BUSCAR search
ÍNDICE developer_guide
MEMORIA memory
DESARROLLOS attachment
MODIFICACIONES quiz
CONCORDANCIAS quiz
NOTIFICACIONES notifications_active
ACTOS DE TRÁMITE quiz

PROYECTO DE RESOLUCIÓN 705 010 DE 2025

(octubre 17)

<Publicado en la página web de la CREG: 7 de noviembre de 2025>

COMISIÓN DE REGULACIÓN DE ENERGÍA Y GAS - CREG

La Comisión de Regulación de Energía y Gas (CREG), en su sesión No. 1412 del 17 de octubre de 2025, aprobó someter a consulta pública el presente proyecto de resolución por el término de diez (10) días hábiles, contados a partir del día siguiente a su publicación en el portal web de la Entidad.

Se invita a los prestadores de los servicios públicos domiciliarios sujetos a la regulación de la CREG, los usuarios, las autoridades y demás partes interesadas, para que remitan sus observaciones y/o sugerencias sobre el proyecto de resolución mediante comunicación dirigida al director ejecutivo, al correo electrónico: creg@creg.gov.co, dentro del plazo señalado anteriormente, identificando en el asunto de su comunicación el siguiente mensaje: “Proyecto de resolución de contribución especial de 2025”.

PROYECTO DE RESOLUCIÓN

“Por la cual se establece el porcentaje de la contribución especial a favor de la Comisión de Regulación de Energía y Gas, que deben pagar los prestadores de los servicios públicos domiciliarios de energía eléctrica, gas natural y gas licuado de petróleo (GLP) y sus actividades complementarias, sometidas al ámbito de regulación de la Comisión para el año 2025 y se dictan otras disposiciones.”

LA COMISIÓN DE REGULACIÓN DE ENERGÍA Y GAS

En ejercicio de sus atribuciones constitucionales y legales, en especial las conferidas por el artículo 85 de la Ley 142 de 1994 y el artículo 22 de la Ley 143 de 1994, y,

CONSIDERANDO QUE:

La Comisión de Regulación de Energía y Gas (CREG), es una entidad pública del nivel nacional, adscrita al Ministerio de Minas y Energía, organizada como Unidad Administrativa Especial (UAE), con autonomía administrativa, técnica y financiera, hace parte del Presupuesto General de la Nación (PGN) y es del ámbito del Sistema Integrado de Información Financiera de la Nación (SIIF).

Las leyes 142 y 143 de 1994 le asignan a la CREG la función de regulación de los servicios públicos domiciliarios de energía eléctrica y gas combustible y el ejercicio de las actividades de estos sectores, para asegurar la prestación eficiente, continua, confiable y de calidad de estos servicios y la disponibilidad de una oferta energética eficiente.

Con el fin de recuperar los costos del servicio de regulación que presta la Comisión, las citadas leyes crearon una tasa parafiscal de contribución especial de regulación que se debe liquidar y cobrar cada año, conforme las reglas que establecen los artículos 85 de la Ley 142 y 22 de la Ley 143 de 1994. Adicionalmente, para cubrir los costos de la regulación de las actividades de la cadena de combustibles líquidos, delegadas por el Ministerio de Minas y Energía y del Ministerio de Hacienda y Crédito Público, la CREG percibe sus recursos por colocación de fondos de la Dirección General de Crédito Público y Tesoro Nacional, del Ministerio de Hacienda y Crédito Público.

De conformidad con lo dispuesto en las leyes 142 de 1994, 143 de 1994, 689 de 2001, las disposiciones aquí descritas son aplicables a quienes ostenten la calidad de personas prestadoras de servicios públicos domiciliarios y aquellas que en general realicen actividades complementarias a los mismos.

El artículo 85 de la Ley 142 de 1994, determina los aspectos básicos de la contribución y define: los sujetos activos y pasivos del tributo, el hecho generador, la base gravable, la tarifa máxima y los elementos para determinarla, y la fuente de información para su cálculo.

El artículo 85 de la Ley 142 de 1994, establece las siguientes reglas para liquidar la contribución especial:

“85.1. Para definir los costos de los servicios que presten las Comisiones y la Superintendencia, se tendrán en cuenta todos los gastos de funcionamiento, y la depreciación, amortización u obsolescencia de sus activos, en el período anual respectivo.

