CONCEPTO 8350 DE 2013
(septiembre)
<Fuente: Archivo interno entidad emisora>
COMISIÓN DE REGULACIÓN DE ENERGÍA Y GAS - CREG
Bogotá, D.C.,
XXXXXXXXXXXXXXX
Asunto: Respuesta Derecho de Petición, su correo electrónico
Radicado CREG E-2013-008350
Respetada señora:
De manera atenta damos respuesta a su comunicación, mediante la cual formula la siguiente petición:
ESTAMOS INTERESADOS EN CONOCER LOS PROCEDIMIENTOS, REQUERIMIENTOS Y COSTOS RELACIONADOS CON LA CREACIÓN DE UNA COMERCIALIZADORA DE ENERGÍA ELÉCTRICA EN EL PAÍS.
De manera atenta se informa lo siguiente:
A través de la Resolución CREG 156 de 2011 se expidió el reglamento de comercialización del servicio público de energía eléctrica como parte del reglamento de operación, el cual se aplica a todas las empresas que realicen la actividad de comercialización en el Sistema Interconectado Nacional, SIN.
En dicho acto administrativo se dispuso como requisitos para ser un comercializador de energía eléctrica los siguientes:
Artículo 5. Requisitos para ser un comercializador de energía eléctrica. Los requisitos que un agente deberá cumplir para ser un comercializador de energía eléctrica son los siguientes:
1. Ser empresa de servicios públicos domiciliarios o cualquier otro agente económico a los que se refiere el artículo 15 de la Ley 142 de 1994. Las empresas de servicios públicos constituidas con anterioridad a la vigencia de la Ley 142 de 1994 podrán continuar prestando en forma combinada las actividades que desarrollaban a esa fecha más la actividad de Comercialización.
Las empresas que se hayan constituido a partir de la vigencia de la Ley 143 de 1994 pueden realizar, simultáneamente, actividades de generación o de distribución, y de Comercialización; pero no las de transmisión y Comercialización.
2. Llevar contabilidad para la actividad de Comercialización separada de la contabilidad de las demás actividades que realice, de acuerdo con las normas expedidas por la Comisión de Regulación de Energía y Gas, y por la Superintendencia de Servicios Públicos Domiciliarios, de conformidad con lo establecido en el artículo 18 de la Ley 142 de 1994 y en la Ley 143 de 1994.
3. Definir y publicar las condiciones uniformes de los contratos que ofrece, si la empresa tiene como objeto la atención de Usuarios regulados.
4. Constituir la oficina de peticiones, quejas y recursos de que trata el artículo 153 de la Ley 142 de 1994, cuando pretenda prestar el servicio a Usuarios.
Así mismo, el comercializador deberá registrarse ante el Administrador de Sistema de Intercambios Comerciales, ASIC, tal y como lo dispone el artículo 7 de la precitada Resolución:
Artículo 7 Registro ante el Administrador del Sistema de Intercambios Comerciales. Para el registro de un comercializador, el ASIC verificará que el agente interesado cumpla los siguientes requisitos:
1. Haber dado aviso del inicio de actividades como comercializador, en los términos del de este Reglamento.
2. Diligenciar el formulario de registro definido por el ASIC.
3. Informar al ASIC, a través del medio que éste defina, que conoce y acepta los términos de la regulación aplicable a la actividad de Comercialización.
4. Presentar el certificado de existencia y representación legal expedido por la Cámara de Comercio, o el documento que prevean sus estatutos en las empresas oficiales.
5. Suscribir el contrato de mandato con el ASIC para efectuar las transacciones comerciales que se efectúan en el MEM y para los servicios complementarios de energía.
6. Presentar los estados financieros en el momento de constitución o los del último año, según el caso, de acuerdo con las normas vigentes sobre la materia.
7. Entregar cuatro (4) pagarés en blanco, debidamente firmados por el representante legal, en los términos establecidos en el artículo 16 de la Resolución CREG 019 de 2006 o aquella que la modifique o sustituya.
8. Inscribir ante el ASIC un número de cuenta bancaria a nombre del comercializador.
9. Haber cumplido los requerimientos exigidos en el de este Reglamento para volver a participar en el MEM, cuando sea del caso.
10. Presentar la declaración de origen de bienes y de los fondos para el desarrollo de su actividad como agente del MEM, haciendo uso del formato definido por el ASIC.
