgación suficiente a todos los interesados, en igualdad de condiciones, de sus reglas, etapas, fechas límites y canales formalizados de comunicación, en un marco de tiempo definido y suficiente.
3. Igualdad de oportunidades y de trato. Las reglas del proceso deben garantizar efectivamente que todos los participantes reciban un trato igualitario y cuenten con la misma oportunidad de formular ofertas dentro de las modalidades disponibles en el proceso. Formuladas las ofertas, las reglas del proceso deben garantizar que los participantes en igualdad de condiciones reciban un mismo trato.
4. Uniformidad. Debe asegurarse la uniformidad en la documentación disponible para consulta, uso y contratación por todos los participantes.
ARTÍCULO 5A. PERIODO DE NEGOCIACIÓN. <Ver suspensión en Notas de Vigencia> <Artículo adicionado por el artículo 2 de la Resolución 31123 de 2019. El nuevo texto es el siguiente:> Establecer un periodo de negociación de las tarifas del transporte de crudo por oleoductos entre los transportadores de toda clase de oleoductos, es decir, de oleoductos existentes, nuevos y ampliaciones, y el Ministerio de Minas y Energía, periodo que transcurrirá entre la publicación de la presente resolución y el 1 de julio del año 2019, y así sucesivamente para cada Periodo Tarifario.
El Ministerio de Minas y Energía, informará a los transportadores el cronograma de sesiones presenciales de negociación que se adelantarán para cada oleoducto, segmento y trayecto según sea el caso, con el fin de que se presenten propuestas o alternativas para la revisión y fijación de la tarifa respecto del valor de cualquier variable o criterio establecido en la Resolución número 72146 de 2014 y en el Código de Petróleos. Dicho cronograma será publicado en la página web del Ministerio de Minas y Energía.
La Dirección de Hidrocarburos posteriormente citará a otra sesión conjunta con el transportador, a los remitentes que ostenten una relación contractual vigente con este en el respectivo oleoducto, trayecto, tramo o segmento, para exponer su posición y comentarios. Lo anterior en atención a los procedimientos señalados en el artículo 37 del Código de Procedimiento Administrativo y de lo Contencioso Administrativo.
En las sesiones presenciales de negociación establecidas por la Dirección de Hidrocarburos, cada agente podrá presentar los elementos o argumentos técnicos y/o económicos respecto de cualquier componente de la metodología tarifaria, tal que se permita realizar los análisis respectivos en el marco de la revisión de la tarifa.
PARÁGRAFO 1o. Ante la no acreditación oportuna de los transportadores para ser parte de las sesiones de negociación, o la no asistencia de estos agentes a las sesiones programadas por la Dirección de Hidrocarburos, esta última podrá realizar una sesión adicional con los remitentes relacionados con el respectivo oleoducto, trayecto, tramo o segmento, para así exponer su posición y comentarios, y al término de las mismas, procederá a realizar la fijación de la tarifa respectiva, según lo establecido por la Resolución número 72146 de 2014.
PARÁGRAFO 2o. El representante legal de cada agente transportador que asiste a las sesiones de negociación presenciales, o quien haga sus veces, debe acreditar su condición y certificar a la Dirección de Hidrocarburos, con dos (2) días hábiles previos a la fecha de la citación, los nombres y documentos de identificación de hasta cinco (5) funcionarios que en representación de su respectiva compañía acudirán a tales sesiones.
En aquellas sesiones presenciales en que sean citados los agentes remitentes, su representante legal, o quien haga sus veces, debe acreditar su condición y certificar a la Dirección de Hidrocarburos, con dos (2) días hábiles previos a la citación, los nombres y documentos de identificación de hasta dos (2) funcionarios que representen a su compañía.
PARÁGRAFO 3o. La Dirección de Hidrocarburos documentará las observaciones y/o comentarios que se susciten en esta etapa, dejando a disposición de los interesados los soportes documentales digitales respectivos, en el momento en que así lo requieran.
PARÁGRAFO 4o. La Dirección de Hidrocarburos podrá convocar a mesas de trabajo conjuntas, entre agentes remitentes y transportadores, para efectos de socializar las posiciones y observaciones de los agentes frente al proceso de negociación de tarifas.
Esta Dirección tendrá en cuenta los argumentos técnicos y económicos que presenten los remitentes frente a las propuestas presentadas por los transportadores, durante el periodo de negociación.
ARTÍCULO 5B. PERIODO DE NEGOCIACIÓN DIRECTA. <Ver suspensión en Notas de Vigencia> <Artículo adicionado por el artículo 3 de la Resolución 31123 de 2019. El nuevo texto es el siguiente:> La Dirección de Hidrocarburos fijará un periodo de negociación directa entre remitentes y transportadores. Las reuniones respecto de dicho periodo deberán realizarse, previo al inicio de las sesiones de negociación para cada agente transportador, y de conformidad con el cronograma establecido por la Dirección de Hidrocarburos.
ARTÍCULO 5C. DOCUMENTACIÓN PARA LA NEGOCIACIÓN. <Ver suspensión en Notas de Vigencia> <Artículo adicionado por el artículo 4 de la Resolución 31123 de 2019. El nuevo texto es el siguiente:> Con el objeto de participar en las sesiones de negociación citadas por parte del Ministerio de Minas y Energía - Dirección de Hidrocarburos, los agentes deberán acreditar la siguiente información, según corresponda:
a) Documentos soporte para la fijación de tarifas de oleoducto correspondiente al periodo tarifario 2019-2023 de conformidad con lo establecido en los artículos 3o y 6o de la Resolución número 72146 de 2014. Estos documentos deberán estar en formato físico y digital, según corresponda a los documentos u oficios, bases de datos, hojas de cálculo electrónicas y demás información relevante para el análisis. Dichos documentos deberán contener al menos la siguiente información detallada, justificada y con sus respectivas memorias de cálculo, las cuales deberán ser certificadas por el Revisor Fiscal:
i. Inversiones anuales realizadas durante el último periodo tarifario, asociado a cada oleoducto, segmento o trayecto. Identificando el criterio o metodología de valoración aplicado.
ii. Relación de los costos fijos y variables causados para el último periodo tarifario y de los estimados-proyectados para el siguiente periodo; si hay lugar, relación discriminada por cada oleoducto, segmento o trayecto.
iii. Volúmenes mensuales efectivamente transportados por cada oleoducto, segmento o trayecto durante el último periodo tarifario, indicando si se aplicó o no alguna condición monetaria a dichos volúmenes, de acuerdo a lo establecido en el artículo 17 de la Resolución número 72146 de 2014.
iv. Relación de los valores de “Factor de Ajuste”, aplicados por cada oleoducto, segmento o trayecto, durante el último periodo tarifario si hay lugar;
b) Propuesta o alternativa respecto de la actual metodología tarifaria para ser considerada durante la presente revisión tarifaria;
c) Análisis de la variación nominal y porcentual de las nuevas tarifas estimadas frente a las vigentes, con base en la información reportada, indicando el impacto de las variables actualizadas en la determinación de la nueva tarifa;
