PROYECTO DE RESOLUCIÓN 701 112 DE 2025
(noviembre 20)
<Publicado en la página web de la CREG: 27 de noviembre de 2025>
COMISIÓN DE REGULACIÓN DE ENERGÍA Y GAS - CREG
La Comisión de Regulación de Energía y Gas (CREG) en su sesión 1420 del 20 de noviembre de 2025, aprobó someter a consulta pública el presente proyecto de resolución por el término de diez (10) días hábiles contados a partir del día de su publicación en el portal web de la CREG, en aplicación a lo dispuesto en el Decreto 05 de 2025.
Se invita a las empresas, los usuarios las autoridades y demás partes interesadas a presentar sus observaciones y sugerencias dentro del plazo establecido, mediante comunicaciones electrónicas dirigidas al Director Ejecutivo de la CREG, a la cuenta creg@creg.gov.co, con asunto: “Comentarios sobre la Resolución CREG 701 112 de 2025”.
Al vencimiento de la consulta pública, la CREG determinará si el proyecto debe ser informado a la Superintendencia de Industria y Comercio, para el ejercicio de la Abogacía de la Competencia, con fundamento en las disposiciones del Decreto 1074 de 2015, artículo 2.2.2.30.5.
En el Documento CREG 901 295 de 2025, se exponen los análisis y la justificación de la propuesta regulatoria que se somete al proceso de consulta pública.
PROYECTO DE RESOLUCIÓN
Por la cual se definen las condiciones para el traslado de los precios de los contratos resultantes del mecanismo de comercialización de energía presentado por Conexión Energética y se establecen los indicadores de evaluación conforme a lo previsto en la Resolución CREG 114 de 2018.
LA COMISIÓN DE REGULACIÓN DE ENERGÍA Y GAS
En ejercicio de sus atribuciones constitucionales y legales, en especial las conferidas por las Leyes 142 y 143 de 1994 y en desarrollo de los Decretos 1524 y 2253 de 1994 y 1260 de 2013
CONSIDERANDO QUE:
El artículo 334 de la Constitución establece que corresponde al Estado la dirección general de la economía, para lo cual intervendrá, por disposición de la ley, entre otros asuntos, en los servicios públicos y privados, buscando el mejoramiento de la calidad de vida de los habitantes, la distribución equitativa de las oportunidades y los beneficios del desarrollo y la preservación de un ambiente sano.
El artículo 365 de la Constitución señala que los servicios públicos son inherentes a la finalidad social del Estado y es su deber asegurar su prestación eficiente a todos los habitantes del territorio nacional.
De conformidad con lo previsto en los artículos 1o, 2o y 4o de la Ley 142 de 1994, la prestación del servicio público domiciliario de energía eléctrica y sus actividades complementarias constituyen servicios públicos esenciales, y el Estado intervendrá en los mismos a fin de, entre otros, garantizar la calidad del bien y su disposición final para asegurar el mejoramiento de la calidad de vida de los usuarios, así como su prestación continua, ininterrumpida y eficiente.
Atendiendo lo dispuesto en el artículo 3 de la Ley 142 de 1994, dentro de los fines que persigue la intervención del Estado en la prestación de los servicios públicos domiciliarios se encuentra la prestación eficiente, continua e ininterrumpida, la libre competencia y la no utilización abusiva de la posición dominante. Así mismo, dentro de los instrumentos que permiten dar cumplimiento a dichos fines se encuentra la regulación, incluyendo la fijación de metas de eficiencia y la definición del régimen tarifario.
Le corresponde a la Comisión de Regulación de Energía y Gas, CREG, señalar las políticas generales de administración y control de eficiencia de los servicios públicos domiciliarios, en los términos de la Constitución y la Ley, y definir el régimen tarifario con fundamento en los criterios establecidos para garantizar el cumplimiento de los fines de la intervención del Estado en la prestación de los servicios públicos y conforme a la política pública del Gobierno Nacional.
El numeral 73.11 del artículo 73 de la Ley 142 de 1994 atribuyó a la CREG la facultad de establecer las fórmulas para la fijación de las tarifas del servicio público domiciliario de energía eléctrica.
Dentro del régimen tarifario se encuentran establecer las reglas relativas a procedimientos, metodologías, fórmulas, estructuras, facturación, opciones, valores y, en general, todos los aspectos que determinan el cobro de las tarifas.
El numeral 74.1 del artículo 74 de la Ley 142 de 1994 establece que es función de la CREG regular el ejercicio de las actividades del sector de energía para asegurar la disponibilidad de una oferta energética eficiente, propiciar la competencia, adoptar medidas para impedir abusos de posición dominante y buscar la liberación gradual de los mercados hacia la libre competencia. Además, la CREG podrá adoptar reglas de comportamiento diferencial, según la posición de las empresas en el mercado.