Dentro de los cuatro (4) días hábiles siguientes al día en que se reciba la solicitud de registro, el ASIC verificará el cumplimiento de estos requisitos y realizará el registro correspondiente, cuando sea procedente.
Todos los agentes deberán actualizar su registro cada vez que tengan modificaciones a la información reportada en el mismo, en lo que respecta a los numerales 2 y 4 de este artículo.
Parágrafo. Todos los actos y contratos que hayan de cumplirse por medio del ASIC, serán a título oneroso.
El agente que se dedique a la actividad de comercialización de energía deberá cumplir con las siguientes obligaciones:
Artículo 8 Obligaciones generales de los comercializadores. Los comercializadores de energía eléctrica que participen en el MEM o presten el servicio en el SIN deberán cumplir las siguientes obligaciones generales:
1. Llevar contabilidad para la actividad de Comercialización separada de la contabilidad de las demás actividades que realice, de acuerdo con las normas expedidas por la Comisión de Regulación de Energía y Gas y por la Superintendencia de Servicios Públicos Domiciliarios, de conformidad con lo establecido en el artículo 18 de la Ley 142 de 1994 y en la Ley 143 de 1994.
2. Entregar la información que soliciten la Comisión de Regulación de Energía y Gas, de conformidad con lo establecido en el artículo 73 de la Ley 142 de 1994, y la Superintendencia de Servicios Públicos Domiciliarios, en ejercicio de lo dispuesto en el artículo 14 de la Ley 689 de 2001.
3. No incurrir en las prácticas restrictivas de la competencia o en los actos de competencia desleal de que tratan los artículos 34 y 98 de la Ley 142 de 1994 y demás normas aplicables.
4. Pagar a la Comisión de Regulación de Energía y Gas y a la Superintendencia de Servicios Públicos Domiciliarios las contribuciones establecidas en los artículos 85 de la Ley 142 de 1994 y 22 de la Ley 143 de 1994.
5. Pagar los cargos de los que trata la Resolución CREG 081 de 2007, o aquellas normas que la modifiquen o sustituyan.
6. Realizar las transacciones de energía en el MEM conforme a lo establecido en el Reglamento de Operación.
7. Comprar energía mediante los procedimientos definidos en la Resolución CREG 020 de 1996 o aquellas que la modifiquen o sustituyan.
8. Cumplir el Código de Medida, definido en la Resolución CREG 025 de 1995, y las disposiciones sobre medición contenidas en el numeral 7 del Anexo General de la Resolución CREG 070 de 1998, o en las normas que las modifiquen o sustituyan.
9. Cumplir los límites de participación en el mercado según lo establecido en la Resolución CREG 128 de 1996, o aquellas que la modifiquen o sustituyan.
10. Atender las solicitudes de prestación del servicio de energía eléctrica de los Usuarios Potenciales regulados y los Usuarios regulados en los mercados de comercialización en donde atiendan Usuarios de este tipo, siempre que sean viables técnicamente. La negación de la prestación del servicio deberá ser plenamente justificada por la empresa y contra ella procederán los recursos previstos en la ley.
11. Verificar previamente que los Usuarios no regulados que deseen atender cumplan las condiciones establecidas por la regulación, específicamente las definidas en las resoluciones CREG 131 de 1998 y 183 de 2009, o aquellas que las modifiquen o sustituyan.
12. Discriminar en las facturas de los Usuarios el valor que corresponde al servicio, las contribuciones y subsidios a que haya lugar, y los demás cobros permitidos, según las normas que rigen la materia.
13. Recaudar y transferir los dineros correspondientes a las contribuciones de solidaridad en los plazos y condiciones que establecen las normas que reglamentan el Fondo de Solidaridad para Subsidios y Redistribución de Ingresos.
14. Cobrar las tarifas del servicio de energía eléctrica a los Usuarios y pagar los montos correspondientes al resto de agentes de la cadena, oportunamente y de acuerdo con lo establecido en la ley y la regulación.
Observar las normas sobre protección de los derechos del Usuario, en relación con las facturas y todos los actos que se generen o deriven del contrato de servicios públicos, de acuerdo con lo establecido en la Ley 142 de 1994 y en la Resolución CREG 108 de 1997 o aquellas que las modifiquen o sustituyan.
