CONCEPTO 4496 DE 2021
(octubre 20)
<Fuente: Archivo interno entidad emisora>
COMISIÓN DE REGULACIÓN DE ENERGÍA Y GAS - CREG
XXXXXXXXXXXXXXX
Asunto: Valoración de excedentes y actividad de autogeneración a pequeña escala (AGPE)
Radicado CREG E-2021-010004
Expediente CREG - General N/A
Respetado señor:
De acuerdo con lo dispuesto por la Ley 142 de 1994, a la CREG, aparte de las funciones genéricas que toda Comisión de Regulación tiene, se le asignaron la regulación económica de los servicios públicos domiciliarios de energía eléctrica y gas combustible. Adicionalmente, la Ley 143 de 1994 le asignó funciones de carácter regulatorio a la CREG, de manera específica en lo concerniente a la prestación del servicio público domiciliario de energía eléctrica. Posteriormente, mediante el Decreto 1260 de 2013, se le otorgó la responsabilidad de la regulación económica de los combustibles líquidos.
Es importante precisar que, en desarrollo de la función consultiva, la CREG no resuelve casos particulares o concretos, pues ello corresponde a las autoridades competentes mediante los procedimientos de rigor y, en tal virtud, tanto las preguntas como las respuestas deben darse o entenderse en forma genérica, de tal manera que puedan predicarse de cualquier asunto en circunstancias similares.
A continuación, damos respuesta a su consulta, la cual transcribimos a continuación:
(…) Buenas tardes mi nombre es Eliseo Amado y soy estudiante de Ingeniería en Control y Automatización de la universidad Distrital. Estoy escribiendo un artículo de la sobre la generación de energía eléctrica a partir de una fuente no convencional de energía, estuve leyendo el la resolución 030 de 2018 en el artículo 18 habla sobre la entrega de los excedentes y los distintos precios para AGPE que utiliza una FNCER con capacidad instalada menos o igual a 0.1MW, pero no me es clara la ecuación, quisiera saber claramente o aproximadamente cual es el costo de cada KW que entrega el AGPE al distribuidor en los casos donde la capacidad instalada es menor o igual a 0.1MW y donde es mayor a 0.1MW. Esta información suministrada será debidamente referenciada en el artículo muchas gracias por su atención quedo atento a su respuesta
(…)
Respuesta:
Al respecto de su consulta, entendemos que está interesado en la actividad de autogeneración a pequeña escala en el Sistema Interconectado Nacional (SIN), y cómo funciona el esquema de remuneración. En ese sentido le daremos respuesta.
En primer lugar, cuando un usuario[1] utiliza alguna fuente de energía para generar energía para su propio consumo y para una eventual y posible entrega de excedentes de energía a la red, la norma tiene una figura que se conoce como usuario autogenerador, el cual ejerce la actividad de autogeneración[2]. Dicha actividad se divide en autogeneración a pequeña escala AGPE (potencia instalada menor o igual a 1 MW), y autogeneración a gran escala AGGE[3] (potencia instalada mayor a 1 MW).
En cuanto a la primera actividad relacionada con su consulta, AGPE, se reguló en la Resolución CREG 030 de 2018, donde se definen las condiciones de disponibilidad de red, de conexión[4], de medida, de liquidación de energía, y un beneficio conocido como crédito de energía. Este beneficio establece que el usuario autogenerador puede permutar o intercambiar la energía que consume de la red, en un período de facturación, por la energía que inyecta a la red, en el mismo período de facturación. Otro beneficio es que se establecieron procedimientos simplificados de conexión para la constitución de un usuario como autogenerador.
Es pertinente aclarar que la actividad de autogeneración no está orientada a algún tipo de fuente de energía en específico. Sin embargo, los usuarios que utilizan fuentes no convencionales de energía (FNCER1), como la solar, son los que pueden acceder al beneficio de crédito de energía.
Las anteriores reglas se encuentran en los artículos 16, 17 y 18 de la Resolución CREG 030 de 2018 y establecen la forma de venta de energía a la red, lo cual venimos a explicar a continuación.
En primer lugar, cuando en ningún momento un usuario exporta energía a la red, entendemos que el usuario debe pagar al comercializador, de acuerdo con la liquidación convencional[5], el consumo total de la red que corresponda al período de facturación. Esto, porque el sistema solo observa una disminución en la demanda.
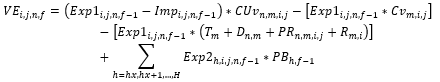
Por su parte, cuando se exporta energía a la red, se aplican las fórmulas del Artículo 18 de la Resolución CREG 030 de 2018 (“Información al usuario AGPE por la entrega de excedentes”), donde, dependiendo de la potencia instalada, se tiene:
(…) a) Para AGPE que utilizan FNCER con capacidad instalada menor o igual a 0,1 MW:

b) Para AGPE que utilizan FNCER con capacidad instalada mayor a 0,1 MW:

(…)
De lo anterior, la variable
es la sumatoria total de la importación (consumo) de energía del usuario AGPE durante el período de facturación f-1, es decir, la sumatoria de la importación durante cada hora y para todas las horas del período f-1 (en kWh).
Por su parte, la variable
es la sumatoria de la exportación (entrega de excedentes) de energía del AGPE durante el período de facturación f-1, es decir, la sumatoria de la exportación de energía durante cada hora y para todas las horas del período f-1, en kWh. Sin embargo, se debe tener en cuenta que
como máximo toma el mismo valor del total de la importación
es decir, el valor máximo de
es igual a ![]()
En caso de tener excedentes superiores a
los mismos se denominan
y se explicaran mas adelante.
Así las cosas, la primera conclusión del citado Artículo 18 es que las variables
toman algún valor únicamente en el caso de que existan excedentes a la red en el período de facturación.
Por tanto, si llegasen a existir exportaciones (entrega de excedentes) del AGPE, los mismos se dividen en dos:
1) Los que se denominan ![]()
En este caso, el citado artículo establece que por esa cantidad de energía se aplica lo que se denomina crédito de energía, es decir, se intercambia la energía excedente
por la importación de energía
en el período de facturación; intercambio por el cual, el usuario debe pagar al comercializador lo que se denomina servicio del sistema, que se diferencia de acuerdo con la potencia instalada:
- Si el usuario AGPE tiene una potencia instalada igual o menor a 0.1 MW, el servicio del sistema corresponde a la variable
de que trata la Resolución CREG 119 de 2007 o aquella que la modifique o sustituya.
- Si el usuario AGPE tiene una potencia instalada mayor a 0.1 MW y hasta 1 MW, el servicio del sistema corresponde a las variables
de qué trata la Resolución CREG 119 de 2007 o aquella que la modifique o sustituya.
Ahora bien, puede ocurrir que la variable
sea menor que la variable
Lo indicado en el mismo Artículo 18 es que solo será sujeto de crédito de energía, la cantidad correspondiente a
y por el resto de la energía consumida se debe pagar al comercializador el valor del Costo Unitario de Prestación del Servicio
de que trata la Resolución CREG 119 de 2007; es decir, el usuario AGPE debe pagar al comercializador
![]()
2) Los que se denominan
.
Estos excedentes son superiores a
y se valoran a precio horario de bolsa.
Para lo anterior, entendemos que se conocen los consumos de la red y la entrega de excedentes para cada hora del período f-1, esto es, se conoce de manera horaria los valores de excedentes de energía y el precio de bolsa correspondiente en cada hora, datos necesarios para remunerar el excedente de energía horario superior al consumo como se establece en las citadas formulas.
En ese sentido, de acuerdo al artículo 18 de la Resolución CREG 030 de 2018, la variable
se establece con precisión horaria, donde h es la hora correspondiente en cada mes del período de facturación f-1, teniendo en cuenta en cual hora hx los excedentes sobrepasan la importación
de energía eléctrica en el período de facturación f-1:
Se cita parte de la formula en los literales a y b del Artículo 18, donde H es el número total de horas del período de facturación:

3) Si como resultado de aplicar las fórmulas del Artículo 18 de la citada resolución, la variable VEi,j,n,f (valoración del excedente del AGPE, en $COP, en el período f) resulta en un valor positivo, entonces se considera que es un ingreso para el usuario; caso contrario, el valor resultante es ingreso para el agente comercializador.
Finalmente, en nuestra página en internet, www.creg.gov.co, podrá consultar los documentos que soportan dicha regulación (documentos CREG D-097-14, D-016-15, D-066-17 y D-026-18), como las resoluciones de consulta y definitivas (proyectos Resolución CREG 175 de 2014 y 121 de 2017 y Resoluciones CREG 024 de 2015 y 030 de 2018).
