CONCEPTO 341 DE 2003
COMISIÓN DE REGULACIÓN DE REGULACIÓN DE ENERGÍA Y GAS
<NOTA: Concepto bajado de la Página de Internet de la CREG>
Solicitante: CONCEJO DE BOGOTÁ
Fecha:
Radicación: CREG – 10386 de 2002
Tema: Costos medios de referencia.
RESPUESTA: MMECREG – 0341 - 03
PROBLEMA: Los interesados solicitan información sobre los costos medios de referencia que se han calculado desde la creación de la Comisión, las empresas de energía y gas natural que funcionan en Bogotá al igual que los soportes técnicos al respecto.-
Bogotá, 6 de febrero de 2003
MMECREG - 0341
XXXXXXXXXXXXXXX
Asunto: Derecho de Petición
Radicado CREG-10386 de 2002.
Respetado XXXXX:
Damos respuesta a la comunicación de la referencia, en la cual nos solicita lo siguiente:
"Información relativa a los costos medios de referencia que han calculado, desde la creación de esa Comisión de Reguladora, las empresas de energía y gas natural que funcionan en Bogotá, al igual que los soportes técnicos al respecto."
1. ENERGÍA ELÉCTRICA
La Constitución Política de 1991, Artículo 365, estableció que el régimen tarifario de los servicios públicos domiciliarios debe tener en cuenta los criterios de costos y de solidaridad y redistribución del ingreso, en la forma que defina la Ley.
a) En cuanto al criterio de costos se refiere, la Ley 142, Artículo 87, y la Ley 143, Artículo 44, ambas de 1994, establecieron que el régimen tarifario debe regirse por los principios de eficiencia económica y de suficiencia financiera.
La aplicación del criterio de eficiencia económica implica, de acuerdo con tales leyes, que el régimen de tarifas procurará que éstas se aproximen a lo que serían los precios de un mercado competitivo; que las fórmulas tarifarias deben tener en cuenta no solo los costos sino los aumentos de productividad esperados, y que éstos deben distribuirse entre la empresa y los usuarios, tal como ocurriría en un mercado competitivo; y que las fórmulas tarifarias no pueden trasladar a los usuarios los costos de una gestión ineficiente, ni permitir que las empresas se apropien de las utilidades provenientes de prácticas restrictivas de la competencia. En el caso de servicios públicos sujetos a fórmulas tarifarias, las tarifas deben reflejar siempre tanto el nivel y la estructura de los costos económicos de prestar el servicio, como la demanda por éste. (Ley 142, artículo 87; Ley 143, artículo 44).
En virtud del principio de suficiencia financiera, las fórmulas tarifarias deben garantizar la recuperación de los costos y gastos propios de operación, incluyendo la expansión, la reposición y el mantenimiento; permitirán remunerar el patrimonio de los accionistas en la misma forma en la que lo habría remunerado una empresa eficiente en un sector de riesgo comparable; y permitirán utilizar las tecnologías y sistemas administrativos que garanticen la mejor calidad, continuidad y seguridad a sus usuarios. (Ley 142, artículo 87; Ley 143, artículo 44).
En síntesis, de acuerdo con los anteriores principios, las fórmulas tarifarias que le corresponde aprobar a la CREG deben garantizar a las empresas la recuperación de los costos económicos eficientes en que incurren por la prestación del servicio. Con base en tales fórmulas, las empresas deben calcular el Costo de Prestación del Servicio ($/kWh) que aplicarán a todos los usuarios que atienden en un determinado mercado.
En concordancia con el Artículo 179 de la Ley 142 de 1994 y la Ley 286 de 2000<sic, 1996>, en el cual se establece que las normas vigentes al entrar la Ley seguirían hasta el año 2000, desde la creación de la Comisión de Regulación hasta enero de 1996, las empresas comercializadoras de energía eléctrica del país calcularon sus tarifas en función de los costos de referencia calculados por la Junta Nacional de Tarifas, entidad adscrita al Departamento Nacional de Planeación, mediante Resolución No. 070 de 1993, y cuyo documento base fue el JNT-1215 de mayo de 1993.
Para el período 1o de enero de 1996 y 31 diciembre de 1997, el régimen tarifario que se aplicó a todos los usuarios del servicio de energía eléctrica está contenido básicamente en las resoluciones CREG-080 de 1995, 09 y 029 de 1996. En la Resolución CREG-080 de 1995, encontrará los costos de referencia calculados para el mercado de Bogotá y el documento base de dicha Resolución es el CREG-061 de 1995.
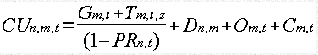
A partir de enero de 1998, la Comisión de Regulación de Energía y Gas aprobó las formulas tarifarías que permiten el cálculo del Costo de Prestación del Servicio (CU) para usuarios regulados es un costo económico eficiente que resulta de agregar los costos de las actividades de generación, transmisión, distribución y comercialización, y otros costos. Este costo está representado en la siguiente fórmula, desarrollada en la Resolución CREG-031 de 1997:

El G (generación) corresponde al costo de compra de energía ($/kWh) por parte del comercializador. Este se calcula como un promedio del valor de las compras del comercializador en el mercado de contratos y en la bolsa de energía. En el sistema eléctrico colombiano, todos los comercializadores están obligados a comprar su energía en el mercado, pudiendo hacerlo en el mercado de largo plazo o en la bolsa de energía (mercado spot). La actualización de este ítem, depende de cómo contraten los comercializadores y como evoluciona el precio en la bolsa de energía. El G es el costo de la generación de energía; con este valor se cubren los costos de las plantas hidráulicas y térmicas que producen la electricidad que consumen los usuarios. Se determinan de acuerdo con la metodología establecida en la Resolución CREG-031 de 1997, teniendo en cuenta los costos de compra de energía de las empresas en el Mercado Mayorista, ya sea a través de transacciones en la Bolsa de Energía o mediante contratos de largo plazo. Esto por cuanto las empresas distribuidoras-comercializadoras, prestadoras del servicio no producen la energía que suministran a sus usuarios y por tanto deben comprarla en el Mercado Mayorista. La Resolución CREG-020 de 1996, dispone que las empresas prestadoras del servicio deben adquirir la energía que requieran para atender a los Usuarios Regulados, mediante convocatorias en las cuales asignen los contratos a los agentes que le ofrezcan el menor precio.
El T (transmisión), corresponde actualmente al costo promedio por uso del Sistema de Transmisión Nacional ($/kWh) ( 220 kV). Con este valor se paga el transporte o transmisión nacional de la energía, esto es, los costos de las líneas de transmisión, los transformadores y las subestaciones necesarias para llevar la energía desde las plantas de generación hasta las redes regionales de transmisión. Se determina de acuerdo con los Cargos por Uso del Sistema de Transmisión Nacional definidos por la CREG.
El D (distribución) corresponde al valor del costo de transporte por las redes de distribución ($/kWh) (< 220 kV). Estos dos costos remuneran el transporte de energía desde las plantas de generación hasta el inmueble del usuario final. Con este valor se paga la distribución de la electricidad, esto es, los costos de las redes de transporte urbanas y rurales que llevan la energía desde las subestaciones del sistema de transmisión nacional hasta usuario final. Se determina de acuerdo con unos Cargos Máximos (Cargos por Uso del Sistema de Transmisión Regional y/o Distribución Local) definidos por la CREG para cada empresa distribuidora.
El C (comercialización) es igual al costo de atención de clientela ($/kWh). Con este valor se remuneran los costos máximos asociados con la atención de los usuarios, tales como la facturación, lectura, atención de reclamos., etc. Con este valor se cubren los costos de lectura de la medida, de facturación, recaudo asociados con la atención de los usuarios regulados y los costos de gestión de compras de energía y costos de transferencia de los recursos financieros a todos los demás agentes en la cadena de producción. Se determinan de acuerdo con un Cargo Máximo (Costo Base de Comercialización) definido por la CREG para cada empresa comercializadora.
El O (otros) corresponde al valor de las restricciones; las contribuciones que por mandato legal deben pagar los agentes a la CREG y a la SSPD; los costos asignados a los comercializadores por restricciones y servicios complementarios; y la remuneración del Centro Nacional de Despacho, los Centros Regionales de Despacho y del Administrador del Sistema de Intercambios Comerciales.
La P (pérdidas) representa el porcentaje reconocido de pérdidas de energía. Es un valor que representa la fracción (o porcentaje expresado en forma de fracción) del costo de prestación del servicio en la fórmula por kWh facturado, asociado a la energía que por razones técnicas o no técnicas se pierde en el Sistema de Transmisión Nacional, imputable sólo a las compras y al transporte por el STN. Esta variable se refiere a las pérdidas de energía producidas principalmente por la transformación requerida para pasar la energía de los niveles de voltaje del STN a los niveles inferiores de los Sistemas Regional y Local, y no a pérdidas patrimoniales de las empresas.
Los recursos correspondientes a cada actividad deben ser pagados por la empresa que presta el servicio al usuario final, a cada uno de los agentes que prestan el servicio respectivo (Generación, Transmisión, Distribución).
Es pertinente señalar que cada uno de los componentes del Costo de Prestación del Servicio, están acompañados de indicadores que miden la eficiencia y la productividad de cada uno de ellos.
En la Resolución CREG-047 de 2002, norma que se encuentra en discusión de los agentes y terceros interesados, se encuentran las bases sobre las cuales se establecerá la fórmula tarifaria para el siguiente período tarifario, 2003-2008, que permita a las empresas comercializadoras de energía eléctrica calcular los costos unitarios de prestación del servicio y las tarifas aplicables a los usuarios finales regulados en el SIN.
En conclusión, a partir del 1 de enero de 1998, la CREG no aprueba costos de referencia, sino una formula general que permite que las empresas calculen sus costos. En nuestra página www.creg.gov.co, encontrará los costos de prestación del servicio a partir del 1 de enero de 1998, de las empresas que prestan el servicio de comercialización de energía en la ciudad de Bogotá, no obstante, le recordamos que el control y vigilancia de la aplicación de las normas de las empresas de servicios públicos le corresponde a la Superintendencia de Servicios Públicos.
2. GAS NATURAL
Desde 1994 hasta 1 de enero de 1996, la Comisión de Regulación de Energía y Gas no calculó los costos de referencia para el sector de gas natural, las tarifas que se aplicaron en este período para la ciudad de Bogotá corresponden a las aprobadas mediante Resolución No. 145 del 18 de agosto de 1989 de la Junta Nacional de Tarifas.
De la misma forma que el sector eléctrico y teniendo en cuenta los criterios definidos en la Ley 142 de 1994, la Comisión de Regulación de Energía y Gas mediante la Resolución CREG-039 de 1995, posteriormente incorporada en la Resolución CREG-057 de 1996, fijó las fórmulas tarifarías que permiten a las empresas comercializadoras de gas natural calcular el costo de prestación a pequeños consumidores.
El costo de prestación del servicio (Mst) para el sector de gas natural a usuario regulados está representado en la siguiente fórmula, la cual desarrolla la Resolución mencionada:
Mst = Gt + Tt + Dt + St + Kst
donde:
Gt = costo promedio máximo unitario en $/m3 para compras de gas natural en troncal en el año t.
Tt = costo promedio máximo unitario en $/m3 de transporte en troncal en el año t.
Dt = cargo promedio máximo unitario en $/m3 permitido al distribuidor por uso de la red en el año t, de acuerdo con lo previsto en el artículo 108 de esta resolución. Este cargo no incluye la conexión.
St = cargo o margen máximo unitario en $/m3 de comercialización en el año t.
Kst = factor de corrección en $/m3 en el año t (que puede ser positivo o negativo). Es igual a cero en el año inicial.
Cada uno de estos componentes tarifarios se calcula de acuerdo con la metodología definida por la CREG en la misma Resolución.
Con base en la norma general citada se aprobó un Cargo Promedio Máximo por Uso de la Red de Distribución (Dt), específico para la cada una de las empresas distribuidoras de gas del país. Estos valores deben ser actualizados conforme a lo establecido en el Artículo 108, Numeral 1 de la Resolución CREG-057 de 1996, afectado con un factor de eficiencia. El cargo de distribución para la empresa Gas Natural se aprobó en la Resoluciones CREG-079 de 1996 y 025 de 2001.
A través de la Resolución CREG-007 de 2000, la Comisión de Regulación de Energía y Gas aprobó una opción tarifaria para calcular el Cargo Máximo Unitario en $/m3 aplicable a los Usuarios Regulados del servicio público domiciliario de gas combustible, el cual, se calcula de acuerdo con la siguiente fórmula general:
Msm = Gm + Tm + Dm + Sm
donde:
Gm = Costo promedio máximo unitario en $/m3 para compras de gas natural en el Sistema Nacional de Transporte aplicable en el mes m.
Tm = Costo promedio máximo unitario en $/m3 para el transporte de gas en el Sistema Nacional de Transporte aplicable en el mes m.
Dm = Cargo máximo unitario en $/m3 permitido al Distribuidor por uso de la red aplicable en el mes m. Este cargo no incluye la conexión.
Sm = Cargo o margen máximo unitario de comercialización en $/m3 aplicable en el mes m.
La Empresa Gas Natural mediante comunicación del 13 de abril de 2002 se acogió a la opción tarifaria definida en la Resolución mencionada. Al igual que el sector eléctrico, en nuestra página www.creg.gov.co encontrará las tarifas aplicadas por las empresas comercializadoras de gas natural.
Cordialmente,
JAIME ALBERTO BLANDÓN DÍAZ
Director Ejecutivo