CONCEPTO 6826 DE 2012
(julio)
<Fuente: Archivo interno entidad emisora>
COMISIÓN DE REGULACIÓN DE ENERGÍA Y GAS - CREG
Bogotá, D.C.,
XXXXXXXXXXXXXXX
Asunto: Su correo electrónico
Radicado CREG E-2012-006826
Respetado XXXXX:
Hemos recibido su comunicación radicada con el número de la referencia en la que nos manifiesta: “
“…siendo la CREG un ente regulador quisera que por favor me aclaren porque siendo el gas natural un recurso propio el valor de los componentes mvm tiene una variación de julio de 2011 a julio de 2012 en un valor del 20% de incremento.
Y en general variaciones fluctuantes de arriba hacia abajo con porcentajes tan altos siendo más representativas hacia arriba y si estas variaciones no tienen un techo que esté relacionado con el ipc mensual o algo de lo que el ente regulador realiza.?
En relación con su inquietud en primera instancia nos permitimos informarle que conforme lo dispuesto por la Ley 142 de 1994, es competencia de la Comisión de Regulación de Energía y Gas, elaborar las metodologías tarifarias, que deben aplicar las empresas prestadoras del servicio.
Ahora bien, las empresas prestadoras del servicio están obligadas a aplicar dichas metodologías y es su responsabilidad explicar a sus usuarios la aplicación de las mismas y por ende los cambios particulares de un mes a otro. Por lo tanto, para saber las razones específicas de los cambios que hubo en sus tarifas, le recomendamos que usando el derecho que usted tiene se dirija a su prestador de servicio para que sea este quien le explique las variaciones que ha sufrido la tarifa y el por qué de las mismas.
De otro lado le comentamos que es la Superintendencia de Servicios Públicos Domiciliarios la entidad encargada de vigilar que las empresas estén actualizando las tarifas dentro del marco legal establecido. En tal sentido, si usted considera que la empresa está cometiendo alguna arbitrariedad usted puede presentar los recursos de reposición (ante la misma empresa) y de apelación ante la Superintendencia de Servicios Públicos.
Una vez aclarado que es la empresa la obligada a responder sus inquietudes, nosotros sólo podemos proceder a informar de una manera general sobre la metodología tarifaria y cuáles son los factores que pueden llevar al cambio de costos mes a mes del servicio.
El costo unitario de prestación del servicio del gas combustible por redes de tubería resulta de agregar los costos de las actividades de producción, transporte, distribución y comercialización, las cuales forman parte de la cadena de prestación del servicio.
La metodología tarifaria del servicio público de gas combustible por redes de tubería se encuentra establecida en la Resolución CREG 011 de 2003. En ésta se determina que la fórmula tarifaria general aplicable a los usuarios regulados del servicio domiciliario de distribución de gas natural es la siguiente:
| Cargo variable ($/m3): | ![]() |
| Cargo fijo ($/factura): | |
| Donde: | |
| j = | Rango j de consumo. |
| m = | Mes de prestación del servicio. |
| Gm = | Costo promedio máximo unitario en $/m3 para compras de gas natural destinado a Usuarios Regulados, aplicable en el mes m. |
| Tm = | Costo promedio máximo unitario en $/m3 para el transporte de gas en el Sistema Nacional de Transporte destinado a Usuarios Regulados aplicable en el mes m. |
| p = | Porcentaje reconocido de pérdidas de gas en el Sistema Nacional de Transporte y en el Sistema de Distribución, equivalente a 3.5%, desagregado en un 1% para el Sistema Nacional de Transporte y un 2.5% para el Sistema de Distribución. |
| Dvjm = | Componente variable del Cargo de Distribución en $/m3 permitido al Distribuidor por uso de la red aplicable en el mes m, correspondiente al rango j de consumo. No incluye la conexión. |