85.2. La superintendencia y las comisiones presupuestarán sus gastos cada año y cobrarán dentro de los límites que enseguida se señalan, solamente la tarifa que arroje el valor necesario para cubrir su presupuesto anual.

La tarifa máxima de cada contribución no podrá ser superior al uno por ciento (1%) del valor de los gastos de funcionamiento, asociados al servicio sometido a regulación, de la entidad contribuyente en el año anterior a aquel en el que se haga el cobro, de acuerdo con los estados financieros puestos a disposición de la Superintendencia y de las Comisiones, cada una de las cuales e independientemente y con base en su estudio fijarán la tarifa correspondiente.

85.3. Modificado parcialmente por el Artículo 132 de la Ley 812 de 2003. Si en algún momento las Comisiones o la Superintendencia tuvieren excedentes, deberán reembolsarlos a los contribuyentes, o abonarlos a las contribuciones del siguiente período, o transferirlos a la Nación, si las otras medidas no fueran posibles.

85.4. El cálculo de la suma a cargo de cada contribuyente, en cuanto a los costos de regulación, se hará teniendo en cuenta los costos de la comisión que regula el sector en el cual se desempeña; y el de los costos de vigilancia, atendiendo a los de la Superintendencia.

85.5. La liquidación y recaudo de las contribuciones correspondientes al servicio de regulación se efectuará por las comisiones respectivas y las correspondientes al servicio de inspección, control y vigilancia estarán a cargo de la Superintendencia.

85.6. Una vez en firme las liquidaciones deberán ser canceladas dentro del mes siguiente. Se aplicará el mismo régimen de sanción por mora aplicable al impuesto sobre la renta y complementarios, sin perjuicio de las demás sanciones de que trata esta Ley.

PARÁGRAFO 1. Las Comisiones y la Superintendencia se financiarán exclusivamente con las contribuciones a las que se refiere este artículo y con la venta de sus publicaciones. Sin embargo, el gobierno incluirá en el presupuesto de la Nación apropiaciones suficientes para el funcionamiento de las Comisiones y de la Superintendencia durante los dos primeros años.

PARÁGRAFO 2. Al fijar las contribuciones especiales se eliminarán, de los gastos de funcionamiento, los gastos operativos; en las empresas del sector eléctrico, las compras de electricidad, las compras de combustibles y los peajes, cuando hubiere lugar a ello; y en las empresas de otros sectores los gastos de naturaleza similar a éstos. Estos rubros podrán ser adicionados en la misma proporción en que sean indispensables para cubrir faltantes presupuestales de las comisiones y la superintendencia”.

A su turno, el artículo 22 de la Ley 143 de 1994, ordena:

Los costos del servicio de regulación serán cubiertos por todas las entidades sometidas a su regulación y el monto total de la contribución no podrá ser superior al 1%, del valor de los gastos de funcionamiento excluyendo los gastos operativos, compras de electricidad, compras de combustibles y peajes, cuando hubiere lugar a ello, de la entidad regulada, incurrido el año anterior a aquel en que se haga el cobro, de acuerdo con los estados financieros puestos a disposición de la Superintendencia de Servicios Públicos y de la Comisión de Regulación de Energía y Gas.

El monto de la contribución que le corresponde pagar a cada entidad será liquidado por la Comisión de Regulación de Energía y Gas. Las contribuciones deberán ser pagadas dentro de los primeros treinta (30) días calendario siguientes al respectivo recaudo, en la entidad o entidades financieras señaladas para recibir este recaudo.

PARÁGRAFO. La Comisión de Regulación de Energía y Gas fijará anualmente su presupuesto, el cual deberá ser aprobado por el Gobierno Nacional.”

El artículo 11 de la Ley 142 de 1994 determina que: “Para cumplir con la función social de la propiedad, pública o privada, las entidades que presten servicios públicos tienen las siguientes obligaciones:


“11.8. Informar el inicio de sus actividades a la respectiva Comisión de Regulación, y a la Superintendencia de Servicios Públicos, para que esas autoridades puedan cumplir sus funciones”.