Según lo definido en el numeral 87.1 del artículo 87 de la Ley 142 de 1994, la eficiencia económica es uno de los criterios necesarios para definir un régimen tarifario. Según este numeral, la eficiencia permite que las fórmulas tarifarias tengan en cuenta los costos y los aumentos de productividad para luego ser distribuidos entre la empresa y los usuarios, tal y como ocurre en un mercado competitivo. El mismo criterio exige, además, que no se trasladen a los usuarios los costos de una gestión ineficiente.
De acuerdo con el artículo 90 de la Ley 142, la CREG tiene competencia para incluir elementos en las fórmulas tarifarias. Todos los elementos deben observar entre otros, los criterios tarifarios previstos en el artículo 87 de la Ley 142 de 1994.
Conforme a lo dispuesto en la Ley 142 y 143 de 1994, la CREG cuenta con la facultad de establecer medidas regulatorias de carácter general frente a la definición de nuevos mecanismos para la comercialización de energía eléctrica que permitan la gestión de riesgo de ingresos para los agentes del mercado en diferentes horizontes de tiempo, siempre y cuando permita la formación de precios eficientes a afectos de ser trasladado a los usuarios finales.
En ejercicio de sus facultades legales, la CREG definió, mediante Resolución 114 de 2018, los principios y las condiciones generales que deben cumplir los mecanismos para la comercialización de energía eléctrica, para que los precios resultantes de esas transacciones sean trasladados en el componente de costos de compra de energía en la tarifa al usuario final. La Comisión definió que los principios habilitantes de dichos mecanismos son eficiencia, transparencia, neutralidad y fiabilidad. Asimismo, definió que los mecanismos deben cumplir con las condiciones generales de pluralidad, estandarización, simplicidad, disponibilidad de información, acreditación, anonimato, seguridad operativa, gestión de riesgos, reporte de información necesaria para la valoración de riesgos de los agentes del Mercado de Energía Mayorista, MEM, esquemas de solución de controversias y esquemas de ajustes regulatorio.
El artículo 8 de la Resolución CREG 114 de 2018 establece que el proceso de evaluación de mecanismos para la comercialización de energía consta de dos etapas. La primera corresponde a la presentación y evaluación de la propuesta. A su vez, esta etapa se compone de las siguientes actividades:
a. El Promotor entrega a la CREG la propuesta de mecanismo;
b. La CREG verifica el contenido mínimo de la propuesta establecido en el artículo 7 de esta misma resolución;
c. La CREG determina la necesidad de que el promotor contrate a uno o varios agentes especializados;
d. La CREG establece un cronograma indicativo para llevar a cabo el proceso de evaluación de principios y condiciones generales;
e. La CREG informa por medio de circular las decisiones a las que hacen referencia las actividades c y d anteriores;
f. La CREG, en conjunto con el agente o los agentes especializados en el caso de que sean requeridos, lleva a cabo la evaluación del mecanismo a efectos de determinar el cumplimiento de los principios y condiciones generales;
g. En función del resultado de la evaluación realizada por la CREG, si un mecanismo cumple con lo exigido en la Resolución CREG 114 de 2018, se expedirá una resolución de carácter general que establezca los indicadores de resultado del mecanismo y los referentes para su evaluación. También se establecerá la forma en la cual se reconocerán los costos agregados de la compra de energía en el componente G del costo unitario de prestación del servicio a los usuarios regulados, a los comercializadores a quienes se les asignen contratos como resultado de la ejecución del mecanismo.
La segunda etapa comprende la ejecución y evaluación de los resultados del mecanismo para la comercialización de energía.
En el marco de la Resolución CREG 114 de 2018, mediante comunicación con radicado CREG E202400317, del 05 de enero de 2024, la empresa Conexión Energética, CE, en calidad de Promotor, presentó a la CREG una propuesta para ser evaluada, en referencia al Mecanismo de Comercialización de Contratos de Energía Eléctrica del Mercado Regulado, MCE, y para determinar el cumplimiento de los principios y condiciones generales que permiten que los precios de este tipo de mecanismos sean reconocidos en el componente de costos de compras de energía al usuario regulado.
Revisado el contenido de la propuesta, la CREG solicitó aclaraciones a CE mediante comunicación con radicado CREG S2024005584, del 20 de agosto de 2024, para establecer que formalmente se incluye lo listado en el artículo 7 de la Resolución CREG 114 de 2018 y se pueda valorar el cumplimiento de lo establecido en el numeral 1 del Anexo 3 de la resolución mencionada. CE allegó la comunicación con radicado CREG E20240014681, del 23 de septiembre de 2024, dando respuesta a las solicitudes realizadas.
Atendiendo al contenido de la propuesta presentada por CE, la CREG identificó la necesidad de que el Promotor contrate varios agentes especializados, AE, que tengan las calidades y requisitos de naturaleza técnica y especializada para acompañar y brindar asesoría y apoyo técnico y especializado en la evaluación.
Mediante Circular CREG 118 del 17 de diciembre de 2024, la CREG informó sobre los perfiles definidos para tres (3) AE y sobre el cronograma indicativo del proceso de evaluación. Los perfiles para AE definidos por la CREG fueron:
Agente Especializado 1: Conocimiento específico en identificación y mitigación de riesgos, con el objetivo de proveer información amplia y suficiente relacionada con la identificación de riesgos para los participantes del MEM, los esquemas de mitigación y demás elementos del mecanismo para la comercialización.