| Dfjm = | Componente fijo del cargo de distribución, expresado en $/factura, aplicable en el mes m correspondiente al rango j de consumo. El componente fijo para los usuarios del primer rango de consumo de la canasta de tarifas será igual a cero. |
| Cm = | Cargo máximo de Comercialización del mes m expresado en pesos por factura. |
De otro lado, para cada uno de los componentes se tiene:
- COMPRAS DE GAS
El costo promedio máximo unitario para compras de gas (Gm) se calcula con base en la siguiente expresión:

| Gm = | Costo promedio máximo unitario en $/m3 para compras de gas natural para el mercado de Comercialización, aplicable en el mes m. |
| CTGm-1 = | Costo total de compras de gas en el mes m-1, en USD, destinado al mercado de Usuarios Regulados, sin incluir pérdidas de gas, costos de transporte, penalizaciones, compensaciones, intereses de mora u otros cargos no regulados. |
| Em-1 = | Volumen de gas medido en el mes m-1 en las Estaciones de Puerta de Ciudad, expresado en términos de energía con el Poder Calorífico promedio del gas medido en dichas Estaciones de Puerta de Ciudad (MBTU). |
| TRM(m-1) = | Tasa de Cambio Representativa del Mercado del último día del mes m-1. |
| PCm-1 = | Poder Calorífico del gas en el mes m-1, expresado en MBTU/m3, calculado de acuerdo con el procedimiento establecido en la Resolución CREG-067 de 1995 o aquellas que la sustituyan, complementen o modifiquen. |
Así mismo, se establece que bajo ninguna circunstancia el Comercializador podrá trasladar a los usuarios regulados costos promedios de compra de gas superiores al Precio Máximo Regulado, cuando el gas comprado esté sometido a dicho Precio.
En relación con esta variable es importante precisar que el costo del gas está asociado a los precios del mercado y el índice de devaluación de la moneda.
- TRANSPORTE
El costo promedio máximo unitario de transporte de gas (Tm), se calculará con base en la siguiente expresión:

| T m = | Costo promedio máximo unitario en $/m3 para el transporte de gas natural al mercado de Comercialización, aplicable en el mes m. |
| CTTm-1 = | Costo total de transporte de gas en el mes m-1, causado por el volumen efectivamente transportado incluyendo los cargos por capacidad y los cargos por volumen, en USD, destinado a Usuarios Regulados, sin incluir penalizaciones, compensaciones o intereses de mora. Se deben incluir los pagos por concepto de impuesto de transporte y otras contribuciones relativas al mismo. En el caso en que el Comercializador reciba ingresos adicionales por la venta de capacidad contratada con anterioridad, el CTTm-será el neto entre los costos totales por concepto de transporte y los ingresos por venta de capacidad. |
| VIm-1 = | Volumen de gas medido en condiciones estándar en el mes m-1 en las Estaciones de Puerta de Ciudad, según sea el caso (m3). |
| TRM(m-1) = | Tasa de Cambio Representativa del Mercado en el último día del mes m-1. |
Bajo ninguna circunstancia el Comercializador podrá trasladar a los usuarios costos de transporte de gas superiores a los resultantes de aplicar lo dispuesto por la CREG para el servicio de transporte a usuarios regulados.
- DISTRIBUCIÓN
El cargo promedio de distribución se determina como la relación entre el valor presente descontado de los costos de inversión y los gastos de AOM, y el valor presente de la demanda de volumen.
La metodología de la Resolución CREG 011 de 2003 establece que con base en el cargo promedio de distribución aprobado por la Comisión (Resolución independiente por mercado relevante), el Distribuidor puede aplicar una metodología de canasta de tarifas en donde el cargo más alto (cargo techo) aplicable al rango de consumo no podrá exceder en más del 10% el cargo promedio de distribución y el cargo más bajo (cargo piso) o aquel aplicable a los usuarios de más alto consumo, no deberá ser menor al costo medio de la red primaria.