Específicamente para usuarios AGPE, para encontrar la información más fácil y consolidada, en la página de internet, la CREG ha dispuesto un enlace donde se podrán ver todas las respuestas a las preguntas más frecuentes sobre la Resolución CREG 030 de 2018, y donde se podrá ubicar directamente toda la normatividad, regulación relacionada, un folleto con la explicación de cómo ser un autogenerador paso a paso, las presentaciones y un documento que consolida todos los conceptos que la comisión ha dado respuesta sobre autogeneración y generación distribuida. La información en este enlace se actualizará permanentemente. El enlace es el siguiente:
https://www.creg.gov.co/sectores-que-regulamos/energia-electrica/autogeneracion-pequena-escala-y-generacion-distribuida
En adición, le informamos que, de la Resolución CREG 030 de 2018, se realizaron dos talleres, uno en Barranquilla y otro en Bucaramanga. La CREG tiene a disposición de todos los interesados la filmación de ambos talleres en los siguientes enlaces de internet:
https://www.youtube.com/watch?v=gaj4az3Vrb8
https://www.youtube.com/watch?v=wvSEv56dbXU
También recomendamos revisar el proyecto de Resolución CREG 002 de 2021 y su documento soporte (Documento CREG-002 de 7 de enero de 2021), el cual es una actualización propuesta para la Resolución CREG 030 de 2018, y que está próxima a expedirse en su resolución definitiva. En dicho documento soporte se realiza una explicación mas detallada de la remuneración que excede el crédito de energía (numeral 7.6.3 del documento CREG-002), la cual no cambia con respecto a la especificada en este comunicado, y lo que busca dicha actualización es aclarar la aplicación. Le invitamos a estar pendiente de la publicación en nuestra página WEB www.creg.gov.co.
Si, luego de consultar todo lo mencionado anteriormente, tiene inquietudes específicas sobre la normativa, podrá enviar las consultas escritas que considere necesarias al correo creg@creg.gov.co.
Esperamos que la información que ha sido suministrada sea de su utilidad.
El presente concepto se emite en los términos y con el alcance previsto en el artículo 28 de la Ley 1755 de 2015, que sustituye el título II del Código de Procedimiento Administrativo y de lo Contencioso Administrativo.
Atentamente,
JORGE ALBERTO VALENCIA MARIN
Director Ejecutivo
1. Resolución CREG 015 de 2018: (…) Usuario del STR o SDL: es el usuario final del servicio de energía eléctrica, OR, generador, cogenerador o autogenerador conectado al STR o al SDL.(…)
2. Artículo 3 Resolución CREG 030 de 2018:
(…) Autogeneración. Aquella actividad realizada por personas naturales o jurídicas que producen energía eléctrica principalmente, para atender sus propias necesidades. (…)
(…) Autogenerador a pequeña escala, AGPE. Autogenerador con potencia instalada igual o inferior al límite definido en el artículo primero de la Resolución UPME 281 de 2015 o aquella que la modifique o sustituya. (…)
(…) Autogenerador a gran escala. Autogenerador con potencia instalada superior al límite definido en el artículo primero de la Resolución UPME 281 de 2015 o aquella que la modifique o sustituya. (…)
3. Se reguló en la Resolución CREG 024 de 2015. Allí se definen las condiciones de conexión y medida, condiciones de respaldo y suministro de energía, condiciones para entregar excedentes a la red, entre otras obligaciones. En cuanto al procedimiento de asignación de capacidad (para aprobación del proyecto), el mismo está regulado en la Resolución CREG 075 de 2021. No obstante, la Resolución CREG 030 de 2018 permitió que los AGGE con potencia hasta 5 MW pudieran aplicar el artículo 11 de esta última resolución, con el fin de tener un procedimiento simplificado de conexión.
4. Por su parte, en cuanto al procedimiento de aprobación y conexión de un AGPE, el mismo se encuentra en los artículos 10 y 11 de la Resolución CREG 030 de 2018, los cuales se diferencian por capacidad instalada. La diferencia principal es que cuando es un usuario AGPE con potencia instalada menor o igual a 0.1 MW en el registro ante el Operador de Red (OR) solo entrega un formulario de conexión simplificado con sus documentos anexos, el cual se encuentra publicado en la Circular CREG 108 de 2018. Cuando es superior a 1 MW se aplica un estudio de conexión simplificado de acuerdo con lo establecido en el artículo 11 de la misma resolución. Respecto de los usuarios AGPE que se declaren sin entrega de excedentes no les aplica los limites de disponibilidad de red de que trata el artículo 5 de la precitada resolución.
5. Si es usuario regulado, al costo de prestación del servicio establecido en la Resolución CREG 119 de 2007. Si es usuario no regulado, al costo pactado con agente comercializador que le vende energía para el consumo.