15. Cumplir las demás obligaciones que impongan la ley, los reglamentos y la regulación.
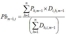
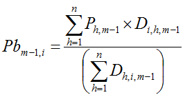
Frente a los costos de creación de una comercializadora, se resalta que la comercialización es una actividad que se enmarca dentro de la libre competencia, principio fundante del régimen económico establecido en la Constitución Política. Con relación al usuario regulado, la regulación establece el costo que se permite cobrarle. Al respecto, la Resolución CREG 119 de 2007 señala:
Artículo 7. Costo máximo de traslado de compra de energía para la segunda fase de la transición, (
). A partir del segundo mes de liquidación de la energía transada en el MOR y mientras estén vigentes los contratos bilaterales con destino al Mercado Regulado, el costo máximo de compra de energía a trasladar al usuario final se determinará de conformidad con la siguiente expresión:
![]()
Donde:
;


Donde:
| Mes para el cual se calcula el Costo Unitario de Prestación del Servicio. | |
| Comercializador Minorista i. | |
| Mercado de Comercialización j. | |
| Demanda Comercial Regulada del Comercializador Minorista i en el mes m-1. | |
| Fracción de la Demanda Comercial del Comercializador Minorista i atendida mediante contratos bilaterales con destino al mercado regulado y la Demanda Comercial Regulada del Comercializador Minorista, en el mes m-1. | |
| Energía comprada mediante contratos bilaterales por el Comercializador Minorista i con destino al mercado regulado en el mes m-1. | |
| Energía comprada en el MOR por el Comercializador Minorista i con destino al mercado regulado en el mes m-1. | |
| Costo Promedio ponderado por energía, expresado en $/kWh, de las compras propias del Comercializador Minorista i mediante contratos bilaterales con destino al mercado regulado, liquidados en el mes m-1. | |
| Costo Promedio ponderado por energía, expresado en $/kWh, de todos los contratos bilaterales liquidados en el Mercado de Energía Mayorista en el mes m-1 con destino al mercado regulado. | |
| Valor de | |
| Fracción de la Demanda Comercial del Comercializador Minorista i atendida mediante compras en Bolsa para abastecer el mercado regulado en el mes m-1, cuando las cantidades adquiridas en las subastas del MOR y en contratos bilaterales no cubran la totalidad de la Demanda Comercial Regulada. | |
| Precios promedio de la energía comprada en Bolsa por el Comercializador Minorista i, en el mes m-1, expresado en $/kWh, cuando las cantidades adquiridas en las subastas del MOR y en contratos bilaterales no cubran la totalidad de la demanda regulada. |

Donde,
| Precio de Bolsa en la hora h ($/kWh) del mes m-1 | |
| Compras en Bolsa del Comercializador Minorista i (kWh) en la hora h, del mes m-1. | |
| n : | Número de horas del mes m -1. |
| Fracción de la Demanda Comercial del Comercializador Minorista i atendida con compras en el MOR, para abastecer el mercado regulado, en el mes m-1. | |
| Precio promedio ponderado resultante de los precios obtenidos en las diferentes subastas de MOR por la energía adquirida por el Comercializador Minorista en el Mercado Organizado Regulado ($/kWh), para cubrir su demanda regulada en el mes m-1. |

Donde,
: | Precio de cierre en el MOR en la subasta h ($/kWh) |
| Cantidad de energía comprada en el MOR por el Agente en la subasta h (kWh), para el mes m-1. | |
| Número de subastas realizadas en el MOR para el mercado regulado para el mes m-1. | |
| Factor de ajuste que se aplica al costo máximo de compra de energía expresado en $/kWh del Comercializador i para el mes m calculado conforme al Anexo 1 de la presente resolución. |
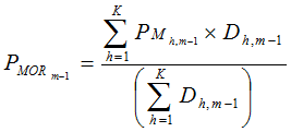
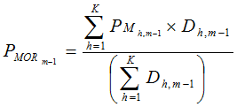
Artículo 8. Costo máximo de traslado de compra de energía con mecanismos de mercado, (
). A partir del momento en el cual el Comercializador Minorista no tenga contratos bilaterales vigentes con destino al mercado regulado, la energía requerida por los usuarios regulados será adquirida en el MOR, donde el costo máximo de compra a trasladar al usuario final será:
![]()
| Mes para el cual se calcula el Costo Unitario de Prestación del Servicio. | |