Los cargos definidos aplicando la metodología de canasta de tarifas son cargos máximos por rango. No obstante, el Distribuidor podrá ofrecer cargos menores en cada rango considerando que sean iguales para todos los usuarios del mismo rango, conservando una tendencia descendente, teniendo en cuenta lo establecido en los artículos 34 y 98 de la Ley 142 de 1994 y no afectando los cargos máximos definidos con la aplicación de la metodología de canasta de tarifas.
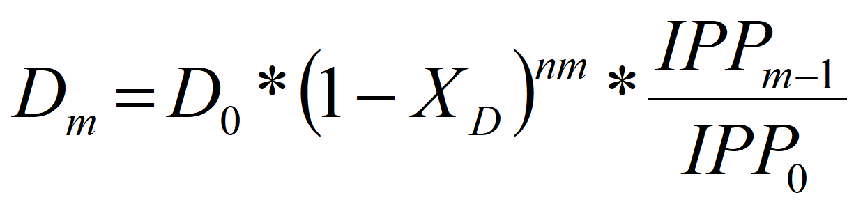
Los cargos promedio de distribución aprobados en resoluciones particulares de la CREG, expresados en pesos de Fecha Base, se actualizan mes a mes de acuerdo con la siguiente fórmula general:

donde,
= Cargo Promedio de Distribución correspondiente al mes m de prestación del servicio.
= Cargo Promedio de Distribución aprobado por resolución de la CREG y expresado en precios de la Fecha Base.
= Índice de Precios al Productor Total Nacional reportado por el Banco de la República para el mes (m-1).
= Índice de Precios al Productor Total Nacional reportado por el Banco de la República para la Fecha Base del cargo por distribución D0.
XD = Factor de productividad mensual de la actividad de Distribución equivalente a 0.00106. Dicho factor aplicará a partir de la entrada en vigencia de la resolución que establece el Cargo Promedio de Distribución para cada mercado.
= Número de meses transcurrido desde la entrada en vigencia de la resolución que establece el Cargo Promedio de Distribución para cada mercado hasta el mes m.
- COMERCIALIZACIÓN
El cargo máximo base de comercialización C0, definido de acuerdo con la Resolución CREG 011 de 2003, se determinará como el cociente de la suma de los componentes a) y b) descritos a continuación, sobre el número de facturas del año para el cual se tomaron los parámetros de cálculo de dichos componentes.
a) Los gastos anuales de AOM y la depreciación anual de las inversiones en equipos de cómputo, paquetes computacionales y demás activos atribuibles a la actividad de Comercialización que resulten de aplicar la metodología de Análisis Envolvente de Datos, tal como se describe en el Anexo 7 de la Resolución CREG 011 de 2003.
b) El ingreso anual del Comercializador correspondiente al año en el cual se efectuaron los cálculos de los gastos de AOM multiplicado por un margen de comercialización de 1.67%.
El Cargo de Comercialización se actualiza mensualmente utilizando la siguiente fórmula:

donde,
= Cargo máximo de comercialización, expresado en pesos por factura, correspondiente al mes m de prestación del servicio.
= Cargo base de comercialización aprobado por la CREG para cada mercado, expresado en pesos por factura, a precios de la Fecha Base.
= Índice de Precios al Consumidor reportado por el DANE para el mes (m-1).
= Índice de Precios al Consumidor reportado por el DANE para la Fecha Base del Cargo por Comercialización
.
XC = El factor de productividad mensual de la actividad de Comercialización será 0.00125. Dicho factor aplicará a partir de la entrada en vigencia de la Resolución que establece el Cargo Base de Comercialización para cada mercado.
= Número de meses transcurrido desde la entrada en vigencia de la Resolución que establece el Cargo de Comercialización para cada mercado, hasta el mes m.
- SUBSIDIOS Y CONTRIBUCIONES
Es de indicar que las tarifas de los usuarios incluyen los porcentajes de subsidio para el estrato 1 y 2 y de contribución para los estratos 5 y 6, comerciales e industriales.
La normatividad sobre el tema de subsidios y contribuciones para los servicios públicos se puede consultar en la reglamentación que se enumera a continuación:
- El Régimen de Servicios Públicos Domiciliarios (Ley 142 de 1994).
- La Ley 286 de 1996, por la cual se modifican parcialmente la ley 142
- La resolución CREG 124 de 1996, por la cual se verifican los factores de contribución a aplicar y los subsidios a otorgar a los usuarios de las empresas distribuidoras de gas natural por redes y el programa de ajuste a los límites legales.
- La resolución CREG 015 de 1997, por la cual se verifica el factor de contribución aplicable a usuarios industriales y comerciales del servicio de gas natural por red
- La Ley 1117 de 2006, Por la cual se Expiden Normas sobre Normalización de Redes Eléctricas y Subsidios para Estratos 1 y 2.
- Las Resoluciones CREG 001 de 2007 y CREG 006 de 2007, “Por la cual se da cumplimiento a lo establecido en el Artículo 3o de la Ley 1117 de 2006 en relación con los subsidios de usuarios a estratos 1 y 2 de los servicios de Energía Eléctrica y de Gas Combustible por Redes de Tubería”.
- La Ley 1428 de 2010, Por la cual se modifica el artículo 3o de la Ley 1117 de 2006.
- Resolución CREG 186 de 2010 Por la cual se da cumplimiento a lo establecido en el Artículo 1o de la Ley 1428 de 2010 por la cual se modifica el artículo 3 de la Ley 1117 de 2006 en relación con la aplicación de los subsidios a los usuarios de estratos 1 y 2 de los servicios de Energía Eléctrica y Gas Combustible por redes de tubería
- Decreto Número 4956 de 2011, por el cual se reglamenta el artículo 102 de la Ley 1450 de 2011 – En este se establece que la exención de la contribución especial de que trata el numeral 89.5 del artículo 89 de la Ley 142 de 1994, aplica a los usuarios industriales de gas natural domiciliario cuya actividad económica principal se encuentre registrada en el Registro Único Tributario –RUT– a 31 de diciembre de 2011.
En resumen, de esta normatividad se tiene que los porcentajes de subsidio para los usuarios de estrato 1 y 2 de los servicios de gas combustible en relación con sus consumos básicos o de subsistencia deberán ser como máximo del sesenta por ciento (60%) del Costo de prestación del servicio para el estrato 1 y como máximo del cincuenta por ciento (50%) para el estrato 2(1). Ahora bien, los usuarios de gas combustible pertenecientes a los estratos 3 y 4 del gas combustible, no son sujetos de subsidio, a la vez que quedan exentos por Ley del pago de contribución.
De otro lado, el factor de contribución que deben sufragar los usuarios residenciales de estratos 5 y 6, es del veinte por ciento (20%) sobre el valor del servicio y 8.9% para los usuarios comerciales.
De acuerdo con todo lo citado anteriormente, se concluye que los cambios en cada uno de los componentes de la tarifa dependen de diversos factores: (i) el costo de gas, (ii) la tasa representativa del mercado, (iii) las condiciones económicas de los contratos de compra y transporte de gas y (iv) el origen y la trayectoria del gas comprado, entre otros. Para las actividades de distribución y comercialización la variación depende de los cambios en los indicadores económicos del IPP e IPC.
Finalmente, le comentamos que las normas señaladas en la presente comunicación pueden ser consultadas en nuestra página web, www.creg.gov.co, en el icono de Normas y Jurisprudencia, enlace resoluciones.
En los anteriores términos damos por atendida su solicitud. Los conceptos aquí emitidos tienen el alcance previsto en el 28 del Código de Procedimiento Administrativo y de lo Contencioso Administrativo.
Cordialmente,
GERMAN CASTRO FERREIRA
Director Ejecutivo
1. De acuerdo con la Ley 1428 de 2010 y la Resolución 186 de 2010