d) Relación de los agentes remitentes (actuales y futuros si hay lugar), asociados a cada trayecto, segmento de oleoductos, según la participación de sus nominaciones, así como la estimación de los volúmenes a movilizar por segmentos o trayectos, por cada agente remitente;
e) Los transportadores, así como los remitentes que acrediten interés, podrán presentar al MME los estudios técnicos-económicos correspondientes, en atención a los ajustes o actualizaciones que consideren relevantes, como parte del proceso de revisión de la tarifa.
ARTÍCULO 5D. VENCIMIENTO Y EFECTOS DE LA FASE DE NEGOCIACIÓN. <Ver suspensión en Notas de Vigencia> <Artículo adicionado por el artículo 5 de la Resolución 31123 de 2019. El nuevo texto es el siguiente:> Vencido el periodo señalado en el artículo 5A de la presente resolución, la Dirección de Hidrocarburos revisará y fijará la tarifa en los términos en los que las partes hayan negociado y acordado. En caso de que las partes no llegasen a un acuerdo sobre alguno o todos los componentes, o el valor resultante de la tarifa por el transporte de crudo por oleoducto, tramo o trayecto, la Dirección de Hidrocarburos revisará y fijará la tarifa de conformidad con la metodología existente en la Resolución número 72146 de 2014, así como en lo señalado en el Código de Petróleos, en aquellos aspectos en los que no hubo acuerdo.
En todo caso, en la motivación del acto administrativo, el Ministerio de Minas y Energía hará mención a los resultados de las sesiones de negociación.
PROCEDIMIENTO PARA FIJACIÓN DE TARIFAS DE TRAYECTOS EXISTENTES.
ARTÍCULO 6o. FIJACIÓN DE LA TARIFA DEL TRAYECTO EXISTENTE. <Ver suspensión en Notas de Vigencia> <Artículo modificado por el artículo 1 de la Resolución 31132 de 2019. El nuevo texto es el siguiente:> Conforme al artículo 56 del Código de Petróleos, la fijación de la tarifa del trayecto existente será efectuada de acuerdo con el procedimiento descrito en el presente artículo.
Como mínimo al primer día hábil del trimestre inmediatamente anterior al inicio del próximo periodo tarifario del trayecto existente, deberá emprenderse el proceso de fijación de la tarifa por medio de la publicación en el BTO de los documentos soporte de cada tarifa al que se refiere el parágrafo 1 del artículo 3o de la presente Resolución y su respectiva radicación en el Ministerio de Minas y Energía.
Una vez recibidos los documentos soporte, la Dirección de Hidrocarburos verificará y revisará la información y solicitará las aclaraciones, correcciones o adiciones que sean del caso, respecto a la información suministrada por el transportador, quien deberá responder dentro de los términos fijados por esta Dirección.
En las reuniones que se adelanten con los diferentes agentes por parte de la Dirección de Hidrocarburos, se podrá revelar la información que esta considere relevante para facilitar el acuerdo entre las partes.
Sin perjuicio de lo establecido en el artículo 5D de la Resolución número 72146 de 2014, incluido por el artículo 5o de la Resolución número 31123 de 2019, la etapa de negociación terminará cuando exista acuerdo entre el transportador y los remitentes de cada trayecto, y deberá ser enviado a la Dirección de Hidrocarburos dentro de los cinco (5) días hábiles siguientes al acuerdo, para la fijación de la tarifa por dicha dirección antes de que finalice el periodo tarifario.
Se considerará que existe acuerdo entre los agentes para las sesiones conjuntas citadas por el Ministerio de Minas y Energía, sobre la tarifa por trayecto o segmento y sobre las condiciones monetarias aplicables, al cumplirse los siguientes criterios:
A) Ante el cumplimiento conjunto de los dos siguientes eventos, se considerará que existe acuerdo: 1) En el caso de que el número de agentes remitentes con relación contractual con el transportador, que asistan a las sesiones de negociación definidas por el Ministerio de Minas y Energía, sea menor o igual a veinte (20) compañías-agentes, entonces se debe tener que el número de agentes remitentes que aprueban las condiciones de la negociación cumpla la relación definida en la Tabla números 1, y 2) que el porcentaje promedio de representación de los remitentes a favor de la negociación sobre los volúmenes en barriles transportados en el trayecto, sea mayor estricto al cincuenta por ciento (>50%), para el periodo comprendido entre el 1 de abril de 2018 al 31 de marzo de 2019.
Tabla N° 1 – Relación de número de asistentes y número de asistentes necesarios para considerar un acuerdo
| Número de remitentes asistentes a la sesión | Número de remitentes asistentes, que aprueban las condiciones de la negociación, para declarar la existencia de un acuerdo |
| 1 | 1 |
| 2 | 1 |
| 3 | 2 |
| 4 | 2 |
| 5 | 3 |
| 6 | 3 |
| 7 | 4 |
| 8 | 4 |
| 9 | 5 |
| 10 | 5 |
| 11 | 6 |
| 12 | 6 |
| Número de remitentes asistentes a la sesión | Número de remitentes asistentes, que aprueban las condiciones de la negociación, para declarar la existencia de un acuerdo |
| 13 | 7 |
| 14 | 7 |
| 15 | 8 |
| 16 | 8 |
| 17 | 9 |
| 18 | 9 |
| 19 | 10 |
| 20 | 10 |
B) Cuando el número de agentes remitentes con relación contractual con el transportador, asistentes al proceso de negociación, definido por el Ministerio de Minas y Energía, sea mayor o igual a veintiuno (21), se considerará que se ha llegado a un acuerdo cuando el porcentaje promedio de representación de al menos tres (3) remitentes a favor de la negociación, sobre los volúmenes en barriles transportados en el trayecto sea mayor o igual al setenta por ciento (70%), para el periodo comprendido entre el 1 de abril de 2018 al 31 de marzo de 2019.
Si la tarifa se define con posterioridad a la fecha de inicio del primer año tarifario del periodo 2019-2023, entrarán a regir el primer día del mes siguiente desde su publicación en el BTO por parte del transportador, y en los meses que hayan transcurrido desde dicha fecha de inicio hasta el mes de publicación en el BTO regirá la tarifa del año tarifario inmediatamente anterior.
PARÁGRAFO 1o. Previamente a la etapa de negociación conjunta señalada en el cronograma, los transportadores deben hacer llegar a la Dirección de Hidrocarburos la información solicitada en los términos establecidos en el artículo 5C de la Resolución número 72146 de 2014 incluido por el artículo 4o de la Resolución número 31123 de 2019.
PARÁGRAFO 2o. Para que exista acuerdo en la negociación directa de la que trata el artículo 5B de la Resolución número 72146 de 2014, incluido por el artículo 3o de la Resolución número 31123 de 2019, se aplicará lo dispuesto en los literales a) y b) del presente artículo.
Para la aplicación del literal a), en la Tabla número 1 de este artículo, la columna denominada “número de remitentes asistentes a la sesión”, se entenderá como el número de remitentes con contrato vigente durante el periodo comprendido entre el 1 de abril de 2018 y el 31 de marzo de 2019.
Para la aplicación del literal b), en lugar del “número de agentes remitentes asistentes”, se deberá tener en cuenta el número de remitentes con contrato vigente durante el periodo comprendido entre el 1 de abril de 2018 y el 31 de marzo de 2019.
ARTÍCULO 7o. FÓRMULA TARIFARIA. Para la fijación de la tarifa, la Dirección de Hidrocarburos aplicará la fórmula (1) de cálculo de la tarifa. Para la descripción de esta fórmula, el horizonte de proyección comprende un número de años tarifarios equivalente al de dos (2) períodos tarifarios contiguos, esto es ocho (8) años, contados a partir del primer año tarifario del período en que regirá la tarifa que se está fijando.