El artículo 79 de la Ley 142 de 1994 le asignó a la Superintendencia de Servicios Públicos Domiciliarios (SSPD) la función de: “4. Establecer los sistemas uniformes de información y contabilidad que deben aplicar quienes presten servicios públicos, según la naturaleza del servicio y el monto de sus activos, y con sujeción siempre a los principios de contabilidad generalmente aceptados.

El numeral 36 del artículo 79 de la Ley 142 de 1994, adicionado por el artículo 14 de la Ley 689 de 2001, ordena:

Corresponde a la Superintendencia de Servicios Públicos Domiciliarios, en desarrollo de sus funciones de inspección y vigilancia, establecer, administrar, mantener y operar el Sistema Único de Información (SUI) de los Servicios Públicos Domiciliarios que se nutra con la información de los prestadores, auditores externos, entidades públicas, particulares, interventores y/o supervisores relacionados con la prestación de los servicios públicos domiciliarios. El SUI podrá interoperar con otras plataformas públicas y privadas y, adicionalmente, podrá compartir información, inclusive aquella que tenga el carácter de confidencial o reservado, garantizando la reserva y confidencialidad de la misma”.

De acuerdo con el inciso final del artículo 73 de la Ley 142 de 1994, “Salvo cuando esta Ley diga lo contrario en forma explícita, no se requiere autorización previa de las comisiones para adelantar ninguna actividad o contrato relacionado con los servicios públicos; ni el envío rutinario de información. Pero las comisiones, tendrán facultad selectiva de pedir información amplia, exacta, veraz y oportuna a quienes prestan los servicios públicos a los que esta Ley se refiere, inclusive si sus tarifas no están sometidas a regulación. Quienes no la proporcionen, estarán sujetos a todas las sanciones que contempla el artículo 81 de la presente Ley. En todo caso, las comisiones podrán imponer por sí mismas las sanciones del caso, cuando no se atiendan en forma adecuada sus solicitudes de información.”

La SSPD reglamentará para cada año, los lineamentos para el reporte de información en el Sistema Único de Información (SUI), con los plazos y la estructura que debe cumplir cada uno de los regulados, así como el censo de cada vigencia. En efecto, cada reporte, basado en una taxonomía por grupo y tipo de reporte, permite reflejar los requerimientos de reconocimiento, medición (inicial y posterior), presentación y revelación de cada uno de los marcos normativos. Es así, que cada preparador de información, vigilado por la SSPD, podrá utilizar los mecanismos que considere más fiables y pertinentes para el registro de los hechos económicos en cumplimiento de los objetivos de la información contable, sin que estos sufran una modificación en su naturaleza.

El artículo 18 de la Ley 142 de 1994 señala que: “(…) En todo caso, las empresas de servicios públicos que tengan objeto social múltiple deberán llevar contabilidad separada para cada uno de los servicios que presten; y el costo y la modalidad de las operaciones entre cada servicio deben registrarse de manera explícita (...)”.

Para efectos de la presente resolución y del cálculo de la contribución especial en general, la CREG ha adoptado la posición de “gastos de funcionamiento”, que ha desarrollado la Sección Cuarta del Consejo de Estado, según la cual deben entenderse como tales, únicamente aquellos que están relacionados con la prestación del servicio sujeto a regulación, la cual ha sido expuesta en sentencias con radicados 11001-03-27-000-2007-00049-00 (16874) del 23 de septiembre de 2010 y 25000-23-27-000-2012-00362-01 (20253) del 17 de septiembre de 2014, de la Consejera Ponente: Martha Teresa Briceño de Valencia, ratificando posiciones contenidas en fallos emitidos en años anteriores, entre estos: (i) Sentencia del Consejo de Estado, Sección Cuarta, de 9 de abril de 2001, Exp. 11001-03-27-000-2000-1253-01(11790) -Sobre el alcance conceptual de los gastos de funcionamiento-, (ii) Sentencia del Consejo de Estado, Sección Cuarta de 17 de abril de 2008, Exp. 11001-03-27-000-2005-00061-00(15771) -Sobre el alcance de la expresión funcionamiento y de la definición de gastos de funcionamiento-, Consejera Ponente: María Inés Ortiz Barbosa.

