RESOLUCIÓN 73 DE 2010
(junio 1o)
Diario Oficial No. 47.730 de 4 de junio de 2010
COMISIÓN DE REGULACIÓN DE ENERGÍA Y GAS
Por la cual se modifica la Resolución CREG 024 de 1995 sobre funcionamiento del Mercado de Energía Mayorista.
LA COMISIÓN DE REGULACIÓN DE ENERGÍA Y GAS,
en ejercicio de sus atribuciones legales, en especial de las conferidas por las Leyes 142 y 143 de 1994, y en desarrollo de los Decretos 1524 y 2253 de 1994, y
CONSIDERANDO QUE:
De acuerdo con lo establecido en el literal c) del artículo 74.1 de la Ley 142 de 1994, le corresponde a la CREG establecer el Reglamento de Operación, para regular el funcionamiento del Mercado Mayorista.
Mediante la Resolución CREG 051 de 2009 se modificó el esquema de ofertas de precios, el Despacho Ideal, y las reglas para determinar el precio de la Bolsa en el Mercado de Energía Mayorista.
Mediante la Resolución CREG 160 del mismo año la CREG ajustó la regulación vigente aplicable a las transacciones internacionales de energía (TIE), según lo determinado por la Decisión CAN 720. Para el efecto se establecieron las normas sobre definición del precio de bolsa para la demanda nacional y para la demanda que se atiende mediante las Transacciones Internacionales de Energía y se señaló la forma de calcular los valores de la variable para cada una de estas demandas.
Posteriormente, a través de la Resolución CREG 011 de 2010 se modificó la Resolución CREG 024 de 1995, la Resolución CREG 051 de 2009 y las disposiciones aplicables al cálculo de los valores de la variable para la demanda nacional y la demanda internacional.
Como parte del trabajo conjunto que realizan los organismos reguladores en el contexto de la armonización regulatoria para implementar la Decisión CAN 720, el día 31 de mayo de 2010 se realizó, en la ciudad de Quito, una reunión con el Consejo Nacional de Electricidad de la República de Ecuador, en la cual se presentaron los ajustes realizados en la Resolución CREG 160 de 2009. En dicha reunión se identificó la necesidad de revisar la asignación de los costos de arranque y parada y de las generaciones mínimas de las plantas que generan para exportar, entre la demanda nacional y la demanda que se atiende a través de las Transacciones Internacionales de Energía.
Se ha identificado que la función formulada en la regulación vigente para el cálculo de la variable internacional es deficiente cuando hay generaciones mínimas, e inconsistente cuando la demanda por razón de las TIE es muy pequeña, por cuanto incrementa artificialmente el valor.
Adicionalmente, la Resolución CREG 064 de 2000, artículo 4o, establece que el valor de AGC será el mayor valor entre el precio ofertado más los costos de arranque y parada y precio internacional horario. Como consecuencia de lo anterior, la aplicación de la variable, con la inconsistencia que presenta en la formulación actual, puede dar lugar a la asignación de costos injustificados o artificiales a quienes pagan este servicio.
De conformidad con lo establecido en el parágrafo del artículo 9o del Decreto 2696 de 2004 y el numeral 3 del artículo 2o de la Resolución CREG-097 de 2004, la Comisión decidió por unanimidad que la presente resolución no estará sometida a las disposiciones sobre publicidad de proyectos de regulación previstas en el decreto, por razones de oportunidad, teniendo en cuenta la necesidad de ajustar el cálculo de la variable para evitar la multiplicación artificial del costo asignado a las TIE y el aumento injustificado de los costos de AGC.
El Documento CREG 070 contiene los análisis que fundamenta la adopción de la presente decisión.
La Comisión de Regulación de Energía y Gas, en su Sesión 456, del 1o de junio de 2010, acordó expedir esta resolución.
RESUELVE:
ARTÍCULO 1o. MODIFICACIÓN DEL LITERAL D DEL ANEXO A-4 (“FUNCIÓN PRECIO EN LA BOLSA DE ENERGÍA”) DE LA RESOLUCIÓN CREG-024 DE 1995. El literal d) del Anexo A-4 de la Resolución CREG-024 de 1995 quedará así:
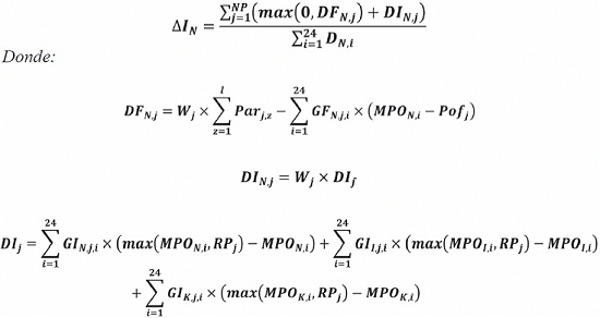
“d) Se determinarán los valores adicionales (
I) para los mercados nacionales e internacionales de la siguiente forma:
-- Para atención de la Demanda Total Doméstica, el Valor Adicional para la Demanda Total Doméstica (
IN) se calculará conforme a la siguiente ecuación:


DN,i Demanda Total Doméstica en la hora i.
DFN,j Costos no cubiertos por concepto de arranque y parada de la planta j para atender Demanda Total Doméstica.
DIN,j Costos no cubiertos por concepto de generación ideal en condición inflexible de la planta j para atender Demanda Total Doméstica.
NP Número de plantas térmicas.
Parj,z Precios de oferta de arranque-parada z de la planta j.
l Número de arranques de la planta j.
GFN,j,i Variable igual a 0 si la planta j es inflexible en la hora i, en caso contrario es igual a la Generación ideal de la planta j en la hora i para atender Demanda Total Doméstica.
MPON,i Máximo Precio de Oferta para atender la Demanda Total Doméstica en la hora i.
Pofj Precio ofertado a la Bolsa de Energía por la planta j.
GIN,j,i Si la planta j es inflexible en la hora i la variable es igual a la Generación ideal de la planta j en la hora i para atender Demanda Total Doméstica. En caso contrario es igual a 0.
RPj Precio de Reconciliación Positiva calculado para la planta j sin incluir los costos de arranque y parada.
DIj Costos no cubiertos por concepto de generación ideal en condición inflexible de la planta j.
GII,j,i Si la planta j es inflexible en la hora i la variable es igual a la Generación ideal de la planta j en la hora i para atender la Demanda Internacional de Despacho Económico Coordinado. En caso contrario es igual a 0.
GIK,j,i Si la planta j es inflexible en la hora i la variable es igual a la Generación ideal de la planta j en la hora i para atender la Demanda no Doméstica. En caso contrario es igual a 0.
MPOI,i Máximo Precio de Oferta para atender Demanda Total Doméstica más la Demanda Internacional de Despacho Económico Coordinado en la hora i.
MPOK,i Máximo Precio de Oferta para atender Demanda Total Doméstica más la Demanda Internacional de Despacho Económico Coordinado más la Demanda no Doméstica en la hora i.
Wj Porcentaje de la generación ideal de la planta j que atiende la Demanda Total Doméstica.
GN,j,i Generación ideal de la planta j para atender la Demanda Total Doméstica en la hora i.
Gj,i Generación ideal de la planta j en la hora i.
En el caso en que la Generación ideal de la planta j en el día sea igual a cero, el porcentaje de la generación ideal de la planta j que atiende la Demanda Total Doméstica (Wj) será igual a cero.
-- Para atención de la Demanda Internacional de Despacho Económico Coordinado y/o la Demanda No Doméstica, el Valor adicional para la Demanda Internacional de Despacho Económico Coordinado y/o la Demanda No Doméstica (
II) se calculará conforme a la siguiente ecuación:

Donde:

DI,i Demanda Internacional de Despacho Económico Coordinado más Demanda No Doméstica en la hora i.
DFI+K,j Costos no cubiertos por concepto de arranque y parada de la planta j para atender la Demanda Internacional de Despacho Económico Coordinado y la Demanda no Doméstica.
DII+K,j Costos no cubiertos por concepto de generación ideal en condición inflexible de la planta j para atender la Demanda Internacional de Despacho Económico Coordinado y la Demanda no Doméstica.
NP Número de plantas térmicas.
Parj,z Precios de oferta del arranque-parada z de la planta j.
l Número de arranques de la planta j.
GFI,j,i Variable igual a 0 si la planta j es inflexible en la hora i, en caso contrario es igual a la Generación ideal de la planta j en la hora i para atender la Demanda Internacional de Despacho Económico Coordinado.
MPOI,i Máximo Precio de Oferta para atender Demanda Total Doméstica más la Demanda Internacional de Despacho Económico Coordinado en la hora i.
Pofj Precio ofertado a la Bolsa de Energía por la planta j.
GFK,j,i Variable igual a 0 si la planta j es inflexible en la hora i, en caso contrario es igual a la Generación ideal de la planta j en la hora i para atender la Demanda no Doméstica.
MPOK,i Máximo Precio de Oferta para atender Demanda Total Doméstica más la Demanda Internacional de Despacho Económico Coordinado más la Demanda no Doméstica en la hora i.
GII,j,i Si la planta j es inflexible en la hora i la variable es igual a la Generación ideal de la planta j en la hora i para atender la Demanda Internacional de Despacho Económico Coordinado. En caso contrario es igual a 0.
GIK,j,i Si la planta j es inflexible en la hora i la variable es igual a la Generación ideal de la planta j en la hora i para atender la Demanda no Doméstica. En caso contrario es igual a 0.
RPj Precio de Reconciliación Positiva calculado para la planta j sin incluir los costos de arranque y parada.
DIj Costos no cubiertos por concepto de generación ideal en condición inflexible de la planta j.
Wj Porcentaje de la generación ideal de la planta j que atiende la Demanda Total Doméstica.
En el caso en que la Demanda Internacional de Despacho Económico Coordinado más Demanda No Doméstica en el día sea igual a cero, el Valor adicional para la Demanda Internacional de Despacho Económico Coordinado y/o la Demanda No Doméstica (
II) será igual a cero”.
ARTÍCULO 2o. VIGENCIA. Esta resolución rige a partir de la fecha de su publicación en el Diario Oficial y aplicará para todas las liquidaciones en el Mercado Mayorista que se facturen a partir de su vigencia.
Publíquese y cúmplase.
Dada en Bogotá, D. C., a 1o de junio de 2010.
La Viceministra de Minas y Energía Delegada del Ministro de Minas y Energía,
SILVANA GIAIMO CHÁVEZ,
Presidente.
El Director Ejecutivo,
JAVIER AUGUSTO DÍAZ VELASCO.