Donde:
T Tarifa a aplicar por barril de crudo
Unidad: dólares del primer año del período en que regirá la tarifa por barril según la modalidad contractual.
K Ingreso anual reconocible por remuneración al capital
Es la cuota constante de ingreso anual requerida para remunerar el capital invertido a la tasa de descuento antes de impuesto que se establece en el parágrafo 2o de este artículo en el período determinado para tal efecto.
Se considera como parte de este ítem, todo el conjunto de erogaciones que quede representada en un activo o haga parte de éste, produciendo el mejoramiento de su confiabilidad, el incremento de su vida útil, o el aumento de la capacidad de diseño, este último únicamente para el caso de los trayectos ampliados cuando la tarifa de estos no se fije en el contrato de transporte respectivo.
En un oleoducto con dos o más trayectos, el transportador deberá asignar a los trayectos en consideración la parte correspondiente al capital invertido atribuible de manera directa a cada uno de ellos.
Unidad: dólares del primer año del período en que regirá la tarifa.
Cálculo: según la fórmula anexa número 1 de esta resolución.
CF Ingreso anual reconocible por Costos Fijos
Es la cuota constante de ingreso anual requerida para cubrir el flujo estimado de costos anuales fijos de administración, operación y mantenimiento durante el horizonte de proyección, calculada con la tasa de descuento antes de impuesto que se establece en el parágrafo 2o de este artículo.
En un oleoducto con dos o más trayectos, el transportador deberá asignar a los trayectos en consideración la parte correspondiente de los costos fijos de administración, operación y mantenimiento del oleoducto atribuibles de manera directa a cada uno de ellos.
Unidad: dólares del primer año del período en que regirá la tarifa.
Cálculo: según la fórmula anexa número 2 de esta resolución.
A Ingreso anual reconocible o descontable por el Factor de ajuste tarifario
Definición: el factor de ajuste tarifario se realizará conforme al artículo 8o de la presente resolución.
Unidad: dólares del primer año del período en que regirá la tarifa.
Cálculo: según fórmula (2) del artículo 8o de esta resolución.
Q Volumen anual equivalente de crudo a transportar
Definición: es el volumen anual constante durante el horizonte de proyección, equivalente al flujo proyectado de volúmenes anuales de crudo a transportar en dicho período, calculado con la tasa de descuento antes de impuestos que se establece en el parágrafo 2o de este artículo.
En un oleoducto con dos o más trayectos, el transportador deberá asignar a los trayectos en consideración la parte correspondiente del flujo proyectado de volúmenes atribuibles de manera directa a cada uno de ellos.
Unidad: barriles de crudo a transportar del primer día hábil al inicio del primer año tarifario.
Cálculo: según fórmula anexa número 3 de esta resolución.
CV Costo variable de operación por barril de crudo
Definición: es la cuota constante de ingreso anual requerida para cubrir el flujo estimado de costos anuales variables de operación y mantenimiento que dependen del volumen del crudo que se transporte, durante el horizonte de proyección, calculada con la tasa de descuento antes de impuesto que se establece en el parágrafo 2o de este artículo. En este rubro el transportador podrá incluir el valor unitario por barril para aportar al fondo de abandono, conforme con el parágrafo 2o del artículo 3o de esta resolución.
En un oleoducto con dos o más trayectos, el transportador deberá asignar a los trayectos en consideración la parte correspondiente de los costos variables de operación y mantenimiento del oleoducto atribuibles de manera directa a ellos.
Unidad: dólares del primer año del período en que regirá la tarifa.
Cálculo: según fórmula anexa número 4 de esta resolución.
PARÁGRAFO 1o. Todos los volúmenes se tomarán medidos en barriles y los montos de dinero en dólares de los Estados Unidos de América del primer año del periodo para el que rige la tarifa. Para todos los casos, por dólares del primer año del período en que regirá la tarifa se entenderá que son dólares del primer día hábil al inicio del primer año tarifario de dicho período.
PARÁGRAFO 2o. La Dirección de Hidrocarburos del Ministerio de Minas y Energía utilizará los siguientes parámetros para la fórmula tarifaria (1) del presente artículo, sin perjuicio de que éstos puedan ser modificados en el futuro para todos los oleoductos previo estudio o investigación realizada directamente por esa Dirección o a través de personas naturales o jurídicas contratadas por el Ministerio de Minas y Energía, o de manera particular para uno o más trayectos cuando el transportador justifique adecuadamente las modificaciones a los parámetros.
T Tasa de impuesto de renta. Será la suma de los impuestos sobre la renta que estén vigentes en el momento en que se aplique la fórmula.
u Tasa anual de descuento en dólares constantes, después de impuestos. La tasa de descuento después de impuestos será del 8,43%, valor calculado con endeudamiento de 40% y los demás parámetros estimados en el estudio del 2009 mencionado en los considerandos de esta resolución, como aparece en la tabla anexa número 1 a la misma.
Transitoriedad: Para el período tarifario comprendido entre el inicio de vigencia de esta resolución al 30 de junio del 2015 la tasa es de 10,22% correspondiente al promedio entre la tasa de 12% utilizada en ejercicios anteriores de fijación de tarifas y la mencionada tasa calculada con endeudamiento de 40%. Para el siguiente período tarifario sucesivo al anteriormente nombrado la tasa será de 9,39%, calculada con endeudamiento de 20% y los demás parámetros estimados en el estudio anteriormente aludido.
n Período de recuperación de la inversión. Determinado en número de años y fijado conforme al parágrafo 4o de este artículo.
PARÁGRAFO 3o. <Parágrafo modificado por el artículo 3 de la Resolución 31325 de 2015. El nuevo texto es el siguiente:> Al momento de fijar la tarifa para un nuevo período tarifario, el cálculo de la inversión inicial (I
), para efecto de la aplicación de la fórmula tarifaria (K) de la fórmula anexa No.1 de esta resolución, corresponderá a la misma inversión inicial utilizada para su primer período tarifario, siempre y cuando no haya cumplido el número de años del período fijado para la recuperación de la inversión, conforme al parágrafo 4o de este artículo, actualizada a la fecha de inicio del período en que regirá la tarifa, utilizando el factor de actualización (1+FX), en que FX se define en el artículo 15 de esta resolución.
A la inversión inicial (I
), se le debe adicionar las inversiones (I
) que entraron en operación en el año tarifario
, para efecto de la aplicación de la fórmula tarifaria (K) de la fórmula anexa número 1, las cuales deberán estar incluidas en la mencionada fórmula, hasta que hayan cumplido el número de años fijados para su recuperación, actualizadas a la fecha de inicio del período en que regirá la tarifa para un nuevo período tarifario, utilizando el factor de actualización (1+FX) , en que FX se define en el artículo 15 de esta resolución.
Si las inversiones (I
) se incluyen en la fórmula ex-ante a su ejecución, estas deberán incluirse en el documento soporte de la tarifa que establece el Parágrafo 1o del artículo 3o de esta resolución, y ex-post deberán ser corregidas en los siguientes periodos tarifarios por las inversiones que efectivamente se desembolsaron, según el informe anual que establece el artículo 14 de esta resolución
PARÁGRAFO 4o. <Inciso modificado por el artículo 3 de la Resolución 31325 de 2015. El nuevo texto es el siguiente:> En el proceso de fijación de las tarifas conforme a este artículo el transportador fijará el período de recuperación de la inversión en el momento que considere la entrada de tal inversión, siempre que dicho período de recuperación sea mayor o igual que dos (2) períodos tarifarios es decir ocho (8) años, y deberá informarlo a la Dirección de Hidrocarburos en el documento soporte de la tarifa. Una vez fijado el período de recuperación de estos activos conforme a lo anterior, este corresponderá con el utilizado en el primer período tarifario de la inversión y no podrá ser modificado, es decir, tanto la inversión inicial (I
), como las inversiones (I
), deben tener el mismo periodo de recuperación establecido en el primer periodo tarifario.
Las inversiones realizadas por el transportador después de la construcción del trayecto que aumenten la confiabilidad, la vida útil del trayecto o la capacidad de diseño, este último únicamente para el caso de los trayectos ampliados cuando la tarifa de estos no se fije en el contrato de transporte respectivo, harán parte de las inversiones (I
) que entrarán o entraron en operación en el año tarifario
para la fijación de las tarifas, siempre y cuando no hayan cumplido el período de recuperación de la inversión fijado por el transportador acorde con este parágrafo y no hayan sido contemplados en la fijación tarifaria de otro trayecto.
En el caso en que se transporten crudos después de la terminación del periodo de recuperación fijado para los trayectos existentes, para efectos de establecer el justo valor del oleoducto al que se refiere el artículo 57 del Código de Petróleos para determinar la utilidad líquida equitativa del transportador, el oleoducto se valorizará bajo la metodología de Costo de Reposición Depreciado (DRC) según la definición del Consejo de Normas Internacionales de Valoración (IVSC).
Al resultado de esta valoración se le deben descontar las inversiones (Ia) que entraron en operación en los periodos tarifarios anteriores que aún siguen vigentes y las inversiones de las tarifas de otros trayectos que coexisten con el trayecto existente, con el fin de incluir el ítem de inversión inicial (Io) en el parámetro de remuneración al capital (K) en la fórmula (1) del presente artículo.
PARÁGRAFO 5o. Para la aplicación del parámetro A de la fórmula (1) de este artículo la cual se explica en el artículo 8o de esta resolución, el transportador deberá suministrar a la Dirección de Hidrocarburos dentro del primer trimestre después de finalizar cada año tarifario conforme lo dispone el artículo 204 del Código de Petróleos y el artículo 14 de la presente resolución, la información sobre el valor total de las inversiones (I1) que entraron en operación, los costos fijos y variables (CF1 y CV1), y los volúmenes efectivamente transportados (Q1) para cada trayecto en el año tarifario inmediatamente anterior.
PARÁGRAFO 6o. Teniendo en cuenta lo establecido en el artículo 23 de la Resolución 72 145 del 7 de mayo de 2014 por la cual se reglamenta el transporte de crudos por oleoductos o aquella que la modifique o sustituya, la Dirección de Hidrocarburos podrá verificar la información suministrada por el transportador en cualquier momento, mediante auditoría escogida por esa Dependencia y pagada por el transportador.
ARTÍCULO 8o. FACTOR DE AJUSTE TARIFARIO. Corresponde al déficit o al superávit del ingreso real del transportador con respecto al ingreso percibido que obtuvo por concepto del servicio de transporte en el periodo tarifario vigente, el cual será ajustado en el siguiente periodo tarifario en una cuota constante anual bajo el término A de la fórmula tarifaria (1).
El término A podrá ser diferente de cero (A
0) si se cumplen las siguientes condiciones: i) la tarifa de transporte vigente así como la tarifa del siguiente periodo tarifario son fijadas por la Dirección de Hidrocarburos acorde al artículo 7o de esta resolución, ii) el ajuste tarifario se está fijando para que empiece a regir al inicio del siguiente período tarifario, y iii) se cumplen las condiciones de la fórmula (2).
Sea

Donde:
A Factor de Ajuste Tarifario
Unidad: dólares del primer año del período en que regirá la tarifa.
( ) Ingreso anual real
Definición: Es la cuota constante anual del ingreso real que obtendría el transportador por concepto del servicio de transporte en el período tarifario vigente, si la tarifa del trayecto se hubiese calculado para dicho período con las inversiones que efectivamente se desembolsaron o salieron de operación (I1), los costos que justificadamente fueron sufragados (CF1 y CV1) y los volúmenes de crudo efectivamente transportados (Q1) en el periodo tarifario vigente, con base en los valores que fueron presentados en los Informes anuales que señala el artículo 14 de esta resolución.
Unidad: dólares del primer año del período tarifario en que regirá la tarifa.
Cálculo: según fórmula anexa número 5 de esta resolución.
I t Ingreso anual percibido
Definición: Es la cuota constante anual del ingreso efectivo que obtuvo el transportador por concepto del servicio de transporte, con base en la tarifa y las condiciones monetarias fijadas para el periodo tarifario vigente, y los volúmenes de crudo efectivamente transportados (Q1) en el periodo tarifario vigente.
Unidad: dólares del primer año del período tarifario en que regirá la tarifa.
Cálculo: según fórmula anexa número 6 de esta resolución.
I t Ingreso anual proyectado
Definición: Es la cuota constante anual del ingreso que el transportador proyectó obtener por concepto del servicio de transporte en el período tarifario vigente, con base en la tarifa fijada por la dirección de hidrocarburos para el periodo tarifario vigente y los volúmenes de crudo proyectados (Q0) para el periodo tarifario vigente.
Unidad: dólares del primer año del período tarifario en que regirá la tarifa.
Cálculo: según fórmula anexa número 7 de esta resolución.
PARÁGRAFO. Para efecto de aplicar el factor de ajuste tarifario que trata este Artículo, el componente j de la fórmula (2) que indica la tolerancia máxima sobre el ingreso proyectado será de j = 0.1 (10%).
ARTÍCULO 9o. VIGENCIA DE LA TARIFA. Las tarifas de los trayectos existentes tendrán vigencia durante un período tarifario de cuatro (4) años o en los años tarifarios que resten de ese periodo si esta entra en vigencia con posterioridad al inicio del periodo tarifario. La revisión de estas tarifas se realizará de acuerdo con lo señalado en el artículo 4o y el procedimiento previsto en el Capítulo II de la presente resolución.
PROCEDIMIENTO PARA FIJACIÓN DE TARIFAS DE TRAYECTOS AMPLIADOS.
ARTÍCULO 10. FIJACIÓN DE LA TARIFA DEL TRAYECTO AMPLIADO. Para efectos de hacer viable la ampliación de oleoductos, transportador y remitentes podrán pactar distintas tarifas de transporte con las personas interesadas en contratar en el delta de la capacidad de diseño, reconociendo las inversiones y costos a los que se refiere el artículo 3o de la presente resolución y el artículo 56 del Código de Petróleos, y acatando los principios de libre acceso, libertad contractual, trato no discriminatorio y los demás principios que trata el Proceso de Negociación de Tarifas del artículo 5o de la presente resolución.
PARÁGRAFO 1o. Para las tarifas del delta de la capacidad de diseño cuyo acto administrativo de inicio de operaciones haya sido expedido, el transportador deberá informar a la Dirección de Hidrocarburos al finalizar cada año tarifario acorde al artículo 14 de esta resolución, los parámetros de la fórmula (1) contenida en el artículo 7o de esta resolución.
PARÁGRAFO 2o. Las tarifas fijadas para el delta de la capacidad de diseño aplicarán únicamente para la capacidad correspondiente, y podrán coexistir con las tarifas de otros trayectos que existan con anterioridad.
El transportador realizará de forma separada para el delta de la capacidad de diseño y los demás trayectos coexistentes priorizando a estos últimos, las disposiciones que trata el Capítulo V de la Resolución 72145 del 7 de mayo de 2014 o aquella que la modifique o sustituya.
Esta priorización implica que los procesos de nominación, el plan de transporte, el programa de transporte, y las demás disposiciones del capítulo V deben realizarse primero para los trayectos existentes, ampliados o nuevos que coexisten con el delta de la capacidad de diseño, y seguidamente para este último.
PARÁGRAFO 3o. Para los proyectos de ampliación de oleoductos en donde transportador y remitentes no logren de mutuo acuerdo fijar la tarifa, el procedimiento de fijación tarifaria para el delta de la capacidad de diseño será la misma que le aplica a los trayectos existentes mostrada en el artículo 7o de la presente resolución, al igual que la vigencia de la tarifa mostrada en el artículo 9o ídem.
Para ello, el valor de la inversión inicial (I0) y los demás parámetros de la fórmula (1) contenida en el artículo 7o de esta resolución de remuneración al capital (K), costos (CF y CV) y volúmenes de crudo (Q) serán aquellos que le apliquen únicamente al delta de la capacidad de diseño.
Si la ampliación de capacidad se realiza sobre un trayecto existente, la tarifa del delta de la capacidad de diseño se determinará con sujeción a la regla que a continuación se señala:
![]()
Donde
T Tarifa a aplicar por barril de crudo en el delta de la capacidad de diseño
Unidad: dólares del primer año del período en que regirá la tarifa por barril según la modalidad contractual.
TTE Tarifa por barril de crudo del trayecto existente
Es la tarifa calculada para la capacidad de diseño no ampliada del trayecto existente.
Unidad: dólares por barril, actualizado al primer día hábil del primer año tarifario vigente en el cual se calcula la tarifa para el delta de la capacidad de diseño.
T
Q Tarifa por barril de crudo en el delta de la capacidad de diseño
Es la tarifa calculada para el delta de la capacidad de diseño del trayecto ampliado, utilizando los parámetros de remuneración al capital (K), costos (CF y CV) y volúmenes de crudo (Q) de la fórmula (1) que le apliquen exclusivamente al delta de la capacidad de diseño.
Unidad: dólares por barril del primer año del periodo en que regirá la tarifa del delta de la capacidad de diseño.
ARTÍCULO 11. VIGENCIA DE LA TARIFA. Para las tarifas del delta de la capacidad de diseño en donde transportador y remitentes logren de mutuo acuerdo fijar la tarifa, por un único término de máximo diez (10) años se entenderá que estos podrán pactar distintas tarifas de transporte a las que se refiere el artículo 10 de la presente resolución, y una vez finalice el plazo mencionado el delta de la capacidad de diseño se entenderá como parte del trayecto existente para todos los efectos de la presente resolución, sin perjuicio de los contratos de transporte que sigan vigentes después del plazo mencionado.
PARÁGRAFO. El término de diez (10) años previsto para la tarifa del delta de la capacidad de diseño, se contará a partir de la fecha que señale el acto administrativo de inicio de operaciones, previa conformidad de las pruebas de comisionamiento de todos los sistemas ampliados del oleoducto desde el nodo de entrada al nodo de salida.
PROCEDIMIENTO PARA FIJACIÓN DE TARIFAS DE TRAYECTOS NUEVOS.
ARTÍCULO 12. FIJACIÓN DE LA TARIFA DEL TRAYECTO NUEVO. Para incentivar la inversión en la construcción de nuevos oleoductos, en los trayectos nuevos se podrán pactar distintas tarifas de transporte entre remitentes y transportadores, reconociendo las inversiones y los costos a los que se refiere el artículo 3o de la presente resolución y el artículo 56 del Código de Petróleos, y acatando los principios de libre acceso, libertad contractual, trato no discriminatorio y los demás principios que trata el Proceso de Negociación de Tarifas del artículo 5o de la presente resolución.
PARÁGRAFO. Para las tarifas del trayecto nuevo cuyo acto administrativo de inicio de operaciones haya sido expedido, el transportador deberá informar a la Dirección de Hidrocarburos al finalizar cada año tarifario acorde al artículo 14 de esta resolución, los parámetros de la fórmula (1) contenida en el artículo 7o de esta resolución.
ARTÍCULO 13. VIGENCIA DE LA TARIFA. Por un único término de máximo diez (10) años se entenderá que en los trayectos nuevos se podrán pactar distintas tarifas de transporte a las que se refiere el artículo 12 de la presente resolución, y una vez finalice el plazo mencionado el trayecto nuevo se entenderá como trayecto existente para todos los efectos de la presente resolución, sin perjuicio de los contratos de transporte que sigan vigentes después del plazo mencionado.
PARÁGRAFO. El término de diez (10) años previsto para la tarifa de los trayectos nuevos, se contará a partir de la fecha que señale el acto administrativo de inicio de operaciones, previa conformidad de las pruebas de comisionamiento de todos los sistemas nuevos del oleoducto desde el nodo de entrada al nodo de salida. La entrada en servicio del trayecto nuevo requiere del acto administrativo mencionado en este parágrafo.
DISPOSICIONES FINALES.
ARTÍCULO 14. INFORME ANUAL. De conformidad con el artículo 204 del Código de Petróleos, en el informe especial que anualmente se debe presentar a la Dirección de Hidrocarburos del Ministerio de Minas y Energía, cada transportador dará cuenta detallada de cada uno de sus trayectos para los parámetros de la fórmula (1) del año tarifario vencido al que se refiere el informe, cualquiera sea el procedimiento de fijación tarifaria aplicado, para:
1. Las inversiones de capital (I1) que el transportador haya realizado para: el aumento de la capacidad de diseño del trayecto, el mejoramiento de su confiabilidad, o el incremento de su vida útil.
2. Los costos fijos y variables (CF1 y CV1) de administración, operación y mantenimiento.
3. El volumen de crudo transportado (Q1), acorde al programa de transporte y los balances volumétricos.
El informe anual será presentado en el primer trimestre después de finalizar cada año tarifario, y deberá estar acompañado de los comprobantes respectivos, debidamente certificados por auditor externo. La Dirección de Hidrocarburos para efectos de verificar la exactitud de los datos suministrados analizará la información, directamente o por medio de sus agentes, en concordancia con lo previsto en los artículos 7o y 204 del Código de Petróleos y el artículo 23 de la Resolución 72 145 del 7 de mayo de 2014.
La Dirección del Hidrocarburos guardará la reserva sobre aquellos datos suministrados cuando así resulte necesario para garantizar la protección de derechos legítimos de los transportadores, sin perjuicio de lo previsto en el artículo 27 de la Ley 1437 de 2011 o la que la modifique o sustituya.
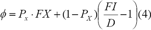
ARTÍCULO 15. FACTOR ANUAL DE ACTUALIZACIÓN TARIFARIA. Mientras las tarifas estén vigentes, y no haya sido acordado su incremento anual según el tipo de trayecto acorde al artículo 2o de esta resolución, las tarifas de transporte se actualizarán anualmente multiplicando el valor vigente del año tarifario inmediatamente anterior por el factor ( ) ( ) que se indica en la fórmula (4), la cual podrá ser modificada en el futuro bajo el respaldo de estudios o investigaciones realizadas por la Dirección de Hidrocarburos.
<Fórmula modificada por el artículo 2 de la Resolución 72216 de 2014. El nuevo texto es el siguiente:>

Donde:
Factor para actualizar un valor dado en dólares, desde la fecha de inicio del año tarifario anterior a la fecha de inicio del año tarifario en consideración.
PX Proporción del componente de inversión en el total de la tarifa vigente de transporte por el trayecto del oleoducto. Si la tarifa es fijada por la Dirección de Hidrocarburos acorde al artículo 7o de esta resolución, el valor de PX será el que se indica en la fórmula (5). De lo contrario el factor será reportado por el transportador al momento de realizar la actualización tarifaria.
![]()
Los valores de T (Tarifa a aplicar por barril de crudo), K (Ingreso anual reconocible por remuneración al capital) y Q (Volumen anual equivalente de crudo a transportar), son los descritos para la fórmula (1) del artículo 7o de la presente resolución, y estarán acordes con los presentados en el informe anual del artículo 14 ídem.
FX Variación porcentual del índice de precios al productor (Producer Price Index, PPI) de los Estados Unidos de América correspondiente a bienes de capital, entre las fechas de inicio y de terminación del año tarifario anterior al del año tarifario en consideración, según la Oficina de Estadísticas Laborales del Departamento de Trabajo de los Estados Unidos.
FI La relación anual entre los índices de precios al consumidor IPC determinados por el Departamento Administrativo Nacional de Estadística DANE, entre las fechas de inicio y de terminación del año tarifario anterior al del año tarifario en consideración.
D <Factor modificado por el artículo 4 de la Resolución 72216 de 2014. El nuevo texto es el siguiente:> La relación de los promedios de la tasa de cambio representativa del mercado (TRM), diaria, entre dos periodos consecutivos de doce (12) meses, según el Banco de la República, en que el numerador es el promedio en el año tarifario más reciente y el denominador es el promedio en el año tarifario anterior. Esta relación de tasas de cambio corresponde entonces a uno (1) más la devaluación estimada entre el inicio del año tarifario anterior y el inicio del año tarifario en consideración.
Las tarifas vigentes del año tarifario anterior regirán hasta el momento en que se actualicen estas, y para su actualización se tendrán en cuenta los datos vigentes al 30 de junio del año tarifario vencido.
ARTÍCULO 16. APLICACIÓN DE LAS TARIFAS. El transportador calculará el precio por concepto del servicio de transporte como el resultado de multiplicar los barriles según la modalidad del contrato de transporte, por la tarifa del trayecto según la presente resolución y teniendo en cuenta las condiciones monetarias acorde al artículo 17 de esta resolución, en el evento en que apliquen. El transportador deberá discriminar en el cobro los valores que corresponden a la aplicación de la tarifa de transporte y los montos correspondientes a las condiciones monetarias.
PARÁGRAFO 1o. <Parágrafo modificado por el artículo 3 de la Resolución 72216 de 2014. El nuevo texto es el siguiente:> El transportador podrá descontar del precio por concepto del servicio de transporte a los remitentes propietarios del oleoducto de uso privado, la parte de la tarifa de transporte de sus crudos correspondiente a la remuneración al capital y la utilidad reconocida.
PARÁGRAFO 2o. En virtud del principio de coordinación consagrado en el artículo 209 de la Constitución Política de Colombia y en el artículo 3o del Código de Procedimiento Administrativo y de lo Contencioso Administrativo, el Ministerio de Minas y Energía informará a la Superintendencia de Industria y Comercio sobre cualquier conducta que haya sido puesta en su conocimiento, con las que el transportador presuntamente tienda a explotar la metodología tarifaria, distorsionar el mercado y extraer de manera ilegítima rentas de la demanda.
ARTÍCULO 17. CONDICIONES MONETARIAS. <Artículo modificado por el artículo 4 de la Resolución 31325 de 2015. El nuevo texto es el siguiente:> Son tablas que el transportador elabora y reporta en el BTO junto con las condiciones estándar, y que representan los sobrecargos y descuentos que aplican sobre las tarifas de transporte por oleoductos, fijadas por la Dirección de Hidrocarburos del Ministerio de Minas y Energía o de mutuo acuerdo entre transportadores y remitentes.
El transportador y el remitente podrán pactar las condiciones monetarias para cada contrato de manera independiente, que obedecen a la variación en las condiciones de la calidad del crudo, en las condiciones contractuales u otros conceptos comerciales, con respecto a las condiciones estándar.
Las condiciones monetarias y las condiciones estándar que se pacten en los contratos de transporte de crudo por oleoductos regirán durante toda su vigencia y solo podrán ser modificadas de forma bilateral por las partes. Los valores aplicables a las tarifas por concepto de condiciones monetarias y condiciones estándar podrán ser revisados cada año tarifario, para lo cual el transportador deberá elaborar las respectivas memorias de cálculo de las tablas que apliquen sobre la tarifa de transporte, y estas podrán ser solicitadas por los remitentes para su estudio y revisión.
En caso que las condiciones monetarias se representen en valores relativos sobre las condiciones estándar, es decir su cuantía no sea en valores absolutos monetarios sino en valores porcentuales, las condiciones monetarias no serán objeto de la actualización anual que define el artículo 15 de esta resolución.
Cuando se pacten condiciones monetarias asociadas a las condiciones de calidad del crudo, serán liquidadas con base en la medición resultante de los crudos a transportar en el oleoducto, incluso en el caso que haya mezclas con otras sustancias para efecto de su transporte. Cuando se pacten condiciones monetarias asociadas a las condiciones del contrato, serán calculadas al momento del acuerdo contractual.
PARÁGRAFO. Las condiciones estándar se refieren a las condiciones promedio o típicas de las condiciones monetarias, sobre las cuales el sobrecargo o descuento que les corresponde en la tarifa fijada acorde al artículo 7o de esta resolución, es de cero (0).
ARTÍCULO 18. IMPUESTO DE TRANSPORTE. Para efectos de la liquidación del impuesto de transporte que el Transportador debe recaudar, se tendrán en cuenta las tarifas de transporte según el artículo 2o de esta resolución, bien sea la tarifa fijada por la Dirección de Hidrocarburos o las tarifas pactadas entre transportador y remitentes, de acuerdo con lo establecido en la Ley 1530 de 2012 y la Resolución 72537 de 5 de noviembre de 2013 o las normas que los modifiquen o sustituyan
ARTÍCULO 19. VIGENCIA Y DEROGATORIAS. La presente resolución rige a partir de su publicación en el Diario Oficial y deroga las disposiciones que le sean contrarias, en especial las Resoluciones 124386 de 2010, 124547 de 2010 y 124663 de 2010.
Publíquese y cúmplase.
Dada en Bogotá, D. C., a 7 de mayo de 2014.
El Asesor del Despacho del Ministro con encargo de las funciones de Director de Hidrocarburos,
CARLOS DAVID BELTRÁN QUINTERO.
SOBRE EL CÁLCULO DEL WACC.
| CONCEPTOS | 40% de deuda | 20% de deuda |
PARÁMETROS DE ENTRADA
| rendimiento libre de riesgo en US$corr | 7,42% | 7,42% |
| rendimiento de mercado en US$ corr | 9,53% | 9,53% |
| riesgo país | 3,80% | 3,80% |
| beta desapalancado | 0,644 | 0,644 |
| Endeudamiento | 40% | 20% |
| tasa de impuesto | 33% | 33% |
| costo deuda $ corr antes de impuesto | 12,96% | 12,96% |
| Inflación Colombia | 5,59% | 5,59% |
| Inflación EEUU | 2,89% | 2,89% |
CÁLCULOS INTERMEDIOS
| costo deuda real antes de impuesto | 6,98% | 6,98% |
| prima por riesgo mercado | 2,10% | 2,10% |
| beta apalancado | 0,932 | 0,752 |
| costo patrimonial US$ corr | 13,19% | 12,81% |
| costo patrimonial real después de imp. | 10,01% | 9,64% |
| participación del patrimonio | 60% | 80% |
CÁLCULO WACC
| WACC real después de impuesto | 8,43% | 9,39% |
| WACC real antes de impuesto | 12,58% | 14,01% |
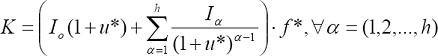
INGRESO ANUAL RECONOCIBLE POR REMUNERACIÓN AL CAPITAL.
<Fórmula modificada por el artículo 1 de la Resolución 72216 de 2014. El nuevo texto es el siguiente:>

Dónde:
K Ingreso anual reconocible por remuneración al capital
Definido en el artículo 7o de esta resolución.
Io Inversión inicial del trayecto del oleoducto
Es el valor de la inversión al inicio del primer período en que regirá la tarifa, calculado como se indica en el parágrafo 3o y 4o del artículo 7o de esta resolución.
Unidad: dólares del primer año del período en que regirá la tarifa.
Ia Inversiones que entrarán o entraron en operación en el año tarifario
Es el valor programado de la inversión que entrará o entró en operación en el año tarifario a del horizonte de proyección calculado como se indica en el parágrafo 3o y 4o del artículo 7o de esta resolución. Las inversiones que se incluyen en este parámetro deben ser consistentes con el programa de inversiones que el transportador debe incluir en el BTO, con el documento soporte de la tarifa y con el Informe anual que trata el artículo 14 de la presente resolución. El flujo de la inversión se considera como si ésta fuese realizada al inicio de cada año tarifario.
Unidad: <Definición modificada por el artículo 5 de la Resolución 31325 de 2015. El nuevo texto es el siguiente:> Dólares del primer año en que regirá la tarifa
Número entero consecutivo entre 1 y h, en que
=1 para el primer año tarifario del horizonte de proyección y
=h para el último año tarifario del horizonte de proyección.
h Número de años tarifarios del horizonte de proyección, definido en el primer inciso del artículo 7o de esta resolución.
u* Tasa de descuento antes de impuesto, calculada como
.
u Tasa de descuento después de impuesto, conforme al parágrafo 2o del artículo 7o de esta resolución.
t Tasa de impuesto de renta, de acuerdo con el parágrafo 2o del artículo 7o de esta resolución.
f* Factor de recuperación de capital: este factor, multiplicado por la inversión inicial, produce como resultado un valor anual constante que se replica durante el período de recuperación de la inversión, equivalente al valor total de la inversión al inicio de dicho período, a la tasa de descuento antes del pago de impuesto u* así:

n Número de años en que se recupera la inversión, se fijará de acuerdo con el parágrafo 4o del artículo 7o de esta resolución.
INGRESO ANUAL RECONOCIBLE POR COSTOS FIJOS.

Donde:
CF Ingreso anual reconocible por costos fijos
Definido en el artículo 7o de esta resolución.
CF
Costo anual fijo de AOM proyectado para el año tarifario
Es la suma de los costos fijos de administración, operación y mantenimiento del trayecto estimada para el año tarifario del horizonte de proyección. Los gastos de mantenimiento deben ser consistentes con el programa de mantenimiento que el transportador debe publicar en el BTO.
Unidad: dólares del primer día hábil al inicio del año tarifario
. <Texto adicionado a la definición de "Unidad" por el artículo 6 de la Resolución 31325 de 2015. El nuevo texto es el siguiente:> Dólares del primer año en que regirá la tarifa.
Número entero consecutivo entre 1 y h, en que
= 1 para el primer año tarifario del horizonte de proyección y
= h para el último año tarifario del horizonte de proyección.
h Número de años tarifarios del horizonte de proyección, definido en el primer inciso del artículo 7o de esta resolución.
u* Tasa de descuento antes de impuesto, calculada como
.
u Tasa de descuento después de impuesto, conforme al parágrafo 2o del artículo 7o de esta resolución.
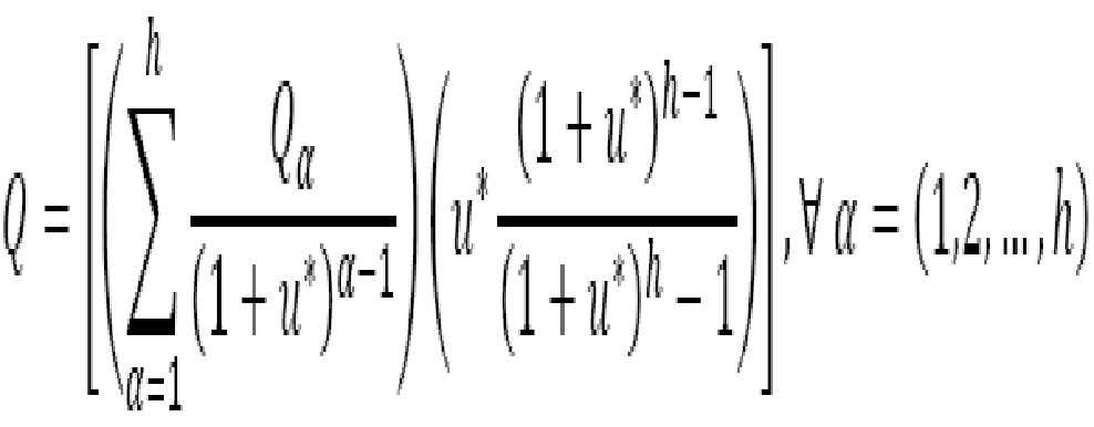
VOLUMEN ANUAL EQUIVALENTE DE CRUDO A TRANSPORTAR.

Donde:
Q Volumen anual equivalente de crudo a transportar
Definido en el artículo 7o de esta resolución.
Q
Volumen anual de crudo a transportar en el año tarifario ![]()
Es el volumen anual de crudo a transportar por el Trayecto, proyectado de acuerdo con el plan de transporte, para el año tarifario
.
Unidad: barriles de crudo a transportar por año tarifario
.
Número entero consecutivo entre 1 y h, en que
= para el primer año tarifario del horizonte de proyección y
= h para el último año tarifario del horizonte de proyección.
h Número de años tarifarios del horizonte de proyección, definido en el primer inciso del artículo 7o de esta resolución.
u* Tasa de descuento antes de impuesto, calculada como
.
u Tasa de descuento después de impuesto, conforme al parágrafo 2o del artículo 7o de esta resolución.
COSTO VARIABLE DE OPERACIÓN POR BARRIL DE CRUDO.

Donde:
CV Costo variable por barril de crudo
Definido en el artículo 7o de esta resolución.
CV
Costo variable por barril de crudo proyectado en el año tarifario ![]()
Es la suma de los costos variables de operación y mantenimiento del trayecto estimada para el año tarifario del horizonte de proyección. Los gastos de mantenimiento deben ser consistentes con el programa de mantenimiento que el transportador debe publicar en el BTO.
Unidad: <Definición modificada por el artículo 7 de la Resolución 31325 de 2015. El nuevo texto es el siguiente:> Dólares del primer año en que regirá la tarifa
Q
Volumen anual de crudo a transportar en el año tarifario ![]()
Definido en la fórmula anexa número 3 de esta resolución.
Q Volumen anual equivalente de crudo a transportar
Definido en la fórmula anexa número 3 de esta resolución.
Número entero consecutivo entre 1 y h, en que
= 1 para el primer año tarifario del horizonte de proyección y
= h para el último año tarifario del horizonte de proyección.
h Número de años tarifarios del horizonte de proyección, definido en el primer inciso del artículo 7o de esta resolución.
u* Tasa de descuento antes de impuesto, calculada como![]()
u Tasa de descuento después de impuesto, conforme al parágrafo 2o del artículo 7o de esta resolución.
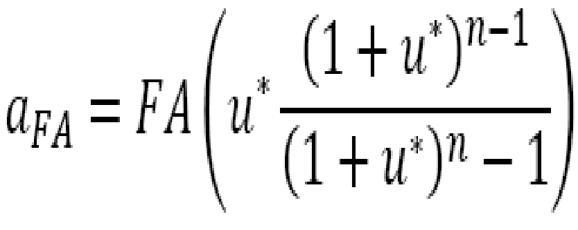
FA Aporte unitario al fondo de abandono, conforme el Parágrafo 2o del artículo 3o de esta resolución. Este valor será tenido en cuenta (
FA > 0) y podrá ser cobrado por barril de crudo a partir de que el transportador decida el período de recuperación de la inversión en los términos del Parágrafo 4o del artículo 7o de esta resolución y presente a la Dirección de Hidrocarburos el estudio que en el Parágrafo 2o mencionado se establece, debidamente aprobado por la autoridad ambiental competente. De satisfacerse estas condiciones, el valor unitario se calculará así:

Donde, FA es el costo que resulta del estudio mencionado, en dólares del primer año del período de n años de recuperación de la inversión y u* es la tasa de descuento definida arriba.
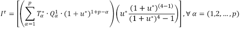
INGRESO ANUAL REAL.
<Fórmula modificada por el artículo 8 de la Resolución 31325 de 2015. El nuevo texto es el siguiente:>

Donde:
| Ip | Ingreso anual real |
| Definido en el artículo 8o de esta resolución. Los valores históricos de los años tarifarios Unidad: dólares del primer año del período en que regirá la tarifa. | |
| T1 | Tarifa equivalente para el trayecto |
| Es la tarifa que obtendría el transportador en el primer año del periodo tarifario vigente al aplicar la fórmula (1) del artículo 7o de esta resolución , utilizando los valores de las inversiones que efectivamente se desembolsaron o salieron de operación, los costos que justificadamente fueron sufragados y los volúmenes de crudo efectivamente transportados en cada año tarifario a del periodo tarifario vigente, con base en los valores que fueron presentados en los Informes anuales que señala el artículo 14 de esta resolución. | |
| Unidad: dólares del primer año del período en que rigió la tarifa por barril. | |
| Volumen efectivamente transportado en el año tarifario | |
| Es el volumen de crudo que fue efectivamente transportado en cada año del periodo tarifario vigente, con base en los valores que fueron presentados en los Informes anuales que señala el artículo 14 de esta resolución. | |
| Unidad: barriles de crudo por año tarifario. | |
| Factor anual de actualización tarifaria en el año tarifario | |
| Número entero consecutivo entre 1 y p, en que | |
| p | Número de años tarifarios del horizonte de proyección, será igual al número de años del periodo tarifario vigente, el cual fue de cuatro (4) años o aquellos que restaron de ese periodo, según el artículo 4o de esta resolución. |
| u* | Tasa de descuento antes de impuesto, calculada como |
| Correspondiente a la tasa de descuento del periodo tarifario en que rigió la tarifa. | |
| u | Tasa de descuento después de impuesto, conforme al parágrafo 2o del artículo 7o de esta resolución. |
| t | Tasa de impuesto de renta, de acuerdo con el parágrafo 2o del artículo 7o de esta resolución. |
INGRESO ANUAL PERCIBIDO.
<Fórmula modificada por el artículo 9 de la Resolución 31325 de 2015. El nuevo texto es el siguiente:>

Donde:
| It | Ingreso Anual Percibido | |
| Definido en el artículo 8o de esta resolución. | ||
| Unidad: dólares del primer año del período en que regirá la tarifa. | ||
| Ta * | Tarifa resultante para el trayecto en el año tarifario | |
| Es la tarifa resultante que obtuvo el transportador en cada año tarifario | ||
![]() | ||
| Siendo: | ||
| La Tarifa vigente del trayecto que fue fijada al inicio del primer año del período tarifario vigente definida en la fórmula anexa número 7 de esta resolución actualizada para cada año tarifario | ||
| Las condiciones monetarias del contrato de transporte que corresponden con el volumen efectivamente transportado del mismo contrato de transporte ,según el Balance volumétrico, para todos los contratos de transporte ejecutados en cada año tarifario | ||

| Los volúmenes efectivamente transportados para cada contrato de transporte según el Balance volumétrico, para todos los contratos de transporte ejecutados en cada año tarifario | ||
| Definido en la fórmula anexa número 5 de esta resolución. | ||
| Factor anual de actualización tarifaria en el año tarifario | ||
| Unidad: dólares del primer año del período en que regirá la tarifa. | ||
| Volumen efectivamente transportado | ||
| Definido en la fórmula anexa No. 5 de esta resolución. | ||
| Número entero consecutivo entre 1 y p, en que | ||
| p | Número de años tarifarios del horizonte de proyección, será igual al número de años del periodo tarifario vigente, el cual fue de cuatro (4) años o aquellos que restaron de ese periodo, según el artículo 4o de esta resolución. | |
| â | Número entero consecutivo entre a y p | |
| Tasa de descuento antes de impuesto, calculada como | ||
| u* | ||
| Correspondiente a la tasa de descuento del periodo tarifario en que rigió la tarifa. | ||
| u | Tasa de descuento después de impuesto, conforme al parágrafo 2o del artículo 7o de esta resolución. | |
| T | Tasa de impuesto de renta, de acuerdo con el parágrafo 2o del artículo 7o de esta resolución. | |
INGRESO ANUAL PROYECTADO.
<Fórmula modificada por el artículo 10 de la Resolución 31325 de 2015. El nuevo texto es el siguiente:>

Donde:
| Ingreso anual proyectado | |
| Definido en el artículo 8o de esta resolución. | |
| Los valores históricos de los años tarifarios | |
| Unidad: dólares del primer año del período en que regirá la tarifa. | |
| To | Tarifa vigente para el Trayecto |
| Es la tarifa que la Dirección de Hidrocarburos fijó en el primer año del periodo tarifario vigente, al aplicar la fórmula (1) del artículo 7o de esta resolución utilizando los valores de capital, costos y volumen de crudo que el transportador proyectó en el documento soporte de la tarifa que menciona el Parágrafo 1o del artículo 3o de la presente Resolución y el procedimiento de fijación de tarifas del artículo 6o ídem. | |
| Unidad: dólares del primer año del período tarifario en que rigió la tarifa por barril. | |
| Volumen proyectado en el año tarifario | |
| Es el volumen de crudo proyectado al inicio del periodo tarifario con el cual se fijó la Tarifa de transporte vigente, con base en el documento soporte de la tarifa que menciona el Parágrafo 1o del artículo 3o de la presente resolución y el procedimiento de fijación de tarifas del artículo 6o ídem. | |
| Unidad: barriles de crudo por año tarifario. | |
| Factor anual de actualización tarifaria en el año tarifario | |
| Número entero consecutivo entre 1 y p, en que | |
| p | Número de años tarifarios del horizonte de proyección, será igual al número de años del periodo tarifario vigente, el cual fue de cuatro (4) años o aquellos que restaron de ese periodo, según el artículo 4o de esta resolución. |
| u* | Tasa de descuento antes de impuesto, calculada como |
| Correspondiente a la tasa de descuento del periodo tarifario en que rigió la tarifa. | |
| u | Tasa de descuento después de impuesto, conforme al parágrafo 2o del artículo 7o de esta resolución. |
| t | Tasa de impuesto de renta, de acuerdo con el parágrafo 2o del artículo 7o de esta resolución. |
-------
<Fórmula original:
Las siguientes fórmulas corresponden al texto original de los respectivos anexos de esta norma y por su formato no pudieron ser incluidos dentro de la caja de Legislación Anterior:>

<FÓRMULA 1:>

<FÓRMULA 2>


