RESOLUCIÓN 0651 DE 2025
(agosto 27)
Diario Oficial No. 53.226 de 28 de agosto de 2025
Diario Oficial disponible en la web de la Imprenta Nacional de Colombia el 29 de agosto de 2025
AGENCIA NACIONAL DE HIDROCARBUROS
Por la cual se establecen las directrices para el uso de las tecnologías de medición y monitoreo de los volúmenes de producción de hidrocarburos, en el marco de las competencias de fiscalización de la Agencia Nacional de Hidrocarburos.
EL VICEPRESIDENTE DE OPERACIONES, REGALÍAS Y PARTICIPACIONES DE LA AGENCIA NACIONAL DE HIDROCARBUROS (ANH),
en uso de sus facultades legales conferidas por los artículos 45, 69, 74, 76 y 77, la Ley 2056 de 2020, la Resolución número 375 de 2024 de la ANH, la Resolución número 40009 del 14 de enero de 2021, el artículo quinto de la Resolución número 0056 de 2024 y la Resolución número 40537 de 2024, expedidas por el Ministerio de Minas y Energía y
CONSIDERANDO:
Que de conformidad con el artículo 332 de la Constitución Política “El Estado es propietario del subsuelo y de los recursos naturales no renovables, sin perjuicio de los derechos adquiridos y perfeccionados con arreglo a las leyes preexistentes”.
Que en el artículo 4o numeral 17 del Decreto Ley 4137 del 3 de noviembre de 2011, se cambia la naturaleza jurídica de la Agencia Nacional de Hidrocarburos (ANH) (o la “Entidad”). Posteriormente, fue subrogado por el artículo 3o del Decreto número 714 del 10 de abril de 2012 en el que se establece, que la ANH le corresponde: “hacer seguimiento al cumplimiento de las normas técnicas relacionadas con la exploración y explotación de hidrocarburos dirigidas al aprovechamiento de los recursos de manera racional e integral”.
Que la Resolución número 40537 del 11 de diciembre de 2024 “por la cual se establecen medidas en materias de exploración y producción de hidrocarburos”, estableció en su artículo 36 lo siguiente:
“Requerimientos para la medición. Los procedimientos, equipos de medición del volumen y determinación de la calidad de los hidrocarburos producidos, la obligación de preservar su integridad, la periodicidad con la cual estos deban calibrarse, las certificaciones con las cuales estos deban contar y los demás requerimientos que sean necesarios para desarrollar esta actividad, se realizarán de conformidad con la Resolución número 40236 del 7 de julio de 2022 del Ministerio de Minas y Energía o aquellas que la modifiquen o sustituyan”.
Que de acuerdo con el numeral 2 del literal B del artículo 7o de la Ley 2056 de 2020: “La Agencia Nacional de Hidrocarburos o quien haga sus veces, además de las funciones establecidas en la ley, ejercerá las siguientes funciones relacionadas con la fiscalización de la exploración y explotación de los yacimientos hidrocarburos: ejercerá el seguimiento y control de los contratos y convenios; verificará la medición y monitoreo a los volúmenes de producción y verificará el correcto desmantelamiento, taponamiento y abandono de pozos y facilidades”.
Que el artículo 16 ejusdem señala:
“Exploración y explotación. El ejercicio de la exploración y explotación será realizado por quienes sean beneficiarios de derechos para explorar y explotar recursos naturales no renovables, en cumplimiento de la normativa aplicable vigente, velando por el cumplimiento especial de disposiciones ambientales. El pago de regalías deberá acreditarse acorde con los volúmenes de producción, que serán medidos y reportados por el explotador, sin perjuicio de los requerimientos que se realicen en desarrollo de la actividad de fiscalización.” (Énfasis añadido).
Que el artículo 17 ibidem dispone, entre otras, lo que a la letra dice:
“ARTÍCULO 17. Fiscalización de la exploración y explotación de recursos naturales no renovables. La fiscalización de la exploración y explotación de recursos naturales no renovables, deberá estar orientada al cumplimiento de las normas y de las obligaciones derivadas de los contratos y convenios, títulos mineros y demás figuras que por mandato legal permiten la exploración y explotación de recursos naturales no renovables, incluidas las etapas de desmantelamiento, taponamientos, abandono y en general de cierres de operaciones tanto mineras como de hidrocarburos, según corresponda; igualmente incluye la determinación y verificación efectiva de los volúmenes de producción, la aplicación de buenas prácticas de exploración, explotación y producción, el cumplimiento de las normas de seguridad en labores mineras y de hidrocarburos, la verificación y el recaudo de regalías y compensaciones, como base fundamental para el funcionamiento del Sistema General de Regalías”.
PARÁGRAFO PRIMERO. Para el ejercicio de las actividades de fiscalización las autoridades correspondientes podrán exigir la implementación de herramientas tecnológicas que evidencien los datos reales de los volúmenes de producción”.
Que el artículo 4o de la Resolución número 40009 del 14 de enero de 2021, determinó los lineamientos generales y específicos para el ejercicio de las actividades relacionadas con la fiscalización de la exploración y explotación de los yacimientos hidrocarburíferos que ha de aplicar la ANH en su condición de ente fiscalizador, entre ellos los siguientes:
“1. Velar por la presencia administrativa y técnica permanente y el seguimiento continuo en todas las zonas del país en donde se adelanten actividades de Exploración y Explotación de hidrocarburos, obteniendo un cubrimiento operativo completo y suficiente en materia de control y seguimiento a las operaciones, incluso en etapas posteriores de taponamiento y abandono de pozos, con acciones preventivas y de monitoreo.
2. Orientar la gestión administrativa en actividades que estén sistematizadas, a través de herramientas informáticas que permitan complementar el desarrollo del modelo de fiscalización que se efectúa en las áreas donde se realizan actividades de Exploración y Explotación de hidrocarburos. Dicha información deberá poder ser accesible por el Ministerio de Minas y Energía, en todo momento, garantizando la seguridad, calidad, oportunidad y reserva de la información.
(…)
4. Velar porque la administración, manejo y custodia de los documentos físicos y digitales, así como de los sistemas de información que estén relacionados con el ejercicio de la función de fiscalización, se efectúe conforme lo disponen las normas aplicables de archivo y conservación de la información.
5. Buscar que la infraestructura, equipos, sistemas de información, perfiles del personal y adquisición de servicios, para el control y seguimiento de los requisitos y obligaciones de todas las disposiciones vigentes en materia de Exploración y Explotación de hidrocarburos sean idóneas para el ejercicio de la función de fiscalización, en procura del principio de eficiencia y economía en el gasto.
(…)
7. Garantizar que la información referente a los Puntos de Medición Oficial de hidrocarburos se mantenga actualizada, disponible y goce de completitud y de trazabilidad de todo cambio o ajuste que requieran los registros de la misma (…)”.
Que la Contraloría General de la República (CGR), durante la vigencia fiscal 2014 identificó una oportunidad de mejora relacionada con la modernización de los recursos tecnológicos utilizados en el proceso de medición de la producción de hidrocarburos.
Que la Resolución número 40236 de 2022 tiene por objeto establecer los requisitos que debe cumplir el operador para la correcta medición del volumen y determinación de la calidad de los hidrocarburos que se produzcan en el territorio nacional.
Que el MME en coordinación con la ANH han establecido lineamientos para fortalecer la fiscalización en línea mediante el uso de sistemas tecnológicos avanzados, asegurando la integración efectiva con plataformas existentes y promoviendo la transparencia en la información recolectada. Esto se alinea con los objetivos estratégicos definidos en el marco de la normativa vigente y respondiendo a consultas específicas del sector hidrocarburífero.
Que el documento Conpes 4075 titulado “Política de Transición Energética”, aprobado en marzo de 2022 estableció la estrategia de Colombia para avanzar hacia una matriz energética más sostenible, diversificada y en su Plan de Acción, dispuso desarrollar e implementar un modelo de captura y gestión remota de información para el proceso de fiscalización de crudo y gas, en donde se definan los requerimientos técnicos, operativos y financieros, así como los roles, responsabilidades, recursos requeridos, fuentes de financiación, condiciones de acceso, seguridad de la información y se ponga en marcha un proyecto piloto para su evaluación.
Que, en cumplimiento de los mandatos de los artículos 333 y 334 de la Constitución Política de Colombia, la ANH realizó un análisis técnico de la producción nacional de hidrocarburos para el período enero – mayo de 2025, del cual, se desprende un patrón de distribución tipo Pareto, que permitió establecer rangos de producción para la implementación de los sistemas de telemetría en volúmenes de crudo: (i) mayores a 9000 BOPD, (ii) entre 4500 y 8999 BOPD y (iii) entre 3000 y 4499 BOPD. Estos umbrales cumplen con los criterios de idoneidad, necesidad y proporcionalidad que rigen la intervención estatal en la economía y se armonizan con las metas de modernización y digitalización de la fiscalización contenidas en el documento Conpes 4075 de 2022 y en el Plan Nacional de Desarrollo 2022-2026 (Ley 2294 de 2023), garantizando la libre competencia en el sector de hidrocarburos.
Que, en el caso de los campos productores de gas, la implementación de los sistemas de telemetría y transmisión del dato no representa un reto tecnológico ni costos adicionales para los operadores, toda vez que, aquellos que comercializan gas a través del Sistema Nacional de Transporte (SNT), conforme al Reglamento Único de Transporte (RUT) emitido por la Comisión de Regulación de Energía y Gas (CREG), ya están obligados a reportar esta información de forma sistemática y continua.
Que mediante comunicación con Radicado 20245110495241 del 30 de agosto de 2024 la ANH consultó al MME sobre la competencia de la Entidad para establecer condiciones técnicas vinculantes a las empresas operadoras para fortalecer la labor de fiscalización a cargo de la ANH. Bajo este entendido, el MME conceptuó mediante comunicación con Radicado número 2-2024-034924 del 9 de octubre de 2024:
“Teniendo en cuenta todo el panorama normativo que antecede, en el cual se señalan las funciones y competencias de la Agencia Nacional de Hidrocarburos, en calidad de ente de fiscalización para adelantar procesos de mejoramiento continuo y aseguramiento técnico de la actividad de fiscalización de hidrocarburos, y teniendo en cuenta que la Agencia, en el marco de estas competencias, ha puesto en consideración el proyecto denominado “Modernización Integral de la Fiscalización” a financiarse con recursos del Sistema General de Regalías (SGR), cuyo objetivo es “Modernizar y mejorar la eficiencia y eficacia de la fiscalización de hidrocarburos a cargo de la VORP mediante la actualización normativa, el fortalecimiento de tecnologías de información y comunicación (TIC) para una fiscalización inteligente, y el desarrollo de capacidades técnicas e institucionales, con el fin de asegurar una gestión transparente y responsable de los recursos hidrocarburíferos” el cual busca incorporar entre otros, un subcomponente que le permita realizar la fiscalización en línea enriqueciendo la triangulación de información para validar y asegurar la producción de hidrocarburos, estableciendo unas condiciones técnicas y tecnológicas vinculantes para las empresas operadoras, que le permitan a la Agencia en el marco de su labor de fiscalización, acceder a variables abiertas y sin intervención para el cálculo de la producción de hidrocarburos de acuerdo con los estándares internacionales en la materia, garantizando la integridad, oportunidad y confidencialidad de los datos provenientes de la fuente primaria para usarlos como insumo en el cálculo de volúmenes y realización de las mediciones que corresponda.
En consecuencia, del análisis normativo que antecede y conociendo el objetivo y alcance del proyecto de modernización planteado por la Agencia Nacional de Hidrocarburos, esta Dirección encuentra que esta iniciativa de la Agencia se encuentra enmarcada en la función de fiscalización y verificación de la medición y monitoreo de los volúmenes de producción de conformidad con la Ley 2056 de 2020.
En este desarrollo, la ANH debe velar por el seguimiento continuo en todas las zonas del país donde se adelanten actividades de exploración y explotación de hidrocarburos con el objeto de obtener el cubrimiento operativo, completo, real, verificable y suficiente en materia de control y seguimiento de operaciones, orientando la gestión administrativa en actividades que estén sistematizadas, a través de herramientas informáticas que permitan complementar el desarrollo del modelo de fiscalización, asegurando que la infraestructura, equipos, sistemas de información, perfiles del personal y adquisición de servicios, para el control y seguimiento de los requisitos y obligaciones de todas las disposiciones vigentes en materia de Exploración y Explotación de hidrocarburos sean idóneas para el ejercicio de la función de fiscalización, en procura del principio de eficiencia y economía en el gasto y finalmente garantizando que la información de la medición oficial se mantenga actualizada, disponible, completa y con las herramientas que garanticen su trazabilidad.
Para ello, la ANH realizará los requerimientos que, en virtud de su competencia de ente de fiscalización y entidad encargada de velar por el seguimiento y control efectivo, deba realizar a los sujetos que desarrollan las actividades de exploración y producción de hidrocarburos, todo esto, sin entrar en contradicción con los lineamientos técnicos expedidos por este Ministerio en materia de fiscalización y medición”.
Que con el fin de avanzar en la optimización e implementación progresiva de acciones de mejora a los procesos de fiscalización de producción de hidrocarburos, la ANH presentó al MME el proyecto denominado Modernización Integral de la Fiscalización, mediante comunicación con Radicado 20245110483621 del 16 de agosto de 2024, con alcance a través de oficio con Radicado 20245110501611 del 5 de septiembre de 2024.
Que uno de los componentes del proyecto mencionado es el de Fortalecimiento de las Tecnologías de la Información y Comunicación (TIC) en la fiscalización, el cual tiene como propósitos, realizar la fiscalización en línea de los hidrocarburos para el cálculo de la producción y la verificación de su calidad, a partir del acceso a variables abiertas y sin modificaciones de acuerdo con los estándares internacionales en la materia.
Que el MME a través del comunicado con Radicado número 2-2024-032441 del 20 de septiembre de 2024 aprobó el proyecto de Modernización Integral de la Fiscalización.
Que el uso de soluciones de tecnologías avanzadas, como sensores electrónicos y sistemas de análisis predictivo, permitirá a la ANH monitorear en tiempo real las operaciones hidrocarburíferas, detectando anomalías y mejorando la toma de decisiones estratégicas en el sector.
Que, en atención a lo dispuesto en los artículos 2.2.2.30.7 y 2.2.2.30.9 del Decreto número 1074 de 2015 y a la recomendación formulada por la Superintendencia de Industria y Comercio, la ANH verificó que las exigencias tecnológicas previstas en el presente acto administrativo se formulan bajo criterios de neutralidad tecnológica y libre elección de proveedores de tecnologías por parte de las compañías operadoras del sector de hidrocarburos, adoptando estándares internacionales de amplia utilización como API MPMS, ISO e ISO/IEC adoptadas por la normativa nacional vigente, con ello se busca evitar la imposición de proveedores, tecnologías, marcas, referencias. Por lo anterior, las tecnologías que las compañías operadoras decidan implementar no serán sujetas de aprobación por la ANH.
Que las compañías operadoras podrán seleccionar libremente la tecnología, marcas, fabricantes o proveedores de su preferencia que más se adecuen a su condición operacional; siempre y cuando, las mismas cumplan con los mínimos requeridos en la presente resolución. La tecnología definida por cada operador no estará sujeta a la aprobación por parte de la ANH.
Que los costos de implementación de estas tecnologías varían significativamente entre operadores y campos, en función de factores como: (i) lifting cost, (ii) características físicas y metrológicas de cada Punto de Medición Oficial y de la infraestructura de superficie, (iii) nivel de tecnología y automatización preexistente, (iv) accesibilidad física y logística, incluidas condiciones topográficas y de seguridad, y (v) medios disponibles para la transmisión de datos.
Que, por lo anterior, no es posible establecer un único estudio de costos basado en marcas, modelos o configuraciones específicas, ya que ello contravendría el principio de neutralidad competitiva; en su lugar, la ANH permite que cada operador seleccione la solución más costo -eficiente conforme a sus condiciones operacionales, garantizando que la obligación regulatoria no genere barreras de entrada ni costos desproporcionados para nuevos agentes o para aquellos con menores volúmenes de producción, cumpliendo así con los principios de razonabilidad y proporcionalidad de la intervención económica.
Que la Agencia Nacional de Hidrocarburos (ANH), en el marco de sus competencias legales y con la necesidad de modernizar el sistema de fiscalización de hidrocarburos mediante el uso de tecnologías de medición, sistemas de telemetría y monitoreo, actúa con plena sujeción al ordenamiento jurídico y en defensa de los intereses del Estado colombiano, para lo cual, desarrolló la presente normativa sustentada en un conjunto articulado de instrumentos jurídicos, técnicos y de política pública. Dichos instrumentos justifican y orientan el diseño del marco regulatorio en materia de fiscalización, incluyendo la necesidad de fortalecer las capacidades institucionales para la vigilancia y control del sector hidrocarburos, recomendando el uso de herramientas tecnológicas de seguimiento y supervisión en campo.
Que el 4 de abril de 2025, la ANH publicó en su página WEB, para comentarios, el proyecto de resolución: “por la cual se establecen las directrices para el uso de las tecnologías de medición y monitoreo de los volúmenes de producción de hidrocarburos, en el marco de las competencias de fiscalización de la Agencia Nacional de Hidrocarburos”; con plazo para formular observaciones hasta el 30 de abril de 2025 a las 5:00 p. m.
Que durante el periodo de publicación se recibieron 428 observaciones relacionadas con el proyecto de resolución, las cuales fueron revisadas y tenidas en cuenta para la expedición del presente acto administrativo. Las respuestas a las observaciones se publicaron en la página web de la Entidad.
Que la ANH el 1 de julio de 2025 socializó el proyecto de resolución “por la cual se establecen las directrices para el uso de las tecnologías de medición y monitoreo de los volúmenes de producción de hidrocarburos, en el marco de las competencias de fiscalización de la Agencia Nacional de Hidrocarburos”; donde participaron representantes de diferentes actores del sector de hidrocarburos, clasificados en: a) compañías operadoras; b) empresas prestadoras de servicios; c) entidades gremiales (Asociación Colombiana del Petróleo y Gas (ACP) y Campetrol); y d) empresas de tecnología. Durante la socialización la ANH enfatizó que las tecnologías que las compañías operadoras decidan implementar no serán sujetas de aprobación por la ANH dentro del plan de implementación.
Por lo anterior y en mérito de lo expuesto en la parte considerativa del presente acto, en consecuencia, la Agencia Nacional de Hidrocarburos,
RESUELVE:
DISPOSICIONES GENERALES.
ARTÍCULO 1o. OBJETO. Establecer las orientaciones generales, desde la competencia de la ANH como ente fiscalizador, para la implementación de sistemas de telemetría, tecnologías para la captura automatizada de datos, monitoreo mediante el uso de sensores electrónicos y dispositivos automáticos, con el fin de garantizar la exactitud, transparencia, confiabilidad y transmisión de datos en tiempo real de la información de las variables primarias objeto de fiscalización, sin modificar los estándares de medición vigentes.
ARTÍCULO 2o. ÁMBITO DE APLICACIÓN. <Artículo modificado por el artículo 1 de la Resolución 52 de 2026. El nuevo texto es el siguiente:> Las disposiciones contenidas en la presente Resolución están orientadas a la implementación de sistemas de telemetría, mediante las cuales se deben integrar dispositivos conectados para la captura y transmisión de datos en tiempo real, y en general la información relacionada con los procesos de fiscalización del volumen de hidrocarburos líquidos y gaseosos, y del agua de producción que se recupere en pozos y campos productores ubicados en el territorio nacional.
La implementación de los citados sistemas de telemetría está dirigida a las compañías operadoras (en adelante el operador) cuyo volumen de producción de hidrocarburos sea:
Petróleo: Para campos cuyo volumen de producción sea mayor o igual a 3000 BOPD.
Gas: Para campos productores de hidrocarburos que se encuentren dentro de la definición de gas comercializado de la presente resolución, siempre y cuando su volumen de comercialización sea mayor o igual a 1.000 KPCD o campos cuyo volumen de gas fiscalizado sea mayor o igual a 2000 KPCD.
Adicionalmente, aplica para aquellos campos que se encuentren en modalidad de explotación comercial, en producción temprana y a partir de la segunda prórroga de prueba extensa, de acuerdo con lo establecido en el artículo 4 de la presente Resolución.
No obstante, las compañías operadoras podrán seleccionar libremente la tecnología, marcas, fabricantes o proveedores de su preferencia que más se adecuen a su condición operacional; siempre y cuando, las mismas cumplan con los mínimos requeridos en la presente Resolución. La tecnología definida por cada operador no estaráí sujeta a la aprobación por parte de la ANH.
PARÁGRAFO 1o. En todo caso, los campos productores que no se encuentren en el ámbito de aplicación del que trata el presente artículo, deberán entregar toda la información relacionada con los procesos de fiscalización del volumen de hidrocarburos líquidos y gaseosos y del agua de producción que se recupere en pozos y campos productores ubicados en el territorio nacional, mediante el envío del archivo JSON para la generación del Informe Diario de Producción (IDP), conforme a la estructura, condiciones, validaciones y demás especificaciones técnicas aplicables establecidas para dicho archivo, en los términos definidos por la ANH.
La ANH podrá solicitar la modificación del proceso de entrega y/o de la estructura del archivo JSON mediante circular, en los términos previstos en el parágrafo 4 del artículo 15.1 de la presente Resolución.
ARTÍCULO 3o. DEFINICIONES Y SIGLAS. <Artículo modificado por el artículo 2 de la Resolución 52 de 2026. El nuevo texto es el siguiente:> Para la aplicación de la presente resolución, se tendrá en cuenta las siguientes definiciones y siglas:
Alta Producción de Hidrocarburo: Campo productor de hidrocarburos cuyo nivel de producción diaria es igual o superior a 3000 BOPD y/o 2000 KPCD.
AMQP (Advanced Message Queuing Protocol): Protocolo abierto y estándar para mensajería asincrónica, utilizado para la comunicación confiable entre aplicaciones distribuidas con soporte para colas, enrutamiento, seguridad y persistencia de mensajes.
ANH: Agencia Nacional de Hidrocarburos.
Artificial Intelligence (AI): Rama de la informática que utiliza capacidades de las máquinas para imitar habilidades humanas, realizar análisis y generar recomendaciones para la toma de decisiones.
ATG (Automatic Tank Gauge): Medidores automáticos de nivel de líquido en tanques de almacenamiento de hidrocarburos.
ATT (Automatic Tank Termomether - Termómetro Automático en Tanque): Instrumento utilizado para generar y transmitir continuamente una lectura representativa de la temperatura del contenido de cualquier tanque, cilindro, buque o compartimiento por cualquier medio diferente al uso manual de un termómetro o un termómetro electrónico portátil (PET). Los ATTs pueden incluir un dispositivo de visualización local de la temperatura.
Back: Para fines de esta resolución, se define como el conjunto de componentes análogos y/o electrónicos con tecnologías IoT dispuestos por el operador para la medición y monitoreo en la producción de hidrocarburos en campo.
Baja Producción de Hidrocarburo: Campo productor de hidrocarburos cuyo nivel de producción diaria es inferior a 3000 BOPD y/o 2000 KPCD.
BOPD: Abreviación de la unidad de flujo barriles de petróleo por día.
Borde: Zona en el extremo de red dispuesta para la entrega de datos generados por sensores a nivel del Back.
Capa física a nivel 0 de campo o piso: corresponde a los datos recopilados por los sensores que se transmiten a través de diferentes protocolos de comunicación, como LoRaWAN, NB-IoT, y redes de baja potencia (LPWAN). La elección del protocolo depende de factores como el alcance, la tasa de datos (alta o baja frecuencia) y el consumo de energía.
Cloud: Servicio de almacenamiento y procesamiento de información que permite acceder de manera remota a aplicaciones y tecnologías a través de internet.
Cloud Computing: Tecnología que permite el acceso remoto a recursos de computación y almacenamiento, facilitando el manejo flexible de grandes volúmenes de datos.
Constante o parámetro: Valor definido o establecido por normatividad que se usa para obtener datos calculados.
Dato Automático: Se refiere al valor constante o variable obtenido a partir de un instrumento digital y registrado de forma digital.
Dato Calculado: Valor obtenido a través de métodos matemáticos establecidos en la norma API MPMS 12.1.1.
Dato Crudo: información original sin modificaciones o ajustes que llegan directamente desde la fuente origen de manera electrónica.
Dato Manual: Se refiere al valor constante o variable obtenido a partir de un instrumento análogo o digital y registrado de forma digitada.
Datos en alta frecuencia: Información proporcionada en grandes volúmenes por equipos instrumentados electrónicamente, recopilada de manera automática y continua. Son la fuente primaria del origen de los datos generados por los dispositivos de IIoT y los sensores dispuestos por el operador en los tanques, pozos, ductos de transporte y otros, allí se genera la información que es enviada y almacenada por las plataformas de telemetría y de IIoT del operador.
Datos en baja frecuencia: Información recopilada de forma manual con periodicidad variable, generalmente asociada a reportes específicos, incluyendo información de manera manual producto de los recorridos del operador en campo, resultados de laboratorio, paradas de pozo, registrados en plataformas de gestión operativa o en plantillas de operación.
Edge: Dispositivo IIoT con capacidad de análisis y procesamiento cerca de la fuente de datos, reduciendo latencias y ancho de banda al no enviar información a centros de datos lejanos.
Edge Computing: Tecnología que permite procesar datos cerca de su origen, mejorando la latencia y reduciendo el tráfico en la red.
ETL (Extract, Transform, Load): Proceso que extrae datos de diversas fuentes, los transforma para adaptarlos al sistema destino y los carga en un repositorio para análisis y uso.
E&P: Acrónimo de Exploración y Producción.
Firewall: Sistema de seguridad, programas de software o dispositivos de hardware, que controla el tráfico de red entrante y saliente, a través del cual se permite o se deniega el tráfico de datos según las políticas de seguridad definidas por la entidad. Puede evitar que un programa malicioso o un atacante obtengan acceso a la red y a la información antes de que se produzca cualquier posible daño.
Firmware: Software básico almacenado en memoria no volátil que controla el hardware, permite la interacción entre dispositivos y puede ser actualizado para mejorar su funcionamiento.
Flujo de Información: Proceso que analiza cómo la información se recolecta, almacena y distribuye para generar flujos de trabajo eficientes.
Front: Para fines de esta resolución, se refiere a la arquitectura tecnológica (cómputo, almacenamiento y de comunicaciones) que dispone la ANH para recibir, almacenar y procesar los datos generados y enviados por el operador.
Gas Comercializado: Volumen de gas entregado al SNT; entregas fuera de parámetros RUT; entregas como gas natural comprimido y/o gas natural licuado; entregas para generación eléctrica u otros usos fuera del campo productor, correspondiente al gas procesado y/o sin procesar, medido en miles de pies cúbicos estándar (KPC).
Gas Consumo: Volumen de gas usado como combustible en las facilidades de producción para generación de vapor, energía eléctrica en el campo productor, medido en miles de pies cúbicos estándar (KPC).
Gas Fiscalizado: Volumen total de gas producido en campo, después de que el hidrocarburo ha pasado por un proceso de separación, medido en miles de pies cúbicos estándar (KPC).
Gas Inyectado: Volumen de gas natural inyectado a una formación para mantener o restaurar la presión del yacimiento o usado en las operaciones de levantamiento artificial de gas.
Gas Natural de Venteo: Es la liberación intencional del gas natural asociado generado por cambios de presión.
Gateway: Dispositivo que conecta dispositivos IoT a la red, con funciones como procesamiento, compresión, encriptación y transmisión de datos.
Hardware: Conjunto de partes físicas electrónicas que componen un dispositivo como un computador.
IDP: Informe Diario de Producción en el que se reportan los resultados de las operaciones del día anterior, la medición de calidad y cantidad de los fluidos de producción. Acorde con lo establecido en la Resolución número 40537 de 2024 o aquellas que la sustituya o derogue.
IDP en línea: Informe Diario de Producción en el que se reportan los resultados de las operaciones del día anterior de manera automatizada, este informe se requiere para los operadores que se establecen en el artículo 3 de esta resolución.
IEEE: El Instituto de Ingenieros Eléctricos y Electrónicos, es una organización mundial que tiene como uno de sus objetivos la definición de estándares que faciliten el intercambio de tecnologías en diferentes áreas.
IIoT (Internet Industrial de las Cosas): Aplicación del IoT en entornos industriales para mejorar la eficiencia operativa mediante la interconexión de maquinaria, sensores y sistemas.
Infraestructura: Conjunto de medios técnicos, servicios e instalaciones necesarios para realizar una actividad o utilizar un lugar.