| Fracción de la Demanda Comercial del Comercializador Minorista i, atendida mediante compras en Bolsa para abastecer el mercado regulado en el mes m-1, cuando las cantidades adquiridas en las subastas del MOR no cubran la totalidad de la demanda regulada. | |
| Precios promedio de la energía comprada en Bolsa por el Comercializador Minorista, en el mes m-1, expresado en $/kWh, cuando las cantidades adquiridas en las subastas del MOR no cubran la totalidad de la demanda regulada. |

Donde,
| Precio de Bolsa en la hora h ($/kWh) | |
| Compras en Bolsa del Comercializador Minorista i (kWh) en la hora h. | |
| n : | Número de horas del mes m -1. |
| Fracción de la Demanda Comercial del Comercializador Minorista i atendida con compras en el MOR, para abastecer el mercado regulado, en el mes m-1. | |
| Precio promedio ponderado resultante de los precios obtenidos en las diferentes subastas del MOR por la energía adquirida por el Comercializador Minorista en el Mercado Organizado Regulado ($/kWh), para cubrir su demanda regulada en el mes m-1. |

Donde,
: | Precio de cierre en el MOR en la subasta h ($/kWh) |
| Cantidad de energía comprada en el MOR por el Agente en la subasta h (kWh), para el mes m-1. | |
| Número de subastas realizadas en el MOR para el mercado regulado para el mes m-1. | |
| Factor de ajuste que se aplica al costo máximo de compra de energía expresado en $/kWh del Comercializador i para el mes m calculado conforme al Anexo 1 de la presente resolución. |
Parágrafo 1. En el caso que los Comercializadores Minoristas presenten diferencias entre la demanda comercial y la demanda contratada para el mercado regulado, el precio de bolsa
se determinará según se indica en la fórmula de cálculo establecida en este artículo utilizando en el parámetro
, el valor neto de las compras y ventas del agente en Bolsa para el mes m-1.
Artículo 11. Costos de Comercialización,
y
: Los costos de comercialización del servicio de electricidad se determinarán conforme la siguiente expresión:
![]()

Donde:
| m: | Es el mes para el cual se calcula el Costo Unitario de Prestación del servicio. |
| Margen de Comercialización para el Comercializador Minorista i, del Mercado de Comercialización j, que incluye los costos variables de la actividad de comercialización, correspondiente al mes m, expresado en ($/kWh), | |
| Costo Base de Comercialización ($/factura), para el Mercado de Comercialización j, correspondiente al mes m, conforme se establezca en la resolución que fije la metodología para la remuneración de la actividad de comercialización. | |
| Costos variables de la actividad de comercialización, para el Mercado de Comercialización j, en el mes m, conforme se establezcan en la resolución que fije la metodología para la remuneración de la actividad de comercialización. | |
| Costo mensual de las Contribuciones a las Entidades de Regulación (CREG) y Control (SSPD) liquidado al Comercializador Minorista i, conforme a la regulación vigente. El costo mensual de las contribuciones corresponderá a una doceava parte del pago anual que se efectúa a la CREG y a la SSPD. | |
| Ventas Totales a Usuarios Finales, regulados y no regulados del Comercializador Minorista i, expresadas en kWh, en el mes m-1. | |
| Costos de los servicios del Centro Nacional de Despacho y ASIC expresados en Pesos ($) asignados al Comercializador Minorista i, correspondientes al mes m-1, de acuerdo con la regulación vigente. | |
| Costos de Garantías en el Mercado Mayorista expresado en Pesos ($), que se asignen al Comercializador Minorista i, correspondientes al mes m-1, conforme con la regulación vigente. |
Parágrafo 1. La incorporación de estos costos podrá requerir un proceso de transición que la Comisión definirá en resolución independiente.
Se aclara, en lo referente al Mercado Organizado Regulado, MOR, de que tratan los artículos 7 y 8 de la precitada Resolución, que por disposición de la CREG actualmente está en consulta pública.
El texto de las resoluciones lo puede encontrar en www.creg.gov.co.
El presente concepto se emite en los términos y con el alcance previsto en el artículo 28 del Código de Procedimiento Administrativo y de lo Contencioso Administrativo.
Cordialmente,
GERMAN CASTRO FERREIRA
Director Ejecutivo
:
: