RESOLUCIÓN 40066 DE 2022
(febrero 11)
Diario Oficial No. 51.948 de 14 de febrero de 2022
MINISTERIO DE MINAS Y ENERGÍA
Por la cual se establecen requerimientos técnicos para la detección y reparación de fugas, el aprovechamiento, quema y venteo de gas natural durante las actividades de exploración y explotación de hidrocarburos.
EL MINISTRO DE MINAS Y ENERGÍA,
en uso de las facultades legales y en especial de las conferidas por el numeral 8 del artículo 2o del Decreto 381 de 2012, y
CONSIDERANDO:
Que el artículo 80 de la Constitución Política de Colombia establece que le corresponde al Estado planificar el manejo y aprovechamiento de los recursos naturales, para garantizar su desarrollo sostenible, su conservación, restauración o sustitución. Igualmente debe prevenir y controlar los factores de deterioro ambiental, imponer las sanciones legales y exigir la reparación de los daños causados.
Que el artículo 334 de la Constitución Política de Colombia indica que la dirección general de la economía estará a cargo del Estado. Por ende, el Estado interviene por mandato de la ley en la explotación de los recursos naturales, en el uso del suelo, en la producción, distribución, utilización y consumo de los bienes, y en los servicios públicos y privados, para racionalizar la economía con el fin de conseguir en el plano nacional y territorial, en un marco de sostenibilidad fiscal, el mejoramiento de la calidad de vida de los habitantes, la distribución equitativa de las oportunidades y los beneficios del desarrollo y la preservación de un ambiente sano.
Que el artículo 360 de la Constitución Política de Colombia hace referencia a la explotación de los recursos naturales no renovables y a las regalías que se causan a favor del Estado, como una contraprestación económica, sin perjuicio de cualquier otro derecho o compensación que se pacte. Igualmente establece que la ley determinará las condiciones para la explotación de los recursos naturales no renovables.
Que la Resolución 181495 de 2009 del Ministerio de Minas y Energía, por la cual se establecen medidas en materia de exploración y explotación de hidrocarburos, incluye en su artículo 1 el objetivo de maximizar su recuperación final y evitar su desperdicio.
Que de acuerdo con lo establecido en el numeral 8 del artículo 2o del Decreto 381 de 2012, es función del Ministerio de Minas y Energía expedir los reglamentos del sector para la exploración, explotación, transporte, refinación, distribución, procesamiento, beneficio, comercialización y exportación de recursos naturales no renovables y biocombustibles.
Que el artículo 2.2.1.1.1.5 del Decreto 1073 de 2015, por medio del cual se expide el Decreto Único Reglamentario del Sector Administrativo de Minas y Energía, indica que las actividades de exploración y explotación de hidrocarburos en yacimientos convencionales continentales y costa afuera deberán observar los estándares y normas técnicas nacionales e internacionales y especialmente las recomendadas por el AGA, API, ASTM, NFPA, NTCICONTEC, RETIE o aquellas que las modifiquen o sustituyan.
Que el artículo 2.2.1.1.1.6 del Decreto 1073 de 2015 hace referencia a que las actividades de exploración y explotación de hidrocarburos en yacimientos convencionales continentales y costa afuera se encuentran sujetas a las disposiciones relativas a la protección de los recursos naturales, del medio ambiente, de salubridad y de seguridad industrial, así como el Convenio 174 de la OIT y todos aquellos que los modifiquen.
Que el artículo 2.2.1.1.1.7 del Decreto 1073 de 2015 expresa que le corresponde al Ministerio de Minas y Energía revisar, ajustar y/o expedir las normas técnicas y procedimientos que en materia de exploración y explotación de hidrocarburos en yacimientos convencionales continentales y costa afuera. Estas normas deberán ser observadas por los operadores de bloques autorizados por la Agencia Nacional de Hidrocarburos y demás contratos vigentes o aquellos que se suscriban, aplicando las mejores prácticas y teniendo en cuenta los aspectos técnicos, operativos, ambientales y administrativos. Lo anterior, sin perjuicio del cumplimiento de las obligaciones de carácter ambiental establecidas por las autoridades competentes.
Que la Resolución 40295 de 2020 del Ministerio de Minas y Energía, por la cual se establecen los criterios técnicos para proyectos de exploración y explotación de hidrocarburos costa afuera en Colombia, estipuló que los interesados deben dar cumplimiento a las disposiciones, estándares y mejores prácticas de la industria, especialmente las señaladas en la resolución en mención o aquellas autorizadas previamente por la Entidad de Fiscalización. Igualmente indicó que el interesado está sujeto a las disposiciones ambientales, laborales, de seguridad y protección social, marítimas y demás leyes y reglamentaciones colombianas aplicables.
Que el artículo 15 de la Ley 10 de 1961 indica que se encuentra exento del pago de regalías el gas que se confine al yacimiento y el que se destine al consumo interno de la concesión en explotación. Así mismo, el parágrafo 1 del artículo 21 de la Ley 141 de 1994 establece que para efectos de liquidar la regalía por explotación de gas no se tendrá en cuenta el que se reinyecte a los yacimientos, ni el que se utilice para la operación del campo.
Que la Ley 1931 de 2018, por la cual se establecen directrices para el cambio climático, incluyó en los principios orientadores para su implementación y reglamentación, la autogestión y responsabilidad, de manera que las personas naturales o jurídicas, públicas o privadas, desarrollen acciones propias para contribuir a la gestión del cambio climático con arreglo a lo dispuesto en la ley y en armonía con las acciones desplegadas por las entidades públicas. Igualmente, deben contribuir al cumplimiento de los compromisos asumidos por el país en términos de cambio climático, así como adelantar acciones en el ámbito de sus competencias que garanticen la sostenibilidad de las generaciones futuras.
Que el Ministerio de Minas y Energía, mediante Resolución 40350 de 2021, modificó el Plan Integral de Gestión del Cambio Climático para el Sector Minero-Energético, con visión de carbono neutralidad al año 2050 -PIGCCme 2050, adoptado a través de la Resolución 40807 de 2018.
Que el numeral 2 del literal A) del artículo 7o de la Ley 2056 del año 2020, por la cual se regula la organización y el funcionamiento del Sistema General de Regalías, prevé, como parte de las funciones del Ministerio de Minas y Energía, establecer los lineamientos para el ejercicio de las actividades de conocimiento y cartografía geológica del subsuelo; de la exploración y explotación de recursos naturales no renovables; y de la fiscalización de la exploración y explotación de recursos naturales no renovables, procurando el aseguramiento y optimización de la extracción de los recursos naturales no renovables, así como en consideración de las mejores prácticas de la industria.
Que el artículo 14 de la Ley 2056 de 2020 expresa que el ciclo de generación de regalías y compensaciones comprende las actividades de fiscalización, liquidación, recaudo, transferencia, distribución y giros.
Que el artículo 3o de la Resolución 80412 de 1995 establece los formatos adoptados para los reportes volumétricos mensuales, entre los que se encuentran el formato 30 SEE “Informe Mensual sobre Producción, Plantas y Consumos de Gas Natural y procesado”, el cual debe ser modificado al no estar adaptado a las consideraciones técnicas estipuladas en la presente resolución.
Que, en cumplimiento a lo dispuesto en el numeral 8 del artículo 8o de la Ley 1437 de 2011, en concordancia con lo establecido en las Resoluciones 40310 y 41304 de 2017, el presente acto administrativo se publicó previamente en la página web del Ministerio de Minas y Energía durante los días 5 al 26 de agosto de 2021 y 4 al 10 de diciembre del 2021. Los comentarios recibidos fueron debidamente analizados y atendidos a través de la matriz resuelta y publicada en la página web oficial del Ministerio de Minas y Energía.
Que, con base en lo establecido en el artículo 4o del Decreto 2897 de 2010 reglamentario de la Ley 1340 de 2009, compilado por el Decreto 1074 de 2015, la Dirección de Hidrocarburos respondió el cuestionario establecido por la Superintendencia de Industria y Comercio para efectos de evaluar la incidencia sobre la libre competencia de los mercados. La respuesta al conjunto de preguntas fue negativa, en la medida en que el presente acto administrativo no plantea ninguna restricción indebida a la libre competencia.
Que, en cumplimiento a lo establecido en el artículo 2.1.2.1.11 del Decreto 1609 de 2015, en concepto emitido el 27 de diciembre de 2021, con radicado 20215010466991, la Directora de Participación, Transparencia y Servicio al Ciudadano del Departamento Administrativo de la Función Pública señaló que con la expedición de este acto administrativo no se constituye trámite alguno, teniendo en cuenta que las obligaciones se generan en virtud de la relación contractual de los operadores y la entidad de fiscalización, y se expide con base en la facultad establecida en el Código de Petróleos y en la Ley 2056 de 2020.
Que, en mérito de lo expuesto,
RESUELVE:
DISPOSICIONES GENERALES.
ARTÍCULO 1o. OBJETO. La presente resolución tiene por objeto establecer los lineamientos y requerimientos técnicos para la detección y reparación de fugas y el aprovechamiento de gas natural para evitar al máximo razonablemente posible la quema y el venteo durante las actividades de exploración y explotación de hidrocarburos.
ARTÍCULO 2o. ÁMBITO DE APLICACIÓN. Las disposiciones contenidas en la presente resolución aplican a todas las operaciones o actividades de exploración y explotación de hidrocarburos en áreas continentales y costa afuera ubicadas en el territorio nacional.
ARTÍCULO 3o. DEFINICIONES Y SIGLAS. <Artículo modificado por el artículo 1 de la Resolución 40317 de 2023. El nuevo texto es el siguiente:>
A) Definiciones: Para efectos de la presente resolución, además de las definiciones y siglas contenidas en el presente artículo, se tendrán en cuenta las señaladas en las normas que regulan la exploración y producción de hidrocarburos en Colombia.
1. Aprovechamiento de Gas Natural o Aprovechamiento. Se refiere a la actividad por medio de la cual se captan, se recolectan y/o se recuperan volúmenes de gas natural para darle uso, esto es, hacerlos útiles o productivos.
2. Área Contratada. Se refiere a la superficie y su proyección en el subsuelo identificada en la cual el Operador está autorizado para efectuar operaciones de exploración y explotación de hidrocarburos.
3. Buenas Prácticas de la Industria del Petróleo. Se refiere a las operaciones, procedimientos, métodos y procesos seguros, eficientes y adecuados, implementados para la obtención del máximo beneficio económico en la recuperación final de las reservas de hidrocarburos, la reducción de las pérdidas, la seguridad operacional, la protección del medio ambiente y de las personas, en el desarrollo de las actividades de exploración y explotación de hidrocarburos. Lo anterior, conforme a lo establecido en el artículo 6o de la Resolución número 181495 de 2009, modificado por el artículo 1o de la Resolución número 40048 de 2015, o la norma que la modifique o sustituya.
4. Componente. Para efectos de la presente resolución serán las válvulas, tuberías, conexiones, bridas, drenajes, empaques, instrumentos, escotillas, ventanillas, medidores, juntas de compresores, entre otros, que forman parte de un equipo, susceptibles de tener Fugas de Gas Natural.
5. Costo de Aprovechamiento. Es la sumatoria de los Costos de Inversión y los Costos de Operación de volúmenes de Gas Natural.
6. Costo de Inversión. Es el costo monetario que representa la adquisición de los activos o recursos necesarios para la puesta en marcha de uno o varios proyectos de aprovechamiento de volúmenes de gas natural.
7. Costo de Operación. Es el costo monetario que representa mantener el proyecto de aprovechamiento de gas natural en funcionamiento.
8. Entidad de Fiscalización. Es la entidad que por mandato de ley ejerce la función de fiscalización de hidrocarburos.
9. Equipos. Para efectos de esta resolución, entiéndase como equipos las bombas neumáticas, compresores, controles neumáticos, deshidratadores de glicol, líneas de flujo, equipos de quema y tanques, así como cualquier otro que dentro de sus funciones pudiera presentar Fugas de Gas Natural.
10. Estudio Técnico - Económico. Corresponde al estudio en el cual el Operador realiza la investigación y análisis de todas las alternativas posibles para el aprovechamiento del gas natural, evitando su Quema o venteo, en el cual se estima y se proyecta el flujo de efectivo, los Costos de Inversión y Operación y el valor presente neto de cada proyecto de Aprovechamiento de Gas Natural. Este estudio siempre debe tener como objetivo el uso y aprovechamiento del gas. Por ende, debe tener en cuenta todos los factores que inciden en la viabilidad del proyecto, como son: reservas, volumen disponible, calidad del gas natural, ubicación geográfica, Equipos con los que cuenta, el área de operación, cercanías a comunidades o centros poblados, comercios cercanos, infraestructura de desarrollo, nuevas oportunidades de aprovechamiento y nuevas tecnologías, entre otras.
11. Eventos No Planeados. Son las fallas de los equipos, instalaciones y facilidades que evidencian ineficiencia en su operatividad y que requieren de actividades de Mantenimiento Correctivo, con el fin de garantizar su normal funcionamiento.
12. Eventos Planeados. Son las actividades que el Operador proyecta, realiza y controla por medio de planes de mantenimiento preventivo, aplicando las Buenas Prácticas de la Industria del Petróleo en aras de mantener tanto la productividad de los pozos como la integridad, disponibilidad y eficiencia de los equipos, instalaciones y Facilidades.
13. Facilidades. Es el conjunto de estructuras, plantas industriales y equipos estacionarios dispuestos para un proceso productivo o comercial específico, incluyendo, entre otros, pozos para la exploración y explotación de hidrocarburos, líneas de recolección y estaciones de tratamiento y/o almacenamiento.
14. Facilidades Existentes. Son las facilidades que hayan sido construidas antes de la entrada en vigencia de la presente resolución.
15. Facilidades Nuevas. Son las facilidades construidas con posterioridad a la entrada en vigencia de la presente resolución y que no se consideran adiciones, adecuaciones, actualizaciones y/o mejoras a las Facilidades Existentes.
16. Fuga de Gas Natural. Es la liberación no intencional de gas natural a la atmósfera en una Facilidad de exploración y explotación, como resultado de la operación de componentes gastados, descompuestos, sueltos y Equipos que se encuentren emitiendo en exceso de su desempeño normal. Se considera una fuga cuando la cuantificación determine una concentración igual o mayor a 500 ppm de Gas Natural.
17. Gas Natural. De conformidad con lo establecido en el artículo 2o de la Ley 2128 de 2021 o la norma que la modifique o sustituya, es una mezcla de gases cuyo principal componente es el metano, seguido de otros gases como el etano, el dióxido de carbono y el vapor de agua, en pequeñas cantidades.
18. Gas Natural Asociado. Es el gas natural disuelto en petróleo en el yacimiento, cuya producción es afectada significativamente por la producción de petróleo.
19. Gas Natural de Venteo Intencional. Es la liberación intencional del Gas Natural Asociado generado por cambios de presión y/o por evaporación y agitación en los procesos de tratamiento y almacenamiento.
20. Gas Natural Económicamente Inviable. Son los volúmenes de gas natural producido sobre los que, luego de un Estudio Técnico-Económico, se evidencia que el costo del proyecto de Aprovechamiento del Gas Natural es mayor que el beneficio esperado.
21. Gases de Efecto Invernadero (GEI). Son aquellos componentes gaseosos de la atmósfera, de origen natural o antropogénico, que absorben y emiten la energía solar reflejada por la superficie de la tierra, la atmósfera y las nubes. Los principales gases de efecto invernadero son el dióxido de carbono (CO2), el óxido nitroso (N2O), el metano (CH4), los hidrofluorocarbonos (HFC), los perfluorocarbonos (PFC) y el Hexafluoruro de Azufre (SF6), conforme a lo señalado en la Ley 1931 de 2018.
22. Gun Barrel (tanque de lavado). Tanque atmosférico para el tratamiento del petróleo crudo, el cual puede incluir una bota externa para la separación y manejo de bajas cantidades de gas. Este tanque dispone de arreglos mecánicos internos para realizar la separación de agua y crudo por diferencia de gravedades, mediante el flujo de la producción a través de un colchón de agua.
23. Imprevistos. Suceso atribuido a causas diferentes a las operacionales con una severidad real o potencial de afectación.
24. Inspección Técnica Riesgosa. Es aquella inspección que sitúa al personal del Operador en situaciones de riesgo para llevar a cabo la revisión y verificación de equipos. Tales situaciones pueden ser actividades en altura, espacios confinados, equipos energizados, entre otros.
25. Línea Base. Es la primera cuantificación del volumen de las Fugas del Gas Natural que hace cada uno de los operadores de cada una de sus Facilidades, Equipos y Componentes, de conformidad con la presente resolución o las normas que la modifiquen, adicionen o sustituyan.
26. Mantenimiento. Son las actividades tendientes a lograr el adecuado funcionamiento de equipos, maquinarias, accesorios, entre otros, que se encuentran localizados en las Facilidades de producción de hidrocarburos.
27. Mantenimiento correctivo. Es el conjunto de Mantenimientos destinados a corregir los defectos que se van presentando en los distintos equipos.
28. Mantenimiento preventivo. Es el Mantenimiento que tiene por objeto, asegurar el correcto funcionamiento de los equipos, garantizando un nivel de servicio confiable y eficiente; este se desarrolla mediante un programa y tiene un carácter sistemático, es decir, se realiza de forma planeada, aunque el equipo no haya presentado daños o ineficiencias.
29. Operador. Persona jurídica individual o aquella responsable de dirigir y conducir las operaciones de exploración y evaluación, en cumplimiento de un contrato de evaluación técnica (TEA); de exploración, evaluación, desarrollo y producción de hidrocarburos, en ejecución de contrato de exploración y producción (E&P), o especial; la conducción de la ejecución contractual y de las relaciones con la ANH, así como de asumir el liderazgo y la representación del consorcio, unión temporal o sociedad constituida con motivo de la adjudicación o asignación, tratándose de contratistas plurales. Igualmente, se entenderá por operador la persona jurídica que, en el marco de un contrato de asociación, o de cualquier otra modalidad, suscrito con Ecopetrol S. A., sea responsable de conducir las actividades de exploración, evaluación, desarrollo y producción de hidrocarburos y de asumir la representación ante la Entidad de Fiscalización.
30. Operaciones en Pozos. Son, entre otras: pruebas de producción de pozos, pruebas piloto de pozos, producción de gas asociado y no asociado en pozos, terminación de pozos, descarga de líquidos en pozos exploratorios y de explotación y estimulación de pozos incluyendo la hidráulica e inyección de fluido de retorno, operaciones de Well Service, trabajos de reacondicionamiento de pozos y trabajos de abandono de pozos.
31. Plan de Optimización Operacional. Es el documento de planeación elaborado y presentado anualmente por el Operador y que debe plasmar los programas y proyectos que ejecutará para reducir los Eventos No Planeados.
32. Potencial de Emisión. Se considera como el volumen estándar por año emitido de Gas Natural a una probabilidad de tener una liberación a la atmosfera del 100% del flujo del volumen proveniente de la corriente de producción. Este potencial está expresado en unidades de metros cúbicos por año.
33. Programa de Quema de Gas Natural. Es el documento que contiene un conjunto de actividades que el Operador realizará para efectuar la Quema de Gas Natural de manera controlada y eficiente, previa aprobación de la Entidad de Fiscalización. El programa debe incluir como mínimo: nombre del bloque, área o campo; la descripción del motivo u origen de la Quema; la periodicidad de la Quema de Gas Natural (corta duración o anual); las fechas de inicio y terminación estimadas; los volúmenes estimados de gas natural por quemar; las características y composición del gas natural cuando aplique; el diseño del sistema de recolección y Quema y la viabilidad, alternativas y soportes para efectuar el Aprovechamiento del Gas Natural.
34. Quema de Gas Natural o Quema. Es la combustión controlada de hidrocarburos gaseosos a través de quemadores o Teas durante las actividades de exploración y explotación de hidrocarburos.
35. Quema de Gas Natural por Seguridad. Es la Quema de Gas Natural para evitar la formación de atmósferas explosivas y mantener el funcionamiento seguro de las instalaciones. Corresponde a la Quema del gas de purga y del gas de pilotos.
36. Quema Operacional de Gas Natural. Es la Quema de Gas Natural como consecuencia de Eventos Planeados, de Eventos No Planeados y de la Quema Rutinaria de Gas Natural.
37. Quema Rutinaria de Gas Natural. Es la Quema de Gas Natural que incluye la Quema de Gas por Seguridad y la Quema de Gas Natural Económicamente Inviable.
38. Tanques de Almacenamiento de Hidrocarburos. Son los recipientes hechos en acero bajo normas técnicas, que almacenan hidrocarburos líquidos y gaseosos y que resguardan de forma segura y controlada el producto bajo condiciones de temperatura y presión acordes al rango de operación y proceso. Pueden ser cilíndricos verticales, cilíndricos horizontales, geodésicos o esféricos.
39. Tea. Es el dispositivo para la combustión del gas.
40. Tea de Baja. Es el dispositivo para la combustión del gas proveniente de sistemas de alivio a bajas velocidades de flujo y presión.
41. Venteo Intencional de Gas Natural Asociado. Es la emisión a la atmosfera de hidrocarburos gaseosos de forma intencional durante las operaciones de recolección, tratamiento y almacenamiento de crudo.
B. Siglas:
1. API. American Petroleum Institute. Instituto Americano del Petróleo de Estados Unidos de América.
2. EPA. United States Environmental Protection Agency. Agencia de Protección Ambiental de Estados Unidos de América.
3. H2S. Ácido sulfhídrico.
4. KPCD. Miles de pies cúbicos por día.
5. ILAC. International Laboratory Accreditation Cooperation. Cooperación Internacional de Acreditación de Laboratorios.
6. MMPCD. Millones de pies cúbicos por día.
7. ONAC. Organismo Nacional de Acreditación de Colombia.
8. URV. Unidad recolectora de vapor.
9. OGI. Optical Gas Imaging. Imágenes Ópticas de Gases.
APROVECHAMIENTO DEL GAS NATURAL.
ARTÍCULO 4o. DESPERDICIO DE GAS NATURAL. Se prohíbe el desperdicio de gas natural durante las actividades de exploración y explotación de hidrocarburos. Se considera que existe desperdicio de gas natural cuando:
1. Exista uso ineficiente o inadecuado de volúmenes de gas;
2. La producción de gas exceda la capacidad disponible de facilidades de tratamiento, almacenamiento, transporte y comercialización;
3. No se utilice de manera adecuada en sistemas de levantamiento artificial o diferentes usos operacionales;
4. Se realice operaciones de despresurización del gas proveniente de anulares hacia la atmósfera, a excepción del que se realice por situaciones de seguridad que así lo requieran en aras de garantizar la integridad del pozo;
5. No exista aprovechamiento del volumen de gas natural que sea económicamente viable de ser utilizado.
PARÁGRAFO. No se considera desperdicio el volumen de gas que se quema por razones de seguridad o aquel que resulte Económicamente Inviable recuperar y utilizar conforme a lo señalado en esta Resolución.
ARTÍCULO 5o. APROVECHAMIENTO DEL GAS NATURAL. Al explotar un yacimiento de petróleo con Gas Natural Asociado, el Operador deberá propender por realizar su Aprovechamiento. Para estos efectos, deberá realizar estudios, evaluaciones y diseños necesarios de sus facilidades buscando implementar proyectos para la utilización del gas natural, ya sea mediante autoconsumo, comercialización, inyección, almacenamiento, operación, entre otras.
PARÁGRAFO. Todo proyecto de almacenamiento subterráneo de gas natural debe estar previamente autorizado por la Entidad de Fiscalización. Se deberá realizar una prueba de inyectividad para determinar la capacidad de inyección en los pozos, para lo cual será diligenciado previamente el Formulario 7 “Permiso para trabajos posteriores a la terminación oficial”.
LA QUEMA DE GAS NATURAL DURANTE LA EXPLORACIÓN Y EXPLOTACIÓN DE HIDROCARBUROS.
DURANTE LA EXPLORACIÓN DE HIDROCARBUROS.
ARTÍCULO 6o. QUEMA DE GAS NATURAL. Durante el desarrollo de la perforación exploratoria el Operador podrá quemar los volúmenes de gas que se produzcan como resultado de las siguientes actividades, de acuerdo con lo establecido en el presente capítulo:
1. Operaciones de control de pozo
2. Pruebas iniciales
3. Pruebas extensas
ARTÍCULO 7o. QUEMA DE GAS NATURAL DURANTE OPERACIONES DE CONTROL DE POZO. Toda quema de gas natural realizada durante las operaciones de control de pozo debe ser reportada por el Operador a la Entidad de Fiscalización, a más tardar dentro de las 24 horas posteriores a la terminación del evento en el reporte periódico ya establecido que resulte aplicable, indicando como mínimo la hora de inicio, la duración en horas, las causas y el volumen estimado de gas natural quemado.
ARTÍCULO 8o. QUEMA DE GAS NATURAL DURANTE PRUEBAS INICIALES PARA LOS POZOS EXPLORATORIOS Y DE AVANZADA. El Operador podrá quemar gas natural, de acuerdo con los términos aprobados por parte de la Entidad de Fiscalización, para la realización de las pruebas iniciales de producción.
PARÁGRAFO. La solicitud de permiso para quema de gas durante las pruebas iniciales deberá ser adjuntada al programa de prueba inicial del que trata el artículo 4o de la Resolución 40048 de 2015, o aquellas normas que la modifiquen o sustituyan.
ARTÍCULO 9o. QUEMA DE GAS NATURAL DURANTE LAS PRUEBAS EXTENSAS. El Operador podrá quemar gas natural en la etapa de pruebas extensas, que resulte como parte de las operaciones de producción del campo, para lo cual entregará a la Entidad de Fiscalización un Programa de Quema de Gas Natural, de acuerdo con el programa de desarrollo de las pruebas extensas. El Programa de Quema de Gas Natural debe desarrollarse en concordancia con el pronunciamiento de la Entidad de Fiscalización respecto a los términos y condiciones de la aprobación de la prueba extensa de producción.
Si el Operador solicita a la Entidad de Fiscalización la prórroga de las pruebas extensas, y en caso de que se considere necesario continuar con la quema de gas natural, se deberá actualizar el Programa de Quema de Gas Natural e incluir un Estudio Técnico - Económico sobre la viabilidad para adelantar proyectos de Aprovechamiento del Gas Natural en el corto y mediano plazo.
PARÁGRAFO 1o. Los volúmenes de Quema de Gas Natural que excedan el permiso que determine la Entidad de Fiscalización durante las pruebas extensas o prórrogas de esta causarán el pago de las regalías respectivas.
PARÁGRAFO 2o. La solicitud de permiso para Quema de Gas Natural durante las pruebas extensas deberá ser adjuntada a la solicitud de aprobación de pruebas extensas de la que trata el artículo 36 de la Resolución 181495 de 2009, o aquellas normas que la modifiquen o sustituyan.
PARÁGRAFO 3o. En el caso de las prórrogas de las pruebas extensas en operaciones costa afuera y considerando las condiciones particulares de este tipo de proyectos, el Operador deberá presentar ante la autoridad de Fiscalización un programa de implementación de alternativa técnica y económicamente viable de Aprovechamiento de Gas Natural, que deberá ser puesta en marcha en el tiempo aprobado por la autoridad de Fiscalización.
DURANTE LA EXPLOTACIÓN DE HIDROCARBUROS.
ARTÍCULO 10. QUEMA OPERACIONAL DE GAS NATURAL. El Operador podrá realizar la Quema Operacional de Gas Natural, siempre que cuente con autorización de la Entidad de Fiscalización. Para obtener dicha autorización, el Operador debe presentar con la debida anticipación la solicitud de permiso anual de quema al que se refiere el artículo 18 adjunto al Programa de Quema de Gas Natural y en el que se deben discriminar los volúmenes aproximados de Quema Rutinaria de Gas Natural y los volúmenes estimados de Quemas provenientes de Eventos Planeados y de Eventos No Planeados.
ARTÍCULO 11. QUEMA RUTINARIA DE GAS NATURAL. Los volúmenes correspondientes a la Quema Rutinaria de Gas Natural deben estar plenamente justificados, de conformidad con lo establecido en los artículos 14 y 15. La quema del Gas Económicamente Inviable se deberá sustentar, de conformidad con lo establecido en el artículo 16.
ARTÍCULO 12. QUEMA DE GAS NATURAL POR EVENTOS PLANEADOS. El Operador podrá quemar volúmenes de gas natural por Eventos Planeados, siempre que se incluyan en la solicitud de permiso de quema anual. Tal solicitud debe incluir información detallada del programa de Mantenimiento Preventivo, la descripción de la causa (s), los equipos por intervenir, la estimación de los volúmenes de Quema y las fechas y duración de cada mantenimiento.
ARTÍCULO 13. QUEMA DE GAS NATURAL POR EVENTOS NO PLANEADOS. En el caso de que se presenten volúmenes de quema de gas natural por Eventos No Planeados, estos deberán ser estimados y justificados en el permiso anual de quema de gas natural al que se refiere el artículo 18, con base en la estadística de eventos no planeados presentados durante el año inmediatamente anterior, con un Plan de Optimización Operacional y un Estudio Técnico - Económico que permita asegurar la eliminación de la quema en el corto plazo.
ARTÍCULO 14. VOLUMEN DE QUEMA DE GAS DE PURGA. Para determinar el volumen de quema de gas de purga, se tomará la información entregada por el fabricante de la Tea; en el caso de que no tenga, deberá ser estimada mediante cálculo matemático.
Para efectos del cálculo matemático se hará por el Método de Flotabilidad, ecuación G.4 API STD 537 o aquella que la actualice o sustituya, en donde para teas con alturas mayores a 25 pies y concentración máxima de oxígeno del 6%, se simplifica en la siguiente ecuación:
Q: Gas de purga (en pies cúbicos estándar por hora).
![]()
Donde:
D: Diámetro de la Tea, pulgadas.
K: Sumatoria composicional.
![]()
Ci: Fracción en volumen de componente i, determinado por la cromatografía del gas, expresado en número entero con dos decimales.
Ki: Constante por la componente i (ver la siguiente tabla).
Valores de Ki por componente.
| Componente | Ki |
| Hidrógeno | +5,783 |
| Helio | +5,078 |
| Metano | +2,328 |
| Nitrógeno | +1,067 (sin viento) |
| Nitrógeno | +1,707 (con una velocidad del viento de 7 m/s aproximadamente) |
| Etano | -1,067 |
| Propano | -2,651 |
| CO2 | -2,651 |
| C4+ | -6,586 |
PARÁGRAFO. En caso de no resultar aplicable el modelo matemático estipulado en este artículo debido a condiciones composicionales del gas, el Operador deberá sustentar tales condiciones y proponer al ente de fiscalización una metodología alternativa para la justificación de este volumen. El ente de fiscalización deberá pronunciarse aceptando o no la sustentación ofrecida por el Operador y la metodología propuesta, dentro de los 30 días hábiles siguientes a la solicitud allegada por el Operador.
ARTÍCULO 15. VOLUMEN DE QUEMA DE GAS DE PILOTOS. Para la determinación del volumen de quema de gas de pilotos se tomará la información entregada por el fabricante de la Tea, en el caso de que no tenga, deberá ser estimada mediante cálculo matemático.
Para efectos del cálculo matemático se utilizará el método establecido por EPA “Flare Cost Manual, Chapter 7 - 2019”, o aquella que la actualice o sustituya, conforme a la siguiente ecuación:
![]()
Donde:
Fpi: Volumen de gas de los pilotos en miles de pies cúbicos por año.
Qi: Consumo promedio de gas basado en el diseño del quemador del piloto (si no se conoce el consumo promedio, use 70 Pies cúbicos estándar por hora).
N: Número de pilotos.
top: 8760 horas por año.
10-3: Factor de conversión KPC/PC.
El factor Qi (Consumo promedio de gas) se debe corregir de acuerdo con la siguiente ecuación:
![]()
Con respecto al número de pilotos, este se obtiene de la siguiente tabla.
| Número de pilotos | Diámetro boquilla de la Tea (pulgadas) |
| 1 * | 1-10 |
| 2 | 12-24 |
| 3 | 30-60 |
| 4 | >60 |
Si el gas es tóxico, el número de pilotos debe ser dos.
ARTÍCULO 16. VOLUMEN DE QUEMA DE GAS NATURAL ECONÓMICAMENTE INVIABLE. <Artículo modificado por el artículo 2 de la Resolución 40317 de 2023. El nuevo texto es el siguiente:> Para efectos de sustentar un volumen de quema de Gas Natural Económicamente Inviable, el Operador deberá presentar un Estudio Técnico - Económico el cual debe considerar como mínimo la información y observaciones descritas en el siguiente cuadro:

PARÁGRAFO 1o. El Estudio Técnico-Económico debe ser actualizado anualmente y será parte de la información requerida para la renovación del permiso anual de quema de gas natural al que se refiere el artículo 20.
PARÁGRAFO 2o. Se podrá presentar un solo Estudio Técnico-Económico que contenga el análisis de varios campos de un mismo Operador que compartan condiciones geográficas y operacionales similares.
PARÁGRAFO 3o. Los operadores que compartan condiciones geográficas y operacionales similares podrán acordar la presentación de uno o varios Estudios Técnico-Económicos que contengan el análisis de los respectivos campos, para contar con las oportunidades de aprovechamiento conforme a lo establecido en el presente artículo.
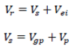
ARTÍCULO 17. VOLUMEN MÁXIMO DE QUEMA OPERACIONAL DE GAS NATURAL. El volumen máximo de Quema Operacional de Gas Natural (Vmqo) está definido por la siguiente ecuación:
![]()
Vr: Volumen de quema rutinaria de gas natural.
Vvi: Volumen de venteo intencional recolectado para quema.
Vep: Volumen de quema de gas natural por eventos planeados.
Venp: Volumen de quema de gas natural por eventos no planeados.
F: Factor que comprende eficiencia y reducción de quema en el tiempo.
Donde:

Vs: Volumen de quema de gas natural por seguridad.
Vei: Volumen de quema de gas natural económicamente inviable.
Vgp: Volumen de quema de gas natural de purga.
Vp: Volumen de quema de gas natural de pilotos.
El volumen de quema de gas natural de los Eventos No Planeados será calculado con base en los Eventos No Planeados presentados durante el año anterior y está afectado por un factor que comprende dos estimativos: uno de eficiencia y otro de reducción de Quema en el tiempo.
El volumen de venteo intencional recolectado para quema será determinado en concordancia con lo estipulado en los artículos 39 y 40 de la presente resolución.
Factor de eficiencia: es el resultado de dividir el volumen de Quema de Gas Natural de los Eventos No Planeados sobre la suma total del gas por quemar.
Factor de reducción de quema de gas natural en el tiempo: corresponde a la reducción porcentual de la Quema de Gas Natural de los Eventos No Planeados durante un tiempo.
Por lo anterior, el factor está dado por la siguiente ecuación:
![]()
Fe: Factor de eficiencia.
Tr: Factor de reducción de quema de gas natural en el tiempo.
Donde:
![]()
El factor de reducción de Quema de Gas Natural en el tiempo, que contempla un año de transición (0) y un horizonte máximo de cinco (5) años, se relaciona en la siguiente tabla.
| Año | Tr |
| 0 | 1 |
| 1 | 0,80 |
| 2 | 0,60 |
| 3 | 0,40 |
| 4 | 0,20 |
| 5 | 0 |
ARTÍCULO 18. PERMISO ANUAL DE QUEMA DE GAS NATURAL. Durante la explotación de hidrocarburos el Operador deberá solicitar el permiso anual de quema de gas ante la Entidad de Fiscalización con mínimo 30 días calendario de antelación al inicio de la operación o previo al vencimiento del permiso vigente.
La solicitud del permiso anual para la Quema de Gas Natural contendrá como mínimo la siguiente información y deberá soportarse con el Programa de Quema de Gas Natural:
1. Causa y justificación de la Quema de Gas Natural.
2. Volumen máximo de gas natural por quemar determinado conforme al artículo 17 de la presente resolución.
3. Volumen estimado del gas de seguridad, soportado mediante memoria de cálculo o valores establecidos por el proveedor.
4. Volumen estimado del Gas Natural Económicamente Inviable sustentado con su respectivo Estudio Técnico-Económico.
5. Volumen estimado del gas de Eventos Planeados soportados bajo un plan de mantenimiento.
6. En el caso de que presente volumen de gas por Eventos No Planeados, deben ser debidamente justificados con la entrega de un Plan de Optimización Operacional.
7. Volumen estimado del gas proveniente de venteo intencional recolectado para quema soportado mediante los cálculos respectivos.
8. Alternativas y soportes para efectuar Aprovechamiento del gas, cuando aplique.
La Entidad de Fiscalización puede solicitar información adicional o ampliación de esta dentro de los 7 días calendario posteriores a la recepción de la solicitud, con el fin de evaluar el requerimiento y dar respuesta otorgando o no el permiso y los términos y condiciones de este. En todo caso, la Entidad de Fiscalización deberá dar respuesta definitiva sobre la solicitud dentro de los 30 días calendario posteriores a la recepción de la solicitud inicial.
En todo caso, los volúmenes de Quema de Gas Natural que excedan el permiso que determine la Entidad de Fiscalización causarán el pago de las regalías respectivas.
ARTÍCULO 19. PERMISO PUNTUAL DE QUEMA DE GAS NATURAL. Si durante el periodo de explotación de hidrocarburos se requiera solicitar un permiso puntual de quema de gas natural debido a imprevistos por, manejo de gas o situaciones excepcionales atribuibles a causas diferentes a las operacionales, el Operador puede solicitarlo ante la Entidad de Fiscalización.
Para el permiso puntual de quema de gas natural el Operador indicará: la causa y consecuencia del Imprevisto, la ubicación, la descripción del trabajo por realizar, la duración de la actividad de reparación y los volúmenes estimados de Quema. La Entidad de Fiscalización dará respuesta precisando los términos y condiciones del permiso.
PARÁGRAFO. En caso de que se presenten imprevistos y el Operador se vea en necesidad de efectuar una quema de gas natural, deberá reportarlo a la Entidad de Fiscalización dentro de las 24 horas siguientes a la finalización de dicho evento en el reporte periódico que resulte aplicable.
ARTÍCULO 20. AJUSTES O MODIFICACIONES A LOS PERMISOS DE QUEMA DE GAS NATURAL. La Entidad de Fiscalización podrá ajustar o modificar los permisos anuales y puntuales de quema de gas natural, previa solicitud del Operador debidamente justificada, cuando se presente alguna de las siguientes circunstancias:
1. Modificación de las condiciones operacionales sobre las cuales se realizó el programa de quema de gas natural y, por ende, se afecte el cálculo del permiso inicialmente solicitado.
2. Cambio de las condiciones asociadas con los Eventos Planeados.
SOBRE EL MANEJO DE LA QUEMA DE GAS NATURAL.
ARTÍCULO 21. CONDICIONES ASOCIADAS A LA QUEMA DEL GAS NATURAL. Durante las pruebas de producción de pozos exploratorios, el Operador debe garantizar las condiciones asociadas a la Quema del Gas Natural, mediante el uso de equipos que garanticen una combustión eficiente del volumen por quemarse, en línea con las Buenas Prácticas de la Industria del Petróleo.
En la línea de gas a la salida del separador se deberá incluir un tambor separador de líquidos cuando las condiciones operativas así lo ameriten con el fin de recolectar los líquidos presentes. Lo anterior, con el fin de mejorar las condiciones del gas que va para la Tea.
ARTÍCULO 22. SOBRE LA EFICIENCIA DE LA TEA. <Artículo modificado por el artículo 3 de la Resolución 40317 de 2023. El nuevo texto es el siguiente:> El Operador deberá realizar anualmente la medición de la eficiencia del proceso de Quema de Gas Natural de las teas del campo que se encuentre en producción y deberá demostrar la conformidad de la medición de eficiencia de las teas a través de un informe de inspección expedido por un organismo de inspección acreditado por el ONAC o por un organismo de acreditación miembro de ILAC bajo la norma NTC-ISO/IEC 17020 con alcance a los lineamientos técnicos, incluida la eficiencia mínima y la metodología que establezca la Entidad de Fiscalización. Dicho informe de inspección deberá ser reportado a la Entidad de Fiscalización anualmente, a través del informe de resultados que este establezca, dentro de los 30 días calendario posteriores a dicha inspección.
La Entidad de Fiscalización, a más tardar el 31 de octubre de 2023, establecerá los lineamientos técnicos, incluida la eficiencia mínima y la metodología de que trata el inciso anterior, tanto para la evaluación de la eficiencia de la Tea como para la presentación del informe de resultados, en concordancia con estándares internacionales y mejores prácticas aplicables a la materia.
Producto de la totalidad de las mediciones de eficiencia, obtenidas por cada Tea, entregadas por los operadores, la Entidad de Fiscalización determinará los rangos aceptables para la línea base nacional de la eficiencia de la Tea para el cumplimiento del presente artículo. La línea base nacional se tomará como referencia para las siguientes mediciones de la eficiencia del proceso de Quema de Gas Natural. La Entidad de Fiscalización emitirá comunicado con los rangos aceptables de la eficiencia de la Tea dentro de los 3 meses contados a partir de la fecha de radicación del primer informe de resultados por parte del Operador.
Para la determinación de la eficiencia de la Tea se utilizará la mejor tecnología disponible para el monitoreo de la llama, como cámaras especiales para establecer la generación de humos por la quema de hidrocarburos líquidos o drones de medición de emisiones para comprobar el estado del sistema de ignición de pilotos o cualquier otra tecnología que la Entidad de Fiscalización autorice.
En el caso que se encuentren anomalías o condiciones que afecten la eficiencia de la Tea o se requiera una actualización tecnológica, el Operador deberá reportarlo de manera inmediata a la Entidad de Fiscalización mediante comunicación escrita. Así mismo, dentro de los 30 días calendario posteriores, deberá presentar un plan de corrección, reparación o actualización tecnológica, en el cual determinará el periodo de implementación de las medidas correctivas necesarias para dar cumplimiento a los lineamientos de eficiencia en Teas establecidos por la Entidad de Fiscalización.
La Entidad de Fiscalización aprobará o rechazará el plan de corrección en un plazo no mayor a 30 días calendario después de recibirlo y, también podrá emitir recomendaciones. El periodo de implementación no excederá los 12 meses a partir de la aprobación del plan de corrección. No obstante, la Entidad de Fiscalización podrá prorrogar dicho plazo hasta por 6 meses siempre que exista una justificación por parte del Operador que así lo amerite.
PARÁGRAFO 1o. La medición de la eficiencia del proceso de Quema de Gas Natural podrá hacerse directamente por los operadores siempre y cuando estén acreditados como organismo de inspección Tipo B acreditado ante el ONAC bajo la norma NTC-ISO/IEC 17020 o por un organismo de acreditación internacional miembro de ILAC, de acuerdo con los lineamientos técnicos que establecerá la Entidad de Fiscalización y que se refieren en el inciso primero del presente artículo.
PARÁGRAFO 2o. El primer informe de resultados de eficiencia del proceso de Quema de Gas Natural se deberá entregar a la Entidad de Fiscalización durante los 12 meses posteriores a la existencia en el territorio nacional del primer organismo de inspección Tipo A o Tipo B acreditado por el ONAC o por un organismo de acreditación miembro de ILAC bajo la norma NTC-ISO/IEC 17020, quienes deberán elaborar el informe que presentará el Operador. El mencionado término será susceptible de prórroga, previa aprobación de la Entidad de Fiscalización.
PARÁGRAFO 3o. No obstante lo anterior, los operadores deberán demostrar la conformidad de la medición de la eficiencia del proceso de Quema de Gas Natural, dentro de los 12 meses posteriores a la expedición de los lineamientos técnicos y la metodología que establezca la Entidad de Fiscalización, a través de una declaración de primera parte de acuerdo con los requisitos establecidos en la norma NTC-ISO/IEC 17050, hasta tanto se acrediten ante el ONAC organismos de inspección Tipo A o Tipo B bajo la norma NTC-ISO/ IEC 17020 u organismos de acreditación internacional, miembro de ILAC con alcance a los mencionados lineamientos técnicos y metodologías que se refieren en el inciso primero del presente artículo.
ARTÍCULO 23. QUEMA DE GAS QUE CONTENGA ÁCIDO SULFHÍDRICO (H2S). <Artículo modificado por el artículo 4 de la Resolución 40317 de 2023. El nuevo texto es el siguiente:> El Operador deberá considerar en sus diseños de Facilidades la instalación de equipos y/o procedimientos como lavadores de gases (scrubber) y otros métodos correctivos que traten el compuesto del ácido sulfhídrico (H2S) de la corriente de gas de quema. Lo anterior, atendiendo las disposiciones ambientales, de seguridad y salud en el trabajo vigentes y aplicables en la materia, además de las establecidas por las Buenas Prácticas de la Industria del Petróleo.
ARTÍCULO 24. MEDICIÓN Y REPORTE DE LOS VOLÚMENES DE QUEMA DE GAS NATURAL. <Artículo modificado por el artículo 5 de la Resolución 40317 de 2023. El nuevo texto es el siguiente:> Todos los volúmenes de Gas Natural deben ser cuantificados y reportados por el Operador mensualmente a la Entidad de Fiscalización, a través de la Forma 30 DH adjunta a la presente resolución o aquella que determine el Ente de Fiscalización para tal efecto.
VENTEO INTENCIONAL DE GAS NATURAL ASOCIADO DURANTE LA EXPLORACIÓN Y EXPLOTACIÓN DE HIDROCARBUROS.
DURANTE LA EXPLORACIÓN DE HIDROCARBUROS.
ARTÍCULO 25. VENTEO INTENCIONAL DE GAS NATURAL ASOCIADO EN ETAPA DE EXPLORACIÓN. El Operador debe evitar el Venteo Intencional de Gas Natural Asociado en la etapa de exploración mediante el Aprovechamiento del mismo o mediante la recolección y quema controlada.
ARTÍCULO 26. VENTEO INTENCIONAL DE GAS NATURAL DURANTE LA PERFORACIÓN EXPLORATORIA. Durante la perforación exploratoria se debe evitar el Venteo Intencional de Gas Natural como actividad rutinaria. En caso de que se presenten eventos operacionales o de seguridad que lo requieran, el Operador puede efectuar el venteo y deberá reportarlo a la Entidad de Fiscalización dentro de las veinticuatro (24) horas siguientes a la terminación del evento en el reporte periódico que resulte aplicable.
ARTÍCULO 27. VENTEO INTENCIONAL DE GAS NATURAL ASOCIADO DURANTE PRUEBAS INICIALES Y PRUEBAS EXTENSAS DE PRODUCCIÓN. Con el fin de evitar el Venteo Intencional de Gas Natural asociado durante las pruebas iniciales de producción, el Operador deberá contar con:
1. Facilidades tempranas de producción, con la instalación de una Tea de Baja conectada a los respiraderos de los tanques y a la bota del Gun Barrel (si es el caso), con sus respectivos equipos de seguridad.
2. Equipos y/o mecanismos que filtren, limpien y traten el contenido de H2S, si se evidencia la presencia de este.
PARÁGRAFO. Antes de la finalización del primer período autorizado de la prueba extensa de producción, el Operador entregará a la Entidad de Fiscalización el Estudio Técnico - Económico para el Aprovechamiento del Gas Natural y un informe de las alternativas mencionadas en este, con el fin de reducir el Venteo Intencional de Gas Natural.
ARTÍCULO 28. CUANTIFICACIÓN DEL GAS NATURAL DE VENTEO INTENCIONAL. Cuando se presenten situaciones excepcionales en donde el Operador deba realizar venteos intencionales, se cuantificarán y se reportarán los volúmenes con la justificación respectiva.
Para la cuantificación de dichos volúmenes se hará uso de la metodología API 2009 que se describe en el Anexo 1 de la presente resolución. Si las pruebas extensas se prorrogan por más de un (1) año, el Operador también tendrá la posibilidad de cuantificar el gas mediante la metodología EPA que se describe en el Anexo 2 de la presente resolución o la que la modifique, actualice o remplace, una vez cuente con la información necesaria para su aplicación.
PARÁGRAFO 1o. La metodología de cálculo API 2009 del Anexo 1 de la presente resolución aplica para el cálculo diario del gas en solución (Rus), que por cambios de presión y temperatura dentro de su proceso de tratamiento realiza una liberación espontánea del gas contenido en el líquido.
PARÁGRAFO 2o. La metodología de cálculo EPA del Anexo 2 de la presente resolución aplica para el cálculo del gas producido por efectos de movilidad y almacenaje del petróleo crudo dentro de los tanques para un periodo anual.
ARTÍCULO 29. REPORTE DEL GAS NATURAL DE VENTEO INTENCIONAL. <Artículo modificado por el artículo 6 de la Resolución 40317 de 2023. El nuevo texto es el siguiente:> El Operador deberá informar a la Entidad de Fiscalización sobre todo el volumen de gas de Venteo Intencional cuantificado durante las pruebas iniciales y las pruebas extensas.
El reporte diario correspondiente a las pruebas iniciales y a las pruebas extensas deberá incluir el volumen de gas de Venteo Intencional. En el reporte volumétrico mensual que el Operador entrega a la Entidad de Fiscalización mediante la Forma 30 DH adjunta a la presente resolución o aquella que determine la Entidad de Fiscalización para tal efecto, se incluirá el consolidado volumétrico de los reportes diarios sobre Venteo Intencional.
DURANTE LA EXPLOTACIÓN DE HIDROCARBUROS.
ARTÍCULO 30. VENTEO INTENCIONAL DE GAS NATURAL ASOCIADO EN ETAPA DE EXPLOTACIÓN. Durante la explotación de hidrocarburos está prohibido el Venteo Intencional de Gas Natural Asociado y, por ende, debe ser recolectado para su Aprovechamiento o quema controlada cuando las condiciones técnicas o económicas impidan su utilización en diferentes procesos. Cuando se presenten situaciones o eventos en donde el Operador deba realizar Venteos Intencionales durante las operaciones de tratamiento y almacenamiento de crudo, se cuantificarán y reportarán dichos volúmenes en los respectivos informes sobre actividades de producción de los que trata el artículo 9o de la Resolución 40048 de 2015 o la norma que la modifique o sustituya que resulten aplicables, con la justificación respectiva.
ARTÍCULO 31. GESTIÓN PARA EL APROVECHAMIENTO DEL GAS NATURAL DE VENTEO INTENCIONAL. <Artículo modificado por el artículo 7 de la Resolución 40317 de 2023. El nuevo texto es el siguiente:> El Operador, para evitar el venteo de Gas Natural Asociado, deberá optar por el Aprovechamiento. Con el fin de definir las alternativas de Aprovechamiento del Gas Natural Asociado, el Operador debe:
1. Determinar las principales fuentes de Venteo Intencional de Gas Natural Asociado, tales como tanques de almacenamiento, Gun Barrel, botas de gas, anulares, entre otros, exceptuando aquellos equipos que por seguridad emitan a la atmósfera Gas Natural para mantener la integridad.
2. Cuantificar los volúmenes de gas de Venteo Intencional de Gas Natural Asociado, de acuerdo con el método establecido en el artículo 39 de la presente resolución con el fin de evaluar técnica y económicamente las alternativas y tecnologías que pueden ser aplicadas.
3. Planear, realizar los trámites y modificaciones requeridas para la implementación del proyecto de aprovechamiento del Gas Natural Asociado proveniente de los venteos intencionales, de conformidad con lo establecido en los artículos 32 y 33 de la presente resolución.
ARTÍCULO 32. APROVECHAMIENTO DEL GAS NATURAL DE VENTEO INTENCIONAL. El Operador, con el fin de aprovechar el Gas de Venteo Intencional de los tanques, Gun Barrel, bota de gas, anulares, entre otros, deberá recolectarlo y utilizarlo en cualquiera de las operaciones de la cadena de procesos (autogeneración, consumo, inyección o venta), mediante la aplicación de equipos, tecnología y de acuerdo con las buenas prácticas que deben ser aplicadas.
Las facilidades de producción que se encuentren en operación a la entrada en vigor de la presente resolución y que no cuenten con conexiones necesarias para el Aprovechamiento del Gas Natural de venteo o para su conducción a un sistema de tea, deberán realizar las adecuaciones requeridas para tal fin en un término de 24 meses, contado a partir de la expedición de la presente resolución.
PARÁGRAFO 1o. Para los nuevos proyectos de explotación, el Operador deberá considerar en el diseño y construcción de sus facilidades de producción, los equipos y procedimientos necesarios para poder Aprovechar el Gas Natural provenientes del venteo de todos los equipos de la facilidad de producción.
PARÁGRAFO 2o. Cuando por razones técnicas o económicas no sea posible la utilización del gas natural de venteo intencional en cualquiera de las operaciones de la cadena de procesos, este deberá ser recolectado y quemado en concordancia con lo indicado en el artículo 33.
PARÁGRAFO 3o. Previa solicitud del operador, la Autoridad de Fiscalización podrá, realizando la evaluación respectiva, ampliar por una sola vez los plazos estipulados para realizar las conexiones necesarias para el Aprovechamiento de Gas Natural de venteo o para su conducción a un sistema de Tea en facilidades existentes.
ARTÍCULO 33. RECOLECCIÓN DEL GAS NATURAL DE VENTEO INTENCIONAL EN LOS TANQUES DE ALMACENAMIENTO. Como medida de seguridad operacional y como mitigación de emisiones de gas natural, los tanques de almacenamiento de crudo no pueden tener respiraderos abiertos hacia la atmósfera, y deben estar conectados a un sistema de recolección o a una Tea de Baja para la quema, cumpliendo con la normativa técnica, para la conservación de la integridad del tanque por efectos de vacío.
Las facilidades de producción que se encuentren en operación y cuyos respiraderos estén abiertos hacia la atmósfera tendrán el mismo plazo estipulado en el artículo 32 para realizar las modificaciones respectivas.
CONDICIONES ESPECIALES SOBRE EL VENTEO INTENCIONAL DE GAS NATURAL ASOCIADO DURANTE LA EXPLORACIÓN Y EXPLOTACIÓN.
ARTÍCULO 34. CONDICIONES ESPECIALES PARA EL VENTEO INTENCIONAL DE GAS NATURAL ASOCIADO. Si el Operador no logra evitar el venteo intencional de gas natural asociado y por ende se ve en la necesidad de realizar emisiones al aire, solo podrá realizarlo si se presenta alguno de los siguientes eventos:
1. En caso de emergencia que requiera realizar la emisión de los gases hacia la atmósfera; para lo cual, deberá informar a la Entidad de Fiscalización 24 horas después de terminada la emergencia en el reporte periódico aplicable.
2. Por condiciones específicas que se presenten durante el cumplimiento del programa de mantenimiento preventivo de la facilidad, para lo cual deberá informar 24 horas después de ocurrido el evento a la entidad de fiscalización en el reporte periódico ya establecido que resulte aplicable.
3. Cuando el volumen de gas asociado esté por debajo del necesario para mantener el piloto encendido de una tea de baja.
SOBRE EL MANEJO DEL GAS NATURAL DE VENTEO INTENCIONAL.
ARTÍCULO 35. TECNOLOGÍA DE RECOLECCIÓN DE VAPORES. Para efectos de evitar el venteo de Gas Natural Asociado, los Operadores podrán contar con equipos para la recuperación de vapores de acuerdo con las características del proceso y las facilidades de cada campo u otras tecnologías equivalentes, que sean consideradas una Buena Práctica en la Industria del Petróleo o cualquier otra que la Entidad de Fiscalización apruebe.
Los Equipos de recuperación de vapores deberán ser operados de tal manera que se garantice la recuperación del mayor volumen posible de vapores, de acuerdo con las características operacionales del proyecto, y que este sea dirigido a un sistema de transferencia, autoconsumo o conservación o bien a un sistema de procesamiento, para su uso o comercialización, de conformidad con la normativa vigente y aplicable. Cuando no sea posible aplicar las opciones anteriores, dichos equipos deberán dirigir las emisiones a un sistema de Tea de baja presión.
Estos equipos deberán salir de operación solamente cuando se realicen trabajos de mantenimiento programado o reparaciones de acuerdo con las recomendaciones del fabricante. Asimismo, cualquier equipo de recuperación de vapores utilizado en una Facilidad de producción, deberá identificarse indicando la siguiente información:
1. Identificación del Equipo o Equipos en el que se encuentra instalado el Equipo de Conservación de Vapores.
2. Registro de los volúmenes recuperados para determinar la eficiencia del equipo.
3. Programas de mantenimiento realizados al equipo.
4. Descripción de hallazgos.
5. Acciones correctivas realizadas.
6. Volumen de gases y vapores no controlados durante el mantenimiento en caso de que esto se presente.
ARTÍCULO 36. TEA DE BAJA PARA LA QUEMA DE GAS DE VENTEO RECOLECTADO. Para la quema de los gases de venteo recolectados de los tanques y de la bota de gas del Gun Barrel, el Operador deberá instalar una Tea de Baja, o direccionar el volumen recolectado al sistema disponible en el campo para la quema de gas, de acuerdo con la normativa técnica y las condiciones de seguridad requeridas para su operación.
ARTÍCULO 37. SOBRE LA FORMA DE MINIMIZAR LA CAÍDA DE PRESIÓN PARA RECOLECTAR MÁS GAS NATURAL DE VENTEO INTENCIONAL. Cuando las condiciones operacionales así lo permitan, el Operador debe instalar una bota de gas antes de los tanques de fiscalización en caso de que no cuente con este equipo en el Gun Barrel, de esta forma minimizará la caída de presión desde el separador trifásico hacia los tanques de almacenamiento, recolectando mayor gas de venteo.
CUANTIFICACIÓN Y REPORTES DEL VENTEO INTENCIONAL DE GAS NATURAL ASOCIADO RECOLECTADO.
ARTÍCULO 38. CUANTIFICACIÓN DEL GAS NATURAL DE VENTEO INTENCIONAL QUE SE RECOLECTE. Todo gas que se recolecte para evitar el Venteo Intencional deberá ser cuantificado, ya sea por medición directa o por cálculo matemático.
ARTÍCULO 39. MÉTODO DE CUANTIFICACIÓN DEL GAS NATURAL DE VENTEO INTENCIONAL RECOLECTADO. El Operador que cuente con una tecnología para la recolección del gas de venteo intencional proveniente de los tanques o de la bota del Gun Barrel, deberá realizar la medición diaria de dichos volúmenes a través de instrumentos calibrados y certificados por Laboratorios de calibración acreditados bajo la Norma ISO/IEC 17025 por ONAC, o por un organismo de acreditación miembro de los acuerdos de reconocimiento de ILAC. Será responsabilidad del Operador el registro y la trazabilidad de dicha información.
PARÁGRAFO. Para el caso de la medición de los gases en los tanques de techo flotante, se debe implementar el uso de cámaras o equipos similares disponibles en la industria.
ARTÍCULO 40. CÁLCULO DEL VOLUMEN DEL GAS NATURAL DE VENTEO INTENCIONAL RECOLECTADO. <Artículo modificado por el artículo 8 de la Resolución 40317 de 2023. El nuevo texto es el siguiente:> Si para el Operador resulta inviable por razones técnicas o económicas contar con una tecnología para la recolección y medición del gas que permita la cuantificación por medición directa, descrita en el artículo precedente, podrá realizar la cuantificación del gas de venteo recolectado por medio de las metodologías teóricas de cálculo que se detallan en el Anexo 1 de la presente resolución (cálculo diario del gas en solución - 'Rs', que por cambios de presión y temperatura dentro de su proceso de tratamiento, realiza una liberación espontánea del gas contenido en el líquido), y en el Anexo 2 de la presente resolución (cálculo anual del gas natural producido por efectos de movilidad y almacenaje del petróleo crudo dentro de los tanques de almacenamiento) o a las actualizaciones, modificaciones y/o sustituciones que surjan de los estándares descritos para cada anexo, así como las que autorice la Entidad de Fiscalización.
ARTÍCULO 41. REPORTE DEL GAS NATURAL DE VENTEO INTENCIONAL RECOLECTADO. El Operador debe reportar los volúmenes en los respectivos informes sobre actividades de producción de los que trata el artículo 9o de la Resolución 40048 de 2015 que resulten aplicables.
El reporte sobre las situaciones excepcionales a las que hace referencia el artículo 34 deberá incluir la descripción de las causas que generaron el Venteo Intencional, los soportes y la cuantificación de los volúmenes de gas natural cuando aplique.
SOBRE LAS FUGAS DE GAS NATURAL.
DETECCIÓN Y CUANTIFICACIÓN DE FUGAS DE GAS NATURAL.
ARTÍCULO 42. DETECCIÓN Y CUANTIFICACIÓN DE LAS FUGAS DE GAS NATURAL. Los Operadores identificarán y cuantificarán de forma directa las Fugas de Gas Natural que se generen o presenten los Equipos incluyendo sus Componentes, así como en las Operaciones en Pozos, conforme se señala en el presente capítulo.
ARTÍCULO 43. DETECCIÓN Y CUANTIFICACIÓN DE LAS EMISIONES DE GAS NATURAL. <Artículo modificado por el artículo 9 de la Resolución 40317 de 2023. El nuevo texto es el siguiente:> La detección y cuantificación a la que hace referencia el artículo 42 de la presente resolución se debe realizar utilizando cualquiera de los siguientes medios:
1. Para la detección: Instrumento de Visualización Óptica de Gas (OGI), Detector de Fugas con Laser, Detección con Solución Jabonosa, Analizadores de Vapor Orgánico (OVA) o de Vapor Tóxico (TVA), Detección Acústica de Fugas, Detector Electrónico de Gas, o cualquier otro que sea autorizado por la Entidad de Fiscalización.
2. Para la cuantificación: Instrumento de Cuantificación de Visualización Óptica de Gas (QOGI), Medición con bolsa calibrada, muestreador de alto volumen, anemómetro de aspas, anemómetro de Hilo Caliente, medidor de turbina, detector acústico, medidor de orificio, o cualquier otro que la Entidad de Fiscalización le autorice al Operador.
3. Cuantificación por métodos indirectos: Excepcionalmente, se podrá solicitar a la Entidad de Fiscalización la autorización para realizar la medición a través de métodos indirectos (tales como: cálculos de ingeniería, cálculo por factores de emisión o el uso de software especializado, entre otros), siempre y cuando la medición indirecta se realice con datos muestreados y tomados en campo y se demuestre que la medición directa en el proyecto no es de viabilidad técnica o económica, de acuerdo con las buenas prácticas de la industria del petróleo.
PARÁGRAFO 1o. El uso de los instrumentos se complementará con la inspección técnica, visual y en algunos casos de ser posible con el uso de aeronaves, satélites, drones, robots, vehículos, escaneos de área, cámaras infrarrojas estacionarias, entre otros.
PARÁGRAFO 2o. La detección y la cuantificación del Gas Natural de Fuga se realizarán de acuerdo con el Método de Referencia 21 de la Agencia de Protección Ambiental de los Estados Unidos de América, o cualquier otro método que cuente con autorización previa por parte de la Entidad de Fiscalización.
PARÁGRAFO 3o. Los instrumentos que se utilicen deberán detectar Gas Natural de Fuga y deberán medir concentraciones iguales o mayores a 500 ppm; y su cuantificación se expresará en gramos (g), kilogramos (kg) o toneladas métricas (t). Estos deberán contar con las certificaciones del fabricante indicando que los equipos sirven para detectar y cuantificar emisiones con una concentración igual o mayor a 500 ppm de Gas Natural y que cuentan con el mantenimiento recomendado por el fabricante.
PARÁGRAFO 4o. Los operadores podrán asociarse con otros operadores o autoridades para facilitar la realización medición por sitio (top-down) con la finalidad de corroborar las mediciones por Equipo y Componente (bottom-up).
PARÁGRAFO 5o. Se demostrará la conformidad de la detección y cuantificación de Fugas de Gas Natural mediante un informe de inspección para el establecimiento de la Línea Base conforme con el artículo 44 de la presente resolución, así como por cada actualización de la Línea Base de la que trata el inciso segundo del artículo 47 de la presente resolución, otorgado por un organismo de inspección Tipo A o directamente por los operadores siempre que estén acreditados como organismo de inspección Tipo B bajo la norma NTC-ISO/IEC 17020 con alcance al Título 5, 6 y 7 de la presente resolución; así como a lo establecido en la Resolución número 948 de 2022 expedida por la Agencia Nacional de Hidrocarburos o las normas que las modifiquen o sustituyan. Dichas acreditaciones deben ser expedidas por el ONAC o por un organismo de acreditación internacional miembro de ILAC.
PARÁGRAFO 6o. En todo caso, los instrumentos de detección y cuantificación de las emisiones de Gas Natural que de acuerdo con sus características técnicas sean objeto de procesos de calibración, deberán ser calibrados por laboratorios acreditados para este fin por el ONAC bajo la norma NTC-ISO/IEC 17025 o por un organismo de acreditación internacional firmante del Acuerdo de Reconocimiento Mutuo de ILAC (ILAC MRA por sus siglas en inglés).
ARTÍCULO 44. ESTABLECIMIENTO DE LA LÍNEA BASE. <Artículo modificado por el artículo 10 de la Resolución 40317 de 2023. El nuevo texto es el siguiente:> Se deberá establecer una Línea Base del total de las Fugas de Gas Natural cuantificadas de conformidad con el Capítulo 1, del Título 5 de la presente resolución. La Línea Base se realizará por cada facilidad e incluirá todos los Equipos y Componentes. La Línea Base servirá como referencia para la comparación y evaluación de la mejora continua de la prevención y el control integral de dichas Fugas de Gas Natural para los años subsecuentes.
No formarán parte de la Línea Base las Fugas de Gas Natural derivadas de: i) las pruebas de producción iniciales y extensas de pozos tanto de petróleo y gas natural asociado como de gas natural no asociado; ii) la terminación de pozos; iii) la descarga de líquidos en pozos exploratorios y de explotación; y iv) las pruebas piloto de pozos, estimulación de pozos incluyendo estimulación hidráulica e inyección de fluido de retorno, Well Service, abandono de pozos y actividades de reacondicionamiento de pozos. No obstante lo anterior, dichas Fugas de Gas Natural deberán reportarse en el programa para la detección y reparación de fugas de que trata el Título 6 de la presente resolución, y en el reporte anual de cumplimiento del mismo.
Para el caso de Fugas de Gas Natural en las pruebas de producción iniciales y extensas, la entidad de fiscalización solicitará un informe anual de las emisiones totales al final del periodo de operación, presentado por el Operador en un período no superior a 60 días calendario a partir de la finalización de dicha operación
ARTÍCULO 45. PLAZOS PARA LA ELABORACIÓN Y PRESENTACIÓN DE LA LÍNEA BASE. <Artículo modificado por el artículo 11 de la Resolución 40317 de 2023. El nuevo texto es el siguiente:> Los operadores deberán elaborar la Línea Base, en los siguientes plazos:
1. Para las Facilidades Nuevas el Operador tendrá 12 meses para el establecimiento de la Línea Base contados a partir de que la Facilidad entre en operación y se cumpla con lo dispuesto en el parágrafo 5 del artículo 43 de la presente resolución.
2. Para las Facilidades Existentes el Operador tendrá 24 meses para la elaboración de la Línea Base contados a partir de que se cumpla con lo dispuesto en el parágrafo 5 del artículo 43 de la presente resolución.
PARÁGRAFO. No obstante lo anterior, si a febrero de 2024 no se han cumplido las consideraciones de acreditación mencionadas en el parágrafo 5 del artículo 43 de esta resolución, los operadores deberán dar aplicación a las Buenas Prácticas de la Industria del Petróleo para controlar las Fugas de Gas Natural en procura de garantizar condiciones de seguridad y salud en el trabajo y mitigar sus impactos ambientales.
Adicionalmente, los Operadores deberán demostrar la conformidad de la detección y cuantificación de Fugas de Gas Natural a través de una declaración de primera parte de acuerdo con los requisitos establecidos en la norma NTC-ISO/IEC 17050 hasta tanto se acrediten ante el ONAC organismos de inspección Tipo A o Tipo B bajo la norma NTC-ISO/ IEC 17020 u organismos de acreditación internacional miembro de ILAC con alcance al parágrafo 5 del artículo 43 de la presente resolución.
ARTÍCULO 46. PLAZO EXTENDIDO DE LA PRESENTACIÓN DE LA LÍNEA BASE. <Artículo modificado por el artículo 12 de la Resolución 40317 de 2023. El nuevo texto es el siguiente:> 1. Para las Facilidades Nuevas, los operadores deberán presentar la Línea Base a la Entidad de Fiscalización dentro de los 30 días siguientes a la finalización de su elaboración, susceptibles de ser prorrogados previa aprobación de la Entidad de Fiscalización quien definirá el término de ampliación.
2. Los operadores que cuenten con Facilidades Existentes a la fecha de publicación de la presente regulación podrán solicitar prórrogas debidamente justificadas a la Entidad de Fiscalización, quien definirá el término de ampliación, para la presentación de la Línea Base, siempre y cuando presenten estimaciones parciales de emisiones en los plazos establecidos de acuerdo con lo siguiente:
a) Que en los primeros 24 meses siguientes a la entrada en vigencia de la presente resolución entreguen a la Entidad de Fiscalización una estimación de las Fugas de Gas por cada Facilidad de producción operando en territorio nacional.
b) Que en los 36 meses posteriores a la entrada en vigencia de la presente resolución entreguen a la Entidad de Fiscalización una estimación de las Fugas de Gas por cada Equipo de cada instalación que se encuentre operando en territorio nacional.
Los operadores podrán utilizar factores de emisiones genéricos siempre y cuando se documente la fuente de cada factor utilizado.
ARTÍCULO 47. SEGUIMIENTO Y ACTUALIZACIÓN DE LA LÍNEA BASE. Se deberá realizar un seguimiento anual de la Línea Base establecida, el cual debe ser reportado en el informe anual de seguimiento del programa para la detección y reparación de Fugas, del que trata el Título 6 de la presente resolución.
Asimismo, se deberá realizar una actualización de la Línea base cada 3 años a partir de la primera línea base, la cual deberá ser entregada a la Entidad de Fiscalización para su respectiva aprobación
Si derivado de un cambio en la metodología de cuantificación de Fugas de Gas Natural, los Operadores requieren modificar la Línea Base, deberán dar aviso y solicitar la autorización de la Entidad de Fiscalización. Cada actualización de la Línea Base deberá incluir un comparativo con la Línea Base anterior. Es decir, con respecto a la Línea Base que actualiza, así como la identificación de altas y bajas de Equipos y Componentes. Dicha comparación deberá mostrar las variaciones que son producto de cambios metodológicos de la nueva Línea Base.
ARTÍCULO 48. DESVIACIONES DE FUGAS DE GAS NATURAL. Una vez establecida la Línea Base, no se deberá superar el volumen de Fugas de Gas Natural establecido en la misma en los años subsecuentes. En caso de superar dicho volumen, el operador deberá reportar la desviación a la Entidad de Fiscalización y demostrar que esta no se debe a incumplimiento del plan de mantenimiento de las Facilidades, en cuyo caso deberá presentar las acciones para mitigar las Fugas de Gas Natural en el programa para la detección y reparación de fugas del que trata el Título 6 de la presente resolución.
ARTÍCULO 49. INSPECCIONES Y AUDITORÍAS. La Entidad de Fiscalización podrá realizar inspecciones y auditorías a las Facilidades para verificar el correcto manejo de las disposiciones estipuladas de las Fugas de Gas Natural.
PROGRAMA PARA LA DETECCIÓN Y REPARACIÓN DE FUGAS.
SOBRE EL PROGRAMA DE DETECCIÓN Y REPARACIÓN DE FUGAS.
ARTÍCULO 50. ENFOQUE DE MATERIALIDAD. Los Operadores deberán realizar el programa de detección y reparación de Fugas sobre los activos (Facilidades, Equipos y Componentes) que concentren como mínimo el 95% de las Fugas de Gas Natural.
ARTÍCULO 51. SOBRE LA ELABORACIÓN Y APROBACIÓN DEL PROGRAMA. <Artículo modificado por el artículo 13 de la Resolución 40317 de 2023. El nuevo texto es el siguiente:> A más tardar dentro de los 60 días siguientes a la fecha de entrega de la Línea Base, los operadores deberán entregar a la Entidad de Fiscalización el programa de detección y reparación de Fugas para cada facilidad, considerando todos los Equipos y Componentes, de acuerdo con el enfoque de materialidad de que trata el artículo 50 de la presente resolución.
La Entidad de Fiscalización aprobará o rechazará el Programa en un plazo no mayor a 60 días calendario después de recibirlo y, también podrá emitir recomendaciones al Programa.
El Programa considerará al menos una inspección semestral a las Facilidades y, en caso de detectar fugas, se deberán implementar las acciones correctivas correspondientes de acuerdo con lo siguiente:
1. Si fuere posible realizar tal reparación sin que el Equipo interrumpa su operación, las fugas deberán repararse en un plazo máximo de 30 días.
2. Si no es posible realizar reparaciones sin interrumpir la operación del Equipo, se deberá programar la reparación de la fuga antes de la fecha en la que el volumen de Gas Natural de todas las Fugas del equipo sea mayor al volumen de Gas Natural que se liberaría al sacar el Equipo de operación. En todo caso, se debe realizar monitoreo continuo a la fuga.
3. Si la facilidad se encuentra costa afuera y la reparación del equipo no se puede realizar mientras está en funcionamiento, se deberán tomar medidas correctivas dentro de los 12 meses siguientes a la detección de la Fuga. En todo caso, se debe realizar monitoreo continuo a la fuga.
4. La Entidad de Fiscalización puede otorgar una extensión a los plazos establecidos anteriormente con el objetivo de que se completen las reparaciones, siempre y cuando se entregue un cronograma y una justificación técnica que permita verificar la imposibilidad de cumplir con dichos plazos, en atención a la criticidad del equipo en la facilidad.
PARÁGRAFO 1o. Las Facilidades que operan con un Potencial de Emisión menor a 60.000 m3 estándar por año, estarán exentos de presentar el Programa de Detección y Reparación de Fugas. Para mantener esta condición, el Operador deberá demostrar a la Entidad de Fiscalización, anualmente, que el Potencial de Emisión no sobrepasa dicho volumen.
PARÁGRAFO 2o. Los Equipos y/o Componentes que no puedan ser reparados, deberán reemplazarse por nuevos, a más tardar, dentro de los 6 meses siguientes al vencimiento de los términos señalados en los numerales 1, 2 y 3 del presente artículo. Para el remplazo de estos equipos se deberán tener en cuenta las disposiciones estipuladas en el Título 7 de la presente resolución, cuando resulte aplicable.
PARÁGRAFO 3o. Cuando se trate de detección de fugas de Gas Natural para Equipos y/o Componentes que impliquen una Inspección Técnica Riesgosa y para aquellos Equipos y/o Componentes que sean considerados críticos para el proceso, el remplazo deberá realizarse dentro de los 12 meses siguientes al vencimiento de tales términos.
ARTÍCULO 52. IMPLEMENTACIÓN DEL PRIMER PROGRAMA DE DETECCIÓN Y REPARACIÓN DE FUGAS. El Primer Programa deberá iniciar a más tardar 30 días después de que la Entidad de Fiscalización emita su aprobación. El Primer Programa incluirá la definición y cronograma de las actividades orientadas a la detección y reparación de fugas en el periodo de un año, incluyendo aquellas identificadas en la Línea Base, en todos los Equipos y sus Componentes, en las Operaciones en Pozos, que resulten aplicables de acuerdo con lo estipulado en los artículos 50 y 51, así como el plan de mantenimiento de los Equipos para evitar fugas subsecuentes. El Primer Programa se implementará durante el primer año a partir de la autorización por parte de la Entidad de Fiscalización y deberá ser actualizado anualmente.
ARTÍCULO 53. INFORMES DE SEGUIMIENTO AL PROGRAMA DE DETECCIÓN Y REPARACIÓN DE FUGAS. Se deberá registrar las acciones de detección y reparación de Fugas que se ejecuten tanto dentro como fuera del Programa y entregar un reporte anual a la Entidad de Fiscalización, a través del mecanismo que esta señale. El Informe deberá incluir una descripción del 5% de las Fugas de Gas Natural que hayan quedado fuera por la aplicación del Enfoque de Materialidad.
La Entidad de Fiscalización podrá solicitar informes para aquellos Equipos y sus Componentes que requieran de un mayor seguimiento.
ARTÍCULO 54. RESPONSABLE DEL PROGRAMA. El Operador deberá designar un responsable, o grupo de estos, para la elaboración, gestión y manejo del Programa de Detección y Reparación de Fugas que cuente con el conocimiento y experiencia en: las Facilidades, los procesos operativos, la identificación y cuantificación en materias de fugas, seguridad industrial, y las operaciones y procesos relacionados con el desarrollo y contenido del programa.
Una vez elaborado el Programa de Detección y Reparación de Fugas, se deberán llevar a cabo las acciones tendientes a la totalidad de su implementación.
ARTÍCULO 55. EVALUACIÓN ANUAL DEL PROGRAMA. Se deberán efectuar evaluaciones de la implementación del Programa de Detección y Reparación de Fugas, por lo menos una vez al año. Dicha evaluación deberá ser realizada por el responsable del Programa y estará conformada, como mínimo, con la siguiente información:
1. Las acciones realizadas;
2. Las acciones no realizadas y/o pendientes, justificando las razones de tal situación;
3. El porcentaje de avance de acciones;
4. Las recomendaciones que se emitan a efecto de llevar a cabo las acciones no realizadas y/o pendientes;
5. El cronograma para dar atención a las recomendaciones, y
6. El seguimiento de las recomendaciones correspondientes a las evaluaciones anteriores, incluyendo fecha de atención y, en su caso, justificación de aquellas que no fueron atendidas.
ARTÍCULO 56. DESEMPEÑO ANUAL DEL PROGRAMA. El desempeño anual del Programa de Detección y Reparación de Fugas se informará por cada una de las facilidades nuevas y existentes, incluyendo Equipos y Componentes, así como las operaciones de pozos que resulten aplicables.
ARTÍCULO 57. PLAZO PARA LA ENTREGA DEL INFORME ANUAL. Se deberá entregar a la Entidad de Fiscalización, el informe anual del Programa de Detección y Reparación de fugas del que tratan los artículos 53 y 56 dentro del primer trimestre del año siguiente.
Si a la fecha de entrega del primer informe anual, la implementación del Programa de Detección y Reparación de Fugas se encuentra en desarrollo se deberá reportar el porcentaje de avance del mismo.
ARTÍCULO 58. INCORPORACIÓN DE EQUIPOS Y/O COMPONENTES. Los Operadores que incorporen Equipos y/o Componentes nuevos que no estén considerados en la Línea Base y que se identifiquen como fuentes o posibles fuentes de Fugas de Gas Natural, deberán incluirlos como parte del Programa de Detección y Reparación de Fugas, así como incluir una sección en la que se reporten la inclusión y exclusión de los Equipos y Componentes en el informe anual de seguimiento.
DETECCIÓN DE FUGAS DE GAS NATURAL.
ARTÍCULO 59. PLAZO PARA LA CUANTIFICACIÓN DE VOLÚMENES DE GAS NATURAL PROVENIENTES DE FUGAS. La cuantificación deberá realizarse dentro de las 48 horas siguientes a la detección. En algunos casos, se puede realizar después de este plazo, siempre y cuando la fuga requiera de una Inspección Técnica Riesgosa, previo aviso y justificación técnica ante la Entidad de Fiscalización.
ARTÍCULO 60. ETIQUETADO Y REGISTRO DE LAS FUGAS DE GAS NATURAL. Se deberán identificar el equipo y/o Componente que presente fuga, indicando con una etiqueta la fecha de detección, una vez se estime el flujo volumétrico de la fuga. La etiqueta solo podrá ser removida cuando se haya reparado exitosamente la fuga. Igualmente, se deberá llevar un registro de la ubicación de las fugas de Gas Natural detectadas en Equipos y Componentes y aquellas reparadas; todo lo anterior, puede ser verificado por la Entidad de Fiscalización.
REPARACIÓN DE FUGAS DE GAS NATURAL.
ARTÍCULO 61. REPARACIÓN EXITOSA DE LAS FUGAS DE GAS NATURAL. Los Operadores están obligados a reparar exitosamente las fugas de Gas Natural que sean detectadas. Se entenderá que una Fuga fue reparada exitosamente, cuando esta se reduzca a menos de 500 ppm, de acuerdo con los plazos establecidos previamente en el artículo 51, o bien cuando los instrumentos utilizados para la detección, no detecten emisiones visibles.
ARTÍCULO 62. PLAZOS PARA LA INSPECCIÓN DE LAS REPARACIONES. <Artículo modificado por el artículo 14 de la Resolución 40317 de 2023. El nuevo texto es el siguiente:> Dentro de los 30 días siguientes a la reparación exitosa de cada una de las Fugas de Gas Natural, el Operador informará dicha actividad a la Entidad de Fiscalización. Así mismo, deberá entregar un informe anual con los registros que certifiquen las reparaciones o correcciones realizadas en ese periodo, adjunto al reporte anual de cumplimiento del programa de detección y reparación de fugas de que trata el artículo 7 de la presente resolución. En caso de que las Fugas de Gas Natural persistan, el Operador deberá desarrollar las acciones adicionales que se requieran hasta que la reparación sea exitosa.
ARTÍCULO 63. EQUIPOS Y/O COMPONENTES QUE NO PUEDEN SER REPARADOS O SUSTITUIDOS EN TIEMPO. Cuando los Equipos y/o Componentes no puedan ser reparados o sustituidos en el tiempo requerido en el artículo 51 debido a inconvenientes de entrega o disponibilidad, se deberá dar aviso a la Entidad de Fiscalización, presentando la evidencia de tales inconvenientes, junto con un cronograma de las acciones que se llevarán a cabo para reducir la fuga. Cronograma que incluya, por lo menos el tiempo estimado de la entrega de los Equipos, su fecha de instalación y de puesta en operación. Como máximo luego de 15 días de lograr la reparación, el Operador deberá presentar un informe de las actividades desarrolladas con los registros que certifiquen el correcto funcionamiento del equipo.
ACCIONES MÍNIMAS Y EQUIPOS PARA LA PREVENCIÓN Y MITIGACIÓN DE LAS FUGAS DE GAS NATURAL.
BOMBAS NEUMÁTICAS.
ARTÍCULO 64. BOMBAS NEUMÁTICAS EN FACILIDADES NUEVAS. Durante la fase de diseño de Facilidades Nuevas, los Operadores propenderán por seleccionar bombas neumáticas accionadas por aire comprimido o bombas eléctricas incluyendo las fotovoltaicas u otras que se encuentren dentro de las buenas prácticas.
ARTÍCULO 65. BOMBAS NEUMÁTICAS EN FACILIDADES EXISTENTES. <Artículo modificado por el artículo 15 de la Resolución 40317 de 2023. El nuevo texto es el siguiente:> Los Operadores que cuenten con bombas neumáticas accionadas por Gas Natural en Facilidades Existentes deberán controlar las fugas de acuerdo con las Buenas Prácticas de la Industria del Petróleo, entre las que se encuentran:
1. Redirigir el Gas Natural a un Equipo de Conservación de Vapores que lo conduzca a otro proceso.
2. Redirigir el Gas Natural a un sistema de combustión de baja presión
3. Redirigir el Gas Natural a un sistema de Tea de baja presión.
4. Otras reconocidas por las Buenas Prácticas de la Industria del Petróleo y aprobadas por la Entidad de Fiscalización.
5. De no ser posible ninguna de las anteriores, el Operador deberá contar con un programa que asegure disminuir las emisiones de la bomba neumática que usa Gas Natural, incluyendo el ajuste de capacidad de la bomba o la configuración operacional para alcanzar la tasa de inyección de químicos deseada con la menor cantidad de emisiones posible. De lo contrario, una vez la Entidad de Fiscalización comunique al Operador que el programa operativo no alcanzó la meta de reducción pactada, en un periodo máximo de 12 meses, deberá sustituir la(s) bomba(s) neumáticas que usan Gas Natural presurizado por aquellas que sean accionadas con electricidad o aire comprimido.
COMPRESORES.
ARTÍCULO 66. COMPRESORES EN FACILIDADES NUEVAS. Durante la fase de diseño de Facilidades Nuevas, se deberán seleccionar compresores centrífugos que utilicen sellos secos. Asimismo, cuando se determine el uso de compresores reciprocantes herméticos, estos deberán estar conectados a un equipo de conservación de gases y vapores cuando las condiciones técnicas así lo permitan, o a un sistema de quema controlada.
ARTÍCULO 67. COMPRESORES EN FACILIDADES EXISTENTES. Los Operadores que cuenten con Facilidades Existentes que tengan compresores centrífugos con sellos húmedos, deberán implementar las siguientes mejores prácticas:
1. Redirigir las emisiones durante la desgasificación de los sellos húmedos a un Equipo de Conservación de Vapores, o
2. Reemplazar los sellos húmedos por sellos secos.
3. Otra reconocida por las Buenas Prácticas de la Industria del Petróleo y aprobada por la Entidad de Fiscalización.
Asimismo, los Operadores que cuenten con Facilidades Existentes que tengan compresores reciprocantes, deberán implementar Buenas Prácticas mediante la inclusión de las siguientes acciones, entre otras:
1. Reemplazar los empaques del vástago del compresor;
2. Ajustar y alinear las piezas de la empaquetadura del vástago, o
3. Capturar las emisiones y dirigirlas a un equipo de conservación de vapores.
ARTÍCULO 68. CAPTURA DEL GAS NATURAL PROVENIENTE DE LAS PURGAS. Se deberá capturar el Gas Natural proveniente de las purgas de los compresores y conducirlo para ser aprovechado mediante el autoconsumo o por inyección; de no ser factible su aprovechamiento, deberá ser enviado a un sistema de Tea.
CONTROLADORES NEUMÁTICOS.
ARTÍCULO 69. CONTROLADORES NEUMÁTICOS EN FACILIDADES NUEVAS. Durante la fase de diseño de Facilidades Nuevas, se propenderá por seleccionar controladores neumáticos como buena práctica, implementando las siguientes acciones:
1. Incorporar el uso de aire comprimido sustituyendo el uso de Gas Natural, y/o
2. Seleccionar controladores que sean accionados con electricidad, incluyendo los fotovoltaicos, solenoides y los motores servo.
3. Otras reconocidas por las Buenas Prácticas de la Industria del Petróleo y aprobada por la entidad de Fiscalización.
ARTÍCULO 70. CONTROLADORES NEUMÁTICOS EN FACILIDADES EXISTENTES. Las Facilidades Existentes que cuenten con controladores neumáticos accionados con Gas Natural, de acuerdo con las características de las Facilidades y procesos de las actividades que desarrollen, deberán implementar las siguientes mejores prácticas, entre otras, cuando las condiciones técnicas en relación al aprovechamiento del gas natural así lo permitan:
1. Sustituir el uso de Gas Natural por aire comprimido;
2. Reemplazar controladores neumáticos por mecánicos, o
3. Sustituir los controladores neumáticos por aquellos que sean accionados con electricidad, entre ellos los fotovoltaicos, solenoides y los motores servo.
4. Otras reconocidas por las Buenas Prácticas de la Industria del Petróleo y aprobada por la entidad de Fiscalización.
ARTÍCULO 71. DE LA COMPROBACIÓN DE HERMETICIDAD. <Artículo modificado por el artículo 16 de la Resolución 40317 de 2023. El nuevo texto es el siguiente:> Al momento de llevar a cabo el programa para la detección y reparación de fugas se deberá comprobar, por medio de los instrumentos relacionados en el artículo 43 de la presente resolución, la hermeticidad de los controladores neumáticos de venteo intermitente. Si no hay hermeticidad, el equipo debe ser reportado en el programa de detección y reparación de Fugas de Gas Natural.
DESHIDRATADORES.
ARTÍCULO 72. DESHIDRATADORES EN LAS FACILIDADES NUEVAS. Durante la fase de diseño de Facilidades Nuevas, se deberán seleccionar equipos de separación primaria y secundaria que incorporen las mejores prácticas tanto en su operación como mantenimiento, para el control de fugas de gas natural.
ARTÍCULO 73. DESHIDRATADORES EN LAS FACILIDADES EXISTENTES. Las Facilidades Existentes que tengan deshidratadores de glicol, deberán controlar las Fugas de Gas Natural, incluyendo las provenientes de los Equipos asociados a su operación.
A efecto de llevar a cabo dicho control, se deberán implementar una o más de las siguientes acciones:
1. Optimización de la circulación del glicol;
2. Uso de bombas eléctricas;
3. Reemplazo por deshidratadores desecantes;
4. Instalación de tanques separadores de líquido;
5. Conectar la unidad de regeneración de glicol a un equipo de conservación de gases y vapores;
6. Redirigir el Gas Natural de alivio a Destrucción, y
7. Otras reconocidas por las Buenas Prácticas de la Industria del Petróleo.
ARTÍCULO 74. EXCEPCIÓN AL USO DE DESHIDRATADORES DESECANTES. Cuando por factores de seguridad no fuera viable el uso de deshidratadores desecantes se podrá hacer uso de deshidratadores de glicol.
OPERACIONES DE ESTIMULACIÓN Y TERMINACIÓN DE POZOS.
ARTÍCULO 75. EMISIONES PROVENIENTES DE LA TERMINACIÓN DE POZOS. Se deberán utilizar Equipos de recuperación de gases y vapores para el aprovechamiento del Gas Natural o bien, un sistema de Tea de baja presión para reducir la emisión de Gas Natural provenientes de la terminación de pozos. Se exceptúan de lo anterior, los casos en los que el Gas Natural no tenga suficiente poder calorífico para permitir la combustión.
ARTÍCULO 76. QUEMA DEL GAS NATURAL. Tratándose de pozos en los cuales el Gas Natural recuperado no pueda dirigirse a un equipo de conservación, se deberán dirigir el Gas Natural a un sistema de Tea de baja presión o a un sistema de destrucción.
DESCARGA DE LÍQUIDOS EN POZOS.
ARTÍCULO 77. MÉTODOS PARA LA DESCARGA DE LÍQUIDOS. Con el objeto de reducir las Fugas de Gas Natural, los Operadores deberán implementar uno o más de los siguientes métodos, previo a la descarga de líquidos con el objeto de reducir las Fugas de Gas Natural:
1. Sarta de velocidad;
2. Barras espumantes;
3. Émbolo viajero;
4. Bombeo de superficie, y
5. Bombeo de fondo de pozo.
6. Otra reconocida por las Buenas prácticas de la industria del petróleo y aprobada por la entidad de fiscalización.
La descarga manual podrá ser empleada cuando se demuestre a la Entidad de Fiscalización, que los métodos mencionados en el presente artículo no tienen viabilidad técnica o económica.
En cualquier caso, los Operadores deberán incluir la cuantificación del Gas Natural desperdiciado en la descarga de líquidos en pozos, en los informes de seguimiento al Programa de Detección y Reparación de Fugas.
DISPOSICIONES FINALES.
ARTÍCULO 78. INFORME MENSUAL DE GAS NATURAL Y PROCESADO. Modificar el formato “Formato 30 SEE “Informe Mensual sobre Producción, Plantas y Consumos de Gas Natural y Procesado” a que se refiere el artículo 3o de la Resolución 80412 de 1995, para que en su lugar se adopte el formato contenido en el anexo 3 de la presente resolución, el cual se denominará Formato 30 DH “Informe Mensual sobre Producción, Plantas y Consumos de Gas Natural y Procesado”.
ARTÍCULO 79. ENTREGA DE INFORMACIÓN A LA ENTIDAD DE FISCALIZACIÓN. Los Operadores deberán hacer entrega de la información de acuerdo con los parámetros establecidos para tal fin.
PARÁGRAFO 1o. Toda la información técnica de la que trata la presente resolución (informes, solicitud de permisos, y demás información asociada) deberá ser firmada por un ingeniero de petróleos con su respectiva matrícula profesional.
PARÁGRAFO 2o. La información técnica entregada, aportará al sistema de Monitoreo, Reporte y Verificación de Emisiones de Gases Efecto Invernadero establecido por el Ministerio de Minas y Energía.
ARTÍCULO 80. CONSERVACIÓN DE LA INFORMACIÓN. La siguiente información se deberá conservar por un periodo de 3 años:
1. La información de los Equipos, incluyendo sus Componentes, así como de las operaciones en pozos, que generen o presenten fugas de Gas Natural, y la información de respaldo que hayan utilizado para la cuantificación de las mismas.
2. La documentación que avale las competencias del responsable del Programa, para los fines que la Entidad de Fiscalización establezca.
3. La bitácora de la Facilidad con las actividades sujetas a la presente resolución.
4. El registro de las acciones implementadas del Programa de Detección y Reparación de Fugas.
5. Los documentos originales correspondientes a cada inspección técnica trimestral que lleven a cabo, así como de la cuantificación de las emisiones.
Deberá conservarse durante todo el ciclo de vida de las operaciones, la información de respaldo que hayan utilizado para identificar las fuentes o posibles fuentes de emisiones de metano, en sus Facilidades, Equipos, incluyendo sus Componentes, así como en las Operaciones en Pozos, incluyendo, pero sin limitarse a: planos y diagramas de proceso.
La Entidad de Fiscalización podrá solicitar la exhibición de la información en cualquier momento dentro del plazo establecido en este artículo.
ARTÍCULO 81. LÍMITES DE EMISIONES. En el marco del Plan Integral de Gestión del Cambio del Cambio del sector minero energético adoptado por la Resolución 40350 de 2021, y en su estrategia de fortalecimiento empresarial, el Ministerio de Minas y Energía o la entidad que este delegue podrá establecer los límites de emisiones fugitivas para los equipos involucrados en el proceso de tratamiento y almacenamiento de hidrocarburos.
ARTÍCULO 82. SANCIONES. El no cumplimiento a las disposiciones contenidas en la presente resolución será sancionado conforme a las disposiciones aplicables, entre estas, el artículo 67 del Decreto Ley 1056 de 1953, Código de Petróleos, el artículo 21 de la Ley 10 de 1961 o aquellas disposiciones que los modifiquen, adicionen o sustituyan.
ARTÍCULO 83. TRANSICIÓN. Las disposiciones contenidas en la presente Resolución se aplicarán teniendo en cuenta el siguiente régimen de transición, sin perjuicio de la transición que se establezca en particular para cada medida, en la normativa arriba señalada.
1. Todos los permisos de quema otorgados por la Entidad de Fiscalización antes de la entrada en vigencia de la presente Resolución permanecerán vigentes por el término que en ellos se señala y se regirán por las disposiciones legales vigentes al momento del otorgamiento del permiso.
2. Las solicitudes de permisos de quema que se encuentren radicadas y en curso ante la Entidad de Fiscalización, al momento de la entrada en vigencia de la presente resolución, serán tramitados en los términos de la normatividad vigente al momento de su radicación.
3. Con el fin de lograr el adecuado seguimiento y supervisión del cumplimiento de esta regulación, la Entidad de Fiscalización, en un plazo de 6 meses, deberá publicar las reglas para la entrega y reporte del Programa de Detección y Reparación de las fugas de Gas Natural, que deberán cumplir los Operadores. Dichas reglas incluirán al menos los datos, medios y plazos para la entrega de información de fugas de Gas Natural.
ARTÍCULO 84. DEROGACIONES. La presente resolución deroga todas las disposiciones que le sean contrarias, en especial el artículo 52 de la Resolución 181495 del 2009 y el artículo 20 de la Resolución 40687 del 2017.
ARTÍCULO 85. VIGENCIA. La presente resolución rige a partir de la fecha de su publicación en el Diario Oficial.
Publíquese y cúmplase.
Dada en Bogotá, D. C., a 11 de febrero de 2022.
El Ministro de Minas y Energía,
Diego Mesa Puyo.
CONSULTAR ANEXO EN EL DIARIO OFICIAL IMPRESO O EN EL FORMATO PDF PUBLICADO EN LA WEB WWW.IMPRENTA .GOV.CO