RESOLUCIÓN 110 DE 2014
(agosto 5)
Diario Oficial No. 49.258 de 29 de agosto de 2014
COMISIÓN DE REGULACIÓN DE ENERGÍA Y GAS
Por la cual se modifica la Resolución CREG 024 de 1995, en relación con la remuneración de la generación de plantas o unidades de generación en etapa de pruebas solicitadas por los agentes.
LA COMISIÓN DE REGULACIÓN DE ENERGÍA Y GAS,
en ejercicio de sus atribuciones constitucionales y legales, en especial las conferidas por las Leyes 142 y 143 de 1994, y en desarrollo de los Decretos números 1524 y 2253 de 1994 y el 1260 de 2013,
CONSIDERANDO QUE:
La Ley 143 de 1994, artículo 20, definió como objetivo fundamental de la regulación en el sector eléctrico, asegurar una adecuada prestación del servicio mediante el aprovechamiento eficiente de los diferentes recursos energéticos, en beneficio del usuario en términos de calidad, oportunidad y costo del servicio.
Para el cumplimiento del objetivo señalado, la Ley 143 de 1994, artículo 23, le atribuyó a la Comisión de Regulación de Energía y Gas, entre otras, las funciones de crear las condiciones para asegurar la disponibilidad de una oferta energética eficiente capaz de abastecer la demanda bajo criterios sociales, económicos, ambientales y de viabilidad financiera, promover y preservar la competencia, para lo cual, la oferta eficiente, en el sector eléctrico, debe tener en cuenta la capacidad de generación de respaldo; valorar la capacidad de generación de respaldo de la oferta eficiente; definir y hacer operativos los criterios técnicos de calidad, confiabilidad y seguridad del servicio de energía; y determinar las condiciones para la liberación gradual del mercado hacia la libre competencia.
De acuerdo con lo establecido en el literal c) del artículo 74.1 de la Ley 142 de 1994 y el literal i) del artículo 23 de la Ley 143 del mismo año, le corresponde a la CREG establecer el Reglamento de Operación, para regular el funcionamiento del Mercado Mayorista.
Mediante la Resolución CREG-001 de 2010, la Comisión publicó para comentarios, observaciones y sugerencias, un proyecto de resolución con el fin de “modificar la Resolución CREG-137 de 2009”.
Teniendo en cuenta los comentarios recibidos a la Resolución CREG-001 de 2010, se consideró conveniente revisar la forma en que se establece la remuneración de la generación para las plantas térmicas en los periodos horarios en los que se encuentra inflexible y su inclusión en el Despacho Ideal.
Los análisis efectuados por la Comisión están contenidos en el Documento CREG-005 de 2010.
La Comisión, en su Sesión 440, del 5 de febrero de 2010, acordó expedir una resolución a consulta para modificar las Resoluciones CREG-024 de 1995 y 051 de 2009, lo cual se hizo a través de la Resolución CREG-008 de 2010.
Se analizaron los comentarios presentados a la Resolución CREG-008 de 2010 y se introdujeron los ajustes pertinentes, tal como quedó contenido en la Resolución 011 de 2010 y como actualmente se encuentra definido en la Resolución CREG 024 de 1995.
De acuerdo con los reportes presentados por XM S. A. E.S.P. en los Radicados CREG E-2013-002129 y E-2014-004461, y en las recomendaciones referentes a la remuneración de pruebas del informe final del estudio, Análisis de Resultados de la Aplicación de la Resolución CREG 051 de 2009 adelantado por la firma Quantil, publicado en la Circular CREG 099 de 2013, se consideró necesario precisar la remuneración de la generación inflexible de plantas o unidades de generación en etapa de pruebas solicitadas por los agentes.
La Comisión de Regulación de Energía y Gas, aprobó para consulta de agentes e interesados el proyecto de Resolución CREG 069 de 2014, “por la cual se modifica la Resolución CREG 024 de 1995, en relación con la remuneración de la generación inflexible de plantas o unidades de generación en etapa de pruebas voluntarias” en su Sesión número 607 del 29 de mayo de 2014.