Agente Especializado 2: Conocimiento específico en diseño de mercados, con el objetivo de aportarle a la CREG los elementos de análisis relacionados con las propiedades del mecanismo sobre eficiencia, maximización del intercambio, potencial ejercicio de poder de mercado y posibles arbitrajes, enfocándose en las condiciones del mecanismo que determinan la participación de múltiples agentes de oferta y demanda, la objetividad de dichas condiciones, la homogeneidad en el tratamiento que el mecanismo pretende dar a los participantes y en general todos aquellos elementos que afecten directa o indirectamente la eficiencia del mecanismo en la formación de precios y la asignación de cantidades mediante prácticas restrictivas de la competencia.
Agente Especializado 3: Conocimiento específico en gobierno corporativo y gobernanza, con el objetivo de proveerle a la Comisión información amplia y suficiente sobre los elementos del mecanismo propuesto en relación con la configuración de conflictos de interés con participantes del mercado de energía eléctrica, de tal forma que sea posible para la CREG determinar si la independencia e imparcialidad del Promotor, y de quienes lo componen, es susceptible de ser afectada a partir de las relaciones con participantes del mercado de energía. Se considera entonces relevante no solo la identificación de vínculos con agentes del mercado sino además los esquemas diseñados por el mecanismo para gestionar conflictos tanto potenciales como efectivos. Adicionalmente, debe dimensionar las responsabilidades dentro de las actividades que se desarrollen dentro de un grupo económico, estableciendo los alcances de las relaciones entre la matriz y la filial.
Mediante comunicaciones con radicado CREG E2025000896 y E2025000904, del 22 de enero de 2025, y E2025003328 y E2025003507, del 6 y del 8 de marzo de 2025, respectivamente, CE postuló y anexó los soportes respectivos de profesionales para cada uno de los perfiles de AE definidos por la CREG. En respuesta, mediante comunicación con radicado CREG S2025003752, la CREG le informó a CE que en Sesión CREG 1384 del 8 de mayo de 2025, se aprobó la contratación de los siguientes profesionales:
Agente Especializado 1: Luis Alberto Godoy Leal.
Agente Especializado 2: Eduardo Afanador Iriarte.
Agente Especializado 3: Andrés Flórez Villegas.
CE energética informó, mediante comunicación con radicado CREG E2025007260, de la contratación de los respectivos agentes especializados.
La CREG llevó a cabo el proceso de análisis y evaluación del mecanismo presentado por CE en los términos definidos por la resolución citada, con la asesoría de los tres (3) agentes especializados en los temas de riesgo, mercados financieros y gobernanza.
Los informes finales remitidos a la Comisión por parte de estos agentes especializados quedaron consignados mediante los radicados CREG E2025009087 (AE3), E2025009204 (AE1) y E2025009217 (AE2).
En las conclusiones presentadas por el AE1 se indica:
“(…) A partir de los análisis realizados, el Agente Especializado 1 concluye que el MCE cumple con los principios y condiciones generales de la Resolución CREG 114 de 2018. En particular, el mecanismo contempla sistemas de gestión de riesgo suficientes para acotar la exposición de cada uno de los agentes involucrados. Además, la implementación de estas medidas de mitigación de riesgo no actúa en detrimento del usuario regulado, pues no tiene el potencial de incrementar de manera sustancial el Costo Unitario de Prestación del Servicio de Energía Eléctrica ni compromete su estabilidad. (…)”
En las conclusiones presentadas por el AE2 se indica:
“(…) De acuerdo con todo lo expuesto se puede concluir que el MCE cumple con las condiciones generales Pluralidad y Acreditación, en la medida que los requisitos definidos en el Reglamento permiten la concurrencia de múltiples agentes de oferta y demanda, con requisitos claros, objetivos, razonables y proporcionales. (…)
De acuerdo con lo analizado y expuesto, el AE2 concluye que el MCE sí define una política de publicación de información relevante para la toma de decisiones ex ante, durante y ex post a las transacciones. (…)
De acuerdo con lo analizado y expuesto, el AE2 concluye que el MCE sí define una política de publicación de información relevante para la toma de decisiones ex ante, durante y ex post a las transacciones.
Adicionalmente, considera el AE2 que esa política de publicación de información relevante para la toma de decisiones ex ante, durante y ex post a las transacciones lo cual contribuye a la eficiencia del funcionamiento del MCE. (…)
De acuerdo con lo analizado y expuesto, el AE2 concluye que el MCE proporciona la información necesaria para que las autoridades de vigilancia y control puedan llevar a cabo las verificaciones según su competencia y consecuentemente, se cumple con la condición general de Información Necesaria para Valoración de Riesgos de los Agentes del MEM. (…)
Realizado el análisis por parte del AE2, se concluye que los precios resultantes son obtenidos de una función observable de las ofertas presentadas y variables objetivas definidas por el mecanismo. La forma de adjudicación y la formación de precio del MCE están claramente definidas, y tanto los procedimientos como los resultados son replicables y auditables. En consecuencia, se concluye igualmente que el MCE cumple con la condición general de Simplicidad. (…)
Realizado el análisis por parte del AE2, se concluye que el MCE define claramente las características mínimas y las cláusulas básicas del contrato objeto de negociación, tienen precios y cantidades determinables de manera objetiva e independientemente verificables, es decir, el MCE cumple con la condición general de Estandarización (…)
Con base en todo lo expuesto, el AE2 concluye que el MCE cumple con la condición general de Seguridad Operativa. (…)
El AE2 concluye que el MCE es funcional bajo el marco regulatorio vigente y no requiere modificaciones a la regulación por parte de la CREG, para su adecuada ejecución, en la medida que, como ya se expuso en el numeral 1.3.2, la minuta del contrato estandarizado se adecua a las normas establecidas por la CREG para el registro de los contratos en el ASIC y su liquidación en las transacciones del MEM. (…)
De acuerdo con todo lo expuesto anteriormente, el AE2 concluye adicionalmente que el MCE cumple con la condición de 'Adaptabilidad al mercado' al disponer de procedimientos internos de ajuste, esquemas de solución de controversias y cláusulas de ajuste regulatorio en contratos, asegurando su operatividad ante cambios de mercado, regulatorios y operativos, sin requerir modificaciones por parte de la CREG. (…)
De acuerdo con lo expuesto, y sin perjuicio del nivel de cobertura de las garantías, sus propias características y coberturas, el AE2 concluye que el MCE cuenta con esquemas de gestión de riesgo que les permiten a sus participantes acotar los riesgos asociados a su implementación, incluyendo el riesgo asociado con el incumplimiento de las obligaciones derivadas de la participación en el mecanismo. (…)
Con base en lo analizado y expuesto en el capítulo 1 (evaluación de las condiciones generales), el AE2 concluye que el Principio de Eficiencia se cumple (…)
Con base en lo analizado y expuesto en el capítulo 1 (evaluación de las condiciones generales), el AE2 concluye que el Principio de Transparencia se cumple (…)
Con base en lo analizado y expuesto en el capítulo 1 (evaluación de las condiciones generales), el AE2 concluye que el Principio de Neutralidad se cumple (…)
Con base en lo analizado y expuesto en el capítulo 1 (evaluación de las condiciones generales), el AE2 concluye que el Principio de Fiabilidad se cumple (…)”
En las conclusiones presentadas por el AE3 se indica:
“(…) De conformidad con lo dicho hasta este punto consideramos lo siguiente:
- En nuestra opinión, existe independencia e imparcialidad en la Propuesta y no vemos que dicha independencia e imparcialidad sea susceptible de ser afectada a partir de las relaciones con participantes del mercado de energía pues estas, desde el punto de vista accionario, son inexistentes.
Además, consideramos que los esquemas diseñados por el mecanismo para gestionar conflictos tanto potenciales como efectivos son adecuados.
- Explicamos a lo largo de la Opinión las normas relacionadas con un grupo empresarial y las relaciones matriz-filial. Las normas aplicables y las previsiones adoptadas por la BMC y Conexión son adecuadas a la luz de las normas aplicables.
- En nuestra opinión, a la luz de los documentos analizados, consideramos que no existen falencias que requieran la incorporación de otras condiciones o esquemas adicionales para garantizar una adecuada administración de conflictos de interés con participantes del mercado de energía. (…)”
Con base en los informes de los agentes especializados y los análisis internos de la CREG, la evaluación del mecanismo permite determinar que el MCE cumple con los principios y condiciones establecidos en los artículos 3 y 4 de la Resolución CREG 114 de 2018 y el promotor CE cumple con las condiciones mínimas descritas en el artículo 6 de la misma resolución.
En consecuencia, una vez verificado y evaluado lo anterior, conforme al literal g del numeral 1 del artículo 8 de la Resolución CREG 114 de 2018, la CREG identifica la necesidad de publicar para comentarios el proyecto de resolución mediante el cual se definen las reglas y condiciones del traslado de los precios resultantes de las transacciones realizadas en el MCE. El proyecto debe contener también la definición de los indicadores de resultados del funcionamiento del mecanismo, las condiciones de seguimiento y evaluación de dichos indicadores, así como las reglas aplicables en caso de modificación de este.
RESUELVE:
DISPOSICIONES GENERALES.
ARTÍCULO 1. OBJETO. Definir las condiciones del traslado de los precios de los contratos resultantes del Mecanismo de Comercialización de Contratos de Energía Eléctrica del Mercado Regulado, MCE, promovido por el promotor Conexión Energética, CE, destinados a la demanda regulada. Así mismo, definir los indicadores de resultado del mecanismo y los referentes para su evaluación.
Las reglas establecidas en esta resolución se definen en el marco de lo establecido en la Resolución CREG 114 de 2018 y como resultado de la evaluación realizada por la CREG contenida en el Documento CREG 901 295 de 2025, y están condicionadas a que el mecanismo cumpla de manera permanente con los principios y condiciones evaluados.
ARTÍCULO 2. ÁMBITO DE APLICACIÓN. Esta resolución aplica a los agentes prestadores del servicio público de energía eléctrica que realizan la actividad de comercialización y que realicen transacciones en el MCE propuesto por el promotor CE para atender usuarios finales regulados.
ARTÍCULO 3. DEFINICIONES. Para la interpretación y aplicación de esta resolución se tendrán en cuenta, además de las definiciones establecidas en las leyes 142 y 143 de 1994, en la Resolución CREG 114 de 2018 y en las demás resoluciones vigentes de la CREG, las siguientes:
Fecha de emisión del Informe Anual de Evaluación: Fecha en la cual el Auditor hace envío de su informe a la CREG por medio electrónico.
Informe Anual de Evaluación por parte del Auditor: Informe escrito elaborado por el Auditor que contiene una conclusión explícita, clara e inequívoca acerca del cumplimiento de los indicadores de evaluación del resultado del mecanismo, definidos en la presente resolución.
Periodo anual de evaluación: Periodo de doce (12) meses para el cual se realiza la evaluación periódica por parte del Auditor y sobre el cual se fundamenta el Informe Anual de Evaluación.
Posición neta: Es la cantidad de energía con el menor precio, comprada con destino a la demanda regulada, que excede a la cantidad de energía vendida por un comercializador, a través de transacciones en el MCE para un mes en particular.
TRASLADO DE COSTOS A USUARIOS REGULADOS.
ARTÍCULO 4. TRANSACCIONES OBJETO DE TRASLADO. Para efectos del traslado del que trata la presente resolución y todas las reglas acá señaladas, serán consideradas las transacciones que se realicen en las ruedas de negocio del MCE.
ARTÍCULO 5. CANTIDAD A TRASLADAR A USUARIOS REGULADOS. La cantidad a ser trasladada corresponderá a aquella que cumpla las siguientes condiciones:
i) Corresponde a los contratos de compra de la posición neta, suscritos por el comercializador a través del MCE para cubrir demanda regulada.
ii) Para el mes de suministro m, se puede verificar en los registros del MCE de CE que dicha cantidad corresponde a la cantidad de la posición neta del comercializador.
iii) No excede la demanda comercial del respectivo comercializador.
PARÁGRAFO. Los comercializadores que atiendan demanda regulada y no regulada deberán registrarse en el MCE con una cuenta independiente para cada tipo de demanda, de forma tal que se puedan establecer claramente las cantidades con destino a cada una.
ARTÍCULO 6. PRECIO PROMEDIO PONDERADO PARA EL TRASLADO DE LAS COMPRAS REALIZADAS POR EL COMERCIALIZADOR EN EL MCE. El precio promedio ponderado para el traslado de las compras realizadas por el comercializador a través del MCE, con destino a la demanda regulada, será calculado utilizando la siguiente fórmula:
![]()
Donde,
| : | Precio promedio ponderado de las compras sujetas a traslado en el mes m, realizadas por el comercializador i a través del MCE, expresado en pesos por kilovatio hora (COP/kWh). | |
| : | Precio del contrato de compra s, con suministro en el mes m, suscrito por el comercializador i, a través del MCE, expresado en pesos por kilovatio hora (COP/kWh). | |
| : | Cantidad de energía del contrato de compra s, con suministro en el mes m, suscrito por el comercializador i a través del MCE, expresada en kilovatios hora (kWh). | |
| : | Contrato de compra con suministro en el mes m, suscrito por el comercializador i. | |
| : | Mes de suministro de energía objeto del traslado de costos. | |
| : | Número total de contratos de compra con suministro en el mes m, suscritos por el comercializador i a través del MCE. |
ARTÍCULO 7. TRASLADO DEL COSTO FINANCIERO DE GARANTÍAS EXIGIDAS EN EL MCE. Como costo de garantías se reconocerá el mínimo entre el costo en el que incurrió el comercializador y el costo valorado con la tasa de endeudamiento preferencial publicada por el Banco de la República para cada mes, calculado de la siguiente manera:
![]()
Donde,
| : | Costo financiero trasladable de garantías exigidas por el MCE para los contratos de compra de energía con suministro en el mes m, con destino a usuarios regulados, suscritos por el comercializador i, expresado en pesos por kilovatio hora (COP/kWh). | |
: | Costo real de las garantías exigidas por el MCE para contratos con suministro en el mes m, asumido y calculado por el comercializador i, expresado en pesos (COP). | |
: | Monto de garantía exigido por el MCE en el mes m, para el contrato s, al comercializador i, expresado en pesos (COP). | |
: | Tasa de interés para créditos comerciales (Preferencial o Corporativo), publicada por el Banco de la República para el mes m, expresada en su tasa equivalente efectiva mensual. | |
| : | Cantidad de energía comprada en el MCE, mecanismo 7, con suministro en el mes m, en contratos suscritos por el comercializador i, expresada en kilovatios hora (kWh). Este valor se obtiene de aplicar la siguiente fórmula:![]() En donde | |
| : | Contrato de compra con suministro en el mes m, suscrito por el comercializador i. | |
| : | Mes de suministro de energía objeto del traslado de costos. | |
| : | Número total de contratos de compra con suministro en el mes m, suscritos por el comercializador i a través del MCE. |
PARÁGRAFO. La fórmula prevista en el presente artículo para el traslado del costo financiero de garantías estará vigente hasta que esta Comisión defina la regla de traslado definitiva del costo financiero de garantías aplicable en el componente de comercialización del CU de energía eléctrica.
ARTÍCULO 8. FÓRMULA PARA EL TRASLADO DEL PRECIO PROMEDIO DE COMPRA Y DEL COSTO FINANCIERO DE GARANTÍAS. Para el traslado del precio promedio de compra descrito en el artículo 6 y del costo financiero de las garantías definido en el artículo 7, en la fórmula general del componente G del CU de energía eléctrica, el comercializador deberá utilizar la siguiente fórmula:
![]()
Donde,
| : | Precio de traslado de las compras a través del MCE, mecanismo 7, con suministro en el mes m, realizadas por el comercializador i, expresado en pesos por kilovatio hora (COP/kWh). Este precio de traslado incluye el precio de compra de energía y el costo financiero de las garantías exigidas en el mecanismo. | |
| : | Precio promedio ponderado de las compras sujetas a traslado en el mes m, realizadas por el comercializador i a través del MCE, expresado en pesos por kilovatio hora (COP/kWh). | |
| : | Costo financiero trasladable de garantías exigidas por el MCE para los contratos de compra de energía con suministro en el mes m, con destino a usuarios regulados, suscritos por el comercializador i, expresado en pesos por kilovatio hora (COP/kWh). |
ARTÍCULO 9. CONDICIONES DE EVALUACIÓN DEL MECANISMO POR PARTE DEL AUDITOR PARA EL TRASLADO. Las transacciones realizadas en el MCE presentado por CE podrán ser trasladas en el componente de compras de energía (G) del costo unitario de prestación del servicio al usuario regulado (CU), de acuerdo con las siguientes condiciones:
i) Si el Informe Anual de Evaluación por parte del Auditor de que trata el artículo 12 da como resultado “Cumple”, los comercializadores podrán continuar con el traslado de los precios y cantidades resultantes de las transacciones que realicen en el MCE, para lo cual deberán aplicar las reglas de traslado señaladas en esta resolución.
ii) Si el Informe Anual de Evaluación por parte del Auditor de que trata el artículo 12 da como resultado “No cumple” durante dos (2) años consecutivos, se suspenderá el traslado de los precios y cantidades resultantes de las transacciones realizadas el día hábil siguiente a la publicación del informe de auditoría por parte de la CREG, de la que trata el parágrafo 1 del artículo 12.
PARÁGRAFO 1. Los primeros cuatro (4) informes anuales de evaluación por parte del Auditor no serán tenidos en cuenta para efectos de lo señalado en el numeral ii) del presente artículo.
PARÁGRAFO 2. Si el resultado del Informe Anual de Evaluación por parte del Auditor tiene como consecuencia la suspensión del traslado, de acuerdo con lo señalado en el ordinal ii) del presente artículo, CE podrá solicitar una nueva evaluación de los indicadores de resultado. Esta evaluación podrá ser solicitada a partir de los seis (6) meses siguientes a la suspensión del traslado, ante lo cual la CREG evaluará si procede la reanudación del traslado.
ARTÍCULO 10. CONDICIONES PARA EL TRASLADO. El traslado del precio de los contratos resultantes del MCE, destinados a la demanda regulada, podrá iniciarse a partir del día siguiente a la entrada en vigencia de esta resolución.
INDICADORES Y AUDITORÍA.
ARTÍCULO 11. INDICADORES DE EVALUACIÓN DEL RESULTADO DEL MCE. Los indicadores que se utilizarán para hacer seguimiento a los resultados del MCE, en el marco de la Resolución CREG 114 de 2018, están descritos en el Anexo 1 de esta resolución.
La medición de los indicadores descritos se hará con una periodicidad anual y su cálculo será responsabilidad de CE, quien deberá publicarlos en su página web para conocimiento público, dentro de los cinco (5) días hábiles siguientes a su medición.
PARÁGRAFO. La información con base en la cual se calculen los indicadores deberá conservarse y mantenerse disponible cuando sea requerida por la CREG, la SSPD, el Auditor o las demás autoridades competentes.
ARTÍCULO 12. EVALUACIÓN DE LOS INDICADORES DEL RESULTADO DEL MCE. CE deberá contratar un Auditor de la lista de elegibles determinada por el Comité Asesor de Comercialización, CAC, para evaluar los indicadores de resultado del mecanismo, conforme a lo señalado en la Resolución CREG 114 de 2018, o aquellas que la modifiquen, adicionen o sustituyan.
Conforme a lo señalado en los numerales 1 y 2 del Anexo 2 de la Resolución CREG 114 de 2018, el Auditor seleccionado para evaluar los indicadores de resultado descritos en el Anexo 2 de la presente resolución deberá:
i) Replicar el cálculo de los indicadores de resultado señalados en el Anexo 1 de la presente resolución.
ii) Emitir un Informe Anual de Evaluación que abarque el periodo anual de evaluación, con base en las reglas de evaluación descritas en el Anexo 2 de la presente resolución. El informe de evaluación deberá tener como resultado un concepto explícito, claro e inequívoco de “Cumple” o “No cumple” conforme a la metodología descrita en el Anexo 3 de la presente resolución.
PARÁGRAFO 1. El Informe Anual de Evaluación por parte del Auditor del que trata el presente artículo deberá ser enviado a la CREG y a la SSPD por medio electrónico, a más tardar treinta (30) días calendario después de la finalización del periodo anual de evaluación. Este informe será publicado mediante Circular de la Dirección Ejecutiva de la CREG, conforme al literal d) del numeral 2 del artículo 8 de la Resolución CREG 114 de 2018 o aquella que la modifique, adicione o sustituya.
PARÁGRAFO 2. Los doce (12) meses correspondientes al primer periodo anual de evaluación empiezan a contar a partir del día siguiente a la fecha de entrada en vigencia de la presente resolución. Los siguientes periodos anuales de evaluación corresponderán a cada año calendario transcurrido a partir de dicha fecha.
PARÁGRAFO 3. Los indicadores definidos en el Anexo 1 deberán incorporarse desde el primer informe de evaluación del Auditor, aunque para los primeros dos informes no sea posible determinar la condición de “Cumple” o “No cumple” para cada uno de ellos, según la metodología dispuesta en el Anexo 2, por no contar con valores base de referencia.
ARTÍCULO 13. EVALUACIÓN DEL CRITERIO DE CONSISTENCIA DEL MCE. Conforme a lo señalado en el numeral 3 del Anexo 2 de la Resolución CREG 114 de 2018, el Informe Anual de Evaluación por parte del Auditor deberá incluir la evaluación del criterio de consistencia. Para ello, el Auditor deberá evaluar mediante un indicador binario: “Cumple”; “No cumple”; si se presentaron modificaciones al mecanismo evaluado, en las condiciones descritas en el Documento CREG 901 295 de 2025, parte integral de esta resolución.
En caso de encontrar modificaciones que no fueron informadas ni evaluadas por esta Comisión, el Auditor indicará que el mecanismo “No cumple” el criterio de consistencia, caso en el cual se suspenderá el traslado de los precios y cantidades resultantes de las transacciones realizadas a partir del día hábil siguiente a la publicación del informe de auditoría por parte de la CREG, de la que trata el parágrafo 1 del Artículo 12.
ARTÍCULO 14. PERFIL DEL AUDITOR. Además de las condiciones definidas en la Resolución CREG 114 de 2018 o aquella que la modifique, adicione o sustituya, el Auditor deberá acreditar experiencia previa verificable de tres (3) años o más en auditorías de mercados de valores o derivados financieros.
MODIFICACIONES AL MCE.
ARTÍCULO 15. MODIFICACIONES AL MCE. Para efectos de mantener las condiciones de traslado descritas en la presente resolución, cualquier modificación al mecanismo evaluado, en las condiciones descritas en el Documento CREG 901 295 de 2025, parte integral de esta resolución, deberá ser informado a la CREG previamente a su implementación para efectos de la evaluación de la que trata el artículo 12 de la presente resolución. El promotor deberá anexar toda la documentación relacionada con la modificación que sea necesaria para la evaluación.
ARTÍCULO 16. EVALUACIÓN DE LAS MODIFICACIONES AL MCE. En caso de presentarse una modificación del MCE, se aplicarán las siguientes reglas:
i) Cuando CE informe a la CREG sobre la propuesta de modificación al MCE, la CREG evaluará si la modificación cumple con los principios y condiciones de la Resolución CREG 114 de 2018 o aquella que la modifique, adicione o sustituya.
ii) Si la modificación cumple con lo antes descrito y la CREG lo considera pertinente, se podrán realizar las modificaciones a que haya lugar en la presente resolución. Si no hay lugar a modificaciones en esta resolución, la Comisión dará a conocer su decisión mediante Circular Ejecutiva.
iii) Por el contrario, si la modificación no cumple con los principios y condiciones de la Resolución CREG 114 de 2018, o aquella que la modifique, adicione o sustituya, se aplicará lo establecido en el literal g) del numeral 1 del artículo 8 de la precitada resolución. En este evento, para la evaluación de indicadores de resultado de que trata la presente resolución, el auditor deberá basarse en el mecanismo considerado en la resolución vigente al momento de la evaluación.
iv) Para efectos de la evaluación y de considerarlo necesario, la CREG podrá solicitar la contratación de agentes especializados conforme a los artículos 9, 10 y 11 de la Resolución CREG 114 de 2018, o aquella que la modifique, adicione o sustituya.
v) En cualquier caso, hasta tanto la CREG no se haya pronunciado sobre la modificación propuesta por CE, y en tanto que no se cumplirían las condiciones previstas en la Resolución CREG 114 de 2018, o aquella que la modifique, adicione o sustituya, no se podrá trasladar ningún costo derivado de transacciones realizadas en el MCE aunque se haya incorporado dicha modificación.
vi) En caso de que la CREG tenga conocimiento de modificaciones en el mecanismo que hayan sido implementadas sin haber sido informadas previamente, procederá la suspensión del traslado de las transacciones realizadas a partir del día siguiente en que tal situación sea informada mediante Circular Ejecutiva.
ARTÍCULO 17. VIGENCIA. La presente resolución rige a partir de su publicación en el Diario Oficial.
PUBLÍQUESE Y CÚMPLASE
INDICADORES DE EVALUACIÓN DEL RESULTADO DEL MCE.
I. Indicadores de competencia:
1. Calce de operaciones de venta en ruedas de negocio durante el periodo anual de evaluación:
![]()
2. Calce de operaciones de compra en ruedas de negocio durante el periodo anual de evaluación:
![]()
3. Participación de agentes en ruedas de negocio durante el periodo anual de evaluación:
![]()
II. Indicadores de representatividad:
1. Representatividad de la energía transada durante el Periodo Anual de Evaluación:
![]()
2. Representatividad de participantes durante el periodo anual de evaluación:
![]()
Para efectos de la presente resolución, se entiende por “agentes registrados y activos en el MEM” aquellos agentes que se encuentran registrados ante el Administrador del Sistema de Intercambios Comerciales, ASIC, y que realizaron transacciones en el Mercado de Energía Mayorista, MEM, durante el periodo anual de evaluación.
CALIFICACIÓN DE LOS INDICADORES DE RESULTADO DEL MCE.
Para determinar la calificación de los indicadores de resultado, el Auditor utilizará la siguiente metodología para cada Periodo Anual de Evaluación según sea el caso:
1. Para cada indicador, el Auditor evalúa si se cumplen los criterios que se señalan en la siguiente tabla:
| INDICADOR | COMPORTAMIENTO ESPERADO |
| Calce de operaciones de oferta | Valor observado del indicador debe ser mayor o igual al valor base fijado para el periodo en evaluación, según la metodología referida en el Anexo 3. |
| Calce de operaciones de demanda | |
Participación de agentes registrados | |
Representatividad de la energía transada | |
Representatividad de participantes del MEM | |
2. Si el Auditor verifica el comportamiento esperado de un indicador para el periodo de evaluación, se asignará un puntaje de cien (100) para ese indicador, de lo contrario, se le asignará un puntaje de cero (0).
3. Una vez determinado el puntaje de cada indicador, el Auditor debe verificar que la suma de los puntajes asignados en el punto 2 sea mínimo de 300, con al menos un indicador cumplido en cada atributo (competencia y representatividad).
4. Adicionalmente, si al momento de evaluar el desempeño del mecanismo, el Auditor verifica que el indicador de Participación de agentes registrados resulta incumplido junto al indicador de Representatividad de participantes del MEM, al indicador de Calce de operaciones de demanda, o al indicador de Calce de operaciones de oferta, el Informe Anual de Evaluación por parte del Auditor de que trata el artículo 12 debe tener como resultado “No cumple”.
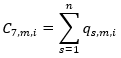
METODOLOGÍA PARA DETERMINAR EL VALOR BASE DE CALIFICACIÓN DE LOS INDICADORES DE RESULTADO DEL MCE.
Para determinar el valor base aplicable a la calificación de los indicadores de resultado, el Auditor utilizará la siguiente metodología para cada periodo anual de evaluación según sea el caso:
A partir de las observaciones de los sesenta (60) meses anteriores al mes en que el Auditor elabora el Informe Anual de Evaluación, para los cuales se cuente con información y considerando solamente información posterior al inicio del tercer periodo anual de evaluación, se calcularán los indicadores definidos en el Anexo 1 para periodos mensuales.
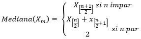
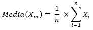
A partir de los anteriores resultados, se calculará la mediana y la media de estos indicadores mensuales, siguiendo las fórmulas estadísticas que se presentan a continuación:
- Mediana

- Media

Donde,
| : | Cada uno de los valores de los indicadores mensuales asociados al indicador para el cual se busca el valor base. | |
| : | Mes en el que el Auditor elabora el Informe Anual de Evaluación. | |
| : | Número de meses para los que se tiene información. |
Con los valores obtenidos para de las variables
y
, se define el valor base a partir de la siguiente fórmula:
![]()
En donde el
será el primer valor base calculado por el Auditor.
El valor base de calificación de los indicadores de resultado del mecanismo, calculado en el mes m para cada periodo anual de evaluación, es el valor mínimo que el Auditor considera para determinar si un indicador “Cumple”.