Instrumentación electrónica: Conjunto de dispositivos electrónicos destinado a efectuar mediciones de una variable determinada, o en conjunto con uno o varios sensores electrónicos adicionales.
Interoperabilidad: Capacidad de sistemas, dispositivos o aplicaciones para trabajar juntos y compartir información de manera eficiente.
IoT (Internet de las Cosas): Conjunto de tecnologías que interconectan dispositivos físicos a través de Internet para recolectar e intercambiar datos en tiempo real.
ISO/IEC 27400:2022: Estándar internacional que ofrece pautas para la seguridad y privacidad de dispositivos IoT.
ISO/IEC 30141:2024: Estándar que establece un vocabulario común y una arquitectura de referencia para diseñar aplicaciones IoT.
JSON: Siglas de JavaScript Object Notation, es un formato de texto basado en etiquetas, que permite el intercambio de datos entre aplicaciones de una manera sencilla y fácil de entender.
Lago de datos: (o data lake) es un repositorio centralizado diseñado para almacenar grandes cantidades de datos en su forma bruta y nativa, provenientes de diversas fuentes, en cualquier formato y sin necesidad de una estructura rígida, que permite procesar y proteger un gran volumen de datos. Es una parte esencial de las arquitecturas de datos modernas, ya que permite gestionar y analizar grandes volúmenes de datos de manera eficiente. Los datos pueden ser estructurados, no estructurados o semiestructurados
LOG: Archivo generado por sistemas electrónicos sensores, equipos, instrumentos, elementos que acompañan el dispositivo de medición a nivel físico de campo o piso, donde quedaran registrados todos los eventos, errores y/o transacciones entre el hardware y/o el software.
LPWAN: (Low Power Wide Area Network) es un tipo de red de área amplia y baja potencia. Se trata de una tecnología inalámbrica que permite la comunicación entre dispositivos que requieren poco consumo de energía.
Medición Dinámica: Proceso mediante el cual se determina la cantidad y calidad de hidrocarburos en movimiento mediante uno o varios instrumentos de medición, cumpliendo con las normas y estándares definidos en esta resolución y en la resolución número 40236 de 2022.
Medición Estática: Proceso mediante el cual se determina la cantidad y calidad de hidrocarburos líquidos contenidos en tanques de almacenamiento en estado de reposo, siguiendo las normas y estándares definidos en esta resolución y en la Resolución número 40236 de 2022.
Machine Learning: Rama de la inteligencia artificial que permite a los sistemas aprender y mejorar automáticamente a partir de la experiencia.
MIOTY: Es un protocolo LPWAN basado en software que se desarrolló para superar las limitaciones de conectividad inalámbrica actuales y futuras. Con su confiabilidad y escalabilidad de primera clase, MIOTY está diseñado para implementaciones masivas de IoT industriales y comerciales. La invención principal detrás de la tecnología MIOTY es el método Telegram Splitting Multiple Access (TSMA). Tal como lo define el Instituto Europeo de Normas de Telecomunicaciones (ETSI TS 103 357), Telegram Splitting divide los paquetes de datos que se transportarán en el flujo de datos en pequeños subpaquetes a nivel de sensor.
MPV: Máquina de Procesamiento de Variables
Norma técnica: Especificación técnica nacional o internacional aprobada por un organismo reconocido por su actividad normativa para una aplicación, evento u operación que se realiza repetida o frecuentemente.
Normas IEC 62443: Es el conjunto de estándares internacionales que proporcionan directrices para proteger los sistemas de control industrial (ICS) y redes de tecnologías de la operación (TO). La IEC 62443 complementa a la norma ISO 27001, que abarca principalmente las regulaciones para la seguridad IT. Juntas, ambas normas ofrecen un método integral para proteger a las empresas frente a las amenazas cibernéticas.
NTC: Norma Técnica Colombiana, expedida por el ICONTEC.
NSV: Volumen Neto Estándar.
Nube Pública: Es un modelo de computación en el que un proveedor externo ofrece servicios de computación a través de Internet.
Open API: Refiere a una especificación estandarizada que permite describir y documentar APIs RestFul de manera legible para humanos y máquinas. En IIoT, facilita la integración y comunicación entre dispositivos al proporcionar una definición clara de las interfaces de programación.
Operador: Persona jurídica individual o aquella responsable de dirigir y conducir las operaciones de exploración y evaluación, en cumplimiento de Contrato de Evaluación Técnica (TEA); de Exploración, Evaluación, Desarrollo y Producción de Hidrocarburos, en ejecución de Contrato o Convenio de Exploración y Producción (E&P), Contrato o Convenio de Exploración y Explotación (E&E), Convenio de Explotación (CE), o Especial; la conducción de la ejecución contractual y de las relaciones con el Ente de fiscalización, así como de asumir el liderazgo y la representación del consorcio, unión temporal o sociedad constituida con motivo de la adjudicación o asignación, tratándose de contratistas plurales. Igualmente, se entenderá por Operador el responsable que, en el marco de un contrato de asociación o de cualquier otro esquema asociativo, le corresponda conducir las actividades de exploración, evaluación, desarrollo y producción de hidrocarburos y de asumir la representación ante el Ente de fiscalización. El Operador será el responsable, ante el Ministerio de Minas y Energía y de la ANH, del cumplimiento de las obligaciones que se deriven de la ley y demás disposiciones normativas.
Periodicidad del Almacenamiento: Define el periodo de las variables almacenadas en alta frecuencia por intervalos de cada 10 minutos. Esto sin cambiar la filosofía operacional de los campos.
Periodicidad del Muestreo: Define en tiempo, las veces que se debe almacenar la muestra del dato generado por la instrumentación electrónica. "Ver Anexo 5".
Producción: Proceso de extracción, tratamiento y almacenamiento de hidrocarburos para satisfacer demandas energéticas y generar valor económico.
Punto de Medición Oficial (PMO): Puntos aprobados por el Ente de Fiscalización, en los cuales se miden la cantidad y calidad de los hidrocarburos producidos a condiciones estándar, para efectos de determinar los volúmenes de petróleo y gas base para el cálculo de las regalías.
Sistema de Telemetría: Infraestructura tecnológica diseñada integralmente para la medición, recopilación y transmisión de datos en tiempo real.
SNT: Sistema Nacional de Transporte para gas natural.
Software: Conjunto de programas, instrucciones y reglas que permiten que un dispositivo electrónico funcione.
SOLAR: Acrónimo de Sistema Oficial de Liquidación y Administración de Regalías de la ANH.
Tiempo Oportuno: Entrega de datos en el momento adecuado para cumplir con objetivos operativos, aunque no necesariamente en tiempo real.
Tiempo Real: Capacidad de procesar y transmitir datos con latencia mínima, asegurando la entrega inmediata para decisiones críticas. Latencia de extremo a extremo <=500ms.
Timestamp: Es la marca de tiempo que registra la fecha y hora, en la que ocurrió un evento determinado. Es una forma de registrar la información de variables y/o dispositivos y es fundamental para la ordenación y búsqueda de eventos en sistemas de telemetría, bases de datos y otros contextos.
Variable automatizada o instrumentada: Dato originado a partir de instrumentos que responde a señales digitales o electrónicas emitidas por un entorno físico.
Zona de Entrega: Infraestructura (lago de datos) designada para la recopilación de la información de alta y baja frecuencia por parte del operador para disponibilidad de la ANH. En esta resolución se refiere como punto "C".
Zona de Ingesta: Infraestructura designada para la recepción de la información de alta y baja frecuencia que entrega el operador para disponibilidad de la ANH. En esta resolución se refiere como punto "D".
PARÁGRAFO. En relación con las definiciones no contenidas en el presente acto, entiéndase incorporadas aquellas dispuestas en la regulación expedida por el Ministerio de Minas y Energía, en especial en la Resolución número 40236 de 2022, o aquellas que las sustituya o derogue
ARTÍCULO 4o. PLAZOS PARA LA IMPLEMENTACIÓN. <Artículo modificado por el artículo 1 de la Resolución 101 de 2026. El nuevo texto es el siguiente:> El operador deberá ejecutar y finalizar la implementación de las acciones contempladas en el plan de implementación entregado a la ANH, dentro de los plazos perentorios y no prorrogables fijados expresamente en este artículo. Dichos plazos no estarán sujetos a la fecha de entrega, radicación o aprobación del respectivo plan.
1. Para los campos productores de hidrocarburos con una producción diaria de crudo, sin excepción, igual o superior a 9000 BOPD y su producción de agua asociada, el plan de implementación deberá encontrarse debidamente ejecutado y finalizado a más tardar el 30 de septiembre de 2026, en cumplimiento de lo dispuesto en la presente resolución.
2. Para los campos productores de hidrocarburos con una producción diaria de crudo, sin excepción, igual o superior a 4500 BOPD y menor a 9000 BOPD y su producción de agua asociada, el plan de implementación deberá encontrarse debidamente ejecutado y finalizado a más tardar el 31 de diciembre de 2026, en cumplimiento de lo dispuesto en la presente resolución.
3. Para los campos productores de hidrocarburos con una producción diaria de crudo, sin excepción, igual o superior a 3000 BOPD y menor a 4500 BOPD y su producción de agua asociada, el plan de implementación deberá encontrarse debidamente ejecutado y finalizado a más tardar el 31 de diciembre de 2026, en cumplimiento de lo dispuesto en la presente resolución.
4. Para los campos productores de hidrocarburos con una producción diaria de gas comercializado, sin excepción, igual o superior a 1000 KPCD, el plan de implementación deberá encontrarse debidamente ejecutado y finalizado a más tardar el 30 de septiembre de 2026, en cumplimiento de lo dispuesto en la presente resolución.
5. Para los campos de hidrocarburos con una producción diaria de gas, sin excepción, igual o superior a 2000 KPCD, que realizan quema, consumo, inyección, otros; el plan de implementación deberá encontrarse debidamente ejecutado y finalizado a más tardar el 31 de diciembre de 2026, en cumplimiento de lo dispuesto en la presente resolución.
PARÁGRAFO 1o. Los campos productores de hidrocarburos con una producción diaria de crudo inferior a 3000 BOPD y su producción de agua asociada, deberán implementar los sistemas de telemetría y tecnologías para la captura automatizada de datos a que hace referencia la presente resolución, en un plazo máximo de seis (6) meses contados a partir del momento en que superen o igualen dicha producción promedio de 3000 BOPD durante diez (10) días continuos.
PARÁGRAFO 2o. Los campos productores de hidrocarburos con una producción diaria de gas inferior a 2000 KPCD, deberán implementar los sistemas de telemetría y tecnologías para la captura automatizada de datos a que hace referencia la presente resolución, en un plazo máximo de seis (6) meses contados a partir del momento en que superen o igualen dicha producción promedio de 2000 KPCD durante diez (10) días continuos.
PARÁGRAFO 3o. Los campos productores de hidrocarburos cuya producción diaria de gas no es comercializado o comercializado e inferior a 1000 KPCD a la fecha de emisión de esta resolución y que posteriormente inicien una actividad de comercialización del gas producido con un volumen igual o superior a 1000 KPCD o que estando en actividad de comercialización superen o igualen un volumen de 1000 KPCD, deberán implementar los sistemas de telemetría y tecnologías para la captura automatizada de datos a que hace referencia la presente resolución, en un plazo máximo de seis (6) meses contados a partir del momento en que inicie dicha comercialización.
PARÁGRAFO 4o. Para los campos productores de hidrocarburos, las variables de IDP a nivel de pozo enunciadas en la Figura 3. Diagrama de flujo de información de medición del IDP a nivel dinámico para pozos contemplado en el artículo 8.1. Medidores líquidos, deberán implementarse los sistemas de telemetría y tecnologías para la captura automatizada de datos dentro de un plazo de veinticuatro (24) meses contados a partir de la entrega del plan de implementación a que hace referencia el artículo 6o de la presente resolución.
PARÁGRAFO 5o. Para los nuevos proyectos de exploración y explotación, el operador deberá considerar en el diseño y construcción de sus facilidades de producción, los equipos y procedimientos necesarios para el cumplimiento del objeto de esta resolución.
PARÁGRAFO 6o. Una vez finalizado el periodo de implementación del que trata este artículo, el operador debe remitir mediante comunicación oficial en un plazo no mayor a diez (10) días calendario, todos los certificados de calibración de los equipos de medición, así como los elementos de medición e instrumentos utilizados en el sistema de telemetría.
PARÁGRAFO 7o. Los campos productores de hidrocarburos que, sin estar incluidos dentro de los criterios establecidos en el presente artículo, cuenten con sistemas de telemetría y tecnologías para la captura automatizada de datos implementados, sin importar su marca, fabricante o proveedor, con anterioridad o durante la vigencia de esta resolución, deberán informar dicha condición a la ANH dentro de un plazo máximo de 30 días calendario posteriores a la publicación del presente acto para remitir los datos conforme a los lineamientos técnicos establecidos para el reporte de información.
Asimismo, los campos que se encuentren dentro de los rangos definidos en los numerales 2, 3 y 5 del presente artículo y que ya dispongan de sistemas de telemetría y tecnologías para la captura automatizada de datos plenamente operativos, deberán informar expresamente dicha condición a la Agencia Nacional de Hidrocarburos (ANH) y registrarla en el plan de implementación presentado conforme al artículo 6o de la presente resolución, con el propósito de ser incorporados en el grupo de campos cuya implementación se entenderá concluida el 30 de septiembre de 2026, exclusivamente para efectos de habilitar la recepción del dato y su reporte ante la ANH conforme a los lineamientos técnicos establecidos. Sin perjuicio de lo anterior, para estos campos en todo caso, el operador deberá cumplir integralmente los lineamientos de esta resolución dentro del plazo máximo que resulte aplicable a cada campo, conforme a su nivel de producción y a los plazos previstos en el presente artículo".
PARÁGRAFO 8o. Adopción temprana y reporte mediante archivos JSON. Sin perjuicio de los plazos máximos de implementación fijados en los parágrafos anteriores del presente artículo, las compañías operadoras que, con anterioridad al 31 de mayo de 2026, cuenten con las condiciones técnicas y operativas para la entrega de la información a través de los archivos JSON Tipo A y/o JSON Tipo B, definidos en la Circular número 0003 de 2026, podrán iniciar la transmisión continua de datos a la ANH a partir del 1 de junio de 2026, independientemente del volumen de producción de sus campos.
Para tal efecto y en estricta concordancia con el parágrafo 1 del artículo 2o de la Resolución número 0651 de 2025, modificado por el artículo 1o de la Resolución número 0052 de 2026 y los lineamientos de la Circular número 0003 de 2026, los campos productores que no se encuentren dentro del ámbito de aplicación exigido para telemetría, es decir, con una producción menor a 3000 BOPD para crudo y/o gas comercializado menor a 1000 KPCD o gas fiscalizado menor a 2000 KPCD, conservan la obligación ineludible de reportar diariamente su información en baja frecuencia mediante el envío del archivo JSON Tipo B, lo cual puede iniciar el 1 de junio de 2026 y sin exceder el 30 de septiembre 2026.
De igual manera, el reporte diario mediante el archivo JSON Tipo B será mandatorio para aquellos campos que se encuentren en etapa de pruebas iniciales, así como durante el periodo inicial y la primera prórroga de pruebas extensas. Lo anterior, toda vez que la obligatoriedad de transmitir datos automatizados de alta frecuencia, JSON Tipo A, es exigible exclusivamente para las modalidades de explotación comercial, producción temprana y a partir de la segunda prórroga de prueba extensa, siempre y cuando dichos campos alcancen o superen los umbrales del ámbito de aplicación previstos en el precitado artículo 2o de la Resolución número 0651 de 2025, modificado por la Resolución número 0052 de 2026.
ARTÍCULO 5o. OBLIGACIONES DEL OPERADOR. El operador deberá cumplir con las siguientes obligaciones a fin de implementar sistemas de telemetría, mediante las cuales se deben integrar dispositivos conectados para la captura y transmisión de datos en tiempo real, y en general la información relacionada con el monitoreo de los volúmenes de los hidrocarburos producidos y del agua de producción, las cuales se detallan a continuación:
1. Presentar un plan de implementación a la ANH en los tiempos y términos estipulados en el artículo 6o de esta resolución.
2. <Numeral modificado por el artículo 1 de la Resolución 708 de 2025. El nuevo texto es el siguiente:> Asegurar la integridad metrológica para la instrumentación electrónica, conforme a lo establecido en los artículos 33 y 34 de la Resolución número 40236 de 2022 o aquella que la modifique o sustituya para garantizar la toma correcta de datos desde el origen. (Anexo 2, tabla 12).
3. Implementar mecanismos que aseguren la integridad y calidad de los datos para los sistemas de telemetría.
4. <Numeral modificado por el artículo 1 de la Resolución 708 de 2025. El nuevo texto es el siguiente:> Configurar el sistema de telemetría para que gestione eficientemente la transmisión de datos, procurando: (i) la seguridad durante la transmisión, la compresión y encriptación de los datos para optimizar el uso de la red y minimizar las posibles pérdidas o retrasos; (ii) la conectividad de forma que garantice una red estable, con redundancia en los enlaces de comunicación y en la infraestructura; (iii) la transmisión continua de datos a la ANH en caso de fallos; iv) mantener de manera indefinida copias de seguridad de la información para situaciones contingentes de la infraestructura; y, a la finalización del contrato con la ANH y/o de los contratos de asociación, las copias de seguridad deberán ser entregadas a la ANH mediante los mecanismos que esta disponga. La tecnología, marca, fabricante o proveedor que use cada operador es de libre decisión, siempre cumpla con los mínimos requeridos en la presente resolución. La tecnología definida por cada operador no estará sujeta a la aprobación por parte de la ANH.
5. El operador debe asegurar que la solución pueda capturar y registrar datos de producción en tiempo real, incluyendo volúmenes de crudo extraído, tasas de flujo, y otros parámetros relevantes para la fiscalización. Así mismo, debe configurar los equipos en borde, de modo que sea posible filtrar y enrutar los datos relevantes, eliminando información redundante.
6. El operador debe implementar y/o considerar diversas estrategias para asegurar la recolección y la transmisión eficiente de datos a pesar de los desafíos de conectividad, en aquellos campos petroleros remotos con cobertura o conectividad de internet limitada.
7. El operador debe implementar mecanismos de monitoreo y diagnóstico que permitan detectar y solucionar rápidamente cualquier problema que pueda surgir en la cadena de transmisión de datos, desde el sensor hasta el Gateway y el mecanismo de almacenamiento seleccionado por el operador.
8. Velar que el sistema de captura, medición y transmisión de datos cumpla con estándares de seguridad reconocidos, como ISO/IEC 27001 y IEC 62443, para garantizar la protección, la integridad de los datos en los sistemas IoT con el fin de prevenir ataques cibernéticos.
9. Implementar un mecanismo robusto de autenticación y autorización, asegurando que solo dispositivos y usuarios autorizados puedan enviar datos desde la zona de borde a la zona de entrega de la ANH.
10. Implementar protocolos de telecomunicaciones compatibles como MQTT o AMQP, asegurando la entrega eficiente y confiable de los datos. La solución debe ser compatible con protocolos y estándares internacionales abiertos para la comunicación (OPC UA, AMQP, MQTT, HTTP) y las interfaces (Open API) para asegurar la interoperabilidad con diferentes dispositivos y sistemas. En todo caso el operador podrá seleccionar la tecnología, marca, fabricante o proveedor de su preferencia, siempre que los mismos cumplan con los requisitos mínimos de esta resolución. La tecnología definida por cada operador no estará sujeta a la aprobación por parte de la ANH.
11. El operador debe asegurar que la solución tecnológica logre el intercambio de datos y almacenamiento entre la infraestructura del operador y la infraestructura de datos de la ANH. En todo caso el operador podrá seleccionar la tecnología, marca, fabricante o proveedor de su preferencia, siempre que los mismos cumplan con los requisitos mínimos de esta resolución. La tecnología definida por cada operador no estará sujeta a la aprobación por parte de la ANH.
12. Garantizar el aseguramiento físico de los sistemas de telemetría a través de instalaciones físicas seguras y protegidas de condiciones ambientales adversas como temperaturas extremas, humedad y polvo, así como su accesibilidad para el mantenimiento y reparación.
13. Garantizar el almacenamiento temporal de los datos en la zona de borde hasta tanto se restablezcan las condiciones de operación normal, en caso de interrupción de la conectividad, para ser enviados a la zona de entrega tan pronto como se restablezca la conexión.
14. Disponer de los registros de eventos electrónicos (LOG), asegurando la completitud y calidad del dato para cuando la ANH lo solicite. La información de log mínima requerida comprende el timestamp del momento de registro, origen o fuente del evento y descripción del evento.
15. Disponer de un lago de datos para el almacenamiento indefinido de los archivos que se entregarán a la ANH para la ingesta de información y generación de informes, el cual también debe estar disponible para consulta por demanda por parte de la ANH. En todo caso el operador podrá seleccionar la tecnología para el lago de datos, marca, fabricante o proveedor de su preferencia, siempre que los mismos cumplan con los requisitos mínimos de esta resolución. La tecnología definida por cada operador no estará sujeta a la aprobación por parte de la ANH.
16. El aseguramiento de los requisitos metrológicos del equipo de medición se debe realizar conforme a lo señalado en las Resoluciones números 40236 del 2022 y 40066 del 2022, o aquellas que las modifiquen o sustituyan.
ELEMENTOS MÍNIMOS PARA EL PLAN DE MEDICIÓN DE HIDROCARBUROS POR TELEMETRÍA.
ARTÍCULO 6o. PLAN DE IMPLEMENTACIÓN. <Artículo modificado por el artículo 1 de la Resolución 885 de 2025. El nuevo texto es el siguiente:> El operador debe presentar para consideración de la ANH un plan de implementación acorde a lo establecido en esta resolución, detallando los sistemas y las tecnologías a utilizar, la documentación, el monitoreo y el sistema de seguridad de IIoT, describiendo especificaciones técnicas de los elementos de instrumentación, sistemas y medios de transmisión por cada campo de producción de crudo y gas, conforme con los siguientes plazos:
1. Respecto de los campos que deban iniciar la implementación a más tardar el 31 de mayo de 2026, de acuerdo con lo establecido en artículo 4o de la presente resolución, deberán presentar el plan de implementación a más tardar el 30 de noviembre de 2025.
2. Respecto de los campos que deban iniciar la implementación a más tardar el 30 de septiembre de 2026, de acuerdo con lo establecido en artículo 4o de la presente resolución, deberán presentar el plan de implementación a más tardar el 30 de marzo de 2026.
3. Respecto de los campos que deban iniciar la implementación a más tardar el 31 de diciembre de 2026 de acuerdo con lo establecido en artículo 4o de la presente resolución, deberán presentar el plan de implementación a más tardar el 30 de junio de 2026.
En todo caso las compañías operadoras podrán seleccionar libremente la tecnología, marcas, fabricantes o proveedores de su preferencia que más se adecúen a su condición operacional, siempre y cuando las mismas cumplan con los mínimos requeridos en la presente resolución. La tecnología definida por cada operador no estará sujeta a la aprobación por parte de la ANH. No obstante, el ente de fiscalización verificará que los mínimos requeridos en la presente resolución estén contemplados. La tecnología definida por cada operador no estará sujeta a la aprobación por parte de la ANH.
El citado plan de implementación que debe ser radicado en esta Entidad mediante comunicación oficial que debe contener como mínimo lo siguiente:
Introducción:
1. Indicar el alcance, definiendo los campos productores de crudo y gas a implementar y las tecnologías y procesos involucrados.
2. Deberá contener un Plan de Trabajo (PDT) incluyendo cronograma y recursos para el cumplimiento de la resolución.
Filosofía del Sistema de Telemetría o Transmisión de Datos de Alta Frecuencia (artículo 10):
3. Deberá describir la arquitectura del sistema de telemetría mediante un diagrama donde se describan las tecnologías, los sensores, equipos de telemetría y la disposición en el campo y una matriz por tipo de variable y dispositivo a utilizar disponiendo de sus especificaciones técnicas (Precisión, principios de medición, modo de comunicación, rango del instrumento).
4. Deberá describir los sistemas de comunicación y transmisión de datos incluyendo el diagrama de fiujo y la topología de red, las tecnologías de telecomunicaciones de baja potencia (LoRaWAN, Zigbee, etc.), los protocolos de comunicación y transmisión (AMQP, MQTT, etc.) y los componentes de seguridad de la red.
5. Deberá consignar los mecanismos para el aseguramiento de calidad, procedimientos de calibración y los métodos de validación de la exactitud de los datos.
Las compañías operadoras podrán seleccionar libremente la tecnología, marcas, fabricantes o proveedores de su preferencia que más se adecúen a su condición operacional, siempre y cuando las mismas cumplan con los mínimos requeridos en la Resolución ANH 0651 del 27 de agosto de 2025. La tecnología definida por cada operador no estará sujeta a la aprobación por parte de la ANH.
Filosofía del sistema de almacenamiento (Lago de Datos) por el operador:
6. Deberá contener información relacionada a la arquitectura de almacenamiento del lago de Datos, especificaciones técnicas, directrices para la retención o almacenamiento de conservación del dato y sus respaldos, contemplar las políticas de ciberseguridad para protección de los datos y acceso seguro.
Las compañías operadoras podrán seleccionar libremente la tecnología, marcas, fabricantes o proveedores de su preferencia que más se adecúen a su condición operacional, siempre y cuando las mismas cumplan con los mínimos requeridos en la presente resolución. La tecnología definida por cada operador no estará sujeta a la aprobación por parte de la ANH.
Pruebas, pilotos y validaciones del sistema:
7. Deberá contener información concerniente al plan de pruebas piloto y de validación en la entrega de los datos de alta y baja frecuencia en la zona de entrega (Punto C), donde se evalúen puntos críticos y/o vulnerabilidades y los planes de mitigación de fallas y contingencia para la continuidad operativa en la entrega del dato de manera oportuna a la ANH.
8. Deberá entregar un esquema de pruebas de penetración al sistema de telemetría una vez implementado y otras pruebas de seguridad para identificar vulnerabilidades.
9. Identificación de riesgos y los planes de mitigación de riesgos.
Anexos:
10. Diagramas de Flujo de información: Representación gráfica de los procesos de medición y transmisión. Esquemas de arquitectura del sistema integrado de Hardware y software.
Diagrama de arquitectura del Lago de datos en la zona de entrega.
11. Listado de contactos por parte del operador responsable de la implementación de la resolución para cada campo. (nombre/número móvil/correo electrónico).
PARÁGRAFO 1o. Se entiende como aprobado el plan de implementación presentado por el operador ante esta entidad, siempre y cuando cumplan con las fechas máximas establecidas en el artículo 4o y el contenido integral de esta resolución. Por ende, será el operador quien deberá garantizar el cumplimiento de estos aspectos. El operador podrá seleccionar a su elección la tecnología, marca, fabricante o proveedor de su preferencia, siempre que los mismos cumplan con los requisitos mínimos de esta resolución. La tecnología definida por cada operador no estará sujeta a la aprobación por parte de la ANH.
PARÁGRAFO 2o. El operador deberá presentar informes de avance de la ejecución del plan de implementación bajo la temporalidad y recurrencia que determine el Ente de Fiscalización en su aprobación; sin embargo, estos informes no podrán tener una temporalidad y recurrencia mayor a los seis (6) meses.
PARÁGRAFO 3o. Instrumentación electrónica, telemetría y equipos de referencia: La instrumentación electrónica, equipos de medición, tecnologías e instrumentos para telemetría son punto de referencia. Las operadoras podrán seleccionar la tecnología que consideren como mejor opción, siempre y cuando cumpla con los requisitos mínimos de la presente resolución. Las operadoras son libres en escoger, marcas, protocolos y tecnologías para el aseguramiento de los datos en alta frecuencia. La tecnología definida por cada operador no estará sujeta a la aprobación por parte de la ANH.
PARÁGRAFO 4o. La ANH podrá incluir variables adicionales en el Archivo JSON, en alta o baja frecuencia, las cuales serán notificadas por los canales que destine la Entidad, las variables mencionadas actualmente están relacionadas con el IDP vigente, pero pueden tener cambios como incluir nuevas, hacer cambios de priorización de baja a alta frecuencia, entre otras.
ESPECIFICACIONES TÉCNICAS DE LA ARQUITECTURA DEL SISTEMA IIOT.
MEDICIÓN DE HIDROCARBUROS LÍQUIDOS.
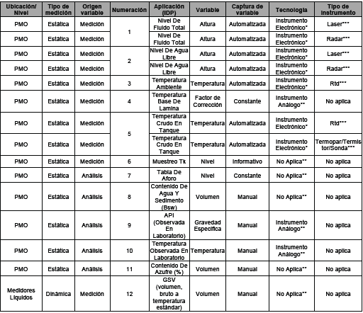
ARTÍCULO 7o. ESTRUCTURA DEL PROCESO DE MEDICIÓN ESTÁTICA Y DINÁMICA DE HIDROCARBUROS LÍQUIDOS EN EL PMO. Los dispositivos electrónicos diseñados para el control y monitoreo remoto de la producción de hidrocarburos en los campos existentes en el territorio nacional deben contar con la capacidad para registrar, procesar y transmitir datos en alta frecuencia a la ANH. Los datos en baja frecuencia deben recopilarse y disponerse de manera manual, lo cual debe obedecer al proceso de medición dispuesto en la Figura 1.