Una vez transcurrido el plazo de comentarios se recibieron de: Termoemcali Radicado E-2014-005962, Acolgen Radicado E-2014-005963, SSP Radicado E-2014-005965, XM Radicado E-2014-005980, EPSA Radicado E-2014-006012, Celsia Radicado E-2014-006013, ANDEG Radicado E-2014-006014, Isagen Radicado E-2014-006028 y Emgesa Radicado E-2014-006070.
El análisis y respuesta a los comentarios remitidos al proyecto contenido mediante la Resolución CREG 069 de 2014 se presentan en el Documento CREG 063 de 2014.
La Comisión de Regulación de Energía y Gas, en su Sesión número 616 del 5 de agosto de 2014, acordó expedir esta resolución,
RESUELVE:
ARTÍCULO 1o. Modifíquese el literal d) del Anexo A-4 (“Función Precio en la Bolsa de Energía”) de la Resolución CREG-024 de 1995. El literal d) del Anexo A-4 de la Resolución CREG-024 de 1995 quedará así:
“d) Se determinarán los valores adicionales (
I) para los mercados nacionales e internacionales de la siguiente forma:
-- Para atención de la Demanda Total Doméstica, el Valor Adicional para la Demanda Total Doméstica (
IN) se calculará conforme a la siguiente ecuación:
![]()
Donde:

| DN,i | Demanda Total Doméstica en la hora i. |
| DFN,j | Costos no cubiertos por concepto de arranque y parada de la planta j para atender Demanda Total Doméstica. |
| DIN,j | Costos no cubiertos por concepto de generación ideal en condición inflexible de la planta j para atender Demanda Total Doméstica. |
| NP | Número de plantas térmicas. |
| Parj,z | Precios de oferta de arranque-parada z de la planta j. |
| l | Número de arranques de la planta j. Si el arranque de la planta j se debe a generación en etapa de pruebas solicitadas por los agentes, no se tiene en cuenta el arranque. |
| GFN,j,i | Variable igual a 0 si la planta j es inflexible en la hora i, en caso contrario es igual a la Generación ideal de la planta j en la hora i para atender Demanda Total Doméstica. |
| MPON,i | Máximo Precio de Oferta para atender la Demanda Total Doméstica en la hora i. |
| Pofj | Precio ofertado a la Bolsa de Energía por la planta j. |
| GIN,j,i | Si la planta j es inflexible en la hora i la variable es igual a la Generación ideal de la planta j en la hora i para atender Demanda Total Doméstica. En caso contrario es igual a 0. Si la planta j en la hora i se encuentra en etapa de pruebas solicitadas por los agentes, este valor es cero. |
| RPj | Precio de Reconciliación Positiva calculado para la planta j sin incluir los costos de arranque y parada. |
| DIj | Costos no cubiertos por concepto de generación ideal en condición inflexible de la planta j. |
| GII,j,i | Si la planta j es inflexible en la hora i la variable es igual a la Generación ideal de la planta j en la hora i para atender la Demanda Internacional de Despacho Económico Coordinado. En caso contrario es igual a 0. Si la planta j en la hora i se encuentra en etapa de pruebas solicitadas por los agentes, este valor es cero. |
| GIK,j,i | Si la planta j es inflexible en la hora i la variable es igual a la Generación ideal de la planta j en la hora i para atender la Demanda no Doméstica. En caso contrario es igual a 0. Si la planta j en la hora i se encuentra en etapa de pruebas solicitadas por los agentes, este valor es cero. |
| MPOI,i | Máximo Precio de Oferta para atender Demanda Total Doméstica más la Demanda Internacional de Despacho Económico Coordinado en la hora i. |
| MPOK,i | Máximo Precio de Oferta para atender Demanda Total Doméstica más la Demanda Internacional de Despacho Económico Coordinado más la Demanda no Doméstica en la hora i. |
| Wj | Porcentaje de la generación ideal de la planta j que atiende la Demanda Total Doméstica. |
| GN,j,i | Generación ideal de la planta j para atender la Demanda Total Doméstica en la hora i. |
| Gj,i | Generación ideal de la planta j en la hora i. |
En el caso en que la Generación ideal de la planta j en el día sea igual a cero, el porcentaje de la generación ideal de la planta j que atiende la Demanda Total Doméstica (Wj) será igual a cero.
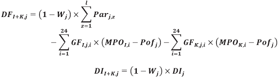
-- Para atención de la Demanda Internacional de Despacho Económico Coordinado y/o la Demanda No Doméstica, el Valor adicional para la Demanda Internacional de Despacho Económico Coordinado y/o la Demanda No Doméstica (
II) se calculará conforme a la siguiente ecuación:

Donde:

| DI,i | Demanda Internacional de Despacho Económico Coordinado más Demanda No Doméstica en la hora i. |
| DFI+K,j | Costos no cubiertos por concepto de arranque y parada de la planta j para atender la Demanda Internacional de Despacho Económico Coordinado y la Demanda no Doméstica. |
| DII+K,j | Costos no cubiertos por concepto de generación ideal en condición inflexible de la planta j para atender la Demanda Internacional de Despacho Económico Coordinado y la Demanda no Doméstica. |
| NP | Número de plantas térmicas. |
| Parj,z | Precios de oferta del arranque-parada z de la planta j. |
| l | Número de arranques de la planta j. Si el arranque de la planta j se debe a generación en etapa de pruebas solicitadas por los agentes, no se tiene en cuenta el arranque. |
| GFI,j,i | Variable igual a 0 si la planta j es inflexible en la hora i, en caso contrario es igual a la Generación ideal de la planta j en la hora i para atender la Demanda Internacional de Despacho Económico Coordinado. |
| MPOI,i | Máximo Precio de Oferta para atender Demanda Total Doméstica más la Demanda Internacional de Despacho Económico Coordinado en la hora i. |
| Pofj | Precio ofertado a la Bolsa de Energía por la planta j. |
| GFK,j,i | Variable igual a 0 si la planta j es inflexible en la hora i, en caso contrario es igual a la Generación ideal de la planta j en la hora i para atender la Demanda no Doméstica. |
| MPOK,i | Máximo Precio de Oferta para atender Demanda Total Doméstica más la Demanda Internacional de Despacho Económico Coordinado más la Demanda no Doméstica en la hora i. |
| GII,j,i | Si la planta j es inflexible en la hora i la variable es igual a la Generación ideal de la planta j en la hora i para atender la Demanda Internacional de Despacho Económico Coordinado. En caso contrario es igual a 0. Si la planta j en la hora i se encuentra en etapa de pruebas solicitadas por los agentes, este valor es cero. |
| GIK,j,i | Si la planta j es inflexible en la hora i la variable es igual a la Generación ideal de la planta j en la hora i para atender la Demanda no Doméstica. En caso contrario es igual a 0. Si la planta j en la hora i se encuentra en etapa de pruebas solicitadas por los agentes, este valor es cero. |
| RPj | Precio de Reconciliación Positiva calculado para la planta j sin incluir los costos de arranque y parada. |
| DIj | Costos no cubiertos por concepto de generación ideal en condición inflexible de la planta j. |
| Wj | Porcentaje de la generación ideal de la planta j que atiende la Demanda Total Doméstica. |
En el caso en que la Demanda Internacional de Despacho Económico Coordinado más Demanda No Doméstica en el día sea igual a cero, el Valor adicional para la Demanda Internacional de Despacho Económico Coordinado y/o la Demanda No Doméstica (
II) será igual a cero”.
ARTÍCULO 2o. VIGENCIA. Esta resolución rige a partir de la fecha de su publicación en el Diario Oficial.
PARÁGRAFO. Existirá un periodo transitorio de 30 días calendario para su implementación.
Publíquese y cúmplase.
Dada en Bogotá, D. C., a 5 de agosto de 2014.
El Presidente,
TOMÁS GONZÁLEZ ESTRADA,
Ministro de Minas y Energía.
El Director Ejecutivo,
CARLOS FERNANDO ERASO CALERO.