De acuerdo con lo anterior, y con el fin de calcular la tarifa para la liquidación de la Contribución Especial del año 2025, la CREG tomó la información financiera reportada y certificada en el SUI con corte a 31 de diciembre de 2024, por las entidades sometidas al ámbito de regulación de la CREG.

En desarrollo del artículo 19 del Decreto 1523 de 2024 y su Decreto de liquidación 1621 de 2024, por los cuales se asigna y liquida el presupuesto general de la nación, y en concordancia con la Resolución UAE 99 286 de 2025, las apropiaciones presupuestales aprobadas y vigentes a favor de la CREG para la vigencia fiscal 2025, ascendieron a la suma de CINCUENTA MIL OCHOCIENTOS VEINTICUATRO MILLONES NOVECIENTOS MIL PESOS M/CTE (50.824.900.000), como se detalla en el documento técnico, el cual hace parte integral de esta resolución.

El valor que debe ser cubierto con el recaudo de la contribución especial de que trata el artículo 85 de la Ley 142 de 1994, son los aforados como recursos 16 – Fondos Especiales, Sin Situación de Fondos – SSF, que ascienden a la suma de $43.768.100.000, que restando las transferencias de excedentes al Fondo Empresarial, da como resultado un valor neto presupuestal base para la contribución especial 2025, por el valor de: CUARENTA MIL NOVECIENTOS OCHENTA Y NUEVE MILLONES CIEN MIL PESOS M/CTE. ($40.989.100.000), como se detalla en el Documento Técnico 905 015 que fija la tarifa de la presente contribución y que hace parte integral de esta resolución.

Formarán parte de la base gravable de liquidación de la Contribución Especial 2025, la sumatoria de los valores certificados al SUI por los prestadores, en el Formato Complementario [900017] FC01-01 a FC01-07 “Gastos de Servicios Públicos”, en la columna gastos administrativos a 31 de diciembre de 2024, Concepto Total Gastos para cada servicio público, objeto del ámbito de regulación de la CREG, tomando como corte la información reportada a la SSPD al 13 de septiembre de 2025, suministrada por la SSPD a la CREG.

No obstante, se exceptúan de la base gravable de la contribución especial 2025 los siguientes conceptos incluidos en el Formato Complementario [900017] FC01-01 a FC01-07 “Gastos de Servicios Públicos”, de la información financiera 2024 reportada por los regulados en el SUI, adoptando la posición del Consejo de Estado en su jurisprudencia.

Tabla 1. Relación de rubros exentos de gastos de funcionamiento.

(-) Impuestos, tasas y contribuciones.
(-) Impuestos a las ganancias corrientes.
(-) Impuesto a las ganancias diferido.
(-) Deterioro.
(-) Depreciación.
(-) Amortización.
(-) Provisiones:
Litigios y demandas,
Garantías,
Diversas.
(-) Otros gastos:
Comisiones,
Financieros,
Ajuste por diferencia en cambio,
Pérdidas por aplicación del método de participación,
Gastos diversos,
Donaciones.
(-) Licencias, contribuciones y regalías:
Secretaría Distrital del Medio Ambiente,
Ley 56 de 1981,
Medio ambiente – Ley 99 de 1993,
Regalías,
Licencia de operación del servicio,
FAZNI,
FAER,
Cuota de fomento de gas,
Comité de estratificación – Ley 505 de 1999,
Art. 25 – Ley 142 de Concesiones y permisos ambientales y sanitarios
Otras licencias Ley 142 de 1994.

El censo de regulados sujetos a la contribución especial a favor de la CREG, con corte al 13 de septiembre de 2025, son 522 entidades activas en el Registro Único de Prestadores de la Superintendencia de Servicios Públicos Domiciliarios (RUPS) para el año 2024, de las cuales 367 entidades reportaron la información financiera 2024, al SUI de la SSPD.

La información financiera del año 2024 depurada, que conformará la base gravable, se detalla en las siguientes cuentas:

Tabla 2. Consolidado detallado de la base gravable contribución 2025.