Figura 1. Diagrama de variables del proceso de medición del IDP para tanques PMO de crudo. Fuente elaboración ANH.
El diagrama de flujo anterior representa el proceso de modernización a la fiscalización de crudo, teniendo en cuenta las normas API MPMS aplicables, en este se muestran los datos mínimos para la medición estática requeridos para el cálculo del volumen neto estándar de crudo (NSV) en el PMO. Estas variables han sido clasificadas en: variables automáticas en alta frecuencia (azul), datos manuales (rosado), datos calculados (verde) y datos constantes (naranja) y con un punto azul las de agua libre.
En caso de que el operador cuente con un sistema de medición dinámica, debe asegurar los datos dentro de la zona de entrega (punto C) garantizando el dato de crudo como Volumen Neto Estándar (NSV).
Las compañías operadoras podrán seleccionar libremente la tecnología, marcas, fabricantes o proveedores de su preferencia que más se adecúen a su condición operacional, siempre y cuando las mismas cumplan con los mínimos requeridos en la presente resolución. La tecnología definida por cada operador no estará sujeta a la aprobación por parte de la ANH.
ARTÍCULO 8o. REQUISITOS TÉCNICOS DE MEDICIÓN ESTÁTICA Y DINÁMICA DE HIDROCARBUROS LÍQUIDOS EN EL PMO. A continuación, se relacionan las especificaciones técnicas mínimas recomendadas para el cálculo del IDP en línea.
| Título Columna - IDP | Descripción | Categorías |
| Ubicación/nivel | Es la ubicación del instrumento o equipo en el campo. | PMO, medidores líquidos, pozos |
| Tipo de medición | Discrimina la metodología de medición. | Dinámica o estática. |
| Origen variable | Es la categoría que describe el componen del flujo en el IDP. | Medición, análisis, dato multihoja, potenciales de pozo |
| Numeración | Es la numeración de cada elemento, dentro de las gráficas y tablas, que corresponden al IDP | 1,2,3...n |
| Aplicación (IDP) | Variable de ingesta por el IDP (informe diario de producción) | Nombre dentro de la gráfica IDP |
| Variable de medición | Valor de una magnitud que impacta en la determinación de la cantidad o calidad del hidrocarburo. | Temperatura, nivel, volumen, Gravedad API, presión, tiempo, corriente, frecuencia. |
| Captura de la variable | Manera o forma por la cual se captura el dato según el tipo de variable, su ubicación física y su estado. | Variable Automatizada Constante Dato Manual Dato Calculado |
| Tecnología | Característica del instrumento por el cual se asegura la medición. | Instrumento electrónico Instrumento análogo NO aplica. |
| Tipo de dato | Manera en que se comparte el dato para calcular el IDP | Digital o manual |
| Tipo de sensor del instrumento | Sensor con el que funciona el instrumento. | Laser, Radar, Termopar, RTD, encoder, reloj digital. |
| Transmisión del dato | Forma en la que se transmite el dato a nivel de comunicaciones electrónicas. | Comunicaciones IOT/Telemetría |
| Exactitud | Es la cualidad que refleja el grado de proximidad entre un valor medido y un valor verdadero de un mensurando. | ±0.1°F /±1 mm / ±0.1°F a ±2°F |
| Rango de medición | Es el intervalo de valores dentro del cual un instrumento puede medir una magnitud física. Se define por los valores mínimo y máximo que puede medir el instrumento. | De -40°F a 302°F: -40°F, 212°F y 302°F |
| Tiempo de respuesta | Indica el tiempo en segundos que el instrumento Electrónico tarda en entregar el dato medido, al sistema de telecomunicaciones | <0.5 s a <10 s < 1s |
| Capacidad de medición | Compatibilidad correspondiente para la precisión por parte del instrumento. | Precisión alta 1us, 0.1 A a 0.01 A |
| Tipo/Principio de medición | Comportamiento físico, para detectar la magnitud de la variable analizada. (Laser, Radio) | Varios tipos (óptico, termopar, piezoeléctrico) / Incremental, absoluto (óptico, magnético) / Osciladores de cuarzo / GPS/NTP/ Impedancia eléctrica, rayos gamma, microondas |
| Ángulo del haz | Aplica para sensores que usan ondas para la captura del dato. | |
| Material del cuerpo del sensor | Características de las cubiertas para asegurar su uso y duración. | Acero inoxidable, aleaciones resistentes/ materiales plásticos |
| Temperatura de operación | Temperatura a la cual un equipo o instrumento de medición funciona correctamente. | -40°C a +85°C (-40°F a +185°F) para equipos industriales, de -10°C a +60°C (14°F a 140°F) para componentes electrónicos, de -20°C a +70°C (-4°F a +158°F) para sensores industriales, hasta 350°C (662°F). |
| Título Columna - IDP | Descripción | Categorías |
| Presión máxima de operación | Valor máximo de operación a la que se puede someter un instrumento o equipo. | Hasta 145 psi, Hasta 580 psi hasta 435 psi hasta 14500 psi. |
| Voltaje de entrada | Valor de tensión eléctrica para su funcionamiento. VDC (voltaje de corriente directa)-VAC (voltaje de corriente alterna) | 5V, 12V, 24V; opcionalmente 85- 240 VAC, 50/60 Hz. |
| Consumo de energía | Valor eléctrico de uso energético del dispositivo. | |
| Señal de salida | Tipo de señal a entregar por el dispositivo. | 4-20 mA, RS485, Ethernet, etc. |
| Protocolos soportados | Tipos de protocolos que soportan los instrumentos o equipos. | Modbus RTU/TCP, HART 7.0, OPC UA/IOT/LPWAN |
| Diagnósticos | Autodiagnóstico a nivel de máquina por medio de lógicas computacionales que identifican posibles fallas o errores para un posterior soporte o mantenimiento. | indicadores LED o diagnóstico remoto, monitoreo de densidad, gas libre, alerta de erosión. |
| Clasificación IP | Clasificación para Agua, Polvo y condiciones extremas, de los dispositivos. | IP67 mínimo, opcionalmente IP68 o IP69K. |
Tabla 1. Explicación de las variables de especificaciones técnicas de la instrumentación electrónica recomendada para la medición del IDP por el operador – Fuente. ANH
La instrumentación electrónica recomendada para la aplicación de las citadas especificaciones técnicas se encuentra en el Cuadro 1 del Anexo 2 del presente acto administrativo.
Las compañías operadoras podrán seleccionar libremente la tecnología, marcas, fabricantes o proveedores de su preferencia que más se adecuen a su condición operacional, siempre y cuando las mismas cumplan con los mínimos requeridos en la presente resolución. La tecnología definida por cada operador no estará sujeta a la aprobación por parte de la ANH.
ARTÍCULO 8.1. MEDIDORES LÍQUIDOS. El registro del volumen a nivel estático y dinámico en medidores líquidos, para el balance de la producción diaria, se describe en la Figura 2, con un diagrama de variables del proceso que contiene los datos mínimos requeridos para el cálculo del volumen del IDP en línea que representa el movimiento o disposición del fluido, capturadas de manera automatizada y manual.

Figura 2. Diagrama de flujo de información de medición del IDP a nivel dinámico para medidores líquidos – Fuente. ANH con base en las normas API MPMS.
Los datos para el cálculo del IDP en línea a nivel dinámico para pozos, se visualizan en la Figura 3, para el cálculo de la producción, pruebas de potencial y paradas de pozo de forma automatizada y manual.
Las compañías operadoras podrán seleccionar libremente la tecnología, marcas, fabricantes o proveedores de su preferencia que más se adecuen a su condición operacional, siempre y cuando las mismas cumplan con los mínimos requeridos en la presente resolución. La tecnología definida por cada operador no estará sujeta a la aprobación por parte de la ANH.

Figura 3. Diagrama de flujo de información de medición del IDP a nivel dinámico para pozos. Fuente. ANH con base en las normas API MPMS.
ARTÍCULO 8.2. REQUISITOS TÉCNICOS DE MEDICIÓN PARA AGUA. El operador deberá asegurar metrológicamente todos los instrumentos o equipos electrónicos en los sistemas de telemetría necesarios para la medición de agua de producción asociada al volumen de crudo establecido en los rangos de implementación dispuestos en el artículo 4o de la presente resolución. De igual manera, se deberá implementar los sistemas de telemetría necesarios para la medición de agua de inyección en todos los pozos dispositores y pozos para mantenimiento de presión que se tenga en cada campo, al igual que las variables de nivel, temperatura y presión de cada sistema, acorde con lo establecido en el artículo 18 de la Resolución número 40236 de 2022 o la que lo modifique o sustituya y el Cuadro 3 del anexo 2 de esta resolución.
En la Tabla 2 se señala la descripción de la instrumentación electrónica que el operador debe asegurar en cada campo de producción a nivel de agua:
| Título Columna - IDP | Descripción | Categoría |
| Ubicación/Nivel | Es la ubicación del instrumento o equipo en el campo. | PMO, medidores líquidos, pozos |
| Tipo de medición | Discrimina la medición entre | Dinámica y estática. |
| Origen variable | Medición, análisis, dato multi hoja, potenciales de pozo | |
| Numeración | Es la numeración de cada elemento, dentro de las gráficas y tablas, que corresponden al IDP | 1,2,3...n |
| Aplicación (IDP) | Variable de ingesta por el IDP (informe diario de producción) | Nombre dentro de la gráfica IDP |
| Variable | Proceso que determina la cantidad o calidad del hidrocarburo. | Volumen |
| Captura de variable | Manera o forma por la cual se captura el dato según el tipo de variable, su ubicación física y su estado. | Variable Automatizada. Constante. Dato Manual. Dato Calculado. |
| Tecnología | Característica del instrumento por el cual se asegura la medición. | Instrumento electrónico Instrumento análogo NO aplica. |
| Tipo de dato | Manera en que se comparte el dato para cálculo IDP | Digital o Manual |
| Tipo de instrumento | Sensor con el que opera el instrumento. | Laser, Radar, Termopar, RTD, encoder, reloj digital. |
| Transmisión del dato | Forma en la que se transmite el dato a nivel de comunicaciones electrónicas. | Comunicaciones IOT/Telemetría |
| Rango de medición | Indica la diferencia numérica entre el valor máximo y el valor mínimo de la medida. | -40°C a +100°C (extendido hasta 150°C)-200°C a 2000°C |
| Tiempo de respuesta | Indica el tiempo en que el instrumento Electrónico tarda en entregar el dato medido, al sistema de telecomunicaciones. | <0.5 s a <10 s < 1s |
| Señal de salida | Tipo de señal a entregar por el dispositivo. | 4-20 mA, RS485, Ethernet, etc. |
| Protocolos soportados | Tipos de protocolos que soportan los instrumentos o equipos | Modbus RTU/TCP, HART 7.0, OPC UA/IOT/LPWAN |
Tabla 2. Instrumentación electrónica de producción a nivel de agua. Fuente ANH
Las unidades controladoras (PLC o RTU o equipos electrónicos) deberán cumplir con los requisitos los necesarios para el aseguramiento de la telemetría por parte del operador, los cuales se muestran en el cuadro 5 del ANEXO 3 de la presente resolución. Sin embargo, las compañías operadoras podrán seleccionar libremente la tecnología, marcas, fabricantes o proveedores de su preferencia que más se adecuen a su condición operacional, siempre y cuando las mismas cumplan con los mínimos requeridos en la presente resolución. La tecnología definida por cada operador no estará sujeta a la aprobación por parte de la ANH.
MEDICIÓN DE GAS NATURAL.
ARTÍCULO 9o. REQUISITOS TÉCNICOS DE MEDICIÓN PARA GAS NATURAL. El operador debe disponer en la zona de entrega, el dato de volumen de producción de gas, volumen de quema de gas, volumen de gas comercializado, volumen de gas consumido, entre otros, de acuerdo con los sistemas de telemetría señalados en la presente resolución.
Aquellos campos que sean productores de crudo y de gas deberán reportar el gas fiscalizado por medio de los sistemas de telemetría en los tiempos que estipula el artículo 14 de esta resolución.
En la Tabla 3 se señala la descripción de la instrumentación electrónica que el operador debe asegurar en cada campo de producción a nivel de gas natural:
| Título Columna - IDP | Descripción | Categoría |
| Variable | Proceso que determina la cantidad o calidad del hidrocarburo. | Volumen Composición de gas Caudal Temperatura Presión |
| Captura de variable | Manera o forma por la cual se captura el dato según el tipo de variable, su ubicación física y su estado. | Variable Automatizada. Constante. Dato Manual. Dato Calculado. |
| Tecnología | Característica del instrumento por el cual se asegura la medición. | Instrumento electrónico Instrumento análogo NO aplica. |
| Tipo de dato | Manera en que se comparte el dato para cálculo del IDP | Digital o Manual |
| Tipo de instrumento | Sensor con el que opera el instrumento. | Coriolis/Turbina/Rotativos/Computador de flujo Analizador en línea/Cromatógrafo Computador de flujo Transmisor de temperatura |
| Transmisión del dato | Forma en la que se transmite el dato a nivel de comunicaciones electrónicas. | Comunicaciones IOT/Telemetría |
| Rango de medición | Indica la diferencia numérica entre el valor máximo y el valor mínimo de la medida | -40°C a +100°C (extendido hasta 150°C)-200°C a 2000°C |
| Tiempo de respuesta | Indica el tiempo en que el instrumento Electrónico tarda en entregar el dato medido, al sistema de telecomunicaciones | <0.5 s a <10 s < 1s |
| Título Columna - IDP | Descripción | Categoría |
| Señal de salida | Tipo de señal a entregar por el dispositivo. | 4-20 mA, RS485, Ethernet, etc. |
| Protocolos soportados | Tipos de protocolos que soportan los instrumentos o equipos | Modbus RTU/TCP, HART 7.0, OPC UA/IOT/LPWAN |
Tabla 3. Instrumentación electrónica producción gas natural. Fuente ANH
Las unidades controladoras (PLC o RTU o equipos electronicos) deberán cumplir con los requisitos los necesarios para el aseguramiento de la telemetría por parte del operador, los cuales se muestran en el Cuadro 2 del ANEXO 2 de la presente Resolución. Sin embargo, las compañías operadoras podrán seleccionar libremente la tecnología, marcas, fabricantes o proveedores de su preferencia que más se adecúen a su condición operacional, siempre y cuando las mismas cumplan con los mínimos requeridos en la presente Resolución.
PARÁGRAFO 1o. Todo campo productor que presente algún volumen de gas que se comercialice al SNT, deben implementar la instrumentación electrónica y/o los equipos necesarios descritos en el inciso anterior para cuantificar la cantidad y determinación de la calidad de gas, acorde con lo establecido en el artículo 4o de la presente Resolución. Estos datos se proporcionarán por los sistemas de telemetría, como datos de Alta Frecuencia.
PARÁGRAFO 2o. Todo campo productor que presente algún volumen de gas que se comercialice fuera de parámetros o condiciones RUT, deben implementar la instrumentación electrónica y/o los equipos necesarios descritos en el inciso anterior para cuantificar la cantidad de gas, acorde con lo establecido en el artículo 4o de la presente resolución. El dato de cantidad de gas se proporcionará por los sistemas de telemetría, como un dato de alta frecuencia.
En cuanto al dato de calidad de gas, deben presentar la cromatografía acorde a la frecuencia establecida en el artículo 7o de la Resolución número 40236 del 7 de julio de 2022 expedida por el Ministerio de Minas y Energía o aquella que la modifique o sustituya. El dato de calidad de gas se proporcionará como un dato de baja frecuencia.
PARÁGRAFO 3o. Las compañías operadoras podrán seleccionar libremente la tecnología, marcas, fabricantes o proveedores de su preferencia que más se adecúen a su condición operacional, siempre y cuando las mismas cumplan con los mínimos requeridos en la presente resolución. La tecnología definida por cada operador no estará sujeta a la aprobación por parte de la ANH.

Figura 4. Diagrama de flujo de información de medición del IDP a nivel dinámico para gas. Fuente ANH con base en las normas API MPMS
ARQUITECTURA DE IT/OT.
ARTÍCULO 10. ARQUITECTURA IT/OT DATOS EN ALTA FRECUENCIA. El operador debe implementar una arquitectura IT/OT que va desde la generación de los datos en los dispositivos de IIoT y sensores ubicados a nivel de superficie (punto “A”, Figura 5), hasta la transmisión de datos a la ANH (punto “C”, Figura 5).
A nivel de superficie, la Figura 5 describe la transmisión de los datos generados desde las fuentes sensores, hacia el nivel de control de proceso donde se ubican las unidades controladoras (PLC o RTU o DCS, entre otras). La recolección de datos (representada en el punto “B” de la Figura 5), se realiza en el nivel 2 de supervisión y control a través de mecanismos SCADA, HMI y supervisión IIoT. Posteriormente los datos ingresan a los sistemas de la operación siendo almacenados en bases de datos históricas, estaciones de ingeniería y un servidor de entradas y salidas (Gateway) como puerta de enlace que consolida los datos de los múltiples dispositivos, finalmente los datos atraviesan la Zona Desmilitarizada IT/OT que asegura el envío de la información desde la zona de entrega del operador (punto “C” Figura 5) hacia la zona de ingesta (punto “D” Figura 5) de la ANH.

Figura 5. Filosofía a nivel de arquitectura Back (Alta Frecuencia) - LPWAN, Requerimientos de transmisión. - Fuente. ANH.
Las compañías operadoras podrán seleccionar la tecnología para la implementación de la arquitectura IT/OT datos en alta frecuencia. Así como podrán seleccionar libremente la tecnología, marcas, fabricantes o proveedores de su preferencia que más se adecuen a su condición operacional, siempre y cuando las mismas cumplan con los mínimos requeridos en la presente resolución. La tecnología definida por cada operador no estará sujeta a la aprobación por parte de la ANH.
1. Es necesario el diseño e implementación de un algoritmo para el manejo de las excepciones de datos en alta frecuencia en los sistemas de telemetría, tal como se describe en el anexo de Excepciones Datos en Alta Frecuencia dispuesto en el ANEXO 5 de la presente resolución, para lo cual debe entregar un diagrama de flujo del algoritmo que se va a implementar.
2. Los “datos crudos” o datos capturados a nivel físico de superficie, deben ser almacenados a partir del momento cero de implementación del sistema de telemetría, y deberá contarse con un plan de contingencia para su almacenamiento de manera indefinida y a disposición de la ANH en la zona de entrega o lago de datos.
3. Las reglas de transmisión de datos en el back del operador deben cumplir con los mejores estándares internacionales (normas IEEE), de transmisión y aseguramiento de la calidad del dato generado desde los equipos y sensores hasta la zona de entrega (punto “C” Figura 5).
4. El diseño del sistema de telemetría debe garantizar la comunicación y la transmisión de datos junto con sus capas de implementación teniendo en cuenta los datos transmitidos por medio de protocolos como OPC, OMS, Ethernet, Profibus, Modbus, RS485, TCP IP entre otros, apoyado de infraestructura de telecomunicaciones y redes de baja potencia LPWAN como Lora, SigFox, MIOTY, entre otras. A continuación, se relacionan las capas IT/OT necesarias para la implementación del sistema de telemetría por parte del operador.

Figura 6. Diagrama de capas conceptuales de tecnologías IT/OT.
| Nivel | Capa o Nivel TO | Descripción | Funciones Principales | Protocolos |
| 0 | Nivel físico – superficie | Nivel más bajo, incluye sensores, actuadores y | - Recolección de datos de los sensores o equipos en tiempo real | Modbus RTU, Profibus-DP, HART, CAN |
| dispositivos físicos, datos de alta. | - Ejecución de acciones físicas y registrados a mano | |||
| 1 | Nivel de control de proceso | Ver controladores programables recomendados | - Procesamiento de datos | EtherCAT, Profinet, Modbus TCP, OPC-UA |
| (PLC, DCS, RTUs,SIS, EDGE, | - Ejecución de programas de control | |||
| IOT) (ver Anexo 3) | - Comunicación con capas superiores | |||
| 2 | Nivel de supervisión de | Sistemas SCADA y HMI para supervisión y control de | - Supervisión visual | OPC-UA, MQTT, Modbus TCP/IP |
| control | procesos. | - Almacenamiento de datos históricos | ||
| - Generación de alarmas y notificaciones | ||||
| - Interfaces HMI | ||||
| 3 | Nivel de sistemas | Sistemas MES (sistema de | - Planificación de la producción | B2MML, OPC-UA |
| de operaciones | Ejecución de Manufactura) para | - Gestión de calidad y mantenimiento | ||
| la gestión de la producción. | -Históricos | |||
| - Integración con ERP | ||||
| 3.5 | Zona desmilitarizada IT/OT | Capa de interconexión entre tecnologías de la operación y tecnologías de la información | -Solo se permite a personal - autorizado. El DMZ (Zona Desmilitarizada) OT es un componente clave de una estrategia de defensa a los sistemas de control dentro de la operación. | LAN, WAN |
| 4 | Nivel empresarial (ERP) | Sistemas ERP que conectan operaciones industriales con | - Análisis de datos estratégicos | APIs empresariales |
| objetivos comerciales. | - Gestión de inventarios y logística | |||
| - Toma de decisiones de alto nivel | ||||
| 5 | Nivel de | Capa transversal para | - Segmentación de red | TLS, VPN, firewalls |
| seguridad | garantizar la ciberseguridad del sistema. | - Protección de datos con ciberseguridad contra intrusiones | industriales | |
| - Cifrado y monitoreo de eventos | ||||
| - Respuesta ante incidentes | ||||
Tabla 4. Capas o niveles de implementación OT/IT – Fuente. ANH
Las compañías operadoras podrán seleccionar la tecnología para la implementación de las capas o niveles de implementación OT/IT. Así como podrán seleccionar libremente la tecnología, marcas, fabricantes o proveedores de su preferencia que más se adecuen a su condición operacional, siempre y cuando las mismas cumplan con los mínimos requeridos en la presente Resolución. La tecnología definida por cada operador no estará sujeta a la aprobación por parte de la ANH.
ARTÍCULO 12. DATOS EN BAJA FRECUENCIA. Para la recolección de la información de datos en baja frecuencia o tipo manual debe atenderse a lo dispuesto en el artículo 31 de la Resolución número 40236 de 2022 o aquella que la modifique o sustituya; adicionalmente este registro debe incluir los análisis de laboratorio, movimientos operacionales o por medición estática manual y que complementa los datos de las actividades diarias de producción de crudo, gas o agua (según el caso), que faciliten la correlación de eventos de transferencias, entregas, recibos, drenajes, consumos, para el caso de tanques de almacenamiento, pruebas y paradas de pozo.
ARTÍCULO 13. FLUJO DE DATOS EN LA ARQUITECTURA OT/TI. A continuación, se describen los bloques que integran la arquitectura operativa del proyecto de modernización a la fiscalización.
Las compañías operadoras podrán seleccionar la tecnología para la implementación del flujo de datos en la Arquitectura OT/TI. Así como podrán seleccionar libremente la tecnología, marcas, fabricantes o proveedores de su preferencia que más se adecuen a su condición operacional, siempre y cuando las mismas cumplan con los mínimos requeridos en la presente resolución. La tecnología definida por cada operador no estará sujeta a la aprobación por parte de la ANH.

Figura 7. Arquitectura OT/IT. Fuente ANH
| Capa o nivel | Descripción | Ubicación en la figura |
| Capa de superficie | Define la ubicación de los componentes de captura de datos en el campo, esto incluye tanques, ductos de transporte, pozos, entre otros, los sensores y equipos de IIoT recopilan la información de la operación diaria, los datos son enviados a la segunda capa que se encarga del control del proceso. | Bloque A. |
| Capa o nivel | Descripción | Ubicación en la figura |
| Capa de control de procesos | A esta capa llegan las señales de los dispositivos de medición, se recopilan los datos y se monitorean variables, estos datos se envían posteriormente a los sistemas de supervisión y control. | Bloque B. |
| Capa de supervisión y control | Este bloque realiza tareas automatizadas, permite supervisar los datos de los dispositivos en tiempo real, facilita la toma de decisiones agilizando las operaciones y toma de decisiones. | Bloque B. |
| Capa de la operación | En esta capa el operador puede procesar los datos, en esta parte tanto los datos de alta frecuencia como de baja frecuencia, que se han recopilado durante el día de operación, deben ser combinados y exportados hacia el archivo JSON según la estructura que se establece en el ANEXO 4. | Bloque B, Estación de Ingeniería. |
| Zona de entrega | En esta parte, una vez generado el archivo JSON se debe disponer en el lago de datos del operador cumpliendo con las convenciones que se establecen en el Artículo 14 de esta resolución. Adicionalmente, a solicitud de la ANH el operador deberá disponer la generación del Archivo JSON a demanda teniendo como opciones de consulta; Contrato y/o Campo y/o PMO y/o Estampas de tiempo entre otras. | Bloque C. |
| Zona de ingesta | Cuando se envía el archivo a la zona de ingesta de la ANH los datos pasan por procesos de Extracción, Transformación y Carga, dejando toda la información preparada para ser enviada a los sistemas de información y cálculo de producción de la ANH. | Bloque D. |
Tabla 5. Descripción por bloques de la arquitectura OT/IT
| Descripción del flujo de los datos | Representación |
| Los datos que se obtienen de los sistemas de telemetría, que permiten la toma de datos automática de los equipos en superficie, generan un flujo automatizado hacia los componentes superiores que facilitan la supervisión y control del ambiente operativo IIoT | Flujo en azul oscuro |
| datos de baja frecuencia que se obtienen de procesos manuales, o de equipos electrónicos que no hacen parte de la telemetría, y del recorrido del operador en campo (supervisores, recorredores) que se llevan en plantillas manuales, se registran en algún tipo de soporte digital | Flujo en violeta |
| Los datos son operados en la estación de ingeniería, desde este punto se puede gestionar y administrar la operación de la telemetría y obtener informes, en este parte los datos de alta frecuencia y los datos de baja frecuencia se combinan en un único archivo que usa un formato JSON, el operador debe asegurar que los datos no sean manipulados en alta frecuencia, y que los datos de baja frecuencia sean veraces y verificables de acuerdo con la bitácora, para finalmente ser entregados a la ANH desde el lago de datos dispuesto para esta función | Flujo en verde |
Tabla 6. Flujo de datos en la Arquitectura OT/IT por bloques
ARTÍCULO 14. ARCHIVO JSON. El operador debe entregar diariamente y antes de las 7:00 a. m. toda la información de la operación mediante un archivo en formato JSON el cual será dispuesto en el punto “D” o zona de ingesta como se muestra en la Figura 7. Para ello, el nombre del archivo debe seguir la estructura “NOMBREOPERADOR_CONTRATONUMERO_ FECHA(dd-mmm-yyyy).json”; el modelo y campos de diseño del archivo están consignados detalladamente en el Anexo 4.
En este archivo tipo JSON, el operador debe registrar la información de todos los eventos de los procesos automatizados y manuales de la operación recolectados por los sistemas de medición, monitoreo, control y la gestión operativa, lo que corresponde a los datos de alta frecuencia con excepciones y datos de baja frecuencia de la operación respectivamente; contemplando los eventos, tipos de evento, la hora de inicio, la hora de terminación, duración. La información o los datos para el cálculo del IDP se deben entregar sin alteraciones o modificaciones en el contenido original.
La zona de ingesta, en la Figura 7 es “el punto D”, la cual es la infraestructura tecnológica dispuesta por la ANH, donde recibirá o halará la información por parte del operador, para su extracción, transformación y almacenamiento.
ARTÍCULO 15. ENTREGA DE INFORMACIÓN MEDIANTE ARCHIVO JSON A LA ANH. A más tardar a las 7:00 a. m, se deberá remitir el archivo JSON a la ANH con los resultados de las operaciones del día anterior con corte a las 23:59:59, la medición de calidad y cantidad de los fluidos producidos.
En caso de requerirse alguna modificación en el informe diario de producción - IDP en línea, esta deberá ser realizada dentro de las 24 horas siguientes a la solicitud, quedando el registro del proceso: usuario, hora de ingreso, hora de envío, y la información que la ANH establezca para asegurar que la información se ha recibido de manera cumplida.
Sin excepción, el consolidado de volúmenes de los IDP en línea, deberá ser consistente con la información reportada en los informes de producción mensual. De existir diferencias, deberá enviarse oficialmente una justificación técnica sobre las mismas, suscrita por el representante legal del operador o quien haga sus veces.
ARTÍCULO 15.1. PROCESO DE ENTREGA Y ENVÍO DEL ARCHIVO JSON. El área responsable por parte del operador de la entrega del archivo JSON de producción diaria IDP en línea, debe asegurar la disponibilidad de éste en el lago de datos en la zona de entrega. Se debe establecer la comunicación a través de un canal seguro entre las partes operador-ANH usando protocolos de seguridad para la transmisión de datos. El usuario autorizado a través de las credenciales otorgadas por la ANH para el proceso realiza el envío del archivo a la zona de ingesta (punto D Figura 7), se crea un reporte final de resultado del proceso sea exitoso o no, se envía una notificación a las partes, y se cierra el proceso a través de la desconexión segura.
Para los requerimientos de información por demanda desde la ANH, la unidad responsable del manejo de información de producción podrá realizar el proceso siguiendo el flujo para este: ingreso al sistema de información o plataforma de integración, establecimiento de la conexión y protocolos de seguridad del canal de comunicación, validación y autenticación del usuario en la zona de entrega del operador, inicio de descarga del archivo, verificación de la correcta recepción del archivo, reporte del resultado del proceso exitoso o no, notificación a las partes, proceso de desconexión segura.
PARÁGRAFO 1o. Entre los eventos que se pueden dar en la operación y que el operador debe reportar en el archivo JSON, se tienen los movimientos que se realizan en los tanques de almacenamiento PMO como: transferencias recibidas, transferencias enviadas, entregas o ventas, recibos, drenajes, consumos.
PARÁGRAFO 2o. Para los eventos que se generen por parada de pozos, el operador debe reportar la hora de inicio, hora final, tipo o motivo de parada en donde se especifique si esta es programada o no, entre otros tipos de eventos que se relacionan en el Anexo 4. Los posibles eventos son: abandono, alto S&W, eléctrico, emergencia sanitaria, ambiental, facilidades, ingeniería, bajo potencial, mantenimiento, mecánico, precio del crudo, orden público, cerrado temporalmente, bombeo/transporte, pruebas suspendidas, climático, toma de registros/PBU, servicio a pozo.
PARÁGRAFO 3o. La presente resolución no suprime, ni elimina, ni modifica el proceso y demás consideraciones actuales para el envío del Informe Diario de Producción IDP establecido en el artículo 51 de la Resolución número 40537 de 2024, y que a la fecha de emisión de esta resolución se envía a la ANH mediante plantilla en formato Excel y flujo automático.
Sin perjuicio de la presente resolución todo operador deberá seguir entregando la información del IDP de acuerdo con lo establecido en el artículo 51 de la Resolución número 40537 de 2024 o aquella que la modifique o sustituya.
PARÁGRAFO 4o. La ANH podrá solicitar la modificación del proceso de entrega y/o de la estructura de la plantilla del archivo JSON para la generación del Informe Diario de Producción (IDP) en línea en cualquier momento, para ello, se informará mediante circular emitida por la ANH a todos los operadores del tiempo que dispondrán para dicha entrega, el cual no podrá ser mayor a un plazo de diez (10) días calendario.
PARÁGRAFO 5o. Para el proceso de entrega del archivo JSON, las compañías operadoras podrán seleccionar la tecnología para la implementación, sin importar, marcas, fabricantes o proveedores de su preferencia que más se adecúen a su condición operacional, siempre y cuando las mismas cumplan con los mínimos requeridos en la presente resolución. La tecnología definida por cada operador no estará sujeta a la aprobación por parte de la ANH.
ARTÍCULO 15.2. SUBSANACIÓN POR RECHAZO DE INGESTA Y CORRECCIÓN DE INFORMACIÓN TRANSMITIDA. <Artículo adicionado por el artículo 4 de la Resolución 52 de 2026. El nuevo texto es el siguiente:> Cuando la información transmitida por el Operador mediante el envío del archivo JSON para la generación del Informe Diario de Producción (IDP) sea objeto de rechazo de ingesta o presente inconsistencias, el Operador deberá subsanarlas y retransmitir la información conforme a la estructura, condiciones, validaciones y demás especificaciones técnicas aplicables definidas por la ANH para dicho archivo.
La ANH podrá solicitar la modificación del proceso de entrega y/o de la estructura del archivo JSON mediante circular, en los términos previstos en el parágrafo 4 del artículo 15.1 de la presente Resolución.
Para efectos del presente artículo, se entenderá por:
a) Rechazo de ingesta: la no aceptación del archivo por el canal dispuesto por la ANH para su recepción e ingesta, por incumplimiento del esquema, tipos de dato, formatos, integridad, campos obligatorios u otras reglas automáticas de validación definidas por la ANH, que impida su procesamiento.
b) Inconsistencia de contenido: la presencia de valores erróneos, incompletos o incoherentes con la operación reportada, aun cuando la transmisión del archivo se haya completado y el mismo haya sido recibido por el canal dispuesto por la ANH.
PARÁGRAFO 1o. Plazo de subsanación por rechazo de ingesta. En caso de rechazo de ingesta, el Operador deberá corregir el archivo y retransmitirlo dentro del término máximo de una (1) hora, contada a partir de la notificación del rechazo por el canal dispuesto por la ANH. Mientras no se subsane, el reporte se considerará no recibido para efectos de validación y procesamiento.
PARÁGRAFO 2o. Plazo para correcciones de contenido. Cuando se identifiquen inconsistencias de contenido, ya sea por el Operador o a solicitud de la ANH, el Operador deberá ajustar y retransmitir la información correspondiente dentro del término máximo de una (1) hora, contada a partir de la identificación de la inconsistencia o de la solicitud formulada por la ANH, según corresponda.
PARÁGRAFO 3o. Trazabilidad y control de versiones. Toda retransmisión deberá mantener trazabilidad, incluyendo como mínimo: (i) identificador del envío, (ii) fecha y hora de generación, (iii) versión del archivo o número de corrección, y (iv) motivo de la corrección, conforme a las disposiciones técnicas definidas por la ANH.
PARÁGRAFO 4o. Lo dispuesto en el presente artículo se aplica sin perjuicio de las actuaciones de verificación y fiscalización a cargo de la ANH y del régimen sancionatorio aplicable.
ARTÍCULO 16. REQUERIMIENTOS DE TI PARA EL OPERADOR. El operador debe seleccionar, de acuerdo con su condición operacional, la infraestructura para la zona de entrega de los datos a la ANH que más se adecue a sus capacidades operacionales, garantizando capacidades de almacenamiento, rendimiento, seguridad y disponibilidad que facilite la retención y acceso a los datos, que se adecue a su arquitectura y estableciendo las configuraciones y protocolos específicos para este tipo de servicio La tecnología definida por cada operador no estará sujeta a la aprobación por parte de la ANH.
Los requisitos funcionales mínimos sugeridos de la zona de entrega o lago de datos del operador son los siguientes:
1. El servicio de lago de datos debe contar con las capacidades de conectividad y transmisión de los datos entre la operadora y la ANH. Si el operador define el almacenamiento en su infraestructura de manera local, debe habilitar los protocolos estándares industriales para este tipo de servicio y garantizar la funcionalidad del recurso para la ANH.
2. En caso de cambiar de proveedor de servicio de nube para el lago de datos, o si realizan cambios a la infraestructura de almacenamiento local, debe informarse por escrito a la ANH los nuevos parámetros de conexión, así como las configuraciones de red y las políticas de conectividad que se hayan establecido.
3. El lago de datos debe tener la capacidad para almacenar bases de datos relacionales o no relacionales, con datos estructurados o no estructurados, para lo cual tendrá una partición de este, donde serán almacenados los reportes en formato JSON con los datos de alta y baja frecuencia (ANEXO 4)
6. El lago de datos debe tener la capacidad de almacenamiento para los archivos de datos en formato JSON de la producción diaria, y permitir el crecimiento esperado de la zona de entrega; este servicio debe poder escalar para ampliar o reducir la capacidad de almacenamiento bajo demanda.
7. El lago de datos debe contar con funciones de respaldo y recuperación de datos y garantizar la disponibilidad y almacenamiento de la información (datos y archivos) de forma indefinida para la consulta de la ANH cuando así lo requiera.
8. La configuración del lago de datos debe asegurar y garantizar características y funciones de alta disponibilidad, de tal manera que la información siempre esté dispuesta para la ANH para consultas diarias, aleatorias o a demanda en cualquier momento en el tiempo, pero garantizando un almacenamiento continuo de las variables para la medición del IDP en línea, los eventos y demás datos en alta frecuencia de sus sistemas, de manera que no afecte el almacenamiento, ni el rendimiento de sus sistemas en el corto, mediano y largo plazo.
PARÁGRAFO 1o. El operador debe asegurar el cumplimiento de protocolos de seguridad, ciberseguridad y encriptación para el lago de datos así:
a) Establecer mecanismos de protección de datos, mediante protocolos de seguridad, ciberseguridad y encriptación, que se alineen a estándares reconocidos como ISO27001, NIST, ISO27400, IEC 62443 esta última aplica para redes industriales y sistemas de seguridad a nivel de las tecnologías de operación OT.
b) Establecer los niveles de cifrado de la información tanto en reposo como en tránsito, el operador debe informar a la ANH los parámetros de cifrado para la carga de la información en el lago de datos y su transformación a texto legible (descifrar) por parte de la ANH.
c) Definir las políticas de Gobierno de datos (calidad, limpieza, entre otras, pero sin limitarse a estas) de acuerdo con las necesidades del operador y establecer los correspondientes protocolos para el acceso de la ANH.
d) Asignar a la ANH por lo menos dos (2) perfiles de usuarios, con unos roles de acceso, consulta y descarga por demanda. Los perfiles asignados deben tener permisos de acceso a la información e históricos almacenados por el operador en el lago de datos.
PARÁGRAFO 2o. Las compañías operadoras podrán seleccionar la tecnología para la implementación de la zona de entrega sin importar, marcas, fabricantes o proveedores de su preferencia que más se adecúen a su condición operacional, siempre y cuando las mismas cumplan con los mínimos requeridos en la presente resolución. La tecnología definida por cada operador no estará sujeta a la aprobación por parte de la ANH.
ARTÍCULO 17. FILOSOFÍA DEL FLUJO DE LOS DATOS PARA CRUDO. De acuerdo con el diagrama de flujo de datos para crudo dispuesto la Figura 8, se indica que el operador que tenga una producción con un volumen total por campo mayor o igual (=) a 3000 BOPD, debe disponer la información del IDP en línea en la zona de entrega (lago de datos) del operador por el proceso automatizado definido.
Dentro de este proceso se describen tres tipos de flujos:
| Tipo de flujo | Descripción | Representación en la Figura 8 |
| Flujo manual | obedece al cargue de la plantilla IDP a través de la plataforma SOLAR | Color rosado |
| Flujo automático | representa la integración entre los dos sistemas de información, uno de la compañía operadora y el otro de la ANH | Color azul oscuro |
| Flujo de datos por Telemetría | El flujo de datos debe implementar el sistema de telemetría, donde la automatización de los datos se debe disponer en la zona de entrega (lago de datos del operador) para ser consultados y procesados por la ANH | color azul claro |
ESPACIO EN BLANCO A PROPÓSITO

Figura 8. Flujograma de la filosofía del flujo de datos para crudo - Fuente. ANH
PARÁGRAFO. Las compañías operadoras podrán seleccionar la tecnología para el cumplimiento de la filosofía del flujo de datos para crudo sin importar, marcas, fabricantes o proveedores de su preferencia que más se adecuen a su condición operacional, siempre y cuando las mismas cumplan con los mínimos requeridos en la presente resolución. La tecnología definida por cada operador no estará sujeta a la aprobación por parte de la ANH.
ARTÍCULO 18. FILOSOFÍA DEL FLUJO DE LOS DATOS PARA GAS. La figura 9 indica el flujo para la captura de los datos y el reporte del IDP para la entrega de información ya sea manual (flujo rosado) o por el sistema de telemetría (flujo de color azul claro).
En todo caso el operador deberá cumplir con los tiempos estipulados en el artículo 4o de la presente resolución.
En el diagrama de flujo de datos para gas, representado en la Figura 9, inicia el proceso con las diferentes corrientes de gas que se pueden tener en los campos de producción como son: gas comercializado al SNT, quemas, entregas a gasoductos urbanos, consumos, inyección, entre otros. Este conjunto de corrientes de gas muestra las posibles combinaciones o interacciones que se pueden dar entre ellas.
Para reportar la producción de gas de cada campo se deben tener en cuenta los siguientes criterios:
1. Pruebas Iniciales: Toda la información de producción de gas se debe remitir mediante la plantilla establecida por la ANH de manera manual. En la Figura 9 se representa con el color rosado.
2. Periodo inicial de pruebas extensas: Durante el plazo inicial para la realización de pruebas extensas los operadores deberán remitir la información asociada a la producción de gas mediante la plantilla establecida por la ANH de manera manual. La primera prórroga de que trata el artículo 28 de la Resolución número 40537 de 2024 o aquella que la modifique o sustituya, estará condicionada a la implementación, puesta en marcha y operatividad del sistema de telemetría descrito en la presente resolución.
3. Periodos de (i) ampliación de pruebas extensas, (ii) comercialidad o explotación: Toda la información volumétrica asociada a la producción de gas que se disponga en cualquiera de las corrientes debe ser reportada a la ANH a través de los sistemas de telemetría; en concordancia con el plazo dispuesto en el artículo 4o literal b de esta resolución.
PARÁGRAFO 1o. El flujo de datos de telemetría para el gas no exonera al operador del envío de la plantilla del IDP manual, mediante el aplicativo SOLAR o las herramientas que para tal fin disponga la ANH.
PARÁGRAFO 2o. Para todos los campos que comercialicen gas al SNT o a otro proveedor y que acorde con la modalidad de explotación les aplique la implementación de los sistemas de telemetría, la automatización de los datos se debe disponer en la zona de entrega (lago de datos del operador) para ser consultados y procesados por la ANH.
PARÁGRAFO 3o. Las compañías operadoras podrán seleccionar la tecnología para el cumplimiento de la filosofía del flujo de datos para crudo sin importar, marcas, fabricantes o proveedores de su preferencia que más se adecúen a su condición operacional, siempre y cuando las mismas cumplan con los mínimos requeridos en la presente resolución. La tecnología definida por cada operador no estará sujeta a la aprobación por parte de la ANH.
ESPACIO EN BLANCO A PROPÓSITO

Figura 9. Flujograma de la filosofía del flujo de datos para gas – Fuente. ANH
OTRAS DISPOSICIONES.
ARTÍCULO 19. VERIFICACIÓN DEL ESTADO DEL SISTEMA DE MEDICIÓN POR TELEMETRÍA. El Ente de Fiscalización podrá, de forma directa o mediante un tercero especializado, realizar inspecciones periódicas a los sistemas de Telemetría para verificar el cumplimiento de los requisitos establecidos en esta resolución.
Los hallazgos o no conformidades encontradas en las inspecciones serán comunicados por parte del Ente de Fiscalización mediante oficio, en el cual se informará el plazo con el que contará el operador para subsanar dichos hallazgos, este no podrá superar los cinco (5) días calendario. El seguimiento, monitoreo y verificación del cumplimiento del plan de acción estará a cargo del Ente de Fiscalización.
PARÁGRAFO 1o. El operador debe asegurar que los equipos de medición y equipos e instrumentos usados en el sistema de telemetría se encuentren calibrados acorde con lo establecido en los artículos 33 y 34 de la Resolución número 40236 del 2022 o aquella que la modifique o sustituya, para tal fin el operador debe implementar un plan metrológico de todos los equipos e instrumentos de medición, en donde se identifique la vigencia del certificado de calibración de cada equipo e instrumento usado, mantenimiento y verificaciones periódicas realizadas, entre otras.
El operador deberá entregar a la ANH los certificados de calibración, mediante comunicación oficial, en el plazo dispuesto en el parágrafo 4, artículo 4o de la presente resolución, y en adelante con una periodicidad anual. Lo anterior sin perjuicio de que el Ente de Fiscalización lo pueda requerir en cualquier tiempo.
PARÁGRAFO 2o. La información entregable, en la cual se encuentran los datos en formato JSON, serán susceptibles a procesos de verificación y auditoría.
PARÁGRAFO 3o. De presentarse afectaciones, anomalías o irregularidades en el funcionamiento de los sistemas de telemetría desde la captura de manera automatizada hasta la disponibilidad del archivo JSON en la zona de entrega (“C”) para la ANH, estas deberán ser informadas mediante un informe y/o reporte en donde se describa el inconveniente y el tiempo estimado de la solución al mismo, en un término de doce (12) horas, mediante correo electrónico a soporte.idp@anh.gov.co
Para las actividades contempladas en los mantenimientos correctivos, preventivos o predictivos se contará con un plazo máximo de setenta y dos (72) horas para la culminación de las actividades correspondientes y para la normalización en el funcionamiento total de los sistemas de telemetría, mediante los cuales se integran dispositivos conectados para la captura y transmisión de datos en tiempo real relacionados con los procesos de fiscalización del volumen de hidrocarburos líquidos y gaseosos, agua de producción que se recupera en pozos y campos productores ubicados en el territorio nacional para la conformación del IDP en línea, contados a partir del informe y/o reporte mencionado anteriormente.
PARÁGRAFO 4o. Las verificaciones de las actividades mencionadas en este artículo, podrán ser realizadas de forma diferente a la presencial y con el uso de herramientas digitales y remotas, únicamente cuando por razones de fuerza mayor debidamente motivadas por el Ente Fiscalizador, se impida o imposibilite la realización de verificaciones presenciales.
PARÁGRAFO 5o. El operador debe informar mediante comunicación oficial a la ANH de los cambios y/o modificaciones al sistema de telemetría, como instrumentos, sensores, dispositivos IIOT, PLC, RTUs, SCADAs, entre otros, que permitan la creación del archivo JSON para la generación del informe Diario de Producción (IDP) en línea. En todo caso las compañías operadoras podrán seleccionar la tecnología sin importar, marcas, fabricantes o proveedores de su preferencia que más se adecúen a su condición operacional, siempre y cuando las mismas cumplan con los mínimos requeridos en la presente resolución. La tecnología definida por cada operador no estará sujeta a la aprobación por parte de la ANH.
ARTÍCULO 20. SOCIALIZACIÓN. La Agencia Nacional de Hidrocarburos informará oportunamente a todas las compañías operadoras del proceso de socialización, sensibilización y transferencia de conocimiento para la óptima implementación de lo dispuesto en la presente resolución.
ARTÍCULO 21. SANCIONES. El no cumplimiento a las disposiciones contenidas en la presente resolución será sancionado conforme a las disposiciones aplicables, entre estas, el artículo 67 del Código de Petróleos, modificado por el artículo 21 de la Ley 10 de 1961 o aquellas que los modifiquen, adicionen o sustituyan.
ARTÍCULO 22. VIGENCIA. La presente resolución rige a partir de su expedición.
Expedida en Bogotá, D. C., el 27-08-2025
Publíquese y cúmplase.
El Vicepresidente de Operaciones, Regalías y Participaciones,
Rafael Alberto Fajardo Moreno.
FILOSOFÍA DEL PROYECTO DE MODERNIZACIÓN DEL SECTOR DE HIDROCARBUROS.
El objetivo central del proyecto es modernizar y mejorar la eficiencia y eficacia de la fiscalización de hidrocarburos bajo la responsabilidad de la Vicepresidencia de Operaciones, Regalías y Participaciones (VORP), con el fin de garantizar una gestión transparente, responsable y alineada con los objetivos del Plan Nacional de Desarrollo (PND) y la transición energética justa.
El proyecto de modernización busca implementar una fiscalización efectiva, moderna, tecnificada y digitalizada que asegure el adecuado control de las reservas, la producción, y el recaudo de regalías y derechos económicos, contribuyendo a la sostenibilidad y eficiencia operativa, bajo los principios fundamentales de eficiencia, transparencia e innovación: donde:
A. Se combina el uso de tecnologías avanzadas como IIoT, telemetría y analítica de datos para optimizar la fiscalización de los hidrocarburos de forma confiable, minimizando tiempos, mejorando la precisión de los datos por medio de la transmisión de los datos instrumentados desde los operadores a la ANH.
B. El operador incorpora de tecnologías avanzadas como sistemas de medición automatizados, sensores inteligentes, y plataformas de interoperabilidad que se integran con los sistemas existentes entre el operador y la ANH para garantizar la medición, monitoreo y transmisión de datos en tiempo real de fiscalización.
C. En la Figura 5, se describe la arquitectura de las aplicaciones para la fiscalización de hidrocarburos, donde el flujo de los datos entre el operador y la Agencia Nacional de Hidrocarburos (ANH), se recopilan en el operador a través de: (i) computadores de flujo, que miden variables de líquidos y gas; (ii) telemetría de tanques, que registra datos volumétricos automatizados (Puntos de Medición Oficiales - PMO); (iii) pruebas manuales, como las de pozos y paros; (iv) calidad del crudo y gas, cuyos parámetros como BSW, API, y contenido de sal y azufre se analizan en laboratorio. Estos datos se almacenan en la base de datos del operador, que consolida la información de cantidad (instrumentada) y calidad (manual). Luego, se transmiten al sistema de la ANH a través de un proceso de ingesta de datos.
D. En el lado de la ANH, hay un integrador de bases de datos consolida la información recibida y la envía al Sistema de Administración Volumétrico (ANH), que realiza la liquidación oficial.
E. El sistema incluye supervisión de excepciones e incertidumbres en la gestión de datos. La arquitectura diseñada busca la recolección de datos eficiente utilizando datos con procesos instrumentados y manuales, promoviendo transparencia y confiabilidad en la fiscalización.

Ilustración 1. Filosofía del proyecto de Modernización. Fuente ANH
El aporte o impacto del proyecto en el desarrollo nacional es garantizar el recaudo eficiente de regalías y el control de la producción de hidrocarburos para fortalecer el Sistema General de Regalías.
Apoyar a la Política de Transición Energética, promoviendo prácticas sostenibles y responsables en la fiscalización de recursos naturales no renovables, alineadas con la estrategia de transición energética del país
Fomentar la interacción entre equipos técnicos multidisciplinares e interdisciplinares conformados por personal de los operadores y la ANH, para implementar soluciones innovadoras y sostenibles para el país, que incrementen las capacidades técnicas para adaptarse a los cambios en la industria
El uso prospectivo de herramientas analíticas para la toma de decisiones informadas que garanticen la integridad de la información fiscalizada, la sostenibilidad y transparencia que puedan contribuir al desarrollo socioeconómico del país.
ESPECIFICACIONES DE INSTRUMENTACIÓN PARA CRUDO, GAS Y AGUA.
Las siguientes son especificaciones mínimas, pero en ningún caso sugieren algún tipo de marca, fabricante o proveedor. El operador podrá seleccionar la tecnología, marca, fabricante o proveedor de su preferencia, que más se adecue a sus condiciones operacionales, siempre que los mismos cumplan con los requisitos mínimos de esta resolución. La tecnología definida por cada operador no estará sujeta a la aprobación por parte de la ANH



* - Transmisión/Tipo del dato: Comunicación IOT/Digital
**- Transmisión/Tipo del dato: Dato Manual/Manual
***- Señal de Salida/protocolos Soportados: 4-20mA, RS485, Ethernet opcional/Modbus RTU/TCP, HART 7.0, OPC UA/OIT/LPWAN/Ethernet/IP
Las siguientes son especificaciones mínimas, pero en ningún caso sugieren algún tipo de marca, fabricante o proveedor. El operador podrá seleccionar la tecnología, marca, fabricante o proveedor de su preferencia, que más se adecue a sus condiciones operacionales, siempre que los mismos cumplan con los requisitos mínimos de esta resolución. La tecnología definida por cada operador no estará sujeta a la aprobación por parte de la ANH



* - Transmisión/Tipo del dato/Señal de Salida/Protocolos Soportados: Comunicación IOT/ Digital/ 4-20 mA, RS485, Ethernet opcional/ Modbus RTU, TCP, HART 7.0, OPC UA, IOT, LPWAN
Las siguientes son especificaciones mínimas, pero en ningún caso sugieren algún tipo de marca, fabricante o proveedor. El operador podrá seleccionar la tecnología, marca, fabricante o proveedor de su preferencia, que más se adecue a sus condiciones operacionales, siempre que los mismos cumplan con los requisitos mínimos de esta resolución. La tecnología definida por cada operador no estará sujeta a la aprobación por parte de la ANH

*- Transmisión/Tipo del dato/Señal de Salida/Protocolos Soportados: Comunicación IOT/ Digital/4-20 mA, RS485, Ethernet opcional/Modbus RTU, TCP, HART 7.0, OPC UA, IOT, LPWAN.
ESPECIFICACIONES TÉCNICAS MÍNIMAS PARA UNIDADES CONTROLADORAS Y EQUIPOS ELECTRÓNICOS.
En este anexo se presentan las características mínimas de operación, y configuración para los equipos electrónicos, sensores, instrumentos y unidades controladoras que van a servir en el aseguramiento de la telemetría en sitio.
En el Cuadro 4 se presentan las especificaciones técnicas mínimas para los sensores e instrumentos para la medición electrónica.
Las siguientes son especificaciones mínimas, pero en ningún caso sugieren algún tipo de marca, fabricante o proveedor. El operador podrá seleccionar la tecnología, marca, fabricante o proveedor de su preferencia, que más se adecue a sus condiciones operacionales, siempre que los mismos cumplan con los requisitos mínimos de esta resolución. La tecnología definida por cada operador no estará sujeta a la aprobación por parte de la ANH

En el Cuadro 5 se presentan las especificaciones mínimas para las Unidades Controladoras, remotas, locales o in situ, sugeridas con las características mínimas de procesamiento, alimentación eléctrica y adquisición del dato.
Las siguientes son especificaciones mínimas, pero en ningún caso sugieren algún tipo de marca, fabricante o proveedor. El operador podrá seleccionar la tecnología, marca, fabricante o proveedor de su preferencia, que más se adecue a sus condiciones operacionales, siempre que los mismos cumplan con los requisitos mínimos de esta resolución. La tecnología definida por cada operador no estará sujeta a la aprobación por parte de la ANH

ARCHIVO TIPO JSON GENERADO POR LOS OPERADORES.
De acuerdo con el artículo 14 de esta resolución el archivo para transmisión de datos basado en JSON tiene la siguiente estructura:
- Segmento para identificación del informe, este contiene los campos nombre del operador, número de contrato, la fecha operacional o del día que se está reportando, la fecha de carga y el usuario autorizado para envío del informe.
- Dos segmentos mayores, el primero agrupa los datos de alta frecuencia o automatizados electrónicamente; el segundo agrupa los datos de baja frecuencia que corresponde con datos manuales, datos obtenidos en laboratorio o de eventos de la operación.
- El primer segmento contiene una agrupación, o arreglo de datos, para el registro de los movimientos de crudo en PMO y medición de gas durante el día de operación.
- El segundo segmento contiene cinco agrupaciones, o arreglos de datos, para el registro de: información en tanques, movimientos en tanques, medidores líquidos, medidores de gas, pruebas potenciales de pozo y paradas de pozo.








El siguiente arreglo muestra la estructura del archivo JSON








EXCEPCIONES DATOS EN ALTA FRECUENCIA.
En la operación y control de los campos hidrocarburíferos, el operador debe garantizar un algoritmo basado en excepciones de acuerdo con las variables a publicar en los sistemas de aseguramiento, independiente del dato del IDP, del dato almacenado en sus bases de datos de las variables medidas y almacenando las excepciones de manera paralela al dato registrado por la instrumentación electrónica.
En la Ilustración 2, se muestra el instante en el cual el operador debe enviar el dato por excepción, dado que el nivel de frecuencia (Hz) cambia, la captura del dato se continuará registrando y almacenando.
Por ejemplo, la frecuencia de una bomba electro sumergible, tiene una frecuencia de arranque de 30 Hz y con el paso del tiempo presenta cambios desde X1 a X2, donde la frecuencia pasa de 30 Hz a 55 Hz, logrando una estabilidad gradual de X2 a Xx, donde Xx permanece estable en el tiempo hasta Xz.
Luego se visualizan las excepciones, las cuales se almacenan en la base de datos paralela para los valores medidos entre X1 hasta Xx y de Xz hasta Zz.

Ilustración 2. Excepción de envío del dato por múltiples datos - Fuente. ANH