TIPO DE GASTO  CONCEPTOS VALORES EEFF 2024
Administrativo  Total Gastos Administrativos $ 31.180.012.062.614
Administrativo  (-) Ajustes Diferencia en Cambio -$ 1.706.550.285.118
Administrativo  (-) Comisiones -$ 79.992.262.382
Administrativo  (-) Donaciones -$ 38.570.088.065
Administrativo  (-) Financieros -$ 9.559.765.198.973
Administrativo  (-) Perdida por el método de participación patrimonial -$ 5.708.543.000
Administrativo  (-) Litigios y/o demandas -$ 137.825.384.000
Administrativo  (-) Garantías -$ 221.672.000
Administrativo  (-) Diversas -$ 1.284.455.200.000
Administrativo  (-) Amortización -$ 194.056.993.819
Administrativo  (-) Depreciación -$ 200.710.166.010
Administrativo  (-) Deterioro -$ 4.065.057.927.379
Administrativo  (-) Impuesto a las Ganancias Corrientes -$ 6.496.761.627.355
Administrativo  (-) Impuesto a las Ganancias Diferido -$ 769.797.748.213
Administrativo  (-) Impuestos Tasas y Contribuciones -$ 1.226.537.149.979
Administrativo  (-) Gastos Diversos -$ 427.219.763.661
Administrativo  (-) Secretaría Distrital del Medio Ambiente -$ -
Administrativo  (-) Ley 56 de 1981 -$ -
Administrativo  (-) Medio Ambiente - Ley 99 de 1993 -$ 274.684.000
Administrativo  (-) Regalías -$ -
Administrativo  (-) Licencia De Operación Del Servicio -$ -
Administrativo  (-) FAZNI -$ -
Administrativo  (-) FAER -$ -
Administrativo  (-) Cuota de Fomento de gas -$ -
Administrativo  (-) Comité De Estratificación -Ley 505 De 1999 -$ 663.547.000
Administrativo  (-) Art 25 - Ley 142 - Concesiones, y permisos ambientales y sanitarios -$ -
Administrativo  (-) Otras licencias Ley 142 de 1994 -$ 516.125.000
TOTAL BASE GRAVABLE CON REPORTE $ 4.985.327.696.660

De conformidad con el artículo 85 de la Ley 142 de 1994 y el artículo 22 de la Ley 143 de 1994, la tarifa de la contribución especial de regulación es un porcentaje variable con el cual se determina el valor a pagar por cada contribuyente en una vigencia específica, la cual será hallada tomando el presupuesto vigente de la CREG, el cual será dividido sobre la sumatoria de las bases gravables de los sujetos pasivos. La tarifa no podrá ser superior al uno por ciento (1%) de las respectivas bases gravables.

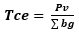
La tarifa descrita se calculará de la siguiente manera:

 

Donde:

Tce: tarifa de la contribución especial.
PvC:presupuesto vigente de la CREG
Sumatoria de las bases gravables de los sujetos pasivos.

La CREG hizo el análisis de la información financiera 2024 reportada por los prestadores de los servicios públicos domiciliarios de energía eléctrica, gas natural y gas licuado de petróleo – GLP al SUI de la SSPD, con corte al 13 de septiembre de 2025.

La CREG depuró la información financiera reportada por los prestadores, conforme a las disposiciones de los artículos 85 de la Ley 142 de 1994 y 22 de la Ley 143 de 1994, así como las precisiones realizadas por el Consejo de Estado en las sentencias antes citadas, y estableció que el valor neto de los gastos de funcionamiento de los regulados depurados asciende a la suma de $ 4.985.327.696.660, la cual se constituye en la base gravable inicial para la contribución especial de la vigencia 2025.

Lo anterior, a efectos de depurar y establecer la base gravable y el monto de la tarifa de la contribución especial para la vigencia 2025, a partir del presupuesto base neto de la CREG a recuperar como costo de prestación del servicio de regulación por $40.989.100.000, tomando los gastos de administración 2024 reportados por las empresas, lo cual arroja como resultado del cálculo una tarifa de 0,82219470% la cual es inferior al máximo del 1%. A continuación, se presenta el detalle:

Tabla 3. Base Gravable 2025 y tarifa.

CONCEPTOS BASE GASTOS DE ADMINISTRACIÓN
TOTAL BASE GRAVABLE $ 4.985.327.696.660
TARIFA 0,82219470%  $ 40.989.100.000
PORCENTAJE DEL PRESUPUESTO POR BASE 100%

La contribución especial y su anticipo, será calculada por la Subdirección Administrativa y Financiera de la CREG, a través de una liquidación oficial para cada uno de los sujetos regulados, la cual será expedida por el director ejecutivo y notificada a la empresa regulada conforme a lo previsto en las disposiciones legales vigentes, contra la cual procederá el recurso de reposición, dentro de los cinco (5) días hábiles siguientes a la notificación por la CREG, conforme al artículo 113 de la Ley 142 de 1994.

Así las cosas, la liquidación individual debe contener los elementos mínimos para determinar el tributo, los cuales están determinados en el artículo 85 de la Ley 142 de 1994, donde se detallará la base gravable para cada uno de los regulados y la tarifa fijada en la presente resolución.

La Comisión de Regulación de Energía y Gas, en su Sesión CREG 1412 del 17 de octubre de 2025, acordó expedir la presente resolución.

RESUELVE:

ARTÍCULO 1. TARIFA PARA LIQUIDAR LA CONTRIBUCIÓN ESPECIAL 2025. El porcentaje de la tarifa para la liquidación de la contribución especial a favor de la Comisión de Regulación de Energía y Gas (CREG), que deben pagar las empresas y entidades sometidas a su regulación, es del (0,82219470%) sobre el valor de los gastos de funcionamiento, para cubrir el presupuesto del año 2025 de la Comisión, que asciende al valor de $ 40.989.100.000, el cual es financiado por la contribución especial.

PARÁGRAFO. A las empresas reguladas que durante el 2025 dejen de desarrollar de manera definitiva, las actividades que determinaron su condición de sujeto pasivo de la contribución especial, pero que hayan operado al menos un día durante la vigencia 2025, se les liquidará la contribución especial de regulación proporcionalmente a la fracción del año que hayan prestado el servicio público, con base en la información financiera de 2024 reportada en el SUI administrado por la SSPD.

ARTÍCULO 2. BASE GRAVABLE. La base gravable incluye los gastos de funcionamiento (gastos administrativos) depurados que para la vigencia 2025 ascienden a la suma de $ 4.985.327.696.660.

ARTÍCULO 3. EXPEDICIÓN DE LIQUIDACIÓN OFICIAL INDIVIDUAL. El director ejecutivo de la CREG deberá expedir una liquidación oficial individual para cada uno de los sujetos regulados, conforme al cálculo y liquidación que realice la Subdirección Administrativa y Financiera de la contribución especial y su anticipo, la cual será notificada conforme a lo previsto en las disposiciones legales vigentes y con sujeción a las reglas descritas en la presente resolución.

PARÁGRAFO 1. Una vez el acto administrativo de la liquidación oficial de la contribución especial 2025 se encuentre debidamente ejecutoriado, la misma deberá ser pagada únicamente por el contribuyente dentro del mes siguiente, en la cuenta corriente N° 285-863536 del Banco de Occidente, mediante consignación directa o transferencia electrónica, a favor del titular de la cuenta: COMISIÓN DE REGULACIÓN DE ENERGÍA Y GAS, identificada con el NIT 900034993-1. Los contribuyentes deberán informar a la CREG que se efectuó el pago correspondiente, remitiendo el soporte de pago, escaneado legible en formato PDF al correo: creg@creg.gov.co

PARÁGRAFO 2. OMISOS Y MOROSOS. Las empresas y entidades sujetas a la regulación de la CREG durante la vigencia 2025, que no han reportado la información financiera de la vigencia 2024 y que forman parte de la base para la liquidación de la contribución especial 2025 o que no se han inscrito en el Registro Único de Prestadores de la Superintendencia de Servicios Públicos Domiciliarios (RUPS), serán tratadas como omisas, requeridas en fiscalización y se les liquidará la contribución especial con base en la información de los últimos estados financieros presentados. Los gastos reportados serán indexados al 31 de diciembre de 2024, teniendo en cuenta la variación porcentual del IPC certificado por el DANE para los años objeto de indexación.

Las liquidaciones que no se paguen de conformidad a los términos señalados en el presente acto administrativo se constituirán en mora.

ARTÍCULO 4. ANTICIPO DE LA CONTRIBUCIÓN ESPECIAL 2026. Los sujetos pasivos que a 1 de enero de 2026 estén ejecutando actividades objeto de regulación por parte de esta Comisión, deberán pagar por concepto de anticipo de contribución especial 2026, un SESENTA POR CIENTO (60%) sobre el valor de contribución especial 2025, determinada en la liquidación oficial liquidada para este año. Los sujetos pasivos pagarán el anticipo a más tardar el 31 de enero de 2026.

Para tal efecto, dicho valor se calculará y liquidará conforme a las reglas definidas en la presente resolución.

ARTÍCULO 5. NOTIFICACIÓN Y RECURSOS. La liquidación de la contribución especial se notificará de acuerdo con lo establecido en las normas legales vigentes y contra esta procederá el recurso de reposición ante el director ejecutivo de la CREG, dentro de los cinco 5 días hábiles siguientes, de conformidad con el artículo 113 de la Ley 142 de 1994.

PARÁGRAFO. FIRMEZA Y EJECUTORIA. La liquidación de la contribución especial quedará en firme de acuerdo con lo establecido en el artículo 87 del Código de Procedimiento Administrativo y de lo Contencioso Administrativo, y prestará mérito ejecutivo de conformidad con lo dispuesto en el artículo 99 del mismo compendio normativo.

ARTÍCULO 6. REPORTE AL BDME. La CREG reportará en el Boletín de Deudores Morosos del Estado – BDME de la Contaduría General de la Nación (CGN), las personas naturales y jurídicas que, a cualquier título, a una fecha de corte, tienen contraída una obligación en mora a favor de la CREG, según lo dispuesto y en las condiciones establecidas en el parágrafo 3o del artículo 2o de la Ley 901 de 2004, y del numeral 5o del artículo 2o de la Ley 1066 de 2006; a través del sistema CHIP de la CGN, en los diez (10) primeros días de los meses de junio y de diciembre, con fecha de corte de obligación adeudada a 31 de mayo y 30 de noviembre respectivamente.

ARTÍCULO 7. PLAZO DE PAGO OPORTUNO E INTERESES POR MORA. El valor de la contribución especial deberá ser pagado dentro del mes siguiente a la fecha en que quede en firme la liquidación.

El no pago oportuno de la contribución a cargo, generará intereses moratorios por cada día de mora o retardo según la tasa de interés que se fije para cada mes. En esta instancia, se iniciará la etapa de cobro coactivo, en donde la CREG en desarrollo de las facultades exorbitantes que le asisten, buscará lograr la satisfacción de las obligaciones a su favor de manera persuasiva y/o coercitiva, de conformidad a su regulación normativa el Decreto 1066 de 2006, el Decreto 4473 de 2006, utilizando para ello el procedimiento descrito en el Estatuto Tributario Nacional, así como las remisiones normativas que en él se establezcan.

ARTÍCULO 8. DEL RÉGIMEN SANCIONATORIO. Cualquier inconsistencia originada por irregularidades o incumplimientos en el reporte y certificación por los prestadores de servicios públicos domiciliarios en el SUI, será trasladada a la SSPD para lo de su competencia y se dará aplicación en lo previsto en el artículo 73 y el artículo 81 de la Ley 142 de 1994, así como en la Resolución CREG 064 de 1998.

ARTÍCULO 9. REMISIÓN NORMATIVA Y VIGENCIA. Se aplicará lo establecido en la Ley 142 de 1994, en el Estatuto Tributario Nacional, en el Código de Procedimiento Administrativo y de lo Contencioso Administrativo, y demás normas concordantes, en lo no previsto en la presente resolución.

La presente resolución rige a partir de la fecha de su publicación en el Diario Oficial.

Dada en Bogotá, D.C., a los cinco (5) días del mes de noviembre de 2025.

PUBLÍQUESE, COMUNÍQUESE Y CÚMPLASE

×
Volver arriba